EP3003289B1 - Verabreichung von antibakteriellen oxazolidinon-chinolon-hybrid-mitteln - Google Patents
Verabreichung von antibakteriellen oxazolidinon-chinolon-hybrid-mitteln Download PDFInfo
- Publication number
- EP3003289B1 EP3003289B1 EP14723716.8A EP14723716A EP3003289B1 EP 3003289 B1 EP3003289 B1 EP 3003289B1 EP 14723716 A EP14723716 A EP 14723716A EP 3003289 B1 EP3003289 B1 EP 3003289B1
- Authority
- EP
- European Patent Office
- Prior art keywords
- group
- oxo
- fluoro
- oxazolidinone
- formula
- Prior art date
- Legal status (The legal status is an assumption and is not a legal conclusion. Google has not performed a legal analysis and makes no representation as to the accuracy of the status listed.)
- Active
Links
- 0 *C(CN1)OC1=O Chemical compound *C(CN1)OC1=O 0.000 description 5
Classifications
-
- C—CHEMISTRY; METALLURGY
- C07—ORGANIC CHEMISTRY
- C07F—ACYCLIC, CARBOCYCLIC OR HETEROCYCLIC COMPOUNDS CONTAINING ELEMENTS OTHER THAN CARBON, HYDROGEN, HALOGEN, OXYGEN, NITROGEN, SULFUR, SELENIUM OR TELLURIUM
- C07F9/00—Compounds containing elements of Groups 5 or 15 of the Periodic Table
- C07F9/02—Phosphorus compounds
- C07F9/547—Heterocyclic compounds, e.g. containing phosphorus as a ring hetero atom
- C07F9/6527—Heterocyclic compounds, e.g. containing phosphorus as a ring hetero atom having nitrogen and oxygen atoms as the only ring hetero atoms
- C07F9/653—Five-membered rings
-
- A—HUMAN NECESSITIES
- A61—MEDICAL OR VETERINARY SCIENCE; HYGIENE
- A61K—PREPARATIONS FOR MEDICAL, DENTAL OR TOILETRY PURPOSES
- A61K31/00—Medicinal preparations containing organic active ingredients
- A61K31/33—Heterocyclic compounds
- A61K31/395—Heterocyclic compounds having nitrogen as a ring hetero atom, e.g. guanethidine or rifamycins
- A61K31/435—Heterocyclic compounds having nitrogen as a ring hetero atom, e.g. guanethidine or rifamycins having six-membered rings with one nitrogen as the only ring hetero atom
- A61K31/4353—Heterocyclic compounds having nitrogen as a ring hetero atom, e.g. guanethidine or rifamycins having six-membered rings with one nitrogen as the only ring hetero atom ortho- or peri-condensed with heterocyclic ring systems
- A61K31/4375—Heterocyclic compounds having nitrogen as a ring hetero atom, e.g. guanethidine or rifamycins having six-membered rings with one nitrogen as the only ring hetero atom ortho- or peri-condensed with heterocyclic ring systems the heterocyclic ring system containing a six-membered ring having nitrogen as a ring heteroatom, e.g. quinolizines, naphthyridines, berberine, vincamine
-
- A—HUMAN NECESSITIES
- A61—MEDICAL OR VETERINARY SCIENCE; HYGIENE
- A61K—PREPARATIONS FOR MEDICAL, DENTAL OR TOILETRY PURPOSES
- A61K31/00—Medicinal preparations containing organic active ingredients
- A61K31/33—Heterocyclic compounds
- A61K31/395—Heterocyclic compounds having nitrogen as a ring hetero atom, e.g. guanethidine or rifamycins
- A61K31/435—Heterocyclic compounds having nitrogen as a ring hetero atom, e.g. guanethidine or rifamycins having six-membered rings with one nitrogen as the only ring hetero atom
- A61K31/47—Quinolines; Isoquinolines
- A61K31/4709—Non-condensed quinolines and containing further heterocyclic rings
-
- A—HUMAN NECESSITIES
- A61—MEDICAL OR VETERINARY SCIENCE; HYGIENE
- A61P—SPECIFIC THERAPEUTIC ACTIVITY OF CHEMICAL COMPOUNDS OR MEDICINAL PREPARATIONS
- A61P1/00—Drugs for disorders of the alimentary tract or the digestive system
-
- A—HUMAN NECESSITIES
- A61—MEDICAL OR VETERINARY SCIENCE; HYGIENE
- A61P—SPECIFIC THERAPEUTIC ACTIVITY OF CHEMICAL COMPOUNDS OR MEDICINAL PREPARATIONS
- A61P1/00—Drugs for disorders of the alimentary tract or the digestive system
- A61P1/12—Antidiarrhoeals
-
- A—HUMAN NECESSITIES
- A61—MEDICAL OR VETERINARY SCIENCE; HYGIENE
- A61P—SPECIFIC THERAPEUTIC ACTIVITY OF CHEMICAL COMPOUNDS OR MEDICINAL PREPARATIONS
- A61P31/00—Antiinfectives, i.e. antibiotics, antiseptics, chemotherapeutics
-
- A—HUMAN NECESSITIES
- A61—MEDICAL OR VETERINARY SCIENCE; HYGIENE
- A61P—SPECIFIC THERAPEUTIC ACTIVITY OF CHEMICAL COMPOUNDS OR MEDICINAL PREPARATIONS
- A61P31/00—Antiinfectives, i.e. antibiotics, antiseptics, chemotherapeutics
- A61P31/04—Antibacterial agents
-
- Y—GENERAL TAGGING OF NEW TECHNOLOGICAL DEVELOPMENTS; GENERAL TAGGING OF CROSS-SECTIONAL TECHNOLOGIES SPANNING OVER SEVERAL SECTIONS OF THE IPC; TECHNICAL SUBJECTS COVERED BY FORMER USPC CROSS-REFERENCE ART COLLECTIONS [XRACs] AND DIGESTS
- Y02—TECHNOLOGIES OR APPLICATIONS FOR MITIGATION OR ADAPTATION AGAINST CLIMATE CHANGE
- Y02A—TECHNOLOGIES FOR ADAPTATION TO CLIMATE CHANGE
- Y02A50/00—TECHNOLOGIES FOR ADAPTATION TO CLIMATE CHANGE in human health protection, e.g. against extreme weather
- Y02A50/30—Against vector-borne diseases, e.g. mosquito-borne, fly-borne, tick-borne or waterborne diseases whose impact is exacerbated by climate change
Definitions
- the present invention relates to the use of oxazolidinone-quinolone hybrids for the parenteral (especially intravenous) treatment or prophylaxis of bacterial diseases.
- the present invention relates to improved methods of administering oxazolidinone-quinolone hybrid antibacterials.
- the present invention relates to the use of oxazolidinone-quinolone hybrids for the parenteral (especially intravenous) treatment or prophylaxis of intestinal diseases which are caused by Gram-positive bacteria (e.g. S. aureus, Enterococcus spp .), especially Gram-positive anaerobes such as Clostridium spp., in particular Clostridium difficile and Clostridium perfringens (especially by Clostridium difficile ).
- Gram-positive bacteria e.g. S. aureus, Enterococcus spp .
- Gram-positive anaerobes such as Clostridium spp., in particular Clostridium difficile and Clostridium perfringens (especially by Clostridium difficile ).
- Oxazolidinone-quinolone hybrids are useful antimicrobial agents effective against a variety of human and veterinary pathogens.
- Oxazolidinone-quinolone hybrids have already been described in the prior art (e.g. in WO 02/059116 , WO 03/002560 , WO 03/031443 , WO 03/032962 , WO 2004/096221 , WO 2005/058888 , WO 2007/017828 , WO 2008/056335 , WO 2008/062379 and WO 2009/136379 ).
- Clostridium difficile a Gram-positive, spore forming, anaerobic bacillus, is a leading cause of antibiotic-associated diarrhea especially in hospitals and long-term care facilities but also in low risk persons, such as healthy persons in the community, and peripartum women.
- Clostridium difficile infections can be triggered in patients e.g. as a consequence of treatment with broad spectrum antibacterials that alter the ecological balance of the commensal intestinal flora, allowing C. difficile proliferation and toxin production as well as C. difficile spore germination.
- Symptoms of Clostridium difficile infections may vary from mild diarrhea to life-threatening clinical pictures such as fulminant colitis, pseudomembranous colitis, toxic megacolon, and death. These symptoms are mainly caused by the cytotoxic effects of C. difficile toxin A and toxin B.
- CDI Clostridum difficile infections
- Parenteral (especially intravenous) treatment or prophylaxis of CDI is preferable for the following reasons:
- linezolid is active in vitro against C difficile but inactive in an in vitro human gut model.
- the inactivity of linezolid in this model is consistent with negligibly low fecal concentrations of linezolid (0.2% of the dose are excreted via the feces).
- the present invention provides an oxazolidinone-quinolone hybrid for use in the treatment of a bacterial infection, said treatment comprising the administration of the oxazolidinone-quinolone hybrid at an infusion rate of from 0.4 to 3 (preferably from 0.4 to 1.5; especially preferably from 0.4 to 0.75) mg/(kg body weight x h), wherein the oxazolidinone-quinolone hybrid is a compound of formula (I), wherein
- the oxazolidinone-quinolone hybrid is administered over a period of from 20 min to 24 h; preferably of from 20 min to 5 h; further preferably of from 4 h to 12 h per day at the infusion rate of the present invention.
- a daily dose can e.g. be administered once or e.g. over a period of up to 5 days, or up to 10 days or even over a period of up to 6 months or more depending on the severity of the infection.
- alkyl refers to a saturated straight or branched chain hydrocarbon group, preferably containing from one to ten, especially preferably fromone to six carbon atoms, for example methyl, ethyl, propyl, isopropyl, butyl, iso-butyl, sec-butyl, tert-butyl, n-pentyl, iso-pentyl, n-hexyl, 2,2-dimethylbutyl, n-octyl or n-pentyl groups.
- Any alkyl group as defined herein may be substituted with one, two or more substituents, for example F, Cl, Br, I, NH 2 , OH, SH or NO 2 .
- alkenyl and alkynyl refer to an unsaturated straight or branched chain hydrocarbon group (having one, two or more double and/or triple bonds, an alkenyl preferably having one or two double bonds and an alkynyl preferably having one or two triple bonds), preferably containing two to ten, preferably two to six carbon atoms for example: ethenyl (vinyl), propenyl (allyl), iso-propenyl, n-pentenyl, butenyl, isoprenyl or hexa-2-enyl; ethynyl, propynyl or butynyl groups.
- Any alkenyl or alkynyl group as defined herein may be substituted with one, two or more substituents, for example F, Cl, Br, I, NH 2 , OH, SH or NO 2 .
- heteroalkyl refers to an alkyl, alkenyl or alkynyl group as defined herein wherein one or more carbon atoms are replaced by an oxygen, nitrogen, phosphorous or sulphur atom or by a SO group or by a SO 2 group, for example an alkoxy group such as methoxy, ethoxy, propoxy, iso-propoxy, butoxy or tert.-butoxy, an alkoxyalkyl group such as methoxymethyl, ethoxymethyl, 1-methoxyethyl, 1-ethoxyethyl, 2-methoxyethyl or 2-ethoxyethyl, an alkylamino group such as methylamino, ethylamino, propylamino, isopropylamino, dimethylamino or diethylamino, an alkylthio group such as methylthio, ethylthio or isopropylthio or a cyano group.
- heteroalkyl furthermore refers to a group derived from a carboxylic acid or carboxylic acid amide such as acetyl, propionyl, acetyloxy, propionyloxy, acetylamino or propionylamino, a carboxyalkyl group such as carboxymethyl, carboxyethyl or carboxypropyl, a carboxyalkyl ester, an alkylthiocarboxyamino group, an alkoxyimino group, an alkylaminothiocarboxyamino group or an alkoxycarbonylamino group. Any heteroalkyl group as defined herein may be substituted with one, two or more substituents, for example F, Cl, Br, I, NH 2 , OH, SH or NO 2 .
- substituents for example F, Cl, Br, I, NH 2 , OH, SH or NO 2 .
- C 1 -C 6 heteroalkyl refers to a heteroalkyl group containing from 1 to 6 carbon atoms and 1, 2 or 3 heteroatoms selected from O, S and/or N (especially O and/or N).
- cycloalkyl refers to a saturated or partially unsaturated (having one, two or more double and/or triple bonds) cyclic group with one, two or more rings, having three to 14 carbon ring-atoms, preferably from five or six to ten carbon ring-atoms, for example cyclopropyl, cyclobutyl, cyclopentyl, cyclohexyl, tetralin, cyclopentenyl or cyclohex-2-enyl groups.
- heterocycloalkyl refers to a cycloalkyl group as defined herein where one, two or more carbon ring-atoms are replaced by one, two or more oxygen, nitrogen, phosphorous or sulphur atoms or S(0) 1-2 groups for example piperidino, morpholino or piperazino groups.
- alkylcycloalkyl refers to groups that contain both cycloalkyl and also alkyl, alkenyl or alkynyl groups in accordance with the above definitions, for example alkylcycloalkyl, cycloalkylalkyl, alkylcycloalkenyl, alkenylcycloalkyl and alkynylcycloalkyl groups.
- An alkylcycloalkyl group preferably contains a cycloalkyl group that contains one or two rings having from 3 to 10 (especially 3, 4, 5, 6 or 7) ring carbon atoms, and one or two alkyl, alkenyl or alkynyl groups (especially alkyl groups) having 1 or 2 to 6 carbon atoms.
- heteroalkylcycloalkyl refers to alkylcycloalkyl groups as defined above in which one or more (preferably 1, 2 or 3) carbon atoms have been replaced by an oxygen, nitrogen, phosphorus or sulfur atom (preferably by an oxygen, sulfur or nitrogen atom) or a SO group or a SO 2 group.
- a heteroalkylcycloalkyl group preferably contains 1 or 2 rings having from 3 to 10 (especially 3, 4, 5, 6 or 7) ring atoms, and one or two alkyl, alkenyl, alkynyl or heteroalkyl groups (especially alkyl or heteroalkyl groups) having from 1 or 2 to 6 carbon atoms.
- Examples of such groups are alkylheterocycloalkyl, alkylheterocycloalkenyl, alkenylheterocycloalkyl, alkynylheterocycloalkyl, heteroalkylcycloalkyl, heteroalkylheterocycloalkyl and heteroalkylheterocycloalkenyl, the cyclic groups being saturated or mono-, di- or tri-unsaturated.
- aryl refers to an aromatic cyclic group with one, two or more rings, having five to 14 carbon ring-atoms preferably from five or six to ten carbon ring-atoms, for example phenyl or naphthyl groups. Any aryl group as defined herein may be substituted with one, two or more substituents, for example F, Cl, Br, I, OH, NH 2 , SH, N 3 , NO 2 , alkyl groups such as methyl or ethyl, heteroalkyl groups such as methoxy, methylamino, dimethylamino or cyanide.
- heteroaryl refers to an aromatic group that contains one or more rings containing from 5 to 14 ring atoms, preferably from 5 to 10 (especially 5 or 6 or 9 or 10) ring atoms, and contains one or more (preferably 1, 2, 3 or 4) oxygen, nitrogen, phosphorus or sulfur ring atoms (preferably O, S or N) in addition to the carbon ring atoms.
- heteroaryl refers furthermore to groups that are substituted by fluorine, chlorine, bromine or iodine atoms or by OH, SH, N 3 , NH 2 or NO 2 groups. Examples are pyridyl (e.g. 4-pyridyl), imidazolyl (e.g.
- 2-imidazolyl 2-imidazolyl
- phenylpyrrolyl e.g. 3-phenylpyrrolyl
- thiazolyl isothiazolyl, 1,2,3-triazolyl, 1,2,4-triazolyl, oxadiazolyl,thiadiazolyl, indolyl, indazolyl, tetrazolyl, pyrazinyl, pyrimidinyl, pyridazinyl, oxazolyl, isoxazolyl, triazolyl, tetrazolyl, isoxazolyl, indazolyl, indolyl, benzimidazolyl, benzoxazolyl, benzisoxazolyl, benzthiazolyl, pyridazinyl, quinolinyl, isoquinolinyl, pyrrolyl, purinyl, carbazolyl, acridinyl, pyrimidyl,
- aralkyl refers to groups that comprise both, aryl as well as alkyl, alkenyl, alkynyl and/or cycloalkyl groups.
- heteroaralkyl refers to an aralkyl group as defined herein where one, two, three or more carbon atoms are replaced by one, two, three or more oxygen, nitrogen, phosphorous or sulphur atoms or S(0) 1-2 groups, that is to say to groups containing both aryl or heteroaryl, respectively, and also alkyl, alkenyl, alkynyl and/or heteroalkyl and/or cycloalkyl and/or heterocycloalkyl groups in accordance with the above definitions.
- any alkyl, alkenyl, alkynyl, heteroalkyl, cycloalkyl, heterocycloalkyl, alkylcycloalkyl, heteroalkylcycloalkyl,aryl, heteroaryl, aralkyl or heteroarylalkyl groups as defined herein may be substituted with one or more halogen atoms, NH 2 , SH, NO 2 or OH groups or unsubstituted alkyl, heteroalkyl, aryl, aralkyl, aralkyloxy, heteroaryl, cycloalkyl or heterocycloalkyl groups as defined herein.
- substituents are F, Cl, OH and NH 2 .
- antibacterial agent(s), antibacterial(s), antimicrobial(s), antimicrobial agent(s) and antibacterial compound(s) preferably have the same meaning.
- oxazolidinone-quinolone hybrid preferably refers to oxazolidinone-quinolone hybrid antibacterials.
- R 3 is an ethyl, a 2-propyl, a C 3 -C 6 cycloalkyl (i.e. cyclopropyl, cyclobutyl, cyclopentyl or cyclohexyl), a phenyl or a pyridyl group. All these groups may be substituted with one, two, three or more fluorine atoms or amino groups.
- R 4 is a hydrogen atom or a group of formula SO 3 H, PO 3 H 2 , CH 2 OPO 3 H 2 or COCH 2 CH 2 COOH.
- R 4 is an ester of a naturally occurring amino acid or a derivative thereof (preferably a group of formula -COCHR'NH 2 or a derivative like an ester, amide or alkylamine thereof, wherein R' is the side chain of a naturally occurring amino acid like aspartic acid, glutaric acid, lysine, etc; e.g. dimethyl aminoglycine OCOCH 2 N(CH 3 ) 2 ).
- R 4 is a hydrogen atom or a group of formula PO 3 H 2 .
- R 4 is a group of formula PO 3 H 2 or salts thereof (especially a sodium salt).
- R 8 is a C 1-6 alkyl or a C 1-6 heteroalkyl group.
- R 8 is a group of the formula -CH 2 NHCOMe or -CH 2 OH.
- R 7 is H, F, Cl or a methoxy group that may be substituted by one, two or three fluorine atoms.
- n 1 or 2; especially preferably 2.
- A is C 1-6 alkylene, C 2-6 alkenylene, C 2-6 alkynylene, C 1-6 heteroalkylene, cyclopropylene, epoxide, aziridine, thioepoxide, lactame or lactone, all of which groups may be subsitituted.
- A is a group of formula -OCH 2 -, wherein the oxygen atom is bound to the aromatic ring comprising group Y.
- A is a group of Formula -O-B-, wherein B is a C 1-4 alkylene group, a C 2-4 alkenylene group, a C 2-4 alkynylene group or a C 1-4 heteroalkylene group, all of which groups may be substituted by one, two or more hydroxy or amino groups.
- the oxygen atom is bound to the aromatic ring comprising Y and B is bound to the heterocycloalkylgroup at the carbon atom carrying group -O-R 4 .
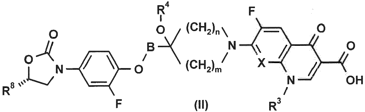
- the oxazolidinone-quinolone hybrid is a compound of formula (II) wherein R 3 , R 4 , R 8 , X, B, n and m are defined as above or a pharmacologically acceptable salt, solvate, hydrate or formulation thereof.
- B is CH 2 ;
- X is CH, N or C-OMe and R 3 is cyclopropyl or X is CR 7 and R 7 and R 3 together form a bridge of the formula -O-CH 2 -CH(Me)-, wherein the preferred stereochemistry at the chiral center is the one giving the (S) configuration in the final compound, n is 1, 2 or 3 (especially 1 or 2), m is 1, 2 or 3 (especially 2), R 4 is a hydrogen atom or a group of formula PO 3 H 2 and R 8 is a group of the formula -CH 2 NHCOMe or -CH 2 OH or a pharmacologically acceptable salt, solvate, hydrate or formulation thereof.
- oxazolidinone-quinolone hybrid is a compound of formula (III): wherein X is N or CH (especially preferably CH) and R 4 is a hydrogen atom or a group of formula PO 3 H 2 or a pharmacologically acceptable salt, solvate, hydrate or formulation thereof.
- the mono, di or tri sodium salts are particularly preferred.
- the mono, di or tri sodium salts are particularly preferred.
- the mono, di or tri sodium salts are particularly preferred.
- the mono sodium salts are of compounds of formula (I), (II) or (III), wherein R 4 is PO 3 H 2 or mixtures thereof.
- oxazolidinone-quinolone hybrid is selected from the following compounds:
- oxazolidinone-quinolone hybrid is selected from the following compounds:
- the oxazolidinone-quinolone hybrid is the sodium salt of 7-(4- ⁇ 4-[(5S)-5-(acetylamino-methyl)-2-oxo-oxazolidin-3-yl]-2-fluoro-phenoxymethyl ⁇ -4-phosphonooxy-piperidin-1-yl)-1-cyclopropyl-6-fluoro-4-oxo-1,4-dihydroquinoline-3-carboxylic acid.
- the present invention provides a method for administering an oxazolidinone-quinolone hybrid, comprising administering to a patient in need thereof the oxazolidinone-quinolone hybrid at an infusion rate of from 0.4 to 3.0 (preferably from 0.4 to 1.5; especially preferably from 0.4 to 0.75) mg/(kg body weight x h), wherein the oxazolidinone-quinolone hybrid is: 7-(4- ⁇ 4-[(5S)-5-(acetylamino-methyl)-2-oxo-oxazolidin-3-yl]-2-fluoro-phenoxymethyl ⁇ -4-phosphonooxy-piperidin-1-yl)-1-cyclopropyl-6-fluoro-4-oxo-1,4-dihydro-quinoline-3-carboxylic acid: or a salt thereof, such as e.g.: the sodium salt of 7-(4- ⁇ 4-[(5S)-5-(acetylamino
- the present invention provides a method for the use of an oxazolidinone-quinolone hybrid for the manufacture of a medicament for treating a bacterial infection in a patient in need thereof wherein the oxazolidinone-quinolone hybrid is administered at an infusion rate of from 0.4 to 3.0 (preferably from 0.4 to 1.5; especially preferably from 0.4 to 0.75) mg/(kg body weight x h), wherein the oxazolidinone-quinolone hybrid is:
- the present invention provides an oxazolidinone-quinolone hybrid for use in the treatment of a bacterial infection, said treatment comprising the administration of the oxazolidinone-quinolone hybrid at an infusion rate of from 0.4 to 3 (preferably from 0.4 to 1.5; especially preferably from 0.4 to 0.75) mg/(kg body weight x h), wherein the oxazolidinone-quinolone hybrid is:
- an infusion rate from 0.4 to 0.75 mg/(kg BW x h) is especially preferred.
- the infusion rates of the present invention may be used for patients in clinical applications and in veterinary applications.
- the infusion rates (mg/(kg BW x h)) of the oxazolidinone-quinolone hybrids of the present invention are safe and efficacious in clinical or veterinary applications.
- the infusion rate of the present invention is 0.5 mg/(kg BW x h).
- the methods of the instant invention may also be practiced while concurrently administering one or more antibiotics other than an oxazolidinone-quinolone hybrid antibacterial.
- the methods of the present invention are especially useful for the treatment of bacterial infections caused by gram-positive bacteria.
- the present invention provides compounds of formula (I), wherein
- R 3 , R 4 , R 8 , X, B, n and m are defined as above or a pharmacologically acceptable salt, solvate, hydrate or formulation thereof, for use in the parenteral (especially intravenous) treatment or prophylaxis of intestinal diseases caused by Gram-positive bacteria.
- B is CH 2 ;
- X is CH, N or C-OMe and R 3 is cyclopropyl or X is CR 7 and R 7 and R 3 together form a bridge of the formula -O-CH 2 -CH(Me)-, wherein the preferred stereochemistry at the chiral center is the one giving the (S) configuration in the final compound, n is 1, 2 or 3 (especially 1 or 2), m is 1, 2 or 3 (especially 2), R 4 is a hydrogen atom or a group of formula PO 3 H 2 and R 8 is a group of the formula -CH 2 NHCOMe or -CH 2 OH or a pharmacologically acceptable salt, solvate, hydrate or formulation thereof.
- the mono, di or tri sodium salts are particularly preferred.
- the mono, di or tri sodium salts are particularly preferred.
- the mono, di or tri sodium salts are particularly preferred the mono sodium salts of compounds of formula (I), (II) or (III), wherein R 4 is PO 3 H 2 or mixtures thereof, for use in the parenteral (especially intravenous) treatment or prophylaxis of intestinal diseases caused by Gram-positive bacteria.
- compositions of the present invention contain an oxazolidinone-quinolone hybrid (e.g. a compound of Formula (I), (II) or (III)) as the active agent and optionally carriers and/or diluents and/or adjuvants.
- an oxazolidinone-quinolone hybrid e.g. a compound of Formula (I), (II) or (III)
- the pharmaceutical compositions according to the present invention may also contain additional known antibiotics.
- the compounds and pharmaceutical compositions disclosed herein can be used for the parenteral (especially intravenous) treatment or prophylaxis of bacterial diseases, especially for the parenteral (especially intravenous) treatment or prophylaxis of intestinal diseases which are caused by Gram-positive bacteria (e.g. S. aureus, Enterococcus spp. ), especially Gram-positive anaerobes such as Clostridium spp., in particular Clostridium difficile, Clostridium perfringens (especially by Clostridium difficile ).
- Gram-positive bacteria e.g. S. aureus, Enterococcus spp.
- Gram-positive anaerobes such as Clostridium spp., in particular Clostridium difficile, Clostridium perfringens (especially by Clostridium difficile ).
- Gram-positive bacteria e.g. S. aureus, Enterococcus spp .
- Gram-positive anaerobes such as Clostridium spp., in particular Clostridium difficile, Clostridium perfringens (especially by Clostridium difficile ).
- Gram-positive bacteria e.g. S. aureus, Enterococcus spp.
- Gram-positive anaerobes such as Clostridium spp., in particular Clostridium difficile, Clostridium perfringens (especially by Clostridium difficile )
- the intestinal diseases intended to be prevented or treated according to the present invention comprise e.g. diarrhea, colitis and pseudomembranous colitis.
- Said intestinal diseases can e.g. be caused by Clostridium difficile (and especially by a toxin producing strain of Clostridium difficile ).
- the compounds and pharmaceutical compositions disclosed herein can be used for the parenteral (especially intravenous) treatment or prophylaxis of severe or complicated cases of bacterial diseases (especially Clostridium difficile associated diseases) such as ileus, toxic megacolon, fulminant colitis, colonic perforation or need for colectomy.
- bacterial diseases especially Clostridium difficile associated diseases
- the compounds and pharmaceutical compositions disclosed herein can be used for the parenteral (especially intravenous) treatment or prophylaxis of recurrent cases of bacterial diseases (especially Clostridium difficile associated diseases such as Clostridium difficile associated diarrhea).
- the present invention also relates to pharmacologically acceptable salts, or solvates and hydrates, respectively, and to compositions and formulations of compounds of Formula (I), (II) or (III). Moreover, the present invention also relates to the use of pharmacologically acceptable salts, or solvates and hydrates, respectively, and to compositions and formulations of oxazolidinone-quinolone hybrids (e.g. compounds of Formula (I), (II) or (III)).
- Examples of pharmacologically acceptable salts of sufficiently basic compounds of Formula (I), (II) or (III) are salts of physiologically acceptable mineral acids like hydrochloric, hydrobromic, sulfuric and phosphoric acid; or salts of organic acids like methanesulfonic, p-toluenesulfonic, lactic, acetic, trifluoroacetic, citric, succinic, fumaric, maleic and salicylic acid.
- a sufficiently acidic compound of Formula (I), (II) or (III) may form alkali or earth alkaline metal salts, for example sodium, potassium, lithium, calcium or magnesium salts; ammonium salts; or organic base salts, for example methylamine, dimethylamine, trimethylamine, triethylamine, ethylenediamine, ethanolamine, choline hydroxide, meglumin, piperidine, morpholine, tris-(2-hydroxyethyl)amine, lysine or arginine salts.
- alkali or earth alkaline metal salts for example sodium, potassium, lithium, calcium or magnesium salts
- ammonium salts or organic base salts, for example methylamine, dimethylamine, trimethylamine, triethylamine, ethylenediamine, ethanolamine, choline hydroxide, meglumin, piperidine, morpholine, tris-(2-hydroxyethyl)amine, lysine or arginine salts.
- Compounds of Formula (I), (II) or (III) may be solvated, especially hydrated.
- the hydratisation can occur during the process of production or as a consequence of the hygroscopic nature of the initially water free compounds of Formula (I), (II) or (III).
- therapeutically useful agents that contain compounds of Formula (I), (II) or (III), their solvates, salts or formulations are also comprised in the scope of the present invention.
- the oxazolidinone-quinolone hybrids e.g. compounds of Formula (I), (II) or (III)
- the oxazolidinone-quinolone hybrids e.g. compounds of Formula (I), (II) or (III)
- emulsions or suspensions one may use as excipients e.g. water, alcohols, aqueous saline, aqueous dextrose, polyols, glycerin, lipids, phospholipids, cyclodextrins, vegetable, petroleum, animal or synthetic oils.
- excipients e.g. water, alcohols, aqueous saline, aqueous dextrose, polyols, glycerin, lipids, phospholipids, cyclodextrins, vegetable, petroleum, animal or synthetic oils.
- lipids and more preferred are phospholipids (preferred of natural origin; especially preferred with a particle size between 300 to 350 nm) preferred in phosphate buffered saline (pH 7 to 8, preferred 7.4).
- Compound 1 can be easily formulated, using lyophilisation.
- Compound 1 can e.g. be formulated together with sorbitol and sodium hydroxide and lyophilised in glass vials.
- the lyophilisate can be easily reconstituted by addition of water for injection and gentle shaking to form a yellow, sterile solution ready for intravenous injection.
- compositions of the present invention may also contain additives for conservation and/or stabilisation, e.g. UV stabilizers, emulsifiers, salts to change the osmotic pressure, buffers and antioxidants.
- additives for conservation and/or stabilisation e.g. UV stabilizers, emulsifiers, salts to change the osmotic pressure, buffers and antioxidants.
- Compound 2 shows the following activities against several bacterial strains. MIC testing was done according to CLSI (formerly NCCLS) guidelines: Performance Standards for Antimicrobial Susceptibility Testing 11th Informational Supplement, Vol. 21 No 1, M100-S11, Jan. 2001 . NCCLS. Revised edition: 17th Informational Supplement, Vol. 27 No 1, M100-S16, Jan. 2007 .
- Bacterial strains MIC (mg/l) Staphylococcus aureus ATCC 29213 0,5 Staphylococcus aureus ATCC 33593 0,25 Staphylococcus aureus ATCC 43300 0,5 Staphylococcus aureus Visa Mu 50 0,5 Staphylococcus aureus NRS 120 2 Streptococcus pneumoniae ATCC 33400 0,03 Enterococcus faecalis ATCC 29212 0,25 Enterococcus faecalis ATCC 51299 0,25
- Compound 1 has been administered to animals of different species (among them mice and rats) by intravenous (iv.) bolus injection.
- the duration of this bolus injection had been set to 2 minutes to ensure that the exposure to the Prodrug (Compound 1) as well as to the Drug (Compound 2) is as high as possible for a given dose.
- the maximum plasma concentration (Cmax) of the Prodrug (Compound 1) has been observed at the end of the bolus injection.
- the Drug (Compound 2) is very rapidly generated from the Prodrug (Compound 1): In all studies Cmax of the Drug (Compound 2) was observed at the very first sampling time (i.e. ⁇ 5min after the end of the iv. bolus injection).
- BW body weight
- the exposure to the Drug (Compound 2) was much higher after the 20-min infusion (infusion rate 9 mg/(kg BW x h)) than after bolus administration of 3.0 mg/kg BW, i.e. 149% and 130% for the area under the curve (AUC) and the maximum concentration (Cmax), respectively (see table 1).
- the dose-normalized exposure data of the Drug (Compound 2) are even higher than those measured following the dose of 3 mg/kg BW regardless if administered as iv. bolus or 20 min infusion (see table 1).
- Table 1 Mean exposure data of the Drug (Compound 2) after intravenous administration of 3.0 mg/kg BW Prodrug (Compound 1) as bolus, or after 20 min infusions of 3.0 or 1.5 mg/kg BW at an infusion rate of 9.0 and 4.5 mg/(kg BW x h), respectively.
- a dose of 1.5 mg/kg BW infused at a rate of 4.5 mg/(kg BW x h) resulted in a similar exposure compared to a dose of 3.0 mg/kg BW infused at a rate of 9.0 mg/(kg BW x h).
- Prodrug (Compound 1) was administered to 30 healthy Caucasian male volunteers at infusion rates ranging between 0.4 and 3.0 mg/(kg BW x h). This range of infusion rates has been realised by combining different doses (1 - 6 mg/kg BW) with different durations of infusion (20 - 720 min).
- the ratio of the AUC-values of the Drug vs. the Prodrug (Compound 2/Compound 1) was used as a measure of the conversion efficacy.
- the infusion rates of the respective Cohort and the resulting ratios are given in table 2; the higher the ratio, the more efficient the conversion of the Prodrug (Compound 1) into the Drug (Compound 2).
- Table 2 Infusion rates applied to the Cohorts of volunteers and resulting AUC ratios Compound 2/Compound 1 Infusion Rate [mg/(kg BW•h)] Mean ratio Cohort 1 3.00 0.65 1.50 0.72 0.75 0.86 Cohort 2 1.50 0.75 0.75 0.83 0.40 0.62 Cohort 3 0.50 0.65 0.50 0.60 0.50 0.63
- the mean ratios of AUC Compound 2/Compound 1 ranged between 0.86 and 0.60. It has been observed that the ratios were similar at identical infusion rates even if the doses administered are different.
- an infusion rate between 0.4 and 0.75 mg/(kg BW x h) is especially preferred.
- Clostridium difficile strains were collected from 67 patients and analyzed for the presence of C. difficile toxin B by the cell cytotoxicity neutralization assay, genes for toxin A, toxin B, binary toxin and TcdC deletion by PCR. All strains were also PCR-ribotyped. The MICs of the isolates were determined against Compound 2 by the agar dilution method. All isolates were positive for toxin B. One hundred thirteen isolates were positive for toxin A and B genes. In addition, 13 isolates were positive for the binary toxin genes. Thirty-two different ribotypes were identified. No strain of ribotype 027 was found. All 114 isolates were sensitive to Compound 2 (MIC range 0.008-0.5 mg/l). Accordingly, Compound 2 has a potent in vitro activity against C. difficile.
- C. difficile strains were selected from 67 patients (26 males and 41 females) with primary and/or recurrent CDI.
- the mean age of the patients was 74 years (age range 19-97 years).
- the strains (67 primary and 47 recurrent isolates) were identified by characteristic colony morphology, typical smell and Gram staining. Gas chromatography was used to detect volatile, short chain fatty acids production by the C. difficile strains for the final identification.
- toxin B was determined by the cell cytotoxicity neutralization assay.
- the gene for toxin A was detected by conventional PCR [ Kato H, Kato N, Watanabe K, Iwai N, Nakamura H, Yamamoto T, et al. Identification of toxin A-negative, toxin B-positive Clostridium difficile by PCR. J Clin Microbiol 1998;36:2178-82 ].
- the genes for toxin B, the binary toxin and TcdC deletion were detected by real time PCR using the GeneXpert® System (Cepheid, Sunnyvale, CA, USA) assay [ Huang H, Weintraub A, Fang H, Nord CE. Comparison of a commercial multiplex real-time PCR to the cell cytotoxicity neutralization assay for diagnosis of Clostridium difficile infections. J Clin Microbiol 2009;47:3729-31 ].
- PCR ribotyping and electrophoresis of the gels were performed with a method described previously [ Stubbs SL, Brazier JS, O'Neill GL, Duerden BI. PCR targeted to the 16S-23S rRNA gene intergenic spacer region of Clostridium difficile and construction of a library consisting of 116 different PCR ribotypes. J Clin Microbiol 1999;37:461-3 ; Rashid MU, Lozano HM, Weintraub A, Nord CE. In vitro activity of cadazolid against Clostridium difficile strains isolated from primary and recurrent infections in Sweden. Anaerobe 2013;20:32-5 ]. The gels were scanned and analyzed by Bionumerics software version 6.6.
- the antimicrobial susceptibility of the C. difficile strains was determined according to CLSI guidelines by the agar dilution method using Bacteroides fragilis ATCC 25285 and C. difficile ATCC 700057 as reference strains [CLSI. Methods for Antimicrobial Susceptibility Testing of Anaerobic Bacteria; Approved Standard-Eighth Edition. 2012 ].
- Compound 2 was prepared as described in WO 2005/058888 .
- MIC was defined as the lowest concentration of the drug that inhibited growth completely.
- MIC 50/90 corresponds to the concentrations that inhibit the growth of 50% and 90% of the strains tested, respectively.
- the 114 strains were positive for toxin B by cell cytotoxicity neutralization assay. One hundred thirteen strains were positive for the genes of both toxin A and B. In addition, 13 strains were positive for the binary toxin genes. All strains were negative for TcdC deletion.
- the antimicrobial susceptibility patterns are shown in Table 2. All strains were sensitive to Compound 2 with MIC 90 values of 0.064 mg/l. None of the 114 C . difficile strains were resistant against Compound 2. Table 2: Minimum inhibitory concentrations of 114 C. difficile strains against Compound 2. MIC 50 (mg/l) MIC 90 (mg/l) Range (mg/l) 0.032 0.064 0.008-0.5
Landscapes
- Health & Medical Sciences (AREA)
- Chemical & Material Sciences (AREA)
- Life Sciences & Earth Sciences (AREA)
- General Health & Medical Sciences (AREA)
- Veterinary Medicine (AREA)
- Public Health (AREA)
- Medicinal Chemistry (AREA)
- Animal Behavior & Ethology (AREA)
- Pharmacology & Pharmacy (AREA)
- Organic Chemistry (AREA)
- General Chemical & Material Sciences (AREA)
- Nuclear Medicine, Radiotherapy & Molecular Imaging (AREA)
- Chemical Kinetics & Catalysis (AREA)
- Epidemiology (AREA)
- Oncology (AREA)
- Communicable Diseases (AREA)
- Engineering & Computer Science (AREA)
- Bioinformatics & Cheminformatics (AREA)
- Biochemistry (AREA)
- Molecular Biology (AREA)
- Pharmaceuticals Containing Other Organic And Inorganic Compounds (AREA)
- Dermatology (AREA)
Claims (15)
- Oxazolidinon-Chinolon-Hybrid zur Verwendung bei der Behandlung einer bakteriellen Infektion, wobei die Behandlung die Verabreichung des Oxazolidinon-Chinolon-Hybrids mit einer Infusionsgeschwindigkeit von 0,4 bis 3 mg/(kg Körpergewicht x h) umfasst,
wobei das Oxazolidinon-Chinolon-Hybrid eine Verbindung der Formel (I) ist, wobeiA eine Alkylengruppe, eine Alkenylengruppe, eine Alkinylengruppe, eine Heteroalkylengruppe, eine Cycloalkylengruppe, eine Heterocycloalkylengruppe, eine Arylengruppe oder eine Heteroarylengruppe ist, wobei alle diese Gruppen substituiert sein können;X CR7 oder N ist;Y CR6 oder N ist;n 1, 2 oder 3 ist;m 1, 2 oder 3 ist;R1 H, F, Cl, Br, I, OH, NH2, eine Alkylgruppe oder eine Heteroalkylgruppe ist;R2 H, F oder Cl ist;R3 H, eine Alkylgruppe, eine Alkenylgruppe, eine Alkinylgruppe, eine Heteroalkylgruppe, eine Cycloalkylgruppe, eine Heterocycloalkylgruppe, eine Alkylcycloalkylgruppe, eine Heteroalkylcycloalkylgruppe, eine Arylgruppe, eine Heteroarylgruppe, eine Alkylarylgruppe oder eine Heteroarylalkylgruppe ist; wobei alle diese Gruppen mit einem, zwei oder mehr Halogenatomen wie F oder Cl oder Aminogruppen substituiert sein können;R4 eine Gruppe der Formel PO3H2 ist;R6 H, F, Cl oder OMe ist;R7 H, F, Cl, OH, NH2, eine substituierte oder unsubstituierte Alkylgruppe oder eine substituierte oder unsubstituierte Heteroalkylgruppe ist, oderR3 und R7 über eine Alkylen-, Alkenylen- oder Heteroalkylengruppe verbunden sein oder Teil einer Cycloalkylen- oder Heterocycloalkylengruppe sein können; in dem Fall, dass R3 kein H ist und R7 kein H, F, OH, NH2 oder Cl ist; undR8 eine C1-6-Alkyl-, eine C1-6-Heteroalkyl- oder eine Heteroaralkylgruppe ist, die alle gegebenenfalls substituiert sein können;oder ein pharmakologisch akzeptables Salz, Solvat, Hydrat oder eine Formulierung davon. - Oxazolidinon-Chinolon-Hybrid zur Verwendung nach Anspruch 1, wobei das Oxazolidinon-Chinolon-Hybrid eine Verbindung der Formel (II) ist
wobei B CH2 ist; X CH, N oder C-OMe ist und R3 Cyclopropyl ist oder X CR7 ist und R7 und R3 zusammen eine Brücke der Formel - O-CH2-CH(Me)- bilden, wobei die bevorzugte Stereochemie am chiralen Zentrum die ist, dass die Konfiguration in der Endverbindung (S) ist, n 1, 2 oder 3 (insbesondere 1 oder 2) ist, m 1, 2 oder 3 (insbesondere 2) ist, R4 eine Gruppe der Formel PO3H2 ist und R8 eine Gruppe der Formel -CH2NHCOMe oder - CH2OH ist, oder ein pharmakologisch akzeptables Salz, Solvat, Hydrat oder eine Formulierung davon. - Oxazolidinon-Chinolon-Hybrid zur Verwendung nach Anspruch 1, wobei das Oxazolidinon-Chinolon-Hybrid ist:7-(4-{4-[(5S)-5-(Acetylamino-methyl)-2-oxooxazolidin-3-yl]-2-fluorphenoxymethyl}-4-phosphonooxypiperidin-1-yl)-1-Cyclopropyl-6-fluor-4-oxo-1,4-dihydrochinolin-3-carbonsäure:oder ein Salz davon, wie beispielsweise: das Natriumsalz von 7-(4-{4-[(5S)-5-(Acetylamino-methyl)-2-oxo-oxazolidin-3-yl]-2-fluorphenoxymethyl}-4-Phosphonooxypiperidin-1-yl)-1-cyclopropyl-6-fluor-4-oxo-1,4-dihydrochinolin-3-carbonsäure.
- Oxazolidinon-Chinolon-Hybrid zur Verwendung nach einem der Ansprüche 1 bis 3, wobei das Oxazolidinon-Chinolon-Hybrid über einen Zeitraum von 20 Minuten bis 24 Stunden pro Tag, vorzugsweise über einen Zeitraum von 20 Minuten bis 5 Stunden pro Tag oder über einen Zeitraum von 4 h bis 12 h pro Tag verabreicht wird.
- Oxazolidinon-Chinolon-Hybrid zur Verwendung nach einem der Ansprüche 1 bis 4, wobei die Infusionsrate 0,4 bis 1,5 mg/(kg Körpergewicht x h), vorzugsweise 0,4 bis 0,75 mg/(kg Körpergewicht x h) beträgt.
- Oxazolidinon-Chinolon-Hybrid zur Verwendung nach einem der Ansprüche 1 bis 5, wobei ein anderes Antibiotikum als ein Oxazolidinon-Chinolon-Hybrid zusammen mit dem Oxazolidinon-Chinolon-Hybrid verabreicht wird.
- Oxazolidinon-Chinolon-Hybrid zur Verwendung bei der Behandlung einer bakteriellen Infektion, wobei die Behandlung die Verabreichung des Oxazolidinon-Chinolon-Hybrids bei einer Infusionsgeschwindigkeit von 0,4 bis 3 mg/(kg Körpergewicht x h) umfasst, wobei das Oxazolidinon-Chinolon-Hybrid ist:7-(4-{4-[(5S)-5-(Acetylamino-methyl)-2-oxooxazolidin-3-yl]-2-fluorphenoxymethyl}-4-phosphonooxypiperidin-1-yl)-1-cyclopropyl-6-fluor-4-oxo-1,4-dihydrochinolin-3-carbonsäure:oder ein Salz davon, wie beispielsweise: das Natriumsalz von 7-(4-{4-[(5S)-5-(Acetylamino-methyl)-2-oxo-oxazolidin-3-yl]-2-fluorphenoxymethyl}-4-Phosphonooxypiperidin-1-yl)-1-cyclopropyl-6-fluor-4-oxo-1,4-dihydrochinolin-3-carbonsäure.
- Pharmazeutische Zusammensetzung, umfassend ein Oxazolidinon-Chinolon-Hybrid zur Verwendung nach einem der Ansprüche 1 bis 7 und gegebenenfalls Träger und/oder Verdünnungsmittel und/oder Adjuvantien.
- Verbindung der Formel (I)
wobeiA eine Alkylengruppe, eine Alkenylengruppe, eine Alkinylengruppe, eine Heteroalkylengruppe, eine Cycloalkylengruppe, eine Heterocycloalkylengruppe, eine Arylengruppe oder eine Heteroarylengruppe ist, wobei alle diese Gruppen substituiert sein können;X CR7 oder N ist;Y CR6 oder N ist;n 1, 2 oder 3 ist;m 1, 2 oder 3 ist;R1 H, F, Cl, Br, I, OH, NH2, eine Alkylgruppe oder eine Heteroalkylgruppe ist;R2 H, F oder Cl ist;R3 H, eine Alkylgruppe, eine Alkenylgruppe, eine Alkinylgruppe, eine Heteroalkylgruppe, eine Cycloalkylgruppe, eine Heterocycloalkylgruppe, eine Alkylcycloalkylgruppe, eine Heteroalkylcycloalkylgruppe, eine Arylgruppe, eine Heteroarylgruppe, eine Alkylarylgruppe oder eine Heteroarylalkylgruppe ist; wobei alle diese Gruppen mit einem, zwei oder mehreren Halogenatomen oder Aminogruppen substituiert sein können;R4 ein Wasserstoffatom, eine Gruppe der Formel PO3R9 2 oder SO3R10 oder eine Heteroalkylgruppe ist, die mindestens eine OH-, NH2-, SO3R10-, PO3R9 2- oder COOH-Gruppe oder einen Ester einer natürlich vorkommenden Aminosäure trägt, wobei die Gruppen R9 unabhängig voneinander H, Alkyl, Cycloalkyl, Aryl oder Aralkyl sind und wobei R10 H, Alkyl, Cycloalkyl, Aryl oder Aralkyl ist;R6 H, F, Cl oder OMe ist;R7 H, F, Cl, OH, NH2, eine substituierte oder unsubstituierte Alkylgruppe oder eine substituierte oder unsubstituierte Heteroalkylgruppe ist, oderR3 und R7 über eine Alkylen-, eine Alkenylen- oder eine Heteroalkylengruppe verbunden sein oder Teil einer Cycloalkylen- oder Heterocycloalkylengruppe sein können; in dem Fall, dass R3 kein H ist und R7 kein H, F, OH, NH2 oder Cl ist; undR8 eine C1-6-Alkyl-, eine C1-6-Heteroalkyl-, eine Heteroarylalkyl-, eine Heteroalkylaryl- oder eine Heteroalkylheteroarylgruppe ist, die alle gegebenenfalls substituiert sein können;oder ein pharmakologisch akzeptables Salz, Solvat, Hydrat oder eine Formulierung davon,zur Verwendung bei der parenteralen (insbesondere intravenösen) Behandlung oder Prophylaxe von durch grampositive Bakterien verursachten Darmerkrankungen. - Verbindung zur Verwendung nach Anspruch 9, wobei R1 H ist, R2 F oder H ist und R3 eine Cyclopropylgruppe ist und wobei X CH, N oder C-OMe ist und wobei m 2 ist und wobei R4 ein Wasserstoffatom oder eine Gruppe der Formel PO3H2 ist und wobei R5 die folgende Struktur hat:
undwobei R8 eine Gruppe der
Formel -CH2NHCOCH=CHAryl, -CH2OHeteroaryl, -CH2NHSO2Me, -CH2NHCOOMe, -CH2NHCOMe, -CH2NHCS2Me, -CH2NHCSMe, -CH2NHCSNH2, -CH2NHCSOMe, -CH2OH oder -NHCOMe ist, und wobei Y CH ist und wobei A eine Gruppe der Formel -OCH2-ist. - Mono-, Di- oder Trinatriumsalz einer Verbindung der Formel (I) nach einem der Ansprüche 9 bis 10 oder Mischungen davon, insbesondere ein Mono-, Di- oder Trinatriumsalz einer Verbindung der Formel (I), wobei R4 OPO3H2 oder Mischungen davon ist, zur Verwendung bei der parenteralen (insbesondere intravenösen) Behandlung oder Prophylaxe von durch grampositive Bakterien verursachten Darmerkrankungen.
- Verbindung nach Anspruch 9, ausgewählt aus den folgenden Verbindungen:7-(4-{4-[(5S)-5-(Acetylamino-methyl)-2-oxooxazolidin-3-yl]-2-fluorphenoxymethyl}-4-hydroxypiperidin-1-yl)-1-cyclopropyl-6-fluor-4-oxo-1,4-dihydrochinolin-3-carbonsäure:
und7-(4-{4-[(5S)-5-(Acetylamino-methyl)-2-oxooxazolidin-3-yl]-2-fluorphenoxymethyl}-4-phosphonooxypiperidin-1-yl)-1-cyclopropyl-6-fluor-4-oxo-1,4-dihydrochinolin-3-carbonsäure:oder ein Salz davon, wie beispielsweise: das Natriumsalz von 7-(4-{4-[(5S)-5-(Acetylamino-methyl)-2-oxo-oxazolidin-3-yl]-2-fluorphenoxymethyl}-4-phosphonooxypiperidin-1-yl)-1-cyclopropyl-6-fluor-4-oxo-1,4-dihydrochinolin-3-carbonsäure zur Verwendung bei der parenteralen (insbesondere intravenösen) Behandlung oder Prophylaxe von durch grampositive Bakterien verursachten Darmerkrankungen. - Pharmazeutische Zusammensetzungen, enthaltend eine Verbindung nach einem der Ansprüche 9 bis 12 und gegebenenfalls Träger und/oder Hilfsstoffe und/oder Verdünnungsmittel zur Verwendung bei der parenteralen (insbesondere intravenösen) Behandlung oder Prophylaxe von durch grampositive Bakterien verursachten Darmkrankheiten.
- Verbindung zur Verwendung nach einem der Ansprüche 9 bis 12 oder eine pharmazeutischen Zusammensetzung zur Verwendung gemäß Anspruch 13 zur Verwendung bei der parenteralen (insbesondere intravenösen) Behandlung oder Prophylaxe einer durch Clostridium difficile verursachten Krankheit.
- Oxazolidinon-Chinolon-Hybrid zur Verwendung nach einem der Ansprüche 1 bis 7, wobei die bakterielle Infektion durch Clostridium difficile verursacht wird.
Priority Applications (7)
| Application Number | Priority Date | Filing Date | Title |
|---|---|---|---|
| HRP20190977TT HRP20190977T1 (hr) | 2013-05-28 | 2014-05-09 | Primjena hibridnih antibakterijskih oksazolidinon-kinolona |
| PL14723716T PL3003289T3 (pl) | 2013-05-28 | 2014-05-09 | Podawanie hybrydowych środków przeciwbakteryjnych oksazolidynon-chinolon |
| EP19157832.7A EP3517106A1 (de) | 2013-05-28 | 2014-05-09 | Antibakterielle oxazolidinon-chinolon-hybride zur parenteralen behandlung oder prophylaxe bakterieller erkrankungen |
| RS20190554A RS58915B1 (sr) | 2013-05-28 | 2014-05-09 | Primena oksazolidinon-kinolonskih hibridnih antibakterijskih sredstava |
| SI201431204T SI3003289T1 (sl) | 2013-05-28 | 2014-05-09 | Dajanje antibakterijskih oksazolidinon-kinolonskih hibridnih sredstev |
| EP14723716.8A EP3003289B1 (de) | 2013-05-28 | 2014-05-09 | Verabreichung von antibakteriellen oxazolidinon-chinolon-hybrid-mitteln |
| CY20191100532T CY1121996T1 (el) | 2013-05-28 | 2019-05-20 | Χορηγηση αντιβακτηριακων υβριδιων οξαζολιδινονης-κινολονης |
Applications Claiming Priority (5)
| Application Number | Priority Date | Filing Date | Title |
|---|---|---|---|
| EP13002762 | 2013-05-28 | ||
| EP13005745 | 2013-12-10 | ||
| EP13005748 | 2013-12-10 | ||
| PCT/EP2014/001253 WO2014191075A1 (en) | 2013-05-28 | 2014-05-09 | Oxazolidinone-quinolone hybrid antibacterials for the parenteral treatment or prophylaxis of bacterial diseases |
| EP14723716.8A EP3003289B1 (de) | 2013-05-28 | 2014-05-09 | Verabreichung von antibakteriellen oxazolidinon-chinolon-hybrid-mitteln |
Related Child Applications (1)
| Application Number | Title | Priority Date | Filing Date |
|---|---|---|---|
| EP19157832.7A Division EP3517106A1 (de) | 2013-05-28 | 2014-05-09 | Antibakterielle oxazolidinon-chinolon-hybride zur parenteralen behandlung oder prophylaxe bakterieller erkrankungen |
Publications (2)
| Publication Number | Publication Date |
|---|---|
| EP3003289A1 EP3003289A1 (de) | 2016-04-13 |
| EP3003289B1 true EP3003289B1 (de) | 2019-02-20 |
Family
ID=50721743
Family Applications (2)
| Application Number | Title | Priority Date | Filing Date |
|---|---|---|---|
| EP14723716.8A Active EP3003289B1 (de) | 2013-05-28 | 2014-05-09 | Verabreichung von antibakteriellen oxazolidinon-chinolon-hybrid-mitteln |
| EP19157832.7A Withdrawn EP3517106A1 (de) | 2013-05-28 | 2014-05-09 | Antibakterielle oxazolidinon-chinolon-hybride zur parenteralen behandlung oder prophylaxe bakterieller erkrankungen |
Family Applications After (1)
| Application Number | Title | Priority Date | Filing Date |
|---|---|---|---|
| EP19157832.7A Withdrawn EP3517106A1 (de) | 2013-05-28 | 2014-05-09 | Antibakterielle oxazolidinon-chinolon-hybride zur parenteralen behandlung oder prophylaxe bakterieller erkrankungen |
Country Status (23)
| Country | Link |
|---|---|
| US (2) | US10723746B2 (de) |
| EP (2) | EP3003289B1 (de) |
| JP (1) | JP6407982B2 (de) |
| KR (1) | KR102214843B1 (de) |
| CN (2) | CN112089714A (de) |
| AU (1) | AU2014273510B2 (de) |
| BR (1) | BR112015029488A8 (de) |
| CA (1) | CA2912590C (de) |
| CY (1) | CY1121996T1 (de) |
| DK (1) | DK3003289T3 (de) |
| ES (1) | ES2726828T3 (de) |
| HR (1) | HRP20190977T1 (de) |
| HU (1) | HUE043786T2 (de) |
| IL (1) | IL242771B (de) |
| LT (1) | LT3003289T (de) |
| MX (1) | MX371037B (de) |
| NZ (1) | NZ713945A (de) |
| PL (1) | PL3003289T3 (de) |
| PT (1) | PT3003289T (de) |
| RS (1) | RS58915B1 (de) |
| RU (1) | RU2702364C2 (de) |
| SI (1) | SI3003289T1 (de) |
| WO (1) | WO2014191075A1 (de) |
Family Cites Families (14)
| Publication number | Priority date | Publication date | Assignee | Title |
|---|---|---|---|---|
| ES2256331T3 (es) | 2000-12-21 | 2006-07-16 | PHARMACIA & UPJOHN COMPANY LLC | Derivados de quinolina antimicrobianos y uso de los mismos para tratar infecciones bacterianas. |
| ES2186550B2 (es) | 2001-06-27 | 2003-11-16 | Vita Lab | Nuevos derivados de oxazolidinonas como antibacterianos. |
| WO2003031443A1 (de) | 2001-10-04 | 2003-04-17 | Morphochem Aktiengesellschaft für kombinatorische Chemie | Dual action antibiotics |
| WO2003031441A1 (en) | 2001-10-04 | 2003-04-17 | Morphochen Aktiengesellschaft Für Kombinatorische Chemie | Multiple action compounds |
| ZA200509147B (en) * | 2003-04-30 | 2007-03-28 | Morphochem Ag | Use of oxazolidinone-quinoline hybrid antibiotics for the treatment of anthrax and other infections |
| BRPI0409955A (pt) | 2003-04-30 | 2006-04-25 | Morphochem Ag Komb Chemie | uso de antibióticos hìbridos de oxazolidinona - quinolina para o tratamento de antrax e outras infecções |
| DE10340485B4 (de) | 2003-09-03 | 2015-05-13 | Morphochem AG Aktiengesellschaft für kombinatorische Chemie | Verfahren zur Herstellung von Oxazolidinon-Chinolon Hybriden |
| DK1709044T4 (da) * | 2003-12-18 | 2014-01-20 | Morphochem Ag Komb Chemie | Oxazolidinon-quinolon-hybridantibiotika |
| US8158797B2 (en) * | 2003-12-18 | 2012-04-17 | Morphochem Aktiengesellschaft Fur Kombinatorische Chemie | Oxazolidinone-quinolone hybrid antibiotics |
| AR054608A1 (es) | 2005-08-08 | 2007-06-27 | Actelion Pharmaceuticals Ltd | Derivados de oxazolidinona enlazados a quinolonas como antibacterianos |
| WO2007095187A2 (en) * | 2006-02-13 | 2007-08-23 | Trustees Of Boston University | Compositions and methods for antibiotic potentiation and drug discovery |
| RU2453546C2 (ru) | 2006-11-10 | 2012-06-20 | Актелион Фармасьютиклз Лтд | Производные 5-гидроксиметилоксазолидин-2-она |
| CL2007003332A1 (es) | 2006-11-24 | 2008-06-20 | Actelion Pharmaceuticals Ltd | Compuestos derivados de heterociclos condensados; compuestos intermediarios; composicion farmaceutica; y uso en la prevencion o tratamiento de infecciones bacterianas. |
| SI2296651T1 (sl) * | 2008-05-09 | 2012-10-30 | Actelion Pharmaceuticals Ltd | Derivati 5-hidroksimetil-oksazolidin-2-ona za zdravljenje bakterijskih ÄŤrevesnih bolezni |
-
2014
- 2014-05-09 EP EP14723716.8A patent/EP3003289B1/de active Active
- 2014-05-09 HU HUE14723716A patent/HUE043786T2/hu unknown
- 2014-05-09 RS RS20190554A patent/RS58915B1/sr unknown
- 2014-05-09 CA CA2912590A patent/CA2912590C/en active Active
- 2014-05-09 HR HRP20190977TT patent/HRP20190977T1/hr unknown
- 2014-05-09 AU AU2014273510A patent/AU2014273510B2/en active Active
- 2014-05-09 LT LTEP14723716.8T patent/LT3003289T/lt unknown
- 2014-05-09 NZ NZ713945A patent/NZ713945A/en unknown
- 2014-05-09 MX MX2015016320A patent/MX371037B/es active IP Right Grant
- 2014-05-09 KR KR1020157036752A patent/KR102214843B1/ko active Active
- 2014-05-09 PL PL14723716T patent/PL3003289T3/pl unknown
- 2014-05-09 EP EP19157832.7A patent/EP3517106A1/de not_active Withdrawn
- 2014-05-09 ES ES14723716T patent/ES2726828T3/es active Active
- 2014-05-09 CN CN202011016666.8A patent/CN112089714A/zh active Pending
- 2014-05-09 SI SI201431204T patent/SI3003289T1/sl unknown
- 2014-05-09 RU RU2015155645A patent/RU2702364C2/ru active
- 2014-05-09 CN CN201480031373.3A patent/CN105338972A/zh active Pending
- 2014-05-09 US US14/894,400 patent/US10723746B2/en active Active
- 2014-05-09 DK DK14723716.8T patent/DK3003289T3/da active
- 2014-05-09 WO PCT/EP2014/001253 patent/WO2014191075A1/en not_active Ceased
- 2014-05-09 PT PT14723716T patent/PT3003289T/pt unknown
- 2014-05-09 BR BR112015029488A patent/BR112015029488A8/pt not_active Application Discontinuation
- 2014-05-09 JP JP2016518855A patent/JP6407982B2/ja active Active
-
2015
- 2015-11-25 IL IL242771A patent/IL242771B/en active IP Right Grant
-
2019
- 2019-05-20 CY CY20191100532T patent/CY1121996T1/el unknown
-
2020
- 2020-06-22 US US16/908,244 patent/US11261205B2/en active Active
Non-Patent Citations (1)
| Title |
|---|
| None * |
Also Published As
Similar Documents
| Publication | Publication Date | Title |
|---|---|---|
| ES2575908T3 (es) | Composiciones farmacéuticas antibacterianas | |
| US11529361B2 (en) | Halogenated salicylanilides for treating Clostridium infections | |
| US9993469B2 (en) | Combination therapy comprising oxazolidinone-quinolones for use in treating bacterial infections | |
| RU2560676C2 (ru) | Противотуберкулезная композиция, содержащая соединения оксазола | |
| ES2568455T3 (es) | Compuestos para el tratamiento de enfermedad asociada a Clostridium difficile | |
| RU2557910C2 (ru) | Оксазолидинонсодержащие димерные соединения, композиции и способы их получения и использования | |
| US20040132764A1 (en) | Antibiotics for the treatment of infections in acidic environments | |
| US11261205B2 (en) | Oxazolidinone-quinolone hybrid antibacterial for the parenteral treatment of prophylaxis of bacterial diseases | |
| HK1223306B (en) | Administration of oxazolidinone-quinolone hybrid antibacterials | |
| JP2010235515A (ja) | 乳酸菌含有抗ヘリコバクター・ピロリ活性を有する経口剤 | |
| TW201607534A (zh) | 治療困難梭狀芽孢桿菌相關感染用硫肽化合物 | |
| US20230416274A1 (en) | Novel compound, preparation method thereof, and antibiotic composition comprising same |
Legal Events
| Date | Code | Title | Description |
|---|---|---|---|
| PUAI | Public reference made under article 153(3) epc to a published international application that has entered the european phase |
Free format text: ORIGINAL CODE: 0009012 |
|
| 17P | Request for examination filed |
Effective date: 20151217 |
|
| AK | Designated contracting states |
Kind code of ref document: A1 Designated state(s): AL AT BE BG CH CY CZ DE DK EE ES FI FR GB GR HR HU IE IS IT LI LT LU LV MC MK MT NL NO PL PT RO RS SE SI SK SM TR |
|
| AX | Request for extension of the european patent |
Extension state: BA ME |
|
| DAX | Request for extension of the european patent (deleted) | ||
| REG | Reference to a national code |
Ref country code: HK Ref legal event code: DE Ref document number: 1223306 Country of ref document: HK |
|
| STAA | Information on the status of an ep patent application or granted ep patent |
Free format text: STATUS: EXAMINATION IS IN PROGRESS |
|
| 17Q | First examination report despatched |
Effective date: 20170911 |
|
| GRAP | Despatch of communication of intention to grant a patent |
Free format text: ORIGINAL CODE: EPIDOSNIGR1 |
|
| STAA | Information on the status of an ep patent application or granted ep patent |
Free format text: STATUS: GRANT OF PATENT IS INTENDED |
|
| INTG | Intention to grant announced |
Effective date: 20180927 |
|
| RAP1 | Party data changed (applicant data changed or rights of an application transferred) |
Owner name: MORPHOCHEM AKTIENGESELLSCHAFT FUER KOMBINATORISCHE |
|
| GRAS | Grant fee paid |
Free format text: ORIGINAL CODE: EPIDOSNIGR3 |
|
| GRAA | (expected) grant |
Free format text: ORIGINAL CODE: 0009210 |
|
| STAA | Information on the status of an ep patent application or granted ep patent |
Free format text: STATUS: THE PATENT HAS BEEN GRANTED |
|
| AK | Designated contracting states |
Kind code of ref document: B1 Designated state(s): AL AT BE BG CH CY CZ DE DK EE ES FI FR GB GR HR HU IE IS IT LI LT LU LV MC MK MT NL NO PL PT RO RS SE SI SK SM TR |
|
| REG | Reference to a national code |
Ref country code: GB Ref legal event code: FG4D |
|
| REG | Reference to a national code |
Ref country code: CH Ref legal event code: EP |
|
| REG | Reference to a national code |
Ref country code: DE Ref legal event code: R096 Ref document number: 602014041248 Country of ref document: DE |
|
| REG | Reference to a national code |
Ref country code: AT Ref legal event code: REF Ref document number: 1097270 Country of ref document: AT Kind code of ref document: T Effective date: 20190315 |
|
| REG | Reference to a national code |
Ref country code: IE Ref legal event code: FG4D |
|
| REG | Reference to a national code |
Ref country code: CH Ref legal event code: NV Representative=s name: E. BLUM AND CO. AG PATENT- UND MARKENANWAELTE , CH |
|
| REG | Reference to a national code |
Ref country code: RO Ref legal event code: EPE |
|
| REG | Reference to a national code |
Ref country code: DK Ref legal event code: T3 Effective date: 20190513 |
|
| REG | Reference to a national code |
Ref country code: SE Ref legal event code: TRGR |
|
| REG | Reference to a national code |
Ref country code: HR Ref legal event code: TUEP Ref document number: P20190977 Country of ref document: HR Ref country code: HR Ref legal event code: NPPZ Ref document number: P20190977 Country of ref document: HR Ref country code: NL Ref legal event code: FP |
|
| REG | Reference to a national code |
Ref country code: CH Ref legal event code: PFA Owner name: MORPHOCHEM GMBH, DE Free format text: FORMER OWNER: MORPHOCHEM AKTIENGESELLSCHAFT FUER KOMBINATORISCHE CHEMIE, DE |
|
| REG | Reference to a national code |
Ref country code: PT Ref legal event code: SC4A Ref document number: 3003289 Country of ref document: PT Date of ref document: 20190604 Kind code of ref document: T Free format text: AVAILABILITY OF NATIONAL TRANSLATION Effective date: 20190516 |
|
| REG | Reference to a national code |
Ref country code: DE Ref legal event code: R082 Ref document number: 602014041248 Country of ref document: DE Representative=s name: BOETERS & LIECK, DE Ref country code: DE Ref legal event code: R081 Ref document number: 602014041248 Country of ref document: DE Owner name: MORPHOCHEM GMBH, DE Free format text: FORMER OWNER: MORPHOCHEM AKTIENGESELLSCHAFT FUER KOMBINATORISCHE CHEMIE, 81379 MUENCHEN, DE |
|
| RAP2 | Party data changed (patent owner data changed or rights of a patent transferred) |
Owner name: MORPHOCHEM GMBH |
|
| REG | Reference to a national code |
Ref country code: NO Ref legal event code: T2 Effective date: 20190220 |
|
| REG | Reference to a national code |
Ref country code: EE Ref legal event code: FG4A Ref document number: E017396 Country of ref document: EE Effective date: 20190514 |
|
| REG | Reference to a national code |
Ref country code: NL Ref legal event code: HC Owner name: MORPHOCHEM GMBH; DE Free format text: DETAILS ASSIGNMENT: CHANGE OF OWNER(S), CHANGE OF OWNER(S) NAME; FORMER OWNER NAME: MORPHOCHEM AKTIENGESELLSCHAFT FUER KOMBINATORISCHE CHEMIE Effective date: 20190627 |
|
| REG | Reference to a national code |
Ref country code: HR Ref legal event code: NPPU Ref document number: P20190977 Country of ref document: HR |
|
| REG | Reference to a national code |
Ref country code: HR Ref legal event code: ODRP Ref document number: P20190977 Country of ref document: HR Payment date: 20190729 Year of fee payment: 6 |
|
| REG | Reference to a national code |
Ref country code: BE Ref legal event code: HC Owner name: MORPHOCHEM GMBH; DE Free format text: DETAILS ASSIGNMENT: CHANGE OF OWNER(S), CHANGEMENT DE NOM DU PROPRIETAIRE; FORMER OWNER NAME: MORPHOCHEM AKTIENGESELLSCHAFT FUER KOMBINATORISCHE CHEMIE Effective date: 20190627 |
|
| REG | Reference to a national code |
Ref country code: HR Ref legal event code: T1PR Ref document number: P20190977 Country of ref document: HR |
|
| REG | Reference to a national code |
Ref country code: GR Ref legal event code: EP Ref document number: 20190401511 Country of ref document: GR Effective date: 20190708 |
|
| PG25 | Lapsed in a contracting state [announced via postgrant information from national office to epo] |
Ref country code: LV Free format text: LAPSE BECAUSE OF FAILURE TO SUBMIT A TRANSLATION OF THE DESCRIPTION OR TO PAY THE FEE WITHIN THE PRESCRIBED TIME-LIMIT Effective date: 20190220 |
|
| REG | Reference to a national code |
Ref country code: AT Ref legal event code: PC Ref document number: 1097270 Country of ref document: AT Kind code of ref document: T Owner name: MORPHOCHEM GMBH, DE Effective date: 20190719 |
|
| REG | Reference to a national code |
Ref country code: HU Ref legal event code: AG4A Ref document number: E043786 Country of ref document: HU |
|
| REG | Reference to a national code |
Ref country code: SK Ref legal event code: T3 Ref document number: E 31576 Country of ref document: SK |
|
| REG | Reference to a national code |
Ref country code: ES Ref legal event code: FG2A Ref document number: 2726828 Country of ref document: ES Kind code of ref document: T3 Effective date: 20191009 |
|
| PG25 | Lapsed in a contracting state [announced via postgrant information from national office to epo] |
Ref country code: AL Free format text: LAPSE BECAUSE OF FAILURE TO SUBMIT A TRANSLATION OF THE DESCRIPTION OR TO PAY THE FEE WITHIN THE PRESCRIBED TIME-LIMIT Effective date: 20190220 |
|
| REG | Reference to a national code |
Ref country code: DE Ref legal event code: R097 Ref document number: 602014041248 Country of ref document: DE |
|
| PG25 | Lapsed in a contracting state [announced via postgrant information from national office to epo] |
Ref country code: SM Free format text: LAPSE BECAUSE OF FAILURE TO SUBMIT A TRANSLATION OF THE DESCRIPTION OR TO PAY THE FEE WITHIN THE PRESCRIBED TIME-LIMIT Effective date: 20190220 |
|
| PLBE | No opposition filed within time limit |
Free format text: ORIGINAL CODE: 0009261 |
|
| STAA | Information on the status of an ep patent application or granted ep patent |
Free format text: STATUS: NO OPPOSITION FILED WITHIN TIME LIMIT |
|
| 26N | No opposition filed |
Effective date: 20191121 |
|
| REG | Reference to a national code |
Ref country code: HR Ref legal event code: ODRP Ref document number: P20190977 Country of ref document: HR Payment date: 20200522 Year of fee payment: 7 |
|
| REG | Reference to a national code |
Ref country code: HR Ref legal event code: ODRP Ref document number: P20190977 Country of ref document: HR Payment date: 20210428 Year of fee payment: 8 |
|
| PG25 | Lapsed in a contracting state [announced via postgrant information from national office to epo] |
Ref country code: MT Free format text: LAPSE BECAUSE OF FAILURE TO SUBMIT A TRANSLATION OF THE DESCRIPTION OR TO PAY THE FEE WITHIN THE PRESCRIBED TIME-LIMIT Effective date: 20190220 |
|
| REG | Reference to a national code |
Ref country code: HR Ref legal event code: ODRP Ref document number: P20190977 Country of ref document: HR Payment date: 20220503 Year of fee payment: 9 |
|
| PG25 | Lapsed in a contracting state [announced via postgrant information from national office to epo] |
Ref country code: MK Free format text: LAPSE BECAUSE OF FAILURE TO SUBMIT A TRANSLATION OF THE DESCRIPTION OR TO PAY THE FEE WITHIN THE PRESCRIBED TIME-LIMIT Effective date: 20190220 |
|
| REG | Reference to a national code |
Ref country code: AT Ref legal event code: UEP Ref document number: 1097270 Country of ref document: AT Kind code of ref document: T Effective date: 20190220 |
|
| REG | Reference to a national code |
Ref country code: HR Ref legal event code: ODRP Ref document number: P20190977 Country of ref document: HR Payment date: 20231103 Year of fee payment: 10 |
|
| REG | Reference to a national code |
Ref country code: HR Ref legal event code: ODRP Ref document number: P20190977 Country of ref document: HR Payment date: 20240425 Year of fee payment: 11 |
|
| PGFP | Annual fee paid to national office [announced via postgrant information from national office to epo] |
Ref country code: NL Payment date: 20250423 Year of fee payment: 12 |
|
| PGFP | Annual fee paid to national office [announced via postgrant information from national office to epo] |
Ref country code: LU Payment date: 20250423 Year of fee payment: 12 |
|
| REG | Reference to a national code |
Ref country code: HR Ref legal event code: ODRP Ref document number: P20190977 Country of ref document: HR Payment date: 20250429 Year of fee payment: 12 |
|
| PGFP | Annual fee paid to national office [announced via postgrant information from national office to epo] |
Ref country code: MC Payment date: 20250429 Year of fee payment: 12 |
|
| PGFP | Annual fee paid to national office [announced via postgrant information from national office to epo] |
Ref country code: FI Payment date: 20250423 Year of fee payment: 12 |
|
| PGFP | Annual fee paid to national office [announced via postgrant information from national office to epo] |
Ref country code: PL Payment date: 20250425 Year of fee payment: 12 Ref country code: DE Payment date: 20250423 Year of fee payment: 12 |
|
| PGFP | Annual fee paid to national office [announced via postgrant information from national office to epo] |
Ref country code: GB Payment date: 20250423 Year of fee payment: 12 Ref country code: DK Payment date: 20250423 Year of fee payment: 12 Ref country code: ES Payment date: 20250602 Year of fee payment: 12 |
|
| PGFP | Annual fee paid to national office [announced via postgrant information from national office to epo] |
Ref country code: LT Payment date: 20250423 Year of fee payment: 12 |
|
| PGFP | Annual fee paid to national office [announced via postgrant information from national office to epo] |
Ref country code: IS Payment date: 20250509 Year of fee payment: 12 Ref country code: RS Payment date: 20250430 Year of fee payment: 12 Ref country code: HU Payment date: 20250515 Year of fee payment: 12 Ref country code: NO Payment date: 20250424 Year of fee payment: 12 |
|
| PGFP | Annual fee paid to national office [announced via postgrant information from national office to epo] |
Ref country code: IT Payment date: 20250423 Year of fee payment: 12 Ref country code: BE Payment date: 20250423 Year of fee payment: 12 |
|
| PGFP | Annual fee paid to national office [announced via postgrant information from national office to epo] |
Ref country code: HR Payment date: 20250429 Year of fee payment: 12 |
|
| PGFP | Annual fee paid to national office [announced via postgrant information from national office to epo] |
Ref country code: PT Payment date: 20250423 Year of fee payment: 12 |
|
| PGFP | Annual fee paid to national office [announced via postgrant information from national office to epo] |
Ref country code: FR Payment date: 20250423 Year of fee payment: 12 Ref country code: EE Payment date: 20250429 Year of fee payment: 12 |
|
| PGFP | Annual fee paid to national office [announced via postgrant information from national office to epo] |
Ref country code: BG Payment date: 20250429 Year of fee payment: 12 Ref country code: GR Payment date: 20250424 Year of fee payment: 12 |
|
| PGFP | Annual fee paid to national office [announced via postgrant information from national office to epo] |
Ref country code: CH Payment date: 20250601 Year of fee payment: 12 |
|
| PGFP | Annual fee paid to national office [announced via postgrant information from national office to epo] |
Ref country code: AT Payment date: 20250424 Year of fee payment: 12 Ref country code: RO Payment date: 20250509 Year of fee payment: 12 |
|
| PGFP | Annual fee paid to national office [announced via postgrant information from national office to epo] |
Ref country code: TR Payment date: 20250429 Year of fee payment: 12 Ref country code: SK Payment date: 20250429 Year of fee payment: 12 |
|
| PGFP | Annual fee paid to national office [announced via postgrant information from national office to epo] |
Ref country code: CZ Payment date: 20250429 Year of fee payment: 12 |
|
| PGFP | Annual fee paid to national office [announced via postgrant information from national office to epo] |
Ref country code: IE Payment date: 20250424 Year of fee payment: 12 |
|
| PGFP | Annual fee paid to national office [announced via postgrant information from national office to epo] |
Ref country code: SI Payment date: 20250429 Year of fee payment: 12 Ref country code: SE Payment date: 20250423 Year of fee payment: 12 |
|
| PGFP | Annual fee paid to national office [announced via postgrant information from national office to epo] |
Ref country code: CY Payment date: 20250424 Year of fee payment: 12 |











