JP2010037597A - カーボンポテンシャル演算装置 - Google Patents
カーボンポテンシャル演算装置 Download PDFInfo
- Publication number
- JP2010037597A JP2010037597A JP2008202020A JP2008202020A JP2010037597A JP 2010037597 A JP2010037597 A JP 2010037597A JP 2008202020 A JP2008202020 A JP 2008202020A JP 2008202020 A JP2008202020 A JP 2008202020A JP 2010037597 A JP2010037597 A JP 2010037597A
- Authority
- JP
- Japan
- Prior art keywords
- concentration
- value
- carbon potential
- calculated
- calculation
- Prior art date
- Legal status (The legal status is an assumption and is not a legal conclusion. Google has not performed a legal analysis and makes no representation as to the accuracy of the status listed.)
- Granted
Links
Images
Landscapes
- Solid-Phase Diffusion Into Metallic Material Surfaces (AREA)
Abstract
【解決手段】センサ部20で検出するO2 濃度の入力上限値を設定する設定部11と、炉内雰囲気中のO2 濃度、温度、CO濃度に基づき当該雰囲気のカーボンポテンシャルを算出するとともに、該算出したカーボンポテンシャルが出力上限値を超えた場合に設定部11で設定されたO2 濃度の入力上限値に基づき比例演算を行う演算部12とを備えた。
【選択図】図1
Description
前記センサ部で検出する前記O2 濃度の入力上限値を設定する設定部と、
前記算出したカーボンポテンシャルが出力上限値を超えた場合に、前記設定部で設定されたO2 濃度の入力上限値に基づき前記算出したカーボンポテンシャルの比例演算を行う演算部と、
を備えたことを特徴とする。
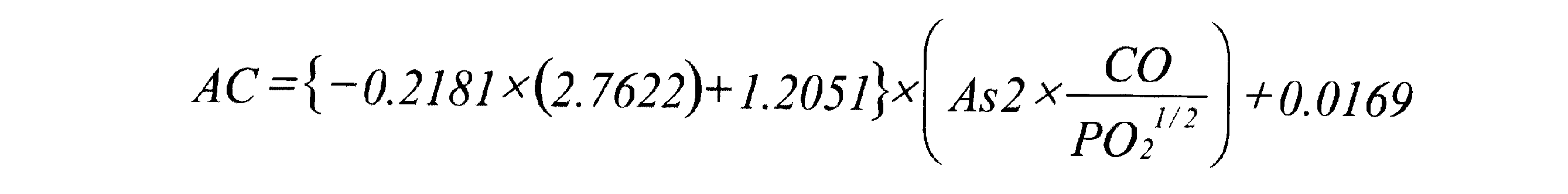
前記CO濃度を前記炉内雰囲気中のO2 濃度から算出される酸素分圧の平方根で除算したものに下記数3を用いて算出したオーステナイトの飽和炭素量を積算して得られる値が2.7622以上のときに、下記数4を用いて前記カーボンポテンシャルを算出する演算部を備えたことを特徴とする。
図3に示すように、まず上記数6を用いてPO2 を算出し(PO2 =2.994E−17)、上記数7を用いてAs2を算出する(As2=1.181E−11)。そして、上記数6、7によって算出されたPO2 、As2に基づき、上記数8を用いてCP値を算出する。(CP=0.081)。
図4に示すように、まず上記数5を用いてAs1を算出し(As1=1.579)、上記数11を用いて計算用定数であるKを算出する(K=2.093)。そして、上記数5、11によって算出されたAs1、Kに基づき、上記数12を用いてCP値を算出する(CP=0.080)。
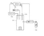
11…設定部
12…演算部(12a…As1演算手段、12b…PO2 演算手段、12c…As2演算手段、12d…CP値演算手段、12e…Co2 演算手段、12f…定数演算手段、12g…CP値補正手段、12h…CP値比例演算手段)
13…表示部(13a…数値表示領域、13b…ステータス表示領域)
14…警報部
20…センサ部(21…CO2 センサ、22…COセンサ、23…O2 センサ、24…温度センサ)
30…熱処理炉
Claims (3)
- 熱処理炉に設置されたセンサ部によって検出された炉内雰囲気中のO2 濃度、CO濃度、温度に基づき前記炉内雰囲気のカーボンポテンシャルを算出するカーボンポテンシャル演算装置であって、
前記センサ部で検出する前記O2 濃度の入力上限値を設定する設定部と、
前記算出したカーボンポテンシャルが出力上限値を超えた場合に、前記設定部で設定されたO2 濃度の入力上限値に基づき前記算出したカーボンポテンシャルの比例演算を行う演算部と、
を備えたことを特徴とするカーボンポテンシャル演算装置。 - 前記設定部からの設定に応じて、前記演算部で算出されたO2 濃度、CO濃度、温度に基づくカーボンポテンシャルと、同じく前記演算部で算出されたCO2 濃度、CO濃度、温度に基づくカーボンポテンシャルとを同時に表示する表示部を備えたことを特徴とする請求項1又は2記載のカーボンポテンシャル演算装置。
Priority Applications (1)
| Application Number | Priority Date | Filing Date | Title |
|---|---|---|---|
| JP2008202020A JP5390139B2 (ja) | 2008-08-05 | 2008-08-05 | カーボンポテンシャル演算装置 |
Applications Claiming Priority (1)
| Application Number | Priority Date | Filing Date | Title |
|---|---|---|---|
| JP2008202020A JP5390139B2 (ja) | 2008-08-05 | 2008-08-05 | カーボンポテンシャル演算装置 |
Publications (2)
| Publication Number | Publication Date |
|---|---|
| JP2010037597A true JP2010037597A (ja) | 2010-02-18 |
| JP5390139B2 JP5390139B2 (ja) | 2014-01-15 |
Family
ID=42010450
Family Applications (1)
| Application Number | Title | Priority Date | Filing Date |
|---|---|---|---|
| JP2008202020A Active JP5390139B2 (ja) | 2008-08-05 | 2008-08-05 | カーボンポテンシャル演算装置 |
Country Status (1)
| Country | Link |
|---|---|
| JP (1) | JP5390139B2 (ja) |
Cited By (2)
| Publication number | Priority date | Publication date | Assignee | Title |
|---|---|---|---|---|
| JP2016151517A (ja) * | 2015-02-18 | 2016-08-22 | 新栄熱計装株式会社 | カーボンポテンシャル算出装置 |
| CN109085042A (zh) * | 2018-07-26 | 2018-12-25 | 江苏高思控制系统有限公司 | 便携式炉气分析仪及其分析方法 |
Citations (10)
| Publication number | Priority date | Publication date | Assignee | Title |
|---|---|---|---|---|
| JPS5036305A (ja) * | 1973-08-02 | 1975-04-05 | ||
| JPS54132442A (en) * | 1978-03-21 | 1979-10-15 | Ipsen Ind Int Gmbh | Method and apparatus for controlling carbon level of mixture gas reacting in furnace chamber |
| JPS5713169A (en) * | 1980-06-24 | 1982-01-23 | Oriental Eng Kk | Method for controlling concentration of carbon in carburizing atmosphere |
| JPS57177969A (en) * | 1981-04-23 | 1982-11-01 | Chugai Ro Kogyo Kaisha Ltd | Controlling method for carbon potential in furnace |
| JPS62227074A (ja) * | 1986-03-28 | 1987-10-06 | Osaka Gas Co Ltd | ガス浸炭方法におけるエンリツチガス流量の制御方法 |
| JPS62243754A (ja) * | 1986-04-15 | 1987-10-24 | Isuzu Motors Ltd | 浸炭炉雰囲気制御装置 |
| JPH02195255A (ja) * | 1989-01-25 | 1990-08-01 | Ngk Insulators Ltd | 還元性雰囲気炉における炉気中のカーボンポテンシャル測定装置 |
| JPH03193863A (ja) * | 1989-12-22 | 1991-08-23 | Koyo Rindobaagu Kk | 連続式ガス浸炭炉 |
| JP2000328224A (ja) * | 1999-05-24 | 2000-11-28 | Toho Gas Co Ltd | ガス浸炭方法 |
| JP2003247056A (ja) * | 2003-01-20 | 2003-09-05 | Dowa Mining Co Ltd | 熱処理炉の雰囲気制御方法及び装置 |
-
2008
- 2008-08-05 JP JP2008202020A patent/JP5390139B2/ja active Active
Patent Citations (10)
| Publication number | Priority date | Publication date | Assignee | Title |
|---|---|---|---|---|
| JPS5036305A (ja) * | 1973-08-02 | 1975-04-05 | ||
| JPS54132442A (en) * | 1978-03-21 | 1979-10-15 | Ipsen Ind Int Gmbh | Method and apparatus for controlling carbon level of mixture gas reacting in furnace chamber |
| JPS5713169A (en) * | 1980-06-24 | 1982-01-23 | Oriental Eng Kk | Method for controlling concentration of carbon in carburizing atmosphere |
| JPS57177969A (en) * | 1981-04-23 | 1982-11-01 | Chugai Ro Kogyo Kaisha Ltd | Controlling method for carbon potential in furnace |
| JPS62227074A (ja) * | 1986-03-28 | 1987-10-06 | Osaka Gas Co Ltd | ガス浸炭方法におけるエンリツチガス流量の制御方法 |
| JPS62243754A (ja) * | 1986-04-15 | 1987-10-24 | Isuzu Motors Ltd | 浸炭炉雰囲気制御装置 |
| JPH02195255A (ja) * | 1989-01-25 | 1990-08-01 | Ngk Insulators Ltd | 還元性雰囲気炉における炉気中のカーボンポテンシャル測定装置 |
| JPH03193863A (ja) * | 1989-12-22 | 1991-08-23 | Koyo Rindobaagu Kk | 連続式ガス浸炭炉 |
| JP2000328224A (ja) * | 1999-05-24 | 2000-11-28 | Toho Gas Co Ltd | ガス浸炭方法 |
| JP2003247056A (ja) * | 2003-01-20 | 2003-09-05 | Dowa Mining Co Ltd | 熱処理炉の雰囲気制御方法及び装置 |
Cited By (2)
| Publication number | Priority date | Publication date | Assignee | Title |
|---|---|---|---|---|
| JP2016151517A (ja) * | 2015-02-18 | 2016-08-22 | 新栄熱計装株式会社 | カーボンポテンシャル算出装置 |
| CN109085042A (zh) * | 2018-07-26 | 2018-12-25 | 江苏高思控制系统有限公司 | 便携式炉气分析仪及其分析方法 |
Also Published As
| Publication number | Publication date |
|---|---|
| JP5390139B2 (ja) | 2014-01-15 |
Similar Documents
| Publication | Publication Date | Title |
|---|---|---|
| EP2835431B1 (en) | Heat treatment apparatus | |
| JP2002212702A (ja) | 浸炭方法及び浸炭装置 | |
| US6612154B1 (en) | Systems and methods for monitoring or controlling the ratio of hydrogen to water vapor in metal heat treating atmospheres | |
| US8157561B2 (en) | System for controlling atmosphere gas inside furnace | |
| CA2785711C (en) | Control of the converter process by means of exhaust gas signals | |
| JP5390139B2 (ja) | カーボンポテンシャル演算装置 | |
| JP2013185884A (ja) | 水質分析計 | |
| CN105074016A (zh) | 修正装置、修正方法以及钢铁精炼方法 | |
| CN1841059B (zh) | 检查传感器功能的方法 | |
| JP6864932B2 (ja) | 熱処理炉、その制御方法、情報処理装置、情報処理方法及びプログラム | |
| US10928287B2 (en) | Method and apparatus for using a gas density sensor to measure and control gas mixture composition | |
| JP3973795B2 (ja) | ガス浸炭方法 | |
| JP2016151517A (ja) | カーボンポテンシャル算出装置 | |
| JPH0645867B2 (ja) | 雰囲気熱処理制御装置 | |
| JP2592517B2 (ja) | 還元性雰囲気炉における炉気中のカーボンポテンシャル測定装置 | |
| EP0859067B1 (en) | Method and apparatus for controlling the atmosphere in a heat treatment furnace | |
| JPS62243754A (ja) | 浸炭炉雰囲気制御装置 | |
| JP2543512B2 (ja) | 熱処理雰囲気の制御方法 | |
| JP2575507B2 (ja) | 還元性雰囲気炉の操炉方法 | |
| US6941828B2 (en) | Process as well as device for measuring a component amount released during a thermo-chemical treatment of metallic work piece from the gaseous atmosphere | |
| JP2572788B2 (ja) | 熱処理雰囲気の制御方法 | |
| JPH01142006A (ja) | 高炉操業方法 | |
| JPH0210455Y2 (ja) | ||
| CN121263683A (zh) | 将水溶液的氧化还原状态作为氢电极电位获得的方法、水溶液的有效氢气分压的获得方法、以及将水溶液的氧化还原状态作为氢电极电位获得的装置 | |
| CN117310086A (zh) | 一种利用三气体分析仪校正碳势的方法 |
Legal Events
| Date | Code | Title | Description |
|---|---|---|---|
| A621 | Written request for application examination |
Free format text: JAPANESE INTERMEDIATE CODE: A621 Effective date: 20110613 |
|
| A977 | Report on retrieval |
Free format text: JAPANESE INTERMEDIATE CODE: A971007 Effective date: 20130612 |
|
| A131 | Notification of reasons for refusal |
Free format text: JAPANESE INTERMEDIATE CODE: A131 Effective date: 20130625 |
|
| A521 | Request for written amendment filed |
Free format text: JAPANESE INTERMEDIATE CODE: A523 Effective date: 20130826 |
|
| TRDD | Decision of grant or rejection written | ||
| A01 | Written decision to grant a patent or to grant a registration (utility model) |
Free format text: JAPANESE INTERMEDIATE CODE: A01 Effective date: 20130917 |
|
| A61 | First payment of annual fees (during grant procedure) |
Free format text: JAPANESE INTERMEDIATE CODE: A61 Effective date: 20131010 |
|
| R150 | Certificate of patent or registration of utility model |
Ref document number: 5390139 Country of ref document: JP Free format text: JAPANESE INTERMEDIATE CODE: R150 Free format text: JAPANESE INTERMEDIATE CODE: R150 |
|
| R250 | Receipt of annual fees |
Free format text: JAPANESE INTERMEDIATE CODE: R250 |
|
| R250 | Receipt of annual fees |
Free format text: JAPANESE INTERMEDIATE CODE: R250 |
|
| R250 | Receipt of annual fees |
Free format text: JAPANESE INTERMEDIATE CODE: R250 |
|
| R250 | Receipt of annual fees |
Free format text: JAPANESE INTERMEDIATE CODE: R250 |
|
| R250 | Receipt of annual fees |
Free format text: JAPANESE INTERMEDIATE CODE: R250 |
|
| R250 | Receipt of annual fees |
Free format text: JAPANESE INTERMEDIATE CODE: R250 |
|
| R250 | Receipt of annual fees |
Free format text: JAPANESE INTERMEDIATE CODE: R250 |
|
| R250 | Receipt of annual fees |
Free format text: JAPANESE INTERMEDIATE CODE: R250 |
|
| R250 | Receipt of annual fees |
Free format text: JAPANESE INTERMEDIATE CODE: R250 |
|
| R250 | Receipt of annual fees |
Free format text: JAPANESE INTERMEDIATE CODE: R250 |
