EP3290501B1 - Detergent compositions containing alkoxylated fatty acid amides - Google Patents
Detergent compositions containing alkoxylated fatty acid amides Download PDFInfo
- Publication number
- EP3290501B1 EP3290501B1 EP17020387.1A EP17020387A EP3290501B1 EP 3290501 B1 EP3290501 B1 EP 3290501B1 EP 17020387 A EP17020387 A EP 17020387A EP 3290501 B1 EP3290501 B1 EP 3290501B1
- Authority
- EP
- European Patent Office
- Prior art keywords
- fatty acid
- rco
- surfactant
- cleaners
- carbon atoms
- Prior art date
- Legal status (The legal status is an assumption and is not a legal conclusion. Google has not performed a legal analysis and makes no representation as to the accuracy of the status listed.)
- Active
Links
Classifications
-
- C—CHEMISTRY; METALLURGY
- C11—ANIMAL OR VEGETABLE OILS, FATS, FATTY SUBSTANCES OR WAXES; FATTY ACIDS THEREFROM; DETERGENTS; CANDLES
- C11D—DETERGENT COMPOSITIONS; USE OF SINGLE SUBSTANCES AS DETERGENTS; SOAP OR SOAP-MAKING; RESIN SOAPS; RECOVERY OF GLYCEROL
- C11D1/00—Detergent compositions based essentially on surface-active compounds; Use of these compounds as a detergent
- C11D1/38—Cationic compounds
- C11D1/65—Mixtures of anionic with cationic compounds
-
- C—CHEMISTRY; METALLURGY
- C11—ANIMAL OR VEGETABLE OILS, FATS, FATTY SUBSTANCES OR WAXES; FATTY ACIDS THEREFROM; DETERGENTS; CANDLES
- C11D—DETERGENT COMPOSITIONS; USE OF SINGLE SUBSTANCES AS DETERGENTS; SOAP OR SOAP-MAKING; RESIN SOAPS; RECOVERY OF GLYCEROL
- C11D1/00—Detergent compositions based essentially on surface-active compounds; Use of these compounds as a detergent
- C11D1/38—Cationic compounds
- C11D1/52—Carboxylic amides, alkylolamides or imides or their condensation products with alkylene oxides
- C11D1/526—Carboxylic amides (R1-CO-NR2R3), where R1, R2 or R3 are polyalkoxylated
-
- C—CHEMISTRY; METALLURGY
- C11—ANIMAL OR VEGETABLE OILS, FATS, FATTY SUBSTANCES OR WAXES; FATTY ACIDS THEREFROM; DETERGENTS; CANDLES
- C11D—DETERGENT COMPOSITIONS; USE OF SINGLE SUBSTANCES AS DETERGENTS; SOAP OR SOAP-MAKING; RESIN SOAPS; RECOVERY OF GLYCEROL
- C11D1/00—Detergent compositions based essentially on surface-active compounds; Use of these compounds as a detergent
- C11D1/66—Non-ionic compounds
- C11D1/835—Mixtures of non-ionic with cationic compounds
-
- C—CHEMISTRY; METALLURGY
- C11—ANIMAL OR VEGETABLE OILS, FATS, FATTY SUBSTANCES OR WAXES; FATTY ACIDS THEREFROM; DETERGENTS; CANDLES
- C11D—DETERGENT COMPOSITIONS; USE OF SINGLE SUBSTANCES AS DETERGENTS; SOAP OR SOAP-MAKING; RESIN SOAPS; RECOVERY OF GLYCEROL
- C11D1/00—Detergent compositions based essentially on surface-active compounds; Use of these compounds as a detergent
- C11D1/86—Mixtures of anionic, cationic, and non-ionic compounds
-
- C—CHEMISTRY; METALLURGY
- C11—ANIMAL OR VEGETABLE OILS, FATS, FATTY SUBSTANCES OR WAXES; FATTY ACIDS THEREFROM; DETERGENTS; CANDLES
- C11D—DETERGENT COMPOSITIONS; USE OF SINGLE SUBSTANCES AS DETERGENTS; SOAP OR SOAP-MAKING; RESIN SOAPS; RECOVERY OF GLYCEROL
- C11D10/00—Compositions of detergents, not provided for by one single preceding group
- C11D10/04—Compositions of detergents, not provided for by one single preceding group based on mixtures of surface-active non-soap compounds and soap
-
- C—CHEMISTRY; METALLURGY
- C11—ANIMAL OR VEGETABLE OILS, FATS, FATTY SUBSTANCES OR WAXES; FATTY ACIDS THEREFROM; DETERGENTS; CANDLES
- C11D—DETERGENT COMPOSITIONS; USE OF SINGLE SUBSTANCES AS DETERGENTS; SOAP OR SOAP-MAKING; RESIN SOAPS; RECOVERY OF GLYCEROL
- C11D1/00—Detergent compositions based essentially on surface-active compounds; Use of these compounds as a detergent
- C11D1/02—Anionic compounds
- C11D1/04—Carboxylic acids or salts thereof
- C11D1/06—Ether- or thioether carboxylic acids
-
- C—CHEMISTRY; METALLURGY
- C11—ANIMAL OR VEGETABLE OILS, FATS, FATTY SUBSTANCES OR WAXES; FATTY ACIDS THEREFROM; DETERGENTS; CANDLES
- C11D—DETERGENT COMPOSITIONS; USE OF SINGLE SUBSTANCES AS DETERGENTS; SOAP OR SOAP-MAKING; RESIN SOAPS; RECOVERY OF GLYCEROL
- C11D1/00—Detergent compositions based essentially on surface-active compounds; Use of these compounds as a detergent
- C11D1/66—Non-ionic compounds
- C11D1/662—Carbohydrates or derivatives
-
- C—CHEMISTRY; METALLURGY
- C11—ANIMAL OR VEGETABLE OILS, FATS, FATTY SUBSTANCES OR WAXES; FATTY ACIDS THEREFROM; DETERGENTS; CANDLES
- C11D—DETERGENT COMPOSITIONS; USE OF SINGLE SUBSTANCES AS DETERGENTS; SOAP OR SOAP-MAKING; RESIN SOAPS; RECOVERY OF GLYCEROL
- C11D1/00—Detergent compositions based essentially on surface-active compounds; Use of these compounds as a detergent
- C11D1/66—Non-ionic compounds
- C11D1/74—Carboxylates or sulfonates esters of polyoxyalkylene glycols
Definitions
- compositions containing at least one glycolipid biosurfactant and at least one alkoxylated fatty acid amide based on fatty acids from vegetable oils and have an exceptionally high proportion of long-chain ( ⁇ C17), mostly unsaturated hydrocarbon chains.
- Another object is the use as detergents and cleaners.
- the present invention is directed to an agent having improved cleaning performance, especially carbohydrate-containing soil and stains, as well as a method for improving the cleaning performance of a detergent and cleaning agent and the use of the agent.
- animal oils and fats in particular beef tallow, have always been used for cleaning agents. Due to the fatty acid composition, these can only be used to a limited extent in certain applications. From a consumer point of view, animal raw materials are often undesirable for hygienic (e.g., TSE-problematic) and ideological (e.g., vegan-trend) reasons. Furthermore, vegetable soap has been used for millennia for washing and cleaning purposes, whose application is also limited due to the formation of lime soap and binding to an alkaline pH.
- the challenge is to dispense with oil, animal fats and oils, as well as palm oils (ie palm oil, palm kernel oil, coconut oil, babassu oil) as the source of fatty acids and instead to the greatest possible extent surfactants from less problematic sources, such as vegetable oils from European Use cultivation or fermentation.
- palm oils ie palm oil, palm kernel oil, coconut oil, babassu oil
- Glycolipid biosurfactants which can be produced by fermentation from a wide variety of substrates, meet the requirements of sustainability and are also characterized by low skin irritation potential and toxicity.
- synthetic glycolipids e.g. Alkyl polyglycosides, sorbitan esters, methyl glycoside esters or methyl glucamides
- biosurfactant glycolipids are produced via microorganisms and no chemical reaction steps are necessary. However, for many applications it is necessary to combine glycolipid biosurfactants with other surfactants to obtain optimal cleaning performance.
- the state of the art is combined with lauric acid-based surfactants of palm or petrochemical origin; usually with anionic sulfur-containing surfactants such as sodium lauryl sulfate or sodium lauryl ether sulfate.
- the prior art discloses combinations of glycolipid biosurfactants with anionic and nonionic non-glycolipidic surfactants having alkyl chain lengths of C8-C18
- DE19600743 (Henkel) discloses mixtures of glucoselipids and sophorolipids with different surfactants for dishwashing detergents.
- combinations are disclosed with lauric acid-based surfactants for synergistic enhancement in rinse performance, dispersancy and foaming power.
- WO2011051161A1 (Henkel) discloses low-residue hard surface cleaners containing a glycolipid biosurfactant and a solvent.
- the examples disclose surfactant combinations with C12-C14 surfactants.
- EP 0 499434 A1 (Unilever): Combination of at least one glycolipid biosurfactant and at least one non-glycolipidic anionic or nonionic surfactant, one each of the surfactants being in the micellar and one in the lamellar phase.
- the disclosed laundry detergents are characterized by an increased oil-dissolving power of the textiles.
- EP 1 445 302 A1 / US 2014113818 (Ecover): combination of at least one glycolipid biosurfactant and at least one non-glycolipidic surfactant, each in the micellar phase. All solutions presented contain short-chain, saturated hydrocarbon chains as the hydrophobic part of the surfactants. The presence of the biosurfactant and the further surfactant in the micellar phase achieves an increased average cleaning performance on standard or mineral oil with little foaming.
- JP 2009275145 discloses blends for skin cleansing with sophorolipids in combination with soaps. By combining soaps with glycolipids, a better washability of the soap is achieved.
- WO 2012617815 discloses blends based on concentrated sophorolipid blends of 70-99% which are hydrolyzed with other C12 fatty acid based surfactants and mixed with sodium cocoamphoacetate as cosurfactant to reinforce the foam.
- WO 2016050439 discloses biosurfactant formulations having improved foaming and fatliquoring properties containing at least one surfactant selected from the group of betaines, alkoxylated fatty alcohol sulfates and alkylamine oxides.
- WO 2016/066464 discloses detergents containing mannosylerythritol for greasy and oily stains in combination with C12-C14 and C12-C18 ether sulfates and ethoxylated alcohols, respectively.
- US 5520839 is the combination of biosurfactants with anionic surfactants including rape soap for improved oil and fat solubility.
- WO 2013098066 (Evonik) discloses aqueous hair and skin cleansing compositions containing biosurfactants and oleic acid which have a sensory positive effect on the skin. All solutions presented contain short-chain, saturated hydrocarbon chains (C8-C12) as the hydrophobic part of the surfactants.
- C12-C18 surfactants based on sulfur compounds are used as anionic surfactants.
- Examples of disclosed combinations contain, for example, sulfates, sulfonates, isethionates, sulphosuccinates, inter alia, in particular lauryl ether sulphates and lauryl sulphonates.
- the complex technical problem of the invention has been to identify one or more surfactants based on vegetable oil which can be combined with biosurfactant glycolipids.
- the fatty acids of the surfactants should not be obtained from coconut, palm, babassu or palm kernel vegetable oils due to sustainability considerations. This is technically demanding insofar as the desired surfactants instead of lauric a high proportion of unsaturated, long fatty acid residues ⁇ C18, which bring completely new properties such as solubility, stability, wettability, compatibility, etc. with it.
- the novel surfactant combinations should have a good cleaning performance, even beyond grease and oil soiling; ie in particular a high cleaning performance on specific stains such as carbohydrate stains or color stains.
- compositions according to the invention should preferably be based to the greatest possible extent on natural raw materials and be readily biodegradable.
- compositions according to the invention of claims 1-6, 10-11 show a cleaning action on specific soils which can not be foreseen by the person skilled in the art in any way. This allows the production of environmentally friendly agents, even for stubborn soils such as stains or carbohydrate impurities.
- the agents according to the invention act synergistically on the dissolution of carbohydrate spots. It is understood synergistically that the stain-dissolving power of the mixture is higher than the sum of the stain-dissolving power of the individual components. In the enzyme-free embodiment, a comparable cleaning performance is achieved to enzyme-containing market products.
- fatty acid alkyl esters of C-18 plants of the invention are as additional ingredient fatty acid alkyl esters of C-18 plants of the invention.
- washing and cleaning agents also include washing aids which are added to the actual agent during manual or mechanical cleaning.
- detergents within the scope of the invention also include pre- and post-treatment agents, ie those agents which are used before the actual cleaning, for example for dissolving stubborn soiling.
- a special product form solid substrates, such as cloths. These are soaked in a preparation and have the advantage that in them the preparation is already prescribed in the correct dosage. This meets in particular the consumer's desire of convenience, they are easy to handle, to use directly without additional steps and can also on the go, eg when traveling well, even if no water is available.
- Cloths are made of textiles which may be woven, knitted or knitted or present as a composite in nonwoven, paper, wadding or felt, nonwovens being mostly made of polypropylene, polyester or viscose.
- Agent impregnated substrates and wipes can be made in a variety of ways, including the dipping, wiping and spraying processes. The latter is used in particular for non or low foaming preparations.
- the agent according to the invention can be used over the entire pH range, thus allowing a broad range of products.
- compositions according to the invention can be thickened with thickeners on a natural basis, such as, for example, xanthan gum. It is a known technical problem to thicken formulations containing glycolipid biosurfactants ( WO / 2014166796 ).
- compositions according to the invention are distinguished by a high stability.
- agent according to the invention is also disclosed in a preservative-free embodiment.
- a further advantage of the invention is that the agents can be prepared without sulfur surfactants and thus take care of the trend "sulphate-free".
- Another advantage of the invention is that the agent can be prepared without the irritating ingredients cocamide MEA or cocamide DEA.
- Another advantage of the invention is that, depending on the application, the novel compositions low foaming, for example for machine application or in combination with a third surfactant (D) can be produced foaming.
- the vegetable oils from oil palms, babassu, palm kernels, or coconuts clearly differ in the fatty acid composition of the inventive C-18 vegetable oils:
- the following vegetable oils, fats, waxes or resins are referred to as C-18 vegetable oil:
- the C-18 vegetable oils are natural triglycerides.
- C-18 vegetable oils have a mixture of saturated and unsaturated fatty acids, the fatty acid distribution of fatty acids having 18 or more carbon atoms being more than 60% by weight, more preferably more than 72% by weight and most preferably more than 77% by weight. % and wherein the proportion of unsaturated fatty acids over 55 wt .-%, preferably over 65 wt .-% and particularly preferably over 72 wt .-% is.
- the proportion of fatty acids having 16 and fewer carbon atoms is preferably less than 30% by weight, preferably less than 27% by weight and more preferably less than 17% by weight.
- the C-18 vegetable oils contain a proportion of ⁇ 0.5%, particularly preferably> 0.05% fatty acids having 6 carbon atoms.
- the C-18 vegetable oils contain a proportion of ⁇ 75% by weight of hydroxy fatty acids, preferably ⁇ 25% by weight, particularly preferably ⁇ 5% by weight.
- C-18 vegetable oils contain saturated or unsaturated fatty acids having 20 or more carbon atoms, the content of which may be up to 96% by weight.
- the C-18 vegetable oils preferably contain less than 95% by weight of oleic acid, more preferably less than 85% by weight of oleic acid Wt .-% here in each case based on the total content of fatty acids in vegetable oil.
- C-18 vegetable oils can be obtained, which meet the technical characteristics of fatty acid compositions for the inventive compositions, and Amaranth, aniseed, apple, apricot, argan, arnica, avocado, cotton, borage, stinging nettle, broccoli, canola, chia, hemp, hazelnut, beech, boxwood, thistle, spelled, peanut, tigernut, lilac, garden cress , Barley, Pomegranate, Oats, Hemp, Hazelnut, Blueberry, Elderberry, Jasmine, Currant, St.
- the oil is selected from the group: apricot, avocado, cotton, broccoli, beech, thistle, spelled, tigernut, barley, hemp, hazelnut, jojoba, cherry, mullein, Krambe, cross-leaved spurge, pumpkin, Iberian scorpionfish, camelina, linseed , Lupine, alfalfa, macademia, almond, corn, poppy, evening primrose, olive, oil radish, oil raven, peach, rape, rice, marigold, turnip rape, safflower, sage, sea buckthorn, black cumin, sesame, sesame leaf, mustard, sunflower, soy, tobacco , Walnut, grape and wheat, and their combinations.
- apricot avocado, cotton, broccoli, beech, thistle, spelled, tigernut, barley, hemp, hazelnut, jojoba, cherry, mullein, Krambe, cross-leaved spurge
- the oil is selected from the group apricot, thistle, tigernut, hemp, Krambe, Iberian dragon head, camelina, linseed, lupine, alfalfa, corn, almond, olive, oil radish, peach, rapeseed, turnip rape, sesame, sesame leaf, sunflower , Soy, grape and wheat, as well as their combinations.
- oils is used in this invention as representative of fats, waxes and resins.
- fatty acids or fatty alcohol or their derivatives are not stated otherwise - representative of branched or unbranched, saturated, mono- or polyunsaturated carboxylic acids or alcohols or derivatives thereof having preferably 6 to 24 carbon atoms.
- Surfactant in the context of this invention is understood to mean amphiphilic organic substances having surface-active properties which adsorb to the interface between two liquids, such as oil and water, and have the ability to reduce the surface tension of water.
- surfactants tend to self-aggregate and form structures such as micelles, lamellar structures, and the like.
- emulsifiers are included within the concept of surfactants, but not vice versa.
- PEGylated vegetable oils are ethoxylated vegetable oils as defined in " Safety Assessment of PEGylated Oils as Used in Cosmetics ", International Journal of Toxicology November / December 2014, 33 ,
- the terminology used in cosmetic ingredients which describes the etherification and esterification products of glycerides and fatty acids with ethylene oxide is used.
- representatives derived from C-18 plants are preferred; Examples are listed among the surfactants (D).
- PEGylated fatty acid glycerides are mono-, di- and / or triglycerides which have been modified with a specific number of alkylene glycol units, mostly ethylene glycol units, and may contain reaction by-products.
- PEGylated fatty acid glycerides are defined as in " Safety Assessment of PEGylated Alkyl Glycerides as Used in Cosmetics ", Cosmetic Ingredient Review (CIR) 2014 , It should be noted that CIR under "Alkyl” also takes into account unsaturated fatty acids.
- CIR Cosmetic Ingredient Review
- sulfuric surfactants is understood as meaning anionic or amphoteric surfactants having a sulfur-containing hydrophilic radical, such as e.g. Alkyl sulfates, alkyl ether sulfates, (alkoxylated) sulfosuccinates, (alkoxylated) sulfonates, (alkoxylated) isethionates, (alkoxylated) taurates, sulfobetaines and sultaines.
- a sulfur-containing hydrophilic radical such as e.g. Alkyl sulfates, alkyl ether sulfates, (alkoxylated) sulfosuccinates, (alkoxylated) sulfonates, (alkoxylated) isethionates, (alkoxylated) taurates, sulfobetaines and sultaines.
- sulphate-containing surfactants are sodium laureth sulphates, sodium lauryl sulphates, ammonium laureth sulphates, ammonium lauryl sulphates, sodium myreth sulphates, sodium coco sulphates, sodium trideceth sulphates or MIPA laureth sulphates.
- biosurfactant is the biosurfactant glycolipid defined in accordance with the invention.
- Free of sulfuric surfactants, phosphates, phosphonates means that the formulation does not contain significant amounts of sulfur surfactants, phosphates, phosphonates. In particular, this is understood to mean that sulfur surfactants, phosphates, phosphonates in each case in amounts of less than 0.1 wt .-%, preferably less than 0.01 wt .-% based on the total formulation, in particular no detectable amounts are included.
- At least one refers to 1 or more, for example, 1, 2, 3, 4, 5, 6, 7, 8, 9 or more.
- Synergy is understood when the combination of the individual components shows a better effect than any single component alone, each at the same concentration.
- washing and cleaning agent is understood to mean a means for removing undesired soiling or deposits, such as For example, stains, residues, impurities, metabolic products of biological processes of natural or biological surfaces, hard surfaces, as well as textiles, carpets or natural fibers.
- the agents may be applied to the substrate to be cleaned by rubbing, dosing, spraying, foaming and other methods (e.g., anointing, applying, etc.) directly or through an aid such as a wipe, diluted or undiluted.
- cleaning performance or “detergency” is meant in the context of this invention the removal of one or more stains.
- the distance can be metrologically detected or visually assessed by brightening or reducing soiling.
- the HLB (hydrophilic-lipophilic balance) value is a measure of the hydrophilicity or lipophilicity of a substance, usually a nonionic surfactant.
- the value can theoretically be measured as described in relevant literature (e.g., by the Griffin method) or experimentally by comparing the solubility behavior of standard compositions with known HLB.
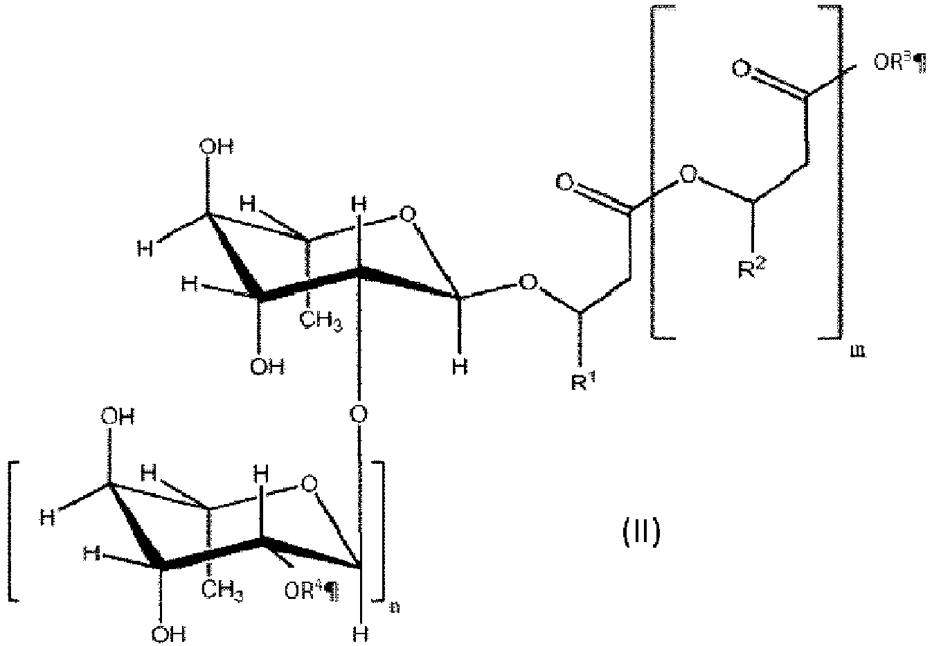
- a first object of the invention is directed to an agent containing at least one alkoxylated surfactant (A) from the group of alkoxylated fatty acid amides (I) and at least one glycolipid biosurfactant (B) comprising rhamnolipids, sophorolipids, trehaloselipids, mannosylerythritolollipids, and cellobioselipids.
- A alkoxylated surfactant
- B glycolipid biosurfactant
- fatty acid amides of the formula (I) with an HLB> 10.5 and ⁇ 12.0.
- ethoxylated fatty acid amide based on rapeseed oil is highly preferred according to the invention: amides, rape oil, N - (hydroxyethyl), ethoxylated; INCI name: PEG-4 rapeseed amide, or rapeseed amide or PEG-4 rapeseedamide. Trade name: Amidet® N from Kao.
- the alkoxylated surfactant (A) is based on a mixture of fatty acid derivatives based on C18 vegetable oils with different chain length and degree of saturation.
- the mixture preferably follows the fatty acid distribution in the native oil or as obtained in the reaction of naturally occurring vegetable oils or fats.
- fatty acid ester or fatty acid amide mixtures for the synthesis of the surfactant class - as they occur in the conversion of naturally occurring vegetable oils or fats - the surfactants can be produced inexpensively, resource-efficiently and in an environmentally friendly manner. Additional purification methods, such as the separation of the fatty acids, or fatty acid esters by fractional distillation or additional synthesis steps, such. to the fatty alcohol, are not needed here.
- the surfactant mixtures used show an increased cleaning performance.
- compositions preferably contain from 0.1 to 50% by weight of one or more alkoxylated surfactants (A), more preferably from 0.1 to 25% by weight, particularly preferably from 0.1 to 10% by weight and very particularly preferably from 0.25% by weight to 5% by weight. -%. Wt .-% based on the total agent.
- alkoxylated surfactants A
- Biosurfactants are generally surfactants of biological origin. They do not undergo chemical reaction such as the synthetic glycolipids e.g. Alkyl polyglycosides (APG). Biosurfactants can be found in living organisms, or arise in the cultivation of various microorganisms such as e.g. Fungi, yeasts, viruses, bacteria or enzymes.
- APG Alkyl polyglycosides
- glycolipid biosurfactants can be obtained directly by the use of natural raw materials by microbiological processes, while the preparation of synthetic glycolipids usually further chemical steps, such as the reduction of fatty acid to fatty alcohol caused.
- glycolipid biosurfactants By biologically modifying the sugar moiety, glycolipid biosurfactants have specific properties, such as those skilled in the art, of good fat dissolving power.
- the structure of the glycolipid biosurfactants and the chain lengths of the hydrophobic part varies depending on the microorganism or substrate used.
- glycolipid biosurfactants (B) include rhamnolipids, in particular mono-, di- or poly-pyrnolipids, sophorolipids in their acid or lactone form or as their mixtures, diacetylated, acetylated or non-acetylated, trehaloselipids, mannosylerythritolollipids and cellobioselipids.
- Suitable substrates for glycolipid biosurfactants are a wide variety of carbon sources known from the literature, such as vegetable oils and the glycerides or fatty acid methyl esters, fatty acids, fatty alcohols, fatty acid methyl esters or ethyl esters, carbohydrates, eg cellulose, glucose, starch, C4 sources such as succinate, Butane, butyric acid, C1 sources such as CO 2 , CO or methane, oil and / or carbohydrate-containing wastewater from refineries or the food industry and mixtures thereof.
- carbon sources known from the literature, such as vegetable oils and the glycerides or fatty acid methyl esters, fatty acids, fatty alcohols, fatty acid methyl esters or ethyl esters, carbohydrates, eg cellulose, glucose, starch, C4 sources such as succinate, Butane, butyric acid, C1 sources such as CO 2 , CO or methane, oil and / or carbohydrate-containing wastewater from refineries or the food industry
- Preferred microorganisms for producing the biosurfactants are Bacillus, Candida, Pseudomonas, Trichosporan and / or Pseudozyma strains and others as described in the relevant literature, in particular Bacillus licheniformis, Bacillus subtilis, Burkholderia, Candida apicola, Candida antarctica, Candida batistae, Candida bogoriensis, Candida bombicola , Candida sp., Cryptococcus humicola, Gordonia, Mycobacterium tuberculosis, Nocardia cornynebacterium, Pichia anomala, Pseudomonas aeruginosa, Pseudozyma aphidis (MEL), Pseudomonas sp, Pseudozyma antarctica (MEL), Pseudozyma parantarctica, Pseudozyma fusiformata, Rhodococcus,
- the glycolipid biosurfactants can, for. B. as in EP 0 499 434 . US 7,985,722 . WO 03/006146 . JP 60-183032 . DE 19648439 . DE 19600743 . JP 01-304034 . CN 1337439 . JP 2006 - 274233 . KR 2004033376 . JP 2006-083238 . JP 2006-070231 . WO 03/002700 . FR 2740779 . DE 2939519 . US 7,556,654 . FR 2855752 . EP 1445302 . JP 2008-062179 and JP 2007-181789 , Mannosylerythritol: WO 2004/020647 . JP 20042544595 , or the writings cited therein.
- Rhamnolipids are accessible via organisms such as Pseudomonas and Burkholderia, both wild types.
- Commercially available rhamnolipids are available from Evonik under the trade name Rewoferm®, The Gene Biotech or from Jeneil Biosurfactant Co.LLC.
- Particularly preferred in this invention are the rhamnolipids from Evonik Rewoferm® and JBR 425 from Jeneil Biosurfactant, in particular JBR 425.
- sophorolipids may contain impurities from the manufacturing process, such as fatty alcohols, fatty acids, fatty acid esters, triglycerides or oils, sugars, especially glucose, sophorose, or organic acids.
- the biosurfactant can be structurally modified, e.g.
- the ratio of lactone form to free acid can be controlled by the substrate.
- Examples of preferred substrates for sophorolipids from the literature are corn oil ( EP 0282942 ), Oil of C22 fatty acids ( KR20100022289 ), Olive oil ( ES 2018637 . CN 1431312 ), Rapeseed oil or esters ( CN 102250790 . US2008032383 ), Sunflower or rapeseed fatty acid esters ( DE4319540 . FR 2692593 ) or waste oils or fats ( JP 2004254595 . JP 2007252279 . CN 101845468 . CN 101948786 ).
- Sophorolipids are accessible by a variety of different organisms known in the art such as Candida bombicola, Starmerella or Wickerhamiella.
- sophorolipids having the trade names Sophogreen, Sophoclean, Soliance S.
- Mannosylerythritol lipids can be obtained by Pseudozyma Antarctica NBRC 10736 in a nutrient medium with soybean oil, alternatively they are accessible by the fungus Ustilago maydis.
- Tetralose dimycolates, tetralose monomycolates, succinyl trehalose lipids and trehalose tetraesters or mixtures thereof are preferably suitable according to the invention.
- Trehaloselipids can be obtained by literature methods by Rhodococcus erythropolis, Arthobacter spec., Gordonia, Mycobacterium tuberculosis, Nocardia cornynebacterium spec. or Tsukamurella spec. to be obtained.
- the agents preferably contain 0.1 to 50 wt .-% of one or more glycolipid biosurfactants, more preferably 0.1 to 25 wt .-%, particularly preferably 0.1 to 10 wt .-% and most preferably 0.3 to 8 wt .-%, based on the total agent.
- alkoxylated surfactant (s) (A) and glycolipid biosurfactant (s) (B) may be combined in any proportion.
- the surfactants (A) to the glycolipid biosurfactants (B) in a ratio between (A): (B) ⁇ 10: 1 and ⁇ 1: 10 before and very particularly preferably the surfactants (A) are the glycolipid -Biotensiden (B) in a ratio between (A): (B) ⁇ 2: 1 and ⁇ 1: 6 before, most preferred is (A): (B) ⁇ 1: 1 and ⁇ 1: 6; in each case based on the weight percent active content in the entire medium.
- Another object of the invention is directed to an agent additionally containing at least one soap or fatty acid (C), and / or one or more alkoxylated surfactants (D) selected from the group of alkoxylated fatty acid esters, the alkoxylated Fettklareglyceridester, or the alkoxylated vegetable oil esters and mixtures the same.
- C soap or fatty acid
- D alkoxylated surfactants
- the agent additionally contains at least one soap (C) as anionic surfactant.
- Soaps are alkali or ammonium salts of saturated or unsaturated fatty acids of 6 to 24 carbon atoms.
- the surfactant (A) and glycolipid biosurfactant (B) agents may be additionally combined with a soap (C) at neutral or alkaline pH to further improve the overall result, with high carbohydrate or color stain cleaning power.
- the addition of soap has positive effects on the cleaning performance, depending on the embodiment.
- Exemplary representatives of the products useful in the present invention are sodium olive oil soaps, potassium rapeseed oil soaps, ammonium thistle oil soaps, sodium linseed oil soaps, sodium sunflower oil soaps, sodium soybean oil soaps, linseed fatty acids, olive oil fatty acids and others.
- the soaps are present as a mixture according to the fatty acid distribution in the native oil or as obtained in the reaction of naturally occurring vegetable oils or fats.
- the surfactant or surfactants (C) may be combined in any ratio with (A) and (B) and optionally (D).
- the surfactants (C) are present in the surfactant (A) + glycolipid-biosurfactant (B) mixture in a ratio between (C) :( A + B) ⁇ 100: 1 and ⁇ 1: 200; for example, 50: 1, 20: 1, 9: 1, 8: 1, etc
- the surfactants (C) are particularly preferably present in a ratio between (C) :( A + B) ⁇ 50: 1 and ⁇ 1: 20, and very particularly preferably the surfactants (C) are present in a ratio of (C) :( A + B) ⁇ 20: 1 and ⁇ 1: 10 before; in each case based on the weight percent active content in the entire medium.
- Another advantage of the combinations (A), (B) and (D) is a stronger foaming than in the pure combination (A) and (B), in particular it was surprising that the foam also remains stable much longer.
- the foaming embodiment is desirable for some uses and is exemplified in the embodiments.
- the agents consisting of the one or more surfactants (A) and the glycolipid or biosurfactants (B) at any pH value can be additionally combined with a surfactant (D).
- Suitable surfactants are PEG-6 Almond Oil, PEG-8 Almond Oil, PEG-8 Apricot Kernel Oil, PEG-8 Buxus Chinensis Oil, PEG-6 Apricot Kernel Oil, PEG-40 Apricot Kernel Oil, PEG-8 Argan Oil, PEG-8 Avocado Oil, PEG-11 Avocado Oil, PEG-8 Borage seed oil, PEG-8 macademia tenuifolia oil, PEG-6 corn oil, PEG-8 corn oil, PEG-8 grapeseed oil, PEG-8 hazelnut oil, PEG-8 linseed oil, PEG-6 olive oil, PEG-7 olive oil, PEG-7 olive oil, PEG-8 Olea Europaea Oil, PEG-7 Olive Oil, PEG-7 Olive Oil, PEG-8 Olive Oil, PEG-10 Olive Oil, PEG-8 Oryza Sativa Oil, PEG-8 Prunus Dulcis, PEG-8 Persea Gratissma Oil, PEG-8 Passiflora edulis seed
- Ethoxylated rapeseed methyl ester (EO 7-15), ethoxylated rapeseed ethyl ester (EO 7-15), ethoxylated soybean methyl ester (EO 7-15), ethoxylated soya ethyl ester (EO 7-15).
- alkoxylated surfactants having an HLB> 10.5 and ⁇ 12.0.
- these representatives are rapeseed methyl ester oxylate 7 EO, olive oil glycereth-PEG-8 ester, almond oil PEG-7 ester, PEG-10 olive glycerides.
- agents which are characterized in that they contain, based on their weight, from 0.1 to 50% by weight, preferably from 0.1 to 10% by weight and particularly preferably from 0.2 to 5% by weight of one or more additional alkoxylated surfactants, in each case based on the total agent.
- the surfactant or surfactants (D) may be combined in any ratio with (A) and (B) and optionally (C).
- the surfactants (D) are present in the surfactant (A) / glycolipid-biosurfactant (B) mixture in a ratio between (D) :( A / B) ⁇ 50: 1 and ⁇ 1: 50; for example, 20: 1, 9: 1, 8: 1, etc
- the surfactants (D) are particularly preferably present in a ratio of between (D) :( A / B) ⁇ 20: 1 and ⁇ 1: 20, and most preferably the surfactants (D) are present in a ratio of (D) :( A / B) ⁇ 10: 1 and ⁇ 1: 10 before, most preferably (D): (A / B) ⁇ 3: 1 and ⁇ 1: 10; in each case based on the weight percent active content in the entire medium.
- surfactant is understood as meaning amphiphilic organic substances having surface-active properties which are concentrated at the interface adsorb between two liquids, such as oil and water and have the ability to reduce the surface tension of water.
- surfactants tend to self-aggregate and form structures such as micelles, lamellar structures, etc.
- those surfactants (E) having the ability to absorb the surface tension of water at 20 ° C and at a concentration of 0.5% by weight are suitable to reduce the total amount of preparation to below 45 mN / m.
- optional surfactants which can be freely combined by the skilled person with the inventive composition, is based on the relevant specialist literature such as Richard J. Farn, Chemistry and Technology of Surfactants, Blackwell Publishing , referenced. Some examples are mentioned below, wherein the hydrocarbon chains derived from fatty acids or synthetic hydrocarbons comprise saturated or unsaturated, substituted or unsubstituted, linear or branched with 4-24 carbon atoms in the hydrocarbon chain.
- Optional surfactants preferably include, but are not limited to, other surfactants from C18 vegetable oils.
- nonionic surfactants which can be freely combined by the skilled person with the agent according to the invention are, for example, alcohol polyglycol ethers, ie. ethoxylated and / or propoxylated alcohols having 1-40 ethylene oxide (EO) and / or propylene oxide (PO) units, amine oxides, polyethylene glycol mercaptans, glycolipids, such as alkyl polyglycosides having 1-10 glycoside units, polyhydroxy fatty acid amides, polyhydroxy fatty acid esters, carboxylic acid esters, sorbitan esters, and alkoxylated Sorbitan esters, alkanolamine-carboxylic acid condensates, N-alkylpyrrolidones, amidoalkyl-2-pyrrolidones.
- alcohol polyglycol ethers ie. ethoxylated and / or propoxylated alcohols having 1-40 ethylene oxide (EO) and / or propylene oxide (PO) units
- Suitable optional anionic surfactants which can be combined freely by the skilled person with the agent according to the invention are acyl lactylate, fatty alcohol carboxylates, alkyl polyglycol ether carboxylates or mixtures thereof.
- anionic surfactants are used according to the formula RCOX with X the hydrophilic part and RCO derived from a C18 vegetable oil.
- the less preferred sulfur surfactants, phosphates or phosphonates can be used.
- examples are alkylbenzenesulfonates, alkane / alkene sulfonates, alkyl sulfates or fatty alcohol sulfates, alkylpolyglycol ether sulfates having 2 to 6 ethylene oxide units (EO) in the ether part, and also sulfosuccinates, carboxamide ether sulfates, sulfosuccinic acid mono- and di-alkyl esters, ⁇ -olefinsulfonates, alkyl isethionate, acyl isethionate, alkyl sulfoacetates, sulfonated fatty acids, sulfonated Fatty acid esters, such as sulfonated fatty acid glycerol esters and sulfonated fatty acid methyl esters, N-acylaminosulfonic acids
- compositions of the invention show a comparable cleaning performance to conventional agents with sulfur surfactants, even without the use of sulfur surfactants.
- a preferred embodiment is free of all sulfur surfactants.
- the water-polluting phosphates and phosphonates without sacrificing the cleaning performance can be dispensed with.
- Another preferred embodiment is phosphate and phosphonate free.
- amphoteric surfactants which may be freely combined with the inventive agent by the skilled person, may be included, such as N-alkyl betaines, imidazolinium betaines, amine oxides, and less preferably alkylamidobetaines, sulfobetaines, phosphobetaines and sultaines.
- the agent may optionally contain cationic surfactants, for example primary, secondary, tertiary or quaternary alkylammonium salts of the formula (RI) (RII) (RIII) (RIV) N + X - , in which RI to RVI independently of one another are identical or different alkyl radicals, branched and unbranched, saturated or unsaturated, unsubstituted, monosubstituted or polysubstituted, or H, wherein X - represents an anion.
- cationic surfactants for example primary, secondary, tertiary or quaternary alkylammonium salts of the formula (RI) (RII) (RIII) (RIV) N + X - , in which RI to RVI independently of one another are identical or different alkyl radicals, branched and unbranched, saturated or unsaturated, unsubstituted, monosubstituted or polysubstituted, or H, wherein X
- compositions contain surfactants (E) derived from C-18 vegetable oils having the lipophilic residues R derived from fatty acids RCOOH, such as defined under (I).
- the radicals R are preferably present as a mixture according to the fatty acid distribution in the native oil or as they arise in the reaction of native oils.
- the agent contains a proportion of surfactants consisting of surfactant (A) of the formula (I), the surfactants (C) and (D), and optionally surfactants (E), with the proviso that the surfactant or surfactants (E) derived from a C-18 vegetable oil, and biosurfactant glycolipids (B), which is in total ⁇ 30%, preferably ⁇ 60%, more preferably ⁇ 95% and most preferably ⁇ 99%, based on the total content of surfactants in Wt .-% in the agent.
- composition according to the invention may contain all solvents customary in detergents and cleaners. They serve to stabilize the formulation, the solubilization of poorly soluble ingredients and to increase the cleaning performance.
- the agent contains water as solvent, wherein more than 5 wt .-%, preferably more than 15 wt .-% and particularly preferably more than 25 wt.% Water, in each case based on the total amount of the composition ,
- Particularly preferred agents contain - based on their weight - 5 to 98 wt .-%, preferably 10 to 90 wt .-%, particularly preferably 25 to 75 wt.% Water.
- they may be water-poor or anhydrous, with the content of water in a preferred embodiment being less than 10% by weight, and more preferably less than 8% by weight, based in each case on the total liquid agent.
- the agent is anhydrous, the agent containing an organic solvent as the main solvent. It is preferred that the agent contains 5 to 98 wt .-%, preferably 10 to 90 wt .-%, particularly preferably 25 to 75 wt .-% solvent.
- Exemplary solvents are the following compounds named according to INCI: Alcohol denat. (Ethanol), alcohols, buteth-3, butoxy diglycol, butoxyethanol, butoxyisopropanol, butoxypropanol, n-butyl alcohol, t-butyl alcohol, butyl 3-hydroxybutyrate, butylene glycol, butyloctanol, C1-C6 alkanes, C7-C15 alkanes , Diethylene glycol, diethylene glycol monobutyl ether, dimethoxy diglycol, dimethyl ether, dimethyl 2-methylglutarate, dipropylene glycol, dipropylene glycol phenyl ether, ethyl lactate, 2-ethyl lactate, ethyl levulinate glycerol ketal, ethyl levulinate propylene glycol ketal, ethylene glycol ketal, ethoxydiglycol, ethoxyethanol, Ethyl hex
- solvents are selected from the group of solvents derived from vegetable raw materials that are biodegradable. Particular preference is given to solvents which contain no VOCs (volatile organic compounds).
- a particularly preferred embodiment additionally contains fatty acid alkyl esters of the formula R-CO-OR 25 as solvent wherein the fatty acid alkyl ester consists of a mixture of different chain lengths and saturation levels of the fatty acid residue RCO as defined in surfactant (A) and derived from a C18 vegetable oil; and wherein R 25 is a linear or branched hydrocarbon of 1-5 carbon atoms, preferably consisting of a methyl or ethyl group, more preferably methyl.
- Preferred representatives are rapeseed methyl ester, sunflower methyl ester, thistle methyl ester or soybean methyl ester.
- Softeners and complexing agents INCI chelating agents, sequestrants According to the invention, all complexing agents customary in detergents and cleaners are suitable. They increase the detergency and the stability of the agents.
- the complexing agents in the compositions according to the invention additionally increase the foam formation and stability by a factor of 2-4.
- Softeners and complexing agents from the groups of phosphates and phosphonates, phyllosilicates, zeolites, carbonates and polycarboxylates, aminopolycarboxylic acids, such as aminoacetic acids and polyaminoacetic acids and their salts, hydroxycarboxylic acids and their salts, polyglycosides and -gluconic acids and their salts are suitable according to the invention.
- Suitable examples are the following complexing agents: aminotrimethylene phosphonic acid, beta-alanine acetoacetic acid, calcium disodium EDTA, chitosan, citric acid and its salts and hydrates, cyclodextrin, cyclohexanediamine tetraacetic acid, diammonium citrate, diammonium EDTA, diethylenetriamine pentaacetic acid, diethylenetriamine pentamethylene phosphoric acid, dipotassium EDTA, disodium Azacycloheptane diphosphonate, disodium EDTA, disodium pyrophosphate, EDTA, ethylenediamine- N, N'-disuccinic acid (EDDS), etidronic acid, galactaric acid, ⁇ -glucan, gluconic acid, glucuronic acid, glucoheptonic acid, HEDTA, hydroxypropyl cyclodextrin, methyl cyclodextrin, pent
- the agents according to the invention contain complexing agents which are biodegradable.
- the compositions according to the invention therefore preferably contain no phosphates, no phosphonates, no EDTA and no polycarboxylates.
- Very particularly preferred in this invention are the following complexing agents based on renewable raw materials, such as beta-alanines diacetic acid, cyclodextrin, diammonium citrate, galactaric acid, gluconic acid, glucuronic acid, methylcyclodextrin, hydroxypropyl cyclodextrin, polyaspartic acid, alkali salts of gluconates, sodium carbonate, carboxymethyl inulin and sodium carboxymethyl inulin (NaCMI), sodium citrate, sodium dihydroxyethylglycinate, sodium gluconate, sodium glucoheptonate, sodium iminodisuccinate, sodium lactate, sodium lignosulfate, tetrasodium GLDA (I-glutamic acid, N, N-di (acetic acid), tetrasodium salt ), Citric acid and its salts,
- Preferred preparations according to the invention comprise at least one complexing agent in a total amount of 0.1-20% by weight, preferably 0.2-15% by weight, in particular 0.5-10% by weight, based on the total amount of the preparation.
- agents with tetrasodium GLDA, sodium citrate and sodium gluconate as complexing agents are disclosed by way of example. According to the invention, these softeners and complexing agents can be freely combined with other ingredients in a manner well known to those skilled in the art.
- composition according to the invention can contain all preservatives customary in detergents and cleaners, which can be freely combined with other ingredients by the person skilled in the art for the purposes of this application.
- active compounds from the groups of alcohols, aldehydes, antimicrobial acids or their salts, carboxylic esters, acid amides, phenols, phenol derivatives, diphenyls, diphenylalkanes, urea derivatives, oxygen and nitrogen acetals and formals, benzamidines, isothiazoles and derivatives thereof such as Isothiazolinones, phthalimide derivatives, pyridine derivatives, surface active compounds, guanidines, antimicrobial amphoteric compounds, quinolines, 1,2-dibromo-2,4-dicyanobutane, iodo-2-propynyl-butyl-carbamate, iodine, iodophores and peroxides.
- antimicrobial agents selected from antimicrobial peptides, ethanol, benzyl alcohol, dehydroacetic acid and its salts, sorbic acid and potassium sorbate, vegetable organic acids and their salts, formic acid, glycerol, citric acid, lactic acid, salicylic acid, and their salts.
- the embodiment without chemical preservatives as disclosed in the embodiments i. in particular without parabens, without formaldehyde-containing preservatives or formaldehyde releasers, without isothiazoles and their derivatives, without halogen-containing compounds, without phthalimides, without benzalkonium chloride, without benzoic acid, without phenoxyethanol.
- the addition of known strong foaming surfactants to the inventive agent is possible.
- saponins for example saponins from the Indian soapnut (Sapindus mukorossi), Korean ginseng (Panax ginseng), agave plants, Inca cucumber (Cyclanthera pedata), sweet wood (Glycyrrhiza glabra), ivy (Hedera), cowslip ( Primula veris), chickweed (Stellaria media), forest Sanickel (Sanicula europaea), thorny toad (Ononis spinosa), legumes (Leguminosae), Spinach (Spinacia), Asparagus (Asparagaceae), Oats (Avena), (Ononis spinosa), Wegblümchen (Maianthemum bifolium), Soa
- the amount of saponins is usually up to 5 wt .-%, preferably 0.001 to 3 wt .-%, in particular 0.01 to 2 wt .-%. (Wt .-% active based on the total agent)
- the saponins can be freely combined with other ingredients in the inventive composition.
- the pH of the agent according to the invention can be adjusted by means of customary pH regulators, with different pH ranges from acidic (pH 0-4) to neutral (pH 5-7) to basic (pH 8-14), depending on the application. be set.
- the pH-adjusting agents are acids and / or alkalis. Suitable acids are in particular organic acids such as formic acid, acetic acid, citric acid, glycolic acid, lactic acid, succinic acid, adipic acid, malic acid, tartaric acid and gluconic acid or amidosulfonic acid.
- acids which are obtained from vegetable raw materials such as acetic acid, citric acid, lactic acid, malic acid and tartaric acid and to the mineral acids hydrochloric acid, sulfuric acid and nitric acid or mixtures thereof.
- Preferred bases are selected from the group of alkali and alkaline earth metal hydroxides and carbonates.
- the agent may contain ammonia and alkanolamines.
- compositions according to the invention can also contain solubilizers, so-called hydrotropes.
- solubilizers so-called hydrotropes.
- hydrotropes are all commonly used for this purpose in detergents and cleaning agents used.
- Builders which are commonly used in detergents and cleaners, are suitable.
- the builders can be freely combined with other ingredients by those skilled in the inventive composition.
- Especially preferred in the composition according to the invention are builders based on renewable raw materials that can be obtained from plants of the temperate zone, such as polyaspartates, polycarboxylates such as citrates, and gluconates, succinates or malonates.
- fragrances and dyes customary in detergents and cleaners can be added to the composition according to the invention.
- Preferred dyes and fragrances the selection of which presents no difficulty to the skilled person, have a high storage stability and insensitivity to the other ingredients of detergents or cleaners.
- the dyes have no pronounced substantivity to textile fibers or hard surfaces and do not stain them.
- neither color nor fragrances are added.
- the compositions have a satisfactory aesthetics and a pleasant fragrance even without the addition of dyes or fragrances, so as to enable embodiments without dyes and / or fragrances, such as for consumers with allergies and / or sensitive skin.
- the agent may optionally contain enzymes, especially in the embodiments of textile, specialty and dishwashing.
- the enzymes can be combined in the agent according to the invention by the person skilled in the art with all other ingredients mentioned here. Preference is given to using proteases, lipases, amylases, hydrolases and / or cellulases. They can be added to the composition according to the invention in any form established according to the prior art be added. In the case of liquid or gel-containing compositions, these include, in particular, solutions of the enzymes, preferably highly concentrated, low in water and / or mixed with stabilizers. Furthermore, the enzymes can be applied encapsulated.
- enzyme stabilizers can be added to the enzyme-containing agent.
- suitable enzyme stabilizers are, for example: benzamidine hydrochloride, borax, boric acids, boronic acids or their salts or esters, especially derivatives with aromatic groups, for example substituted phenylboronic acids or their salts or esters; Peptide aldehydes, amino alcohols such as mono-, di-, triethanol- and -propanolamine and mixtures thereof, aliphatic carboxylic acids up to C12, such as succinic acid, other dicarboxylic acids or salts of said acids; end-capped fatty acid amide alkoxylates; lower aliphatic alcohols and especially polyols, for example glycerol, ethylene glycol, propylene glycol or sorbi
- biotechnologically produced enzymes with the aid of non-genetically modified organisms (non GMO), stabilizers based on renewable raw materials and / or mineral substances, for example boric acid and / or borax, reducing sugars, succinic acid or other dicarboxylic acids, polyamino compounds in particular based on natural amino acids.
- non GMO non-genetically modified organisms
- stabilizers based on renewable raw materials and / or mineral substances, for example boric acid and / or borax, reducing sugars, succinic acid or other dicarboxylic acids, polyamino compounds in particular based on natural amino acids.
- an outstanding cleaning performance with respect to carbohydrates is found, which is quite comparable with enzyme-containing agents, this is disclosed by way of example in the exemplary embodiments.
- a particularly preferred embodiment of the invention is therefore those without cellulases or amylases, very particularly preferred is the enzyme-free embodiment. This is especially beneficial for consumers with allergies and / or sensitive skin. Enzyme-free embodiments with comparable cleaning power are disclosed in the embodiments.
- the liquid or gel embodiment of the composition according to the invention preferably has a viscosity of from 0.4 to 10000 mPa.s. on.
- the agent may contain viscosity regulators.
- the amount of viscosity regulators is usually up to 1.5 wt .-%, preferably 0.001 to 1.0 wt .-%, in particular 0.01 to 0.5 wt .-%; % By weight of active ingredient based on the total agent.
- Suitable viscosity regulators include organic modified natural products (carboxymethylcellulose and other cellulose ethers, hydroxyethyl and - propylcellulose and the like, core flour ethers), organic fully synthetic thickeners (polyacrylic and polymethacrylic compounds, vinyl polymers, polycarboxylic acids, polyethers, polyimines, polyamides) and inorganic thickeners (polysilicic acids , Phyllosilicates, clay minerals such as montmorillonites, zeolites, silicas), as well as organic natural thickeners (agar-agar, carrageenan, xanthan, tragacanth, gum arabic, alginates, pectins, polyoses, guar flour, locust bean gum, starch, dextrins, gelatin, casein) ,
- the viscosity regulators are natural organic thickening agents from vegetable raw materials - including algae - for example, polysaccharides such as pectins or starch.
- no organic fully synthetic thickeners such as polyacrylic and polymethacrylic compounds, vinyl polymers, polycarboxylic acids, polyethers, polyimines, or polyamides are used.
- inorganic thickeners are also preferred.
- the viscosity regulators can be freely combined by the skilled person with other ingredients mentioned here.
- Another object of the invention relates to a method for cleaning.
- Methods for cleaning are generally distinguished by the fact that different cleaning-active substances are applied to the items to be cleaned and washed off after the contact time, or that the items to be cleaned are otherwise treated with a detergent or a solution of this agent.
- temperatures of up to 90 ° C. and less are used in various embodiments of the invention. Preference is given to temperatures below 60 ° C and very particularly preferred are temperatures that do not require heating the water temperature for energy saving reasons (about 20 ° C). These temperature data refer to the temperatures used in the washing steps.
- the agent is applied to solid substrates, such as cloths of textile, composite, non-woven, nonwoven, paper, wadding or felt, among others. applied. These are impregnated with the agent by a pressing, dipping, wiping or spraying process.
- the invention also relates to the use of the agent for improving the washing or cleaning performance, in particular on dye, pigment or carbohydrate contaminants.
- composition according to the invention can be used as or for the production of detergents and cleaners for surfaces made of natural or manufactured, hard or flexible materials, as well as textiles, carpets or natural fibers.
- the washing and cleaning agents also include washing aids which are added to the actual agent during manual or mechanical cleaning.
- detergents within the scope of the invention also include pre- and post-treatment agents, ie those agents which are used before the actual cleaning, for example for dissolving stubborn soiling.
- the funds can be applied to the items to be cleaned, which can be found in household, industry, trade or institutions, port facilities, as well as industrial and recreational, and sports facilities.
- the agent is used for cleaning hard surfaces or textiles.
- Hard surfaces in the context of this application are windows, mirrors, and other glass surfaces, surfaces made of ceramic, plastic, metal or wood, flat or uneven, painted and unpainted, flexible surfaces are, for example, plastic sheeting, foam, skin, earth or others.
- natural surfaces are surfaces of living beings, humans, animals, plants or soil; such as skin, hair, soil, plants and their fruits or leaves, leather.
- Textiles and fibers are in the sense of the application substances, clothing, upholstery, carpets, yarns, u.a.
- the agent is used at acidic pH between 0 and 7, preferably between 1 and 6, and most preferably at a pH between 2 and 4.
- the combination of the invention shows a very good suitability for acidic cleaners and shows in particular a very good lime release power at acidic pH.
- the agent according to the invention is therefore suitable for use in limesolvent detergents or cleaners, especially as sanitary cleaners, WC cleaners, lime solubilizers, rinse aids, dishwashing detergents, food-grade cleaning agents, such as, for example, detergents. for breweries, bakeries and others.
- the agent is used at an alkaline pH of between 7 and 14, preferably between 8 and 12.
- alkaline pH Typical examples of uses at alkaline pH are detergents, surface cleaners, kitchen cleaners, grill and oven cleaners, rim cleaners, and others.
- the agent is employed at neutral pH between 5 and 8, e.g. when skin-neutral pH is desirable, such as in a dishwashing detergent, neutral detergent, surface cleaner, and others.
- the agent may be present as a liquid, solution, dispersion, emulsion, lotion or gel. It can be used as a spray, foam, Tunknierkeit and adsorbed to powders, granules or tabs. It is suitable for direct application, as well as for use via an aid such. a towel.
- a particular product form are solid substrates, such as cloths. These are soaked with the composition according to the invention, sprayed, coated or used up by another method. Solid substrates have the advantage of being in them the preparation is already prescribed in the correct dosage. This is in particular contrary to the consumer desire of convenience, they are easy to handle, to use directly and without additional steps and can also be used well when traveling, for example, when traveling, even if no water is available.
- compositions according to the invention are used in industry, for example for the purification of food-grade or industrial plants, e.g. in the metalworking industry, the food processing industry, commercial kitchens, chemical and pharmaceutical, paper and textile industries, and the like.
- the agents are used in the household for cleaning surfaces and / or textiles, as well as in the commercial or institutional area, such as in hotels, cleaning companies, clinics, schools or public buildings.
- compositions according to the invention are suitable for cleaning and washing preparations such as, for example, hand soaps, hand dishwashing detergents, machine dishwashing detergents, dishwashing detergents, washing machine cleaners, toilet cleaners or toilet cleaners, universal or all-purpose cleaners, kitchen cleaners, bathroom or sanitary cleaners, floor cleaners, oven and oven cleaners Grill cleaners, glass and window cleaners, metal cleaning agents, upholstery and carpet cleaners, heavy-duty detergents, color detergents, mild detergents, textile auxiliaries, pretreatment agents, special detergents and cleaners, and other agents for industrial & commercial or institutional cleaning, textile and fiber treatment agents, Agent of leather treatment, as well as other forms of preparation.
- the detergents and cleaners are suitable both for dilute application, as well as for direct application to the substrate to be cleaned.
- the liquid or gel embodiment is water or an organic solvent, most preferably the aqueous embodiment.
- surfactants are designated as follows. All concentration data refer to the active content of the ingredients throughout the preparation.
- Comparative washing tests were performed according to the AISE protocol November 2013. Washing temperature: 40 ° C, dosage: 70 ml, washing machine load: 3kg, water hardness: 4.36 mmol CaCO 3 / l (hard water conditions) Representative stain set according to AISE on cotton: Tea, coffee, red wine, fruit juice, tomato puree, carrots baby porridge, French mustard, chocolate, grass, grass / mud, blood, unused motor oil, frying fat, make-up. Standardized soiled test fabric can be purchased from EMPA (Swiss Federal Institute for Materials and Testing Switzerland). Evaluation by statistical evaluation of the washing results.
- the stains were categorized into carbohydrate-rich stains and color stains. It then became the statistical washing performance per stain type, the total washing performance as the arithmetic mean of all stains, the average washing performance on predominantly carbohydrate stains such as cellulose or starch and the averaged washing performance of the predominantly bleachable stains (dye and pigment stains) of the different test formulations.
- compositions according to the invention show surprisingly good cleaning with carbohydrate stains such as starch and cellulose.
- the washing performance of the combination of surfactants A with the glycolipid biosurfactants are shown by way of example with B1 in Table 1 and B4 in Table 2.
- the surfactant combinations A / B1 or A / B4 exceed the washing performance of the formulations with the individual surfactants (Ex 1, 2) on carbohydrate-containing stains. So there is a synergistic surfactant A / B combination.
- carbohydrate-degrading enzymes such as amylases or cellulases, they even surpass the enzyme-containing reference market product (reference A).
- reference B In order to exclude effects due to the washing base, a washing solution is also tested only with soap, as shown in Table 1, reference B.
- Another reference C shows by way of example the combination of the glycolipid biosurfactant with another nonionic ethoxylated surfactant (HLB 14) based on sunflower oil instead of surfactant A.
- HLB 14 nonionic ethoxylated surfactant
- compositions according to the invention also show an unexpected improvement in detergency compared with the comparison formulations in the area of bleachable stains (dyes and pigments). These stains are generally not water soluble. An unusually high washing performance is achieved with pens, coffee and red wine.
- the agent according to the invention therefore additionally exhibits a synergistic detergency increase on color stains (Tables 1 and 2). Despite dispensing with often ecologically questionable bleaching agents, the compositions of the invention show an exceptionally good cleaning performance on bleachable stains.
- pH setting pH setting. water ad 100 ad 100 ad 100 Average washing performance all stains 2:47 1.65 1:47 carbohydrate stains 2.2 1.3 1.2 color spots 3.2 2.4 2.4 Carbohydrates: starch, cellulose (fruit juice, tomato puree, carrot, mustard, grass, gravy) color stains: bleachable stains (tea, coffee, red wine, earth, pens)
- an analogous oleic acid derivative was used as reference D instead of surfactant A.
- Oleic acid is the monounsaturated fatty acid with a chain length of 18 carbon atoms.
- cocamide DEA cocamide DEA, a C12 compound, was chosen.
- Example 3 the inventive combination of surfactant A with biosurfactant B1 shows very good individual and total washing performance, when using the non-inventive combination of biosurfactant with a surfactant based coco fatty acids or oleic acid no synergy on carbohydrate or color spots is found. It is therefore essential for the invention to have a distribution of different fatty acid lengths and degrees of saturation according to C-18 plants.
- synergistic combinations can additionally be combined with soap (C) (see Tables 1 and 2), further ethoxylated surfactants (D) or solvents (here: rapeseed methyl ester) (Table 4). While soap or nonionic alkoxylated surfactants alone combined with biosurfactant show no synergistic effect on carbohydrate or color stains, the wash performance of combination A / B surprisingly remains high, and in some cases is even enhanced.
- Table 4 shows that the synergistic effect on carbohydrate stains and color stains is retained even when adding a third surfactant (D) or when adding a fatty acid alkyl ester, as exemplified here by rape methyl ester. All novel detergents 7-13 are distinguished by very high washing performance, in particular on carbohydrate and color stains.
- the mixtures according to the invention are preferably suitable for the cleaning of textiles, for example as detergents, as bleaching agents, as pretreatment agents, as carpet cleaners, as upholstery cleaners, inter alia
- the synergistic effect of removing carbohydrate dirt or stains can also be used in the cleaning of natural or manufactured, hard or flexible surfaces, even at acidic or neutral pH.
- test series are each standardized to the detergency of a surfactant.
- biosurfactant glycolipid 1 was selected as the standard in Table 6 surfactant A.
- cocamide DEA a surfactant which comes closest to use and behavior surfactant A.
- Cocamide DEA is derived from coconut or palm oil. Contrary to expectations, cocamide DEA and surfactant A show a very different behavior: While cocamide DEA as the sole surfactant shows a comparable detergency to carbohydrates as the biosurfactant, the detergency of the coconut fatty acid analogue in combination with the biosurfactant (negative synergistic) worsens.
- the carbohydrate dissolving power of the test solutions based on the carbohydrate dissolving power of the glycolipid biosurfactant 1 becomes 100%.
- Surfactant A or R combined with biosurfactant 1, each 0.5% by weight Surfactant A 100% 94% 108% Surfactant R 100% 100% 93%
- biosurfactant glycolipid 4 gives a total result of 3.3 as an 8% solution while the 1: 1 mixture with surfactant (A) has a total washing power of 1.32.
- Exemplary are the foam height and stability test results for the addition of alkoxylated surfactants (D) to a 1: 1 mixture of surfactant (A) and biosurfactant glycolipid B1 in Table 10.
- the foam stability is determined by measuring the foam height after 15 min.
- the foam of the biosurfactant is expected to be improved by the binary mixture with surfactant A. Surprisingly, however, it emerges that the tertiary mixtures with surfactant (D) exceed the foam stability of the binary mixture by about twice.
Landscapes
- Chemical & Material Sciences (AREA)
- Life Sciences & Earth Sciences (AREA)
- Engineering & Computer Science (AREA)
- Chemical Kinetics & Catalysis (AREA)
- Oil, Petroleum & Natural Gas (AREA)
- Wood Science & Technology (AREA)
- Organic Chemistry (AREA)
- Detergent Compositions (AREA)
- Cosmetics (AREA)
Description
Gegenstand dieser Anmeldung sind Mittel, die mindestens ein Glycolipid-Biotensid und mindestens ein alkoxyliertes Fettsäureamid enthalten. Das oder die alkoxylierten Tenside basieren auf Fettsäuren aus Pflanzenölen und weisen einen aussergewöhnlich hohen Anteil an langkettigen (≥ C17), mehrheitlich ungesättigten Kohlenwasserstoffketten auf. Weiterer Gegenstand ist die Verwendung als Wasch- und Reinigungsmittel.This application relates to compositions containing at least one glycolipid biosurfactant and at least one alkoxylated fatty acid amide. The alkoxylated surfactant or surfactants based on fatty acids from vegetable oils and have an exceptionally high proportion of long-chain (≥ C17), mostly unsaturated hydrocarbon chains. Another object is the use as detergents and cleaners.
Die vorliegende Erfindung richtet sich auf ein Mittel mit verbesserter Reinigungsleistung, insbesondere von kohlenhydrathaltiger Verschmutzung und von Anfärbungen, sowie ein Verfahren zur Verbesserung der Reinigungsleistung eines Wasch- und Reinigungsmittels sowie die Verwendung des Mittels.The present invention is directed to an agent having improved cleaning performance, especially carbohydrate-containing soil and stains, as well as a method for improving the cleaning performance of a detergent and cleaning agent and the use of the agent.
Neben der Anforderung an kostengünstige, breit einsetzbare und flexible Tensidsysteme für den Einsatz in Reinigungsmitteln, wächst der Bedarf an umweltfreundlichen und toxikologisch sicheren Inhaltsstoffen. Als Standard werden in der Reinigungsmittelindustrie als primäre Tenside Natrium lauryl sulfat bzw. Natrium laurylether sulfat und Alkylpolyglycoside (APGs) eingesetzt, nicht zuletzt aufgrund der vorteilhaften Kosten-Nutzen Betrachtung. Diese Tenside erweisen sich als robust über einen hohen pH-Bereich, kompatibel mit fast allen üblichen Inhaltsstoffen und damit flexibel einsetzbar bei einer guten Reinigungsleistung gegenüber allen üblichen Schmutzarten.In addition to the requirement for cost-effective, widely used and flexible surfactant systems for use in cleaning agents, the need for environmentally friendly and toxicologically safe ingredients is growing. As a standard, sodium lauryl sulfate or sodium lauryl ether sulfate and alkyl polyglycosides (APGs) are used in the detergent industry as primary surfactants, not least because of the advantageous cost-benefit consideration. These surfactants prove to be robust over a high pH range, compatible with almost all common ingredients and thus flexible applicable with a good cleaning performance against all common types of dirt.
Jedoch wird die Nachhaltigkeit dieser Tenside zunehmend in Frage gestellt, da sie auf Erdöl oder pflanzlichen Ölen aus tropischen Monokulturen basieren. Diese Pflanzenöle, wie z.B. Kokos- oder Palmkernöl, werden aufgrund ihrer technischen Eigenschaften wie vorteilhafte Schaum-, Wasch- und Reinigungsleistung eingesetzt, die sie dank ihrem hohen Laurinsäuregehalt (C12) besitzen.However, the sustainability of these surfactants is increasingly called into question because they are based on petroleum or vegetable oils from tropical monocultures. These vegetable oils, e.g. Coconut or palm kernel oil, because of their technical properties such as advantageous foam, washing and cleaning performance used, they have thanks to their high lauric acid content (C12).
Es ist jedoch eine Tatsache, dass durch die unkontrollierte Rodung wertvoller tropischer Regenwälder zur Gewinnung von Anbaufläche für Palmöl zahlreiche Tier- und Pflanzenarten vom Aussterben bedroht sind. Der Anbau von Palmöl wird zwischenzeitlich in den Medien als der grösste Klimakiller unseres Jahrhunderts bezeichnet. Eine Alternative im Wasch- und Reinigungsbereich ist bis heute nicht verfügbar.However, it is a fact that the uncontrolled clearing of valuable tropical rainforests for the extraction of palm oil is threatening many animal and plant species. The cultivation of palm oil is meanwhile in the media as the largest climate killer of our century designated. An alternative in the washing and cleaning area is not available until today.
In einem geringeren Mass werden seit jeher tierische Öle und Fette, insbesondere Rindertalg für Reinigungsmittel eingesetzt. Aufgrund der Fettsäurezusammensetzung können diese nur begrenzt in bestimmten Anwendungen eingesetzt werden. Aus Konsumentensicht sind tierische Rohstoffe aus hygienischen (z.B. TSE-Problematik) und weltanschaulichen Gründen (z.B. vegan-Trend) oft nicht erwünscht. Weiterhin wird Pflanzenseife seit Jahrtausenden für Wasch- und Reinigungszwecke eingesetzt, deren Anwendung ist aufgrund der Bildung von Kalkseifen und Bindung an einen alkalischen pH-Wert ebenfalls begrenzt.To a lesser extent, animal oils and fats, in particular beef tallow, have always been used for cleaning agents. Due to the fatty acid composition, these can only be used to a limited extent in certain applications. From a consumer point of view, animal raw materials are often undesirable for hygienic (e.g., TSE-problematic) and ideological (e.g., vegan-trend) reasons. Furthermore, vegetable soap has been used for millennia for washing and cleaning purposes, whose application is also limited due to the formation of lime soap and binding to an alkaline pH.
Die Herausforderung besteht daher darin, auf Erdöl, tierische Fette und Öle, sowie auf Palmöle (d.h. Palmöl, Palmkernöl, Kokosöl, Babassuöl) als Fettsäurequelle zu verzichten und stattdessen in einem grösstmöglichen Mass Tenside aus weniger problematischen Quellen, wie zum Beispiel pflanzlichen Ölen aus europäischem Anbau oder Fermentation einzusetzen.The challenge, therefore, is to dispense with oil, animal fats and oils, as well as palm oils (ie palm oil, palm kernel oil, coconut oil, babassu oil) as the source of fatty acids and instead to the greatest possible extent surfactants from less problematic sources, such as vegetable oils from European Use cultivation or fermentation.
Technisch ist dies ein Problem, da aus verfügbaren Ölen, zum Beispiel aus Mitteleuropa, die gewünschte Laurinsäure nicht in ausreichendem Mass gewonnen werden kann.Technically, this is a problem because of available oils, for example from Central Europe, the desired lauric acid can not be obtained to a sufficient degree.
Glycolipid-Biotenside, welche über Fermentation aus unterschiedlichsten Substraten hergestellt werden können, erfüllen die Anforderungen an Nachhaltigkeit und zeichnen sich zudem durch geringes Hautirritationspotential und Toxizität aus. Im Gegensatz zu synthetischen Glycolipiden wie z.B. Alkylpolyglycosiden, Sorbitanestern, Methylglycosidestern oder Methylglucamiden werden Biotensid-Glycolipide über Mikroorganismen hergestellt und es sind keine chemischen Umsetzungsschritte notwendig. Um eine optimale Reinigungsleistung zu erhalten, ist es für viele Anwendungen jedoch erforderlich, Glycolipid-Biotenside mit anderen Tensiden zu kombinieren.Glycolipid biosurfactants, which can be produced by fermentation from a wide variety of substrates, meet the requirements of sustainability and are also characterized by low skin irritation potential and toxicity. In contrast to synthetic glycolipids, e.g. Alkyl polyglycosides, sorbitan esters, methyl glycoside esters or methyl glucamides, biosurfactant glycolipids are produced via microorganisms and no chemical reaction steps are necessary. However, for many applications it is necessary to combine glycolipid biosurfactants with other surfactants to obtain optimal cleaning performance.
Hierbei wird nach Stand der Technik wiederum mit Tensiden auf Laurinsäurebasis aus Palmen oder petrochemischer Herkunft kombiniert; zumeist mit anionischen schwefelhaltigen Tensiden wie z.B. Natrium lauryl sulfat oder Natrium laurylether sulfat.In this case, the state of the art, in turn, is combined with lauric acid-based surfactants of palm or petrochemical origin; usually with anionic sulfur-containing surfactants such as sodium lauryl sulfate or sodium lauryl ether sulfate.
Damit ist aber der Problem nicht gelöst, umweltfreundliche Reiniger mit Biotensid-Glycolipiden und Tensiden auf Basis von Pflanzenölen mit einem hohen Gehalt an langkettigen (≥ C18) und vorwiegend ungesättigten Fettsäuren herzustellen, welche gleichzeitig eine hohe Reinigungsleistung, insbesondere auf Kohlenhydrate und Farbverschmutzungen aufweisen, sowie über einen breiten pH-Bereich anwendbar und vorzugsweise biologisch abbaubar sind.But this does not solve the problem of producing environmentally friendly cleaners with biosurfactant glycolipids and surfactants based on vegetable oils with a high content of long-chain (≥ C18) and predominantly unsaturated fatty acids, which at the same time have a high cleaning power, especially on carbohydrates and color contamination, as well are applicable over a wide pH range and are preferably biodegradable.
Nach Stand der Technik sind Kombinationen von Glycolipid Biotensiden mit anionische und nichtionischen nicht-glycolipidischen Tensiden mit Alkylkettenlängen von C8-C18 bekannt,
Weiterhin bekannt aus
Insbesondere bei sauren Reinigern und Waschmitteln werden in Kombination mit Biotensiden aufgrund der Kalziumtoleranz hauptsächlich C12-C18-Tenside auf Basis von Schwefelverbindungen als anionische Tenside eingesetzt. Beispiele offenbarter Kombinationen (
Die komplexe technische Aufgabe der Erfindung hat darin bestanden, ein oder mehrere Tenside auf Basis von Pflanzenöl zu identifizieren, die sich mit Biotensid-Glycolipiden kombinieren lassen. Im Gegensatz zu bisher bestehenden Kombinationen, sollen die Fettsäuren der Tenside aufgrund von Nachhaltigkeitsbetrachtungen möglichst nicht aus Kokos-, Palm-, Babassu- oder Palmkern- Pflanzenölen gewonnen werden. Dies ist technisch insofern anspruchsvoll, da die gewünschten Tenside statt Laurinsäure einen hohen Anteil an ungesättigten, langen Fettsäureresten ≥ C18 aufweisen, welche komplett neue Eigenschaften wie Löslichkeit, Stabilität, Benetzungsfähigkeit, Kompatibilität, u.a. mit sich bringen. Gleichzeitig sollen die erfindungsgemässen Tensidkombinationen eine gute Reinigungsleistung aufweisen, auch über Fett- und Ölschmutz hinaus; d.h. insbesondere eine hohe Reinigungsleistung auf spezifische Flecken wie Kohlenhydratflecken oder Farbflecken. Weiterhin war es ein Ziel, ein und dieselbe Tensidmischung über einen breiten pH-Bereich einzusetzen, sowie mit unterschiedlichen Inhaltsstoffen zu kombinieren um zugunsten einer guten Wirtschaftlichkeit und Kosteneffizienz eine Basis für unterschiedliche Verwendungen zur Verfügung zu haben. Dazu müssen die Mischungen, anders als beispielsweise Seife, auch im sauren pH stabil sein.The complex technical problem of the invention has been to identify one or more surfactants based on vegetable oil which can be combined with biosurfactant glycolipids. In contrast to previously existing combinations, the fatty acids of the surfactants should not be obtained from coconut, palm, babassu or palm kernel vegetable oils due to sustainability considerations. This is technically demanding insofar as the desired surfactants instead of lauric a high proportion of unsaturated, long fatty acid residues ≥ C18, which bring completely new properties such as solubility, stability, wettability, compatibility, etc. with it. At the same time, the novel surfactant combinations should have a good cleaning performance, even beyond grease and oil soiling; ie in particular a high cleaning performance on specific stains such as carbohydrate stains or color stains. Furthermore, it was an aim to use one and the same surfactant mixture over a broad pH range, as well as to combine it with different ingredients in order to have a basis for different uses for the sake of good economy and cost efficiency. For this purpose, unlike, for example, soap, the mixtures must be stable even in acidic pH.
Die erfindungsgemässen Zusammensetzungen sollten vorzugsweise zu einem grösstmöglichen Umfang auf natürlichen Rohstoffen basieren und biologisch gut abbaubar sein.The compositions according to the invention should preferably be based to the greatest possible extent on natural raw materials and be readily biodegradable.
Überraschenderweise wurde gefunden, dass binäre Kombinationen von Glycolipid-Biotensiden mit alkoxylierten Fettsäureamide auf Basis von C-18-Pflanzenölen wie in den Ansprüchen beschrieben, eine oder mehrere der genannten Aufgaben lösen.Surprisingly, it has been found that binary combinations of glycolipid biosurfactants with alkoxylated fatty acid amides based on C-18 vegetable oils as described in the claims solve one or more of the stated objects.
Unerwarteterweise zeigte sich, dass die erfindungsgemässen Mittel der Ansprüche 1-6,10-11 eine für den Fachmann in keiner Weise vorhersehbare Reinigungswirkung auf spezifische Verschmutzungen zeigt. Dies ermöglicht die Herstellung von umweltfreundlichen Mitteln, selbst für hartnäckige Verschmutzungen wie Anfärbungen oder Kohlenhydratverunreinigungen.Unexpectedly, it has been found that the compositions according to the invention of claims 1-6, 10-11 show a cleaning action on specific soils which can not be foreseen by the person skilled in the art in any way. This allows the production of environmentally friendly agents, even for stubborn soils such as stains or carbohydrate impurities.
Es wurde festgestellt, dass die erfindungsgemässen Mittel wider Erwarten synergistisch auf das Lösen von Kohlenhydratflecken wirken. Hierbei wird unter synergistisch verstanden, dass die Flecklösekraft der Mischung höher ist als die Summe der Flecklösekraft der einzelnen Komponenten. In der enzymfreien Ausführungsform wird eine vergleichbare Reinigungsleistung zu enzymhaltigen Marktprodukten erreicht.It has been found that, contrary to expectations, the agents according to the invention act synergistically on the dissolution of carbohydrate spots. It is understood synergistically that the stain-dissolving power of the mixture is higher than the sum of the stain-dissolving power of the individual components. In the enzyme-free embodiment, a comparable cleaning performance is achieved to enzyme-containing market products.
Überraschenderweise wurde auch eine synergistische Wirkung bei Farbflecken festgestellt. Eine deutliche Verbesserung von bleichbaren Flecken wird auch in der Ausführungsform ohne Bleichmittel beobachtet.Surprisingly, a synergistic effect on color spots was also found. A marked improvement of bleachable stains is also observed in the bleach-free embodiment.
Weiterhin ist die Kombination mit zusätzlichen Tensiden auf Basis von C-18-Pflanzenölen (D) Gegenstand der Erfindung. Überraschenderweise bleibt die synergistische Reinigungskraft auch bei Zugabe eines dritten Tensids (D) oder Seife (C) in vollem Mass erhalten. Zusätzlich wird durch die Zugabe eines dritten Tensids Schaumbildung und -stabilität wesentlich verbessert.Furthermore, the combination with additional surfactants based on C-18 vegetable oils (D) is the subject of the invention. Surprisingly, the synergistic cleaning power is retained even when adding a third surfactant (D) or soap (C) in full measure. In addition, foaming and stability is substantially improved by the addition of a third surfactant.
Als bevorzugtes Lösungsmittel sind als zusätzlicher Inhaltsstoff Fettsäurealkylester aus C-18-Pflanzen Gegenstand der Erfindung.As a preferred solvent are as additional ingredient fatty acid alkyl esters of C-18 plants of the invention.
Weiterhin ist Gegenstand dieser Anmeldung die Verwendung der erfindungsgemässen Zusammensetzungen als oder zur Herstellung von Wasch- und Reinigungsmitteln für natürliche oder hergestellte, harte oder flexible Oberflächen, sowie Textilien, Teppiche oder Naturfasern. Zu den Wasch- und Reinigungsmitteln zählen im Rahmen der Erfindung ferner Waschhilfsmittel, die bei der manuellen oder maschinellen Reinigung zum eigentlichen Mittel zudosiert werden. Ferner zählen zu Waschmitteln im Rahmen der Erfindung auch Vor- und Nachbehandlungsmittel, also solche Mittel die vor der eigentlichen Reinigung angewendet werden, beispielsweise zum Anlösen von hartnäckigen Verschmutzungen.Furthermore, the subject of this application, the use of the inventive compositions as or for the production of detergents and cleaners for natural or manufactured, hard or flexible surfaces, and textiles, carpets or natural fibers. In the context of the invention, the washing and cleaning agents also include washing aids which are added to the actual agent during manual or mechanical cleaning. Furthermore, detergents within the scope of the invention also include pre- and post-treatment agents, ie those agents which are used before the actual cleaning, for example for dissolving stubborn soiling.
In einem weiteren Erfindungsgegenstand richtet sich die Erfindung auf ein Wasch- und Reinigungsverfahren umfassend
- a) die Bereitstellung einer Wasch- und Reinigungslösung umfassend ein Mittel gemäss des ersten Erfindungsgegenstandes
- b) in Kontakt bringen einer biologischen oder natürlichen Oberfläche, einer harten oder flexiblen Oberfläche, sowie von Textilien, Teppichen oder Naturfasern mit der Waschlösung gemäss (a).
- a) the provision of a washing and cleaning solution comprising an agent according to the first subject of the invention
- b) bringing into contact a biological or natural surface, a hard or flexible surface, as well as textiles, carpets or natural fibers with the washing solution according to (a).
Eine besondere Produktform stellen feste Substrate, wie Tücher dar. Diese werden mit einer Zubereitung getränkt und haben den Vorteil, dass in ihnen die Zubereitung bereits in der richtigen Dosierung vorgegeben ist. Dies kommt insbesondere dem Konsumentenwunsch der Convenience entgegen, sie sind einfach handhabbar, direkt zu verwenden ohne zusätzliche Arbeitsschritte und können auch unterwegs, z.B. auf Reisen gut angewendet werden, auch wenn kein Wasser zur Verfügung steht.A special product form solid substrates, such as cloths. These are soaked in a preparation and have the advantage that in them the preparation is already prescribed in the correct dosage. This meets in particular the consumer's desire of convenience, they are easy to handle, to use directly without additional steps and can also on the go, eg when traveling well, even if no water is available.
Tücher werden aus Textilien hergestellt, welche gewebt, gestrickt, oder gewirkt sein können oder als Verbundstoff in Vlies, Papier, Watte oder Filz vorliegen, wobei Vliese meist aus Polypropylen, Polyester oder Viskose hergestellt werden.Cloths are made of textiles which may be woven, knitted or knitted or present as a composite in nonwoven, paper, wadding or felt, nonwovens being mostly made of polypropylene, polyester or viscose.
Mit Mitteln imprägnierte Substrate und Tücher können auf unterschiedliche Weisen hergestellt werden, beispielsweise dem Tauch-, dem Abstreif- und dem Sprühverfahren. Letzteres wird insbesondere für nicht oder schwach schäumende Zubereitungen angewendet.Agent impregnated substrates and wipes can be made in a variety of ways, including the dipping, wiping and spraying processes. The latter is used in particular for non or low foaming preparations.
Vorteilhaft ist, dass das erfindungsgemässe Mittel über den gesamten pH-Bereich eingesetzt werden kann, und somit eine breite Gamme an Produkten erlaubt.It is advantageous that the agent according to the invention can be used over the entire pH range, thus allowing a broad range of products.
Ein weiterer Vorteil der erfindungsgemässen Mittel besteht darin, dass sie sich mit Verdickern auf natürlicher Basis, wie bspw. Xanthan gum verdicken lassen. Es ist ein bekanntes technisches Problem, Formulierungen enthaltend Glycolipid-Biotenside zu verdicken (
Ein weiterer Vorteil ist, dass sich die erfindungsgemässe Mittel durch eine hohe Stabilität auszeichnen. Das erfindungsgemässe Mittel wird auch in einer konservierungsmittelfreien Ausführungsform offenbart.A further advantage is that the compositions according to the invention are distinguished by a high stability. The agent according to the invention is also disclosed in a preservative-free embodiment.
Ein weiterer Vorteil der Erfindung ist, dass die Mittel ohne Schwefeltenside hergestellt werden können und somit dem Trend "sulfatfrei" Sorge tragen.A further advantage of the invention is that the agents can be prepared without sulfur surfactants and thus take care of the trend "sulphate-free".
Ein weiterer Vorteil der Erfindung ist, dass das Mittel ohne die reizenden Inhaltsstoffe Cocamid MEA oder Cocamid DEA hergestellt werden kann.Another advantage of the invention is that the agent can be prepared without the irritating ingredients cocamide MEA or cocamide DEA.
Weiterhin zeigen die Mittel überraschenderweise eine so hohe Wasch- und Reinigungskraft, dass auf die gängigen Tenside Cocoamidopropylbetain und Laurylsulfat auf Basis Palmkernöl vollständig verzichtet werden kann, welche in höheren Dosen haut- und schleimhautreizend wirken können.Furthermore, the funds surprisingly show such a high washing and cleaning power that can be completely dispensed with the common surfactants cocoamidopropylbetaine and lauryl sulfate based on palm kernel oil, which can act in higher doses skin and mucous membrane irritant.
Weiterer Vorteil der Erfindung ist, dass je nach Anwendung die erfindungsgemässen Mittel schaumarm, z.B. für die maschinelle Anwendung oder in Kombination mit einem 3. Tensid (D) schäumend hergestellt werden können.Another advantage of the invention is that, depending on the application, the novel compositions low foaming, for example for machine application or in combination with a third surfactant (D) can be produced foaming.
Technisch unterscheiden sich die Pflanzenöle aus Ölpalmen, Babassu, Palmkernen, oder Kokosnüssen deutlich in der Fettsäurezusammensetzung von den erfindungsgemässen C-18-Pflanzenölen:
In dieser Erfindung werden folgende Pflanzenöle, - fette, -wachse oder -harze als C-18-Pflanzenöl bezeichnet:
Bevorzugt handelt es sich bei den C-18-Pflanzenölen um natürliche Triglyceride. C-18-Pflanzenöle weisen ein Gemisch an gesättigten und ungesättigten Fettsäuren auf, wobei die Fettsäureverteilung von Fettsäuren mit 18 und mehr Kohlenstoffatomen über 60 Gew.-%, besonders bevorzugt über 72 Gew.-% und ganz besonders bevorzugt von über 77 Gew.-% liegt und wobei der Anteil an ungesättigten Fettsäuren über 55 Gew.-%, vorzugsweise über 65 Gew.-% und besonders bevorzugt über 72 Gew.-% liegt.Technically, the vegetable oils from oil palms, babassu, palm kernels, or coconuts clearly differ in the fatty acid composition of the inventive C-18 vegetable oils:
In this invention, the following vegetable oils, fats, waxes or resins are referred to as C-18 vegetable oil:
Preferably, the C-18 vegetable oils are natural triglycerides. C-18 vegetable oils have a mixture of saturated and unsaturated fatty acids, the fatty acid distribution of fatty acids having 18 or more carbon atoms being more than 60% by weight, more preferably more than 72% by weight and most preferably more than 77% by weight. % and wherein the proportion of unsaturated fatty acids over 55 wt .-%, preferably over 65 wt .-% and particularly preferably over 72 wt .-% is.
Bevorzugt liegt der Anteil an Fettsäuren mit 16 und weniger Kohlenstoffatomen unter 30 Gew.-%, bevorzugt unter 27 Gew.-% und besonders bevorzugt unter 17 Gew.-%.The proportion of fatty acids having 16 and fewer carbon atoms is preferably less than 30% by weight, preferably less than 27% by weight and more preferably less than 17% by weight.
Bevorzugt enthalten die C-18-Pflanzenöle einen Anteil von < 0.5%, besonders bevorzugt > 0.05% Fettsäuren mit 6 Kohlenstoffatomen.Preferably, the C-18 vegetable oils contain a proportion of <0.5%, particularly preferably> 0.05% fatty acids having 6 carbon atoms.
Bevorzugt enthalten die C-18-Pflanzenöle einen Anteil von < 75 Gew-% Hydroxyfettsäuren, bevorzugt < 25 Gew.-%, besonders bevorzugt < 5 Gew.-%.Preferably, the C-18 vegetable oils contain a proportion of <75% by weight of hydroxy fatty acids, preferably <25% by weight, particularly preferably <5% by weight.
Bevorzugt enthalten C-18-Pflanzenöle gesättigte oder ungesättigte Fettsäuren mit 20 und mehr Kohlenstoffatomen, wobei deren Gehalt bis zu 96 Gew.-% betragen kann. Bevorzugt enthalten C-18-Pflanzenöle einen Anteil von gesättigten oder ungesättigten Fettsäuren mit 20 und mehr Kohlenstoffatomen von > 0.01 Gew.-% und besonders bevorzugt > 0.05 Gew.-% und ganz besonders bevorzugt > 0.1 Gew-% und äusserst bevorzugt >= 0.2 Gew.-%Preferably, C-18 vegetable oils contain saturated or unsaturated fatty acids having 20 or more carbon atoms, the content of which may be up to 96% by weight. C-18 vegetable oils preferably contain a proportion of saturated or unsaturated fatty acids having 20 or more carbon atoms of> 0.01% by weight and particularly preferably> 0.05% by weight and very particularly preferably> 0.1% by weight and very preferably> = 0.2 wt .-%
Bevorzugt enthalten die C-18-Pflanzenöle einen Anteil von weniger als 95 Gew.-% Ölsäure, besonders bevorzugt unter 85 Gew.-% Ölsäure
Gew.-% hier jeweils bezogen auf den Gesamtgehalt an Fettsäuren im Pflanzenöl.The C-18 vegetable oils preferably contain less than 95% by weight of oleic acid, more preferably less than 85% by weight of oleic acid
Wt .-% here in each case based on the total content of fatty acids in vegetable oil.
Aus folgenden Pflanzen bzw. Pflanzenteilen, wie beispielsweise Samen, Kerne, Früchte, Blätter, Wurzeln und andere, im folgenden C-18-Pflanzen genannt, können C-18 Pflanzenöle gewonnen werden, welche die technischen Merkmale betreffend Fettsäurezusammensetzungen für die erfindungsgemässen Mittel erfüllen und definiert sind wie folgt: Amarant, Anis, Apfel, Aprikose, Argan, Arnika, Avocado, Baumwolle, Borretsch, Brennessel, Brokkoli, Canola, Chia, Hanf, Haselnuss, Buche, Buchsbaum, Distel, Dinkel, Erdnuss, Erdmandel, Flieder, Gartenkresse, Gerste, Granatapfel, Hafer, Hanf, Haselnuss, Heidelbeere, Holunder, Jasmin, Johannisbeere, Johanniskraut, Jojoba, Kamelie, Kamille, Kümmel, Karotte, Kirsche, Koriander, Königskerze, Krambe, Kreuzblättrige Wolfsmilch, Kreuzblütengewächse, Kürbis, Iberischer Drachenkopf, Lavendel, Leindotter, Leinsamen, Liguster, Lupine, Luzerne, Macademia, Mais, Mandel, Marula, Mirabelle, Melone, Mohn, Mongongo, Nachtkerze, Olive, Ölrettich, Ölrauke, Passionsblume, Pekannuss, Pfirsich, Pflaume, Pistazie, Preiselbeere, Purgiernuss (Jatropha), Raps, Reis, Ringelblume, Rübsen, Saflor, Salbei, Sanddorn, Schwarzkümmel, Sesam, Sesamblatt, Senf, Sonnenblume, Soja, Tabak, Walnuss, Weintraube, Weizen, Wiesenschaumkraut und Wildrose; sowie deren Kombinationen.From the following plants or plant parts, such as seeds, seeds, fruits, leaves, roots and others, hereinafter referred to as C-18 plants, C-18 vegetable oils can be obtained, which meet the technical characteristics of fatty acid compositions for the inventive compositions, and Amaranth, aniseed, apple, apricot, argan, arnica, avocado, cotton, borage, stinging nettle, broccoli, canola, chia, hemp, hazelnut, beech, boxwood, thistle, spelled, peanut, tigernut, lilac, garden cress , Barley, Pomegranate, Oats, Hemp, Hazelnut, Blueberry, Elderberry, Jasmine, Currant, St. John's wort, Jojoba, Camellia, Chamomile, Cumin, Carrot, Cherry, Coriander, Mullein, Krambe, Cross-leaved Spurge, Cruciferaceae, Pumpkin, Iberian Dragon's Head, Lavender , Camelina, linseed, privet, lupine, alfalfa, macademia, corn, almond, marula, mirabelle, melon, poppy, mongongo, evening primrose, olive, oil radish, oil ilex, passport flower, pecan, peach, plum, pistachio, cranberry, purging nut (jatropha), rapeseed, rice, calendula, turnip, safflower, sage, sea buckthorn, black cumin, sesame, sesame leaf, mustard, sunflower, soy, tobacco, walnut, grape, wheat , Meadowfoam and wild rose; as well as their combinations.
Vorzugsweise ist das Öl ausgewählt aus der Gruppe: Aprikose, Avocado, Baumwolle, Brokkoli, Buche, Distel, Dinkel, Erdmandel, Gerste, Hanf, Haselnuss, Jojoba, Kirsche, Königskerze, Krambe, Kreuzblättrige Wolfsmilch, Kürbis, Iberischer Drachenkopf, Leindotter, Leinsamen, Lupine, Luzerne, Macademia, Mandel, Mais, Mohn, Nachtkerze, Olive, Ölrettich, Ölrauke, Pfirsich, Raps, Reis, Ringelblume, Rübsen, Saflor, Salbei, Sanddorn, Schwarzkümmel, Sesam, Sesamblatt, Senf, Sonnenblume, Soja, Tabak, Walnuss, Weintraube und Weizen, sowie deren Kombinationen.Preferably, the oil is selected from the group: apricot, avocado, cotton, broccoli, beech, thistle, spelled, tigernut, barley, hemp, hazelnut, jojoba, cherry, mullein, Krambe, cross-leaved spurge, pumpkin, Iberian scorpionfish, camelina, linseed , Lupine, alfalfa, macademia, almond, corn, poppy, evening primrose, olive, oil radish, oil raven, peach, rape, rice, marigold, turnip rape, safflower, sage, sea buckthorn, black cumin, sesame, sesame leaf, mustard, sunflower, soy, tobacco , Walnut, grape and wheat, and their combinations.
Ganz besonders bevorzugt ist das Öl ausgewählt aus der Gruppe Aprikose, Distel, Erdmandel, Hanf, Krambe, Iberischer Drachenkopf, Leindotter, Leinsamen, Lupine, Luzerne, Mais, Mandel, Olive, Ölrettich, Pfirsich, Raps, Rübsen, Sesam, Sesamblatt, Sonnenblume, Soja, Weintraube und Weizen, sowie deren Kombinationen.Most preferably, the oil is selected from the group apricot, thistle, tigernut, hemp, Krambe, Iberian dragon head, camelina, linseed, lupine, alfalfa, corn, almond, olive, oil radish, peach, rapeseed, turnip rape, sesame, sesame leaf, sunflower , Soy, grape and wheat, as well as their combinations.
Der Begriff Öle wird in dieser Erfindung stellvertretend für Fette, Wachse und Harze verwendet.The term oils is used in this invention as representative of fats, waxes and resins.
Im Rahmen der vorliegenden Erfindung steht - soweit nicht anders angegeben- auf Basis von oder abgeleitet von Pflanzenölen, -fetten oder -wachsen stellvertretend für Derivate aus Fettsäuren - gereinigt oder als Gemisch - und/oder deren Reaktionsprodukte, wie beispielsweise Additionsprodukte an die Doppelbindung, Reaktionen an der Fettsäurefunktion, wie z.B. Fettalkohole und deren Ether und/ oder Carboxyether, Amine oder Fettsäureamide, Fettsäureester, sowie Imine. Bevorzugt liegen diese Fettsäurederivate als Mischung gemäss der Fettsäureverteilung im nativen Öl vor oder wie sie bei der Umsetzung von natürlich vorkommenden Pflanzenölen oder -fetten anfallen.In the context of the present invention, unless otherwise stated, based on or derived from vegetable oils, fats or waxes representative of derivatives of fatty acids, purified or as a mixture, and / or their reaction products, such as addition products to the double bond, reactions on the fatty acid function, such as Fatty alcohols and their ethers and / or carboxy ethers, amines or fatty acid amides, fatty acid esters, and imines. Preferably, these fatty acid derivatives are present as a mixture according to the fatty acid distribution in the native oil or as obtained in the reaction of naturally occurring vegetable oils or fats.
Im Rahmen der vorliegenden Erfindung stehen Fettsäuren bzw. Fettalkohol bzw. deren Derivate soweit nicht anders angegeben - stellvertretend für verzweigte oder unverzweigte, gesättigte, einfach oder mehrfach ungesättigte Carbonsäuren bzw. Alkohole bzw. deren Derivaten mit vorzugsweise 6 bis 24 Kohlenstoffatomen.In the context of the present invention, fatty acids or fatty alcohol or their derivatives are not stated otherwise - representative of branched or unbranched, saturated, mono- or polyunsaturated carboxylic acids or alcohols or derivatives thereof having preferably 6 to 24 carbon atoms.
Unter Tensid werden im Zusammenhang dieser Erfindung amphiphile organische Substanzen mit grenzflächenaktiven Eigenschaften verstanden, die sich an die Grenzfläche zwischen zwei Flüssigkeiten, wie beispielsweise Öl und Wasser adsorbieren und die Fähigkeit besitzen, die Oberflächenspannung von Wasser zu verringern. In Lösung tendieren Tenside zur Selbstaggregation und bilden Strukturen wie bspw. Mizellen, lamellare Strukturen u.a. Im Zusammenhang dieser Erfindung werden Emulgatoren unter den Begriff der Tenside gefasst, jedoch nicht umgekehrt.Surfactant in the context of this invention is understood to mean amphiphilic organic substances having surface-active properties which adsorb to the interface between two liquids, such as oil and water, and have the ability to reduce the surface tension of water. In solution, surfactants tend to self-aggregate and form structures such as micelles, lamellar structures, and the like. In the context of this invention, emulsifiers are included within the concept of surfactants, but not vice versa.
PEGylierte Pflanzenöle sind ethoxylierte Pflanzenöle wie definiert in "
PEGylierten Fettsäureglyceride sind Mono-, Di- und/oder Triglyceride, welche mit einer spezifischen Anzahl an Alkylenglycol-Einheiten, meist Ethylenglycoleinheiten modifiziert wurden und Nebenprodukte der Reaktion enthalten können. Im Rahmen dieser Erfindung werden PEGylierten Fettsäureglyceride definiert wie in "
Im Rahmen dieser Anmeldung wird unter "Schwefeltenside" anionische oder amphotere Tenside mit einem schwefelhaltigen hydrophilen Rest verstanden wie z.B. Alkylsulfate, Alkylethersulfate, (alkoxylierte) Sulfosuccinate, (alkoxylierte) Sulfonate, (alkoxylierte) Isethionate, (alkoxylierte) Taurate., Sulfobetaine und Sultaine. Beispiele für sulfathaltige Tenside stellen Sodium Laureth Sulfate, Sodium Lauryl Sulfate, Ammonium Laureth Sulfate, Ammonium Lauryl Sulfate, Sodium Myreth Sulfate, Sodium Coco Sulfate, Sodium Trideceth Sulfate oder MIPA-Laureth Sulfate dar.In the context of this application, "sulfuric surfactants" is understood as meaning anionic or amphoteric surfactants having a sulfur-containing hydrophilic radical, such as e.g. Alkyl sulfates, alkyl ether sulfates, (alkoxylated) sulfosuccinates, (alkoxylated) sulfonates, (alkoxylated) isethionates, (alkoxylated) taurates, sulfobetaines and sultaines. Examples of sulphate-containing surfactants are sodium laureth sulphates, sodium lauryl sulphates, ammonium laureth sulphates, ammonium lauryl sulphates, sodium myreth sulphates, sodium coco sulphates, sodium trideceth sulphates or MIPA laureth sulphates.
Im Rahmen dieser Erfindung steht soweit nicht anders vermerkt Biotensid für die erfindungsgemäss definierten Biotensid-Glycolipide.Unless otherwise stated, in the context of this invention biosurfactant is the biosurfactant glycolipid defined in accordance with the invention.
Frei von Schwefeltensiden, Phosphaten, Phosphonaten bedeutet, dass die Formulierung keine nennenswerten Mengen an Schwefeltensiden, Phosphaten, Phosphonaten aufweisen. Insbesondere ist hierunter zu verstehen, dass Schwefeltenside, Phosphate, Phosphonate jeweils in Mengen von kleiner 0.1 Gew.-%, bevorzugt von kleiner 0.01 Gew.-% bezogen auf die Gesamtformulierung, insbesondere keine nachweisbaren Mengen, enthalten sind.Free of sulfuric surfactants, phosphates, phosphonates means that the formulation does not contain significant amounts of sulfur surfactants, phosphates, phosphonates. In particular, this is understood to mean that sulfur surfactants, phosphates, phosphonates in each case in amounts of less than 0.1 wt .-%, preferably less than 0.01 wt .-% based on the total formulation, in particular no detectable amounts are included.
"Mindestens ein" wie hierin verwendet, bezieht sich auf 1 oder mehr, beispielsweise 1, 2, 3, 4, 5, 6, 7, 8, 9 oder mehr."At least one" as used herein refers to 1 or more, for example, 1, 2, 3, 4, 5, 6, 7, 8, 9 or more.
Unter Synergie wird verstanden, wenn die Kombination der Einzelkomponenten eine bessere Wirkung zeigt als jede Einzelkomponenten alleine, jeweils bei gleicher Konzentration.Synergy is understood when the combination of the individual components shows a better effect than any single component alone, each at the same concentration.
Unter "Wasch- und Reinigungsmittel" wird im Rahmen der Erfindung ein Mittel zur Entfernung unerwünschter Verschmutzungen oder Belägen verstanden wie beispielweise Flecken, Rückstände, Verunreinigungen, Stoffwechselprodukte von biologischen Vorgängen von natürlichen oder biologischen Oberflächen, harten Oberflächen, sowie Textilien, Teppiche oder Naturfasern.In the context of the invention, "washing and cleaning agent" is understood to mean a means for removing undesired soiling or deposits, such as For example, stains, residues, impurities, metabolic products of biological processes of natural or biological surfaces, hard surfaces, as well as textiles, carpets or natural fibers.
Die Mittel können durch einreiben, zudosieren, sprayen, schäumen und andere Methoden (z.B. salben, auflegen, etc.) direkt oder über ein Hilfsmittel wie beispielsweise ein Tuch, verdünnt oder unverdünnt, auf das zu reinigende Substrat aufgebracht werden.The agents may be applied to the substrate to be cleaned by rubbing, dosing, spraying, foaming and other methods (e.g., anointing, applying, etc.) directly or through an aid such as a wipe, diluted or undiluted.
Unter "Reinigungsleistung" oder "Waschkraft" wird im Rahmen dieser Erfindung die Entfernung von einer oder mehreren Anschmutzungen verstanden.By "cleaning performance" or "detergency" is meant in the context of this invention the removal of one or more stains.
Die Entfernung kann über eine Aufhellung oder Verringerung der Anschmutzung messtechnisch erfasst oder visuell beurteilt werden.The distance can be metrologically detected or visually assessed by brightening or reducing soiling.
Unter Anfärbungen oder Farbflecken werden sowohl Farbstoff-, als auch Pigmentflecken verstanden.By staining or color stains, both dye and pigment stains are understood.
Der HLB (hydrophile-lipophile balance) Wert ist ein Mass für die Hydrophilie, bzw. Lipophilie eines Stoffes, in der Regel eines nichtionischen Tensids. Der Wert kann theoretisch wie in einschlägiger Literatur beschrieben (z.B. nach der Griffin-Methode) oder experimentell durch den Vergleich des Löslichkeitsverhaltens von Standardzusammensetzungen mit bekanntem HLB gemessen werden.The HLB (hydrophilic-lipophilic balance) value is a measure of the hydrophilicity or lipophilicity of a substance, usually a nonionic surfactant. The value can theoretically be measured as described in relevant literature (e.g., by the Griffin method) or experimentally by comparing the solubility behavior of standard compositions with known HLB.
Stoffe, die auch als Inhaltsstoffe von kosmetischen Mitteln dienen, werden nachfolgend gegebenenfalls gemäss der International Nomenclature Cosmetic Ingredient- (INCI-) Nomenklatur bezeichnet. Die INCI-Bezeichnungen sind dem "
Soweit nicht explizit anders angegeben, beziehen sich die angegeben Menge in Gewichtsprozent (Gew.-%) auf das gesamte Mittel. Dabei beziehen sich die prozentualen Mengenangaben auf Aktivgehalte.Unless explicitly stated otherwise, the stated amount in weight percent (wt .-%) refer to the total agent. The percentages given refer to active contents.
Ein erster Gegenstand der Erfindung richtet sich auf ein Mittel enthaltend mindestens ein alkoxyliertes Tensid (A) aus der Gruppe der alkoxylierten Fettsäureamide (I) und mindestens ein Glycolipid-Biotensid (B) umfassend Rhamnolipide, Sophorolipide, Trehaloselipide, Mannosylerythritollipide, und Cellobioselipide.A first object of the invention is directed to an agent containing at least one alkoxylated surfactant (A) from the group of alkoxylated fatty acid amides (I) and at least one glycolipid biosurfactant (B) comprising rhamnolipids, sophorolipids, trehaloselipids, mannosylerythritolollipids, and cellobioselipids.
Für die Erfindung geeignete alkoxylierte Fettsäureamide folgen der Formel (I),
(I) R-CO-NH-(CmH2mO)n-H
wobei
- m die ganze Zahlen 2 oder 3 sind, bevorzugt 2,
- n eine Zahl im Bereich von 2-10 ist, bevorzugt im Bereich 2-8, ganz besonders bevorzug 2-4,
- mit R = gesättigte, ein- oder mehrfach ungesättigter Kohlenwasserstoffkette mit 5-23 Kohlenstoffatomen und RCO abgeleitet aus einem Fettsäuregemisch, wobei der Anteil von 18 und mehr Kohlenstoffatomen des Fettsäurerestes RCO über 60 Gew.-%, bevorzugt über 72 Gew.-% und ganz besonders bevorzugt von über 77 Gew.-% liegt;
- und wobei der Anteil an ungesättigten Fettsäureresten über 55 Gew.-%, vorzugsweise über 65 Gew.-% und besonders bevorzugt über 72 Gew.-% liegt, jeweils bezogen auf den Gesamtanteil an Fettsäureresten RCO des eingesetzten Tensids (I);
- und wobei das Tensid (I) aus einem Gemisch unterschiedlicher Kettenlängen und Sättigungsgrade des Fettsäurerests RCO wie oben definiert besteht und abgeleitet ist von einem C-18-Pflanzenöl aus der Gruppe umfassend: Amarant, Anis, Apfel, Aprikose, Argan, Arnika, Avocado, Baumwolle, Borretsch, Brennessel, Brokkoli, Canola, Chia, Hanf, Haselnuss, Buche, Buchsbaum, Distel, Dinkel, Erdnuss, Erdmandel, Flieder, Gartenkresse, Gerste, Granatapfel, Hafer, Hanf, Haselnuss, Heidelbeere, Holunder, Jasmin, Johannisbeere, Johanniskraut, Jojoba, Kamelie, Kamille, Kümmel, Karotte, Kirsche, Koriander, Königskerze, Krambe, Kreuzblättrige Wolfsmilch, Kürbis, Iberischer Drachenkopf, Lavendel, Leindotter, Leinsamen, Liguster, Lupine, Luzerne, Macademia, Mais, Mandel, Marula, Mirabelle, Melone, Mohn, Mongongo, Moringa, Nachtkerze, Olive, Ölrettich, Ölrauke, Passionsblume, Pekannuss, Pfirsich, Pflaume, Pistazie, Preiselbeere, Purgiernuss (Jatropha), Raps, Reis, Ringelblume, Rübsen, Saflor, Salbei, Sanddorn, Schwarzkümmel, Sesam, Sesamblatt, Senf, Sonnenblume, Soja, Tabak, Walnuss, Weintraube, Weizen, Wiesenschaumkraut und Wildrose; sowie deren Kombinationen;
- und wobei bevorzugt der Anteil an Fettsäureresten RCO von 20 oder mehr Kohlenstoffatomen > 0.01 Gew.-%, besonders bevorzugt > 0.05 Gew.-% und ganz besonders bevorzugt > 0.1 Gew.-% und äusserst bevorzugt ≥ 0.2 Gew.-% beträgt;
- und wobei bevorzugt der Anteil an Fettsäureresten RCO mit Fettsäuren von 16 und weniger Kohlenstoffatomen unter 30 Gew.-%, bevorzugt unter 27 Gew.% und besonders bevorzugt unter 17 Gew.% liegt;
- und wobei bevorzugt der Anteil an Fettsäureresten RCO mit Fettsäuren von 6 und weniger Kohlenstoffatomen < 0.5 Gew.-%, besonders bevorzugt < 0.05 Gew.-% liegt;
- und wobei bevorzugt der Anteil an Fettsäureresten RCO mit Hydroxyfettsäuren < 75 Gew-%, bevorzugt < 25 Gew.-%, besonders bevorzugt < 5 Gew.-% liegt;
- und wobei bevorzugt der Anteil an Fettsäureresten RCO des Ölsäureacylrestes RCO bei weniger als 95 Gew.-%, besonders bevorzugt unter 85 Gew.-% liegt;
- jeweils bezogen auf den Gesamtanteil an Fettsäureresten RCO des eingesetzten Tensids (I);
- Besonders bevorzugt sind Fettsäureamide der Formel (I) abgeleitet von Distel, Erdmandel, Hanf, Krambe, Iberischer Drachenkopf, Leindotter, Leinsamen, Lupine, Luzerne, Mais, Olive, Ölrettich, Raps, Rübsen, Sesamblatt, Sonnenblume, Soja, Weintraube und Weizen, sowie deren Kombinationen.
(I) R-CO-NH- (C m H 2m O) n -H
in which
- m are the integers 2 or 3, preferably 2,
- n is a number in the range of 2-10, preferably in the range 2-8, most preferably 2-4,
- with R = saturated, mono- or polyunsaturated hydrocarbon chain with 5-23 carbon atoms and RCO derived from a fatty acid mixture, wherein the proportion of 18 or more carbon atoms of the fatty acid radical RCO over 60 wt .-%, preferably over 72 wt .-% and completely particularly preferably greater than 77% by weight;
- and wherein the proportion of unsaturated fatty acid residues is above 55% by weight, preferably above 65% by weight and particularly preferably above 72% by weight, in each case based on the total proportion of fatty acid residues RCO of the surfactant (I) used;
- and wherein the surfactant (I) consists of a mixture of different chain lengths and saturation levels of the fatty acid radical RCO as defined above and is derived from a C-18 vegetable oil from the group comprising: amaranth, anise, apple, apricot, argan, arnica, avocado, Cotton, Borage, Nettle, Broccoli, Canola, Chia, Hemp, Hazelnut, Beech, Boxwood, Thistle, Spelled, Peanut, Tigernut, Lilac, Garden cress, Barley, Pomegranate, Oats, Hemp, Hazelnut, Blueberry, Elderberry, Jasmine, Currant, St. John's Wort, Jojoba, Camellia, Chamomile, Cumin, Carrot, Cherry, Coriander, Mullein, Krambe, Cross-leaved Spurge, Pumpkin, Iberian Dragon's Head, Lavender, Camelina, Linseed, Privet, Lupine, Lucerne, Macademia, Corn, Almond, Marula, Mirabelle, Melon, Poppy, Mongongo, Moringa, Evening primrose, Olive, Oil radish, Oil ilex, Passiflora, Pecan, Peach, Plum, Pistachio, Cranberry, Purging nut (Jatropha), Oilseed rape, Rice, marigold, turnip rape, safflower, sage, seabuckthorn, black cumin, sesame, sesame leaf, mustard, sunflower, soya, tobacco, walnut, grape, wheat, meadowfoam and wild rose; as well as their combinations;
- and wherein preferably the proportion of fatty acid residues RCO of 20 or more carbon atoms is> 0.01% by weight, particularly preferably> 0.05% by weight and very particularly preferably> 0.1% by weight and very preferably ≥ 0.2% by weight;
- and wherein preferably the proportion of fatty acid residues RCO with fatty acids of 16 and fewer carbon atoms is less than 30% by weight, preferably less than 27% by weight and particularly preferably less than 17% by weight;
- and wherein preferably the proportion of fatty acid residues RCO with fatty acids of 6 and fewer carbon atoms <0.5 wt .-%, particularly preferably <0.05 wt .-%;
- and wherein preferably the proportion of fatty acid residues RCO with hydroxy fatty acids <75% by weight, preferably <25% by weight, particularly preferably <5% by weight;
- and wherein preferably the proportion of fatty acid residues RCO of the oleic acid RCO is less than 95 wt .-%, particularly preferably less than 85 wt .-%;
- in each case based on the total proportion of fatty acid residues RCO of the surfactant (I) used;
- Particularly preferred are fatty acid amides of the formula (I) derived from safflower, tigernut, hemp, Krambe, Iberian dragon head, camelina, linseed, lupine, alfalfa, corn, olive, oil radish, oilseed rape, turnip rape, sesame leaf, sunflower, soy, grape and wheat, as well as their combinations.
Besonders bevorzugt sind Fettsäureamide der Formel (I) mit einem HLB > 10.5 und <12.0.Particular preference is given to fatty acid amides of the formula (I) with an HLB> 10.5 and <12.0.
Erfindungsgemäss äusserst bevorzugt ist das ethoxylierte Fettsäureamid auf Basis Rapsöl, IUPAC Name: Amides, rape oil, N-(hydroxyethyl), ethoxylated; INCI Name: PEG-4 Rapssamenamid, oder Rübsamenamid bzw. PEG-4 Rapeseedamide. Handelsname: Amidet® N der Firma Kao.The ethoxylated fatty acid amide based on rapeseed oil, IUPAC, is highly preferred according to the invention: amides, rape oil, N - (hydroxyethyl), ethoxylated; INCI name: PEG-4 rapeseed amide, or rapeseed amide or PEG-4 rapeseedamide. Trade name: Amidet® N from Kao.
Dieses ist nach OECD TG 301B bei Testkonzentrationen von 50-70% leicht biologisch abbaubar und ist damit erfindungsgemäss hervorragend geeignet. Zusätzlicher Vorteil gegenüber den meisten anderen verwendeten Tensiden, wie beispielsweise das viel verwendete Natrium Laureth Sulfat, ist, dass die Toxizität (akut oral sowie akut dermal) niedriger ist.This is easily biodegradable according to OECD TG 301B at test concentrations of 50-70% and is thus outstandingly suitable according to the invention. An additional advantage over most other surfactants used, such as the much-used sodium laureth sulfate, is that the toxicity (acute oral and acute dermal) is lower.
Im Sinne dieser Anmeldung liegt dem alkoxylierten Tensid (A) eine Mischung von Fettsäurederivaten auf Basis von C18-Pflanzenölen mit unterschiedlicher Kettenlänge und Sättigungsgrad zugrunde. Die Mischung folgt bevorzugt der Fettsäureverteilung im nativen Öl oder wie sie bei der Umsetzung von natürlich vorkommenden Pflanzenöle oder Fette anfallen. Indem für die Synthese der Tensidklasse Fettsäureester- oder Fettsäureamidgemische verwendet werden - wie sie bei der Umsetzung von natürlich vorkommenden Pflanzenöle oder Fette anfallen - können die Tenside kostengünstig, ressourceneffizient und umweltschonend produziert werden. Zusätzliche Reinigungsverfahren, wie z.B. die Trennung der Fettsäuren, bzw. Fettsäureester durch fraktionierte Destillation oder zusätzliche Syntheseschritte, wie z.B. zum Fettalkohol, werden hier nicht benötigt. Neben den ökologischen und ökomischen Vorteilen der Verwendung von natürlichen Fettsäuregemischen, zeigen die verwendeten Tensidmischungen eine erhöhte Reinigungsleistung.For the purposes of this application, the alkoxylated surfactant (A) is based on a mixture of fatty acid derivatives based on C18 vegetable oils with different chain length and degree of saturation. The mixture preferably follows the fatty acid distribution in the native oil or as obtained in the reaction of naturally occurring vegetable oils or fats. By using fatty acid ester or fatty acid amide mixtures for the synthesis of the surfactant class - as they occur in the conversion of naturally occurring vegetable oils or fats - the surfactants can be produced inexpensively, resource-efficiently and in an environmentally friendly manner. Additional purification methods, such as the separation of the fatty acids, or fatty acid esters by fractional distillation or additional synthesis steps, such. to the fatty alcohol, are not needed here. In addition to the ecological and ecological advantages of using natural fatty acid mixtures, the surfactant mixtures used show an increased cleaning performance.
Die Mittel enthalten bevorzugt 0.1 bis 50 Gew.-% eines oder mehrere alkoxylierter Tenside (A), bevorzugter 0.1 bis 25 Gew-%, besonders bevorzugt 0.1 bis 10 Gew.-% und ganz besonders bevorzugt 0.25 Gew.-% bis 5 Gew.-%. Gew.-% bezogen auf das Gesamtmittel.The compositions preferably contain from 0.1 to 50% by weight of one or more alkoxylated surfactants (A), more preferably from 0.1 to 25% by weight, particularly preferably from 0.1 to 10% by weight and very particularly preferably from 0.25% by weight to 5% by weight. -%. Wt .-% based on the total agent.
Als Biotenside werden allgemein Tenside biologischen Ursprungs bezeichnet. Sie erfahren keine chemische Umsetzung wie die synthetischen Glycolipide z.B. Alkylpolyglycoside (APG). Biotenside können in lebenden Organismen vorkommen, oder entstehen bei der Kultivierung diverser Mikroorganismen wie z.B. Pilze, Hefen, Viren, Bakterien oder Enzyme.Biosurfactants are generally surfactants of biological origin. They do not undergo chemical reaction such as the synthetic glycolipids e.g. Alkyl polyglycosides (APG). Biosurfactants can be found in living organisms, or arise in the cultivation of various microorganisms such as e.g. Fungi, yeasts, viruses, bacteria or enzymes.
Glycolipid- Biotenside können unmittelbar durch die Verwendung von natürlichen Rohstoffen durch mikrobiologische Prozesse gewonnen werden, während die Herstellung von synthetischen Glycolipide meist weitere chemische Schritte, wie bspw. die Reduktion der Fettsäure zum Fettalkohol bedingt. Durch die biologische Modifizierung des Zuckerteils weisen Glycolipid-Biotenside spezielle Eigenschaften auf, wie zum Beispiel dem Fachmann bekannt, ein gutes Fettlösevermögen. Die Struktur der Glycolipid- Biotenside sowie die Kettenlängen des hydrophoben Teils variiert je nach verwendetem Mikroorganismus bzw. Substrat.Glycolipid biosurfactants can be obtained directly by the use of natural raw materials by microbiological processes, while the preparation of synthetic glycolipids usually further chemical steps, such as the reduction of fatty acid to fatty alcohol caused. By biologically modifying the sugar moiety, glycolipid biosurfactants have specific properties, such as those skilled in the art, of good fat dissolving power. The structure of the glycolipid biosurfactants and the chain lengths of the hydrophobic part varies depending on the microorganism or substrate used.
Im Rahmen dieser Erfindung umfassen Glycolipid-Biotenside (B) Rhamnolipide, insbesondere Mono-, Di- oder Polyrhamnolipide, Sophorolipide in ihrer Säure- oder Laktonform oder als deren Gemische, diacetyliert, acetyliert oder nicht-acetyliert, Trehaloselipiden, Mannosylerythritollipide und Cellobioselipide.In the context of this invention, glycolipid biosurfactants (B) include rhamnolipids, in particular mono-, di- or poly-pyrnolipids, sophorolipids in their acid or lactone form or as their mixtures, diacetylated, acetylated or non-acetylated, trehaloselipids, mannosylerythritolollipids and cellobioselipids.
Als Substrate für Glycolipid- Biotenside eignen sich die unterschiedlichsten, literaturbekannten Kohlenstoffquellen, wie z.B. Pflanzenöle und den daraus erhaltenen Glyceriden oder Fettsäuremethylestern, Fettsäuren, Fettalkohole, - Fettsäuremethylester oder -ethylester, Kohlenhydrate, z.B. Cellulose, Glucose, Stärke, C4-Quellen wie Succinat, Butan, Buttersäure, C1-Quellen wie CO2, CO oder Methan, öl- und/oder kohlenhydrathaltige Abwässer aus Raffinerien oder der Lebensmittelindustrie und auch Mischungen derselben.Suitable substrates for glycolipid biosurfactants are a wide variety of carbon sources known from the literature, such as vegetable oils and the glycerides or fatty acid methyl esters, fatty acids, fatty alcohols, fatty acid methyl esters or ethyl esters, carbohydrates, eg cellulose, glucose, starch, C4 sources such as succinate, Butane, butyric acid, C1 sources such as CO 2 , CO or methane, oil and / or carbohydrate-containing wastewater from refineries or the food industry and mixtures thereof.
Bevorzugte Mikroorganismen zur Herstellung der Biotenside sind Bacillus, Candida, Pseudomonas, Trichosporan und/oder Pseudozyma Stämme und weitere wie in einschlägiger Literatur beschrieben, insbesondere Bacillus licheniformis, Bacillus subtilis, Burkholderia, Candida apicola, Candida antarctica, Candida batistae, Candida bogoriensis, Candida bombicola, Candida sp., Cryptococcus humicola, Gordonia, Mycobacterium tuberculosis, Nocardia cornynebacterium, Pichia anomala, Pseudomonas aeruginosa, Pseudozyma aphidis (MEL), Pseudomonas sp, Pseudozyma antarctica (MEL), Pseudozyma parantarctica, Pseudozyma fusiformata, Rhodococcus, z.B. Rodococcus erythropolis, Rhodotorula bogoriensis, Sphingomonas sp. NM05, Starmerella bombicola, Trichosporon cutaneum, Trichosporan loubieri; Torulopsis magnoliae, Torulopsis bombicola, Tsukamurella spec., Yarrowia alipolytica, Yarrowia lipolytica, Ustilago maydis (MEL), Wickerhamiella domercqiae Y2A.Preferred microorganisms for producing the biosurfactants are Bacillus, Candida, Pseudomonas, Trichosporan and / or Pseudozyma strains and others as described in the relevant literature, in particular Bacillus licheniformis, Bacillus subtilis, Burkholderia, Candida apicola, Candida antarctica, Candida batistae, Candida bogoriensis, Candida bombicola , Candida sp., Cryptococcus humicola, Gordonia, Mycobacterium tuberculosis, Nocardia cornynebacterium, Pichia anomala, Pseudomonas aeruginosa, Pseudozyma aphidis (MEL), Pseudomonas sp, Pseudozyma antarctica (MEL), Pseudozyma parantarctica, Pseudozyma fusiformata, Rhodococcus, eg Rodococcus erythropolis, Rhodotorula bogoriensis, Sphingomonas sp. NM05, Starmerella bombicola, Trichosporon cutaneum, Trichosporan loubieri; Torulopsis magnoliae, Torulopsis bombicola, Tsukamurella spec., Yarrowia alipolytica, Yarrowia lipolytica, Ustilago maydis (MEL), Wickerhamiella domercqiae Y2A.
Die Glycolipid-Biotenside können z. B. wie in
Unter dem Begriff Rhamnolipid im Zusammenhang mit der vorliegenden Erfindung werden insbesondere Verbindungen der allgemeinen Formel (II) oder deren Salze verstanden,
- m = 2, 1 oder 0,
- n = 1 oder 0,
- R1 und R2 = unabhängig voneinander gleicher oder verschiedener organischer Rest mit 2 bis 24 Kohlenstoffatomen, insbesondere gesättigter, ein- oder mehrfach ungesättigter, linear oder verzweigter, gegebenenfalls substituierter, insbesondere hydroxy-substituierter Kohlenwasserstoffrest, bevorzugt mit 5 bis 13 Kohlenstoffatomen, bevorzugt ausgewählt aus der Gruppe bestehend aus Pentenyl, Heptenyl, Nonenyl, Undecenyl und Tridecenyl und (CH2)o-CH3 mit o = 1 bis 23, besonders bevorzugt 4 bis 12, äusserst bevorzugt o= 6.
- R3 - H, CH3, oder Kation, insbesondere Alkalikation, bevorzugt H,
- R4 - H oder die Gruppe CH3(CH2)aCH=CH-CO, mit a Zahlen zwischen 4 und 10, bevorzugt H.
- m = 2, 1 or 0,
- n = 1 or 0,
- R 1 and R 2 = independently identical or different organic radical having 2 to 24 carbon atoms, in particular saturated, mono- or polyunsaturated, linear or branched, optionally substituted, in particular hydroxy-substituted hydrocarbon radical, preferably having 5 to 13 carbon atoms, preferably selected from the group consisting of pentenyl, heptenyl, nonenyl, undecenyl and tridecenyl and (CH 2 ) o -CH 3 where o = 1 to 23, more preferably 4 to 12, most preferably o = 6.
- R 3 is H, CH 3 , or cation, in particular alkali cation, preferably H,
- R 4 - H or the group CH 3 (CH 2 ) a CH = CH-CO, with a numbers between 4 and 10, preferably H.
Unter dem Begriff "di-Rhamnolipid" werden im Zusammenhang mit der vorliegenden Erfindung Verbindungen der allgemeinen Formel (II) oder deren Salze verstanden, bei denen n =1 ist.
Unter dem Begriff "mono-Rhamnolipid" werden im Zusammenhang mit der vorliegenden Erfindung Verbindungen der allgemeinen Formel (II) oder deren Salze verstanden, bei denen n =0 ist.In the context of the present invention, the term "di-rhamnolipid" is understood as meaning compounds of the general formula (II) or salts thereof in which n = 1.
In the context of the present invention, the term "mono-rhamnolipid" is understood as meaning compounds of the general formula (II) or salts thereof in which n = 0.
Rhamnolipide sind über Organismen wie Pseudomonas und Burkholderia, beides Wildtypen zugänglich.
Kommerziell erhältlich sind Rhamnolipide bei der Firma Evonik unter dem Handelsnamen Rewoferm®, The Gene Biotech oder bei Jeneil Biosurfactant Co.LLC. Besonders bevorzugt in dieser Erfindung sind die Rhamnolipide der Firma Evonik Rewoferm® und JBR 425 von Jeneil Biosurfactant, insbesondere JBR 425.Rhamnolipids are accessible via organisms such as Pseudomonas and Burkholderia, both wild types.
Commercially available rhamnolipids are available from Evonik under the trade name Rewoferm®, The Gene Biotech or from Jeneil Biosurfactant Co.LLC. Particularly preferred in this invention are the rhamnolipids from Evonik Rewoferm® and JBR 425 from Jeneil Biosurfactant, in particular JBR 425.
Unter dem Begriff Sophorolipid im Zusammenhang mit der vorliegenden Erfindung werden insbesondere Verbindungen der offenen oder Säureform, der Ring- oder Laktonform, oder deren Gemische verstanden, vorzugsweise Formel (III) folgend
- R5 und R6 unabhängig voneinander H oder Acetylgruppen sind
- R7 ist H oder reine gesättigte oder ungesättigte, hydroxylierte oder nicht-hydroxylierte Kohlenwasserstoffkette mit 1-9 Kohlenstoffatomen, bevorzugt H oder CH3
- R8 ist eine gesättigte oder ungesättigte, hydroxylierte oder nicht-hydroxylierte, lineare oder verzweigte Kohlenwasserstoffkette mit 1-22 Kohlenstoffatomen, bevorzugt besteht R8 aus einer gesättigten Kohlenwasserstoffkette aus 11 bis 22 Kohlenstoffatomen oder aus einer einfachen oder zweifach ungesättigten Kohlenwasserstoffkette aus 13 bis 22 Kohlenstoffatomen, besonders bevorzugt aus einer einfachen oder zweifach ungesättigten Kohlenwasserstoffkette aus 15 oder 16 Kohlenstoffatomen stammend aus Rapsöl als Substrat.
- R9 ist COOH oder ein kationisches Salz desselben, oder COO(CH2)mCH3 mit m zwischen 0 und 3,
- R 5 and R 6 are independently H or acetyl groups
- R 7 is H or pure saturated or unsaturated, hydroxylated or non-hydroxylated hydrocarbon chain of 1-9 carbon atoms, preferably H or CH 3
- R 8 is a saturated or unsaturated, hydroxylated or non-hydroxylated, linear or branched hydrocarbon chain of 1-22 carbon atoms, preferably R 8 consists of a saturated hydrocarbon chain of 11 to 22 carbon atoms or a mono- or diunsaturated hydrocarbon chain of 13 to 22 carbon atoms , particularly preferably from a mono- or diunsaturated hydrocarbon chain of 15 or 16 carbon atoms derived from rapeseed oil as substrate.
- R 9 is COOH or a cationic salt thereof, or COO (CH 2 ) m CH 3 with m between 0 and 3,
In der Laktonkonfiguration kann die Laktonbildung der Carboxylgruppe mit Hydroxylgruppe an C4", wie hier exemplarisch in Formel (III) dargestellt, oder alternativ an C6" oder C6' erfolgen, an der C4" Position befindet sich dann eine Hydroxylgruppe.In the lactone configuration, the lactone formation of the carboxyl group with hydroxyl group at C4 ", as shown here by way of example in formula (III), or alternatively at C6" or C6 'take place, at the C4 "position is then a hydroxyl group.
Zusätzlich können die Sophorolipide Verunreinigungen aus dem Herstellungsprozess enthalten, wie Fettalkohole, Fettsäuren, Fettsäureester, Triglyceride oder Öle, Zucker, besonders Glucose, Sophorose, oder organische Säuren.In addition, the sophorolipids may contain impurities from the manufacturing process, such as fatty alcohols, fatty acids, fatty acid esters, triglycerides or oils, sugars, especially glucose, sophorose, or organic acids.
Durch Verwendung unterschiedlicher Substrate kann das Biotensid strukturell modifiziert werden, z.B. kann das Verhältnis Laktonform zu freier Säure durch das Substrat gesteuert werden.By using different substrates, the biosurfactant can be structurally modified, e.g. For example, the ratio of lactone form to free acid can be controlled by the substrate.
Beispiele für bevorzugten Substrate für Sophorolipide aus der Literatur sind: Maisöl (
Sophorolipide sind durch eine Vielzahl unterschiedlicher dem Fachmann bekannten Organismen wie Candida bombicola, Starmerella oder Wickerhamiella zugänglich.Sophorolipids are accessible by a variety of different organisms known in the art such as Candida bombicola, Starmerella or Wickerhamiella.
Weiterhin sind sie kommerziell erhältlich, z.B. von der Firma Evonik z.B. unter dem Handelsnamen Rewoferm SL 446 oder von Soliance/Givaudan.
Besonders bevorzugt in dieser Erfindung sind die Sophorolipide mit den Handelsnamen Sophogreen, Sophoclean, Soliance S.Furthermore, they are commercially available, for example from the company Evonik, for example under the trade name Rewoferm SL 446 or Soliance / Givaudan.
Particularly preferred in this invention are the sophorolipids having the trade names Sophogreen, Sophoclean, Soliance S.
Unter dem Begriff Mannosylerythritollipide im Zusammenhang mit der vorliegenden Erfindung werden insbesondere Verbindungen der allgemeinen Formel (IV) oder deren Salze verstanden,
- R10 und R11 unabhängig voneinander H oder -COCH3
- R12 und R13 unabhängig voneinander, lineare oder verzweigte C1 bis C23, vorzugsweise C1 bis C17, und besonders bevorzugt C7 bis C15Alkylgruppen; oder lineare oder verzweigte C2 bis C23, bevorzugt C2 bis C17, und besonders bevorzugt C7 bis C15 Alkenylgruppen; oder lineare oder verzweigte C5 bis C23, vorzugsweise C5 bis C17, und besonders bevorzugt C7 bis C15 Alkadienylgruppen; oder lineare oder verzweigte C8 bis C19, bevorzugt C8 bis C17, und besonders bevorzugt C8 bis C15 Alkatrienylgruppen.
- R 10 and R 11 are independently H or -COCH 3
- R 12 and R 13 are independently of one another, linear or branched C 1 to C 23 , preferably C 1 to C 17 , and particularly preferably C 7 to C 15 alkyl groups; or linear or branched C 2 to C 23 , preferably C 2 to C 17 , and particularly preferably C 7 to C 15 alkenyl groups; or linear or branched C 5 to C 23 , preferably C 5 to C 17 , and particularly preferably C 7 to C 15 alkadienyl groups; or linear or branched C 8 to C 19 , preferably C 8 to C 17 , and particularly preferably C 8 to C 15 alkatrienyl groups.
Mannosylerythritollipide können durch Pseudozyma Antarctica NBRC 10736 in einem Nährmedium mit Sojaöl erhalten werden , alternativ sind sie durch den Brandpilz Ustilago maydis zugänglich.Mannosylerythritol lipids can be obtained by Pseudozyma Antarctica NBRC 10736 in a nutrient medium with soybean oil, alternatively they are accessible by the fungus Ustilago maydis.
Unter dem Begriff Cellobioselipid im Zusammenhang mit der vorliegenden Erfindung werden insbesondere Verbindungen der allgemeinen Formel (V) oder deren Salze verstanden
- R14, R15 und R17 = unabhängig voneinander H oder -COCH3,
- R16 = gesättigter oder ungesättigter, hydroxylierter oder nicht-hydroxylierter Kohlenwasserstoff mit 5 bis 23 Kohlenstoffatomen, oder -CH3, bevorzugt - CH3 oder - CH2-CH(OH)-(CH2)n-CH3 mit n= 2-4,
- R18= H oder -OH,
- R19= gesättigter oder ungesättigter, hydroxylierter oder nicht-hydroxylierter Kohlenwasserstoff mit 9 bis 21 Kohlenstoffatomen, bevorzugt 13 Kohlenstoffatome, besonders bevorzugt - (CH2)n-CH(OH)- mit n= 12,
- R20= H, oder ein Kation,
- Cellobioselipide können durch literaturbeschriebe Verfahren durch Cryptococcus humicola, Pseudozyma fusiformata oder durch den Brandpilz Ustilago maydis erhalten werden.
- R 14 , R 15 and R 17 = independently of one another H or -COCH 3 ,
- R 16 = saturated or unsaturated, hydroxylated or non-hydroxylated hydrocarbon having 5 to 23 carbon atoms, or -CH 3, preferably -CH 3 or -CH 2 -CH (OH) - (CH 2 ) n -CH 3 where n = 2 4,
- R 18 = H or -OH,
- R 19 = saturated or unsaturated, hydroxylated or non-hydroxylated hydrocarbon having 9 to 21 carbon atoms, preferably 13 carbon atoms, more preferably - (CH 2 ) n -CH (OH) - with n = 12,
- R 20 = H, or a cation,
- Cellobioselipids can be obtained by literature methods by Cryptococcus humicola, Pseudozyma fusiformata or by the fungus Ustilago maydis.
Unter dem Begriff Trehaloselipide im Zusammenhang mit der vorliegenden Erfindung werden insbesondere Verbindungen der allgemeinen Formel (VI) oder deren Salze verstanden.
- R21, R22, R31 und R32= jeweils unabhängig voneinander Wasserstoff oder COR27 mit R27 gesättigtem oder ungesättigtem, hydroxyliertem oder nicht-, hydroxyliertem Kohlenwasserstoff mit 5 bis 23 Kohlenstoffatomen;
- R25 und R26 jeweils unabhängig voneinander Wasserstoff oder COR28 mit R28 gesättigtem oder ungesättigtem, verzweigt oder nicht-verzweigtem, hydroxyliertem oder nicht-, hydroxyliertem Kohlenwasserstoff mit 5 bis 23 Kohlenstoffatomen oder R28 = CH[(CH2)cCH3]CHOH(CH2)dCH3 mit c+d = 27;
- R29 und R23 jeweils unabhängig voneinander Wasserstoff, COR30 mit R30 gesättigtem oder ungesättigtem, verzweigt oder nicht-verzweigtem, hydroxyliertem oder nicht-, hydroxyliertem Kohlenwasserstoff mit 5 bis 23 Kohlenstoffatomen oder R30 = (CH)2COOR24 mit R24= H oder Kation.
- R 21 , R 22 , R 31 and R 32 each independently represent hydrogen or COR 27 with R 27 saturated or unsaturated, hydroxylated or non-hydroxylated hydrocarbon of 5 to 23 carbon atoms;
- R 25 and R 26 are each independently hydrogen or COR 28 with R 28 saturated or unsaturated, branched or unbranched, hydroxylated or non-hydroxylated hydrocarbon of 5 to 23 carbon atoms or R 28 = CH [(CH 2 ) c CH 3 ] CHOH (CH 2 ) d CH 3 with c + d = 27;
- R 29 and R 23 are each independently hydrogen, COR 30 with R 30 saturated or unsaturated, branched or unbranched, hydroxylated or non-hydroxylated hydrocarbon having 5 to 23 carbon atoms or R 30 = (CH) 2 COOR 24 with R 24 = H or cation.
Erfindungsgemäss eignen sich vorzugsweise Tetralose Dimycolate, Tetralose Monomycolate, Succinyl Trehalose Lipide und Trehalose Tetraester oder Gemische derselben.Tetralose dimycolates, tetralose monomycolates, succinyl trehalose lipids and trehalose tetraesters or mixtures thereof are preferably suitable according to the invention.
Trehaloselipide können durch literaturbeschriebe Verfahren durch Rhodococcus erythropolis, Arthobacter spec., Gordonia, Mycobacterium tuberculosis, Nocardia Cornynebacterium spec. oder Tsukamurella spec. erhalten werden.Trehaloselipids can be obtained by literature methods by Rhodococcus erythropolis, Arthobacter spec., Gordonia, Mycobacterium tuberculosis, Nocardia cornynebacterium spec. or Tsukamurella spec. to be obtained.
Die Mittel enthalten bevorzugt 0.1 bis 50 Gew.-% eines oder mehrerer Glycolipid-Biotenside, bevorzugter 0.1 bis 25 Gew.-%, besonders bevorzugt 0.1 bis 10 Gew.-% und ganz besonders bevorzugt 0.3 bis 8 Gew.-%, bezogen auf das Gesamtmittel.The agents preferably contain 0.1 to 50 wt .-% of one or more glycolipid biosurfactants, more preferably 0.1 to 25 wt .-%, particularly preferably 0.1 to 10 wt .-% and most preferably 0.3 to 8 wt .-%, based on the total agent.
Das oder die alkoxylierten Tenside (A) und das oder die Glycolipid-Biotenside (B) können in jedem beliebigen Verhältnis kombiniert werden.The alkoxylated surfactant (s) (A) and glycolipid biosurfactant (s) (B) may be combined in any proportion.
Bevorzugt liegen die Tenside (A) zu den Glycolipid-Biotensiden (B) in einem Verhältnis zwischen (A) :(B) ≤ 20:1 und ≥1:20 vor; beispielsweise 20:1, 9:1, 8:1 u.s.w. Besonders bevorzugt liegen die Tenside (A) zu den Glycolipid-Biotensiden (B) in einem Verhältnis zwischen (A) :(B) ≤ 10:1 und ≥1:10 vor und ganz besonders bevorzugt liegen die Tenside (A) zu den Glycolipid-Biotensiden (B) in einem Verhältnis zwischen (A) :(B) ≤ 2:1 und ≥1:6 vor, äusserst bevorzugt liegt (A) :(B) ≤ 1:1 und ≥1:6; jeweils bezogen auf Gewichtsprozent Aktivgehalt im gesamten Mittel.Preferably, the surfactants (A) to the glycolipid biosurfactants (B) in a ratio between (A): (B) ≤ 20: 1 and ≥1: 20 before; for example, 20: 1, 9: 1, 8: 1, and so on. Particularly preferably, the surfactants (A) to the glycolipid biosurfactants (B) in a ratio between (A): (B) ≤ 10: 1 and ≥1: 10 before and very particularly preferably the surfactants (A) are the glycolipid -Biotensiden (B) in a ratio between (A): (B) ≤ 2: 1 and ≥1: 6 before, most preferred is (A): (B) ≤ 1: 1 and ≥1: 6; in each case based on the weight percent active content in the entire medium.
Ein weiterer Gegenstand der Erfindung richtet sich auf ein Mittel zusätzlich enthaltend mindestens eine Seife bzw. Fettsäure (C), und/ oder ein oder mehrere alkoxylierte Tenside (D) ausgewählt der Gruppe der alkoxylierten Fettsäureester, der alkoxylierten Fettsäureglyceridester, oder der alkoxylierten Pflanzenölester sowie Mischungen derselben.Another object of the invention is directed to an agent additionally containing at least one soap or fatty acid (C), and / or one or more alkoxylated surfactants (D) selected from the group of alkoxylated fatty acid esters, the alkoxylated Fettsäureglyceridester, or the alkoxylated vegetable oil esters and mixtures the same.
Überraschenderweise zeigen die Kombinationen (A), (B) und (C), oder (A), (B) und (D) oder (A), (B), (C), (D) eine unverändert hohe oder sogar bessere Reinigungskraft auf Kohlenhydratflecken oder Anfärbungen.Surprisingly, the combinations (A), (B) and (C), or (A), (B) and (D) or (A), (B), (C), (D) show an unchanged high or even better Cleaning power on carbohydrate stains or stains.
Dies ist insofern erstaunlich, da die Kombination (A)/(B) auch mit einem dritten Tensid (C) bzw. (D) synergistisch auf Kohlenhydratflecken oder Anfärbungen wirkt.This is surprising in that the combination (A) / (B) also acts synergistically with carbohydrate stains or stains with a third surfactant (C) or (D).
In einer weiteren Ausführungsform, hat es sich als vorteilhaft erwiesen, wenn das Mittel als anionisches Tensid zusätzlich mindestens eine Seife (C) enthält. Seifen sind Alkali- oder Ammoniumsalze gesättigter oder ungesättigter Fettsäuren von 6 bis 24 Kohlenstoffatomen.In a further embodiment, it has proved to be advantageous if the agent additionally contains at least one soap (C) as anionic surfactant. Soaps are alkali or ammonium salts of saturated or unsaturated fatty acids of 6 to 24 carbon atoms.
Überraschenderweise können die Mittel bestehend aus Tensid (A) und dem Glycolipid-Biotensid (B) bei neutralem oder alkalischem pH zusätzlich mit einer Seife (C) kombiniert werden, so dass das Gesamtergebnis weiter verbessert wird -mit einer hohen Reinigungskraft auf Kohlenhydratflecken oder Farbflecken.Surprisingly, the surfactant (A) and glycolipid biosurfactant (B) agents may be additionally combined with a soap (C) at neutral or alkaline pH to further improve the overall result, with high carbohydrate or color stain cleaning power.
Wie in den Ausführungsbeispielen gezeigt, hat die Zugabe von Seife je nach Ausführungsform positive Auswirkungen auf die Reinigungsleistung.As shown in the exemplary embodiments, the addition of soap has positive effects on the cleaning performance, depending on the embodiment.
Besonders bevorzugt in dieser Erfindung sind Salze von Fettsäuren der Formel (VII)
RCOOM (VII)
- M ist ein Alkali- oder Ammoniumkation,
- R bzw. RCO wie in Formel (I) definiert und abgeleitet von C-18-Pflanzenölen,
- das bedeutet: R = gesättigte, ein- oder mehrfach ungesättigter Kohlenwasserstoffkette mit 5-23 Kohlenstoffatomen und RCO abgeleitet aus einem Fettsäuregemisch, wobei der Anteil von 18 und mehr Kohlenstoffatomen des Fettsäurerestes RCO über 60 Gew.-%, bevorzugt über 72 Gew.-% und ganz besonders bevorzugt von über 77 Gew.-% liegt;
- und wobei der Anteil an ungesättigten Fettsäureresten über 55 Gew.-%, vorzugsweise über 65 Gew.-% und besonders bevorzugt über 72 Gew.-% liegt, jeweils bezogen auf den Gesamtanteil an Fettsäureresten RCO des eingesetzten Tensids (I);
- und wobei das Tensid (I) aus einem Gemisch unterschiedlicher Kettenlängen und Sättigungsgrade des Fettsäurerests RCO wie oben definiert besteht und abgeleitet ist von einem C-18-Pflanzenöl.
RCOOM (VII)
- M is an alkali or ammonium cation,
- R or RCO as defined in formula (I) and derived from C-18 vegetable oils,
- that is: R = saturated, mono- or polyunsaturated hydrocarbon chain with 5-23 carbon atoms and RCO derived from a fatty acid mixture, wherein the proportion of 18 or more carbon atoms of the fatty acid radical RCO over 60 wt .-%, preferably over 72 wt .-% and most preferably more than 77% by weight;
- and wherein the proportion of unsaturated fatty acid residues is above 55 wt.%, preferably above 65 wt.% and particularly preferably above 72 wt. in each case based on the total proportion of fatty acid residues RCO of the surfactant (I) used;
- and wherein the surfactant (I) consists of a mixture of different chain lengths and saturation levels of the fatty acid radical RCO as defined above and derived from a C-18 vegetable oil.
Beispielhafte Vertreter der erfindungsgemäss geeigneten Produkte sind Natrium Olivenölseifen, Kalium Rapsölseifen, Ammonium Distelölseifen, Natrium Leinsamenölseifen, Natrium Sonnenblumenölseifen, Natrium Sojaölseifen, Leinsamenfettsäure, Olivenölfettsäuren und andere.Exemplary representatives of the products useful in the present invention are sodium olive oil soaps, potassium rapeseed oil soaps, ammonium thistle oil soaps, sodium linseed oil soaps, sodium sunflower oil soaps, sodium soybean oil soaps, linseed fatty acids, olive oil fatty acids and others.
Bevorzugt liegen die Seifen als Mischung gemäss der Fettsäureverteilung im nativen Öl vor oder wie sie bei der Umsetzung von natürlich vorkommenden Pflanzenölen oder -fetten anfallen.Preferably, the soaps are present as a mixture according to the fatty acid distribution in the native oil or as obtained in the reaction of naturally occurring vegetable oils or fats.
In dieser Ausführungsform bevorzugt sind Mittel der Formel (VII), die dadurch gekennzeichnet sind, dass sie zu 0.001 bis 50 Gew.-%, bevorzugter 0.01 bis 20 Gew.-% und besonders bevorzugt 0.1 bis 20 Gew.-% und ganz besonders bevorzugt 0.5 bis 10 Gew.-% enthalten sind; Gewichtsprozent bezogen auf das Gesamtmittel.In this embodiment, preferred are agents of the formula (VII), which are characterized in that they are 0.001 to 50 wt .-%, more preferably 0.01 to 20 wt .-% and particularly preferably 0.1 to 20 wt .-% and most preferably 0.5 to 10 wt .-% are included; Weight percent based on the total agent.
Das oder die Tenside (C) können in jedem beliebigen Verhältnis mit (A) und (B) und gegebenenfalls (D) kombiniert werden. Bevorzugt liegen die Tenside (C) zu dem Tensid (A)+Glycolipid-Biotensid (B)- Gemisch in einem Verhältnis zwischen (C) :(A+B) ≤ 100:1 und ≥1:200 vor; beispielsweise 50:1, 20:1, 9:1, 8:1 u.s.w.
Besonders bevorzugt liegen die Tenside (C) in einem Verhältnis zwischen (C) :(A+B) ≤ 50:1 und ≥1:20 vor und ganz besonders bevorzugt liegen die Tenside (C) in einem Verhältnis zwischen (C) :(A+B) ≤ 20:1 und ≥1:10 vor; jeweils bezogen auf Gewichtsprozent Aktivgehalt im gesamten Mittel.The surfactant or surfactants (C) may be combined in any ratio with (A) and (B) and optionally (D). Preferably, the surfactants (C) are present in the surfactant (A) + glycolipid-biosurfactant (B) mixture in a ratio between (C) :( A + B) ≤100: 1 and ≥1: 200; for example, 50: 1, 20: 1, 9: 1, 8: 1, etc
The surfactants (C) are particularly preferably present in a ratio between (C) :( A + B) ≦ 50: 1 and ≥ 1: 20, and very particularly preferably the surfactants (C) are present in a ratio of (C) :( A + B) ≤ 20: 1 and ≥1: 10 before; in each case based on the weight percent active content in the entire medium.
Ein weiterer Gegenstand der Erfindung richtet sich auf ein Mittel zusätzlich enthaltend mindestens ein oder mehrere alkoxylierte Tenside (D). In dieser weiteren Ausführungsform enthält das Mittel zusätzlich ein oder mehrere alkoxylierte Tenside (D), ausgewählt aus der Gruppe der nichtionischen Tenside der alkoxylierten Fettsäureester, der alkoxylierten Fettsäureglyceridester, und der alkoxylierten Pflanzenölester, vorzugsweise der Formel (VIII) folgend,
(VIII) RCO-O(CmH2mO)o-{CH2-CH[O(CmH2mO)pR"]-CH2O}w-(CmH2mO)q-R'''
mit R und RCO wie bei Formel (I) beschrieben und abgeleitet von einem C-18-Pflanzenöl,
wobei
- m ist 2, 3 oder 4, bevorzugt 2 oder 3, besonders bevorzugt 2;
- o, p, q sind unabhängig voneinander Zahlen von 0 bis 75, bevorzugt 0-10, bevorzugter 0-8, wobei o+p+q ≠ 0. Die Zahlen o, p, q repräsentieren den Alkoxylierungsgrad. Obwohl diese Zahlen auf molekularer Ebene nur ganze Zahlen einschliesslich der Null annehmen können, kann der Gesamtalkoxylierungsgrad x als Dezimalzahl angegeben werden, da dieser die stöchiometrischen Äquivalente von Ethylenoxid darstellt,
- R" ist H, oder COR,
- R''' ist H, COR, oder ein linearer oder verzweigter Alkylrest mit 1-8 C-Atomen.
- w ist eine ganze Zahl zwischen 0 und 10;
- Überraschenderweise zeigen die Kombinationen (A), (B) und (D) eine unverändert hohe Reinigungskraft auf Kohlenhydratflecken oder Farbflecken.
(VIII) RCO-O (C m H 2m O) o - {CH 2 -CH [O (C m H 2m O) p R "] - CH 2 O} w - (C m H 2m O) q -R '''
with R and RCO as described in formula (I) and derived from a C-18 vegetable oil,
in which
- m is 2, 3 or 4, preferably 2 or 3, more preferably 2;
- o, p, q are, independently of one another, numbers from 0 to 75, preferably 0-10, more preferably 0-8, where o + p + q ≠ 0. The numbers o, p, q represent the degree of alkoxylation. Although these numbers can only assume integers including zero at the molecular level, the total degree of alkoxylation x can be given as a decimal number, since this represents the stoichiometric equivalents of ethylene oxide,
- R "is H, or COR,
- R '''is H, COR, or a linear or branched alkyl radical having 1-8 C atoms.
- w is an integer between 0 and 10;
- Surprisingly, the combinations (A), (B) and (D) show an unchanged high cleaning power on carbohydrate stains or color stains.
Dies ist insofern erstaunlich, da die Kombination (A)/(B) auch mit einem dritten Tensid (D) synergistisch auf Kohlenhydratflecken oder Farbflecken wirkt. Zudem wurde eine noch bessere Reinigungskraft, welche für den Fachmann nicht vorhersehbar ist, bei der Entfernung von Farbflecken festgestellt.This is surprising in that the combination (A) / (B) also acts synergistically on carbohydrate spots or stains with a third surfactant (D). In addition, an even better cleaning power, which is unpredictable for the expert, found in the removal of color spots.
Ein weiterer Vorteil der Kombinationen (A), (B) und (D) ist eine stärkere Schaumbildung als bei der reinen Kombination (A) und (B), insbesondere überraschend war, dass der Schaum zudem deutlich länger stabil bleibt.Another advantage of the combinations (A), (B) and (D) is a stronger foaming than in the pure combination (A) and (B), in particular it was surprising that the foam also remains stable much longer.
Die schäumende Ausführungsform ist für einige Verwendungen wünschenswert und ist in den Ausführungsbeispielen exemplarisch dargestellt.The foaming embodiment is desirable for some uses and is exemplified in the embodiments.
Überraschenderweise können die Mittel bestehend aus dem oder den Tensiden (A) und dem oder den Glycolipid-Biotensiden (B) bei beliebigem pH-Wert zusätzlich mit einem Tensid (D) kombiniert werden.Surprisingly, the agents consisting of the one or more surfactants (A) and the glycolipid or biosurfactants (B) at any pH value can be additionally combined with a surfactant (D).
Beispielhafte Vertreter der erfindungsgemäss geeigneten Tenside (D) sind PEG-6 Mandelöl, PEG-8 Mandelöl, PEG-8 Aprikosenkernöl, PEG-8 Buxus Chinensis Oil, PEG-6 Aprikosenkernöl, PEG-40 Aprikosenkernöl, PEG-8 Arganöl, PEG-8 Avocadoöl, PEG-11 Avocadoöl, PEG-8 Borretschsamenöl, PEG-8 Macademia Tenuifolia Öl, PEG-6 Maisöl, PEG-8 Maisöl, PEG-8 Traubenkernöl, PEG-8 Haselnussöl, PEG-8 Leinsamenöl, PEG-6 Olivenöl, PEG-7 Olivenöl, PEG-7 Olivenöl, PEG-8 Olea Europaea Öl, PEG-7 Olivenöl, PEG-7 Olivenöl, PEG-8 Olivenöl, PEG-10 Olivenöl, PEG-8 Oryza Sativa Öl, PEG-8 Prunus Dulcis, PEG-8 Persea Gratissma Öl, PEG-8 Passiflora edulis seed oil, PEG-6 Erdnussöl, PEG-45 Crambe Absyssinica Seed oil, PEG-75 Wiesenschaumkrautöl, PEG-8 Kürbiskernöl, PEG-3 Rapssamenöl, PEG-20 Rapssamenöl, PEG-8 Diestelöl, PEG-8 Schinziophyton Rautaneii Kernöl, PEG-8 Sesamsamenöl, PEG-8 Senum Indicum Öl, PEG-8 Sojabohnenöl, PEG-20 Sojabohnenöl, PEG-36 Sojabohnenöl, PEG-8 Sonnenblumenöl, PEG-32 Sonnenblumenöl, PEG-8 Süssmandelöl, PEG-8 Wassermelonenkernöl, PEG-8 Weizenkeimöl, PEG-8 Zea Mais Öl
PEG-6 Mandelglycerid, Mandelöl Glycereth-8 Ester, PEG-20 Mandelglycerid, PEG-35 Mandelglycerid, PEG-60 Mandelglycerid, Avocadoöl Glycereth-8 Ester, PEG-11 Avocadoglycerid, Arganöl Glycereth-8 Ester, Mandelöl Glycereth-8 Ester, PEG-14 Mandelglycerid, Maisöl Glycereth-8 Ester, PEG-20 Maisglycerid, PEG-60 Maisglycerid, PEG-20 Nachtkerzenglycerid, PEG-60 Nachtkerzenglycerid, Traubenkernöl Glycereth-8 Ester, Cannabis Sativa Kernöl Glycereth-8 Ester, Jojobaöl Glycereth-8 Ester, PEG-16 Macademiaglycerid, PEG-25 Moringaglycerid, PEG-2 Olivenglycerid, PEG-6 Olivenglycerid, PEG-7 Olivenglycerid, Olivenöl Glycereth-8 Ester, PEG-10 Olivenglycerid, PEG-40 Olivenglycerid, Pfirsichkernöl Glycereth-8 Ester, PEG-60 Passiflora edulis seed glycerid, PEG-60 Passiflora Incarnata seed glycerid, PEG-40 Diestelglycerid, Sojaöl Glycereth-8 Ester, PEG-35 Soja glycerid, PEG-75 Soja glycerid Ester, PEG-2 Sonnenblumenglycerid, PEG-7 Sonnenblumenglycerid, Sonnenblumenöl Glycereth-8 Ester, PEG-10 Sonnenblumenglycerid, PEG-13 Sonnenblumenglycerid, PEG-7 Rapsglycerid, PEG-4 Rapsglycerid, PEG-10 Canolaglycerid, PEG-5 Tsubakiateglycerid, PEG-10 Tsubakiateglycerid, PEG-20 Tsubakiateglycerid, PEG-60 Tsubakiateglycerid, Baumwollöl Glycereth-8 Ester, Reisöl Glycereth-8 Ester, Sesamöl Glycereth-8 Ester, Weizenkeimöl Glycereth-8 Ester.Exemplary representatives of the invention suitable surfactants (D) are PEG-6 Almond Oil, PEG-8 Almond Oil, PEG-8 Apricot Kernel Oil, PEG-8 Buxus Chinensis Oil, PEG-6 Apricot Kernel Oil, PEG-40 Apricot Kernel Oil, PEG-8 Argan Oil, PEG-8 Avocado Oil, PEG-11 Avocado Oil, PEG-8 Borage seed oil, PEG-8 macademia tenuifolia oil, PEG-6 corn oil, PEG-8 corn oil, PEG-8 grapeseed oil, PEG-8 hazelnut oil, PEG-8 linseed oil, PEG-6 olive oil, PEG-7 olive oil, PEG-7 olive oil, PEG -8 Olea Europaea Oil, PEG-7 Olive Oil, PEG-7 Olive Oil, PEG-8 Olive Oil, PEG-10 Olive Oil, PEG-8 Oryza Sativa Oil, PEG-8 Prunus Dulcis, PEG-8 Persea Gratissma Oil, PEG-8 Passiflora edulis seed oil, PEG-6 peanut oil, PEG-45 Crambe Absyssinica seed oil, PEG-75 meadowfoam seed oil, PEG-8 pumpkin seed oil, PEG-3 rapeseed oil, PEG-20 rapeseed oil, PEG-8 diest oil, PEG-8 Schinziophyton Rautaneii seed oil, PEG -8 Sesame Seed Oil, PEG-8 Senum Indicum Oil, PEG-8 Soybean Oil, PEG-20 Soybean Oil, PEG-36 Soybean Oil, PEG-8 Sunflower Oil, PEG-32 Sunflower Oil, PEG-8 Sweet Almond Oil, PEG-8 Watermelon Kernel Oil, PEG-8 wheat germ oil, PEG-8 Zea corn oil
PEG-6 Almond Glyceride, Almond Glycerol-8 Ester, PEG-20 Almond Glyceride, PEG-35 Almond Glyceride, PEG-60 Almond Glyceride, Avocado Glycereth-8 Ester, PEG-11 Avocadoglyceride, Argan Glycereth-8 Ester, Almond Glycerol-8 Ester, PEG -14 Almond Glyceride, Corn Oil Glycereth-8 Ester, PEG-20 Corn Glyceride, PEG-60 Corn Glyceride, PEG-20 Evening Primrose Glyceride, PEG-60 Evening Primrose Glyceride, Grapeseed Glycereth-8 Ester, Cannabis Sativa Kernöl Glycereth-8 Ester, Jojoba Glycerol-8 Ester, PEG-16 Macademiaglyceride, PEG-25 Moringaglyceride, PEG-2 Olive Glyceride, PEG-6 Olive Glyceride, PEG-7 Olive Glyceride, Olive Glycereth-8 Ester, PEG-10 Olive Glyceride, PEG-40 Olive Glyceride, Peach Seed Glycereth-8 Ester, PEG-60 Passiflora edulis seed glyceride, PEG-60 Passiflora Incarnata seed glyceride, PEG-40 diastel glyceride, Soybean oil Glycereth-8 ester, PEG-35 Soy glyceride, PEG-75 Soy glyceride Ester, PEG-2 Sunflower glyceride, PEG-7 Sunflower glyceride, Sunflower oil Glycereth- 8 esters, PEG-10 sunb lumeneceride, PEG-13 sunflower glyceride, PEG-7 rapeseed glyceride, PEG-4 rapeseed glyceride, PEG-10 canola glyceride, PEG-5 tsubakiateglyceride, PEG-10 tsubakiateglyceride, PEG-20 tsubakiateglyceride, PEG-60 tsubakiateglyceride, Glycereth-8-ester cotton oil, Rice oil Glycereth -8 esters, sesame oil glycereth-8 esters, wheat germ oil glycereth-8 esters.
Ethoxylierte Rapsmethylester (EO 7-15), Ethoxylierte Rapsethylester (EO 7-15), Ethoxylierte Sojamethylester (EO 7-15), Ethoxylierte Sojaethylester (EO 7-15).Ethoxylated rapeseed methyl ester (EO 7-15), ethoxylated rapeseed ethyl ester (EO 7-15), ethoxylated soybean methyl ester (EO 7-15), ethoxylated soya ethyl ester (EO 7-15).
Besonders bevorzugt sind alkoxylierte Tenside mit einem HLB > 10.5 und <12.0. Beispiele dieser Vertreter sind Rapsmethylester oxylat 7 EO, Olivenöl Glycereth-PEG-8 Ester, Mandelöl PEG-7 Ester, PEG-10 Oliven Glyceride.
Ganz besonders bevorzugt sind die Vertreter Pflanzenöl Glycereth-y Ester, Pflanze-PEG-y-ester, Ethoxylierter Rapsmethylester (y EO), mit Pflanze = Aprikose(nkern), Avocado, Baumwolle, Distel, Hanf, Jojoba, Leinsamen, Macademia, Mandel, Mais, Olive, Pfirsichkern, Reis, Sesam, Soja, Sonnenblume, Traube(nkern), Weizen(keim), Raps, Rüböl mit y= 6-10, bevorzugt 7-8.Particular preference is given to alkoxylated surfactants having an HLB> 10.5 and <12.0. Examples of these representatives are rapeseed methyl ester oxylate 7 EO, olive oil glycereth-PEG-8 ester, almond oil PEG-7 ester, PEG-10 olive glycerides.
Very particular preference is given to the representatives of vegetable oil glycereth-y ester, plant PEG-y ester, ethoxylated rapeseed methyl ester (y EO), with plant = apricot (nkern), avocado, cotton, thistle, hemp, jojoba, linseed, macademia, almond , Corn, olive, peach kernel, rice, sesame, soy, sunflower, grape (kernel), wheat (germ), oilseed rape, rapeseed oil with y = 6-10, preferably 7-8.
In dieser Ausführungsform bevorzugt sind Mittel, die dadurch gekennzeichnet sind, dass sie - bezogen auf ihr Gewicht - 0.1 bis 50 Gew.-%, bevorzugt 0.1 bis 10 Gew.-% und besonders bevorzugt 0.2 bis 5 Gew.-% eines oder mehrerer zusätzlicher alkoxylierter Tenside enthalten, jeweils bezogen auf das Gesamtmittel.Preferred in this embodiment are agents which are characterized in that they contain, based on their weight, from 0.1 to 50% by weight, preferably from 0.1 to 10% by weight and particularly preferably from 0.2 to 5% by weight of one or more additional alkoxylated surfactants, in each case based on the total agent.
Das oder die Tenside (D) können in jedem beliebigen Verhältnis mit (A) und (B) und gegebenenfalls (C) kombiniert werden.The surfactant or surfactants (D) may be combined in any ratio with (A) and (B) and optionally (C).
Bevorzugt liegen die Tenside (D) zu dem Tensid (A)/ Glycolipid-Biotensid (B)-Gemisch in einem Verhältnis zwischen (D) :(A/B) ≤ 50:1 und ≥1:50 vor; beispielsweise 20:1, 9:1, 8:1 u.s.w.
Besonders bevorzugt liegen die Tenside (D) in einem Verhältnis zwischen (D) :(A/B) ≤ 20:1 und ≥1:20 vor und ganz besonders bevorzugt liegen die Tenside (D) in einem Verhältnis zwischen (D) :(A/B) ≤ 10:1 und ≥1:10 vor, äusserst bevorzugt liegt (D) :(A/B) ≤ 3:1 und ≥1:10; jeweils bezogen auf Gewichtsprozent Aktivgehalt im gesamten Mittel.Preferably, the surfactants (D) are present in the surfactant (A) / glycolipid-biosurfactant (B) mixture in a ratio between (D) :( A / B) ≤50: 1 and ≥1: 50; for example, 20: 1, 9: 1, 8: 1, etc
The surfactants (D) are particularly preferably present in a ratio of between (D) :( A / B) ≦ 20: 1 and ≥ 1: 20, and most preferably the surfactants (D) are present in a ratio of (D) :( A / B) ≤ 10: 1 and ≥1: 10 before, most preferably (D): (A / B) ≤ 3: 1 and ≥1: 10; in each case based on the weight percent active content in the entire medium.
Unter Tensid werden in diesem Zusammenhang amphiphile organische Substanzen mit grenzflächenaktiven Eigenschaften verstanden, die sich an die Grenzfläche zwischen zwei Flüssigkeiten, wie beispielsweise Öl und Wasser adsorbieren und die Fähigkeit besitzen, die Oberflächenspannung von Wasser zu verringern. In Lösung tendieren Tenside zur Selbstaggregation und bilden Strukturen wie bspw. Mizellen, lamellare Strukturen u.a. Vorzugsweise sind diejenigen Tenside (E) geeignet, die die Fähigkeit besitzen, die Oberflächenspannung von Wasser bei 20°C und bei einer Konzentration von 0.5 Gew.-% bezogen auf die Gesamtmenge der Zubereitung auf unter 45 mN/m zu verringern.In this context, surfactant is understood as meaning amphiphilic organic substances having surface-active properties which are concentrated at the interface adsorb between two liquids, such as oil and water and have the ability to reduce the surface tension of water. In solution, surfactants tend to self-aggregate and form structures such as micelles, lamellar structures, etc. Preferably, those surfactants (E) having the ability to absorb the surface tension of water at 20 ° C and at a concentration of 0.5% by weight are suitable to reduce the total amount of preparation to below 45 mN / m.
Für weitere optionale Tenside, welche vom Fachmann frei mit dem erfindungsgemässen Mittel kombiniert werden können, wird auf die einschlägige Fachliteratur wie z.B.
Als weitere optionale nichtionische Tenside welche vom Fachmann frei mit dem erfindungsgemässen Mittel kombiniert werden können, eignen sich beispielsweise Alkoholpolyglykolether d.h. ethoxylierte und/oder propoxylierte Alkohole mit 1-40 Ethylenoxid (EO) und/oder Propylenoxid (PO)- Einheiten, Aminoxide, Polyethylenglykolmercaptane, Glykolipide, wie zum Beispiel Alkylpolyglykoside mit 1-10 Glykosideinheiten, Polyhydroxyfettsäureamide, Polyhydroxyfettsäureester, Carbonsäureester, Sorbitanester, sowie alkoxylierte Sorbitanester, Alkanolamin-Carbonsäure-Kondensate, N-Alkylpyrrolidone, Amidoalkyl-2-pyrrolidone.Other optional nonionic surfactants which can be freely combined by the skilled person with the agent according to the invention are, for example, alcohol polyglycol ethers, ie. ethoxylated and / or propoxylated alcohols having 1-40 ethylene oxide (EO) and / or propylene oxide (PO) units, amine oxides, polyethylene glycol mercaptans, glycolipids, such as alkyl polyglycosides having 1-10 glycoside units, polyhydroxy fatty acid amides, polyhydroxy fatty acid esters, carboxylic acid esters, sorbitan esters, and alkoxylated Sorbitan esters, alkanolamine-carboxylic acid condensates, N-alkylpyrrolidones, amidoalkyl-2-pyrrolidones.
Geeignete optionale anionische Tenside, welche vom Fachmann frei mit dem erfindungsgemässen Mittel kombiniert werden können, sind Acyllactylat, Fettalkoholcarboxylate, Alkylpolyglykolethercarboxylate bzw. deren Mischungen. Vorzugsweise werden anionische Tenside verwendet nach der Formel RCOX mit X dem hydrophilen Teil und RCO abgeleitet von einem C18-Pflanzenöl.Suitable optional anionic surfactants which can be combined freely by the skilled person with the agent according to the invention are acyl lactylate, fatty alcohol carboxylates, alkyl polyglycol ether carboxylates or mixtures thereof. Preferably anionic surfactants are used according to the formula RCOX with X the hydrophilic part and RCO derived from a C18 vegetable oil.
Daneben können zusätzlich optional die weniger bevorzugten Schwefeltenside, Phosphate oder Phosphonate verwendet werden. Beispiele sind Alkylbenzolsulfonate, Alkan-/Alkensulfonate, Alkylsulfate bzw. Fettalkoholsulfate, Alkylpolyglykolethersulfate mit 2 bis 6 Ethylenoxideinheiten (EO) im Etherteil, sowie Sulfosuccinate, Carbonsäureamidethersulfate, Sulfobernsteinsäuremono- und diAlkylester, α-Olefinsulfonate, Alkylisethionat, Acylisethionat ,Alkylsulfoacetate, sulfonierte Fettsäuren, sulfonierte Fettsäureester, wie sulfonierte Fettsäureglycerinester und sulfonierte Fettsäuremethylester, N-Acylaminosulfonsäuren, Alkylphosphate und Alkyletherphosphate, Phosphor- und Polyphosphorsäureester.In addition, optionally the less preferred sulfur surfactants, phosphates or phosphonates can be used. Examples are alkylbenzenesulfonates, alkane / alkene sulfonates, alkyl sulfates or fatty alcohol sulfates, alkylpolyglycol ether sulfates having 2 to 6 ethylene oxide units (EO) in the ether part, and also sulfosuccinates, carboxamide ether sulfates, sulfosuccinic acid mono- and di-alkyl esters, α-olefinsulfonates, alkyl isethionate, acyl isethionate, alkyl sulfoacetates, sulfonated fatty acids, sulfonated Fatty acid esters, such as sulfonated fatty acid glycerol esters and sulfonated fatty acid methyl esters, N-acylaminosulfonic acids, alkyl phosphates and alkyl ether phosphates, phosphoric and polyphosphoric acid esters.
Überraschenderweise zeigen die erfindungsgemässen Mittel eine vergleichbare Reinigungsleistung zu üblichen Mitteln mit Schwefeltensiden, auch ohne den Einsatz von Schwefeltensiden. Aus Umweltschutzgründen und den zunehmenden Sulfatgehalten in Trinkwasser ist eine bevorzugte Ausführungsvariante frei von allen Schwefeltensiden.Surprisingly, the compositions of the invention show a comparable cleaning performance to conventional agents with sulfur surfactants, even without the use of sulfur surfactants. For environmental reasons and the increasing sulfate contents in drinking water, a preferred embodiment is free of all sulfur surfactants.
Ebenso kann auf die gewässerbelastenden Phosphate und Phosphonate ohne Kompromisse an die Reinigungsleistung verzichtet werden. Eine weitere bevorzugte Ausführungsform ist phosphat- und phosphonatfrei.Likewise, the water-polluting phosphates and phosphonates without sacrificing the cleaning performance can be dispensed with. Another preferred embodiment is phosphate and phosphonate free.
Weiterhin können optional amphotere Tenside, welche vom Fachmann frei mit dem erfindungsgemässen Mittel kombiniert werden können, enthalten sein, wie beispielsweise N-Alkylbetaine, , Imidazoliniumbetaine, Aminoxide, und weniger bevorzugt Alkylamidobetaine, Sulfobetaine, Phosphobetaine und Sultaine.Furthermore, optional amphoteric surfactants, which may be freely combined with the inventive agent by the skilled person, may be included, such as N-alkyl betaines, imidazolinium betaines, amine oxides, and less preferably alkylamidobetaines, sulfobetaines, phosphobetaines and sultaines.
Weiterhin kann das Mittel optional kationische Tenside enthalten, beispielsweise primäre, sekundäre, tertiäre oder quartäre Alkylammoniumsalze der Formel (RI)(RII)(RIII)(RIV)N+X-, in der RI bis RVI unabhängig voneinander gleich- oder verschiedenartige Alkylreste, verzweigt und unverzweigt, gesättigt oder ungesättigt, unsubstituiert, einfach oder mehrfach substituiert, oder H, wobei X- für ein Anion steht.Furthermore, the agent may optionally contain cationic surfactants, for example primary, secondary, tertiary or quaternary alkylammonium salts of the formula (RI) (RII) (RIII) (RIV) N + X - , in which RI to RVI independently of one another are identical or different alkyl radicals, branched and unbranched, saturated or unsaturated, unsubstituted, monosubstituted or polysubstituted, or H, wherein X - represents an anion.
Besonders bevorzugt enthalten die Mittel Tenside (E), die abgeleitet sind von C-18-Pflanzenölen mit den lipophilen Resten R, stammend aus Fettsäuren RCOOH, wie unter (I) definiert. Die Reste R liegen bevorzugt als Gemisch gemäss der Fettsäureverteilung im nativen Öl vor oder wie sie bei der Umsetzung von nativen Ölen entstehen.Most preferably, the compositions contain surfactants (E) derived from C-18 vegetable oils having the lipophilic residues R derived from fatty acids RCOOH, such as defined under (I). The radicals R are preferably present as a mixture according to the fatty acid distribution in the native oil or as they arise in the reaction of native oils.
Bevorzugt enthält das Mittel einen Anteil an Tensiden, bestehend aus Tensid (A) der Formel (I), den Tensiden (C) und (D), und gegebenenfalls Tensiden (E), mit der Vorgabe, dass das oder die Tenside (E) von einem C-18-Pflanzenöl abgeleitet sind, und Biotensid-Glycolipide (B), welcher in Summe ≥ 30%, bevorzugt ≥ 60 %, besonders bevorzugt ≥ 95 % und äusserst bevorzugt ≥ 99 % beträgt, bezogen auf den Gesamtgehalt an Tensiden in Gew.-% in dem Mittel.Preferably, the agent contains a proportion of surfactants consisting of surfactant (A) of the formula (I), the surfactants (C) and (D), and optionally surfactants (E), with the proviso that the surfactant or surfactants (E) derived from a C-18 vegetable oil, and biosurfactant glycolipids (B), which is in total ≥ 30%, preferably ≥ 60%, more preferably ≥ 95% and most preferably ≥ 99%, based on the total content of surfactants in Wt .-% in the agent.
Dieser Anteil in % stellt den Anteil an Tensiden in dem Mittel dar, welcher von C-18-Pflanzen abgeleitet ist und wird bestimmt nach der Formel:
- (A), (B), u.s.w. jeweils die Menge an dem oder den Tensiden (A), (B), u.s.w. angegeben, bezogen auf Gew.-% bezogen auf die Gesamtzusammensetzung,
- wobei (C), (D) und (E) jeweils unabhängig voneinander Null sein können,
- wobei (E) weitere optionale Tenside (RX mit X = hydrophiler Rest) wie oben definiert darstellt, welche entweder abgeleitet sind aus C-18-Pflanzen (Hier genannt EC18) - mit R stammend aus den Fettsäuren RCOOH mit R, bzw. RCO definiert wie unter Formel (I) - oder abgeleitet sind von anderen Ölen oder Fetten wie beispielsweise Erdöl, Palmkernöl, Kokosöl, tierischen Fetten, Rizinusöl oder Silikontenside u.a. (hier genannt ERest). D.h. (E) = (EC18 + ERest).
- [(A) + (B) + (C) +(D) + (E)] stellt den Gesamtgehalt an Tensiden in Gew.-% in dem Mittel dar.
- (A), (B), etc., in each case the amount of the surfactant or surfactants (A), (B), etc. stated, based on wt .-% based on the total composition,
- where (C), (D) and (E) can each independently be zero,
- wherein (E) further optional surfactants (RX with X = hydrophilic radical) as defined above, which are either derived from C-18 plants (here called E C18 ) - derived with R from the fatty acids RCOOH with R, or RCO defined as in formula (I) - or are derived from other oils or fats such as petroleum, palm kernel oil, coconut oil, animal fats, castor oil or silicone surfactants and others (here called E remainder ). Ie (E) = (E C18 + E remainder ).
- [(A) + (B) + (C) + (D) + (E)] represents the total content of surfactants in wt% in the composition.
Das erfindungsgemässe Mittel kann alle in Wasch- und Reinigungsmitteln übliche Lösungsmittel enthalten. Sie dienen der Stabilisierung der Formulierung, der Solubilisierung von schlecht löslichen Inhaltsstoffen und der Erhöhung der Reinigungsleistung.The composition according to the invention may contain all solvents customary in detergents and cleaners. They serve to stabilize the formulation, the solubilization of poorly soluble ingredients and to increase the cleaning performance.
In einer bevorzugten flüssigen oder gelförmigen Ausführungsform enthält das Mittel Wasser als Lösungsmittel, wobei mehr als 5 Gew.-%, bevorzugt mehr als 15 Gew.-% und besonders bevorzugt mehr als 25 Gew.% Wasser enthält, jeweils bezogen auf die Gesamtmenge des Mittels. Besonders bevorzugte Mittel enthalten - bezogen auf ihr Gewicht- 5 bis 98 Gew.-%, bevorzugt 10 bis 90 Gew.-%, besonders bevorzugt 25 bis 75 Gew.% Wasser. Alternativ kann es sich um wasserarme oder wasserfreie Mittel handeln, wobei der Gehalt an Wasser in einer bevorzugten Ausführungsform weniger als 10 Gew.-%, und mehr bevorzugt weniger als 8 Gew.-% enthält, jeweils bezogen auf das gesamte flüssige Mittel.In a preferred liquid or gel embodiment, the agent contains water as solvent, wherein more than 5 wt .-%, preferably more than 15 wt .-% and particularly preferably more than 25 wt.% Water, in each case based on the total amount of the composition , Particularly preferred agents contain - based on their weight - 5 to 98 wt .-%, preferably 10 to 90 wt .-%, particularly preferably 25 to 75 wt.% Water. Alternatively, they may be water-poor or anhydrous, with the content of water in a preferred embodiment being less than 10% by weight, and more preferably less than 8% by weight, based in each case on the total liquid agent.
In einer weiteren flüssigen oder gelförmigen Ausführungsform ist das Mittel wasserfrei, wobei das Mittel ein organisches Lösungsmittel als Hauptlösungsmittel enthält. Dabei ist es bevorzugt, dass das Mittel 5 bis 98 Gew.-%, bevorzugt 10 bis 90 Gew.-%, besonders bevorzugt 25 bis 75 Gew.-% Lösungsmittel enthält.In another liquid or gel embodiment, the agent is anhydrous, the agent containing an organic solvent as the main solvent. It is preferred that the agent contains 5 to 98 wt .-%, preferably 10 to 90 wt .-%, particularly preferably 25 to 75 wt .-% solvent.
Beispielhafte Lösungsmittel sind die folgenden gemäss INCI benannten Verbindungen: Alcohol denat. (Ethanol), Alkohole, Buteth-3, Butoxydiglycol, Butoxyethanol, Butoxyisopropanol, Butoxypropanol, n-Butyl Alcohol, t-Butyl Alcohol, Butyl-3-hydroxybutyrate, Butylene Glycol, Butyloctanol, C1-C6-Alkane, C7-C15-Alkane, Diethylene Glycol, Diethylenglycol monobutylether, Dimethoxydiglycol, Dimethyl Ether, Dimethyl 2-methylglutarat, Dipropylene Glycol, Dipropylenglycol Phenylether, Ethyllactat, 2-Ethyllactat, Ethyl levulinate glycerol ketal, Ethyl levulinate propylene glycol ketal, Ethyl levulinate ethylene glycol ketal, Ethoxydiglycol, Ethoxyethanol, Ethyl Hexanediol, Fettsäuremethylester z.B. auf Basis C18-Pflanzen, Gammalaverolacton, Glycol, Glycerin, Hexanediol, 1,2,6-Hexanetriol, Hexyl Alcohol, Hexylene Glycol, Isobutoxypropanol, Isopentyldiol, Isopropyl Alcohol (iso-Propanol), Lävulinsäure ester, 3-Methoxybutanol, Methoxydiglycol, Methoxyethanol, Methoxyisopropanol, Methoxymethylbutanol, Methoxy PEG-10, Methylal, Methyl Alcohol, Methyl-9-dodecenoate, Methyl Hexyl Ether, Methylpropanediol, 2-Methyl THF, Neopentyl Glycol, N,N-Dimethyl-9-decenamide, Polyole, PEG-4, PEG-6, PEG-7, PEG-8, PEG-9, PEG-6 Methyl Ether, Pentylene Glycol, PPG-7, PPG-2-Buteth-3, PPG-2 Butyl Ether, PPG-3 Butyl Ether, PPG-2 Methyl Ether, PPG-3 Methyl Ether, PPG-2 Propyl Ether, 1,2-Propanediol, 1,3-Propandiol, Propyl Alcohol (n-Propanol), Propylene Glycol, Propylene Glycol Butyl Ether, Propylene Glycol Propyl Ether, Terpene, z.B. Limonen, Thymol, u.a. insbesondere natürlichen Ursprungs wie Zitronenöl, Lavendelöl, Thymianöl, u.a., Tetrahydrofurfuryl Alcohol, Trimethylhexanol. Erfindungsgemäss können diese Lösungsmittel in einer dem Fachmann durchaus bekannten Art und Weise frei mit anderen Inhaltsstoffen kombiniert werden.Exemplary solvents are the following compounds named according to INCI: Alcohol denat. (Ethanol), alcohols, buteth-3, butoxy diglycol, butoxyethanol, butoxyisopropanol, butoxypropanol, n-butyl alcohol, t-butyl alcohol, butyl 3-hydroxybutyrate, butylene glycol, butyloctanol, C1-C6 alkanes, C7-C15 alkanes , Diethylene glycol, diethylene glycol monobutyl ether, dimethoxy diglycol, dimethyl ether, dimethyl 2-methylglutarate, dipropylene glycol, dipropylene glycol phenyl ether, ethyl lactate, 2-ethyl lactate, ethyl levulinate glycerol ketal, ethyl levulinate propylene glycol ketal, ethylene glycol ketal, ethoxydiglycol, ethoxyethanol, Ethyl hexanediol, fatty acid methyl ester eg based on C18 plants, gammalaverolactone, glycol, glycerol, hexanediol, 1,2,6-hexanetriol, hexyl alcohol, hexylene glycol, isobutoxypropanol, isopentyldiol, isopropyl alcohol (isopropanol), levulinic acid ester, Methoxybutanol, methoxy diglycol, methoxyethanol, methoxyisopropanol, methoxymethylbutanol, methoxy PEG-10, methylal, methyl Alcohol, methyl 9-dodecenoate, methyl hexyl ether, methyl propane diol, 2-methyl THF, neopentyl glycol, N, N-dimethyl-9-decenamide, polyols, PEG-4, PEG-6, PEG-7, PEG-8, PEG-9, PEG-6 methyl ether, pentylene glycol, PPG-7, PPG-2-buteth-3, PPG-2 butyl ether, PPG-3 butyl ether, PPG-2 methyl ether, PPG-3 methyl ether, PPG -2 propyl ether, 1,2-propanediol, 1,3-propanediol, propyl alcohol (n-propanol), propylene glycol, propylene glycol butyl ether, propylene glycol propyl ether, terpenes, eg limonene, thymol, among others of particular natural origin such as Lemon oil, lavender oil, thyme oil, etc., tetrahydrofurfuryl alcohol, trimethylhexanol. According to the invention, these solvents can be freely combined with other ingredients in a manner well known to those skilled in the art.
In einer bevorzugten Ausführungsform, werden Lösungsmittel aus der Gruppe Lösungsmittel, die aus pflanzlichen Rohstoffen gewonnen werden und biologisch abbaubar sind, verwendet. Besonders bevorzugt sind Lösungsmittel, die keine VOC (volatile organic compounds) enthalten.In a preferred embodiment, solvents are selected from the group of solvents derived from vegetable raw materials that are biodegradable. Particular preference is given to solvents which contain no VOCs (volatile organic compounds).
Eine besonders bevorzugte Ausführungsform enthält zusätzlich Fettsäurealkylester der Formel R-CO-O-R25 als Lösungsmittel
wobei der Fettsäurealkylester aus einem Gemisch unterschiedlicher Kettenlängen und Sättigungsgrade des Fettsäurerests RCO wie definiert bei Tensid (A) besteht und abgeleitet ist von einem C18 Pflanzenöl;
und wobei R25 ein linearer oder verzweigter Kohlenwasserstoff von 1-5 Kohlenstoffatomen ist, bevorzugt bestehend aus einer Methyl- oder Ethylgruppe, besonders bevorzugt Methyl.A particularly preferred embodiment additionally contains fatty acid alkyl esters of the formula R-CO-OR 25 as solvent
wherein the fatty acid alkyl ester consists of a mixture of different chain lengths and saturation levels of the fatty acid residue RCO as defined in surfactant (A) and derived from a C18 vegetable oil;
and wherein R 25 is a linear or branched hydrocarbon of 1-5 carbon atoms, preferably consisting of a methyl or ethyl group, more preferably methyl.
Bevorzugte Vertreter sind Rapsmethylester, Sonnenblumenmethylester, Distelmethylester oder Sojamethylester.Preferred representatives are rapeseed methyl ester, sunflower methyl ester, thistle methyl ester or soybean methyl ester.
Enthärter und Komplexbildner,
INCI Chelating agents, Sequestrierungsmittel
Erfindungsgemäss geeignet sind alle in Wasch- und Reinigungsmitteln üblichen Komplexbildner. Sie erhöhen die Waschkraft sowie die Stabilität der Mittel.Softeners and complexing agents,
INCI chelating agents, sequestrants
According to the invention, all complexing agents customary in detergents and cleaners are suitable. They increase the detergency and the stability of the agents.
Überraschenderweise erhöhen die Komplexbildner in den erfindungsgemässen Mitteln zudem die Schaumbildung sowie -stabilität um einen Faktor 2-4.Surprisingly, the complexing agents in the compositions according to the invention additionally increase the foam formation and stability by a factor of 2-4.
Weiterhin werden wider Erwarten klare Lösungen durch die Zugabe von Komplexbildnern zu den erfindungsgemässen Mitteln erzielt.Furthermore, contrary to expectations, clear solutions are achieved by adding complexing agents to the compositions according to the invention.
Erfindungsgemäss geeignet sind beispielsweise Enthärter und Komplexbildner aus den Gruppen der Phosphate und Phosphonate, Schichtsilikate, Zeolithe, Carbonate und Polycarboxylate, Aminopolycarbonsäuren, wie Aminoessigsäuren und Polyaminoessigsäuren sowie deren Salze, Hydroxycarbonsäuren und deren Salze, Polyglycoside und-gluconsäuren und deren Salze.Softeners and complexing agents from the groups of phosphates and phosphonates, phyllosilicates, zeolites, carbonates and polycarboxylates, aminopolycarboxylic acids, such as aminoacetic acids and polyaminoacetic acids and their salts, hydroxycarboxylic acids and their salts, polyglycosides and -gluconic acids and their salts are suitable according to the invention.
Geeignet sind beispielsweise die folgenden Komplexbildner: Aminotrimethylene Phosphonsäure, Beta-Alanine Acetessigsäure, Calcium Disodium EDTA, Chitosan, Zitronensäure und dessen Salze und Hydrate, Cyclodextrin, Cyclohexanediamin Tetraessigsäure, Diammonium Citrat, Diammonium EDTA, Diethylenetriaminepentaacetic Acid, Diethylenetriamine Pentamethylene Phosphorsäure, Dikalium EDTA, Dinatrium Azacycloheptane Diphosphonat, Dinatrium EDTA, Dinatrium Pyrophosphate, EDTA, Ethylenediamine- N,N'-disuccinic acid (EDDS), Etidronsäure, Galactarsäure, β-Glucan, Gluconsäure, Glucuronsäure, Glucoheptonsäure, HEDTA, Hydroxypropyl Cyclodextrin, Methyl Cyclodextrin, Pentapotassium Triphosphat, Pentasodium Aminotrimethylene Phosphonat, Phosphonobutane tricarbonsäure (PBTC), Pentasodium Ethylenediamine Tetramethylene Phosphonat, Pentasodium Pentetate, Pentasodium Triphosphate, Pentetic Acid, (DTPA), Phytic Acid, Potassium Citrate, Potassium EDTMP, Kalium Gluconate, Kalium Polyphosphate, Kalium Trisphosphonomethylamine Oxide, Ribonsäure, Natrium Chitosan Methylene Phosphonate, Natriumcitrat, Natrium Diethylenetriamine Pentamethylene Phosphonate, Natrium Dihydroxyethylglycinate, Natrium EDTMP, Natrium Glucoheptate, Natrium Gluconate, Natrium Glycereth-1 Polyphosphate, Natrium Hexametaphosphate, Natrium Metaphosphate, Natrium Metasilicate, Natrium Phytate, Natrium Polydimethylglycinophenolsulfonate, Natrium Trimetaphosphate, TEA-EDTA, TEA Polyphosphate, Tetrahydroxyethyl Ethylenediamin, Tetrahydroxypropyl Ethylenediamin, Tetrakalium Etidronat, Tetranatrium Iminodisuccinat (IDS), Tetrakalium Pyrophosphat, Tetranatrium EDTA, Tetranatrium Etidronat, Tetranatrium Pyrophosphat, Trikalium EDTA, Trikalium Dicarboxymethyl Alaninat, Trinatrium EDTA, Trinatrium HEDTA, Trinatrium Methylglycin dieacetic acid (MGDA- Na3), Trinatrium NTA und Trinatrium Phosphate, Phytinsäure, Plfanzenextrakte wie z.B. Lupinus Albus Seed Extract, Carnosine, Bambusa Arundinacea Leaf Extract, Citrus Paradisi (Grapefruit) Peel Extract, Sambucus Nigra Extract; oder im Falle von Säuren, deren Salze.
Diese Chelatbildner können vom Fachmann frei mit anderen hier genannten Inhaltstoffen kombiniert werden.Suitable examples are the following complexing agents: aminotrimethylene phosphonic acid, beta-alanine acetoacetic acid, calcium disodium EDTA, chitosan, citric acid and its salts and hydrates, cyclodextrin, cyclohexanediamine tetraacetic acid, diammonium citrate, diammonium EDTA, diethylenetriamine pentaacetic acid, diethylenetriamine pentamethylene phosphoric acid, dipotassium EDTA, disodium Azacycloheptane diphosphonate, disodium EDTA, disodium pyrophosphate, EDTA, ethylenediamine- N, N'-disuccinic acid (EDDS), etidronic acid, galactaric acid, β-glucan, gluconic acid, glucuronic acid, glucoheptonic acid, HEDTA, hydroxypropyl cyclodextrin, methyl cyclodextrin, pentapotassium triphosphate, pentasodium Aminotrimethylene Phosphonate, Phosphonobutane tricarboxylic Acid (PBTC), Pentasodium Ethylenediamine Tetramethylene Phosphonate, Pentasodium Pentetate, Pentasodium Triphosphate, Pentetic Acid, (DTPA), Phytic Acid, Potassium Citrate, Potassium EDTMP, Potassium Gluconate, Potassium Polyphosphate, Kaliu m trisphosphonomethylamines oxides, ribonic acid, sodium chitosan methylene phosphonates, sodium citrate, sodium diethylenetriamine pentamethylene phosphonates, sodium dihydroxyethylglycinate, sodium EDTMP, sodium glucoheptate, sodium gluconate, sodium glycereth-1 polyphosphates, sodium hexametaphosphate, sodium metaphosphate, sodium metasilicate, sodium phytate, sodium polydimethylglycinophenolsulfonate , Sodium trimetaphosphates, TEA-EDTA, TEA polyphosphates, tetrahydroxyethyl ethylenediamine, tetrahydroxypropyl ethylenediamine, tetrapotassium etidronate, tetrasodium iminodisuccinate (IDS), tetrapotassium pyrophosphate, tetrasodium EDTA, tetrasodium etidronate, tetrasodium pyrophosphate, tripotassium EDTA, tripotassium dicarboxymethyl alaninate, trisodium EDTA, trisodium HEDTA , Trisodium methylglycine dieacetic acid (MGDA-Na 3 ), trisodium NTA and trisodium phosphates, Phytic Acid, Plants Extracts such as Lupinus Albus Seed Extract, Carnosine, Bambusa Arundinacea Leaf Extract, Citrus Paradisi (Grapefruit) Peel Extract, Sambucus Nigra Extract; or in the case of acids, their salts.
These chelating agents can be freely combined by the skilled person with other ingredients mentioned here.
In einer bevorzugten Ausführungsform enthalten die erfindungsgemässen Mittel Komplexbildner, die biologisch abbaubar sind. Bevorzugt enthalten die erfindungsgemässen Mittel daher keine Phosphate, keine Phosphonate, kein EDTA und keine Polycarboxylate.In a preferred embodiment, the agents according to the invention contain complexing agents which are biodegradable. The compositions according to the invention therefore preferably contain no phosphates, no phosphonates, no EDTA and no polycarboxylates.
Ganz besonders bevorzugt in dieser Erfindung sind folgende Komplexbildner auf Basis erneuerbarer Rohstoffe, wie beispielsweise Beta-Alanine Diacetic acid, Cyclodextrin, Diammonium citrat, Galactarsäure, Gluconsäure, Glucoronsäure, Methylcyclodextrin, Hydroxypropyl cyclodextrin, Polyasparaginsäure, Alkali Salze von Gluconate, Natrium Carbonat, Carboxy methyl inulin und Natrium Carboxymethyl inulin (NaCMI), Natrium Citrat, Natrium Dihydroxyethylglycinat, Natrium Gluconat, Natrium Glucoheptonat, Natrium Iminodisuccinat, Natrium Lactat, Natrium Lignosulfate, Tetranatrium GLDA (I-glutamic acid, N,N-di (acetic acid), tetrasodium salt), Zitronensäure und deren Salze,Very particularly preferred in this invention are the following complexing agents based on renewable raw materials, such as beta-alanines diacetic acid, cyclodextrin, diammonium citrate, galactaric acid, gluconic acid, glucuronic acid, methylcyclodextrin, hydroxypropyl cyclodextrin, polyaspartic acid, alkali salts of gluconates, sodium carbonate, carboxymethyl inulin and sodium carboxymethyl inulin (NaCMI), sodium citrate, sodium dihydroxyethylglycinate, sodium gluconate, sodium glucoheptonate, sodium iminodisuccinate, sodium lactate, sodium lignosulfate, tetrasodium GLDA (I-glutamic acid, N, N-di (acetic acid), tetrasodium salt ), Citric acid and its salts,
Bevorzugte erfindungsgemäße Zubereitungen enthalten mindestens einen Komplexbildner in einer Gesamtmenge von 0.1-20 Gew.-%, vorzugsweise 0.2-15 Gew.-%, insbesondere 0.5-10 Gew.-%, bezogen auf die Gesamtmenge der Zubereitung.Preferred preparations according to the invention comprise at least one complexing agent in a total amount of 0.1-20% by weight, preferably 0.2-15% by weight, in particular 0.5-10% by weight, based on the total amount of the preparation.
In den Ausführungsbeispielen werden examplarisch Mittel mit Tetranatrium GLDA, Natrium Citrat und Natrium Gluconat als Komplexbildner offenbart. Erfindungsgemäss können diese Enthärter und Komplexbildner in einer dem Fachmann durchaus bekannten Art und Weise frei mit anderen Inhaltsstoffen kombiniert werden.In the exemplary embodiments, agents with tetrasodium GLDA, sodium citrate and sodium gluconate as complexing agents are disclosed by way of example. According to the invention, these softeners and complexing agents can be freely combined with other ingredients in a manner well known to those skilled in the art.
Das erfindungsgemässe Mittel kann alle in Wasch- und Reinigungsmitteln übliche Konservierungsmittel enthalten, welche vom Fachmann im Sinne dieser Anwendung frei mit anderen Inhaltsstoffen kombiniert werden können.
Dies sind beispielsweise Wirkstoffe aus den Gruppen der Alkohole, Aldehyde, antimikrobiellen Säuren bzw. deren Salze, Carbonsäureester, Säureamide, Phenole, Phenolderivate, Diphenyle, Diphenylalkane, Harnstoffderivate, Sauerstoff- und Stickstoff-Acetale sowie -Formale, Benzamidine, Isothiazole und deren Derivate wie Isothiazolinone, Phtalimidderivate, Pyridinderivate, oberflächenaktive Verbindungen, Guanidine, antimikrobielle amphoterer Verbindungen, Chinoline, 1,2-Dibrom-2,4-dicyanobutan, lodo-2-propynyl-butyl-carbamat, Iod, lodophore und Peroxide.The composition according to the invention can contain all preservatives customary in detergents and cleaners, which can be freely combined with other ingredients by the person skilled in the art for the purposes of this application.
These are, for example, active compounds from the groups of alcohols, aldehydes, antimicrobial acids or their salts, carboxylic esters, acid amides, phenols, phenol derivatives, diphenyls, diphenylalkanes, urea derivatives, oxygen and nitrogen acetals and formals, benzamidines, isothiazoles and derivatives thereof such as Isothiazolinones, phthalimide derivatives, pyridine derivatives, surface active compounds, guanidines, antimicrobial amphoteric compounds, quinolines, 1,2-dibromo-2,4-dicyanobutane, iodo-2-propynyl-butyl-carbamate, iodine, iodophores and peroxides.
Besonders bevorzugt ist die Konservierung des erfindungsgemässen Mittels auf Basis von antimikrobiellen Wirkstoffen ausgewählt aus antimikrobiellen Peptiden, Ethanol, Benzylalkohol, Dehydroessigsäure und deren Salzen, Sorbinsäure und Kaliumsorbat, pflanzlichen organischen Säuren und deren Salze, Ameisensäure, Glycerin, Zitronensäure, Milchsäure, Salicylsäure, sowie deren Salze.Particularly preferred is the preservation of the inventive composition based on antimicrobial agents selected from antimicrobial peptides, ethanol, benzyl alcohol, dehydroacetic acid and its salts, sorbic acid and potassium sorbate, vegetable organic acids and their salts, formic acid, glycerol, citric acid, lactic acid, salicylic acid, and their salts.
Äusserst bevorzugt ist die Ausführungsform ohne chemische Konservierungsmittel, wie in den Ausführungsbeispielen offenbart, d.h. insbesondere ohne Parabene, ohne Formaldehydhaltige Konservierungsmittel bzw. Formaldehydabspalter, ohne Isothiazole und deren Derivate, ohne halogenhaltige Verbindungen, ohne Phtalimide, ohne Benzalkoniumchlorid, ohne Benzoesäure, ohne Phenoxyethanol.Most preferred is the embodiment without chemical preservatives as disclosed in the embodiments, i. in particular without parabens, without formaldehyde-containing preservatives or formaldehyde releasers, without isothiazoles and their derivatives, without halogen-containing compounds, without phthalimides, without benzalkonium chloride, without benzoic acid, without phenoxyethanol.
In Ausführungsformen, in denen eine stärkere Schaumbildung erwünscht ist, ist neben der Zugabe eines oder mehrerer Tenside (D) oder Komplexbildnern wie an anderer Stelle beschrieben, die Zugabe bekannter stark schäumender Tenside zu dem erfindungsgemässen Mittel möglich. Weiterhin geeignet ist die zusätzliche Zugabe von Saponinen, beispielsweise Saponinen aus der indischen Waschnuss (Sapindus mukorossi), Koreanischen Ginsengs (Panax ginseng), Agavengewächsen, Inka-Gurke (Cyclanthera pedata), Süssholz (Glycyrrhiza glabra), Efeu (Hedera), Schlüsselblume (Primula veris), Vogelmiere (Stellaria media), Wald-Sanickel (Sanicula europaea), Dornige Hauhechel (Ononis spinosa), Hülsenfrüchten (Leguminosae), Spinat (Spinacia), Spargel (Asparagaceae), Hafer (Avena), (Ononis spinosa), Schattenblümchen (Maianthemum bifolium), Seifenkraut (Saponaria officinalis), Walnuss (Aesculus hippocastanum), Acker-Gauchheil (Anagallis arvensis), Gelber Hohlzahn (Galeopsis segetum), Karthäuser-Nelke (Dianthus carthusianorum), Ackerschachtelhalm (Equisetum arvense) und Seifenrinde (Quillaja saponaria Molina).
Die Menge an Saponinen beträgt üblicherweise bis zu 5 Gew.-%, vorzugsweise 0.001 bis 3 Gew.-%, insbesondere 0.01 bis 2 Gew.-%. (Gew.-% Aktivstoff bezogen auf das gesamte Mittel)
Die Saponine können im erfindungsgemässen Mittel frei mit anderen Inhaltsstoffen kombiniert werden.In embodiments in which a stronger foaming is desired, in addition to the addition of one or more surfactants (D) or complexing agents as described elsewhere, the addition of known strong foaming surfactants to the inventive agent is possible. Also suitable is the additional addition of saponins, for example saponins from the Indian soapnut (Sapindus mukorossi), Korean ginseng (Panax ginseng), agave plants, Inca cucumber (Cyclanthera pedata), sweet wood (Glycyrrhiza glabra), ivy (Hedera), cowslip ( Primula veris), chickweed (Stellaria media), forest Sanickel (Sanicula europaea), thorny toad (Ononis spinosa), legumes (Leguminosae), Spinach (Spinacia), Asparagus (Asparagaceae), Oats (Avena), (Ononis spinosa), Schattenblümchen (Maianthemum bifolium), Soapwort (Saponaria officinalis), Walnut (Aesculus hippocastanum), Acker-Gauchheil (Anagallis arvensis), Yellow Hollow Tooth (Galeopsis segetum), Carthaginian Clove (Dianthus carthusianorum), Field Horsetail (Equisetum arvense) and Soap Bark ( Quillaja saponaria Molina).
The amount of saponins is usually up to 5 wt .-%, preferably 0.001 to 3 wt .-%, in particular 0.01 to 2 wt .-%. (Wt .-% active based on the total agent)
The saponins can be freely combined with other ingredients in the inventive composition.
Der pH-Wert des erfindungsgemässen Mittels kann mittels üblicher pH-Regulatoren eingestellt werden, wobei je nach Anwendung unterschiedliche pH-Bereiche von sauer (pH 0-4) zu neutral (pH 5-7) bis hin zu basisch (pH 8-14) eingestellt werden. Als pH-Stellmittel dienen Säuren und/oder Alkalien. Geeignete Säuren sind insbesondere organische Säuren wie die Ameisensäure, Essigsäure, Zitronensäure, Glycolsäure, Milchsäure, Bernsteinsäure, Adipinsäure, Apfelsäure, Weinsäure und Gluconsäure oder auch Amidosulfonsäure. Besonders bevorzugt sind Säuren, die aus pflanzlichen Rohstoffen gewonnen werden wie Essigsäure, Zitronensäure, Milchsäure, Apfelsäure und Weinsäure sowie die Mineralsäuren Salzsäure, Schwefelsäure und Salpetersäure bzw. deren Mischungen eingesetzt werden. Bevorzugte Basen stammen aus der Gruppe der Alkali-und Erdalkalimetallhydroxide und -carbonate. Daneben kann das Mittel Ammoniak und Alkanolamine enthalten.The pH of the agent according to the invention can be adjusted by means of customary pH regulators, with different pH ranges from acidic (pH 0-4) to neutral (pH 5-7) to basic (pH 8-14), depending on the application. be set. The pH-adjusting agents are acids and / or alkalis. Suitable acids are in particular organic acids such as formic acid, acetic acid, citric acid, glycolic acid, lactic acid, succinic acid, adipic acid, malic acid, tartaric acid and gluconic acid or amidosulfonic acid. Particular preference is given to acids which are obtained from vegetable raw materials such as acetic acid, citric acid, lactic acid, malic acid and tartaric acid and to the mineral acids hydrochloric acid, sulfuric acid and nitric acid or mixtures thereof. Preferred bases are selected from the group of alkali and alkaline earth metal hydroxides and carbonates. In addition, the agent may contain ammonia and alkanolamines.
Die erfindungsgemässen Mittel können neben den bereits genannten Stoffen weiterhin Lösungsvermittler, sog. Hydrotropika enthalten. Hierbei sind alle üblicherweise zu diesem Zweck in Wasch- und Reinigungsmitteln verwendeten Stoffe einsetzbar.In addition to the substances already mentioned, the compositions according to the invention can also contain solubilizers, so-called hydrotropes. Here are all commonly used for this purpose in detergents and cleaning agents used.
Gerüststoffe, welche üblicherweise in Wasch- und Reinigungsmitteln eingesetzt werden, sind geeignet. Die Gerüststoffe können vom Fachmann im erfindungsgemässen Mittel frei mit anderen Inhaltsstoffen kombiniert werden. Besonders bevorzugt in dem erfindungsgemässen Mittel sind Gerüststoffe auf Basis erneuerbarer Rohstoffe, die aus Pflanzen der gemässigten Zone gewonnen werden können, wie zum Beispiel Polyaspartate, Polycarboxylate wie beispielsweise Citrate, sowie Gluconate, Succinate oder Malonate.Builders, which are commonly used in detergents and cleaners, are suitable. The builders can be freely combined with other ingredients by those skilled in the inventive composition. Especially preferred in the composition according to the invention are builders based on renewable raw materials that can be obtained from plants of the temperate zone, such as polyaspartates, polycarboxylates such as citrates, and gluconates, succinates or malonates.
Um den ästhetischen und sensorischen Eindruck des erfindungsgemässen Mittels zu verbessern, können dem erfindungsgemässen Mittel alle in Wasch- und Reinigungsmitteln üblichen Duft- und Farbstoffe zugesetzt werden.
Bevorzugte Farbstoffe und Duftstoffe, deren Auswahl dem Fachmann keinerlei Schwierigkeit bereitet, besitzen eine hohe Lagerstabilität und Unempfindlichkeit gegenüber den übrigen Inhaltsstoffen der Wasch- oder Reinigungsmittel. Die Farbstoffe weisen keine ausgeprägte Substantivität gegenüber Textilfasern oder harten Oberflächen aus und färben diese nicht an.In order to improve the aesthetic and sensory impression of the agent according to the invention, all the fragrances and dyes customary in detergents and cleaners can be added to the composition according to the invention.
Preferred dyes and fragrances, the selection of which presents no difficulty to the skilled person, have a high storage stability and insensitivity to the other ingredients of detergents or cleaners. The dyes have no pronounced substantivity to textile fibers or hard surfaces and do not stain them.
In einer weiteren bevorzugten Ausführungsform der Erfindung, werden wie in den Ausführungsbeispielen gezeigt, weder Farb-, noch Duftstoffe zugesetzt. Die Mittel weisen auch ohne Zugabe von Farb-oder Duftstoffen eine zufriedenstellende Ästhetik und einen angenehmen Duft aus, um so Ausführungsformen ohne Farb- und/oder Duftstoffe zu ermöglichen, wie beispielsweise für Konsumenten mit Allergien und/oder sensibler Haut.In a further preferred embodiment of the invention, as shown in the embodiments, neither color nor fragrances are added. The compositions have a satisfactory aesthetics and a pleasant fragrance even without the addition of dyes or fragrances, so as to enable embodiments without dyes and / or fragrances, such as for consumers with allergies and / or sensitive skin.
Das Mittel kann optional Enzyme enthalten, insbesondere in den Ausführungsformen der Textil-, Spezial- und Geschirrreinigung. Die Enzyme können in dem erfindungsgemässen Mittel vom Fachmann mit allen anderen hier genannten Inhaltsstoffen kombiniert werden. Vorzugsweise werden Proteasen, Lipasen, Amylasen, Hydrolasen und/oder Cellulasen eingesetzt. Sie können dem erfindungsgemässen Mittel in jeder nach dem Stand der Technik etablierten Form zugesetzt werden. Hierzu gehören bei flüssigen oder gelförmigen Mitteln insbesondere Lösungen der Enzyme, vorzugsweise hoch konzentriert, wasserarm und/oder mit Stabilisatoren versetzt. Des Weiteren können die Enzyme verkapselt angewendet werden.
Um ein in einem erfindungsgemässen Mittel enthaltenes Enzym vor Schädigungen wie beispielsweise Inaktivierung, Denaturierung oder Zerfall etwa durch physikalische Einflüsse, Oxidation oder proteolytische Spaltung zu schützen, können dem enzymhaltigen Mitteln Enzymstabilisatoren zugesetzt werden. Je nach Art des verwendeten Enzyms sind als Enzymstabilisatoren beispielsweise geeignet: Benzamidin-Hydrochlorid, Borax, Borsäuren, Boronsäuren oder deren Salze oder Ester, vor allem Derivate mit aromatischen Gruppen, etwa substituierte Phenylboronsäuren beziehungsweise deren Salze oder Ester; Peptidaldehyde, Aminoalkohole wie Mono-, Di-, Triethanol- und -Propanolamin und deren Mischungen, aliphatische Carbonsäuren bis zu C12, wie Bernsteinsäure, andere Dicarbonsäuren oder Salze der genannten Säuren; endgruppenverschlossene Fettsäureamidalkoxylate; niedere aliphatische Alkohole und vor allem Polyole, beispielsweise Glycerin, Ethylenglykol, Propylenglykol oder Sorbit; sowie Reduktionsmittel und Antioxidantien wie Natrium-Sulfit und reduzierende Zucker. Weitere geeignete Stabilisatoren sind aus dem Stand der Technik bekannt.The agent may optionally contain enzymes, especially in the embodiments of textile, specialty and dishwashing. The enzymes can be combined in the agent according to the invention by the person skilled in the art with all other ingredients mentioned here. Preference is given to using proteases, lipases, amylases, hydrolases and / or cellulases. They can be added to the composition according to the invention in any form established according to the prior art be added. In the case of liquid or gel-containing compositions, these include, in particular, solutions of the enzymes, preferably highly concentrated, low in water and / or mixed with stabilizers. Furthermore, the enzymes can be applied encapsulated.
In order to protect an enzyme contained in an agent according to the invention from damage such as inactivation, denaturation or decomposition, for example by physical influences, oxidation or proteolytic cleavage, enzyme stabilizers can be added to the enzyme-containing agent. Depending on the type of enzyme used, suitable enzyme stabilizers are, for example: benzamidine hydrochloride, borax, boric acids, boronic acids or their salts or esters, especially derivatives with aromatic groups, for example substituted phenylboronic acids or their salts or esters; Peptide aldehydes, amino alcohols such as mono-, di-, triethanol- and -propanolamine and mixtures thereof, aliphatic carboxylic acids up to C12, such as succinic acid, other dicarboxylic acids or salts of said acids; end-capped fatty acid amide alkoxylates; lower aliphatic alcohols and especially polyols, for example glycerol, ethylene glycol, propylene glycol or sorbitol; and reducing agents and antioxidants such as sodium sulfite and reducing sugars. Other suitable stabilizers are known in the art.
Erfindungsgemäss besonders geeignet sind biotechnologisch hergestellte Enzyme mithilfe von nicht genmodifizierten Organismen (non GMO), sowie Stabilisatoren auf Basis nachwachsender Rohstoffe und/oder mineralische Substanzen, beispielsweise die Borsäure und/oder Borax, reduzierende Zucker, Bernsteinsäure oder andere Dicarbonsäuren, Polyaminoverbindungen insbesondere auf Basis von natürlichen Aminosäuren.Particularly suitable according to the invention are biotechnologically produced enzymes with the aid of non-genetically modified organisms (non GMO), stabilizers based on renewable raw materials and / or mineral substances, for example boric acid and / or borax, reducing sugars, succinic acid or other dicarboxylic acids, polyamino compounds in particular based on natural amino acids.
Überraschenderweise wird in der enzymfreien Ausführungsform eine hervorragende Reinigungsleistung gegenüber Kohlenhydraten festgestellt, welche mit enzymhaltigen Mitteln durchaus vergleichbar ist, dies ist exemplarisch in den Ausführungsbeispielen offenbart.
Eine besonders bevorzugte Ausführungsform der Erfindung ist daher die ohne Cellulasen oder Amylasen, ganz besonders bevorzugt ist die enzymfreie Ausführungsform. Diese ist besonders vorteilhaft für Konsumenten mit Allergien und/oder sensibler Haut. Enzymfreie Ausführungsformen bei vergleichbarer Reinigungskraft sind in den Ausführungsbeispielen offenbart.Surprisingly, in the enzyme-free embodiment, an outstanding cleaning performance with respect to carbohydrates is found, which is quite comparable with enzyme-containing agents, this is disclosed by way of example in the exemplary embodiments.
A particularly preferred embodiment of the invention is therefore those without cellulases or amylases, very particularly preferred is the enzyme-free embodiment. This is especially beneficial for consumers with allergies and / or sensitive skin. Enzyme-free embodiments with comparable cleaning power are disclosed in the embodiments.
Die flüssige oder gelförmige Ausführungsform des erfindungsgemässen Mittels weist vorzugsweise eine Viskosität von 0.4 bis 10000 mPa.s. auf. Zu diesem Zweck kann das Mittel Viskositätsregulatoren enthalten. Die Menge an Viskositätsregulatoren beträgt üblicherweise bis zu 1.5 Gew.-%, vorzugsweise 0.001 bis 1.0 Gew.-%, insbesondere 0.01 bis 0.5 Gew.-%; Gew-% Aktivstoff bezogen auf das gesamte Mittel.The liquid or gel embodiment of the composition according to the invention preferably has a viscosity of from 0.4 to 10000 mPa.s. on. For this purpose, the agent may contain viscosity regulators. The amount of viscosity regulators is usually up to 1.5 wt .-%, preferably 0.001 to 1.0 wt .-%, in particular 0.01 to 0.5 wt .-%; % By weight of active ingredient based on the total agent.
Geeignete Viskositätsregulatoren sind beispielsweise organische abgewandelte Naturstoffe (Carboxymethylcellulose und andere Celluloseether, Hydroxyethyl- und - propylcellulose und dergleichen, Kernmehlether), organische vollsynthetische Verdickungsmittel (Polyacryl- und Polymethacryl-Verbindungen, Vinylpolymere, Polycarbonsäuren, Polyether, Polyimine, Polyamide) und anorganische Verdickungsmittel (Polykieselsäuren, Schichtsilikate, Tonmineralien wie Montmorillonite, Zeolithe, Kieselsäuren), sowie organische natürliche Verdickungsmittel (Agar-Agar, Carrageen, Xanthan, Traganth, Gummi arabicum, Alginate, Pektine, Polyosen, Guar-Mehl, Johannisbrotbaumkernmehl, Stärke, Dextrine, Gelatine, Casein).Suitable viscosity regulators include organic modified natural products (carboxymethylcellulose and other cellulose ethers, hydroxyethyl and - propylcellulose and the like, core flour ethers), organic fully synthetic thickeners (polyacrylic and polymethacrylic compounds, vinyl polymers, polycarboxylic acids, polyethers, polyimines, polyamides) and inorganic thickeners (polysilicic acids , Phyllosilicates, clay minerals such as montmorillonites, zeolites, silicas), as well as organic natural thickeners (agar-agar, carrageenan, xanthan, tragacanth, gum arabic, alginates, pectins, polyoses, guar flour, locust bean gum, starch, dextrins, gelatin, casein) ,
In einer bevorzugten Ausführungsform sind die Viskositätsregulatoren natürliche organische Verdickungsmittel aus pflanzlichen Rohstoffen - einschliesslich Algen - beispielsweise Polysaccharide wie Pektine oder Stärke.
In dieser Ausführungsform werden keinerlei organische vollsynthetischen Verdickungsmittel wie Polyacryl- und Polymethacryl-Verbindungen, Vinylpolymere, Polycarbonsäuren, Polyether, Polyimine, oder Polyamide eingesetzt. Bevorzugt sind zudem anorganische Verdickungsmittel.
Des Weiteren bevorzugt sind biotechnologisch hergestellte Verdickungsmittel mithilfe von nicht genmodifizierten Organismen (non GMO), wie beispielsweise Xanthan gum.
Bevorzugte erfindungsgemässen Mittel verdickt mit Xanthan gum sind in den Ausführungsbeispielen offenbart.In a preferred embodiment, the viscosity regulators are natural organic thickening agents from vegetable raw materials - including algae - for example, polysaccharides such as pectins or starch.
In this embodiment, no organic fully synthetic thickeners such as polyacrylic and polymethacrylic compounds, vinyl polymers, polycarboxylic acids, polyethers, polyimines, or polyamides are used. Also preferred are inorganic thickeners.
Also preferred are biotechnologically produced thickening agents using non-GMOs such as xanthan gum.
Preferred novel agents thickened with xanthan gum are disclosed in the embodiments.
Für das erfindungsgemässe Mittel können die Viskositätsregulatoren vom Fachmann frei mit anderen hier genannten Inhaltsstoffen kombiniert werden.For the agent according to the invention, the viscosity regulators can be freely combined by the skilled person with other ingredients mentioned here.
Neben den bisher genannten Komponenten kann das erfindungsgemässe Mittel weitere dem Fachmann bekannte Inhaltsstoffe enthalten, welche frei mit anderen hier genannten Inhaltsstoffen kombiniert werden können.
- Fettsäuren: Das erfindungsgemässe Mittel kann neben den Fettsäuresalzen (C) wie beschrieben weitere lineare, oder verzweigte, gesättigte oder ungesättigte, lineare oder substituierte, insbesondere hydroxylierte, nicht-hydroxylierte Fettsäuren mit 6-24 Kohlenstoffatomen enthalten. Erfindungsgemäss bevorzugt sind Fettsäuren abgeleitet von C-18-Pflanzen.
- Füll- und Hilfsstoffe wie Adsorptionsmittel, Bittermittel, Bleichmittel, Bügelhilfsmittel, weitere Basen, weitere Säuren, Einlaufverhinderer, Filmbildner, neutrale Füllsalze, Alkali- und Erdalkalisalze wie NaCl oder MgSO4, weitere Gerüststoffe, Gleitmittel, Hydrotrope, weitere Lösungsmittel und Lösungsvermittler, Opacifier, Polymere, Puffer, Quellmittel, organische und anorganische Salze, Schauminhibitoren, Silikonöle, Co-Tenside, Viskositätsregulatoren, Wachse.
Überraschenderweise zeigt das erfindungsgemässe Mittel eine sehr gute Reinigungsleistung gegenüber Farbflecken, wie in den Ausführungsbeispielen offenbart.
Eine bevorzugte Ausführungsform ist daher ohne Bleichmittel. - Prozesschemikalien wie Glyzerin, Vergällungsmittel, z.B. Methylethylketon, u.a., Stabilisatoren und Verunreinigungen bzw. Nebenkomponenten aus dem Herstellungsprozess.
In einer bevorzugten Ausführungsform enthält das Mittel Glyzerin, welches als Nebenkomponente der Verseifungsreaktion der natürlichen Fettsäuren enthalten ist oder als Inhaltsstoff zusetzt wird, wobei der Anteil an Glyzerin bevorzugt zwischen 0.01 und 10 Gew.-%, besonders bevorzugt 0.01 bis 7 Gew.-% und ganz besonders bevorzugt 0.01 bis 3 Gew.-% beträgt, bezogen auf den Gesamtgehalt im Mittel. - Funktionelle Mittel und Aktivstoffe wie Abrasiva, Antiredepositionsmittel, Antistatika, Bakterizide, Bleichaktivatoren, Desinfektionsmittel, Farbübertragungsinhibitoren, weitere Enzyme, Fluoreszenzmittel, Fungizide, Germizide, Hautschutz- und Hautpflegemittel, hydrophilierende Agenzien, Imprägniermittel, Insektizide, Knitterschutzmittel, Korrosionsinhibitoren, optische Aufheller, Oxidationsmittel und -katalysatoren, Parfümträger, Phobiermittel, probiotische Inhaltsstoffe, Schiebefestmittel , UV-Absorber, Vergrauungsinhibitoren, Wäschesteifen.
- Stabilisatoren wie Antioxidantien, Ascorbinsäure und Derivate, Tocopherol und Derivate, weitere antimikrobielle Wirkstoffe und weitere Konservierungsmittel,
- Duft- und Farbstoffe
- sowie Gemische derselben.
- Fatty acids: In addition to the fatty acid salts (C), the composition according to the invention may contain further linear or branched, saturated or unsaturated, linear or substituted, in particular hydroxylated, non-hydroxylated fatty acids having 6-24 carbon atoms. Fatty acids derived from C-18 plants are preferred according to the invention.
- Fillers and auxiliaries such as adsorbents, bittering agents, bleaches, ironing auxiliaries, other bases, other acids, inlet preventer, film formers, neutral fillers, alkali and alkaline earth salts such as NaCl or MgSO 4 , further builders, lubricants, hydrotropes, further solvents and solubilizers, opacifiers, Polymers, buffers, swelling agents, organic and inorganic salts, foam inhibitors, silicone oils, cosurfactants, viscosity regulators, waxes.
Surprisingly, the composition according to the invention shows a very good cleaning performance against color stains, as disclosed in the exemplary embodiments.
A preferred embodiment is therefore without bleach. - Process chemicals such as glycerin, denaturants, eg methyl ethyl ketone, etc., stabilizers and impurities or secondary components from the manufacturing process.
In a preferred embodiment, the agent contains glycerol, which is contained as a secondary component of the saponification reaction of natural fatty acids or added as an ingredient, wherein the proportion of glycerol preferably between 0.01 and 10 wt .-%, particularly preferably 0.01 to 7 wt .-% and all particularly preferably 0.01 to 3 wt .-%, based on the total content in the middle. - Functional agents and active ingredients such as abrasives, anti-redeposition agents, antistatic agents, bactericides, bleach activators, disinfectants, dye transfer inhibitors, other enzymes, fluorescers, fungicides, germicides, skin protection and skin care agents, hydrophilicizing agents, impregnating agents, insecticides, crease inhibitors, corrosion inhibitors, optical brighteners, oxidizing agents and catalysts, perfume carriers, repellents, probiotic ingredients, anti-slip agents, UV absorbers, grayness inhibitors, laundry starches.
- Stabilizers such as antioxidants, ascorbic acid and derivatives, tocopherol and derivatives, other antimicrobial agents and other preservatives,
- Fragrances and dyes
- and mixtures thereof.
Die Verfahren sind in Anspruch 7 beschrieben. Ein weiterer Gegenstand der Erfindung bezieht sich auf ein Verfahren zur Reinigung. Verfahren zur Reinigung zeichnen sich im allgemeinen dadurch aus, dass in mehreren Verfahrensschritten verschieden reinigungsaktive Substanzen auf das Reinigungsgut aufgebracht und nach der Einwirkzeit abgewaschen werden, oder dass das Reinigungsgut in sonstiger Weise mit einem Wasch- oder Reinigungsmittel oder einer Lösung dieses Mittels behandelt wird.The methods are described in claim 7. Another object of the invention relates to a method for cleaning. Methods for cleaning are generally distinguished by the fact that different cleaning-active substances are applied to the items to be cleaned and washed off after the contact time, or that the items to be cleaned are otherwise treated with a detergent or a solution of this agent.
Das Wasch- oder Reinigungsverfahren umfassend die Verfahrensschritte
- a) Bereitstellen einer Wasch- oder Reinigungslösung umfassend ein Mittel gemäss den Ansprüchen 1-6, 10-11
- b) in Kontakt bringen einer natürlichen oder hergestellten Oberfläche, einer harten oder flexiblen Oberfläche, sowie Textilien, Teppiche oder Naturfasern mit der Waschlösung gemäss (a).
- a) providing a washing or cleaning solution comprising an agent according to claims 1-6, 10-11
- b) contacting a natural or manufactured surface, a hard or flexible surface, as well as textiles, carpets or natural fibers with the washing solution according to (a).
In dem beschriebenen Verfahren werden in verschiedenen Ausführungsformen der Erfindung Temperaturen bis 90°C und weniger eingesetzt. Bevorzugt sind Temperaturen unter 60°C und ganz besonders bevorzugt sind Temperaturen, die zu Energiespargründen kein Aufheizen der Wassertemperatur benötigen (ca. 20°C). Diese Temperaturangaben beziehen sich auf die in den Waschschritten eingesetzten Temperaturen.In the method described, temperatures of up to 90 ° C. and less are used in various embodiments of the invention. Preference is given to temperatures below 60 ° C and very particularly preferred are temperatures that do not require heating the water temperature for energy saving reasons (about 20 ° C). These temperature data refer to the temperatures used in the washing steps.
In einem weiteren Verfahren wird das Mittel auf feste Substrate, wie Tücher aus Textil, Verbundstoff, non woven, Vlies, Papier, Watte oder Filz u.a. aufgebracht. Diese werden mit dem Mittel durch ein Press-, Tauch-, Abstreif- oder Sprühverfahren imprägniert.In another method, the agent is applied to solid substrates, such as cloths of textile, composite, non-woven, nonwoven, paper, wadding or felt, among others. applied. These are impregnated with the agent by a pressing, dipping, wiping or spraying process.
Alle Sachverhalte, Gegenstände und Ausführungsformen, die für die Mittel beschrieben sind, sind auch auf das Wasch- und Reinigungsverfahren sowie deren Verwendung anwendbar und umgekehrt.All facts, subjects and embodiments described for the means are also applicable to the washing and cleaning method and its use, and vice versa.
Die Verwendungen sind in den Ansprüchen 8-9 beschrieben. Wie oben beschrieben, betrifft die Erfindung auch die Verwendung des Mittels zum Verbessern der Wasch- oder Reinigungsleistung, insbesondere an Farbstoff -, Pigment- oder Kohlenhydratverschmutzungen.The uses are described in claims 8-9. As described above, the invention also relates to the use of the agent for improving the washing or cleaning performance, in particular on dye, pigment or carbohydrate contaminants.
Das erfindungsgemässe Mittel kann als oder zur Herstellung von Wasch- und Reinigungsmittel für Oberflächen aus natürlichen oder hergestellten, harten oder flexiblen Materialien, sowie Textilien, Teppiche oder Naturfasern verwendet werden. Zu den Wasch- und Reinigungsmitteln zählen im Rahmen der Erfindung ferner Waschhilfsmittel, die bei der manuellen oder maschinellen Reinigung zum eigentlichen Mittel zudosiert werden. Ferner zählen zu Waschmitteln im Rahmen der Erfindung auch Vor- und Nachbehandlungsmittel, also solche Mittel die vor der eigentlichen Reinigung angewendet werden, beispielsweise zum Anlösen von hartnäckigen Verschmutzungen.The composition according to the invention can be used as or for the production of detergents and cleaners for surfaces made of natural or manufactured, hard or flexible materials, as well as textiles, carpets or natural fibers. In the context of the invention, the washing and cleaning agents also include washing aids which are added to the actual agent during manual or mechanical cleaning. Furthermore, detergents within the scope of the invention also include pre- and post-treatment agents, ie those agents which are used before the actual cleaning, for example for dissolving stubborn soiling.
Die Mittel können auf das Reinigungsgut aufgebracht werden, welches sich in Haushalt, Industrie, Gewerbe bzw. Institutionen, Hafenanlagen, sowie Industrie- und Freizeit-, sowie Sportanlagen finden. Bevorzugt wird das Mittel zur Reinigung von harten Oberflächen oder Textilien verwendet.The funds can be applied to the items to be cleaned, which can be found in household, industry, trade or institutions, port facilities, as well as industrial and recreational, and sports facilities. Preferably, the agent is used for cleaning hard surfaces or textiles.
Harte Oberflächen im Sinne dieser Anmeldung sind dabei Fenster, Spiegel, sowie weitere Glasoberflächen, Oberflächen aus Keramik, Kunststoff, Metall oder Holz, eben oder uneben, lackiert sowie unlackiert, flexible Oberflächen sind beispielsweise Kunststoffplanen, Schaumstoffe, Haut, Erde oder andere.Hard surfaces in the context of this application are windows, mirrors, and other glass surfaces, surfaces made of ceramic, plastic, metal or wood, flat or uneven, painted and unpainted, flexible surfaces are, for example, plastic sheeting, foam, skin, earth or others.
Natürliche Oberflächen sind im Sinne dieser Anmeldung Oberflächen von Lebewesen, Mensch, Tier, Pflanzen oder Erdreich; wie beispielsweise Haut, Haare, Erde, Pflanzen und deren Früchte oder Blätter, Leder.For the purposes of this application, natural surfaces are surfaces of living beings, humans, animals, plants or soil; such as skin, hair, soil, plants and their fruits or leaves, leather.
Textilen und Fasern sind im Sinne der Anmeldung Stoffe, Kleidung, Polster, Teppiche, Garne, u.a.Textiles and fibers are in the sense of the application substances, clothing, upholstery, carpets, yarns, u.a.
In einer bevorzugten Ausführungsform wird das Mittel bei saurem pH zwischen 0 und 7, bevorzugt zwischen 1 und 6 eingesetzt und ganz besonders bevorzugt bei einem pH zwischen 2 und 4. Überraschenderweise zeigt die erfindungsgemässe Kombination eine ausgesprochen gute Eignung für saure Reiniger und zeigt insbesondere eine sehr gute Kalklösekraft bei saurem pH. Das erfindungsgemässe Mittel eignet sich dadurch für die Verwendung in kalklösenden Wasch- oder Reinigungsmitteln besonders als Sanitärreiniger, WC-Reiniger, Kalköser, Klarspüler, Geschirrspülmittel, lebensmittelnahe Reinigungsmittel wie z.B. für Brauereien, Bäckereien und andere.In a preferred embodiment, the agent is used at acidic pH between 0 and 7, preferably between 1 and 6, and most preferably at a pH between 2 and 4. Surprisingly, the combination of the invention shows a very good suitability for acidic cleaners and shows in particular a very good lime release power at acidic pH. The agent according to the invention is therefore suitable for use in limesolvent detergents or cleaners, especially as sanitary cleaners, WC cleaners, lime solubilizers, rinse aids, dishwashing detergents, food-grade cleaning agents, such as, for example, detergents. for breweries, bakeries and others.
In einer anderen bevorzugten Ausführungsform wird das Mittel bei alkalischem pH zwischen 7 und 14 eingesetzt, bevorzugt zwischen 8 und 12 eingesetzt. Typische Beispiele für die Verwendungen bei alkalischem pH sind Waschmittel, Oberflächenreiniger, Küchenreiniger, Grill- und Ofenreiniger, Felgenreiniger und andere.In another preferred embodiment, the agent is used at an alkaline pH of between 7 and 14, preferably between 8 and 12. Typical examples of uses at alkaline pH are detergents, surface cleaners, kitchen cleaners, grill and oven cleaners, rim cleaners, and others.
In einer weiteren bevorzugen Ausführungsform wird das Mittel bei neutralem pH zwischen 5 und 8 eingesetzt, z.B. wenn ein hautneutraler pH wünschenswert ist, wie beispielsweise in einem Geschirrspülmittel, Neutralreiniger, Oberflächenreiniger und andere.In another preferred embodiment, the agent is employed at neutral pH between 5 and 8, e.g. when skin-neutral pH is desirable, such as in a dishwashing detergent, neutral detergent, surface cleaner, and others.
Im Sinne dieser Anmeldung kann das Mittel als Flüssigkeit, Lösung, Dispersion, Emulsion, Lotion oder Gel vorliegen. Es kann als Spray, Schaum, Tunkflüssigkeit verwendet werden sowie an Pulver, Granulat oder Tabs adsorbiert werden. Es eignet sich zur direkten Applikation, als auch zur Anwendung über ein Hilfsmittel, wie z.B. ein Tuch.For the purposes of this application, the agent may be present as a liquid, solution, dispersion, emulsion, lotion or gel. It can be used as a spray, foam, Tunkflüssigkeit and adsorbed to powders, granules or tabs. It is suitable for direct application, as well as for use via an aid such. a towel.
Eine besondere Produktform stellen feste Substrate, wie Tücher dar. Diese werden mit dem erfindungsgemässen Mittel getränkt, besprüht, bestrichen oder über ein anderes Verfahren aufgebraucht. Feste Substrate haben den Vorteil, dass in ihnen die Zubereitung bereits in der richtigen Dosierung vorgegeben ist. Dies kommt insbesondere dem Konsumentenwunsch der Convenience entgegen, sie sind einfach handhabbar, direkt und ohne zusätzliche Arbeitsschritte zu verwenden und können auch unterwegs, z.B. auf Reisen gut angewendet werden, auch wenn kein Wasser zur Verfügung steht.A particular product form are solid substrates, such as cloths. These are soaked with the composition according to the invention, sprayed, coated or used up by another method. Solid substrates have the advantage of being in them the preparation is already prescribed in the correct dosage. This is in particular contrary to the consumer desire of convenience, they are easy to handle, to use directly and without additional steps and can also be used well when traveling, for example, when traveling, even if no water is available.
In einer weiteren bevorzugten Ausführungsform werden die erfindungsgemässen Mittel in der Industrie eingesetzt, zum Beispiel für die Reinigung von lebensmittelnahen oder industriellen Anlagen, z.B. in der metallbearbeitenden Industrie, der lebensmittelverarbeitenden Industrie, Grossküchen, Chemie- und Pharma-, Papier- und Textilindustrie, und dergleichen.In a further preferred embodiment, the compositions according to the invention are used in industry, for example for the purification of food-grade or industrial plants, e.g. in the metalworking industry, the food processing industry, commercial kitchens, chemical and pharmaceutical, paper and textile industries, and the like.
In einer besonders bevorzugten Ausführungsform werden die Mittel im Haushalt zur Reinigung von Oberflächen und/oder Textilien, sowie im gewerblichen, bzw. institutionellen Bereich, wie beispielsweise in Hotels, Reinigungsfirmen, Kliniken, Schulen oder öffentlichen Gebäuden eingesetzt.In a particularly preferred embodiment, the agents are used in the household for cleaning surfaces and / or textiles, as well as in the commercial or institutional area, such as in hotels, cleaning companies, clinics, schools or public buildings.
Die erfindungsgemässen Mittel eignen sich hierbei für Reinigungs- und Waschzubereitungen wie beispielsweise Handseifen, Handgeschirrspülmittel, Maschinengeschirrspülmittel, Geschirrspülmaschinenreiniger, Waschmaschinenreiniger, Toilettenreiniger- bzw. WC-Reiniger, Universal- bzw. Allzweckreiniger, Küchenreiniger, Bad- bzw. Sanitärreiniger, Fussbodenreiniger, Backofen- und Grillreiniger, Glas- und Fensterreiniger, Metallputzmittel, Polster- und Teppichreiniger, Vollwaschmittel, Colorwaschmittel, Feinwaschmittel, Textilhilfsmittel, Vorbehandlungsmittel, Spezialwaschmittel und -reinigungsmittel, sowie weiteren Mitteln zur industriellen & gewerblichen, bzw. institutionellen Reinigung, Mittel für die Textil- und Faserbehandlung, Mittel der Lederbehandlung, sowie weitere Zubereitungsformen.The compositions according to the invention are suitable for cleaning and washing preparations such as, for example, hand soaps, hand dishwashing detergents, machine dishwashing detergents, dishwashing detergents, washing machine cleaners, toilet cleaners or toilet cleaners, universal or all-purpose cleaners, kitchen cleaners, bathroom or sanitary cleaners, floor cleaners, oven and oven cleaners Grill cleaners, glass and window cleaners, metal cleaning agents, upholstery and carpet cleaners, heavy-duty detergents, color detergents, mild detergents, textile auxiliaries, pretreatment agents, special detergents and cleaners, and other agents for industrial & commercial or institutional cleaning, textile and fiber treatment agents, Agent of leather treatment, as well as other forms of preparation.
Die Wasch- und Reinigungsmittel eignen sich hierbei sowohl zur verdünnten Anwendung, als auch zur direkten Applikation auf das zu reinigende Substrat. Bevorzugt ist die flüssige oder gelförmige Ausführungsform mit Wasser oder einem organischen Lösungsmittel, ganz besonders bevorzugt ist die wässrige Ausführungsform.The detergents and cleaners are suitable both for dilute application, as well as for direct application to the substrate to be cleaned. Preferably, the liquid or gel embodiment is water or an organic solvent, most preferably the aqueous embodiment.
Weitere Aspekte der vorliegenden Erfindung ergeben sich aus den nachfolgenden Beispielen sowie angefügten Patentansprüchen.Other aspects of the present invention will become apparent from the following examples and appended claims.
In den Beispielen sind die Tenside wie folgt bezeichnet. Alle Konzentrationsangaben beziehen sich auf den Aktivgehalt der Inhaltsstoffe in der gesamten Zubereitung.
Vergleichende Waschtests wurden gemäss AISE Protokoll November 2013 durchgeführt.
Waschtemperatur: 40°C, Dosierung: 70 ml, Waschmaschinenbeladung: 3kg, Wasserhärte: 4,36 mmol CaCO3/l (Hartwasser- Bedingungen)
Repräsentatives Fleckenset gemäss A.I.S.E. auf Baumwolle: Tee, Kaffee, Rotwein, Fruchtsaft, Tomatenpüree, Karotten Babybrei, Französischer Senf, Schokolade, Gras, Gras/Schlamm, Blut, Unbenutztes Motorenöl, Frittierfett, Make up. Standardisiertes angeschmutztes Testgewebe kann beispielsweise erworben werden bei EMPA (Eidgenössische Material- und Prüfanstalt Schweiz). Auswertung durch statistische Evaluierung der Waschergebnisse.Comparative washing tests were performed according to the AISE protocol November 2013.
Washing temperature: 40 ° C, dosage: 70 ml, washing machine load: 3kg, water hardness: 4.36 mmol CaCO 3 / l (hard water conditions)
Representative stain set according to AISE on cotton: Tea, coffee, red wine, fruit juice, tomato puree, carrots baby porridge, French mustard, chocolate, grass, grass / mud, blood, unused motor oil, frying fat, make-up. Standardized soiled test fabric can be purchased from EMPA (Swiss Federal Institute for Materials and Testing Switzerland). Evaluation by statistical evaluation of the washing results.
Für die Auswertung des Flecklösevermögens wurden alle Flecken statistisch ausgewertet und visuell nach einer Skala von 0 (sehr gut, Fleck nicht mehr sichtbar) bis 5 (ungenügend, unbehandelter Referenzfleck) ausgewertet. Als Referenz wurde ein enzymhaltiges Marktprodukt mit EU Ecolabel verwendet.For the evaluation of the stain dissolving power, all stains were evaluated statistically and evaluated visually according to a scale from 0 (very good, stain no longer visible) to 5 (insufficient, untreated reference stain). For reference, an enzyme-containing market product with EU Ecolabel was used.
Zur Beurteilung der Ergebnisse wurden die Flecken nach kohlenhydratreichen Flecken und Farbflecken kategorisiert. Es wurde dann die statistische Waschleistung pro Fleckenart, die Gesamtwaschleistung als arithmetisches Mittel aller Flecken, die gemittelte Waschleistung auf überwiegend kohlenhydrathaltigen Flecken wie Cellulose oder Stärke sowie die gemittelte Waschleistung der überwiegend bleichbaren Flecken (Farbstoff- und Pigmentflecken) der unterschiedlichen Versuchsrezepturen verglichen.To assess the results, the stains were categorized into carbohydrate-rich stains and color stains. It then became the statistical washing performance per stain type, the total washing performance as the arithmetic mean of all stains, the average washing performance on predominantly carbohydrate stains such as cellulose or starch and the averaged washing performance of the predominantly bleachable stains (dye and pigment stains) of the different test formulations.
Die erfindungsgemässen Mittel zeigen überraschend gute Reinigung bei Kohlenhydratflecken wie Stärke und Cellulose. Die Waschleistung der Kombination der Tenside A mit den Glycolipid-Biotensiden sind exemplarisch mit B1 in Tabelle 1 und B4 in Tabelle 2 gezeigt. Dabei übertreffen die Tensidkombinationen A/B1 bzw. A/B4 die Waschleistung der Formulierungen mit den Einzeltensiden (Bsp. 1, 2) auf kohlenhydrathaltige Flecken. Es liegt also eine synergistische Tensidkombination A/B vor. Diese übertreffen - trotz Verzicht auf kohlenhydratabbauende Enzyme wie Amylasen oder Cellulasen - sogar das enzymhaltige Referenz-Marktprodukt (Referenz A). Um Effekte durch die Waschbasis auszuschliessen wird zudem eine Waschlösung nur mit Seife geprüft, wie in Tabelle 1, Referenz B dargestellt.The compositions according to the invention show surprisingly good cleaning with carbohydrate stains such as starch and cellulose. The washing performance of the combination of surfactants A with the glycolipid biosurfactants are shown by way of example with B1 in Table 1 and B4 in Table 2. The surfactant combinations A / B1 or A / B4 exceed the washing performance of the formulations with the individual surfactants (Ex 1, 2) on carbohydrate-containing stains. So there is a synergistic surfactant A / B combination. Despite surrendering to carbohydrate-degrading enzymes such as amylases or cellulases, they even surpass the enzyme-containing reference market product (reference A). In order to exclude effects due to the washing base, a washing solution is also tested only with soap, as shown in Table 1, reference B.
Eine weitere Referenz C (Tabelle 1) zeigt exemplarisch die Kombination des Glycolipid-Biotensids mit einem anderen nichtionischen ethoxylierten Tensid (HLB 14) auf Basis von Sonnenblumenöl anstelle von Tensid A. Die synergistische Wirkung der Glycolipid-Biotenside mit der Tensidklasse A ist also sehr spezifisch.Another reference C (Table 1) shows by way of example the combination of the glycolipid biosurfactant with another nonionic ethoxylated surfactant (HLB 14) based on sunflower oil instead of surfactant A. The synergistic effect of the glycolipid biosurfactants with the surfactant class A is therefore very specific ,
Generell zeigen die erfindungsgemässen Mittel zudem eine unerwartete Waschkraftverbesserung gegenüber den Vergleichsrezepturen im Bereich der bleichbaren Flecken (Farbstoffe und Pigmente). Diese Flecken sind im Allgemeinen nicht wasserlöslich. Eine ungewöhnlich hohe Waschleistung wird bei Kugelschreiber, Kaffee und Rotwein erzielt. Das erfindungsgemässe Mittel zeigt also zusätzlich eine synergistische Waschkraftverstärkung auf Farbflecken (Tabelle 1 und 2). Trotz Verzicht auf oft ökologisch bedenkliche Bleichmittel, zeigen die erfindungsgemässen Mittel eine ausserordentlich gute Reinigungsleistung auf bleichbare Flecken.
Farbflecken: bleichbare Flecken (Tee, Kaffee, Rotwein, Erde, Kugelschreiber)
Color stains: bleachable stains (tea, coffee, red wine, earth, pens)
In Tabelle 3 wurde als Referenz D statt Tensid A ein analoges Ölsäurederivat verwendet: Oleyl monoethanolamide + 4 EO abgeleitet aus Palmöl. Ölsäure ist die einfach ungesättigte Fettsäure mit einer Kettenlänge von 18 Kohlenstoffatomen. Als Referenz E wurde Cocamid DEA, eine C12-Verbindung gewählt. Während Beispiel 3, die erfindungsgemässe Kombination von Tensid A mit Biotensid B1 sehr gute Einzel- und Gesamtwaschleistungen zeigt, wird bei Verwendung der nicht erfindungsgemässen Kombination von Biotensid mit einem Tensid auf Basis Cocosfettsäuren oder Ölsäure keine Synergie auf Kohlenhydrat- oder Farbflecken festgestellt. Es ist also für die Erfindung wesentlich, eine Verteilung an unterschiedlichen Fettsäurelängen und Sättigungsgraden gemäss C-18-Pflanzen vorliegen zu haben.
Generell kann der Einfluss einer weiteren Komponente auf eine synergistische Kombination nicht vorhergesagt werden, selbst wenn diese Komponenten üblicherweise eine positive Wirkung ausüben. Versuche zeigen, dass die synergistischen Kombinationen zusätzlich mit Seife (C) (s. Tabelle 1 und 2), weiteren ethoxylierten Tensiden (D) oder Lösungsmitteln (hier: Rapsmethylester) kombiniert werden können (Tabelle 4). Während Seife oder nichtionische alkoxylierte Tenside alleine kombiniert mit Biotensid keine synergistische Wirkung auf Kohlenhydrat- oder Farbflecken zeigen, bleibt die Waschleistung der Kombination A/B überraschenderweise hoch, zum Teil wird sie sogar noch verstärkt.In general, the influence of another component on a synergistic combination can not be predicted, even if these components usually have a positive effect. Experiments show that the synergistic combinations can additionally be combined with soap (C) (see Tables 1 and 2), further ethoxylated surfactants (D) or solvents (here: rapeseed methyl ester) (Table 4). While soap or nonionic alkoxylated surfactants alone combined with biosurfactant show no synergistic effect on carbohydrate or color stains, the wash performance of combination A / B surprisingly remains high, and in some cases is even enhanced.
Durch teilweise Substitution von Tensid (A), dem Glycolipid Biotensid oder deren Kombination durch die dritte Komponente, Seife (C), die erfindungsgemäss definierten alkoxylierten Tenside (D) oder Lösungsmittel, kann die synergistische Wirkung auf Kohlenhydrat- und Farbflecken überraschenderweise weiter erzielt werden. Je nach Einsatzbereich des Waschmittels, Ökonomie des Waschmittels, oder Zugänglichkeit der Rohstoffe, kann die teilweise Substitution wünschenswert sein.
Farbflecken: bleichbare Flecken (Tee, Kaffee, Rotwein, Erde, Kugelschreiber)
Color stains: bleachable stains (tea, coffee, red wine, earth, pens)
Ergebnis: Tabelle 4 zeigt, dass die synergistische Wirkung auf Kohlenhydratflecken und Farbflecken auch bei Zugabe eines dritten Tensids (D) bzw. bei Zugabe eines Fettsäurealkylesters, wie hier exemplarisch Rapsmethylester, erhalten bleibt. Alle erfindungsgemässen Waschmittel 7-13 zeichnen sich durch sehr hohe Waschleistung, insbesondere auf Kohlenhydrat- und Farbflecken aus.Result: Table 4 shows that the synergistic effect on carbohydrate stains and color stains is retained even when adding a third surfactant (D) or when adding a fatty acid alkyl ester, as exemplified here by rape methyl ester. All novel detergents 7-13 are distinguished by very high washing performance, in particular on carbohydrate and color stains.
In einer Ausführungsvariante eignen sich die erfindungsgemässen Mischungen vorzugsweise zur Reinigung von Textilien, wie z.B. als Waschmittel, als Fleckenmittel, als Vorbehandlungsmittel, als Teppichreinigungsmittel, als Polsterreinigungsmittel, u.a.In one embodiment, the mixtures according to the invention are preferably suitable for the cleaning of textiles, for example as detergents, as bleaching agents, as pretreatment agents, as carpet cleaners, as upholstery cleaners, inter alia
Die synergistische Wirkung zur Entfernung von Kohlenhydratschmutz oder Farbschmutz kann weiterhin in der Reinigung von natürlichen oder hergestellten, harten oder flexiblen Oberflächen verwendet werden, auch bei saurem oder neutralem pH.The synergistic effect of removing carbohydrate dirt or stains can also be used in the cleaning of natural or manufactured, hard or flexible surfaces, even at acidic or neutral pH.
Insbesondere überraschend ist in diesen Versuchen, dass die synergistische Wirkung bereits bei niedrigen Konzentrationen von nur 1% Tensidgemisch in Lösung festgestellt wird.Particularly surprising in these experiments is that the synergistic effect is already established at low concentrations of only 1% surfactant mixture in solution.
Versuchsdurchführung: Die Waschkraft auf Kohlenhydrate wurde mit einer 1%-igen Tensidlösung in einem Natriumcitrat/ Zitronensäure-Puffer bei pH= 6 bzw. in einer Zitronensäurelösung mit pH = 3 getestet. Hierzu wurde eine definierte Menge an Saccharose/Glucosegemisch verdichtet und eingefärbt, bei 20°C in die Testlösung eingebracht und die Zeit bestimmt, nach der die Tablette ohne Rühren oder andere mechanische Einwirkung vollständig aufgelöst ist (= Waschkraft).Experimental Procedure: The detergency on carbohydrates was tested with a 1% surfactant solution in a sodium citrate / citric acid buffer at pH = 6 or in a citric acid solution at pH = 3. For this purpose, a defined amount of sucrose / glucose mixture was compacted and colored, introduced at 20 ° C in the test solution and determines the time after which the tablet is completely dissolved without stirring or other mechanical action (= detergency).
Auswertung: Zur vergleichenden Bestimmung der Waschkraft der Kohlenhydrate werden die Versuchsreihen jeweils auf die Waschkraft eines Tensids standardisiert. In Tabelle 5 wurde das Biotensid Glycolipid 1, in Tabelle 6 Tensid A als Standard gewählt. Der Testwert der Tensidmischungen wird relativ zur Waschkraft des Standards (= 100%) angegeben, wobei das aufgeführte Ergebnis jeweils der Mittelwert der Einzelergebnisse pro Versuchsreihe ist.Evaluation: For the comparative determination of the detergency of the carbohydrates, the test series are each standardized to the detergency of a surfactant. In Table 5, the biosurfactant glycolipid 1 was selected as the standard in Table 6 surfactant A. The test value of the surfactant mixtures is given relative to the washing power of the standard (= 100%), the result listed being in each case the mean value of the individual results per test series.
Als Referenz wurde die nicht erfindungsgemässe Kombination mit Cocamid DEA gewählt, ein Tensid welches betreffend Verwendung und Verhalten Tensid A am nächsten kommt. Cocamid DEA ist abgeleitet von Kokos- oder Palmöl. Wider Erwarten zeigen Cocamid DEA und Tensid A ein sehr unterschiedliches Verhalten: Während Cocamid DEA als alleiniges Tensid eine vergleichbare Waschkraft gegenüber Kohlenhydraten wie das Biotensid zeigt, verschlechtert sich die Waschkraft des Kokosfettsäuren-Analogons in Kombination mit dem Biotensid (negativ synergistisch).As a reference, the non-inventive combination was selected with cocamide DEA, a surfactant which comes closest to use and behavior surfactant A. Cocamide DEA is derived from coconut or palm oil. Contrary to expectations, cocamide DEA and surfactant A show a very different behavior: While cocamide DEA as the sole surfactant shows a comparable detergency to carbohydrates as the biosurfactant, the detergency of the coconut fatty acid analogue in combination with the biosurfactant (negative synergistic) worsens.
In Tabelle 5 werden exemplarisch die Ergebnisse der Kombination mit Biotensid 1 bei pH = 3 für die Kohlenhydratlösekraft offenbart. Dabei wird die Kohlenhydratlösekraft der Versuchslösungen bezogen auf die Kohlenhydratlösekraft des Glycolipid- Biotensids 1 als 100%.
Ergebnis: Synergien sind deutlich bei den erfindungsgemässen Mitteln mit Tensid A, während eine negative Synergie bei dem Kokosfettsäuren-Tensid R auftritt (Verschlechterung der Reinigungsleistung um 7%). Die Synergie Tensid A/ Biotensid wird also auch im sauren pH wirksam.
Ergebnis: Alle erfinderischen Testlösungen, hier exemplarisch Biotensid 2-4 in unterschiedlichen Verhältnisse zu A, zeigen eine synergistische Waschkraft auf Kohlenhydrate.Result: All inventive test solutions, here exemplified biosurfactant 2-4 in different proportions to A, show a synergistic washing power on carbohydrates.
Versuchsdurchführung: Die Pigment- und Farbengemische, welche in unterschiedlichen Produktformen vorliegen, werden bei mehreren Versuchspersonen als Fleck von ca. 1 cm Durchmesser auf die Haut (Arm, oder Bein) aufgetragen und 5 min getrocknet. Als Testsubstanzen wurde Makeup verwendet (Lidschatten L'Oreal, luminous; Mascara L'Oreal Volume Million Lashes extra black, wasserlöslich; Make-up der Löscher, Silikonbasis; Maybelline, Kajal Expression Maybelline). Anschliessend wird ein Kosmetiktuch mit 1 ml Testlösung getränkt und der Fleck ohne zusätzlichen Druck einmalig abgewischt und beurteilt. Anschliessend wird der Fleck versucht vollständig zu entfernen. Die Versuche werden nach folgender Bewertungsskala von 0 bis 4 bewertet (Tabelle 7) und statistisch ausgewertet. Die gemittelten und gerundeten Ergebnisse sind den Tabelle 8 zu entnehmen.
Ergebnis: Die synergistische Wirkung zwischen Tensid A und Biotensid B (hier beispielhaft Biotensid B1) ist deutlich erkennbar. Für alle repräsentativen Kategorien wurde eine deutlich bessere Reinigungswirkung bei den erfindungsgemässen Mitteln festgestellt. Betrachtet man das gemittelte Gesamtergebnis, so liegt die erfindungsgemässe Kombination bei 1.5-2 Bewertungspunkten über der Bewertung der Einzeltenside, was einer Verbesserung des Gesamtreinigungseffektes von 30-40% entspricht.Result: The synergistic effect between surfactant A and biosurfactant B (exemplified by biosurfactant B1) is clearly recognizable. For all representative categories a significantly better cleaning effect was found in the compositions according to the invention. If one considers the averaged overall result, the combination according to the invention is 1.5-2 evaluation points above the rating the individual surfactant, which corresponds to an improvement of the total cleaning effect of 30-40%.
Die Durchführung mit anderen Biotensiden liefert analoge Ergebnisse, bspw. liefert das Biotensid-Glycolipid 4 ein Gesamtergebnis von 3.3 als 8%-ige Lösung, während die 1:1-Mischung mit Tensid (A) eine Gesamtwaschkraft von 1.32 aufweist.Implementation with other biosurfactants provides analogous results, for example, the biosurfactant glycolipid 4 gives a total result of 3.3 as an 8% solution while the 1: 1 mixture with surfactant (A) has a total washing power of 1.32.
Zugabe eines dritten Tensids (D) bzw. Fettsäurealkylester
Exemplarisch sind die Gesamttestergebnisse zur Entfernung von Anfärbungen analog Tabelle 8 bei zusätzlicher Zugabe von alkoxylierten Tensiden (D) in Tabelle 9 abgebildet. (Konzentration der Kombination A/B1 8 Gew.-%, Zugabe von 4 Gew.-% einer dritten Komponente).
By way of example, the total test results for the removal of stains are shown in Table 8 analogously to Table 8 with additional addition of alkoxylated surfactants (D) in Table 9. (Concentration of the combination A / B1 8% by weight, addition of 4% by weight of a third component).
Ergebnis: Es ist eindeutig zu erkennen, dass der Synergieeffekt erhalten bleibt (vgl. Tabelle 8). Eine deutliche Verbesserung der Reinigungsleistung ist bei Rapssamenmethylester Oxylat 7 E= erkennbar.Result: It is clear that the synergy effect is maintained (see Table 8). A clear improvement of the cleaning performance is recognizable with rapeseed methyl ester oxylate 7 E =.
Weiterhin wird durch die Zugabe eines 3. Tensids (D) die Schaumbildung verstärkt.Furthermore, the addition of a third surfactant (D) enhances foaming.
Exemplarisch sind die Testergebnisse zur Schaumhöhe und -stabilität für die Zugabe von alkoxylierten Tensiden (D) zu einer 1:1-Mischung von Tensid (A) und Biotensid-Glycolipid B1 in Tabelle 10 abgebildet. Gesamttensidkonzentration hier 3.5%, Verhältnis Tensid (A) : Biotensid Glycolipid (B) : Tensid (C) = 1:1:1, am Beispiel Biotensid 1. Die Schaumbildung wird bestimmt durch unmittelbares Messen der Schaumhöhe nach Schütteln der Testmischung. Die angegebene Schaumhöhe wird bezogen auf die Mischung Tensid (A)/ Biotensid 1 = 1:1 als 100% Die Schaumstabilität wird bestimmt durch Messen der Schaumhöhe nach 15 min. Die angegebene Schaumstabilität wird wiederum bezogen auf die Schaumhöhe der Mischung Tensid (A)/ Biotensid 1 = 1:1 als 100% (Tabelle 10).
Ergebnis: Die binäre Mischung A/B zeigt bereits einen positiven Effekt betreffend Schaumbildung und - stabilität gegenüber den Einzeltensiden. Bekannt ist, dass Tensid (A) schaumstabilisierend wirkt.Result: The binary mixture A / B already shows a positive effect regarding foam formation and stability compared to the individual surfactants. It is known that surfactant (A) has a foam-stabilizing effect.
Überraschend dagegen ist, dass durch Zugabe des 3. Tensids (D) die Schaumbildung der Mischungen deutlich verbessert wird. Alle tertiären Mischungen liegen über 100%, d.h. haben eine stärkere Schaumbildung als das binäre Gemisch aus Tensid (A) und Biotensid-Glycolipid (B), hier B1.In contrast, it is surprising that the foaming of the mixtures is markedly improved by addition of the third surfactant (D). All tertiary mixtures are above 100%, i. have a stronger foaming than the binary mixture of surfactant (A) and biosurfactant glycolipid (B), here B1.
Betrachtet man die Schaumstabilität, so wird der Schaum des Biotensids erwartungsgemäss durch die binäre Mischung mit Tensid A verbessert. Überraschend allerdings zeigt sich, dass die tertiären Mischungen mit Tensid (D) die Schaumstabilität der binären Mischung um etwa das Doppelte übertreffen.If one considers the foam stability, the foam of the biosurfactant is expected to be improved by the binary mixture with surfactant A. Surprisingly, however, it emerges that the tertiary mixtures with surfactant (D) exceed the foam stability of the binary mixture by about twice.
Exemplarisch werden im Folgenden weitere erfindungsgemässe Beispielformulierungen gezeigt:
- Tabelle 11: Auswahl alkalischer Reiniger, beispielsweise verwendbar als Grill- und Ofenreiniger, Fettlöser, Oberflächenreiniger, Waschmittel, Fussbodenreiniger, Fleckenlöser und andere,
- Tabelle 12: Auswahl Reiniger mit Lösungsmittel, beispielsweise verwendbar als Oberflächenreiniger, Glasreiniger, Anti-Graffiti, Fleckenmittel und andere,
- Tabelle 13: Auswahl Reiniger pH = 5.5, z.T. schäumend, beispielsweise verwendbar als Küchenreiniger, Neutralreiniger, Universalreiniger, Geschirrspülmittel, und andere,
- Tabelle 14: Auswahl saurer Reiniger, beispielsweise verwendbar als Sanitärreiniger, WC-, oder Toilettenreiniger, Badreiniger, Kalklöser und andere.
- Table 11: Selection of alkaline cleaners, for example as grill and oven cleaners, degreaser, surface cleaners, detergents, floor cleaners, stain removers and others,
- Table 12: Selection of solvents with solvents, for example as surface cleaners, glass cleaners, anti-graffiti, stain removers and others,
- Table 13: Choice of cleaner pH = 5.5, partly foaming, for example usable as kitchen cleaner, neutral detergent, universal cleaner, dishwashing detergent, and others,
- Table 14: Selection of acidic cleaners, for example usable as sanitary cleaners, toilet or toilet cleaners, bath cleaners, limescale removers and others.
- Leinsamenfettsäuren, CremerFlaxseed fatty acids, Cremer
- PEG-40-sunflower-glyceride, Levenol SR 152, KaoPEG-40 sunflower glycerides, Levenol SR 152, Kao
- Natriumgluconat, Akzo NobelSodium gluconate, Akzo Nobel
- Rapssamen methylester oxylat, 7 EORapeseed methyl ester oxylate, 7 EO
- Raps methyl ester, UCYRape methyl ester, UCY
- Oleyl monoethanolamide + 4 EO, OMA 4, Akzo NobelOleyl monoethanolamides + 4 EO, OMA 4, Akzo Nobel
- Cocamid DEA, Rewomid DC 212 S, Evonik IndustriesCocamide DEA, Rewomid DC 212 S, Evonik Industries
- Propylenglycol, DowPropylene glycol, Dow
- Lemon oil, SymriseLemon oil, Symrise
- Propanol, DowPropanol, Dow
- Butoxypropanol, DowButoxypropanol, Dow
- Walnussschalen, Walnut Shell Powder 40/100, Elementis SpecialtiesWalnut shells, Walnut Shell Powder 40/100, Elementis Specialties
- Saponin, Baja YE, Desert KingSaponin, Baja YE, Desert King
- Limonene, SymriseLimonene, Symrise
- Saponin (Saponaria officinalis), Organic Soapwort Extract - BCE4523, BiocosmethicSaponin (Saponaria officinalis), Organic Soapwort Extract - BCE4523, Biocosmethic
- Olive amidopropylbetain, SolianceOlive amidopropyl betaine, soliance
- Tetranatrium Glutamate Diacetat, Akzo NobelTetrasodium glutamate diacetate, Akzo Nobel
- Tetranatrium Iminosuccinat, LanxessTetrasodium iminosuccinate, Lanxess
- Natriumlactat, JungbunzlauerSodium lactate, Jungbunzlauer
- Propylenglycol, DowPropylene glycol, Dow
- Xanthan gum, Keltron, CP KelcoXanthan gum, Keltron, CP Kelco
Claims (11)
- Composition containing at least one alkoxylated fatty acid amide (A) of the formula (I) and at least one glycolipid biosurfactant (B) comprising rhamnolipids of the formula (II), sophorolipids of the formulas (III), mannosylerythritol lipids of formula (IV) and cellobiose lipids of the formula (V) and trehalose lipids of the formula (VI):with the alkoxylated fatty acid amide (I)
(I) R-CO-NH-(CmH2mO)n-H
withm being the integer 2 or 3, preferably 2,n a number in the range of 2-10, preferably in the range 2-8,R a saturated, mono- or polyunsaturated hydrocarbon radical having 5-23 carbon atoms;and wherein the surfactant (I) is present as a mixture of different chain lengths and degrees of saturation of the fatty acid radicals RCO, with the proportion of RCO having 18 and more carbon atoms being above 60 wt.-%, preferably above 72 wt.-% and most preferably above 77 wt.-%;and wherein the proportion of unsaturated fatty acid radicals RCO is above 55 wt.-%, preferably above 65 wt.-% and particularly preferably above 72 wt.-%, in each case based on the total amount of fatty acid radicals RCO in the surfactant (I);and wherein RCO is derived from a C-18 vegetable oil from the group comprising: amaranth, anise, apple, apricot, argan, arnica, avocado, cotton, borage, nettle, broccoli, canola, chia, hemp, hazelnut, beech, boxwood, thistle, spelt, peanut, tigernut, lilac, garden cress, barley, pomegranate, oat, hemp, hazelnut, blueberry, elderberry, jasmine, currant, St. John's wort, jojoba, camellia, chamomile, caraway, carrot, cherry, coriander, mullein, crambe, caper spurge, squash, Iberian dragon head, lavender, camelina, linseed, privet, lupine, lucerne, macadamia, corn, almond, marula, mirabelle, melon, poppy, mongongo, moringa, evening primrose, olive, oil radish, rocket, passion flower, pecan , peach, plum, pistachio, cranberry, jatropha, rapeseed, rice, marigold, turnip rape, safflower, sage, sea buckthorn, black cumin, sesame, sesame leaf, mustard, sunflower, soybean, tobacco, walnut, grape, wheat, meadowfoam and wildrose; and combinations thereof;rhamnolipid of the formula (II) withm = 2, 1 or 0,n = 1 or 0,R1 and R2 = independently of one another identical or different organic radicals having 2 to 24 carbon atoms, in particular saturated, mono- or polyunsaturated, linear or branched, optionally substituted, in particular, hydroxy-substituted hydrocarbon radical, preferably having 5 to 13 carbon atoms,R3 =H, CH3, or cation, particularly alkali metal cation, preferably H,R4 = H or the group CH3(CH2)aCH=CH-CO, with a being a number between 4 and 10, preferably H;sophorolipids of the formula (III) in whichR5 and R6 independently represent H or acetyl,R7 = H or a completely saturated or an unsaturated, hydroxylated or non-hydroxylated hydrocarbon chain having 1-9 carbon atoms, preferably H or CH3,R8 represents a saturated or unsaturated, hydroxylated or non-hydroxylated, linear or branched hydrocarbon chain having 1-22 carbon atoms, preferably R8 consists of a saturated hydrocarbon chain having 11 to 22 carbon atoms or a mono- or di-unsaturated hydrocarbon chain having 13 to 22 carbon atoms,R9 represents COOH or a cationic salt thereof, or COO(CH2)mCH3 with m between 0 and 3;mannosyl erythritol lipids of the formula (IV) withR10 and R11 independently of one another, being H or -COCH3,R12 and R13 independently of one another, linear or branched C1 to C23, preferably C1 to C17, and more preferably C7 to C15 alkyl groups; or linear or branched C2 to C23, preferably C2 to C17, and particularly preferably C7 to C15 alkenyl groups; or linear or branched C5 to C23, preferably C5 to C17, and particularly preferably C7 to C15 alkadienyl groups; or linear or branched C8 to C23, preferably C8 to C17, and particularly preferably C8 to C15 alkatrienyl groups;cellobiose lipid of the formula (V) withR14, R15 and R17 are, independently of one another, H or -COCH3,R16 is a saturated or unsaturated, hydroxylated or non-hydroxylated hydrocarbon radical having 5 to 23 carbon atoms, or -CH3,preferably - CH3 or - CH2-CH(OH)-(CH2)n-CH3 with n = 2-4,R18 is H or-OH,R19 is a saturated or unsaturated, hydroxylated or non-hydroxylated hydrocarbon radical having 9 to 21 carbon atoms, preferably 13 carbon atoms, particularly preferably - (CH2)n-CH(OH) - with n = 12,R20 = H or a cation;Trehalose lipid of the formula (VI)R21, R22, R31 and R32 = in each case independently of one another, hydrogen or COR27 with R27 being a saturated or unsaturated, hydroxylated or non- hydroxylated hydrocarbon radical having 5 to 23 carbon atoms,R25 and R26 are each independently of one another hydrogen or COR28 with R28 being a saturated or unsaturated, branched or non-branched, hydroxylated or non-hydroxylated hydrocarbon radical having 5 to 23 carbon atoms, R28 = CH[(CH2)cCH3]CHOH(CH2)dCH3 mit c+d = 27,R29 and R23 are each independently of one another hydrogen or COR30 with R30 being a saturated or unsaturated, branched or non-branched, hydroxylated or non-hydroxylated hydrocarbon radical having 5 to 23 carbon atoms, or R30 = (CH)2 COOR24 with R24 = H or cation. - Composition according to claim 1 characterized in that the at least one alkoxylated surfactant (A) is present as a mixture of different chain lengths and degrees of saturation of the fatty acid radicals RCO, wherein the proportion of saturated and unsaturated fatty acid radicals RCO having 20 or more carbon atoms is preferably > 0.01 wt.-% and more preferably > 0.05 wt.-% and particularly preferably > 0.1 wt.-% and most preferably > = 0.2 wt.-%, based on the total amount of fatty acid radicals RCO of the surfactant (I).
- Composition according to one of the preceding claims additionally containing at least one soap (C) of formula (VII)
RCOOM (VII)
wherein M is an alkali metal or ammonium cation,and wherein the one or more soaps (VII) are present as a mixture of different chain lengths and degrees of saturation of the fatty acid radicals RCO and RCO is derived from a C-18 vegetable oil with R and RCO as defined in formula (I). - Composition according to one of the preceding claims additionally containing at least one further surfactant (D) selected from the group of alkoxylated fatty acid esters, alkoxylated fatty acid glycerol esters and alkoxylated vegetable oil esters of formula (VIII) or in each case mixtures thereof;
(VIII) RCO-O(CmH2mO)o-{CH2-CH[O(CmH2mO)pR"]-CH2O}w-(CmH2mO)q-R"'
withm being 2, 3 or 4,o, p, q are independently numbers from 0 to 75, wherein o + p + q ≠ 0, with a total alkoxylation degree of x = 2-75,R" is H or COR,R'" is H, COR, or a linear or branched alkyl radical having 1-8 C atoms,w is 0 or 1;and wherein the surfactant or surfactants (D) are present as a mixture of different chain lengths and degrees of saturation of the fatty acid radicals RCO, and RCO is derived from a C-18 vegetable oil as defined in formula (I). - Composition according to one of the preceding claims additionally containing one or more fatty acid alkyl ester of formula (X)
(X) R-CO-OR25
wherein R25 represents a linear or branched hydrocarbon radical having 1-5 carbon atoms,and wherein the fatty acid alkyl ester or esters (X) is present as a mixture of different chain lengths and degrees of saturation of the fatty acid radicals RCO and RCO is derived from a C-18 vegetable oil with R and RCO as defined in formula (I). - Composition according to one of the preceding claims, characterized in that the proportion consisting of surfactant (A), surfactants (C) and (D), and if appropriate, surfactants (E), with the proviso that the one or more surfactants (E) are derived from a C-18 vegetable oil, and biosurfactant glycolipids (B), is in total ≥ 30 wt.-%, preferably ≥ 60 wt.-%, more preferably ≥ 95 wt .-% and most preferably ≥ 99 wt.-%, based on the total content of surfactants in the composition.
- Washing or cleaning method comprising the process steps ofa) providing a washing or cleaning solution comprising a composition according to any one of the preceding claimsb) contacting a fabric or a surface with the washing and cleaning solution according to a).
- Use of the composition according to one of the preceding claims for improving the cleaning performance of a detergent, a cleaning agent or an impregnated cloth for cleaning, particularly from carbohydrate or colored stains.
- Use of the composition according to one of the preceding claims as hand soaps, hand dishwashing detergents, machine dishwashing detergents, dishwasher cleaners, washing machine cleaners, toilet cleaners, WC cleaners, universal and all-purpose cleaners, kitchen cleaners, bath and sanitary cleaners, floor cleaners, oven and grill cleaners, glass and window cleaners, metal cleaners, upholstery and carpet cleaners, heavy-duty detergents, color detergents, light-duty detergents, textile auxiliary agents, pretreatment agents, specialty detergents and cleaners, products for industrial, commercial and institutional cleaning, agents for the food industry, agents for the textile and fiber treatment, agents for leather treatment.
- Composition according to claim 1, characterized in that the glycolipid biosurfactant (B) is a sophorolipid or rhamnolipid.
- Composition according to claim 1, characterized in that the surfactant is (A) PEG-4 rapeseed amide.
Applications Claiming Priority (1)
| Application Number | Priority Date | Filing Date | Title |
|---|---|---|---|
| CH01114/16A CH712860A2 (en) | 2016-08-29 | 2016-08-29 | Agents with alkoxylated fatty acid amides and glycolipid biosurfactants. |
Publications (2)
| Publication Number | Publication Date |
|---|---|
| EP3290501A1 EP3290501A1 (en) | 2018-03-07 |
| EP3290501B1 true EP3290501B1 (en) | 2019-05-15 |
Family
ID=59738105
Family Applications (1)
| Application Number | Title | Priority Date | Filing Date |
|---|---|---|---|
| EP17020387.1A Active EP3290501B1 (en) | 2016-08-29 | 2017-08-25 | Detergent compositions containing alkoxylated fatty acid amides |
Country Status (3)
| Country | Link |
|---|---|
| EP (1) | EP3290501B1 (en) |
| CH (1) | CH712860A2 (en) |
| DK (1) | DK3290501T3 (en) |
Families Citing this family (14)
| Publication number | Priority date | Publication date | Assignee | Title |
|---|---|---|---|---|
| MX2019012097A (en) | 2017-04-09 | 2020-02-12 | Locus Ip Co Llc | Materials and methods for maintaining industrial, mechanical and restaurant equipment. |
| CN109293189B (en) * | 2018-11-30 | 2021-11-05 | 江门市邑凯环保服务有限公司 | Method for promoting hydrolytic acidification of sludge |
| EP3686265A1 (en) | 2019-01-23 | 2020-07-29 | BlueSun Consumer Brands, S.L. | Detergent composition with sophorolipids |
| CH716229B1 (en) * | 2019-05-26 | 2023-05-15 | Fama Holding Ag | Agents with alkoxylated fatty acid alkyl esters. |
| WO2022011839A1 (en) * | 2020-09-27 | 2022-01-20 | 北京锐盛明杰知识产权代理有限公司 | Soaping agent, preparation method therefor and use thereof |
| CN111644070A (en) * | 2020-06-17 | 2020-09-11 | 河南省科学院高新技术研究中心 | Reverse osmosis membrane cleaning agent for reclaimed water reuse |
| EP3940049A1 (en) * | 2020-07-13 | 2022-01-19 | Dalli-Werke GmbH & Co. KG | Mannosylerythritol lipid comprising liquid rinse aids |
| EP4083050A1 (en) | 2021-05-01 | 2022-11-02 | Analyticon Discovery GmbH | Microbial glycolipids |
| CN114410386B (en) * | 2021-12-09 | 2024-04-09 | 苏州肽科新材料科技有限公司 | Semi-aqueous composition for cleaning resin lens production molds, preparation method and application thereof |
| DE102022210850A1 (en) | 2022-10-14 | 2024-04-25 | Henkel Ag & Co. Kgaa | Detergent composition comprising sophorolipid surfactant and an antimicrobial compound |
| DE102022210849A1 (en) | 2022-10-14 | 2024-04-25 | Henkel Ag & Co. Kgaa | Sophorolipid surfactants with surface-active countercations |
| DE102023205204A1 (en) | 2023-06-05 | 2024-12-05 | Henkel Ag & Co. Kgaa | Biosurfactants with surface-active countercations |
| CN117417789B (en) * | 2023-10-19 | 2024-08-23 | 太仓立日包装容器有限公司 | Regenerated IBC ton bucket green cleaning solvent |
| DE102023212849A1 (en) * | 2023-12-18 | 2025-06-18 | Henkel Ag & Co. Kgaa | Surfactant system for detergents containing mannosylerythritol lipids (MEL) and at least one other surfactant |
Family Cites Families (42)
| Publication number | Priority date | Publication date | Assignee | Title |
|---|---|---|---|---|
| JPS6037087B2 (en) | 1978-09-28 | 1985-08-24 | 花王株式会社 | cosmetics |
| JPS60183032A (en) | 1984-03-02 | 1985-09-18 | Shiseido Co Ltd | Emulsified composition |
| US4933281A (en) | 1987-03-17 | 1990-06-12 | The University Of Iowa Research Foundation | Method for producing rhamnose |
| JPH064665B2 (en) | 1988-05-30 | 1994-01-19 | 工業技術院長 | Metal soap |
| ES2018637A6 (en) | 1989-04-18 | 1991-04-16 | Presas Angeles Manresa | Improvements made to the method for obtaining biosurfactants in a substrate of refined oils and fat. |
| CA2060698C (en) | 1991-02-12 | 1997-09-30 | Peter J. Hall | Detergent compositions |
| FR2692593B1 (en) | 1992-06-18 | 1995-06-16 | Inst Francais Du Petrole | PROCESS FOR PRODUCING ACETYLATED SOPHOROLIPIDS IN THEIR ACID FORM FROM A CONSISTENT SUBSTRATE AND AN OIL OR ESTER. |
| US5520839A (en) | 1993-09-10 | 1996-05-28 | Lever Brothers Company, Division Of Conopco, Inc. | Laundry detergent composition containing synergistic combination of sophorose lipid and nonionic surfactant |
| FR2740779B1 (en) | 1995-11-08 | 1997-12-05 | Rhone Poulenc Chimie | COMPOSITION BASED ON ENZYME AND SOPHOROLIPIDE IN LACTONE FORM AND USE THEREOF IN DETERGENT FORMULATIONS FOR THE WASHING OF LAUNDRY |
| DE19600743A1 (en) | 1996-01-11 | 1997-07-24 | Henkel Kgaa | Use of mixture of glyco-lipid and surfactant in hand dish-washing detergent |
| DE19648439A1 (en) | 1996-11-22 | 1998-05-28 | Henkel Kgaa | Skin-friendly washing=up liquid with good cleaning performance |
| CN1141357C (en) | 2000-08-09 | 2004-03-10 | 大庆油田有限责任公司勘探开发研究院 | Oil-displacing agent and its application |
| JP2003013093A (en) | 2001-06-27 | 2003-01-15 | Saraya Kk | Low foaming detergent composition |
| FR2827192B1 (en) | 2001-07-13 | 2004-06-04 | Cognis France Sa | PREPARATIONS CONTAINING NON-IONIC SURFACTANTS AS EXTRACTING AGENTS |
| GB0219825D0 (en) | 2002-08-24 | 2002-10-02 | Cerestar Holding Bv | Process for producing and recovering mannosylerythritol lipidsfrom culture medium containing the same |
| KR20040033376A (en) | 2002-10-14 | 2004-04-28 | 주식회사 엘지생활건강 | Cosmetics composition comprising sophorolipids |
| CN1219886C (en) | 2003-01-23 | 2005-09-21 | 湖南大学 | Composite biosurfactant and its application in compost |
| DE60305861T2 (en) | 2003-01-28 | 2007-01-04 | Ecover N.V. | Detergent compositions |
| JP4286558B2 (en) | 2003-02-26 | 2009-07-01 | 広島県 | Method for producing mannosyl erythritol lipid |
| US8034605B2 (en) | 2003-03-26 | 2011-10-11 | Kyu-Jin Yum | Microbial materials for degradation of oils and toxic chemicals |
| FR2855752B1 (en) | 2003-06-03 | 2005-08-26 | Lvmh Rech | COSMETIC USE OF SOPHOROLIPIDS AS REGULATORY AGENTS OF SUB-CUTANEOUS ADIPOSE MASS AND APPLICATION TO SLURRY |
| JP4548827B2 (en) | 2004-09-06 | 2010-09-22 | サラヤ株式会社 | Biodegradable liquid detergent composition |
| JP2006083238A (en) | 2004-09-14 | 2006-03-30 | Saraya Kk | Cleanser composition |
| US7556654B1 (en) | 2004-10-15 | 2009-07-07 | Naturell | Methods for cleaning materials |
| JP2006274233A (en) | 2005-03-29 | 2006-10-12 | Saraya Kk | Bleaching agent composition |
| JP4858946B2 (en) | 2006-01-10 | 2012-01-18 | 独立行政法人産業技術総合研究所 | Emulsifier or solubilizer |
| JP4803434B2 (en) | 2006-03-23 | 2011-10-26 | 独立行政法人産業技術総合研究所 | Highly efficient production method of mannosyl erythritol lipid |
| US7985722B2 (en) | 2006-07-27 | 2011-07-26 | Aurora Advanced Beauty Labs | Rhamnolipid-based formulations |
| JP5294226B2 (en) | 2006-09-07 | 2013-09-18 | 独立行政法人産業技術総合研究所 | W / O type microemulsion |
| JP5649268B2 (en) | 2008-05-15 | 2015-01-07 | サラヤ株式会社 | Adsorption inhibiting composition containing sophorolipid |
| KR20100022289A (en) | 2008-08-19 | 2010-03-02 | 인하대학교 산학협력단 | Compounds of c-22 sophorolipid derivatives and the preparation method thereof |
| DE102009046169A1 (en) | 2009-10-29 | 2011-05-05 | Henkel Ag & Co. Kgaa | Low-residue cleaner for hard surfaces |
| CN101845468B (en) | 2010-03-30 | 2012-11-14 | 湖州紫金生物科技有限公司 | Preparation method and application of rhamnolipid |
| CN101948786B (en) | 2010-09-03 | 2012-04-04 | 中国石油天然气股份有限公司 | Pseudomonas aeruginosa with high rhamnolipid production and its application |
| US9795131B2 (en) | 2011-06-06 | 2017-10-24 | Ecover Co-Ordination Center N.V. | Sophorolactone compositions and uses thereof |
| CN102250790B (en) | 2011-06-14 | 2014-05-07 | 南京农业大学 | Bacterium S2 for efficiently generating biosurfactant and fermentation culture medium thereof |
| CH705757B1 (en) * | 2011-11-13 | 2016-03-31 | Compad Consulting Gmbh | Sustainable detergents and cleaning agents. |
| DE102011090030B4 (en) | 2011-12-28 | 2025-11-06 | Evonik Operations Gmbh | Aqueous hair and skin cleansing compositions containing biosurfactants |
| ES2710355T3 (en) | 2013-01-30 | 2019-04-24 | Unilever Nv | Compositions with improved aesthetic and sensory properties |
| DE102013206314A1 (en) | 2013-04-10 | 2014-10-16 | Evonik Industries Ag | Cosmetic formulation containing copolymer as well as sulfosuccinate and / or biosurfactant |
| EP3002328A1 (en) | 2014-09-30 | 2016-04-06 | Evonik Degussa GmbH | Formulation containing biotensides |
| DE102014221889B4 (en) * | 2014-10-28 | 2023-12-21 | Henkel Ag & Co. Kgaa | Detergents with mannosylerythritol lipid, enhancing the cleaning performance of detergents through mannosylerythritol lipid, and washing processes using mannosylerythritol lipid |
-
2016
- 2016-08-29 CH CH01114/16A patent/CH712860A2/en not_active Application Discontinuation
-
2017
- 2017-08-25 EP EP17020387.1A patent/EP3290501B1/en active Active
- 2017-08-25 DK DK17020387.1T patent/DK3290501T3/en active
Non-Patent Citations (1)
| Title |
|---|
| None * |
Also Published As
| Publication number | Publication date |
|---|---|
| DK3290501T3 (en) | 2019-08-12 |
| EP3290501A1 (en) | 2018-03-07 |
| CH712860A2 (en) | 2018-03-15 |
Similar Documents
| Publication | Publication Date | Title |
|---|---|---|
| EP3290501B1 (en) | Detergent compositions containing alkoxylated fatty acid amides | |
| EP3290500B1 (en) | Detergent composition and care composition containing polyoxyalkylene carboxylate | |
| EP3536769B1 (en) | Washing and cleaning composition comprising a polyoxyalkylene carboxylate | |
| EP3201302B1 (en) | Formulation containing biotensides | |
| EP1317522B1 (en) | Quick drying washing and cleaning agent, especially washing-up liquid | |
| CA2790683C (en) | Natural disinfecting cleaners | |
| EP2592134B1 (en) | Sustainable cleaning agents and detergents | |
| EP1564283B1 (en) | Surfactant combination | |
| DE102014225472A1 (en) | Hand dishwashing detergent with improved action against starch | |
| EP3744819A1 (en) | Composition with alkoxylated fatty acids | |
| EP4361238A1 (en) | Compositions comprising glycamines | |
| DE102009001559A1 (en) | Cleaning agent, useful for cleaning hard surfaces and for removing lime and/or rust, preferably in the bathroom and kitchen, comprises a combination of lactic acid, formic acid, phosphoric acid and citric acid, and a non-ionic surfactant | |
| WO2007118748A1 (en) | Aqueous cleaning agent | |
| WO2015120990A1 (en) | Acid cleaner for hard surfaces | |
| CH705767B1 (en) | Mild and sustainable detergents and cleaning agents. | |
| DE10248313A1 (en) | Transparent abrasive cleaning agent, especially hand dishwashing liquid | |
| EP1133547A1 (en) | Encapsulated detergent | |
| DE10162648A1 (en) | Sprayable aqueous liquid cleansing agent, e.g. for washing-up liquid or fruit/vegetable rinser, comprises alkylether sulfate, secondary alkane sulfonate and amphoteric surfactant | |
| EP3107986A1 (en) | Washing or cleaning composition having improved foaming characteristics with a high level of soiling | |
| DE102012221021A1 (en) | Detergents and cleaning agents with alkyl polypentosides | |
| DE102013224454A1 (en) | Hand dishwashing detergent with improved range | |
| GB2700681A (en) | Cleansing composition and article | |
| JP2026512629A (en) | Detergents and cleaning compositions having improved degreasing power | |
| WO2026012805A1 (en) | Detergent, corresponding method, corresponding kit and corresponding uses |
Legal Events
| Date | Code | Title | Description |
|---|---|---|---|
| PUAI | Public reference made under article 153(3) epc to a published international application that has entered the european phase |
Free format text: ORIGINAL CODE: 0009012 |
|
| STAA | Information on the status of an ep patent application or granted ep patent |
Free format text: STATUS: THE APPLICATION HAS BEEN PUBLISHED |
|
| AK | Designated contracting states |
Kind code of ref document: A1 Designated state(s): AL AT BE BG CH CY CZ DE DK EE ES FI FR GB GR HR HU IE IS IT LI LT LU LV MC MK MT NL NO PL PT RO RS SE SI SK SM TR |
|
| AX | Request for extension of the european patent |
Extension state: BA ME |
|
| STAA | Information on the status of an ep patent application or granted ep patent |
Free format text: STATUS: REQUEST FOR EXAMINATION WAS MADE |
|
| 17P | Request for examination filed |
Effective date: 20180903 |
|
| RBV | Designated contracting states (corrected) |
Designated state(s): AL AT BE BG CH CY CZ DE DK EE ES FI FR GB GR HR HU IE IS IT LI LT LU LV MC MK MT NL NO PL PT RO RS SE SI SK SM TR |
|
| GRAP | Despatch of communication of intention to grant a patent |
Free format text: ORIGINAL CODE: EPIDOSNIGR1 |
|
| STAA | Information on the status of an ep patent application or granted ep patent |
Free format text: STATUS: GRANT OF PATENT IS INTENDED |
|
| INTG | Intention to grant announced |
Effective date: 20181214 |
|
| GRAS | Grant fee paid |
Free format text: ORIGINAL CODE: EPIDOSNIGR3 |
|
| GRAA | (expected) grant |
Free format text: ORIGINAL CODE: 0009210 |
|
| STAA | Information on the status of an ep patent application or granted ep patent |
Free format text: STATUS: THE PATENT HAS BEEN GRANTED |
|
| AK | Designated contracting states |
Kind code of ref document: B1 Designated state(s): AL AT BE BG CH CY CZ DE DK EE ES FI FR GB GR HR HU IE IS IT LI LT LU LV MC MK MT NL NO PL PT RO RS SE SI SK SM TR |
|
| REG | Reference to a national code |
Ref country code: CH Ref legal event code: EP |
|
| REG | Reference to a national code |
Ref country code: DE Ref legal event code: R096 Ref document number: 502017001276 Country of ref document: DE |
|
| REG | Reference to a national code |
Ref country code: IE Ref legal event code: FG4D Free format text: LANGUAGE OF EP DOCUMENT: GERMAN |
|
| REG | Reference to a national code |
Ref country code: DK Ref legal event code: T3 Effective date: 20190807 |
|
| REG | Reference to a national code |
Ref country code: NL Ref legal event code: FP |
|
| REG | Reference to a national code |
Ref country code: LT Ref legal event code: MG4D |
|
| PG25 | Lapsed in a contracting state [announced via postgrant information from national office to epo] |
Ref country code: LT Free format text: LAPSE BECAUSE OF FAILURE TO SUBMIT A TRANSLATION OF THE DESCRIPTION OR TO PAY THE FEE WITHIN THE PRESCRIBED TIME-LIMIT Effective date: 20190515 Ref country code: FI Free format text: LAPSE BECAUSE OF FAILURE TO SUBMIT A TRANSLATION OF THE DESCRIPTION OR TO PAY THE FEE WITHIN THE PRESCRIBED TIME-LIMIT Effective date: 20190515 Ref country code: NO Free format text: LAPSE BECAUSE OF FAILURE TO SUBMIT A TRANSLATION OF THE DESCRIPTION OR TO PAY THE FEE WITHIN THE PRESCRIBED TIME-LIMIT Effective date: 20190815 Ref country code: PT Free format text: LAPSE BECAUSE OF FAILURE TO SUBMIT A TRANSLATION OF THE DESCRIPTION OR TO PAY THE FEE WITHIN THE PRESCRIBED TIME-LIMIT Effective date: 20190915 Ref country code: SE Free format text: LAPSE BECAUSE OF FAILURE TO SUBMIT A TRANSLATION OF THE DESCRIPTION OR TO PAY THE FEE WITHIN THE PRESCRIBED TIME-LIMIT Effective date: 20190515 Ref country code: AL Free format text: LAPSE BECAUSE OF FAILURE TO SUBMIT A TRANSLATION OF THE DESCRIPTION OR TO PAY THE FEE WITHIN THE PRESCRIBED TIME-LIMIT Effective date: 20190515 Ref country code: HR Free format text: LAPSE BECAUSE OF FAILURE TO SUBMIT A TRANSLATION OF THE DESCRIPTION OR TO PAY THE FEE WITHIN THE PRESCRIBED TIME-LIMIT Effective date: 20190515 Ref country code: ES Free format text: LAPSE BECAUSE OF FAILURE TO SUBMIT A TRANSLATION OF THE DESCRIPTION OR TO PAY THE FEE WITHIN THE PRESCRIBED TIME-LIMIT Effective date: 20190515 |
|
| PG25 | Lapsed in a contracting state [announced via postgrant information from national office to epo] |
Ref country code: BG Free format text: LAPSE BECAUSE OF FAILURE TO SUBMIT A TRANSLATION OF THE DESCRIPTION OR TO PAY THE FEE WITHIN THE PRESCRIBED TIME-LIMIT Effective date: 20190815 Ref country code: RS Free format text: LAPSE BECAUSE OF FAILURE TO SUBMIT A TRANSLATION OF THE DESCRIPTION OR TO PAY THE FEE WITHIN THE PRESCRIBED TIME-LIMIT Effective date: 20190515 Ref country code: LV Free format text: LAPSE BECAUSE OF FAILURE TO SUBMIT A TRANSLATION OF THE DESCRIPTION OR TO PAY THE FEE WITHIN THE PRESCRIBED TIME-LIMIT Effective date: 20190515 |
|
| PG25 | Lapsed in a contracting state [announced via postgrant information from national office to epo] |
Ref country code: CZ Free format text: LAPSE BECAUSE OF FAILURE TO SUBMIT A TRANSLATION OF THE DESCRIPTION OR TO PAY THE FEE WITHIN THE PRESCRIBED TIME-LIMIT Effective date: 20190515 Ref country code: SK Free format text: LAPSE BECAUSE OF FAILURE TO SUBMIT A TRANSLATION OF THE DESCRIPTION OR TO PAY THE FEE WITHIN THE PRESCRIBED TIME-LIMIT Effective date: 20190515 Ref country code: EE Free format text: LAPSE BECAUSE OF FAILURE TO SUBMIT A TRANSLATION OF THE DESCRIPTION OR TO PAY THE FEE WITHIN THE PRESCRIBED TIME-LIMIT Effective date: 20190515 |
|
| REG | Reference to a national code |
Ref country code: DE Ref legal event code: R097 Ref document number: 502017001276 Country of ref document: DE |
|
| PG25 | Lapsed in a contracting state [announced via postgrant information from national office to epo] |
Ref country code: SM Free format text: LAPSE BECAUSE OF FAILURE TO SUBMIT A TRANSLATION OF THE DESCRIPTION OR TO PAY THE FEE WITHIN THE PRESCRIBED TIME-LIMIT Effective date: 20190515 |
|
| PLBE | No opposition filed within time limit |
Free format text: ORIGINAL CODE: 0009261 |
|
| STAA | Information on the status of an ep patent application or granted ep patent |
Free format text: STATUS: NO OPPOSITION FILED WITHIN TIME LIMIT |
|
| PG25 | Lapsed in a contracting state [announced via postgrant information from national office to epo] |
Ref country code: TR Free format text: LAPSE BECAUSE OF FAILURE TO SUBMIT A TRANSLATION OF THE DESCRIPTION OR TO PAY THE FEE WITHIN THE PRESCRIBED TIME-LIMIT Effective date: 20190515 |
|
| 26N | No opposition filed |
Effective date: 20200218 |
|
| PG25 | Lapsed in a contracting state [announced via postgrant information from national office to epo] |
Ref country code: PL Free format text: LAPSE BECAUSE OF FAILURE TO SUBMIT A TRANSLATION OF THE DESCRIPTION OR TO PAY THE FEE WITHIN THE PRESCRIBED TIME-LIMIT Effective date: 20190515 |
|
| PG25 | Lapsed in a contracting state [announced via postgrant information from national office to epo] |
Ref country code: MC Free format text: LAPSE BECAUSE OF FAILURE TO SUBMIT A TRANSLATION OF THE DESCRIPTION OR TO PAY THE FEE WITHIN THE PRESCRIBED TIME-LIMIT Effective date: 20190515 Ref country code: SI Free format text: LAPSE BECAUSE OF FAILURE TO SUBMIT A TRANSLATION OF THE DESCRIPTION OR TO PAY THE FEE WITHIN THE PRESCRIBED TIME-LIMIT Effective date: 20190515 Ref country code: LU Free format text: LAPSE BECAUSE OF NON-PAYMENT OF DUE FEES Effective date: 20190825 |
|
| PG25 | Lapsed in a contracting state [announced via postgrant information from national office to epo] |
Ref country code: IE Free format text: LAPSE BECAUSE OF NON-PAYMENT OF DUE FEES Effective date: 20190825 |
|
| REG | Reference to a national code |
Ref country code: DE Ref legal event code: R081 Ref document number: 502017001276 Country of ref document: DE Owner name: PERFECT IDEAS GMBH, CH Free format text: FORMER OWNER: RICHLI, REMO, HERGISWIL, CH |
|
| REG | Reference to a national code |
Ref country code: CH Ref legal event code: PUE Owner name: PERFECT IDEAS GMBH, CH Free format text: FORMER OWNER: RICHLI, REMO, CH |
|
| REG | Reference to a national code |
Ref country code: NL Ref legal event code: PD Owner name: PERFECT IDEAS GMBH; CH Free format text: DETAILS ASSIGNMENT: CHANGE OF OWNER(S), ASSIGNMENT; FORMER OWNER NAME: RICHLI, REMO Effective date: 20201028 |
|
| REG | Reference to a national code |
Ref country code: GB Ref legal event code: 732E Free format text: REGISTERED BETWEEN 20201119 AND 20201125 |
|
| REG | Reference to a national code |
Ref country code: BE Ref legal event code: PD Owner name: PERFECT IDEAS GMBH; CH Free format text: DETAILS ASSIGNMENT: CHANGE OF OWNER(S), CESSION Effective date: 20201102 Ref country code: BE Ref legal event code: PD Owner name: PERFECT IDEAS GMBH; CH Free format text: DETAILS ASSIGNMENT: CHANGE OF OWNER(S), CESSION; FORMER OWNER NAME: RICHLI, REMO Effective date: 20201102 |
|
| PG25 | Lapsed in a contracting state [announced via postgrant information from national office to epo] |
Ref country code: RO Free format text: LAPSE BECAUSE OF FAILURE TO SUBMIT A TRANSLATION OF THE DESCRIPTION OR TO PAY THE FEE WITHIN THE PRESCRIBED TIME-LIMIT Effective date: 20190515 |
|
| PG25 | Lapsed in a contracting state [announced via postgrant information from national office to epo] |
Ref country code: CY Free format text: LAPSE BECAUSE OF FAILURE TO SUBMIT A TRANSLATION OF THE DESCRIPTION OR TO PAY THE FEE WITHIN THE PRESCRIBED TIME-LIMIT Effective date: 20190515 |
|
| PG25 | Lapsed in a contracting state [announced via postgrant information from national office to epo] |
Ref country code: IS Free format text: LAPSE BECAUSE OF FAILURE TO SUBMIT A TRANSLATION OF THE DESCRIPTION OR TO PAY THE FEE WITHIN THE PRESCRIBED TIME-LIMIT Effective date: 20190915 Ref country code: GR Free format text: LAPSE BECAUSE OF FAILURE TO SUBMIT A TRANSLATION OF THE DESCRIPTION OR TO PAY THE FEE WITHIN THE PRESCRIBED TIME-LIMIT Effective date: 20190515 |
|
| PG25 | Lapsed in a contracting state [announced via postgrant information from national office to epo] |
Ref country code: MT Free format text: LAPSE BECAUSE OF FAILURE TO SUBMIT A TRANSLATION OF THE DESCRIPTION OR TO PAY THE FEE WITHIN THE PRESCRIBED TIME-LIMIT Effective date: 20190515 Ref country code: HU Free format text: LAPSE BECAUSE OF FAILURE TO SUBMIT A TRANSLATION OF THE DESCRIPTION OR TO PAY THE FEE WITHIN THE PRESCRIBED TIME-LIMIT; INVALID AB INITIO Effective date: 20170825 |
|
| REG | Reference to a national code |
Ref country code: AT Ref legal event code: PC Ref document number: 1133432 Country of ref document: AT Kind code of ref document: T Owner name: PERFECT IDEAS GMBH, CH Effective date: 20210824 |
|
| PG25 | Lapsed in a contracting state [announced via postgrant information from national office to epo] |
Ref country code: MK Free format text: LAPSE BECAUSE OF FAILURE TO SUBMIT A TRANSLATION OF THE DESCRIPTION OR TO PAY THE FEE WITHIN THE PRESCRIBED TIME-LIMIT Effective date: 20190515 |
|
| PGFP | Annual fee paid to national office [announced via postgrant information from national office to epo] |
Ref country code: IT Payment date: 20240809 Year of fee payment: 8 |
|
| PGFP | Annual fee paid to national office [announced via postgrant information from national office to epo] |
Ref country code: NL Payment date: 20250822 Year of fee payment: 9 |
|
| PGFP | Annual fee paid to national office [announced via postgrant information from national office to epo] |
Ref country code: DK Payment date: 20250818 Year of fee payment: 9 Ref country code: DE Payment date: 20250820 Year of fee payment: 9 |
|
| PGFP | Annual fee paid to national office [announced via postgrant information from national office to epo] |
Ref country code: BE Payment date: 20250820 Year of fee payment: 9 Ref country code: GB Payment date: 20250818 Year of fee payment: 9 |
|
| PGFP | Annual fee paid to national office [announced via postgrant information from national office to epo] |
Ref country code: AT Payment date: 20250820 Year of fee payment: 9 Ref country code: FR Payment date: 20250818 Year of fee payment: 9 |
|
| PGFP | Annual fee paid to national office [announced via postgrant information from national office to epo] |
Ref country code: CH Payment date: 20250901 Year of fee payment: 9 |









