JP2005295916A - 糖含有溶液の精製方法 - Google Patents
糖含有溶液の精製方法 Download PDFInfo
- Publication number
- JP2005295916A JP2005295916A JP2004118503A JP2004118503A JP2005295916A JP 2005295916 A JP2005295916 A JP 2005295916A JP 2004118503 A JP2004118503 A JP 2004118503A JP 2004118503 A JP2004118503 A JP 2004118503A JP 2005295916 A JP2005295916 A JP 2005295916A
- Authority
- JP
- Japan
- Prior art keywords
- resin
- exchange resin
- basic anion
- anion exchange
- weakly basic
- Prior art date
- Legal status (The legal status is an assumption and is not a legal conclusion. Google has not performed a legal analysis and makes no representation as to the accuracy of the status listed.)
- Granted
Links
Images
Landscapes
- Saccharide Compounds (AREA)
Abstract
糖液の精製に使用される樹脂母体がスチレン系樹脂の弱塩基性陰イオン交換樹脂の脱塩・脱色性能の向上、および貫流交換容量の増加を図り、且つアクリル系樹脂の弱塩基性陰イオン交換樹脂の水洗性も改善した糖液のイオン交換樹脂による工業的有利な精製方法を提供する。
【解決手段】
糖含有溶液を、樹脂母体がスチレン系架橋共重合体からなる弱塩基性陰イオン交換樹脂と樹脂母体がアクリル系架橋共重合体からなる弱塩基性陰イオン交換樹脂とからなる弱塩基性陰イオン交換樹脂の混合樹脂に接触させることを特徴とする糖含有溶液の精製方法。
【選択図】 図1
Description
一般的には、強酸性陽イオン交換樹脂塔と弱塩基性陰イオン交換樹脂塔とを用いた複床塔と、強酸性陽イオン交換樹脂と強塩基性陰イオン交換樹脂との混床塔とを組み合わせた方式が採用されており、前段の複床塔で脱塩を含め大部分の不純物が除去され、後段の混床塔は仕上げポリッシャー機能をなすようになっている。このような方式において、弱塩基性陰イオン交換樹脂としては、通常、樹脂母体がスチレン−ジビニルベンゼン共重合体(以下、スチレン系樹脂ということもある)からなる弱塩基性陰イオン交換樹脂が用いられている。
本発明方法により、精製処理される糖含有溶液は特に制限されず、通常、澱粉糖液、ビート糖液、蔗糖液など、糖類を含む水溶液、または糖類を原料とした生成物等を含む水溶液などである。具体的には、澱粉を原料として製造された、ブドウ糖液、異性化糖液、水飴等の澱粉糖液、ソルビトール、マルチトール等の糖アルコール糖液、乳糖含有糖液等の他、各種のオリゴ糖液などが挙げられる。
糖含有溶液には、通常、その原料、製造工程に由来する種々の不純物が含まれており、これらはイオン交換樹脂性能を低下させる場合があるので、予め珪藻土などによる濾過処理、更には活性炭による脱色処理を施した後、使用するのが望ましい。
また、母体樹脂となるアクリル系樹脂としては、(メタ)アクリル酸エステル、例えば、エチルアクリレート、メチル(メタ)アクリレート、グリシジル(メタ)アクリレート等の(メタ)アクリロイル基を有する単量体と、架橋剤、例えば、エチレングリコールジ(メタ)アクリレート、ポリエチレングリコールジ(メタ)アクリレート、ジビニルベンゼン、トリビニルベンゼンとの架橋共重合体が挙げられるが、アクリル酸エステルとジビニルベンゼンとの架橋共重合体を用いるのが好ましい。
イオン交換樹脂塔として、内径11mmのジャケット付きガラス製カラムに塩酸水溶液で再生済みの強酸性陽イオン交換樹脂[ダイヤイオンSK1B]40mlを充填した強酸性陽イオン交換樹脂塔、及び内径11mmのジャケット付きガラス製カラムに苛性ソーダ水溶液で再生済みのスチレン系樹脂の弱塩基性陰イオン交換樹脂[ダイヤイオンWA30]およびアクリル系樹脂の弱塩基性陰イオン交換樹脂[ダイヤイオンWA10]を体積(容量)比1:1の割合で混合した弱塩基性陰イオン交換樹脂の混合樹脂50mlを充填した弱塩基性陰イオン交換樹脂塔を用いた。これに糖液(原液)として表−1に示す物性のマルトースを80重量%含有する水溶液を、強酸性陽イオン交換樹脂塔、弱塩基性陰イオン交換樹脂塔の順に、弱塩基性陰イオン交換樹脂(混合樹脂)に対して空間速度(SV)3h−1で通液温度40℃に調整しながら通液した。弱塩基性陰イオン交換樹脂塔からの流出液の電気伝導率及び色価を測定し、その結果を表−1に示した。また、流出液の流出曲線を図3に示した。
なお、色価は、100mmセルを使用し、420nmの波長で測定した吸光度である。
[再生処理工程]
弱塩基性陰イオン交換樹脂塔の再生は、常法に従って行った。まず、樹脂塔に水を、常温下、糖液と同じ空間速度で、糖液が流出しなくなるまで通水する。次いで、弱塩基性陰イオン交換樹脂を水により逆洗した後、所定量の苛性ソーダ水溶液を通水し、その後水を1.5BV通水しで押し出し洗浄する。
押し出し洗浄後、水を空間速度(SV)=5で水洗した時の流出曲線を図4に示す。
実施例1の弱塩基性陰イオン交換樹脂塔として、スチレン系樹脂の弱塩基性陰イオン交換樹脂[ダイヤイオンWA30]のみ50mlを充填した塔を使用した以外は、実施例1と同様な条件にて原液を通液した。弱塩基性陰イオン交換樹脂塔からの流出液の物性は表−1に示す通りであり、流出曲線は図−1のようであった。また、再生工程水洗時の流出曲線は図−2のようであった。
実施例1の弱塩基性陰イオン交換樹脂塔として、アクリル系樹脂の弱塩基性陰イオン交換樹脂[ダイヤイオンWA10]のみ50ml充填した塔を使用した以外は、実施例1と同様な条件にて通液した。弱塩基性陰イオン交換樹脂塔からの流出液の物性は表−1に示す通りであり、流出曲線は図−1のようであった。また、再生工程水洗時の流出曲線は図−2のようであった。
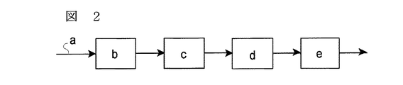
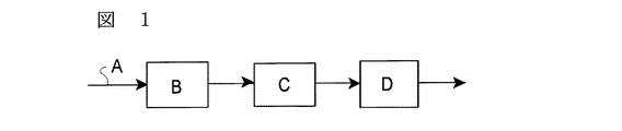
B、b:強酸性陽イオン交換樹脂塔
C、c:スチレン系樹脂の弱塩基性陰イオン交換樹脂とアクリル系樹脂の弱塩基性陰イオン交換樹脂の混合樹脂からなる弱塩基性陰イオン交換樹脂塔
D :強酸性陽イオン交換樹脂と強塩基性陰イオン交換樹脂の混床塔
d :強酸性陽イオン交換樹脂塔
e :弱塩基性陰イオン交換樹脂塔
Claims (8)
- 糖含有溶液を、樹脂母体がスチレン系架橋共重合体からなる弱塩基性陰イオン交換樹脂と樹脂母体がアクリル系架橋共重合体からなる弱塩基性陰イオン交換樹脂とからなる弱塩基性陰イオン交換樹脂の混合樹脂と接触させることを特徴とする糖含有溶液の精製方法。
- 該弱塩基性陰イオン交換樹脂の混合樹脂中における、該樹脂母体がアクリル系架橋共重合体からなる弱塩基性陰イオン交換樹脂の含有割合は、全樹脂量に対し20〜80(容量)%であることを特徴とする請求項1記載の糖含有溶液の精製方法。
- 該樹脂母体がアクリル系架橋共重合体からなる弱塩基性陰イオン交換樹脂の樹脂母体は、(メタ)アクリロイル基含有系単量体とジビニルベンゼンとの架橋共重合体であることを特徴とする請求項1又は2に記載の糖含有溶液の精製方法。
- 樹脂母体がスチレン系架橋共重合体からなる弱塩基性陰イオン交換樹脂の樹脂母体は、スチレン系単量体とジビニルベンゼンとの架橋共重合体であることを特徴とする請求項1又は2に記載の糖含有溶液の精製方法。
- 糖含有溶液を、強酸性陽イオン交換樹脂塔に通液し、次いで弱塩基性陰イオン交換樹脂塔に通液して精製する方法において、該弱塩基性陰イオン交換樹脂塔には樹脂母体がスチレン系架橋共重合体からなる弱塩基性陰イオン交換樹脂と樹脂母体がアクリル系架橋共重合体からなる弱塩基性陰イオン交換樹脂とからなる混合樹脂が充填されていることを特徴とする糖含有溶液の精製方法。
- 糖含有溶液を、強酸性陽イオン交換樹脂塔、弱塩基性陰イオン交換樹脂塔、及び強酸性陽イオン交換樹脂と強塩基性陰イオン交換樹脂とを混合した混床塔に、この順序で順次通液して精製する方法において、該弱塩基性陰イオン交換樹脂塔には、樹脂母体がスチレン系架橋共重合体からなる弱塩基性陰イオン交換樹脂と樹脂母体がアクリル系架橋共重合体からなる弱塩基性陰イオン交換樹脂とからなる混合樹脂が充填されていることを特徴とする糖含有溶液の精製方法。
- 糖含有溶液を、第1強酸性陽イオン交換樹脂塔、第1弱塩基性陰イオン交換樹脂塔、第2強酸性陽イオン交換樹脂塔、及び第2弱塩基性陰イオン交換樹脂塔に、この順序で順次通液して精製する方法において、第1弱塩基性陰イオン交換樹脂塔には、樹脂母体がスチレン系架橋共重合体からなる弱塩基性陰イオン交換樹脂と樹脂母体がアクリル系架橋共重合体からなる弱塩基性陰イオン交換樹脂とからなる混合樹脂が充填されていることを特徴とする糖含有溶液の精製方法。
- 上記第2弱塩基性陰イオン交換樹脂塔に、樹脂母体がスチレン系架橋共重合体からなる弱塩基性陰イオン交換樹脂と樹脂母体がアクリル系架橋共重合体からなる弱塩基性陰イオン交換樹脂とからなる混合樹脂が充填されていることを特徴とする請求項7に記載の糖含有溶液の精製方法。
Priority Applications (1)
| Application Number | Priority Date | Filing Date | Title |
|---|---|---|---|
| JP2004118503A JP4522133B2 (ja) | 2004-04-14 | 2004-04-14 | 糖含有溶液の精製方法 |
Applications Claiming Priority (1)
| Application Number | Priority Date | Filing Date | Title |
|---|---|---|---|
| JP2004118503A JP4522133B2 (ja) | 2004-04-14 | 2004-04-14 | 糖含有溶液の精製方法 |
Publications (2)
| Publication Number | Publication Date |
|---|---|
| JP2005295916A true JP2005295916A (ja) | 2005-10-27 |
| JP4522133B2 JP4522133B2 (ja) | 2010-08-11 |
Family
ID=35328211
Family Applications (1)
| Application Number | Title | Priority Date | Filing Date |
|---|---|---|---|
| JP2004118503A Expired - Lifetime JP4522133B2 (ja) | 2004-04-14 | 2004-04-14 | 糖含有溶液の精製方法 |
Country Status (1)
| Country | Link |
|---|---|
| JP (1) | JP4522133B2 (ja) |
Cited By (5)
| Publication number | Priority date | Publication date | Assignee | Title |
|---|---|---|---|---|
| JP2013255864A (ja) * | 2012-06-11 | 2013-12-26 | Nomura Micro Sci Co Ltd | 純水製造装置 |
| JP2015091909A (ja) * | 2013-11-08 | 2015-05-14 | 日本錬水株式会社 | 低糖化澱粉糖液の精製方法 |
| JP2020517278A (ja) * | 2017-04-28 | 2020-06-18 | ダウ グローバル テクノロジーズ エルエルシー | 砂糖溶液の処理 |
| CN111450904A (zh) * | 2019-09-26 | 2020-07-28 | 中粮生化能源(衡水)有限公司 | 一种麦芽糖离交脱味装置 |
| KR20220058760A (ko) * | 2020-10-30 | 2022-05-10 | 주식회사 삼양사 | 약염기성 음이온 교환수지를 이용한 당 함유 용액의 정제 방법 |
Citations (3)
| Publication number | Priority date | Publication date | Assignee | Title |
|---|---|---|---|---|
| JPS5963200A (ja) * | 1982-09-02 | 1984-04-10 | ロ−ム・アンド・ハ−ス・カンパニ− | アクリル系アニオン交換樹脂を使用する抽出性スルホン酸樹脂の選択的除去 |
| JP2003245100A (ja) * | 2002-02-22 | 2003-09-02 | Japan Organo Co Ltd | 糖含有水溶液の精製方法 |
| JP2004041054A (ja) * | 2002-07-10 | 2004-02-12 | Nippon Rensui Co Ltd | 糖液の精製方法 |
-
2004
- 2004-04-14 JP JP2004118503A patent/JP4522133B2/ja not_active Expired - Lifetime
Patent Citations (3)
| Publication number | Priority date | Publication date | Assignee | Title |
|---|---|---|---|---|
| JPS5963200A (ja) * | 1982-09-02 | 1984-04-10 | ロ−ム・アンド・ハ−ス・カンパニ− | アクリル系アニオン交換樹脂を使用する抽出性スルホン酸樹脂の選択的除去 |
| JP2003245100A (ja) * | 2002-02-22 | 2003-09-02 | Japan Organo Co Ltd | 糖含有水溶液の精製方法 |
| JP2004041054A (ja) * | 2002-07-10 | 2004-02-12 | Nippon Rensui Co Ltd | 糖液の精製方法 |
Cited By (7)
| Publication number | Priority date | Publication date | Assignee | Title |
|---|---|---|---|---|
| JP2013255864A (ja) * | 2012-06-11 | 2013-12-26 | Nomura Micro Sci Co Ltd | 純水製造装置 |
| JP2015091909A (ja) * | 2013-11-08 | 2015-05-14 | 日本錬水株式会社 | 低糖化澱粉糖液の精製方法 |
| JP2020517278A (ja) * | 2017-04-28 | 2020-06-18 | ダウ グローバル テクノロジーズ エルエルシー | 砂糖溶液の処理 |
| JP7252136B2 (ja) | 2017-04-28 | 2023-04-04 | ダウ グローバル テクノロジーズ エルエルシー | 砂糖溶液の処理 |
| CN111450904A (zh) * | 2019-09-26 | 2020-07-28 | 中粮生化能源(衡水)有限公司 | 一种麦芽糖离交脱味装置 |
| KR20220058760A (ko) * | 2020-10-30 | 2022-05-10 | 주식회사 삼양사 | 약염기성 음이온 교환수지를 이용한 당 함유 용액의 정제 방법 |
| KR102577226B1 (ko) * | 2020-10-30 | 2023-09-12 | 주식회사 삼양사 | 약염기성 음이온 교환수지를 이용한 당 함유 용액의 정제 방법 |
Also Published As
| Publication number | Publication date |
|---|---|
| JP4522133B2 (ja) | 2010-08-11 |
Similar Documents
| Publication | Publication Date | Title |
|---|---|---|
| LU505449B1 (en) | Sucrose decoloring method and system | |
| CN105765084A (zh) | 蔗糖溶液的精制方法和精制装置 | |
| JP4522133B2 (ja) | 糖含有溶液の精製方法 | |
| KR100463268B1 (ko) | 혼상식(混床式) 당액 정제장치 및 그의 재생법 | |
| JP6265750B2 (ja) | 蔗糖溶液の精製方法および精製装置 | |
| JP4522152B2 (ja) | 弱塩基性陰イオン交換樹脂の再生方法 | |
| JP2003245100A (ja) | 糖含有水溶液の精製方法 | |
| JP4192557B2 (ja) | 糖液の精製方法 | |
| US2926110A (en) | Process for the purification of beet sugar juice by means of ion exchange resins | |
| EP0106466B1 (en) | Removal of sulfonic resin extractables from aqueous sugar solutions using acrylic anion exchange resin | |
| JP2575171B2 (ja) | 糖含有溶液を脱塩化するための改善方法 | |
| JP4210396B2 (ja) | デンプン糖液脱塩処理方法及び脱塩処理システム | |
| US4718946A (en) | Selective removal of sulfonic resin extractables with acrylic anion exchange resins | |
| JP2004041054A (ja) | 糖液の精製方法 | |
| JP4313477B2 (ja) | デンプン糖液精製法及び精製システム | |
| KR102702049B1 (ko) | 약염기성 음이온 교환 수지를 이용한 당 함유 용액의 정제 방법 | |
| JP2021029189A (ja) | 糖類の精製方法 | |
| JPS6259630B2 (ja) | ||
| JPS621307B2 (ja) | ||
| JPWO2002083701A1 (ja) | 糖液の脱塩方法及び陰イオン交換体 | |
| JP4216985B2 (ja) | デンプン糖液精製法 | |
| KR102302447B1 (ko) | 아크릴계 이온 교환수지 및 스티렌계 이온 교환수지를 이용한 당 함유 용액의 정제 방법 | |
| JP2661698B2 (ja) | 糖液の精製方法 | |
| JP2005110609A (ja) | 糖液の精製方法および装置 | |
| JP2001078800A (ja) | 混床式糖液精製装置 |
Legal Events
| Date | Code | Title | Description |
|---|---|---|---|
| A621 | Written request for application examination |
Free format text: JAPANESE INTERMEDIATE CODE: A621 Effective date: 20070403 |
|
| RD03 | Notification of appointment of power of attorney |
Free format text: JAPANESE INTERMEDIATE CODE: A7423 Effective date: 20070403 |
|
| A977 | Report on retrieval |
Free format text: JAPANESE INTERMEDIATE CODE: A971007 Effective date: 20090331 |
|
| A131 | Notification of reasons for refusal |
Free format text: JAPANESE INTERMEDIATE CODE: A131 Effective date: 20100309 |
|
| A521 | Request for written amendment filed |
Free format text: JAPANESE INTERMEDIATE CODE: A523 Effective date: 20100510 |
|
| TRDD | Decision of grant or rejection written | ||
| A01 | Written decision to grant a patent or to grant a registration (utility model) |
Free format text: JAPANESE INTERMEDIATE CODE: A01 Effective date: 20100525 |
|
| A01 | Written decision to grant a patent or to grant a registration (utility model) |
Free format text: JAPANESE INTERMEDIATE CODE: A01 |
|
| A61 | First payment of annual fees (during grant procedure) |
Free format text: JAPANESE INTERMEDIATE CODE: A61 Effective date: 20100525 |
|
| R150 | Certificate of patent or registration of utility model |
Ref document number: 4522133 Country of ref document: JP Free format text: JAPANESE INTERMEDIATE CODE: R150 Free format text: JAPANESE INTERMEDIATE CODE: R150 |
|
| FPAY | Renewal fee payment (event date is renewal date of database) |
Free format text: PAYMENT UNTIL: 20130604 Year of fee payment: 3 |
|
| R250 | Receipt of annual fees |
Free format text: JAPANESE INTERMEDIATE CODE: R250 |
|
| S111 | Request for change of ownership or part of ownership |
Free format text: JAPANESE INTERMEDIATE CODE: R313111 |
|
| R350 | Written notification of registration of transfer |
Free format text: JAPANESE INTERMEDIATE CODE: R350 |
|
| EXPY | Cancellation because of completion of term |
