JP4710186B2 - 縦結合二重モードsawフィルタ - Google Patents

縦結合二重モードsawフィルタ Download PDF

Info

Publication number
JP4710186B2
JP4710186B2 JP2001229165A JP2001229165A JP4710186B2 JP 4710186 B2 JP4710186 B2 JP 4710186B2 JP 2001229165 A JP2001229165 A JP 2001229165A JP 2001229165 A JP2001229165 A JP 2001229165A JP 4710186 B2 JP4710186 B2 JP 4710186B2
Authority
JP
Japan
Prior art keywords
frequency
saw filter
mode saw
normalized
double mode
Prior art date
Legal status (The legal status is an assumption and is not a legal conclusion. Google has not performed a legal analysis and makes no representation as to the accuracy of the status listed.)
Expired - Fee Related
Application number
JP2001229165A
Other languages
English (en)
Other versions
JP2003046370A (ja
Inventor
祐史 小川
Current Assignee (The listed assignees may be inaccurate. Google has not performed a legal analysis and makes no representation or warranty as to the accuracy of the list.)
Miyazaki Epson Corp
Original Assignee
Epson Toyocom Corp
Priority date (The priority date is an assumption and is not a legal conclusion. Google has not performed a legal analysis and makes no representation as to the accuracy of the date listed.)
Filing date
Publication date
Application filed by Epson Toyocom Corp filed Critical Epson Toyocom Corp
Priority to JP2001229165A priority Critical patent/JP4710186B2/ja
Publication of JP2003046370A publication Critical patent/JP2003046370A/ja
Application granted granted Critical
Publication of JP4710186B2 publication Critical patent/JP4710186B2/ja
Anticipated expiration legal-status Critical
Expired - Fee Related legal-status Critical Current

Links

Images

Landscapes

  • Surface Acoustic Wave Elements And Circuit Networks Thereof (AREA)

Description

【0001】
【発明の属する技術分野】
本発明は1次−3次縦結合二重モードSAWフィルタ(以下、二重モードSAWフィルタと称す)に関し、特に通過域近傍の低域側、あるいは高域側の急峻度を改善した二重モードSAWフィルタに関する。
【0002】
【従来の技術】
近年、弾性表面波フィルタ(以下、SAWフィルタと称す)は通信分野で広く利用され、高性能、小型、量産性等の優れた特徴を有することから特に携帯電話機等に多く用いられている。その中でも携帯電話機のRF部に用いられるフィルタの1つに、3個のIDT電極を近接配置して、1次と3次の縦モードを強勢に励起し、これらを利用して構成した広帯域の縦結合二重モードSAWフィルタがある。
【0003】
は従来の二重モードSAWフィルタの構成を示す平面図であって、圧電基板11の主表面上に表面波の伝搬方向に沿ってIDT電極12、13、14を近接配置すると共に、該IDT電極12、13、14の両側にグレーティング反射器(以下、反射器と称す)15a、15bを配設する。IDT電極12、13、14はそれぞれ互いに間挿し合う複数の電極指を有する一対のくし形電極から形成され、中央のIDT電極12の一方のくし形電極を入力端子INにワイヤボンディング等を用いて接続すると共に、他方のくし形電極を接地する。さらに、外側のIDT電極13、14のくし形電極同士を圧電基板11上に形成したリード電極にてそれぞれ接続すると共に、一方のリード電極を出力端子OUTに接続し、他方のリード電極を接地して二重モードSAWフィルタを構成する。
【0004】
に示すようにIDT電極12、13、14の電極周期は共にλ、ピッチは共にLt(Lt=λ/2)とし、反射器15a、15bのピッチはLrとする。
そして、IDT電極13、14と反射器15a、15bとの相隣接する電極指同士の中心間間隔Ltrは弾性表面波の連続性を考慮して0.5λに設定する。
従来の二重モードSAWフィルタの設計法は、反射器15a、15bが形成するストップバンドBs内に1次モードと3次モードとの共振周波数をそれぞれ配置して、二重モードSAWフィルタのパスバンドが前記ストップバンドBs内に包含されるように設定するのが一般的であった。このような構成とすることにより、1次、3次モードのQ値を大きくすることができるため、フィルタとしては通過域の平坦化と挿入損失の低減とを実現することが可能となる。
【0005】
しかし、例えば1.8GHzのDCS用RFフィルタでは広帯域であると共に低域側あるいは高域側の大きな急峻度が要求されている。ここでは、フィルタの急峻度を次のように定義する。低域側3.5dB、10dBにおける周波数をそれぞれFL3.5、FL10とし、通過域3.5dB幅の中心周波数をFとするとき、低域側急峻度SをS=|FL10−FL3.5|/Fと定義する。同様に、高域側の高域急峻度SをS=(FH10−FH3.5)/Fと定義する。ここでFH3.5、FH10はそれぞれ高域側3.5dB、10dBにおける周波数を表すものとする。
このように急峻度を定義したとき、上記1.8GHzDCS用RFフィルタでは急峻度S(S)として0.008程度が要求されている。
【0006】
【発明が解決しようとする課題】
しかしながら、反射器が形成するストップバンド内に二重モードSAWフィルタの通過域を設定する従来の設計法では急峻度S(S)は0.005から0.012程度までバラツキ、設計した二重モードSAWフィルタが1.8GHzDCS用RFフィルタの要求仕様を満足しない場合が多々あるという問題あった。
本発明は上記問題を解決するためになされたものであって、広帯域であると共に通過帯域の両端において急峻な減衰が得られる二重モードSAWフィルタを提供することを目的とする。
【0007】
【課題を解決するための手段】
上記目的を達成するために本発明に係る縦結合二重モードSAWフィルタの請求項1記載の発明は、圧電基板の主表面上に表面波の伝搬方向に沿って3つのIDT電極とその両側にグレーティング反射器とを近接配置して構成した縦結合二重モードSAWフィルタにおいて、前記IDT電極が形成するストップバンド下端の周波数をその中央の周波数で規格化した規格化周波数をA、前記グレーティング反射器が形成するストップバンド下端の周波数をその中央の周波数で規格化した規格化周波数をαとしたとき、
0.02<A−α
を満たすように構成したことを特徴とする縦結合二重モードSAWフィルタである。
請求項2記載の発明は、圧電基板の主表面上に表面波の伝搬方向に沿って3つのIDT電極とその両側にグレーティング反射器とを近接配置して構成した縦結合二重モードSAWフィルタにおいて、前記IDT電極が形成するストップバンド上端の周波数をその中央の周波数で規格化した規格化周波数をB、前記グレーティング反射器が形成するストップバンド上端の周波数をその中央の周波数で規格化した周波数をβとしたとき、
−0.01≦β−B<0
を満たすように構成したことを特徴とする縦結合二重モードSAWフィルタである。
請求項3記載の発明は、前記圧電基板として36°乃至42°Y−XLiTaO基板を用いたことを特徴とする請求項1または2記載の縦結合二重モードSAWフィルタである。
請求項4記載の発明は、前記圧電基板として41°乃至64°Y−XLiNbO基板を用いたことを特徴とする請求項1または2記載の縦結合二重モードSAWフィルタである。
【0008】
【発明の実施の形態】
以下本発明を図面に示した実施の形態に基づいて詳細に説明する。
図1は本発明に係る二重モードSAWフィルタの構成を示す平面図であって、圧電基板1の主表面上に表面波の伝搬方向に沿ってIDT電極2、3、4を近接配置すると共に、該IDT電極2、3、4の両側に反射器5a、5bを配設する。IDT電極2、3、4はそれぞれ互いに間挿し合う複数の電極指を有する一対のくし形電極から形成され、中央のIDT電極2の一方のくし形電極を入力端子INに接続すると共に、他方のくし形電極を接地する。さらに、両外側のIDT電極3、4のくし形電極同士を圧電基板1上に形成したリード電極にてそれぞれ接続すると共に、一方のリード電極を出力端子OUTに接続し、他方のリード電極を接地して二重モードSAWフィルタを構成する。
【0009】
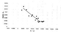
従来の二重モードSAWフィルタの通過域両端の急峻度がばらつく要因を調べるために、IDT電極及び反射器が形成するそれぞれストップバンドの周波数配置を相対的に変えた場合、二重モードSAWフィルタの急峻度S(S)がどのように変化するかをシミュレーションによって求めてみた。はじめに、低域側の急峻度Sを調べるために、IDT電極2、3、4が形成するストップバンド下端の周波数ftLを、IDT電極2、3、4のストップバンドの中心周波数ftCで規格化した周波数ftL/ftCをAとし、反射器5a、5bが形成するストップバンド下端の周波数frLを反射器のストップバンドの中心周波数frCで規格化した周波数frL/frCをαとしたとき、規格化下端周波数差(A−α)に対して低域側急峻度Sがどのように変化するかをシミュレーションによって求めたものが図2に示す曲線である。この図から規格化下端周波数差(A−α)が大きくなるに従い減衰傾度度は大きく、即ち急峻度Sは小さくなり、(A−α)が0.02より大きくなると急峻度Sは一定の値、約0.009に収斂していくことが分かった。
【0010】
上記のシミュレーションの結果を実験によって確認することにした。圧電基板に36゜YカットX伝搬LiTaO3基板を用い、中央の入力IDT電極2の対数を15.5対、両外側の出力IDT電極3、4の対数をそれぞれ10.5対、反射器5a、5bの対数を120本、電極のアルミニウム合金の膜厚を8%λ(λはIDT電極2、3、4の電極周期)、規格化下端周波数差(A−α)を0.0035から0.027まで変えたとき、規格化下端周波数差(A−α)と低域側急峻度Sとの関係を実験によって求めたものが図3に示す曲線である。
図2と3とを比較すると低域側急峻度Sの値は若干異なるものの、曲線の傾斜や急峻度Sが一定となる規格化下端周波数差(A−α)の値はほぼ同様な値となることが判明した。
【0011】
図4、5は中心周波数を1745.5MHzに設定し、圧電基板に36゜YカットX伝搬LiTaO基板、電極は上記図3に示した定数を用い、規格化下端周波数差(A−α)をそれぞれ0.02、0.01に設定した場合の二重モードSAWフィルタのフィルタ特性である。図4、5より(A−α)が0.02、0.01の場合の低域側急峻度Sはそれぞれ0.04、0.08であることが分かった。
【0012】
次に、高域側の急峻度Sを調べるため、IDT電極2、3、4が形成するストップバンド上端の周波数ftHを、IDT電極のストップバンドの中心周波数ftCで規格化した周波数ftH/ftCをBとし、反射器5a、5bが形成するストップバンド上端の周波数frHを反射器のストップバンドの中心周波数frCで規格化した周波数frH/frCをβとしたとき、規格化上端周波数差(β−B)に対して高域側急峻度がどのように変化するかをシミュレーションによって求めたものが図6に示す曲線である。この図から規格化上端周波数差(β−B)が大きくなるにつれて減衰傾度は増加、即ち急峻度Sは小さくなり、(β−B)が−0.01程度のときにSの値が最小値、約0.013に近づき、さらに(β−B)が大きくなるにつれてほぼ一定値に収斂することが判明した。
【0014】
7、8は中心周波数を1745.5MHzに設定し、圧電基板に36゜YカットX伝搬LiTaO基板、電極は図に示した定数を用い、規格化下端周波数差(β−B)をそれぞれ−0.01、−0.02に設定した場合の二重モードSAWフィルタのフィルタ特性である。図より(β−B)が−0.01、−0.02の場合の高域側急峻度Sはそれぞれ0.0058、0.0073であることが分かる。
【0015】
上記では圧電基板に36゜YカットX伝搬LiTaO基板を用いた例について説明したが、本発明はこれに限定する必要はなく他の切断角度であってもよいことは云うまでもない。また、他の圧電基板、例えばニオブ酸リチウム、ランガサイト、四硼酸リチウム、水晶等の圧電基板を用いた二重モードSAWフィルタに適用できることも説明するまでもない。
【0016】
【発明の効果】
本発明は以上説明したように構成したので、請求項1に記載の発明は二重モードSAWフィルタの通過域近傍の低域側急峻度を改善するという優れた効果を表す。請求項2に記載の発明は二重モードSAWフィルタの通過域近傍の高域側急峻度を改善するという優れた効果を表す。請求項3に記載の発明は圧電基板にタンタル酸リチウム基板を用いた二重モードSAWフィルタの急峻度を改善したという優れた効果を表す。請求項4に記載の発明は圧電基板にニオブ酸リチウム基板を用いた二重モードSAWフィルタの急峻度を改善したという優れた効果を表す。
【図面の簡単な説明】
【図1】 本発明に係る二重モードSAWフィルタの構成を示す図である。
【図2】 規格化下端周波数差(A−α)と低域側急峻度Sとの関係をシミュレーションによって求めた図である。
【図3】 規格化下端周波数差(A−α)と低域側急峻度Sとの関係を実験によって求めた図である。
【図4】 規格化下端周波数差(A−α)を0.02に設定したときの二重モードSAWフィルタのフィルタ特性である。
【図5】 規格化下端周波数差(A−α)を0.01に設定したときの二重モードSAWフィルタのフィルタ特性である。
【図6】 規格化上端周波数差(β−B)と高域側急峻度Sとの関係をシミュレーションによって求めた図である。
【図7】 規格化上端周波数差(β−B)を−0.01に設定したときの二重モードSAWフィルタのフィルタ特性である。
【図8】 規格化上端周波数差(β−B)を−0.02に設定したときの二重モードSAWフィルタのフィルタ特性である。
【図9】 従来の二重モードSAWフィルタの構成を示す平面図である。
【符号の説明】
1・・圧電基板
2、3、4・・IDT電極
5a、5b・・グレーティング反射器
λ・・IDT電極の電極周期
Lt・・IDT電極のピッチ
Lr・・グレーティング反射器のピッチ
・・低域側急峻度
・・高域側急峻度
A・・IDT電極が形成するストップバンドの下端周波数を中心周波数で割って規格化した周波数
α・・反射器が形成するストップバンドの下端周波数を中心周波数で割って規格化した周波数
B・・IDT電極が形成するストップバンドの上端周波数を中心周波数で割って規格化した周波数
β・・反射器が形成するストップバンドの上端周波数を中心周波数で割って規格化した周波数

Claims (4)

  1. 圧電基板の主表面上に表面波の伝搬方向に沿って3つのIDT電極とその両側にグレーティング反射器とを近接配置して構成した縦結合二重モードSAWフィルタにおいて、
    前記IDT電極が形成するストップバンド下端の周波数をその中央の周波数で規格化した規格化周波数をA、前記グレーティング反射器が形成するストップバンド下端の周波数をその中央の周波数で規格化した規格化周波数をαとしたとき、
    0.02<A−α
    を満たすように構成したことを特徴とする縦結合二重モードSAWフィルタ。
  2. 圧電基板の主表面上に表面波の伝搬方向に沿って3つのIDT電極とその両側にグレーティング反射器とを近接配置して構成した縦結合二重モードSAWフィルタにおいて、
    前記IDT電極が形成するストップバンド上端の周波数をその中央の周波数で規格化した規格化周波数をB、前記グレーティング反射器が形成するストップバンド上端の周波数をその中央の周波数で規格化した周波数をβとしたとき、
    −0.01≦β−B<0
    を満たすように構成したことを特徴とする縦結合二重モードSAWフィルタ。
  3. 前記圧電基板として36°乃至42°Y−XLiTaO基板を用いたことを特徴とする請求項1または2記載の縦結合二重モードSAWフィルタ。
  4. 前記圧電基板として41°乃至64°Y−XLiNbO基板を用いたことを特徴とする請求項1または2記載の縦結合二重モードSAWフィルタ。
JP2001229165A 2001-07-30 2001-07-30 縦結合二重モードsawフィルタ Expired - Fee Related JP4710186B2 (ja)

Priority Applications (1)

Application Number Priority Date Filing Date Title
JP2001229165A JP4710186B2 (ja) 2001-07-30 2001-07-30 縦結合二重モードsawフィルタ

Applications Claiming Priority (1)

Application Number Priority Date Filing Date Title
JP2001229165A JP4710186B2 (ja) 2001-07-30 2001-07-30 縦結合二重モードsawフィルタ

Publications (2)

Publication Number Publication Date
JP2003046370A JP2003046370A (ja) 2003-02-14
JP4710186B2 true JP4710186B2 (ja) 2011-06-29

Family

ID=19061553

Family Applications (1)

Application Number Title Priority Date Filing Date
JP2001229165A Expired - Fee Related JP4710186B2 (ja) 2001-07-30 2001-07-30 縦結合二重モードsawフィルタ

Country Status (1)

Country Link
JP (1) JP4710186B2 (ja)

Families Citing this family (1)

* Cited by examiner, † Cited by third party
Publication number Priority date Publication date Assignee Title
KR100819816B1 (ko) * 2008-01-28 2008-04-08 (주)에스티와이드 일체형 광확산 캡 구조의 체널레터

Family Cites Families (3)

* Cited by examiner, † Cited by third party
Publication number Priority date Publication date Assignee Title
JP2775255B2 (ja) * 1987-09-09 1998-07-16 清水 郁子 Idt励振型圧電共振子の電極構造
JP2000013174A (ja) * 1998-06-18 2000-01-14 Toyo Commun Equip Co Ltd 共振器型sawフィルタ
JP3840852B2 (ja) * 1998-10-15 2006-11-01 セイコーエプソン株式会社 弾性表面波装置及び2ポート弾性表面波共振子

Also Published As

Publication number Publication date
JP2003046370A (ja) 2003-02-14

Similar Documents

Publication Publication Date Title
WO2019131530A1 (ja) 弾性波フィルタ
JP5810113B2 (ja) 弾性波共振器とこれを用いた弾性波フィルタおよびアンテナ共用器
JP4415360B2 (ja) 縦結合弾性表面波フィルタ
WO2010061496A1 (ja) 弾性波フィルタ装置
CN100474765C (zh) 表面声波器件
US7746199B2 (en) Acoustic wave device
US6828879B2 (en) Longitudinal coupled multiple mode surface acoustic wave filter
JP2005159835A (ja) 弾性表面波フィルタ
JP3890731B2 (ja) 縦結合多重モードsawフィルタ
JP2004140738A (ja) 弾性表面波フィルタ
JP3915322B2 (ja) 弾性表面波フィルタ
JP2006295434A (ja) 弾性表面波フィルタ
JPH05335881A (ja) 縦型2重モード弾性表面波フィルタ
JPH10135780A (ja) 二重モードsawフィルタの構造
JPH05251988A (ja) 縦結合二重モードリーキーsawフィルタ
JP4710186B2 (ja) 縦結合二重モードsawフィルタ
JP3321443B2 (ja) 1次−3次縦結合二重モードsawフィルタ
JP4138093B2 (ja) 縦結合二重モードsawフィルタ
JP2002111444A (ja) 複合弾性表面波フィルタ
JPH10322161A (ja) 縦結合3重モードsawフィルタ
JP3290165B2 (ja) ラダー型弾性表面波フィルタ
JP4548305B2 (ja) 二重モード弾性表面波フィルタ
JP4200629B2 (ja) 縦結合多重モードsawフィルタ
JP2000224003A (ja) 縦結合二重モードsawフィルタ
JPH10335973A (ja) 縦結合二重モードsawフィルタ

Legal Events

Date Code Title Description
RD04 Notification of resignation of power of attorney

Free format text: JAPANESE INTERMEDIATE CODE: A7424

Effective date: 20070402

A621 Written request for application examination

Free format text: JAPANESE INTERMEDIATE CODE: A621

Effective date: 20071108

RD03 Notification of appointment of power of attorney

Free format text: JAPANESE INTERMEDIATE CODE: A7423

Effective date: 20071108

A977 Report on retrieval

Free format text: JAPANESE INTERMEDIATE CODE: A971007

Effective date: 20101110

A131 Notification of reasons for refusal

Free format text: JAPANESE INTERMEDIATE CODE: A131

Effective date: 20101116

A521 Request for written amendment filed

Free format text: JAPANESE INTERMEDIATE CODE: A523

Effective date: 20110117

A01 Written decision to grant a patent or to grant a registration (utility model)

Free format text: JAPANESE INTERMEDIATE CODE: A01

Effective date: 20110222

A61 First payment of annual fees (during grant procedure)

Free format text: JAPANESE INTERMEDIATE CODE: A61

Effective date: 20110307

FPAY Renewal fee payment (event date is renewal date of database)

Free format text: PAYMENT UNTIL: 20140401

Year of fee payment: 3

S111 Request for change of ownership or part of ownership

Free format text: JAPANESE INTERMEDIATE CODE: R313111

FPAY Renewal fee payment (event date is renewal date of database)

Free format text: PAYMENT UNTIL: 20140401

Year of fee payment: 3

R371 Transfer withdrawn

Free format text: JAPANESE INTERMEDIATE CODE: R371

FPAY Renewal fee payment (event date is renewal date of database)

Free format text: PAYMENT UNTIL: 20140401

Year of fee payment: 3

S111 Request for change of ownership or part of ownership

Free format text: JAPANESE INTERMEDIATE CODE: R313111

FPAY Renewal fee payment (event date is renewal date of database)

Free format text: PAYMENT UNTIL: 20140401

Year of fee payment: 3

R350 Written notification of registration of transfer

Free format text: JAPANESE INTERMEDIATE CODE: R350

S531 Written request for registration of change of domicile

Free format text: JAPANESE INTERMEDIATE CODE: R313531

R350 Written notification of registration of transfer

Free format text: JAPANESE INTERMEDIATE CODE: R350

LAPS Cancellation because of no payment of annual fees