EP3003289B1 - Administration of oxazolidinone-quinolone hybrid antibacterials - Google Patents
Administration of oxazolidinone-quinolone hybrid antibacterials Download PDFInfo
- Publication number
- EP3003289B1 EP3003289B1 EP14723716.8A EP14723716A EP3003289B1 EP 3003289 B1 EP3003289 B1 EP 3003289B1 EP 14723716 A EP14723716 A EP 14723716A EP 3003289 B1 EP3003289 B1 EP 3003289B1
- Authority
- EP
- European Patent Office
- Prior art keywords
- group
- oxo
- fluoro
- oxazolidinone
- formula
- Prior art date
- Legal status (The legal status is an assumption and is not a legal conclusion. Google has not performed a legal analysis and makes no representation as to the accuracy of the status listed.)
- Active
Links
- 0 *C(CN1)OC1=O Chemical compound *C(CN1)OC1=O 0.000 description 5
Classifications
-
- C—CHEMISTRY; METALLURGY
- C07—ORGANIC CHEMISTRY
- C07F—ACYCLIC, CARBOCYCLIC OR HETEROCYCLIC COMPOUNDS CONTAINING ELEMENTS OTHER THAN CARBON, HYDROGEN, HALOGEN, OXYGEN, NITROGEN, SULFUR, SELENIUM OR TELLURIUM
- C07F9/00—Compounds containing elements of Groups 5 or 15 of the Periodic Table
- C07F9/02—Phosphorus compounds
- C07F9/547—Heterocyclic compounds, e.g. containing phosphorus as a ring hetero atom
- C07F9/6527—Heterocyclic compounds, e.g. containing phosphorus as a ring hetero atom having nitrogen and oxygen atoms as the only ring hetero atoms
- C07F9/653—Five-membered rings
-
- A—HUMAN NECESSITIES
- A61—MEDICAL OR VETERINARY SCIENCE; HYGIENE
- A61K—PREPARATIONS FOR MEDICAL, DENTAL OR TOILETRY PURPOSES
- A61K31/00—Medicinal preparations containing organic active ingredients
- A61K31/33—Heterocyclic compounds
- A61K31/395—Heterocyclic compounds having nitrogen as a ring hetero atom, e.g. guanethidine or rifamycins
- A61K31/435—Heterocyclic compounds having nitrogen as a ring hetero atom, e.g. guanethidine or rifamycins having six-membered rings with one nitrogen as the only ring hetero atom
- A61K31/4353—Heterocyclic compounds having nitrogen as a ring hetero atom, e.g. guanethidine or rifamycins having six-membered rings with one nitrogen as the only ring hetero atom ortho- or peri-condensed with heterocyclic ring systems
- A61K31/4375—Heterocyclic compounds having nitrogen as a ring hetero atom, e.g. guanethidine or rifamycins having six-membered rings with one nitrogen as the only ring hetero atom ortho- or peri-condensed with heterocyclic ring systems the heterocyclic ring system containing a six-membered ring having nitrogen as a ring heteroatom, e.g. quinolizines, naphthyridines, berberine, vincamine
-
- A—HUMAN NECESSITIES
- A61—MEDICAL OR VETERINARY SCIENCE; HYGIENE
- A61K—PREPARATIONS FOR MEDICAL, DENTAL OR TOILETRY PURPOSES
- A61K31/00—Medicinal preparations containing organic active ingredients
- A61K31/33—Heterocyclic compounds
- A61K31/395—Heterocyclic compounds having nitrogen as a ring hetero atom, e.g. guanethidine or rifamycins
- A61K31/435—Heterocyclic compounds having nitrogen as a ring hetero atom, e.g. guanethidine or rifamycins having six-membered rings with one nitrogen as the only ring hetero atom
- A61K31/47—Quinolines; Isoquinolines
- A61K31/4709—Non-condensed quinolines and containing further heterocyclic rings
-
- A—HUMAN NECESSITIES
- A61—MEDICAL OR VETERINARY SCIENCE; HYGIENE
- A61P—SPECIFIC THERAPEUTIC ACTIVITY OF CHEMICAL COMPOUNDS OR MEDICINAL PREPARATIONS
- A61P1/00—Drugs for disorders of the alimentary tract or the digestive system
-
- A—HUMAN NECESSITIES
- A61—MEDICAL OR VETERINARY SCIENCE; HYGIENE
- A61P—SPECIFIC THERAPEUTIC ACTIVITY OF CHEMICAL COMPOUNDS OR MEDICINAL PREPARATIONS
- A61P1/00—Drugs for disorders of the alimentary tract or the digestive system
- A61P1/12—Antidiarrhoeals
-
- A—HUMAN NECESSITIES
- A61—MEDICAL OR VETERINARY SCIENCE; HYGIENE
- A61P—SPECIFIC THERAPEUTIC ACTIVITY OF CHEMICAL COMPOUNDS OR MEDICINAL PREPARATIONS
- A61P31/00—Antiinfectives, i.e. antibiotics, antiseptics, chemotherapeutics
-
- A—HUMAN NECESSITIES
- A61—MEDICAL OR VETERINARY SCIENCE; HYGIENE
- A61P—SPECIFIC THERAPEUTIC ACTIVITY OF CHEMICAL COMPOUNDS OR MEDICINAL PREPARATIONS
- A61P31/00—Antiinfectives, i.e. antibiotics, antiseptics, chemotherapeutics
- A61P31/04—Antibacterial agents
-
- Y—GENERAL TAGGING OF NEW TECHNOLOGICAL DEVELOPMENTS; GENERAL TAGGING OF CROSS-SECTIONAL TECHNOLOGIES SPANNING OVER SEVERAL SECTIONS OF THE IPC; TECHNICAL SUBJECTS COVERED BY FORMER USPC CROSS-REFERENCE ART COLLECTIONS [XRACs] AND DIGESTS
- Y02—TECHNOLOGIES OR APPLICATIONS FOR MITIGATION OR ADAPTATION AGAINST CLIMATE CHANGE
- Y02A—TECHNOLOGIES FOR ADAPTATION TO CLIMATE CHANGE
- Y02A50/00—TECHNOLOGIES FOR ADAPTATION TO CLIMATE CHANGE in human health protection, e.g. against extreme weather
- Y02A50/30—Against vector-borne diseases, e.g. mosquito-borne, fly-borne, tick-borne or waterborne diseases whose impact is exacerbated by climate change
Definitions
- the present invention relates to the use of oxazolidinone-quinolone hybrids for the parenteral (especially intravenous) treatment or prophylaxis of bacterial diseases.
- the present invention relates to improved methods of administering oxazolidinone-quinolone hybrid antibacterials.
- the present invention relates to the use of oxazolidinone-quinolone hybrids for the parenteral (especially intravenous) treatment or prophylaxis of intestinal diseases which are caused by Gram-positive bacteria (e.g. S. aureus, Enterococcus spp .), especially Gram-positive anaerobes such as Clostridium spp., in particular Clostridium difficile and Clostridium perfringens (especially by Clostridium difficile ).
- Gram-positive bacteria e.g. S. aureus, Enterococcus spp .
- Gram-positive anaerobes such as Clostridium spp., in particular Clostridium difficile and Clostridium perfringens (especially by Clostridium difficile ).
- Oxazolidinone-quinolone hybrids are useful antimicrobial agents effective against a variety of human and veterinary pathogens.
- Oxazolidinone-quinolone hybrids have already been described in the prior art (e.g. in WO 02/059116 , WO 03/002560 , WO 03/031443 , WO 03/032962 , WO 2004/096221 , WO 2005/058888 , WO 2007/017828 , WO 2008/056335 , WO 2008/062379 and WO 2009/136379 ).
- Clostridium difficile a Gram-positive, spore forming, anaerobic bacillus, is a leading cause of antibiotic-associated diarrhea especially in hospitals and long-term care facilities but also in low risk persons, such as healthy persons in the community, and peripartum women.
- Clostridium difficile infections can be triggered in patients e.g. as a consequence of treatment with broad spectrum antibacterials that alter the ecological balance of the commensal intestinal flora, allowing C. difficile proliferation and toxin production as well as C. difficile spore germination.
- Symptoms of Clostridium difficile infections may vary from mild diarrhea to life-threatening clinical pictures such as fulminant colitis, pseudomembranous colitis, toxic megacolon, and death. These symptoms are mainly caused by the cytotoxic effects of C. difficile toxin A and toxin B.
- CDI Clostridum difficile infections
- Parenteral (especially intravenous) treatment or prophylaxis of CDI is preferable for the following reasons:
- linezolid is active in vitro against C difficile but inactive in an in vitro human gut model.
- the inactivity of linezolid in this model is consistent with negligibly low fecal concentrations of linezolid (0.2% of the dose are excreted via the feces).
- the present invention provides an oxazolidinone-quinolone hybrid for use in the treatment of a bacterial infection, said treatment comprising the administration of the oxazolidinone-quinolone hybrid at an infusion rate of from 0.4 to 3 (preferably from 0.4 to 1.5; especially preferably from 0.4 to 0.75) mg/(kg body weight x h), wherein the oxazolidinone-quinolone hybrid is a compound of formula (I), wherein
- the oxazolidinone-quinolone hybrid is administered over a period of from 20 min to 24 h; preferably of from 20 min to 5 h; further preferably of from 4 h to 12 h per day at the infusion rate of the present invention.
- a daily dose can e.g. be administered once or e.g. over a period of up to 5 days, or up to 10 days or even over a period of up to 6 months or more depending on the severity of the infection.
- alkyl refers to a saturated straight or branched chain hydrocarbon group, preferably containing from one to ten, especially preferably fromone to six carbon atoms, for example methyl, ethyl, propyl, isopropyl, butyl, iso-butyl, sec-butyl, tert-butyl, n-pentyl, iso-pentyl, n-hexyl, 2,2-dimethylbutyl, n-octyl or n-pentyl groups.
- Any alkyl group as defined herein may be substituted with one, two or more substituents, for example F, Cl, Br, I, NH 2 , OH, SH or NO 2 .
- alkenyl and alkynyl refer to an unsaturated straight or branched chain hydrocarbon group (having one, two or more double and/or triple bonds, an alkenyl preferably having one or two double bonds and an alkynyl preferably having one or two triple bonds), preferably containing two to ten, preferably two to six carbon atoms for example: ethenyl (vinyl), propenyl (allyl), iso-propenyl, n-pentenyl, butenyl, isoprenyl or hexa-2-enyl; ethynyl, propynyl or butynyl groups.
- Any alkenyl or alkynyl group as defined herein may be substituted with one, two or more substituents, for example F, Cl, Br, I, NH 2 , OH, SH or NO 2 .
- heteroalkyl refers to an alkyl, alkenyl or alkynyl group as defined herein wherein one or more carbon atoms are replaced by an oxygen, nitrogen, phosphorous or sulphur atom or by a SO group or by a SO 2 group, for example an alkoxy group such as methoxy, ethoxy, propoxy, iso-propoxy, butoxy or tert.-butoxy, an alkoxyalkyl group such as methoxymethyl, ethoxymethyl, 1-methoxyethyl, 1-ethoxyethyl, 2-methoxyethyl or 2-ethoxyethyl, an alkylamino group such as methylamino, ethylamino, propylamino, isopropylamino, dimethylamino or diethylamino, an alkylthio group such as methylthio, ethylthio or isopropylthio or a cyano group.
- heteroalkyl furthermore refers to a group derived from a carboxylic acid or carboxylic acid amide such as acetyl, propionyl, acetyloxy, propionyloxy, acetylamino or propionylamino, a carboxyalkyl group such as carboxymethyl, carboxyethyl or carboxypropyl, a carboxyalkyl ester, an alkylthiocarboxyamino group, an alkoxyimino group, an alkylaminothiocarboxyamino group or an alkoxycarbonylamino group. Any heteroalkyl group as defined herein may be substituted with one, two or more substituents, for example F, Cl, Br, I, NH 2 , OH, SH or NO 2 .
- substituents for example F, Cl, Br, I, NH 2 , OH, SH or NO 2 .
- C 1 -C 6 heteroalkyl refers to a heteroalkyl group containing from 1 to 6 carbon atoms and 1, 2 or 3 heteroatoms selected from O, S and/or N (especially O and/or N).
- cycloalkyl refers to a saturated or partially unsaturated (having one, two or more double and/or triple bonds) cyclic group with one, two or more rings, having three to 14 carbon ring-atoms, preferably from five or six to ten carbon ring-atoms, for example cyclopropyl, cyclobutyl, cyclopentyl, cyclohexyl, tetralin, cyclopentenyl or cyclohex-2-enyl groups.
- heterocycloalkyl refers to a cycloalkyl group as defined herein where one, two or more carbon ring-atoms are replaced by one, two or more oxygen, nitrogen, phosphorous or sulphur atoms or S(0) 1-2 groups for example piperidino, morpholino or piperazino groups.
- alkylcycloalkyl refers to groups that contain both cycloalkyl and also alkyl, alkenyl or alkynyl groups in accordance with the above definitions, for example alkylcycloalkyl, cycloalkylalkyl, alkylcycloalkenyl, alkenylcycloalkyl and alkynylcycloalkyl groups.
- An alkylcycloalkyl group preferably contains a cycloalkyl group that contains one or two rings having from 3 to 10 (especially 3, 4, 5, 6 or 7) ring carbon atoms, and one or two alkyl, alkenyl or alkynyl groups (especially alkyl groups) having 1 or 2 to 6 carbon atoms.
- heteroalkylcycloalkyl refers to alkylcycloalkyl groups as defined above in which one or more (preferably 1, 2 or 3) carbon atoms have been replaced by an oxygen, nitrogen, phosphorus or sulfur atom (preferably by an oxygen, sulfur or nitrogen atom) or a SO group or a SO 2 group.
- a heteroalkylcycloalkyl group preferably contains 1 or 2 rings having from 3 to 10 (especially 3, 4, 5, 6 or 7) ring atoms, and one or two alkyl, alkenyl, alkynyl or heteroalkyl groups (especially alkyl or heteroalkyl groups) having from 1 or 2 to 6 carbon atoms.
- Examples of such groups are alkylheterocycloalkyl, alkylheterocycloalkenyl, alkenylheterocycloalkyl, alkynylheterocycloalkyl, heteroalkylcycloalkyl, heteroalkylheterocycloalkyl and heteroalkylheterocycloalkenyl, the cyclic groups being saturated or mono-, di- or tri-unsaturated.
- aryl refers to an aromatic cyclic group with one, two or more rings, having five to 14 carbon ring-atoms preferably from five or six to ten carbon ring-atoms, for example phenyl or naphthyl groups. Any aryl group as defined herein may be substituted with one, two or more substituents, for example F, Cl, Br, I, OH, NH 2 , SH, N 3 , NO 2 , alkyl groups such as methyl or ethyl, heteroalkyl groups such as methoxy, methylamino, dimethylamino or cyanide.
- heteroaryl refers to an aromatic group that contains one or more rings containing from 5 to 14 ring atoms, preferably from 5 to 10 (especially 5 or 6 or 9 or 10) ring atoms, and contains one or more (preferably 1, 2, 3 or 4) oxygen, nitrogen, phosphorus or sulfur ring atoms (preferably O, S or N) in addition to the carbon ring atoms.
- heteroaryl refers furthermore to groups that are substituted by fluorine, chlorine, bromine or iodine atoms or by OH, SH, N 3 , NH 2 or NO 2 groups. Examples are pyridyl (e.g. 4-pyridyl), imidazolyl (e.g.
- 2-imidazolyl 2-imidazolyl
- phenylpyrrolyl e.g. 3-phenylpyrrolyl
- thiazolyl isothiazolyl, 1,2,3-triazolyl, 1,2,4-triazolyl, oxadiazolyl,thiadiazolyl, indolyl, indazolyl, tetrazolyl, pyrazinyl, pyrimidinyl, pyridazinyl, oxazolyl, isoxazolyl, triazolyl, tetrazolyl, isoxazolyl, indazolyl, indolyl, benzimidazolyl, benzoxazolyl, benzisoxazolyl, benzthiazolyl, pyridazinyl, quinolinyl, isoquinolinyl, pyrrolyl, purinyl, carbazolyl, acridinyl, pyrimidyl,
- aralkyl refers to groups that comprise both, aryl as well as alkyl, alkenyl, alkynyl and/or cycloalkyl groups.
- heteroaralkyl refers to an aralkyl group as defined herein where one, two, three or more carbon atoms are replaced by one, two, three or more oxygen, nitrogen, phosphorous or sulphur atoms or S(0) 1-2 groups, that is to say to groups containing both aryl or heteroaryl, respectively, and also alkyl, alkenyl, alkynyl and/or heteroalkyl and/or cycloalkyl and/or heterocycloalkyl groups in accordance with the above definitions.
- any alkyl, alkenyl, alkynyl, heteroalkyl, cycloalkyl, heterocycloalkyl, alkylcycloalkyl, heteroalkylcycloalkyl,aryl, heteroaryl, aralkyl or heteroarylalkyl groups as defined herein may be substituted with one or more halogen atoms, NH 2 , SH, NO 2 or OH groups or unsubstituted alkyl, heteroalkyl, aryl, aralkyl, aralkyloxy, heteroaryl, cycloalkyl or heterocycloalkyl groups as defined herein.
- substituents are F, Cl, OH and NH 2 .
- antibacterial agent(s), antibacterial(s), antimicrobial(s), antimicrobial agent(s) and antibacterial compound(s) preferably have the same meaning.
- oxazolidinone-quinolone hybrid preferably refers to oxazolidinone-quinolone hybrid antibacterials.
- R 3 is an ethyl, a 2-propyl, a C 3 -C 6 cycloalkyl (i.e. cyclopropyl, cyclobutyl, cyclopentyl or cyclohexyl), a phenyl or a pyridyl group. All these groups may be substituted with one, two, three or more fluorine atoms or amino groups.
- R 4 is a hydrogen atom or a group of formula SO 3 H, PO 3 H 2 , CH 2 OPO 3 H 2 or COCH 2 CH 2 COOH.
- R 4 is an ester of a naturally occurring amino acid or a derivative thereof (preferably a group of formula -COCHR'NH 2 or a derivative like an ester, amide or alkylamine thereof, wherein R' is the side chain of a naturally occurring amino acid like aspartic acid, glutaric acid, lysine, etc; e.g. dimethyl aminoglycine OCOCH 2 N(CH 3 ) 2 ).
- R 4 is a hydrogen atom or a group of formula PO 3 H 2 .
- R 4 is a group of formula PO 3 H 2 or salts thereof (especially a sodium salt).
- R 8 is a C 1-6 alkyl or a C 1-6 heteroalkyl group.
- R 8 is a group of the formula -CH 2 NHCOMe or -CH 2 OH.
- R 7 is H, F, Cl or a methoxy group that may be substituted by one, two or three fluorine atoms.
- n 1 or 2; especially preferably 2.
- A is C 1-6 alkylene, C 2-6 alkenylene, C 2-6 alkynylene, C 1-6 heteroalkylene, cyclopropylene, epoxide, aziridine, thioepoxide, lactame or lactone, all of which groups may be subsitituted.
- A is a group of formula -OCH 2 -, wherein the oxygen atom is bound to the aromatic ring comprising group Y.
- A is a group of Formula -O-B-, wherein B is a C 1-4 alkylene group, a C 2-4 alkenylene group, a C 2-4 alkynylene group or a C 1-4 heteroalkylene group, all of which groups may be substituted by one, two or more hydroxy or amino groups.
- the oxygen atom is bound to the aromatic ring comprising Y and B is bound to the heterocycloalkylgroup at the carbon atom carrying group -O-R 4 .
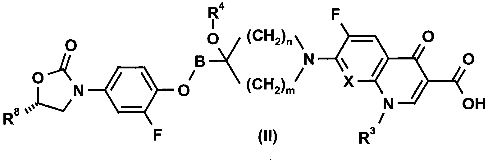
- the oxazolidinone-quinolone hybrid is a compound of formula (II) wherein R 3 , R 4 , R 8 , X, B, n and m are defined as above or a pharmacologically acceptable salt, solvate, hydrate or formulation thereof.
- B is CH 2 ;
- X is CH, N or C-OMe and R 3 is cyclopropyl or X is CR 7 and R 7 and R 3 together form a bridge of the formula -O-CH 2 -CH(Me)-, wherein the preferred stereochemistry at the chiral center is the one giving the (S) configuration in the final compound, n is 1, 2 or 3 (especially 1 or 2), m is 1, 2 or 3 (especially 2), R 4 is a hydrogen atom or a group of formula PO 3 H 2 and R 8 is a group of the formula -CH 2 NHCOMe or -CH 2 OH or a pharmacologically acceptable salt, solvate, hydrate or formulation thereof.
- oxazolidinone-quinolone hybrid is a compound of formula (III): wherein X is N or CH (especially preferably CH) and R 4 is a hydrogen atom or a group of formula PO 3 H 2 or a pharmacologically acceptable salt, solvate, hydrate or formulation thereof.
- the mono, di or tri sodium salts are particularly preferred.
- the mono, di or tri sodium salts are particularly preferred.
- the mono, di or tri sodium salts are particularly preferred.
- the mono sodium salts are of compounds of formula (I), (II) or (III), wherein R 4 is PO 3 H 2 or mixtures thereof.
- oxazolidinone-quinolone hybrid is selected from the following compounds:
- oxazolidinone-quinolone hybrid is selected from the following compounds:
- the oxazolidinone-quinolone hybrid is the sodium salt of 7-(4- ⁇ 4-[(5S)-5-(acetylamino-methyl)-2-oxo-oxazolidin-3-yl]-2-fluoro-phenoxymethyl ⁇ -4-phosphonooxy-piperidin-1-yl)-1-cyclopropyl-6-fluoro-4-oxo-1,4-dihydroquinoline-3-carboxylic acid.
- the present invention provides a method for administering an oxazolidinone-quinolone hybrid, comprising administering to a patient in need thereof the oxazolidinone-quinolone hybrid at an infusion rate of from 0.4 to 3.0 (preferably from 0.4 to 1.5; especially preferably from 0.4 to 0.75) mg/(kg body weight x h), wherein the oxazolidinone-quinolone hybrid is: 7-(4- ⁇ 4-[(5S)-5-(acetylamino-methyl)-2-oxo-oxazolidin-3-yl]-2-fluoro-phenoxymethyl ⁇ -4-phosphonooxy-piperidin-1-yl)-1-cyclopropyl-6-fluoro-4-oxo-1,4-dihydro-quinoline-3-carboxylic acid: or a salt thereof, such as e.g.: the sodium salt of 7-(4- ⁇ 4-[(5S)-5-(acetylamino
- the present invention provides a method for the use of an oxazolidinone-quinolone hybrid for the manufacture of a medicament for treating a bacterial infection in a patient in need thereof wherein the oxazolidinone-quinolone hybrid is administered at an infusion rate of from 0.4 to 3.0 (preferably from 0.4 to 1.5; especially preferably from 0.4 to 0.75) mg/(kg body weight x h), wherein the oxazolidinone-quinolone hybrid is:
- the present invention provides an oxazolidinone-quinolone hybrid for use in the treatment of a bacterial infection, said treatment comprising the administration of the oxazolidinone-quinolone hybrid at an infusion rate of from 0.4 to 3 (preferably from 0.4 to 1.5; especially preferably from 0.4 to 0.75) mg/(kg body weight x h), wherein the oxazolidinone-quinolone hybrid is:
- an infusion rate from 0.4 to 0.75 mg/(kg BW x h) is especially preferred.
- the infusion rates of the present invention may be used for patients in clinical applications and in veterinary applications.
- the infusion rates (mg/(kg BW x h)) of the oxazolidinone-quinolone hybrids of the present invention are safe and efficacious in clinical or veterinary applications.
- the infusion rate of the present invention is 0.5 mg/(kg BW x h).
- the methods of the instant invention may also be practiced while concurrently administering one or more antibiotics other than an oxazolidinone-quinolone hybrid antibacterial.
- the methods of the present invention are especially useful for the treatment of bacterial infections caused by gram-positive bacteria.
- the present invention provides compounds of formula (I), wherein
- R 3 , R 4 , R 8 , X, B, n and m are defined as above or a pharmacologically acceptable salt, solvate, hydrate or formulation thereof, for use in the parenteral (especially intravenous) treatment or prophylaxis of intestinal diseases caused by Gram-positive bacteria.
- B is CH 2 ;
- X is CH, N or C-OMe and R 3 is cyclopropyl or X is CR 7 and R 7 and R 3 together form a bridge of the formula -O-CH 2 -CH(Me)-, wherein the preferred stereochemistry at the chiral center is the one giving the (S) configuration in the final compound, n is 1, 2 or 3 (especially 1 or 2), m is 1, 2 or 3 (especially 2), R 4 is a hydrogen atom or a group of formula PO 3 H 2 and R 8 is a group of the formula -CH 2 NHCOMe or -CH 2 OH or a pharmacologically acceptable salt, solvate, hydrate or formulation thereof.
- the mono, di or tri sodium salts are particularly preferred.
- the mono, di or tri sodium salts are particularly preferred.
- the mono, di or tri sodium salts are particularly preferred the mono sodium salts of compounds of formula (I), (II) or (III), wherein R 4 is PO 3 H 2 or mixtures thereof, for use in the parenteral (especially intravenous) treatment or prophylaxis of intestinal diseases caused by Gram-positive bacteria.
- compositions of the present invention contain an oxazolidinone-quinolone hybrid (e.g. a compound of Formula (I), (II) or (III)) as the active agent and optionally carriers and/or diluents and/or adjuvants.
- an oxazolidinone-quinolone hybrid e.g. a compound of Formula (I), (II) or (III)
- the pharmaceutical compositions according to the present invention may also contain additional known antibiotics.
- the compounds and pharmaceutical compositions disclosed herein can be used for the parenteral (especially intravenous) treatment or prophylaxis of bacterial diseases, especially for the parenteral (especially intravenous) treatment or prophylaxis of intestinal diseases which are caused by Gram-positive bacteria (e.g. S. aureus, Enterococcus spp. ), especially Gram-positive anaerobes such as Clostridium spp., in particular Clostridium difficile, Clostridium perfringens (especially by Clostridium difficile ).
- Gram-positive bacteria e.g. S. aureus, Enterococcus spp.
- Gram-positive anaerobes such as Clostridium spp., in particular Clostridium difficile, Clostridium perfringens (especially by Clostridium difficile ).
- Gram-positive bacteria e.g. S. aureus, Enterococcus spp .
- Gram-positive anaerobes such as Clostridium spp., in particular Clostridium difficile, Clostridium perfringens (especially by Clostridium difficile ).
- Gram-positive bacteria e.g. S. aureus, Enterococcus spp.
- Gram-positive anaerobes such as Clostridium spp., in particular Clostridium difficile, Clostridium perfringens (especially by Clostridium difficile )
- the intestinal diseases intended to be prevented or treated according to the present invention comprise e.g. diarrhea, colitis and pseudomembranous colitis.
- Said intestinal diseases can e.g. be caused by Clostridium difficile (and especially by a toxin producing strain of Clostridium difficile ).
- the compounds and pharmaceutical compositions disclosed herein can be used for the parenteral (especially intravenous) treatment or prophylaxis of severe or complicated cases of bacterial diseases (especially Clostridium difficile associated diseases) such as ileus, toxic megacolon, fulminant colitis, colonic perforation or need for colectomy.
- bacterial diseases especially Clostridium difficile associated diseases
- the compounds and pharmaceutical compositions disclosed herein can be used for the parenteral (especially intravenous) treatment or prophylaxis of recurrent cases of bacterial diseases (especially Clostridium difficile associated diseases such as Clostridium difficile associated diarrhea).
- the present invention also relates to pharmacologically acceptable salts, or solvates and hydrates, respectively, and to compositions and formulations of compounds of Formula (I), (II) or (III). Moreover, the present invention also relates to the use of pharmacologically acceptable salts, or solvates and hydrates, respectively, and to compositions and formulations of oxazolidinone-quinolone hybrids (e.g. compounds of Formula (I), (II) or (III)).
- Examples of pharmacologically acceptable salts of sufficiently basic compounds of Formula (I), (II) or (III) are salts of physiologically acceptable mineral acids like hydrochloric, hydrobromic, sulfuric and phosphoric acid; or salts of organic acids like methanesulfonic, p-toluenesulfonic, lactic, acetic, trifluoroacetic, citric, succinic, fumaric, maleic and salicylic acid.
- a sufficiently acidic compound of Formula (I), (II) or (III) may form alkali or earth alkaline metal salts, for example sodium, potassium, lithium, calcium or magnesium salts; ammonium salts; or organic base salts, for example methylamine, dimethylamine, trimethylamine, triethylamine, ethylenediamine, ethanolamine, choline hydroxide, meglumin, piperidine, morpholine, tris-(2-hydroxyethyl)amine, lysine or arginine salts.
- alkali or earth alkaline metal salts for example sodium, potassium, lithium, calcium or magnesium salts
- ammonium salts or organic base salts, for example methylamine, dimethylamine, trimethylamine, triethylamine, ethylenediamine, ethanolamine, choline hydroxide, meglumin, piperidine, morpholine, tris-(2-hydroxyethyl)amine, lysine or arginine salts.
- Compounds of Formula (I), (II) or (III) may be solvated, especially hydrated.
- the hydratisation can occur during the process of production or as a consequence of the hygroscopic nature of the initially water free compounds of Formula (I), (II) or (III).
- therapeutically useful agents that contain compounds of Formula (I), (II) or (III), their solvates, salts or formulations are also comprised in the scope of the present invention.
- the oxazolidinone-quinolone hybrids e.g. compounds of Formula (I), (II) or (III)
- the oxazolidinone-quinolone hybrids e.g. compounds of Formula (I), (II) or (III)
- emulsions or suspensions one may use as excipients e.g. water, alcohols, aqueous saline, aqueous dextrose, polyols, glycerin, lipids, phospholipids, cyclodextrins, vegetable, petroleum, animal or synthetic oils.
- excipients e.g. water, alcohols, aqueous saline, aqueous dextrose, polyols, glycerin, lipids, phospholipids, cyclodextrins, vegetable, petroleum, animal or synthetic oils.
- lipids and more preferred are phospholipids (preferred of natural origin; especially preferred with a particle size between 300 to 350 nm) preferred in phosphate buffered saline (pH 7 to 8, preferred 7.4).
- Compound 1 can be easily formulated, using lyophilisation.
- Compound 1 can e.g. be formulated together with sorbitol and sodium hydroxide and lyophilised in glass vials.
- the lyophilisate can be easily reconstituted by addition of water for injection and gentle shaking to form a yellow, sterile solution ready for intravenous injection.
- compositions of the present invention may also contain additives for conservation and/or stabilisation, e.g. UV stabilizers, emulsifiers, salts to change the osmotic pressure, buffers and antioxidants.
- additives for conservation and/or stabilisation e.g. UV stabilizers, emulsifiers, salts to change the osmotic pressure, buffers and antioxidants.
- Compound 2 shows the following activities against several bacterial strains. MIC testing was done according to CLSI (formerly NCCLS) guidelines: Performance Standards for Antimicrobial Susceptibility Testing 11th Informational Supplement, Vol. 21 No 1, M100-S11, Jan. 2001 . NCCLS. Revised edition: 17th Informational Supplement, Vol. 27 No 1, M100-S16, Jan. 2007 .
- Bacterial strains MIC (mg/l) Staphylococcus aureus ATCC 29213 0,5 Staphylococcus aureus ATCC 33593 0,25 Staphylococcus aureus ATCC 43300 0,5 Staphylococcus aureus Visa Mu 50 0,5 Staphylococcus aureus NRS 120 2 Streptococcus pneumoniae ATCC 33400 0,03 Enterococcus faecalis ATCC 29212 0,25 Enterococcus faecalis ATCC 51299 0,25
- Compound 1 has been administered to animals of different species (among them mice and rats) by intravenous (iv.) bolus injection.
- the duration of this bolus injection had been set to 2 minutes to ensure that the exposure to the Prodrug (Compound 1) as well as to the Drug (Compound 2) is as high as possible for a given dose.
- the maximum plasma concentration (Cmax) of the Prodrug (Compound 1) has been observed at the end of the bolus injection.
- the Drug (Compound 2) is very rapidly generated from the Prodrug (Compound 1): In all studies Cmax of the Drug (Compound 2) was observed at the very first sampling time (i.e. ⁇ 5min after the end of the iv. bolus injection).
- BW body weight
- the exposure to the Drug (Compound 2) was much higher after the 20-min infusion (infusion rate 9 mg/(kg BW x h)) than after bolus administration of 3.0 mg/kg BW, i.e. 149% and 130% for the area under the curve (AUC) and the maximum concentration (Cmax), respectively (see table 1).
- the dose-normalized exposure data of the Drug (Compound 2) are even higher than those measured following the dose of 3 mg/kg BW regardless if administered as iv. bolus or 20 min infusion (see table 1).
- Table 1 Mean exposure data of the Drug (Compound 2) after intravenous administration of 3.0 mg/kg BW Prodrug (Compound 1) as bolus, or after 20 min infusions of 3.0 or 1.5 mg/kg BW at an infusion rate of 9.0 and 4.5 mg/(kg BW x h), respectively.
- a dose of 1.5 mg/kg BW infused at a rate of 4.5 mg/(kg BW x h) resulted in a similar exposure compared to a dose of 3.0 mg/kg BW infused at a rate of 9.0 mg/(kg BW x h).
- Prodrug (Compound 1) was administered to 30 healthy Caucasian male volunteers at infusion rates ranging between 0.4 and 3.0 mg/(kg BW x h). This range of infusion rates has been realised by combining different doses (1 - 6 mg/kg BW) with different durations of infusion (20 - 720 min).
- the ratio of the AUC-values of the Drug vs. the Prodrug (Compound 2/Compound 1) was used as a measure of the conversion efficacy.
- the infusion rates of the respective Cohort and the resulting ratios are given in table 2; the higher the ratio, the more efficient the conversion of the Prodrug (Compound 1) into the Drug (Compound 2).
- Table 2 Infusion rates applied to the Cohorts of volunteers and resulting AUC ratios Compound 2/Compound 1 Infusion Rate [mg/(kg BW•h)] Mean ratio Cohort 1 3.00 0.65 1.50 0.72 0.75 0.86 Cohort 2 1.50 0.75 0.75 0.83 0.40 0.62 Cohort 3 0.50 0.65 0.50 0.60 0.50 0.63
- the mean ratios of AUC Compound 2/Compound 1 ranged between 0.86 and 0.60. It has been observed that the ratios were similar at identical infusion rates even if the doses administered are different.
- an infusion rate between 0.4 and 0.75 mg/(kg BW x h) is especially preferred.
- Clostridium difficile strains were collected from 67 patients and analyzed for the presence of C. difficile toxin B by the cell cytotoxicity neutralization assay, genes for toxin A, toxin B, binary toxin and TcdC deletion by PCR. All strains were also PCR-ribotyped. The MICs of the isolates were determined against Compound 2 by the agar dilution method. All isolates were positive for toxin B. One hundred thirteen isolates were positive for toxin A and B genes. In addition, 13 isolates were positive for the binary toxin genes. Thirty-two different ribotypes were identified. No strain of ribotype 027 was found. All 114 isolates were sensitive to Compound 2 (MIC range 0.008-0.5 mg/l). Accordingly, Compound 2 has a potent in vitro activity against C. difficile.
- C. difficile strains were selected from 67 patients (26 males and 41 females) with primary and/or recurrent CDI.
- the mean age of the patients was 74 years (age range 19-97 years).
- the strains (67 primary and 47 recurrent isolates) were identified by characteristic colony morphology, typical smell and Gram staining. Gas chromatography was used to detect volatile, short chain fatty acids production by the C. difficile strains for the final identification.
- toxin B was determined by the cell cytotoxicity neutralization assay.
- the gene for toxin A was detected by conventional PCR [ Kato H, Kato N, Watanabe K, Iwai N, Nakamura H, Yamamoto T, et al. Identification of toxin A-negative, toxin B-positive Clostridium difficile by PCR. J Clin Microbiol 1998;36:2178-82 ].
- the genes for toxin B, the binary toxin and TcdC deletion were detected by real time PCR using the GeneXpert® System (Cepheid, Sunnyvale, CA, USA) assay [ Huang H, Weintraub A, Fang H, Nord CE. Comparison of a commercial multiplex real-time PCR to the cell cytotoxicity neutralization assay for diagnosis of Clostridium difficile infections. J Clin Microbiol 2009;47:3729-31 ].
- PCR ribotyping and electrophoresis of the gels were performed with a method described previously [ Stubbs SL, Brazier JS, O'Neill GL, Duerden BI. PCR targeted to the 16S-23S rRNA gene intergenic spacer region of Clostridium difficile and construction of a library consisting of 116 different PCR ribotypes. J Clin Microbiol 1999;37:461-3 ; Rashid MU, Lozano HM, Weintraub A, Nord CE. In vitro activity of cadazolid against Clostridium difficile strains isolated from primary and recurrent infections in Sweden. Anaerobe 2013;20:32-5 ]. The gels were scanned and analyzed by Bionumerics software version 6.6.
- the antimicrobial susceptibility of the C. difficile strains was determined according to CLSI guidelines by the agar dilution method using Bacteroides fragilis ATCC 25285 and C. difficile ATCC 700057 as reference strains [CLSI. Methods for Antimicrobial Susceptibility Testing of Anaerobic Bacteria; Approved Standard-Eighth Edition. 2012 ].
- Compound 2 was prepared as described in WO 2005/058888 .
- MIC was defined as the lowest concentration of the drug that inhibited growth completely.
- MIC 50/90 corresponds to the concentrations that inhibit the growth of 50% and 90% of the strains tested, respectively.
- the 114 strains were positive for toxin B by cell cytotoxicity neutralization assay. One hundred thirteen strains were positive for the genes of both toxin A and B. In addition, 13 strains were positive for the binary toxin genes. All strains were negative for TcdC deletion.
- the antimicrobial susceptibility patterns are shown in Table 2. All strains were sensitive to Compound 2 with MIC 90 values of 0.064 mg/l. None of the 114 C . difficile strains were resistant against Compound 2. Table 2: Minimum inhibitory concentrations of 114 C. difficile strains against Compound 2. MIC 50 (mg/l) MIC 90 (mg/l) Range (mg/l) 0.032 0.064 0.008-0.5
Landscapes
- Health & Medical Sciences (AREA)
- Chemical & Material Sciences (AREA)
- Life Sciences & Earth Sciences (AREA)
- General Health & Medical Sciences (AREA)
- Veterinary Medicine (AREA)
- Public Health (AREA)
- Medicinal Chemistry (AREA)
- Animal Behavior & Ethology (AREA)
- Pharmacology & Pharmacy (AREA)
- Organic Chemistry (AREA)
- General Chemical & Material Sciences (AREA)
- Nuclear Medicine, Radiotherapy & Molecular Imaging (AREA)
- Chemical Kinetics & Catalysis (AREA)
- Epidemiology (AREA)
- Oncology (AREA)
- Communicable Diseases (AREA)
- Engineering & Computer Science (AREA)
- Bioinformatics & Cheminformatics (AREA)
- Biochemistry (AREA)
- Molecular Biology (AREA)
- Pharmaceuticals Containing Other Organic And Inorganic Compounds (AREA)
- Dermatology (AREA)
Description
- The present invention relates to the use of oxazolidinone-quinolone hybrids for the parenteral (especially intravenous) treatment or prophylaxis of bacterial diseases.
- According to a preferred embodiment, the present invention relates to improved methods of administering oxazolidinone-quinolone hybrid antibacterials.
- According to a moreover preferred embodiment, the present invention relates to the use of oxazolidinone-quinolone hybrids for the parenteral (especially intravenous) treatment or prophylaxis of intestinal diseases which are caused by Gram-positive bacteria (e.g. S. aureus, Enterococcus spp.), especially Gram-positive anaerobes such as Clostridium spp., in particular Clostridium difficile and Clostridium perfringens (especially by Clostridium difficile).
- Oxazolidinone-quinolone hybrids are useful antimicrobial agents effective against a variety of human and veterinary pathogens. Oxazolidinone-quinolone hybrids have already been described in the prior art (e.g. in
,WO 02/059116 ,WO 03/002560 ,WO 03/031443 ,WO 03/032962 WO 2004/096221 ,WO 2005/058888 ,WO 2007/017828 ,WO 2008/056335 ,WO 2008/062379 andWO 2009/136379 ). - Clostridium difficile, a Gram-positive, spore forming, anaerobic bacillus, is a leading cause of antibiotic-associated diarrhea especially in hospitals and long-term care facilities but also in low risk persons, such as healthy persons in the community, and peripartum women. Clostridium difficile infections can be triggered in patients e.g. as a consequence of treatment with broad spectrum antibacterials that alter the ecological balance of the commensal intestinal flora, allowing C. difficile proliferation and toxin production as well as C. difficile spore germination. Symptoms of Clostridium difficile infections may vary from mild diarrhea to life-threatening clinical pictures such as fulminant colitis, pseudomembranous colitis, toxic megacolon, and death. These symptoms are mainly caused by the cytotoxic effects of C. difficile toxin A and toxin B.
- The epidemiology of Clostridum difficile infections (CDI) has changed over the past 15 years as the population of elderly is increasing: age >65 years is one of the most important risk factors for CDI and the majority of CDI is occuring in patients aged >65 years: from 1996 to 2009 CDI in patients >65 years increased by 200% in total (National Hospital Discharge Survey Annual files 1996-2009: http://www.cdc/nchs/nhds.htm, accessed on May 22, 2013).
- Most cases of CDI are currently treated with oral administration of the antibacterials metronidazole, vancomycin or fidaxomicin. Frequency of recurrence of CDI is between 20 % and 25 % for metronidazole or vancomycin, and approximately 13 % for fidaxomicin (Tillotson GS and Tillotson J: Clostridium difficile - a moving target. F1000 Medicine Reports 2011, 3:6 doi:10.3410/M3-6). Both the cure rate of oral therapy is decreasing, and the recurrence rate is increasing with the age of CDI patients (Pepin J, Alary ME, Valiquette L, Raiche E, Ruel J, Fulop K, Godin D, Bourassa C: Increasing risk of relapse after treatment of Clostridium difficile colitis in Quebec, Canada. Clin Infect Dis 2005; 40: 1591-1597). Furthermore, mortality of CDI patients is increasing with age (Miller M, Gravel D, Mulvey M, Taylor G, Boyd D, Simor A, Gardam M, McGeer A, Hutchinson J, Moore D, Kelly S: Health care-associated Clostridium difficile infection in Canada: Patient age and infecting strain type are highly predictive of severe outcome and mortality. Clin Infect Dis 2010; 50: 194-201).
- Parenteral (especially intravenous) treatment or prophylaxis of CDI is preferable for the following reasons:
- 1) Elderly patients often have difficulties with oral administration of antibacterials, i.e. swallowing tablets, which is circumvented by parenteral (especially intravenous) treatment of CDI.
- 2) The clinical presentation of CDI is characterized by watery diarrhea and frequent unformed bowel movements per day. Consequently, orally administered antibacterial agents are rapidly eliminated/excreted (Yoo J, Lightner AL: Clostridium difficile infections: what every clinician should know. The Permanente Journal 2010; 14: 35-40). Parenteral (especially intravenous) treatment would prolong exposure of Clostridium difficile in the gastro-intestinal tract to the antibacterial significantly.
- 3) Severely ill CDI patients, e.g. with ileus or toxic megacolon, may have markedly delayed passage of orally administered antibacterial agents from the stomach to the colon resulting in low and variable concentrations of the antibacterial at the location of infection (Wenisch JM, Schmid D, Tucek G, Kuo HW, Allerberger F, Michl V, Tesik P, Laferl H, Wenisch C. A prospective cohort study on hospital mortality due to Clostridium difficile infection. Infection. 2012; 40(5):479-484). Parenteral (especially intravenous) treatment would secure continous exposure of Clostridium difficile to the antibacterial in the gastro-intestinal tract.
- 4) The infectious process of C. difficile is characterized by adherence and intestinal colonization (accessory role of several pathogenicity factors like proteolytic enzymes and adhesins) followed by production of two toxins (TcdA and TcdB) which damage the colonic mucosa, so that C. difficile bacteria penetrate into cells of the gastro-intestinal mucosa. Thus, the pathogenesis of CDI is characterized by growth within mucous layers and within human gastro-intestinal cells, so that the vegetative (active) forms of C. difficile bacteria are not readily accessible by orally administered antibacterial agents distributed within the fecal matrix. Furthermore, CDI is primarily occurring in patients having been using antibacterials for treatment of infectious diseases, e.g. urinary- or respiratory-tract infections which almost always alters the intestinal commensal microbiota, disrupts colonization resistance and may promote C. difficile spore germination (inactive form), vegetative cell growth, toxin production and resistance development, so that total numbers of C. difficile vegetative cells and spores hiding in gastro-intestinal mucus, mucosal cells, villi and microvilli, and/or crypts and glands of the gastro-intestinal tract increase significantly. These persisting vegetative bacteria and spores are not accessible by orally administered antibacterial agents, however by antibacterials administered parenterally (Denève C, Janoir C, Poilane I, Fantinato C, Collignon A: New trends in Clostridium difficile virulence and pathogenesis. Int J Antimicrob Agents 2009; 33: S24-S28).
- 5) Treatment of recurrent CDI is difficult as approved intravenous treatment regimen alternatives to oral vancomycin and oral fidaxomicin are currently not available. However, recurrent episodes of CDI occur with increasing frequency. The first recurrent episode of CDI is usually treated with the same regimen as the first one, and subsequent recurrences are treated with tapered and/or pulsed doses of metronidazole or vancomycin (Stuart H. Cohen, MD; Dale N. Gerding, MD; Stuart Johnson, MD; Ciaran P. Kelly, MD; Vivian G. Loo, MD; L. Clifford McDonald, MD; Jacques Pepin, MD; Mark H. Wilcox, MD. Clinical Practice Guidelines for Clostridium difficile Infection in Adults: 2010 Update by the Society for Healthcare Epidemiology of America (SHEA) and the Infectious Diseases Society of America (IDSA). Infect Control Hosp Epidemiol 2010; 31(5):431-455). However, long term treatment with vancomycin and metronidazole has been associated with neurotoxicity (metronidazole) and nephrotoxicity (vancomycin).
- Parenteral (especially intravenous) administration of a compound of Formula (I) surprisingly resulted in a pronounced effect against Gram-positive bacteria and Gram-positive anaerobes in the gastro-intestinal tract of human subjects. Furthermore, compounds of formula (I) are effective against C difficile in-vitro although the two pharmacophores of compounds of formula (I) are ineffective against C difficile. Therefore, it could not be assumed that compounds of formula (I) could affect viable counts of Clostridium spp. in vivo: Ciprofloxacin is neither active in vitro nor effective in vivo against anaerobes, in particular not against Gram-positive anaerobes, despite high fecal concentrations. Vice versa, linezolid is active in vitro against C difficile but inactive in an in vitro human gut model. The inactivity of linezolid in this model is consistent with negligibly low fecal concentrations of linezolid (0.2% of the dose are excreted via the feces).
- It has been one object of the present invention to provide methods for administering therapeutically effective amounts of oxazolidinone-quinolone hybrids.
- The present invention provides an oxazolidinone-quinolone hybrid for use in the treatment of a bacterial infection, said treatment comprising the administration of the oxazolidinone-quinolone hybrid at an infusion rate of from 0.4 to 3 (preferably from 0.4 to 1.5; especially preferably from 0.4 to 0.75) mg/(kg body weight x h),
wherein the oxazolidinone-quinolone hybrid is a compound of formula (I), wherein - A is an alkylene group, an alkenylene group, an alkynylene group, a heteroalkylene group, a cycloalkylene group, a heterocycloalkylene group, an arylene group or a heteroarylene group all of which groups may be substituted;
- X is CR7 or N;
- Y is CR6 or N;
- n is 1, 2 or 3;
- m is 1, 2 or 3;
- R1 is H, F, Cl, Br, I, OH, NH2, an alkyl group or a heteroalkyl group;
- R2 is H, F or Cl;
- R3 is H, an alkyl group, an alkenyl group, an alkynyl group, a heteroalkyl group, a cycloalkyl group, a heterocycloalkyl group, an alkylcycloalkyl group, a heteroalkylcycloalkyl group, an aryl group, a heteroaryl group, an alkylaryl group or a heteroarylalkyl group; all of which groups may be substituted with one, two or more halogen atoms like F or Cl or amino groups;
- R4 is a group of formula PO3H2;
- R5 is selected from following groups:
- R6 is H, F, Cl or OMe;
- R7 is H, F, Cl, OH, NH2, a substituted or unsubstituted alkyl group or a substituted or unsubstituted heteroalkyl group, or
- R3 and R7 can be linked via an alkylene, an alkenylene or a heteroalkylene group or be a part of a cycloalkylene or heterocycloalkylene group; in case R3 is no H and R7 is no H, F, OH, NH2 or Cl; and
- R8 is a C1-6 alkyl, a C1-6 heteroalkyl or a heteroaralkyl group, all of which may optionally be substituted;
- or a pharmacologically acceptable salt, solvate, hydrate or formulation thereof.
- Preferably, the oxazolidinone-quinolone hybrid is administered over a period of from 20 min to 24 h; preferably of from 20 min to 5 h; further preferably of from 4 h to 12 h per day at the infusion rate of the present invention. Such a daily dose can e.g. be administered once or e.g. over a period of up to 5 days, or up to 10 days or even over a period of up to 6 months or more depending on the severity of the infection.
- The term alkyl refers to a saturated straight or branched chain hydrocarbon group, preferably containing from one to ten, especially preferably fromone to six carbon atoms, for example methyl, ethyl, propyl, isopropyl, butyl, iso-butyl, sec-butyl, tert-butyl, n-pentyl, iso-pentyl, n-hexyl, 2,2-dimethylbutyl, n-octyl or n-pentyl groups. Any alkyl group as defined herein may be substituted with one, two or more substituents, for example F, Cl, Br, I, NH2, OH, SH or NO2.
- The terms alkenyl and alkynyl refer to an unsaturated straight or branched chain hydrocarbon group (having one, two or more double and/or triple bonds, an alkenyl preferably having one or two double bonds and an alkynyl preferably having one or two triple bonds), preferably containing two to ten, preferably two to six carbon atoms for example: ethenyl (vinyl), propenyl (allyl), iso-propenyl, n-pentenyl, butenyl, isoprenyl or hexa-2-enyl; ethynyl, propynyl or butynyl groups. Any alkenyl or alkynyl group as defined herein may be substituted with one, two or more substituents, for example F, Cl, Br, I, NH2, OH, SH or NO2.
- The term heteroalkyl refers to an alkyl, alkenyl or alkynyl group as defined herein wherein one or more carbon atoms are replaced by an oxygen, nitrogen, phosphorous or sulphur atom or by a SO group or by a SO2 group, for example an alkoxy group such as methoxy, ethoxy, propoxy, iso-propoxy, butoxy or tert.-butoxy, an alkoxyalkyl group such as methoxymethyl, ethoxymethyl, 1-methoxyethyl, 1-ethoxyethyl, 2-methoxyethyl or 2-ethoxyethyl, an alkylamino group such as methylamino, ethylamino, propylamino, isopropylamino, dimethylamino or diethylamino, an alkylthio group such as methylthio, ethylthio or isopropylthio or a cyano group. It may also refer to one of the above groups containing a keto group. The term heteroalkyl furthermore refers to a group derived from a carboxylic acid or carboxylic acid amide such as acetyl, propionyl, acetyloxy, propionyloxy, acetylamino or propionylamino, a carboxyalkyl group such as carboxymethyl, carboxyethyl or carboxypropyl, a carboxyalkyl ester, an alkylthiocarboxyamino group, an alkoxyimino group, an alkylaminothiocarboxyamino group or an alkoxycarbonylamino group. Any heteroalkyl group as defined herein may be substituted with one, two or more substituents, for example F, Cl, Br, I, NH2, OH, SH or NO2.
- The term C1-C6 heteroalkyl refers to a heteroalkyl group containing from 1 to 6 carbon atoms and 1, 2 or 3 heteroatoms selected from O, S and/or N (especially O and/or N).
- The term cycloalkyl refers to a saturated or partially unsaturated (having one, two or more double and/or triple bonds) cyclic group with one, two or more rings, having three to 14 carbon ring-atoms, preferably from five or six to ten carbon ring-atoms, for example cyclopropyl, cyclobutyl, cyclopentyl, cyclohexyl, tetralin, cyclopentenyl or cyclohex-2-enyl groups. Any cycloalkyl group as defined herein may be substituted with one, two or more substituents, for example F, Cl, Br, I, OH, =O, NH2, =NH, SH, =S, N3, NO2, alkyl groups such as methyl or ethyl, heteroalkyl groups such as methoxy, methylamino, dimethylamino or cyanide.
- The term heterocycloalkyl refers to a cycloalkyl group as defined herein where one, two or more carbon ring-atoms are replaced by one, two or more oxygen, nitrogen, phosphorous or sulphur atoms or S(0)1-2 groups for example piperidino, morpholino or piperazino groups.
- The term alkylcycloalkyl refers to groups that contain both cycloalkyl and also alkyl, alkenyl or alkynyl groups in accordance with the above definitions, for example alkylcycloalkyl, cycloalkylalkyl, alkylcycloalkenyl, alkenylcycloalkyl and alkynylcycloalkyl groups. An alkylcycloalkyl group preferably contains a cycloalkyl group that contains one or two rings having from 3 to 10 (especially 3, 4, 5, 6 or 7) ring carbon atoms, and one or two alkyl, alkenyl or alkynyl groups (especially alkyl groups) having 1 or 2 to 6 carbon atoms.
- The term heteroalkylcycloalkyl refers to alkylcycloalkyl groups as defined above in which one or more (preferably 1, 2 or 3) carbon atoms have been replaced by an oxygen, nitrogen, phosphorus or sulfur atom (preferably by an oxygen, sulfur or nitrogen atom) or a SO group or a SO2 group. A heteroalkylcycloalkyl group preferably contains 1 or 2 rings having from 3 to 10 (especially 3, 4, 5, 6 or 7) ring atoms, and one or two alkyl, alkenyl, alkynyl or heteroalkyl groups (especially alkyl or heteroalkyl groups) having from 1 or 2 to 6 carbon atoms. Examples of such groups are alkylheterocycloalkyl, alkylheterocycloalkenyl, alkenylheterocycloalkyl, alkynylheterocycloalkyl, heteroalkylcycloalkyl, heteroalkylheterocycloalkyl and heteroalkylheterocycloalkenyl, the cyclic groups being saturated or mono-, di- or tri-unsaturated.
- The term aryl refers to an aromatic cyclic group with one, two or more rings, having five to 14 carbon ring-atoms preferably from five or six to ten carbon ring-atoms, for example phenyl or naphthyl groups. Any aryl group as defined herein may be substituted with one, two or more substituents, for example F, Cl, Br, I, OH, NH2, SH, N3, NO2, alkyl groups such as methyl or ethyl, heteroalkyl groups such as methoxy, methylamino, dimethylamino or cyanide.
- The term heteroaryl refers to an aromatic group that contains one or more rings containing from 5 to 14 ring atoms, preferably from 5 to 10 (especially 5 or 6 or 9 or 10) ring atoms, and contains one or more (preferably 1, 2, 3 or 4) oxygen, nitrogen, phosphorus or sulfur ring atoms (preferably O, S or N) in addition to the carbon ring atoms. The expression heteroaryl refers furthermore to groups that are substituted by fluorine, chlorine, bromine or iodine atoms or by OH, SH, N3, NH2 or NO2 groups. Examples are pyridyl (e.g. 4-pyridyl), imidazolyl (e.g. 2-imidazolyl), phenylpyrrolyl (e.g. 3-phenylpyrrolyl), thiazolyl, isothiazolyl, 1,2,3-triazolyl, 1,2,4-triazolyl, oxadiazolyl,thiadiazolyl, indolyl, indazolyl, tetrazolyl, pyrazinyl, pyrimidinyl, pyridazinyl, oxazolyl, isoxazolyl, triazolyl, tetrazolyl, isoxazolyl, indazolyl, indolyl, benzimidazolyl, benzoxazolyl, benzisoxazolyl, benzthiazolyl, pyridazinyl, quinolinyl, isoquinolinyl, pyrrolyl, purinyl, carbazolyl, acridinyl, pyrimidyl, 2,3'-bifuryl, pyrazolyl (e.g. 3-pyrazolyl) and isoquinolinyl groups.
- The term aralkyl (or arylalkyl or alkylaryl) refers to groups that comprise both, aryl as well as alkyl, alkenyl, alkynyl and/or cycloalkyl groups.
- The term heteroaralkyl (or heteroarylalkyl or heteroalkylaryl or heteroalkylheteroaryl etc.) refers to an aralkyl group as defined herein where one, two, three or more carbon atoms are replaced by one, two, three or more oxygen, nitrogen, phosphorous or sulphur atoms or S(0)1-2 groups, that is to say to groups containing both aryl or heteroaryl, respectively, and also alkyl, alkenyl, alkynyl and/or heteroalkyl and/or cycloalkyl and/or heterocycloalkyl groups in accordance with the above definitions.
- Preferably, any alkyl, alkenyl, alkynyl, heteroalkyl, cycloalkyl, heterocycloalkyl, alkylcycloalkyl, heteroalkylcycloalkyl,aryl, heteroaryl, aralkyl or heteroarylalkyl groups as defined herein may be substituted with one or more halogen atoms, NH2, SH, NO2 or OH groups or unsubstituted alkyl, heteroalkyl, aryl, aralkyl, aralkyloxy, heteroaryl, cycloalkyl or heterocycloalkyl groups as defined herein.
- The term "optionally substituted" or "substituted" refer to groups wherein one or more hydrogen atoms may be replaced by a halogen atom, a NH2, SH, =NH, =S, =O, NO2 or OH group or by an unsubstituted alkyl, heteroalkyl, aryl, aralkyl, aralkyloxy, heteroaryl, cycloalkyl or heterocycloalkyl group as defined herein. Preferred substituents are F, Cl, OH and NH2.
- In the context of the present invention, the terms antibacterial agent(s), antibacterial(s), antimicrobial(s), antimicrobial agent(s) and antibacterial compound(s) preferably have the same meaning. Further, in the context of the present invention the term oxazolidinone-quinolone hybrid preferably refers to oxazolidinone-quinolone hybrid antibacterials.
- Preferred and/or advantageous embodiments of the invention are subject-matter of the subclaims.
- Preferred are compounds of Formula (I), wherein R1 is H.
- Further preferred are compounds of Formula (I), wherein R2 is F or H.
- Moreover preferred are compounds of Formula (I), wherein R3 is an ethyl, a 2-propyl, a C3-C6 cycloalkyl (i.e. cyclopropyl, cyclobutyl, cyclopentyl or cyclohexyl), a phenyl or a pyridyl group. All these groups may be substituted with one, two, three or more fluorine atoms or amino groups.
- Moreover preferred are compounds of Formula (I), wherein R3 is a cyclopropyl group.
- Further preferred are compounds of Formula (I), wherein R7 and R3 together form a bridge of the formula -O-CH2-N(Me)- or -O-CH2-CH(Me)- wherein the oxygen atom is bound to position X. Herein, the preferred stereochemistry at the chiral center is the one giving the (S) configuration in the final compound.
- Moreover preferred are compounds of formula (I), wherein R4 is a hydrogen atom or a group of formula SO3H, PO3H2, CH2OPO3H2 or COCH2CH2COOH.
- Further preferred are compounds of formula (I), wherein R4 is an ester of a naturally occurring amino acid or a derivative thereof (preferably a group of formula -COCHR'NH2 or a derivative like an ester, amide or alkylamine thereof, wherein R' is the side chain of a naturally occurring amino acid like aspartic acid, glutaric acid, lysine, etc; e.g. dimethyl aminoglycine OCOCH2N(CH3)2).
- Especially preferred are compounds of formula (I), wherein R4 is a hydrogen atom or a group of formula PO3H2.
- Most preferred are compounds of formula (I), (II) or (III), wherein R4 is a group of formula PO3H2 or salts thereof (especially a sodium salt).
-
-
- Further preferred are compounds of Formula (I), wherein R8 is a C1-6 alkyl or a C1-6 heteroalkyl group.
- Moreover preferred are compounds of Formula (I), wherein R8 is a group of the formula -CH2NHCOCH=CHAryl, -CH2OHeteroaryl (especially -oxa-3-oxazol), -CH2NHSO2Me, -CH2NHCOOMe, -CH2NHCOMe, -CH2NHCS2Me, -CH2NHCSMe, -CH2NHCSNH2, -CH2NHCSOMe or -NHCOMe; especially -CH2NHCSMe, -CH2OH or -CH2NHCOMe.
- Especially preferred are compounds of Formula (I), wherein R8 is a group of the formula -CH2NHCOMe or -CH2OH.
-
-
- Moreover preferred are compounds of Formula (I), wherein R7 is H, F, Cl or a methoxy group that may be substituted by one, two or three fluorine atoms.
- Especially preferred are compounds of Formula (I), wherein R7 is H or a methoxy group.
- Further preferred are compounds of formula (I), wherein X is N or CH; especially preferably, X is CH.
- Moreover preferred are compounds of Formula (I), wherein Y is CH.
- Further preferred are compounds of formula (I), wherein n is 1 or 2; especially preferably 2.
- Moreover preferred are compounds of Formula (I), wherein m is 2.
- Further preferred are compounds of Formula (I), wherein A is C1-6 alkylene, C2-6 alkenylene, C2-6 alkynylene, C1-6 heteroalkylene, cyclopropylene, epoxide, aziridine, thioepoxide, lactame or lactone, all of which groups may be subsitituted.
- Especially preferred are compounds of formula (I), wherein A is a group of formula -CH2CH2-, -OCH2-, -OCH2CH2-, -SCH2-, -SCH2CH2-, -CH=CH-, -C≡C-, -CH(OH)CH(OH) - or -CH(NH2)CH(OH)-. Especially preferably, A is a group of formula -OCH2-, wherein the oxygen atom is bound to the aromatic ring comprising group Y.
- Moreover preferred are compounds of formula (I), wherein A is a group of Formula -O-B-, wherein B is a C1-4 alkylene group, a C2-4 alkenylene group, a C2-4 alkynylene group or a C1-4 heteroalkylene group, all of which groups may be substituted by one, two or more hydroxy or amino groups. Therein, the oxygen atom is bound to the aromatic ring comprising Y and B is bound to the heterocycloalkylgroup at the carbon atom carrying group -O-R4.
- Especially preferred are compounds of formula (I), wherein B is CH2 or CH2CH2; especially preferably CH2.
-
- In a preferred embodiment B is CH2; X is CH, N or C-OMe and R3 is cyclopropyl or X is CR7 and R7 and R3 together form a bridge of the formula -O-CH2-CH(Me)-, wherein the preferred stereochemistry at the chiral center is the one giving the (S) configuration in the final compound, n is 1, 2 or 3 (especially 1 or 2), m is 1, 2 or 3 (especially 2), R4 is a hydrogen atom or a group of formula PO3H2 and R8 is a group of the formula -CH2NHCOMe or -CH2OH or a pharmacologically acceptable salt, solvate, hydrate or formulation thereof.
-
- Moreover preferred are the mono, di or tri sodium salts (most preferred the mono sodium salts) of compounds of formula (I), (II) or (III) or mixtures thereof, especially, when R4 is PO3H2. Especially preferred are the mono, di or tri sodium salts (most preferred the mono sodium salts) of compounds of formula (I), (II) or (III), wherein R4 is PO3H2 or mixtures thereof.
- Especially preferred the oxazolidinone-quinolone hybrid is selected from the following compounds:
- 7-(4-{4-[(5S)-5-(Acetylamino-methyl)-2-oxo-oxazolidin-3-yl] -2-fluoro-phenoxymethyl}-4-hydroxy-piperidin-1-yl)-1-cyclopropyl-6-fluoro-4-oxo-1,4-dihydro-[1,8]naphthyridine-3-carboxylic acid;
- 7-(4-{4-[(5S)-5-(Acetylamino-methyl)-2-oxo-oxazolidin-3-yl] -2-fluoro-phenoxymethyl}-4-phosphonooxy-piperidin-1-yl)-1-cyclopropyl-6-fluoro-4-oxo-1,4-dihydro-[1,8]naphthyridine-3-carboxylic acid;
- 7-[4-{4-[(5S)-5-(Acetylamino-methyl)-2-oxo-oxazolidin-3-yl]-2-fluoro-phenoxymethyl}-4-(2,6-diamino-hexanoyloxy)-piperidin-1-yl]-1-cyclopropyl-6-fluoro-4-oxo-1,4-dihydro-[1,8]naphthyridine-3-carboxylic acid;
- Succinic acid mono-[4-{4-[(5S)-5-(acetylamino-methyl)-2-oxo-oxazolidin-3-yl]-2-fluoro-phenoxymethyl}-1-(6-carboxy-8-cyclopropyl-3-fluoro-5-oxo-5,8-dihydro-[1,8]naphthyridin-2-yl)-piperidin-4-yl] ester;
- 7-(4-{4-[(5S)-5-(Acetylamino-methyl)-2-oxo-oxazolidin-3-yl]-2-fluoro-phenoxymethyl}-4-hydroxy-piperidin-1-yl)-1-cyclopropyl-6-fluoro-4-oxo-1,4-dihydro-quinoline-3-carboxylic acid;
- 7-(4-{4-[(5S)-5-(Acetylamino-methyl)-2-oxo-oxazolidin-3-yl]-2-fluoro-phenoxymethyl}-4-phosphonooxy-piperidin-1-yl)-1-cyclopropyl-6-fluoro-4-oxo-1,4-dihydro-quinoline-3-carboxylic acid;
- 7-(4-{4-[(5S)-5-(Acetylamino-methyl)-2-oxo-oxazolidin-3-yl]-2-fluoro-phenoxymethyl}-4-hydroxy-piperidin-1-yl)-1-cyclopropyl-6-fluoro-8-methoxy-4-oxo-1,4-dihydro-quinoline-3-carboxylic acid;
- 7-(4-{4-[(5S)-5-(Acetylamino-methyl)-2-oxo-oxazolidin-3-yl] -2-fluoro-phenoxymethyl}-4-hydroxy-piperidin-1-yl)-1-cyclopropyl-8-methoxy-4-oxo-1,4-dihydro-quinoline-3-carboxylic acid;
- 9-(4-{4-[(5S)-5-(Acetylamino-methyl)-2-oxo-oxazolidin-3-yl]-2-fluoro-phenoxymethyl)-4-hydroxy-piperidin-1-yl)-8-fluoro-3-methyl-6-oxo-2,3-dihydro-6H-1-oxa-3a-aza-phenalene-5-carboxylic acid;
- 7-(3-{4-[(5S)-5-(Acetylamino-methyl)-2-oxo-oxazolidin-3-yl]-2-fluoro-phenoxymethyl}-3-hydroxy-pyrrolidin-1-yl)-1-cyclopropyl-6-fluoro-4-oxo-1,4-dihydro-[1,8]naphthyridine-3-carboxylic acid;
- 7-(3-(4-[(SS)-5-(Acetylamino-methyl)-2-oxo-oxazolidin-3-yl]-2-fluoro-phenoxymethyl}-3-hydroxy-pyrrolidin-1-yl)-1-cyclopropyl-6-fluoro-4-oxo-1,4-dihydro-quinoline-3-carboxylic acid;
- 7-(3-{4-[(5S)-5-(Acetylamino-methyl)-2-oxo-oxazolidin-3-yl] -2-fluoro-phenoxymethyl}-3-hydroxy-pyrrolidin-1-yl)-1-cyclopropyl-6-fluoro-8-methoxy-4-oxo-1,4-dihydro-quinoline-3-carboxylic acid;
- 7-(3-{4-[(5S)-5-(Acetylamino-methyl)-2-oxo-oxazolidin-3-yl]-2-fluoro-phenoxymethyl}-3-hydroxy-pyrrolidin-1-yl)-1-cyclopropyl-8-methoxy-4-oxo-1,4-dihydro-quinoline-3-carboxylic acid;
- 9-(3-{4-[(5S)-5-(Acetylamino-methyl)-2-oxo-oxazolidin-3-yl]-2-fluoro-phenoxymethyl}-3-hydroxy-pyrrolidin-1-yl)-8-fluoro-3-methyl-6-oxo-2,3-dihydro-6H-1-oxa-3a-aza-phenalene-5-carboxylic acid;
- 7-(4-{4-[(5S)-5-(Acetylamino-methyl)-2-oxo-oxazolidin-3-yl]-2-fluoro-phenoxymethyl}-4-hydroxy-azepan-1-yl)-1-cyclopropyl-6-fluoro-4-oxo-1,4-dihydro-quinoline-3-carboxylic acid;
- 7-(4-{4-[(5S)-5-(Acetylamino-methyl)-2-oxo-oxazolidin-3-yl]-2-fluoro-phenoxymethyl}-4-hydroxy-azepan-1-yl)-1-cyclopropyl-6-fluoro-4-oxo-1,4-dihydro-[1,8]naphthyridine-3-carboxylic acid;
- 7-(4-{4-[5S-(acetylamino-methyl)-2-oxo-oxazolidin-3-yl]-2-fluoro-phenylethynyl}-4-hydroxy-piperidin-1-yl)-1-cyclopropyl-6-fluoro-4-oxo-1,4-dihydro-quinoline-3-carboxylic acid;
- 7-(4-{4-[5S-(acetylamino-methyl)-2-oxo-oxazolidin-3-yl]-2-fluoro-phenylethynyl}-4-hydroxy-piperidin-1-yl)-1-cyclopropyl-6-fluoro-4-oxo-1,4-dihydro-[1,8] -napthyridine-3-carboxylic acid;
- 7-[4-(2-{4-[5S-(acetylamino-methyl)-2-oxo-oxazolidin-3-yl]-2-fluoro-phenyl}-ethyl)-4-hydroxy-piperidin-1-yl]-1-cyclopropyl-6-fluoro-4-oxo-1,4-dihydro-quinoline-3-carboxylic acid;
- 1-cyclopropyl-6-fluoro-7-[4-({2-fluoro-4-[(5R)-5-(hydroxymethyl)-2-oxo-1,3-oxazolidin-3-yl]phenoxy}methyl)-4-hydroxypiperidin-1-yl]-4-oxo-1,4-dihydroquinolin-3-carboxylic acid;
- or a pharmacologically acceptable salt, solvate, hydrate or formulation thereof.
- Further especially preferred is the sodium salt of 7-(4-{4-[(5S)-5-(Acetylamino-methyl)-2-oxo-oxazolidin-3-yl] -2-fluoro-phenoxymethyl}-4-phosphonooxy-piperidin-1-yl)-1-cyclopropyl-6-fluoro-4-oxo-1,4-dihydro-quinoline-3-carboxylic acid or a pharmacologically acceptable solvate, hydrate or formulation thereof.
- More preferably the oxazolidinone-quinolone hybrid is selected from the following compounds:
- 7-(4-{4-[(5S)-5-(acetylamino-methyl)-2-oxo-oxazolidin-3-yl]-2-fluoro-phenoxymethyl}-4-hydroxy-piperidin-1-yl)-1-cyclopropyl-6-fluoro-4-oxo-1,4-dihydro-quinoline-3-carboxylic acid:
and - 7-(4-{4-[(5S)-5-(acetylamino-methyl)-2-oxo-oxazolidin-3-yl] -2-fluoro-phenoxymethyl}-4-phosphonooxy-piperidin-1-yl)-1-cyclopropyl-6-fluoro-4-oxo-1,4-dihydro-quinoline-3-carboxylic acid:
- or a salt thereof, such as e.g.: the sodium salt of 7-(4-{4-[(5S)-5-(acetylamino-methyl)-2-oxo-oxazolidin-3-yl]-2-fluoro-phenoxymethyl}-4-phosphonooxy-piperidin-1-yl)-1-cyclopropyl-6-fluoro-4-oxo-1,4-dihydro-quinoline-3-carboxylic acid.
- Most preferably, the oxazolidinone-quinolone hybrid is the sodium salt of 7-(4-{4-[(5S)-5-(acetylamino-methyl)-2-oxo-oxazolidin-3-yl]-2-fluoro-phenoxymethyl}-4-phosphonooxy-piperidin-1-yl)-1-cyclopropyl-6-fluoro-4-oxo-1,4-dihydroquinoline-3-carboxylic acid.
- According to an especially preferred embodiment, the present invention provides a method for administering an oxazolidinone-quinolone hybrid, comprising administering to a patient in need thereof the oxazolidinone-quinolone hybrid at an infusion rate of from 0.4 to 3.0 (preferably from 0.4 to 1.5; especially preferably from 0.4 to 0.75) mg/(kg body weight x h), wherein the oxazolidinone-quinolone hybrid is: 7-(4-{4-[(5S)-5-(acetylamino-methyl)-2-oxo-oxazolidin-3-yl]-2-fluoro-phenoxymethyl}-4-phosphonooxy-piperidin-1-yl)-1-cyclopropyl-6-fluoro-4-oxo-1,4-dihydro-quinoline-3-carboxylic acid:
or a salt thereof, such as e.g.: the sodium salt of 7-(4-{4-[(5S)-5-(acetylamino-methyl)-2-oxo-oxazolidin-3-yl]-2-fluoro-phenoxymethyl}-4-phosphonooxy-piperidin-1-yl)-1-cyclopropyl-6-fluoro-4-oxo-1,4-dihydro-quinoline-3-carboxylic acid. - According to a further especially preferred embodiment, the present invention provides a method for the use of an oxazolidinone-quinolone hybrid for the manufacture of a medicament for treating a bacterial infection in a patient in need thereof wherein the oxazolidinone-quinolone hybrid is administered at an infusion rate of from 0.4 to 3.0 (preferably from 0.4 to 1.5; especially preferably from 0.4 to 0.75) mg/(kg body weight x h), wherein the oxazolidinone-quinolone hybrid is:
- 7-(4-{4-[(5S)-5-(acetylamino-methyl)-2-oxo-oxazolidin-3-yl]-2-fluoro-phenoxymethyl}-4-phosphonooxy-piperidin-1-yl)-1-cyclopropyl-6-fluoro-4-oxo-1,4-dihydro-quinoline-3-carboxylic acid:
- or a salt thereof, such as e.g.: the sodium salt of 7-(4-{4-[(5S)-5-(acetylamino-methyl)-2-oxo-oxazolidin-3-yl]-2-fluoro-phenoxymethyl}-4-phosphonooxy-piperidin-1-yl)-1-cyclopropyl-6-fluoro-4-oxo-1,4-dihydro-quinoline-3-carboxylic acid.
- According to a further especially preferred embodiment, the present invention provides an oxazolidinone-quinolone hybrid for use in the treatment of a bacterial infection, said treatment comprising the administration of the oxazolidinone-quinolone hybrid at an infusion rate of from 0.4 to 3 (preferably from 0.4 to 1.5; especially preferably from 0.4 to 0.75) mg/(kg body weight x h), wherein the oxazolidinone-quinolone hybrid is:
- 7-(4-{4-[(5S)-5-(acetylamino-methyl)-2-oxo-oxazolidin-3-yl]-2-fluoro-phenoxymethyl}-4-phosphonooxy-piperidin-1-yl)-1-cyclopropyl-6-fluoro-4-oxo-1,4-dihydro-quinoline-3-carboxylic acid:
- or a salt thereof, such as e.g.: the sodium salt of 7-(4-{4-[(5S)-5-(acetylamino-methyl)-2-oxo-oxazolidin-3-yl]-2-fluoro-phenoxymethyl}-4-phosphonooxy-piperidin-1-yl)-1-cyclopropyl-6-fluoro-4-oxo-1,4-dihydro-quinoline-3-carboxylic acid.
- According to the present invention an infusion rate from 0.4 to 0.75 mg/(kg BW x h) is especially preferred.
- The infusion rates of the present invention may be used for patients in clinical applications and in veterinary applications. The infusion rates (mg/(kg BW x h)) of the oxazolidinone-quinolone hybrids of the present invention are safe and efficacious in clinical or veterinary applications.
- In an especially preferred embodiment, the infusion rate of the present invention is 0.5 mg/(kg BW x h).
- Moreover especially preferred is the administration of the sodium salt of 7-(4-{4-[(5S)-5-(Acetylamino-methyl)-2-oxo-oxazolidin-3-yl]-2-fluoro-phenoxymethyl}-4-phosphonooxy-piperidin-1-yl)-1-cyclopropyl-6-fluoro-4-oxo-1,4-dihydroquinoline-3-carboxylic acid at a dose of 6 mg/kg body weight over 12 hours for 5 consecutive days to humans.
- The methods of the instant invention may also be practiced while concurrently administering one or more antibiotics other than an oxazolidinone-quinolone hybrid antibacterial.
- The methods of the present invention are especially useful for the treatment of bacterial infections caused by gram-positive bacteria.
-
- A is an alkylene group, an alkenylene group, an alkynylene group, a heteroalkylene group, a cycloalkylene group, a heterocycloalkylene group, an arylene group or a heteroarylene group all of which groups may be substituted;
- X is CR7 or N;
- Y is CR6 or N;
- n is 1, 2 or 3;
- m is 1, 2 or 3;
- R1 is H, F, Cl, Br, I, OH, NH2, an alkyl group or a heteroalkyl group;
- R2 is H, F or Cl;
- R3 is H, an alkyl group, an alkenyl group, an alkynyl group, a heteroalkyl group, a cycloalkyl group, a heterocycloalkyl group, an alkylcycloalkyl group, a heteroalkylcycloalkyl group, an aryl group, a heteroaryl group, an alkylaryl group or a heteroarylalkyl group; all of which groups may be substituted with one, two or more halogen atoms like F or Cl or amino groups.
- R4 is a hydrogen atom, a group of formula PO3R9 2 or SO3R10 or a heteroalkyl group carrying at least one OH, NH2, SO3R10, PO3R9 2 or COOH group or an ester of a naturally occurring amino acid or a derivative thereof, wherein the groups R9 independently of each other are H, alkyl, cycloalkyl, aryl or aralkyl and wherein R10 is H, alkyl, cycloalkyl, aryl or aralkyl;
- R5 is selected from following groups:
- R6 is H, F, Cl or OMe;
- R7 is H, F, Cl, OH, NH2, a substituted or unsubstituted alkyl group or a substituted or unsubstituted heteroalkyl group, or
- R3 and R7 can be linked via an alkylene, an alkenylene or a heteroalkylene group or be a part of a cycloalkylene or heterocycloalkylene group; in case R3 is no H and R7 is no H, F, OH, NH2 or Cl; and
- R8 is a C1-6 alkyl, a C1-6 heteroalkyl, a heteroarylalkyl, a heteroalkylaryl or a heteroalkylheteroaryl group, all of which may optionally be substituted;
- or a pharmacologically acceptable salt, solvate, hydrate or formulation thereof,
- for use in the parenteral (especially intravenous) treatment or prophylaxis of intestinal diseases caused by Gram-positive bacteria.
- Especially preferred are compounds of formula (II)
wherein R3, R4, R8, X, B, n and m are defined as above or a pharmacologically acceptable salt, solvate, hydrate or formulation thereof, for use in the parenteral (especially intravenous) treatment or prophylaxis of intestinal diseases caused by Gram-positive bacteria. - In a preferred embodiment B is CH2; X is CH, N or C-OMe and R3 is cyclopropyl or X is CR7 and R7 and R3 together form a bridge of the formula -O-CH2-CH(Me)-, wherein the preferred stereochemistry at the chiral center is the one giving the (S) configuration in the final compound, n is 1, 2 or 3 (especially 1 or 2), m is 1, 2 or 3 (especially 2), R4 is a hydrogen atom or a group of formula PO3H2 and R8 is a group of the formula -CH2NHCOMe or -CH2OH or a pharmacologically acceptable salt, solvate, hydrate or formulation thereof.
- Further preferred are compounds of formula (III):
wherein X is N or CH (especially preferably CH) and R4 is a hydrogen atom or a group of formula PO3H2 or a pharmacologically acceptable salt, solvate, hydrate or formulation thereof, for use in the parenteral (especially intravenous) treatment or prophylaxis of intestinal diseases caused by Gram-positive bacteria. - Moreover preferred are the mono, di or tri sodium salts (most preferred the mono sodium salts) of compounds of formula (I), (II) or (III) or mixtures thereof. Especially preferred are the mono, di or tri sodium salts (most preferred the mono sodium salts) of compounds of formula (I), (II) or (III), wherein R4 is PO3H2 or mixtures thereof, for use in the parenteral (especially intravenous) treatment or prophylaxis of intestinal diseases caused by Gram-positive bacteria.
- Especially preferred are the following compounds:
- 7-(4-{4-[(5S)-5-(Acetylamino-methyl)-2-oxo-oxazolidin-3-yl]-2-fluoro-phenoxymethyl}-4-hydroxy-piperidin-1-yl)-1-cyclopropyl-6-fluoro-4-oxo-1,4-dihydro-[1,8]naphthyridine-3-carboxylic acid;
- 7-(4-{4-[(5S)-5-(Acetylamino-methyl)-2-oxo-oxazolidin-3-yl] -2-fluoro-phenoxymethyl}-4-phosphonooxy-piperidin-1-yl)-1-cyclopropyl-6-fluoro-4-oxo-1,4-dihydro-[1,8]naphthyridine-3-carboxylic acid;
- 7-[4-{4-[(5S)-5-(Acetylamino-methyl)-2-oxo-oxazolidin-3-yl]-2-fluoro-phenoxymethyl}-4-(2,6-diamino-hexanoyloxy)-piperidin-1-yl]-1-cyclopropyl-6-fluoro-4-oxo-1,4-dihydro-[1,8]naphthyridine-3-carboxylic acid;
- Succinic acid mono-[4-{4-[(5S)-5-(acetylamino-methyl)-2-oxo-oxazolidin-3-yl]-2-fluoro-phenoxymethyl}-1-(6-carboxy-8-cyclopropyl-3-fluoro-5-oxo-5,8-dihydro-[1,8]naphthyridin-2-yl)-piperidin-4-yl] ester;
- 7-(4-{4-[(5S)-5-(Acetylamino-methyl)-2-oxo-oxazolidin-3-yl] -2-fluoro-phenoxymethyl}-4-hydroxy-piperidin-1-yl)-1-cyclopropyl-6-fluoro-4-oxo-1,4-dihydro-quinoline-3-carboxylic acid;
- 7-(4-{4-[(5S)-5-(Acetylamino-methyl)-2-oxo-oxazolidin-3-yl]-2-fluoro-phenoxymethyl}-4-phosphonooxy-piperidin-1-yl)-1-cyclopropyl-6-fluoro-4-oxo-1,4-dihydro-quinoline-3-carboxylic acid;
- 7-(4-{4-[(5S)-5-(Acetylamino-methyl)-2-oxo-oxazolidin-3-yl]-2-fluoro-phenoxymethyl}-4-hydroxy-piperidin-1-yl)-1-cyclopropyl-6-fluoro-8-methoxy-4-oxo-1,4-dihydro-quinoline-3-carboxylic acid;
- 7-(4-{4-[(5S)-5-(Acetylamino-methyl)-2-oxo-oxazolidin-3-yl]-2-fluoro-phenoxymethyl}-4-hydroxy-piperidin-1-yl)-1-cyclopropyl-8-methoxy-4-oxo-1,4-dihydro-quinoline-3-carboxylic acid;
- 9-(4-{4-[(5S)-5-(Acetylamino-methyl)-2-oxo-oxazolidin-3-yl]-2-fluoro-phenoxymethyl)-4-hydroxy-piperidin-1-yl)-8-fluoro-3-methyl-6-oxo-2,3-dihydro-6H-1-oxa-3a-aza-phenalene-5-carboxylic acid;
- 7-(3-{4-[(5S)-5-(Acetylamino-methyl)-2-oxo-oxazolidin-3-yl]-2-fluoro-phenoxymethyl}-3-hydroxy-pyrrolidin-1-yl)-1-cyclopropyl-6-fluoro-4-oxo-1,4-dihydro-[1,8]naphthyridine-3-carboxylic acid;
- 7-(3-{4-[(5S)-5-(Acetylamino-methyl)-2-oxo-oxazolidin-3-yl]-2-fluoro-phenoxymethyl}-3-hydroxy-pyrrolidin-1-yl)-1-cyclopropyl-6-fluoro-4-oxo-1,4-dihydro-quinoline-3-carboxylic acid;
- 7-(3-{4-[(5S)-5-(Acetylamino-methyl)-2-oxo-oxazolidin-3-yl] -2-fluoro-phenoxymethyl]-3-hydroxy-pyrrolidin-1-yl)-1-cyclopropyl-6-fluoro-8-methoxy-4-oxo-1,4-dihydro-quinoline-3-carboxylic acid;
- 7-(3-{4-[(5S)-5-(Acetylamino-methyl)-2-oxo-oxazolidin-3-yl] -2-fluoro-phenoxymethyl}-3-hydroxy-pyrrolidin-1-yl)-1-cyclopropyl-8-methoxy-4-oxo-1,4-dihydro-quinoline-3-carboxylic acid;
- 9-(3-{4-[(5S)-5-(Acetylamino-methyl)-2-oxo-oxazolidin-3-yl]-2-fluoro-phenoxymethyl}-3-hydroxy-pyrrolidin-1-yl)-8-fluoro-3-methyl-6-oxo-2,3-dihydro-6H-1-oxa-3a-aza-phenalene-5-carboxylic acid;
- 7-(4-{4-[(5S)-5-(Acetylamino-methyl)-2-oxo-oxazolidin-3-yl] -2-fluoro-phenoxymethyl}-4-hydroxy-azepan-1-yl)-1-cyclopropyl-6-fluoro-4-oxo-1,4-dihydro-quinoline-3-carboxylic acid;
- 7-(4-{4-[(5S)-5-(Acetylamino-methyl)-2-oxo-oxazolidin-3-yl] -2-fluoro-phenoxymethyl}-4-hydroxy-azepan-1-yl)-1-cyclopropyl-6-fluoro-4-oxo-1,4-dihydro-[1,8]naphthyridine-3-carboxylic acid;
- 7-(4-{4-[5S-(acetylamino-methyl)-2-oxo-oxazolidin-3-yl]-2-fluoro-phenylethynyl}-4-hydroxy-piperidin-1-yl)-1-cyclopropyl-6-fluoro-4-oxo-1,4-dihydro-quinoline-3-carboxylic acid;
- 7-(4-{4-[5S-(acetylamino-methyl)-2-oxo-oxazolidin-3-yl]-2-fluoro-phenylethynyl}-4-hydroxy-piperidin-1-yl)-1-cyclopropyl-6-fluoro-4-oxo-1,4-dihydro-[1,8]-napthyridine-3-carboxylic acid;
- 7-[4-(2-{4-[5S-(acetylamino-methyl)-2-oxo-oxazolidin-3-yl]-2-fluoro-phenyl}-ethyl)-4-hydroxy-piperidin-1-yl]-1-cyclopropyl-6-fluoro-4-oxo-1,4-dihydro-quinoline-3-carboxylic acid;
- 1-cyclopropyl-6-fluoro-7-[4-({2-fluoro-4-[(5R)-5-(hydroxymethyl)-2-oxo-1,3-oxazolidin-3-yl]phenoxy}methyl)-4-hydroxypiperidin-1-yl]-4-oxo-1,4-dihydroquinolin-3-carboxylic acid;
- or a pharmacologically acceptable salt, solvate, hydrate or formulation thereof, for use in the parenteral (especially intravenous) treatment or prophylaxis of intestinal diseases caused by Gram-positive bacteria.
- Further especially preferred is the sodium salt of 7-(4-{4-[(5S)-5-(Acetylamino-methyl)-2-oxo-oxazolidin-3-yl]-2-fluoro-phenoxymethyl}-4-phosphonooxy-piperidin-1-yl)-1-cyclopropyl-6-fluoro-4-oxo-1,4-dihydro-quinoline-3-carboxylic acid or a pharmacologically acceptable solvate, hydrate or formulation thereof, for use in the parenteral (especially intravenous) treatment or prophylaxis of intestinal diseases caused by Gram-positive bacteria.
- Most preferably are the following compounds:
- 7-(4-{4-[(5S)-5-(acetylamino-methyl)-2-oxo-oxazolidin-3-yl]-2-fluoro-phenoxymethyl}-4-hydroxy-piperidin-1-yl)-1-cyclopropyl-6-fluoro-4-oxo-1,4-dihydro-quinoline-3-carboxylic acid:
and - 7-(4-{4-[(5S)-5-(acetylamino-methyl)-2-oxo-oxazolidin-3-yl]-2-fluoro-phenoxymethyl}-4-phosphonooxy-piperidin-1-yl)-1-cyclopropyl-6-fluoro-4-oxo-1,4-dihydro-quinoline-3-carboxylic acid:
or a salt thereof, such as e.g.: the sodium salt of 7-(4-{4-[(5S)-5-(acetylamino-methyl)-2-oxo-oxazolidin-3-yl]-2-fluoro-phenoxymethyl}-4-phosphonooxy-piperidin-1-yl)-1-cyclopropyl-6-fluoro-4-oxo-1,4-dihydro-quinoline-3-carboxylic acid, for use in the parenteral (especially intravenous) treatment or prophylaxis of intestinal diseases caused by Gram-positive bacteria. - The pharmaceutical compositions of the present invention contain an oxazolidinone-quinolone hybrid (e.g. a compound of Formula (I), (II) or (III)) as the active agent and optionally carriers and/or diluents and/or adjuvants. Optionally the pharmaceutical compositions according to the present invention may also contain additional known antibiotics.
- The compounds and pharmaceutical compositions disclosed herein can be used for the parenteral (especially intravenous) treatment or prophylaxis of bacterial diseases, especially for the parenteral (especially intravenous) treatment or prophylaxis of intestinal diseases which are caused by Gram-positive bacteria (e.g. S. aureus, Enterococcus spp.), especially Gram-positive anaerobes such as Clostridium spp., in particular Clostridium difficile, Clostridium perfringens (especially by Clostridium difficile).
- It is a further object of the present invention to provide compounds of formula (I), (II) or (III) as defined herein or a pharmaceutical composition as defined herein for the preparation of a medicament for the parenteral (especially intravenous) treatment or prophylaxis of bacterial diseases, especially for the parenteral (especially intravenous) treatment or prophylaxis of intestinal diseases which are caused by Gram-positive bacteria (e.g. S. aureus, Enterococcus spp.), especially Gram-positive anaerobes such as Clostridium spp., in particular Clostridium difficile, Clostridium perfringens (especially by Clostridium difficile).
- It is moreover an object of the present invention to provide a method for the treatment or prophylaxis of bacterial diseases (especially for the parenteral (especially intravenous) treatment or prophylaxis of intestinal diseases which are caused by Gram-positive bacteria (e.g. S. aureus, Enterococcus spp.), especially Gram-positive anaerobes such as Clostridium spp., in particular Clostridium difficile, Clostridium perfringens (especially by Clostridium difficile)) comprising the parenteral (especially intravenous) administration, to a patient in need thereof, of a therapeutically effective amount of a compound or a pharmaceutical composition described herein.
- The intestinal diseases intended to be prevented or treated according to the present invention comprise e.g. diarrhea, colitis and pseudomembranous colitis. Said intestinal diseases can e.g. be caused by Clostridium difficile (and especially by a toxin producing strain of Clostridium difficile).
- Especially preferably, the compounds and pharmaceutical compositions disclosed herein can be used for the parenteral (especially intravenous) treatment or prophylaxis of severe or complicated cases of bacterial diseases (especially Clostridium difficile associated diseases) such as ileus, toxic megacolon, fulminant colitis, colonic perforation or need for colectomy.
- Moreover especially preferably, the compounds and pharmaceutical compositions disclosed herein can be used for the parenteral (especially intravenous) treatment or prophylaxis of recurrent cases of bacterial diseases (especially Clostridium difficile associated diseases such as Clostridium difficile associated diarrhea).
- The present invention also relates to pharmacologically acceptable salts, or solvates and hydrates, respectively, and to compositions and formulations of compounds of Formula (I), (II) or (III). Moreover, the present invention also relates to the use of pharmacologically acceptable salts, or solvates and hydrates, respectively, and to compositions and formulations of oxazolidinone-quinolone hybrids (e.g. compounds of Formula (I), (II) or (III)).
- Examples of pharmacologically acceptable salts of sufficiently basic compounds of Formula (I), (II) or (III) are salts of physiologically acceptable mineral acids like hydrochloric, hydrobromic, sulfuric and phosphoric acid; or salts of organic acids like methanesulfonic, p-toluenesulfonic, lactic, acetic, trifluoroacetic, citric, succinic, fumaric, maleic and salicylic acid. Further, a sufficiently acidic compound of Formula (I), (II) or (III) may form alkali or earth alkaline metal salts, for example sodium, potassium, lithium, calcium or magnesium salts; ammonium salts; or organic base salts, for example methylamine, dimethylamine, trimethylamine, triethylamine, ethylenediamine, ethanolamine, choline hydroxide, meglumin, piperidine, morpholine, tris-(2-hydroxyethyl)amine, lysine or arginine salts.
- Compounds of Formula (I), (II) or (III) may be solvated, especially hydrated. The hydratisation can occur during the process of production or as a consequence of the hygroscopic nature of the initially water free compounds of Formula (I), (II) or (III).
- It should be appreciated that certain compounds of formula (I), (II) or (III) as mentioned in this description may have tautomeric forms from which only one might be specifically mentioned or depicted in this description, different geometrical isomers (which are usually denoted as cis/trans isomers or more generally as (E) and (Z) isomers) or different optical isomers as a result of one or more chiral carbon atoms (which are usually nomenclatured under the Cahn-Ingold-Prelog or R/S system). Further, some compounds may display polymorphism. All these tautomeric forms, geometrical or optical isomers (as well as racemates and diastereomers) and polymorphous forms are included in the invention. The compounds of Formula (I), (II) or (III) may further be present either as achiral compounds, mixtures of diastereomers, mixtures of enantiomers or as optically pure compounds.
- As mentioned above, therapeutically useful agents that contain compounds of Formula (I), (II) or (III), their solvates, salts or formulations are also comprised in the scope of the present invention.
- According to the invention, the oxazolidinone-quinolone hybrids (e.g. compounds of Formula (I), (II) or (III)) will be administered parenterally including intravenous, intramuscular and subcutaneous injection, e.g. as an injectable solution or suspension. Preferably, the the oxazolidinone-quinolone hybrids (e.g. compounds of Formula (I), (II) or (III)) will be administered intravenously.
- For the production of liquid solutions, emulsions or suspensions one may use as excipients e.g. water, alcohols, aqueous saline, aqueous dextrose, polyols, glycerin, lipids, phospholipids, cyclodextrins, vegetable, petroleum, animal or synthetic oils. Especially preferred are lipids and more preferred are phospholipids (preferred of natural origin; especially preferred with a particle size between 300 to 350 nm) preferred in phosphate buffered saline (pH = 7 to 8, preferred 7.4).
- When intravenously administered to several animal species, among them mice and rats, the sodium salt of 7-(4-{4-[(5S)-5-(Acetylamino-methyl)-2-oxo-oxazolidin-3-yl]-2-fluoro-phenoxymethyl}-4-phosphonooxy-piperidin-1-yl)-1-cyclopropyl-6-fluoro-4-oxo-1,4-dihydro-quinoline-3-carboxylic acid (Compound 1) was rapidly converted to the active substance 7-(4-{4-[(5S)-5-(Acetylamino-methyl)-2-oxo-oxazolidin-3-yl] -2-fluoro-phenoxymethyl}-4-hydroxy-piperidin-1-yl)-1-cyclopropyl-6-fluoro-4-oxo-1,4-dihydro-quinoline-3-carboxylic acid (Compound 2). The very good solubility in aqueous media allows for (Compound 1) to be easily formulated, using lyophilisation. To improve stability and to reduce reconstitution time of the lyophilisate, Compound 1 can e.g. be formulated together with sorbitol and sodium hydroxide and lyophilised in glass vials. The lyophilisate can be easily reconstituted by addition of water for injection and gentle shaking to form a yellow, sterile solution ready for intravenous injection.
- The pharmaceutical compositions of the present invention may also contain additives for conservation and/or stabilisation, e.g. UV stabilizers, emulsifiers, salts to change the osmotic pressure, buffers and antioxidants.
- Compounds of formula (I), (II) and (III) can be synthesized according to procedures described in the prior art (e.g. in
,WO 02/059116 ,WO 03/002560 ,WO 03/031443 ,WO 03/032962 WO 2004/096221 ,WO 2005/058888 ,WO 2008/056335 andWO 2009/136379 ). The antibacterial activity of these compounds is described in these documents and further e.g. inUS 8,329,908 andUS 8,513,231 and documents cited therein. - For example, Compound 2 shows the following activities against several bacterial strains. MIC testing was done according to CLSI (formerly NCCLS) guidelines: Performance Standards for Antimicrobial Susceptibility Testing 11th Informational Supplement, Vol. 21 No 1, M100-S11, Jan. 2001. NCCLS. Revised edition: 17th Informational Supplement, Vol. 27 No 1, M100-S16, Jan. 2007.
Bacterial strains MIC (mg/l) Staphylococcus aureus ATCC 29213 0,5 Staphylococcus aureus ATCC 33593 0,25 Staphylococcus aureus ATCC 43300 0,5 Staphylococcus aureus Visa Mu 50 0,5 Staphylococcus aureus NRS 120 2 Streptococcus pneumoniae ATCC 33400 0,03 Enterococcus faecalis ATCC 29212 0,25 Enterococcus faecalis ATCC 51299 0,25 - Compound 1 has been administered to animals of different species (among them mice and rats) by intravenous (iv.) bolus injection. The duration of this bolus injection had been set to 2 minutes to ensure that the exposure to the Prodrug (Compound 1) as well as to the Drug (Compound 2) is as high as possible for a given dose.
- According to the principles of the distribution of a drug within the blood circulation during and after its iv. bolus injection, the maximum plasma concentration (Cmax) of the Prodrug (Compound 1) has been observed at the end of the bolus injection. Moreover, according to the results derived from all the respective studies in animals it was concluded that the Drug (Compound 2) is very rapidly generated from the Prodrug (Compound 1): In all studies Cmax of the Drug (Compound 2) was observed at the very first sampling time (i.e. ≤ 5min after the end of the iv. bolus injection).
- To establish the highest exposure possible also in humans, a study with Compound 1 has been designed. Therefore, ascending Prodrug (Compound 1) doses considered safe have been administered to 38 healthy Caucasian male volunteers by 2 min iv. bolus injections in the First-in-Man study.
- Volunteers were administered doses of up to 3.0 mg/kg body weight (BW) of Compound 1 given as iv. bolus injection of 2 min duration. Additionally, doses of 1.5 and 3.0 mg/kg BW of Compound 1 were administered as a short-term infusion of 20 min duration, resulting in infusion rates of 4.5 and 9.0 mg/(kg BW x h), respectively.
- As observed in all animal species investigated, also in humans there was very rapid conversion of the Prodrug (Compound 1) to the Drug (Compound 2) at all doses applied; Cmax of the Drug (Compound 2) was already observed 10 min after iv. bolus administration of the Prodrug.
- These observations led to the assumption that a prolongation of the duration of the iv. administration from the 2 min bolus to a short-term infusion of 20 min cannot result in any further improvement of the conversion of the Prodrug (Compound 1) into the Drug (Compound 2).
- However, surprisingly, the exposure to the Drug (Compound 2) was much higher after the 20-min infusion (infusion rate 9 mg/(kg BW x h)) than after bolus administration of 3.0 mg/kg BW, i.e. 149% and 130% for the area under the curve (AUC) and the maximum concentration (Cmax), respectively (see table 1). For the 1.5 mg/kg BW dose infused over 20 min (infusion rate 4.5 mg/(kg BW x h)), the dose-normalized exposure data of the Drug (Compound 2) are even higher than those measured following the dose of 3 mg/kg BW regardless if administered as iv. bolus or 20 min infusion (see table 1).
Table 1: Mean exposure data of the Drug (Compound 2) after intravenous administration of 3.0 mg/kg BW Prodrug (Compound 1) as bolus, or after 20 min infusions of 3.0 or 1.5 mg/kg BW at an infusion rate of 9.0 and 4.5 mg/(kg BW x h), respectively. Dose [mg/kg BW] Infusion Rate [mg/(kg BW•h)] AUC [µg•h/L] Cmax [µg/L] Ratio infusion/bolus [%] Ratio infusion/bolus [%] 3.0 bolus 2174 2449 3.0 9.0 3234 149 3175 130 1.5 4.5 5622* 259 4924* 201 * value normalized to a dose of 3.0 mg/kg BW - Accordingly, a dose of 1.5 mg/kg BW infused at a rate of 4.5 mg/(kg BW x h) resulted in a similar exposure compared to a dose of 3.0 mg/kg BW infused at a rate of 9.0 mg/(kg BW x h).
- For the Prodrug (Compound 1), the prolongation of the administration of 3.0 mg/kg BW to 20 min infusion resulted in a lower AUC compared to bolus administration, because of the more efficient conversion to the Drug (Compound 2).
- Considering the results of the First-in-Man study the effect of the infusion rate on the efficacy of the conversion of the Prodrug (Compound 1) into the Drug (Compound 2) has been investigated in a systematic manner.
- In this clinical study the Prodrug (Compound 1) was administered to 30 healthy Caucasian male volunteers at infusion rates ranging between 0.4 and 3.0 mg/(kg BW x h). This range of infusion rates has been realised by combining different doses (1 - 6 mg/kg BW) with different durations of infusion (20 - 720 min).
- Accordingly, it was possible to evaluate 3 Cohorts (groups) of volunteers each of which were infused at a range of infusion rates resulting from the different doses and infusion durations applied to this group.
- The ratio of the AUC-values of the Drug vs. the Prodrug (Compound 2/Compound 1) was used as a measure of the conversion efficacy. The infusion rates of the respective Cohort and the resulting ratios are given in table 2; the higher the ratio, the more efficient the conversion of the Prodrug (Compound 1) into the Drug (Compound 2).
Table 2: Infusion rates applied to the Cohorts of volunteers and resulting AUC ratios Compound 2/Compound 1 Infusion Rate [mg/(kg BW•h)] Mean ratio Cohort 1 3.00 0.65 1.50 0.72 0.75 0.86 Cohort 2 1.50 0.75 0.75 0.83 0.40 0.62 Cohort 3 0.50 0.65 0.50 0.60 0.50 0.63 - In general, the mean ratios of AUC Compound 2/Compound 1 ranged between 0.86 and 0.60. It has been observed that the ratios were similar at identical infusion rates even if the doses administered are different.
- Within Cohort 1 there was a steady increase of the mean ratio from 0.65 to 0.86 with decreasing infusion rate from 3 to 0.75 mg/(kg BW x h). Within Cohort 2 there was an increase of the mean ratio from 0.75 to 0.83 while the infusion rate decreased from 1.5 to 0.75 mg/(kg BW x h). The lowest infusion rate of 0.4 mg/(kg BW x h) in Cohort 2 showed a ratio of 0.62 and did not differ from the ratios observed in Cohort 3 at the infusion rate of 0.5 mg/(kg BW x h), ranging very consistently between 0.60 and 0.65.
- Accordingly, by means of a systematic pharmacokinetic study performed in humans it was found that an infusion rate between 0.4 and 3 mg/(kg BW x h) is a preferred range with respect to the maximum amount of the Drug (Compound 2) generated from the infused Prodrug (Compound 1).
- Moreover, for a given dose infused, the safety and tolerability improves with decreasing infusion rate.
- Accordingly, an infusion rate between 0.4 and 0.75 mg/(kg BW x h) is especially preferred.
- Healthy human volunteers received i.v. infusions of Compound 1 at a dose of 6 mg/kg body weight over 12 hours for 5 consecutive days. On Day 5, all volunteers had fecal concentrations of Compound 2, ranging between 98 and 226 mg/kg feces. These fecal concentrations of Compound 2 translated into marked effects on the Gram-positive aerobic and anaerobic microflora. The reduction of viable counts of Clostridium spp. from predose to Day 5 was 3.0 log10 CFU/g, and viable counts were reduced below the limit of detection until Day 3 postdose in all except one of the volunteers. Viable counts of lactobacilli were reduced from predose to Day 5 by 4.0 log10 CFU/g. The effect of Compound 2 on bifidobacteria was most pronounced: Viable counts were reduced from from predose to Day 5 by 7.9 log10 CFU/g. Likewise, enterococci were reduced from predose to Day 5 by 3.8 log10 CFU/g on average. Exposure of the fecal flora to MCB3681 did not affect the Gram-negative species.
- One hundred fourteen Clostridium difficile strains were collected from 67 patients and analyzed for the presence of C. difficile toxin B by the cell cytotoxicity neutralization assay, genes for toxin A, toxin B, binary toxin and TcdC deletion by PCR. All strains were also PCR-ribotyped. The MICs of the isolates were determined against Compound 2 by the agar dilution method. All isolates were positive for toxin B. One hundred thirteen isolates were positive for toxin A and B genes. In addition, 13 isolates were positive for the binary toxin genes. Thirty-two different ribotypes were identified. No strain of ribotype 027 was found. All 114 isolates were sensitive to Compound 2 (MIC range 0.008-0.5 mg/l). Accordingly, Compound 2 has a potent in vitro activity against C. difficile.
- One hundred fourteen C. difficile strains were selected from 67 patients (26 males and 41 females) with primary and/or recurrent CDI. The mean age of the patients was 74 years (age range 19-97 years). The strains (67 primary and 47 recurrent isolates) were identified by characteristic colony morphology, typical smell and Gram staining. Gas chromatography was used to detect volatile, short chain fatty acids production by the C. difficile strains for the final identification.
- The production of toxin B was determined by the cell cytotoxicity neutralization assay. The gene for toxin A was detected by conventional PCR [Kato H, Kato N, Watanabe K, Iwai N, Nakamura H, Yamamoto T, et al. Identification of toxin A-negative, toxin B-positive Clostridium difficile by PCR. J Clin Microbiol 1998;36:2178-82]. The genes for toxin B, the binary toxin and TcdC deletion were detected by real time PCR using the GeneXpert® System (Cepheid, Sunnyvale, CA, USA) assay [Huang H, Weintraub A, Fang H, Nord CE. Comparison of a commercial multiplex real-time PCR to the cell cytotoxicity neutralization assay for diagnosis of Clostridium difficile infections. J Clin Microbiol 2009;47:3729-31].
- PCR ribotyping and electrophoresis of the gels were performed with a method described previously [Stubbs SL, Brazier JS, O'Neill GL, Duerden BI. PCR targeted to the 16S-23S rRNA gene intergenic spacer region of Clostridium difficile and construction of a library consisting of 116 different PCR ribotypes. J Clin Microbiol 1999;37:461-3; Rashid MU, Lozano HM, Weintraub A, Nord CE. In vitro activity of cadazolid against Clostridium difficile strains isolated from primary and recurrent infections in Stockholm, Sweden. Anaerobe 2013;20:32-5]. The gels were scanned and analyzed by Bionumerics software version 6.6. (Applied Maths, Kortrijk, Belgium). A molecular size standard (100 bp; GE Healthcare, Little Chalfont, Buckinghamshire, UK) was run at four to five lane intervals in all gels to enable normalization of the gel patterns. In every gel two known PCR ribotypes (005 and 012) were run as controls. The banding patterns were compared to a database including C. difficile reference strains. The stability, reliability and homogeneity of the database banding patterns constituting each type was tested with the cluster correlation algorithm with the unweighted pair group method by using arithmetic averages and fine alignment.
- The antimicrobial susceptibility of the C. difficile strains was determined according to CLSI guidelines by the agar dilution method using Bacteroides fragilis ATCC 25285 and C. difficile ATCC 700057 as reference strains [CLSI. Methods for Antimicrobial Susceptibility Testing of Anaerobic Bacteria; Approved Standard-Eighth Edition. 2012]. Compound 2 was prepared as described in
WO 2005/058888 . - MIC was defined as the lowest concentration of the drug that inhibited growth completely. MIC50/90 corresponds to the concentrations that inhibit the growth of 50% and 90% of the strains tested, respectively.
- PCR ribotype profiles from clinical isolates were compared to those profiles which define the database by maximum matching with Pearson correlation. IBM SPSS Statistics 22 (Armonk, NY, USA) software was used to calculate the percentiles 50 and 90 of the MIC results. Descriptive statistics were used to summarize the results.
- The 114 strains were positive for toxin B by cell cytotoxicity neutralization assay. One hundred thirteen strains were positive for the genes of both toxin A and B. In addition, 13 strains were positive for the binary toxin genes. All strains were negative for TcdC deletion.
- Thirty-two different ribotypes were identified (Table 1). The ribotypes for the 13 strains positive for the genes of toxin A, toxin B and binary toxin were 023, 075, 078/126 and 019. One strain did not match with any of the known ribotypes and was a cluster of SE 91. The most common ribotypes were 020 (14.9%), 014/077 (8.8%), 078/126 (7%), 001 (6.1%) and 026 (6.1%). No ribotype 027 was found among any of the isolates.
Table 1: Thirty two different PCR-ribotypes of the 114 C. difficile strains. Ribotype Number of strains 020 17 014/077 10 078/126 8 001 7 026 7 SE14 6 SE21 6 005 5 SE2 5 023 4 207 4 002 3 231 3 SE23a 3 SE35 3 012 2 017 2 075 2 SE23b 2 SE36 2 SE46 2 - One strain each of ribotypes 003, 019, 029, 046, 087, SE14b, SE20d, SE24, SE48, SE49 and SE91 cluster ribotypes were identified.
- The antimicrobial susceptibility patterns are shown in Table 2. All strains were sensitive to Compound 2 with MIC90 values of 0.064 mg/l. None of the 114 C. difficile strains were resistant against Compound 2.
Table 2: Minimum inhibitory concentrations of 114 C. difficile strains against Compound 2. MIC50 (mg/l) MIC90 (mg/l) Range (mg/l) 0.032 0.064 0.008-0.5
Claims (15)
- An oxazolidinone-quinolone hybrid for use in the treatment of a bacterial infection, said treatment comprising the administration of the oxazolidinone-quinolone hybrid at an infusion rate of from 0.4 to 3 mg/(kg body weight x h),
wherein the oxazolidinone-quinolone hybrid is a compound of formula (I), whereinA is an alkylene group, an alkenylene group, an alkynylene group, a heteroalkylene group, a cycloalkylene group, a heterocycloalkylene group, an arylene group or a heteroarylene group all of which groups may be substituted;X is CR7 or N;Y is CR6 or N;n is 1, 2 or 3;m is 1, 2 or 3;R1 is H, F, Cl, Br, I, OH, NH2, an alkyl group or a heteroalkyl group;R2 is H, F or Cl;R3 is H, an alkyl group, an alkenyl group, an alkynyl group, a heteroalkyl group, a cycloalkyl group, a heterocycloalkyl group, an alkylcycloalkyl group, a heteroalkylcycloalkyl group, an aryl group, a heteroaryl group, an alkylaryl group or a heteroarylalkyl group; all of which groups may be substituted with one, two or more halogen atoms like F or Cl or amino groups;R4 is a group of formula PO3H2;R6 is H, F, Cl or OMe;R7 is H, F, Cl, OH, NH2, a substituted or unsubstituted alkyl group or a substituted or unsubstituted heteroalkyl group, orR3 and R7 can be linked via an alkylene, an alkenylene or a heteroalkylene group or be a part of a cycloalkylene or heterocycloalkylene group; in case R3 is no H and R7 is no H, F, OH, NH2 or Cl; andR8 is a C1-6 alkyl, a C1-6 heteroalkyl or a heteroaralkyl group, all of which may optionally be substituted;or a pharmacologically acceptable salt, solvate, hydrate or formulation thereof. - The oxazolidinone-quinolone hybrid for use according to claim 1 wherein the oxazolidinone-quinolone hybrid is a compound of formula (II)
wherein B is CH2; X is CH, N or C-OMe and R3 is cyclopropyl or X is CR7 and R7 and R3 together form a bridge of the formula -O-CH2-CH(Me)-, wherein the preferred stereochemistry at the chiral center is the one giving the (S) configuration in the final compound, n is 1, 2 or 3 (especially 1 or 2), m is 1, 2 or 3 (especially 2), R4 is a group of formula PO3H2 and R8 is a group of the formula -CH2NHCOMe or -CH2OH or a pharmacologically acceptable salt, solvate, hydrate or formulation thereof. - The oxazolidinone-quinolone hybrid for use according to claim 1 wherein the oxazolidinone-quinolone hybrid is:7-(4-{4-[(5S)-5-(acetylamino-methyl)-2-oxo-oxazolidin-3-yl]-2-fluoro-phenoxymethyl}-4-phosphonooxy-piperidin-1-yl)-1-cyclopropyl-6-fluoro-4-oxo-1,4-dihydro-quinoline-3-carboxylic acid:or a salt thereof, such as e.g.: the sodium salt of 7-(4-{4-[(5S)-5-(acetylamino-methyl)-2-oxo-oxazolidin-3-yl]-2-fluoro-phenoxymethyl}-4-phosphonooxy-piperidin-1-yl)-1-cyclopropyl-6-fluoro-4-oxo-1,4-dihydro-quinoline-3-carboxylic acid.
- The oxazolidinone-quinolone hybrid for use according to any one of claims 1 to 3 wherein the oxazolidinone-quinolone hybrid is administered over a period of from 20 min to 24 h per day, preferably over a period of from 20 min to 5 h per day or over a period of from 4 h to 12 h per day.
- The oxazolidinone-quinolone hybrid for use according to any one of claims 1 to 4, wherein the infusion rate is from 0.4 to 1.5 mg/(kg body weight x h), preferably from 0.4 to 0.75 mg/(kg body weight x h).
- The oxazolidinone-quinolone hybrid for use according to any one of claims 1 to 5, wherein an antibiotic other than an oxazolidinone-quinolone hybrid is co-administered with the oxazolidinone-quinolone hybrid.
- An oxazolidinone-quinolone hybrid for use in the treatment of a bacterial infection, said treatment comprising the administration of the oxazolidinone-quinolone hybrid at an infusion rate of from 0.4 to 3 mg/(kg body weight x h), wherein the oxazolidinone-quinolone hybrid is:7-(4-(4-[(5S)-5-(acetylamino-methyl)-2-oxo-oxazolidin-3-yl]-2-fluoro-phenoxymethyl}-4-phosphonooxy-piperidin-1-yl)-1-cyclopropyl-6-fluoro-4-oxo-1,4-dihydro-quinoline-3-carboxylic acid:or a salt thereof, such as e.g.: the sodium salt of 7-(4-{4-[(5S)-5-(acetylamino-methyl)-2-oxo-oxazolidin-3-yl]-2-fluoro-phenoxymethyl}-4-phosphonooxy-piperidin-1-yl)-1-cyclopropyl-6-fluoro-4-oxo-1,4-dihydro-quinoline-3-carboxylic acid.
- A pharmaceutical composition comprising an oxazolidinone-quinolone hybrid for use according to any one of claims 1 to 7 and optionally carriers and/or diluents and/or adjuvants.
- A compound of formula (I)
whereinA is an alkylene group, an alkenylene group, an alkynylene group, a heteroalkylene group, a cycloalkylene group, a heterocycloalkylene group, an arylene group or a heteroarylene group all of which groups may be substituted;X is CR7 or N;Y is CR6 or N;n is 1, 2 or 3;m is 1, 2 or 3;R1 is H, F, Cl, Br, I, OH, NH2, an alkyl group or a heteroalkyl group;R2 is H, F or Cl;R3 is H, an alkyl group, an alkenyl group, an alkynyl group, a heteroalkyl group, a cycloalkyl group, a heterocycloalkyl group, an alkylcycloalkyl group, a heteroalkylcycloalkyl group, an aryl group, a heteroaryl group, an alkylaryl group or a heteroarylalkyl group; all of which groups may be substituted with one, two or more halogen atoms or amino groups;R4 is a hydrogen atom, a group of formula PO3R9 2 or SO3R10 or a heteroalkyl group carrying at least one OH, NH2, SO3R10, PO3R9 2 or COOH group or an ester of a naturally occurring amino acid, wherein the groups R9 independently of each other are H, alkyl, cycloalkyl, aryl or aralkyl and wherein R10 is H, alkyl, cycloalkyl, aryl or aralkyl;R6 is H, F, Cl or OMe;R7 is H, F, Cl, OH, NH2, a substituted or unsubstituted alkyl group or a substituted or unsubstituted heteroalkyl group, orR3 and R7 can be linked via an alkylene, an alkenylene or a heteroalkylene group or be a part of a cycloalkylene or heterocycloalkylene group; in case R3 is no H and R7 is no H, F, OH, NH2 or Cl; andR8 is a C1-6 alkyl, a C1-6 heteroalkyl, a heteroarylalkyl, a heteroalkylaryl or a heteroalkylheteroaryl group, all of which may optionally be substituted;or a pharmacologically acceptable salt, solvate, hydrate or formulation thereof,for use in the parenteral (especially intravenous) treatment or prophylaxis of intestinal diseases caused by Gram-positive bacteria. - A compound for use according to claim 9, wherein R1 is H, R2 is F or H and R3 is a cyclopropyl group, and wherein X is CH, N or C-OMe, and wherein m is 2, and wherein R4 is a hydrogen atom or a group of formula PO3H2, and wherein R5 has the following structure:
and
wherein R8 is a group of the formula -CH2NHCOCH=CHAryl, -CH2OHeteroaryl, -CH2NHSO2Me, -CH2NHCOOMe, -CH2NHCOMe, -CH2NHCS2Me, -CH2NHCSMe, -CH2NHCSNH2, -CH2NHCSOMe, -CH2OH or -NHCOMe, and wherein Y is CH, and wherein A is a group of formula -OCH2-. - A mono, di or tri sodium salt of a compound of formula (I) according to any one of claims 9 to 10, or mixtures thereof, especially a mono, di or tri sodium salt of a compound of formula (I), wherein R4 is OPO3H2 or mixtures thereof for use in the parenteral (especially intravenous) treatment or prophylaxis of intestinal diseases caused by Gram-positive bacteria.
- A compound according to claim 9 selected from the following compounds:7-(4-{4-[(5S)-5-(acetylamino-methyl)-2-oxo-oxazolidin-3-yl]-2-fluoro-phenoxymethyl}-4-hydroxy-piperidin-1-yl)-1-cyclopropyl-6-fluoro-4-oxo-1,4-dihydro-quinoline-3-carboxylic acid:
and7-(4-{4-[(5S)-5-(acetylamino-methyl)-2-oxo-oxazolidin-3-yl]-2-fluoro-phenoxymethyl}-4-phosphonooxy-piperidin-1-yl)-1-cyclopropyl-6-fluoro-4-oxo-1,4-dihydro-quinoline-3-carboxylic acid:or a salt thereof, such as e.g.: the sodium salt of 7-(4-{4-[(5S)-5-(acetylamino-methyl)-2-oxo-oxazolidin-3-yl]-2-fluoro-phenoxymethyl}-4-phosphonooxy-piperidin-1-yl)-1-cyclopropyl-6-fluoro-4-oxo-1,4-dihydro-quinoline-3-carboxylic acid, for use in the parenteral (especially intravenous) treatment or prophylaxis of intestinal diseases caused by Gram-positive bacteria. - Pharmaceutical compositions containing a compound according to any one of Claims 9 to 12 and optionally carriers and/or adjuvants and/or diluents for use in the parenteral (especially intravenous) treatment or prophylaxis of intestinal diseases caused by Gram-positive bacteria.
- A compound for use according to any one of claims 9 to 12 or a pharmaceutical composition for use according to claim 13 for use in the parenteral (especially intravenous) treatment or prophylaxis of a disease caused by Clostridium difficile.
- The oxazolidinone-quinolone hybrid for use according to any one of claims 1 to 7, wherein the bacterial infection is caused by Clostridium difficile.
Priority Applications (7)
| Application Number | Priority Date | Filing Date | Title |
|---|---|---|---|
| PL14723716T PL3003289T3 (en) | 2013-05-28 | 2014-05-09 | Administration of oxazolidinone-quinolone hybrid antibacterials |
| EP19157832.7A EP3517106A1 (en) | 2013-05-28 | 2014-05-09 | Oxazolidinone-quinolone hybrid antibacterials for the parenteral treatment or prophylaxis of bacterial diseases |
| SI201431204T SI3003289T1 (en) | 2013-05-28 | 2014-05-09 | Administration of oxazolidinone-quinolone hybrid antibacterials |
| RS20190554A RS58915B1 (en) | 2013-05-28 | 2014-05-09 | Administration of oxazolidinone-quinolone hybrid antibacterials |
| EP14723716.8A EP3003289B1 (en) | 2013-05-28 | 2014-05-09 | Administration of oxazolidinone-quinolone hybrid antibacterials |
| HRP20190977TT HRP20190977T1 (en) | 2013-05-28 | 2014-05-09 | Oxazolidinone-quinolone hybrid antibacterials for the parenteral treatment or prophylaxis of bacterial diseases |
| CY20191100532T CY1121996T1 (en) | 2013-05-28 | 2019-05-20 | ADMINISTRATION OF OXAZOLIDINONE-QUINOLONE ANTIBACTERIAL HYBRIDS |
Applications Claiming Priority (5)
| Application Number | Priority Date | Filing Date | Title |
|---|---|---|---|
| EP13002762 | 2013-05-28 | ||
| EP13005748 | 2013-12-10 | ||
| EP13005745 | 2013-12-10 | ||
| PCT/EP2014/001253 WO2014191075A1 (en) | 2013-05-28 | 2014-05-09 | Oxazolidinone-quinolone hybrid antibacterials for the parenteral treatment or prophylaxis of bacterial diseases |
| EP14723716.8A EP3003289B1 (en) | 2013-05-28 | 2014-05-09 | Administration of oxazolidinone-quinolone hybrid antibacterials |
Related Child Applications (1)
| Application Number | Title | Priority Date | Filing Date |
|---|---|---|---|
| EP19157832.7A Division EP3517106A1 (en) | 2013-05-28 | 2014-05-09 | Oxazolidinone-quinolone hybrid antibacterials for the parenteral treatment or prophylaxis of bacterial diseases |
Publications (2)
| Publication Number | Publication Date |
|---|---|
| EP3003289A1 EP3003289A1 (en) | 2016-04-13 |
| EP3003289B1 true EP3003289B1 (en) | 2019-02-20 |
Family
ID=50721743
Family Applications (2)
| Application Number | Title | Priority Date | Filing Date |
|---|---|---|---|
| EP14723716.8A Active EP3003289B1 (en) | 2013-05-28 | 2014-05-09 | Administration of oxazolidinone-quinolone hybrid antibacterials |
| EP19157832.7A Withdrawn EP3517106A1 (en) | 2013-05-28 | 2014-05-09 | Oxazolidinone-quinolone hybrid antibacterials for the parenteral treatment or prophylaxis of bacterial diseases |
Family Applications After (1)
| Application Number | Title | Priority Date | Filing Date |
|---|---|---|---|
| EP19157832.7A Withdrawn EP3517106A1 (en) | 2013-05-28 | 2014-05-09 | Oxazolidinone-quinolone hybrid antibacterials for the parenteral treatment or prophylaxis of bacterial diseases |
Country Status (23)
| Country | Link |
|---|---|
| US (2) | US10723746B2 (en) |
| EP (2) | EP3003289B1 (en) |
| JP (1) | JP6407982B2 (en) |
| KR (1) | KR102214843B1 (en) |
| CN (2) | CN105338972A (en) |
| AU (1) | AU2014273510B2 (en) |
| BR (1) | BR112015029488A8 (en) |
| CA (1) | CA2912590C (en) |
| CY (1) | CY1121996T1 (en) |
| DK (1) | DK3003289T3 (en) |
| ES (1) | ES2726828T3 (en) |
| HR (1) | HRP20190977T1 (en) |
| HU (1) | HUE043786T2 (en) |
| IL (1) | IL242771B (en) |
| LT (1) | LT3003289T (en) |
| MX (1) | MX371037B (en) |
| NZ (1) | NZ713945A (en) |
| PL (1) | PL3003289T3 (en) |
| PT (1) | PT3003289T (en) |
| RS (1) | RS58915B1 (en) |
| RU (1) | RU2702364C2 (en) |
| SI (1) | SI3003289T1 (en) |
| WO (1) | WO2014191075A1 (en) |
Family Cites Families (14)
| Publication number | Priority date | Publication date | Assignee | Title |
|---|---|---|---|---|
| ATE319710T1 (en) | 2000-12-21 | 2006-03-15 | Pharmacia & Upjohn Co Llc | ANTIMICROBIAL QUINOLOONE DERIVATIVES AND THEIR USE FOR TREATING BACTERIAL INFECTIONS |
| ES2186550B2 (en) | 2001-06-27 | 2003-11-16 | Vita Lab | NEW DERIVATIVES OF OXAZOLIDINONES AS ANTIBACTERIALS. |
| WO2003031443A1 (en) | 2001-10-04 | 2003-04-17 | Morphochem Aktiengesellschaft für kombinatorische Chemie | Dual actions antibiotics comprising a oxazoldinone and a quinolone or naphthyridinone moiety |
| WO2003031441A1 (en) | 2001-10-04 | 2003-04-17 | Morphochen Aktiengesellschaft Für Kombinatorische Chemie | Multiple action compounds |
| ES2308171T3 (en) | 2003-04-30 | 2008-12-01 | Morphochem Aktiengesellschaft Fur Kombinatorische Chemie | USE OF OXAZOLIDINONA-QUINOLIN HYBRID ANTIBIOTICS FOR THE TREATMENT OF ANTRAX AND OTHER INFECTIONS. |
| CN100544719C (en) * | 2003-04-30 | 2009-09-30 | 莫弗凯姆联合化学股份公司 | Use of oxazolidinone-quinoline hybrid antibiotics in the preparation of medicines for treating anthrax and other infections |
| DE10340485B4 (en) | 2003-09-03 | 2015-05-13 | Morphochem AG Aktiengesellschaft für kombinatorische Chemie | Process for the preparation of oxazolidinone-quinolone hybrids |
| US8158797B2 (en) * | 2003-12-18 | 2012-04-17 | Morphochem Aktiengesellschaft Fur Kombinatorische Chemie | Oxazolidinone-quinolone hybrid antibiotics |
| AU2004299278C9 (en) * | 2003-12-18 | 2013-10-24 | Morphochem Aktiengesellschaft Fuer Kombinatorische Chemie | Oxazolidinone-quinolone hybrid antibiotics |
| AR054608A1 (en) | 2005-08-08 | 2007-06-27 | Actelion Pharmaceuticals Ltd | OXAZOLIDINONE DERIVATIVES LINKED TO QUINOLONES AS ANTIBACTERIALS |
| WO2007095187A2 (en) * | 2006-02-13 | 2007-08-23 | Trustees Of Boston University | Compositions and methods for antibiotic potentiation and drug discovery |
| SI2086968T1 (en) | 2006-11-10 | 2012-06-29 | Actelion Pharmaceuticals Ltd | 5-hydroxymethyl-oxazolidin-2-one derivatives |
| CL2007003332A1 (en) | 2006-11-24 | 2008-06-20 | Actelion Pharmaceuticals Ltd | COMPOUNDS DERIVED FROM CONDENSED HETEROCICLES; INTERMEDIARY COMPOUNDS; PHARMACEUTICAL COMPOSITION; AND USE IN THE PREVENTION OR TREATMENT OF BACTERIAL INFECTIONS. |
| DK2296651T3 (en) | 2008-05-09 | 2012-09-24 | Actelion Pharmaceuticals Ltd | 5-HYDROXYMETHYL-OXAZOLIDIN-2-ON DERIVATIVES FOR THE TREATMENT OF BACTERIAL INTESTINAL DISEASES |
-
2014
- 2014-05-09 DK DK14723716.8T patent/DK3003289T3/en active
- 2014-05-09 US US14/894,400 patent/US10723746B2/en active Active
- 2014-05-09 EP EP14723716.8A patent/EP3003289B1/en active Active
- 2014-05-09 NZ NZ713945A patent/NZ713945A/en unknown
- 2014-05-09 BR BR112015029488A patent/BR112015029488A8/en not_active Application Discontinuation
- 2014-05-09 LT LTEP14723716.8T patent/LT3003289T/en unknown
- 2014-05-09 AU AU2014273510A patent/AU2014273510B2/en active Active
- 2014-05-09 RS RS20190554A patent/RS58915B1/en unknown
- 2014-05-09 HR HRP20190977TT patent/HRP20190977T1/en unknown
- 2014-05-09 KR KR1020157036752A patent/KR102214843B1/en active Active
- 2014-05-09 MX MX2015016320A patent/MX371037B/en active IP Right Grant
- 2014-05-09 EP EP19157832.7A patent/EP3517106A1/en not_active Withdrawn
- 2014-05-09 SI SI201431204T patent/SI3003289T1/en unknown
- 2014-05-09 WO PCT/EP2014/001253 patent/WO2014191075A1/en not_active Ceased
- 2014-05-09 ES ES14723716T patent/ES2726828T3/en active Active
- 2014-05-09 JP JP2016518855A patent/JP6407982B2/en active Active
- 2014-05-09 CN CN201480031373.3A patent/CN105338972A/en active Pending
- 2014-05-09 CA CA2912590A patent/CA2912590C/en active Active
- 2014-05-09 RU RU2015155645A patent/RU2702364C2/en active
- 2014-05-09 HU HUE14723716A patent/HUE043786T2/en unknown
- 2014-05-09 CN CN202011016666.8A patent/CN112089714A/en active Pending
- 2014-05-09 PL PL14723716T patent/PL3003289T3/en unknown
- 2014-05-09 PT PT14723716T patent/PT3003289T/en unknown
-
2015
- 2015-11-25 IL IL242771A patent/IL242771B/en active IP Right Grant
-
2019
- 2019-05-20 CY CY20191100532T patent/CY1121996T1/en unknown
-
2020
- 2020-06-22 US US16/908,244 patent/US11261205B2/en active Active
Non-Patent Citations (1)
| Title |
|---|
| None * |
Also Published As
Similar Documents
| Publication | Publication Date | Title |
|---|---|---|
| ES2575908T3 (en) | Antibacterial pharmaceutical compositions | |
| US11529361B2 (en) | Halogenated salicylanilides for treating Clostridium infections | |
| US9993469B2 (en) | Combination therapy comprising oxazolidinone-quinolones for use in treating bacterial infections | |
| RU2560676C2 (en) | Antituberculosis composition, containing oxazole compounds | |
| ES2568455T3 (en) | Compounds for the treatment of Clostridium difficile-associated disease | |
| RU2557910C2 (en) | Oxazolidine-containing dimer compounds, compositions and methods of their obtaining and application | |
| US20040132764A1 (en) | Antibiotics for the treatment of infections in acidic environments | |
| US11261205B2 (en) | Oxazolidinone-quinolone hybrid antibacterial for the parenteral treatment of prophylaxis of bacterial diseases | |
| HK1223306B (en) | Administration of oxazolidinone-quinolone hybrid antibacterials | |
| JP2010235515A (en) | Oral preparation with anti-helicobacter pylori activity containing lactic acid bacteria | |
| TW201607534A (en) | Use of a thiopeptide compound in the treatment of clostridium difficile associated infections | |
| US20230416274A1 (en) | Novel compound, preparation method thereof, and antibiotic composition comprising same |
Legal Events
| Date | Code | Title | Description |
|---|---|---|---|
| PUAI | Public reference made under article 153(3) epc to a published international application that has entered the european phase |
Free format text: ORIGINAL CODE: 0009012 |
|
| 17P | Request for examination filed |
Effective date: 20151217 |
|
| AK | Designated contracting states |
Kind code of ref document: A1 Designated state(s): AL AT BE BG CH CY CZ DE DK EE ES FI FR GB GR HR HU IE IS IT LI LT LU LV MC MK MT NL NO PL PT RO RS SE SI SK SM TR |
|
| AX | Request for extension of the european patent |
Extension state: BA ME |
|
| DAX | Request for extension of the european patent (deleted) | ||
| REG | Reference to a national code |
Ref country code: HK Ref legal event code: DE Ref document number: 1223306 Country of ref document: HK |
|
| STAA | Information on the status of an ep patent application or granted ep patent |
Free format text: STATUS: EXAMINATION IS IN PROGRESS |
|
| 17Q | First examination report despatched |
Effective date: 20170911 |
|
| GRAP | Despatch of communication of intention to grant a patent |
Free format text: ORIGINAL CODE: EPIDOSNIGR1 |
|
| STAA | Information on the status of an ep patent application or granted ep patent |
Free format text: STATUS: GRANT OF PATENT IS INTENDED |
|
| INTG | Intention to grant announced |
Effective date: 20180927 |
|
| RAP1 | Party data changed (applicant data changed or rights of an application transferred) |
Owner name: MORPHOCHEM AKTIENGESELLSCHAFT FUER KOMBINATORISCHE |
|
| GRAS | Grant fee paid |
Free format text: ORIGINAL CODE: EPIDOSNIGR3 |
|
| GRAA | (expected) grant |
Free format text: ORIGINAL CODE: 0009210 |
|
| STAA | Information on the status of an ep patent application or granted ep patent |
Free format text: STATUS: THE PATENT HAS BEEN GRANTED |
|
| AK | Designated contracting states |
Kind code of ref document: B1 Designated state(s): AL AT BE BG CH CY CZ DE DK EE ES FI FR GB GR HR HU IE IS IT LI LT LU LV MC MK MT NL NO PL PT RO RS SE SI SK SM TR |
|
| REG | Reference to a national code |
Ref country code: GB Ref legal event code: FG4D |
|
| REG | Reference to a national code |
Ref country code: CH Ref legal event code: EP |
|
| REG | Reference to a national code |
Ref country code: DE Ref legal event code: R096 Ref document number: 602014041248 Country of ref document: DE |
|
| REG | Reference to a national code |
Ref country code: AT Ref legal event code: REF Ref document number: 1097270 Country of ref document: AT Kind code of ref document: T Effective date: 20190315 |
|
| REG | Reference to a national code |
Ref country code: IE Ref legal event code: FG4D |
|
| REG | Reference to a national code |
Ref country code: CH Ref legal event code: NV Representative=s name: E. BLUM AND CO. AG PATENT- UND MARKENANWAELTE , CH |
|
| REG | Reference to a national code |
Ref country code: RO Ref legal event code: EPE |
|
| REG | Reference to a national code |
Ref country code: DK Ref legal event code: T3 Effective date: 20190513 |
|
| REG | Reference to a national code |
Ref country code: SE Ref legal event code: TRGR |
|
| REG | Reference to a national code |
Ref country code: HR Ref legal event code: TUEP Ref document number: P20190977 Country of ref document: HR Ref country code: HR Ref legal event code: NPPZ Ref document number: P20190977 Country of ref document: HR Ref country code: NL Ref legal event code: FP |
|
| REG | Reference to a national code |
Ref country code: CH Ref legal event code: PFA Owner name: MORPHOCHEM GMBH, DE Free format text: FORMER OWNER: MORPHOCHEM AKTIENGESELLSCHAFT FUER KOMBINATORISCHE CHEMIE, DE |
|
| REG | Reference to a national code |
Ref country code: PT Ref legal event code: SC4A Ref document number: 3003289 Country of ref document: PT Date of ref document: 20190604 Kind code of ref document: T Free format text: AVAILABILITY OF NATIONAL TRANSLATION Effective date: 20190516 |
|
| REG | Reference to a national code |
Ref country code: DE Ref legal event code: R082 Ref document number: 602014041248 Country of ref document: DE Representative=s name: BOETERS & LIECK, DE Ref country code: DE Ref legal event code: R081 Ref document number: 602014041248 Country of ref document: DE Owner name: MORPHOCHEM GMBH, DE Free format text: FORMER OWNER: MORPHOCHEM AKTIENGESELLSCHAFT FUER KOMBINATORISCHE CHEMIE, 81379 MUENCHEN, DE |
|
| RAP2 | Party data changed (patent owner data changed or rights of a patent transferred) |
Owner name: MORPHOCHEM GMBH |
|
| REG | Reference to a national code |
Ref country code: NO Ref legal event code: T2 Effective date: 20190220 |
|
| REG | Reference to a national code |
Ref country code: EE Ref legal event code: FG4A Ref document number: E017396 Country of ref document: EE Effective date: 20190514 |
|
| REG | Reference to a national code |
Ref country code: NL Ref legal event code: HC Owner name: MORPHOCHEM GMBH; DE Free format text: DETAILS ASSIGNMENT: CHANGE OF OWNER(S), CHANGE OF OWNER(S) NAME; FORMER OWNER NAME: MORPHOCHEM AKTIENGESELLSCHAFT FUER KOMBINATORISCHE CHEMIE Effective date: 20190627 |
|
| REG | Reference to a national code |
Ref country code: HR Ref legal event code: NPPU Ref document number: P20190977 Country of ref document: HR |
|
| REG | Reference to a national code |
Ref country code: HR Ref legal event code: ODRP Ref document number: P20190977 Country of ref document: HR Payment date: 20190729 Year of fee payment: 6 |
|
| REG | Reference to a national code |
Ref country code: BE Ref legal event code: HC Owner name: MORPHOCHEM GMBH; DE Free format text: DETAILS ASSIGNMENT: CHANGE OF OWNER(S), CHANGEMENT DE NOM DU PROPRIETAIRE; FORMER OWNER NAME: MORPHOCHEM AKTIENGESELLSCHAFT FUER KOMBINATORISCHE CHEMIE Effective date: 20190627 |
|
| REG | Reference to a national code |
Ref country code: HR Ref legal event code: T1PR Ref document number: P20190977 Country of ref document: HR |
|
| REG | Reference to a national code |
Ref country code: GR Ref legal event code: EP Ref document number: 20190401511 Country of ref document: GR Effective date: 20190708 |
|
| PG25 | Lapsed in a contracting state [announced via postgrant information from national office to epo] |
Ref country code: LV Free format text: LAPSE BECAUSE OF FAILURE TO SUBMIT A TRANSLATION OF THE DESCRIPTION OR TO PAY THE FEE WITHIN THE PRESCRIBED TIME-LIMIT Effective date: 20190220 |
|
| REG | Reference to a national code |
Ref country code: AT Ref legal event code: PC Ref document number: 1097270 Country of ref document: AT Kind code of ref document: T Owner name: MORPHOCHEM GMBH, DE Effective date: 20190719 |
|
| REG | Reference to a national code |
Ref country code: HU Ref legal event code: AG4A Ref document number: E043786 Country of ref document: HU |
|
| REG | Reference to a national code |
Ref country code: SK Ref legal event code: T3 Ref document number: E 31576 Country of ref document: SK |
|
| REG | Reference to a national code |
Ref country code: ES Ref legal event code: FG2A Ref document number: 2726828 Country of ref document: ES Kind code of ref document: T3 Effective date: 20191009 |
|
| PG25 | Lapsed in a contracting state [announced via postgrant information from national office to epo] |
Ref country code: AL Free format text: LAPSE BECAUSE OF FAILURE TO SUBMIT A TRANSLATION OF THE DESCRIPTION OR TO PAY THE FEE WITHIN THE PRESCRIBED TIME-LIMIT Effective date: 20190220 |
|
| REG | Reference to a national code |
Ref country code: DE Ref legal event code: R097 Ref document number: 602014041248 Country of ref document: DE |
|
| PG25 | Lapsed in a contracting state [announced via postgrant information from national office to epo] |
Ref country code: SM Free format text: LAPSE BECAUSE OF FAILURE TO SUBMIT A TRANSLATION OF THE DESCRIPTION OR TO PAY THE FEE WITHIN THE PRESCRIBED TIME-LIMIT Effective date: 20190220 |
|
| PLBE | No opposition filed within time limit |
Free format text: ORIGINAL CODE: 0009261 |
|
| STAA | Information on the status of an ep patent application or granted ep patent |
Free format text: STATUS: NO OPPOSITION FILED WITHIN TIME LIMIT |
|
| 26N | No opposition filed |
Effective date: 20191121 |
|
| REG | Reference to a national code |
Ref country code: HR Ref legal event code: ODRP Ref document number: P20190977 Country of ref document: HR Payment date: 20200522 Year of fee payment: 7 |
|
| REG | Reference to a national code |
Ref country code: HR Ref legal event code: ODRP Ref document number: P20190977 Country of ref document: HR Payment date: 20210428 Year of fee payment: 8 |
|
| PG25 | Lapsed in a contracting state [announced via postgrant information from national office to epo] |
Ref country code: MT Free format text: LAPSE BECAUSE OF FAILURE TO SUBMIT A TRANSLATION OF THE DESCRIPTION OR TO PAY THE FEE WITHIN THE PRESCRIBED TIME-LIMIT Effective date: 20190220 |
|
| REG | Reference to a national code |
Ref country code: HR Ref legal event code: ODRP Ref document number: P20190977 Country of ref document: HR Payment date: 20220503 Year of fee payment: 9 |
|
| PG25 | Lapsed in a contracting state [announced via postgrant information from national office to epo] |
Ref country code: MK Free format text: LAPSE BECAUSE OF FAILURE TO SUBMIT A TRANSLATION OF THE DESCRIPTION OR TO PAY THE FEE WITHIN THE PRESCRIBED TIME-LIMIT Effective date: 20190220 |
|
| REG | Reference to a national code |
Ref country code: AT Ref legal event code: UEP Ref document number: 1097270 Country of ref document: AT Kind code of ref document: T Effective date: 20190220 |
|
| REG | Reference to a national code |
Ref country code: HR Ref legal event code: ODRP Ref document number: P20190977 Country of ref document: HR Payment date: 20231103 Year of fee payment: 10 |
|
| REG | Reference to a national code |
Ref country code: HR Ref legal event code: ODRP Ref document number: P20190977 Country of ref document: HR Payment date: 20240425 Year of fee payment: 11 |
|
| PGFP | Annual fee paid to national office [announced via postgrant information from national office to epo] |
Ref country code: NL Payment date: 20250423 Year of fee payment: 12 |
|
| PGFP | Annual fee paid to national office [announced via postgrant information from national office to epo] |
Ref country code: LU Payment date: 20250423 Year of fee payment: 12 |
|
| REG | Reference to a national code |
Ref country code: HR Ref legal event code: ODRP Ref document number: P20190977 Country of ref document: HR Payment date: 20250429 Year of fee payment: 12 |
|
| PGFP | Annual fee paid to national office [announced via postgrant information from national office to epo] |
Ref country code: MC Payment date: 20250429 Year of fee payment: 12 |
|
| PGFP | Annual fee paid to national office [announced via postgrant information from national office to epo] |
Ref country code: FI Payment date: 20250423 Year of fee payment: 12 |
|
| PGFP | Annual fee paid to national office [announced via postgrant information from national office to epo] |
Ref country code: PL Payment date: 20250425 Year of fee payment: 12 Ref country code: DE Payment date: 20250423 Year of fee payment: 12 |
|
| PGFP | Annual fee paid to national office [announced via postgrant information from national office to epo] |
Ref country code: GB Payment date: 20250423 Year of fee payment: 12 Ref country code: DK Payment date: 20250423 Year of fee payment: 12 Ref country code: ES Payment date: 20250602 Year of fee payment: 12 |
|
| PGFP | Annual fee paid to national office [announced via postgrant information from national office to epo] |
Ref country code: LT Payment date: 20250423 Year of fee payment: 12 |
|
| PGFP | Annual fee paid to national office [announced via postgrant information from national office to epo] |
Ref country code: IS Payment date: 20250509 Year of fee payment: 12 Ref country code: RS Payment date: 20250430 Year of fee payment: 12 Ref country code: HU Payment date: 20250515 Year of fee payment: 12 Ref country code: NO Payment date: 20250424 Year of fee payment: 12 |
|
| PGFP | Annual fee paid to national office [announced via postgrant information from national office to epo] |
Ref country code: IT Payment date: 20250423 Year of fee payment: 12 Ref country code: BE Payment date: 20250423 Year of fee payment: 12 |
|
| PGFP | Annual fee paid to national office [announced via postgrant information from national office to epo] |
Ref country code: HR Payment date: 20250429 Year of fee payment: 12 |
|
| PGFP | Annual fee paid to national office [announced via postgrant information from national office to epo] |
Ref country code: PT Payment date: 20250423 Year of fee payment: 12 |
|
| PGFP | Annual fee paid to national office [announced via postgrant information from national office to epo] |
Ref country code: FR Payment date: 20250423 Year of fee payment: 12 Ref country code: EE Payment date: 20250429 Year of fee payment: 12 |
|
| PGFP | Annual fee paid to national office [announced via postgrant information from national office to epo] |
Ref country code: BG Payment date: 20250429 Year of fee payment: 12 Ref country code: GR Payment date: 20250424 Year of fee payment: 12 |
|
| PGFP | Annual fee paid to national office [announced via postgrant information from national office to epo] |
Ref country code: CH Payment date: 20250601 Year of fee payment: 12 |
|
| PGFP | Annual fee paid to national office [announced via postgrant information from national office to epo] |
Ref country code: AT Payment date: 20250424 Year of fee payment: 12 Ref country code: RO Payment date: 20250509 Year of fee payment: 12 |
|
| PGFP | Annual fee paid to national office [announced via postgrant information from national office to epo] |
Ref country code: TR Payment date: 20250429 Year of fee payment: 12 Ref country code: SK Payment date: 20250429 Year of fee payment: 12 |
|
| PGFP | Annual fee paid to national office [announced via postgrant information from national office to epo] |
Ref country code: CZ Payment date: 20250429 Year of fee payment: 12 |
|
| PGFP | Annual fee paid to national office [announced via postgrant information from national office to epo] |
Ref country code: IE Payment date: 20250424 Year of fee payment: 12 |
|
| PGFP | Annual fee paid to national office [announced via postgrant information from national office to epo] |
Ref country code: SI Payment date: 20250429 Year of fee payment: 12 Ref country code: SE Payment date: 20250423 Year of fee payment: 12 |
|
| PGFP | Annual fee paid to national office [announced via postgrant information from national office to epo] |
Ref country code: CY Payment date: 20250424 Year of fee payment: 12 |
































