EP0902405B1 - Verfahren zur Ermittlung von Verkehrsinformationen - Google Patents
Verfahren zur Ermittlung von Verkehrsinformationen Download PDFInfo
- Publication number
- EP0902405B1 EP0902405B1 EP98117164A EP98117164A EP0902405B1 EP 0902405 B1 EP0902405 B1 EP 0902405B1 EP 98117164 A EP98117164 A EP 98117164A EP 98117164 A EP98117164 A EP 98117164A EP 0902405 B1 EP0902405 B1 EP 0902405B1
- Authority
- EP
- European Patent Office
- Prior art keywords
- traffic
- data
- calculation
- speed
- section
- Prior art date
- Legal status (The legal status is an assumption and is not a legal conclusion. Google has not performed a legal analysis and makes no representation as to the accuracy of the status listed.)
- Revoked
Links
Images
Classifications
-
- G—PHYSICS
- G08—SIGNALLING
- G08G—TRAFFIC CONTROL SYSTEMS
- G08G1/00—Traffic control systems for road vehicles
- G08G1/01—Detecting movement of traffic to be counted or controlled
Definitions
- the invention relates to a method for determining Road routes, especially traffic information related to motorways, local detection cross sections using stationary detectors formed, traffic-related measured values recorded, preprocessed by means of local computers and to a given one Data protocol standardized, aggregated and sent to a higher level by radio Data processing system are transmitted.
- a traffic control and Information system which uses stationary Guide beacons and transmitting or receiving units arranged in vehicles Traffic flow information determined. From these Traffic flow information becomes, in particular, interference information determined to switch control signals.
- DE-P 44 08 547 describes a method for traffic detection and traffic situation detection on highways, preferably Motorways, known.
- lane-related measuring points are set up, which are equipped with traffic sensors, for example induction loops, for vehicle detection and with a traffic data processing device are provided.
- Traffic data such as vehicle speed, Traffic strength and traffic density determined and from it certain traffic parameters in a traffic data preparation educated.
- Two adjacent ones form Measuring points a measuring section with a certain distance. Traffic parameters become from the traffic data of two such measuring points educated.
- This is a speed density difference, calculated from local traffic data of medium speed and traffic density, a trend factor over a period of time from the ratio of traffic levels both measuring points as well as a traffic volume trend.
- this data becomes the probability derived for a critical traffic situation. at A probability threshold can then be reached Control signal for a variable message sign can be generated.
- Detectors are also known in the prior art that determine the presence and detect the speed of a moving object can. For example, such detectors work according to a passive infrared process, which may also be used with others Procedure can be combined.
- a passive infrared process which may also be used with others Procedure can be combined.
- No method is known to date, traffic information covering the entire area to record and evaluate.
- An essential aspect of the present invention is the optimal one Evaluation and further processing of the received data in one Central unit to the from an economic point of view recorded and sent data so comprehensive and meaningful to process as possible, but also to produce results arrive, the information content as clear and reliable as possible is. In this regard, only individual solutions are known.
- the present invention is based on the object of providing an area-wide traffic data acquisition of the generic type, by means of which simple and sensible data transfer and energy expenditure are reliable and sufficiently meaningful data bases for different traffic information services, such that the detected and data sent are analyzed and processed as comprehensively and meaningfully as possible, and the results are as clear and reliable as possible.
- the invention proposes a method for determining traffic information relating to road routes, in particular motorways, wherein local detection cross sections are formed by means of fixed detectors, traffic-related measured values are recorded, preprocessed by means of local computers and standardized, aggregated and per using a predetermined data protocol wireless transmission are transmitted to a higher-level data processing system, the transmitted data being processed in at least two redundant, different and independent calculation methods for determining route-related traffic information.
- the invention enables the implementation of a step organized processing system, being short term Results can be achieved by expanding into the individual levels can be consolidated and refined. Through the There is a resolution into individual subtasks or stages high degree of flexibility and reliability through the Formation of fallback levels. Through the local pre-analysis of the Traffic gives rise to extremely energy-saving, event-oriented data transmission to the parent Data processing systems or centers.
- Fixed detectors are preferably used at connection points, Positioned nodes and the like. Beyond that the arrangement density of the fixed detectors depending determined by traffic expectation estimates. So you can through the arrangement of many local recording systems Build networks. With the invention it is also possible organize an overall network structure. On traffic critical positions are local detectors and preprocessing computers arranged by radio in preferably digital Technology the data to higher-level data processing systems forward or control centers. There can then be more Traffic models to which data are applied.
- the possibility of local evaluation results from the local evaluation State identification By linking the data to neighboring local acquisition cross sections can be a so-called route-related level of service in a higher-level data processing system or one assigned to the overall network Central can be determined.
- Measurement data are delivered, they are preprocessed, for example by calculating mean values, checking plausibility and trend factor determinations carried out become. From the changes in the data or the data itself status codes are then determined, for example in the form a numerical value for conditions such as free flow of traffic, traffic jam, Stop and go, traffic jam or standstill etc. evaluation cycles can be selected every 1 to 5 minutes, for example. However, the evaluation cycle can be set variably, for example depending on the status codes or the Traffic conditions. The same applies to the data transfer rate, which, for example, depending on the determined Status code is applied, for example, with free flow of traffic Averaging every 30 minutes every 5 minutes. Depending on the fault condition, the transmission density increase. The data transfer rates neighboring acquisition cross-sections compared.
- the measured values can be recorded in relation to lanes, but what is not absolutely necessary, other acquisition cross sections can also be used To be defined. It is also fundamental possible, vehicle type differentiation values, for example Detect trucks, cars and the like.
- source-to-target relationships by analyzing the data of all acquisition cross sections of a network determines that the data for route search, evaluated for the output of traffic management information, for Clarification subjected to statistical analysis and that the data evaluated for the submission of traffic development forecasts become.
- the invention provides methods for different Types and qualities of traffic information data to provide.
- the main task is to provide such data for to prepare the motor vehicle drivers and expedient them Provide information. It can be, for example for travel time displays, route displays, traffic forecast, Act traffic jams and the like.
- vehicles are arranged with information displays, on which the drivers of their planned routes and get the travel time information displayed. You can then, for example, under different alternatives choose the fastest route. Additionally or alternatively you can Indications of traffic jam developments, probabilities in relation on further development on the upcoming route section and the like are displayed.
- the range of applications is extensive.
- the invention provides an extremely flexible method, with which with the connection of different traffic models an almost network-wide, comprehensive traffic information system is buildable, which data for different Provides informational purposes. It can be conventional and already known models and processes used and be combined. Forecasts can be curve-based forecasts at measuring points, model-based forecasts for sections and Meshes and additions of immeasurable effects using be artificial intelligence. For the calculation of mean values usual formulas are used.
- the invention proposes that the transferred data in two different calculation methods Complexity. It is provided that one of the at least two calculation methods a simple interpolation procedure of low complexity is.
- the input data of the calculation process is lower Complexity is vehicle speed v and traffic volume q, output data are a cruising speed and Traffic density k.
- the calculation method low complexity an additional traffic jam message outputs.
- a procedure as described is required only a minimum of input data and can be very fast very reliable statements about the traffic conditions in the area of a measurement cross section. With interpolation it is assumed for simplicity that all vehicles behave the same.
- the other one of the at least two calculation methods is based on the data analysis based on a fundamental diagram Is a highly complex process.
- a fundamental diagram is a known, on a measurement cross section related curve.
- the representation is the curve of traffic volume q above the assignment k.
- the curve corresponds in simplified and highly smoothed form essentially one asymmetrical Gaussian distribution and leaves statements about critical and uncritical states too.
- the invention strikes before that input data of the calculation method of high complexity Vehicle speed v, traffic strength q and Allocation b are based on a travel time Cruising speed and traffic density are k.
- the calculation method be of high complexity additionally a traffic situation status signal, at least differentiates according to free / critical / traffic jam. This second procedure also requires only a minimum of Input data and can very quickly make very reliable statements about the traffic condition in the area of a measurement cross-section to meet.
- Impairment parameters such as construction sites, accidents and the like can be entered.
- the 3 levels differ in the complexity of the used Process for evaluating traffic data and thus in the quality and type of the calculated traffic parameters.
- Preprocessing and plausibility checks are carried out in the individual stages of the incoming data. Get all results on sections between adjacent junctions or junctions (e.g. Federal Motorway (BAB) sections) and the current, available at the headquarters Measured data interval. To travel times for selected Determining routes through the network are also the route-related travel speeds of different time intervals according to the route length and the total travel time required; these have to be from archived waterways withdrawn or forecast on the basis thereof. Route-related travel times are not yet calculated here, can, however, be determined on the basis of all 3 levels if necessary become.
- BAB Federal Motorway
- the aim is to check and, if necessary, correct the aggregation modules upcoming measurement data.
- the conversion takes place to track-related values. Extrapolation of directional variables Lane-related sizes.
- Input is lane-related data from the aggregation module in 1 min intervals.
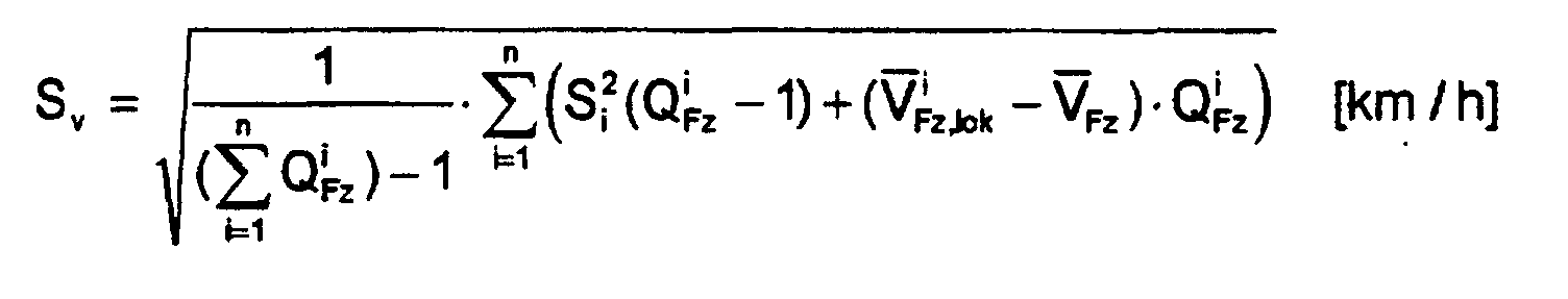
- V i Fz q i car ⁇ V i car + q i truck ⁇ V i truck q i car + q i truck
- the standard deviation gives the fluctuation range of the speed again.
- the back calculation of the lane-related cruising speed from the cross-sectional cruising speed can also be used.
- FIG. 2 shows how the detector D uses Section A of a main carriageway H between a first ramp R1 and a second ramp R2 is characterized.
- the cruising speed in the section is calculated in a first approximation from the local direction-related average speed of the vehicles.
- V Fz, mom 0.974 V Fz, lok ,
- the standard deviation of the current speed is equal to the standard deviation of the local speed.
- FIG. 3 it is shown how a section A one Main roadway H between a first ramp R1 and one second ramp R2 by means of a first detector D1 and one second detector D2 is characterized.
- Cruising speed in the section is the arithmetic mean of the mean instantaneous speeds of the m measuring cross sections in the section.
- Traffic volume in the section is the arithmetic mean of the local directional traffic volumes of the m measurement cross-sections in the section
- K Fz Q Fz V Fz, mom ⁇ Number of lanes ⁇ 60 [vehicle / km]
- the travel time band is calculated as in case 1.
- FIG 4 it is shown how a main carriageway H in 3 sections A1, A2 and A3 divided between different ramps R. is, in the first section A1 a first detector D1 and in the third section A3 a second detector D2 is provided is.
- the standard deviation of the speed is calculated as in case 1.
- Traffic volume in the section is the arithmetic mean of the local directional traffic volumes of the surrounding measurement cross-sections
- K Fz Q Fz V Fz, mom ⁇ Number of lanes ⁇ 60 [vehicle / km]
- the travel time band is calculated as in case 1.
- FIG. 5 shows case 4, with two detectors D1 and D2 are arranged in sections A1 and A2, respectively.
- k 1 and k 2 are adjustable.
- Case 1 relates to the situation shown in FIG. 3.
- Case 2 relates to the situation shown in FIG. 4. arithmetic mean of the QB of the neighboring MQ
- Traffic jam on a measuring cross-section is detected when the forecast speed on the main carriageway: V Q, prog ⁇ V traffic jam on the condition that the difference between the forecast speeds of the cars and the trucks (as an absolute value) does not exceed a certain value. ie:
- V traffic jam 35 km / h
- V Diff 25 km / h
- Minimum number of vehicles 600 vehicles / h
- the module performs an iterative calculation of the matrix elements based on the pre-weighting and the matrix line and column totals.
- the FDG is shown in FIG.
- the key data of the individual fundamental diagrams are in the appendix listed.
- the reference interval is 1 minute.
- Traffic mapping with ESE Extended Situation Detection: With the traffic model ESE, profiles of traffic volume, Speed and traffic density for individual segments of one Section generated. In addition, statements about made the traffic situation in the section.
- a section in ESE relates to the model approach always on the distance between two measuring cross-sections.
- the Section used in the field test (visualization) is limited by nodes or junctions.
- For visualization the ESE sections or segments must match the visualization sections be assigned.
- FIG. 8 A federal highway BAB is shown in FIG. 8, which is divided into three sections A1, A2 and A3, each with a detector D1, D2 and D3.
- ESE there is an ESE section ESE A1 between the first detector D1 and the second detector D2 in 3 segments S 1 m , S 2 m S 3 m and corresponding to the ESE section ESE-A2 between the second detector D2 and the third Detector D3 divided into three segments S 1 n , S 2 n and S 3 n .
- a Visu ⁇ S m i + ⁇ S n i
- the traffic situation is determined for the ESE section. To adapt to the BAB section is for the individual situations a corresponding logic is proposed. The Situation is set to zero in the next interval and with the newly calculated ESE situations.
- a traffic-technical bottleneck is defined as a situation in which the number of available lanes is reduced by a traffic-related event, for example an accident or a vehicle that has broken down, and consequently there are discontinuities in the flow of traffic.
- ESE A n-1 S3 S4 S5 S6 ESE A n S1 S1 S1 S1 S1 S1 ESE A n + 1 BAB A m-1 S4 BAB A m S3 S1 S5 BAB A m + 1 S1
- a section is blocked when the traffic density in the entire section exceeds a defined size and the speed at the two section boundaries falls below a defined size.
- ESE A n-1 S4 S5 S6 ESE A n S5 S5 S5 S5 ESE A n + 1 BAB A m-1 BAB on S3 S5 S5 S6 BAB A m + 1 S3
- the raw data of the detectors are written to a file per detector and day.
- the parameterization data are for each change and for each detector or aggregation module with the date of the change save.
- An off-line evaluation accesses the raw data from the detectors, on the results of the three tier models and on the Parameterization data back.
Landscapes
- Physics & Mathematics (AREA)
- General Physics & Mathematics (AREA)
- Traffic Control Systems (AREA)
- Devices For Checking Fares Or Tickets At Control Points (AREA)
- Nitrogen And Oxygen Or Sulfur-Condensed Heterocyclic Ring Systems (AREA)
- Circuits Of Receivers In General (AREA)
- Mobile Radio Communication Systems (AREA)
Description
- streckenbezogene Reisegeschwindigkeitsklassen
- Reisezeitbänder (durchschnittliche Reisezeit +- Toleranz)
- Verkehrsdichteklassen
- streckenbezogene Reisegeschwindigkeitsklassen unter Einbeziehung von Fundamentaldiagrammen
- Verkehrsstromaufteilung an Knoten mit verbesserter Aussage der Verkehrssituation
- Stau am Meßquerschnitt
- Unruhe im Verkehrsablauf
- Verkehrslage, einfach
- streckenbezogene Reisegeschwindigkeitsklassen
- Verkehrsstromaufteilung an Knoten
- detaillierte Situationserkennung für einzelne Streckenabschnitte
| Zeit | [wt:hh:mm] | Endzeitpunkt des Erfassungsintervalls |
| MQ | [-] | Meßquerschnitts-Nr. |
| spurbezogene Werte: | ||
| Q_Pkw | [Fz/h] | Verkehrsstärke, Pkw |
| Q_Lkw | [Fz/h] | Verkehrsstärke, Lkw |
| Q_ges | [Fz/h] | Verkehrsstärke, Kfz |
| V_Pkw | [km/h] | lokale Geschwindigkeit, Pkw |
| V_Lkw | [km/h] | lokale Geschwindigkeit, Lkw |
| V_max | [kmIh] | maximale Einzelgeschwindigkeit |
| SV | [km/h] | Standardabweichung V_Kfz |
| B | [%] | Belegungsgrad |
| Fehler-Länge | [-] verschlüsselter Fehlercode | |
| Fehler-B | [-] | verschlüsselter Fehlercode |
| Querschnittsbezogene Werte: | ||
| A0_V | [km/h] | Trendfaktor für V_Kfz (konstant) |
| A1_V | [km/h] | Trendfaktor für V_Kfz (linear) |
| A2_V | [km/h] | Trendfaktor für V_Kfz (quadrat.) |
| A0_Q | [Fz/h] | Trendfaktor für Q_Kfz (konstant) |
| A1_Q | [Fz/h] | Trendfaktor für Q_Kfz (linear) |
| A2_Q | [Fz/h] | Trendfaktor für Q_Kfz (quadrat.) |
| N_Pulk | [-] | Pulkwert |
| ZL | [-] | Verkehrszustand lokal |
- Q_max_Spur [Fz/h]
- Z_Pulk [s]
- DV_Pulk [km/h]
- V_frei [km/h]
- B_frei [%]
- B_Stau [%]
- DT [s]
- Alpha [-]
- Beta [-]
- Q1 [Fz/h]
- Q2 [Fz/h]
- Q_max_Voll [Fz/h]
- B1 [%]
- B2 [%]
- q
- fahrstreifenbezogene Verkehrsstärke
- Q
- richtungsbezogene Verkehrsstärke
- v
- fahrstreifenbezogene mittlere Geschwindigkeit
- V
- richtungsbezogene mittlere Geschwindigkeit
- b
- fahrstreifenbezogener Belegungsgrad
- B
- richtungsbezogener Belegungsgrad
- k
- fahrstreifenbezogene Verkehrsdichte
- K
- richtungsbezogene Verkehrsdichte (Mittelwert) pro Spur
- σv
- fahrstreifenbez. Standardabweichung der Geschwindig.
- Sv
- richtungsbezogene Standardabweichung der Geschwindig.
- dxMQ-MQ
- Abschnittslänge zwischen Meßquerschnitten (Berechnung, sowie Eingaben)
- dxAS-AS
- Abschnittslänge zwischen Anschlußstellen (Berechnung, sowie Eingaben)
- f
- Verkehrsbeziehung
- li, mi, re
- Bezeichnung der Spur
- lok
- lokale Größe
- mom
- momentane, streckenbezogene Größe
- Fz
- Fahrzeuge Kfz
- Pkw
- Fahrzeuge mit Länge < L_Pkw_lkw
- Lkw
- Fahrzeuge mit Länge > L_Pkw_lkw
- H
- Hauptfahrbahn
- A
- Ausfahrt
- E
- Einfahrt
- N
- Nebenfahrbahn
- Reisegeschwindigkeit im Streckenabschnitt:
- harmonisches Mittel der lokalen Geschwindigkeiten
Reisegeschwindigkeit in Knoten:
- Hauptfahrbahn wie Streckenabschnitt
- Rampen durch Vergleich der Randquerschnitte mit Logik und anschließende Zuordnung von Reduktionsfaktoren
- Reisezeitband aus Geschwindigkeitsklasse und Abschnittslänge
- Verkehrsdichte Streckenabschnitt:
- Verkehrsstärke stromauf durch Reisegeschwindigkeit (Abgleich mit lokalen Verkehrsdichten, Plausibilitätsgrenzen)
- Verkehrsdichte in Knoten:
- Hauptfahrbahn: wie Streckenabschnitt, mit Reduktion entsprechend Rampen
- Rampen: Einteilung nach Logik mit Randquerschnitten
- Plausibilitätsgrenzen
- Ermittlung Bemessungsverkehrsstärke QB aus Q_Pkw, Q_Lkw, V_Pkw, V_Lkw
- Stau am Meßquerschnitt: BABSY-Modul mit Grenzgeschwindigkeit und Berücksichtigung von V_Pkw, V_Lkw
- Unruhe im Streckenabschnitt: BABSY-Modul mit SV_links
- Grobe Schätzung der Aufteilungsverhältnisse am Knoten mit
Furness
Korrektur der Werte aus Stufe 1 Logik
arithmetisches Mittel der Werte von QB im Abschnitt
arithmetisches Mittel der QB der benachbarten MQ
d.h.:
| Qk | int | Zeilensummen der Matrix |
| Zl | int | Spaltensummen der Matrix |
| wkl | int | Gewichtungsmatrix (absolut) Defaultwerte |
| n_k | int | Anzahl der Matrixzeilen |
| n_l | int | Anzahl der Matrixspalten |
| iter | int | Anzahl der Iterationsschritte |
| xkk | double Ausgleichsfaktoren |
| xll | double Ausgleichsfaktoren |
| sum_w | int | Summe der Gewichte multipl. mit der Zeilen oder |
| Spaltensumme einer Zeile oder Spalte | ||
| k | int | Schleifenzähler Zeilen |
| l | int | Schleifenzähler Spalten |
| n | int | Schleifenzähler Iterationen |
- 0:
- (0; v0)
- A:
- (qA; vA)
- B:
- (qB; vB)
- C:
- (qC; vC)
- D:
- (qB; 0,5vC)
- Berechnung der Profile von Verkehrsdichte und Streckengeschwindigkeit mit ESE auf durchgehenden Streckenabschnitten, Zu- und Abflüsse innerhalb der Abschnitte werden fest versorgt (zukünftig auch als Ganglinie vorgebbar)
- Ermittlung der Verkehrssituationen, inklusive Störfall in Streckenabschnitten
| ESE An-1 | S3 | S4 | S5 | S6 | |
| ESE An | S1 | S1 | S1 | S1 | S1 |
| ESE An+1 | |||||
| BAB Am-1 | S4 | ||||
| BAB Am | S3 | S1 | S5 | ||
| BAB Am+1 | S1 |
| ESE An-1 | S3 | S4 | S5 | S6 |
| ESE An | S3 | S3 | S3 | S3 |
| ESE An+1 | ||||
| BAB Am-1 | ||||
| BAB Am | S3 | S3 | S3 | S6 |
| BAB Am+1 |
| ESE An-1 | |||
| ESE An | S4 | S4 | S4 |
| ESE An+1 | S5 | S6 | |
| BAB Am-1 | |||
| BAB Am | |||
| BAB Am+1 | S3 | S6 | S6 |
| ESE An-1 | S4 | S5 | S6 | |
| ESE An | S5 | S5 | S5 | S5 |
| ESE An+1 | ||||
| BAB Am-1 | ||||
| BAB Am | S3 | S5 | S5 | S6 |
| BAB Am+1 | S3 |
| ESE An-1 | S3 | S4 | S5 | S6 | |
| ESE An | S6 | S6 | S6 | S6 | S6 |
| ESE An+1 | |||||
| BAB Am-1 | |||||
| BAB Am | S6 | S3 | S6 | S6 | S6 |
| BAB Am+1 | S6 |
| Zeit | [wt:hh:mm] | Endzeitpunkt des Erfassungsintervalls |
| MQ | [-] | Meßquerschnitts-Nr. |
| spurbezogene Werte: | ||
| Q_Pkw | [Fz/h] | Verkehrsstärke, Pkw |
| Q_Lkw | [Fz/h] | Verkehrsstärke, Lkw |
| Q_ges | [Fz/h] | Verkehrsstärke, Kfz |
| V_Pkw | [km/h] | lokale Geschwindigkeit, Pkw |
| V_Lkw | [km/h] | lokale Geschwindigkeit, Lkw |
| V_max | [kmIh] | maximale Einzelgeschwindigkeit |
| SV | [km/h] | Standardabweichung V_Kfz |
| B | [%] | Belegungsgrad |
| Fehler-Länge | [-] verschlüsselter Fehlercode | |
| Fehler-B | [-] | verschlüsselter Fehlercode |
| Detektorparameter | |
| V_max_P | [km/h] |
| V_max_L | [km/h] |
| L_PL | [dm] |
Claims (22)
- Verfahren zur Ermittlung von auf Straßenstrecken, insbesondere Autobahnen, bezogenen Verkehrsinformationen, wobei mittels ortsfester Detektoren lokale Erfassungsquerschnitte gebildet, verkehrsbezogene Meßwerte erfaßt, mittels lokaler Rechner vorverarbeitet und auf ein vorgegebenes Datenprotokoll normiert, aggregiert und per drahtloser Übermittlung an eine übergeordnete Datenverarbeitungsanlage übertragen werden, dadurch gekennzeichnet, daß die übertragenen Daten in wenigstens zwei redundanten, zueinander unterschiedlichen und unabhängigen Berechnungsverfahren zur Ermittlung streckenbezogener Verkehrsinformationen bearbeitet werden.
- Verfahren nach Anspruch 1, dadurch gekennzeichnet, daß die übertragenen Daten zur Erstellung eines standardisierten Basisdatensatzes vorverarbeitet werden.
- Verfahren nach einem der vorhergehenden Ansprüche, dadurch gekennzeichnet, daß die übertragenen Daten in zwei Berechnungsverfahren unterschiedlicher Komplexität bearbeitet werden.
- Verfahren nach einem der vorhergehenden Ansprüche, dadurch gekennzeichnet, daß zur Verarbeitung der Daten deren Plausibilität überprüft wird.
- Verfahren nach einem der vorhergehenden Ansprüche, dadurch gekennzeichnet, daß eines der wenigstens zwei Berechnungsverfahren ein einfaches Interpolationsverfahren geringer Komplexität ist.
- Verfahren nach Anspruch 5, dadurch gekennzeichnet, daß Eingangsdaten des Berechnungsverfahrens geringer Komplexität Fahrzeuggeschwindigkeit v und Verkehrsstärke q, Ausgangsdaten eine Reisegeschwindigkeit und Verkehrsdichte k sind.
- Verfahren nach Anspruch 6, dadurch gekennzeichnet, daß das Berechnungsverfahren geringer Komplexität zusätzlich eine Staustörmeldung ausgibt.
- Verfahren nach einem der vorhergehenden Ansprüche, dadurch gekennzeichnet, daß eines der wenigstens zwei Berechnungsverfahren ein auf der Datenanalyse auf der Basis eines Fundamentaldiagramms basierendes Verfahren hoher Komplexität ist.
- Verfahren nach Anspruch 8, dadurch gekennzeichnet, daß Eingangsdaten des Berechnungsverfahrens hoher Komplexität Fahrzeuggeschwindigkeit v, Verkehrsstärke q und Belegung b sind, Ausgangsdaten eine Reisezeit bezogen auf Reisegeschwindigkeit und Verkehrsdichte k sind.
- Verfahren nach Anspruch 9, dadurch gekennzeichnet, daß das Berechnungsverfahren hoher Komplexität zusätzlich ein Verkehrssituationsstatussignal, wenigstens differenziert nach Frei/Kritisch/Stau ausgibt.
- Verfahren nach einem der vorhergehenden Ansprüche, dadurch gekennzeichnet, daß die übertragenen Daten in wenigstens einem dritten, hochkomplexen Berechnungsverfahren für eine erweiterte Situationserkennung bearbeitet werden.
- Verfahren nach Anspruch 11, dadurch gekennzeichnet, daß bei dem hochkomplexen Berechnungsverfahren Fuzzylogik eingesetzt wird.
- Verfahren nach einem der vorhergehenden Ansprüche, dadurch gekennzeichnet, daß in die Berechnungsverfahren Störstellenparameter wie Baustellen, Unfälle und dergleichen eingegeben werden.
- Verfahren nach einem der vorhergehenden Ansprüche, dadurch gekennzeichnet, daß als Meßwerte Fahrzeuggeschwindigkeit, Verkehrsstärke und Belegung erfaßt werden.
- Verfahren nach einem der vorhergehenden Ansprüche, dadurch gekennzeichnet, daß die Meßwerte fahrspurenbezogen erfaßt werden.
- Verfahren nach einem der vorhergehenden Ansprüche, dadurch gekennzeichnet, daß als Meßwerte Fahrzeugtypunterscheidungswerte erfaßt werden.
- Verfahren nach einem der vorhergehenden Ansprüche, dadurch gekennzeichnet, daß in der übergeordneten Datenverarbeitungsanlage streckenbezogene Verkehrsinformationen durch Verknüpfung der übertragenen Daten benachbarter Erfassungsquerschnitte errechnet werden.
- Verfahren nach einem der vorhergehenden Ansprüche, dadurch gekennzeichnet, daß die Daten zur Routensuche ausgewertet werden.
- Verfahren nach einem der vorhergehenden Ansprüche, dadurch gekennzeichnet, daß die Daten zur Ausgabe von Verkehrsleitungsinformationen ausgewertet werden.
- Verfahren nach einem der vorhergehenden Ansprüche, dadurch gekennzeichnet, daß die Daten zur Abgabe von Verkehrsentwicklungsprognosen ausgewertet werden.
- Verfahren nach einem der vorhergehenden Ansprüche, dadurch gekennzeichnet, daß die Daten zur Ausgabe von Reisezeitinformationen ausgewertet werden.
- Verfahren nach einem der vorhergehenden Ansprüche, dadurch gekennzeichnet, daß die Daten zur Ausgabe von Stauinformationen ausgewertet werden.
Applications Claiming Priority (2)
| Application Number | Priority Date | Filing Date | Title |
|---|---|---|---|
| DE19739918 | 1997-09-11 | ||
| DE19739918 | 1997-09-11 |
Publications (3)
| Publication Number | Publication Date |
|---|---|
| EP0902405A2 EP0902405A2 (de) | 1999-03-17 |
| EP0902405A3 EP0902405A3 (de) | 2000-08-23 |
| EP0902405B1 true EP0902405B1 (de) | 2004-05-12 |
Family
ID=7842002
Family Applications (1)
| Application Number | Title | Priority Date | Filing Date |
|---|---|---|---|
| EP98117164A Revoked EP0902405B1 (de) | 1997-09-11 | 1998-09-10 | Verfahren zur Ermittlung von Verkehrsinformationen |
Country Status (6)
| Country | Link |
|---|---|
| EP (1) | EP0902405B1 (de) |
| AT (1) | ATE266888T1 (de) |
| DE (1) | DE59811367D1 (de) |
| DK (1) | DK0902405T3 (de) |
| ES (1) | ES2221105T3 (de) |
| PT (1) | PT902405E (de) |
Families Citing this family (8)
| Publication number | Priority date | Publication date | Assignee | Title |
|---|---|---|---|---|
| DE19928082C2 (de) * | 1999-06-11 | 2001-11-29 | Ddg Ges Fuer Verkehrsdaten Mbh | Filterungsverfahren zur Bestimmung von Reisegeschwindigkeiten bzw. -zeiten und Domänen-Restgeschwindigkeiten |
| DE19935770A1 (de) * | 1999-07-23 | 2001-02-01 | Ddg Ges Fuer Verkehrsdaten Mbh | Rückgekoppelte Zustandskaskade |
| DE19935769C2 (de) * | 1999-07-23 | 2002-02-07 | Ddg Ges Fuer Verkehrsdaten Mbh | Verkehrszustandsprognose durch rückgekoppelte Zustandskaskade |
| DE10036364C2 (de) * | 2000-07-18 | 2003-08-28 | Ddg Ges Fuer Verkehrsdaten Mbh | Verfahren zur Erstellung prognostizierter Verkehrsdaten für Verkehrsinformationen |
| DE10036789A1 (de) | 2000-07-28 | 2002-02-07 | Daimler Chrysler Ag | Verfahren zur Bestimmung des Verkehrszustands in einem Verkehrsnetz mit effektiven Engstellen |
| EP1480184A3 (de) * | 2003-05-19 | 2006-06-07 | TransVer GmbH | Verfahren zur Bestimmung von Verkehrskenngrössen an Bedienstationen |
| US8838370B2 (en) | 2009-03-09 | 2014-09-16 | Empire Technology Development Llc | Traffic flow model to provide traffic flow information |
| CN105118289A (zh) * | 2015-06-17 | 2015-12-02 | 河南理工大学 | 一种交通态势评估方法 |
Family Cites Families (2)
| Publication number | Priority date | Publication date | Assignee | Title |
|---|---|---|---|---|
| US5610821A (en) * | 1994-11-18 | 1997-03-11 | Ibm Corporation | Optimal and stable route planning system |
| ES2135134T3 (es) * | 1995-04-28 | 1999-10-16 | Inform Inst Operations Res & M | Procedimiento para la deteccion de perturbaciones en el trafico rodado. |
-
1998
- 1998-09-10 AT AT98117164T patent/ATE266888T1/de not_active IP Right Cessation
- 1998-09-10 ES ES98117164T patent/ES2221105T3/es not_active Expired - Lifetime
- 1998-09-10 DE DE59811367T patent/DE59811367D1/de not_active Expired - Fee Related
- 1998-09-10 PT PT98117164T patent/PT902405E/pt unknown
- 1998-09-10 EP EP98117164A patent/EP0902405B1/de not_active Revoked
- 1998-09-10 DK DK98117164T patent/DK0902405T3/da active
Also Published As
| Publication number | Publication date |
|---|---|
| DK0902405T3 (da) | 2004-09-13 |
| EP0902405A2 (de) | 1999-03-17 |
| ATE266888T1 (de) | 2004-05-15 |
| EP0902405A3 (de) | 2000-08-23 |
| DE59811367D1 (de) | 2004-06-17 |
| ES2221105T3 (es) | 2004-12-16 |
| PT902405E (pt) | 2004-10-29 |
Similar Documents
| Publication | Publication Date | Title |
|---|---|---|
| EP0750774B1 (de) | Verfahren zur verkehrserfassung und verkehrssituationserkennung auf autostrassen, vorzugsweise autobahnen | |
| EP0798684B1 (de) | Verfahren und System zur Verkehrslageerfassung durch stationäre Datenerfassungseinrichtung | |
| EP1026649B1 (de) | Verfahren und Vorrichtung zur Bereitstellung von Verkehrsinformation | |
| EP0879460B1 (de) | Verfahren und einrichtung zur erfassung von daten über die verkehrslage | |
| DE69322152T2 (de) | Wartezeitinformationssystem für fahrgäste an bushaltestellen | |
| EP1154389A1 (de) | Verfahren zur Verkehrslagebestimmung für ein Verkehrsnetz | |
| EP0960411B1 (de) | Verfahren zur bestimmung von verkehrsdaten und verkehrsinformationszentrale | |
| EP0740280A2 (de) | Verfahren zur Störungserkennung im Strassenverkehr | |
| EP0902405B1 (de) | Verfahren zur Ermittlung von Verkehrsinformationen | |
| EP2280383A1 (de) | Verfahren zur Ermittlung von Verkehrsinformationen für eine Straßenstrecke eines Straßennetzes sowie Verkehrsrechner zur Durchführung des Verfahrens | |
| DE10057796B4 (de) | Verfahren zur fahrzeugindividuellen Verkehrszustandsprognose | |
| DE69631629T2 (de) | Erfassung und Vorhersage von Verkehrsbehinderungen | |
| EP2447924B1 (de) | System zur Ermittlung der Verkehrssituation auf einer Straßenstrecke | |
| EP2116981A2 (de) | Verfahren und Vorrichtung zur Ermittlung von Rückstaulängen an Lichtsignalanlagen | |
| EP4186775A1 (de) | Verfahren und vorrichtung zum erkennen von eigenschaften eines fahrzeugs | |
| DE10051777A1 (de) | Verfahren zur dynamischen Verkehrszustandsprognose | |
| WO1997034274A1 (de) | Verkehrsabhängige steuerung von verkehrs-lichtsignalanlagen mit hilfe von fuzzy-logik | |
| EP0902404B1 (de) | Verfahren zur Ermittlung von Verkehrsinformationen | |
| EP1057156B1 (de) | Verkehrslageerfassung mit fuzzy-klassifikation und mehrdimensionaler morphologischer datenfilterung und dynamischer domänenbildung | |
| EP1758065B1 (de) | Verfahren zur Prognose eines Verkehrszustandes in einem Straßennetz und Verkehrsmanagementzentrale | |
| EP0908861A2 (de) | Verfahren zur Ermittlung von Verkehrsinformationen | |
| EP0903711A2 (de) | Verfahren zur Ermittlung von Verkehrsinformationen | |
| DE19737440A1 (de) | Verfahren zur Bestimmung von Verkehrsdaten und Verkehrsinformationszentrale | |
| EP0902403B1 (de) | Verfahren zur Ermittlung von Verkehrsinformationen | |
| DE19905284A1 (de) | Verkehrslageerfassung mit Fuzzy-Klassifikation und mehrdimensionaler morphologischer Datenfilterung und dynamischer Domänenbildung |
Legal Events
| Date | Code | Title | Description |
|---|---|---|---|
| PUAI | Public reference made under article 153(3) epc to a published international application that has entered the european phase |
Free format text: ORIGINAL CODE: 0009012 |
|
| AK | Designated contracting states |
Kind code of ref document: A2 Designated state(s): AT BE CH CY DE DK ES FI FR GB GR IE IT LI LU MC NL PT SE |
|
| AX | Request for extension of the european patent |
Free format text: AL;LT;LV;MK;RO;SI |
|
| PUAL | Search report despatched |
Free format text: ORIGINAL CODE: 0009013 |
|
| AK | Designated contracting states |
Kind code of ref document: A3 Designated state(s): AT BE CH CY DE DK ES FI FR GB GR IE IT LI LU MC NL PT SE |
|
| AX | Request for extension of the european patent |
Free format text: AL;LT;LV;MK;RO;SI |
|
| 17P | Request for examination filed |
Effective date: 20010219 |
|
| AKX | Designation fees paid |
Free format text: AT BE CH CY DE DK ES FI FR GB GR IE IT LI LU MC NL PT SE |
|
| GRAP | Despatch of communication of intention to grant a patent |
Free format text: ORIGINAL CODE: EPIDOSNIGR1 |
|
| RTI1 | Title (correction) |
Free format text: METHOD FOR DETERMINING TRAFFIC INFORMATION |
|
| GRAS | Grant fee paid |
Free format text: ORIGINAL CODE: EPIDOSNIGR3 |
|
| GRAA | (expected) grant |
Free format text: ORIGINAL CODE: 0009210 |
|
| AK | Designated contracting states |
Kind code of ref document: B1 Designated state(s): AT BE CH CY DE DK ES FI FR GB GR IE IT LI LU MC NL PT SE |
|
| PG25 | Lapsed in a contracting state [announced via postgrant information from national office to epo] |
Ref country code: LI Free format text: LAPSE BECAUSE OF NON-PAYMENT OF DUE FEES Effective date: 20040512 Ref country code: CH Free format text: LAPSE BECAUSE OF NON-PAYMENT OF DUE FEES Effective date: 20040512 |
|
| REG | Reference to a national code |
Ref country code: GB Ref legal event code: FG4D Free format text: NOT ENGLISH |
|
| REG | Reference to a national code |
Ref country code: CH Ref legal event code: EP |
|
| REG | Reference to a national code |
Ref country code: CH Ref legal event code: NV Representative=s name: SIEMENS SCHWEIZ AG |
|
| REG | Reference to a national code |
Ref country code: IE Ref legal event code: FG4D Free format text: GERMAN |
|
| REF | Corresponds to: |
Ref document number: 59811367 Country of ref document: DE Date of ref document: 20040617 Kind code of ref document: P |
|
| GBT | Gb: translation of ep patent filed (gb section 77(6)(a)/1977) |
Effective date: 20040621 |
|
| REG | Reference to a national code |
Ref country code: GR Ref legal event code: EP Ref document number: 20040401929 Country of ref document: GR |
|
| PGFP | Annual fee paid to national office [announced via postgrant information from national office to epo] |
Ref country code: FI Payment date: 20040805 Year of fee payment: 7 |
|
| PGFP | Annual fee paid to national office [announced via postgrant information from national office to epo] |
Ref country code: IE Payment date: 20040810 Year of fee payment: 7 |
|
| REG | Reference to a national code |
Ref country code: SE Ref legal event code: TRGR |
|
| PGFP | Annual fee paid to national office [announced via postgrant information from national office to epo] |
Ref country code: PT Payment date: 20040813 Year of fee payment: 7 |
|
| PGFP | Annual fee paid to national office [announced via postgrant information from national office to epo] |
Ref country code: MC Payment date: 20040818 Year of fee payment: 7 |
|
| PGFP | Annual fee paid to national office [announced via postgrant information from national office to epo] |
Ref country code: GR Payment date: 20040826 Year of fee payment: 7 |
|
| PGFP | Annual fee paid to national office [announced via postgrant information from national office to epo] |
Ref country code: CY Payment date: 20040827 Year of fee payment: 7 |
|
| PGFP | Annual fee paid to national office [announced via postgrant information from national office to epo] |
Ref country code: AT Payment date: 20040831 Year of fee payment: 7 |
|
| PGFP | Annual fee paid to national office [announced via postgrant information from national office to epo] |
Ref country code: NL Payment date: 20040906 Year of fee payment: 7 |
|
| PGFP | Annual fee paid to national office [announced via postgrant information from national office to epo] |
Ref country code: SE Payment date: 20040907 Year of fee payment: 7 Ref country code: GB Payment date: 20040907 Year of fee payment: 7 |
|
| PGFP | Annual fee paid to national office [announced via postgrant information from national office to epo] |
Ref country code: DK Payment date: 20040909 Year of fee payment: 7 |
|
| PGFP | Annual fee paid to national office [announced via postgrant information from national office to epo] |
Ref country code: LU Payment date: 20040910 Year of fee payment: 7 |
|
| PGFP | Annual fee paid to national office [announced via postgrant information from national office to epo] |
Ref country code: BE Payment date: 20040913 Year of fee payment: 7 |
|
| REG | Reference to a national code |
Ref country code: DK Ref legal event code: T3 |
|
| PGFP | Annual fee paid to national office [announced via postgrant information from national office to epo] |
Ref country code: ES Payment date: 20040915 Year of fee payment: 7 |
|
| PGFP | Annual fee paid to national office [announced via postgrant information from national office to epo] |
Ref country code: FR Payment date: 20040921 Year of fee payment: 7 |
|
| REG | Reference to a national code |
Ref country code: PT Ref legal event code: SC4A Free format text: AVAILABILITY OF NATIONAL TRANSLATION Effective date: 20040812 |
|
| PGFP | Annual fee paid to national office [announced via postgrant information from national office to epo] |
Ref country code: DE Payment date: 20041118 Year of fee payment: 7 |
|
| PGFP | Annual fee paid to national office [announced via postgrant information from national office to epo] |
Ref country code: CH Payment date: 20041208 Year of fee payment: 7 |
|
| REG | Reference to a national code |
Ref country code: ES Ref legal event code: FG2A Ref document number: 2221105 Country of ref document: ES Kind code of ref document: T3 |
|
| ET | Fr: translation filed | ||
| PLAQ | Examination of admissibility of opposition: information related to despatch of communication + time limit deleted |
Free format text: ORIGINAL CODE: EPIDOSDOPE2 |
|
| PLBI | Opposition filed |
Free format text: ORIGINAL CODE: 0009260 |
|
| PLBQ | Unpublished change to opponent data |
Free format text: ORIGINAL CODE: EPIDOS OPPO |
|
| PLAQ | Examination of admissibility of opposition: information related to despatch of communication + time limit deleted |
Free format text: ORIGINAL CODE: EPIDOSDOPE2 |
|
| PLAR | Examination of admissibility of opposition: information related to receipt of reply deleted |
Free format text: ORIGINAL CODE: EPIDOSDOPE4 |
|
| PLBQ | Unpublished change to opponent data |
Free format text: ORIGINAL CODE: EPIDOS OPPO |
|
| PLAQ | Examination of admissibility of opposition: information related to despatch of communication + time limit deleted |
Free format text: ORIGINAL CODE: EPIDOSDOPE2 |
|
| PLAR | Examination of admissibility of opposition: information related to receipt of reply deleted |
Free format text: ORIGINAL CODE: EPIDOSDOPE4 |
|
| PLBQ | Unpublished change to opponent data |
Free format text: ORIGINAL CODE: EPIDOS OPPO |
|
| PLAB | Opposition data, opponent's data or that of the opponent's representative modified |
Free format text: ORIGINAL CODE: 0009299OPPO |
|
| PLAX | Notice of opposition and request to file observation + time limit sent |
Free format text: ORIGINAL CODE: EPIDOSNOBS2 |
|
| 26 | Opposition filed |
Opponent name: DAMBACH-WERKE GMBH Effective date: 20050211 Opponent name: DEUTSCHE TELEKOM AG Effective date: 20050208 |
|
| R26 | Opposition filed (corrected) |
Opponent name: DAMBACH-WERKE GMBH Effective date: 20050211 Opponent name: DEUTSCHE TELEKOM AG Effective date: 20050208 |
|
| NLR1 | Nl: opposition has been filed with the epo |
Opponent name: DAMBACH-WERKE GMBH Opponent name: DEUTSCHE TELEKOM AG |
|
| PG25 | Lapsed in a contracting state [announced via postgrant information from national office to epo] |
Ref country code: IT Free format text: LAPSE BECAUSE OF NON-PAYMENT OF DUE FEES Effective date: 20050910 Ref country code: GB Free format text: LAPSE BECAUSE OF NON-PAYMENT OF DUE FEES Effective date: 20050910 Ref country code: FI Free format text: LAPSE BECAUSE OF NON-PAYMENT OF DUE FEES Effective date: 20050910 Ref country code: AT Free format text: LAPSE BECAUSE OF NON-PAYMENT OF DUE FEES Effective date: 20050910 |
|
| PG25 | Lapsed in a contracting state [announced via postgrant information from national office to epo] |
Ref country code: SE Free format text: LAPSE BECAUSE OF NON-PAYMENT OF DUE FEES Effective date: 20050911 |
|
| PG25 | Lapsed in a contracting state [announced via postgrant information from national office to epo] |
Ref country code: IE Free format text: LAPSE BECAUSE OF NON-PAYMENT OF DUE FEES Effective date: 20050912 |
|
| PG25 | Lapsed in a contracting state [announced via postgrant information from national office to epo] |
Ref country code: MC Free format text: LAPSE BECAUSE OF NON-PAYMENT OF DUE FEES Effective date: 20050930 Ref country code: DK Free format text: LAPSE BECAUSE OF NON-PAYMENT OF DUE FEES Effective date: 20050930 Ref country code: BE Free format text: LAPSE BECAUSE OF NON-PAYMENT OF DUE FEES Effective date: 20050930 |
|
| RDAF | Communication despatched that patent is revoked |
Free format text: ORIGINAL CODE: EPIDOSNREV1 |
|
| PG25 | Lapsed in a contracting state [announced via postgrant information from national office to epo] |
Ref country code: PT Free format text: LAPSE BECAUSE OF NON-PAYMENT OF DUE FEES Effective date: 20060310 |
|
| REG | Reference to a national code |
Ref country code: DK Ref legal event code: EBP |
|
| REG | Reference to a national code |
Ref country code: CH Ref legal event code: PL |
|
| EUG | Se: european patent has lapsed | ||
| GBPC | Gb: european patent ceased through non-payment of renewal fee |
Effective date: 20050910 |
|
| REG | Reference to a national code |
Ref country code: PT Ref legal event code: MM4A Effective date: 20060310 |
|
| NLV4 | Nl: lapsed or anulled due to non-payment of the annual fee |
Effective date: 20060401 |
|
| RDAG | Patent revoked |
Free format text: ORIGINAL CODE: 0009271 |
|
| STAA | Information on the status of an ep patent application or granted ep patent |
Free format text: STATUS: PATENT REVOKED |
|
| REG | Reference to a national code |
Ref country code: IE Ref legal event code: MM4A |
|
| 27W | Patent revoked |
Effective date: 20060309 |
|
| REG | Reference to a national code |
Ref country code: FR Ref legal event code: ST Effective date: 20060531 |
|
| REG | Reference to a national code |
Ref country code: PT Ref legal event code: MP4A Effective date: 20060718 |
|
| BERE | Be: lapsed |
Owner name: *SIEMENS A.G. Effective date: 20050930 |



















