JP7204651B2 - 抗体-薬物コンジュゲートの製剤及びその凍結乾燥方法 - Google Patents
抗体-薬物コンジュゲートの製剤及びその凍結乾燥方法 Download PDFInfo
- Publication number
- JP7204651B2 JP7204651B2 JP2019537642A JP2019537642A JP7204651B2 JP 7204651 B2 JP7204651 B2 JP 7204651B2 JP 2019537642 A JP2019537642 A JP 2019537642A JP 2019537642 A JP2019537642 A JP 2019537642A JP 7204651 B2 JP7204651 B2 JP 7204651B2
- Authority
- JP
- Japan
- Prior art keywords
- antibody
- pharmaceutical composition
- drug conjugate
- polysorbate
- histidine
- Prior art date
- Legal status (The legal status is an assumption and is not a legal conclusion. Google has not performed a legal analysis and makes no representation as to the accuracy of the status listed.)
- Active
Links
Images
Classifications
-
- A—HUMAN NECESSITIES
- A61—MEDICAL OR VETERINARY SCIENCE; HYGIENE
- A61K—PREPARATIONS FOR MEDICAL, DENTAL OR TOILETRY PURPOSES
- A61K9/00—Medicinal preparations characterised by special physical form
- A61K9/08—Solutions
-
- A—HUMAN NECESSITIES
- A61—MEDICAL OR VETERINARY SCIENCE; HYGIENE
- A61K—PREPARATIONS FOR MEDICAL, DENTAL OR TOILETRY PURPOSES
- A61K31/00—Medicinal preparations containing organic active ingredients
- A61K31/33—Heterocyclic compounds
- A61K31/395—Heterocyclic compounds having nitrogen as a ring hetero atom, e.g. guanethidine or rifamycins
- A61K31/435—Heterocyclic compounds having nitrogen as a ring hetero atom, e.g. guanethidine or rifamycins having six-membered rings with one nitrogen as the only ring hetero atom
- A61K31/47—Quinolines; Isoquinolines
- A61K31/4738—Quinolines; Isoquinolines ortho- or peri-condensed with heterocyclic ring systems
- A61K31/4745—Quinolines; Isoquinolines ortho- or peri-condensed with heterocyclic ring systems condensed with ring systems having nitrogen as a ring hetero atom, e.g. phenantrolines
-
- A—HUMAN NECESSITIES
- A61—MEDICAL OR VETERINARY SCIENCE; HYGIENE
- A61K—PREPARATIONS FOR MEDICAL, DENTAL OR TOILETRY PURPOSES
- A61K39/00—Medicinal preparations containing antigens or antibodies
- A61K39/395—Antibodies; Immunoglobulins; Immune serum, e.g. antilymphocytic serum
- A61K39/39591—Stabilisation, fragmentation
-
- A—HUMAN NECESSITIES
- A61—MEDICAL OR VETERINARY SCIENCE; HYGIENE
- A61K—PREPARATIONS FOR MEDICAL, DENTAL OR TOILETRY PURPOSES
- A61K45/00—Medicinal preparations containing active ingredients not provided for in groups A61K31/00 - A61K41/00
- A61K45/06—Mixtures of active ingredients without chemical characterisation, e.g. antiphlogistics and cardiaca
-
- A—HUMAN NECESSITIES
- A61—MEDICAL OR VETERINARY SCIENCE; HYGIENE
- A61K—PREPARATIONS FOR MEDICAL, DENTAL OR TOILETRY PURPOSES
- A61K47/00—Medicinal preparations characterised by the non-active ingredients used, e.g. carriers or inert additives; Targeting or modifying agents chemically bound to the active ingredient
- A61K47/06—Organic compounds, e.g. natural or synthetic hydrocarbons, polyolefins, mineral oil, petrolatum or ozokerite
- A61K47/08—Organic compounds, e.g. natural or synthetic hydrocarbons, polyolefins, mineral oil, petrolatum or ozokerite containing oxygen, e.g. ethers, acetals, ketones, quinones, aldehydes, peroxides
- A61K47/10—Alcohols; Phenols; Salts thereof, e.g. glycerol; Polyethylene glycols [PEG]; Poloxamers; PEG/POE alkyl ethers
-
- A—HUMAN NECESSITIES
- A61—MEDICAL OR VETERINARY SCIENCE; HYGIENE
- A61K—PREPARATIONS FOR MEDICAL, DENTAL OR TOILETRY PURPOSES
- A61K47/00—Medicinal preparations characterised by the non-active ingredients used, e.g. carriers or inert additives; Targeting or modifying agents chemically bound to the active ingredient
- A61K47/06—Organic compounds, e.g. natural or synthetic hydrocarbons, polyolefins, mineral oil, petrolatum or ozokerite
- A61K47/16—Organic compounds, e.g. natural or synthetic hydrocarbons, polyolefins, mineral oil, petrolatum or ozokerite containing nitrogen, e.g. nitro-, nitroso-, azo-compounds, nitriles, cyanates
- A61K47/18—Amines; Amides; Ureas; Quaternary ammonium compounds; Amino acids; Oligopeptides having up to five amino acids
- A61K47/183—Amino acids, e.g. glycine, EDTA or aspartame
-
- A—HUMAN NECESSITIES
- A61—MEDICAL OR VETERINARY SCIENCE; HYGIENE
- A61K—PREPARATIONS FOR MEDICAL, DENTAL OR TOILETRY PURPOSES
- A61K47/00—Medicinal preparations characterised by the non-active ingredients used, e.g. carriers or inert additives; Targeting or modifying agents chemically bound to the active ingredient
- A61K47/06—Organic compounds, e.g. natural or synthetic hydrocarbons, polyolefins, mineral oil, petrolatum or ozokerite
- A61K47/22—Heterocyclic compounds, e.g. ascorbic acid, tocopherol or pyrrolidones
-
- A—HUMAN NECESSITIES
- A61—MEDICAL OR VETERINARY SCIENCE; HYGIENE
- A61K—PREPARATIONS FOR MEDICAL, DENTAL OR TOILETRY PURPOSES
- A61K47/00—Medicinal preparations characterised by the non-active ingredients used, e.g. carriers or inert additives; Targeting or modifying agents chemically bound to the active ingredient
- A61K47/06—Organic compounds, e.g. natural or synthetic hydrocarbons, polyolefins, mineral oil, petrolatum or ozokerite
- A61K47/26—Carbohydrates, e.g. sugar alcohols, amino sugars, nucleic acids, mono-, di- or oligo-saccharides; Derivatives thereof, e.g. polysorbates, sorbitan fatty acid esters or glycyrrhizin
-
- A—HUMAN NECESSITIES
- A61—MEDICAL OR VETERINARY SCIENCE; HYGIENE
- A61K—PREPARATIONS FOR MEDICAL, DENTAL OR TOILETRY PURPOSES
- A61K47/00—Medicinal preparations characterised by the non-active ingredients used, e.g. carriers or inert additives; Targeting or modifying agents chemically bound to the active ingredient
- A61K47/50—Medicinal preparations characterised by the non-active ingredients used, e.g. carriers or inert additives; Targeting or modifying agents chemically bound to the active ingredient the non-active ingredient being chemically bound to the active ingredient, e.g. polymer-drug conjugates
- A61K47/51—Medicinal preparations characterised by the non-active ingredients used, e.g. carriers or inert additives; Targeting or modifying agents chemically bound to the active ingredient the non-active ingredient being chemically bound to the active ingredient, e.g. polymer-drug conjugates the non-active ingredient being a modifying agent
- A61K47/68—Medicinal preparations characterised by the non-active ingredients used, e.g. carriers or inert additives; Targeting or modifying agents chemically bound to the active ingredient the non-active ingredient being chemically bound to the active ingredient, e.g. polymer-drug conjugates the non-active ingredient being a modifying agent the modifying agent being an antibody, an immunoglobulin or a fragment thereof, e.g. an Fc-fragment
- A61K47/6801—Drug-antibody or immunoglobulin conjugates defined by the pharmacologically or therapeutically active agent
-
- A—HUMAN NECESSITIES
- A61—MEDICAL OR VETERINARY SCIENCE; HYGIENE
- A61K—PREPARATIONS FOR MEDICAL, DENTAL OR TOILETRY PURPOSES
- A61K47/00—Medicinal preparations characterised by the non-active ingredients used, e.g. carriers or inert additives; Targeting or modifying agents chemically bound to the active ingredient
- A61K47/50—Medicinal preparations characterised by the non-active ingredients used, e.g. carriers or inert additives; Targeting or modifying agents chemically bound to the active ingredient the non-active ingredient being chemically bound to the active ingredient, e.g. polymer-drug conjugates
- A61K47/51—Medicinal preparations characterised by the non-active ingredients used, e.g. carriers or inert additives; Targeting or modifying agents chemically bound to the active ingredient the non-active ingredient being chemically bound to the active ingredient, e.g. polymer-drug conjugates the non-active ingredient being a modifying agent
- A61K47/68—Medicinal preparations characterised by the non-active ingredients used, e.g. carriers or inert additives; Targeting or modifying agents chemically bound to the active ingredient the non-active ingredient being chemically bound to the active ingredient, e.g. polymer-drug conjugates the non-active ingredient being a modifying agent the modifying agent being an antibody, an immunoglobulin or a fragment thereof, e.g. an Fc-fragment
- A61K47/6801—Drug-antibody or immunoglobulin conjugates defined by the pharmacologically or therapeutically active agent
- A61K47/6803—Drugs conjugated to an antibody or immunoglobulin, e.g. cisplatin-antibody conjugates
- A61K47/68037—Drugs conjugated to an antibody or immunoglobulin, e.g. cisplatin-antibody conjugates the drug being a camptothecin [CPT] or derivatives
-
- A—HUMAN NECESSITIES
- A61—MEDICAL OR VETERINARY SCIENCE; HYGIENE
- A61K—PREPARATIONS FOR MEDICAL, DENTAL OR TOILETRY PURPOSES
- A61K47/00—Medicinal preparations characterised by the non-active ingredients used, e.g. carriers or inert additives; Targeting or modifying agents chemically bound to the active ingredient
- A61K47/50—Medicinal preparations characterised by the non-active ingredients used, e.g. carriers or inert additives; Targeting or modifying agents chemically bound to the active ingredient the non-active ingredient being chemically bound to the active ingredient, e.g. polymer-drug conjugates
- A61K47/51—Medicinal preparations characterised by the non-active ingredients used, e.g. carriers or inert additives; Targeting or modifying agents chemically bound to the active ingredient the non-active ingredient being chemically bound to the active ingredient, e.g. polymer-drug conjugates the non-active ingredient being a modifying agent
- A61K47/68—Medicinal preparations characterised by the non-active ingredients used, e.g. carriers or inert additives; Targeting or modifying agents chemically bound to the active ingredient the non-active ingredient being chemically bound to the active ingredient, e.g. polymer-drug conjugates the non-active ingredient being a modifying agent the modifying agent being an antibody, an immunoglobulin or a fragment thereof, e.g. an Fc-fragment
- A61K47/6835—Medicinal preparations characterised by the non-active ingredients used, e.g. carriers or inert additives; Targeting or modifying agents chemically bound to the active ingredient the non-active ingredient being chemically bound to the active ingredient, e.g. polymer-drug conjugates the non-active ingredient being a modifying agent the modifying agent being an antibody, an immunoglobulin or a fragment thereof, e.g. an Fc-fragment the modifying agent being an antibody or an immunoglobulin bearing at least one antigen-binding site
- A61K47/6849—Medicinal preparations characterised by the non-active ingredients used, e.g. carriers or inert additives; Targeting or modifying agents chemically bound to the active ingredient the non-active ingredient being chemically bound to the active ingredient, e.g. polymer-drug conjugates the non-active ingredient being a modifying agent the modifying agent being an antibody, an immunoglobulin or a fragment thereof, e.g. an Fc-fragment the modifying agent being an antibody or an immunoglobulin bearing at least one antigen-binding site the antibody targeting a receptor, a cell surface antigen or a cell surface determinant
-
- A—HUMAN NECESSITIES
- A61—MEDICAL OR VETERINARY SCIENCE; HYGIENE
- A61K—PREPARATIONS FOR MEDICAL, DENTAL OR TOILETRY PURPOSES
- A61K47/00—Medicinal preparations characterised by the non-active ingredients used, e.g. carriers or inert additives; Targeting or modifying agents chemically bound to the active ingredient
- A61K47/50—Medicinal preparations characterised by the non-active ingredients used, e.g. carriers or inert additives; Targeting or modifying agents chemically bound to the active ingredient the non-active ingredient being chemically bound to the active ingredient, e.g. polymer-drug conjugates
- A61K47/51—Medicinal preparations characterised by the non-active ingredients used, e.g. carriers or inert additives; Targeting or modifying agents chemically bound to the active ingredient the non-active ingredient being chemically bound to the active ingredient, e.g. polymer-drug conjugates the non-active ingredient being a modifying agent
- A61K47/68—Medicinal preparations characterised by the non-active ingredients used, e.g. carriers or inert additives; Targeting or modifying agents chemically bound to the active ingredient the non-active ingredient being chemically bound to the active ingredient, e.g. polymer-drug conjugates the non-active ingredient being a modifying agent the modifying agent being an antibody, an immunoglobulin or a fragment thereof, e.g. an Fc-fragment
- A61K47/6835—Medicinal preparations characterised by the non-active ingredients used, e.g. carriers or inert additives; Targeting or modifying agents chemically bound to the active ingredient the non-active ingredient being chemically bound to the active ingredient, e.g. polymer-drug conjugates the non-active ingredient being a modifying agent the modifying agent being an antibody, an immunoglobulin or a fragment thereof, e.g. an Fc-fragment the modifying agent being an antibody or an immunoglobulin bearing at least one antigen-binding site
- A61K47/6851—Medicinal preparations characterised by the non-active ingredients used, e.g. carriers or inert additives; Targeting or modifying agents chemically bound to the active ingredient the non-active ingredient being chemically bound to the active ingredient, e.g. polymer-drug conjugates the non-active ingredient being a modifying agent the modifying agent being an antibody, an immunoglobulin or a fragment thereof, e.g. an Fc-fragment the modifying agent being an antibody or an immunoglobulin bearing at least one antigen-binding site the antibody targeting a determinant of a tumour cell
-
- A—HUMAN NECESSITIES
- A61—MEDICAL OR VETERINARY SCIENCE; HYGIENE
- A61K—PREPARATIONS FOR MEDICAL, DENTAL OR TOILETRY PURPOSES
- A61K9/00—Medicinal preparations characterised by special physical form
- A61K9/0012—Galenical forms characterised by the site of application
- A61K9/0019—Injectable compositions; Intramuscular, intravenous, arterial, subcutaneous administration; Compositions to be administered through the skin in an invasive manner
-
- A—HUMAN NECESSITIES
- A61—MEDICAL OR VETERINARY SCIENCE; HYGIENE
- A61K—PREPARATIONS FOR MEDICAL, DENTAL OR TOILETRY PURPOSES
- A61K9/00—Medicinal preparations characterised by special physical form
- A61K9/14—Particulate form, e.g. powders, Processes for size reducing of pure drugs or the resulting products, Pure drug nanoparticles
- A61K9/19—Particulate form, e.g. powders, Processes for size reducing of pure drugs or the resulting products, Pure drug nanoparticles lyophilised, i.e. freeze-dried, solutions or dispersions
-
- A—HUMAN NECESSITIES
- A61—MEDICAL OR VETERINARY SCIENCE; HYGIENE
- A61P—SPECIFIC THERAPEUTIC ACTIVITY OF CHEMICAL COMPOUNDS OR MEDICINAL PREPARATIONS
- A61P35/00—Antineoplastic agents
- A61P35/02—Antineoplastic agents specific for leukemia
-
- C—CHEMISTRY; METALLURGY
- C07—ORGANIC CHEMISTRY
- C07K—PEPTIDES
- C07K16/00—Immunoglobulins [IG], e.g. monoclonal or polyclonal antibodies
-
- C—CHEMISTRY; METALLURGY
- C07—ORGANIC CHEMISTRY
- C07K—PEPTIDES
- C07K16/00—Immunoglobulins [IG], e.g. monoclonal or polyclonal antibodies
- C07K16/18—Immunoglobulins [IG], e.g. monoclonal or polyclonal antibodies against material from animals or humans
- C07K16/28—Immunoglobulins [IG], e.g. monoclonal or polyclonal antibodies against material from animals or humans against receptors, cell surface antigens or cell surface determinants
-
- C—CHEMISTRY; METALLURGY
- C07—ORGANIC CHEMISTRY
- C07K—PEPTIDES
- C07K16/00—Immunoglobulins [IG], e.g. monoclonal or polyclonal antibodies
- C07K16/18—Immunoglobulins [IG], e.g. monoclonal or polyclonal antibodies against material from animals or humans
- C07K16/28—Immunoglobulins [IG], e.g. monoclonal or polyclonal antibodies against material from animals or humans against receptors, cell surface antigens or cell surface determinants
- C07K16/2803—Immunoglobulins [IG], e.g. monoclonal or polyclonal antibodies against material from animals or humans against receptors, cell surface antigens or cell surface determinants against the immunoglobulin superfamily
- C07K16/2827—Immunoglobulins [IG], e.g. monoclonal or polyclonal antibodies against material from animals or humans against receptors, cell surface antigens or cell surface determinants against the immunoglobulin superfamily against B7 molecules, e.g. CD80, CD86
-
- C—CHEMISTRY; METALLURGY
- C07—ORGANIC CHEMISTRY
- C07K—PEPTIDES
- C07K16/00—Immunoglobulins [IG], e.g. monoclonal or polyclonal antibodies
- C07K16/18—Immunoglobulins [IG], e.g. monoclonal or polyclonal antibodies against material from animals or humans
- C07K16/28—Immunoglobulins [IG], e.g. monoclonal or polyclonal antibodies against material from animals or humans against receptors, cell surface antigens or cell surface determinants
- C07K16/30—Immunoglobulins [IG], e.g. monoclonal or polyclonal antibodies against material from animals or humans against receptors, cell surface antigens or cell surface determinants from tumour cells
-
- C—CHEMISTRY; METALLURGY
- C07—ORGANIC CHEMISTRY
- C07K—PEPTIDES
- C07K16/00—Immunoglobulins [IG], e.g. monoclonal or polyclonal antibodies
- C07K16/18—Immunoglobulins [IG], e.g. monoclonal or polyclonal antibodies against material from animals or humans
- C07K16/32—Immunoglobulins [IG], e.g. monoclonal or polyclonal antibodies against material from animals or humans against translation products of oncogenes
-
- C—CHEMISTRY; METALLURGY
- C07—ORGANIC CHEMISTRY
- C07K—PEPTIDES
- C07K19/00—Hybrid peptides, i.e. peptides covalently bound to nucleic acids, or non-covalently bound protein-protein complexes
-
- A—HUMAN NECESSITIES
- A61—MEDICAL OR VETERINARY SCIENCE; HYGIENE
- A61K—PREPARATIONS FOR MEDICAL, DENTAL OR TOILETRY PURPOSES
- A61K39/00—Medicinal preparations containing antigens or antibodies
- A61K2039/505—Medicinal preparations containing antigens or antibodies comprising antibodies
-
- A—HUMAN NECESSITIES
- A61—MEDICAL OR VETERINARY SCIENCE; HYGIENE
- A61P—SPECIFIC THERAPEUTIC ACTIVITY OF CHEMICAL COMPOUNDS OR MEDICINAL PREPARATIONS
- A61P35/00—Antineoplastic agents
-
- C—CHEMISTRY; METALLURGY
- C07—ORGANIC CHEMISTRY
- C07K—PEPTIDES
- C07K2317/00—Immunoglobulins specific features
- C07K2317/20—Immunoglobulins specific features characterized by taxonomic origin
- C07K2317/24—Immunoglobulins specific features characterized by taxonomic origin containing regions, domains or residues from different species, e.g. chimeric, humanized or veneered
-
- C—CHEMISTRY; METALLURGY
- C07—ORGANIC CHEMISTRY
- C07K—PEPTIDES
- C07K2317/00—Immunoglobulins specific features
- C07K2317/90—Immunoglobulins specific features characterized by (pharmaco)kinetic aspects or by stability of the immunoglobulin
- C07K2317/94—Stability, e.g. half-life, pH, temperature or enzyme-resistance
Landscapes
- Health & Medical Sciences (AREA)
- Chemical & Material Sciences (AREA)
- Life Sciences & Earth Sciences (AREA)
- Medicinal Chemistry (AREA)
- General Health & Medical Sciences (AREA)
- Animal Behavior & Ethology (AREA)
- Pharmacology & Pharmacy (AREA)
- Public Health (AREA)
- Veterinary Medicine (AREA)
- Engineering & Computer Science (AREA)
- Epidemiology (AREA)
- Bioinformatics & Cheminformatics (AREA)
- Immunology (AREA)
- Organic Chemistry (AREA)
- Biochemistry (AREA)
- General Chemical & Material Sciences (AREA)
- Chemical Kinetics & Catalysis (AREA)
- Molecular Biology (AREA)
- Proteomics, Peptides & Aminoacids (AREA)
- Oil, Petroleum & Natural Gas (AREA)
- Genetics & Genomics (AREA)
- Biophysics (AREA)
- Cell Biology (AREA)
- Oncology (AREA)
- Nuclear Medicine, Radiotherapy & Molecular Imaging (AREA)
- Microbiology (AREA)
- Dermatology (AREA)
- Mycology (AREA)
- Hematology (AREA)
- Medicinal Preparation (AREA)
- Medicines Containing Antibodies Or Antigens For Use As Internal Diagnostic Agents (AREA)
- Medicines That Contain Protein Lipid Enzymes And Other Medicines (AREA)
- Pharmaceuticals Containing Other Organic And Inorganic Compounds (AREA)
- Peptides Or Proteins (AREA)
Description
しかし、抗体-薬物コンジュゲートの製剤化にあたっては、抗体部分のみならず薬物リンカー部分特有の物性も考慮しなければならず、より複雑な検討が必要とされる。
また、スクロースやトレハロースを含有する水溶液から凍結乾燥注射剤を調製する場合には、(1)1次乾燥するプロセスが長時間となる、(2)凍結乾燥ケーキにシュリンクが生じやすくなる、などの問題点がある。
本発明は、特定の抗体-薬物コンジュゲートにおいて、凝集体の形成及び分解物の生成を抑制した医薬組成物(特に水性注射剤及び凍結乾燥注射剤)、並びに水溶液から凍結乾燥注射剤への効率的な凍結乾燥方法を提供することが主な課題である。
[1]
(i)抗体-薬物コンジュゲート、
(ii)ヒスチジン緩衝剤、
(iii)スクロース又はトレハロース、及び、
(iv)界面活性剤、
を含む、医薬組成物;
(ここで、該抗体-薬物コンジュゲートは、次式
で示される薬物リンカーと、抗体とがチオエーテル結合によって結合した抗体-薬物コンジュゲートである)。
[2]
界面活性剤がポリソルベート80又はポリソルベート20である、[1]に記載の医薬組成物。
[3]
(i)抗体-薬物コンジュゲート20mg当たりに、
(ii)3~80mmolのヒスチジン緩衝剤、
(iii)24~320mgのスクロース又はトレハロース、及び、
(iv)0.05~1.6mgのポリソルベート80又はポリソルベート20、
を含む、[1]又は[2]に記載の医薬組成物。
[4]
(i)抗体-薬物コンジュゲート20mg当たりに、
(ii)10~40mmolのヒスチジン緩衝剤、
(iii)90mgのスクロース又は100mgのトレハロース水和物、及び、
(iv)0.2~0.4mgのポリソルベート80又はポリソルベート20、
を含む、[1]から[3]のいずれか1項に記載の医薬組成物。
[5]
(i)抗体-薬物コンジュゲート、
(ii)ヒスチジン緩衝剤、
(iii)スクロース、及び、
(iv)ポリソルベート80又はポリソルベート20
を含む、[1]又は[2]に記載の医薬組成物。
(i)抗体-薬物コンジュゲート20mg当たりに、
(ii)3~80mmolのヒスチジン緩衝剤、
(iii)24~320mgのスクロース、及び、
(iv)0.05~1.6mgのポリソルベート80又はポリソルベート20、
を含む、[1]、[2]又は[5]に記載の医薬組成物。
[7]
(i)抗体-薬物コンジュゲート20mg当たりに、
(ii)10~40mmolのヒスチジン緩衝剤、
(iii)90mgのスクロース、及び、
(iv)0.2~0.4mgのポリソルベート80又はポリソルベート20、
を含む、[1]、[2]、[5]又は[6]に記載の医薬組成物。
[8]
(i)抗体-薬物コンジュゲート20mg当たりに、
(ii)10又は25mmolのヒスチジン緩衝剤、
(iii)90mgのスクロース、及び、
(iv)0.2又は0.3mgのポリソルベート80又はポリソルベート20、
を含む、[1]から[7]のいずれか1項に記載の医薬組成物。
[9]
抗体-薬物コンジュゲートが水に20mg/mLの濃度で溶解している状態でのpHが4.0~7.0である、[1]から[8]のいずれか1項に記載の医薬組成物。
[10]
抗体-薬物コンジュゲートにおける1抗体あたりの薬物リンカーの平均結合数が2から8個の範囲である、[1]から[9]のいずれか1項に記載の医薬組成物。
抗体-薬物コンジュゲートにおける抗体が、抗HER2抗体、抗HER3抗体、抗TROP2抗体、抗B7-H3抗体、又は抗GPR20抗体である、[1]から[10]のいずれか1項に記載の医薬組成物。
[12]
抗体-薬物コンジュゲートにおける抗体が、抗HER2抗体である、[11]に記載の医薬組成物。
[13]
抗HER2抗体が、配列番号1においてアミノ酸番号1乃至449に記載のアミノ酸配列からなる重鎖及び配列番号2においてアミノ酸番号1乃至214に記載のアミノ酸配列からなる軽鎖を含んでなる抗体、又は、配列番号1に記載のアミノ酸配列からなる重鎖及び配列番号2に記載のアミノ酸配列からなる軽鎖を含んでなる抗体である、[12]に記載の医薬組成物。
[14]
抗体-薬物コンジュゲートにおける1抗体あたりの薬物リンカーの平均結合数が7から8個の範囲である、[12]又は[13]に記載の医薬組成物。
[15]
(i)抗体-薬物コンジュゲート20mg当たりに、
(ii)25mmolのヒスチジン緩衝剤、
(iii)90mgのスクロース、及び、
(iv)0.3mgのポリソルベート80、
を含み、該抗体-薬物コンジュゲートが水に20mg/mLの濃度で溶解している状態でのpHが5.5である、[12]から[14]のいずれか1項に記載の医薬組成物。
(i)抗体-薬物コンジュゲート20mg当たりに、
(ii)0.89mgのL-ヒスチジン、及び4.04mgのL-ヒスチジン塩酸塩水和物、
(iii)90mgのスクロース、並びに、
(iv)0.3mgのポリソルベート80を含む、[12]から[14]のいずれか1項に記載の医薬組成物。
[17]
(i)100mgの抗体-薬物コンジュゲート、
(ii)4.45mgのL-ヒスチジン、及び20.2mgのL-ヒスチジン塩酸塩水和物、
(iii)450mgのスクロース、並びに、
(iv)1.5mgのポリソルベート80を含む、[12]から[14]のいずれか1項に記載の医薬組成物。
[18]
抗体-薬物コンジュゲートにおける抗体が、抗HER3抗体である、[11]に記載の医薬組成物。
[19]
抗HER3抗体が、配列番号3に記載のアミノ酸配列からなる重鎖及び配列番号4に記載のアミノ酸配列からなる軽鎖を含んでなる抗体、又は、該抗体の重鎖カルボキシル末端のリシン残基が欠失している抗体である、[18]に記載の医薬組成物。
[20]
抗体-薬物コンジュゲートにおける1抗体あたりの薬物リンカーの平均結合数が7から8個の範囲である、[18]又は[19]に記載の医薬組成物。
(i)抗体-薬物コンジュゲート20mg当たりに、
(ii)25mmolのヒスチジン緩衝剤、
(iii)90mgのスクロース、及び、
(iv)0.3mgのポリソルベート20、
を含み、該抗体-薬物コンジュゲートが水に20mg/mLの濃度で溶解している状態でのpHが5.4である、[18]から[20]のいずれか1項に記載の医薬組成物。
[22]
(i)抗体-薬物コンジュゲート20mg当たりに、
(ii)0.81mgのL-ヒスチジン、及び4.14mgのL-ヒスチジン塩酸塩水和物、
(iii)90mgのスクロース、並びに、
(iv)0.3mgのポリソルベート20を含む、[18]から[20]のいずれか1項に記載の医薬組成物。
[23]
(i)100mgの抗体-薬物コンジュゲート、
(ii)4.06mgのL-ヒスチジン、及び20.7mgのL-ヒスチジン塩酸塩水和物、
(iii)450mgのスクロース、並びに、
(iv)1.5mgのポリソルベート20を含む、[18]から[20]のいずれか1項に記載の医薬組成物。
[24]
抗体-薬物コンジュゲートにおける抗体が、抗TROP2抗体である、[11]に記載の医薬組成物。
[25]
抗TROP2抗体が、配列番号5においてアミノ酸番号20乃至470に記載のアミノ酸配列からなる重鎖及び配列番号6においてアミノ酸番号21乃至234に記載のアミノ酸配列からなる軽鎖を含んでなる抗体、又は、該抗体の重鎖カルボキシル末端のリシン残基が欠失している抗体である、[24]に記載の医薬組成物。
抗体-薬物コンジュゲートにおける1抗体あたりの薬物リンカーの平均結合数が3から5個の範囲である、[24]又は[25]に記載の医薬組成物。
[27]
(i)抗体-薬物コンジュゲート20mg当たりに、
(ii)10mmolのヒスチジン緩衝剤、
(iii)90mgのスクロース、及び、
(iv)0.2又は0.3mgのポリソルベート80、
を含み、該抗体-薬物コンジュゲートが水に20mg/mLの濃度で溶解している状態でのpHが6.0である、[24]から[26]のいずれか1項に記載の医薬組成物。
[28]
(i)抗体-薬物コンジュゲート20mg当たりに、
(ii)0.78mgのL-ヒスチジン、及び1.05mgのL-ヒスチジン塩酸塩水和物、
(iii)90mgのスクロース、並びに、
(iv)0.2又は0.3mgのポリソルベート80を含む、[24]から[26]のいずれか1項に記載の医薬組成物。
[29]
(i)100mgの抗体-薬物コンジュゲート、
(ii)3.88mgのL-ヒスチジン、及び5.26mgのL-ヒスチジン塩酸塩水和物、
(iii)450mgのスクロース、並びに、
(iv)1.0又は1.5mgのポリソルベート80を含む、[24]から[26]のいずれか1項に記載の医薬組成物。
[30]
抗体-薬物コンジュゲートにおける抗体が、抗B7-H3抗体である、[11]に記載の医薬組成物。
抗B7-H3抗体が、配列番号7においてアミノ酸番号20乃至471に記載のアミノ酸配列からなる重鎖及び配列番号8においてアミノ酸番号21乃至233に記載のアミノ酸配列からなる軽鎖を含んでなる抗体、又は、該抗体の重鎖カルボキシル末端のリシン残基が欠失している抗体である、[30]に記載の医薬組成物。
[32]
抗体-薬物コンジュゲートにおける1抗体あたりの薬物リンカーの平均結合数が3から5個の範囲である、[30]又は[31]に記載の医薬組成物。
[33]
(i)抗体-薬物コンジュゲート20mg当たりに、
(ii)10mmolのヒスチジン緩衝剤、
(iii)90mgのスクロース、及び、
(iv)0.2又は0.3mgのポリソルベート20、
を含み、該抗体-薬物コンジュゲートが水に20mg/mLの濃度で溶解している状態でのpHが5.9である、[30]から[32]のいずれか1項に記載の医薬組成物。
[34]
(i)抗体-薬物コンジュゲート20mg当たりに、
(ii)0.65mgのL-ヒスチジン、及び1.22mgのL-ヒスチジン塩酸塩水和物、
(iii)90mgのスクロース、並びに、
(iv)0.2又は0.3mgのポリソルベート20を含む、[30]から[32]のいずれか1項に記載の医薬組成物。
[35]
(i)100mgの抗体-薬物コンジュゲート、
(ii)3.23mgのL-ヒスチジン、及び6.12mgのL-ヒスチジン塩酸塩水和物、
(iii)450mgのスクロース、並びに、
(iv)1.0又は1.5mgのポリソルベート20を含む、[30]から[32]のいずれか1項に記載の医薬組成物。
抗体-薬物コンジュゲートにおける抗体が、抗GPR20抗体である、[11]に記載の医薬組成物。
[37]
抗GPR20抗体が、配列番号9に記載のアミノ酸番号20乃至472に記載のアミノ酸配列からなる重鎖及び配列番号10においてアミノ酸番号21乃至234に記載のアミノ酸配列からなる軽鎖を含んでなる抗体、又は、該抗体の重鎖カルボキシル末端のリシン残基が欠失している抗体である、[36]に記載の医薬組成物。
[38]
抗体-薬物コンジュゲートにおける1抗体あたりの薬物リンカーの平均結合数が7から8個の範囲である、[36]又は[37]に記載の医薬組成物。
[39]
(i)抗体-薬物コンジュゲート20mg当たりに、
(ii)10mmolのヒスチジン緩衝剤、
(iii)90mgのスクロース、及び、
(iv)0.3mgのポリソルベート80、
を含み、該抗体-薬物コンジュゲートが水に20mg/mLの濃度で溶解している状態でのpHが5.4である、[36]から[38]のいずれか1項に記載の医薬組成物。
[40]
(i)抗体-薬物コンジュゲート20mg当たりに、
(ii)0.32mgのL-ヒスチジン、及び1.66mgのL-ヒスチジン塩酸塩水和物、
(iii)90mgのスクロース、並びに、
(iv)0.3mgのポリソルベート80を含む、[36]から[38]のいずれか1項に記載の医薬組成物。
(i)100mgの抗体-薬物コンジュゲート、
(ii)1.62mgのL-ヒスチジン、及び8.29mgのL-ヒスチジン塩酸塩水和物、
(iii)450mgのスクロース、並びに、
(iv)1.5mgのポリソルベート80を含む、[36]から[38]のいずれか1項に記載の医薬組成物。
[42]
(i)抗体-薬物コンジュゲート20mg当たりに、
(ii)0.89mgのL-ヒスチジン、及び4.04mgのL-ヒスチジン塩酸塩水和物、
(iii)90mgのスクロース、並びに、
(iv)0.3mgのポリソルベート80を含む、医薬組成物;
(ここで、該抗体-薬物コンジュゲートは、次式
で示される薬物リンカーと、抗体とがチオエーテル結合によって結合した抗体-薬物コンジュゲートである)。
[43]
(i)100mgの抗体-薬物コンジュゲート、
(ii)4.45mgのL-ヒスチジン、及び20.2mgのL-ヒスチジン塩酸塩水和物、
(iii)450mgのスクロース、並びに、
(iv)1.5mgのポリソルベート80を含む、[42]に記載の医薬組成物。
[44]
抗体-薬物コンジュゲートにおける1抗体あたりの薬物リンカーの平均結合数が7から8個の範囲である、[42]又は[43]に記載の医薬組成物。
[45]
抗体-薬物コンジュゲートにおける抗体が、抗HER2抗体である、[42]から[44]のいずれか1項に記載の医薬組成物。
抗HER2抗体が、配列番号1においてアミノ酸番号1乃至449に記載のアミノ酸配列からなる重鎖及び配列番号2においてアミノ酸番号1乃至214に記載のアミノ酸配列からなる軽鎖を含んでなる抗体である、[45]に記載の医薬組成物。
[47]
抗HER2抗体が、配列番号1に記載のアミノ酸配列からなる重鎖及び配列番号2に記載のアミノ酸配列からなる軽鎖を含んでなる抗体である、[45]に記載の医薬組成物。
[48]
(i)抗体-薬物コンジュゲート20mg当たりに、
(ii)0.81mgのL-ヒスチジン、及び4.14mgのL-ヒスチジン塩酸塩水和物、
(iii)90mgのスクロース、並びに、
(iv)0.3mgのポリソルベート20を含む、医薬組成物;
(ここで、該抗体-薬物コンジュゲートは、次式
で示される薬物リンカーと、抗体とがチオエーテル結合によって結合した抗体-薬物コンジュゲートである)。
[49]
(i)100mgの抗体-薬物コンジュゲート、
(ii)4.06mgのL-ヒスチジン、及び20.7mgのL-ヒスチジン塩酸塩水和物、
(iii)450mgのスクロース、並びに、
(iv)1.5mgのポリソルベート20を含む、[48]に記載の医薬組成物。
[50]
抗体-薬物コンジュゲートにおける1抗体あたりの薬物リンカーの平均結合数が7から8個の範囲である、[48]又は[49]に記載の医薬組成物。
抗体-薬物コンジュゲートにおける抗体が、抗HER3抗体である、[48]から[50]のいずれか1項に記載の医薬組成物。
[52]
抗HER3抗体が、配列番号3に記載のアミノ酸配列からなる重鎖及び配列番号4に記載のアミノ酸配列からなる軽鎖を含んでなる抗体である、[51]に記載の医薬組成物。
[53]
抗HER3抗体の重鎖カルボキシル末端のリシン残基が欠失している、[52]に記載の医薬組成物。
[54]
(i)抗体-薬物コンジュゲート20mg当たりに、
(ii)0.78mgのL-ヒスチジン、及び1.05mgのL-ヒスチジン塩酸塩水和物、
(iii)90mgのスクロース、並びに、
(iv)0.2又は0.3mgのポリソルベート80を含む、医薬組成物;
(ここで、該抗体-薬物コンジュゲートは、次式
で示される薬物リンカーと、抗体とがチオエーテル結合によって結合した抗体-薬物コンジュゲートである)。
[55]
(i)100mgの抗体-薬物コンジュゲート、
(ii)3.88mgのL-ヒスチジン、及び5.26mgのL-ヒスチジン塩酸塩水和物、
(iii)450mgのスクロース、並びに、
(iv)1.0又は1.5mgのポリソルベート80を含む、[54]に記載の医薬組成物。
[56]
抗体-薬物コンジュゲートにおける1抗体あたりの薬物リンカーの平均結合数が3から5個の範囲である、[54]又は[55]に記載の医薬組成物。
[57]
抗体-薬物コンジュゲートにおける抗体が、抗TROP2抗体である、[54]から[56]のいずれか1項に記載の医薬組成物。
[58]
抗TROP2抗体が、配列番号5においてアミノ酸番号20乃至470に記載のアミノ酸配列からなる重鎖及び配列番号6においてアミノ酸番号21乃至234に記載のアミノ酸配列からなる軽鎖を含んでなる抗体である、[57]に記載の医薬組成物。
[59]
抗TROP2抗体の重鎖カルボキシル末端のリシン残基が欠失している、[58]に記載の医薬組成物。
[60]
(i)抗体-薬物コンジュゲート20mg当たりに、
(ii)0.65mgのL-ヒスチジン、及び1.22mgのL-ヒスチジン塩酸塩水和物、
(iii)90mgのスクロース、並びに、
(iv)0.2又は0.3mgのポリソルベート20を含む、医薬組成物;
(ここで、該抗体-薬物コンジュゲートは、次式
で示される薬物リンカーと、抗体とがチオエーテル結合によって結合した抗体-薬物コンジュゲートである)。
[61]
(i)100mgの抗体-薬物コンジュゲート、
(ii)3.23mgのL-ヒスチジン、及び6.12mgのL-ヒスチジン塩酸塩水和物、
(iii)450mgのスクロース、並びに、
(iv)1.0又は1.5mgのポリソルベート20を含む、[60]に記載の医薬組成物。
[62]
抗体-薬物コンジュゲートにおける1抗体あたりの薬物リンカーの平均結合数が3から5個の範囲である、[60]又は[61]に記載の医薬組成物。
[63]
抗体-薬物コンジュゲートにおける抗体が、抗B7-H3抗体である、[60]から[62]のいずれか1項に記載の医薬組成物。
[64]
抗B7-H3抗体が、配列番号7においてアミノ酸番号20乃至471に記載のアミノ酸配列からなる重鎖及び配列番号8においてアミノ酸番号21乃至233に記載のアミノ酸配列からなる軽鎖を含んでなる抗体である、[63]に記載の医薬組成物。
[65]
抗B7-H3抗体の重鎖カルボキシル末端のリシン残基が欠失している、[64]に記載の医薬組成物。
[66]
(i)抗体-薬物コンジュゲート20mg当たりに、
(ii)0.32mgのL-ヒスチジン、及び1.66mgのL-ヒスチジン塩酸塩水和物、
(iii)90mgのスクロース、並びに、
(iv)0.3mgのポリソルベート80を含む、医薬組成物;
(ここで、該抗体-薬物コンジュゲートは、次式
で示される薬物リンカーと、抗体とがチオエーテル結合によって結合した抗体-薬物コンジュゲートである)。
[67]
(i)100mgの抗体-薬物コンジュゲート、
(ii)1.62mgのL-ヒスチジン、及び8.29mgのL-ヒスチジン塩酸塩水和物、
(iii)450mgのスクロース、並びに、
(iv)1.5mgのポリソルベート80を含む、[66]に記載の医薬組成物。
[68]
抗体-薬物コンジュゲートにおける1抗体あたりの薬物リンカーの平均結合数が7から8個の範囲である、[66]又は[67]に記載の医薬組成物。
[69]
抗体-薬物コンジュゲートにおける抗体が、抗GPR20抗体である、[66]から[68]のいずれか1項に記載の医薬組成物。
[70]
抗GPR20抗体が、配列番号9に記載のアミノ酸番号20乃至472に記載のアミノ酸配列からなる重鎖及び配列番号10においてアミノ酸番号21乃至234に記載のアミノ酸配列からなる軽鎖を含んでなる抗体である、[69]に記載の医薬組成物。
抗GPR20抗体の重鎖カルボキシル末端のリシン残基が欠失している、[70]に記載の医薬組成物。
[72]
注射剤である、[1]から[71]のいずれか1項に記載の医薬組成物。
[73]
水性注射剤である、[72]に記載の医薬組成物。
[74]
抗体-薬物コンジュゲートの濃度が20mg/mLである、[73]に記載の医薬組成物。
[75]
凍結された、[73]又は[74]に記載の医薬組成物。
凍結乾燥注射剤である、[72]に記載の医薬組成物。
[77]
褐色バイアルに格納された、[76]に記載の医薬組成物。
[78]
がんの治療用である、[1]から[77]のいずれか1項に記載の医薬組成物。
[79]
(1)所定量の、
(i)抗体-薬物コンジュゲート、
(ii)ヒスチジン緩衝剤、
(iii)スクロース又はトレハロース、及び、
(iv)界面活性剤、
を含む水溶液を調製する工程、
(2)必要に応じて、水溶液のpHを所定の値に調整する工程、次いで、
(3)水溶液を凍結乾燥する工程、
を含む、[76]に記載の医薬組成物の製造方法。
[80]
水溶液を凍結乾燥する工程が、水溶液の共融点付近の棚温度でアニーリングするプロセスを含む、[79]に記載の製造方法;
(ここで、共融点付近とは、共融点よりも1.5℃低い温度から、共融点よりも1.5℃高い温度の範囲を示す)。
水溶液を凍結乾燥する工程が、水溶液の共融点と同じ棚温度でアニーリングするプロセスを含む、[80]に記載の製造方法。
[82]
共融点よりも5℃低い棚温度でアニーリングを行った場合と比較し、1次乾燥するプロセスの時間が短縮されることを特徴とする、[80]又は[81]に記載の製造方法。
[83]
共融点よりも5℃低い棚温度でアニーリングを行った場合と比較し、よりシュリンクが少ない凍結乾燥ケーキが得られることを特徴とする、[80]から[82]のいずれか1項に記載の製造方法。
[84]
水溶液を凍結乾燥する工程が、-4~-1℃の棚温度でアニーリングするプロセスを含む、[79]に記載の製造方法。
[85]
水溶液を凍結乾燥する工程が、-4~-2℃の棚温度でアニーリングするプロセスを含む、[79]に記載の製造方法。
水溶液を凍結乾燥する工程が、-2.5℃の棚温度でアニーリングするプロセスを含む、[79]に記載の製造方法。
[87]
水溶液を凍結乾燥する工程が、-5~5℃の棚温度かつ5~15Paの真空下で1次乾燥するプロセスをさらに含む、[84]から[86]のいずれか1項に記載の製造方法。
[88]
水溶液を凍結乾燥する工程が、0℃の棚温度かつ10Paの真空下で1次乾燥するプロセスをさらに含む、[84]から[86]のいずれか1項に記載の製造方法。
[89]
水溶液を凍結乾燥する工程が、40~50℃の棚温度かつ5~15Paの真空下で2次乾燥するプロセスをさらに含む、[87]又は[88]に記載の製造方法。
[90]
水溶液を凍結乾燥する工程が、45℃の棚温度かつ10Paの真空下で2次乾燥するプロセスをさらに含む、[87]又は[88]に記載の製造方法。
[42]又は[43]の医薬組成物と、注射用水を含む、キット。
[92]
注射用水がアンプルに格納されている、[91]に記載のキット。
[93]
スクロース又はトレハロースを含有する水溶液の共融点付近の棚温度でアニーリングするプロセスを含む、凍結乾燥注射剤の製造方法;(ここで、共融点付近とは、共融点よりも1.5℃低い温度から、共融点よりも1.5℃高い温度の範囲を示す)。
[94]
スクロース又はトレハロースを含有する水溶液の共融点と同じ棚温度でアニーリングするプロセスを含む、凍結乾燥注射剤の製造方法。
に関する。
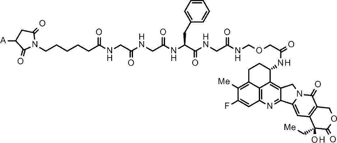
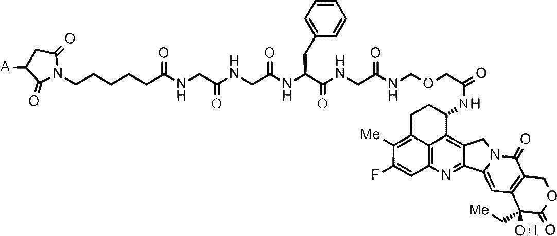
本発明において使用される抗体-薬物コンジュゲートは、次式
で示される薬物リンカーと、抗体とがチオエーテル結合によって結合した抗体-薬物コンジュゲートである。
本発明で使用される抗体-薬物コンジュゲートは、がん細胞内に移行した後に、次式
化合物(1)は、本発明で使用される抗体-薬物コンジュゲートのリンカー部分が切断されることにより生じると考えられる、次式
このバイスタンダー効果は、本発明で使用される抗体-薬物コンジュゲートが、標的発現がん細胞に内在化した後、放出された化合物(1)が、標的を発現していない近傍のがん細胞に対しても抗腫瘍効果を及ぼすことにより発揮される。
本発明で使用される抗体-薬物コンジュゲートにおける抗体は、いずれの種に由来してもよいが、好適には、ヒト、ラット、マウス、及びウサギに由来する抗体である。抗体がヒト以外の種に由来する場合は、周知の技術を用いて、キメラ化又はヒト化することが好ましい。本発明の抗体は、ポリクローナル抗体であっても、モノクローナル抗体であってもよいが、モノクローナル抗体が好ましい。
本発明で使用される抗体-薬物コンジュゲートにおける抗体は、公知の手段によって取得することができる。例えば、この分野で通常実施される方法を用いて、抗原となるポリペプチドを動物に免疫し、生体内に産生される抗体を採取、精製することによって得ることができる。抗原の由来はヒトに限定されず、マウス、ラット等のヒト以外の動物に由来する抗原を動物に免疫することもできる。この場合には、取得された異種抗原に結合する抗体とヒト抗原との交差性を試験することによって、ヒトの疾患に適用可能な抗体を選別できる。
抗GPR20抗体としては、例えば、h046-H4e/L7(国際公開第2018/135501号)を挙げることができる。
本発明の抗体-薬物コンジュゲートの製造に使用される薬物リンカー中間体は、次式で示される。
本発明で使用される抗体-薬物コンジュゲートは、前述の薬物リンカー中間体と、チオール基(又はスルフヒドリル基とも言う)を有する抗体を反応させることによって製造することができる。
以下、本発明の医薬組成物について説明する。
本発明の医薬組成物は、
(i)抗体-薬物コンジュゲート、
(ii)ヒスチジン緩衝剤、
(iii)スクロース又はトレハロース、及び、
(iv)界面活性剤、
を含む、医薬組成物である。
(ここで、該抗体-薬物コンジュゲートは、次式
で示される薬物リンカーと、抗体とがチオエーテル結合によって結合した抗体-薬物コンジュゲートである。)
本発明において「ヒスチジン緩衝剤」とは、ヒスチジンとヒスチジンの塩(酸付加物)との混合物であり、好適には、L-ヒスチジンとL-ヒスチジン塩酸塩(及び/又はその水和物)との混合物である。本発明におけるヒスチジン緩衝剤が溶解している水は、ヒスチジン緩衝液と同義である。
スクロース又はトレハロースの量は、好適には、抗体-薬物コンジュゲート20mg当たりに24~320mgである。スクロースの場合、その量は、より好適には、90mgである。トレハロースの場合は、トレハロース水和物として計算すると、その量は、より好適には、100mgである。また、本発明の医薬組成物は、スクロース及びトレハロースのうち、スクロースをより好適に用いることができる。
本発明において「界面活性剤」とは、親水性基と疎水性基を有し、医薬品製剤の構成成分の一つとして使用される物質を示す。本発明における界面活性剤は、好適には、ポリソルベート(ポリソルベート80(Tween80)、ポリソルベート20(Tween20)、及びポリソルベート60(Tween60)を含む)、ポリオキシエチレン(160)ポリオキシプロピレン(30)グリコール、ポリオキシエチレン硬化ヒマシ油60、ポリオキシエチレンヒマシ油、又はラウリル硫酸ナトリウムであり、より好適には、ポリソルベート80、又はポリソルベート20である。
以上を総合的に考慮すると、本発明の医薬組成物は、好適には、
(i)抗体-薬物コンジュゲート20mg当たりに、
(ii)3~80mmolのヒスチジン緩衝剤、
(iii)24~320mgのスクロース又はトレハロース、及び、
(iv)0.05~1.6mgのポリソルベート80又はポリソルベート20、
を含む、医薬組成物であり、
より好適には、
(i)抗体-薬物コンジュゲート20mg当たりに、
(ii)10~40mmolのヒスチジン緩衝剤、
(iii)90mgのスクロース又は100mgのトレハロース水和物、及び、
(iv)0.2~0.4mgのポリソルベート80又はポリソルベート20、
を含む、医薬組成物であり、
更により好適には、
(i)抗体-薬物コンジュゲート20mg当たりに、
(ii)10又は25mmolのヒスチジン緩衝剤、
(iii)90mgのスクロース、及び、
(iv)0.2又は0.3mgのポリソルベート80又はポリソルベート20、
を含む、医薬組成物である。
上記の医薬組成物は、抗体-薬物コンジュゲートの濃度が20mg/mLである水溶液として表すと、以下のように言い換えることもできる。
(i)20mg/mLの抗体-薬物コンジュゲート、
(ii)ヒスチジン緩衝剤、
(iii)スクロース又はトレハロース、
(iv)界面活性剤、及び、
(v)水
を含む、医薬組成物であり、
より好適には、
(i)20mg/mLの抗体-薬物コンジュゲート、
(ii)3~80mMのヒスチジン緩衝剤、
(iii)2.4~32%のスクロース又はトレハロース、
(iv)0.005~0.16%のポリソルベート80又はポリソルベート20、及び、
(v)水
を含む、医薬組成物であり、
更により好適には、
(i)20mg/mLの抗体-薬物コンジュゲート、
(ii)10~40mMのヒスチジン緩衝剤、
(iii)9%のスクロース又は10%のトレハロース水和物、
(iv)0.02~0.04%のポリソルベート80又はポリソルベート20、及び、
(v)水
を含む、医薬組成物であり、
更により好適には、
(i)20mg/mLの抗体-薬物コンジュゲート、
(ii)10又は25mMのヒスチジン緩衝剤、
(iii)9%のスクロース、及び、
(iv)0.02又は0.03%のポリソルベート80又はポリソルベート20、及び、
(v)水
を含む、医薬組成物である。
(i)抗体-薬物コンジュゲート20mg当たりに、
(ii)25mmolのヒスチジン緩衝剤、
(iii)90mgのスクロース、及び、
(iv)0.3mgのポリソルベート80、
を含む、医薬組成物である。
さらに、該抗体-薬物コンジュゲートが水に20mg/mLの濃度で溶解している状態での上記医薬組成物のpHは、好適には5.3~5.7であり、より好適には5.4~5.6であり、更により好適には5.5である。
(i)抗体-薬物コンジュゲート20mg当たりに、
(ii)0.89mgのL-ヒスチジン、及び4.04mgのL-ヒスチジン塩酸塩水和物、
(iii)90mgのスクロース、並びに、
(iv)0.3mgのポリソルベート80を含む、医薬組成物として表すことができる。
(i)100mgの抗体-薬物コンジュゲート、
(ii)4.45mgのL-ヒスチジン、及び20.2mgのL-ヒスチジン塩酸塩水和物、
(iii)450mgのスクロース、並びに、
(iv)1.5mgのポリソルベート80を含む、医薬組成物として表すことができる。
(i)20mg/mLの抗体-薬物コンジュゲート、
(ii)25mMのヒスチジン緩衝剤、
(iii)9%のスクロース、及び、
(iv)0.03%のポリソルベート80、及び、
(v)水
を含み、pHが5.5である、医薬組成物として表すことができる。
(i)抗体-薬物コンジュゲート20mg当たりに、
(ii)25mmolのヒスチジン緩衝剤、
(iii)90mgのスクロース、及び、
(iv)0.3mgのポリソルベート20、
を含む、医薬組成物である。
さらに、該抗体-薬物コンジュゲートが水に20mg/mLの濃度で溶解している状態での上記医薬組成物のpHは、好適には5.2~5.6であり、より好適には5.3~5.5であり、更により好適には5.4である。
(i)抗体-薬物コンジュゲート20mg当たりに、
(ii)0.81mgのL-ヒスチジン、及び4.14mgのL-ヒスチジン塩酸塩水和物、
(iii)90mgのスクロース、並びに、
(iv)0.3mgのポリソルベート20を含む、医薬組成物として表すことができる。
(i)100mgの抗体-薬物コンジュゲート、
(ii)4.06mgのL-ヒスチジン、及び20.7mgのL-ヒスチジン塩酸塩水和物、
(iii)450mgのスクロース、並びに、
(iv)1.5mgのポリソルベート20を含む、医薬組成物として表すことができる。
(i)20mg/mLの抗体-薬物コンジュゲート、
(ii)25mMのヒスチジン緩衝剤、
(iii)9%のスクロース、及び、
(iv)0.03%のポリソルベート20、及び、
(v)水
を含み、pHが5.4である、医薬組成物として表すことができる。
(i)抗体-薬物コンジュゲート20mg当たりに、
(ii)10mmolのヒスチジン緩衝剤、
(iii)90mgのスクロース、及び、
(iv)0.2又は0.3mgのポリソルベート80、
を含む、医薬組成物である。
さらに、該抗体-薬物コンジュゲートが水に20mg/mLの濃度で溶解している状態での上記医薬組成物のpHは、好適には5.8~6.2であり、より好適には5.9~6.1であり、更により好適には6.0である。
(i)抗体-薬物コンジュゲート20mg当たりに、
(ii)0.78mgのL-ヒスチジン、及び1.05mgのL-ヒスチジン塩酸塩水和物、
(iii)90mgのスクロース、並びに、
(iv)0.2又は0.3mgのポリソルベート80を含む、医薬組成物として表すことができる。
(i)100mgの抗体-薬物コンジュゲート、
(ii)3.88mgのL-ヒスチジン、及び5.26mgのL-ヒスチジン塩酸塩水和物、
(iii)450mgのスクロース、並びに、
(iv)1.0又は1.5mgのポリソルベート80を含む、医薬組成物として表すことができる。
(i)20mg/mLの抗体-薬物コンジュゲート、
(ii)10mMのヒスチジン緩衝剤、
(iii)9%のスクロース、及び、
(iv)0.02又は0.03%のポリソルベート80、及び、
(v)水
を含み、pHが6.0である、医薬組成物として表すことができる。
(i)抗体-薬物コンジュゲート20mg当たりに、
(ii)10mmolのヒスチジン緩衝剤、
(iii)90mgのスクロース、及び、
(iv)0.2又は0.3mgのポリソルベート20、
を含む、医薬組成物である。
さらに、該抗体-薬物コンジュゲートが水に20mg/mLの濃度で溶解している状態での上記医薬組成物のpHは、好適には5.7~6.1であり、より好適には5.8~6.0であり、更により好適には5.9である。
(i)抗体-薬物コンジュゲート20mg当たりに、
(ii)0.65mgのL-ヒスチジン、及び1.22mgのL-ヒスチジン塩酸塩水和物、
(iii)90mgのスクロース、並びに、
(iv)0.2又は0.3mgのポリソルベート20を含む、医薬組成物として表すことができる。
(i)100mgの抗体-薬物コンジュゲート、
(ii)3.23mgのL-ヒスチジン、及び6.12mgのL-ヒスチジン塩酸塩水和物、
(iii)450mgのスクロース、並びに、
(iv)1.0又は1.5mgのポリソルベート20を含む、医薬組成物として表すことができる。
(i)20mg/mLの抗体-薬物コンジュゲート、
(ii)10mMのヒスチジン緩衝剤、
(iii)9%のスクロース、及び、
(iv)0.02又は0.03%のポリソルベート20、及び、
(v)水
を含み、pHが5.9である、医薬組成物として表すことができる。
(i)抗体-薬物コンジュゲート20mg当たりに、
(ii)10mmolのヒスチジン緩衝剤、
(iii)90mgのスクロース、及び、
(iv)0.3mgのポリソルベート80、
を含む、医薬組成物である。
さらに、該抗体-薬物コンジュゲートが水に20mg/mLの濃度で溶解している状態での上記医薬組成物のpHは、好適には5.2~5.6であり、より好適には5.3~5.5であり、更により好適には5.4である。
(i)抗体-薬物コンジュゲート20mg当たりに、
(ii)0.32mgのL-ヒスチジン、及び1.66mgのL-ヒスチジン塩酸塩水和物、
(iii)90mgのスクロース、並びに、
(iv)0.3mgのポリソルベート80を含む、医薬組成物として表すことができる。
(i)100mgの抗体-薬物コンジュゲート、
(ii)1.62mgのL-ヒスチジン、及び8.29mgのL-ヒスチジン塩酸塩水和物、
(iii)450mgのスクロース、並びに、
(iv)1.5mgのポリソルベート80を含む、医薬組成物として表すことができる。
(i)20mg/mLの抗体-薬物コンジュゲート、
(ii)10mMのヒスチジン緩衝剤、
(iii)9%のスクロース、及び、
(iv)0.03%のポリソルベート80、及び、
(v)水
を含み、pHが5.4である、医薬組成物として表すことができる。
本発明において「凍結乾燥注射剤」とは、水(好適には注射用水)で用時溶解して用いることができる固形状の注射剤であって、所定量の医薬成分を含む水溶液を凍結乾燥することにより得られる医薬組成物のことを示す。
本発明の医薬組成物が、水性注射剤である場合、抗体-薬物コンジュゲートの濃度は、好適には、5~60mg/mLであり、より好適には、15~40mg/mLであり、更により好適には、20mg/mLである。
本発明の医薬組成物が、水性注射剤である場合、本発明の医薬組成物は、好適には凍結された状態で保存することができる。
(1)所定量の、
(i)抗体-薬物コンジュゲート、
(ii)ヒスチジン緩衝剤、
(iii)スクロース又はトレハロース、及び、
(iv)界面活性剤、
を含む水溶液を調製する工程、
(2)必要に応じて、水溶液のpHを所定の値に調整する工程、次いで、
(3)水溶液を凍結乾燥する工程、
を含む、製造方法である。
水溶液を凍結乾燥する工程は、好適には、水溶液の共融点付近の棚温度でアニーリングするプロセスを含む。ここで、共融点付近とは、共融点よりも1.5℃低い温度から、共融点よりも1.5℃高い温度の範囲を示す。
本発明において「アニーリング」とは、凍結ガラス転移点(Tg’)以上の製品温度で凍結体中の氷晶を成長させる工程を意味する。氷晶が大きくなることにより、乾燥時に昇華する水(水蒸気)の通り道が大きくなる。これにより、昇華抵抗が減り、凍結乾燥ケーキの形状の改善及び乾燥時間の短縮が期待できる。
本発明において「棚温度」とは、凍結乾燥を行う装置内(系内)の温度を意味する。
本発明において「製品温度」とは、凍結乾燥を行う対象物(製品)の温度を意味する。
本発明において「凍結乾燥ケーキ」とは、一連の凍結乾燥プロセスによって得られた凍結乾燥体(多孔性構造を有する固体)を意味する。
アニーリングは、前述の通り、水溶液の共融点よりも1.5℃低い温度から、共融点よりも1.5℃高い温度の範囲で好適に行うことができ、より好適には、水溶液の共融点と同じ棚温度で行うことができる。
これらの製造方法は、好適には、共融点よりも5℃低い棚温度でアニーリングを行った場合と比較し、1次乾燥するプロセスの時間が短縮されることを特徴とする。また、好適には、共融点よりも5℃低い棚温度でアニーリングを行った場合と比較し、よりシュリンクが少ない凍結乾燥ケーキが得られることを特徴とする。
本発明において「2次乾燥プロセス」とは、凍結乾燥注射剤の製造工程の一つであり、溶質に結合した水(結合水)を昇華するための工程を意味する。
また、本発明の凍結乾燥方法は、本発明で使用される抗体-薬物コンジュゲートを含む医薬組成物のみならず、スクロース又はトレハロースを含有する水溶液への一般的な適用が期待される。
従って、スクロース又はトレハロースを含有する水溶液の共融点付近の棚温度でアニーリングするプロセスを含む、凍結乾燥注射剤の製造方法(ここで、共融点付近とは、共融点よりも1.5℃低い温度から、共融点よりも1.5℃高い温度の範囲を示す。)も、本発明の範囲に含まれる。
また、アニーリングは、好適には、スクロース又はトレハロースを含有する水溶液の共融点と同じ棚温度で行うことができる。
これらの製造方法は、好適には、共融点よりも5℃低い棚温度でアニーリングを行った場合と比較し、1次乾燥するプロセスの時間が短縮されることを特徴とする。
本発明の医薬組成物は、患者に対しては全身療法として適用する他、がん組織に局所的に適用して治療効果を期待することができる。
国際公開第2015/115091号に記載の製造方法を参考に、ヒト化抗HER2抗体(トラスツズマブ)を用いて、式
で示される薬物リンカーと、抗HER2抗体とがチオエーテル結合によって結合した抗体-薬物コンジュゲート(以下、「抗体-薬物コンジュゲート(1)」と称する)を製造した。抗体-薬物コンジュゲート(1)のDARは、7.8であった。
製剤の調製法(1)
抗体-薬物コンジュゲート(1)(20mg/mL)、10mMヒスチジン緩衝剤、11.1%トレハロース水和物、及び0.02%ポリソルベート20を含む水溶液(pH5.8)を透析カセット(透析膜、Slide-A-lyzer, MWCO 20,000)に注入し、透析カセットに注入した試料量の50倍以上の目的処方の賦形剤を含有する緩衝液で透析を行った。透析は5°Cで5時間以上を2回行った。透析後のタンパク質濃度が約20mg/mLになるように濃縮または希釈を適宜実施した。この溶液を0.22μmフィルターを用いてろ過した。ろ過した液を1mLずつガラスバイアルに充填し、ゴム栓を半打栓し、表1の条件で凍結乾燥を行った。凍結乾燥後、ゴム栓が打栓されたバイアルにキャップを巻締めた。ろ過と充填操作はクリーンベンチ内にて実施した。
抗体-薬物コンジュゲート(1)(20mg/mL)、10mMヒスチジン緩衝剤、11.1%トレハロース水和物、及び0.02%ポリソルベート20を含む水溶液(pH5.8)をUF膜キット(AMICON ULTRA-15、30kDa)に分注して3000rpm、5℃設定で遠心を行い約2倍に濃縮した。この濃縮液に含有するポリソルベート20を疎水性吸着剤(アンバーライト XAD7HP)に吸着させ除去した。このポリソルベート20を除去した薬液を透析カセット(透析膜、Slide-A-lyzer, MWCO 20,000)に注入し、透析カセットに注入した試料量の50倍以上の目的処方の賦形剤を含有する緩衝液で透析を行った。透析は5℃で5時間以上を2回行った。透析後のタンパク質濃度が約20mg/mLになるように濃縮または希釈を適宜実施した後、ポリソルベート20またはポリソルベート80を添加して混合した。この溶液を0.22μmフィルターを用いてろ過した。ろ過した液を1mLずつガラスバイアルに充填し、ゴム栓を半打栓し、表2の条件で凍結乾燥を行った。凍結乾燥後、ゴム栓が打栓されたバイアルにキャップを巻締めた。ろ過と充填操作はクリーンベンチ内にて実施した。
凍結乾燥注射剤を40℃/75%RHで3ヵ月間保存した。タンパク質濃度(UV法にて測定)、水分(カールフィッシャー法にて測定)、不溶性微粒子(Micro Flow Imagingにて測定)、Drug Antibady Ratio(DAR)(HPLC法にて測定)、単量体・凝集体・断片体の比率(SE-HPLC(SEC)にて測定)、Non Proteinous Impurity (NPI)(HPLC法にて測定)、Impurity of Payload (IoP)(HPLC法にて測定)、電荷異性体(CZEにて測定)、pH、及びHER2 binding activity(ELISA法にて測定)を指標に、安定性を比較評価した。
凍結乾燥注射剤の賦形剤はバイオ医薬品で使用実績があり、浸透圧がほぼ等張となる濃度である10%トレハロース水和物、9%スクロース、5%ソルビトールから選定した。その他の成分は共通で抗体-薬物コンジュゲート(1)(20mg/mL)、40mMヒスチジン緩衝剤、0.02%ポリソルベート20、pH5.8とした。
凍結乾燥注射剤の緩衝剤はバイオ医薬品で使用実績があり、pH4からpH7付近の緩衝能を持つヒスチジン、クエン酸、リン酸、コハク酸、及びグルタミン酸から選定した。これらの緩衝剤の濃度は一律25mMとした。その他の成分は共通で抗体-薬物コンジュゲート(1)(20mg/mL)、10%トレハロース水和物、0.02%ポリソルベート20、pH5.8とした。
凍結乾燥注射剤の再溶解後のpHは緩衝剤スクリーニングで選定したヒスチジン緩衝剤を用い、点滴静注した場合に生体適合性や刺激性等の安全性を考慮しpH4からpH7の範囲から選定した。その他の成分は共通で抗体-薬物コンジュゲート(1)(20mg/mL)、9%スクロース、25mMヒスチジン緩衝剤、0.02%ポリソルベート20とした。試料作製は製剤の調製法(1)で実施した。
凍結乾燥注射剤の緩衝剤として選定したヒスチジン緩衝剤の濃度は、10mMから40mMの範囲から選定した。その他の成分は共通で抗体-薬物コンジュゲート(1)(20mg/mL)、9%スクロース、0.02%ポリソルベート20、pH5.5とした。試料作製は製剤の調製法(1)で実施した。
凍結乾燥注射剤の場合、界面活性剤は凍結時のタンパク質濃縮層の界面保護剤や凍結乾燥体の再溶解時に発生する微細な気泡に対する界面保護剤としての役割が期待されることから、界面活性剤として、0.02%から0.04%のポリソルベート20(Tween20)及び、ポリソルベート80(Tween80)について検討した。その他の成分は共通で抗体-薬物コンジュゲート(1)(20mg/mL)、9%スクロース、25mMヒスチジン緩衝剤、pH5.5とした。試料作製は製剤の調製法(2)で実施した。
褐色ガラスバイアル、及び透明ガラスバイアルのそれぞれに、凍結乾燥注射剤を充填し、1,000lxの白色蛍光灯下に光暴露した時の品質変化を比較検討した。凍結乾燥注射剤の成分は、抗体-薬物コンジュゲート(1)(20mg/mL)、9%スクロース、25mMヒスチジン緩衝剤、0.02%ポリソルベート20(pH5.5)とし、試料作製は製剤の調製法(1)で実施した。
結果を表9に示す。透明ガラスバイアルよりも、褐色ガラスバイアルを使用した場合に、凝集体(図8)及びIoP(図9)の生成を抑制できることが判明した。
注射剤の凍結乾燥方法を設定する上で指標となる重要な物性は、凍結乾燥する薬物含有水溶液の凍結ガラス転移点(Tg’)、凍結乾燥中に生成する多孔性構造を有するケーキの崩壊温度(Tc)であり、このTg’またはTc以下となる製品温度で乾燥することによってケーキ状の多孔性構造を有する凍結乾燥体が得られる。乾燥プロセスは、一般的に凍結体中の自由水を昇華するための1次乾燥プロセスと溶質に結合した水(結合水)を昇華するための2次乾燥プロセスで構成され、1次乾燥プロセス中の自由水はTg’以下の製品温度で昇華することが適当であり、Tc以下の製品温度で昇華することも可能である。
抗体-薬物コンジュゲート(1)(20mg/mL)、9%スクロース、25mMヒスチジン緩衝剤、0.03%ポリソルベート80、を含み、pHが5.5である水溶液(以下、「水溶液(1)」という。)の、Tg’は-31℃、Tcは-27℃である。
水溶液(1)5.2~5.5mLを容量が約10mLのガラスバイアルに充填して凍結乾燥方法の検討を実施した。
1次乾燥プロセスで最も重要なパラメータは棚温度及び、庫内真空度である。凍結乾燥ケーキの形状(安定性)や再溶解性、乾燥時間は前述のパラメータの影響を大きく受けることから、棚温度を-20℃から0℃の範囲及び、庫内真空度を5Paから15Paの範囲で実験計画法を用いて検討した。凍結乾燥は表9のパラメータで実施した(アニーリングの棚温度は-7℃)。
図11は1次乾燥プロセスにおける棚温度と庫内真空度を変動させた時の水溶液(1)の乾燥時間の等高線図である。棚温度が低く庫内真空度が高い条件で1次乾燥時間は長くなり、その逆の棚温度が高く庫内真空度が低い条件で乾燥時間は短くなる、一般的な乾燥速度挙動を示し、製品温度との相関が認められた。製品温度等高線図の三角で囲んだ部分のパラメータ領域では、良好な形状の凍結乾燥ケーキが得られるが、長時間の1次乾燥プロセスが必要になることが明らかとなった。
凍結乾燥ケーキの形状は外観品質の観点ではシュリンクのない状態が望まれるため、本検討の結果から1次乾燥プロセスは少なくとも58時間必要であることが明らかとなった。そのため、総凍結乾燥時間は、凍結プロセスに11時間、2次乾燥・出庫プロセスに12時間は必要であることから、81時間となる。つまり凍結乾燥のプロセス期間は3日間以上となり、これに凍結乾燥開始日と終了日を加えると製造期間は5日間と見積もられた。
一方、凍結乾燥は生産効率及び、生産コストの観点で短時間(短期間)のプロセスが望ましいため、長時間の凍結乾燥プロセスが必要になることが課題となった。
この課題を解決するため1次乾燥プロセス時間を短縮してもシュリンクが少ない凍結乾燥ケーキを得るために、凍結乾燥ケーキの多孔性構造の改善が期待できるアニーリングステップに着目し、アニーリングパラメータの検討を実施した。
アニーリングプロセスで重要なパラメータは棚温度であり、棚温度を変動することによって凍結体の製品温度を調節することができる。
本検討では凍結乾燥ケーキの多孔性構造は氷晶の氷が昇華することによって作られるため、アニーリングの棚温度の最適化を実施した。アニーリングの棚温度は共融点から安全マージンをとった温度に設定することが一般的であることから、共融点が-2.5℃である水溶液(1)では-7℃で実施していたが、凍結体中の氷晶を成長させて氷の昇華抵抗を減らし、乾燥がスムーズに進むことで凍結乾燥ケーキにシュリンクが生じ難い比表面積の小さな多孔性構造とするため-7℃よりも高い棚温度を試みた。アニーリングの棚温度の範囲は-7℃から0.5℃までとし、比表面積の小さな多孔性構造を作ることで凍結乾燥ケーキの外観品質の改善を検討した。本検討の凍結乾燥は表11のパラメータで実施し、1次乾燥時間は合計約42時間とした。
アニーリングはこれまで共融点よりも5℃程度低い棚温度で実施されることが一般的であったが、本検討によって、共融点付近でアニーリングした方がより優れた外観の凍結乾燥ケーキが得られることが見出された。アニーリングの棚温度は、本検討結果をもとに共融点付近の-4℃から-2℃に設定した。
また、本検討から、共融点付近でアニーリングすることによって、1次乾燥プロセスの時間を40時間程度短縮できることが判明した。図10及び、図11の結果をもとに、棚温度-5℃、庫内真空度7Paに設定することにより製品温度が比較的低い状態で乾燥が可能で且つ乾燥時間を18時間程度短縮が見込まれる条件であると考えられたことから1次乾燥パラメータとして設定した。
2次乾燥プロセスは溶質に結合した水(結合水)を乾燥するためのプロセスであり、2次乾燥後の乾燥度が凍結乾燥注射剤の保存安定性に大きく影響を及ぼすことが一般的に知られている。結合水は高い温度で乾燥するほど低くすることができるが、抗体-薬物コンジュゲートの抗体部分は熱に不安定なことが一般的であるため、キャピラリー示差走査熱量計でタンパク質の熱変性Onsetを測定した。図13に示すのとおり抗体-薬物コンジュゲート(1)の熱変性Onsetは52℃から53℃であったことから2次乾燥の棚温度は50℃以下で乾燥度(残存水分)を評価した。
2次乾燥の棚温度は30℃から50℃の範囲とし、乾燥度の評価を実施した。本検討の凍結乾燥は表12のパラメータで実施した。
バイオ医薬品(タンパク質医薬品)の凍結乾燥注射剤の賦形剤は、タンパク質の凍結保護作用を持ち、保存中のメイラード反応リスクがないスクロースやトレハロースといった非還元二糖類を製剤処方に選定することが一般的である。これらの糖は他の糖類よりもTg’やTcが低いため棚温度を低くして製品温度がTg’やTcを超えないように乾燥する必要があり、凍結乾燥プロセスが長くなる課題や凍結乾燥ケーキにシュリンクが生じ易いといった課題を持つ。水溶液(1)についても例外ではなかったことから、これらの課題を解決するため1次乾燥、アニーリングプロセス及び2次乾燥プロセスの検討を実施し、その結果をもとに表14のとおり水溶液(1)の凍結乾燥方法を設定した。この凍結乾燥方法の特徴はアニーリングパラメータであり、共融点付近でアニーリングすることによってシュリンクを顕著に低減した凍結乾燥ケーキを短時間で製造できることが見出された。
実施例10で製造した凍結乾燥注射剤について、さらに、40℃/75%RH下6ヵ月間、25℃/60%RH下12ヵ月間、5℃下18ヵ月間での保存安定性を、タンパク質濃度、水分、不溶性微粒子、DAR、単量体・凝集体・断片体の比率、NPI、IoP、電荷異性体、及びpHを指標に評価した。その結果、顕著な品質変化は認められないことが判明した。
(1)アニーリングパラメータ設定
水溶液(1)の凍結乾燥方法として、凍結体中の氷晶を成長させるため、棚温度-2.5℃を120分間保持してアニーリングを行う方法を採用していたが、120分では凍結体の上層部の温度が-2.5℃まで上昇しておらず氷晶成長が不十分なため僅かながら凍結乾燥ケーキにシュリンクが起きることが判明した。アニーリング時間を240分間まで延長すると凍結体の上層部の温度が-2.5℃に到達することが判明したためアニーリング時間を4時間に変更することとした。4時間に変更することによって氷晶が十分に成長することで水の昇華速度が速くなり一次乾燥時間が短縮することが判明した。
-2.5℃で4時間アニーリングを行い、一次乾燥プロセスパラメータについて棚温度を-10℃から15℃の範囲及び、庫内真空度を4Paから30Paの範囲で検討した。凍結乾燥は表15のパラメータで実施した。
上記の結果をもとに表16のとおり水溶液(1)の凍結乾燥方法を設定した。
(1)製剤の調製
原薬(抗体-薬物コンジュゲート(1)(20mg/mL)、25mMヒスチジン、9%スクロース、pH5.5)をUF膜キット(AMICON ULTRA-15、30kDa)に分注して3000rpm、5℃設定で遠心を行い約3倍に濃縮した。この濃縮原薬を透析カセット(透析膜、Slide-A-lyzer, MWCO 20,000)に注入し、透析カセットに注入した試料量の50倍以上の目的処方の緩衝液で透析を行った。透析は5°Cで5時間以上を2回行った。透析後のタンパク質濃度が約5mg/mLまたは約50mg/mLになるように濃縮または希釈を適宜実施した後、ポリソルベート80を添加して混合し、抗体-薬物コンジュゲート(1)(5mg/mL)、8%スクロース、20mMヒスチジン緩衝剤、及び0.04%ポリソルベート80、を含み、pHが4.0である水溶液(以下、「水溶液(2)」という。)、抗体-薬物コンジュゲート(1)(50mg/mL)、6%スクロース、40mMヒスチジン緩衝剤、及び0.04%ポリソルベート80、を含み、pHが7.0である水溶液(以下、「水溶液(3)」という。)、抗体-薬物コンジュゲート(1)(5mg/mL)、8%トレハロース水和物、20mMヒスチジン緩衝剤、及び0.04%ポリソルベート80、を含み、pHが4.0である水溶液(以下、「水溶液(4)」という。)、並びに、抗体-薬物コンジュゲート(1)(50mg/mL)、6%トレハロース水和物、40mMヒスチジン緩衝剤、及び0.04%ポリソルベート80、を含み、pHが7.0である水溶液(以下、「水溶液(5)」という。)を調製した。
なお、抗体-薬物コンジュゲート(1)20mg当たりの量で換算すると、水溶液(2)は、320mgのスクロース、80mMのヒスチジン緩衝剤、及び1.6mgのポリソルベート80を含み、水溶液(3)は、24mgのスクロース、16mMのヒスチジン緩衝剤、及び0.16mgのポリソルベート80を含み、水溶液(4)は、320mgのトレハロース水和物、80mMのヒスチジン緩衝剤、及び1.6mgのポリソルベート80を含み、水溶液(5)は、24mgのトレハロース水和物、16mMのヒスチジン緩衝剤、及び0.16mgのポリソルベート80を含んでいる。
これらの溶液を0.22μmフィルターを用いてろ過した。ろ過した液を5mLずつ褐色ガラスバイアルに充填し、凍結乾燥製剤の場合はゴム栓を半打栓し、表17の条件で凍結乾燥を行った。凍結乾燥後、ゴム栓が打栓されたバイアルにキャップを巻締めた。
本凍結乾燥方法で製造した凍結乾燥注射剤について、40℃/75%RH下の保存安定性を、タンパク質濃度、水分、不溶性微粒子、DAR、単量体・凝集体・断片体の比率、NPI、IoP、電荷異性体、及びpHを指標に評価した。
国際公開第2015/155998号に記載の製造方法を参考に、抗HER3抗体(配列番号3に記載のアミノ酸配列からなる重鎖及び配列番号4に記載のアミノ酸配列からなる軽鎖を含んでなる抗体)を用いて、式
で示される薬物リンカーと、抗HER3抗体とがチオエーテル結合によって結合した抗体-薬物コンジュゲート(以下、「抗体-薬物コンジュゲート(2)」と称する)を製造した。抗体-薬物コンジュゲート(2)のDARは、7.7であった。
国際公開第2015/098099号に記載の製造方法を参考に、抗TROP2抗体(配列番号5においてアミノ酸番号20乃至470に記載のアミノ酸配列からなる重鎖及び配列番号6においてアミノ酸番号21乃至234に記載のアミノ酸配列からなる軽鎖を含んでなる抗体)を用いて、式
で示される薬物リンカーと、抗TROP2抗体とがチオエーテル結合によって結合した抗体-薬物コンジュゲート(以下、「抗体-薬物コンジュゲート(3)」と称する)を製造した。抗体-薬物コンジュゲート(3)のDARは、4.3であった。
国際公開第2014/057687号に記載の製造方法を参考に、抗B7-H3抗体(配列番号7においてアミノ酸番号20乃至471に記載のアミノ酸配列からなる重鎖及び配列番号8においてアミノ酸番号21乃至233に記載のアミノ酸配列からなる軽鎖を含んでなる抗体)を用いて、式
で示される薬物リンカーと、抗B7-H3抗体とがチオエーテル結合によって結合した抗体-薬物コンジュゲート(以下、「抗体-薬物コンジュゲート(4)」と称する)を製造した。抗体-薬物コンジュゲート(4)のDARは、4.6であった。
国際公開第2018/135501号に記載の製造方法を参考に、抗GPR20抗体(配列番号9に記載のアミノ酸番号20乃至472に記載のアミノ酸配列からなる重鎖及び配列番号10においてアミノ酸番号21乃至234に記載のアミノ酸配列からなる軽鎖を含んでなる抗体)を用いて、式
で示される薬物リンカーと、抗GPR20抗体とがチオエーテル結合によって結合した抗体-薬物コンジュゲート(以下、「抗体-薬物コンジュゲート(5)」と称する)を製造した。抗体-薬物コンジュゲート(5)のDARは、7.8であった。
実施例14~17にて調整した水溶液(6)~(11)を、実施例10及び12に記載の方法と同様な方法で、それぞれ凍結乾燥し、凍結乾燥注射剤を製造した。
これらの凍結乾燥注射剤について、40℃/75%RHで1ヶ月間及び3ヵ月間の保存安定性を、タンパク質濃度、水分、不溶性微粒子、DAR、単量体・凝集体・断片体の比率、NPI、IoP、電荷異性体、及びpHを指標に評価した。開始時点からの顕著な品質変化は認められていない。
配列番号2:抗HER2抗体軽鎖のアミノ酸配列
配列番号3:抗HER3抗体の重鎖のアミノ酸配列
配列番号4:抗HER3抗体の軽鎖のアミノ酸配列
配列番号5:抗TROP2抗体重鎖のアミノ酸配列
配列番号6:抗TROP2抗体軽鎖のアミノ酸配列
配列番号7:抗B7-H3抗体重鎖のアミノ酸配列
配列番号8:抗B7-H3抗体軽鎖のアミノ酸配列
配列番号9:抗GPR20抗体重鎖のアミノ酸配列
配列番号10:抗GPR20抗体軽鎖のアミノ酸配列
Claims (48)
- ポリソルベート80又はポリソルベート20の量が、抗体-薬物コンジュゲート20mg当たりに、0.2~0.3mgである、請求項1に記載の医薬組成物。
- ポリソルベート80又はポリソルベート20の量が、抗体-薬物コンジュゲート20mg当たりに、0.2又は0.3mgである、請求項2に記載の医薬組成物。
- 抗体-薬物コンジュゲート20mg当たりに、24~320mgのスクロース又はトレハロースを含む、請求項1から3のいずれか1項に記載の医薬組成物。
- 抗体-薬物コンジュゲート20mg当たりに、
90mgのスクロース又はトレハロース水和物での計算で100mgのトレハロースを含む、請求項4に記載の医薬組成物。 - ヒスチジン緩衝剤が、L-ヒスチジンとL-ヒスチジン塩酸塩との混合物である、請求項1から5のいずれか1項に記載の医薬組成物。
- ヒスチジン緩衝剤が、L-ヒスチジンとL-ヒスチジン塩酸塩水和物との混合物である、請求項6に記載の医薬組成物。
- 抗体-薬物コンジュゲートが水に20mg/mLの濃度で溶解している状態でのpHが4.0~7.0である、請求項1から7のいずれか1項に記載の医薬組成物。
- 抗体-薬物コンジュゲートにおける抗体が、抗HER2抗体、抗HER3抗体、抗TROP2抗体、抗B7-H3抗体、又は抗GPR20抗体である、請求項1から8のいずれか1項に記載の医薬組成物。
- 抗体-薬物コンジュゲートにおける抗体が、抗HER2抗体である、請求項9に記載の医薬組成物。
- 抗HER2抗体が、配列番号1においてアミノ酸番号1乃至449に記載のアミノ酸配列からなる重鎖及び配列番号2においてアミノ酸番号1乃至214に記載のアミノ酸配列からなる軽鎖を含んでなる抗体、又は、配列番号1に記載のアミノ酸配列からなる重鎖及び配列番号2に記載のアミノ酸配列からなる軽鎖を含んでなる抗体である、請求項10に記載の医薬組成物。
- 抗体-薬物コンジュゲートにおける1抗体あたりの薬物リンカーの平均結合数が7から8個の範囲である、請求項10又は11に記載の医薬組成物。
- (i)抗体-薬物コンジュゲート20mg当たりに、
(ii)0.89mgのL-ヒスチジン、及び4.04mgのL-ヒスチジン塩酸塩水和物、
(iii)90mgのスクロース、並びに、
(iv)0.3mgのポリソルベート80を含む、請求項10から12のいずれか1項に記載の医薬組成物。 - (i)100mgの抗体-薬物コンジュゲート、
(ii)4.45mgのL-ヒスチジン、及び20.2mgのL-ヒスチジン塩酸塩水和物、
(iii)450mgのスクロース、並びに、
(iv)1.5mgのポリソルベート80を含む、請求項10から12のいずれか1項に記載の医薬組成物。 - 抗体-薬物コンジュゲートにおける抗体が、抗HER3抗体である、請求項9に記載の医薬組成物。
- 抗HER3抗体が、配列番号3に記載のアミノ酸配列からなる重鎖及び配列番号4に記載のアミノ酸配列からなる軽鎖を含んでなる抗体、又は、該抗体の重鎖カルボキシル末端のリシン残基が欠失している抗体である、請求項15に記載の医薬組成物。
- 抗体-薬物コンジュゲートにおける1抗体あたりの薬物リンカーの平均結合数が7から8個の範囲である、請求項15又は16に記載の医薬組成物。
- (i)抗体-薬物コンジュゲート20mg当たりに、
(ii)0.81mgのL-ヒスチジン、及び4.14mgのL-ヒスチジン塩酸塩水和物、
(iii)90mgのスクロース、並びに、
(iv)0.3mgのポリソルベート20を含む、請求項15から17のいずれか1項に記載の医薬組成物。 - (i)100mgの抗体-薬物コンジュゲート、
(ii)4.06mgのL-ヒスチジン、及び20.7mgのL-ヒスチジン塩酸塩水和物、
(iii)450mgのスクロース、並びに、
(iv)1.5mgのポリソルベート20を含む、請求項15から17のいずれか1項に記載の医薬組成物。 - 抗体-薬物コンジュゲートにおける抗体が、抗TROP2抗体である、請求項9に記載の医薬組成物。
- 抗TROP2抗体が、配列番号5においてアミノ酸番号20乃至470に記載のアミノ酸配列からなる重鎖及び配列番号6においてアミノ酸番号21乃至234に記載のアミノ酸配列からなる軽鎖を含んでなる抗体、又は、該抗体の重鎖カルボキシル末端のリシン残基が欠失している抗体である、請求項20に記載の医薬組成物。
- 抗体-薬物コンジュゲートにおける1抗体あたりの薬物リンカーの平均結合数が3から5個の範囲である、請求項20又は21に記載の医薬組成物。
- (i)抗体-薬物コンジュゲート20mg当たりに、
(ii)0.78mgのL-ヒスチジン、及び1.05mgのL-ヒスチジン塩酸塩水和物、
(iii)90mgのスクロース、並びに、
(iv)0.2又は0.3mgのポリソルベート80を含む、請求項20から22のいずれか1項に記載の医薬組成物。 - (i)100mgの抗体-薬物コンジュゲート、
(ii)3.88mgのL-ヒスチジン、及び5.26mgのL-ヒスチジン塩酸塩水和物、
(iii)450mgのスクロース、並びに、
(iv)1.0又は1.5mgのポリソルベート80を含む、請求項20から22のいずれか1項に記載の医薬組成物。 - 抗体-薬物コンジュゲートにおける抗体が、抗B7-H3抗体である、請求項9に記載の医薬組成物。
- 抗B7-H3抗体が、配列番号7においてアミノ酸番号20乃至471に記載のアミノ酸配列からなる重鎖及び配列番号8においてアミノ酸番号21乃至233に記載のアミノ酸配列からなる軽鎖を含んでなる抗体、又は、該抗体の重鎖カルボキシル末端のリシン残基が欠失している抗体である、請求項25に記載の医薬組成物。
- 抗体-薬物コンジュゲートにおける1抗体あたりの薬物リンカーの平均結合数が3から5個の範囲である、請求項25又は26に記載の医薬組成物。
- (i)抗体-薬物コンジュゲート20mg当たりに、
(ii)0.65mgのL-ヒスチジン、及び1.22mgのL-ヒスチジン塩酸塩水和物、
(iii)90mgのスクロース、並びに、
(iv)0.2又は0.3mgのポリソルベート20を含む、請求項25から27のいずれか1項に記載の医薬組成物。 - (i)100mgの抗体-薬物コンジュゲート、
(ii)3.23mgのL-ヒスチジン、及び6.12mgのL-ヒスチジン塩酸塩水和物、
(iii)450mgのスクロース、並びに、
(iv)1.0又は1.5mgのポリソルベート20を含む、請求項25から27のいずれか1項に記載の医薬組成物。 - 抗体-薬物コンジュゲートにおける抗体が、抗GPR20抗体である、請求項9に記載の医薬組成物。
- 抗GPR20抗体が、配列番号9に記載のアミノ酸番号20乃至472に記載のアミノ酸配列からなる重鎖及び配列番号10においてアミノ酸番号21乃至234に記載のアミノ酸配列からなる軽鎖を含んでなる抗体、又は、該抗体の重鎖カルボキシル末端のリシン残基が欠失している抗体である、請求項30に記載の医薬組成物。
- 抗体-薬物コンジュゲートにおける1抗体あたりの薬物リンカーの平均結合数が7から8個の範囲である、請求項30又は31に記載の医薬組成物。
- (i)抗体-薬物コンジュゲート20mg当たりに、
(ii)0.32mgのL-ヒスチジン、及び1.66mgのL-ヒスチジン塩酸塩水和物、
(iii)90mgのスクロース、並びに、
(iv)0.3mgのポリソルベート80を含む、請求項30から32のいずれか1項に記載の医薬組成物。 - (i)100mgの抗体-薬物コンジュゲート、
(ii)1.62mgのL-ヒスチジン、及び8.29mgのL-ヒスチジン塩酸塩水和物、
(iii)450mgのスクロース、並びに、
(iv)1.5mgのポリソルベート80を含む、請求項30から32のいずれか1項に記載の医薬組成物。 - 注射剤である、請求項1から34のいずれか1項に記載の医薬組成物。
- 水性注射剤である、請求項35に記載の医薬組成物。
- 抗体-薬物コンジュゲートの濃度が20mg/mLである、請求項36に記載の医薬組成物。
- 凍結された、請求項36又は37に記載の医薬組成物。
- 凍結乾燥注射剤である、請求項35に記載の医薬組成物。
- 褐色バイアルに格納された、請求項39に記載の医薬組成物。
- がんの治療に用いるための、請求項1から40のいずれか1項に記載の医薬組成物。
- (1)所定量の、
(i)抗体-薬物コンジュゲート、
(ii)ヒスチジン緩衝剤、
(iii)スクロース又はトレハロース、及び、
(iv)ポリソルベート80又はポリソルベート20、
を含む水溶液を調製する工程、
(2)必要に応じて、水溶液のpHを所定の値に調整する工程、次いで、
(3)水溶液を凍結乾燥する工程、
を含む、請求項39に記載の医薬組成物の製造方法。 - 水溶液を凍結乾燥する工程が、水溶液の共融点付近の棚温度でアニーリングするプロセスを含む、請求項42に記載の製造方法;
(ここで、共融点付近とは、共融点よりも1.5℃低い温度から、共融点よりも1.5℃高い温度の範囲を示す)。 - 共融点よりも5℃低い棚温度でアニーリングを行った場合と比較し、1次乾燥するプロセスの時間が短縮されることを特徴とする、請求項43に記載の製造方法。
- 共融点よりも5℃低い棚温度でアニーリングを行った場合と比較し、よりシュリンクが少ない凍結乾燥ケーキが得られることを特徴とする、請求項43又は44に記載の製造方法。
- 水溶液を凍結乾燥する工程が、-4~-1℃の棚温度でアニーリングするプロセスを含む、請求項42に記載の製造方法。
- 水溶液を凍結乾燥する工程が、-5~5℃の棚温度かつ5~15Paの真空下で1次乾燥するプロセスをさらに含む、請求項46に記載の製造方法。
- 水溶液を凍結乾燥する工程が、40~50℃の棚温度かつ5~15Paの真空下で2次乾燥するプロセスをさらに含む、請求項47に記載の製造方法。
Priority Applications (2)
| Application Number | Priority Date | Filing Date | Title |
|---|---|---|---|
| JP2022211501A JP7551729B2 (ja) | 2017-08-23 | 2022-12-28 | 抗体-薬物コンジュゲートの製剤及びその凍結乾燥方法 |
| JP2024151872A JP2024170515A (ja) | 2017-08-23 | 2024-09-04 | 抗体-薬物コンジュゲートの製剤及びその凍結乾燥方法 |
Applications Claiming Priority (3)
| Application Number | Priority Date | Filing Date | Title |
|---|---|---|---|
| JP2017160071 | 2017-08-23 | ||
| JP2017160071 | 2017-08-23 | ||
| PCT/JP2018/030882 WO2019039483A1 (ja) | 2017-08-23 | 2018-08-22 | 抗体-薬物コンジュゲートの製剤及びその凍結乾燥方法 |
Related Child Applications (1)
| Application Number | Title | Priority Date | Filing Date |
|---|---|---|---|
| JP2022211501A Division JP7551729B2 (ja) | 2017-08-23 | 2022-12-28 | 抗体-薬物コンジュゲートの製剤及びその凍結乾燥方法 |
Publications (2)
| Publication Number | Publication Date |
|---|---|
| JPWO2019039483A1 JPWO2019039483A1 (ja) | 2020-10-01 |
| JP7204651B2 true JP7204651B2 (ja) | 2023-01-16 |
Family
ID=65438975
Family Applications (3)
| Application Number | Title | Priority Date | Filing Date |
|---|---|---|---|
| JP2019537642A Active JP7204651B2 (ja) | 2017-08-23 | 2018-08-22 | 抗体-薬物コンジュゲートの製剤及びその凍結乾燥方法 |
| JP2022211501A Active JP7551729B2 (ja) | 2017-08-23 | 2022-12-28 | 抗体-薬物コンジュゲートの製剤及びその凍結乾燥方法 |
| JP2024151872A Pending JP2024170515A (ja) | 2017-08-23 | 2024-09-04 | 抗体-薬物コンジュゲートの製剤及びその凍結乾燥方法 |
Family Applications After (2)
| Application Number | Title | Priority Date | Filing Date |
|---|---|---|---|
| JP2022211501A Active JP7551729B2 (ja) | 2017-08-23 | 2022-12-28 | 抗体-薬物コンジュゲートの製剤及びその凍結乾燥方法 |
| JP2024151872A Pending JP2024170515A (ja) | 2017-08-23 | 2024-09-04 | 抗体-薬物コンジュゲートの製剤及びその凍結乾燥方法 |
Country Status (13)
| Country | Link |
|---|---|
| US (1) | US20210128741A1 (ja) |
| EP (1) | EP3673918A4 (ja) |
| JP (3) | JP7204651B2 (ja) |
| KR (2) | KR20250004902A (ja) |
| CN (3) | CN118767159A (ja) |
| AU (2) | AU2018320470B2 (ja) |
| BR (1) | BR112020003474A2 (ja) |
| CA (1) | CA3073383C (ja) |
| IL (1) | IL272721A (ja) |
| MA (1) | MA49987A (ja) |
| SG (1) | SG11202000996UA (ja) |
| TW (2) | TWI880888B (ja) |
| WO (1) | WO2019039483A1 (ja) |
Cited By (1)
| Publication number | Priority date | Publication date | Assignee | Title |
|---|---|---|---|---|
| JP2023036900A (ja) * | 2017-08-23 | 2023-03-14 | 第一三共株式会社 | 抗体-薬物コンジュゲートの製剤及びその凍結乾燥方法 |
Families Citing this family (23)
| Publication number | Priority date | Publication date | Assignee | Title |
|---|---|---|---|---|
| BR112019012847A2 (pt) * | 2017-01-17 | 2019-12-10 | Daiichi Sankyo Co Ltd | anticorpo ou fragmento funcional do anticorpo, polinucleotídeo, vetor de expressão, células hospedeiras, método para produção de um anticorpo de interesse ou de um fragmento funcional do anticorpo e para produção de um conjugado de anticorpo-fármaco, conjugado de anticorpo-fármaco, composição farmacêutica, fármaco antitumoral, e, método de tratamento de um tumor. |
| WO2020168338A1 (en) * | 2019-02-15 | 2020-08-20 | The Regents Of The University Of California | Methods for converting colloidal systems to resuspendable/redispersible powders that preserve the original properties of the colloids |
| SG11202108627SA (en) | 2019-02-18 | 2021-09-29 | Lilly Co Eli | Therapeutic antibody formulation |
| EP4316521B1 (en) * | 2019-03-26 | 2025-06-18 | RemeGen Co., Ltd. | Anti-her2 antibody drug conjugate pharmaceutical preparation |
| TW202108180A (zh) * | 2019-05-29 | 2021-03-01 | 日商第一三共股份有限公司 | 抗體-藥物結合物的調劑 |
| WO2021027851A1 (zh) * | 2019-08-12 | 2021-02-18 | 凯惠科技发展(上海)有限公司 | 一种trop2抗体及其制备方法、其偶联物和应用 |
| TWI885105B (zh) * | 2020-03-25 | 2025-06-01 | 大陸商江蘇恆瑞醫藥股份有限公司 | 一種含抗體藥物偶聯物的醫藥組成物及其用途 |
| JP7560575B2 (ja) * | 2020-05-03 | 2024-10-02 | シャンハイ ミラコーケン インコーポレイティド | 抗体-薬物コンジュゲート及びその調製物 |
| CN112361726B (zh) * | 2020-10-27 | 2022-09-02 | 北京诺康达医药科技股份有限公司 | 一种冻干制剂水分控制方法及其应用 |
| EP4245322A4 (en) * | 2020-11-12 | 2025-09-10 | Daiichi Sankyo Co Ltd | TREATMENT OF MESOTHELIOMA BY ADMINISTRATION OF AN ANTI-B7-H3 ANTIBODY-DRUG CONJUGATE |
| EP4265274B1 (en) * | 2020-12-18 | 2025-03-19 | Shanghai Fudan-Zhangjiang Bio-Pharmaceutical Co., Ltd. | B7-h3 targeting antibody-drug conjugate, and preparation method therefor and use thereof |
| CN115721732B (zh) * | 2021-08-27 | 2025-03-07 | 上海复旦张江生物医药股份有限公司 | 抗体偶联药物的药物组合物、制剂及其制备方法、用途 |
| CN118215503A (zh) * | 2021-10-19 | 2024-06-18 | 同宜医药(苏州)有限公司 | 偶联体药物制剂及其制备方法和用途 |
| KR20240135622A (ko) * | 2022-01-26 | 2024-09-11 | 상하이 맙젠 바이오텍 리미티드 | 항CD79b 항체-약물 접합체의 약학적 조성물 및 이의 용도 |
| EP4578464A1 (en) * | 2022-08-25 | 2025-07-02 | Genequantum Healthcare (Suzhou) Co., Ltd. | Pharmaceutical composition of antibody drug conjugate |
| CN115969986A (zh) * | 2022-12-30 | 2023-04-18 | 上海药明生物技术有限公司 | 羟丙基β环糊精稳定MMAE类抗体药物偶联物制剂的应用 |
| KR20260015884A (ko) * | 2023-06-29 | 2026-02-03 | 씨에스피씨 메가리스 바이오파마슈티칼 씨오., 엘티디. | 항체-약물 접합체 및 이의 용도 |
| TW202530262A (zh) * | 2023-09-26 | 2025-08-01 | 大陸商信達生物製藥(蘇州)有限公司 | 靶向her3的抗體-藥物偶聯物 |
| TW202535960A (zh) * | 2024-01-08 | 2025-09-16 | 大陸商上海橙帆醫藥有限公司 | 抗體及其藥物偶聯物和用途 |
| WO2025160306A1 (en) * | 2024-01-23 | 2025-07-31 | American Type Culture Collection | Methods of freeze-drying a sample and use thereof |
| TW202545568A (zh) * | 2024-01-29 | 2025-12-01 | 日商第一三共股份有限公司 | 抗her2抗體-藥物結合物與其他劑之組合 |
| WO2025183064A1 (ja) * | 2024-02-28 | 2025-09-04 | 第一三共株式会社 | 抗cdh6抗体-薬物コンジュゲートと他剤との組み合わせ |
| WO2025183065A1 (ja) * | 2024-02-28 | 2025-09-04 | 第一三共株式会社 | 抗egfr抗体-薬物コンジュゲートと他剤との組み合わせ |
Citations (3)
| Publication number | Priority date | Publication date | Assignee | Title |
|---|---|---|---|---|
| JP2016515511A (ja) | 2013-03-15 | 2016-05-30 | アッヴィ・ドイチュラント・ゲー・エム・ベー・ハー・ウント・コー・カー・ゲー | 抗egfr抗体薬物複合体製剤 |
| WO2017002776A1 (ja) | 2015-06-29 | 2017-01-05 | 第一三共株式会社 | 抗体-薬物コンジュゲートの選択的製造方法 |
| JP2017503784A (ja) | 2014-04-10 | 2017-02-02 | 第一三共株式会社 | 抗her3抗体−薬物コンジュゲート |
Family Cites Families (34)
| Publication number | Priority date | Publication date | Assignee | Title |
|---|---|---|---|---|
| IL162181A (en) | 1988-12-28 | 2006-04-10 | Pdl Biopharma Inc | A method of producing humanized immunoglubulin, and polynucleotides encoding the same |
| EP0940468A1 (en) | 1991-06-14 | 1999-09-08 | Genentech, Inc. | Humanized antibody variable domain |
| ES2434961T5 (es) | 1998-04-20 | 2018-01-18 | Roche Glycart Ag | Ingeniería de glicosilación de anticuerpos para mejorar la citotoxicidad celular dependiente del anticuerpo |
| EP1176195B1 (en) | 1999-04-09 | 2013-05-22 | Kyowa Hakko Kirin Co., Ltd. | Method for controlling the activity of immunologically functional molecule |
| RU2270029C2 (ru) | 1999-06-25 | 2006-02-20 | Джинентех, Инк. | ГУМАНИЗИРОВАННОЕ АНТИТЕЛО, КОТОРОЕ ОБЛАДАЕТ СПОСОБНОСТЬЮ СВЯЗЫВАТЬ ErbB2 И БЛОКИРОВАТЬ АКТИВАЦИЮ ЛИГАНДОМ РЕЦЕПТОРА ErbB (ВАРИАНТЫ) И КОМПОЗИЦИЯ ДЛЯ ПРИМЕНЕНИЯ ПРИ ЛЕЧЕНИИ РАКА, СОДЕРЖАЩАЯ ЭТО АНТИТЕЛО |
| CN102311986B (zh) | 2000-10-06 | 2015-08-19 | 协和发酵麒麟株式会社 | 产生抗体组合物的细胞 |
| KR20040081422A (ko) | 2001-11-01 | 2004-09-21 | 유에이비 리서치 파운데이션 | 종양 괴사 인자-관련 세포사멸-유도 리간드 수용체에선택적인 항체와 다른 치료제와의 복합물 |
| US20060246060A1 (en) | 2002-07-02 | 2006-11-02 | Nesta Douglas P | Novel stable formulation |
| JP4703566B2 (ja) | 2003-05-14 | 2011-06-15 | イムノゲン インコーポレーティッド | 薬剤複合体組成物 |
| JP2009503105A (ja) | 2005-08-03 | 2009-01-29 | イミュノジェン・インコーポレーテッド | 免疫複合体製剤 |
| AR056857A1 (es) | 2005-12-30 | 2007-10-24 | U3 Pharma Ag | Anticuerpos dirigidos hacia her-3 (receptor del factor de crecimiento epidérmico humano-3) y sus usos |
| PL2129396T3 (pl) | 2007-02-16 | 2014-02-28 | Merrimack Pharmaceuticals Inc | Przeciwciała przeciw ERBB3 i ich zastosowania |
| CA2749115C (en) | 2009-01-09 | 2022-06-21 | Seattle Genetics, Inc. | Weekly dosing regimens for anti-cd30 vc-pab-mmae antibody drug-conjugates |
| TW201247222A (en) * | 2011-04-21 | 2012-12-01 | Daiichi Sankyo Co Ltd | Antibody liquid formulation |
| IL294622B2 (en) | 2012-10-11 | 2023-10-01 | Daiichi Sankyo Co Ltd | Antibody-drug conjugates and methods for their preparation |
| US9872924B2 (en) | 2012-10-19 | 2018-01-23 | Daiichi Sankyo Company, Limited | Antibody-drug conjugate produced by binding through linker having hydrophilic structure |
| AU2013360335B2 (en) | 2012-12-13 | 2017-12-07 | Immunomedics, Inc. | Dosages of immunoconjugates of antibodies and SN-38 for improved efficacy and decreased toxicity |
| US20160250349A1 (en) | 2013-10-25 | 2016-09-01 | Bayer Pharma Aktiengesellschaft | A novel stable formulation |
| DK3424955T3 (da) | 2013-12-25 | 2025-06-16 | Daiichi Sankyo Co Ltd | Fremgangsmåde til fremstilling af anti-trop2 antistof-lægemiddelkonjugat |
| EP4212552B1 (en) | 2014-01-31 | 2024-11-13 | Daiichi Sankyo Company, Limited | Anti-her2 antibody-drug conjugate |
| JP2017114763A (ja) | 2014-03-26 | 2017-06-29 | 第一三共株式会社 | 抗cd98抗体−薬物コンジュゲート |
| CA2942150A1 (en) | 2014-04-07 | 2015-10-15 | Seattle Genetics, Inc. | Stable formulations for anti-cd19 antibodies and antibody-drug conjugates |
| US11185594B2 (en) | 2014-04-10 | 2021-11-30 | Daiichi Sankyo Company, Limited | (Anti-HER2 antibody)-drug conjugate |
| EP3319597B1 (en) * | 2015-07-10 | 2021-02-17 | Byondis B.V. | Compositions comprising antibody-duocarmycin drug conjugates |
| CN109789211A (zh) * | 2016-10-07 | 2019-05-21 | 第一三共株式会社 | 基于抗her2抗体-药物偶联物施予的耐性癌的治疗 |
| JPWO2018110515A1 (ja) * | 2016-12-12 | 2019-10-24 | 第一三共株式会社 | 抗体−薬物コンジュゲートと免疫チェックポイント阻害剤の組み合わせ |
| BR112019012847A2 (pt) * | 2017-01-17 | 2019-12-10 | Daiichi Sankyo Co Ltd | anticorpo ou fragmento funcional do anticorpo, polinucleotídeo, vetor de expressão, células hospedeiras, método para produção de um anticorpo de interesse ou de um fragmento funcional do anticorpo e para produção de um conjugado de anticorpo-fármaco, conjugado de anticorpo-fármaco, composição farmacêutica, fármaco antitumoral, e, método de tratamento de um tumor. |
| BR112020003474A2 (pt) | 2017-08-23 | 2020-10-20 | Daiichi Sankyo Company, Limited | composição farmacêutica, e, método para produzir uma composição farmacêutica |
| AU2018327171B2 (en) * | 2017-08-31 | 2023-03-09 | Daiichi Sankyo Company, Limited | Improved method for producing antibody-drug conjugate |
| JP7248578B2 (ja) * | 2017-08-31 | 2023-03-29 | 第一三共株式会社 | 抗体-薬物コンジュゲートの新規製造方法 |
| CN112153989B (zh) * | 2018-05-28 | 2025-07-29 | 第一三共株式会社 | 通过施用抗her2抗体-药物缀合物治疗her2突变的癌 |
| KR20210038904A (ko) * | 2018-07-25 | 2021-04-08 | 다이이찌 산쿄 가부시키가이샤 | 항체-약물 콘쥬게이트의 효과적인 제조 방법 |
| KR20250172902A (ko) * | 2018-07-31 | 2025-12-09 | 다이이찌 산쿄 가부시키가이샤 | 항체-약물 콘주게이트 투여에 의한 전이성 뇌종양의 치료 |
| EP3834843A4 (en) * | 2018-08-06 | 2022-05-11 | Daiichi Sankyo Company, Limited | COMBINATION OF ANTIBODY-DRUG CONJUGATE AND TUBULIN INHIBITOR |
-
2018
- 2018-08-22 BR BR112020003474-6A patent/BR112020003474A2/pt unknown
- 2018-08-22 SG SG11202000996UA patent/SG11202000996UA/en unknown
- 2018-08-22 CN CN202411092696.5A patent/CN118767159A/zh active Pending
- 2018-08-22 MA MA049987A patent/MA49987A/fr unknown
- 2018-08-22 CA CA3073383A patent/CA3073383C/en active Active
- 2018-08-22 EP EP18849166.6A patent/EP3673918A4/en active Pending
- 2018-08-22 AU AU2018320470A patent/AU2018320470B2/en active Active
- 2018-08-22 CN CN202411092692.7A patent/CN118743764A/zh active Pending
- 2018-08-22 KR KR1020247039835A patent/KR20250004902A/ko active Pending
- 2018-08-22 CN CN201880054464.7A patent/CN110944667B/zh active Active
- 2018-08-22 TW TW107129228A patent/TWI880888B/zh active
- 2018-08-22 WO PCT/JP2018/030882 patent/WO2019039483A1/ja not_active Ceased
- 2018-08-22 US US16/640,914 patent/US20210128741A1/en active Pending
- 2018-08-22 JP JP2019537642A patent/JP7204651B2/ja active Active
- 2018-08-22 TW TW114112282A patent/TW202543673A/zh unknown
- 2018-08-22 KR KR1020207007993A patent/KR20200044044A/ko not_active Ceased
-
2020
- 2020-02-17 IL IL272721A patent/IL272721A/en unknown
-
2022
- 2022-12-28 JP JP2022211501A patent/JP7551729B2/ja active Active
-
2024
- 2024-09-04 JP JP2024151872A patent/JP2024170515A/ja active Pending
-
2025
- 2025-07-24 AU AU2025208451A patent/AU2025208451A1/en active Pending
Patent Citations (3)
| Publication number | Priority date | Publication date | Assignee | Title |
|---|---|---|---|---|
| JP2016515511A (ja) | 2013-03-15 | 2016-05-30 | アッヴィ・ドイチュラント・ゲー・エム・ベー・ハー・ウント・コー・カー・ゲー | 抗egfr抗体薬物複合体製剤 |
| JP2017503784A (ja) | 2014-04-10 | 2017-02-02 | 第一三共株式会社 | 抗her3抗体−薬物コンジュゲート |
| WO2017002776A1 (ja) | 2015-06-29 | 2017-01-05 | 第一三共株式会社 | 抗体-薬物コンジュゲートの選択的製造方法 |
Cited By (2)
| Publication number | Priority date | Publication date | Assignee | Title |
|---|---|---|---|---|
| JP2023036900A (ja) * | 2017-08-23 | 2023-03-14 | 第一三共株式会社 | 抗体-薬物コンジュゲートの製剤及びその凍結乾燥方法 |
| JP7551729B2 (ja) | 2017-08-23 | 2024-09-17 | 第一三共株式会社 | 抗体-薬物コンジュゲートの製剤及びその凍結乾燥方法 |
Also Published As
| Publication number | Publication date |
|---|---|
| KR20250004902A (ko) | 2025-01-08 |
| JP2023036900A (ja) | 2023-03-14 |
| AU2025208451A1 (en) | 2025-08-14 |
| EP3673918A1 (en) | 2020-07-01 |
| IL272721A (en) | 2020-04-30 |
| US20210128741A1 (en) | 2021-05-06 |
| RU2020111448A (ru) | 2021-09-24 |
| JP7551729B2 (ja) | 2024-09-17 |
| WO2019039483A1 (ja) | 2019-02-28 |
| RU2020111448A3 (ja) | 2021-11-29 |
| AU2018320470A1 (en) | 2020-02-13 |
| JPWO2019039483A1 (ja) | 2020-10-01 |
| JP2024170515A (ja) | 2024-12-10 |
| TWI880888B (zh) | 2025-04-21 |
| EP3673918A4 (en) | 2021-05-19 |
| TW201919710A (zh) | 2019-06-01 |
| SG11202000996UA (en) | 2020-03-30 |
| TW202543673A (zh) | 2025-11-16 |
| CN118743764A (zh) | 2024-10-08 |
| CA3073383A1 (en) | 2019-02-28 |
| KR20200044044A (ko) | 2020-04-28 |
| MA49987A (fr) | 2020-07-01 |
| BR112020003474A2 (pt) | 2020-10-20 |
| CA3073383C (en) | 2023-10-31 |
| CN110944667A (zh) | 2020-03-31 |
| CN118767159A (zh) | 2024-10-15 |
| AU2018320470B2 (en) | 2025-04-24 |
| CN110944667B (zh) | 2024-08-27 |
Similar Documents
| Publication | Publication Date | Title |
|---|---|---|
| JP7551729B2 (ja) | 抗体-薬物コンジュゲートの製剤及びその凍結乾燥方法 | |
| JP7769032B2 (ja) | 抗体-薬物コンジュゲート投与による転移性脳腫瘍の治療 | |
| KR20230041023A (ko) | 항체-약물 콘주게이트의 제조 방법 | |
| RU2789476C2 (ru) | Получение конъюгата антитело-лекарственное средство и его лиофилизация | |
| WO2024210162A1 (ja) | 抗muc1抗体-薬物コンジュゲート投与による薬剤低感受性がんの治療方法 | |
| EA046932B1 (ru) | Лечение метастатической опухоли головного мозга путем введения конъюгата антитело-лекарственное средство | |
| HK40045208A (en) | Treatment of metastatic brain tumor by administration of antibody-drug conjugate | |
| BR122023026672A2 (pt) | Uso de um conjugado de anticorpo-fármaco | |
| BR122023026675A2 (pt) | Uso de um conjugado de anticorpo-fármaco | |
| BR122023026671A2 (pt) | Uso de um conjugado de anticorpo-fármaco | |
| BR122023026673A2 (pt) | Uso de um conjugado de anticorpo-fármaco |
Legal Events
| Date | Code | Title | Description |
|---|---|---|---|
| A621 | Written request for application examination |
Free format text: JAPANESE INTERMEDIATE CODE: A621 Effective date: 20210820 |
|
| A521 | Request for written amendment filed |
Free format text: JAPANESE INTERMEDIATE CODE: A523 Effective date: 20210917 |
|
| A131 | Notification of reasons for refusal |
Free format text: JAPANESE INTERMEDIATE CODE: A131 Effective date: 20220823 |
|
| A601 | Written request for extension of time |
Free format text: JAPANESE INTERMEDIATE CODE: A601 Effective date: 20221012 |
|
| A521 | Request for written amendment filed |
Free format text: JAPANESE INTERMEDIATE CODE: A523 Effective date: 20221102 |
|
| TRDD | Decision of grant or rejection written | ||
| A01 | Written decision to grant a patent or to grant a registration (utility model) |
Free format text: JAPANESE INTERMEDIATE CODE: A01 Effective date: 20221206 |
|
| A61 | First payment of annual fees (during grant procedure) |
Free format text: JAPANESE INTERMEDIATE CODE: A61 Effective date: 20221228 |
|
| R150 | Certificate of patent or registration of utility model |
Ref document number: 7204651 Country of ref document: JP Free format text: JAPANESE INTERMEDIATE CODE: R150 |
|
| R153 | Grant of patent term extension |
Free format text: JAPANESE INTERMEDIATE CODE: R153 |
|
| R153 | Grant of patent term extension |
Free format text: JAPANESE INTERMEDIATE CODE: R153 |
|
| R250 | Receipt of annual fees |
Free format text: JAPANESE INTERMEDIATE CODE: R250 |
|
| R153 | Grant of patent term extension |
Free format text: JAPANESE INTERMEDIATE CODE: R153 |



































