EP1178106A1 - Wässrige Reinigungsmittelkonzentrate für raue, insbesondere profilierte Fliesen und Platten - Google Patents

Wässrige Reinigungsmittelkonzentrate für raue, insbesondere profilierte Fliesen und Platten Download PDF

Info

Publication number
EP1178106A1
EP1178106A1 EP01117825A EP01117825A EP1178106A1 EP 1178106 A1 EP1178106 A1 EP 1178106A1 EP 01117825 A EP01117825 A EP 01117825A EP 01117825 A EP01117825 A EP 01117825A EP 1178106 A1 EP1178106 A1 EP 1178106A1
Authority
EP
European Patent Office
Prior art keywords
cleaning
cleaning agent
weight
aqueous cleaning
parts
Prior art date
Legal status (The legal status is an assumption and is not a legal conclusion. Google has not performed a legal analysis and makes no representation as to the accuracy of the status listed.)
Granted
Application number
EP01117825A
Other languages
English (en)
French (fr)
Other versions
EP1178106B1 (de
Inventor
Felix Dr. Müller
Jörg Peggau
Helen Armstrong
Current Assignee (The listed assignees may be inaccurate. Google has not performed a legal analysis and makes no representation or warranty as to the accuracy of the list.)
Evonik Operations GmbH
Original Assignee
TH Goldschmidt AG
Goldschmidt GmbH
Priority date (The priority date is an assumption and is not a legal conclusion. Google has not performed a legal analysis and makes no representation as to the accuracy of the date listed.)
Filing date
Publication date
Application filed by TH Goldschmidt AG, Goldschmidt GmbH filed Critical TH Goldschmidt AG
Publication of EP1178106A1 publication Critical patent/EP1178106A1/de
Application granted granted Critical
Publication of EP1178106B1 publication Critical patent/EP1178106B1/de
Anticipated expiration legal-status Critical
Expired - Lifetime legal-status Critical Current

Links

Classifications

    • CCHEMISTRY; METALLURGY
    • C11ANIMAL OR VEGETABLE OILS, FATS, FATTY SUBSTANCES OR WAXES; FATTY ACIDS THEREFROM; DETERGENTS; CANDLES
    • C11DDETERGENT COMPOSITIONS; USE OF SINGLE SUBSTANCES AS DETERGENTS; SOAP OR SOAP-MAKING; RESIN SOAPS; RECOVERY OF GLYCEROL
    • C11D1/00Detergent compositions based essentially on surface-active compounds; Use of these compounds as a detergent
    • C11D1/38Cationic compounds
    • C11D1/65Mixtures of anionic with cationic compounds
    • CCHEMISTRY; METALLURGY
    • C11ANIMAL OR VEGETABLE OILS, FATS, FATTY SUBSTANCES OR WAXES; FATTY ACIDS THEREFROM; DETERGENTS; CANDLES
    • C11DDETERGENT COMPOSITIONS; USE OF SINGLE SUBSTANCES AS DETERGENTS; SOAP OR SOAP-MAKING; RESIN SOAPS; RECOVERY OF GLYCEROL
    • C11D1/00Detergent compositions based essentially on surface-active compounds; Use of these compounds as a detergent
    • C11D1/66Non-ionic compounds
    • C11D1/835Mixtures of non-ionic with cationic compounds
    • CCHEMISTRY; METALLURGY
    • C11ANIMAL OR VEGETABLE OILS, FATS, FATTY SUBSTANCES OR WAXES; FATTY ACIDS THEREFROM; DETERGENTS; CANDLES
    • C11DDETERGENT COMPOSITIONS; USE OF SINGLE SUBSTANCES AS DETERGENTS; SOAP OR SOAP-MAKING; RESIN SOAPS; RECOVERY OF GLYCEROL
    • C11D1/00Detergent compositions based essentially on surface-active compounds; Use of these compounds as a detergent
    • C11D1/86Mixtures of anionic, cationic, and non-ionic compounds
    • CCHEMISTRY; METALLURGY
    • C11ANIMAL OR VEGETABLE OILS, FATS, FATTY SUBSTANCES OR WAXES; FATTY ACIDS THEREFROM; DETERGENTS; CANDLES
    • C11DDETERGENT COMPOSITIONS; USE OF SINGLE SUBSTANCES AS DETERGENTS; SOAP OR SOAP-MAKING; RESIN SOAPS; RECOVERY OF GLYCEROL
    • C11D1/00Detergent compositions based essentially on surface-active compounds; Use of these compounds as a detergent
    • C11D1/88Ampholytes; Electroneutral compounds
    • C11D1/94Mixtures with anionic, cationic or non-ionic compounds
    • CCHEMISTRY; METALLURGY
    • C11ANIMAL OR VEGETABLE OILS, FATS, FATTY SUBSTANCES OR WAXES; FATTY ACIDS THEREFROM; DETERGENTS; CANDLES
    • C11DDETERGENT COMPOSITIONS; USE OF SINGLE SUBSTANCES AS DETERGENTS; SOAP OR SOAP-MAKING; RESIN SOAPS; RECOVERY OF GLYCEROL
    • C11D1/00Detergent compositions based essentially on surface-active compounds; Use of these compounds as a detergent
    • C11D1/38Cationic compounds
    • C11D1/62Quaternary ammonium compounds
    • CCHEMISTRY; METALLURGY
    • C11ANIMAL OR VEGETABLE OILS, FATS, FATTY SUBSTANCES OR WAXES; FATTY ACIDS THEREFROM; DETERGENTS; CANDLES
    • C11DDETERGENT COMPOSITIONS; USE OF SINGLE SUBSTANCES AS DETERGENTS; SOAP OR SOAP-MAKING; RESIN SOAPS; RECOVERY OF GLYCEROL
    • C11D2111/00Cleaning compositions characterised by the objects to be cleaned; Cleaning compositions characterised by non-standard cleaning or washing processes
    • C11D2111/10Objects to be cleaned
    • C11D2111/14Hard surfaces
    • C11D2111/24Mineral surfaces, e.g. stones, frescoes, plasters, walls or concretes

Definitions

  • the invention relates to aqueous cleaning agent concentrates for rough, especially profiled stoneware tiles and Non-ionic, anionic or amphoteric plates
  • Surfactants which are quaternary as cleaning enhancers contain alkoxylated amine compounds.
  • stoneware stands for hard-fired tiles and Plates with or without a burned-in ceramic surface coating, can be glazed or unglazed. According to DIN norms are subdivided into water absorption capacity and manufacturing method. DIN EN 176 defines stoneware tiles and porcelain stoneware tiles.
  • the displacement space (V) according to DIN 51 130 is also given for profiled slabs and tiles.
  • Tiles are generally considered to be easy to care for and easy to clean. This applies without restriction to level, smooth and hard substrates of R classes 9 to 11. With increasing R-Class surfaces are becoming increasingly rougher. Fine-rough substrates of class R 12 and in particular profiled tiles of the classes R 12 to 13 and V 8 to 10, so-called porcelain stoneware tiles / -plates.
  • the cleaning effort increases with increasing roughness / unevenness of the subsurface considerably, especially if additional surface enlargement due to porosity given is.
  • the object of the present invention was therefore to achieve this Disadvantages of the known commercial cleaning agents overcome and improved cleaning supplies available too ask which at the same or reduced application concentrations reliable cleaning of rough and profiled Ensure tiles and so-called porcelain stoneware.
  • the present invention therefore relates to aqueous Detergent concentrates for rough, in particular profiled tiles based on non-ionic, anionic, amphoteric surfactants, optionally with concomitant use of usual auxiliaries and additives, which thereby are marked as cleaning enhancers contain quaternary alkoxylated amine compounds.
  • Another object of the invention is the use of aqueous detergent concentrates according to one or more of claims for cleaning porcelain stoneware tiles.
  • aqueous detergent concentrates according to the present Invention contain water in the range of about 45 to about 95 parts by weight, preferably about 70 to about 90 parts by weight. You can use it with additional water to the desired one or usual or required application concentration of approx. 0.5 parts by weight to approx. 10 parts by weight.
  • coconut fatty acid, palm fatty acid, Tallow fatty acid which is a chain distribution from approx. 6 to approx. 20, mainly approx. 8 to approx. 18, Have carbon atoms and both saturated and unsaturated could be.
  • the known methods can Double bonds are hydrogenated in whole or in part, so that the iodine numbers in the range from about 0 to about 50, especially in the Range from about 15 to about 40.
  • Suitable alkoxylating agents are ethylene oxide, propylene oxide or butylene oxide alone or as copolymers with both statistical and blockwise distribution.
  • These compounds are made up of cleaning formulations from mixtures of one or more surfactants from the Group of anionic, nonionic, amphoteric compounds and, if appropriate, customary auxiliaries and additives, such as alkalis, Complexing agent, solubilizer, chlorine bleach additive and mild abrasives in amounts of approx. 0.1 to 5, in particular 0.5 to 3 parts by weight are added.
  • surfactants from the Group of anionic, nonionic, amphoteric compounds and, if appropriate, customary auxiliaries and additives, such as alkalis, Complexing agent, solubilizer, chlorine bleach additive and mild abrasives in amounts of approx. 0.1 to 5, in particular 0.5 to 3 parts by weight are added.
  • the cationic cleaning boosters show not in the presence of anionic compounds the tendency to form insoluble complexes and fail.
  • the surface-active compounds which can also be used according to the invention are the anionic, nonionic, amphoteric / zwitterionic surfactants for manufacturing of cleaning agents for household and industry.
  • the compounds can be used individually or as mixtures are and are, for example, anionic, nonionic and amphoteric surfactants such as alkali, ammonium or magnesium alkyl sulfates or alkyl ether sulfates, secondary alkane sulfonates, alkali ⁇ -olefin sulfonates, Sulfosuccinates, acyl isethionates, sarcosides, Taurides, alkyl polyglucosides, ether citrates, carboxylates, Ether carboxylates, alkyl amide ether sulfates, and ethoxylates of Fatty alcohols, glycerides, oils, fatty acids but also fatty acid esters, Amine oxides, alkyl betaines, alkyl amido betaines, propionates, Glycinates, acetates and sulfobetaines and sodium, potassium or triethanolamine soap.
  • composition of commercially available cleaning agents surfactants
  • Trial product D (base D) Wt .-% TEGOTENS EC 11 (decyl ethoxylate, end-capped) 10 REWOPOL D 510 (sodium isoctyl sulfate) 9 Na stearate 1.2 TEGOTENS DO (decamine oxide) 4.35 triethanolamine 2.0 IDS (30%, sodium iminosuccinate) 0.9 water
  • Trial product E (base E) Wt .-% REWOPOL D 510 (sodium isooctyl sulfate) 4.8
  • REWOPOL SBDO 75 (diisooctyl sulfosuccinate) 0.9 Na phosphonate DTPMP 0.32 water
  • Typical usage dilutions of floor cleaners A 3.0% Especially for professional porcelain stoneware cleaning B 0.9% Normal household all-purpose floor cleaner C 0.9% Normal household all-purpose floor cleaner Base D 0.3% Highly concentrated floor cleaner Base E 1.2% Floor cleaner with base silk
  • the cleaning solution was with tap water, the city of Essen (Water hardness ⁇ 10), to the respective application concentration diluted.
  • the pipette tip was used for the test (Rainin (2.5 ml) EPD 2) 0.3 mm over the tile positioned.
  • the porcelain stoneware tiles were first in the dishwasher washed at 70 ° C without surfactant.
  • the spreading area in length and width was determined using a slide gauge. Each solution was repeated at least five times to correct the error. The area of the drop is calculated using the formula for an ellipse.
  • the properties of the basic solution are considered as blank values. After adding the cleaning booster, a comparison is made in relation to the blank value.
  • Spreading properties of commercial products Diameter of the drop (0.05 ml) on porcelain stoneware tiles original + 1% REWOQUAT CPEM + 1% ADOGEN 66 A in 3.0% solution 5.2 cm 2 52.8 cm 2 32.1 cm 2 Increase [%] 1023% 622% B in 0.9% solution 55.2 cm 2 57.9 cm 2 55.7 cm 2 Increase [%] 105% 101% C in 0.9% solution 70.2 cm 2 78.7 cm 2 79.5 cm 2 Increase [%] 112% 113%
  • test solution E contains only short-chain anionic surfactants, is one of such surfactant systems Weakness in emulsifying behavior known.
  • the cleaning booster according to the invention the emulsifying behavior of weakly emulsifying, Short chain anionic surfactant solutions greatly optimized. If the Emulsion breaks down, water instead of oil. This settling water does not affect the cleaning power or the dirt-carrying capacity during cleaning.

Landscapes

  • Chemical & Material Sciences (AREA)
  • Life Sciences & Earth Sciences (AREA)
  • Engineering & Computer Science (AREA)
  • Chemical Kinetics & Catalysis (AREA)
  • Oil, Petroleum & Natural Gas (AREA)
  • Wood Science & Technology (AREA)
  • Organic Chemistry (AREA)
  • Detergent Compositions (AREA)

Abstract

Wässrige Reinigungsmittelkonzentrate für raue, insbesondere profilierte Fliesen und Platten auf Basis von nichtionischen, anionischen, amphoteren Tensiden, gegebenenfalls unter Mitverwendung von üblichen Hilfs- und Zusatzstoffen, welche dadurch gekennzeichnet sind, dass sie als Reinigungsverstärker quartäre alkoxylierte Aminverbindungen enthalten.

Description

Gegenstand der Erfindung sind wässrige Reinigungsmittelkonzentrate für raue, insbesondere profilierte Steinzeugfliesen und Platten auf Basis von nichtionischen, anionischen, oder amphoteren Tensiden, welche als Reinigungsverstärker quartäre alkoxylierte Aminverbindungen enthalten.
Aus optischen und hygienischen Gründen werden sowohl in gewerblich genutzten als auch in öffentlichen Gebäuden und Einkaufszentren die Arbeitsbereiche, Verkehrswege und Treppen zunehmend mit Natur- und Steinzeug-Fliesen und Platten ausgelegt.
Zur Vermeidung von Unfällen durch Stolpern und Rutschen müssen diese Fußbodenbeläge gewisse Anforderungen hinsichtlich ihrer Trittsicherheit erfüllen, so müssen sie gemäß den gesetzlichen Vorgaben (Richtlinien der Arbeitsstättenverordnung) eben, rutschhemmend und leicht zu reinigen sein.
Der Begriff Steinzeug steht für hart gebrannte Fliesen und Platten, welche mit oder ohne eingebrannter keramischer Oberflächenvergütung, glasiert oder unglasiert sein können. Gemäß DIN-Norm erfolgt eine Unterteilung über Wasseraufnahmevermögen und Fertigungsart. Die DIN EN 176 definiert Steinzeugfliesen und Feinsteinzeugfliesen.
Für die Rutschsicherheit ist jedoch die Oberflächenrauhigkeit entscheidend. Daher werden in den Merkblättern der Berufsgenossenschaft (ZH 1/571) bzw. der Gemeindeunfallversicherer (GUV 26.17; 26.18) für die diversen Anwendungsbereiche genau bestimmte Rutschhemmklassen (R-Klasse) vorgegeben, wobei höhere R-Werte für eine stärkere Rutschhemmung stehen.
Die Bestimmung erfolgt gemäß DIN 51 130 im Versuch an der schiefen Ebene und wird in Neigungswinkelbereichen angegeben: R 9 = 3°-10° Neigungswinkel; R 10 = 10°-19° Neigungswinkel; R 11 = 19°-27° Neigungswinkel; R 12 = 27°-35° Neigungswinkel; R 13 = > 35° Neigungswinkel.
Zusätzlich wird für profilierte Platten und Fliesen auch der Verdrängungsraum (V) entsprechend DIN 51 130 angegeben. Der Verdrängungsraum gibt das Volumen zwischen der oberen Gehebene und der unteren Entwässerungsebene an. Er liegt zwischen V 4 (= 4 cm3/dm2) und V 10 (= 10 cm3/dm2).
Für Bereiche mit erhöhtem Ausrutschrisiko, das sind Bereiche in denen Fußböden und Treppenstufen mit reibungsmindernden, und/oder gleitfördernden Medien wie Wasser, Abfallresten, stärkehaltigen Rückständen, tierischen und pflanzlichen Fetten oder Ölen, mineralischen Fetten oder Ölen, Seifen, Pigmentschmutz, Gummiabrieb, Silikonen in Kontakt kommen, sind die Bewertungsgruppen > R 10, insbesondere R 12 und R 13 angebracht.
Fliesen und Platten gelten im allgemeinen als pflegeleicht und reinigungsfreundlich. Dies gilt uneingeschränkt für ebene, glatte und harte Untergründe der R-Klassen 9 bis 11. Mit steigender R-Klasse werden die Oberflächen jedoch zunehmend rauer. Problematisch gelten feinraue Untergründe der Klasse R 12 und insbesondere profilierte Fliesen und Platten der Klassen R 12 bis 13 und V 8 bis 10, sogenannte Feinsteinzeugfliesen/ -platten.
Der Reinigungsaufwand vergrößert sich bei zunehmender Rauhigkeit/Unebenheit des Untergrundes erheblich, insbesondere wenn aufgrund von Porösizität zusätzliche Oberflächenvergrößerung gegeben ist.
Es hat daher in der Vergangenheit nicht an Versuchen gemangelt, neben speziellen mechanisch wirkenden Reinigungsmaschinen auch neue Reinigungsverfahren zu entwickeln und zusätzlich durch universell anwendbaren Allzweckreiniger insbesondere genau auf den jeweiligen Bodenbelagstyp und Verschmutzungsart abgestimmte Reinigungsmittel den Reinigungsaufwand zu minimieren und den Reinigungseffekt zu optimieren.
Handelsübliche Reinigungsmittel für die manuelle und maschinelle Reinigung sind in der Regel komplexe Mischungen aus anionischen, nichtionischen und amphoteren/zwitterionischen Tensiden, welche übliche Hilfs- und Zusatzstoffe wie Alkalien, Komplexbildner, Lösungsvermittler, Chlorbleichlaugezusatz und gegebenenfalls milde Scheuermittel enthalten. Sie kommen in Konzentrationen von ca. 0,5 bis 10 Gew.-% zur Anwendung.
In der Praxis hat sich jedoch gezeigt, dass auch bei großer mechanischer Unterstützung durch Einsatz von Mikrofaserpads, Schrubber, oder Hochdruckgeräten, Scheuersaug- oder Bürstenwalzen und zusätzlichen intensiven Nachspülgang mit Wasser bei den problematischen Untergründen aus Feinsteinzeug der Schmutz oftmals nicht vollständig im ersten Arbeitsgang entfernt werden konnte. Zusätzliche Reinigungsgänge waren erforderlich.
Abgesehen von dem erheblichen personellen, maschinellen Mehraufwand und zusätzlicher Umweltbelastung durch Reinigungsmittel wird durch die Abrasivwirkung der mechanischen Belastung die Trittsicherung des Bodenbelages schneller gemindert.
Aufgabe der vorliegenden Erfindung war es daher, diese Nachteile der bekannten handelsüblichen Reinigungsmittel zu überwinden und verbesserte Reinigungsmittel zur Verfügung zu stellen, welche bei gleichen oder verminderten Anwendungskonzentrationen eine zuverlässige Reinigung von rauen und profilierten Fliesen und Platten, sogenanntem Feinsteinzeug, gewährleisten.
Diese Aufgabe wird gelöst durch Reinigungsmittel auf Basis von Tensiden, welche als Reinigungsverstärker quartäre alkoxylierte Aminverbindungen enthalten.
Gegenstand der vorliegenden Erfindung sind daher wässrige Reinigungsmittelkonzentrate für raue, insbesondere profilierte Fliesen und Platten auf Basis von nichtionischen, anionischen, amphoteren Tensiden, gegebenenfalls unter Mitverwendung von üblichen Hilfs- und Zusatzstoffen, welche dadurch gekennzeichnet sind, dass sie als Reinigungsverstärker quartäre alkoxylierte Aminverbindungen enthalten.
Ein weiterer Gegenstand der Erfindung sind wässrige Reinigungsmittelkonzentrate, welche, bezogen auf die Gesamtmischung, außer Wasser im wesentlichen
  • 0,1 bis 10, insbesondere 1 bis 10 Gew.-Teile mindestens eines anionischen Tensids, gegebenenfalls
  • 0,0 bis 20, insbesondere 5 bis 15 Gew.-Teile mindestens eines nichtionischen Tensids, gegebenenfalls
  • 0,0 bis 10, insbesondere 1 bis 6 Gew.-Teile mindestens eines amphoteren/zwitterionischen Tensids und gegebenenfalls
  • 0,1 bis 10 Gew.-Teile üblicher Hilfs- und Zusatzstoffe, dadurch gekennzeichnet, dass die Reinigungsmittelkonzentrate
  • 0,1 bis 5, insbesondere 0,5 bis 3 Gew.-Teile alkoxylierte Aminverbindungen der allgemeinen Formel [R1, R2, R3, R4N]+ X- mit der Bedeutung
    R1 =
    ein geradkettiger, gegebenenfalls verzweigter, gegebenenfalls Mehrfachbindungen enthaltender Alkylrest mit 8 bis 22, insbesondere 8 bis 18 C-Atomen,
    R2 =
    -(CH2CHR5O)n-R6 mit R5 = H, -CH3, -C2H5; R6 = H, -CH3, -C2H5 -C3H7 oder -C4H9 und n = 1 bis 25, insbesondere 2 bis 15,
    R3 =
    R1 oder R2,
    R4 =
    -CH3 oder -C2H5 und
    X- =
    anionischer Rest, insbesondere Methylsulfat, Ethylsulfat, Phosphat, Chlorid, Bromid, Jodid
  • als Reinigungsverstärker enthalten.
    Ein weiterer Gegenstand der Erfindung ist die Verwendung der wässrigen Reinigungsmittelkonzentrate gemäß einem oder mehreren der Ansprüche zur Reinigung von Feinsteinzeugfliesen.
    Weitere Gegenstände der Erfindung sind gekennzeichnet durch die Ansprüche.
    Die wässrigen Reinigungsmittelkonzentrate gemäß der vorliegenden Erfindung enthalten, bezogen auf die Gesamtmischung, Wasser im Bereich von ca. 45 bis ca. 95 Gew.-Teile, vorzugsweise ca. 70 bis ca. 90 Gew.-Teile. Sie können im Anwendungsfall mit zusätzlichem Wasser auf die jeweils gewünschte bzw. übliche oder erforderliche Anwendungskonzentration von ca. 0,5 Gew.-Teile bis ca. 10 Gew.-Teile verdünnt werden.
    Die erfindungsgemäß mitverwendeten Reinigungsverstärker sind alkoxylierte Aminverbindungen der allgemeinen Formel [R1, R2, R3, R4N]+ X- mit der Bedeutung
    R1 =
    ein geradkettiger, gegebenenfalls verzweigter, gegebenenfalls Mehrfachbindungen enthaltender Alkylrest mit 8 bis 22 C-Atomen,
    R2 =
    -(CH2CHR5O)n-R6 mit R5 = H, -CH3, -C2H5; R6 = H, -CH3, -C2H5, -C3H7 oder -C4H9 und n = 1 bis 25, insbesondere 2 bis 15,
    R3 =
    R1 oder R2,
    R4 =
    -CH3 oder -C2H5 und
    X- =
    anionischer Rest, insbesondere Methylsulfat, Ethylsulfat, Phosphat, Chlorid, Bromid, Jodid.
    Erfindungsgemäß bevorzugt werden Verbindungen mit R1 auf Basis von Fettaminen, hergestellt nach den bekannten Verfahren durch Umsetzung von natürlichen Fettsäuren mit Ammoniak und anschließender Hydrierung, eingesetzt.
    Als Fettsäuren kommen hier insbesondere Kokosfettsäure, Palmfettsäure, Talgfettsäure in Betracht, welche eine Kettenverteilung von ca. 6 bis ca. 20, hauptsächlich ca. 8 bis ca. 18, C-Atomen aufweisen und sowohl gesättigt als auch ungesättigt sein können. Durch die bekannten Verfahren können die Doppelbindungen ganz oder teilweise hydriert werden, so dass die Jodzahlen im Bereich von ca. 0 bis ca. 50, insbesondere im Bereich von ca. 15 bis ca. 40 liegen.
    Als Alkoxilierungsmittel kommen Ethylenoxid, Propylenoxid oder Butylenoxid allein oder als Copolymere mit sowohl statistischer als auch blockweiser Verteilung in Betracht. Der Alkoxilierungsgrad wird mitbestimmt durch die angestrebte Hydrophilie der Verbindung. Er liegt im Mittel zwischen 1 bis 25, insbesondere 2 bis 15. Im Falle R3 = R2 gilt dieser Wert für beide Reste zusammen. Erfindungsgemäß besonders bevorzugt sind ethoxilierte Verbindungen mit einem Alkoxilierungsgrad um ca. 5 bis 10.
    Verbindungen dieser Art sind handelsübliche Produkte und werden beispielsweise von den Firmen Goldschmidt Rewo und Goldschmidt Chemical Corporation unter den Markennamen REWOQUAT® oder ADOGEN® angeboten, wie REWOQUAT® CPEM oder ADOGEN® 66.
    Diese Verbindungen werden Reinigungsformulierungen bestehend aus Mischungen ein oder mehrerer Tenside aus der Gruppe anionischer, nichtionischer, amphoterer Verbindungen und gegebenenfalls üblicher Hilfs- und Zusatzstoffe wie Alkalien, Komplexbildner, Lösungsvermittler, Chlorbleichlaugezusatz und milden Scheuermitteln in Mengen von ca. 0,1 bis 5, insbesondere 0,5 bis 3 Gew.-Teile zugesetzt.
    Überraschenderweise zeigen die kationischen Reinigungsverstärker in Anwesenheit von anionischen Verbindungen nicht die Tendenz, unlösliche Komplexe zu bilden und auszufallen.
    Sie verbessern nicht die Werte eines einzelnen technischen Effektes zu Lasten der anderen Eigenschaften sondern heben insgesamt das allgemeine Niveau:
    • Besseres Spreiten auf porösen Oberflächen, z.B. Feinsteinzeugfliesen: (optimiertes Benetzungsverhalten führt gerade auf porösen Oberflächen - hier entspricht die reale Oberfläche einem Vielfachen der eigentlichen Grundfläche - zu einem besseren Ablösverhalten des Schmutzes. Auch die Schattenbereiche der rutschhemmenden Erhöhungen werden ausreichend benetzt und gereinigt.)
    • Besseres Kalkseifendispergiervermögen (optimiertes Dispergiervermögen: für anorganische nichtlösliche Verschmutzungen verhindert das Absetzen solcher Verschmutzungen. Dies ist besonders wichtig auf porösen Oberflächen, da diese Rückstände sonst nicht entfernt werden können).
    • Besseres Emulgiervermögen für einfache kostengünstige Tensidsysteme: (optimierte Emulgierfähigkeit, da das gesamte Öl kontinuierlich in der Emulsion vorliegt. Bei dem Absetzen von Wasser kommt es nicht zu einer Wiederanschmutzung durch eine brechende Emulsion). Um die rutschhemmenden Eigenschaften nicht zu reduzieren ist es hier besonders wichtig alle Rückstände vollständig zu entfernen, damit sich die benötigten Poren nicht zusetzen.
    Die erfindungsgemäß mitverwendbaren oberflächenaktiven Verbindungen sind die auf diesem Gebiet üblichen anionischen, nichtionischen, amphoteren/zwitterionischen Tenside zur Herstellung von Reinigungsmitteln für Haushalt und Industrie.
    Die Verbindungen können einzeln oder als Mischungen verwendet werden und sind beispielsweise anionische, nichtionische und amphotere Tenside wie Alkali-, Ammonium- oder Magnesium-Alkylsulfate bzw. Alkylethersulfate, sekundäre Alkansulfonate, Alkali-α-Olefinsulfonate, Sulfosuccinate, Acylisethionate, Sarkoside, Tauride, Alkylpolyglukoside, Ethercitrate, Carboxylate, Ethercarboxylate, Alkylamidethersulfate, sowie Ethoxilate von Fettalkoholen, Glyceriden, Ölen, Fettsäuren aber auch Fettsäureestern, Aminoxide, Alkylbetaine, Alkylamidobetaine, Propionate, Glycinate, Acetate und Sulfobetaine und Natrium-, Kalium- oder Triethanolaminseife.
    Die auf diesem Gebiet einsetzbaren und üblichen bzw. möglichen Verbindungen der einzelnen Gruppen gehören zum Allgemeinwissen des Fachmanns und können außerdem bei Bedarf in der einschlägigen Fachliteratur sowie in den Rezepturempfehlungen der Hersteller der jeweiligen Tensidklassen nachgelesen werden.
    Ausführungsbeispiele A. Testprodukte Verwendete Reinigungsverstärker
  • Versuchsprodukt 1
    REWOQUAT® CPEM Coco Pentaethoxy Methylammonium Methosulfate
  • Versuchsprodukt 2
    ADOGEN® 66 Ethyl-Bis (Polyethoxy Ethanol) Tallow Ammonium Ethosulfate
  • Versuchsprodukt 3
    Capryl Bis-Polyethoxy Methylammonium Chlorid
  • Versuchsprodukt 4
    Capryl Bis-Polyethoxy Methylammonium Ethosulfate
  • Versuchsprodukt 5
    Coco Bis-Polyethoxy Methylammonium Chlorid
  • Versuchsprodukt 6
    Coco Bis-Polyethoxy Methylammonium Methosulfate
  • Versuchsprodukt 7
    Coco Bis-Polyethoxy Methylammonium Ethosulfate
  • Versuchsprodukt 8
    Coco Pentaethoxy Methylammonium Ethosulfate
  • Versuchsprodukt 9
    Tallow Bis-Polyethoxy Methylammonium Methosulfate
  • Versuchsprodukt 10
    REWOQUAT® CQ 100 Coco Bis-Polyethoxy Methylammonium Chlorid (and) Fettalkoholethoxylate
  • Verwendete Feinsteinzeugfliesen
  • Helle Feinsteinzeugfliesen Art-Nr: 2292,
    Güteklasse: R 13 V 10, Hersteller Villeroy & Boch AG Fliesen mit verschiedener Testoberfläche:
    Figure 00100001
  • Reinigungsmittel
    Zusammensetzung handelsüblicher Reinigungsmittel
    Tenside Builder
    Nichtionische Anionische Amphotere Alkalien KomplexBildner Alkohole pH-Wert
    A 5-15 % < 5 % + + 13
    B 5-15 % < 5 % + + 11
    C 5-15 % + 11
    + = vorhanden
    Basisreinigungsmittel
    Versuchsprodukt D (Basis D) Gew.-%
    TEGOTENS EC 11 (Decylethoxylat, endverschlossen) 10
    REWOPOL D 510 (Natriumisoctylsulfat) 9
    Na-Stearat 1,2
    TEGOTENS DO (Decaminoxid) 4,35
    Triethanolamin 2,0
    IDS (30 %, Natriumiminosuccinat) 0,9
    Wasser
    Versuchsprodukt E (Basis E) Gew.-%
    REWOPOL D 510 (Natriumisooctylsulfat) 4,8
    REWOPOL SBDO 75 (Diisooctylsulfosuccinat) 0,9
    Na Phosphonat DTPMP 0,32
    Wasser
    Typische Gebrauchsverdünnungen der Bodenreiniger
    A 3,0 % Besonders für professionelle Feinsteinzeugreinigung
    B 0,9 % Normaler Haushalts Allzweck-Bodenreiniger
    C 0,9 % Normaler Haushalts Allzweck-Bodenreiniger
    Basis D 0,3 % Hochkonzentriertier Bodenreiniger
    Basis E 1,2 % Bodenreiniger mit Basistensiden
    Anwendungstechnische Überprüfung 1.1 Spreitungstest
    Die Reinigungslösung wurde mit Leitungswasser, der Stadt Essen (Wasserhärte < 10), auf die jeweilige Anwendungskonzentration verdünnt. Für den Test wurde die Pipettenspitze (Fa. Rainin (2,5 ml) EPD 2) 0.3 mm über die Fliese positioniert.
    Die Feinsteinzeugfliesen wurden zuerst in der Geschirrspülmaschine bei 70°C ohne Tensid gewaschen.
    Für den Spreitungstest wurde 0,05 ml Reiniger-Anwendungslösung auf die Fliese pipettiert.
    Nach 60 Sekunden wurde die Spreitfläche in Länge und Breite mit einer Schieblehre bestimmt. Zur Fehlerkorrektur wurde jede Lösung mindestens fünfmal wiederholt. Die Fläche des Tropfens wird berechnet durch die Formel für eine Ellipse.
    Figure 00120001
    Die Eigenschaften der Basislösung werden als Blindwert betrachtet. Nach Zugabe der Reinigungsverstärker wird im Verhältnis zu dem Blindwert verglichen.
    Spreitungseigenschaften von Handelsprodukten Durchmesser des Tropfens (0,05 ml) auf Feinsteinzeugfliesen
    Original + 1 % REWOQUAT CPEM + 1 % ADOGEN 66
    A in 3,0 %-iger Lösung 5,2 cm2 52,8 cm2 32,1 cm2
       Zuwachs [%] 1023 % 622 %
    B in 0,9 %-iger Lösung 55,2 cm2 57,9 cm2 55,7 cm2
       Zuwachs [%] 105 % 101 %
    C in 0,9 %-iger Lösung 70,2 cm2 78,7 cm2 79,5 cm2
       Zuwachs [%] 112 % 113 %
    Figure 00140001
    Figure 00150001
    Figure 00150002
    Figure 00160001
    Figure 00160002
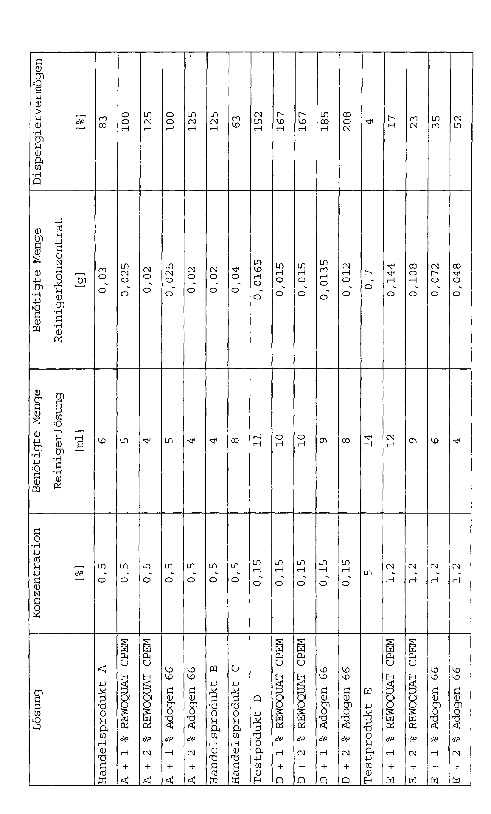
    1.2 Kalkseifendispergiervermögen
    Test in Anlehnung an die Veröffentlichung von: Lime Soap Dispersion Test, Journal of American Oil Chemists' Society, Volume 27, March 1950, p 90 H.C. Boghetty & C.A Bergman Organic Chemicals Division General Dyestuff, N.Y.C.
    Zielsetzung:
    Bestimmt wird die Fähigkeit von Reiniger-Anwendungslösungen, schwerlösliche Metallsalze zu dispergieren.
    Testlösungen:
  • (1) 0,5 g Na-Oleat/100 ml (hergestellt aus 2,8 g/100 ml Goldseife)
  • (2) Wasser mit 1 g/l Carbonathärte (hergestellt aus 0,986 g MgSO4 + 0,882 g CaCl2 in 1 Liter deminineralisiertem Wasser)
  • (3) geeignete Gebrauchsverdünnung des Reinigers als Titrant (Messbereich: 0 bis 15 ml dieser Lösung).
  • Methode:
    5 ml Natriumoleat (1) werden mit X ml einer Reiniger-Anwendungslösung (3) sowie 10 ml hartem Wasser (2) zusammen pipettiert und dann mit demineralisiertem Wasser auf 30 ml aufgefüllt. Die Testlösung wird zwanzigmal gedreht und dann nach 30 Sekunden optisch begutachtet. Bei nicht ausreichendem Dispergiermittel fällt die sich bildende Kalkseife als Wolken in der Lösung aus. Der Endpunkt ist erreicht wenn die Seife dispergiert ist.
    Berechnung des Dispergiervermögens:
    benötigte Menge Reiniger [g] = X ml (Reinigerlösung) · % (Anwendungskonzentration) 100 Dispergiervermögen [%] = 0,025 (Testmenge Na-Oleat) ·100 benötigte Menge Reiniger [g]
    Figure 00190001
    1.2 Emulgierverhalten
    Untersucht wurde hier nur das Verhalten der Testlösung E, da man bei den anderen Reinigern durch den hohen Anteil nichtionischer Tenside keine deutliche Steigerung des Emulgierverhaltens erwarten konnte. Testlösung E enthält nur kurzkettige anionische Tenside, bei solchen Tensidsystemen ist eine Schwäche im Emulgierverhalten bekannt.
    Testmethode:
    100 g Anwendungslösung eines Reinigers wurden mit 90 g (= 100 ml) Ölivenöl gemischt. Dann 30 sec. mit 8000 U/min im "Ultra-Turrax T25" emulgiert. Diese Emulsion wird in einen 250 ml Standzylinder gegeben. Nach 15, 30, 60, 120, 180 Minuten bzw. nach 24 Stunden wird das Mengenverhältnis der einzelnen Phasen abgelesen.
    Figure 00210001
    Figure 00220001
    Ergebnis:
    Wie ersichtlich, wird durch Zusatz der erfindungsgemäßen Reinigungsverstärker das Emulgierverhalten von schwach-emulgierenden, kurzkettigen Aniontensidlösungen stark optimiert. Wenn die Emulsion bricht setzt sich nun Wasser anstelle des Öls ab. Dieses sich absetzende Wasser beeinträchtigt nicht die Reinigungskraft bzw. das Schmutztragevermögen während einer Reinigung.

    Claims (6)

    1. Wässrige Reinigungsmittelkonzentrate für raue, insbesondere profilierte Fliesen und Platten auf Basis von nichtionischen, anionischen, amphoteren Tensiden, gegebenenfalls unter Mitverwendung von üblichen Hilfs- und Zusatzstoffen, dadurch gekennzeichnet, dass sie als Reinigungsverstärker quartäre alkoxylierte Aminverbindungen enthalten.
    2. Wässrige Reinigungsmittelkonzentrate gemäß Anspruch 1, welche, bezogen auf die Gesamtmischung, außer Wasser im wesentlichen
      0,1 bis 10 Gew.-Teile mindestens eines anionischen Tensids, gegebenenfalls
      0,0 bis 20 Gew.-Teile mindestens eines nichtionischen Tensids, gegebenenfalls
      0,0 bis 10 Gew.-Teile mindestens eines amphoteren/zwitterionischen Tensids und gegebenenfalls
      0,1 bis 10 Gew.-Teile üblicher Hilfs- und Zusatzstoffe, dadurch gekennzeichnet, dass die Reinigungsmittelkonzentrate
      0,1 bis 5 Gew.-Teile alkoxylierte Aminverbindungen der allgemeinen Formel [R1, R2, R3, R4N]+ X- mit der Bedeutung
      R1 =
      ein geradkettiger, gegebenenfalls verzweigter, gegebenenfalls Mehrfachbindungen enthaltender Alkylrest mit 8 bis 22 C-Atomen,
      R2 =
      - (CH2CHR5O)n-R6 mit R5 = H, -CH3, -C2H5; R6 = H, -CH3, -C2H5, -C3H7 oder -C4H9 und n = 1-25,
      R3 =
      R1 oder R2,
      R4 =
      -CH3 oder -C2H5 und
      X- =
      anionischer Rest, insbesondere Methylsulfat, Ethylsulfat, Phosphat, Chlorid, Bromid, Jodid
      als Reinigungsverstärker enthalten.
    3. Wässrige Reinigungsmittelkonzentrate gemäß Anspruch 1, dadurch gekennzeichnet, dass sie als Reinigungsverstärker quartäre alkoxylierte Aminverbindungen der allgemeinen Formel [R1, R2, R3, R4N]+ X- enthalten, worin
      R1 =
      ein geradkettiger, Mehrfachbindungen enthaltender Alkylrest mit 12 bis 18 C-Atomen ist,
      R2, R3 =
      - (CH2CHR5O)n-R6 mit R5 = H; R6 = H, und die Summe aller n insgesamt = 5 - 20 ist,
      R4 =
      -CH3 und
      X- =
      Methylsulfat, Ethylsulfat, Chlorid sind.
    4. Wässrige Reinigungsmittelkonzentrate gemäß Anspruch 3, dadurch gekennzeichnet, dass sie als Reinigungsverstärker quartäre alkoxylierte Aminverbindungen der allgemeinen Formel [R1, R2, R3, R4N]+ X-
      enthalten, in denen R1 = die Reste der Kokosfettsäure, Palmfettsäure, Talgfettsäure sein können.
    5. Wässrige Reinigungsmittelkonzentrate gemäß Anspruch 1, dadurch gekennzeichnet, dass sie als Reinigungsverstärker Coco-pentaethoxy-methylammonium-methosulfat und/oder Ethylbis-(polyethoxyethanol)-tallowammonium-ethosulfat enthalten.
    6. Verwendung der wässrigen Reinigungsmittelkonzentrate gemäß Ansprüche 1 bis 5 zur Reinigung von Feinsteinzeugfliesen.
    EP01117825A 2000-08-04 2001-07-21 Verwendung von wässrigen Reinigungsmittelkonzentraten als Reinigungsverstärker zur Reinigung von Feinsteinzeugfliesen Expired - Lifetime EP1178106B1 (de)

    Applications Claiming Priority (2)

    Application Number Priority Date Filing Date Title
    DE10038198A DE10038198A1 (de) 2000-08-04 2000-08-04 Wässrige Reinigungsmittelkonzentrate für raue, insbesondere profilierte Fliesen und Platten
    DE10038198 2000-08-04

    Publications (2)

    Publication Number Publication Date
    EP1178106A1 true EP1178106A1 (de) 2002-02-06
    EP1178106B1 EP1178106B1 (de) 2004-04-28

    Family

    ID=7651394

    Family Applications (1)

    Application Number Title Priority Date Filing Date
    EP01117825A Expired - Lifetime EP1178106B1 (de) 2000-08-04 2001-07-21 Verwendung von wässrigen Reinigungsmittelkonzentraten als Reinigungsverstärker zur Reinigung von Feinsteinzeugfliesen

    Country Status (7)

    Country Link
    US (1) US6544350B2 (de)
    EP (1) EP1178106B1 (de)
    JP (1) JP2002097491A (de)
    AT (1) ATE265515T1 (de)
    CA (1) CA2352865A1 (de)
    DE (2) DE10038198A1 (de)
    ES (1) ES2220633T3 (de)

    Families Citing this family (9)

    * Cited by examiner, † Cited by third party
    Publication number Priority date Publication date Assignee Title
    DE102004036067A1 (de) 2004-07-24 2006-02-16 Goldschmidt Gmbh Wässrige Reinigungsmittelkonzentrate für raue, insbesondere profilierte Fliesen und Platten
    US7332463B2 (en) * 2005-04-22 2008-02-19 On Legal Grounds, Inc. Colloidal cleaning system comprising a saponified fatty acid and an anionic/nonionic surfactant mixture
    DE102009001748A1 (de) 2009-03-23 2010-09-30 Evonik Goldschmidt Gmbh Formulierungen enthaltend Sorbitancarbonsäureester
    DE102014207386A1 (de) * 2014-04-17 2015-10-22 Evonik Degussa Gmbh Tensidzusammensetzungen und hoch ölhaltige Formulierungen enthaltend diese
    US9920284B2 (en) 2015-04-22 2018-03-20 S. C. Johnson & Son, Inc. Cleaning composition with a polypropdxylated 2-(trialkylammonio)ethanol ionic liquid
    FR3047488B1 (fr) * 2016-02-05 2020-02-28 Laboratoires Anios Compositions detergentes pour le nettoyage dans l'industrie cosmetique et pharmaceutique.
    US10815453B2 (en) 2016-10-26 2020-10-27 S. C. Johnson & Son, Inc. Disinfectant cleaning composition with quaternary ammonium hydroxycarboxylate salt and quaternary ammonium antimicrobial
    US10920175B2 (en) 2016-10-26 2021-02-16 S. C. Johnson & Son, Inc. Disinfectant cleaning composition with quaternary amine ionic liquid
    EP3532586B1 (de) 2016-10-26 2022-05-18 S.C. Johnson & Son, Inc. Desinfizierende reinigungszusammensetzung mit quartärem ammoniumhydroxycarboxylatsalz

    Citations (6)

    * Cited by examiner, † Cited by third party
    Publication number Priority date Publication date Assignee Title
    US4284435A (en) * 1979-11-28 1981-08-18 S. C. Johnson & Son, Inc. Method for spray cleaning painted surfaces
    EP0928829A1 (de) * 1998-01-08 1999-07-14 HENKEL-ECOLAB GmbH & CO. OHG Reinigung harter Oberflächen mit rheopexen wässrigen Reinigungsmitteln
    WO1999035120A1 (en) * 1998-01-09 1999-07-15 Witco Corporation Novel quaternary ammonium compounds, compositions containing them, and uses thereof
    GB2334723A (en) * 1998-02-26 1999-09-01 Reckitt & Colmann Prod Ltd Hard surface cleaner
    US6017874A (en) * 1995-09-29 2000-01-25 The Procter & Gamble Company Liquid laundry detergents containing selected quaternary ammonium compounds
    WO2000049127A1 (en) * 1999-02-17 2000-08-24 Reckitt Benckiser, Inc. Hard surface cleaning and disinfecting compositions

    Family Cites Families (5)

    * Cited by examiner, † Cited by third party
    Publication number Priority date Publication date Assignee Title
    GB2329901A (en) * 1997-09-30 1999-04-07 Reckitt & Colman Inc Acidic hard surface cleaning and disinfecting compositions
    GB2336369B (en) * 1998-04-14 2002-06-19 Reckitt & Colman Inc Improvements in or relating to organic compositions
    GB2336370B (en) * 1998-04-14 2002-09-04 Reckitt & Colman Inc Improvements in or relating to organic compositions
    GB9817457D0 (en) * 1998-08-12 1998-10-07 Reckitt & Colman Inc Improvements in or related to organic compositions
    US6465411B2 (en) * 2000-12-21 2002-10-15 Clariant International Ltd. Pine oil cleaning composition

    Patent Citations (6)

    * Cited by examiner, † Cited by third party
    Publication number Priority date Publication date Assignee Title
    US4284435A (en) * 1979-11-28 1981-08-18 S. C. Johnson & Son, Inc. Method for spray cleaning painted surfaces
    US6017874A (en) * 1995-09-29 2000-01-25 The Procter & Gamble Company Liquid laundry detergents containing selected quaternary ammonium compounds
    EP0928829A1 (de) * 1998-01-08 1999-07-14 HENKEL-ECOLAB GmbH & CO. OHG Reinigung harter Oberflächen mit rheopexen wässrigen Reinigungsmitteln
    WO1999035120A1 (en) * 1998-01-09 1999-07-15 Witco Corporation Novel quaternary ammonium compounds, compositions containing them, and uses thereof
    GB2334723A (en) * 1998-02-26 1999-09-01 Reckitt & Colmann Prod Ltd Hard surface cleaner
    WO2000049127A1 (en) * 1999-02-17 2000-08-24 Reckitt Benckiser, Inc. Hard surface cleaning and disinfecting compositions

    Also Published As

    Publication number Publication date
    DE50102104D1 (de) 2004-06-03
    DE10038198A1 (de) 2002-02-21
    ES2220633T3 (es) 2004-12-16
    US6544350B2 (en) 2003-04-08
    ATE265515T1 (de) 2004-05-15
    JP2002097491A (ja) 2002-04-02
    EP1178106B1 (de) 2004-04-28
    US20020169093A1 (en) 2002-11-14
    CA2352865A1 (en) 2002-02-04

    Similar Documents

    Publication Publication Date Title
    DE69734427T2 (de) Hydrotrop enthaltende reiniger für harte oberflächen mit verminderter rückstandsbildung
    DE60117809T2 (de) Reinigungsmittelzusammensetzung zum chemisch-mechanischen planarisieren
    EP1178106B1 (de) Verwendung von wässrigen Reinigungsmittelkonzentraten als Reinigungsverstärker zur Reinigung von Feinsteinzeugfliesen
    DE60018795T2 (de) Fleckentfernung und schmutzablösung bei der textilwäsche
    EP2804937B1 (de) Wasch-, reinigungs- oder vorbehandlungsmittel mit erhöhter reinigungskraft
    EP1335965B1 (de) Behandlung von oberflächen zur temporären verbesserung des schmutzablöseverhaltens
    DE69321562T2 (de) Reinigungsmittelzusammensetzungen mit einer Kombination aus stark hydrophilen und stark hydrophoben nichtionischen Tensiden
    EP0916717B1 (de) Mittel zum Reinigen von harten Oberflächen
    EP1619237B1 (de) Wässrige Reinigungsmittelkonzentrate für raue, insbesondere profilierte Fliesen und Platten
    DE2211576A1 (de) Textilbehandlungsmittel
    EP0928829B1 (de) Reinigung harter Oberflächen mit rheopexen wässrigen Reinigungsmitteln
    WO2000031218A1 (de) Metallbearbeitungs- und reinigungsverfahren
    DE102013217325A1 (de) Reinigungsmittel mit Entkalkungswirkung
    DE4243468A1 (de) Neutrales flüssiges Reinigungsmittel (I)
    EP1232236B1 (de) Verwendung von schmutzablösenden formulierungen zur behandlung von oberflächen
    EP0944712B1 (de) Reinigungsmittel
    DE3144470A1 (de) Schaumkontrollierte waschmittel
    DE202013103933U1 (de) Reinigungsmittel mit Entkalkungswirkung
    DE102004010152A1 (de) Herstellung einer Mikroemulsion zur Erhöhung der dynamischen Netzwirkung von Reinigern für profilierte Fliesen und Platten
    EP1147170B1 (de) Mittel zur pflegenden behandlung von wasserfesten oberflächen
    DE2731152A1 (de) Reinigungsmittel fuer gegenstaende mit harter oberflaeche
    DE3328639A1 (de) Reinigungsmittel fuer mechanisch bearbeitete halbleitermaterialien
    WO2003010269A1 (de) Saures wässriges reinigungsmittel
    DE1546095A1 (de) Neuartiges Entfettungsmittel,das durch Kuehlen mit Wasser emulsionierbar ist
    DE19748379A1 (de) Verfahren zur Reinigung von Fußböden

    Legal Events

    Date Code Title Description
    PUAI Public reference made under article 153(3) epc to a published international application that has entered the european phase

    Free format text: ORIGINAL CODE: 0009012

    17P Request for examination filed

    Effective date: 20010728

    AK Designated contracting states

    Kind code of ref document: A1

    Designated state(s): AT BE CH CY DE DK ES FI FR GB GR IE IT LI LU MC NL PT SE TR

    AX Request for extension of the european patent

    Free format text: AL;LT;LV;MK;RO;SI

    AKX Designation fees paid

    Free format text: AT BE CH CY DE DK ES FI FR GB GR IE IT LI LU MC NL PT SE TR

    17Q First examination report despatched

    Effective date: 20030708

    GRAP Despatch of communication of intention to grant a patent

    Free format text: ORIGINAL CODE: EPIDOSNIGR1

    RTI1 Title (correction)

    Free format text: USE OF AQUEOUS CLEANING AGENT CONCENTRATES AS DETERGENCY BOOSTERS FOR CLEANING FINE-STONEWARE TILES

    GRAS Grant fee paid

    Free format text: ORIGINAL CODE: EPIDOSNIGR3

    GRAA (expected) grant

    Free format text: ORIGINAL CODE: 0009210

    AK Designated contracting states

    Kind code of ref document: B1

    Designated state(s): AT BE CH CY DE DK ES FI FR GB GR IE IT LI LU MC NL PT SE TR

    PG25 Lapsed in a contracting state [announced via postgrant information from national office to epo]

    Ref country code: TR

    Free format text: LAPSE BECAUSE OF FAILURE TO SUBMIT A TRANSLATION OF THE DESCRIPTION OR TO PAY THE FEE WITHIN THE PRESCRIBED TIME-LIMIT

    Effective date: 20040428

    Ref country code: IE

    Free format text: LAPSE BECAUSE OF FAILURE TO SUBMIT A TRANSLATION OF THE DESCRIPTION OR TO PAY THE FEE WITHIN THE PRESCRIBED TIME-LIMIT

    Effective date: 20040428

    Ref country code: FI

    Free format text: LAPSE BECAUSE OF FAILURE TO SUBMIT A TRANSLATION OF THE DESCRIPTION OR TO PAY THE FEE WITHIN THE PRESCRIBED TIME-LIMIT

    Effective date: 20040428

    Ref country code: CY

    Free format text: LAPSE BECAUSE OF FAILURE TO SUBMIT A TRANSLATION OF THE DESCRIPTION OR TO PAY THE FEE WITHIN THE PRESCRIBED TIME-LIMIT

    Effective date: 20040428

    REG Reference to a national code

    Ref country code: GB

    Ref legal event code: FG4D

    Free format text: NOT ENGLISH

    REG Reference to a national code

    Ref country code: CH

    Ref legal event code: EP

    REG Reference to a national code

    Ref country code: IE

    Ref legal event code: FG4D

    Free format text: GERMAN

    REF Corresponds to:

    Ref document number: 50102104

    Country of ref document: DE

    Date of ref document: 20040603

    Kind code of ref document: P

    PG25 Lapsed in a contracting state [announced via postgrant information from national office to epo]

    Ref country code: AT

    Free format text: LAPSE BECAUSE OF NON-PAYMENT OF DUE FEES

    Effective date: 20040721

    Ref country code: LU

    Free format text: LAPSE BECAUSE OF NON-PAYMENT OF DUE FEES

    Effective date: 20040721

    PG25 Lapsed in a contracting state [announced via postgrant information from national office to epo]

    Ref country code: GR

    Free format text: LAPSE BECAUSE OF FAILURE TO SUBMIT A TRANSLATION OF THE DESCRIPTION OR TO PAY THE FEE WITHIN THE PRESCRIBED TIME-LIMIT

    Effective date: 20040728

    Ref country code: DK

    Free format text: LAPSE BECAUSE OF FAILURE TO SUBMIT A TRANSLATION OF THE DESCRIPTION OR TO PAY THE FEE WITHIN THE PRESCRIBED TIME-LIMIT

    Effective date: 20040728

    Ref country code: SE

    Free format text: LAPSE BECAUSE OF FAILURE TO SUBMIT A TRANSLATION OF THE DESCRIPTION OR TO PAY THE FEE WITHIN THE PRESCRIBED TIME-LIMIT

    Effective date: 20040728

    PG25 Lapsed in a contracting state [announced via postgrant information from national office to epo]

    Ref country code: MC

    Free format text: LAPSE BECAUSE OF NON-PAYMENT OF DUE FEES

    Effective date: 20040731

    GBT Gb: translation of ep patent filed (gb section 77(6)(a)/1977)

    Effective date: 20040812

    REG Reference to a national code

    Ref country code: IE

    Ref legal event code: FD4D

    REG Reference to a national code

    Ref country code: ES

    Ref legal event code: FG2A

    Ref document number: 2220633

    Country of ref document: ES

    Kind code of ref document: T3

    ET Fr: translation filed
    PLBE No opposition filed within time limit

    Free format text: ORIGINAL CODE: 0009261

    STAA Information on the status of an ep patent application or granted ep patent

    Free format text: STATUS: NO OPPOSITION FILED WITHIN TIME LIMIT

    RAP2 Party data changed (patent owner data changed or rights of a patent transferred)

    Owner name: GOLDSCHMIDT GMBH

    REG Reference to a national code

    Ref country code: CH

    Ref legal event code: PFA

    Owner name: GOLDSCHMIDT GMBH

    Free format text: GOLDSCHMIDT AG#GOLDSCHMIDTSTRASSE 100#45127 ESSEN (DE) -TRANSFER TO- GOLDSCHMIDT GMBH#GOLDSCHMIDTSTRASSE 100#45127 ESSEN (DE)

    26N No opposition filed

    Effective date: 20050131

    NLT2 Nl: modifications (of names), taken from the european patent patent bulletin

    Owner name: GOLDSCHMIDT GMBH

    PGFP Annual fee paid to national office [announced via postgrant information from national office to epo]

    Ref country code: CH

    Payment date: 20050714

    Year of fee payment: 5

    REG Reference to a national code

    Ref country code: FR

    Ref legal event code: CD

    Ref country code: FR

    Ref legal event code: CJ

    PGFP Annual fee paid to national office [announced via postgrant information from national office to epo]

    Ref country code: FR

    Payment date: 20060714

    Year of fee payment: 6

    Ref country code: NL

    Payment date: 20060714

    Year of fee payment: 6

    Ref country code: DE

    Payment date: 20060714

    Year of fee payment: 6

    PGFP Annual fee paid to national office [announced via postgrant information from national office to epo]

    Ref country code: GB

    Payment date: 20060720

    Year of fee payment: 6

    PGFP Annual fee paid to national office [announced via postgrant information from national office to epo]

    Ref country code: ES

    Payment date: 20060728

    Year of fee payment: 6

    PG25 Lapsed in a contracting state [announced via postgrant information from national office to epo]

    Ref country code: CH

    Free format text: LAPSE BECAUSE OF NON-PAYMENT OF DUE FEES

    Effective date: 20060731

    Ref country code: LI

    Free format text: LAPSE BECAUSE OF NON-PAYMENT OF DUE FEES

    Effective date: 20060731

    PGFP Annual fee paid to national office [announced via postgrant information from national office to epo]

    Ref country code: IT

    Payment date: 20060731

    Year of fee payment: 6

    PGFP Annual fee paid to national office [announced via postgrant information from national office to epo]

    Ref country code: BE

    Payment date: 20060822

    Year of fee payment: 6

    REG Reference to a national code

    Ref country code: CH

    Ref legal event code: PL

    PG25 Lapsed in a contracting state [announced via postgrant information from national office to epo]

    Ref country code: PT

    Free format text: LAPSE BECAUSE OF NON-PAYMENT OF DUE FEES

    Effective date: 20040928

    BERE Be: lapsed

    Owner name: *GOLDSCHMIDT G.M.B.H.

    Effective date: 20070731

    GBPC Gb: european patent ceased through non-payment of renewal fee

    Effective date: 20070721

    NLV4 Nl: lapsed or anulled due to non-payment of the annual fee

    Effective date: 20080201

    PG25 Lapsed in a contracting state [announced via postgrant information from national office to epo]

    Ref country code: DE

    Free format text: LAPSE BECAUSE OF NON-PAYMENT OF DUE FEES

    Effective date: 20080201

    Ref country code: NL

    Free format text: LAPSE BECAUSE OF NON-PAYMENT OF DUE FEES

    Effective date: 20080201

    PG25 Lapsed in a contracting state [announced via postgrant information from national office to epo]

    Ref country code: GB

    Free format text: LAPSE BECAUSE OF NON-PAYMENT OF DUE FEES

    Effective date: 20070721

    REG Reference to a national code

    Ref country code: FR

    Ref legal event code: ST

    Effective date: 20080331

    PG25 Lapsed in a contracting state [announced via postgrant information from national office to epo]

    Ref country code: BE

    Free format text: LAPSE BECAUSE OF NON-PAYMENT OF DUE FEES

    Effective date: 20070731

    PG25 Lapsed in a contracting state [announced via postgrant information from national office to epo]

    Ref country code: FR

    Free format text: LAPSE BECAUSE OF NON-PAYMENT OF DUE FEES

    Effective date: 20070731

    REG Reference to a national code

    Ref country code: ES

    Ref legal event code: FD2A

    Effective date: 20070723

    PG25 Lapsed in a contracting state [announced via postgrant information from national office to epo]

    Ref country code: ES

    Free format text: LAPSE BECAUSE OF NON-PAYMENT OF DUE FEES

    Effective date: 20070723

    PG25 Lapsed in a contracting state [announced via postgrant information from national office to epo]

    Ref country code: IT

    Free format text: LAPSE BECAUSE OF NON-PAYMENT OF DUE FEES

    Effective date: 20070721