EP0000005B1 - Nouveaux dérivés de céphalosporines, leurs préparations et leurs compositions pharmaceutiques - Google Patents
Nouveaux dérivés de céphalosporines, leurs préparations et leurs compositions pharmaceutiques Download PDFInfo
- Publication number
- EP0000005B1 EP0000005B1 EP78100078A EP78100078A EP0000005B1 EP 0000005 B1 EP0000005 B1 EP 0000005B1 EP 78100078 A EP78100078 A EP 78100078A EP 78100078 A EP78100078 A EP 78100078A EP 0000005 B1 EP0000005 B1 EP 0000005B1
- Authority
- EP
- European Patent Office
- Prior art keywords
- salts
- formula
- compounds
- methyl
- hydrates
- Prior art date
- Legal status (The legal status is an assumption and is not a legal conclusion. Google has not performed a legal analysis and makes no representation as to the accuracy of the status listed.)
- Expired
Links
- 229930186147 Cephalosporin Natural products 0.000 title claims description 9
- 229940124587 cephalosporin Drugs 0.000 title claims description 9
- 150000001780 cephalosporins Chemical class 0.000 title claims description 8
- 239000008194 pharmaceutical composition Substances 0.000 title claims 2
- 238000002360 preparation method Methods 0.000 title description 9
- 150000003839 salts Chemical class 0.000 claims description 65
- -1 aminocarbonylmethyl Chemical group 0.000 claims description 61
- 150000001875 compounds Chemical class 0.000 claims description 40
- 239000002253 acid Substances 0.000 claims description 25
- 150000004677 hydrates Chemical class 0.000 claims description 19
- 125000000217 alkyl group Chemical group 0.000 claims description 15
- 125000002496 methyl group Chemical group [H]C([H])([H])* 0.000 claims description 15
- 238000000034 method Methods 0.000 claims description 11
- 239000007858 starting material Substances 0.000 claims description 11
- 229910052740 iodine Inorganic materials 0.000 claims description 9
- 238000004519 manufacturing process Methods 0.000 claims description 9
- 125000003178 carboxy group Chemical group [H]OC(*)=O 0.000 claims description 8
- 125000002541 furyl group Chemical group 0.000 claims description 8
- 229910052736 halogen Inorganic materials 0.000 claims description 7
- 150000002367 halogens Chemical group 0.000 claims description 7
- 239000001257 hydrogen Substances 0.000 claims description 7
- 229910052739 hydrogen Inorganic materials 0.000 claims description 7
- 125000006239 protecting group Chemical group 0.000 claims description 7
- 239000007795 chemical reaction product Substances 0.000 claims description 6
- 125000001997 phenyl group Chemical group [H]C1=C([H])C([H])=C(*)C([H])=C1[H] 0.000 claims description 6
- 125000003545 alkoxy group Chemical group 0.000 claims description 5
- LMBFAGIMSUYTBN-MPZNNTNKSA-N teixobactin Chemical compound C([C@H](C(=O)N[C@@H]([C@@H](C)CC)C(=O)N[C@@H](CO)C(=O)N[C@H](CCC(N)=O)C(=O)N[C@H]([C@@H](C)CC)C(=O)N[C@@H]([C@@H](C)CC)C(=O)N[C@@H](CO)C(=O)N[C@H]1C(N[C@@H](C)C(=O)N[C@@H](C[C@@H]2NC(=N)NC2)C(=O)N[C@H](C(=O)O[C@H]1C)[C@@H](C)CC)=O)NC)C1=CC=CC=C1 LMBFAGIMSUYTBN-MPZNNTNKSA-N 0.000 claims description 5
- 125000001544 thienyl group Chemical group 0.000 claims description 5
- 150000003573 thiols Chemical class 0.000 claims description 5
- 125000002057 carboxymethyl group Chemical group [H]OC(=O)C([H])([H])[*] 0.000 claims description 4
- VEXZGXHMUGYJMC-UHFFFAOYSA-M Chloride anion Chemical compound [Cl-] VEXZGXHMUGYJMC-UHFFFAOYSA-M 0.000 claims description 2
- 239000003513 alkali Substances 0.000 claims description 2
- 125000004435 hydrogen atom Chemical group [H]* 0.000 claims 5
- 125000002887 hydroxy group Chemical group [H]O* 0.000 claims 3
- COCMHQGMGYAFNQ-PIGZYNQJSA-N (6R,7R)-7-[[2-(furan-2-yl)-2-methoxyiminoacetyl]amino]-3-[(2-methyl-5,6-dioxo-1H-1,2,4-triazin-3-yl)sulfanylmethyl]-8-oxo-5-thia-1-azabicyclo[4.2.0]oct-2-ene-2-carboxylic acid Chemical compound O1C(=CC=C1)C(C(=O)N[C@H]1[C@@H]2N(C(=C(CS2)CSC=2N(NC(C(N=2)=O)=O)C)C(=O)O)C1=O)=NOC COCMHQGMGYAFNQ-PIGZYNQJSA-N 0.000 claims 2
- XLYOFNOQVPJJNP-UHFFFAOYSA-N water Substances O XLYOFNOQVPJJNP-UHFFFAOYSA-N 0.000 description 35
- XEKOWRVHYACXOJ-UHFFFAOYSA-N Ethyl acetate Chemical compound CCOC(C)=O XEKOWRVHYACXOJ-UHFFFAOYSA-N 0.000 description 31
- LRHPLDYGYMQRHN-UHFFFAOYSA-N N-Butanol Chemical compound CCCCO LRHPLDYGYMQRHN-UHFFFAOYSA-N 0.000 description 28
- 239000000243 solution Substances 0.000 description 28
- QTBSBXVTEAMEQO-UHFFFAOYSA-N acetic acid Substances CC(O)=O QTBSBXVTEAMEQO-UHFFFAOYSA-N 0.000 description 22
- RTZKZFJDLAIYFH-UHFFFAOYSA-N Diethyl ether Chemical compound CCOCC RTZKZFJDLAIYFH-UHFFFAOYSA-N 0.000 description 20
- 239000000203 mixture Substances 0.000 description 18
- HEMHJVSKTPXQMS-UHFFFAOYSA-M Sodium hydroxide Chemical compound [OH-].[Na+] HEMHJVSKTPXQMS-UHFFFAOYSA-M 0.000 description 15
- LFQSCWFLJHTTHZ-UHFFFAOYSA-N Ethanol Chemical compound CCO LFQSCWFLJHTTHZ-UHFFFAOYSA-N 0.000 description 14
- 125000000446 sulfanediyl group Chemical group *S* 0.000 description 14
- ZMXDDKWLCZADIW-UHFFFAOYSA-N N,N-Dimethylformamide Chemical compound CN(C)C=O ZMXDDKWLCZADIW-UHFFFAOYSA-N 0.000 description 13
- 125000000738 acetamido group Chemical group [H]C([H])([H])C(=O)N([H])[*] 0.000 description 13
- 159000000000 sodium salts Chemical class 0.000 description 13
- OKKJLVBELUTLKV-UHFFFAOYSA-N Methanol Chemical compound OC OKKJLVBELUTLKV-UHFFFAOYSA-N 0.000 description 12
- ZMANZCXQSJIPKH-UHFFFAOYSA-N Triethylamine Chemical compound CCN(CC)CC ZMANZCXQSJIPKH-UHFFFAOYSA-N 0.000 description 12
- 125000002941 2-furyl group Chemical group O1C([*])=C([H])C([H])=C1[H] 0.000 description 11
- IJGRMHOSHXDMSA-UHFFFAOYSA-N Atomic nitrogen Chemical compound N#N IJGRMHOSHXDMSA-UHFFFAOYSA-N 0.000 description 11
- 239000000047 product Substances 0.000 description 10
- VEXZGXHMUGYJMC-UHFFFAOYSA-N Hydrochloric acid Chemical compound Cl VEXZGXHMUGYJMC-UHFFFAOYSA-N 0.000 description 8
- VYPSYNLAJGMNEJ-UHFFFAOYSA-N Silicium dioxide Chemical compound O=[Si]=O VYPSYNLAJGMNEJ-UHFFFAOYSA-N 0.000 description 8
- 229960000583 acetic acid Drugs 0.000 description 8
- 238000006243 chemical reaction Methods 0.000 description 8
- 239000012362 glacial acetic acid Substances 0.000 description 8
- 239000000843 powder Substances 0.000 description 8
- 239000000741 silica gel Substances 0.000 description 8
- 229910002027 silica gel Inorganic materials 0.000 description 8
- 238000012800 visualization Methods 0.000 description 8
- UHOVQNZJYSORNB-UHFFFAOYSA-N Benzene Chemical compound C1=CC=CC=C1 UHOVQNZJYSORNB-UHFFFAOYSA-N 0.000 description 6
- 229910052757 nitrogen Inorganic materials 0.000 description 5
- CSCPPACGZOOCGX-UHFFFAOYSA-N Acetone Chemical compound CC(C)=O CSCPPACGZOOCGX-UHFFFAOYSA-N 0.000 description 4
- IAZDPXIOMUYVGZ-UHFFFAOYSA-N Dimethylsulphoxide Chemical compound CS(C)=O IAZDPXIOMUYVGZ-UHFFFAOYSA-N 0.000 description 4
- 230000015572 biosynthetic process Effects 0.000 description 4
- 238000009835 boiling Methods 0.000 description 4
- 239000000706 filtrate Substances 0.000 description 4
- 239000003208 petroleum Substances 0.000 description 4
- WEVYAHXRMPXWCK-UHFFFAOYSA-N Acetonitrile Chemical compound CC#N WEVYAHXRMPXWCK-UHFFFAOYSA-N 0.000 description 3
- WKBOTKDWSSQWDR-UHFFFAOYSA-N Bromine atom Chemical compound [Br] WKBOTKDWSSQWDR-UHFFFAOYSA-N 0.000 description 3
- ZAMOUSCENKQFHK-UHFFFAOYSA-N Chlorine atom Chemical compound [Cl] ZAMOUSCENKQFHK-UHFFFAOYSA-N 0.000 description 3
- YMWUJEATGCHHMB-UHFFFAOYSA-N Dichloromethane Chemical compound ClCCl YMWUJEATGCHHMB-UHFFFAOYSA-N 0.000 description 3
- OKTJSMMVPCPJKN-UHFFFAOYSA-N activated carbon Substances [C] OKTJSMMVPCPJKN-UHFFFAOYSA-N 0.000 description 3
- 150000001412 amines Chemical class 0.000 description 3
- GDTBXPJZTBHREO-UHFFFAOYSA-N bromine Substances BrBr GDTBXPJZTBHREO-UHFFFAOYSA-N 0.000 description 3
- 229910052794 bromium Inorganic materials 0.000 description 3
- 229910052801 chlorine Inorganic materials 0.000 description 3
- 239000000460 chlorine Substances 0.000 description 3
- KRKNYBCHXYNGOX-UHFFFAOYSA-N citric acid Chemical compound OC(=O)CC(O)(C(O)=O)CC(O)=O KRKNYBCHXYNGOX-UHFFFAOYSA-N 0.000 description 3
- 150000002148 esters Chemical class 0.000 description 3
- CTSLXHKWHWQRSH-UHFFFAOYSA-N oxalyl chloride Chemical compound ClC(=O)C(Cl)=O CTSLXHKWHWQRSH-UHFFFAOYSA-N 0.000 description 3
- VYPDUQYOLCLEGS-UHFFFAOYSA-M sodium;2-ethylhexanoate Chemical compound [Na+].CCCCC(CC)C([O-])=O VYPDUQYOLCLEGS-UHFFFAOYSA-M 0.000 description 3
- CJDXQHXLUSJTMO-UHFFFAOYSA-N 4-methyl-3-sulfanylidene-1,2,4-triazinane-5,6-dione Chemical compound CN1C(S)=NN=C(O)C1=O CJDXQHXLUSJTMO-UHFFFAOYSA-N 0.000 description 2
- LZJMAYUYNZUEPC-UHFFFAOYSA-N CON=C1C=CC=CC1CC(O)=O Chemical compound CON=C1C=CC=CC1CC(O)=O LZJMAYUYNZUEPC-UHFFFAOYSA-N 0.000 description 2
- HEDRZPFGACZZDS-UHFFFAOYSA-N Chloroform Chemical compound ClC(Cl)Cl HEDRZPFGACZZDS-UHFFFAOYSA-N 0.000 description 2
- UFHFLCQGNIYNRP-UHFFFAOYSA-N Hydrogen Chemical compound [H][H] UFHFLCQGNIYNRP-UHFFFAOYSA-N 0.000 description 2
- 241001465754 Metazoa Species 0.000 description 2
- NBIIXXVUZAFLBC-UHFFFAOYSA-N Phosphoric acid Chemical compound OP(O)(O)=O NBIIXXVUZAFLBC-UHFFFAOYSA-N 0.000 description 2
- PMZURENOXWZQFD-UHFFFAOYSA-L Sodium Sulfate Chemical compound [Na+].[Na+].[O-]S([O-])(=O)=O PMZURENOXWZQFD-UHFFFAOYSA-L 0.000 description 2
- FAPWRFPIFSIZLT-UHFFFAOYSA-M Sodium chloride Chemical compound [Na+].[Cl-] FAPWRFPIFSIZLT-UHFFFAOYSA-M 0.000 description 2
- QAOWNCQODCNURD-UHFFFAOYSA-N Sulfuric acid Chemical compound OS(O)(=O)=O QAOWNCQODCNURD-UHFFFAOYSA-N 0.000 description 2
- 150000007513 acids Chemical class 0.000 description 2
- 125000002252 acyl group Chemical group 0.000 description 2
- 150000008064 anhydrides Chemical class 0.000 description 2
- 150000001718 carbodiimides Chemical class 0.000 description 2
- 230000000694 effects Effects 0.000 description 2
- 150000004820 halides Chemical class 0.000 description 2
- 125000001841 imino group Chemical group [H]N=* 0.000 description 2
- 239000012442 inert solvent Substances 0.000 description 2
- 150000007530 organic bases Chemical class 0.000 description 2
- 239000012074 organic phase Substances 0.000 description 2
- 238000007911 parenteral administration Methods 0.000 description 2
- 239000000825 pharmaceutical preparation Substances 0.000 description 2
- 239000012071 phase Substances 0.000 description 2
- BWHMMNNQKKPAPP-UHFFFAOYSA-L potassium carbonate Chemical compound [K+].[K+].[O-]C([O-])=O BWHMMNNQKKPAPP-UHFFFAOYSA-L 0.000 description 2
- 239000002244 precipitate Substances 0.000 description 2
- 239000002904 solvent Substances 0.000 description 2
- 239000000126 substance Substances 0.000 description 2
- 125000001424 substituent group Chemical group 0.000 description 2
- 125000000383 tetramethylene group Chemical group [H]C([H])([*:1])C([H])([H])C([H])([H])C([H])([H])[*:2] 0.000 description 2
- 238000011282 treatment Methods 0.000 description 2
- 0 **(*[C@@]([C@@](C1*2)SCC(*(S*)=C)=C2C(O)=O)C1=S=C)=[N+][O-] Chemical compound **(*[C@@]([C@@](C1*2)SCC(*(S*)=C)=C2C(O)=O)C1=S=C)=[N+][O-] 0.000 description 1
- JYEUMXHLPRZUAT-UHFFFAOYSA-N 1,2,3-triazine Chemical group C1=CN=NN=C1 JYEUMXHLPRZUAT-UHFFFAOYSA-N 0.000 description 1
- RYHBNJHYFVUHQT-UHFFFAOYSA-N 1,4-Dioxane Chemical compound C1COCCO1 RYHBNJHYFVUHQT-UHFFFAOYSA-N 0.000 description 1
- CPAITOJVTICXRP-UHFFFAOYSA-N 2-methyl-1h-1,2,4-triazine-5,6-dione Chemical compound CN1C=NC(=O)C(=O)N1 CPAITOJVTICXRP-UHFFFAOYSA-N 0.000 description 1
- UMWWHOXOVPIGFD-UHFFFAOYSA-N 2-methyl-3-sulfanylidene-1,2,4-triazinane-5,6-dione Chemical compound CN1NC(=O)C(=O)N=C1S UMWWHOXOVPIGFD-UHFFFAOYSA-N 0.000 description 1
- 125000000175 2-thienyl group Chemical group S1C([*])=C([H])C([H])=C1[H] 0.000 description 1
- MWOOKDULMBMMPN-UHFFFAOYSA-N 3-(2-ethyl-1,2-oxazol-2-ium-5-yl)benzenesulfonate Chemical compound O1[N+](CC)=CC=C1C1=CC=CC(S([O-])(=O)=O)=C1 MWOOKDULMBMMPN-UHFFFAOYSA-N 0.000 description 1
- ZCYVEMRRCGMTRW-UHFFFAOYSA-N 7553-56-2 Chemical compound [I] ZCYVEMRRCGMTRW-UHFFFAOYSA-N 0.000 description 1
- 239000004475 Arginine Substances 0.000 description 1
- 241000894006 Bacteria Species 0.000 description 1
- 208000035473 Communicable disease Diseases 0.000 description 1
- BWLUMTFWVZZZND-UHFFFAOYSA-N Dibenzylamine Chemical compound C=1C=CC=CC=1CNCC1=CC=CC=C1 BWLUMTFWVZZZND-UHFFFAOYSA-N 0.000 description 1
- QOSSAOTZNIDXMA-UHFFFAOYSA-N Dicylcohexylcarbodiimide Chemical compound C1CCCCC1N=C=NC1CCCCC1 QOSSAOTZNIDXMA-UHFFFAOYSA-N 0.000 description 1
- QXNVGIXVLWOKEQ-UHFFFAOYSA-N Disodium Chemical class [Na][Na] QXNVGIXVLWOKEQ-UHFFFAOYSA-N 0.000 description 1
- 241000588724 Escherichia coli Species 0.000 description 1
- PXGOKWXKJXAPGV-UHFFFAOYSA-N Fluorine Chemical compound FF PXGOKWXKJXAPGV-UHFFFAOYSA-N 0.000 description 1
- 229920000084 Gum arabic Polymers 0.000 description 1
- 241000606768 Haemophilus influenzae Species 0.000 description 1
- CPELXLSAUQHCOX-UHFFFAOYSA-N Hydrogen bromide Chemical class Br CPELXLSAUQHCOX-UHFFFAOYSA-N 0.000 description 1
- DGAQECJNVWCQMB-PUAWFVPOSA-M Ilexoside XXIX Chemical compound C[C@@H]1CC[C@@]2(CC[C@@]3(C(=CC[C@H]4[C@]3(CC[C@@H]5[C@@]4(CC[C@@H](C5(C)C)OS(=O)(=O)[O-])C)C)[C@@H]2[C@]1(C)O)C)C(=O)O[C@H]6[C@@H]([C@H]([C@@H]([C@H](O6)CO)O)O)O.[Na+] DGAQECJNVWCQMB-PUAWFVPOSA-M 0.000 description 1
- 241000588748 Klebsiella Species 0.000 description 1
- KDXKERNSBIXSRK-UHFFFAOYSA-N Lysine Natural products NCCCCC(N)C(O)=O KDXKERNSBIXSRK-UHFFFAOYSA-N 0.000 description 1
- 239000004472 Lysine Substances 0.000 description 1
- 241000699670 Mus sp. Species 0.000 description 1
- NQTADLQHYWFPDB-UHFFFAOYSA-N N-Hydroxysuccinimide Chemical class ON1C(=O)CCC1=O NQTADLQHYWFPDB-UHFFFAOYSA-N 0.000 description 1
- HTLZVHNRZJPSMI-UHFFFAOYSA-N N-ethylpiperidine Chemical compound CCN1CCCCC1 HTLZVHNRZJPSMI-UHFFFAOYSA-N 0.000 description 1
- ZCQWOFVYLHDMMC-UHFFFAOYSA-N Oxazole Chemical class C1=COC=N1 ZCQWOFVYLHDMMC-UHFFFAOYSA-N 0.000 description 1
- 229910019142 PO4 Inorganic materials 0.000 description 1
- 241000588769 Proteus <enterobacteria> Species 0.000 description 1
- 241000588770 Proteus mirabilis Species 0.000 description 1
- 241000978776 Senegalia senegal Species 0.000 description 1
- 241000295644 Staphylococcaceae Species 0.000 description 1
- 239000000205 acacia gum Substances 0.000 description 1
- 235000010489 acacia gum Nutrition 0.000 description 1
- 150000001242 acetic acid derivatives Chemical class 0.000 description 1
- 125000003668 acetyloxy group Chemical group [H]C([H])([H])C(=O)O[*] 0.000 description 1
- 229910052783 alkali metal Inorganic materials 0.000 description 1
- 229910000288 alkali metal carbonate Inorganic materials 0.000 description 1
- 150000008041 alkali metal carbonates Chemical class 0.000 description 1
- 229910052784 alkaline earth metal Inorganic materials 0.000 description 1
- 150000003973 alkyl amines Chemical class 0.000 description 1
- 229910000147 aluminium phosphate Inorganic materials 0.000 description 1
- 150000001408 amides Chemical class 0.000 description 1
- 150000001413 amino acids Chemical class 0.000 description 1
- 150000003863 ammonium salts Chemical class 0.000 description 1
- 239000003708 ampul Substances 0.000 description 1
- 230000000844 anti-bacterial effect Effects 0.000 description 1
- 230000000845 anti-microbial effect Effects 0.000 description 1
- 239000008346 aqueous phase Substances 0.000 description 1
- 239000007900 aqueous suspension Substances 0.000 description 1
- ODKSFYDXXFIFQN-UHFFFAOYSA-N arginine Natural products OC(=O)C(N)CCCNC(N)=N ODKSFYDXXFIFQN-UHFFFAOYSA-N 0.000 description 1
- 150000001540 azides Chemical class 0.000 description 1
- TZCXTZWJZNENPQ-UHFFFAOYSA-L barium sulfate Chemical compound [Ba+2].[O-]S([O-])(=O)=O TZCXTZWJZNENPQ-UHFFFAOYSA-L 0.000 description 1
- KXDAEFPNCMNJSK-UHFFFAOYSA-N benzene carboxamide Natural products NC(=O)C1=CC=CC=C1 KXDAEFPNCMNJSK-UHFFFAOYSA-N 0.000 description 1
- SRSXLGNVWSONIS-UHFFFAOYSA-N benzenesulfonic acid Chemical class OS(=O)(=O)C1=CC=CC=C1 SRSXLGNVWSONIS-UHFFFAOYSA-N 0.000 description 1
- 150000001558 benzoic acid derivatives Chemical class 0.000 description 1
- 239000011230 binding agent Substances 0.000 description 1
- 230000003115 biocidal effect Effects 0.000 description 1
- 150000001649 bromium compounds Chemical class 0.000 description 1
- 239000000872 buffer Substances 0.000 description 1
- 239000007853 buffer solution Substances 0.000 description 1
- 159000000007 calcium salts Chemical class 0.000 description 1
- 229910052799 carbon Inorganic materials 0.000 description 1
- 125000004432 carbon atom Chemical group C* 0.000 description 1
- 239000012876 carrier material Substances 0.000 description 1
- 239000003795 chemical substances by application Substances 0.000 description 1
- 150000001805 chlorine compounds Chemical class 0.000 description 1
- 238000004587 chromatography analysis Methods 0.000 description 1
- 150000001860 citric acid derivatives Chemical class 0.000 description 1
- 238000004140 cleaning Methods 0.000 description 1
- 125000005265 dialkylamine group Chemical group 0.000 description 1
- 229910001873 dinitrogen Inorganic materials 0.000 description 1
- 239000003995 emulsifying agent Substances 0.000 description 1
- 239000000839 emulsion Substances 0.000 description 1
- 125000002587 enol group Chemical group 0.000 description 1
- 125000004185 ester group Chemical group 0.000 description 1
- 230000032050 esterification Effects 0.000 description 1
- 238000005886 esterification reaction Methods 0.000 description 1
- CCIVGXIOQKPBKL-UHFFFAOYSA-N ethanesulfonic acid Chemical class CCS(O)(=O)=O CCIVGXIOQKPBKL-UHFFFAOYSA-N 0.000 description 1
- 125000001495 ethyl group Chemical group [H]C([H])([H])C([H])([H])* 0.000 description 1
- 150000004673 fluoride salts Chemical class 0.000 description 1
- 229910052731 fluorine Inorganic materials 0.000 description 1
- 239000011737 fluorine Substances 0.000 description 1
- 238000003958 fumigation Methods 0.000 description 1
- 238000002309 gasification Methods 0.000 description 1
- 229940047650 haemophilus influenzae Drugs 0.000 description 1
- GNOIPBMMFNIUFM-UHFFFAOYSA-N hexamethylphosphoric triamide Chemical compound CN(C)P(=O)(N(C)C)N(C)C GNOIPBMMFNIUFM-UHFFFAOYSA-N 0.000 description 1
- 230000036571 hydration Effects 0.000 description 1
- 238000006703 hydration reaction Methods 0.000 description 1
- 150000003840 hydrochlorides Chemical class 0.000 description 1
- XMBWDFGMSWQBCA-UHFFFAOYSA-N hydrogen iodide Chemical class I XMBWDFGMSWQBCA-UHFFFAOYSA-N 0.000 description 1
- 125000004356 hydroxy functional group Chemical group O* 0.000 description 1
- 239000005457 ice water Substances 0.000 description 1
- 150000007928 imidazolide derivatives Chemical class 0.000 description 1
- 238000001727 in vivo Methods 0.000 description 1
- 208000015181 infectious disease Diseases 0.000 description 1
- 238000007918 intramuscular administration Methods 0.000 description 1
- 239000011630 iodine Substances 0.000 description 1
- 125000001449 isopropyl group Chemical group [H]C([H])([H])C([H])(*)C([H])([H])[H] 0.000 description 1
- 229960004393 lidocaine hydrochloride Drugs 0.000 description 1
- YECIFGHRMFEPJK-UHFFFAOYSA-N lidocaine hydrochloride monohydrate Chemical compound O.[Cl-].CC[NH+](CC)CC(=O)NC1=C(C)C=CC=C1C YECIFGHRMFEPJK-UHFFFAOYSA-N 0.000 description 1
- 239000007788 liquid Substances 0.000 description 1
- 150000002688 maleic acid derivatives Chemical class 0.000 description 1
- 239000000463 material Substances 0.000 description 1
- 125000005905 mesyloxy group Chemical group 0.000 description 1
- 125000000956 methoxy group Chemical group [H]C([H])([H])O* 0.000 description 1
- 244000005700 microbiome Species 0.000 description 1
- 150000007522 mineralic acids Chemical class 0.000 description 1
- CDHRVOKWLXOXRZ-UHFFFAOYSA-N n,n'-dibenzyl-n'-ethylethane-1,2-diamine Chemical compound C=1C=CC=CC=1CN(CC)CCNCC1=CC=CC=C1 CDHRVOKWLXOXRZ-UHFFFAOYSA-N 0.000 description 1
- 125000003136 n-heptyl group Chemical group [H]C([H])([H])C([H])([H])C([H])([H])C([H])([H])C([H])([H])C([H])([H])C([H])([H])* 0.000 description 1
- 125000000740 n-pentyl group Chemical group [H]C([H])([H])C([H])([H])C([H])([H])C([H])([H])C([H])([H])* 0.000 description 1
- 125000004123 n-propyl group Chemical group [H]C([H])([H])C([H])([H])C([H])([H])* 0.000 description 1
- 150000002823 nitrates Chemical class 0.000 description 1
- 150000007524 organic acids Chemical class 0.000 description 1
- 239000003960 organic solvent Substances 0.000 description 1
- 230000003204 osmotic effect Effects 0.000 description 1
- 235000021317 phosphate Nutrition 0.000 description 1
- 239000008363 phosphate buffer Substances 0.000 description 1
- 150000003013 phosphoric acid derivatives Chemical class 0.000 description 1
- 239000002798 polar solvent Substances 0.000 description 1
- XAEFZNCEHLXOMS-UHFFFAOYSA-M potassium benzoate Chemical compound [K+].[O-]C(=O)C1=CC=CC=C1 XAEFZNCEHLXOMS-UHFFFAOYSA-M 0.000 description 1
- 229910000027 potassium carbonate Inorganic materials 0.000 description 1
- 230000001376 precipitating effect Effects 0.000 description 1
- 239000003755 preservative agent Substances 0.000 description 1
- MFDFERRIHVXMIY-UHFFFAOYSA-N procaine Chemical compound CCN(CC)CCOC(=O)C1=CC=C(N)C=C1 MFDFERRIHVXMIY-UHFFFAOYSA-N 0.000 description 1
- 229960004919 procaine Drugs 0.000 description 1
- BDERNNFJNOPAEC-UHFFFAOYSA-N propan-1-ol Chemical compound CCCO BDERNNFJNOPAEC-UHFFFAOYSA-N 0.000 description 1
- 238000011321 prophylaxis Methods 0.000 description 1
- 239000011541 reaction mixture Substances 0.000 description 1
- 238000001953 recrystallisation Methods 0.000 description 1
- 239000011347 resin Substances 0.000 description 1
- 229920005989 resin Polymers 0.000 description 1
- 229920006395 saturated elastomer Polymers 0.000 description 1
- 125000003808 silyl group Chemical group [H][Si]([H])([H])[*] 0.000 description 1
- 229910052708 sodium Inorganic materials 0.000 description 1
- 239000011734 sodium Substances 0.000 description 1
- 239000011780 sodium chloride Substances 0.000 description 1
- 229910052938 sodium sulfate Inorganic materials 0.000 description 1
- 235000011152 sodium sulphate Nutrition 0.000 description 1
- 239000011877 solvent mixture Substances 0.000 description 1
- 239000003381 stabilizer Substances 0.000 description 1
- 150000003467 sulfuric acid derivatives Chemical class 0.000 description 1
- 239000000725 suspension Substances 0.000 description 1
- 150000003892 tartrate salts Chemical class 0.000 description 1
- LBLYYCQCTBFVLH-UHFFFAOYSA-M toluenesulfonate group Chemical group C=1(C(=CC=CC1)S(=O)(=O)[O-])C LBLYYCQCTBFVLH-UHFFFAOYSA-M 0.000 description 1
- 125000005424 tosyloxy group Chemical group S(=O)(=O)(C1=CC=C(C)C=C1)O* 0.000 description 1
- 125000005208 trialkylammonium group Chemical group 0.000 description 1
- 239000000080 wetting agent Substances 0.000 description 1
Classifications
-
- C—CHEMISTRY; METALLURGY
- C07—ORGANIC CHEMISTRY
- C07D—HETEROCYCLIC COMPOUNDS
- C07D501/00—Heterocyclic compounds containing 5-thia-1-azabicyclo [4.2.0] octane ring systems, i.e. compounds containing a ring system of the formula:, e.g. cephalosporins; Such ring systems being further condensed, e.g. 2,3-condensed with an oxygen-, nitrogen- or sulfur-containing hetero ring
- C07D501/14—Compounds having a nitrogen atom directly attached in position 7
- C07D501/16—Compounds having a nitrogen atom directly attached in position 7 with a double bond between positions 2 and 3
- C07D501/20—7-Acylaminocephalosporanic or substituted 7-acylaminocephalosporanic acids in which the acyl radicals are derived from carboxylic acids
- C07D501/24—7-Acylaminocephalosporanic or substituted 7-acylaminocephalosporanic acids in which the acyl radicals are derived from carboxylic acids with hydrocarbon radicals, substituted by hetero atoms or hetero rings, attached in position 3
- C07D501/36—Methylene radicals, substituted by sulfur atoms
-
- A—HUMAN NECESSITIES
- A61—MEDICAL OR VETERINARY SCIENCE; HYGIENE
- A61P—SPECIFIC THERAPEUTIC ACTIVITY OF CHEMICAL COMPOUNDS OR MEDICINAL PREPARATIONS
- A61P31/00—Antiinfectives, i.e. antibiotics, antiseptics, chemotherapeutics
- A61P31/04—Antibacterial agents
Definitions
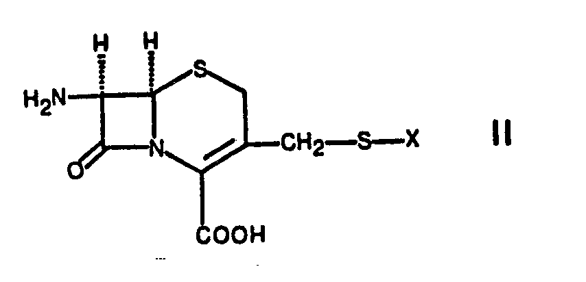
- the present invention relates to new acyl derivatives of the general formula in which R is furyl, thienyl or phenyl which is optionally substituted by halogen, hydroxy, lower alkoxy or lower alkyl, R 1 is lower alkyl or aminocarbonylmethyl and X is a group of the formulas in which one of the two radicals R 2 and R 3 or R 4 and R 5 is hydrogen and the other is lower alkyl, carboxymethyl or sulfomethyl, and salts of these compounds and hydrates of these salts.
- salts of the compounds of formula 1 are alkali metal salts such as the sodium and potassium salt; the ammonium salt; Alkaline earth metal salts such as the calcium salt; Salts with organic bases, such as salts with amines, e.g. Salts with N-ethyl-piperidine, procaine, dibenzylamine, N, N'-dibenzyl-ethyl-ethylenediamine, alkylamines or dialkylamines, and salts with amino acids, such as e.g. Salts with arginine or lysine.
- the salts can be mono-salts or also disalts.
- the second salt formation takes place on the tautomeric enol form of the triazine residue b, which has an acid character.
- the compounds of formula I also form addition salts with organic or inorganic acids.
- such salts are hydrohalides, for example hydrochlorides, hydrobromides; Hydroiodides, as well as other minor acid salts, such as sulfates, nitrates, phosphates and the like, alkyl and mono-aryl sulfonates, such as ethanesulfonates, toluenesulfonates, benzenesulfonates and the like, and also other organic acid salts, such as acetates, tartrates, maleates, citrates, benzoates, salic , Abscorbate and the like
- the salts of the compounds of formula I can be hydrated.
- the hydration can take place in the course of the production process or can occur gradually as a result of hygroscopic properties of an initially anhydrous salt of a compound of the formula I.
- lower alkyl groups are either straight chain or branched and can contain up to 7 carbon atoms, e.g. Methyl, ethyl, n-propyl, isopropyl, n-pentyl, n-heptyl, lower alkoxy groups have an analogous meaning.
- Halogen represents all four halogens, i.e. Fluorine, chlorine, bromine and iodine; chlorine and bromine are preferred.
- Preferred R groups are furyl, thienyl and phenyl, especially furyl. Methyl is preferred as R 1 .
- Preferred X groups are group (c) and groups (a) and (b), in which one of the two radicals R 2 and R 3 or R 4 and R 5 is hydrogen and the other is methyl. Particularly preferred X groups are the 1,2,5,6-tetrahydro-2-methyl-5,6-dioxo-as-triazin-3-yl and the 1,4,5,6-tetrahydro-4-methyl - 5,6-dioxo-as-triazin-3-yl group.
- Preferred compounds are (7R) - 7 - [2 - (2 - furyl) - 2 - (methoxyimino) acetamido] - 3 - / [(1,2,5,6 - tetrahydro - 2 - methyl - 5,6 - dioxo - as - triazin - 3 - yl) thio] methyl / - 3 - cephem - 4 - carboxylic acid and its salts and the hydrates of these salts.
- the compounds of the formula I and their salts or hydrates of the salts can be in the synisomeric form or in the anti-isomeric form or as mixtures of these two forms.
- the syn-isomeric form or mixtures in which the syn-isomeric form predominates is preferred.
- the carboxy groups present in the starting compounds of formulas II and IV can optionally be protected, e.g. by esterification to an easily cleavable ester such as a silyl ester, e.g. the trimethylsilyl ester.
- the carboxy group can also be protected by salt formation with an inorganic or tertiary organic base such as triethylamine.
- Suitable reactive functional derivatives of acids of the formula III are e.g. Halides, i.e. Chlorides, bromides and fluorides; Azides; Anhydrides, especially mixed anhydrides with stronger acids; reactive esters, e.g. N-hydroxy succinimide esters, and amides, e.g. Imidazolides.
- Halogens e.g. Chlorine, bromine or iodine
- acyloxy residues e.g. lower alkanoyl radicals, such as acetoxy, lower alkyl or arylsulfonyloxy radicals, such as mesyloxy or tosyloxy, or the azidorest in question.
- a free acid of formula III can be condensed with one of the esters corresponding to formula II by means of a carbodiimide, such as dicyclohexylcarbodiimide, in an inert solvent, such as ethyl acetate, acetonitrile, dioxane, chloroform, methylene chloride, benzene or dimethylformamide, and then the ester group is split off .
- carbodiimides can be as Condensing agents also use oxazolium salts, for example N-ethyl-5-phenyl-isoxazolium-3'-sulfonate.
- an acid halide preferably the chloride of an acid of the formula III
- the reaction is preferably carried out in the presence of an acid binding agent, e.g. in the presence of aqueous alkali, preferably sodium hydroxide solution, or also in the presence of an alkali metal carbonate, such as potassium carbonate, or in the presence of a lower alkylated amine, such as triethylamine.
- an acid binding agent e.g. in the presence of aqueous alkali, preferably sodium hydroxide solution, or also in the presence of an alkali metal carbonate, such as potassium carbonate, or in the presence of a lower alkylated amine, such as triethylamine.
- Water is preferably used as the solvent; but it can also be in an aprotic organic solvent such as e.g. Dimethylformamide, dimethyl sulfoxide, or hexamethylphosphoric triamide can be worked.
- reaction of a compound of formula II with a compound of formula III or a reactive functional derivative thereof can be advantageously carried out at temperatures between about -40 ° C and room temperature, for example at about 0-10 o C, take place.
- reaction of a compound of formula IV with a thiol of formula V can be carried out in a manner known per se, e.g. at a temperature between about 40 and 80 ° C, suitably at about 60 ° C, in a polar solvent, for example in an alcohol, e.g. in a lower alkanol such as ethanol, propanol and the like, in dimethylformamide or dimethyl sulfoxide, preferably in water or in a buffer solution with a pH of about 6 to 7, preferably 6.5.
- a polar solvent for example in an alcohol, e.g. in a lower alkanol such as ethanol, propanol and the like, in dimethylformamide or dimethyl sulfoxide, preferably in water or in a buffer solution with a pH of about 6 to 7, preferably 6.5.
- the protective group is a silyl group (silyl ester), this group can be split off particularly easily by treating the reaction product with water. If the carboxyl group of an acid of formula IV is protected by salt formation (e.g. with triethylamine), this salt-forming protective group can be split off by treatment with acid.
- the acid can be e.g. Hydrochloric acid, sulfuric acid, phosphoric acid or citric acid can be used.
- the 7-amino compounds of the formula 11 used as starting products can be started from a compound of the formula in which Y represents a leaving group and the carboxy group can be in protected form, are prepared with a thiol of the formula V.
- the reaction can be carried out under the same conditions as those of the starting compounds IV and V.
- syn / anti mixture of a compound of the formula I obtained can be separated into the corresponding syn and anti forms in the customary manner, for example by recrystallization or by chromatographic methods using a suitable solvent or solvent mixture.
- 2,275,215 and 2,280,381 cephalosporin derivatives which can carry a substituted thiomethyl radical of the present type ⁇ CH 2 ⁇ S ⁇ X in the 3-position. It has now been found that the new cephalosporin derivatives of the formula I and their salts and the hydrates of these salts, in which the substituents mentioned in positions 7 and 3 are present simultaneously for the first time, have valuable antibiotic, in particular bactericidal activity.
- ß-lactamase-forming staphylococci and various ß-lactamase-forming gram-negative bacteria, such as, for example, Haemophilus influenzae, Escherichia coli, Proteus and Klebsiella species.
- the compounds of formula I can be used for the treatment and prophylaxis of infectious diseases.
- a daily dose of approximately 1 g to approximately 4 g is suitable for the adult.
- the parenteral administration of the compounds according to the invention is particularly preferred.
- mice are infected intraperitoneally with an aqueous suspension of Proteus mirabilis.
- the test substance is applied subcutaneously one hour after the infection.
- the number of surviving animals is determined on the 4th day.
- Different doses are applied and the dose at which 50% of the test animals survived (CD sa , mg / kg) is determined by interpolation.
- compositions can contain the compounds of formula I, their salts or hydrated forms of these salts, possibly in a mixture with another therapeutically valuable substance. They are expediently mixed with a pharmaceutical, inorganic or organic inert carrier material which is particularly suitable for parenteral administration, such as e.g. with water, gum arabic.
- the pharmaceutical preparations are preferably in liquid form, e.g. as solutions, suspensions or emulsions. If necessary, they are sterilized and / or contain auxiliaries, such as preservatives, stabilizers, wetting agents or emulsifiers, salts for changing the osmotic pressure or buffers.
Landscapes
- Chemical & Material Sciences (AREA)
- Organic Chemistry (AREA)
- Health & Medical Sciences (AREA)
- Chemical Kinetics & Catalysis (AREA)
- Life Sciences & Earth Sciences (AREA)
- General Chemical & Material Sciences (AREA)
- Medicinal Chemistry (AREA)
- Nuclear Medicine, Radiotherapy & Molecular Imaging (AREA)
- Communicable Diseases (AREA)
- Pharmacology & Pharmacy (AREA)
- Oncology (AREA)
- Animal Behavior & Ethology (AREA)
- General Health & Medical Sciences (AREA)
- Public Health (AREA)
- Veterinary Medicine (AREA)
- Cephalosporin Compounds (AREA)
- Pharmaceuticals Containing Other Organic And Inorganic Compounds (AREA)
- Saccharide Compounds (AREA)
Claims (17)
Applications Claiming Priority (4)
| Application Number | Priority Date | Filing Date | Title |
|---|---|---|---|
| LU77485 | 1977-06-03 | ||
| LU77485 | 1977-06-03 | ||
| CH3142/78 | 1978-03-22 | ||
| CH314278 | 1978-03-22 |
Publications (2)
| Publication Number | Publication Date |
|---|---|
| EP0000005A1 EP0000005A1 (fr) | 1978-12-20 |
| EP0000005B1 true EP0000005B1 (fr) | 1980-10-29 |
Family
ID=25692293
Family Applications (1)
| Application Number | Title | Priority Date | Filing Date |
|---|---|---|---|
| EP78100078A Expired EP0000005B1 (fr) | 1977-06-03 | 1978-06-01 | Nouveaux dérivés de céphalosporines, leurs préparations et leurs compositions pharmaceutiques |
Country Status (26)
| Country | Link |
|---|---|
| EP (1) | EP0000005B1 (fr) |
| JP (1) | JPS5412394A (fr) |
| AR (1) | AR225134A1 (fr) |
| AT (2) | AT362501B (fr) |
| AU (1) | AU518648B2 (fr) |
| BR (1) | BR7803565A (fr) |
| CA (1) | CA1114808A (fr) |
| CU (1) | CU21118A (fr) |
| DE (2) | DE2860248D1 (fr) |
| DK (1) | DK246878A (fr) |
| ES (2) | ES470442A1 (fr) |
| FI (1) | FI781754A7 (fr) |
| FR (1) | FR2393000A1 (fr) |
| GB (1) | GB1599232A (fr) |
| GR (1) | GR73554B (fr) |
| HU (1) | HU182498B (fr) |
| IE (1) | IE46903B1 (fr) |
| IL (1) | IL54803A (fr) |
| IT (1) | IT1098306B (fr) |
| MC (1) | MC1195A1 (fr) |
| NL (1) | NL7805715A (fr) |
| NO (1) | NO781934L (fr) |
| NZ (1) | NZ187392A (fr) |
| PH (1) | PH14653A (fr) |
| PT (1) | PT68134A (fr) |
| SE (1) | SE7806465L (fr) |
Families Citing this family (6)
| Publication number | Priority date | Publication date | Assignee | Title |
|---|---|---|---|---|
| US4200745A (en) * | 1977-12-20 | 1980-04-29 | Eli Lilly And Company | 7[2-(2-Aminothiazol-4-yl)-2-alkoxyimino]acetamido 3[4-alkyl-5-oxo-6-hydroxy-3,4 dihydro 1,2,4-triazin 3-yl]thio methyl cephalosporins |
| FR2432521A1 (fr) * | 1978-03-31 | 1980-02-29 | Roussel Uclaf | Nouvelles oximes o-substituees derivees de l'acide 7-amino thiazolyl acetamido cephalosporanique, leur procede de preparation et leur application comme medicaments |
| MC1259A1 (fr) * | 1978-05-30 | 1980-01-14 | Hoffmann La Roche | Derives acyles |
| NO782998L (no) * | 1978-07-19 | 1980-01-22 | Hoffmann La Roche | Cephalosporinestere og -etere. |
| US4472574A (en) * | 1981-05-22 | 1984-09-18 | Hoffman-La Roche Inc. | Process for the manufacture of a cephem carboxylic acid derivative |
| US4698338A (en) * | 1986-02-19 | 1987-10-06 | Eli Lilly And Company | 7[2-(2-aminothiazol-4-yl)-2-benzyloximino]acetamido-3[4-alkyl-5-oxo-6-hydroxy-3,4-dihydro-1,2,4-triazin-3-yl]thiomethyl cephalosporins |
Family Cites Families (6)
| Publication number | Priority date | Publication date | Assignee | Title |
|---|---|---|---|---|
| GB1399086A (en) * | 1971-05-14 | 1975-06-25 | Glaxo Lab Ltd | Cephalosporin compounds |
| CH609989A5 (en) * | 1974-06-21 | 1979-03-30 | Hoffmann La Roche | Process for the preparation of acyl derivatives |
| CA1100129A (fr) * | 1974-08-02 | 1981-04-28 | William H.W. Lunn | Traduction non-disponible |
| GB1555471A (en) * | 1975-06-19 | 1979-11-14 | Glaxo Lab Ltd | 7 carbamoylalkoxyimino acetamido 3 em 4 carboxylic acidsand derivatives thereof |
| GB1576625A (en) * | 1976-04-12 | 1980-10-08 | Fujisawa Pharmaceutical Co | Syn isomer 3,7 disubstituted 3 cephem 4 carboxylic acid compounds and processes for the preparation thereof |
| GB1596278A (en) * | 1976-11-30 | 1981-08-26 | Glaxo Operations Ltd | 7-(-oxyimino-acetamino)cephalosporin derivatives |
-
1978
- 1978-05-25 NL NL7805715A patent/NL7805715A/xx not_active Application Discontinuation
- 1978-05-25 GB GB22499/78A patent/GB1599232A/en not_active Expired
- 1978-05-26 NZ NZ187392A patent/NZ187392A/en unknown
- 1978-05-26 IE IE1056/78A patent/IE46903B1/en unknown
- 1978-05-26 MC MC781305A patent/MC1195A1/fr unknown
- 1978-05-29 AU AU36588/78A patent/AU518648B2/en not_active Expired
- 1978-05-29 IL IL54803A patent/IL54803A/xx unknown
- 1978-05-31 HU HU78HO2077A patent/HU182498B/hu unknown
- 1978-06-01 EP EP78100078A patent/EP0000005B1/fr not_active Expired
- 1978-06-01 JP JP6501078A patent/JPS5412394A/ja active Pending
- 1978-06-01 FI FI781754A patent/FI781754A7/fi not_active Application Discontinuation
- 1978-06-01 DE DE7878100078T patent/DE2860248D1/de not_active Expired
- 1978-06-01 FR FR7816468A patent/FR2393000A1/fr active Granted
- 1978-06-01 GR GR56409A patent/GR73554B/el unknown
- 1978-06-01 SE SE7806465A patent/SE7806465L/xx unknown
- 1978-06-01 DE DE19782824065 patent/DE2824065A1/de not_active Withdrawn
- 1978-06-02 ES ES470442A patent/ES470442A1/es not_active Expired
- 1978-06-02 PT PT68134A patent/PT68134A/pt unknown
- 1978-06-02 AR AR272437A patent/AR225134A1/es active
- 1978-06-02 NO NO781934A patent/NO781934L/no unknown
- 1978-06-02 CA CA304,644A patent/CA1114808A/fr not_active Expired
- 1978-06-02 AT AT403578A patent/AT362501B/de not_active IP Right Cessation
- 1978-06-02 DK DK246878A patent/DK246878A/da not_active Application Discontinuation
- 1978-06-02 PH PH21225A patent/PH14653A/en unknown
- 1978-06-02 BR BR787803565A patent/BR7803565A/pt unknown
- 1978-06-02 IT IT24165/78A patent/IT1098306B/it active
- 1978-07-03 CU CU7834929A patent/CU21118A/es unknown
-
1979
- 1979-02-27 ES ES478115A patent/ES478115A1/es not_active Expired
-
1980
- 1980-07-02 AT AT0345980A patent/AT365197B/de not_active IP Right Cessation
Also Published As
| Publication number | Publication date |
|---|---|
| PT68134A (en) | 1978-07-01 |
| FI781754A7 (fi) | 1978-12-04 |
| AT362501B (de) | 1981-05-25 |
| HU182498B (en) | 1984-01-30 |
| IE46903B1 (en) | 1983-11-02 |
| AT365197B (de) | 1981-12-28 |
| ATA345980A (de) | 1981-05-15 |
| IL54803A0 (en) | 1978-07-31 |
| NL7805715A (nl) | 1978-12-05 |
| DE2860248D1 (en) | 1981-01-29 |
| IE781056L (en) | 1978-12-03 |
| ES470442A1 (es) | 1979-10-01 |
| GR73554B (fr) | 1984-03-14 |
| CA1114808A (fr) | 1981-12-22 |
| CU21118A (es) | 1983-04-06 |
| AR225134A1 (es) | 1982-02-26 |
| NZ187392A (en) | 1984-05-31 |
| JPS5412394A (en) | 1979-01-30 |
| AU518648B2 (en) | 1981-10-15 |
| FR2393000A1 (fr) | 1978-12-29 |
| DE2824065A1 (de) | 1978-12-14 |
| DK246878A (da) | 1978-12-04 |
| GB1599232A (en) | 1981-09-30 |
| IT1098306B (it) | 1985-09-07 |
| FR2393000B1 (fr) | 1982-10-29 |
| SE7806465L (sv) | 1978-12-04 |
| BR7803565A (pt) | 1979-02-20 |
| ES478115A1 (es) | 1979-06-01 |
| IT7824165A0 (it) | 1978-06-02 |
| IL54803A (en) | 1982-01-31 |
| NO781934L (no) | 1978-12-05 |
| MC1195A1 (fr) | 1979-02-23 |
| ATA403578A (de) | 1980-10-15 |
| AU3658878A (en) | 1979-12-06 |
| PH14653A (en) | 1981-10-14 |
| EP0000005A1 (fr) | 1978-12-20 |
Similar Documents
| Publication | Publication Date | Title |
|---|---|---|
| DE2462736C2 (de) | 7-Aminothiazolylacetamido-3-cephem-4-carbonsäuren und Verfahren zur Herstellung derselben | |
| CH630632A5 (de) | Verfahren zur herstellung neuer cephalosporinderivate. | |
| CH634578A5 (de) | Verfahren zur herstellung von neuen cephalosporinderivaten. | |
| DE2922036C2 (de) | 7-[2-(2-Amino-4-thiazolyl)-2-methoxyimino-acetamido]- cephalosporansäure-Derivate | |
| CH633558A5 (de) | Verfahren zur herstellung neuer cephalosporinderivate. | |
| DE2555858A1 (de) | 3-thiosubstituierte cephalosporinverbindungen und verfahren zu ihrer herstellung | |
| CH639666A5 (de) | Cephalosporansaeurederivate, diese verbindungen enthaltende arzneimittel und verfahren zu ihrer herstellung. | |
| CH655118A5 (de) | Cephalosporinverbindungen, verfahren zu ihrer herstellung und antibakterielle mittel, die diese verbindungen enthalten. | |
| CH641468A5 (de) | Cephemderivate. | |
| EP0030294A2 (fr) | Procédé de préparation de dérivés de céphalosporine; intermédiaires et leur préparation | |
| DE2736471C2 (fr) | ||
| DE3307550C2 (fr) | ||
| EP0000005B1 (fr) | Nouveaux dérivés de céphalosporines, leurs préparations et leurs compositions pharmaceutiques | |
| EP0049855A2 (fr) | Dérivés de céphalosporine, leur préparation, compositions pharmaceutiques les contenant et intermédiaires pour leur préparation | |
| DE69109913T2 (de) | Cephalosporinzwischenverbindungen, Verfahren zu ihrer Herstellung sowie zur Herstellung ihrer Endprodukte. | |
| DE2527291C2 (fr) | ||
| DE2521063A1 (de) | Phenylacetamidocephalosporin- derivate | |
| EP0029966A2 (fr) | Dérivés de céphalosporine, leurs préparations et compositions pharmaceutiques qui les contiennent | |
| EP0553792B1 (fr) | Procédé pour la préparation de l'hémiheptahydrate du sel disodé de ceftriaxone | |
| EP0036652A2 (fr) | Dérivés de céphalosporine, leur préparation, leurs compositions, leur utilisation dans le traitement contre des maladies et leurs intermédiaires | |
| CH666037A5 (de) | Verfahren zur herstellung von cephalosporin-syn-isomeren. | |
| EP0008372B1 (fr) | Esters et éthers de céphalosporines facilement hydrolysables, leur préparation et compositions les contenant | |
| EP0379132A2 (fr) | Dérivés de céphalosporine et leur procédé de préparation | |
| CH634326A5 (de) | 2-hydroxyiminoacetamido-cephemcarbonsaeuren und ihre herstellung. | |
| EP0049499B1 (fr) | Dérivés de céphalosporine, leur préparation, compositions pharmaceutiques les contenant et intermédiaires pour leur préparation |
Legal Events
| Date | Code | Title | Description |
|---|---|---|---|
| PUAI | Public reference made under article 153(3) epc to a published international application that has entered the european phase |
Free format text: ORIGINAL CODE: 0009012 |
|
| AK | Designated contracting states |
Kind code of ref document: A1 Designated state(s): BE CH DE FR LU NL SE |
|
| 17P | Request for examination filed | ||
| GRAA | (expected) grant |
Free format text: ORIGINAL CODE: 0009210 |
|
| AK | Designated contracting states |
Kind code of ref document: B1 Designated state(s): BE CH DE FR LU NL SE |
|
| REF | Corresponds to: |
Ref document number: 2860248 Country of ref document: DE Date of ref document: 19810129 |
|
| PG25 | Lapsed in a contracting state [announced via postgrant information from national office to epo] |
Ref country code: LU Free format text: LAPSE BECAUSE OF NON-PAYMENT OF DUE FEES Effective date: 19810630 |
|
| PGFP | Annual fee paid to national office [announced via postgrant information from national office to epo] |
Ref country code: FR Payment date: 19821220 Year of fee payment: 6 |
|
| PGFP | Annual fee paid to national office [announced via postgrant information from national office to epo] |
Ref country code: DE Payment date: 19831212 Year of fee payment: 7 |
|
| PGFP | Annual fee paid to national office [announced via postgrant information from national office to epo] |
Ref country code: LU Payment date: 19840104 Year of fee payment: 7 |
|
| PGFP | Annual fee paid to national office [announced via postgrant information from national office to epo] |
Ref country code: CH Payment date: 19840507 Year of fee payment: 7 |
|
| PGFP | Annual fee paid to national office [announced via postgrant information from national office to epo] |
Ref country code: SE Payment date: 19840630 Year of fee payment: 7 Ref country code: NL Payment date: 19840630 Year of fee payment: 7 Ref country code: BE Payment date: 19840630 Year of fee payment: 7 |
|
| PG25 | Lapsed in a contracting state [announced via postgrant information from national office to epo] |
Ref country code: SE Effective date: 19850602 |
|
| PG25 | Lapsed in a contracting state [announced via postgrant information from national office to epo] |
Ref country code: CH Effective date: 19850630 Ref country code: BE Effective date: 19850630 |
|
| BERE | Be: lapsed |
Owner name: F. HOFFMANN-LA ROCHE & CO. A.G. Effective date: 19850601 |
|
| PG25 | Lapsed in a contracting state [announced via postgrant information from national office to epo] |
Ref country code: NL Effective date: 19860101 |
|
| PG25 | Lapsed in a contracting state [announced via postgrant information from national office to epo] |
Ref country code: FR Free format text: LAPSE BECAUSE OF NON-PAYMENT OF DUE FEES Effective date: 19860228 |
|
| REG | Reference to a national code |
Ref country code: CH Ref legal event code: PL |
|
| PG25 | Lapsed in a contracting state [announced via postgrant information from national office to epo] |
Ref country code: DE Effective date: 19860301 |
|
| NLV4 | Nl: lapsed or anulled due to non-payment of the annual fee | ||
| REG | Reference to a national code |
Ref country code: FR Ref legal event code: ST |
|
| PGFP | Annual fee paid to national office [announced via postgrant information from national office to epo] |
Ref country code: GR Payment date: 19911230 Year of fee payment: 6 |
|
| EUG | Se: european patent has lapsed |
Ref document number: 78100078.1 Effective date: 19860728 |
|
| PLBE | No opposition filed within time limit |
Free format text: ORIGINAL CODE: 0009261 |
|
| STAA | Information on the status of an ep patent application or granted ep patent |
Free format text: STATUS: NO OPPOSITION FILED WITHIN TIME LIMIT |








