JP7592017B2 - パターン形成のための低Tgオリゴマーの存在下での増強された誘導自己集合 - Google Patents
パターン形成のための低Tgオリゴマーの存在下での増強された誘導自己集合 Download PDFInfo
- Publication number
- JP7592017B2 JP7592017B2 JP2021541212A JP2021541212A JP7592017B2 JP 7592017 B2 JP7592017 B2 JP 7592017B2 JP 2021541212 A JP2021541212 A JP 2021541212A JP 2021541212 A JP2021541212 A JP 2021541212A JP 7592017 B2 JP7592017 B2 JP 7592017B2
- Authority
- JP
- Japan
- Prior art keywords
- copolymer
- mole
- repeat units
- mol
- mole percent
- Prior art date
- Legal status (The legal status is an assumption and is not a legal conclusion. Google has not performed a legal analysis and makes no representation as to the accuracy of the status listed.)
- Active
Links
Classifications
-
- C—CHEMISTRY; METALLURGY
- C08—ORGANIC MACROMOLECULAR COMPOUNDS; THEIR PREPARATION OR CHEMICAL WORKING-UP; COMPOSITIONS BASED THEREON
- C08F—MACROMOLECULAR COMPOUNDS OBTAINED BY REACTIONS ONLY INVOLVING CARBON-TO-CARBON UNSATURATED BONDS
- C08F297/00—Macromolecular compounds obtained by successively polymerising different monomer systems using a catalyst of the ionic or coordination type without deactivating the intermediate polymer
- C08F297/02—Macromolecular compounds obtained by successively polymerising different monomer systems using a catalyst of the ionic or coordination type without deactivating the intermediate polymer using a catalyst of the anionic type
-
- C—CHEMISTRY; METALLURGY
- C08—ORGANIC MACROMOLECULAR COMPOUNDS; THEIR PREPARATION OR CHEMICAL WORKING-UP; COMPOSITIONS BASED THEREON
- C08F—MACROMOLECULAR COMPOUNDS OBTAINED BY REACTIONS ONLY INVOLVING CARBON-TO-CARBON UNSATURATED BONDS
- C08F212/00—Copolymers of compounds having one or more unsaturated aliphatic radicals, each having only one carbon-to-carbon double bond, and at least one being terminated by an aromatic carbocyclic ring
- C08F212/02—Monomers containing only one unsaturated aliphatic radical
- C08F212/04—Monomers containing only one unsaturated aliphatic radical containing one ring
- C08F212/06—Hydrocarbons
- C08F212/12—Monomers containing a branched unsaturated aliphatic radical or a ring substituted by an alkyl radical
-
- C—CHEMISTRY; METALLURGY
- C08—ORGANIC MACROMOLECULAR COMPOUNDS; THEIR PREPARATION OR CHEMICAL WORKING-UP; COMPOSITIONS BASED THEREON
- C08F—MACROMOLECULAR COMPOUNDS OBTAINED BY REACTIONS ONLY INVOLVING CARBON-TO-CARBON UNSATURATED BONDS
- C08F220/00—Copolymers of compounds having one or more unsaturated aliphatic radicals, each having only one carbon-to-carbon double bond, and only one being terminated by only one carboxyl radical or a salt, anhydride ester, amide, imide or nitrile thereof
- C08F220/02—Monocarboxylic acids having less than ten carbon atoms; Derivatives thereof
- C08F220/10—Esters
- C08F220/12—Esters of monohydric alcohols or phenols
- C08F220/16—Esters of monohydric alcohols or phenols of phenols or of alcohols containing two or more carbon atoms
- C08F220/18—Esters of monohydric alcohols or phenols of phenols or of alcohols containing two or more carbon atoms with acrylic or methacrylic acids
-
- C—CHEMISTRY; METALLURGY
- C08—ORGANIC MACROMOLECULAR COMPOUNDS; THEIR PREPARATION OR CHEMICAL WORKING-UP; COMPOSITIONS BASED THEREON
- C08F—MACROMOLECULAR COMPOUNDS OBTAINED BY REACTIONS ONLY INVOLVING CARBON-TO-CARBON UNSATURATED BONDS
- C08F220/00—Copolymers of compounds having one or more unsaturated aliphatic radicals, each having only one carbon-to-carbon double bond, and only one being terminated by only one carboxyl radical or a salt, anhydride ester, amide, imide or nitrile thereof
- C08F220/02—Monocarboxylic acids having less than ten carbon atoms; Derivatives thereof
- C08F220/10—Esters
- C08F220/26—Esters containing oxygen in addition to the carboxy oxygen
- C08F220/28—Esters containing oxygen in addition to the carboxy oxygen containing no aromatic rings in the alcohol moiety
- C08F220/282—Esters containing oxygen in addition to the carboxy oxygen containing no aromatic rings in the alcohol moiety and containing two or more oxygen atoms
-
- C—CHEMISTRY; METALLURGY
- C08—ORGANIC MACROMOLECULAR COMPOUNDS; THEIR PREPARATION OR CHEMICAL WORKING-UP; COMPOSITIONS BASED THEREON
- C08F—MACROMOLECULAR COMPOUNDS OBTAINED BY REACTIONS ONLY INVOLVING CARBON-TO-CARBON UNSATURATED BONDS
- C08F297/00—Macromolecular compounds obtained by successively polymerising different monomer systems using a catalyst of the ionic or coordination type without deactivating the intermediate polymer
- C08F297/02—Macromolecular compounds obtained by successively polymerising different monomer systems using a catalyst of the ionic or coordination type without deactivating the intermediate polymer using a catalyst of the anionic type
- C08F297/026—Macromolecular compounds obtained by successively polymerising different monomer systems using a catalyst of the ionic or coordination type without deactivating the intermediate polymer using a catalyst of the anionic type polymerising acrylic acid, methacrylic acid or derivatives thereof
-
- C—CHEMISTRY; METALLURGY
- C08—ORGANIC MACROMOLECULAR COMPOUNDS; THEIR PREPARATION OR CHEMICAL WORKING-UP; COMPOSITIONS BASED THEREON
- C08L—COMPOSITIONS OF MACROMOLECULAR COMPOUNDS
- C08L25/00—Compositions of, homopolymers or copolymers of compounds having one or more unsaturated aliphatic radicals, each having only one carbon-to-carbon double bond, and at least one being terminated by an aromatic carbocyclic ring; Compositions of derivatives of such polymers
- C08L25/02—Homopolymers or copolymers of hydrocarbons
- C08L25/04—Homopolymers or copolymers of styrene
- C08L25/08—Copolymers of styrene
- C08L25/14—Copolymers of styrene with unsaturated esters
-
- C—CHEMISTRY; METALLURGY
- C08—ORGANIC MACROMOLECULAR COMPOUNDS; THEIR PREPARATION OR CHEMICAL WORKING-UP; COMPOSITIONS BASED THEREON
- C08L—COMPOSITIONS OF MACROMOLECULAR COMPOUNDS
- C08L33/00—Compositions of homopolymers or copolymers of compounds having one or more unsaturated aliphatic radicals, each having only one carbon-to-carbon double bond, and only one being terminated by only one carboxyl radical, or of salts, anhydrides, esters, amides, imides or nitriles thereof; Compositions of derivatives of such polymers
- C08L33/04—Homopolymers or copolymers of esters
-
- C—CHEMISTRY; METALLURGY
- C08—ORGANIC MACROMOLECULAR COMPOUNDS; THEIR PREPARATION OR CHEMICAL WORKING-UP; COMPOSITIONS BASED THEREON
- C08L—COMPOSITIONS OF MACROMOLECULAR COMPOUNDS
- C08L53/00—Compositions of block copolymers containing at least one sequence of a polymer obtained by reactions only involving carbon-to-carbon unsaturated bonds; Compositions of derivatives of such polymers
-
- C—CHEMISTRY; METALLURGY
- C09—DYES; PAINTS; POLISHES; NATURAL RESINS; ADHESIVES; COMPOSITIONS NOT OTHERWISE PROVIDED FOR; APPLICATIONS OF MATERIALS NOT OTHERWISE PROVIDED FOR
- C09D—COATING COMPOSITIONS, e.g. PAINTS, VARNISHES OR LACQUERS; FILLING PASTES; CHEMICAL PAINT OR INK REMOVERS; INKS; CORRECTING FLUIDS; WOODSTAINS; PASTES OR SOLIDS FOR COLOURING OR PRINTING; USE OF MATERIALS THEREFOR
- C09D153/00—Coating compositions based on block copolymers containing at least one sequence of a polymer obtained by reactions only involving carbon-to-carbon unsaturated bonds; Coating compositions based on derivatives of such polymers
-
- G—PHYSICS
- G03—PHOTOGRAPHY; CINEMATOGRAPHY; ANALOGOUS TECHNIQUES USING WAVES OTHER THAN OPTICAL WAVES; ELECTROGRAPHY; HOLOGRAPHY
- G03F—PHOTOMECHANICAL PRODUCTION OF TEXTURED OR PATTERNED SURFACES, e.g. FOR PRINTING, FOR PROCESSING OF SEMICONDUCTOR DEVICES; MATERIALS THEREFOR; ORIGINALS THEREFOR; APPARATUS SPECIALLY ADAPTED THEREFOR
- G03F7/00—Photomechanical, e.g. photolithographic, production of textured or patterned surfaces, e.g. printing surfaces; Materials therefor, e.g. comprising photoresists; Apparatus specially adapted therefor
- G03F7/0002—Lithographic processes using patterning methods other than those involving the exposure to radiation, e.g. by stamping
-
- G—PHYSICS
- G03—PHOTOGRAPHY; CINEMATOGRAPHY; ANALOGOUS TECHNIQUES USING WAVES OTHER THAN OPTICAL WAVES; ELECTROGRAPHY; HOLOGRAPHY
- G03F—PHOTOMECHANICAL PRODUCTION OF TEXTURED OR PATTERNED SURFACES, e.g. FOR PRINTING, FOR PROCESSING OF SEMICONDUCTOR DEVICES; MATERIALS THEREFOR; ORIGINALS THEREFOR; APPARATUS SPECIALLY ADAPTED THEREFOR
- G03F7/00—Photomechanical, e.g. photolithographic, production of textured or patterned surfaces, e.g. printing surfaces; Materials therefor, e.g. comprising photoresists; Apparatus specially adapted therefor
- G03F7/26—Processing photosensitive materials; Apparatus therefor
- G03F7/36—Imagewise removal not covered by groups G03F7/30 - G03F7/34, e.g. using gas streams, using plasma
-
- H—ELECTRICITY
- H01—ELECTRIC ELEMENTS
- H01L—SEMICONDUCTOR DEVICES NOT COVERED BY CLASS H10
- H01L21/00—Processes or apparatus adapted for the manufacture or treatment of semiconductor or solid state devices or of parts thereof
- H01L21/02—Manufacture or treatment of semiconductor devices or of parts thereof
- H01L21/027—Making masks on semiconductor bodies for further photolithographic processing not provided for in group H01L21/18 or H01L21/34
- H01L21/0271—Making masks on semiconductor bodies for further photolithographic processing not provided for in group H01L21/18 or H01L21/34 comprising organic layers
-
- H—ELECTRICITY
- H01—ELECTRIC ELEMENTS
- H01L—SEMICONDUCTOR DEVICES NOT COVERED BY CLASS H10
- H01L21/00—Processes or apparatus adapted for the manufacture or treatment of semiconductor or solid state devices or of parts thereof
- H01L21/02—Manufacture or treatment of semiconductor devices or of parts thereof
- H01L21/04—Manufacture or treatment of semiconductor devices or of parts thereof the devices having potential barriers, e.g. a PN junction, depletion layer or carrier concentration layer
- H01L21/18—Manufacture or treatment of semiconductor devices or of parts thereof the devices having potential barriers, e.g. a PN junction, depletion layer or carrier concentration layer the devices having semiconductor bodies comprising elements of Group IV of the Periodic Table or AIIIBV compounds with or without impurities, e.g. doping materials
- H01L21/30—Treatment of semiconductor bodies using processes or apparatus not provided for in groups H01L21/20 - H01L21/26
- H01L21/302—Treatment of semiconductor bodies using processes or apparatus not provided for in groups H01L21/20 - H01L21/26 to change their surface-physical characteristics or shape, e.g. etching, polishing, cutting
- H01L21/306—Chemical or electrical treatment, e.g. electrolytic etching
- H01L21/3065—Plasma etching; Reactive-ion etching
-
- H—ELECTRICITY
- H01—ELECTRIC ELEMENTS
- H01L—SEMICONDUCTOR DEVICES NOT COVERED BY CLASS H10
- H01L21/00—Processes or apparatus adapted for the manufacture or treatment of semiconductor or solid state devices or of parts thereof
- H01L21/02—Manufacture or treatment of semiconductor devices or of parts thereof
- H01L21/04—Manufacture or treatment of semiconductor devices or of parts thereof the devices having potential barriers, e.g. a PN junction, depletion layer or carrier concentration layer
- H01L21/18—Manufacture or treatment of semiconductor devices or of parts thereof the devices having potential barriers, e.g. a PN junction, depletion layer or carrier concentration layer the devices having semiconductor bodies comprising elements of Group IV of the Periodic Table or AIIIBV compounds with or without impurities, e.g. doping materials
- H01L21/30—Treatment of semiconductor bodies using processes or apparatus not provided for in groups H01L21/20 - H01L21/26
- H01L21/302—Treatment of semiconductor bodies using processes or apparatus not provided for in groups H01L21/20 - H01L21/26 to change their surface-physical characteristics or shape, e.g. etching, polishing, cutting
- H01L21/306—Chemical or electrical treatment, e.g. electrolytic etching
- H01L21/308—Chemical or electrical treatment, e.g. electrolytic etching using masks
-
- B—PERFORMING OPERATIONS; TRANSPORTING
- B82—NANOTECHNOLOGY
- B82Y—SPECIFIC USES OR APPLICATIONS OF NANOSTRUCTURES; MEASUREMENT OR ANALYSIS OF NANOSTRUCTURES; MANUFACTURE OR TREATMENT OF NANOSTRUCTURES
- B82Y40/00—Manufacture or treatment of nanostructures
-
- C—CHEMISTRY; METALLURGY
- C08—ORGANIC MACROMOLECULAR COMPOUNDS; THEIR PREPARATION OR CHEMICAL WORKING-UP; COMPOSITIONS BASED THEREON
- C08L—COMPOSITIONS OF MACROMOLECULAR COMPOUNDS
- C08L2205/00—Polymer mixtures characterised by other features
- C08L2205/02—Polymer mixtures characterised by other features containing two or more polymers of the same C08L -group
- C08L2205/025—Polymer mixtures characterised by other features containing two or more polymers of the same C08L -group containing two or more polymers of the same hierarchy C08L, and differing only in parameters such as density, comonomer content, molecular weight, structure
-
- C—CHEMISTRY; METALLURGY
- C08—ORGANIC MACROMOLECULAR COMPOUNDS; THEIR PREPARATION OR CHEMICAL WORKING-UP; COMPOSITIONS BASED THEREON
- C08L—COMPOSITIONS OF MACROMOLECULAR COMPOUNDS
- C08L2205/00—Polymer mixtures characterised by other features
- C08L2205/03—Polymer mixtures characterised by other features containing three or more polymers in a blend
Landscapes
- Chemical & Material Sciences (AREA)
- Engineering & Computer Science (AREA)
- Organic Chemistry (AREA)
- Chemical Kinetics & Catalysis (AREA)
- Health & Medical Sciences (AREA)
- Polymers & Plastics (AREA)
- Medicinal Chemistry (AREA)
- Physics & Mathematics (AREA)
- General Physics & Mathematics (AREA)
- Manufacturing & Machinery (AREA)
- Computer Hardware Design (AREA)
- Condensed Matter Physics & Semiconductors (AREA)
- Power Engineering (AREA)
- Microelectronics & Electronic Packaging (AREA)
- Inorganic Chemistry (AREA)
- Life Sciences & Earth Sciences (AREA)
- Materials Engineering (AREA)
- Wood Science & Technology (AREA)
- Plasma & Fusion (AREA)
- Compositions Of Macromolecular Compounds (AREA)
- Graft Or Block Polymers (AREA)
Description
オリゴジブロックコポリマー成分b-2)及びb-3)をそれぞれ含む本発明による組成物の上記の観点のいずれにおいても、これらは、それぞれ構造(I-S-b)及び構造(I-S-c)に示すように、ブロックA-b)とブロックB-b)との間にまたはブロックA-c)とブロックB-c)との間にそれぞれスペーサ部分を有してよく、ここでR1sb、R1sc、R2sb、及びR2scは、独立して、水素、C1~C8アルキル、-N(R3s)2、-OR4s、Si(R5s)3から選択され、ここでR3s、R4s及びR5sは独立してC1~C4アルキルから選択される。この態様の他の観点の一つでは、R1sb、R2sb、R1sc、及びR2scは水素である。
成分c)のスピンキャスト用有機溶剤のためには、上記の本発明による組成物を溶解するための適した溶剤には、グリコールエーテル誘導体、例えばエチルセロソルブ、メチルセロソルブ、プロピレングリコールモノメチルエーテル(PGME)、ジエチレングリコールモノメチルエーテル、ジエチレングリコールモノエチルエーテル、ジプロピレングリコールジメチルエーテル、プロピレングリコールn-プロピルエーテル、またはジエチレングリコールジメチルエーテル;グリコールエーテルエステル誘導体、例えばエチルセロソルブアセテート、メチルセロソルブアセテート、またはプロピレングリコールモノメチルエーテルアセテート(PGMEA);カルボキシレート、例えばエチルアセテート、n-ブチルアセテート及びアミルアセテート;二塩基性酸のカルボキシレート、例えばジエチルオキシレート及びジメチルマロネート;グリコール類のジカルボキシレート、例えばエチレングリコールジアセテート及びプロピレングリコールジアセテート;及びヒドロキシカルボキシレート、例えば乳酸メチル、乳酸エチル(EL)、グリコール酸エチル、及び3-ヒドロキシプロピオン酸エチル;ケトンエステル、例えばピルビン酸メチルまたはピルビン酸エチル;アルコキシカルボン酸エステル、例えば3-メトキシプロピオン酸メチル、3-エトキシプロピオン酸エチル、2-ヒドロキシ-2-メチルプロピオン酸エチル、またはエトキシプロピオン酸メチル;ケトン誘導体、例えばメチルエチルケトン、アセチルアセトン、シクロペンタノン、シクロヘキサノンまたは2-ヘプタノン;ケトンエーテル誘導体、例えばジアセトンアルコールメチルエーテル;ケトンアルコール誘導体、例えばアセトールまたはジアセトンアルコール;ケタールまたはアセタール、例えば1,3ジオキサラン及びジエトキシプロパン;ラクトン、例えばブチロラクトン;アミド誘導体、例えばジメチルアセトアミドまたはジメチルホルムアミド、アニソール及びこれらの混合物などが挙げられる。
ここに記載の本発明による組成物は、非ガイド自己集合プロセスにおいて図形のアレイを生成するために使用し得るかまたは誘導(別の言い方ではガイド)自己集合プロセス、例えばグラフォエピタキシまたはケモエピタキシにおいて、ケモエピタキシまたはグラフォエピタキシガイド図形のパターン調整またはパターン増倍のいずれかを起こすために使用し得る。
i)基材上に中性層のコーティングを形成するステップ、
ii)前記の本発明による組成物のいずれかの組成物を前記中性層上にコーティングして膜を形成するステップ、
ii)前記膜を、不活性ガス雰囲気中で、約240℃~約260℃から選択される温度でベークして、自己集合膜を形成するステップ、及び
iii)前記基材をプラズマでエッチングして、前記自己集合膜を基材中にパターン転写するステップ、
を含む。
ia)基材上に中性層のコーティングを形成するステップ、
iia)L/S用途に適した前記の本発明による組成物を前記中性層上にコーティングして、膜を形成するステップ、
iiia)前記膜を、不活性ガス雰囲気中で、約240℃~約260℃から選択される温度でベークして、自己集合膜を形成するステップ、及び
iva)前記基材をプラズマでエッチングして、前記自己集合膜を基材中にパターン転写して、L/Sアレイを形成するステップ、
を含む。
ia’)基材上に中性層のコーティングを形成するステップ、
iia’)中性層のコーティングの上面にフォトレジストをコーティングして、フォトレジスト膜を形成するステップ、
iiia’)フォトレジストをパターン化して、L/Sパターン化フォトレジストを生成するステップ、
iva’)L/S用途に適した前記の本発明による組成物を、前記のパターン化フォトレジスト上にコーティングして、L/SパターンがL/S用に適した前記の本発明による組成物で充填され及びフォトレジストの表面と面一な膜を生成するステップ、
va’)前記膜を、不活性ガス雰囲気中で、約240℃~約260℃から選択される温度でベークして、自己集合膜を形成するステップ、及び
via’)前記基材をプラズマでエッチングして、前記の自己集合膜を基材中にパターン転写して、L/Sパターンを形成するステップ、
を含む、前記方法である。
ia’’)基材上に中性層のコーティングを形成するステップ、
iia’’)中性層のコーティングの上面にフォトレジストをコーティングして、フォトレジスト膜を形成するステップ、
iiia’’)フォトレジストをパターン化して、L/Sパターン化フォトレジスト膜を生成するステップ、
iva’’)下にある中性層を、パターン化されたフォトレジスト膜をマスクとして使用してエッチングするステップ、
va’’)レジストを剥離して、顕著なトポグラフィを持たないケモエピタキシパターンであるパターン化された中性層を形成するステップ、
via’’)L/S用途に適した前記の本発明による組成物を、前記パターン化された中性層上にコーティングして、ブロックコポリマー膜を形成するステップ、
viia’)前記ブロックコポリマー膜を、不活性ガス雰囲気中で、約240℃~約260℃から選択される温度でベークして、自己集合膜を形成するステップ、及び
viiia’’)前記基材をプラズマでエッチングして、前記の自己集合膜を基材中にパターン転写して、L/Sパターンを形成するステップ、
を含む、前記方法である。
ib)基材上に中性層のコーティングを形成するステップ、
iib)CH用途に適した前記の組成物を前記中性層上にコーティングして、膜を形成するステップ、
iiib)前記膜を、不活性ガス雰囲気中で、約240℃~約260℃から選択される温度でベークして、自己集合膜を形成するステップ、及び
ivb)前記基材をプラズマでエッチングして、前記の自己集合膜を基材中にパターン転写して、CHアレイを形成するステップ、
を含む、前記方法である。
ib’)基材上に中性層のコーティングを形成するステップ、
iib’)中性層のコーティングの上面にフォトレジストをコーティングして、フォトレジスト膜を形成するステップ、
iiib’)フォトレジストをパターン化して、CHパターン化フォトレジストを生成するステップ、
ivb’)CH用途に適した前記の本発明による組成物を、前記のパターン化フォトレジスト上にコーティングして、L/SパターンがL/S用に適した前記の本発明による組成物で充填され及びフォトレジストの表面と面一な膜を生成するステップ、
vib’)前記膜を、不活性ガス雰囲気中で、約240℃~約260℃から選択される温度でベークして、自己集合膜を形成するステップ、及び
viib’)前記基材をプラズマでエッチングして、前記の自己集合膜を基材中にパターン転写して、CHパターンを形成するステップ、
を含む、前記方法である。
ib’’)基材上に中性層のコーティングを形成するステップ、
iib’’)中性層のコーティングの上面にフォトレジストをコーティングして、フォトレジスト膜を形成するステップ、
iiib’’)フォトレジストをパターン化して、CHパターン化フォトレジストを生成するステップ、
ivb’’)下にある中性層を、パターン化されたフォトレジストをマスクとして使用してエッチングするステップ、
vb’’)レジストを剥離して、顕著なトポグラフィを持たないケモエピタキシパターンであるパターン化された中性層を形成するステップ、
vib’’)CH用途に適した前記の本発明による組成物を、前記パターン化された中性層上にコーティングして、ブロックコポリマー膜を形成するステップ、
viib’’)前記ブロックコポリマー膜を、不活性ガス雰囲気中で、約240℃~約260℃から選択される温度でベークして、自己集合膜を形成するステップ、及び
viiib’’)前記基材をプラズマでエッチングして、前記の自己集合膜を基材中にパターン転写して、CHパターンを形成するステップ、
を含む、前記方法である。
i)基材上に中性層のコーティングを形成するステップ、
ii)コンタクトホールアレイの形成に適した前記のジブロックコポリマーを含む組成物を前記中性層上にコーティングして、膜を形成するステップ、
ii)前記膜を、不活性ガス雰囲気中で、約240℃~約260℃から選択される温度でベークして、自己集合膜を形成するステップ、及び
iii)前記基材をプラズマでエッチングして、前記自己集合膜を基材中にパターン転写するステップ、
を含む方法である。
ib)基材上に中性層のコーティングを形成するステップ、
iiib)L/Sアレイの形成に適した前記のジブロックコポリマーを含む組成物を前記中性層上にコーティングして、膜を形成するステップ、
ivb)前記膜を、不活性ガス雰囲気中で、約240℃~約260℃から選択される温度でベークして、自己集合膜を形成するステップ、及び
vb)前記基材をプラズマでエッチングして、前記自己集合膜を基材中にパターン転写するステップ、
を含む方法である。
ic)基材上に中性層のコーティングを形成するステップ、
iiic)L/Sアレイの形成に適した前記のトリブロックコポリマーを含む組成物を前記中性層上にコーティングして、膜を形成するステップ、
ivc)前記膜を、不活性ガス雰囲気中で、約240℃~約260℃から選択される温度でベークして、自己集合膜を形成するステップ、及び
vc)前記基材をプラズマでエッチングして、前記自己集合膜を基材中にパターン転写するステップ、
を含む方法。
ic)基材上に中性層のコーティングを形成するステップ、
iiid)コンタクトホールアレイの形成に適した前記のトリブロックコポリマーを含む組成物を前記中性層上にコーティングして、膜を形成するステップ、
ivd)前記膜を、不活性ガス雰囲気中で、約240℃~約260℃から選択される温度でベークして、自己集合膜を形成するステップ、及び
vd)前記基材をプラズマでエッチングして、前記自己集合膜を基材中にパターン転写するステップ、
を含む方法。
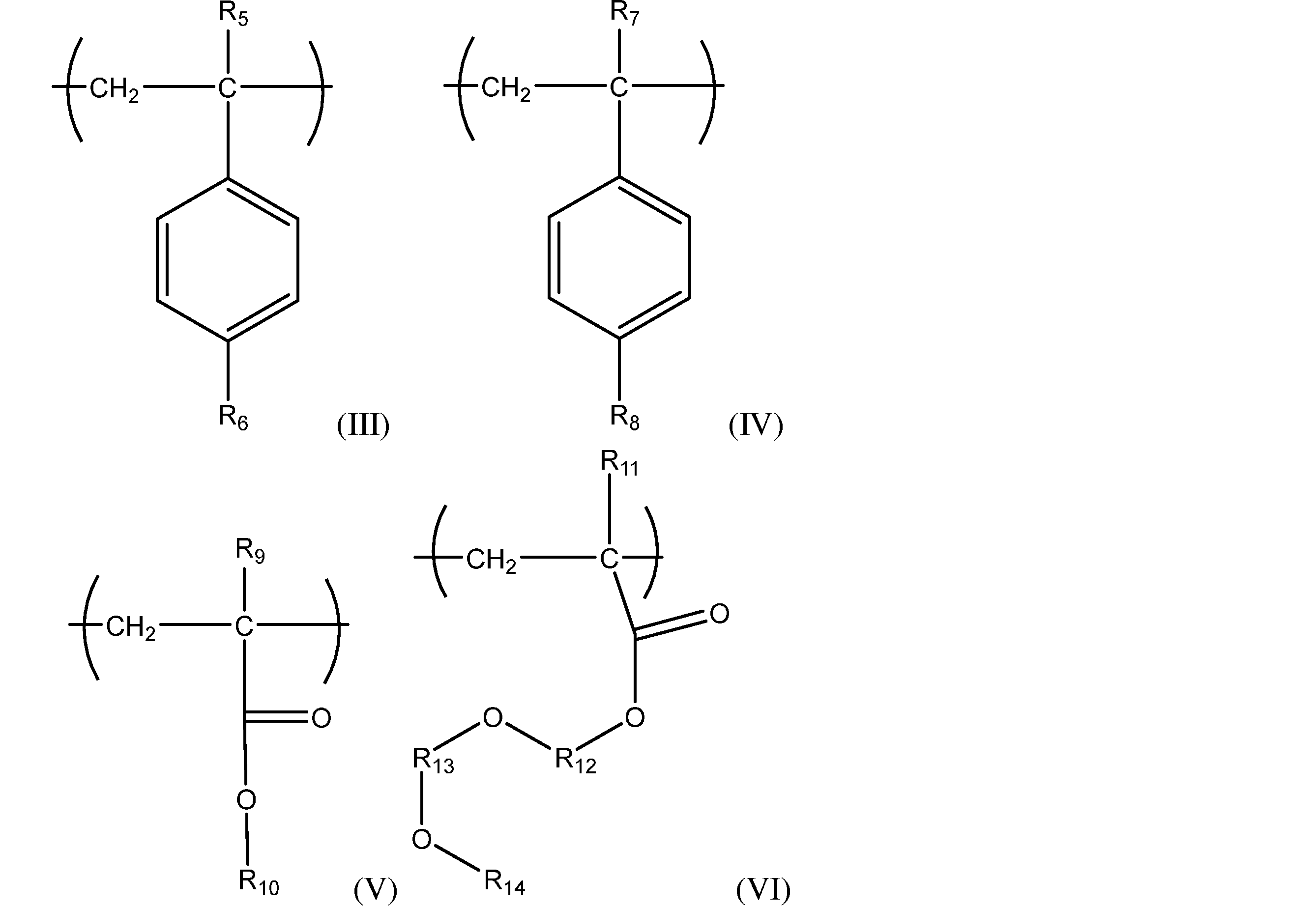
この発明の他の観点の一つは、約1,000~35,000g/モルのMn及び1.0~約1.1の多分散性を有する、ブロックA-b)及びブロックB-b)を含む本発明によるジブロックコポリマーである。この本発明による材料では、ブロックA-b)は、構造(III)及び(IV)を有する繰り返し単位のランダムコポリマーであり、そしてブロックB-b)は、構造(V)及び(VI)を有する繰り返し単位のランダムコポリマーである。更に、この新規オリゴジブロックコポリマーでは、R5、R7、R9及びR11は、独立して、HまたはC1~C4アルキルから選択され、R6はC7~C10直鎖アルキルであり、R8はC1~C4アルキルであり、R10はC1~C4アルキルであり、R12及びR13は、独立して、C2~C5アルキレンから選択され、そしてR14はC1~C4アルキルであり、R5、R7、R9、及びR11は、独立して、HまたはC1~C4アルキルから選択され、R6はC7~C10直鎖アルキルであり、R8はC1~C4アルキルであり、R10はC1~C4アルキルであり、R12及びR13は、独立して、C2~C5アルキレンから選択され、そしてR14はC1~C4アルキルであり、及び更に、本発明によるオリゴジブロックコポリマーは、約0℃~約95℃の値を有するTgを有する。
構造(IV)の繰り返し単位では、そのモル%は約10モル%~約50モル%であり、
構造(V)の繰り返し単位では、そのモル%は約20モル%~約60モル%であり、
構造(III)の繰り返し単位では、そのモル%は、構造(IV)の繰り返し単位のモル%の約10%~約0%であり、
構造(VI)の繰り返し単位では、そのモル%は、構造(V)の繰り返し単位のモル%の約10%~約40%であり、そして構造(III)、(IV)、(V)及び(VI)の繰り返し単位のモル%の個々の値は、構造(III)、(IV)、(V)及び(VI)の繰り返し単位の全モル数が合計して100モル%になるようにそれらの各々の範囲から選択される。
別段の表示がない限り、全ての化学品は、Sigma Aldrich(3050 Spruce St.,St.Louis,MO63103)から購入した。アニオン重合で使用した化学品は、文献記載のように精製した(例えば、David Uhrig and Jimmy Mays,“Techniques in High-Vacuum Anionic Polymerization”, Journal of Polymer Science:Part A: Polymer Chemistry,Vol.43,6179-6222(2005)(非特許文献7))。
温度制御器、加熱ジャケット及び磁気撹拌機を備えた250ml容積のフラスコをセットアップした。26.04グラム(0.25モル)のスチレン、24.03グラム(0.24モル)のメチルメタクリレート、1.42グラム(0.10モル)のグリシジルメタクリレート、0.41グラム(0.0025モル)のアゾビスイソブチロニトリル(AIBN)開始剤及び100グラムのアニソールを前記フラスコに添加した。攪拌機のスイッチを入れ、約400rpmに設定した。次いで、この反応溶液を、室温で約30分間、この溶液中に窒素を激しくバブリングすることによって脱気した。30分脱気した後、加熱ジャケットのスイッチを入れ、そして温度制御器を70℃に設定し、そして攪拌された反応混合物をこの温度で20時間維持した。この時間の後、加熱マントルのスイッチを切り、そしてこの反応溶液を約40℃まで放冷した。次いで、この反応混合物を1.5Lのイソプロパノール中に注ぎ入れ、この際、この添加中、機械的攪拌によって攪拌した。この添加中、ポリマーが析出した。析出したポリマーを濾過して集めた。集められたポリマーを減圧炉中で40℃で乾燥した。約36グラムのポリマーが得られた。この乾燥したポリマーを300グラムのTHF中に溶解し、次いで0.2μmナイロンフィルタに通して濾過した。次いで、この濾過された溶液を、1.5Lメタノールの攪拌された溶液中で再び析出させ、析出したポリマーを集め、そして前述したように40℃で真空下に乾燥した。このようにして、26グラム(収率50%)のポリマーが乾燥後に得られた。このポリマーは、約36kのMw及び1.5の多分散性(PDI)を有していた。
スチレン及びメチルメタクリレートモノマーを、脱水剤の存在下に、キャリブレートしたアンプル中に蒸留しそしてN2下に保管した。液体を、アンプルを介してまたはステンレススチールカニューレを用いてN2下に反応器中に移した。アンプルを接続するためのサイドアーム、磁気スターラーバー、窒素/真空三方向隔膜アダプタを備えた乾燥1L容積丸底反応器中に、700mLの無水テトラヒドロフランを加えた。この反応器の温度を、ドライアイス-アセトン浴を用いて-78℃に低下した。次いで、不純物を滴定した後に、0.2mL(1.4M溶液)のsec-ブチルリチウムをこの反応器中に加えた。次いで、20g(0.192モル)のスチレンを、高速に攪拌しながらアンプルから反応器中に加えた。反応溶液は、その色が黄橙色に変化し、そして反応を30分間にわたって攪拌した。次いで、2.5mlの無水トルエン中の0.06g(0.0003モル)の1,1’-ジフェニルエチレン(DPE)を、アンプルを介して反応器中に加えた。この反応混合物の橙色は暗い赤煉瓦色に変化した。これは、スチリルリチウム活性センターが、非局在化DPE付加カルボアニオンに転化したことを示唆する。2分間の攪拌後、少量(2mL)の反応混合物を、PSブロック分子量分析のために採取した。次いで、メチルメタクリレート(9.98g、0.0998モル)をアンプルを介して加えた。この反応を30分後に1mLの脱気したメタノールを用いて停止した。10%の水を含む過剰のイソプロパノール(ポリマー溶液の5倍)中に析出させてブロックコポリマーを回収し、濾過し、そして真空下に55℃で12時間乾燥して、66モル%のポリスチレンブロック及び34モル%のポリメチルメタクリレートブロックからなる28gのP(S-b-MMA)(94%収率)を与えた。
PS-PMMA(34-17K)を、例2に記載のものと同じ手順を用いて合成した。PSブロック及びPMMAブロックの目的のMnを達成するために、sec-ブチルリチウムの1.4M溶液0.42mLを、スチレン及びMMAの量を例2の場合と同一に維持しつつ加えた。
P(S-b-MMA)(45K-b-51K)を、例2に記載のと同じ手順を用いて合成した。PS及びPMMAブロックの目的のMn及び組成を達成するために、開始剤の量及びモノマー量を変化させた。簡単に言えば、20g(0.192モル)のスチレンを、0.32mL(1.4M溶液)のsec-ブチルリチウムを用いて重合した。次いで、2.5mlの無水トルエン中の0.095g(0.0005モル)の1,1’-ジフェニルエチレン(DPE)をアンプルを介して反応器中に加えた。この反応混合物の橙色は暗い赤煉瓦色に変化した。これは、スチリルリチウム活性センターが、非局在化DPE付加カルボアニオンに転化したことを示唆する。2分間の攪拌後、少量(2mL)の反応混合物を、PSブロック分子量分析のために採取した。次いで、メチルメタクリレート(22.85g、0.23モル)をアンプルを介して加えた。この反応を30分後に1mLの脱気したメタノールを用いて停止した。10%の水を含む過剰のイソプロパノール(ポリマー溶液の5倍)中に析出させてブロックコポリマーを回収し、濾過し、そして真空下に55℃で12時間乾燥して、46.9モル%のポリスチレンブロック及び53.1モル%のポリメチルメタクリレートブロックからなる40gのP(S-b-MMA)(94%収率)を与えた。
トリブロックポリマーMMA-S-MMAは、開始剤としてナフタレンカリウムを利用して、文献(Makmrnol.Chem.191,2309-2318(1990)(非特許文献8)及びAdv.Polym.Sci.86,147(1988)(非特許文献9))に記載の手順を用いて、THF溶液として調製した。PSカルバニオンによるMMAのエステル基への攻撃を避けるために、1,1-ジフェニルエチレン(DPE)を導入して、活性部位の求核性を低下させた。二つのブロック間のコポリマー中の単一のDPEの存在は、その性質に影響を全く及ぼさない。低温下(-70℃)での良好な条件下でのMMAの重合を実施するために。この方式で調製したポリマーは、ゲル浸透クロマトグラフィGPCにより測定して、1.04の多分散性を持ってPMMA(50A)-PS(88K)-PMMA(50K)のMwを有していた。
反応は、凝縮器、窒素入口及び磁気スターラーバーを備えた250ml容積のフラスコ中で窒素下に行った。スチレン18.23グラム(0.17モル)、メチルメタクリレート7.5グラム(0.075モル)、アゾビスイソブチロニトリル(AIBN)開始剤2グラム(0.012モル、全モノマーに対して5%)、1-ブタンチオール0.7グラム(0.0075モル)、及びアニソール50グラムをこのフラスコに仕込んだ。次いで、反応液を、凍結乾燥法を用いて真空/窒素サイクルにより3回脱気し、そして最後に窒素を充填した。次いで、この反応を、オイルバッチ中で、撹拌下に85℃で15時間維持した。この時間の経過後、この反応液を約25℃まで放冷した。次いで、この反応混合物を、100mLのテトラヒドロフランで希釈し、そして添加中に機械的撹拌により攪拌した700mLのイソプロパノール中にゆっくりと注ぎ入れた。析出したポリマーを濾過して集めた。集めたポリマーを、減圧炉中で40℃で乾燥した。収率は45%であり、そしてこのコポリマーは、ポリスチレンキャリブレーション標準に対して、Mn,GPC=4,700g/モル、Mw,GPC=6,500g/モル及び1.38の多分散性インデックス(PDI)を有していた。このコポリマーはTg=86℃を有し、そして1H NMRにより、このコポリマーが、ポリスチレン及びポリメチルメタクリレートをそれぞれ63モル%及び37モル%有することが確認された。
反応は、凝縮器、窒素入口及び磁気スターラーバーを備えた250ml容積のフラスコ中で窒素下に行った。スチレン13グラム(0.12モル)、メチルメタクリレート13.7グラム(0.14モル)、アゾビスイソブチロニトリル(AIBN)開始剤2グラム(0.012モル、全モノマーに対して5%)、1-ブタンチオール0.7グラム(0.0075モル)、及びアニソール50グラムをこのフラスコに仕込んだ。次いで、反応液を、凍結乾燥法を用いて真空/窒素サイクルにより3回脱気し、そして最後に窒素を充填した。次いで、この反応を、オイルバッチ中で、撹拌下に85℃で15時間維持した。この時間の経過後、この反応液を約25℃まで放冷した。次いで、この反応混合物を、100mLのテトラヒドロフランで希釈し、そして添加中に機械的撹拌により攪拌した700mLのイソプロパノール中にゆっくりと注ぎ入れた。析出したポリマーを濾過して集めた。集めたポリマーを、減圧炉中で40℃で乾燥した。収率は45%であり、そしてこのコポリマーは、ポリスチレンキャリブレーション標準に対して、Mn,GPC=2,300g/モル、Mw,GPC=4,300g/モル及び1.82の多分散性インデックス(PDI)を有していた。このコポリマーはTg=53℃を有し、そして1H NMRにより、このコポリマーが、ポリスチレン及びポリメチルメタクリレートをそれぞれ42モル%及び58モル%有することが確認された。
合成例5に記載したものと類似の手順に従い、11,529のMn及び19,600KのMw(PDI-1.7)の高分子量も、比較の目的のために、1-ブタンチオールの不在下に製造し、これは、コポリマー中にポリスチレン及びポリメチルメタクリレートをそれぞれ45モル%及び55モル%を有し、及び108℃のTgを示した。
必要なモノマーを、脱水剤の存在下にキャリブレートしたアンプル中に蒸留しそしてN2下に保管した。液体を、アンプルを介してまたはステンレススチールカニューレを用いてN2下に反応器中に移した。アンプルを接続するためのサイドアーム、磁気スターラーバー、窒素/真空三方向隔膜アダプタを備えた乾燥1L容積丸底反応器中に、400mLの無水テトラヒドロフランを加えた。この反応器の温度を、ドライアイス-アセトン浴を用いて-78℃に低下した。次いで、不純物を滴定した後に、1.4mL(0.00189モル)のsec-ブチルリチウムをこの反応器中に加えた。次いで、スチレン(18.8g)を、高速に攪拌しながらアンプルから反応器中に加えた。反応溶液は橙色に変化し、そして反応を10分間攪拌した。次いで、無水トルエン3ml中の0.4gの1,1’-ジフェニルエチレン(DPE)をアンプルを介して反応器中に加えた。この反応混合物の橙色は暗い赤煉瓦色に変化した。これは、スチリルリチウム活性センターが、非局在化DPE付加カルボアニオンに転化したことを示唆する。2分間の攪拌後、少量(2mL)の反応混合物を、PSブロック分子量分析のために採取した。次いで、少量のトリエチルアルミニウム(トルエン中1M)の存在下に蒸留したメチルメタクリレート(MMA)19.4グラムをアンプルを介して加えた。この反応を15分後に1mLの脱気したメタノールを用いて停止した。10%の水を含む過剰のメタノール(ポリマー溶液の五倍)中に析出させてブロックコポリマーを回収し、濾過し、そして真空下に55℃で12時間乾燥して、37gのP(S-b-MMA)を得た(収率97%)。
このオリゴブロックコポリマー(S-b-MMA)(20K-23K)は、合成例7に記載したものと類似の方法で合成した。目的の分子量を達成するために、S-BuLi及びモノマーの比率を調節した。100Å、500Å、103Å、105Å及び106Åμ-ウルトラスチラゲルカラムを備えたゲル透過クロマトグラフィは、第一のPSブロックが、PSキャリブレーション標準に対してMn,PS(GPC)=20,253g/モル及びMw/Mn=1.02を有することを示した。GPCから得たジブロックコポリマー分子量はMn,P(S-b-MMA)=41,098g/モルであり、そしてMw/Mn=1.02である。NMRにより決定された体積分率はVf-PS=0.506であった。
全てのモノマーを、脱水剤の存在下に、キャリブレートしたアンプル中に蒸留しそしてN2下に保管した。液体を、アンプルを介してまたはステンレススチールカニューレを用いてN2下に反応器中に移した。アンプルを接続するためのサイドアーム、磁気スターラーバー、窒素/真空三方向隔膜アダプタを備えた乾燥1L容積丸底反応器中に、400mLの無水テトラヒドロフランを加えた。この反応器の温度を、ドライアイス-アセトン浴を用いて-78℃に低下した。次いで、不純物を滴定した後に、1.2mL(0.0016モル)のsec-ブチルリチウムをこの反応器中に加えた。次いで、スチレン(8.92g、S)とp-オクチルスチレン(3g、OS)との混合物を、高速に攪拌しながらアンプルから反応器中に加えた。この反応溶液は黄橙色に変化し、そして反応を10分間攪拌した。次いで、無水トルエン2.5ml中の0.35gの1,1’-ジフェニルエチレン(DPE)をアンプルを介して反応器中に加えた。この反応混合物の橙色は暗い赤煉瓦色に変化した。これは、スチリルリチウム活性センターが、非局在化DPE付加カルボアニオンに転化したことを示唆する。2分間の攪拌後、少量(2mL)の反応混合物を、PSブロック分子量分析のために採取した。次いで、それぞれ少量のトリエチルアルミニウム(トルエン中1M)及びCaH2の存在下に蒸留したメチルメタクリレート(4.82g、MMA)及びジ(エチレングリコール)メチルエチルメタクリレート(1.6g、DEGMEMA)の混合物をアンプルを介して加えた。この反応を15分後に1mLの脱気したメタノールを用いて停止した。10%の水を含む過剰のメタノール(ポリマー溶液の五倍)中に析出させてブロックコポリマーを回収し、濾過し、そして真空下に55℃で12時間乾燥して、ポリスチレンブロック中のOS25モル%及びポリメチルメタクリレートブロック中のDEGMEMA25モル%からなる17gのオリゴ(S-co-p-OS)-b-P(MMA-co-DEGMEMA)を得た(収率94%)。100Å、500Å、103Å、105Å及び106Åμ-ウルトラスチラゲルカラムを装備したゲル浸透クロマトグラフィは、第一のP(S-co-OS)ブロックが、PSキャリブレーション標準に対して、13,000g/モルのMn(GPC)及び1.015のMw/Mnを有することを示した。GPCから得たジブロックコポリマー分子量はMn,P(S-co-p-OS)-b-P(MMA-co-DEGMEMA)=19,500g/モルであり、そしてMw/Mn=1.04である。非極性ブロックと極性ブロックとの理論供給比は、該ジブロックコポリマーにおいてVf-P(S-co-OS)=0.70に相当する。このブロックコポリマーは、Tg=79℃を示した。
全てのモノマーを、脱水剤の存在下に、キャリブレートしたアンプル中に蒸留しそしてN2下に保管した。液体を、アンプルを介してまたはステンレススチールカニューレを用いてN2下に反応器中に移した。アンプルを接続するためのサイドアーム、磁気スターラーバー、窒素/真空三方向隔膜アダプタを備えた乾燥1L容積丸底反応器中に、400mLの無水テトラヒドロフランを加えた。この反応器の温度を、ドライアイス-アセトン浴を用いて-78℃に低下した。次いで、不純物を滴定した後に、1.0mL(0.0013モル)のsec-ブチルリチウムをこの反応器中に加えた。次いで、スチレン(10.64g、S)及びp-オクチルスチレン(1.76g、OS)の混合物を、高速に攪拌しながらアンプルから反応器中に加えた。この反応溶液は黄橙色に変化し、そして反応を10分間攪拌した。次いで、無水トルエン2.5ml中の0.32gの1,1’-ジフェニルエチレン(DPE)をアンプルを介して反応器中に加えた。この反応混合物の橙色は暗い赤煉瓦色に変化した。これは、スチリルリチウム活性センターが、非局在化DPE付加カルボアニオンに転化したことを示唆する。2分間の攪拌後、少量(2mL)の反応混合物を、PSブロック分子量分析のために採取した。次いで、それぞれ少量のトリエチルアルミニウム(トルエン中1M)及びCaH2の存在下に蒸留したメチルメタクリレート(13.75ml、12.87g、MMA)及びジ(エチレングリコール)メチルエチルメタクリレート(2g、DEGMEMA)の混合物をアンプルを介して加えた。この反応を15分後に1mLの脱気したメタノールを用いて停止した。10%の水を含む過剰のメタノール(ポリマー溶液の五倍)中に析出させてブロックコポリマーを回収し、濾過し、そして真空下に55℃で12時間乾燥して、ポリスチレンブロック中のOS15モル%及びポリメチルメタクリレートブロック中のDEGMEMA14モル%からなる17gのオリゴ(S-co-p-OS)-b-P(MMA-co-DEGMEMA)を得た(収率94%)。100Å、500Å、103Å、105Å及び106Åμ-ウルトラスチラゲルカラムを備えたゲル浸透クロマトグラフィは、第一のP(S-co-OS)ブロックが、PSキャリブレーション標準に対して、10,800g/モルのMn(GPC)及び1.14のMw/Mnを有することを示した。GPCから得たジブロックコポリマー分子量はMn,P(S-co-p-OS)-b-P(MMA-co-DEGMEMA)=30,000g/モルであり、そしてMw/Mn=1.07である。非極性ブロックと極性ブロックとの理論供給比は、該ジブロックコポリマーにおいてVf-P(S-co-OS)=0.50に相当する。このブロックコポリマーは、Tg=90℃を示した。
表1は、コンタクトホール(CH)アレイの形成に使用するための、スチレン及びメチルメタクリレートのブロックコポリマーP(S-b-MMA)の調合物に関する。調合物1~5は、それぞれ、添加剤を含まない(Form.Ex.1)、スチレン及びメチルメタクリレートのオリゴマー性ランダムコポリマーを含む(Form.Ex.2及び3)またはオリゴマー(スチレン-co-p-オクチルスチレン)-b-(メチルメタクリレート-co-ジ(エチレングリコール)メチルエーテルメタクリレート)[オリゴ(P(S-co-p-OS)-b-P(MMA-co-DEGMEMA))]を含む(Form.Ex.4及び5)。これらの調合物は、ブロックコポリマーP(S-b-MMA)(78k-39k)(合成例2)及びP(S-b-MMA)(34K-17K)(合成例3)を個別にプロピレングリコールメチルエーテルアセテート(PGMEA)中に溶解して、2.0重量%の溶液とすることによって調製した。次いで、これらの溶液を組み合わせ、そしてPGMEAを用いて1.5重量%に希釈した。添加剤を含まない調合物例1では、溶液を次いでPTFEメンブランを用いて濾過した。調合物2~5では、添加剤としてのオリゴ(S-co-MMA)(Form.Ex.2及び3)またはオリゴ(S-co-p-OS)-b-P(MMA-co-DEGMEMA)(Form.Ex.4及び5)を、PTFEメンブランで濾過する前に、表1に示すように加えた。
表2は、コンタクトホール(CH)自己集合の形成に使用するための、スチレン及びメチルメタクリレートのブロックコポリマーP(S-b-MMA)の調合物に関する。調合物6~9は、それぞれ、添加剤を含まない(Form.Ex.6)、または添加剤としてのオリゴ(S-co-MMA)を含む(Form.Ex.7、8及び9)、または比較用調合物例1~3では、スチレン及びメチルメタクリレートのランダム高分子量コポリマーP(MMA-co-S)を含む[Comp.Form.Ex.1、2及び3]。これらの調合物は、スチレン及びメチルメタクリレートのブロックコポリマーP(S-b-MMA)(42K-47K)(合成例4)をPGMEA中に溶解して2.0重量%溶液とすることによって調製した。次いで、この溶液を組み合わせ、そしてPGMEAを用いて1.5重量%に希釈した。添加剤を含まない調合物例6では、溶液を次いでPTFEメンブランを用いて濾過した。調合物例7~9(Form.Ex.7~9)では、添加剤としてオリゴP(S-co-MMA)(合成例9)を、または比較例1~3(Comp.Ex.1~9)では、スチレン及びメチルメタクリレートの高分子量ランダムコポリマーP(S-co-MMA)(比較合成例1)(Comp.Synth.Ex.1)を、PTFEメンブランで濾過する前に、表2に記載のようにそれぞれ加えた。
表3は、コンタクトホールライン・アンド・スペース(L/S)アレイの形成に使用するための、スチレン及びメチルメタクリレートのブロックコポリマーP(S-b-MMA)の調合物に関する。これらの調合物は、スチレン及びメチルメタクリレートのブロックコポリマーP(S-b-MMA)(42K-47K)(合成例4)をPGMEA中に溶解して2.0重量%溶液とすることによって調製した。次いで、これらの溶液を組み合わせ、そしてPGMEAを用いて1.5重量%に希釈した。添加剤を含まない調合物例6では、溶液を次いでPTFEメンブランを用いて濾過した。調合物例10~12(Form.Ex.10~12)では、添加剤としてオリゴ(S-co-p-OS)-b-P(MMA-co-DEGMEMA)を、調合物例13~14では、スチレン及びメチルメタクリレートのオリゴマー性ブロックコポリマー(オリゴ(S-b-MMA))を、PTFEメンブランで濾過する前に、表3に記載のようにそれぞれ加えた。
原溶液の調製
ABA型トリブロックコポリマーの第一の原溶液(3.2重量%)を、0.6gの合成例4aを18gのPGMEA中に溶解し、そしてこの溶液を濾過することによって調製した。
前記の第一の原溶液は比較例4として使用した。すなわち、トリブロックコポリマーのみの溶液を、オリゴマー性添加剤成分を添加していないこのトリブロックコポリマーの自己集合の間に観察された欠陥レベルを確立するために使用した。
この調合物は、合成例4aを含む前記第一の原溶液4.6gを、前記第二の原溶液0.92gと組み合わせることによって調製した。この溶液を、トリブロックコポリマーの自己集合中に観察される欠陥レベルに対する、成分タイプ2-b)のオリゴマー性ブロックコポリマー(合成例9)の影響を示すために使用した。
この調合物は、合成例4aを含む前記第一の原溶液5.4gを、前記第二の原溶液1.08gと組み合わせることによって調製した。この溶液を、トリブロックコポリマーの自己集合中に観察される欠陥レベルに対する、成分タイプ3-b)のオリゴマー性ブロックコポリマー(合成例4a)の影響を示すために使用した。
これらの調合物は、コーティングの前に、0.2μmテフロンフィルターに通して濾過した。コーティングは、中性層(以下参照)を予めコーティングした8インチケイ素ウェハ上にTEL ACT8トラックを用いて行い、次いで110℃で1分間ソフトベークし、そして250℃で1時間ハードベークした。
全てのブロックコポリマー調合物を試験するにあたっては、ケイ素ウェハを、先ず、中性層調合物として「中性層調合物1」でコーティングした。この中性層調合物は、合成例1のポリマーをPGMEA中に溶解して中性層調合物とすることによって調製したものであり、これを、以下のように、オーバーコートしたウェハをコーティングするために使用した。中性層は、中性調合物例1(74%PS)をケイ素ウェハ上にキャストし、そしてこれを240℃/5分間でベークし、その後、PGMEAで30秒間洗浄し、そして110℃で1分間ベークすることによって形成した。
他に記載がなければ、ここに記載の自己集合用調合物は、中性層の上面に1500rpmでスピンコートして、約50nmの厚さを有する膜を形成し、次いで、窒素下に250℃で5分間ベークして、自己集合させた。自己集合の後に、次いでこれらの膜を、特定の図面及び表に示すように0秒間から70秒間の間の時間で酸素プラズマを用いてエッチングした。この酸素エッチングは、ノードソン・マーチ社のエッチング装置を用いて、RF電力=50(W)、ベース圧=50(mTorr)、プロセス圧=90(mTorr)、O2=15(sccm)で行った。
CH用調合物の結果
表1中の例に示すようにオリゴマー添加剤を30重量%まで含むP(S-b-MMA)ポリマーブレンドの調合物は、これらの添加剤を含まない参照用サンプルと比較して、3回までの酸素プラズマエッチングの後に観察される欠陥が減少した。
図4は、オリゴ(S-co-p-OS)-b-P(MMA-co-DEGMEMA)は用いずに、またはこの添加剤[Synth.Ex.9]を10重量%、20重量%もしくは30重量%用いて処方したブロックコポリマーP(S-b-MMA)(45.4k-b-51K)を中性層上にキャストした時の、自己集合膜のトップダウンSEM L/S検証を示す。これらの調合物は、それぞれ表3中の調合物6、7、8及び9である。これらの自己集合膜を30秒間、50秒間または70秒間、酸素プラズマでエッチングした後、添加剤を用いていないサンプルは多数の欠陥を示し、他方で、これとは対照的に、この添加剤を10重量%または20重量%用いたサンプルは、70秒間エッチングした後にも、殆ど欠点を示さなかった。
1. 次の成分a)、b)及びc)を含む組成物:
a)は、一種のブロックコポリマー成分、または少なくとも二種のブロックコポリマーのブレンドであり、
b)は、
オリゴランダムコポリマーb-1)、
オリゴジブロックコポリマーb-2)、
オリゴジブロックコポリマーb-3)、及び
これらの混合物、
からなる群から選択される低Tg添加剤であり、但し、
b-1)は、構造(Ib)及び構造(IIb)を有する二つの繰り返し単位のオリゴランダムコポリマーであり、式中、R 1b 及びR 3b は、独立して、HまたはC1~C4アルキルから選択され、R 2b はHまたはC1~C8アルキルであり、R 4b はC1~C8アルキルであり、そして
構造(Ib)及び(IIb)の繰り返し単位の全モル数を基準としたモル%値は、構造(Ib)の繰り返し単位では約40モル%~約80モル%であり、構造(IIb)の繰り返し単位では約20モル%~約60モル%であり、及び
構造(Ib)及び(IIb)の繰り返し単位のモル%の個々の値は、構造(Ib)及び(IIb)の繰り返し単位の全モル数が合計して100モル%となるようにそれらの各々の範囲から選択され;及び更に、
前記オリゴランダムコポリマーb-1)は、約0℃~約80℃のTgを有し、及び
約1000g/モル~約8,000g/モルのMnを有し、及び
約1.3~約1.8の多分散性を有し、
ブロックA-b)は、構造(III)及び(IV)を有する繰り返し単位のランダムコポリマーであり、そしてブロックB-b)は、構造(V)及び(VI)を有する繰り返し単位のランダムコポリマーであり、及び
R 5 、R 7 、R 9 、及びR 11 は、独立して、HまたはC1~C4アルキルから選択され、R 6 はC7~C10直鎖アルキルであり、R 8 はC1~C4アルキルであり、R 10 はC1~C4アルキルであり、R 12 及びR 13 は、個別に、C2~C5アルキレンから選択され、そしてR 14 はC1~C4アルキルであり、及び前記オリゴジブロックコポリマーb-2)は、約0℃~約95℃の値を有するTgを有し、
前記オリゴジブロックコポリマーb-2)は、約1000g/モル~約30,000g/モルのMn、約1.0~約1.1の多分散性、及び約0℃~約115℃のTgを有し、
2. 前記成分a)が、単一のトリブロックコポリマー及び少なくとも二種のトリブロックコポリマーのブレンド、または単一のジブロックコポリマー及び少なくとも二種のジブロックコポリマーのブレンドのいずれかから選択される、前記1.に記載の組成物。
3. 前記成分a)が、ABA型トリブロックコポリマーa-1t)、ABA型トリブロックコポリマーa-2t)、及びABA型トリブロックポリマーa-1t)とABA型トリブロックコポリマーa-2t)とのブレンドからなる群から選択されるABA型トリブロックコポリマー成分であり、但し、
a-1t)は、スチレン系構造(I)を有する繰り返し単位の中間B)スチレン系ブロックセグメントと、構造(II)を有する等しい長さの二つの末端アクリル系ブロックA)セグメントとを含むABA型トリブロックコポリマーであり、式中、R 1 及びR 3 は、独立して、H及びC1~C4アルキルから選択され、R 2 はHまたはC1~C8アルキルであり、R 4 はC1~C8アルキルであり、及び
構造(I)及び(II)の繰り返し単位の全モル数を基準としたモル%値は、構造(I)の繰り返し単位では約40モル%~約80モル%であり、構造(II)の繰り返し単位では約20モル%~約60モル%であり、及び
構造(I)及び(II)の繰り返し単位のモル%の個々の値は、構造(I)及び(II)の繰り返し単位の全モル数が合計して100モル%となるようにそれらの各々の範囲から選択され;及び
前記トリブロックコポリマーa-1t)は、約1.0~約1.1の多分散性を有し、及び約70,000g/モル~約350,000g/モルのMnを有し、
構造(Ia)及び(IIa)の繰り返し単位の全モル数を基準としたモル%値は、構造(Ia)の繰り返し単位では約40モル%~約80モル%であり、構造(IIa)の繰り返し単位では約20モル%~約60モル%であり、及び
構造(Ia)及び(IIa)の繰り返し単位のモル%の個々の値は、構造(Ia)及び(IIa)の繰り返し単位の全モル数が合計して100モル%となるようにそれらの各々の範囲から選択され;及び、
前記トリブロックコポリマーa-2t)は、約1.0~約1.1の多分散性を有し、
約70,000g/モル~約350,000g/モルのMnを有する、
4. R 1 、R 1a 、R 2 及びR 2a がHであり、及びR 3、 R 3a、 R 4 、及びR 4a がメチルである、前記3.に記載の組成物。
5. 成分a)が、構造(ABA-1)のトリブロックコポリマー、構造(ABA-2)のトリブロックコポリマー、及びこれらの二種のブロックコポリマーの混合物から選択されるトリブロックコポリマーであり、式中、mt、mta、nt及びntaは繰り返し単位の数であり、R 1s 、R 1sa 、R 2s 、及びR 2sa は、独立して、水素、C1~C8アルキル、-N(R 3s ) 2 、-OR 4s 、及びSi(R 5s ) 3 から選択され、ここでR 3s 、R 4s 及びR 5s は独立してC1~C4アルキルから選択される、前記1.~4.のいずれか一つに記載の組成物。
7. a)が、ジブロックコポリマーa-1)、ジブロックコポリマーa-2)、及びa-1)とa-2)とのブレンドからなる群から選択されるジブロックコポリマー成分であり、但し
a-1)は、スチレン系構造(I)を有するスチレン系繰り返し単位を含むブロックA)及びアクリル系構造(II)を有するブロックB)のジブロックコポリマーであり、但し、R 1 及びR 3 は、独立して、H及びC1~C4アルキルから選択され、R 2 はHまたはC1~C8アルキルであり、R 4 はC1~C8アルキルであり、及び
構造(I)及び(II)の繰り返し単位の全モル数を基準としたモル%値は、構造(I)の繰り返し単位では約40モル%~約80モル%であり、構造(II)の繰り返し単位では約20モル%~約60モル%であり、
構造(I)及び(II)の繰り返し単位のモル%の個々の値は、構造(I)及び(II)の繰り返し単位の全モル数が合計して100モル%となるようにそれらの各々の範囲から選択され;及び
前記ジブロックコポリマーa-1)は、約1.0~約1.1の多分散性、及び約50,000g/モル~約150,000g/モルのMnを有し、
構造(Ia)及び(IIa)の繰り返し単位の全モル数を基準としたモル%値は、構造(Ia)の繰り返し単位では約40モル%~約80モル%であり、構造(IIa)の繰り返し単位では約20モル%~約60モル%であり、及び
構造(Ia)及び(IIa)の繰り返し単位のモル%の個々の値は、構造(Ia)及び(IIa)の繰り返し単位の全モル数が合計して100モル%となるようにそれらの各々の範囲から選択され;及び、
前記ジブロックコポリマーa-2)は、約1.0~約1.1の多分散性、及び約30,000g/モル~約90,000g/モルのMnを有する、
8. 成分a)が、R 1 、R 1a 、R 2 及びR 2a がHであり及びR 3、 R 3a、 R 4 、及びR 4a がメチルであるものである、前記6.に記載の組成物。
9. ジブロックコポリマーa-1)及びa-2)が、それぞれ、構造(I-S)及び構造(I-S-a)を有し、但し、R 1s 、R 1sa 、R 2s 、及びR 2sa は、独立して、水素、C1~C8アルキル、-N(R 3s ) 2 、-OR 4s 、及びSi(R 5s ) 3 から選択され、ここでR 3s 、R 4s 及びR 5s は、独立して、C1~C4アルキルから選択される、前記7.または8.に記載の組成物。
11. 前記オリゴジブロックコポリマー成分b-2)及びb-3)が、それぞれ構造(I-S-b)及び構造(I-S-c)に示されるようにブロックA-b)とブロックB-b)との間にまたはブロックA-c)とブロックB-c)との間にそれぞれスペーサ部分を有し、但し、R 1sb 、R 1sc 、R 2sb 、及びR 2sc は、独立して、水素、C1~C8アルキル、-N(R 3s ) 2 、-OR 4s 、Si(R 5s ) 3 から選択され、ここでR 3s 、R 4s 及びR 5s は、独立して、C1~C4アルキルから選択される、前記1.及び2.及び7.~10.のいずれか一つに記載の組成物。
13. 成分a)について、前記ジブロックコポリマー成分a-1)が、約1.00~約1.03の多分散性を有する、前記1.及び2.及び7.~12.のいずれか一つに記載の組成物。
14. 成分a)について、前記ジブロックコポリマー成分a-1)が、約93,000g/モル~約105,300g/モルのMnを有する、前記1.及び2.及び7.~13.のいずれか一つに記載の組成物。
15. 成分a)の前記ジブロックコポリマー成分a-1)について、構造(I)の繰り返し単位のモル%値が、約40モル%~約60モル%であり、構造(II)の繰り返し単位のモル%値が約40モル%~約60モル%である、前記1.及び2.及び7.~14.のいずれか一つに記載の組成物。
16. 成分a)の前記ジブロックコポリマー成分a-1)について、構造(I)の繰り返し単位のモル%値が、約60モル%~約75モル%であり、構造(II)の繰り返し単位のモル%値が約25モル%~約40モル%である、前記1.及び2.及び7.~14.のいずれか一つに記載の組成物。
17. 成分a)について、前記ジブロックコポリマー成分a-2)が、約1.00~約1.03の多分散性を有する、前記1.及び2.及び8.~16.のいずれか一つに記載の組成物。
18. 成分a)について、前記ジブロックコポリマー成分a-2)が、約40,800g/モル~約61,200g/モルのMnを有する、前記1.及び2.及び8.~17.のいずれか一つに記載の組成物。
19. 成分a)について、単一のブロックコポリマーa-1)もしくはa-2)のいずれかでまたはa-1)とa-2)とのブレンドにおいて、構造(I)及び(Ia)の繰り返し単位の全モル%値が約40モル%~約60モル%であり、及び構造(II)及び(IIa)の繰り返し単位の全モル%値が約40モル%~約60モル%である、前記1.及び2.及び8.~18.のいずれか一つに記載の組成物。
20. 成分a)について、単一のブロックコポリマーa-1)もしくはa-2)のいずれでもまたはa-1)とa-2)とのブレンドにおいて、構造(I)及び(Ia)の繰り返し単位の全モル%値が約60モル%~約75モル%であり、及び構造(II)及び(IIa)の繰り返し単位の全モル%値が約25モル%~約40モル%である、前記1.及び2.及び8.~18.のいずれか一つに記載の組成物。
21. 成分a)が、a-1)とa-2)とのブレンドである、前記1.及び2.及び8.~20.のいずれか一つに記載の組成物。
22. 成分a)が、a-1)またはa-2)のいずれかである、前記1.及び2.及び8.~20.のいずれか一つに記載の組成物。
23. 成分a)が、全組成物の約0.5重量%~約2.0重量%である、前記1.~22.のいずれか一つに記載の組成物。
24. 成分b)としてのオリゴランダムコポリマーb-1)が、R 1b 及びR 2b がHであり、及びR 3b 及びR 4b がメチルであるものである、前記1.~23.のいずれか一つに記載の組成物。
25. 成分b)について、前記オリゴランダムコポリマーb-1)が、約1.3~約1.5の多分散性を有する、前記1.~24.のいずれか一つに記載の組成物。
26. 成分b)について、前記オリゴランダムコポリマーb-1)が、約1000g/モル~約5000g/モルのMnを有する、前記1.~25.のいずれか一つに記載の組成物。
27. 成分b)について、前記オリゴランダムコポリマーb-1)が、約50℃~約90℃のTgを有する、前記1.~26.のいずれか一つに記載の組成物。
28. 成分b)がオリゴランダムコポリマーb-1)である、前記1.~27.のいずれか一つに記載の組成物。
29. 成分b)のオリゴジブロックコポリマーb-2)について、これが、R 5 、R 7 及びR 8 がHであり、R 6 がn-オクチルまたはn-ノニルであり、R 9 及びR 11 がメチルであり、R 10 がメチルまたはエチルであり、R 12 及びR 13 が独立してエチレンまたはプロピレンであり、及びR 14 がメチルまたはエチルであるものである、前記1.~27.のいずれか一つに記載の組成物。
30. 成分b)のオリゴジブロックコポリマーb-2)について、これが、R 6 がn-オクチルであり、R 10 がメチルであり、R 12 及びR 13 がエチレンであり、及びR 14 がメチルであるものである、前記1.~27.及び29.のいずれか一つに記載の組成物。
31. 成分b)のオリゴジブロックコポリマーb-2)について、これが、
構造(IV)の繰り返し単位の前記モル%が約25モル%~約50モル%であり、及び
構造(V)の繰り返し単位の前記モル%が約40モル%~約60モル%である、
ものである、前記1.~27.及び29.及び30.のいずれか一つに記載の組成物。
32. 成分b)のオリゴジブロックコポリマーb-2)について、これが、
構造(III)の繰り返し単位の前記モル%が、構造(IV)の繰り返し単位のモル%の約20%~約30%であり、及び
構造(VI)の繰り返し単位についてのそのモル%が、構造(V)の繰り返し単位のモル%の約12%~約20%である、
ものである、前記1.~27.及び29.~31.のいずれか一つに記載の組成物。
33. 成分b)について、前記オリゴジブロックコポリマーb-2)が、約1.03~約1.08の多分散性を有する、前記1.~27.及び29.~32.のいずれか一つに記載の組成物。
34. 成分b)について、前記オリゴジブロックコポリマーb-2)が、約15000g/モル~約32000g/モルのMnを有する、前記1.~27.及び29.~33.のいずれか一つに記載の組成物。
35. 成分b)について、前記オリゴジブロックコポリマーb-2)が、約50℃~約90℃のTgを有する、前記1.~27.及び29.~34.のいずれか一つに記載の組成物。
36. 成分b)がオリゴジブロックコポリマーb-2)である、前記1.~27.及び29.~35.のいずれか一つに記載の組成物。
37. 成分b)において、前記オリゴジブロックコポリマーb-3)が、R 1c 及びR 2c がHであり、及びR 3c 及びR 4c がメチルである、前記1.~27.、29.~35.のいずれか一つに記載の組成物。
38. 成分b)について、前記オリゴジブロックコポリマーb-3)が、約15,000~約30,000g/モルのMnを有する、前記1.~27.及び29.~35.及び37.のいずれか一つに記載の組成物。
39. 成分b)について、前記オリゴジブロックコポリマーb-3)が、約1.02~約1.08の多分散性を有する、前記1.~27.及び29.~35.及び37.及び38.のいずれか一つに記載の組成物。
40. 成分b)がオリゴジブロックコポリマーb-3)であり、そしてこれが、
構造(Ic)の繰り返し単位の前記モル%が約40モル%~約70モル%であり、及び構造(IIc)の繰り返し単位の前記モル%が約40モル%~約70モル%であるものである、前記1.~26.及び29.~35.及び37.~41.のいずれか一つ記載の組成物。
41. 成分b)について、前記オリゴジブロックコポリマーb-3)が、約50℃~約90℃のTgを有する、前記1.~26.及び29.~35.及び37.~39.のいずれか一つに記載の組成物。
42. 成分b)がオリゴジブロックコポリマーb-3)である、前記1.~26.及び28.~35.及び37.~40.のいずれか一つに記載の組成物。
43. 成分a)が、ジブロックコポリマーa-1)、ジブロックコポリマーa-2)及びa-1)とa-2)とのブレンドからなる群から選択されるジブロックコポリマー成分であり、構造(I)及び(Ia)のスチレン系繰り返し単位の全モル%が約60モル%~約75モル%であり、構造(II)及び(IIa)のアクリル系繰り返し単位の全モル%が約40モル%~約60モル%であり、及び成分b)がコポリマーb-1)、オリゴジブロックコポリマーb-2)またはコポリマーb-3)である、前記1.、7.~26.及び29.~35.及び37.~42.のいずれか一つに記載の組成物。
44. 成分a)が、ジブロックコポリマーa-1)、ジブロックコポリマーa-2)、及びa-1)とa-2)とのブレンドからなる群から選択されるジブロックコポリマー成分であり、構造(I)及び(Ia)のスチレン系繰り返し単位の全モル%が約60モル%~約75モル%であり、更に、構造(II)及び(IIa)のアクリル系繰り返し単位の全モル%が約25モル%~約40モル%であり、及び成分b)がオリゴランダムコポリマーb-1)、オリゴジブロックコポリマーb-2)、またはオリゴジブロックコポリマーb-3)である、前記1.、7.~26.及び29.~35.及び37.~43.のいずれか一つに記載の組成物。
45. 成分a)が、トリブロックコポリマー成分a-1t)、トリブロックコポリマーa-2t)、及びa-1t)とa-2t)とのブレンドからなる群から選択され、構造(I)及び(Ia)のスチレン系繰り返し単位の全モル%が約60モル%~約75モル%であり、及び構造(II)及び(IIa)のアクリル系繰り返し単位の全モル%が約40モル%~約60モル%であり、及び成分b)がコポリマーb-2またはオリゴジブロックコポリマーb-3)である、前記1.~6.及び23.~42.のいずれか一つに記載の組成物。
46. 成分a)が、トリブロックコポリマー成分a-1t)、トリブロックコポリマーa-2t)、及びa-1t)とa-2t)とのブレンドからなる群から選択され、構造(I)及び(Ia)のスチレン系繰り返し単位の全モル%が約60モル%~約75モル%であり、更に構造(II)及び(IIa)のアクリル系繰り返し単位の全モル%が約25モル%~約40モル%であり、及び成分b)がオリゴジブロックコポリマーb-2)またはオリゴジブロックコポリマーb-3)である、前記1.~6.及び23.~42.のいずれか一つに記載の組成物。
47. 次のステップ:
i)基材上に中性層のコーティングを形成するステップ、
ii)前記1.~44.のいずれか一つに記載の組成物を前記中性層上にコーティングして、膜を形成するステップ、
ii)前記膜を、不活性ガス雰囲気中で、約240℃~約260℃から選択される温度でベークして、自己集合膜を形成するステップ、及び
iii)前記基材をプラズマでエッチングして、前記自己集合膜を基材中にパターン転写するステップ、
を含む方法。
48. ライン・アンド・スペースアレイを形成するための方法であって:
ia)基材上に中性層のコーティングを形成するステップ、
iia)前記43.に記載の組成物を前記中性層上にコーティングして、膜を形成するステップ、
iiia)前記膜を、不活性ガス雰囲気中で、約240℃~約260℃から選択される温度でベークして、自己集合膜を形成するステップ、及び
iva)前記基材をプラズマでエッチングして、前記自己集合膜を基材中にパターン転写するステップ、
を含む、前記方法。
49. コンタクトホールアレイを形成する方法であって:
ib)基材上に中性層のコーティングを形成するステップ、
iib)前記44.に記載の組成物を前記中性層上にコーティングして、膜を形成するステップ、
iiib)前記膜を、不活性ガス雰囲気中で、約240℃~約260℃から選択される温度でベークして、自己集合膜を形成するステップ、及び
ivb)前記基材をプラズマでエッチングして、前記自己集合膜を基材中にパターン転写するステップ、
を含む、前記方法。
50. ライン・アンド・スペースアレイを形成するための方法であって:
ic)基材上に中性層のコーティングを形成するステップ、
iiic)前記45.に記載の組成物を前記中性層上にコーティングして、膜を形成するステップ、
ivc)前記膜を、不活性ガス雰囲気中で、約240℃~約260℃から選択される温度でベークして、自己集合膜を形成するステップ、及び
vc)前記基材をプラズマでエッチングして、前記自己集合膜を基材中にパターン転写するステップ、
を含む、前記方法。
51. コンタクトホールアレイを形成する方法であって:
id)基材上に中性層のコーティングを形成するステップ、
iiid)前記46.に記載の組成物を前記中性層上にコーティングして、膜を形成するステップ、
ivd)前記膜を、不活性ガス雰囲気中で、約240℃~約260℃から選択される温度でベークして、自己集合膜を形成するステップ、及び
vd)前記基材をプラズマでエッチングして、前記自己集合膜を基材中にパターン転写するステップ、
を含む、前記方法。
52. 約1,000~35,000g/モルのMn及び1.0~約1.1の多分散性を有する、ブロックA-b)及びブロックB-b)を含むオリゴジブロックコポリマーであって、但し、
ブロックA-b)は、構造(III)及び(IV)を有する繰り返し単位のランダムコポリマーであり、及び
ブロックB-b)は、構造(V)及び(VI)を有する繰り返し単位のランダムコポリマーであり、及び
R 5 、R 7 、R 9 、及びR 11 は、独立して、HまたはC1~C4アルキルから選択され、R 6 はC7~C10直鎖アルキルであり、R 8 はC1~C4アルキルであり、R 10 はC1~C4アルキルであり、R 12 及びR 13 は、独立して、C2~C5アルキレンから選択され、及びR 14 はC1~C4アルキルであり、及び
前記オリゴジブロックコポリマーは、約0℃~約95℃の値を有するTgを有する、
前記オリゴジブロックコポリマー。
55. R 5 、R 7 及びR 8 がHであり、R 6 がC8~C9直鎖アルキルであり、R 9 及びR 11 がメチルであり、R 10 がメチルまたはエチルであり、R 12 及びR 13 が独立してエチレンまたはプロピレンであり、及びR 14 がメチルまたはエチルである、前記52.~54.のいずれか一つに記載のオリゴジブロックコポリマー。
56. R 6 がn-オクチルであり、R 10 がメチルであり、R 12 及びR 13 がエチレンであり、及びR 14 がメチルであるものである、前記52.~55.のいずれか一つに記載のオリゴジブロックコポリマー。
57. 構造(III)、(IV)、(V)及び(VI)を有する繰り返し単位の全モル数を基準にして繰り返し単位(III)及び(IV)のモル%の合計のモル%が約40モル%~約80モル%であり、及び繰り返し単位(V)及び(VI)のモル%の合計のモル%が約20モル%~約60モル%の範囲であり、更にここで、繰り返し単位(III)のモル%が約2モル%~約80モル%の範囲であり、そして繰り返し単位(VI)のモル%が約1モル%~約80モル%の範囲であり、及び更に、構造(III)、(IV)、(V)及び(VI)の繰り返し単位のモル%の個々の値が、構造(III)、(IV)、(V)及び(VI)の繰り返し単位の全モル数が合計して100モル%になるようにそれらの各々の範囲から選択される、前記52.~56.のいずれか一つに記載のオリゴジブロックコポリマー。
58. 繰り返し単位(III)のモル%が約2モル%~約64モル%である、前記52.~57.のいずれか一つに記載のオリゴジブロックコポリマー。
59. (VI)のモル%が約2モル%~約48モル%の範囲である、前記52.~58.のいずれか一つに記載のオリゴジブロックコポリマー。
60. 前記52.~59.のいずれか一つに記載のオリゴジブロックコポリマーであって、
構造(IV)の繰り返し単位の前記モル%が約25モル%~約50モル%であり、及び
構造(V)の繰り返し単位の前記モル%が約40モル%~約60モル%であるものである、
前記オリゴジブロックコポリマー。
61. 約1.03~約1.08の多分散性を有する、前記53.~60.のいずれか一つに記載のオリゴジブロックコポリマー。
62. 約15,000g/モル~約32,000g/モルのMnを有する、前記53.~61.のいずれか一つに記載のオリゴジブロックコポリマー。
63. 約50℃~約90℃のTgを有する、前記53.~62.のいずれか一つに記載のオリゴジブロックコポリマー。
64. 自己集合膜を基材上に調製するための、前記1.~46.のいずれか一つに記載の組成物または前記52.~63.のいずれか一つに記載のオリゴジブロックコポリマーの使用。
Claims (30)
- 次の成分a)、b)及びc)を含む組成物:
a)は、一種のブロックコポリマー成分、または少なくとも二種のブロックコポリマーのブレンドであり、
前記成分a)は、ABA型トリブロックコポリマーa-1t)、ABA型トリブロックコポリマーa-2t)、及びABA型トリブロックコポリマーa-1t)とABA型トリブロックコポリマーa-2t)とのブレンドからなる群から選択されるABA型トリブロックコポリマー成分であり、但し、
a-1t)は、スチレン系構造(I)を有する繰り返し単位の中間B)スチレン系ブロックセグメントと、構造(II)を有する等しい長さの二つの末端アクリル系ブロックA)セグメントとを含むABA型トリブロックコポリマーであり、式中、R 1 及びR 3 は、独立して、H及びC1~C4アルキルから選択され、R 2 はHまたはC1~C8アルキルであり、R 4 はC1~C8アルキルであり、及び
構造(I)及び(II)の繰り返し単位の全モル数を基準としたモル%値は、構造(I)の繰り返し単位では40モル%~80モル%であり、構造(II)の繰り返し単位では20モル%~60モル%であり、及び
構造(I)及び(II)の繰り返し単位のモル%の個々の値は、構造(I)及び(II)の繰り返し単位の全モル数が合計して100モル%となるようにそれらの各々の範囲から選択され;及び
前記トリブロックコポリマーa-1t)は、1.0~1.1の多分散性を有し、及び70,000g/モル~350,000g/モルのMnを有し、
a-2t)は、スチレン系構造(Ia)を有する繰り返し単位の中間B)ブロックセグメントと、アクリル系構造(IIa)を有する等しい長さの二つの末端ブロックA)セグメントとを含むABA型トリブロックコポリマーであり、式中、R 1a 及びR 3a は、独立して、H及びC1~C4アルキルから選択され、R 2a はHまたはC1~C8アルキルであり、R 4a はC1~C8アルキルであり、
構造(Ia)及び(IIa)の繰り返し単位の全モル数を基準としたモル%値は、構造(Ia)の繰り返し単位では40モル%~80モル%であり、構造(IIa)の繰り返し単位では20モル%~60モル%であり、及び
構造(Ia)及び(IIa)の繰り返し単位のモル%の個々の値は、構造(Ia)及び(IIa)の繰り返し単位の全モル数が合計して100モル%となるようにそれらの各々の範囲から選択され;及び、
前記トリブロックコポリマーa-2t)は、1.0~1.1の多分散性を有し、及び70,000g/モル~350,000g/モルのMnを有する、
あるいは、
前記成分a)は、ジブロックコポリマーa-1)、ジブロックコポリマーa-2)、及びa-1)とa-2)とのブレンドからなる群から選択されるジブロックコポリマー成分であり、但し
a-1)は、スチレン系構造(I)を有するスチレン系繰り返し単位を含むブロックA)及びアクリル系構造(II)を有する繰り返し単位を含むブロックB)のジブロックコポリマーであり、但し、R 1 及びR 3 は、独立して、H及びC1~C4アルキルから選択され、R 2 はHまたはC1~C8アルキルであり、R 4 はC1~C8アルキルであり、及び構造(I)及び(II)の繰り返し単位の全モル数を基準としたモル%値は、構造(I)の繰り返し単位では40モル%~80モル%であり、構造(II)の繰り返し単位では20モル%~60モル%であり、
構造(I)及び(II)の繰り返し単位のモル%の個々の値は、構造(I)及び(II)の繰り返し単位の全モル数が合計して100モル%となるようにそれらの各々の範囲から選択され;及び
前記ジブロックコポリマーa-1)は、1.0~1.1の多分散性を有し、及び93,000g/モル~150,000g/モルのMnを有し、
a-2)は、スチレン系構造(Ia)を有する繰り返し単位を含むブロックA-a)及びアクリル系構造(IIa)を有する繰り返し単位を含むブロックB-a)のジブロックコポリマーであり、但し、R 1a 及びR 3a は、独立して、HまたはC1~C4アルキルから選択され、R 2a はHまたはC1~C8アルキルであり、C 4a はC1~C8アルキルであり、そして
構造(Ia)及び(IIa)の繰り返し単位の全モル数を基準としたモル%値は、構造(Ia)の繰り返し単位では40モル%~80モル%であり、構造(IIa)の繰り返し単位では20モル%~60モル%であり、及び
構造(Ia)及び(IIa)の繰り返し単位のモル%の個々の値は、構造(Ia)及び(IIa)の繰り返し単位の全モル数が合計して100モル%となるようにそれらの各々の範囲から選択され;及び、
前記ジブロックコポリマーa-2)は、1.0~1.1の多分散性を有し、及び30,000g/モル~90,000g/モルのMnを有する;
b)は、
オリゴランダムコポリマーb-1)、
オリゴジブロックコポリマーb-2)、
オリゴジブロックコポリマーb-3)、及び
これらの混合物、
からなる群から選択される低Tg添加剤であり、但し、
b-1)は、構造(Ib)及び構造(IIb)を有する二つの繰り返し単位のオリゴランダムコポリマーであり、式中、R1b及びR3bは、独立して、HまたはC1~C4アルキルから選択され、R2bはHまたはC1~C8アルキルであり、R4bはC1~C8アルキルであり、そして
構造(Ib)及び(IIb)の繰り返し単位の全モル数を基準としたモル%値は、構造(Ib)の繰り返し単位では40モル%~80モル%であり、構造(IIb)の繰り返し単位では20モル%~60モル%であり、及び
構造(Ib)及び(IIb)の繰り返し単位のモル%の個々の値は、構造(Ib)及び(IIb)の繰り返し単位の全モル数が合計して100モル%となるようにそれらの各々の範囲から選択され;及び更に、
前記オリゴランダムコポリマーb-1)は、0℃~90℃のTgを有し、及び
1000g/モル~5,000g/モルのMnを有し、及び
1.3~1.8の多分散性を有し、
b-2)は、1,000~35,000のMn及び1.0~1.1の多分散性を有する、ブロックA-b)及びブロックB-b)のオリゴジブロックコポリマーであり、但し、
ブロックA-b)は、構造(III)及び(IV)を有する繰り返し単位のランダムコポリマーであり、そしてブロックB-b)は、構造(V)及び(VI)を有する繰り返し単位のランダムコポリマーであり、及び
R5、R7、R9、及びR11は、独立して、HまたはC1~C4アルキルから選択され、R6はC7~C10直鎖アルキルであり、R8はHまたはC1~C4アルキルであり、R10はC1~C4アルキルであり、R12及びR13は、個別に、C2~C5アルキレンから選択され、そしてR14はC1~C4アルキルであり、及び前記オリゴジブロックコポリマーb-2)は、0℃~95℃の値を有するTgを有し、
b-3)は、構造(Ic)を有する繰り返し単位を含むブロックA-c)及び構造(IIc)を有する繰り返し単位を含むブロックB-c)のオリゴジブロックコポリマーであり、但し、R1c及びR3cは、独立して、HまたはC1~C4アルキルから選択され、R2cはHまたはC1~C8アルキルであり、R4cはC1~C8アルキルであり、そして構造(Ic)及び(IIc)の繰り返し単位の全モル数を基準としたモル%値は、構造(Ic)の繰り返し単位では36モル%~74モル%であり、構造(IIc)の繰り返し単位では26モル%~64モル%であり、そして構造(Ic)及び(IIc)の繰り返し単位のモル%の個々の値は、構造(Ic)及び(IIc)の繰り返し単位の全モル数が合計して100モル%になるようにそれらの各々の範囲から選択され、及び
前記オリゴジブロックコポリマーb-3)は、1000g/モル~30,000g/モルのMn、1.0~1.1の多分散性、及び0℃~115℃のTgを有し、
c)は、スピンキャスト用有機溶剤であり、
前記ガラス転移温度(Tg)は、窒素下に10℃/分の加熱速度を用いたDSC測定によって、吸熱性転移の中間点として0から300℃までの第一の加熱走査でTgを求めることで、決定したものであり、及び
Mn及び多分散性は、溶離液としてTHF溶剤及びキャリブレーションにポリスチレンポリマー標準を用いて、100Å、500Å、103Å、105Å及び106Åμ-ウルトラスチラゲルカラムを装備したゲル浸透クロマトグラフィにより決定したものであり、
但し、前記ジブロックコポリマーa-2)と前記オリゴジブロックコポリマーb-3)とを組み合わせて含む組成物は除く。 - 前記成分a)が、単一のトリブロックコポリマー及び少なくとも二種のトリブロックコポリマーのブレンド、または単一のジブロックコポリマー及び少なくとも二種のジブロックコポリマーのブレンドのいずれかから選択される、請求項1に記載の組成物。
- 前記成分a)が、構造(ABA-1)のトリブロックコポリマー、構造(ABA-2)のトリブロックコポリマー、及びこれらの二種のブロックコポリマーの混合物から選択されるトリブロックコポリマーであり、式中、mt、mta、nt及びntaは繰り返し単位の数であり、R1s、R1sa、R2s、及びR2saは、独立して、水素、C1~C8アルキル、-N(R3s)2、-OR4s、及びSi(R5s)3から選択され、ここでR3s、R4s及びR5sは独立してC1~C4アルキルから選択される、請求項1または2に記載の組成物。
- R1、R1a、R2、R2a並びにR1s及びR2sがHであり及びR3、R3a、R4、及びR4aがメチルである、請求項3に記載の組成物。
- R1、R1a、R2及びR2aがHであり、及びR3、R3a、R4、及びR4aがメチルである、請求項1または2に記載の組成物。
- ジブロックコポリマーa-1)及びa-2)が、それぞれ、構造(I-S)及び構造(I-S-a)を有し、但し、R1s、R1sa、R2s、及びR2saは、独立して、水素、C1~C8アルキル、-N(R3s)2、-OR4s、及びSi(R5s)3から選択され、ここでR3s、R4s及びR5sは、独立して、C1~C4アルキルから選択される、請求項1または2に記載の組成物。
- R1s、R2s、R1sa及びR2saが水素である、請求項6に記載の組成物。
- 前記オリゴジブロックコポリマーb-2)及びb-3)が、それぞれ構造(I-S-b)及び構造(I-S-c)に示されるようにブロックA-b)とブロックB-b)との間にまたはブロックA-c)とブロックB-c)との間にそれぞれスペーサ部分を有し、但し、R1sb、R1sc、R2sb、及びR2scは、独立して、水素、C1~C8アルキル、-N(R3s)2、-OR4s、Si(R5s)3から選択され、ここでR3s、R4s及びR5sは、独立して、C1~C4アルキルから選択される、請求項1~7のいずれか一つに記載の組成物。
- R1sb、R2sb、R1sc及びR2scが水素である、請求項8に記載の組成物。
- 成分a)について、前記ジブロックコポリマー成分a-1)が、1.00~1.03の多分散性、及び/または93,000g/モル~105,300g/モルのMnを有する、請求項1~7のいずれか一つに記載の組成物。
- 成分a)の前記ジブロックコポリマー成分a-1)について、構造(I)の繰り返し単位のモル%値が、40モル%~60モル%であり、構造(II)の繰り返し単位のモル%値が40モル%~60モル%である、あるいは
構造(I)の繰り返し単位のモル%値が、60モル%~75モル%であり、構造(II)の繰り返し単位のモル%値が25モル%~40モル%である、
請求項1~7のいずれか一つに記載の組成物。 - 成分a)について、前記ジブロックコポリマー成分a-2)が、1.00~1.03の多分散性及び/または40,800g/モル~61,200g/モルのMnを有する、請求項1~7のいずれか一つに記載の組成物。
- 成分a)について、単一のブロックコポリマーa-1)もしくはa-2)のいずれかでまたはa-1)とa-2)とのブレンドにおいて、構造(I)及び(Ia)の繰り返し単位の全モル%値が40モル%~60モル%であり、及び構造(II)及び(IIa)の繰り返し単位の全モル%値が40モル%~60モル%である、あるいは
成分a)について、単一のブロックコポリマーa-1)もしくはa-2)のいずれかでまたはa-1)とa-2)とのブレンドにおいて、構造(I)及び(Ia)の繰り返し単位の全モル%値が60モル%~75モル%であり、及び構造(II)及び(IIa)の繰り返し単位の全モル%値が25モル%~40モル%である、
請求項1~7のいずれか一つに記載の組成物。 - 成分a)が、全組成物の0.5重量%~2.0重量%である、請求項1~7のいずれか一つに記載の組成物。
- 成分b)としてのオリゴランダムコポリマーb-1)が、R1b及びR2bがHであり、及びR3b及びR4bがメチルであるものである、及び/あるいは
オリゴジブロックコポリマーb-2)が、R5、R7及びR8がHであり、R6がn-オクチルまたはn-ノニルであり、R9及びR11がメチルであり、R10がメチルまたはエチルであり、R12及びR13が独立してエチレンまたはプロピレンであり、及びR14がメチルまたはエチルであるものである、及び/あるいは
オリゴジブロックコポリマーb-3)が、R1c及びR2cがHであり、R3c及びR4cがメチルであるものである、
請求項1~7のいずれか一つに記載の組成物。 - R6がn-オクチルであり、R10がメチルであり、R12及びR13がエチレンであり、及びR14がメチルである、請求項15に記載の組成物。
- 成分b)について、オリゴランダムコポリマーb-1)が、1.3~1.5の多分散性、及び/または50℃~90℃のTgを有する、請求項1~7のいずれか一つに記載の組成物。
- 成分b)のオリゴジブロックコポリマーb-2)について、これが、
構造(IV)の繰り返し単位の前記モル%が25モル%~50モル%であり、及び
構造(V)の繰り返し単位の前記モル%が40モル%~60モル%である、あるいは
構造(III)の繰り返し単位の前記モル%が、構造(IV)の繰り返し単位のモル%の20%~30%であり、及び構造(VI)の繰り返し単位についてそのモル%が、構造(V)の繰り返し単位のモル%の12%~20%であり、
構造(III)、(IV)、(V)及び(VI)の繰り返し単位のモル%の個々の値は、構造(III)、(IV)、(V)及び(VI)の繰り返し単位の全モル数が合計して100モル%になるように、それらの各々の範囲から選択される、
ものである、
請求項1~7のいずれか一つに記載の組成物。 - 成分b)について、前記オリゴジブロックコポリマーb-2)が、1.03~1.08の多分散性、及び/または15000g/モル~32000g/モルのMn、及び/または50℃~90℃のTgを有する、請求項1~7のいずれか一つに記載の組成物。
- 成分b)について、前記オリゴジブロックコポリマーb-3)が、15,000~30,000g/モルのMn、及び/または1.02~1.08の多分散性、及び/または50℃~90℃のTgを有する、請求項1~7のいずれか一つに記載の組成物。
- 成分b)がオリゴジブロックコポリマーb-3)であり、そしてこれが、
構造(Ic)の繰り返し単位の前記モル%が40モル%~60モル%であり、及び構造(IIc)の繰り返し単位の前記モル%が40モル%~60モル%であるものである、請求項1~7のいずれか一つ記載の組成物。 - 成分a)が、ジブロックコポリマーa-1)、ジブロックコポリマーa-2)及びa-1)とa-2)とのブレンドからなる群から選択されるジブロックコポリマー成分であるか、またはトリブロックコポリマーa-1t)、トリブロックコポリマーa-2t)及びa-1t)とa-2t)とのブレンドからなる群から選択されるトリブロックコポリマー成分であり、構造(I)及び(Ia)のスチレン系繰り返し単位の全モル%が45モル%~75モル%であり、構造(II)及び(IIa)のアクリル系繰り返し単位の全モル%が25モル%~55モル%であり、及び成分b)がオリゴランダムコポリマーb-1)、オリゴジブロックコポリマーb-2)またはオリゴジブロックコポリマーb-3)である、請求項1~7のいずれか一つに記載の組成物。
- 成分a)が、ジブロックコポリマーa-1)、ジブロックコポリマーa-2)、及びa-1)とa-2)とのブレンドからなる群から選択されるジブロックコポリマー成分であるか、またはトリブロックコポリマーa-1t)、トリブロックコポリマーa-2t)及びa-1t)とa-2t)とのブレンドからなる群から選択されるトリブロックコポリマー成分であり、構造(I)及び(Ia)のスチレン系繰り返し単位の全モル%が60モル%~75モル%であり、更に、構造(II)及び(IIa)のアクリル系繰り返し単位の全モル%が25モル%~40モル%であり、及び成分b)がオリゴランダムコポリマーb-1)、オリゴジブロックコポリマーb-2)、またはオリゴジブロックコポリマーb-3)である、請求項1~7のいずれか一つに記載の組成物。
- 次のステップ:
i)基材上に中性層のコーティングを形成するステップ、
ii)請求項1~23のいずれか一つに記載の組成物を前記中性層上にコーティングして、膜を形成するステップ、
ii)前記膜を、不活性ガス雰囲気中で、240℃~260℃から選択される温度でベークして、自己集合膜を形成するステップ、及び
iii)前記基材をプラズマでエッチングして、前記自己集合膜を基材中にパターン転写するステップ、
を含む方法。 - ライン・アンド・スペースアレイを形成するための方法であって:
ia)基材上に中性層のコーティングを形成するステップ、
iia)請求項22に記載の組成物を前記中性層上にコーティングして、膜を形成するステップ、
iiia)前記膜を、不活性ガス雰囲気中で、240℃~260℃から選択される温度でベークして、自己集合膜を形成するステップ、及び
iva)前記基材をプラズマでエッチングして、前記自己集合膜を基材中にパターン転写するステップ、
を含む、前記方法。 - コンタクトホールアレイを形成する方法であって:
ib)基材上に中性層のコーティングを形成するステップ、
iib)請求項23に記載の組成物を前記中性層上にコーティングして、膜を形成するステップ、
iiib)前記膜を、不活性ガス雰囲気中で、240℃~260℃から選択される温度でベークして、自己集合膜を形成するステップ、及び
ivb)前記基材をプラズマでエッチングして、前記自己集合膜を基材中にパターン転写するステップ、
を含む、前記方法。 - 請求項1~23のいずれか一つに定義されるオリゴジブロックコポリマーb-2)。
- 構造(III)、(IV)、(V)及び(VI)を有する繰り返し単位の全モル数を基準にして繰り返し単位(III)及び(IV)のモル%の合計のモル%が40モル%~80モル%であり、及び繰り返し単位(V)及び(VI)のモル%の合計のモル%が20モル%~60モル%の範囲であり、更にここで、繰り返し単位(III)のモル%が2モル%~64モル%の範囲であり、そして繰り返し単位(VI)のモル%が1モル%~48モル%の範囲であり、及び更に、構造(III)、(IV)、(V)及び(VI)の繰り返し単位のモル%の個々の値が、構造(III)、(IV)、(V)及び(VI)の繰り返し単位の全モル数が合計して100モル%になるようにそれらの各々の範囲から選択される、請求項27に記載のオリゴジブロックコポリマー。
- 構造(IV)の繰り返し単位の前記モル%が25モル%~50モル%であり、及び構造(V)の繰り返し単位の前記モル%が40モル%~60モル%であり、
構造(III)、(IV)、(V)及び(VI)の繰り返し単位のモル%の個々の値は、構造(III)、(IV)、(V)及び(VI)の繰り返し単位の全モル数が合計して100モル%になるように、それらの各々の範囲から選択される、
請求項27に記載のオリゴジブロックコポリマー。 - 自己集合膜を基材上に調製するための、請求項1~23のいずれか一つに記載の組成物または請求項27~29のいずれか一つに記載のオリゴジブロックコポリマーの使用。
Applications Claiming Priority (5)
| Application Number | Priority Date | Filing Date | Title |
|---|---|---|---|
| US201962793436P | 2019-01-17 | 2019-01-17 | |
| US62/793,436 | 2019-01-17 | ||
| US201962943326P | 2019-12-04 | 2019-12-04 | |
| US62/943,326 | 2019-12-04 | ||
| PCT/EP2020/050856 WO2020148305A1 (en) | 2019-01-17 | 2020-01-15 | ENHANCED DIRECTED SELF-ASSEMBLY IN THE PRESENCE OF LOW Tg OLIGOMERS FOR PATTERN FORMATION |
Publications (3)
| Publication Number | Publication Date |
|---|---|
| JP2022517412A JP2022517412A (ja) | 2022-03-08 |
| JPWO2020148305A5 JPWO2020148305A5 (ja) | 2024-01-30 |
| JP7592017B2 true JP7592017B2 (ja) | 2024-11-29 |
Family
ID=69190750
Family Applications (1)
| Application Number | Title | Priority Date | Filing Date |
|---|---|---|---|
| JP2021541212A Active JP7592017B2 (ja) | 2019-01-17 | 2020-01-15 | パターン形成のための低Tgオリゴマーの存在下での増強された誘導自己集合 |
Country Status (8)
| Country | Link |
|---|---|
| US (2) | US12319810B2 (ja) |
| EP (1) | EP3911688A1 (ja) |
| JP (1) | JP7592017B2 (ja) |
| KR (1) | KR20210118111A (ja) |
| CN (1) | CN113286833B (ja) |
| SG (1) | SG11202105396XA (ja) |
| TW (1) | TWI832955B (ja) |
| WO (1) | WO2020148305A1 (ja) |
Families Citing this family (5)
| Publication number | Priority date | Publication date | Assignee | Title |
|---|---|---|---|---|
| EP3911688A1 (en) | 2019-01-17 | 2021-11-24 | Merck Patent GmbH | ENHANCED DIRECTED SELF-ASSEMBLY IN THE PRESENCE OF LOW Tg OLIGOMERS FOR PATTERN FORMATION |
| TW202225180A (zh) * | 2020-10-20 | 2022-07-01 | 德商馬克專利公司 | 用於定向自組裝(dsa)之經膦酸酯封端的刷式聚合物 |
| US20240247093A1 (en) * | 2021-04-23 | 2024-07-25 | Merck Patent Gmbh | Multi-pitch tolerable block copolymers with enhanced kinetics for directed self-assembly applications |
| WO2024038007A1 (en) * | 2022-08-16 | 2024-02-22 | Merck Patent Gmbh | Low tg multi-tether copolymerized diblock copolymers for directed self-assembly |
| CN120693353A (zh) * | 2023-02-14 | 2025-09-23 | 默克专利股份有限公司 | 用于改进定向自组装应用中自组装形貌的嵌段共聚物配制品 |
Citations (8)
| Publication number | Priority date | Publication date | Assignee | Title |
|---|---|---|---|---|
| JP2008231233A (ja) | 2007-03-20 | 2008-10-02 | Kyoto Univ | 高分子薄膜、パターン基板、磁気記録用パターン媒体及びこれらの製造方法 |
| JP2010144120A (ja) | 2008-12-22 | 2010-07-01 | Kyoto Univ | 高分子薄膜及びパターン媒体並びにこれらの製造方法 |
| JP2013129836A (ja) | 2013-01-07 | 2013-07-04 | Hitachi Ltd | 微細構造を有する高分子薄膜およびパターン基板の製造方法 |
| JP2013166933A (ja) | 2012-02-10 | 2013-08-29 | Dow Global Technologies Llc | ジブロックコポリマーブレンド組成物 |
| JP2015061905A (ja) | 2013-09-09 | 2015-04-02 | アルケマ フランス | ブロックコポリマーのブレンドを含むナノ構造化組織体の周期を制御する方法 |
| JP2016138245A (ja) | 2014-12-30 | 2016-08-04 | ローム アンド ハース エレクトロニック マテリアルズ エルエルシーRohm and Haas Electronic Materials LLC | 誘導自己組織化のためのコポリマー調合物、その製造方法、及びそれを含む物品 |
| JP2018502967A (ja) | 2015-01-21 | 2018-02-01 | アルケマ フランス | ブロックコポリマーの秩序膜中の欠陥を低減させるための方法 |
| JP2019172806A (ja) | 2018-03-28 | 2019-10-10 | 日本ゼオン株式会社 | 共役ジエン系ゴム |
Family Cites Families (14)
| Publication number | Priority date | Publication date | Assignee | Title |
|---|---|---|---|---|
| KR100938565B1 (ko) | 2007-05-16 | 2010-01-25 | 고려대학교 산학협력단 | 광가교 및 열가교성 표면개질용 랜덤공중합체 및 이를이용한 led의 제조방법 |
| JP5891075B2 (ja) | 2012-03-08 | 2016-03-22 | 東京応化工業株式会社 | ブロックコポリマー含有組成物及びパターンの縮小方法 |
| JP5934565B2 (ja) | 2012-04-20 | 2016-06-15 | 東京応化工業株式会社 | パターンの縮小方法、及び組成物 |
| JP5710546B2 (ja) * | 2012-04-27 | 2015-04-30 | 信越化学工業株式会社 | パターン形成方法 |
| JP5642731B2 (ja) * | 2012-04-27 | 2014-12-17 | 信越化学工業株式会社 | パターン形成方法 |
| FR3008986B1 (fr) * | 2013-07-25 | 2016-12-30 | Arkema France | Procede de controle de la periode caracterisant la morphologie obtenue a partir d'un melange de copolymere a blocs et de (co) polymeres de l'un des blocs |
| GB201313653D0 (en) * | 2013-07-31 | 2013-09-11 | Knauf Insulation Doo Skofja Loka | Melting of vitrifiable material |
| JP6240489B2 (ja) | 2013-12-06 | 2017-11-29 | 富士フイルム株式会社 | パターン形成方法、及び電子デバイスの製造方法 |
| FR3014876B1 (fr) | 2013-12-13 | 2017-03-31 | Arkema France | Procede de realisation d'un film de copolymere a blocs sur un substrat |
| US10011713B2 (en) * | 2014-12-30 | 2018-07-03 | Dow Global Technologies Llc | Copolymer formulation for directed self assembly, methods of manufacture thereof and articles comprising the same |
| FR3031748B1 (fr) | 2015-01-21 | 2018-09-28 | Arkema France | Procede de reduction du temps d'assemblage des films ordones de copolymere a blocs |
| FR3031750B1 (fr) | 2015-01-21 | 2018-09-28 | Arkema France | Procede d'obtention de films ordonnes epais et de periodes elevees comprenant un copolymere a blocs |
| TWI588200B (zh) * | 2015-02-26 | 2017-06-21 | 羅門哈斯電子材料有限公司 | 用於定向自組裝的共聚物調配物、其製造方法以及包括其的物件 |
| EP3911688A1 (en) | 2019-01-17 | 2021-11-24 | Merck Patent GmbH | ENHANCED DIRECTED SELF-ASSEMBLY IN THE PRESENCE OF LOW Tg OLIGOMERS FOR PATTERN FORMATION |
-
2020
- 2020-01-15 EP EP20701695.7A patent/EP3911688A1/en active Pending
- 2020-01-15 SG SG11202105396XA patent/SG11202105396XA/en unknown
- 2020-01-15 TW TW109101400A patent/TWI832955B/zh active
- 2020-01-15 CN CN202080008010.3A patent/CN113286833B/zh active Active
- 2020-01-15 KR KR1020217026046A patent/KR20210118111A/ko not_active Ceased
- 2020-01-15 WO PCT/EP2020/050856 patent/WO2020148305A1/en not_active Ceased
- 2020-01-15 US US17/419,847 patent/US12319810B2/en active Active
- 2020-01-15 JP JP2021541212A patent/JP7592017B2/ja active Active
-
2025
- 2025-04-29 US US19/193,855 patent/US20250257205A1/en active Pending
Patent Citations (8)
| Publication number | Priority date | Publication date | Assignee | Title |
|---|---|---|---|---|
| JP2008231233A (ja) | 2007-03-20 | 2008-10-02 | Kyoto Univ | 高分子薄膜、パターン基板、磁気記録用パターン媒体及びこれらの製造方法 |
| JP2010144120A (ja) | 2008-12-22 | 2010-07-01 | Kyoto Univ | 高分子薄膜及びパターン媒体並びにこれらの製造方法 |
| JP2013166933A (ja) | 2012-02-10 | 2013-08-29 | Dow Global Technologies Llc | ジブロックコポリマーブレンド組成物 |
| JP2013129836A (ja) | 2013-01-07 | 2013-07-04 | Hitachi Ltd | 微細構造を有する高分子薄膜およびパターン基板の製造方法 |
| JP2015061905A (ja) | 2013-09-09 | 2015-04-02 | アルケマ フランス | ブロックコポリマーのブレンドを含むナノ構造化組織体の周期を制御する方法 |
| JP2016138245A (ja) | 2014-12-30 | 2016-08-04 | ローム アンド ハース エレクトロニック マテリアルズ エルエルシーRohm and Haas Electronic Materials LLC | 誘導自己組織化のためのコポリマー調合物、その製造方法、及びそれを含む物品 |
| JP2018502967A (ja) | 2015-01-21 | 2018-02-01 | アルケマ フランス | ブロックコポリマーの秩序膜中の欠陥を低減させるための方法 |
| JP2019172806A (ja) | 2018-03-28 | 2019-10-10 | 日本ゼオン株式会社 | 共役ジエン系ゴム |
Also Published As
| Publication number | Publication date |
|---|---|
| EP3911688A1 (en) | 2021-11-24 |
| SG11202105396XA (en) | 2021-06-29 |
| WO2020148305A1 (en) | 2020-07-23 |
| US20250257205A1 (en) | 2025-08-14 |
| CN113286833A (zh) | 2021-08-20 |
| US12319810B2 (en) | 2025-06-03 |
| KR20210118111A (ko) | 2021-09-29 |
| TW202035472A (zh) | 2020-10-01 |
| US20220010125A1 (en) | 2022-01-13 |
| CN113286833B (zh) | 2025-03-07 |
| JP2022517412A (ja) | 2022-03-08 |
| TWI832955B (zh) | 2024-02-21 |
Similar Documents
| Publication | Publication Date | Title |
|---|---|---|
| JP7592017B2 (ja) | パターン形成のための低Tgオリゴマーの存在下での増強された誘導自己集合 | |
| CN104334588B (zh) | 用于定向自组装的中性层聚合物组合物及其方法 | |
| KR102409830B1 (ko) | 자가-조립 적용을 위한 중합체 조성물 | |
| JP7652577B2 (ja) | ブロックコポリマーの自己組織化のための新規組成物及び方法 | |
| CN117321096A (zh) | 用于ps-b-pmma型嵌段共聚物的图案化定向自组装的具有改进的干蚀刻能力的疏水性可交联钉扎底层 | |
| JP2025526110A (ja) | 誘導自己集合のための低Tgマルチテザー共重合ジブロックコポリマー | |
| KR20230175295A (ko) | 유도형 자기 조립 적용을 위한 향상된 동역학을 갖는 멀티피치 허용 가능한 블록 공중합체 | |
| CN108350303B (zh) | 新型组合物及其用于改性基底表面的用途 | |
| KR20250145104A (ko) | 지향적 자가 조립 응용분야에서 자가 조립된 모폴로지를 개선하기 위한 블록 공중합체 배합물 | |
| KR20250004089A (ko) | 이블록 공중합체의 유도 자기 조립을 위한 SiARC 기판 상용성을 개선하기 위한 히드록실 단량체를 함유하는 신규한 중성 매트의 개발 | |
| WO2023021016A2 (en) | Development of novel hydrophilic pinning mat | |
| JP2024542426A (ja) | ポリ(スチレン)及びポリ(メチルメタクリレート)含有セグメントを有するブロックコポリマーの自己集合のための調節可能な極性を有する中性ブラシ |
Legal Events
| Date | Code | Title | Description |
|---|---|---|---|
| A521 | Request for written amendment filed |
Free format text: JAPANESE INTERMEDIATE CODE: A523 Effective date: 20230112 |
|
| A621 | Written request for application examination |
Free format text: JAPANESE INTERMEDIATE CODE: A621 Effective date: 20230112 |
|
| A521 | Request for written amendment filed |
Free format text: JAPANESE INTERMEDIATE CODE: A523 Effective date: 20240122 |
|
| A871 | Explanation of circumstances concerning accelerated examination |
Free format text: JAPANESE INTERMEDIATE CODE: A871 Effective date: 20240122 |
|
| A977 | Report on retrieval |
Free format text: JAPANESE INTERMEDIATE CODE: A971007 Effective date: 20240131 |
|
| A131 | Notification of reasons for refusal |
Free format text: JAPANESE INTERMEDIATE CODE: A131 Effective date: 20240207 |
|
| A521 | Request for written amendment filed |
Free format text: JAPANESE INTERMEDIATE CODE: A523 Effective date: 20240425 |
|
| A131 | Notification of reasons for refusal |
Free format text: JAPANESE INTERMEDIATE CODE: A131 Effective date: 20240710 |
|
| A521 | Request for written amendment filed |
Free format text: JAPANESE INTERMEDIATE CODE: A523 Effective date: 20241004 |
|
| TRDD | Decision of grant or rejection written | ||
| A01 | Written decision to grant a patent or to grant a registration (utility model) |
Free format text: JAPANESE INTERMEDIATE CODE: A01 Effective date: 20241113 |
|
| A61 | First payment of annual fees (during grant procedure) |
Free format text: JAPANESE INTERMEDIATE CODE: A61 Effective date: 20241119 |
|
| R150 | Certificate of patent or registration of utility model |
Ref document number: 7592017 Country of ref document: JP Free format text: JAPANESE INTERMEDIATE CODE: R150 |

































