JP4792253B2 - 平版印刷版の製版方法 - Google Patents
平版印刷版の製版方法 Download PDFInfo
- Publication number
- JP4792253B2 JP4792253B2 JP2005221431A JP2005221431A JP4792253B2 JP 4792253 B2 JP4792253 B2 JP 4792253B2 JP 2005221431 A JP2005221431 A JP 2005221431A JP 2005221431 A JP2005221431 A JP 2005221431A JP 4792253 B2 JP4792253 B2 JP 4792253B2
- Authority
- JP
- Japan
- Prior art keywords
- group
- printing plate
- lithographic printing
- recording layer
- image recording
- Prior art date
- Legal status (The legal status is an assumption and is not a legal conclusion. Google has not performed a legal analysis and makes no representation as to the accuracy of the status listed.)
- Expired - Fee Related
Links
Images
Landscapes
- Materials For Photolithography (AREA)
- Photosensitive Polymer And Photoresist Processing (AREA)
Description
この平版印刷版を作製するため、従来、親水性の支持体上に親油性の感光性樹脂層(画像記録層)を設けてなる平版印刷版原版(PS版)が広く用いられている。通常は、平版印刷版原版を、リスフィルムなどの原画を通した露光を行った後、画像記録層の画像部となる部分を残存させ、それ以外の不要な画像記録層をアルカリ性現像液または有機溶剤によって溶解除去し、親水性の支持体表面を露出させて非画像部を形成する方法により製版を行って、平版印刷版を得ている。
このように微粒子の単なる熱融着による合体で画像を形成させる方法は、良好な機上現像性を示すものの、画像強度(支持体との密着性)が極めて弱く、耐刷性が不十分であるという問題を有していた。
<1> 支持体上に、画像記録層を有する平版印刷版原版を、250〜420nmの光を放射するレーザーを用いた画像様露光により露光部の画像記録層を硬化させた後、ノニオン界面活性剤、アニオン界面活性剤、またはこれらの両方を1質量%以上含有し、水溶性高分子化合物を含有する、pH2〜10の水溶液で現像することを特徴とする平版印刷版の製版方法。
<2> 支持体上に、画像記録層を有する平版印刷版原版を、250〜420nmの光を放射するレーザーを用いた画像様露光により露光部の画像記録層を硬化させた後、ノニオン界面活性剤、アニオン界面活性剤、またはこれらの両方を1質量%以上含有する、pH2〜10の水溶液で現像し、前記現像後、水溶性高分子化合物を含有する水溶液と接触させることを特徴とする平版印刷版の製版方法。
<3> アニオン界面活性剤が、スルホン酸のアニオン基または硫酸モノエステルのア
ニオン基を有し、かつ置換基を有していてもよい少なくとも一つの芳香族基を有するアニ
オン界面活性剤である、前記<1>又は<2>に記載の平版印刷版の製版方法。
<4> ノニオン界面活性剤が、下記式(1)で表されるノニオン芳香族エーテル系界
面活性剤からなる群から選ばれる少なくとも一種の界面活性剤である前記<1>又は<2>に記載の平版印刷版の製版方法:
X−Y−O−(A)n−(B)m−H (1)
(式中、Xは置換基を有していてもよい芳香族基を表し、Yは単結合又は炭素原子数1〜
10のアルキレン基を表し、A及びBは互いに異なる基であって、−CH2CH2O−又は
−CH2CH(CH3)O−のいずれかを表し、n、mはそれぞれ0又は1〜100の整数
を表し、但しnとmは同時に0ではなく、またn若しくはmのいずれかが0である場合に
はn及びmは1ではない。)。
<5> 画像記録層が、(1)重合開始剤、(2)重合性化合物、および(3)疎水性
バインダーポリマーを含有する前記<1>〜<4>のいずれか一項に記載の平版印刷版の
製版方法。
<6> 平版印刷版原版が画像記録層上にさらに保護層を有する前記<1>〜<5>の
いずれか一項に記載の平版印刷版の製版方法。
<7> 該画像記録層成分の一部または全てが、マイクロカプセルに内包されている前
記<1>〜<6>のいずれか一項に記載の平版印刷版の製版方法。
本発明は、上記<1>〜<7>に記載の発明であるが、以降、他の事項も含めて記載し
ている。
1. 支持体上に、画像記録層を有する平版印刷版原版を、画像様露光により露光部の
画像記録層を硬化させた後、ノニオン界面活性剤、アニオン界面活性剤、またはこれらの
両方を1質量%以上含有する、pH2〜10の水溶液で現像することを特徴とする平版印
刷版の製版方法。
3. 支持体上に、画像記録層を有する平版印刷版原版を、画像様露光により露光部の画像記録層を硬化させた後、ノニオン界面活性剤、アニオン界面活性剤、またはこれらの両方を1質量%以上含有する、pH2〜10の水溶液で現像処理を行った後、水溶性高分子化合物を含有する水溶液と接触させることを特徴とする平版印刷版の製版方法。
4. アニオン界面活性剤が、スルホン酸のアニオン基または硫酸モノエステルのアニオン基を有し、かつ置換基を有していてもよい少なくとも一つの芳香族基を有するアニオン界面活性剤である、前記1〜3のいずれかに記載の平版印刷版の製版方法。
5. ノニオン界面活性剤が、下記式(1)で表されるノニオン芳香族エーテル系界面活性剤からなる群から選ばれる少なくとも一種の界面活性剤である前記1〜3のいずれかに記載の平版印刷版の製版方法:
X−Y−O−(A)n−(B)m−H (1)
(式中、Xは置換基を有していてもよい芳香族基を表し、Yは単結合又は炭素原子数1〜10のアルキレン基を表し、A及びBは互いに異なる基であって、−CH2CH2O−又は−CH2CH(CH3)O−のいずれかを表し、n、mはそれぞれ0又は1〜100の整数を表し、但しnとmは同時に0ではなく、またn若しくはmのいずれかが0である場合にはn及びmは1ではない。)。
7. 平版印刷版原版が画像記録層上にさらに保護層を有する前記1〜6のいずれかに記載の平版印刷版の製版方法。
9. 前記画像様露光を250〜420nmの光を放射するレーザーを用いて行うことを特徴とする前記1〜7のいずれかに記載の平版印刷版の製版方法。
10. 該画像記録層成分の一部または全てが、マイクロカプセルに内包されている前記1〜9のいずれかに記載の平版印刷版の製版方法。
本発明の処理液に用いられるアニオンおよびノニオン界面活性剤としては、以下のものを使用することができる。
アニオン型界面活性剤としては、脂肪酸塩類、アビエチン酸塩類、ヒドロキシアルカンスルホン酸塩類、アルカンスルホン酸塩類、ジアルキルスルホコハク酸塩類、直鎖アルキルベンゼンスルホン酸塩類、分岐鎖アルキルベンゼンスルホン酸塩類、アルキルナフタレンスルホン酸塩類、アルキルフェノキシポリオキシエチレンプロピルスルホン酸塩類、ポリオキシエチレンアルキルスルホフェニルエーテル塩類、N−メチル−N−オレイルタウリンナトリウム類、N−アルキルスルホコハク酸モノアミド二ナトリウム塩類、石油スルホン酸塩類、硫酸化ヒマシ油、硫酸化牛脂油、脂肪酸アルキルエステルの硫酸エステル塩類、アルキル硫酸エステル塩類、ポリオキシエチレンアルキルエーテル硫酸エステル塩類、脂肪酸モノグリセリド硫酸エステル塩類、ポリオキシエチレンアルキルフェニルエーテル硫酸エステル塩類、ポリオキシエチレンスチリルフェニルエーテル硫酸エステル塩類、アルキル燐酸エステル塩類、ポリオキシエチレンアルキルエーテル燐酸エステル塩類、ポリオキシエチレンアルキルフェニルエーテル燐酸エステル塩類、スチレン−無水マレイン酸共重合物の部分ケン化物類、オレフィン−無水マレイン酸共重合物の部分ケン化物類、ナフタレンスルホン酸塩ホルマリン縮合物類等が挙げられる。
シクロアルキル基としては単環型でも良く、多環型でも良い。単環型としては炭素数3〜8個のものであって、シクロプロピル基、シクロペンチル基、シクロヘキシル基、シクロオクチル基を好ましく挙げることができる。多環型としては例えば、アダマンチル基、
ノルボルニル基、イソボロニル基、カンファニル基、ジシクロペンチル基、α−ピネル基、トリシクロデカニル基等を好ましく挙げることができる。
アルケニル基としては、例えば炭素数2〜20個のアルケニル基であって、具体的には、ビニル基、アリル基、ブテニル基、シクロヘキセニル基を好ましく挙げることができる。
アラルキル基としては、例えば炭素数7〜12個のアラルキル基であって、具体的には、ベンジル基、フェネチル基、ナフチルメチル基等を好ましく挙げることができる。
アリール基としては、例えば炭素数6〜15個のアリール基であって、具体的には、フェニル基、トリル基、ジメチルフェニル基、2,4,6−トリメチルフェニル基、ナフチル基、アントリル基、9,10−ジメトキシアントリル基等を好ましく挙げることができる。
一般式(I)、(II)で表される化合物の添加量は、現像液中に1〜10質量%が適
当であり、好ましくは2〜10質量%を添加することが効果的である。添加量が上記範囲内であれば、現像性および感光層成分の溶解性、ならびに印刷版の耐刷性が良好である。
一般式(I)、(II)で表される化合物は市場において、一般に入手することができる。市販品の例として、旭電化製、花王石鹸製、三洋化成製、新日本理化製、第一工業製薬製、竹本油脂製、東邦化学製、日本油脂製などのものが挙げられる。
又アセチレングリコール系とアセチレンアルコール系のオキシエチレン付加物、フッ素系、シリコン系等のアニオン、ノニオン界面活性剤も同様に使用することができる。これら界面活性剤は2種以上併用することもできる。例えば、互いに異なる2種以上のアニオン界面活性剤の併用やアニオン界面活性剤とノニオン界面活性剤の併用が好ましい。これらの化合物は環境面への影響を考慮して適宜選択して使用することが好ましい。上記の界面活性剤の使用量は特に限定する必要はないが、好ましくは処理液の全質量に基づいて0.01〜20質量%である。(アニオン界面活性剤成分)
X−Y−O−(A)n−(B)m−H (1)
(式中、Xは置換基を有していてもよい芳香族基を表し、Yは単結合又は炭素原子数1〜10のアルキレン基を表し、A及びBは互いに異なる基であって、−CH2CH2O−又は−CH2CH(CH3)O−のいずれかを表し、n、mはそれぞれ0又は1〜100の整数を表し、但しnとmは同時に0ではなく、またn若しくはmのいずれかが0である場合にはn及びmは1ではない。)。
式中、Xの芳香族基としてフェニル基、ナフチル基、アントラニル基などが挙げられる。これらの芳香族基は置換基を有していてもよい。置換基としては、炭素原子数1〜100の有機基が挙げられる。有機基の例として下記一般式(1−A)、(1−B)について記載する有機基が全て挙げられる。なお、式中、A及びBがともに存在するとき、ランダムでもブロックの共重合体でもよい。
tが2を表しR10が炭素原子数1〜100の有機基であるとき、R10は同一でも異なっていてもよくR10が一緒になって環を構成していてもよく、また、uが2を表しR20が炭素原子数1〜100の有機基であるとき、R20は同一でも異なっていてもよくR20が一緒になって環を構成していてもよい。
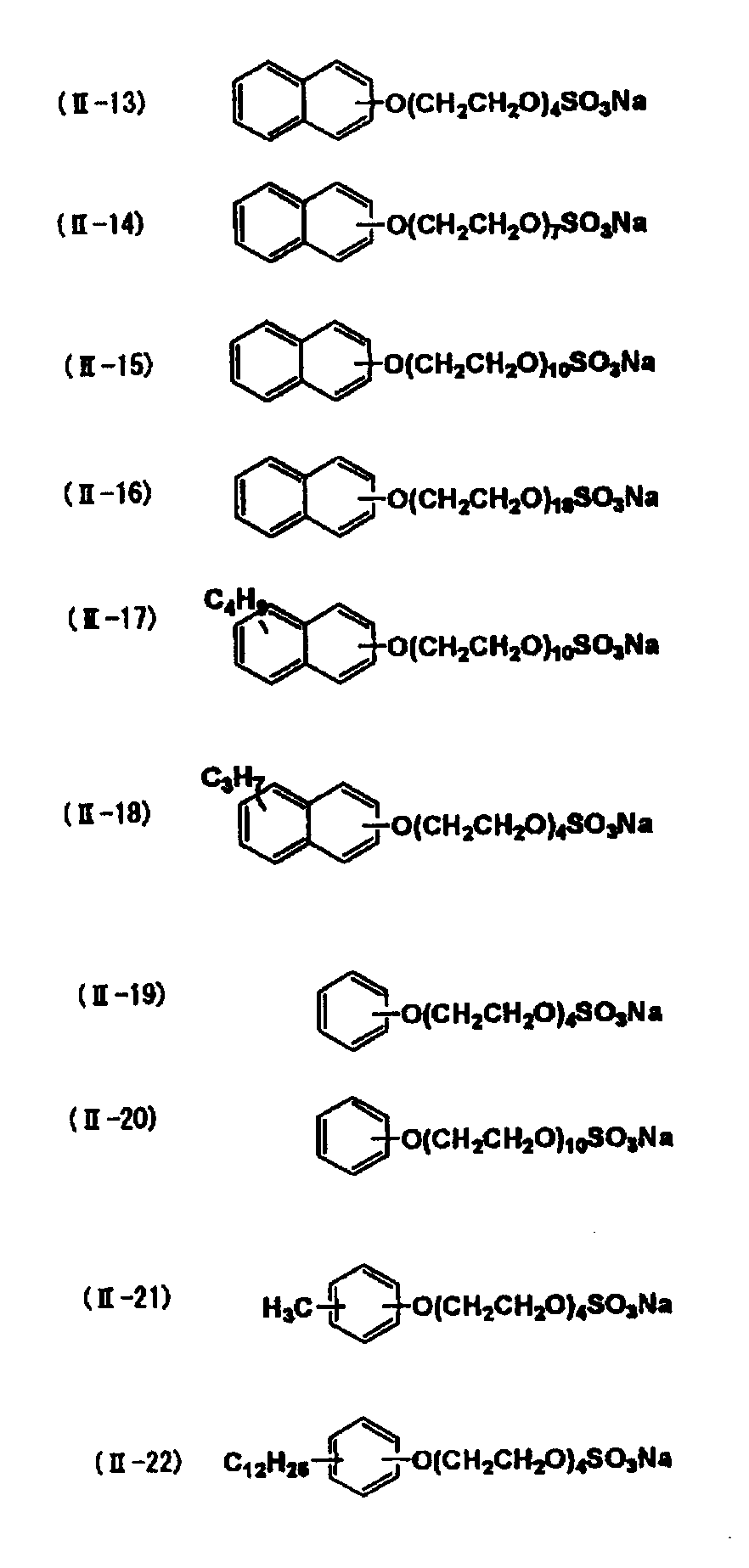
一般式(1−B)で表される化合物としては、ポリオキシエチレンナフチルエーテル、ポリオキシエチレンメチルナフチルエーテル、ポリオキシエチレンオクチルナフチルエーテル、ホリオキシエチレンノニルナフチルエーテル等が挙げられる。
ノニオン芳香族エーテル系活性剤は現像液中に、1種単独で用いてもよいし、2種類以上を組み合わせて使用してもよい。
現像液における上記ノニオン芳香族エーテル系活性剤などのノニオン界面活性剤の含有量は、現像液中1〜20質量%が好ましく、より好ましくは2〜10質量%である。添加量が上記範囲内において、現像性、感光層成分の溶解性、および印刷版の耐刷性が良好である。
以下に一般式(1−A)又は(1−B)で示されるノニオン芳香族エーテル系活性剤の例を示す。
用いられる水溶性高分子化合物としては、大豆多糖類、変性澱粉、アラビアガム、デキストリン、繊維素誘導体(例えばカルボキシメチルセルロース、カルボキシエチルセルロース、メチルセルロース等)およびその変性体、プルラン、ポリビニルアルコールおよびその誘導体、ポリビニルピロリドン、ポリアクリルアミドおよびアクリルアミド共重合体、ビニルメチルエーテル/無水マレイン酸共重合体、酢酸ビニル/無水マレイン酸共重合体、スチレン/無水マレイン酸共重合体などが挙げられる。
防腐剤の添加量は、細菌、カビ、酵母等に対して、安定に効力を発揮する量であって、細菌、カビ、酵母の種類によっても異なるが、使用時の処理液に対して0.01〜4質量%の範囲が好ましく、また種々のカビ、殺菌に対して効力のあるように2種以上の防腐剤を併用することが好ましい。
消泡剤の含有量は、使用時の処理液に対して0.001〜1.0質量%の範囲が好適である。
パノール、ベンジルアルコール、エチレングリコールモノメチルエーテル、2−エトキシエタノール、ジエチレングリコールモノエチルエーテル、ジエチレングリコールモノヘキシルエーテル、トリエチレングリコールモノメチルエーテル、プロピレングリコールモノエチルエーテル、プロピレングリコールモノメチルエーテル、ポリエチレングリコールモノメチルエーテル、ポリプロピレングリコール、テトラエチレングリコール、エチレングリコールモノブチルエーテル、エチレングリコールモノベンジルエーテル、エチレングリコールモノフェニルエーテル、メチルフェニルカルビノール、n−アミルアルコール、メチルアミルアルコール等)、ケトン類(アセトン、メチルエチルケトン、エチルブチルケトン、メチルイソブチルケトン、シクロヘキサノン等)、エステル類(酢酸エチル、酢酸プロピル、酢酸ブチル、酢酸アミル、酢酸ベンジル、乳酸メチル、乳酸ブチル、エチレングリコールモノブチルアセテート、プロピレングリコールモノメチルエーテルアセテート、ジエチレングリコールアセテート、ジエチルフタレート、レブリン酸ブチル等)、その他(トリエチルフォスフェート、トリクレジルフォスフェート、N−フェニルエタノールアミン、N−フェニルジエタノールアミン等)等が挙げられる。
に好適な光源としては、カーボンアーク灯、水銀灯、キセノランプ、メタルハイラドランプ、ストロボ、紫外線、赤外線、レーザー光線などが挙げられる。特にレーザー光線が好ましく、760〜1200nmの赤外線を放射する固体レーザーおよび半導体レーザー、250〜420nmの光を放射する紫外線半導体レーザー、可視光を放射するアルゴンイオンレーザー、FD−YAGレーザーなどが挙げられる。なかでも、製版の簡易化の点からは、白灯または黄色灯下で作業を行うことができる赤外線または紫外線を放射するレーザーが好ましい。
本発明の製版方法に用いられる平版印刷版原版は、支持体上に、印刷インキ、湿し水またはこれらの両方により除去可能であり、露光により硬化するネガ型画像記録層を有する。ネガ型画像記録層は、現像されやすさおよび良好な耐刷性が得られる点から、(1)重合開始剤、(2)重合性化合物、および(3)疎水性バインダーポリマーを必須成分として含有する重合性の画像記録層である。以下、画像記録層、支持体など平版印刷版原版の構成要素および成分について説明する。
<重合開始剤>
本発明に用いられる重合開始剤は、光または熱エネルギーによりラジカルまたは酸を発生し、重合性不飽和基を有する化合物の重合を開始、促進する化合物である。このような重合開始剤としては、公知のラジカル発生剤または酸発生剤や結合解離エネルギーの小さな結合を有する化合物などから、適宜、選択して用いることができる。
(トリクロロメチル)−s−トリアジン、2−(3,4−エポキシフェニル)−4、6−ビス(トリクロロメチル)−s−トリアジン、2−〔1−(p−メトキシフェニル)−2,4−ブタジエニル〕−4,6−ビス(トリクロロメチル)−s−トリアジン、2−スチリル−4,6−ビス(トリクロロメチル)−s−トリアジン、2−(p−メトキシスチリル)−4,6−ビス(トリクロロメチル)−s−トリアジン、2−(p−i−プロピルオキシスチリル)−4、6−ビス(トリクロロメチル)−s−トリアジン、2−(p−トリル)−4,6−ビス(トリクロロメチル)−s−トリアジン、2−(4−メトキシナフチル)−4,6−ビス(トリクロロメチル)−s−トリアジン、2−フェニルチオ−4,6−ビス(トリクロロメチル)−s−トリアジン、2−ベンジルチオ−4,6−ビス(トリクロロメチル)−s−トリアジン、2,4,6−トリス(ジブロモメチル)−s−トリアジン、2,4,6−トリス(トリブロモメチル)−s−トリアジン、2−メチル−4,6−ビス(トリブロモメチル)−s−トリアジン、2−メトキシ−4,6−ビス(トリブロモメチル)−s−トリアジンや下記化合物等が挙げられる。
本発明に用いることができる重合性化合物は、少なくとも一個のエチレン性不飽和二重結合を有する付加重合性化合物であり、エチレン性不飽和結合を少なくとも1個、好ましくは2個以上有する化合物から選ばれる。このような化合物群は当該産業分野において広く知られるものであり、本発明においてはこれらを特に限定無く用いることができる。
これらは、例えばモノマー、プレポリマー、すなわち2量体、3量体およびオリゴマー、またはそれらの混合物ならびにそれらの共重合体などの化学的形態をもつ。このようなモノマーおよびその共重合体の例としては、不飽和カルボン酸(例えば、アクリル酸、メタクリル酸、イタコン酸、クロトン酸、イソクロトン酸、マレイン酸など)や、そのエステル類、アミド類が挙げられ、好ましくは、不飽和カルボン酸と脂肪族多価アルコール化合物とのエステル、不飽和カルボン酸と脂肪族多価アミン化合物とのアミド類が用いられる。また、ヒドロキシル基やアミノ基、メルカプト基などの求核性置換基を有する不飽和カルボン酸エステルあるいはアミド類と単官能もしくは多官能イソシアネート類あるいはエポキシ類との付加反応物、および単官能もしくは、多官能のカルボン酸との脱水縮合反応物なども好適に使用される。また、イソシアネート基や、エポキシ基などの親電子性置換基を有する不飽和カルボン酸エステルあるいはアミド類と単官能もしくは多官能のアルコール類、アミン類、チオール類との付加反応物、更にハロゲン基や、トシルオキシ基などの脱離性置換基を有する不飽和カルボン酸エステルあるいはアミド類と単官能もしくは多官能のアルコール類、アミン類、チオール類との置換反応物も好適である。また、別の例として、上記の不飽和カルボン酸の代わりに、不飽和ホスホン酸、スチレン、ビニルエーテルなどに置き換えた化合物群を使用することも可能である。
チロールプロパントリメタクリレート、トリメチロールエタントリメタクリレート、エチレングリコールジメタクリレート、1,3−ブタンジオールジメタクリレート、ヘキサンジオールジメタクリレート、ペンタエリスリトールジメタクリレート、ペンタエリスリトールトリメタクリレート、ペンタエリスリトールテトラメタクリレート、ジペンタエリスリトールジメタクリレート、ジペンタエリスリトールヘキサメタクリレート、ソルビトールトリメタクリレート、ソルビトールテトラメタクリレート、ビス〔p−(3−メタクリルオキシ−2−ヒドロキシプロポキシ)フェニル〕ジメチルメタン、ビス−〔p−(メタクリルオキシエトキシ)フェニル〕ジメチルメタンなどがある。
(ただし、R4およびR5は、HまたはCH3を示す。)
また、ある場合には、特開昭61−22048号公報記載のペルフルオロアルキル基を含有する構造が好適に使用される。更に日本接着協会誌vol.20、No.7、300〜308ページ(1984年)に光硬化性モノマーおよびオリゴマーとして紹介されているものも使用することができる。
感度の点では1分子あたりの不飽和基含量が多い構造が好ましく、多くの場合、2官能以上が好ましい。また、画像部すなわち硬化膜の強度を高くするためには、3官能以上のものがよく、更に、異なる官能数・異なる重合性基(例えばアクリル酸エステル、メタクリル酸エステル、スチレン系化合物、ビニルエーテル系化合物)のものを併用することで、感度と強度の両方を調節する方法も有効である。
また、画像記録層中の他の成分(例えば非水溶性高分子、開始剤、着色剤など)との相溶性、分散性に対しても、付加重合化合物の選択・使用法は重要な要因であり、例えば、低純度化合物の使用や、2種以上の併用により相溶性を向上させうることがある。また、基板や後述の保護層などの密着性を向上せしめる目的で特定の構造を選択することもあり得る。
本発明の画像記録層に用いられる疎水性バインダーポリマーとしては、非水溶性ポリマーが好ましく用いられる。さらに、本発明に使用可能な疎水性バインダーポリマーは、カルボキシル基、スルホン基、リン酸基などの酸基を実質的に含有しないものが好ましい。
バインダーポリマーの酸価(ポリマー1gあたりの酸含率を化学等量数で表したもの)は、0.3meq/g以下であることが好ましく、さらに好ましくは、0.1meq/g以下である。
すなわち、本発明に使用可能な疎水性バインダーポリマーは、水及びpH10以上の水溶液に対し不溶であることが好ましく、疎水性バインダーポリマーの水及びpH10以上の水溶液に対する溶解度が、0.5質量%以下であることが好ましく、さらに好ましくは、0.1質量%以下である。このような疎水性バインダーポリマーを用いることによって、画像記録層の膜強度、耐水性および着肉性が向上して、耐刷性の向上が得られる。
このような疎水性バインダーポリマーの例としては、アクリル樹脂、ポリビニルアセタール樹脂、ポリウレタン樹脂、ポリアミド樹脂、エポキシ樹脂、メタクリル樹脂、スチレン系樹脂、ポリエステル樹脂から選ばれる高分子が好ましい。なかでも、アクリル樹脂が好ましく、(メタ)アクリル酸エステル共重合体が好ましい。より具体的には、(メタ)アクリル酸アルキルまたはアラルキルエステルと(メタ)アクリル酸エステルのエステル残基(−COOR)のRに−CH2CH2O−単位または−CH2CH2NH−単位を含む(メタ)アクリル酸エステルとの共重合体が特に好ましい。上記(メタ)アクリル酸アルキルエステルの好ましいアルキル基は、炭素数1〜5のアルキル基であり、メチル基がより好ましい。好ましい(メタ)アクリル酸アラルキルエステルとしては、(メタ)アクリル酸ベンジルが挙げられる。
エステル残基の具体例としては、−CH2 CH=CH2 (特公平7−21633号公報に記載されている。)、−CH2 CH2 O−CH2 CH=CH2 、−CH2 C(CH3 )=CH2 、−CH2 CH=CH−C6 H5 、−CH2 CH2 OCOCH=CH−C6 H5 、−CH2 CH2 −NHCOO−CH2 CH=CH2 および−CH2 CH2 O−X(式中、Xはジシクロペンタジエニル残基を表す。)が挙げられる。
アミド残基の具体例としては、−CH2 CH=CH2 、−CH2 CH2 −Y(式中、Yはシクロヘキセン残基を表す。)、−CH2 CH2 −OCO−CH=CH2 が挙げられる。
カル(重合開始ラジカルまたは重合性化合物の重合過程の生長ラジカル)が付加し、ポリマー間で直接にまたは重合性化合物の重合連鎖を介して付加重合して、ポリマー分子間に架橋が形成されて硬化する。または、ポリマー中の原子(例えば、官能性架橋基に隣接する炭素原子上の水素原子)がフリーラジカルにより引き抜かれてポリマーラジカルが生成し、それが互いに結合することによって、ポリマー分子間に架橋が形成されて硬化する。
疎水性バインダーポリマーは、ランダムポリマー、ブロックポリマー、グラフトポリマー等のいずれでもよいが、ランダムポリマーであるのが好ましい。
疎水性バインダーポリマーの含有量は、画像記録層の全固形分に対して、5〜90質量%であり、10〜70質量%であるのが好ましく、10〜60質量%であるのがより好ましい。この範囲内で、良好な画像部の強度と画像形成性が得られる。
赤外線を放射する光源を用いて画像様露光を行う平版印刷版原版の画像記録層には、前記の重合開始剤と組み合わせて赤外線吸収剤を用いることができる。赤外線吸収剤は、吸収した赤外線を熱に変換する機能を有しており、この際発生した熱により、重合開始剤が熱分解し、ラジカルを発生する。本発明において使用される赤外線吸収剤は、波長760〜1200nmに吸収極大を有する染料または顔料である。
また、特に好ましい他の例としてさらに、特開2002−278057号公報に記載の特定インドレニンシアニン色素が挙げることができる。
応性物質(例えば、シランカップリング剤、エポキシ化合物、ポリイソシアネートなど)を顔料表面に結合させる方法などが考えられる。上記の表面処理方法は、「金属石鹸の性質と応用」(幸書房)、「印刷インキ技術」(CMC出版、1984年刊)および「最新顔料応用技術」(CMC出版、1986年刊)に記載されている。
250〜420nmの光を放射する光源を用いて画像様露光を行う平版印刷版原版の画像記録層には、前記の重合開始剤と組み合わせて増感剤を用いることによりラジカル発生効率を高めることもできる。
本発明においては、上記の画像記録層構成成分および後述のその他の構成成分を画像記
録層に含有させる方法として、例えば、特開2001−277740号公報、特開2001−277742号公報に記載のごとく、該構成成分の一部をマイクロカプセルに内包させて画像記録層に添加することができる。その場合、各構成成分はマイクロカプセル内および外に、任意の比率で含有させることが可能である。
本発明の画像記録層には、さらに、必要に応じて種々の添加剤を含有させることができる。以下、それらについて説明する。
本発明の平版印刷版原版における画像記録層には、現像性の向上、マイクロカプセルの分散安定性の向上などのため、親水性ポリマーを含有させることができる。
親水性ポリマーとしては、例えば、ヒドロキシ基、カルボキシル基、カルボキシレート基、ヒドロキシエチル基、ポリオキシエチル基、ヒドロキシプロピル基、ポリオキシプロピル基、アミノ基、アミノエチル基、アミノプロピル基、アンモニウム基、アミド基、カルボキシメチル基、スルホン酸基、リン酸基等の親水性基を有するものが好適に挙げられる。
クリレートのホモポリマーおよびコポリマー、ヒドロキシエチルアクリレートのホモポリマーおよびコポリマー、ヒドロキシピロピルメタクリレートのホモポリマーおよびコポリマー、ヒドロキシプロピルアクリレートのホモポリマーおよびコポリマー、ヒドロキシブチルメタクリレートのホモポリマーおよびコポリマー、ヒドロキシブチルアクリレートのホモポリマーおよびコポリマー、ポリエチレングリコール類、ヒドロキシプロピレンポリマー類、ポリビニルアルコール類、加水分解度が60モル%以上、好ましくは80モル%以上である加水分解ポリビニルアセテート、ポリビニルホルマール、ポリビニルブチラール、ポリビニルピロリドン、アクリルアミドのホモポリマーおよびコポリマー、メタクリルアミドのホモポリマーおよびポリマー、N−メチロールアクリルアミドのホモポリマーおよびコポリマー、ポリビニルピロリドン、アルコール可溶性ナイロン、2,2−ビス−(4−ヒドロキシフェニル)−プロパンとエピクロロヒドリンとのポリエーテル等が挙げられる。
親水性ポリマーの画像記録層への含有量は、画像記録層全固形分の20質量%以下が好ましく、10質量%以下がより好ましい。
本発明において、画像記録層には、現像性の促進および塗布面状を向上させるために界面活性剤を用いるのが好ましい。界面活性剤としては、ノニオン界面活性剤、アニオン界面活性剤、カチオン界面活性剤、両性界面活性剤、フッ素系界面活性剤等が挙げられる。
界面活性剤は、単独で用いてもよく、2種以上を組み合わせて用いてもよい。
塩類、ポリオキシエチレンアルキルエーテルリン酸エステル塩類、ポリオキシエチレンアルキルフェニルエーテルリン酸エステル塩類、スチレン/無水マレイン酸共重合物の部分けん化物類、オレフィン/無水マレイン酸共重合物の部分けん化物類、ナフタレンスルホン酸塩ホルマリン縮合物類が挙げられる。
本発明に用いられる両性界面活性剤は、特に限定されず、従来公知のものを用いることができる。例えば、カルボキシベタイン類、アミノカルボン酸類、スルホベタイン類、アミノ硫酸エステル類、イミタゾリン類が挙げられる。
界面活性剤の含有量は、画像記録層の全固形分に対して、0.001〜10質量%であるのが好ましく、0.01〜7質量%であるのがより好ましい。
本発明では、可視光域に大きな吸収を持つ染料を画像の着色剤として使用することができる。具体的には、オイルイエロー#101、オイルイエロー#103、オイルピンク#312、オイルグリーンBG、オイルブルーBOS、オイルブルー#603、オイルブラックBY、オイルブラックBS、オイルブラックT−505(以上オリエント化学工業(株)製)、ビクトリアピュアブルー、クリスタルバイオレット(CI42555)、メチルバイオレット(CI42535)、エチルバイオレット、ローダミンB(CI145170B)、マラカイトグリーン(CI42000)、メチレンブルー(CI52015)等、および特開昭62−293247号公報に記載されている染料を挙げることができる。また、フタロシアニン系顔料、アゾ系顔料、カーボンブラック、酸化チタン等の顔料も好適に用いることができる。
本発明の画像記録層には、焼き出し画像生成のため、酸またはラジカルによって変色す
る化合物を添加することができる。このような化合物としては、例えばジフェニルメタン系、トリフェニルメタン系、チアジン系、オキサジン系、キサンテン系、アンスラキノン系、イミノキノン系、アゾ系、アゾメチン系等の各種色素が有効に用いられる。
分に対して0.01〜15質量%の割合である。
本発明の画像記録層には、画像記録層の製造中または保存中において、ラジカル重合性化合物の不要な熱重合を防止するために、少量の熱重合防止剤を添加するのが好ましい。
熱重合防止剤としては、例えば、ハイドロキノン、p−メトキシフェノール、ジ−t−ブチル−p−クレゾール、ピロガロール、t−ブチルカテコール、ベンゾキノン、4,4′−チオビス(3−メチル−6−t−ブチルフェノール)、2,2′−メチレンビス(4−メチル−6−t−ブチルフェノール)、N−ニトロソ−N−フェニルヒドロキシルアミンアルミニウム塩が好適に挙げられる。
熱重合防止剤の添加量は、画像記録層の全固形分に対して、約0.01〜約5質量%であるのが好ましい。
本発明の画像記録層には、酸素による重合阻害を防止するために、ベヘン酸やベヘン酸アミドのような高級脂肪酸誘導体等を添加して、塗布後の乾燥の過程で画像記録層の表面に偏在させてもよい。高級脂肪酸誘導体の添加量は、画像記録層の全固形分に対して、約0.1〜約10質量%であるのが好ましい。
本発明の画像記録層は可塑剤を含有してもよい。可塑剤としては、例えば、ジメチルフタレート、ジエチルフタレート、ジブチルフタレート、ジイソブチルフタレート、ジオクチルフタレート、オクチルカプリルフタレート、ジシクロヘキシルフタレート、ジトリデシルフタレート、ブチルベンジルフタレート、ジイソデシルフタレート、ジアリルフタレート等のフタル酸エステル類;ジメチルグリコールフタレート、エチルフタリルエチルグリコレート、メチルフタリルエチルグリコレート、ブチルフタリルブチルグリコレート、トリエチレングリコールジカプリル酸エステル等のグリコールエステル類;トリクレジルホスフェート、トリフェニルホスフェート等のリン酸エステル類;ジイソブチルアジペート、ジオクチルアジペート、ジメチルセバケート、ジブチルセバケート、ジオクチルアゼレート、ジブチルマレエート等の脂肪族二塩基酸エステル類;ポリグリシジルメタクリレート、クエン酸トリエチル、グリセリントリアセチルエステル、ラウリン酸ブチル等が好適に挙げられる。可塑剤の含有量は、画像記録層の全固形分に対して、約30質量%以下であるのが好ましい。
本発明の画像記録層は、画像部の硬化皮膜強度向上のために、無機微粒子を含有してもよい。無機微粒子としては、例えば、シリカ、アルミナ、酸化マグネシウム、酸化チタン、炭酸マグネシウム、アルギン酸カルシウムまたはこれらの混合物が好適に挙げられる。これらは光熱変換性でなくても、皮膜の強化、表面粗面化による界面接着性の強化等に用いることができる。無機微粒子は、平均粒径が5nm〜10μmであるのが好ましく、0.5〜3μmであるのがより好ましい。上記範囲内であると、画像記録層中に安定に分散して、画像記録層の膜強度を十分に保持し、印刷時の汚れを生じにくい親水性に優れる非画像部を形成することができる。
上述したような無機微粒子は、コロイダルシリカ分散物等の市販品として容易に入手することができる。
無機微粒子の含有量は、画像記録層の全固形分に対して、20質量%以下であるのが好ましく、10質量%以下であるのがより好ましい。
本発明の画像記録層は、現像性向上のため、親水性低分子化合物を含有することができ
る。親水性低分子化合物としては、例えば、水溶性有機化合物としては、エチレングリコール、ジエチレングリコール、トリエチレングリコール、プロピレングリコール、ジプロピレングリコール、トリプロピレングリコール等のグリコール類およびそのエーテルまたはエステル誘導体類、グリセリン、ペンタエリスリトール等のポリヒドロキシ類、トリエタノールアミン、ジエタノールアミンモノエタノールアミン等の有機アミン類およびその塩、トルエンスルホン酸、ベンゼンスルホン酸等の有機スルホン酸類およびその塩、フェニルホスホン酸等の有機ホスホン酸類およびその塩、酒石酸、シュウ酸、クエン酸、リンゴ酸、乳酸、グルコン酸、アミノ酸類等の有機カルボン酸類およびその塩等が挙げられる。
本発明の画像記録層は、必要な上記各成分を溶剤に分散または溶解して塗布液を調製し、塗布して形成される。ここで使用する溶剤としては、エチレンジクロリド、シクロヘキサノン、メチルエチルケトン、メタノール、エタノール、プロパノール、エチレングリコールモノメチルエーテル、1−メトキシ−2−プロパノール、2−メトキシエチルアセテート、1−メトキシ−2−プロピルアセテート、ジメトキシエタン、乳酸メチル、乳酸エチル、N,N−ジメチルアセトアミド、N,N−ジメチルホルムアミド、テトラメチルウレア、N−メチルピロリドン、ジメチルスルホキシド、スルホラン、γ−ブチルラクトン、トルエン、水等を挙げることができるが、これに限定されるものではない。これらの溶剤は、単独または混合して使用される。塗布液の固形分濃度は、好ましくは1〜50質量%である。
本発明の画像記録層は、同一または異なる上記各成分を同一または異なる溶剤に分散、または溶かした塗布液を複数調製し、複数回の塗布、乾燥を繰り返して形成することも可能である。
塗布する方法としては、種々の方法を用いることができる。例えば、バーコーター塗布、回転塗布、スプレー塗布、カーテン塗布、ディップ塗布、エアーナイフ塗布、ブレード塗布、ロール塗布等を挙げられる。
本発明の平版印刷版原版に用いられる支持体は、特に限定されず、寸度的に安定な板状な親水性支持体であればよい。例えば、紙、プラスチック(例えば、ポリエチレン、ポリプロピレン、ポリスチレン等)がラミネートされた紙、金属板(例えば、アルミニウム、亜鉛、銅等)、プラスチックフィルム(例えば、二酢酸セルロース、三酢酸セルロース、プロピオン酸セルロース、酪酸セルロース、酢酸酪酸セルロース、硝酸セルロース、ポリエチレンテレフタレート、ポリエチレン、ポリスチレン、ポリプロピレン、ポリカーボネート、ポリビニルアセタール等)、上述した金属がラミネートされまたは蒸着された紙またはプラスチックフィルム等が挙げられる。好ましい支持体としては、ポリエステルフィルムおよびアルミニウム板が挙げられる。中でも、寸法安定性がよく、比較的安価であるアルミニウム板が好ましい。
わずかに異元素を含有するものでもよい。アルミニウム板は、その組成が特定されるものではなく、公知公用の素材のものを適宜利用することができる。
機械的粗面化処理の方法としては、ボール研磨法、ブラシ研磨法、ブラスト研磨法、バフ研磨法等の公知の方法を用いることができる。 電気化学的粗面化処理の方法としては、例えば、塩酸、硝酸等の酸を含有する電解液中で交流または直流により行う方法が挙げられる。また、特開昭54−63902号公報に記載されているような混合酸を用いる方法も挙げられる。
陽極酸化処理の条件は、用いられる電解質により種々変わるので一概に特定することはできないが、一般的には、電解質濃度1〜80質量%溶液、液温5〜70℃、電流密度5〜60A/d m2 、電圧1〜100V、電解時間10秒〜5分であるのが好ましい。形成される陽極酸化皮膜の量は、1.0〜5.0g/m2 であるのが好ましく、1.5〜4.0g/m2 であるのがより好ましい。この範囲内で、良好な耐刷性と平版印刷版の非画像部の良好な耐傷性が得られる。
なかでも、無機フッ素化合物を含有する水溶液による封孔処理、水蒸気による封孔処理および熱水による封孔処理が好ましい。
同第3,280,734号および同第3,902,734号の明細書に記載されているようなアルカリ金属シリケート法がある。この方法においては、支持体をケイ酸ナトリウム等の水溶液で浸せき処理し、または電解処理する。そのほかに、特公昭36−22063号公報に記載されているフッ化ジルコン酸カリウムで処理する方法、米国特許第3,276,868号、同第4,153,461号および同第4,689,272号の明細書に記載されているようなポリビニルホスホン酸で処理する方法等が挙げられる。
また、支持体の色濃度としては、反射濃度値として0.15〜0.65であるのが好ましい。この範囲内で、画像露光時のハレーション防止による良好な画像形成性と現像後の良好な検版性が得られる。
本発明の平版印刷版原版においては、支持体上に重合性基を含有する化合物の下塗り層を設けることが好ましい。下塗り層が用いられるときは、画像記録層は下塗り層の上に設けられる。下塗り層は、露光部においては支持体と画像記録層との密着性を強化し、また、未露光部においては、画像記録層の支持体からのはく離を生じやすくさせるため、現像性が向上する。
下塗り層としては、具体的には、特開平10−282679号公報に記載されている付加重合可能なエチレン性二重結合反応基を有しているシランカップリング剤、特開平2−304441号公報記載のエチレン性二重結合反応基を有しているリン化合物などが好適に挙げられる。特に好ましい化合物として、メタクリル基、アリル基などの重合性基とスルホン酸基、リン酸基、リン酸エステルなどの支持体吸着性基を有する化合物が挙げられる。重合性基と支持体吸着性基に加えてエチレンオキシド基などの親水性付与基を有する化合物も好適な化合物として挙げることができる。
下塗り層の塗布量(固形分)は、0.1〜100mg/m2であるのが好ましく、1〜30mg/m2であるのがより好ましい。
本発明の平版印刷版原版においては、画像記録層における傷等の発生防止、酸素遮断、
高照度レーザー露光時のアブレーション防止のため、画像記録層の上に水可溶な保護層を設けることができる。
本発明においては、通常、露光を大気中で行うが、保護層は、画像記録層中で露光により生じるラジカル重合反応を阻害する大気中に存在する酸素、塩基性物質等の低分子化合物の画像記録層への混入を防止し、大気中での露光による画像形成反応の阻害を防止する。従って、保護層に望まれる特性は、酸素等の低分子化合物の透過性が低いことであり、更に、露光に用いられる光の透過性が良好で、画像記録層との密着性に優れ、かつ、露光後の簡易現像の水溶液によって容易に除去することができるものであるのが好ましい。このような特性を有する保護層については、以前より種々検討がなされており、例えば、米国特許第3、458、311号明細書および特公昭55−49729号公報に詳細に記載されている。
ポリビニルアルコールの具体例としては、71〜100%加水分解された重合度300〜2400の範囲のものが好適に挙げられる。具体的には、例えば、(株)クラレ製のPVA−105、PVA−110、PVA−117、PVA−117H、PVA−120、PVA−124、PVA−124H、PVA−CS、PVA−CST、PVA−HC、PVA−203、PVA−204、PVA−205、PVA−210、PVA−217、PVA−220、PVA−224、PVA−217EE、PVA−217E、PVA−220E、PVA−224E、PVA−405、PVA−420、PVA−613、L−8が挙げられる。
保護層の塗布方法については、例えば、米国特許第3,458,311号明細書および特公昭55−49729号公報に詳細に記載されている。
支持体に表面処理を施した後または下塗り層を形成させた後、必要に応じて、支持体の裏面にバックコートを設けることができる。
バックコートとしては、例えば、特開平5−45885号公報に記載されている有機高分子化合物、特開平6−35174号公報に記載されている有機金属化合物または無機金属化合物を加水分解および重縮合させて得られる金属酸化物からなる被覆層が好適に挙げられる。中でも、Si(OCH3 )4 、Si(OC2 H5 )4 、Si(OC3 H7 )4 、Si(OC4 H9 )4 等のケイ素のアルコキシ化合物を用いるのが、原料が安価で入手しやすい点で好ましい。
本発明の製版方法においては、平版印刷版原版は、線画像、網点画像等を有する透明原画を通して露光するかデジタルデータによりレーザー走査露光することにより画像様に露光される。露光光源としては、例えば、カーボンアーク、高圧水銀灯、キセノンランプ、メタルハライドランプ、蛍光ランプ、タングステンランプ、ハロゲンランプ、紫外光レーザー、可視光レーザー、赤外光レーザーが挙げられる。特にレーザーが好ましく、250〜420nmの範囲の光を放射する半導体レーザー、760〜1200nmの範囲の赤外線を放射する固体レーザーおよび半導体レーザーなどが挙げられる。レーザーを用いる場合は、デジタルデータに従って、画像様に走査露光することが好ましい。また、露光時間を短縮するため、マルチビームレーザーデバイスを用いるのが好ましい。
ない。なお、実施例1〜12及び26〜31は参考例である。
厚み0.3mmのアルミニウム板(材質1050)の表面の圧延油を除去するため、10質量%アルミン酸ソーダ水溶液を用いて50℃で30秒間、脱脂処理を施した後、毛径0.3mmの束植ナイロンブラシ3本とメジアン径25μmのパミス−水懸濁液(比重1.1g/cm3)を用いアルミニウム表面を砂目立てして、水でよく洗浄した。この板を45℃の25質量%水酸化ナトリウム水溶液に9秒間浸漬してエッチングを行い、水洗後、さらに60℃で20質量%硝酸に20秒間浸漬し、水洗した。この時の砂目立て表面のエッチング量は約3g/m2であった。
その後、スプレーによる水洗を行った。
・下記の下塗り化合物(1) 0.017g
・メタノール 9.00g
・水 1.00g
上記の下塗り層を付与した支持体(A)上に、画像記録層塗布液(1)をバー塗布した後、100℃、75秒でオーブン乾燥し、乾燥塗布量1.0g/m2の画像記録層を形成してその上に、更に下記組成の保護層塗布液を乾燥時の塗布量が1.0g/m2となるようにバーを用いて塗布した後、100℃90秒の条件にてオーブンで乾燥し、平版印刷版原版Aを得た。
画像記録層塗布液(1)は下記感光液(1)およびマイクロカプセル液(1)を塗布直前に混合し攪拌することにより得た。
・下記バインダーポリマー(1) 0.162g
・下記重合開始剤(1) 0.100g
・下記赤外線吸収剤(1) 0.020g
・重合性化合物、アロニックスM-215(東亜合成(株)製) 0.385g
・下記フッ素系界面活性剤(1) 0.044g
・メチルエチルケトン 1.091g
・1−メトキシ−2―プロパノール 8.609g
・下記の通り合成したマイクロカプセル(1) 2.640g
・水 2.425g
油相成分として、トリメチロールプロパンとキシレンジイソシアナート付加体(三井武田ケミカル(株)製、タケネートD−110N、75%酢酸エチル溶液)10g、アロニックスM−215(東亞合成(株)製)6.00g、およびパイオニンA−41C(竹本油脂(株)製)0.12gを酢酸エチル16.67gに溶解した。水相成分としてポリビニルアルコールPVA−205((株)クラレ製)の4質量%水溶液37.5gを調製した。油相成分および水相成分を混合し、ホモジナイザーを用いて12000rpmで10分間乳化した。得られた乳化物を、蒸留水25gに添加し、室温で30分攪拌後、40℃で2時間攪拌した。このようにして得られたマイクロカプセル液の固形分濃度を、15質量%になるように蒸留水を用いて希釈した。平均粒径は0.2μmであった。
・水 88g
・ポリビニルアルコールPVA105((株)クラレ製) 10g
・ポリエチレングリコール(分子量2000) 2g
・下記の界面活性剤 1g
上記支持体(A)に、下記組成の画像記録層塗布液(3)をバー塗布した後、100℃、60秒でオーブン乾燥し、乾燥塗布量1.4g/m2の画像記録層を形成し、この上に上記組成よりなる保護層塗布液(1)を、乾燥塗布質量が0.5g/m2となるように塗布し、120℃で1分間乾燥して平版印刷版原版Bを得た。
・上記バインダーポリマー(1) 2.0g
・重合性化合物 1.5g
イソシアヌール酸EO変性トリアクリレート
(東亜合成(株)製、アロニックスM−315)
・下記(1)で表される化合物 0.15g
・下記(2)で表される化合物 0.20g
・下記(3)で表される化合物 0.4g
・エチルバイオレット 0.1g
・熱重合禁止剤 0.1g
N−ニトロソフェニルヒドロキシルアミンアルミニウム塩
・上記水溶性フッ素系界面活性剤(1) 0.02g
・テトラエチエルアミン塩酸塩 0.06g
・1−メトキシ−2−プロパノール 17.5g
・メチルエチルケトン 19.0g
下記の表1に組成を示した処理液1〜20を作製した。表中の単位は[g]である。
得られた平版印刷版Aは、水冷式40W赤外線半導体レーザー搭載のCreo社製Trendsetter3244VXにて、出力9W、外面ドラム回転数210rpm、解像度2400dpiの条件で画像様露光を行った。
平版印刷版Bは、出力30mWの405nm半導体レーザーを用いて、エネルギー密度0.5mJ/cm2解像度2400dpiの条件にて画像様露光を行った。
℃の条件で行った。図中の108は搬送ローラであり、入口から出口の通過時間は15秒
に設定した。図中の112は回転ブラシであり、搬送方向に対して順転方向に280mm
/秒の速度で回転させた。現像槽から排出された平版印刷版原版は自然乾燥により乾燥さ
せた。処理液1〜6は処理した後、処理液7で再処理を行った。処理液8〜13及び15〜20はそれぞれの液で処理後乾燥させた。
現像できたものは○、できなかったものは×で表す。
自然乾燥させた平版印刷版原版をハイデルベルグ社製印刷機SOR−Mのシリンダーに取り付けた。湿し水(EU−3(富士写真フイルム(株)製エッチ液)/水/イソプロピルアルコール=1/89/10(容量比))とTRANS−G(N)墨インキ(大日本インキ化学工業(株)製)とを用い、湿し水とインキを供給した後、毎時6000枚の印刷速度で印刷を500枚行った。
汚れなかったものは○、汚れたものは×で表す。
結果を表2に示す。
108 搬送ローラ
112 回転ブラシ
Claims (7)
- 支持体上に、画像記録層を有する平版印刷版原版を、250〜420nmの光を放射するレーザーを用いた画像様露光により露光部の画像記録層を硬化させた後、ノニオン界面活性剤、アニオン界面活性剤、またはこれらの両方を1質量%以上含有し、水溶性高分子化合物を含有する、pH2〜10の水溶液で現像することを特徴とする平版印刷版の製版方法。
- 支持体上に、画像記録層を有する平版印刷版原版を、250〜420nmの光を放射するレーザーを用いた画像様露光により露光部の画像記録層を硬化させた後、ノニオン界面活性剤、アニオン界面活性剤、またはこれらの両方を1質量%以上含有する、pH2〜10の水溶液で現像し、前記現像後、水溶性高分子化合物を含有する水溶液と接触させることを特徴とする平版印刷版の製版方法。
- アニオン界面活性剤が、スルホン酸のアニオン基または硫酸モノエステルのアニオン基を有し、かつ置換基を有していてもよい少なくとも一つの芳香族基を有するアニオン界面活性剤である、請求項1又は2に記載の平版印刷版の製版方法。
- ノニオン界面活性剤が、下記式(1)で表されるノニオン芳香族エーテル系界面活性剤からなる群から選ばれる少なくとも一種の界面活性剤である請求項1又は2に記載の平版印刷版の製版方法:
X−Y−O−(A)n−(B)m−H (1)
(式中、Xは置換基を有していてもよい芳香族基を表し、Yは単結合又は炭素原子数1〜10のアルキレン基を表し、A及びBは互いに異なる基であって、−CH2CH2O−又は−CH2CH(CH3)O−のいずれかを表し、n、mはそれぞれ0又は1〜100の整数を表し、但しnとmは同時に0ではなく、またn若しくはmのいずれかが0である場合にはn及びmは1ではない。)。 - 画像記録層が、(1)重合開始剤、(2)重合性化合物、および(3)疎水性バインダーポリマーを含有する請求項1〜4のいずれか一項に記載の平版印刷版の製版方法。
- 平版印刷版原版が画像記録層上にさらに保護層を有する請求項1〜5のいずれか一項に記載の平版印刷版の製版方法。
- 該画像記録層成分の一部または全てが、マイクロカプセルに内包されている請求項1〜6のいずれか一項に記載の平版印刷版の製版方法。
Priority Applications (1)
| Application Number | Priority Date | Filing Date | Title |
|---|---|---|---|
| JP2005221431A JP4792253B2 (ja) | 2004-07-29 | 2005-07-29 | 平版印刷版の製版方法 |
Applications Claiming Priority (3)
| Application Number | Priority Date | Filing Date | Title |
|---|---|---|---|
| JP2004221499 | 2004-07-29 | ||
| JP2004221499 | 2004-07-29 | ||
| JP2005221431A JP4792253B2 (ja) | 2004-07-29 | 2005-07-29 | 平版印刷版の製版方法 |
Related Child Applications (1)
| Application Number | Title | Priority Date | Filing Date |
|---|---|---|---|
| JP2011035228A Division JP5453333B2 (ja) | 2004-07-29 | 2011-02-21 | 平版印刷版の製版方法 |
Publications (2)
| Publication Number | Publication Date |
|---|---|
| JP2006065321A JP2006065321A (ja) | 2006-03-09 |
| JP4792253B2 true JP4792253B2 (ja) | 2011-10-12 |
Family
ID=36111815
Family Applications (1)
| Application Number | Title | Priority Date | Filing Date |
|---|---|---|---|
| JP2005221431A Expired - Fee Related JP4792253B2 (ja) | 2004-07-29 | 2005-07-29 | 平版印刷版の製版方法 |
Country Status (1)
| Country | Link |
|---|---|
| JP (1) | JP4792253B2 (ja) |
Families Citing this family (31)
| Publication number | Priority date | Publication date | Assignee | Title |
|---|---|---|---|---|
| EP1788434B2 (en) * | 2005-11-18 | 2019-01-02 | Agfa Nv | Method of making a lithographic printing plate |
| JP2007293221A (ja) * | 2006-03-31 | 2007-11-08 | Fujifilm Corp | 平版印刷版の作製方法及び平版印刷版原版 |
| JP4991427B2 (ja) * | 2006-07-25 | 2012-08-01 | 富士フイルム株式会社 | 平版印刷版原版および平版印刷版の作製方法 |
| DE602007009344D1 (de) | 2006-07-25 | 2010-11-04 | Fujifilm Corp | Lithographiedruckplattenvorläufer und Verfahren zur Herstellung einer Lithographiedruckplatte |
| JP4719653B2 (ja) * | 2006-09-26 | 2011-07-06 | 富士フイルム株式会社 | 画像形成方法および平版印刷版の作製方法 |
| WO2008056506A1 (fr) * | 2006-11-09 | 2008-05-15 | Konica Minolta Medical & Graphic, Inc. | Matériau de plaque d'impression photosensible et procédé de fabrication de la plaque d'impression |
| EP2447779A1 (en) * | 2007-01-17 | 2012-05-02 | Fujifilm Corporation | Method for preparation of lithographic printing plate |
| JP4905790B2 (ja) * | 2007-03-27 | 2012-03-28 | 富士フイルム株式会社 | 平版印刷版の製版方法 |
| CN101981503B (zh) * | 2008-03-27 | 2013-09-04 | 富士胶片株式会社 | 平版印刷版原版和使用该原版的平版印刷版的制备方法 |
| JP5586333B2 (ja) * | 2009-06-09 | 2014-09-10 | 富士フイルム株式会社 | 平版印刷版の作製方法 |
| JP5705584B2 (ja) * | 2011-02-24 | 2015-04-22 | 富士フイルム株式会社 | 平版印刷版の製版方法 |
| BR112014007143A2 (pt) * | 2011-09-26 | 2017-06-13 | Fujifilm Corp | processo para fabricar chapa de impressão litográfica |
| BR112019009802B1 (pt) | 2016-11-16 | 2022-12-13 | Fujifilm Corporation | Precursor de placa de impressão planográfica em prensa e método para fabricação de placa em prensa para placa de impressão planográfica |
| CN110268333A (zh) | 2017-02-28 | 2019-09-20 | 富士胶片株式会社 | 平版印刷版的制作方法 |
| WO2018159640A1 (ja) | 2017-02-28 | 2018-09-07 | 富士フイルム株式会社 | 硬化性組成物、平版印刷版原版、平版印刷版の作製方法、及び、化合物 |
| CN109843596B (zh) | 2017-03-31 | 2020-05-05 | 富士胶片株式会社 | 平版印刷版原版及其制造方法、平版印刷版原版层叠体以及平版印刷方法 |
| CN109863033B (zh) | 2017-03-31 | 2020-04-10 | 富士胶片株式会社 | 平版印刷版原版及其制造方法、平版印刷版原版层叠体、平版印刷版的制版方法以及平版印刷方法 |
| EP3632694A4 (en) | 2017-05-31 | 2020-06-17 | FUJIFILM Corporation | ORIGINAL LITHOGRAPHIC PRINTING PLATE, RESIN COMPOSITION FOR MANUFACTURING ORIGINAL LITHOGRAPHIC PRINTING PLATE, AND METHOD FOR MANUFACTURING LITHOGRAPHIC PRINTING PLATE |
| WO2018221133A1 (ja) | 2017-05-31 | 2018-12-06 | 富士フイルム株式会社 | 平版印刷版原版、平版印刷版の作製方法、ポリマー粒子、及び、組成物 |
| CN110719847B (zh) | 2017-05-31 | 2021-08-31 | 富士胶片株式会社 | 平版印刷版原版及平版印刷版的制作方法 |
| EP3640039B1 (en) | 2017-06-12 | 2024-04-24 | FUJIFILM Corporation | Lithography original plate, platemaking method for lithography plate, and photosensitive resin composition |
| EP3674096B1 (en) | 2017-09-29 | 2023-03-01 | FUJIFILM Corporation | Lithographic printing plate precursor and lithographic printing plate fabrication method |
| EP3960456B1 (en) | 2018-01-31 | 2025-06-18 | FUJIFILM Corporation | Lithographic printing plate precursor and method of producing lithographic printing plate |
| CN111670121B (zh) | 2018-01-31 | 2022-05-13 | 富士胶片株式会社 | 平版印刷版原版及平版印刷版的制作方法 |
| CN111683820B (zh) | 2018-01-31 | 2022-06-17 | 富士胶片株式会社 | 平版印刷版原版及平版印刷版的制作方法 |
| JP7019031B2 (ja) | 2018-03-29 | 2022-02-14 | 富士フイルム株式会社 | 平版印刷版作製用現像処理装置、及び、平版印刷版の作製方法 |
| CN112654507B (zh) | 2018-07-31 | 2023-05-02 | 富士胶片株式会社 | 平版印刷版原版及废弃版原版 |
| CN112533764B (zh) | 2018-07-31 | 2023-05-02 | 富士胶片株式会社 | 平版印刷版原版及其层叠体、平版印刷版的制版方法及平版印刷方法 |
| EP3845394B1 (en) | 2018-08-31 | 2025-04-30 | FUJIFILM Corporation | Planographic printing plate precursor, method of preparing a planographic printing plate, and planographic printing method |
| CN112789178B (zh) | 2018-09-28 | 2023-10-20 | 富士胶片株式会社 | 印刷用原版、其层叠体、印刷版的制版方法及印刷方法 |
| CN112752656B (zh) | 2018-09-28 | 2023-05-09 | 富士胶片株式会社 | 印刷用原版、其层叠体、印刷版的制版方法及印刷方法 |
Family Cites Families (4)
| Publication number | Priority date | Publication date | Assignee | Title |
|---|---|---|---|---|
| JP4050854B2 (ja) * | 1999-12-21 | 2008-02-20 | 富士フイルム株式会社 | 画像形成方法 |
| JP2003107718A (ja) * | 2001-09-28 | 2003-04-09 | Fuji Photo Film Co Ltd | 光重合性画像記録材料 |
| JP4307786B2 (ja) * | 2002-04-24 | 2009-08-05 | 富士フイルム株式会社 | 平版印刷版の作製方法 |
| JP2004126266A (ja) * | 2002-10-03 | 2004-04-22 | Konica Minolta Holdings Inc | 感光性平版印刷版材料の処理方法及び感光性平版印刷版材料用現像液 |
-
2005
- 2005-07-29 JP JP2005221431A patent/JP4792253B2/ja not_active Expired - Fee Related
Also Published As
| Publication number | Publication date |
|---|---|
| JP2006065321A (ja) | 2006-03-09 |
Similar Documents
| Publication | Publication Date | Title |
|---|---|---|
| JP4792253B2 (ja) | 平版印刷版の製版方法 | |
| JP5309255B2 (ja) | 平版印刷版用現像処理液及び平版印刷版の製版方法 | |
| JP5453333B2 (ja) | 平版印刷版の製版方法 | |
| JP5124662B2 (ja) | 平版印刷版の作製方法 | |
| JP5097833B2 (ja) | 平版印刷方法 | |
| JP4945103B2 (ja) | 平版印刷版の作製方法、平版印刷版原版および平版印刷方法 | |
| JP5172097B2 (ja) | 平版印刷版原版および平版印刷版原版の製造方法 | |
| JP2009047927A (ja) | 平版印刷版用現像処理液及び平版印刷版の製版方法 | |
| JP5087701B2 (ja) | 平版印刷方法 | |
| JP4505242B2 (ja) | 平版印刷方法 | |
| JP2007206348A (ja) | 平版印刷版用現像処理液及び平版印刷版の製版方法 | |
| JP4900913B2 (ja) | 平版印刷版の製版方法 | |
| JP2006039468A (ja) | 平版印刷版の作製方法 | |
| JP2006130905A (ja) | 平版印刷方法 | |
| JP4349991B2 (ja) | 平版印刷版の処理方法 | |
| JP2007052279A (ja) | 平版印刷版の作製方法および作製装置 | |
| JP4909532B2 (ja) | 平版印刷版の製版方法 | |
| JP4905790B2 (ja) | 平版印刷版の製版方法 | |
| JP2009210639A (ja) | 平版印刷版用現像処理液及び平版印刷版の製版方法 | |
| JP2006309160A (ja) | 平版印刷版の製版方法 | |
| JP2005262636A (ja) | 平版印刷方法 | |
| JP2008145983A (ja) | 平版印刷版用現像処理液及び平版印刷版の製版方法 | |
| JP2008256743A (ja) | 平版印刷版の作製方法 | |
| JP2006001022A (ja) | 平版印刷版原版の製造方法、平版印刷版原版および平版印刷方法 | |
| JP2007114572A (ja) | 平版印刷版の作製方法およびその作製装置 |
Legal Events
| Date | Code | Title | Description |
|---|---|---|---|
| RD04 | Notification of resignation of power of attorney |
Free format text: JAPANESE INTERMEDIATE CODE: A7424 Effective date: 20060328 |
|
| A711 | Notification of change in applicant |
Free format text: JAPANESE INTERMEDIATE CODE: A712 Effective date: 20061127 |
|
| RD04 | Notification of resignation of power of attorney |
Free format text: JAPANESE INTERMEDIATE CODE: A7424 Effective date: 20071109 |
|
| RD04 | Notification of resignation of power of attorney |
Free format text: JAPANESE INTERMEDIATE CODE: A7424 Effective date: 20071116 |
|
| RD04 | Notification of resignation of power of attorney |
Free format text: JAPANESE INTERMEDIATE CODE: A7424 Effective date: 20071126 |
|
| A621 | Written request for application examination |
Free format text: JAPANESE INTERMEDIATE CODE: A621 Effective date: 20080207 |
|
| A977 | Report on retrieval |
Free format text: JAPANESE INTERMEDIATE CODE: A971007 Effective date: 20100401 |
|
| A131 | Notification of reasons for refusal |
Free format text: JAPANESE INTERMEDIATE CODE: A131 Effective date: 20101221 |
|
| A521 | Written amendment |
Free format text: JAPANESE INTERMEDIATE CODE: A523 Effective date: 20110221 |
|
| A131 | Notification of reasons for refusal |
Free format text: JAPANESE INTERMEDIATE CODE: A131 Effective date: 20110405 |
|
| A521 | Written amendment |
Free format text: JAPANESE INTERMEDIATE CODE: A523 Effective date: 20110606 |
|
| TRDD | Decision of grant or rejection written | ||
| A01 | Written decision to grant a patent or to grant a registration (utility model) |
Free format text: JAPANESE INTERMEDIATE CODE: A01 Effective date: 20110628 |
|
| A01 | Written decision to grant a patent or to grant a registration (utility model) |
Free format text: JAPANESE INTERMEDIATE CODE: A01 |
|
| A61 | First payment of annual fees (during grant procedure) |
Free format text: JAPANESE INTERMEDIATE CODE: A61 Effective date: 20110725 |
|
| FPAY | Renewal fee payment (event date is renewal date of database) |
Free format text: PAYMENT UNTIL: 20140729 Year of fee payment: 3 |
|
| R150 | Certificate of patent or registration of utility model |
Ref document number: 4792253 Country of ref document: JP Free format text: JAPANESE INTERMEDIATE CODE: R150 Free format text: JAPANESE INTERMEDIATE CODE: R150 |
|
| R250 | Receipt of annual fees |
Free format text: JAPANESE INTERMEDIATE CODE: R250 |
|
| R250 | Receipt of annual fees |
Free format text: JAPANESE INTERMEDIATE CODE: R250 |
|
| R250 | Receipt of annual fees |
Free format text: JAPANESE INTERMEDIATE CODE: R250 |
|
| R250 | Receipt of annual fees |
Free format text: JAPANESE INTERMEDIATE CODE: R250 |
|
| R250 | Receipt of annual fees |
Free format text: JAPANESE INTERMEDIATE CODE: R250 |
|
| LAPS | Cancellation because of no payment of annual fees |
