EP4367899B1 - Verfahren und vorrichtung zur beschallung mindestens eines publikumsbereiches - Google Patents

Verfahren und vorrichtung zur beschallung mindestens eines publikumsbereiches Download PDF

Info

Publication number
EP4367899B1
EP4367899B1 EP22741503.1A EP22741503A EP4367899B1 EP 4367899 B1 EP4367899 B1 EP 4367899B1 EP 22741503 A EP22741503 A EP 22741503A EP 4367899 B1 EP4367899 B1 EP 4367899B1
Authority
EP
European Patent Office
Prior art keywords
sound
transducer arrangement
transducers
sound transducer
vectors
Prior art date
Legal status (The legal status is an assumption and is not a legal conclusion. Google has not performed a legal analysis and makes no representation as to the accuracy of the status listed.)
Active
Application number
EP22741503.1A
Other languages
English (en)
French (fr)
Other versions
EP4367899C0 (de
EP4367899A1 (de
Inventor
Evert W. START
Current Assignee (The listed assignees may be inaccurate. Google has not performed a legal analysis and makes no representation or warranty as to the accuracy of the list.)
Holoplot GmbH
Original Assignee
Holoplot GmbH
Priority date (The priority date is an assumption and is not a legal conclusion. Google has not performed a legal analysis and makes no representation as to the accuracy of the date listed.)
Filing date
Publication date
Application filed by Holoplot GmbH filed Critical Holoplot GmbH
Priority to EP25183087.3A priority Critical patent/EP4615012A3/de
Publication of EP4367899A1 publication Critical patent/EP4367899A1/de
Application granted granted Critical
Publication of EP4367899C0 publication Critical patent/EP4367899C0/de
Publication of EP4367899B1 publication Critical patent/EP4367899B1/de
Active legal-status Critical Current
Anticipated expiration legal-status Critical

Links

Images

Classifications

    • HELECTRICITY
    • H04ELECTRIC COMMUNICATION TECHNIQUE
    • H04RLOUDSPEAKERS, MICROPHONES, GRAMOPHONE PICK-UPS OR LIKE ACOUSTIC ELECTROMECHANICAL TRANSDUCERS; DEAF-AID SETS; PUBLIC ADDRESS SYSTEMS
    • H04R1/00Details of transducers, loudspeakers or microphones
    • H04R1/20Arrangements for obtaining desired frequency or directional characteristics
    • H04R1/32Arrangements for obtaining desired frequency or directional characteristics for obtaining desired directional characteristic only
    • H04R1/40Arrangements for obtaining desired frequency or directional characteristics for obtaining desired directional characteristic only by combining a number of identical transducers
    • H04R1/403Arrangements for obtaining desired frequency or directional characteristics for obtaining desired directional characteristic only by combining a number of identical transducers loud-speakers
    • HELECTRICITY
    • H04ELECTRIC COMMUNICATION TECHNIQUE
    • H04SSTEREOPHONIC SYSTEMS 
    • H04S7/00Indicating arrangements; Control arrangements, e.g. balance control
    • H04S7/30Control circuits for electronic adaptation of the sound field
    • H04S7/308Electronic adaptation dependent on speaker or headphone connection
    • HELECTRICITY
    • H04ELECTRIC COMMUNICATION TECHNIQUE
    • H04RLOUDSPEAKERS, MICROPHONES, GRAMOPHONE PICK-UPS OR LIKE ACOUSTIC ELECTROMECHANICAL TRANSDUCERS; DEAF-AID SETS; PUBLIC ADDRESS SYSTEMS
    • H04R27/00Public address systems
    • HELECTRICITY
    • H04ELECTRIC COMMUNICATION TECHNIQUE
    • H04RLOUDSPEAKERS, MICROPHONES, GRAMOPHONE PICK-UPS OR LIKE ACOUSTIC ELECTROMECHANICAL TRANSDUCERS; DEAF-AID SETS; PUBLIC ADDRESS SYSTEMS
    • H04R5/00Stereophonic arrangements
    • H04R5/02Spatial or constructional arrangements of loudspeakers
    • HELECTRICITY
    • H04ELECTRIC COMMUNICATION TECHNIQUE
    • H04RLOUDSPEAKERS, MICROPHONES, GRAMOPHONE PICK-UPS OR LIKE ACOUSTIC ELECTROMECHANICAL TRANSDUCERS; DEAF-AID SETS; PUBLIC ADDRESS SYSTEMS
    • H04R2201/00Details of transducers, loudspeakers or microphones covered by H04R1/00 but not provided for in any of its subgroups
    • H04R2201/40Details of arrangements for obtaining desired directional characteristic by combining a number of identical transducers covered by H04R1/40 but not provided for in any of its subgroups
    • H04R2201/4012D or 3D arrays of transducers
    • HELECTRICITY
    • H04ELECTRIC COMMUNICATION TECHNIQUE
    • H04SSTEREOPHONIC SYSTEMS 
    • H04S2400/00Details of stereophonic systems covered by H04S but not provided for in its groups
    • H04S2400/11Positioning of individual sound objects, e.g. moving airplane, within a sound field
    • HELECTRICITY
    • H04ELECTRIC COMMUNICATION TECHNIQUE
    • H04SSTEREOPHONIC SYSTEMS 
    • H04S2420/00Techniques used stereophonic systems covered by H04S but not provided for in its groups
    • H04S2420/13Application of wave-field synthesis in stereophonic audio systems
    • HELECTRICITY
    • H04ELECTRIC COMMUNICATION TECHNIQUE
    • H04SSTEREOPHONIC SYSTEMS 
    • H04S7/00Indicating arrangements; Control arrangements, e.g. balance control
    • H04S7/30Control circuits for electronic adaptation of the sound field

Definitions

  • the invention relates to a method for providing sound to an audience area having the features of claim 1, a method for determining delay times ⁇ i for operating sound transducers having the features of claim 11, a computer program product having the features of claim 20 and a device for providing sound to at least one audience area having the features of claim 21.
  • loudspeaker arrangements consisting of multiple individual sound sources direct the sound more strongly toward the more distant audience areas.
  • a typical application is so-called line arrays, which are arranged, for example, to the left and right above a stage front. Their curvature is adjusted to the audience area so that the radiated wavefront in the elevation plane is directed toward the more distant audience areas. This creates a virtually cylindrical wave around this part of the loudspeaker arrangement.
  • the surface area of a cylinder grows linearly with its radius, which is why the sound pressure decreases by 3 decibels for every doubling of the distance.
  • the greater curvature of the transducer surfaces results in a larger vertical aperture angle.
  • the wavefront in this area is almost a spherical section.
  • the surface area of a sphere which grows quadratically with the radius, results in a sound pressure drop of 6 dB for every doubling of the distance. Due to the rapid sound pressure drop in the near field and the longer-reaching cylindrical wave for the distant seats, the differences in sound pressure between the front and rear audience areas are significantly reduced.
  • the directivity can only be adjusted in the elevation plane, even with this improved dispersion, the sound field remains only roughly tailored to the given audience area.
  • the dispersion is determined only by the mechanical alignment of the loudspeaker array. Adaptation to the audience area can only be achieved by selecting loudspeaker elements with wider or narrower horizontal directivity.
  • Loudspeaker fields such as those available for audio reproduction based on the principle of wave field synthesis (as in the WO2015036845A1 ).
  • each transducer is driven by a separate power amplifier.
  • the superposition of the elementary waves of each individual transducer creates a wavefront that reconstructs a spherical section of the wavefront of a real sound source.
  • the center of this spherical section is the virtual sound source of the wave field synthesis.
  • the boundaries of the spherical section are determined by the size of the transducer field in conjunction with the position of the virtual sound source.
  • JP 2013013129 A describes a loudspeaker array and explains the corresponding arrangement relative to the floor and other surfaces.
  • JP 200923198 A also describes a loudspeaker array in relation to the sound of a target area.
  • US 2021/204085 A1 describes a method for generating a spatial field.
  • the aim of the proposed solution is a method for sound reinforcement of an audience area by means of a sound transducer arrangement, which results in an improved adaptation of the radiation characteristic to the audience area.
  • the proposed solution relates to a method for providing sound to at least one audience area using a sound transducer arrangement with a plurality of sound transducers.
  • the individual sound transducers of the at least one sound transducer arrangement emit elementary waves that overlap to form a common wavefront.
  • the acoustic center of the sound transducers is meant. All features, and in particular the necessary features, are defined in independent claims 1, 11, and 21.
  • the at least one sound transducer arrangement and the audience area are assigned to a common coordinate system, in particular a Cartesian coordinate system.
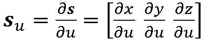
  • the coordinate system on the side of the at least one sound transducer arrangement serves, in particular, to determine starting points for position vectors s i , which, together with directional vectors r i , determine the sound radiation from the at least one sound transducer arrangement.
  • the coordinate system thus links the at least one sound transducer arrangement and the at least one audience area.
  • the position vectors s i can be stored, for example, in the form of a list.
  • points in the audience area and points on the at least one transducer arrangement - and thus indirectly also the transducers themselves - can be easily geometrically linked to one another. in relation, such as when calculating the distance of a sound transducer to a point in the audience area.
  • the method assumes an assignment of points of the coordinate system to points in at least one audience area and assigns a position vector r i accordingly.
  • the position vector r i thus points to a specific location in audience area 3.
  • delay times ⁇ j are determined for the transducers, which are then used to emit acoustic elementary waves.
  • the delay times ⁇ j of the transducers are chosen such that the local direction of the common wavefront corresponds to the direction of the direction vector, in particular the normalized direction vector d ⁇ i .
  • the sound transducers of the at least one sound transducer arrangement are thus each operated with a specific delay time ⁇ j .
  • the delay time ⁇ j of a sound transducer determines the time at which an elementary wave is generated at the respective sound transducer.
  • the delay times ⁇ j of the individual sound transducers relative to the input signal can be determined.
  • each sound transducer is assigned an individual delay time ⁇ j .
  • the delay times of the individual sound transducers can fundamentally differ, although some sound transducers can also be operated with the same delay time ⁇ j .
  • the total delay times with which the individual transducers of the transducer array are operated influences the shape of the common wavefront, which results from the signals generated by the individual transducers. elementary waves.
  • the shape of the common wavefront can be determined by the totality of the delay times ⁇ j .
  • complexly shaped wavefronts can be generated by choosing the delay times ⁇ j in a specific way.
  • the result is a correspondingly shaped wavefront, e.g. with different curvatures, due to different delay times ⁇ j in the sound transducer arrangement.
  • the wavefront formed by the elementary waves is therefore no longer a section of a sphere, as is generated by a virtual sound source with a two-dimensional wave field synthesis sound transducer arrangement.
  • stronger curvatures and more flatly curved areas result.
  • the convex curvature of the wavefront is usually smaller towards the more distant audience seats, while a stronger curvature towards the front audience seats causes the sound pressure level to fall more quickly with distance and distributes the energy over a larger audience area.
  • the delay times ⁇ j of the individual sound transducers can be determined in such a way that the common wavefront adapts to the geometry of the audience area.
  • the local directions of the wavefront are controlled by the delay times ⁇ j .
  • the resulting irregularly shaped wavefront is in principle assigned the same number of grid points (i.e. the coordinate system in the area of the sound transducer arrangement) of the sound transducer arrangement and thus also of sound transducers for the same size of the audience area.
  • such a wavefront differs fundamentally from the spherical section of a point-like virtual sound source in wave field synthesis, in which the audience area supplied by the same number of sound transducers increases continuously with distance.
  • the local direction of the common wavefront at a position on the wavefront describes the direction in which the common wavefront propagates at that particular position.
  • the local direction of the common wavefront can be described by the direction vector that is perpendicular to the respective point on the common wavefront.
  • the direction vector describes a local propagation direction of the common wavefront if the wavefront moves perpendicular to the direction vector.
  • the sound transducers of the at least one sound transducer arrangement can be arranged on or in a plane.
  • the sound transducers of the sound transducer arrangement can be arranged on or in an at least partially curved surface.
  • the arrangement can, for example, be grid-like.
  • the distances between the sound transducers can be uniform.
  • the distances in a first direction, in particular in the vertical direction, and/or the distances in a second direction, in particular in the horizontal direction can each correspond to one another or result in a regular sequence of distance sizes.
  • the geometric shape in or on which the sound transducers are arranged can be complex.
  • the sound transducers can be located in one area on a flat surface, while other sound transducers of the same sound transducer arrangement are located on a curved surface. Different parts of the surface can also have different radii of curvature.
  • the sound transducers of the at least one sound transducer arrangement are arranged in a three-dimensional area, in particular a space.
  • the arrangement of the individual sound transducers can be determined starting from a reference surface, for example a plane or a curved surface, wherein at least a subset of the sound transducers of the at least one sound transducer arrangement is arranged on the reference surface and the positions of the remaining sound transducers of the at least one sound transducer arrangement can be determined by a spatial offset into the three-dimensional area.
  • the operation of the transducer—which is assigned to the position vector s i —with a delay time ⁇ j can be controlled by a computer system.
  • the control with a delay time ⁇ j can be digitally influenced or effected by a digital control system.
  • the delay times can be on the order of milliseconds. For neighboring transducers, the time difference is usually only a few microseconds, so the overall system requires a very stable system clock.
  • the delay time with which a transducer operates can be influenced mechanically or geometrically.
  • the delay time of a transducer can be controlled by a spatial offset, particularly in the radiation direction of the transducer array, relative to other transducers in the transducer array.
  • the audience area can have at least partially a flat or concave and/or at least partially a convex shape.
  • the audience area can be described as a continuous area or as a discontinuous area consisting of at least two connected parts.
  • An example of an audience area composed of multiple areas is the main hall of the Berlinnadoc Hall or an opera hall with multiple tiers.
  • the audience area can also be represented by a set of coordinate points.
  • the position vectors s i which are assigned to the transducers of the transducer array, can form a regular grid.
  • the position vectors r i can result in a regular grid on the reference area R assigned to the audience area.
  • the assignment which assigns each position vector s i in the transducer array to a point in the audience area corresponding to the position vector r i , can be determined by means of connecting lines from the transducer array to the audience area.
  • the connecting line can be a half-line starting from the position vector s i , which intersects the audience area or the reference surface R assigned to the audience area.
  • the sound transducer can then be assigned a position vector r i , which results from the intersection point of the half-line with the audience area or the reference surface R assigned to the audience area.
  • the proposed solution comprises a method for determining delay times ⁇ j for a sound transducer arrangement having a plurality of sound transducers j for generating elementary waves according to the delay times ⁇ j for sound irradiating at least one audience area.
  • the method comprises the steps of determining a coordinate system by which the at least one sound transducer arrangement is approximately described as a reference surface S and the audience area is approximately described as a reference surface R; determining position vectors s on the reference surface S of the at least one sound transducer arrangement, from which the positions of the sound transducers of the at least one sound transducer arrangement can be determined; determining normalized direction vectors d ⁇ starting from the position vectors s , wherein the normalized direction vectors d ⁇ are directed towards the reference surface R of the audience area and determining delay times ⁇ j for sound transducer j, so that the elementary waves of the sound transducers of the sound transducer arrangement superimpose themselves to form a common wavefront when operated according to the delay times ⁇ j , wherein the normalized direction vectors d ⁇ describe local propagation directions of the common wavefront.
  • the common wavefront propagates essentially perpendicular to the normalized direction vectors d.
  • the normalized direction vectors d ⁇ describe the propagation path of the common wavefront.
  • the common wavefront can be adapted to the geometry of the audience area by appropriately choosing the normalized direction vectors d ⁇ .
  • the position vectors s may correspond entirely or partially to the positions of the sound transducers on the sound transducer arrangement; in any case, there is a spatial assignment between the physical positions of the individual sound transducers in the at least one sound transducer arrangement and the position vectors s i for determining coordinates in the area of the at least one sound transducer arrangement.
  • the number of position vectors s can correspond to the number of transducers in the transducer array or can be different. In particular, the number of position vectors s can be higher than the number of transducers in the transducer array.
  • the position vectors s can describe intersection points of an auxiliary grid defined on the reference surface S of the at least one sound transducer array. However, position vectors s do not have to lie at all intersection points of the auxiliary grid.
  • the auxiliary grid can, for example, describe a rectangular plane.
  • the number of grid lines in the horizontal and/or vertical directions can each correspond to a number of rows and/or columns of transducers in the transducer array. However, the number of grid lines in the horizontal and/or vertical directions can also be greater than the number of rows and/or columns of transducers in the transducer array.
  • the method may further comprise determining position vectors r on the reference surface R of the audience area, wherein a position vector r is assigned to each position vector s .
  • the assignment may be made by means of a connecting line from the position vector s to the position vector r , on the basis of which the normalized direction vector d ⁇ may be determined.
  • the entirety of the connecting lines is designed such that they do not cross or overlap in pairs. In particular, no connecting line intersects the other connecting lines.
  • the assignment of the position vectors s to the position vectors r can be performed automatically, in particular using a 3D CAD file of the audience area. This can be done using a suitable mapping procedure. In particular, points and/or regions of the reference surface of the audience area can be omitted during the assignment, for example, those corresponding to areas of the audience area that should not be affected by the common wavefront.
  • the position vectors r can be evenly distributed over the reference surface R of the audience area. Thus, they can correspond to evenly distributed points within the audience area. A uniform distribution of the points is ensured, for example, by ensuring that any two neighboring points are the same distance apart.
  • the reference area R of the public area can be described by an auxiliary grid.
  • the position vectors r can correspond, at least in part, to intersection points of the auxiliary grid.
  • the reference surface S of the transducer array can be described by an auxiliary grid on which the position vectors s correspond at least partially to intersection points.
  • Such an auxiliary grid is particularly important for numerical analysis, since it allows, for example, numerical integrations using the trapezoidal rule to be easily performed.
  • Auxiliary grids on the reference surface S of the at least one sound transducer arrangement and auxiliary grids on the reference surface R of the audience area can be interconvertible. In particular, they can have the same number of lines in the horizontal and/or vertical plane. By connecting the intersection points of the auxiliary grids, a suitable connection can be created between the reference plane S of the at least one sound transducer arrangement and the reference plane R of the audience area.
  • the reference surface S of the at least one sound transducer arrangement can be a plane or, for example, an at least partially curved surface.
  • a curvature of the reference surface S of the sound transducer arrangement in the horizontal direction can differ from a curvature in the vertical direction.
  • the delay times ⁇ ( u, v ) can be determined by numerical integration of the discrete 2D vector field [ ⁇ u ⁇ ⁇ v ⁇ ].
  • the vector field can then be integrated using a numerical integration method.
  • the function ⁇ ( u , v ) obtained by integration then describes the desired delay times.
  • the values of the function ⁇ ( u , v ) describe the delay times at the position vectors s ( u, v ). For each individual combination of the parameters u and v , s ( u, v ) defines a separate position s i . The delays at the driver positions can then be determined by spatial interpolation.
  • the calculated time is then executed with the time of the nearest sample specified by the sampling frequency of the overall system.
  • the desired delay times are described by a function ⁇ ( u , v ) whose gradient has the two-dimensional vector field [ ⁇ u ⁇ ⁇ v ⁇ ], where the components ⁇ u ⁇ and ⁇ v ⁇ are given as above.
  • a wavefront can be viewed as a kind of relief that assigns each intersection point of the grid a height at that location. Then, the gradient at that location is a vector pointing in the direction of the greatest height increase. The magnitude of this vector indicates the greatest slope at that point.
  • the speed of sound c can certainly depend on the location, for example, if a higher temperature prevails in a higher part of the sound propagation range, which influences the speed of sound.
  • the speed of sound can also depend on the location, which is then taken into account in the calculation.
  • the numerical integration method may include the composite trapezium method, the Simpson method, the Romberg method, or the more advanced inverse gradient method.
  • Fig. 1 a given audience area 3 is shown, which is to be sound-exposed with a planar sound transducer arrangement 1 according to the principle of wave field synthesis (WFS).
  • WFS wave field synthesis
  • the sound transducers of the sound transducer arrangement 1 generate elementary waves 8 that overlap to form a common wavefront 4.
  • the common wavefront 4 is configured as if it were emanating from a virtual sound source 12. Accordingly, the surface of the wavefront 4 formed from the elementary waves 8 of the sound transducers 9 corresponds to a sphere.
  • the common wavefront 4 is divided into rectangles 105, which represent the proportions of elementary waves 8 generated by approximately the same number of sound transducers of the sound transducer arrangement 1 on the common wavefront 4.
  • the respective subregion 105 assigned to a given number of transducers of the transducer array 1 is approximately the same size. Accordingly, the sound pressure is evenly distributed across the surface of the wavefront 4 at the same time.
  • audience areas 106 assigned to these subsections have very different areas, over which the same energy of the assigned spherical wave section is distributed.
  • the sound pressure levels in the various parts of audience area 3 vary accordingly.
  • the virtual sound source 12 is in Fig. 1 located behind the transducer array 1.
  • the position of the virtual sound source 12 determines both the curvature of the common wavefront 4 and the direction in which it propagates. If the virtual sound source 12 is positioned close to the transducer array 1, the coverage area is wide and the curvature of the common wavefront 4 is strong. Accordingly, the surface area of the common wavefront 4 grows rapidly with distance, and the sound pressure level therefore decreases rapidly.
  • the position of the virtual sound source 12 is therefore a compromise between a wide coverage area and an acceptable sound pressure drop in the rear rows of the audience area 3 to be sounded.
  • the same number of transducers in the transducer array 1 covers a significantly larger portion of the audience area 3 to be sounded with distance, and the sound pressure drops significantly there. Furthermore, it is clear that even surfaces outside the audience area 3 to be sounded are unintentionally impacted by the common wave front 4 throughout the entire coverage area 10.
  • a given audience area can be supplied with several virtual sound sources that have the same signal content.
  • a method for this is described in WO 2015/022579 A3
  • a three-dimensional further development of the process is described in the patent application DE 10 2019 208 631 A1 described.
  • the combination of several wavefronts emanating from different virtual sound sources allows for a very balanced level distribution across large audience areas 3. Reflecting surfaces can be deliberately left out, and the level can be adjusted separately for each individual wavefront. Even in a reverberant environment, a high direct sound level with correspondingly good speech intelligibility can be achieved in the entire audience area 3.
  • the methods come close to the goal of completely and very uniformly sounding a given audience area 3 with a two-dimensional sound transducer arrangement 1 according to the principle of wave field synthesis.
  • the audience area 3 at the venue is essentially predetermined; in practice, its shape and size can hardly be adapted to the acoustic requirements for high-quality sound reinforcement.
  • the area to be served is rarely a flat rectangle. Often, the area is asymmetrical, rising more sharply in the rear areas to ensure a clear view of the stage.
  • the position of the two-dimensional sound transducer array 1, which can operate according to the principle of wave field synthesis, is also essentially predetermined because the sound source must be located in the stage area.
  • Fig. 2 shows a sound transducer arrangement 1 with a plurality of sound transducers.
  • the sound transducer arrangement 1 is used to provide sound to an audience area 3.
  • the individual sound transducers 9 of the sound transducer arrangement 1 each emit elementary waves 8, which overlap to form a common wavefront 4.
  • the sound transducers 9 of the sound transducer arrangement 1 are operated with individual delay times ⁇ j , i.e., the sound transducers 9 emit elementary waves 8 at individual delay times.
  • the common wavefront 4 is formed.
  • the common wavefront 4 can be shaped by operating with individual delay times ⁇ j such that it is adapted to the geometry of the audience area 3.
  • the transducer array 1 and the audience area 3 are assigned to a common coordinate system 2, in which the positions of the individual transducers of the transducer array 1 are determined by position vectors s i .
  • the exact delay times of the individual transducers can be determined by interpolation from the calculated delay times of the surrounding intersection points of the auxiliary grid if the transducers are not arranged exactly at the origin of a position vector s i .
  • the sound transducer assigned to these position vectors s i is driven with the individual delay time ⁇ j to emit elementary waves 8.
  • the individual delay times ⁇ j of the sound transducers 9 differ from one another, but they can also be at least partially identical.
  • the delay times ⁇ j are determined by means of an assignment that assigns each crossing point of the auxiliary grid 5 to a crossing point of an auxiliary grid 6 in the public area 3.
  • this assignment assigns the Transducer 9 with position vector s i assigns a point in the audience area 3 corresponding to a position vector r i .
  • the assignment results in the direction vectors 7, which point from the intersection points of the auxiliary grid 5 in the direction of the assigned intersection points of the auxiliary grid 6 in the audience area 3.
  • the delay times ⁇ j of the sound transducer determined using the associated position vectors s i are then each selected such that the local direction 50 of the common wavefront 4 at the position vector r i corresponds to the direction of the normalized direction vector 61 d ⁇ i .
  • the normalized direction vectors 61 determine the shape of the common wavefront 4.
  • local directions 50 of the common wavefront 4 can be determined by the direction vectors 7.
  • the normalized direction vectors 61 are each perpendicular to the common wavefront 4.
  • the common wavefront 4 can be shaped to adapt to the geometry of the audience area 3. This is done by assigning the grid points.
  • the wavefront 4 is then shaped such that approximately the same number of transducers of the transducer array 1 are assigned to equally sized sub-areas 106 of the audience area 3.
  • the corresponding sub-areas 105 of the wavefront 4 then have different sizes at the same time.
  • the upper sub-area in the diagram is still significantly smaller than the lower one at this distance. Accordingly, the sound pressure within the same wavefront in this area is significantly higher than in the lower sub-area intended for the nearby audience seats.
  • Fig. 3 shows a reference surface 30 S, which models the sound transducer arrangement 1 in a coordinate system 2.
  • a reference surface 30 S of the A regular, curved auxiliary grid 5 is arranged in the sound transducer arrangement 1, to which the positions of the individual sound transducers 9 of the sound transducer arrangement 1 are aligned. Coordinates for the individual sound transducers 9 of the sound transducer arrangement 1 can be determined in 3D space by means of the reference surface 30S , in particular by means of the auxiliary grid 5.
  • the transducers 9 of the transducer array 1 themselves do not need to be mounted at the intersection points of the auxiliary grid 5; their respective delay and level are interpolated to the intersection points in three-dimensional space.
  • the curvature of the reference surface 30S, as well as of the auxiliary grid 5, can be different in the azimuth plane than in the elevation plane; it is also possible to curvature the auxiliary grid 5 only in one plane.
  • the reference surface 30S of the sound transducer arrangement 1 will usually be a flat surface, and thus the auxiliary grid 5 will be a flat auxiliary grid. This corresponds to the case where the sound transducers 9 are mounted essentially in a two-dimensional arrangement.
  • a flat surface is considered a special case of a curved surface.
  • Fig. 4 shows the assignment of the auxiliary grid 5 of a sound transducer arrangement 1 to an auxiliary grid 6 in the audience area 3.
  • the solution approach presented here is not from the position of a virtual sound source (as in Fig. 1 shown), but rather from the given geometry of the audience area 3 to be sounded and the geometry of the transducer arrangement 1.
  • the audience area 3 to be sound-treated can be of any shape, flat, curved or even rising.
  • Fig. 4 an irregularly shaped audience area 3 to be sounded is shown, which is in particular not symmetrical and rises more sharply in the rear area on the right than on the left side.
  • a common wavefront 4 can be generated, the shape of which is adapted to the geometry of the audience area 3 to be sound-covered.
  • a coordinate system 2 is determined.
  • Coordinate system 2 is assigned to coordinate points distributed over the audience area 3.
  • Fig. 4 These coordinate points are arranged in the audience area 3 at the intersection points of an auxiliary grid 6, but they can also be distributed in the audience area 3 using other mapping methods.
  • an auxiliary grid 5 is assigned to the coordinate system 2, by means of which the positions of the sound transducers 9 of the sound transducer arrangement 1 can be determined.
  • the auxiliary grid is in Fig. 3 represented as a flat, regular auxiliary grid. In principle, however, the auxiliary grid can also be curved, i.e., have curved lines. In principle, the auxiliary grid 5 can be arranged on a reference surface by which the sound transducer arrangement 1 is modeled.
  • the number of coordinate points in the audience area 3 corresponds to the number of intersection points of the auxiliary grid 6.
  • each intersection point of the auxiliary grid 5 can be assigned a coordinate point of the auxiliary grid 6 in the audience area 3.
  • the distribution of the coordinate points should be over the entire audience area 3 with as even a distance as possible between the individual coordinate points.
  • Each intersection point of the grid 5 is assigned a coordinate point with the position r ( x, y, z ) in the audience area 3.
  • the connecting line 7 between the intersection points of the auxiliary grid 5 and its assigned coordinate point in the audience area 3 then forms a vector in the coordinate system 2, which is the basis for calculating the runtime and level of the audio signal.
  • the illustrated flat auxiliary grid 5 of the transducer arrangement 1 has the shape of a rectangle whose aspect ratio corresponds to that of the planned transducer arrangement 1, for example, in the form of a transducer array. It should have at least as many intersection points as the number of transducers 9 provided in the transducer arrangement 1. In principle, the aspect ratio is not defined, so it would also be possible to construct a single line of transducers if this is appropriate for the given spatial situation in the audience area 3.
  • the spacing of the grid lines of the auxiliary grid 5 may be different in the horizontal and vertical planes, but should at least correspond to the number of rows and columns of the two-dimensional sound transducer arrangement 1.
  • the transducers 9 of the transducer array 1 can be mounted with their acoustic center at the intersection points of the auxiliary grid 5. However, their position can also deviate from these intersection points, with their respective propagation times and levels being determined by interpolation of the values calculated for the surrounding grid points.
  • a higher number of grid lines improves interpolation accuracy.
  • a lower number of grid lines results in a wavefront composed of flat surfaces rather than a uniformly curved one. The resulting diffraction effects lead to local irregularities in the frequency response.
  • auxiliary grid 5 In principle, not all intersection points of the auxiliary grid 5 need to be assigned physical transducers 9. This allows the interruption of the configuration in the areas where the bass-midrange transducers 9 have their sound outlets. In addition, all transducers 9 can be distributed slightly irregularly across the surface. as it is in DE 10 2009 006 762 A1 This reduces unwanted aliasing effects in audience area 3 because the resulting comb filter effects are statistically somewhat balanced out in the frequency response.
  • the auxiliary grid 6 placed over the audience area 3 completely encloses it.
  • the shape of the auxiliary grid 6 is adjusted to the audience area 3. In principle, this can be done manually. In practice, however, several hundred to several thousand grid points are necessary to ensure that the distance between the transducers 9 is sufficiently small to achieve a reproduction largely free of audible aliasing effects.
  • the small number of grid lines in the sketches serves to provide clarity in explaining the functional principle.
  • a visualization in a 3D CAD file facilitates the shutdown of unoccupied audience areas 3.
  • the calculations remain essentially unchanged; only the transducers assigned to unoccupied audience areas 3 are not supplied with a signal. This results in a lower diffuse-field sound level at the venue, which contributes to better speech intelligibility in the occupied audience areas 3.
  • Fig. 5 illustrates by way of example how the local curvature 50 of the wavefront 4, which according to the described method does not have to be a spherical section, arises from the superposition of the elementary waves 8 of the surrounding sound transducers 9.
  • the individual transducer 9, shown in black in the sketch, has a non-directional half-space radiation according to the principle of wave field synthesis. Accordingly, the elementary wave 8 generated by it alone cannot form a directional vector.
  • the local directional vector d of the wavefront associated with it only arises at some distance from the transducer array 1 through the superposition of the elementary waves 8 of the surrounding transducers.
  • the direction vector 7 d can also be determined without the aid of the auxiliary grids 5 and 6.
  • the direction vector 7 d starts from a position vector s on a reference surface 30 S, which models the sound transducer arrangement 1, and points to a position vector r in the audience area 3, or to a position vector r , which describes a point on a reference surface R 30 modeling the audience area 3.
  • the desired wavefront generated by the acoustic transducer array 1, in particular in the form of a curved or planar array, can be locally approximated by a plane wave propagating along (i.e., locally toward) the normalized direction vector 61 d ⁇ .
  • Each local plane wave can be directed in the desired direction by operating the acoustic transducers 9 of the acoustic transducer array 1 according to the corresponding delay times of the signal.
  • the delay time ⁇ j at each position s ( u, v ) on the reference surface 30 S of the sound transducer arrangement 1 is described by the scalar-valued delay function ⁇ ( u, v ).
  • the deceleration gradient ⁇ ⁇ ( u, v ) can be determined as follows:
  • the scalars d ⁇ u and d ⁇ v can be physically interpreted as the local differentials of the path lengths between the plane wave and the tangential plane of the transducer array 1.
  • d ⁇ u and d ⁇ v are equal to the values in Fig. 6 illustrated quantities d ⁇ x and d ⁇ z , which represent the x- and z-components of the vector d ⁇ , respectively.
  • the compensation according to equation (9) corrects this according to a cosine function of the angle ⁇ in Fig. 4 .
  • a uniform distribution of the coordinate points r With a uniform distribution of the coordinate points r , a very homogeneous distribution of the sound pressure over the entire audience area 3 to be sounded is guaranteed.
  • Fig. 7 It is shown that the audience area 3 to be sound-protected can also be divided into individual sub-areas 701, 702, 703 with different signal content.
  • these sub-areas could then also be assigned to sub-areas of the transducer array 1.
  • a significantly more precise sound reinforcement is achieved if the high directivity of the entire array is utilized to direct the signal content to the desired audience areas 3.
  • the number of intersection points 6 then corresponds to the number of intersection points 5 of the auxiliary grid of the transducer array 1.
  • Individual sub-areas can also be smaller than the assigned sound transducer 9 area, provided that the crossing points of the auxiliary grid in the audience area 3 are closer together than in the auxiliary grid of the sound transducer arrangement 1. In this case, concave wave fronts are created, the sound pressure level of which is higher in the audience area 3 than at the generating radiator surface itself.
  • the two-dimensional transducer array 1 generates the same concave wavefront according to the described vector-based method as in a two-dimensional transducer array 1 according to the Principle of wave field synthesis with a virtual sound source at this point.
  • the sound pressure drop at the upper limit of the audio range can exceed ten dB in dry air.
  • this frequency range must be addressed at a significantly higher level in a planar transducer array 1, because the gain in level due to the improved matching of the synchronously operating loudspeaker array only takes effect at longer wavelengths.
  • the additional compensation of the airborne sound insulation for the distant audience areas 3 can therefore push the system to the limits of its controllability at high signal levels in the upper audio frequency range.
  • One solution to this problem is to arrange the coordinate points r closer together with the distance to the transducer array 1.
  • the more distant audience areas 3 are then assigned a smaller partial area 106 for the same number of transducers 9.
  • Each halving of the area results in a level increase of 3 dB, by which the control of the assigned transducers 9 would have to be reduced so that the sound pressure level remains virtually constant throughout the audience area 3.
  • the correspondingly reduced control signal is associated with greater headroom in the assigned amplifiers. This can then be used to further equalize the control signals.
  • the localization of the sound source in the described method differs fundamentally from the localization of a virtual point sound source in wave field synthesis.
  • Virtual sound sources are In principle, independent of the listener's position in the coverage area, comparable to a real sound source, localized at its virtual starting point.
  • the wavefront tailored to audience area 3 does not originate from defined positions of virtual sound sources. It arises from an extended source of many different starting points in the area behind the transducer surface.
  • the spectator in the front left seat in Fig. 2 will assign the starting point of the wave front in the lower left corner of the transducer arrangement 1, for the viewer in the back right the sound comes from the upper right corner of the transducer arrangement 1.
  • the method can be assigned to the field of wave field synthesis because it is possible to generate any desired wave front shape from the theoretical derivation of wave field synthesis from the Kirchhoff-Helmholtz integral ( Jens Ahrens: The Single-layer Potential Approach Applied to Sound Field Synthesis Including Cases of Non-enclosing Distributions of Secondary Sources, Dissertation, Technical University of Berlin, 2010 ).
  • the transducers 9 of the transducer array 1 are arranged in a regular grid. In practice, however, the distribution of the transducers 9 can also be irregular.
  • the propagation times ⁇ are calculated for a sufficiently dense regular grid, after which the propagation times are interpolated to the irregularly placed transducers.
  • Fig. 8 shows a complexly designed audience area 3 with sub-areas 802 and illustrates an assembly of the sound transducer arrangement 1 with sound transducers 9, wherein the assembly is adapted to the complex design of the audience area 3.
  • the assignment between points on the sound transducer arrangement 1 and points in the audience area 3 is carried out by assigning intersection points of the auxiliary grid 5 of the sound transducer arrangement 1 to intersection points of the auxiliary grid 6 of the audience area 3.
  • intersection points of the auxiliary grid 5 are assigned to sound transducers 9 of the sound transducer arrangement 1; in other words, intersection points of the auxiliary grid 5 remain unpopulated. In particular, unpopulated intersection points are found between populated intersection points.
  • the shape of the transducer array 1 can be adapted to the complex design and/or geometry of the audience area 3. This enables more effective use of the transducers.
  • the auxiliary grid 6 in the audience area 3 can, for example, be a rectangle; in particular, it can extend beyond the audience area.
  • Irregular shapes of the auxiliary grid 6 may lead to incorrect results in the calculations according to the described procedure.
  • Intersection points of the auxiliary grid 6 in the audience area 3, to which no audience is assigned, i.e. which in the present case lies outside the partial areas 5a, 5b, 5c of the audience area 3 to be sound-covered, are assigned auxiliary grid points of the auxiliary grid 5 of the sound transducer area, which are not equipped with sound transducers or are switched off.
  • Any bass-midrange transducers used are also aligned to the auxiliary grid 5 of the transducer array 1. Their travel times and levels are calculated based on the nearby grid points. The time shift resulting from any bass offset must be compensated for. The phase position of subwoofers can also be effectively adjusted in this way. According to the procedure, the shortest of all calculated travel times to the individual transducers is subtracted from all calculated travel times, so that the wave front adapted to the audience area 3 is always generated directly.
  • a further embodiment of the solution concerns a device shaped according to the rules of the described method.
  • a single wavefront whose shape is adapted to the given listening area, can be Electronic time shifting of the signal from a mono signal can be achieved.
  • This mechanical solution can be advantageous for fixed installations in acoustically problematic environments. This allows a sound reinforcement system to be installed at a reasonable cost that ensures a high direct sound component with correspondingly good speech intelligibility, even under unfavorable acoustic conditions.
  • a mechanically curved sound transducer arrangement 1 is illustrated as an example.
  • the sound wave described with reference to Fig. 4 described audience area 3 to be sounded is supplied with a tailored common wave front 4.
  • the operation of the transducers 9 of the transducer array 1 is realized mechanically according to the delay times ⁇ j obtained using the described method. All transducers are supplied with a coherent signal, i.e., from a mono signal source.
  • the mechanical realization is achieved by suitable positioning of the sound transducers 9 on the mechanically curved sound transducer arrangement 90, in particular by a suitable spatial offset, in particular an offset in the propagation direction of the common wavefront, of the sound transducers 9 to one another.
  • a path length S d is plotted, starting from the corresponding grid point of a flat auxiliary grid 5 along the extended diagonal of the cuboid 40 determined for the unit vector 61 d ⁇ .
  • the new coordinates for the acoustic center of the respective sound transducer 9 and also its orientation can be determined in the right-angled triangles of the cuboid 40.
  • the delay times for the individual sound transducers 9 calculated according to the described methods arise from the mechanical offset of the acoustic centers of the respective sound transducers 9 along the diagonal S d of the respective cuboids.
  • the different signal levels for the individual sound transducers 9 of this two-dimensional sound transducer arrangement 1 can then be approximately realized at a common power amplifier by suitable parallel and series connection of the sound transducers 9 or by connection to different amplifiers, each of which is assigned to sound transducers 9 with approximately the same level values.
  • the method can also be implemented by a device for transverse displacement of transducers, as described in WO 2015/004526/A2
  • the displacement s y of the acoustic center from the grid point of the original transducer grid is then obtained from the quotient S d cos ⁇ .
  • a single mechanical device cannot provide spatial sound reinforcement for audience area 3. It is suitable for providing sound reinforcement with manageable effort, with a very uniform distribution of the sound pressure level throughout audience area 3 and ensuring high speech intelligibility even in acoustically unfavorable rooms.
  • the shape of the acoustic common wavefront 4, which is composed by superposition of elementary waves 8 of the sound transducers 9, can be determined from the given geometry of the audience area 3 and the sound transducer arrangement 1 in such a way that, in a common coordinate system 2, each intersection point of a regular, at least partially flat and/or curved grid that is assigned to the sound transducers is assigned a coordinate point in the audience area 3, whereby a vector results from their connecting line, from which the delay time for the respectively assigned sound transducer 9 can be calculated by mathematical linkage, whereby the local curvature of the Wave front, which is created by superposition of the elementary waves 8 of the surrounding sound transducers 9, progresses in the direction of this vector, so that a closed wave front is created which can reach the entire audience area 3 and in which, moreover, a level correction for each sound transducer 9 from its assigned vector is possible, which improves the homogeneity of the sound pressure over the entire audience area 3.
  • the coordinate points in the plane of the two-dimensional sound transducer arrangement 1 are intersection points of a flat or curved grid, to which coordinate points in the audience area 3 are assigned in a common coordinate system 2, wherein the connecting lines between the respectively assigned grid points and points in the audience area 3 do not cross or intersect.
  • the number of grid lines in the plane of the two-dimensional sound transducer arrangement 1 in the horizontal and vertical directions corresponds to the number of sound transducers installed in the rows and columns of the two-dimensional sound transducer arrangement 1.
  • the number of grid lines can be greater than the number of sound transducers 9 in the rows and columns of the two-dimensional sound transducer arrangement 1, whereby the acoustic center of the individual sound transducers 9 can be arranged at the intersection point of the grid lines.
  • the values for delay time and/or level can be determined, for example, by interpolating the values of the surrounding grid points.
  • the reference points in the audience area 3 can be adapted in all three spatial dimensions to the requirements of the geometry of the audience area 3, whereby care must be taken to ensure that the areas between the individual grid points remain approximately the same size across the entire audience area 3, resulting in a relatively uniform distribution of the sound pressure level across the entire audience area 3.
  • the vectors resulting from the difference between the coordinates of the grid point assigned to the respective sound transducer 9 in the plane of the two-dimensional sound transducer arrangement 1 and the respective position of the assigned coordinate point in the audience area 3 are mapped to components of the unit vector d ⁇ to create a mathematical basis for determining the time differences between neighboring transducers.
  • intersection points of the auxiliary grid need to be assigned physical transducers 9 that radiate the same frequency range. This makes it possible, for example, to interrupt the configuration in the areas where the woofer-midrange transducers 9 have their sound outlets or to place tweeters in front of the woofer-midrange transducers, with the time lag differences caused by the mechanical offset being compensated for by interpolation at the intersection points of the auxiliary grid.
  • the influence of the angle that the synthesized wavefront takes at a given grid point to the plane of the sound transducer arrangement 1 on the signal level perceived at the associated point in the audience area 3 is compensated by compensating the level of the sound transducer associated with the respective point with the cosine function of the angle in question, the value of this cosine function corresponding to the value of the component d n ⁇ of the unit vector d ⁇ .
  • auxiliary grids in the audience area each with the same number of points as the grid in the plane of the two-dimensional sound transducer arrangement 1, can also be assigned to the intersection points of the flat or curved grid in the plane of the two-dimensional sound transducer arrangement 1, whereby sub-areas within the audience area can, for example, be supplied simultaneously with different signal content.
  • the reference points in the audience area 3 can be distributed more closely with increasing distance from the two-dimensional sound transducer arrangement 1, for example with the intention of making the areas between the reference points smaller with increasing distance from the two-dimensional sound transducer arrangement 1, so that the associated sound transducers 9 of the two-dimensional sound transducer arrangement 1 can be driven at a lower level with unchanged sound pressure in the respective area, whereby more headroom is available for compensating the treble drop due to the airborne sound insulation in these areas.
  • the influence of the airborne sound insulation on the signal at the audience seat for the individual sound transducers 9 can be compensated by equalizing their respective input signal with the inverse equalization of the influence of the airborne sound insulation at a given humidity according to the distance ⁇ d ⁇ of the assigned vector.
  • individual audience areas 3 can be temporarily excluded from the sound system. For example, if they are not occupied during an event, this improves the direct sound component in the remaining audience areas 3.
  • the propagation times with which the individual sound transducers 9 of the two-dimensional sound transducer arrangement 1 radiate according to one of the method variants described above are not realized by electronic delay of the signal content, but by the mechanical positioning of the sound transducers, which are controlled by coherent signals, wherein the signal levels for the respective sound transducer 9 correspond to the values determined for the original crossing points of the grid.

Landscapes

  • Physics & Mathematics (AREA)
  • Engineering & Computer Science (AREA)
  • Acoustics & Sound (AREA)
  • Signal Processing (AREA)
  • Health & Medical Sciences (AREA)
  • Otolaryngology (AREA)
  • Circuit For Audible Band Transducer (AREA)

Description

  • Die Erfindung betrifft ein Verfahren zur Beschallung eines Publikumsbereiches mit den Merkmalen des Anspruchs 1, ein Verfahren zur Bestimmung von Verzögerungszeiten τi zum Betreiben von Schallwandlern mit den Merkmalen des Anspruchs 11, ein Computerprogrammprodukt mit den Merkmalen des Anspruchs 20 sowie eine Vorrichtung zur Beschallung mindestens eines Publikumsbereiches mit den Merkmalen des Anspruchs 21.
  • Nach dem Prinzip der Wellenfeldsynthese (A.J.Berkhout, A Holographic Approach to Acoustic Control, J.Audio Eng.Soc, Vol. 36, No. 12, 1988) erzeugt eine Vielzahl von Schallwandlern eine Wellenfront, die einen gegebenen Publikumsbereich mit sehr gleichmäßigem Pegel in hoher Audioqualität versorgt, ohne angrenzende Reflexionsflächen zu stark unerwünscht anzustrahlen.
  • Mit der wachsenden Dimension der Publikumsbereiche von Großveranstaltungen steigen die Anforderungen an die Beschallungssysteme. Oft sind die Unterschiede im Schalldruck zwischen den einzelnen Zuschauerplätzen bei einer wenig gerichteten Abstrahlung der Schallwellen nicht tolerierbar, Wiedergabe, Frequenzgang und Sprachverständlichkeit leiden durch Pegelabfall, Luftschalldämmung und unerwünschte Reflexionen.
  • Aus diesem Grund wird mit Lautsprecheranordnungen aus mehreren Einzelschallquellen der Schall stärker in die weiter entfernten Publikumsbereiche gelenkt. Eine typische Anwendung sind sogenannte Line Arrays, die z.B. links und rechts oberhalb einer Bühnenfront angeordnet sind. Ihre Krümmung wird so auf den Publikumsbereich abgestimmt, dass die abgestrahlte Wellenfront in der Elevationsebene auf die weiter entfernteren Publikumsbereiche ausgerichtet ist. Dabei wird nahezu eine Zylinderwelle um diesen Teil der Lautsprecheranordnung erzeugt. Die Oberfläche eines Zylinders wächst linear mit seinem Radius, weshalb der Schalldruck bei jeder Entfernungsverdoppelung um 3 Dezibel abnimmt.
  • Im unteren Bereich der Schallwandleranordnung bedingt die stärkere Krümmung der Wandlerflächen einen größeren vertikalen Öffnungswinkel. Die Wellenfront ist in diesem Bereich nahezu ein Kugelausschnitt. Die mit dem Radius quadratisch wachsende Oberfläche einer Kugel bedingt hier einen Schalldruckabfall von 6 dB mit jeder Entfernungsverdoppelung. Durch den schnellen Schalldruckabfall im Nahbereich und der weiter reichenden Zylinderwelle für die entfernten Plätze werden die Differenzen im Schalldruck zwischen den vorderen und hinteren Publikumsbereichen deutlich reduziert.
  • In den letzten Jahren werden auch Schallzeilen mit elektronischer Ansteuerung der einzelnen Schallwandler eingesetzt. Jeder Schallwandler hat dabei seinen eigenen Verstärker, der von einem Signalprozessor angesteuert wird. Mathematische Verfahren gestatten dabei eine deutlich besser an den Publikumsbereich angepasste Abstrahlung, als dies mit der mechanischen Ausrichtung einzelner Schallwandler möglich wäre. Die Krümmung der Schallwandleranordnung kann entsprechend dem Huygensschen Prinzip mit geringen Verzögerungen in der Ansteuerung der einzelnen Wandler simuliert und elektronisch angepasst werden. Jedoch sind diese Möglichkeiten bei den verfügbaren Schallzeilen auf die Elevationsebene begrenzt.
  • Weil die Richtcharakteristik auch mit dieser verbesserten Abstrahlung nur in der Elevationsebene angepasst werden kann, bleibt das Schallfeld nur grob auf den gegebenen Publikumsbereich zugeschnitten. In der Azimutebene ist die Abstrahlung nur durch die mechanische Ausrichtung der Lautsprechergruppe gegeben. An den Publikumsbereich kann hier allenfalls durch die Auswahl von Lautsprecherelementen mit breiterer oder schmalerer horizontaler Richtcharakteristik angepasst werden.
  • Deutlich flexibler sind Lautsprecherfelder, wie sie zur Audiowiedergabe nach dem Prinzip der Wellenfeldsynthese verfügbar sind (wie beispielsweise in der WO2015036845A1 ). Hier wird jeder Schallwandler an einem separaten Endverstärker betrieben. Entsprechend dem Huygensschen Prinzip setzt sich aus der Superposition der Elementarwellen jedes einzelnen Schallwandlers eine Wellenfront zusammen, die einen Kugelausschnitt der Wellenfront einer realen Schallquelle rekonstruiert. Zentrum dieses Kugelausschnittes ist die virtuelle Schallquelle der Wellenfeldsynthese. Die Grenzen des Kugelausschnittes werden durch die Größe des Schallwandlerfeldes in Verbindung mit der Position der virtuellen Schallquelle bestimmt.
  • JP 2013013129 A beschreibt ein Lautsprecherarray und erläutert die entsprechende Anordnung gegenüber Boden und den weiteren Oberflächen. Die JP 200923198 A beschreibt ebenfalls ein Lautsprecherarray im Verhältnis zum Beschallen eines Zielbereichs. Die US 2021/204085 A1 beschreibt ein Verfahren zum Erzeugen eines räumlichen Raumfelds.
  • Ziel der vorgeschlagenen Lösung ist ein Verfahren zur Beschallung eines Publikumsbereichs durch einer Schallwandleranordnung, welches eine verbesserte Anpassung der Abstrahlcharakteristik an den Publikumsbereich bewirkt.
  • Die vorgeschlagene Lösung betrifft ein Verfahren zur Beschallung mindestens eines Publikumsbereichs durch eine Schallwandleranordnung mit einer Vielzahl von Schallwandlern. Die einzelnen Schallwandler der mindestens einen Schallwandleranordnung strahlen - im Betrieb - Elementarwellen ab, die sich zu einer gemeinsamen Wellenfront überlagern. Immer wenn im Folgenden von der Abstrahlung von Elementarwellen von den Schallwandlern gesprochen wird, ist das akustische Zentrum der Schallwandler gemeint. Alle Merkmale und insbesondere auch die notwendigen Merkmale sind den unabhängigen Ansprüchen 1, 11 und 21 definiert.
  • Die mindestens eine Schallwandleranordnung und der Publikumsbereich sind einem gemeinsamen Koordinatensystem, insbesondere einem kartesischen Koordinatensystem, zugeordnet.
  • Wie im Folgenden deutlich werden wird, dient das Koordinatensystem auf der Seite der mindestens einen Schallwandleranordnung insbesondere dazu, Ausgangspunkte für Postionsvektoren si zu bestimmen, die zusammen mit Richtungsvektoren ri die Abstrahlung des Schalls von der mindestens einen Schallwandleranordnung bestimmen. Das Koordinatensystem verknüpft somit die mindestens eine Schallwandleranordung und den mindestens einen Publikumsbereich.
  • Zwischen den Positionsvektoren si und den physischen Positionen der Schallwandler besteht eine räumliche Zuordnung. Im einfachsten Fall liegen die akustischen Zentren der Schallwandler am Ursprungsort der Positionsvektoren si . Es ist aber auch möglich, dass die Schallwandler nicht genau auf den Urprungsorten der Positionsvektoren si liegen. Soweit die Positionen der akustischen Zentren der Schallwandler von den Kreuzungspunkten des Hilfsrasters abweichen, kann die damit verbundene Änderung von Verzögerungszeit und Pegel durch räumliche Interpolation oder andere Verfahren korrigiert werden. Die Positionsvektoren si können z.B. in Form einer Liste gespeichert sein.
  • Durch die Einführung des Koordinatensystems lassen sich Punkte im Publikumsbereich und Punkte auf der mindestens einen Schallwandleranordnung - und damit mittelbar auch die Schallwandler selbst - einfach geometrisch miteinander in Beziehung setzten, wie z.B. bei der Berechnung eines Abstandes eines Schallwandlers zu einem Punkt im Publikumsbereich.
  • Dabei geht das Verfahren von einer Zuordnung von Punkten des Koordinatensytems zu Punkten in mindestens einem Publikumsbereich aus und ordnet entsprechend einen Positionsvektor ri zu. Der Positionsvektor ri zeigt somit auf einen bestimmten Ort im Publikumsbereich 3.
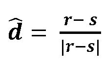
  • Aus den Positionsvektoren si , aus denen mittelbar oder auch unmittelbar die Positionen der einzelnen Schallwandler bestimmbar sind, lassen sich Richtungsvektoren, insbesondere normierte Richtungsvektoren i = r i s i r i s i
    Figure imgb0001
    bestimmen, die Abstrahlrichtung der Wellenfront im Bereich der jeweiligen Schallwandler bestimmen.
  • Nun werden in Abhängigkeit von der räumlichen Zuordung der Positionsvektoren si und der Schallwandler Verzögerungszeiten τj für die Schallwandler bestimmt, mit der dann akustische Elementarwellen abgestrahlt werden. Die Verzögerungszeiten τj der Schallwandler werden jeweils so gewählt, dass die lokale Richtung der gemeinsamen Wellenfront der Richtung des Richtungsvektors, insbesondere des normierten Richtungsvektors i entspricht.
  • Die Schallwandler der mindestens einen Schallwandleranordnung werden somit jeweils mit einer bestimmten Verzögerungszeit τj betrieben. Die Verzögerungszeit τj eines Schallwandlers bestimmt den Zeitpunkt der Erzeugung einer Elementarwelle am betreffenden Schallwandler. Insbesondere können die Verzögerungszeiten τj der individuellen Schallwandler gegenüber dem Eingangssignal bestimmt werden. Mit anderen Worten, es wird jedem Schallwandler eine individuelle Verzögerungszeit τj zugewiesen werden. Die Verzögerungszeiten der einzelnen Schallwandler können sich grundsätzlich unterscheiden, allerdings können einige Schallwandler auch mit derselben Verzögerungszeit τj betrieben werden.
  • Die Gesamtheit der Verzögerungszeiten, mit denen die einzelnen Schallwandler der Schallwandleranordnung betrieben werden, beeinflusst die Form der gemeinsamen Wellenfront, welche sich aus den von den einzelnen Schallwandlern erzeugten Elementarwellen zusammensetzt. Insbesondere kann durch die Gesamtheit der Verzögerungszeiten τj die Form der gemeinsamen Wellenfront bestimmbar sein.
  • Insbesondere lassen sich durch bestimmte Wahlen der Verzögerungszeiten τj komplex geformte Wellenfronten erzeugen. Im Ergebnis ergibt sich durch unterschiedliche Verzögerungszeiten τj in der Schallwandleranordnung eine entsprechend gerformte Wellenfront, z.B. mit unterschiedlichen Krümmungen. Die von den Elementarwellen gebildete Wellenfront ist so nicht mehr ein Kugelausschnitt, wie er von einer virtuellen Schallquelle mit einer zweidimensionalen Wellenfeldsynthese-Schallwandleranordnung erzeugt wird. Je nach Form und Größe des Versorgungsbereiches (d.h. des mindestens einen Publikumsbereiches) ergeben sich stärkere Krümmungen und flacher gekrümmte Bereiche. In Richtung der weit entfernten Zuschauerplätze ist die konvexe Krümmung der Wellenfront meist geringer, eine stärkere Krümmung in Richtung der vorderen Zuschauerplätze läßt den Schalldruckpegel mit der Entfernung schneller abfallen und verteilt die Energie auf einen größeren Zuschauerbereich.
  • Die Verzögerungszeiten τj der einzelnen Schallwandler können derart bestimmt werden, dass sich die gemeinsame Wellenfront an die Geometrie des Publikumsbereichs anpasst. Insbesondere werden durch die Verzögerungszeiten τj die lokalen Richtungen der Wellenfront gesteuert. Der so entstehenden, unregelmäßig geformten Wellenfront ist der gleichen Größe des Publikumsbereiches prinzipiell die gleiche Anzahl von Rasterpunkten (d.h. des Koordinatensystems im Berich der Schallwandleranordung) der Schallwandleranordnung und somit auch von Schallwandlern zugeordnet. Darin unterscheidet sich eine solche Wellenfront grundlegend vom Kugelausschnitt einer punktförmigen virtuellen Schallquelle der Wellenfeldsynthese, bei dem die von der gleichen Zahl Schallwandler versorgte Zuschauerfläche mit der Entfernung stetig ansteigt.
  • Die lokale Richtung der gemeinsamen Wellenfront an einer Position auf der Wellenfront beschreibt dabei jeweils die Richtung, in welche sich die gemeinsame Wellenfront an der jeweiligen Position ausbreitet. Die lokale Richtung der gemeinsamen Wellenfront kann jeweils durch den Richtungsvektor beschrieben werden, der auf den jeweiligen Punkt senkrecht auf der gemeinsamen Wellenfront steht. Der Richtungsvektor beschreibt eine lokale Ausbreitungsrichtung der gemeinsam Wellenfront, wenn die Wellenfront sich senkrecht zu dem Richtungsvektor bewegt.
  • Eine Anpassung der gemeinsamen Wellenfront an die Geometrie des mindestnes einen Publikumsbereichs wird durch eine bestimmbare Zuordnung ermöglicht, die den Positionsvektoren si (die z.B. einzelnen Schwallwandlern zugeordnet sein können) jeweils eine Position im Publikumsbereich entsprechend eines Positionsvektors ri zuordnet. Aus der jeweiligen Zuordnung ergeben sich normierte Richtungsvektoren d ^ i = r i s i r i s i
    Figure imgb0002
    . Die Verzögerungszeiten τj sind dann jeweils so gewählt, dass die lokale Richtung der gemeinsamen Wellenfront an der Position im Publikumsbereich, welche durch den Positionsvektor ri beschreiben ist, der Richtung des Richtungsvektors i entspricht. Insbesondere sind lokale Ausbreitungsrichtungen der gemeinsamen Wellenfront durch die normierten Richtungsvektoren i gegeben.
  • Die Schallwandler der mindestens einen Schallwandleranordnung können auf oder in einer Ebene angeordnet sein. Alternativ können die Schallwandler der Schallwandleranordnung auf oder in einer mindestens teilweise gekrümmten Fläche angeordnet sein. Die Anordnung kann z.B. gitterartig sein. Insbesondere können die Abstände der Schallwandler zueinander gleichmäßig sein. Beispielsweise können die Abstände in einer ersten Richtung, insbesondere in vertikaler Richtung, und / oder die Abstände in einer zweiten Richtung, insbesondere in horizontaler Richtung, sich jeweils entsprechen oder eine regelmäßige Abfolge von Abstandsgrößen ergeben. Die geometrische Form in oder an der die Schallwandler angeordnet sind, kann dabei komplex sein. So können die Schallwandler z.B. in einem Bereich in einer ebenen Fläche liegen, wobei andere Schallwandler der gleichen Schallwandleranordnung auf einer gekrümmten Fläche liegen. Dabei können unterschiedliche Teile der Fläche auch unterschiedliche Krümmungsradien aufweisen.
  • Alternativ sind die Schallwandler der mindestens einen Schallwandleranordnung in einem dreidimensionalen Bereich, insbesondere einem Raum angeordnet. Die Anordnung der einzelnen Schallwandler kann dabei ausgehend von einer Referenzfläche, beispielsweise einer Ebene oder einer gekrümmten Fläche, bestimmbar sein, wobei mindestens eine Teilmenge der Schallwandler der mindestens einen Schallwandleranordnung auf der Referenzfläche angeordnet ist und die Positionen der übrigen Schallwandler der mindestens einen Schallwandleranordnung sich durch einen räumlichen Versatz in den dreidimensionalen Bereich bestimmen lassen.
  • Der Betrieb des Schallwandlers - der dem Positionsvektor si zugeordnet ist - mit Verzögerungszeit τj kann jeweils durch eine Ansteuerung mittels eines Computersystems erfolgen. Insbesondere kann die Ansteuerung mit Verzögerungszeit τj digital beeinflusst werden, bzw. durch eine digitale Ansteuerung bewirkt sein. Die Verzögerungszeiten können in der Größenordnung von Millisekunden liegen. Für benachbarte Schallwandler liegt die Zeitdifferenz meist nur bei einigen Mikrosekunden, so dass das Gesamtsystem einen sehr stabilen Systemtakt benötigt.
  • Zusätzlich oder alternativ kann die Verzögerungszeit, mit der ein Schallwandler betrieben wird, mechanisch oder geometrisch beeinflusst werden. Beispielweise kann die Verzögerungszeit eines Schallwandlers mittels eines räumlichen Versatzes, insbesondere in Abstrahlungsrichtung der Schallwandleranordnung, gegenüber anderen Schallwandlern der Schallwandleranordnung gesteuert werden.
  • Der Publikumsbereich kann mindestens teilweise eine ebene oder konkave und / oder mindestens teilweise eine konvexe Form aufweisen. Der Publikumsbereich kann als eine zusammenhängende Fläche oder als eine unzusammenhängende Fläche, bestehend aus mindestens zwei zusammenhängenden Teilen, beschrieben sein. Ein Beispiel für einen aus mehreren Bereichen zusammengesetzten Publikumsbereich ist der große Saal der Philharmonie, Berlin oder ein Opernsaal mit mehreren Rängen. Der Publikumsbereich kann aber auch durch eine Menge an Koordinatenpunkten repräsentiert werden.
  • Im Koordinatensystem können die Positionsvektoren si , welche den Schallwandlern der Schallwandleranordnung zugeordnet sind, ein regelmäßiges Raster ergeben.
  • Zusätzlich oder alternativ können die Positionsvektoren ri ein regelmäßiges Raster auf der dem Publikumsbereich zugeordneten Bezugsfläche R ergeben.
  • Die Zuordnung, welche jedem Positionsvektor si im Schallwandler Array einen Punkt im Publikumsbereich entsprechend dem Positionsvektor ri beiordnet, kann mittels Verbindungslinien von der Schallwandleranordnung in den Publikumsbereich bestimmbar sein. Insbesondere kann die Verbindungslinie als eine Halbgerade ausgehend von dem Positionsvektor si ausgebildet sein, die den Publikumsbereich bzw. die dem Publikumsbereich zugeordneten Bezugsfläche R schneidet. Dem Schallwandler kann dann ein Positionsvektor ri zugeordnet werden, der sich aus dem Schnittpunkt der Halbgeraden mit dem Publikumsbereich bzw. der dem Publikumsbereich zugeordneten Bezugsfläche R, ergibt.
  • Zusätzlich oder alternativ können die Pegel, mit denen die Schallwandler der mindestens einen Schallwandleranordnung betrieben werden, mittels eines relativen Verstärkungsfaktors ermittelbar sein, insbesondere basierend auf der Vorschrift n = i · ni , wobei ni jeweils die Normale zur Bezugsfläche S am Positionsvektor si beschreibt.
  • Durch das Betreiben der Schallwandler gemäß der relativen Verstärkungsfaktoren n ist gewährleistet, dass der Schalldruckpegel an der Empfängerposition ri unabhängig vom Winkel des Richtungsvektors i auf die Normale ni ist. Dadurch kann eine homogene Lautstärke im zu beschallenden Publikumsbereich gewährleistet werden.
  • Ferner umfasst die vorgeschlagene Lösung ein Verfahren zur Bestimmung von Verzögerungszeiten τj für eine Schallwandleranordnung mit einer Vielzahl von Schallwandlern j zur Erzeugung von Elementarwellen gemäß der Verzögerungszeiten τj zur Beschallung mindestens eines Publikumsbereichs.
  • Das Verfahren umfasst die Schritte der Bestimmung eines Koordinatensystems, durch welches die mindestens eine Schallwandleranordnung näherungsweise als eine Bezugsfläche S sowie der Publikumsbereich näherungsweise als eine Bezugsfläche R beschrieben sind; die Bestimmung von Positionsvektoren s auf der Bezugsfläche S der mindestens einen Schallwandleranordnung, aus welchen die Positionen der Schallwandler der mindestens einen Schallwandleranordnung ermittelbar sind; die Bestimmung von normierten Richtungsvektoren ausgehend von den Positionsvektoren s , wobei die normierten Richtungsvektoren auf die Bezugsfläche R des Publikumsbereichs gerichtet sind und die Bestimmung von Verzögerungszeiten τj für Schallwandler j, so dass sich die Elementarwellen der Schallwandler der Schallwandleranordnung bei Betrieb gemäß der Verzögerungszeiten τj zu einer gemeinsamen Wellenfront überlagern, wobei die normierten Richtungsvektoren lokale Ausbreitungsrichtungen der gemeinsamen Wellenfront beschreiben.
  • Mit anderen Worten, es breitet sich die gemeinsame Wellenfront im Wesentlichen senkrecht zu den normierten Richtungsvektoren d aus. Auf diese Weise beschreiben die normierten Richtungsvektoren den Ausbreitungsverlauf der gemeinsamen Wellenfront. Insbesondere ist die gemeinsame Wellenfront durch geeignete Wahl der normierten Richtungsvektoren an die Geometrie des Publikumsbereichs anpassbar.
  • Für eine Anspassung der Schallpegel können die relativen Verstärkungsfaktoren n für mindestens eine Teilmenge der Positionsvektoren s gemäß der Vorschrift d ^ n = d ^ n
    Figure imgb0003
    bestimmt werden, wobei n eine Normale zu der Bezugsfläche S der Schallwandleranordnung an dem durch den Positionsvektor s bestimmten Punkt ist und der normierte Richtungsvektor ausgehend von dem Positionsvektor s.
  • Die Positionsvektoren s können den Positionen der Schallwandler auf der Schallwandleranordnung ganz oder teilweise entsprechen, in jedem Fall gibt es zwischen den physischen Positionen der einzelnen Schallwandler in der mindestens einen Schallwandleranordnung und den Positionsvektoren si zur Festlegung von Koordinaten im Bereich der mindestens einen Schallwandleranordnung eine räumliche Zuordnung.
  • Die Anzahl der Positionsvektoren s kann der Anzahl der Schallwandler der Schallwandleranordnung entsprechen oder auch von dieser verscheiden sein. Insbesondere kann die Anzahl der Positionsvektoren s höher sein als die Anzahl der Schallwandler auf der Schallwandleranordnung.
  • Die Positionsvektoren s können Kreuzungspunkte eines auf der Bezugsfläche S der mindestens einen Schallwandleranordnung beschrieben Hilfsrasters beschreiben. Es müssen aber nicht auf allen Kreuzungspunkten des Hilfsrasters Positionsvektoren s liegen. Das Hilfsraster kann beispielsweise eine rechteckförmige Ebene beschreiben.
  • Die Anzahl der Rasterlinien in horizontaler und / oder vertikaler Richtung kann jeweils einer Anzahl von Zeilen und / oder Spalten von Schallwandlern der Schallwandleranordnung entsprechen. Die Anzahl der Rasterlinien in horizontaler und / oder vertikaler Richtung kann aber auch größer sein, als eine Anzahl von Zeilen und / oder Spalten von Schallwandlern in der Schallwandleranordnung.
  • Das Verfahren kann ferner eine Bestimmung von Positionsvektoren r auf der Bezugsfläche R des Publikumsbereichs umfassen, wobei jeweils einem Positionsvektor s ein Positionsvektor r zugeordnet ist. Die Zuordnung kann mittels einer Verbindungslinie vom Positionsvektoren s zu dem Positionsvektor r erfolgen, auf Basis welcher der jeweils der normierter Richtungsvektor ermittelt werden kann. Insbesondere kann der Richtungsvektor jeweils mittels der Berechnungsvorschrift d ^ = r s r s
    Figure imgb0004
    bestimmt sein.
  • Die Gesamtheit der Verbindungslinien ist in einer Ausführungsform derart beschaffen, dass sie sich jeweils paarweise nicht kreuzen oder überschneiden. Insbesondere schneidet keine Verbindungslinie die jeweils anderen Verbindungslinien.
  • Die Zuordnung der Positionsvektoren s zu den Positionsvektoren r kann automatisch, insbesondere anhand einer 3D-CAD Datei des Publikumsbereichs, erfolgen. Dies kann nach einem geeigneten Mappingverfahren vorgenommen werden. Insbesondere können bei der Zuordnung Punkte und / oder Bereiche der Bezugsfläche des Publikumsbereichs ausgespart werden, beispielsweise solche, die Bereichen des Publikumsbereiches entsprechen, die nicht von der gemeinsamen Wellenfront getroffen werden sollen.
  • Die Positionsvektoren r können dabei gleichmäßig auf der Bezugsfläche R des Publikumsbereichs verteilt sein. Dadurch können sie gleichmäßig verteilten Punkten im Publikumsbereich entsprechen. Eine gleichmäßige Verteilung der Punkte ist beispielsweise dadurch gewährleistet, dass je zwei benachbarte Punkte den gleichen Abstand voneinander haben.
  • Die Bezugsfläche R des Publikumsbereichs kann durch ein Hilfsraster beschrieben sein. Die Positionsvektoren r können zu mindestens teilweise Kreuzungspunkten des Hilfsrasters entsprechen.
  • Gleichermaßen kann die Bezugsfläche S der Schallwandleranordnung durch ein Hilfsraster beschrieben sein, auf dem die Positionsvektoren s mindestens teilweise Kreuzungspunkten entsprechen. Ein solches Hilfsraster ist insbesondere für die numerische Behandlung wichtig, da sich in diesem z.B. numerische Integrationen mittels der Trapez-Regel leicht ausführen lassen.
  • Hilfsraster auf der Bezugsfläche S der mindestens einen Schallwandleranordnung und Hilfsraster auf der Bezugsfläche R des Publikumsbereichs können dabei ineinander überführbar sein. Insbesondere können sie die gleiche Anzahl von Linien in horizontaler- und / oder vertikaler Ebene aufweisen. Durch die Verbindung der Kreuzungspunkte der Hilfsraster kann sich eine geeignete Verbindung zwischen der Bezugsebene S der mindestens einen Schallwandleranordnung zu der Bezugsebene R des Publikumsbereichs ergeben.
  • Die Bezugsfläche S der mindestens einen Schallwandleranordnung kann eine Ebene oder beispielsweise eine zumindest teilweise gekrümmte Fläche sein. Insbesondere kann sich eine Krümmung der Bezugsfläche S der Schallwandleranordnung in horizontaler Richtung von einer Krümmung in vertikaler Richtung unterscheiden.
  • In einer Ausführungsform ist die Bezugsfläche S der Schallwandleranordnung mittels Koordinaten s(u, v) = [x(u, v) y(u, v) z(u, v)] parametrisiert, wobei u und v reelle, kontinuierliche Variablen sind.
  • Zur Bestimmung der jeweiligen individuellen Verzögerungszeiten τj für Schallwandler j kann zunächst eine skalarwertige Funktion von Verzögerungszeiten τ(u, v) für eine endliche Menge von Positionsvektoren der Form s = s(u, v) ermittelt werden und anschließend die Bestimmungen der Verzögerungszeit τj für Schallwandler j mindestens teilweise durch Interpolationen von mindestens zwei Werten der Form τ(u, v) erfolgen.
  • Die Verzögerungszeiten τ(u, v) sind in einer Ausführungsform mittels numerischer Integration des diskreten 2D-Vektorfeldes [Δ uτ Δ vτ] bestimmbar. Dabei sind die Verzögerungsdifferenzen Δ uτ in u - Richtung bzw. Δ vτ in v - Richtung gegeben durch Δ u τ = d ^ u c Δ u
    Figure imgb0005
    beziehungsweise Δ v τ = d ^ v c Δ v ,
    Figure imgb0006
    wobei Δu und Δv jeweils diskrete Schrittweiten in u - Richtung beziehungsweise v - Richtung beschreiben, c die Schallgeschwindigkeit beschreibt und wobei u und v durch die Skalarprodukte d ^ u = d ^ s u
    Figure imgb0007
    beziehungsweise d ^ v = d ^ s v ,
    Figure imgb0008
    gegeben sind,
    wobei jeweils den normierten Richtungsvektor ausgehend vom Positionsvektor s = s(u, v) beschreibt und s u und s v Tangentenvektoren zu der Bezugsfläche S ausgehend vom Positionsvektor s = s(u, v) beschreiben.
  • Die Tangentenvektoren s u und s v sind dabei gegeben durch die partiellen Ableitungen s u = s u = x u y u z u
    Figure imgb0009
    beziehungsweise s v = s v = x v y v z v .
    Figure imgb0010
  • Mit anderen Worten, es kann in einem Verfahren zur Bestimmung der Verzögerungszeiten τ(u, v) zunächst das zweidimensionale diskrete Vektorfeld [Δ uτ Δ vτ] gemäß der Vorschriften Δ u τ = d ^ u c Δ u
    Figure imgb0011
    beziehungsweise Δ v τ = d ^ v c Δ v ,
    Figure imgb0012
    auf Basis von Tangentenvektoren s u und sv der Bezugsfläche S der Schallwandleranordnung, den normierten Richtungsvektoren und der Schallgeschwindigkeit c bestimmt werden. Anschließend kann das Vektorfeld mittels eines numerischen Integrationsverfahrens integriert werden. Die mittels der Integration erhaltene Funktion τ(u, v) beschreibt dann die gewünschten Verzögerungszeiten.
  • Die Werte der Funktion τ(u, v) beschreiben die Verzögerungszeiten an den Positionsvektoren s(u, v). Für jede einzelne Kombination der Parameter u und v definiert s(u, v) eine eigene Position si . Anschließend können die Verzögerungen an den Treiberpositionen durch räumliche Interpolation ermittelt werden.
  • Die berechnete Zeit wird dann mit der von der Samplingfequenz des Gesamtsystems vorgegebenen Zeit des nahe gelegensten Sampels ausgeführt.
  • Insbesondere sind die gewünschten Verzögerungszeiten beschrieben durch eine Funktion τ(u, v), deren Gradient das zweidimensionale Vektorfeld [Δ uτ Δ vτ] aufweist, wobei die Komponenten Δ uτ und Δ vτ wie oben gegeben sind. Eine Wellenfront kann als eine Art Relief betrachtet werden, das jedem Kreuzungspunkt des Rasters eine Höhe an dieser Stelle zuordnet. Dann ist der Gradient an der Stelle ein Vektor, der in die Richtung des größten Höhenanstiegs zeigt. Der Betrag dieses Vektors gibt die größte Steigung an diesem Punkt an.
  • Dabei kann die Schallgeschwindigkeit c durchaus vom Ort abhängig sein, wenn z.B. in einem höheren Bereich des Schallausbreitungsbereiches eine höhere Temperatur herrscht, was die Schallgeschwindigkeit beeinflusst. Dabei kann die Schallgeschwindigkeit durchaus auch abhängig vom Ort sein, was dann in die Berechnung einfließt.
  • Das numerische Integrationsverfahren kann das Composite Trapezium Verfahren, das Simpson Verfahren, das Romberg Verfahren oder das fortgeschrittenere inverse Gradienten-Verfahren umfassen.
  • Im Falle, dass die Bezugsfläche S der Schallwandleranordnung mittels einer Funktion s(u, v) = [x(u, v) y(u, v) z(u, v)], wie oben beschrieben, parametrisiert ist, ist die Normale n zu der Bezugsfläche S der Schallwandleranordnung, welche bei der Bestimmung zur Schallpegelkorrektur herangezogen werden kann, an dem durch s = s(u, v) beschriebenen Punkt gegeben durch das Kreuzprodukt von s u and s v n = s u × s v ,
    Figure imgb0013
    wobei
    s u und s v gegeben sind durch die partiellen Ableitungen, wie oben beschrieben.
  • Ausführungsformen werden im Folgenden anhand von Figuren beispielhaft beschrieben. Dabei beschreibt
    • Fig. 1 eine schematische Darstellung der Wellenfront einer virtuellen Schallquelle der Wellenfeldsynthese in einer zweidimensionalen Schallwandleranordnung;
    • Fig. 2 eine schematische Darstellung der Wellenfront einer erfindungsgemäß dem Zuschauerbereich angepassten Form der Wellenfront einer zweidimensionalen Schallwandleranordnung;
    • Fig. 3 die Bestimmung von Normalenvektoren auf einer gekrümmten Bezugsfläche einer Schallwandleranordnung;
    • Fig. 4 die Zuordnung des Hilfsrasters einer Schallwandleranordnung zu einem Hilfsraster im Publikumsbereich;
    • Fig. 5 die Bildung eines lokalen Richtungsvektors der Wellenfront, welcher ausgehend von einem Schallwandler aus umgebenden Elementarwellen entsteht und den Publikumsbereich zeigt;
    • Fig. 6 die Bildung eines normierten Richtungsvektors der Länge eins;
    • Fig. 7 eine Ausführungsform, bei der der Publikumsbereich in einzelne Teilbereiche mit unterschiedlichem Signalinhalt aufgeteilt wird;
    • Fig. 8 angepasste Schallwandlerbestückung für einen nicht variablen Publikumsbereich;
    • Fig. 9 eine Ausführungsform mit einer mechanisch gekrümmten Schallwandlerfläche.
  • In Fig. 1 ist ein gegebener Publikumsbereich 3 dargestellt, der mit einer ebenen Schallwandleranordnung 1 nach dem Prinzip der Wellenfeldsynthese (WFS) beschallt werden soll.
  • Die Schallwandler der Schallwandleranordnung 1 erzeugen bei Betrieb Elementarwellen 8, die sich zu einer gemeinsamen Wellenfront 4 überlagern. Die gemeinsame Wellenfront 4 ist so beschaffen, als würde sie von einer virtuellen Schallquelle 12 ausgehen. Dementsprechend entspricht die Oberfläche der aus den Elementarwellen 8 der Schallwandler 9 gebildeten Wellenfront 4 einem Kugelausschnitt. Die gemeinsame Wellenfront 4 ist zur Veranschaulichung in Rechtecke 105 aufgeteilt, die die Anteile von jeweils in etwa gleich vielen Schallwandlern der Schallwandleranordnung 1 erzeugten Elementarwellen 8 an der gemeinsamen Wellenfront 4 repräsentieren.
  • Im Kugelausschnitt 4 ist der jeweilige Teilbereich 105, der einer gegebenen Zahl von Schallwandlern der Schallwandleranordnung 1 zugeordnet ist, etwa gleich groß. Entsprechend ist der Schalldruck zum gleichen Zeitpunkt auf der Oberfläche der Wellenfront 4 gleichmäßig verteilt.
  • Die diesen Teilabschnitten zugeordneten Publikumsbereiche 106 haben aber eine sehr unterschiedliche große Fläche, auf denen sich diese jeweils gleiche Energie des zugeordneten Kugelwellenausschnittes verteilt. Entsprechend unterschiedlich sind die Schalldruckpegel in den verschiedenen Teilen des Zuschauerbereiches 3.
  • Die virtuelle Schallquelle 12 ist in Fig. 1 hinter der Schallwandleranordnung 1 verortet. Die Position der virtuellen Schallquelle 12 bestimmt sowohl die Krümmung der gemeinsamen Wellenfront 4 als auch die Richtung, in der sie sich ausbreitet. Wird die virtuelle Schallquelle 12 nahe der Schallwandleranordnung 1 angeordnet, ist der Versorgungsbereich weit und die Krümmung der gemeinsamen Wellenfront 4 stark. Entsprechend schnell wächst die Oberfläche der gemeinsamen Wellenfront 4 mit der Entfernung, der Schalldruckpegel nimmt deshalb schnell ab.
  • Je weiter entfernt die virtuelle Schallquelle 12 von der WFS Schallwandleranordnung 1 angeordnet wird, umso enger wird der Abstrahlwinkel und umso geringer die Krümmung des Kugelausschnittes. Bei sehr großer Entfernung ergibt sich nahezu eine parallele Wellenfront, deren Pegel kaum mit der Entfernung abnimmt. Dadurch wird aber der Versorgungsbereich 10 so weit eingeengt, dass nur noch ein Teil des Zuschauerbereiches 5 versorgt wird. Die Position der virtuellen Schallquelle 12 ist deshalb ein Kompromiss zwischen einem breiten Versorgungsbereich und einem vertretbaren Schalldruckabfall in den hinteren Zuschauerreihen des zu beschallenden Publikumsbereichs 3. Wie in der Fig. 1 auch deutlich wird, versorgt die gleiche Anzahl Schallwandler der Schallwandleranordnung 1 einen mit der Entfernung deutlich größer werdenden Anteil des zu beschallenden Publikumsbereichs 3, entsprechend fällt der Schalldruck hier stark ab. Zudem wird deutlich, dass auch Oberflächen außerhalb des zu beschallenden Publikumsbereiches 3 im gesamten Versorgungsbereich 10 ungewollt von der gemeinsamen Wellenfront 4 getroffen werden.
  • Es ist die Möglichkeit bekannt, die gegebene Publikumsfläche mittels mehrerer virtueller Schallquellen, die den gleichen Signalinhalt haben, zu versorgen. Ein Verfahren dazu ist in der WO 2015/022579 A3 beschrieben. Eine dreidimensionale Weiterentwicklung des Verfahrens ist in der Patentanmeldung DE 10 2019 208 631 A1 beschrieben. Die Kombination mehrerer Wellenfronten, die von verschiedenen virtuellen Schallquellen ausgehen, gestattet einen sehr ausgewogenen Pegelverlauf über weite Publikumsbereiche 3. Dabei können Reflexionsflächen bewusst ausgespart bleiben und der Pegel kann für jede einzelne Wellenfront getrennt eingestellt werden. Auch in schallharter Umgebung kann so ein hoher Direktschall Pegel mit entsprechend guter Sprachverständlichkeit im gesamten Publikumsbereich 3 erzielt werden. Dem Ziel, einen gegebenen Publikumsbereich 3 mit einer zweidimensionalen Schallwandleranordnung 1 nach dem Prinzip der Wellenfeldsynthese vollständig und sehr gleichmäßig zu beschallen, kommen die Verfahren nahe.
  • Wegen der unterschiedlichen Positionen der virtuellen Schallquellen ergibt sich bei diesen Verfahren jedoch ein Zeitversatz zwischen den einzelnen Beams (z.B. eine Schallabstrahlung in einem bestimmten Raumwinkelbereich). Das führt im Grenzbereich der Beams zu Kammfiltereffekten im Frequenzgang, wenn die Zeitdifferenzen zwischen ihnen nicht ausgeglichen werden. Ein solcher zeitlicher Ausgleich ist möglich, weil die einzelnen virtuellen Schallquellen zeitlich unabhängig voneinander angesteuert werden können. In den Grenzbereichen der einzelnen Beams kann der Versatz allerdings nur für einen Punkt völlig ausgeglichen werden, an anderen Stellen sind wahrnehmbare Kammfiltereffekte im oberen Wiedergabefrequenzbereich unvermeidlich, wenn sich Wellenfronten mit kohärentem Signalinhalt in den Übergangs Bereichen überlagern.
  • Der Publikumsbereich 3 am Veranstaltungsort ist prinzipiell vorgegeben, seine Form und Größe kann in der Praxis kaum an die akustischen Erfordernisse für eine hochwertige Beschallung angepasst werden. Nur selten ist der zu versorgende Bereich ein ebenes Rechteck. Oft ist der Bereich unsymmetrisch und steigt in den hinteren Bereichen stärker an, um freie Sicht auf die Bühne zu gewährleisten. Auch die Position der zweidimensionalen Schallwandleranordnung 1, die nach dem Prinzip der Wellenfeldsynthese arbeiten kann, ist prinzipiell vorgegeben, weil die Schallquelle im Bühnenbereich lokalisiert werden soll.
  • Deshalb ist es eine Aufgabe, mit einer im Wesentlichen zweidimensionalen Schallwandleranordnung 1, wie sie von Wellenfeld-Systemen her bekannt ist, eine geschlossene Wellenfront ohne Übergänge zwischen einzelnen Beams zu erzeugen, die in ihrer Form in der Azimut- und Elevation-Ebene so gestaltet ist, dass eine gleichmäßige Verteilung des Schalldruckpegels über den gegebenen Publikumsbereich 3 gewährleistet wird. Das kann erreicht werden, wenn der Raumwinkel Ω des Anteils einer gegebenen Zahl von Schallwandlern an der zu erzeugenden Wellenfront für einen gegebenen Teil des Publikumsbereiches 3 so angepasst ist, dass er jeweils einen gleich großen Teil des Publikumsbereiches 3 versorgt. Mit diskreten virtuellen Schallquellen der Wellenfeldsynthese ist die Lösung des Problems nicht möglich.
  • Ausführungsformen für Verfahren werden im Folgenden anhand der Figuren Fig. 2 bis 9 erläutert.
  • Fig. 2 zeigt eine Schallwandleranordnung 1 mit einer Vielzahl von Schallwandlern. Mittels der Schallwandleranordnung 1 wird ein Publikumsbereich 3 beschallt. Die einzelnen Schallwandler 9 der Schallwandleranordnung 1 strahlen bei Betrieb jeweils Elementarwellen 8 ab, die sich zu einer gemeinsamen Wellenfront 4 überlagern.
  • Dabei werden die Schallwandler 9 der Schallwandleranordnung 1 mit individuellen Verzögerungszeiten τj betrieben, d.h. die Schallwandler 9 strahlen Elementarwellen 8 zu individuellen Verzögerungszeiten ab. Durch den Betrieb der Schallwandleranordnung 1 mit den individuellen Verzögerungszeiten τj wird die gemeinsame Wellenfront 4 geformt. Insbesondere kann die gemeinsame Wellenfront 4 durch den Betrieb mit individuellen Verzögerungszeiten τj so geformt werden, dass sie der Geometrie des Publikumsbereichs 3 angepasst ist.
  • Die Schallwandleranordnung 1 und der Publikumsbereich 3 sind einem gemeinsamen Koordinatensystem 2 zugeordnet, in welchem die Positionen der einzelnen Schallwandler der Schallwanderanordnung 1 durch Positionsvektoren si bestimmt sind. Die exakten Verzögerungszeiten der einzelnen Schallwandler können durch Interpolation aus den berechneten Verzögerungszeiten der umliegenden Kreuzungspunkte des Hilfsrasters bestimmt werden, wenn die Schallwandler nicht genau am Ursprungsort eines Positionsvektors si angeordnet sind.
  • Der diesen Positionsvektoren si zugeordnete Schallwandler wird mit der individuellen Verzögerungszeit τj zur Abstrahlung von Elementarwellen 8 angetrieben. Grundsätzlich unterscheiden sich die individuellen Verzögerungszeiten τj der Schallwandler 9 untereinander, sie können aber auch zumindest teilweise übereinstimmen.
  • Die Ermittlung der Verzögerungszeiten τj erfolgt mittels einer Zuordnung, die jedem Kreuzungspunkt des Hilfsrasters 5 einen Kreuzungspunkt eines Hilfsrasters 6 im Publikumsbereich 3 zuordnet. Insbesondere ordnet diese Zuordnung dem Schallwandler 9 mit Positionsvektor si einen Punkt im Publikumsbereich 3 entsprechend einem Positionsvektor ri zu.
  • Aus der Zuordnung ergeben sich die Richtungsvektoren 7, welche ausgehend von den Kreuzungspunkten des Hilfsrasters 5 in Richtung der zugeordneten Kreuzungspunkte des Hilfsrasters 6 im Publikumsbereich 3 zeigen. Die normierte Richtungsvektoren im Quader 60, ausgehend von den Positionsvektoren si sind dabei jeweils durch die Vorschrift d ^ i = r i s i r i s i
    Figure imgb0014
    bestimmt.
  • Die mithilfe der zugeordneten Positionsvektoren si ermittelten Verzögerungszeiten τj des Schallwandlers sind dann jeweils so gewählt, dass die lokale Richtung 50 der gemeinsamen Wellenfront 4 am Positionsvektor ri jeweils der Richtung des normierten Richtungsvektors 61 i entspricht.
  • Gemäß der vorgeschlagenen Lösung bestimmen also die normierten Richtungsvektoren 61 die Form der gemeinsamen Wellenfront 4. Insbesondere sind durch die Richtungsvektoren 7 lokale Richtungen 50 der gemeinsamen Wellenfront 4 bestimmbar. Die normierten Richtungsvektoren 61 stehen jeweils senkrecht auf der gemeinsamen Wellenfront 4.
  • Durch eine geeignete Wahl der Zuordnung (siehe Fig. 6) - und damit der normierten Richtungsvektoren 61 - kann die gemeinsame Wellenfront 4 so geformt werden, dass sie sich der Geometrie des Publikumsbereichs 3 anpasst. Dies erfolgt durch die Zuordnung der Rasterpunkte.
  • Dabei ist die Wellenfront 4 dann so geformt, dass gleich großen Teilbereichen 106 des Publikumsbereiches 3 etwa die gleiche Anzahl von Schallwandlern der Schallwandleranordnung 1 zugeordnet ist. Die entsprechenden Teilflächen 105 der Wellenfront 4 haben dann zum gleichen Zeitpunkt eine unterschiedliche Größe. Der obere Teilbereich in der Skizze ist in dieser Entfernung noch deutlich kleiner als der untere. Entsprechend ist in diesem Bereich der Schalldruck innerhalb derselben Wellenfront deutlich höher, als in dem für die nahe gelegenen Zuschauerplätze bestimmten, unteren Teilbereich.
  • Fig. 3 zeigt eine Bezugsfläche 30 S, welche die Schallwandleranordnung 1 in einem Koordinatensystem 2 modelliert. Auf der Bezugsfläche 30 S der Schallwandleranordnung 1 ist ein regelmäßiges, gekrümmtes Hilfsraster 5 angeordnet, an dem sich die Positionen der einzelnen Schallwandler 9 der Schallwandleranordnung 1 ausrichten. Mittels der Bezugsfläche 30 S, insbesondere mittels des Hilfsrasters 5, sind Koordinaten für die einzelnen Schallwandler 9 der Schallwandleranordnung 1 im 3D Raum bestimmbar.
  • Die Bezugsfläche 30 S wird durch ein System von gekrümmten Koordinaten parametrisiert mittels der Gleichung s (u, v) = [x ( u, v) y(u, v) z(u, v)], wobei u und v reelle Variablen sind.
  • Eine Normale 202 n auf der Bezugsfläche 101 S bei s (u, v) ist per Definition eine Normale auf die von den Tangentialvektoren 201 su und sv , aufgespannte Tangentialebene, gegeben durch die partiellen Ableitungen von s (u, v), wobei s u = s u = x u y u z u
    Figure imgb0015
    s v = s v = x v y v z v
    Figure imgb0016
  • Die Normale 31 n an s (u, v) ist gegeben durch das Kreuzprodukt von s u and s v als n = s u × s v .
    Figure imgb0017
  • Die Schallwandler 9 der Schallwandleranordnung 1 selbst müssen nicht an den Kreuzungspunkten des Hilfsrasters 5 montiert sein, ihre jeweilige Verzögerung und ihr Pegel werden im dreidimensionalen Raum auf die Kreuzungspunkte interpoliert. Die Krümmung der Bezugsfläche 30 S, sowie des Hilfsrasters 5 kann in der Azimutebene eine andere sein als in der Elevationsebene, es ist auch möglich das Hilfsraster 5 nur in einer Ebene zu krümmen.
  • In der Praxis wird die Bezugsfläche 30 S der Schallwandleranordnung 1 meist eine ebene Fläche sein und somit das Hilfsraster 5 ein ebenes Hilfsraster. Dies entspricht dem Fall, dass die Schallwandler 9 im Wesentlichen in einer zweidimensionalen Anordnung montiert werden. Eine ebene Fläche wird als Sonderfall einer gekrümmten Fläche betrachtet.
  • Fig. 4 zeigt die Zuordnung des Hilfsrasters 5 einer Schallwandleranordnung 1 zu einem Hilfsraster 6 im Publikumsbereich 3. Der hier dargestellte Lösungsansatz geht nicht von der Position einer virtuellen Schallquelle (wie in Fig. 1 dargestellt), sondern von der gegebenen Geometrie des zu beschallenden Publikumsbereichs 3 und der Geometrie der Schallwandleranordnung 1 aus.
  • Grundsätzlich kann der zu beschallende Publikumsbereich 3 beliebig geformt, eben, gekrümmt oder auch ansteigend sein. In Fig. 4 ist ein unregelmäßig geformter zu beschallende Publikumsbereich 3 dargestellt, der insbesondere nicht symmetrisch ist und im hinteren Bereich rechts stärker ansteigt als auf der linken Seite.
  • Mit konventionellen Ansätzen, aber auch mit virtuellen Schallquellen der Wellenfeldsynthese, ist die Aufgabe, einen Publikumsbereich wie den in Fig. 4 dargestellten, sehr gleichmäßig mit Direktschall zu versorgen, nur unzureichend lösbar, weil die Krümmung der Wellenfronten von virtuellen Schallquellen der Wellenfeldsynthese immer ein Kugelausschnitt ist.
  • Mithilfe der dargestellten Zuordnung der Hilfsraster 5 und 6 lässt sich hingegen eine gemeinsame Wellenfront 4 erzeugen, die in Ihrer Form an die Geometrie des zu beschallenden Publikumsbereiches 3 angepasst ist.
  • Zur Lösung des Problems wird ein Koordinatensystem 2 bestimmt.
  • Dem Koordinatensystem 2 sind über den zu beschallenden Publikumsbereich 3 verteilte Koordinatenpunkte zugeordnet. In Fig. 4 sind diese Koordinatenpunkte im Publikumsbereich 3 an den Kreuzungspunkten eines Hilfsrasters 6 angeordnet, jedoch können Sie auch durch andere Mapping-Verfahren im Publikumsbereich 3 verteilt werden.
  • Überdies ist dem Koordinatensystem 2 ein Hilfsraster 5 zugeordnet, durch welches die Positionen der Schallwandler 9 der Schallwandleranordnung 1 bestimmbar sind. Das Hilfsraster ist in Fig. 3 als ebenes, regelmäßiges Hilfsraster dargestellt. Grundsätzlich kann das Hilfsraster aber auch gekrümmt sein, d.h. gekrümmte Linien aufweisen. Grundsätzlich kann das Hilfsraster 5 auf einer Bezugsfläche angeordnet sein, durch welche die Schallwandleranordnung 1 modelliert wird.
  • Die Anzahl der Koordinatenpunkte im Publikumsbereich 3 entspricht dabei der Anzahl der Kreuzungspunkte des Hilfsrasters 6. So kann jedem Kreuzungspunkt des Hilfsrasters 5 ein Koordinatenpunkt des Hilfsrasters 6 im Publikumsbereich 3 zugeordnet werden. Die Verteilung der Koordinatenpunkte soll dabei über den gesamten Publikumsbereich 3 mit möglichst gleichmässigen Abständen zwischen den einzelnen Koordinatenpunkten erfolgen.
  • Dabei wird jedem Kreuzungspunkt des Rasters 5 ein Koordinatenpunkt mit der Position r (x, y, z) im Publikumsbereich 3 zugeordnet. Die Verbindungslinie 7 zwischen den Kreuzungspunkten des Hilfsrasters 5 und seinem zugeordneten Koordinatenpunkt im Publikumsbereich 3 bildet dann im Koordinatensystem 2 einen Vektor, der Grundlage für die Berechnung von Laufzeit und Pegel des Audiosignals ist.
  • Das dargestellte ebene Hilfsraster 5 der Schallwandleranordnung 1 hat die Form eines Rechteckes, dessen Seitenverhältnis dem der geplanten Schallwandleranordnung 1, beispielsweise in Form eines Schallwandlerarrays, gleicht. Es sollte mindestens ebenso viele Kreuzungspunkte haben wie Schallwandler 9 in der Schallwandleranordnung 1 vorgesehen sind. Prinzipiell ist das Seitenverhältnis nicht definiert, so dass es auch möglich wäre, eine einzelne Linie aus Schallwandlern aufzubauen, wenn das der gegebenen räumlichen Situation im Publikumsbereich 3 angemessen ist.
  • Der Abstand der Rasterlinien des Hilfsrasters 5 kann in der horizontaler und vertikaler Ebene unterschiedlich sein, soll aber mindestens der Zahl der Zeilen und Spalten der zweidimensionalen Schallwandleranordnung 1 entsprechen.
  • Die Schallwandler 9 der Schallwandleranordnung 1 können mit ihrem akustischen Zentrum in den Kreuzungspunkten des Hilfsrasters 5 montiert sein. Ihre Position kann aber auch von diesen Kreuzungspunkten abweichen, wobei ihre jeweiligen Laufzeiten und Pegel durch Interpolation der für die umliegenden Rasterpunkte berechneten Werte bestimmt werden.
  • Eine höhere Zahl von Rasterlinien verbessert die Genauigkeit der Interpolation. Eine geringere Zahl von Rasterlinien führt dazu, dass keine gleichmäßig gekrümmte, sondern eine aus ebenen Teilflächen zusammengesetzte Wellenfront entsteht. Die damit entstehenden Beugungseffekte führen zu lokalen Unregelmäßigkeiten im Frequenzgang.
  • Prinzipiell müssen nicht allen Kreuzungspunkten des Hilfsrasters 5 physische Schallwandler 9 zugeordnet sein. Das ermöglicht die Unterbrechung der Bestückung in den Bereichen, in denen Tiefmittelton Schallwandler 9 ihre Schallaustrittsöffnung haben. Zudem können alle Schallwandler 9 leicht unregelmäßig auf der Fläche verteilt werden, wie es in DE 10 2009 006 762 A1 beschrieben wurde. Damit lassen sich unerwünschte Aliasing-Effekte im Publikumsbereich 3 reduzieren, weil sich die daraus entstehenden Kammfiltereffekte im Frequenzgang statistisch etwas ausgleichen.
  • Das über den Publikumsbereich 3 gelegte Hilfsraster 6 schließt ihn vollständig ein. Das Hilfsraster 6 wird in seiner Form an den Publikumsbereich 3 angepasst. Das kann prinzipiell manuell geschehen. In der Praxis sind aber mehrere Hundert bis mehrere Tausend Rasterpunkte notwendig, damit der Abstand der Schallwandler 9 zueinander ausreichend gering ist, um eine weitgehend von hörbaren Aliasing-Effekten freie Wiedergabe zu erreichen. Die geringe Zahl von Rasterlinien in den Skizzen dient in der Erläuterung des Funktionsprinzips der Übersichtlichkeit.
  • Deshalb ist es vorteilhaft, die Koordinatenpunkte im Publikumsbereich 3 anhand einer 3D-CAD Datei des Publikumsbereiches 3 mit einem geeigneten Mapping-Verfahren automatisch zu bestimmen. Dabei können auch Bereiche, die nicht direkt von der gemeinsamen Wellenfront 4 getroffen werden sollen, weil von ihnen unerwünschte Reflexionen ausgehen, frei von zugeordneten Rasterpunkten bleiben. So sind ihnen keine Schallwandler 9 zugeordnet, deren Wellenfront direkt in ihre Richtung geschickt wird. Aus diesen Bereichen werden die Koordinatenpunkte verschoben, ohne dabei ihre Anzahl zu verändern. Umliegende Koordinatenpunkte verschieben sich entsprechend, um eine gleichmäßige Verteilung über den Publikumsbereich 3 zu wahren. Jedem Kreuzungspunkt des Hilfsrasters 5 in der Ebene der zweidimensionalen Schallwandleranordnung 1 soll ein Bezugspunkt im zu beschallenden Publikumsbereich 3 zugeordnet sein.
  • Eine Visualisierung in einer 3D-CAD Datei erleichtert die Abschaltung nicht besetzter Publikumsbereiche 3. Dabei bleiben die Berechnungen prinzipiell unverändert, nur die Schallwandler, die nicht besetzten Publikumsbereichen 3 zugeordnet sind, werden nicht mit Signal versorgt. So entsteht am Veranstaltungsort ein geringerer Diffus-Feld-Schallpegel, was zu einer besseren Sprachverständlichkeit in den besetzten Publikumsbereichen 3 beiträgt.
  • Fig. 5 illustriert beispielhaft, wie die lokale Krümmung 50 der Wellenfront 4, die nach dem beschriebenen Verfahren kein Kugelausschnitt sein muss, aus der Superposition der Elementarwellen 8 der umgebenden Schallwandler 9 entsteht. Die akustischen Zentren der Schallwandler 9 sind im Beispiel zur Vereinfachung auf den Kreuzungspunkten des Hilfsrasters montiert.
  • Der einzelne, in der Skizze schwarz dargestellte Schallwandler 9 hat entsprechend dem Prinzip der Wellenfeldsynthese eine ungerichtete Halbraumabstrahlung. Die von ihm erzeugte Elementarwelle 8 allein kann dementsprechend keinen Richtungsvektor ausbilden. Der ihm zugeordnete lokale Richtungsvektor d der Wellenfront entsteht erst in einiger Entfernung von der Schallwandleranordnung 1 durch Superposition der Elementarwellen 8 der umliegenden Schallwandler.
  • Der Richtungsvektor 7 d ist für diesen Kreuzungspunkt mittels der Vorschrift d = r s
    Figure imgb0018
    bestimmbar. Er steht immer orthogonal auf der lokalen Wellenfront 50.
  • In der beispielhaften Darstellung in Fig. 5 liegt der durch den Vektor r beschriebene Punkt auf einem Kreuzungspunkt des Hilfsrasters 6 des Publikumsbereichs 3.
  • Grundsätzlich kann der Richtungsvektor 7 d auch ohne Zuhilfenahme des Hilfsrasters 5 und 6 bestimmt werden. In diesem Fall geht der Richtungsvektor 7 d von einem Positionsvektor s auf einer Bezugsfläche 30 S, welche die Schallwandleranordnung 1 modelliert, aus und zeigt auf einen Positionsvektor r im Publikumsbereich 3, beziehungsweise auf einen Positionsvektor r , welcher einen Punkt auf einer den Publikumsbereich 3 modellierenden Bezugsfläche R 30 beschreibt.
  • Im Folgenden ist ein Verfahren beschrieben, wie aus gegebenen Richtungsvektoren 7 Verzögerungszeiten und Pegel für die einzelnen Schallwandler 9 abgeleitet werden, damit sich die Superposition ihrer Elementarwellen 8 zu einer Wellenfront überlagert, die konsequent auf den gegebenen Publikumsbereich 3 ausgerichtet ist.
  • In Fig. 6 ist der beispielhaft ausgewählte Richtungsvektor 7 d aus Fig. 4 auf die Länge des normierten Richtungsvektors 61 zurückgeführt, der als d ^ = d d
    Figure imgb0019
    definiert ist.
  • Die gewünschte Wellenfront, die durch die Schallwandleranordnung 1, insbesondere in Form eines gekrümmten oder ebenen Arrays, erzeugt wird, kann lokal durch eine ebene Welle angenähert werden, die sich entlang (d.h. lokal in Richtung) des normierten Richtungsvektors 61 ausbreitet. Jede lokale ebene Welle kann in die gewünschte Richtung gelenkt werden, indem die Schallwandler 9 der Schallwandleranordnung 1 gemäß den entsprechenden Verzögerungszeiten des Signals betrieben werden.
  • Die Verzögerungszeit τj an jeder Position s (u, v) auf der Bezugsfläche 30 S der Schallwandleranordnung 1 wird durch die skalarwertige Verzögerungsfunktion τ(u, v) beschrieben.
  • In der Vektorrechnung ist der Gradient einer skalarwertigen Funktion τ von mehreren Variablen ein Vektorfeld τ, dessen Komponenten durch partiellen Ableitungen von τ bestimmbar sind, insbesondere gilt τ u v = τ u τ v
    Figure imgb0020
  • Dabei kann der Verzögerungsgradient τ(u, v) auf folgende Weise ermittelt werden:
    Die Skalarprodukte von den normierten Richtungsvektor 61 und Tangentenvektoren s u und sv beziehungsweise u und v sind gegeben durch d ^ u = d ^ s u
    Figure imgb0021
    d ^ v = d ^ s v
    Figure imgb0022
  • Die Skalare u und v können physikalisch als die lokalen Differentiale der Weglängen zwischen der ebenen Welle und der Tangentialebene der Schallwandleranordnung 1 interpretiert werden.
  • Im Spezialfall einer planaren Schallwandleranordnung 1, wie sie in Fig. 6 dargestellt ist, sind u und v gleich den in Fig. 6 illustrierten Größen x und z , welche die x-bzw. z-Komponenten des Vektors darstellen.
  • Die Beziehung zwischen dem Verzögerungsgradienten τ(u, v) aus Gleichung (5) und den Komponenten u und v ist durch die Schallgeschwindigkeit c gegeben. Daher können die partiellen Ableitungen der Verzögerungsfunktion τ beschrieben werden als τ u = d ^ u c
    Figure imgb0023
    und τ v = d ^ v c .
    Figure imgb0024
  • In der Praxis ist der Abstand zwischen den Schallwandlern 9 endlich. Daher müssen die Differentialgleichungen aus den Gleichungen (7a) und (7b) in diskrete Differenzengleichungen umgeschrieben werden. Die Verzögerungsdifferenzen Δ uτ und Δ vτ in u- beziehungsweise v- Richtung sind nun gegeben durch Δ u τ = d ^ u c Δ u
    Figure imgb0025
    und Δ v τ = d ^ v c Δ v ,
    Figure imgb0026
    wobei Δu und Δv die diskreten Schrittweiten in u- bzw. in v- Richtung sind. Die erforderliche Verzögerung kann durch numerische Integration des diskreten 2D-Vektorfeldes [Δ uτ Δ vτ] gefunden werden.
  • Es stehen mehrere mathematische Integrationsverfahren zur Verfügung, z. B. das Composite Trapezium, Simpson oder fortgeschrittenere inverse Gradienten-Verfahren. Dabei kann die Integrationskonstante frei gewählt werden. Um die Kausalitätsbedingung zu erfüllen und die System-Latenz zu minimieren, wird die minimale Verzögerung über alle Treiber von den berechneten Verzögerungen subtrahiert.
  • Der relative Verstärkungsfaktor n für jede Position in der Schallwanderanordnung 1 ist gegeben durch das Skalarprodukt von normierten Richtungsvektor 61 und Normale n gemäß der Gleichung d ^ n = d ^ n ,
    Figure imgb0027
    wobei die Normale n wie in Gleichung (2) definiert ist.
  • Durch das Betreiben der Schallwandler 9 gemäß den relativen Verstärkungsfaktoren n ist gewährleistet, dass der Schalldruckpegel an der Empfängerposition r unabhängig vom Winkel des Richtungsvektors d auf die Normale n ist.
  • Mit steigender Schräge der Abstrahlung gegenüber der Normalen n wird die Zahl der Schallwandler 9 in einem gegebenen Raumwinkel Ω größer, so dass der Schalldruckpegel hier ansteigen würde.
  • Die Kompensation nach Gleichung (9) korrigiert dies entsprechend einer Cosinus-Funktion des Winkels γ in Fig. 4. Bei einer gleichmäßigen Verteilung der Koordinatenpunkte r ist damit eine sehr homogene Verteilung des Schalldruckes über den gesamten zu beschallenden Publikumsbereich 3 gewährleistet.
  • In Fig. 7 ist dargestellt, dass der zu beschallende Publikumsbereich 3 auch in einzelne Teilbereiche 701,702,703 mit unterschiedlichem Signalinhalt aufgeteilt werden kann.
  • Prinzipiell könnten diesen Teilbereichen dann auch Teilbereiche der Schallwandleranordnung 1 zugeteilt werden. Eine deutlich zielgenaue Beschallung ergibt sich aber, wenn die hohe Richtwirkung der gesamten Anordnung genutzt wird, um die Signalinhalte auf die gewünschten Publikumsbereiche 3 auszurichten. In jedem der Teilbereiche 701, 702, 703 entspricht die Zahl der Kreuzungspunkte 6 dann der Zahl der Kreuzungspunkte 5 des Hilfsrasters der Schallwandleranordnung 1.
  • Bei gleichem Signalinhalt ist die Aufteilung in Teilbereiche nicht sinnvoll, wenn die Teilbereiche räumlich nicht ausreichend getrennt sind. Bei kohärentem Signalinhalt würden dann Kammfiltereffekte an den Bereichsgrenzen entstehen.
  • Einzelne Teilbereiche können auch kleiner sein als die zugeordnete Schallwandler 9 Fläche, soweit die Kreuzungspunkte des Hilfsrasters im Publikumsbereich 3 enger beieinander liegen, als im Hilfsraster der Schallwandleranordnung 1. In dem Fall entstehen konkave Wellenfronten, deren Schalldruckpegel im Publikumsbereich 3 höher ist als an der erzeugenden Strahlerfläche selbst.
  • Es ist auch möglich, die Größe eines Hilfsrasters im Publikumsbereich 3 auf einen Punkt zu reduzieren. Dann erzeugt die zweidimensionale Schallwandleranordnung 1 nach dem beschriebenen Vektor-basierenden Verfahren die selbe konkave Wellenfront, wie sie in einer zweidimensionalen Schallwandleranordnung 1 nach dem Prinzip der Wellenfeldsynthese bei einer virtuellen Schallquelle an diesem Punkt entsteht.
  • Mit den Koordinaten der Rasterpunkte 5 auf der Bezugsfläche der Schallwandleranordnung 1 und ihren zugeordneten Koordinaten 6 im Publikumsbereich 3 ist es auch möglich, den Schalldruckabfall bei höheren Frequenzen durch die Luftschalldämmung zu kompensieren. Bei gegebener Luftfeuchtigkeit sind die frequenzabhängigen Dämpfungswerte der Luft pro Meter exakt bekannt. Eine entsprechende inverse Entzerrungskurve kann dann jedem Schallwandler 9 zugeordnet werden, weil die Entfernung zum zugehörigen Zuschauerplatz (gegeben durch die Länge des Richtungsvektors d in Fig. 5) bekannt ist.
  • In großen Publikumsbereichen 3 kann der Schalldruckabfall an der Obergrenze des Audio-Bereichs bei trockener Luft deutlich über zehn dB steigen. Ohnehin muss dieser Frequenzbereich in einer flächigen Schallwandleranordnung 1 deutlich höher angesteuert werden, weil der Pegelgewinn durch die verbesserte Anpassung der synchron arbeitenden Lautsprechergruppe erst bei größeren Wellenlängen greift. Der zusätzliche Ausgleich der Luftschalldämmung für die weit entfernten Publikumsbereiche 3 kann das System deshalb bei hohen Signalpegeln im oberen Audiofrequenzbereich an die Grenze der Aussteuerbarkeit bringen.
  • Eine Lösung dieses Problems ist es, die Koordinatenpunkte r mit der Entfernung zur Schallwandleranordnung 1 dichter zueinander anzuordnen. Den weit entfernten Publikumsbereichen 3 ist dann der gleichen Zahl Schallwandler 9 eine kleinere Teilfläche 106 zugeordnet. Jede Halbierung der Fläche bewirkt einen Pegelanstieg um 3 dB, um den die Ansteuerung der zugeordneten Schallwandler 9 reduziert werden müsste, damit der Schalldruckpegel im gesamten Publikumsbereich 3 nahezu gleichbleibt. Das entsprechend reduzierte Ansteuersignal ist mit einem größeren Headroom in den zugeordneten Verstärkern verbunden. Dieser kann dann genutzt werden, um die Ansteuersignale stärker zu entzerren.
  • Die Lokalisation der Schallquelle unterscheidet sich im beschriebenen Verfahren grundlegend von der Lokalisation einer virtuellen Punktschallquelle der Wellenfeldsynthese. Virtuelle Schallquellen werden bei der Wellenfeldsynthese prinzipiell unabhängig von der Position des Zuhörers im Versorgungsbereich, vergleichbar einer realen Schallquelle, an ihrem virtuellen Ausgangspunkt lokalisiert.
  • Die auf den Publikumsbereich 3 zugeschnittene Wellenfront geht aber nicht von definierten Positionen virtueller Schallquellen aus. Sie entsteht gleichsam aus einer ausgedehnten Quelle vieler verschiedener Ausgangspunkte in dem Bereich hinter der Schallwandlerfläche. Der Zuschauer auf dem vorderen linken Platz in Fig. 2 wird den Ausgangspunkt der Wellenfront in der linken unteren Ecke der Schallwandleranordnung 1 zuordnen, für den Zuschauer rechts hinten kommt der Schall von der rechten oberen Ecke der Schallwandleranordnung 1. Das ist für die Wiedergabe ohne optischen Bezug zur Schallquelle kein Nachteil, eine räumliche Wiedergabe ist entsprechend der Figur 2 jedoch nur eingeschränkt möglich.
  • Gleichwohl kann das Verfahren dem Gebiet der Wellenfeldsynthese zugeordnet werden, weil es aus der theoretischen Ableitung der Wellenfeldsynthese aus dem Kirchhoff-Helmholtz Integral möglich ist, jede beliebige Form der Wellenfront zu erzeugen (Jens Ahrens: The Single-layer Potential Approach Applied to Sound Field Synthesis Including Cases of Non-enclosing Distributions of Secondary Sources, Dissertation, Technische Universität Berlin, 2010).
  • Weitere Ausgestaltungen
  • Bisher wurde davon ausgegangen, dass die Schallwandler 9 der Schallwandleranordnung 1 in einem regelmäßigen Raster angeordnet sind. In der Praxis kann die Verteilung der Schallwandler 9 aber auch unregelmäßig sein. Dabei werden zuerst die Laufzeiten τ zu einem hinreichend dichten regulären Raster berechnet, wonach die Laufzeiten zu den irregulär platzierten Schallwandlern interpoliert werden.
  • Fig. 8 zeigt einen komplex gestalteten Publikumsbereich 3 mit Teilbereichen 802 und illustriert eine Bestückung der Schallwandleranordnung 1 mit Schallwandlern 9, wobei die Bestückung an die komplexe Gestaltung des Publikumsbereichs 3 angepasst ist.
  • In der dargestellten Ausführungsform erfolgt die Zuordnung zwischen Punkten auf der Schallwandleranordnung 1 und Punkten im Publikumsbereich 3 mittels einer Zuordnung von Kreuzungspunkten der Hilfsraster 5 der Schallwandleranordnung 1 zu Kreuzungspunkten des Hilfsrasters 6 des Publikumsbereichs 3.
  • Jedoch sind nicht allen Kreuzungspunkten des Hilfsrasters 5 Schallwandler 9 der Schallwandleranordnung 1 zugeordnet, mit anderen Worten, es bleiben Kreuzungspunkte des Hilfsrasters 5 unbestückt. Insbesondere finden sich unbestückte Kreuzungspunkte zwischen bestückten Kreuzungspunkten.
  • Die Form der Schallwandleranordnung 1 kann so bei Festinstallationen an die komplexe Gestaltung und / oder die Geometrie des Publikumsbereiches 3 angepasst werden. Das ermöglicht einen effektiveren Einsatz der Schallwandler.
  • Das Hilfsraster 6 im Publikumsbereich 3 kann z.B. ein Rechteck sein, es kann insbesondere über die Publikumsfläche hinausgehen.
  • Unregelmäßige Formen des Hilfsrasters 6 können bei den Berechnungen nach dem beschriebenen Verfahren zu falschen Ergebnissen führen.
  • Kreuzungspunkten des Hilfsrasters 6 im Publikumsbereich 3, denen kein Publikum zugeordnet ist, d.h. der im vorliegenden Fall außerhalb der zu beschallenden Teilbereiche 5a, 5b, 5c des Publikumsbereichs 3 liegt, werden Hilfsrasterpunkten des Hilfsrasters 5 der Schallwandlerfläche zugeordnet, die nicht mit Schallwandlern bestückt werden oder abgeschaltet sind.
  • Am Hilfsraster 5 der Schallwandleranordnung 1 richten sich gegebenenfalls auch eingesetzte Tiefmittelton-Schallwandler aus. Die Berechnung ihrer Laufzeiten und Pegel richtet sich nach den nahe gelegenen Rasterpunkten. Die Zeitverschiebung bei eventuellen Tiefenversatz ist auszugleichen. Auch die Phasenlage von Subwoofern kann auf diese Weise effektiv angepasst werden. Verfahrensgemäß wird die kürzeste aller berechneten Laufzeiten zu den einzelnen Schallwandlern von allen berechneten Laufzeiten subtrahiert, so dass die Front der dem Publikumsbereich 3 angepassten Wellenfront immer unmittelbar erzeugt wird.
  • Eine weitere Ausgestaltung der Lösung betrifft eine Vorrichtung, die entsprechend den Regeln des beschriebenen Verfahrens geformt ist. Mit ihr kann eine einzelne Wellenfront, die in ihrer Form an den gegebenen Zuhörerbereich angepasst ist, ohne elektronische Zeitverschiebung des Signals aus einem Monosignal erzeugt werden. Diese mechanische Lösung kann bei Festinstallationen in akustisch problematischer Umgebung vorteilhaft sein. So kann mit vertretbarem Aufwand ein Beschallungssystem installiert werden, das auch unter ungünstigen akustischen Bedingungen einen hohen Direktschallanteil mit entsprechend guter Sprachverständlichkeit gewährleistet.
  • In Fig. 9 ist eine mechanisch gekrümmte Schallwandleranordnung 1 beispielhaft illustriert.
  • Mittels der mechanisch gekrümmten Schallwandleranordnung 90 kann der mit Bezug auf in Fig. 4 beschriebene zu beschallende Publikumsbereich 3 mit einer zugeschnittenen gemeinsamen Wellenfront 4 versorgt werden.
  • Dabei wird der Betrieb der Schallwandler 9 der Schallwandleranordnung 1 gemäß der nach dem beschriebenen Verfahren gewonnenen Verzögerungszeiten τj mechanisch realisiert. Alle Schallwandler werden mit kohärentem Signal, also aus einer Mono Signalquellequelle, versorgt.
  • Die mechanische Realisierung wird durch geeignete Positionierung der Schallwandler 9 auf der mechanisch gekrümmten Schallwandleranordnung 90 erreicht, insbesondere durch einen geeigneten räumlichen Versatz, insbesondere einen Versatz in Ausbreitungsrichtung der gemeinsamen Wellenfront, der Schallwandler 9 zueinander.
  • Um die jeweilige Position der Schallwandler 9 in der für den zu beschallenden Publikumsbereich 3 in der angepassten Schallwandlerfläche zu bestimmen, wird eine Wegstrecke Sd , ausgehend von dem zugehörigen Rasterpunkt eines ebenen Hilfsrasters 5 entlang der verlängerten Diagonale des für den Einheitsvektor 61 bestimmten Quaders 40 abgetragen.
  • Mithilfe der daher bekannten Wechselwinkel α und β können in den rechtwinkligen Dreiecken des Quaders 40 die neuen Koordinaten für das akustische Zentrum des betreffenden Schallwandlers 9 und auch seine Ausrichtung bestimmt werden.
  • Die nach den beschriebenen Methoden berechneten Verzögerungszeiten für die einzelnen Schallwandler 9 entstehen durch den mechanischen Versatz der akustischen Zentren der jeweiligen Schallwandler 9 entlang der Diagonale S d der jeweiligen Quader.
  • Die unterschiedlichen Signalpegel für die einzelnen Schallwandler 9 dieser zweidimensionalen Schallwandleranordnung 1 können dann an einem gemeinsamen Endverstärker durch geeignete Parallel- und Reihenschaltung der Schallwandler 9 näherungsweise realisiert oder durch den Anschluss an verschiedene Verstärker, die jeweils Schallwandler 9 mit annähernd gleichen Pegel Werten zugeordnet werden, realisiert werden.
  • Soweit die Schallwandler 9 keine signifikanten Einbrüche in ihrer räumlichen Abstrahlcharakteristik haben, müssen sie nicht in Richtung der Diagonalen des Quaders ausgerichtet werden. Dann kann das Verfahren auch durch eine Vorrichtung zur Transversalverschiebung von Schallwandlern, wie sie in WO 2015/004526/A2 beschrieben ist, realisiert werden. Die Verschiebung sy des akustischen Zentrums vom Rasterpunkt des ursprünglichen Schallwandler-Raster ergibt sich dann aus dem Quotienten S d cos γ
    Figure imgb0028
    .
  • Mit einer einzelnen mechanischen Vorrichtung kann keine räumliche Beschallung des Publikumsbereiches 3 erzeugt werden. Sie ist geeignet, mit überschaubarem Aufwand eine Beschallung zu gewährleisten, bei der die Verteilung des Schalldruckpegels im gesamten Publikumsbereich 3 sehr gleichmäßig ist und die auch in akustisch ungünstigen Räumen eine hohe Sprachverständlichkeit gewährleistet.
  • Im Folgenden werden noch einige Ausführungsformen für Verfahren und Vorrichtungen zur Beschallung eines gegebenen Publikumsbereiches 3 mittels einer Schallwandleranordnung 1, die in Anlehnung an das Prinzip der Wellenfeldsynthese mit individuellen Verzögerungszeiten und Pegeln ansteuert werden, dargestellt.
  • So kann z.B. einer Variante 1 in einem Verfahren die Form der akustischen gemeinsamen Wellenfront 4, die durch Superposition von Elementarwellen 8 der Schallwandler 9 zusammengesetzt wird, von der gegebenen Geometrie von Publikumsbereich 3 und Schallwandleranordnung 1 in der Weise bestimmt werden, dass in einem gemeinsamen Koordinatensystem 2 jedem Kreuzungspunkt eines regelmäßigen, zumindest teilweise ebenen und / oder gekrümmten Rasters, dass den Schallwandlern zugeordnet ist, ein Koordinatenpunkt im Publikumsbereich 3 zugeordnet wird, wobei sich aus deren Verbindungslinie ein Vektor ergibt, aus dem durch mathematische Verknüpfung die Verzögerungszeit für den jeweils zugeordneten Schallwandler 9 berechnet werden kann, wodurch die lokale Krümmung der Wellenfront, die durch Superposition der Elementarwellen 8 der umliegenden Schallwandler 9 entsteht, in Richtung dieses Vektors fortschreitet, so dass eine geschlossene Wellenfront entsteht, die den gesamten Publikumsbereich 3 erreichen kann und in der zudem eine Pegelkorrektur für jeden Schallwandler 9 aus seinem zugeordneten Vektor möglich wird, welche die Homogenität des Schalldruckes über den gesamten Publikumsbereich 3 verbessert.
  • In einer Ausgestaltung der Variante 1 sind z.B. die Koordinatenpunkte in der Ebene der zweidimensionalen Schallwandleranordnung 1 Kreuzungspunkte eines ebenen oder gekrümmten Rasters, dem in einem gemeinsamen Koordinatensystem 2 Koordinatenpunkte im Publikumsbereich 3 zugeordnet sind, wobei sich die Verbindungslinien zwischen den jeweils zugeordneten Rasterpunkten und Punkten im Publikumsbereich 3 nicht kreuzen oder schneiden.
  • In einer weiteren Ausgestaltung entspricht die Anzahl der Rasterlinien in der Ebene der zweidimensionalen Schallwandleranordnung 1 in horizontaler und Vertikaler Richtung jeweils der Anzahl der in den Zeilen und Spalten der zweidimensionalen Schallwandleranordnung 1 verbauten Schallwandler. Alternativ kann die Anzahl der Rasterlinien größer sein als die Anzahl der Schallwandler 9 in den Zeilen und Spalten der zweidimensionalen Schallwandleranordnung 1, wobei das akustische Zentrum der einzelnen Schallwandler 9 im Kreuzungspunkt der Rasterlinien angeordnet werden kann. Die Werte für Verzögerungszeit und / oder Pegel können beispielsweise durch Interpolation der Werte der umgebenden Rasterpunkte ermittelt werden. dass die Bezugspunkte im Publikumsbereich 3 in allen drei Raumdimensionen an die Erfordernisse der Geometrie des Publikumsbereiches 3 angepasst werden können, wobei darauf zu achten ist, dass die Flächen zwischen den einzelnen Rasterpunkten über den gesamten Publikumsbereich 3 etwa gleich groß bleiben, wodurch sich eine relativ gleichmäßige Verteilung des Schalldruckpegels über den gesamten Publikumsbereich 3 ergibt.
  • In einer weiteren Ausgestaltung der Variante 1 oder einer der obigen Varianten werden die Vektoren, die sich aus der Differenz der Koordinaten des dem jeweiligen Schallwandler 9 zugeordneten Rasterpunktes in der Ebene der zweidimensionalen Schallwandleranordnung 1 zu der jeweiligen Position des zugeordneten Koordinaten Punktes im Publikumsbereich 3 ergeben, auf Komponenten des Einheitsvektors zurückgeführt, um eine mathematische Grundlage für die Bestimmung der Zeitdifferenzen zwischen benachbarten Schallwandlern zu schaffen.
  • Grundsätzlich müssen nicht allen Kreuzungspunkten des Hilfsrasters physische Schallwandler 9 zugeordnet sein, die den gleichen Frequenzbereich abstrahlen. Dadurch wird es beispielsweise möglich, die Bestückung in den Bereichen, in denen Tiefmittelton Schallwandler 9 ihre Schallaustrittsöffnung haben zu unterbrechen oder Hochtonlautsprecher vor den Tief-Mittelton-Schallwandlern zu platzieren, wobei die Laufzeitunterschiede durch den mechanischen Versatz durch Interpolation an den Kreuzungspunkten des Hilfsrasters kompensiert werden.
  • In einer weiteren Ausgestaltung der oben beschrieben Varianten wird der Einfluss des Winkels, den die synthetisierte Wellenfront an einem gegebenen Rasterpunkt zu der Ebene der Schallwandleranordnung 1einnimmt, auf den am zugeordneten Punkt im Publikumsbereich 3 wahrgenommenen Signalpegel hat, dadurch kompensiert, dass der Pegel des dem jeweiligen Punkt zugeordneten Schallwandlers mit der Cosinus-Funktion des betreffenden Winkels kompensiert wird, wobei der Wert dieser Cosinus-Funktion dem Wert der Komponente d n ^
    Figure imgb0029
    des Einheitsvektors entspricht.
  • Den Kreuzungspunkten des ebenen oder gekrümmten Rasters in der Ebene der zweidimensionalen Schallwandleranordnung 1 können grundsätzlich auch mehrere Hilfsraster in der Publikums Fläche, jeweils mit der gleichen Anzahl von Punkten wie das Raster in der Ebene der zweidimensionalen Schallwandleranordnung 1, zugeordnet werden, wodurch Teilbereiche innerhalb der Publikumsfläche beispielsweise simultan mit unterschiedlichem Signalinhalt versorgt werden können.
  • Die Bezugspunkte im Publikumsbereich 3 können mit zunehmender Entfernung von der zweidimensionalen Schallwandleranordnung 1 enger verteilt werden, beispielsweise in der Absicht, die Flächen zwischen den Bezugspunkten mit der Entfernung von der zweidimensionalen Schallwandleranordnung 1 kleiner werden zu lassen, damit die zugeordneten Schallwandler 9 der zweidimensionalen Schallwandleranordnung 1 bei unverändertem Schalldruck in dem jeweiligen Bereich mit weniger Pegel angesteuert werden können, wodurch mehr Headroom für die Kompensation des Höhenabfalles durch die Luftschalldämmung in diesen Bereichen zur Verfügung steht.
  • Der Einfluss der Luftschalldämmung auf das Signal am Zuschauerplatz für die einzelnen Schallwandler 9 kann dadurch kompensiert werden, dass ihr jeweiliges Eingangssignal mit der inversen Entzerrung des Einflusses der Luftschalldämmung bei gegebener Luftfeuchtigkeit entsprechend der Distanz d des zugeordneten Vektors kompensiert werden kann.
  • Grundsätzlich können einzelne Publikumsbereiche 3, beispielsweise temporär, von der Versorgung ausgenommen werden. Zum Beispiel, wenn sie bei einer Veranstaltung nicht besetzt werden, wodurch sich der Direktschall-Anteil im übrigen Publikumsbereich 3 verbessert.
  • In einer Vorrichtung zur Beschallung eines gegebenen Publikumsbereiches 3 sind die Laufzeiten, mit der die einzelnen Schallwandler 9 der zweidimensionalen Schallwandleranordnung 1 gemäß einer der oben beschriebenen Verfahrensvarianten abstrahlen, nicht durch elektronische Verzögerung des Signalinhaltes, sondern durch die mechanische Positionierung der Schallwandler, die mit kohärenten Signalen angesteuert werden, realisiert, wobei die Signalpegel für den jeweiligen Schallwandler 9 den für die ursprünglichen Kreuzungspunkte des Rasters bestimmten Werten entsprechen.
  • Bezugszeichen
  • 1
    Schallwandleranordnung
    2
    Gemeinsames Koordinatensystem
    3
    Publikumsbereich
    4
    Aus Elementarwellen gebildete Wellenfront
    5
    Hilfsraster auf der Bezugsfläche der Schallwanderanordnung
    6
    Hilfsraster im Publikumsbereich
    7
    Richtungsvektor
    8
    Elementarwellen
    9
    Schallwandler
    10
    Versorgungsbereich der Wellenfront
    105
    Teilbereiche der Wellenfront
    106
    Teilbereiche des Publikumsbereiches
    12
    virtuelle Schallquelle
    30
    Gekrümmte Schallwandlerfläche
    31
    Normale
    40
    Quader zur Vektorbestimmung
    50
    lokale Richtung der gemeinsamen Wellenfront
    60
    normierter Quader mit der Diagonale eins
    61
    normierter Richtungsvektor
    701,702, 703
    Teilbereiche des Publikumsbereichs
    801
    Verwendte Kreuzungspunkte
    802
    Feste Publikumsbereiche
    90
    Mechanisch gekrümmte Schallwandleranordnung
    91
    Räumlicher Versatz

Claims (22)

  1. Verfahren zur Beschallung mindestens eines Publikumsbereichs (3) durch eine mindestens eine Schallwandleranordnung (1) mit einer Vielzahl von Schallwandlern (9), wobei die einzelnen Schallwandler (9) der mindestens einen Schallwandleranordnung (1) jeweils Elementarwellen (8) abstrahlen, die sich zu einer gemeinsamen Wellenfront (4) überlagern,
    wobei
    a) die mindestens eine Schallwandleranordnung (1) und der mindestens eine Publikumsbereich (3) durch ein Koordinatensystem (2) miteinander geometrisch verknüpft sind und
    b) zwischen den physischen Positionen der einzelnen Schallwandler (9) in der mindestens einen Schallwandleranordnung (1) und Positionsvektoren si zur Festlegung von Koordinaten im Bereich der mindestens einen Schallwandleranordnung (1) eine räumliche Zuordnung besteht, und ferner
    c) eine Zuordnung von Punkten des Koordinatensystems (2) zu Punkten im mindestens einen Publikumsbereich (5) entsprechend einem Positionsvektor ri besteht, wobei
    d) sich in dem Koordinatensystem (2) Richtungsvektoren, insbesondere normierte Richtungsvektoren (61) d ^ i = r i s i r i s i
    Figure imgb0030
    ergeben und wobei
    e) in Abhängigkeit von der räumlichen Zuordnung der Positionsvektoren si und der Schallwandler (9) Verzögerungszeiten τj für die Schallwandler (1) bestimmt werden, mit der Elementarwellen (8) durch die Schallwandler (9) abgestrahlt werden, wobei
    f) die Verzögerungszeiten τj der Schallwandler (9) jeweils so gewählt sind, dass die lokale Richtung (50) der gemeinsamen Wellenfront (4) der Richtung des Richtungsvektors, insbesondere des normierten Richtungsvektors (61) i , entspricht und
    wobei die Normale n zu der Bezugsfläche (30) S der Schallwandleranordnung (1) an dem durch s = s(u, v) beschriebenen, mit [x(u, v) y(u, v) z(u, v)], wobei u und v reelle, kontinuierliche Variablen sind, parametrisierten Punkt gegeben ist durch das Kreuzprodukt von s u and s v als n = s u × s v ,
    Figure imgb0031
    wobei
    s u und s v gegeben sind durch die partiellen Ableitungen s u = s u = x u y u z u
    Figure imgb0032
    beziehungsweise s v = s v = x v y v z v ,
    Figure imgb0033
    wobei zur Bestimmung der jeweiligen Verzögerungszeiten τj zunächst eine skalarwertige Funktion von Verzögerungszeiten τ(u, v) für eine endliche Menge von Positionsvektoren der Form s = s (u, v) ermittelt wird und die Bestimmung der Verzögerungszeiten τj für die Schallwandler (9) mit Positionsvektor s i zumindest teilweise durch Interpolation von jeweils mindestens zwei Werten der Form τ(u, v) erfolgt,
    dadurch gekennzeichnet, dass die Verzögerungszeiten τ(u, v) mittels numerischer Integration eines diskreten 2D-Vektorfeldes [Δ uτ Δ vτ] bestimmt werden, wobei Verzögerungsdifferenzen Δ uτ in u-Richtung beziehungsweise Δ vτ in v-Richtung gegeben sind durch Δ u τ = d ^ u c Δ u
    Figure imgb0034
    beziehungsweise Δ v τ = d ^ v c Δ v ,
    Figure imgb0035
    und wobei Δu und Δv jeweils diskrete Schrittweiten in u-Richtung beziehungsweise v-Richtung beschreiben, c die Schallgeschwindigkeit beschreibt und wobei u und v gegeben sind durch die Skalarprodukte d ^ u = d ^ s u
    Figure imgb0036
    beziehungsweise d ^ v = d ^ s v ,
    Figure imgb0037
    wobei jeweils den normierten Richtungsvektor ausgehend vom Positionsvektor s = s(u, v) beschreibt und s u und s v Tangentenvektoren zu der Bezugsfläche S ausgehend vom Positionsvektor s = s (u,v) beschreiben und Tangentenvektoren s u und s v dabei gegeben sind durch die partiellen Ableitungen s u = s u = x u y u z u
    Figure imgb0038
    beziehungsweise s v = s v = x v y v z v ;
    Figure imgb0039
    wobei der Betrieb der Schallwandler (9) mit Verzögerungszeit τj durch eine Ansteuerung mittels eines Computersystems und/oder mechanisch, insbesondere durch räumlichen Versatz (91) der Schallwandler (9) der mindestens einen Schallwandleranordnung (1) zueinander, gesteuert wird.
  2. Verfahren nach Anspruch 1, wobei die Schallwandler (9) der mindestens einen Schallwandleranordnung (1) in oder auf einer Ebene oder in oder auf einer mindestens teilweise gekrümmten oder ebenen Fläche (30), insbesondere gitterartig, angeordnet sind, wobei die Position der akustischen Zentren der Schallwandler von den Kreuzungspunkten des Hilfsrasters (5) abweichen kann, soweit die damit verbundene Änderung von Verzögerungszeit und Pegel durch räumliche Interpolation oder andere Verfahren korrigiert wird, oder wobei die Schallwandler (9) der mindestens einen Schallwandleranordnung (1) in einem dreidimensionalen Bereich, insbesondere einem Raum, angeordnet sind, insbesondere so, dass mindestens eine Teilmenge der Schallwandler (9) der mindestens einen Schallwandleranordnung (1) auf einer Referenzfläche (30) angeordnet ist und die Positionen der übrigen Schallwandler (9) der mindestens einen Schallwandleranordnung (1) sich durch einen Versatz (91) in den dreidimensionalen Bereich bestimmen lassen.
  3. Verfahren nach mindestens einem der vorherigen Ansprüche, wobei der mindestens ein Publikumsbereich (3) mindestens teilweise eine konkave und/ oder mindestens teilweise eine konvexe Form aufweist.
  4. Verfahren nach mindestens einem der vorherigen Ansprüche, wobei der mindestens eine Publikumsbereich (3) als eine zusammenhängende Fläche beschreibbar ist und/oder der mindestens eine Publikumsbereich (3) als eine unzusammenhängende Fläche, welche aus mindestens zwei zusammenhängenden Flächen zusammengesetzt ist, beschreibbar ist.
  5. Verfahren nach mindestens einem der vorherigen Ansprüche, wobei die Positionsvektoren si ein regelmäßiges Raster ergeben und/oder die Positionsvektoren ri ein regelmäßiges Raster (6) auf einer dem mindestens einen Publikumsbereich (3) zugeordneten Fläche ergeben.
  6. Verfahren nach mindestens einem der vorherigen Ansprüche, wobei die Zuordnung, die jedem Positionsvektor si den Punkt im mindestens einen Publikumsbereich (3) entsprechend dem Positionsvektor ri zuordnet, mittels Verbindungslinien von der mindestens einen Schallwandleranordnung (1) in den Publikumsbereich (3) bestimmbarist.
  7. Verfahren nach mindestens einem der vorherigen Ansprüche, wobei die Pegel, mit denen die Schallwandler (9) der mindestens einen Schallwandleranordnung (1) betrieben werden, so angepasst sind, dass der Schalldruck im mindestens einen Publikumsbereich (3) homogen ist, insbesondere wobei die Pegel, mit denen die Schallwandler (9) der mindestens einen Schallwandleranordnung (1) betrieben werden, mittels eines relativen Verstärkungsfaktors ermittelbar sind, basierend auf der Vorschrift n = i · ni , wobei ni jeweils die Normale zur Bezugsfläche (30) S am Positionsvektor s i der dem Schallwandler (9) zugeordnet ist beschreibt.
  8. Verfahren nach mindestens einem der vorherigen Ansprüche, wobei der mindestens eine Publikumsbereich (3) mindestens zwei Teilbereiche aufweist, die mit unterschiedlichem Signalinhalt beschallt werden.
  9. Verfahren nach mindestens einem der vorhergehenden Ansprüche, wobei die gemeinsame Wellenfront (4) so geformt ist, dass sie der Geometrie des mindestens einen Publikumsbereichs (3) angepasst ist, indem eine Zuordnung der Rasterpunkte erfolgt und die gemeinsame Wellenfront (4) dann so geformt wird, dass gleich großen Teilbereichen (106) des mindestens einen Publikumsbereiches (3) im Wesentlichen die gleiche Anzahl von Schallwandlern (9) der Schallwandleranordnung (1) zugeordnet ist.
  10. Verfahren nach mindestens einem der vorhergehenden Ansprüche, wobei Teilbereichen des mindestens einen Publikumsbereiches (3) Teilbereiche der Schallwandleranordnung (1) zugeteilt sind, denen simultan ein unterschiedlicher Audioinhalt zugeordnet werden kann, wobei eine Richtwirkung der Schallwandlervorrichtung (1) genutzt wird, um Signalinhalte auf vorbestimmte Teile des mindestens einen Publikumsbereiches (3) auszurichten, wobei in jedem der Teilbereiche (701, 702, 703) die Zahl der Kreuzungspunkte (6) dann der Zahl der Kreuzungspunkte (5) des Hilfsrasters der Schallwandleranordnung (1) entspricht.
  11. Verfahren zur Bestimmung von Verzögerungszeiten τj zum Betreiben von Schallwandlern (9) mindestens einer Schallwandleranordnung (1) mit einer Vielzahl von Schallwandlern (9) j zur Erzeugung von Elementarwellen (8) gemäß der Verzögerungszeiten τj zur Beschallung mindestens eines Publikumsbereichs (3), folgende Schritte umfassend
    - Bestimmung eines Koordinatensystems (2), durch welches
    ∘ die mindestens eine Schallwandleranordnung (1) näherungsweise als eine zwei-dimensionale Bezugsfläche (30) S der mindestens einen Schallwandleranordnung (1) sowie
    ∘ der mindestens eine Publikumsbereich (3) näherungsweise beschrieben sind,
    - Bestimmung von Positionsvektoren s auf der Bezugsfläche (30) S der mindestens einen Schallwandleranordnung (1), aus welchen die Positionen der Schallwandler (9) der mindestens einen Schallwandleranordnung (1) ermittelbar sind,
    - Bestimmung einer Zuordnung, welche jedem Positionsvektor s auf der Bezugsfläche (30) S der mindestens einen Schallwandleranordnung (1) einen Positionsvektor r entsprechend einem Punkt im mindestens einen Publikumsbereich (3) zuordnet,
    - Bestimmung von Richtungsvektoren, insbesondere normierten Richtungsvektoren (61) ausgehend von den Positionsvektoren s , wobei die normierten Richtungsvektoren (61) ausgehend von den Positionsvektoren s jeweils in Richtung des dem Positionsvektors zugeordneten Positionsvektors r zeigt, insbesondere gemäß der Berechnungsvorschrift d ^ i = r i s i r i s i
    Figure imgb0040
    ; und Bestimmung von Verzögerungszeiten τj für Schallwandler j, so dass sich die von den Schallwandlern (9) erzeugten Elementarwellen (8) bei Betrieb gemäß der Verzögerungszeiten τj zu gemeinsamen Wellenfronten (4,701,702,703) überlagern, wobei die normierten Richtungsvektoren (61) jeweils lokale Ausbreitungsrichtungen (50) der gemeinsamen Wellenfront (4) beschreiben, wobei die Normale n zu der Bezugsfläche (30) S der Schallwandleranordnung (1) an dem durch den s = s(u, v) beschriebenen Punkt gegeben ist durch das Kreuzprodukt von s u and sv als n = s u × s v ,
    Figure imgb0041
    wobei
    s u und s v gegeben sind durch die partiellen Ableitungen s u = s u = x u y u z u
    Figure imgb0042
    beziehungsweise s v = s v = x v y v z v ,
    Figure imgb0043
    wobei zur Bestimmung der jeweiligen Verzögerungszeiten τj zunächst eine skalarwertige Funktion von Verzögerungszeiten τ(u, v) für eine endliche Menge von Positionsvektoren der Form s = s (u, v) ermittelt wird und die Bestimmung der Verzögerungszeiten τj für die Schallwandler (9) mit Positionsvektor si zumindest teilweise durch Interpolation von jeweils mindestens zwei Werten der Form τ(u, v) erfolgt,
    gekennzeichnet dadurch, dass die Verzögerungszeiten τ(u, v) mittels numerischer Integration eines diskreten 2D-Vektorfeldes [Δ uτ Δ vτ] bestimmt werden, wobei Verzögerungsdifferenzen Δ uτ in u-Richtung beziehungsweise Δ vτ in v-Richtung gegeben sind durch Δ u τ = d ^ u c Δ u
    Figure imgb0044
    beziehungsweise Δ v τ = d ^ v c Δ v ,
    Figure imgb0045
    und wobei Δu und Δv jeweils diskrete Schrittweiten in u-Richtung beziehungsweise v-Richtung beschreiben, c die Schallgeschwindigkeit beschreibt und wobei u und v gegeben sind durch die Skalarprodukte d ^ u = d ^ s u
    Figure imgb0046
    beziehungsweise d ^ v = d ^ s v , ,
    Figure imgb0047
    wobei jeweils den normierten Richtungsvektor ausgehend vom Positionsvektor s = s (u, v) beschreibt und s u und s v Tangentenvektoren zu der Bezugsfläche S ausgehend vom Positionsvektor s = s(u, v) beschreiben und Tangentenvektoren s u und s v dabei gegeben sind durch die partiellen Ableitungen s u = s u = x u y u z u
    Figure imgb0048
    beziehungsweise s v = s v = x v y v z v .
    Figure imgb0049
  12. Verfahren nach Anspruch 11, umfassend eine Bestimmung von relativen Verstärkungsfaktoren n für mindestens eine Teilmenge der Positionsvektoren s gemäß der Vorschrift d ^ n = d ^ n ,
    Figure imgb0050
    wobei n eine Normale zu der Bezugsfläche (30) S der Schallwandleranordnung (1) an dem durch den Positionsvektor s bestimmten Punkt ist und d der normierte Richtungsvektor (61) ausgehend von dem Positionsvektors, wobei insbesondere die Positionsvektoren s die Positionen der Schallwandler (9) beschreiben.
  13. Verfahren nach mindestens einem der Ansprüche 11 bis 12, wobei sich insbesondere die Verbindungslinien (7) zur Bestimmung der normierten Richtungsvektoren (61) jeweils paarweise nicht kreuzen oder schneiden.
  14. Verfahren nach mindestens einem der Ansprüche 11 bis 13, wobei die Zuordnung zwischen dem Positionsvektor s und dem Positionsvektor r automatisch, insbesondere anhand einer 3D-CAD Datei des mindestens einen Publikumsbereichs (3), erfolgt.
  15. Verfahren nach mindestens einem der Ansprüche 11 bis 14, wobei die Positionsvektoren r gleichmäßig auf der Bezugsfläche R des mindestens einen Publikumsbereichs (3) verteilt sind, und dadurch gleichmäßig verteilten Punkten im mindestens einen Publikumsbereich (3) entsprechen.
  16. Verfahren nach mindestens einem der Ansprüche 11 bis 15, wobei die Bezugsfläche R des mindestens einen Publikumsbereichs (3) durch ein Hilfsraster (6) beschrieben ist, auf dem die Positionsvektoren r mindestens teilweise Kreuzungspunkte sind.
  17. Verfahren nach mindestens einem der Ansprüche 11 bis 16, wobei die Bezugsfläche (30) S der mindestens einen Schallwandleranordnung (1) durch ein Hilfsraster (5) beschrieben ist, auf dem die Positionsvektoren s mindestens teilweise Kreuzungspunkte sind.
  18. Verfahren nach mindestens einem der Ansprüche 11 bis 17 wobei die Bezugsfläche (30) S der mindestens einen Schallwandleranordnung (1) mittels der Koordinaten s(u,v) = [x(u,v) y(u,v) z(u, v)] parametrisiert ist, wobei u und v reelle, kontinuierliche Variablen oder diskrete Variablen sind und somit insbesondere die Positionsvektoren s in der Form s = s(u, v) beschreibbar sind.
  19. Verfahren nach mindestens einem der Ansprüche 1 bis 10, wobei das numerische Integrationsverfahren das Composite-Trapezium-Verfahren, das Simpson-Verfahren, das Ramberg-Verfahren oder das fortgeschrittenere Inverse-Gradienten-Verfahren, umfasst.
  20. Computerprogrammprodukt zur Bestimmung von Verzögerungszeiten τj , und relativen Verstärkungsfaktoren n wobei das Computerprogrammprodukt Mittel zur Ausführung der Schritte zur Bestimmung von Verzögerungszeiten τj und relativen Verstärkungsfaktoren n gemäß Verfahren nach einem der Ansprüche 11 bis 18 verwendet, um die Schritte zur Bestimmung von Verzögerungszeiten τj gemäß Verfahren nach einem der Ansprüche 11 bis 18 auszuführen.
  21. Eine Vorrichtung zur Beschallung mindestens eines Publikumsbereiches (3), welche mindestens eine Schallwandleranordnung (1) mit einer Vielzahl von Schallwandlern (9) umfasst,
    wobei die mindestens eine Schallwandleranordnung (1) und der mindestens eine Publikumsbereich (3) durch ein Koordinatensystem (2) miteinander geometrisch verknüpft sind und zwischen den physischen Positionen der einzelnen Schallwandler (9) in der mindestens einen Schallwandleranordnung (1) und Positionsvektoren si zur Festlegung von Koordinaten im Bereich der mindestens einen Schallwandleranordnung (1) eine räumliche Zuordnung besteht, und ferner eine Zuordnung von Punkten des Koordinatensystems (2) zu Punkten im mindestens einen Publikumsbereich (5) entsprechend einem Positionsvektor ri besteht, wobei sich in dem Koordinatensystem (2) Richtungsvektoren, insbesondere normierte Richtungsvektoren (61) d ^ i = r i s i r i s i
    Figure imgb0051
    ergeben, ferner umfassend
    ein Mittel zur Steuerung der Schallabstrahlung der Schallwandler (9), das in Abhängigkeit von der räumlichen Zuordnung der Positionsvektoren si zu den Schallwandlern (9) Verzögerungszeiten τj für die Schallwandler (1) bestimmt, mit der Elementarwellen (8) durch die Schallwandler (9) abgestrahlt werden, wobei die Verzögerungszeiten τj der Schallwandler (9) jeweils so gewählt sind, dass die lokale Richtung (50) der gemeinsamen Wellenfront (4) der Richtung des Richtungsvektors, insbesondere des normierten Richtungsvektors (61) i entspricht und
    ein Mittel zur Zuordnung jedes Schallwandlers (9) zu einem Punkt im mindestens einen Publikumsbereich (3) entsprechend einem Positionsvektor ri , so dass sich normierte Richtungsvektoren (61) d ^ i = r i s i r i s i
    Figure imgb0052
    ergeben und
    ein Mittel zur Bestimmung der Verzögerungszeit τj der Schallwandlers (9) so, dass die lokale Richtung (50) einer gemeinsamen Wellenfront (4) der Richtung des normierten Richtungsvektors (61) i entspricht, wobei insbesondere die einzelnen Schallwandler (9) der mindestens einen Schallwandleranordnung (1) jeweils Elementarwellen (8) abstrahlen, die sich zu einer gemeinsamen Wellenfront (4) überlagern und die mindestens eine Schallwandleranordnung (1) und der mindestens eine Publikumsbereich (3) einem gemeinsamen Koordinatensystem (2) zugeordnet sind, in welchem die Positionen der einzelnen Schallwandler (9) der mindestens einen Schallwanderanordnung (1) und der Schallwandler jeweils mit einer Verzögerungszeit τj zur Abstrahlung von Elementarwellen (8) betreibbar ist,
    wobei die Normale n zu der Bezugsfläche (30) S der Schallwandleranordnung (1) an dem durch den s = s(u, v) beschriebenen Punkt gegeben ist durch das Kreuzprodukt von s u and sv als n = s u × s v ,
    Figure imgb0053
    wobei
    s u und s v gegeben sind durch die partiellen Ableitungen s u = s u = x u y u z u
    Figure imgb0054
    beziehungsweise s v = s v = x v y v z v ,
    Figure imgb0055
    wobei zur Bestimmung der jeweiligen Verzögerungszeiten τj zunächst eine skalarwertige Funktion von Verzögerungszeiten τ(u, v) für eine endliche Menge von Positionsvektoren der Form s = s (u, v) ermittelt wird und die Bestimmung der Verzögerungszeiten τj für die Schallwandler (9) mit Positionsvektor si zumindest teilweise durch Interpolation von jeweils mindestens zwei Werten der Form τ(u, v) erfolgt,
    dadurch gekennzeichnet, dass die Verzögerungszeiten τ(u, v) mittels numerischer Integration eines diskreten 2D-Vektorfeldes [Δ uτ Δ vτ] bestimmt werden, wobei Verzögerungsdifferenzen Δ uτ in u-Richtung beziehungsweise Δ vτ in v-Richtung gegeben sind durch Δ u τ = d ^ u c Δ u
    Figure imgb0056
    beziehungsweise Δ v τ = d ^ v c Δ v ,
    Figure imgb0057
    und wobei Δu und Δv jeweils diskrete Schrittweiten in u-Richtung beziehungsweise v-Richtung beschreiben, c die Schallgeschwindigkeit beschreibt und wobei u und v gegeben sind durch die Skalarprodukte d ^ u = d ^ s u
    Figure imgb0058
    beziehungsweise d ^ v = d ^ s v ,
    Figure imgb0059
    wobei jeweils den normierten Richtungsvektor ausgehend vom Positionsvektor s = s(u, v) beschreibt und s u und s v Tangentenvektoren zu der Bezugsfläche S ausgehend vom Positionsvektor s = s(u, v) beschreiben und Tangentenvektoren s u und s v dabei gegeben sind durch die partiellen Ableitungen s u = s u = x u y u z u
    Figure imgb0060
    beziehungsweise s v = s v = x v y v z v ;
    Figure imgb0061
    wobei der Betrieb der Schallwandler (9) mit Verzögerungszeit τj durch eine Ansteuerung mittels eines Computersystems und/oder mechanisch, insbesondere durch räumlichen Versatz (91) der Schallwandler (9) der mindestens einen Schallwandleranordnung (1) zueinander, gesteuert wird.
  22. Vorrichtung nach Anspruch 21, wobei das unterschiedliche Laufzeiten für die Schallwandler (9) der Schallwandleranordnung (1) unter Verwendung einer mechanischen oder geometrischen Positionierung der Schallwandler (9), die mit kohärenten Signalen angesteuert werden, realisiert sind, wobei insbesondere die Signalpegel für den jeweiligen Schallwandler (9) den für die ursprünglichen Kreuzungspunkte des Rasters bestimmten Werten entsprechen können.
EP22741503.1A 2021-07-09 2022-07-07 Verfahren und vorrichtung zur beschallung mindestens eines publikumsbereiches Active EP4367899B1 (de)

Priority Applications (1)

Application Number Priority Date Filing Date Title
EP25183087.3A EP4615012A3 (de) 2022-07-07 Verfahren und vorrichtung zur beschallung mindestens eines publikumsbereiches

Applications Claiming Priority (2)

Application Number Priority Date Filing Date Title
DE102021207302.6A DE102021207302A1 (de) 2021-07-09 2021-07-09 Verfahren und Vorrichtung zur Beschallung mindestens eines Publikumsbereiches
PCT/EP2022/068913 WO2023280982A1 (de) 2021-07-09 2022-07-07 Verfahren und vorrichtung zur beschallung mindestens eines publikumsbereiches

Related Child Applications (1)

Application Number Title Priority Date Filing Date
EP25183087.3A Division EP4615012A3 (de) 2022-07-07 Verfahren und vorrichtung zur beschallung mindestens eines publikumsbereiches

Publications (3)

Publication Number Publication Date
EP4367899A1 EP4367899A1 (de) 2024-05-15
EP4367899C0 EP4367899C0 (de) 2025-06-18
EP4367899B1 true EP4367899B1 (de) 2025-06-18

Family

ID=82547589

Family Applications (1)

Application Number Title Priority Date Filing Date
EP22741503.1A Active EP4367899B1 (de) 2021-07-09 2022-07-07 Verfahren und vorrichtung zur beschallung mindestens eines publikumsbereiches

Country Status (5)

Country Link
US (1) US20250330771A1 (de)
EP (1) EP4367899B1 (de)
AU (1) AU2022308681B2 (de)
DE (1) DE102021207302A1 (de)
WO (1) WO2023280982A1 (de)

Families Citing this family (2)

* Cited by examiner, † Cited by third party
Publication number Priority date Publication date Assignee Title
DE102022129642A1 (de) 2022-11-09 2024-05-16 Holoplot Gmbh Verfahren zur richtungsabhängigen Korrektur des Frequenzganges von Schallwellenfronten
DE102024000725A1 (de) 2023-03-09 2024-09-12 Helmut Oellers Virtuelle akustische Reflektoren

Family Cites Families (10)

* Cited by examiner, † Cited by third party
Publication number Priority date Publication date Assignee Title
JP5034873B2 (ja) 2007-10-31 2012-09-26 ヤマハ株式会社 スピーカアレイシステム
JP5045515B2 (ja) * 2008-03-19 2012-10-10 ヤマハ株式会社 スピーカアレイシステム
DE102009006762A1 (de) 2009-01-30 2010-08-05 Oellers, Helmut Reduktion von Aliasingeffekten
JP5844995B2 (ja) 2011-05-09 2016-01-20 日本放送協会 音響再生装置および音響再生プログラム
JP5532091B2 (ja) * 2012-08-27 2014-06-25 ヤマハ株式会社 スピーカアレイ装置
DE102013011696A1 (de) 2013-07-12 2015-01-15 Advanced Acoustic Sf Gmbh Variable Vorrichtung zur Ausrichtung von Schallwellenfronten
DE102013013378A1 (de) 2013-08-10 2015-02-12 Advanced Acoustic Sf Gmbh Aufteilung virtueller Schallquellen
DE102013013377A1 (de) 2013-08-10 2015-02-12 Advanced Acoustic Sf Gmbh Dezentraler Aufbau eines Wellenfeldsynthese Systems
DE102019208631A1 (de) 2019-06-13 2020-12-17 Holoplot Gmbh Vorrichtung und Verfahren zur Beschallung eines räumlichen Bereichs
EP4085660A4 (de) * 2019-12-30 2024-05-22 Comhear Inc. Verfahren zum bereitstellen eines räumlichen schallfeldes

Also Published As

Publication number Publication date
AU2022308681B2 (en) 2025-06-19
EP4367899C0 (de) 2025-06-18
US20250330771A1 (en) 2025-10-23
EP4615012A2 (de) 2025-09-10
WO2023280982A1 (de) 2023-01-12
AU2022308681A1 (en) 2024-02-08
DE102021207302A1 (de) 2023-01-12
EP4367899A1 (de) 2024-05-15

Similar Documents

Publication Publication Date Title
DE69525163T2 (de) Tonaufnahme- und wiedergabesysteme
EP3152925B1 (de) Lautsprechersystem
EP3005737B1 (de) Mischpult, verfahren und computerprogramm zum bereitstellen eines tonsignals
DE3850417T2 (de) Vorrichtung und Verfahren zur dreidimensionalen Schalldarstellung unter Verwendung einer bionischen Emulation der menschlichen binauralen Schallortung.
EP4367899B1 (de) Verfahren und vorrichtung zur beschallung mindestens eines publikumsbereiches
EP3005732B1 (de) Vorrichtung und verfahren zur raumselektiven audiowiedergabe
EP3061271B1 (de) Wellenfeldsynthese-system
EP3058762B1 (de) Verfahren zum betreiben einer anordnung aus schallwandlern nach dem prinzip der wellenfeldsynthese
EP1878308B1 (de) Vorrichtung und verfahren zur generierung und bearbeitung von toneffekten in räumlichen tonwiedergabesystemen mittels einer graphischen benutzerschnittstelle
WO2015004526A2 (de) Variable vorrichtung zum ausrichten von schallwellenfronten
EP2754151B1 (de) Vorrichtung, verfahren und elektroakustisches system zur nachhallzeitverlängerung
DE102004048990A1 (de) Lautsprecheranordnung in einem Kraftfahrzeug
DE102005001395B4 (de) Verfahren und Vorrichtung zur Transformation des frühen Schallfeldes
DE112017000382T5 (de) Schallstrahlungsmustersteuerung
EP3984246A1 (de) Vorrichtung und verfahren zur beschallung eines räumlichen bereichs
DE102022129642A1 (de) Verfahren zur richtungsabhängigen Korrektur des Frequenzganges von Schallwellenfronten
EP0025118A1 (de) Anordnung zur akustischen Wiedergabe von Signalen, die mittels eines rechten und eines linken Stereo-Kanals darstellbar sind
EP4140151A1 (de) Virtuelle lautsprecher für akustisch intransparente bildschirme
DE102023128786A1 (de) Immersive sitzzentrierte Klangbühne für Fahrzeuginnenräume
DE102024000725A1 (de) Virtuelle akustische Reflektoren
DE102011108788A1 (de) Verfahren zur Verarbeitung eines Audiosignals, Audiowiedergabesystem und Verarbeitungseinheit zur Bearbeitung von Audiosignalen
DE726440C (de) Anordnung zur UEbertragung von Toenen zur Erzeugung eines Richtungseffektes
DE102018216604A1 (de) System zur Übertragung von Schall in den und aus dem Kopf eines Hörers unter Verwendung eines virtuellen akustischen Systems
WO2022183231A1 (de) Verfahren zur erzeugung von audiosignalfiltern für audiosignale zur erzeugung virtueller schallquellen
WO2019196975A1 (de) Verfahren zur beeinflussung einer auditiven richtungswahrnehmung eines hörers und anordnung zur umsetzung des verfahrens

Legal Events

Date Code Title Description
STAA Information on the status of an ep patent application or granted ep patent

Free format text: STATUS: UNKNOWN

STAA Information on the status of an ep patent application or granted ep patent

Free format text: STATUS: THE INTERNATIONAL PUBLICATION HAS BEEN MADE

PUAI Public reference made under article 153(3) epc to a published international application that has entered the european phase

Free format text: ORIGINAL CODE: 0009012

STAA Information on the status of an ep patent application or granted ep patent

Free format text: STATUS: REQUEST FOR EXAMINATION WAS MADE

17P Request for examination filed

Effective date: 20240207

AK Designated contracting states

Kind code of ref document: A1

Designated state(s): AL AT BE BG CH CY CZ DE DK EE ES FI FR GB GR HR HU IE IS IT LI LT LU LV MC MK MT NL NO PL PT RO RS SE SI SK SM TR

STAA Information on the status of an ep patent application or granted ep patent

Free format text: STATUS: EXAMINATION IS IN PROGRESS

17Q First examination report despatched

Effective date: 20240708

DAV Request for validation of the european patent (deleted)
DAX Request for extension of the european patent (deleted)
GRAP Despatch of communication of intention to grant a patent

Free format text: ORIGINAL CODE: EPIDOSNIGR1

STAA Information on the status of an ep patent application or granted ep patent

Free format text: STATUS: GRANT OF PATENT IS INTENDED

INTG Intention to grant announced

Effective date: 20250123

GRAS Grant fee paid

Free format text: ORIGINAL CODE: EPIDOSNIGR3

GRAA (expected) grant

Free format text: ORIGINAL CODE: 0009210

STAA Information on the status of an ep patent application or granted ep patent

Free format text: STATUS: THE PATENT HAS BEEN GRANTED

AK Designated contracting states

Kind code of ref document: B1

Designated state(s): AL AT BE BG CH CY CZ DE DK EE ES FI FR GB GR HR HU IE IS IT LI LT LU LV MC MK MT NL NO PL PT RO RS SE SI SK SM TR

REG Reference to a national code

Ref country code: GB

Ref legal event code: FG4D

Free format text: NOT ENGLISH

REG Reference to a national code

Ref country code: CH

Ref legal event code: EP

REG Reference to a national code

Ref country code: DE

Ref legal event code: R096

Ref document number: 502022004344

Country of ref document: DE

REG Reference to a national code

Ref country code: CH

Ref legal event code: EP

REG Reference to a national code

Ref country code: IE

Ref legal event code: FG4D

Free format text: LANGUAGE OF EP DOCUMENT: GERMAN

U01 Request for unitary effect filed

Effective date: 20250718

U07 Unitary effect registered

Designated state(s): AT BE BG DE DK EE FI FR IT LT LU LV MT NL PT RO SE SI

Effective date: 20250724

U20 Renewal fee for the european patent with unitary effect paid

Year of fee payment: 4

Effective date: 20250718

PG25 Lapsed in a contracting state [announced via postgrant information from national office to epo]

Ref country code: NO

Free format text: LAPSE BECAUSE OF FAILURE TO SUBMIT A TRANSLATION OF THE DESCRIPTION OR TO PAY THE FEE WITHIN THE PRESCRIBED TIME-LIMIT

Effective date: 20250918

Ref country code: GR

Free format text: LAPSE BECAUSE OF FAILURE TO SUBMIT A TRANSLATION OF THE DESCRIPTION OR TO PAY THE FEE WITHIN THE PRESCRIBED TIME-LIMIT

Effective date: 20250919

PG25 Lapsed in a contracting state [announced via postgrant information from national office to epo]

Ref country code: HR

Free format text: LAPSE BECAUSE OF FAILURE TO SUBMIT A TRANSLATION OF THE DESCRIPTION OR TO PAY THE FEE WITHIN THE PRESCRIBED TIME-LIMIT

Effective date: 20250618

PG25 Lapsed in a contracting state [announced via postgrant information from national office to epo]

Ref country code: RS

Free format text: LAPSE BECAUSE OF FAILURE TO SUBMIT A TRANSLATION OF THE DESCRIPTION OR TO PAY THE FEE WITHIN THE PRESCRIBED TIME-LIMIT

Effective date: 20250918