DE69918508T2 - Schätzung von Trägerfrequenzverschiebung - Google Patents

Schätzung von Trägerfrequenzverschiebung Download PDF

Info

Publication number
DE69918508T2
DE69918508T2 DE69918508T DE69918508T DE69918508T2 DE 69918508 T2 DE69918508 T2 DE 69918508T2 DE 69918508 T DE69918508 T DE 69918508T DE 69918508 T DE69918508 T DE 69918508T DE 69918508 T2 DE69918508 T2 DE 69918508T2
Authority
DE
Germany
Prior art keywords
symbol
subsection
analog
frequency shift
calculating
Prior art date
Legal status (The legal status is an assumption and is not a legal conclusion. Google has not performed a legal analysis and makes no representation as to the accuracy of the status listed.)
Expired - Lifetime
Application number
DE69918508T
Other languages
English (en)
Other versions
DE69918508D1 (de
Inventor
Michael Joshua Genossar
Max Gotman
Natan Mizrahi
Naftali Chayat
Current Assignee (The listed assignees may be inaccurate. Google has not performed a legal analysis and makes no representation or warranty as to the accuracy of the list.)
Quarterhill Inc
Original Assignee
FLOWARE SYSTEM SOLUTIONS Ltd OR-YEHUDA
FLOWARE SYSTEM SOLUTIONS Ltd
Priority date (The priority date is an assumption and is not a legal conclusion. Google has not performed a legal analysis and makes no representation as to the accuracy of the date listed.)
Filing date
Publication date
Application filed by FLOWARE SYSTEM SOLUTIONS Ltd OR-YEHUDA, FLOWARE SYSTEM SOLUTIONS Ltd filed Critical FLOWARE SYSTEM SOLUTIONS Ltd OR-YEHUDA
Publication of DE69918508D1 publication Critical patent/DE69918508D1/de
Application granted granted Critical
Publication of DE69918508T2 publication Critical patent/DE69918508T2/de
Anticipated expiration legal-status Critical
Expired - Lifetime legal-status Critical Current

Links

Classifications

    • HELECTRICITY
    • H04ELECTRIC COMMUNICATION TECHNIQUE
    • H04LTRANSMISSION OF DIGITAL INFORMATION, e.g. TELEGRAPHIC COMMUNICATION
    • H04L27/00Modulated-carrier systems
    • H04L27/18Phase-modulated carrier systems, i.e. using phase-shift keying
    • H04L27/22Demodulator circuits; Receiver circuits

Landscapes

  • Engineering & Computer Science (AREA)
  • Computer Networks & Wireless Communication (AREA)
  • Signal Processing (AREA)
  • Synchronisation In Digital Transmission Systems (AREA)
  • Digital Transmission Methods That Use Modulated Carrier Waves (AREA)
  • Radio Relay Systems (AREA)
  • Monitoring And Testing Of Transmission In General (AREA)
  • Transmitters (AREA)
  • Channel Selection Circuits, Automatic Tuning Circuits (AREA)
  • Stabilization Of Oscillater, Synchronisation, Frequency Synthesizers (AREA)

Description

  • GEBIET UND HINTERGRUND DER ERFINDUNG
  • Die vorliegende Erfindung betrifft ein Verfahren zur schnellen Schätzung der Trägerfrequenz in einem Kommunikationssystem.
  • Kommunikationssysteme enthalten einen Sender und einen Empfänger. Damit eine Kommunikation stattfinden kann, muss eine akkurate Verarbeitung des gesendeten Signals seitens des Empfängers zur genauen Rückgewinnung der im Signal enthaltenen Information erfolgen.
  • Radiofrequenzsignale beispielsweise unterliegen einer Verzerrung, zum Beispiel Amplituden- und Phasenverzerrung und Trägerfrequenzverschiebung. Die Amplituden- und die Phasenverzerrung, die zu einer zeitlichen Streuung führen, sind als Kanalantwort bekannt. Der Übertragungsrahmen (Frame) kann Synchronisationsfelder enthalten, die zwar für die korrekte Verarbeitung des Frames zur Überwindung der voranstehend erwähnten Verzerrungen erforderlich sind, jedoch zur Maximierung der verfügbaren Bandbreite auf einem Minimum gehalten werden müssen. Zum Beispiel kann bei Kommunikationsprotokollen, die burst-enthaltende Übertragungen aufweisen, jeder Burst Synchronisationsfelder enthalten. Diese Felder können zum Beispiel am Anfang des Bursts auftreten, und dann bilden sie den so genannten Header. Handelt es sich um relativ kurze Bursts, dann muss der Synchronisations-Overhead möglichst weitgehend verringert werden, so dass das Synchronisationsfeld so kurz wie praktisch durchführbar sein muss.
  • Ein Teil der Verarbeitung des Synchronisationsfelds betrifft die Schätzung der Trägerfrequenzverschiebung. Die Frequenzen, mit denen die Signale moduliert, hochkonvertiert, herunterkonvertiert und demoduliert werden, weisen eine gewisse Abweichung von ihren Idealwerten auf. Die Summe aller dieser Abweichungen ist die Trägerfrequenzverschiebung. Die Schätzung der Trägerfrequenzverschiebung ist zur Verarbeitung des Empfangssignals erforderlich. Verfahren zur schnellen Schätzung der Trägerfrequenzverschiebung in Anwesenheit von Kanalverzerrung, zum Beispiel der ISI (Intersymbolinterferenz), wären daher äußerst nützlich.
  • In der Veröffentlichung von XIANG-GEN XIA mit dem Titel „Channel identification with Doppler and time shifts using mixed training Signals", aus „PROCEEDINGS OF THE 1998 IEEE INTERNATIONAL CONFERENCE ON ACOUSTICS, SPEECH AND SIGNAL PROCESSING", Seattle, WA., U.S.A. vom 12.-15. Mai 1998, ist auf den Seiten 2081-2084 ein Verfahren zur Identifikation von Kanälen mit Doppler- und Zeitverschiebung unter Verwendung eines Trainingssignals mit zwei verschiedenen Unterabschnitten offenbart.
  • Zur Steigerung der Signalverarbeitungseffizienz und zur Verringerung der Länge von Synchronisationsfeldern so wie zur Erhöhung der Schätzungsgenauigkeit besteht daher ein weitgehend anerkannter Bedarf an einem System und einem Verfahren zur schnellen Schätzung der Trägerfrequenzverschiebung, und es wäre äußerst vorteilhaft, über ein derartiges System und Verfahren zu verfügen.
  • ZUSAMMENFASSUNG DER ERFINDUNG
  • Gemäß der vorliegenden Erfindung wird ein Verfahren zur Schätzung einer Frequenzverschiebung mindestens eines Frames mit mindestens einem in mindestens zwei Unterabschnitte aufgeteilten Synchronisationsfeld zur Verfügung gestellt, wobei die mindestens zwei Unterabschnitte aus identischen Trainingssymbolen bestehen, und der Frame durch einen Empfänger von einem Sender empfangen wird, wobei der Empfänger mindestens eine Analog-zu-Digital-Verarbeitungseinheit enthält, und die Schritte des Verfahrens von einem Datenprozessor durchgeführt werden, wobei das Verfahren folgende Schritte umfasst: (a) Bestimmung einer anfänglichen Frequenzverschiebung πinitial; (b) Berechnung einer ersten Phase in Radian für mindestens einen Teil eines ersten Unterabschnitts gemäss einer Gleichung
    Figure 00030001
    worin i die Zeit in Symbolen bezeichnet; Ts eine Symbolperiode ist; n und m ganze Zahlen sind, wobei inΣim; die Länge des mindestens einen Teils des ersten Unterabschnitts in – im + 1 beträgt; Yi eine Ausgabe der Analog-zu-Digital-Verarbeitungseinheit ist; ai * das komplex Konjugierte des i-ten Trainingssymbols ai ist; (c) Berechnung einer zweiten Phase in Radian für mindestens einen Teil eines zweiten Unterabschnitts gemäss einer Gleichung:
    Figure 00040001
    worin p und q ganze Zahlen sind, wobei iq Σ ip; die Länge des mindestens einen Teils des zweiten Unterabschnitts iq – ip + 1 beträgt; (d) Berechnung einer Phasendifferenz zwischen dem Winkel der ersten Phase und dem der zweiten Phase gemäss einer Gleichung Δφ = φ2 – φ1; (e) Einstellung der Phasendifferenz derart, dass wenn Δφ > π, dann Δφ = Δφ – 2π, oder alternativ derart, dass wenn Δφ < –π, dann Δφ = Δφ + 2π; und (f) Berechnung der Frequenzverschiebung gemäss einer Formel Δf = Δφ/(Δt·2π), wobei Δt = (ip – im)·Ts.
  • Vorzugsweise weist die Analog-zu-Digital-Verarbeitungseinheit einen Analog/Digital-Wandler auf und Yi ist eine Ausgabe des Analog/Digital-Wandlers.
  • Alternativ und vorzugsweise weist die Analog-zu-Digital-Verarbeitungseinheit ein Empfangsfilter auf und Yi ist eine Ausgabe des Empfangsfilters.
  • Gemäss einer bevorzugten Ausführungsform der vorliegenden Erfindung weist der erste Unterabschnitt drei Teile auf, wobei ein erstes Symbol eines ersten Teils mit i1 bezeichnet ist; ein erstes Symbol eines zweiten Teils mit i2, ein letztes Symbol des zweiten Teils als Symbol i3; und ein letztes Symbol für einen dritten Teil als Symbol i4; und wobei der zweite Unterabschnitt drei Teile aufweist, wobei ein erstes Symbol eines ersten Teils mit i5 bezeichnet ist, ein erstes Symbol eines zweiten Teils mit i6, ein letztes Symbol des zweiten Teils als Symbol i7; und ein letztes Symbol für einen dritten Teil als Symbol i8; so dass jeweils der zweite Teil des ersten bzw. des zweiten Unterabschnitts derart verarbeitet werden, dass n = 3, m = 2, p = 6 und q = 7.
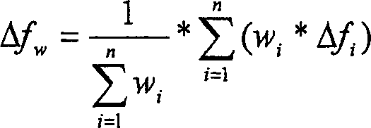
  • Gemäss weiterer bevorzugter Ausführungsformen der vorliegenden Erfindung werden die Schritte des Verfahrens für eine Vielzahl von n Frames wiederholt, so dass eine Vielzahl von n Frequenzverschiebungen berechnet wird, wobei das Verfahren zusätzlich folgenden Schritt aufweist: (g) Berechnung des Mittelwerts der Vielzahl von n Frequenzverschiebungen zur Ermittlung der Frequenzverschiebung. Vorzugsweise beinhaltet der Schritt der Berechnung des Mittelwerts der Vielzahl von n Frequenzverschiebungen die folgenden Schritte: (i) Bestimmung einer Gewichtung wi für jede Frequenzverschiebung i; und (ii) Berechnung der Frequenzverschiebung als ∩πw gemäss einer Gleichung
    Figure 00050001
  • Vorzugsweise wird die anfängliche Frequenzverschiebung mit folgenden Schritten berechnet: (i) Berechnung einer Wertemenge T(πk) für jede ∩πk einer Menge von Frequenzen {πk} gemäss einer Gleichung:
    Figure 00050002
    worin L die Länge eines Synchronisationsfelds ist; j die Quadratwurzel von –1; und (ii) Bestimmung der anfänglichen Frequenzverschiebung als Wert einer Frequenz πk derart, dass die Menge der Werte T(πk) maximiert wird.
  • Gemäss einer weiteren Ausführungsform der vorliegenden Erfindung wird ein Verfahren zur Schätzung einer Frequenzverschiebung mindestens eines Frames mit mindestens einem Synchronisationsfeld zur Verfügung gestellt, welches in mindestens einen ersten Unterabschnitt und einen zweiten Unterabschnitt aufgeteilt ist, welche durch einen Spacerteil getrennt sind, wobei die mindestens zwei Unterabschnitte aus im wesentlichen äquivalenten pseudozufälligen Symbolen bestehen und der erste Unterabschnitt mindestens drei Teile aufweist, wobei ein erster Teil ein erstes, als Symbol i1 bezeichnetes Symbol aufweist, ein zweiter Teil ein erstes, als Symbol i2 bezeichnetes Symbol, und ein letztes, als Symbol i3 bezeichnetes Symbol aufweist, und ein dritter Teil ein letztes, als Symbol i4 bezeichnetes Symbol aufweist, wobei der zweite Unterabschnitt ebenfalls mindestens drei Teile aufweist, wobei ein erster Teil ein erstes, als Symbol i5 bezeichnetes Symbol aufweist, ein zweiter Teil ein erstes, als Symbol i6 bezeichnetes Symbol und ein letztes, als Symbol i7 bezeichnetes Symbol aufweist, und ein dritter Teil ein letztes, als Symbol i8 bezeichnetes Symbol aufweist, und wobei der Frame durch einen Empfänger von einem Sender empfangen wird, wobei der Empfänger mindestens eine Analog-zu-Digital-Verarbeitungseinheit enthält, und die Schritte des Verfahrens von einem Datenprozessor durchgeführt werden, wobei das Verfahren folgende Schritte umfasst: (a) Für jede Frequenz πk einer Menge von Frequenzen {πk} Berechnung einer Gleichung
    Figure 00070001
    worin Ts eine Symbolperiode ist; L die Länge mindestens eines Teils des Synchronisationsfelds; j die Quadratwurzel von –1; (b) Bestimmung einer anfänglichen Frequenzverschiebung πinitial als Wert einer Frequenz πk derart, dass eine Menge von Werten T(πk) maximiert wird; (c) Berechnung einer ersten Phase in Radian für den zweiten Teil des ersten Unterabschnitts gemäss einer Gleichung
    Figure 00070002
    worin i die Zeit in Symbolen bezeichnet; die Länge des zweiten Teils des ersten Unterabschnitts i3 – i2 + 1 beträgt; Yi eine Ausgabe der Analog-zu-Digital-Verarbeitungseinheit ist; ai * das komplex Konjugierte des i-ten Trainingssymbols ai ist; (d) Berechnung einer zweiten Phase in Radian für den zweiten Teil des zweiten Unterabschnitts gemäss einer Gleichung
    Figure 00070003
    worin die Länge des zweiten Teils des zweiten Unterabschnitts i7 – i6 + 1 beträgt; (e) Berechnung einer Differenz zwischen der ersten und der zweiten Phase gemäss einer Gleichung Δφ = φ2 – φ1; (f) Einstellung der Differenz derart, dass wenn Δφ > π, dann Δφ = Δφ – 2π, oder alternativ derart, dass wenn Δφ < –π, dann Δφ = Δφ + 2π; und (g) Berechnung der Frequenzverschiebung gemäss einer Formel Δf = Δφ/(Δt·2π) worin Δt = (i6 – i2)·Ts.
  • Nachstehend ist ein Signal, das einem bestimmten Burst Si (wobei i eine ganze Zahl ist) entspricht, so definiert, dass es durch Verarbeitung mindestens eines Teils von Burst Si, beispielsweise durch Abtasten eines aus dem empfangenen Burst Si erhaltenen Analogsignals, erzeugt wird, um ein „entsprechendes" digitales Abtastsignal zu erzeugen.
  • KURZE BESCHREIBUNG DER ZEICHNUNGEN
  • Die Erfindung ist im vorliegenden Text lediglich beispielhaft unter Bezugnahme auf die beiliegenden Zeichnungen beschrieben. Es zeigen:
  • 1 ein schematisches Blockschaltbild eines beispielhaften Systems mit einem Sender und einem Empfänger gemäss dem allgemeinen Stand der Technik;
  • 2A ein schematisches Blockschaltbild eines beispielhaften Senders, und 2B ein schematisches Blockschaltbild eines beispielhaften Empfängers, gemäss vorliegender Erfindung;
  • 3 eine Darstellung einer beispielhaften Framestruktur gemäss vorliegender Erfindung; und
  • 4A und 4B Ablaufdiagramme des Verfahrens zur Schätzung der Trägerfrequenzverschiebung gemäss vorliegender Erfindung.
  • BESCHREIBUNG DER BEVORZUGTEN AUSFÜHRUNGSFORMEN
  • Die vorliegende Erfindung betrifft ein Verfahren zur präzisen und schnellen Schätzung der Trägerfrequenzverschiebung für ein Kommunikationssystem mit einem Sender und einem Empfänger. Bei dem Verfahren der vorliegenden Erfindung wird die Trägerfrequenzverschiebung anhand des Synchronisationsfelds geschätzt, das vorzugsweise eine Sequenz pseudozufälliger Symbole aufweist, die mindestens zweimal innerhalb des Synchronisationsfeld auftreten. Der Phasenwinkel für jede dieser wiederhol ten Sequenzen wird dann zur Bestimmung der Phasendifferenz verwendet, aus der dann die Frequenzverschiebung berechnet wird. Optional und vorzugsweise umfasst das Verfahren auch eine grobe Frequenzschätzung, die zuerst durchgeführt wird, zum Beispiel bei einer besonders großen Frequenzverschiebung.
  • Ein besseres Verständnis der Prinzipien und des Betriebs eines Verfahrens gemäss vorliegender Erfindung ergibt sich aus dem Studium der Zeichnungen und der beiliegenden Beschreibung.
  • Es wird nunmehr auf die Zeichnungen Bezug genommen. 1 zeigt ein beispielhaftes System zur Kommunikation aus dem allgemeinen Stand der Technik. Ein System weist einen Sender 12 und einen Empfänger 14 auf. Radiofrequenzsignale werden vom Sender 12 gesendet und durch den Empfänger 14 empfangen, obwohl natürlich auch andere Arten von Signalen anstelle dieser verwendet werden könnten. Zum Beispiel wäre das Verfahren der vorliegenden Erfindung auch für Sprachband-Modems geeignet. Bei der nachfolgenden Erläuterung ist ausschließlich zum Zwecke der Klarheit von Radiofrequenzsignalen die Rede, was jedoch keinerlei Einschränkung darstellen soll.
  • Das Signal ergeht ursprünglich als digitales Signal, das vom Sender 12 verarbeitet wird, wodurch sich ein analoges Radiofrequenzsignal vor der Übertragung ergibt. Wie es nachstehend im einzelnen ausgeführt ist, umfasst diese Verarbeitung das Codieren, die Digital-/Analog-Umwandlung, die Modulation und dann die Hochkonvertierung auf die Frequenz des gesendeten Signals.
  • Der Empfänger 14 empfängt dieses analoge Signal und nimmt dann eine Herunterkonvertierung und Demodulation des Signals vor. Dieses demodulierte Signal wird dann verarbeitet, um eine digitale Signalausgabe zu erhalten. Durch die Schritte der Verarbeitung des demodulierten Signals wird versucht, eine digitale Signalausgabe zu erhalten, die der ursprünglichen digitalen Signaleingabe am Sender 12 so ähnlich wie möglich ist. Wiederum umfasst diese Verarbeitung, wie es nachstehend ausführlicher beschrieben ist, die Herunterkonvertierung, die Demodulation, die Digital/Analog-Umwandlung, die Weiterverarbeitung und dann das Decodieren. Die Weiterverarbeitung ist erforderlich, da das vom Empfänger 14 empfangene Analogsignal nicht mit dem vom Sender 12 gesendeten Analogsignal identisch ist. Änderungen am Analogsignal treten infolge von Interferenz, Radiofrequenzträgerverschiebungen und Kanalantwort auf.
  • Wie es unter Bezugnahme auf die 2A für den Sender 12 bzw. die 2B für den Empfänger 14 dargestellt ist, sind eine Anzahl verschiedener Komponenten zum Senden des Analogsignals und zur Verarbeitung des empfangenen Analogsignals erforderlich oder bevorzugt. Die Beschreibung dieser Komponenten ist lediglich ein Beispiel zum Zwecke der Erläuterung und soll die Erfindung in keinster Weise einschränken.
  • In 2A empfängt der Sender 12 ein digitales Eingangssignal, das von einem Codierer 30 empfangen wird. Der Codierer 30 bildet den digitalen Bitstromeingang auf Symbole ab. Ein „Symbol" ist ein k-Bit großer Chunk, in den das Übertragungssignal aufgeteilt ist. Das Digitalsignal wird dann in zwei Signalkomponenten aufgeteilt, die als „I" (in Phase) und „Q" (Quadratur) bezeichnet werden. Jede digitale Signalkomponente wird vorzugsweise von einem von zwei digitalen Sendefiltern 32 gefiltert. Als nächstes wird das digitale Signal von einem der beiden Analog/Digital-Wandler 34 zu einem Analogsignal konvertiert. Das Analogsignal wird dann von einem von zwei analogen Tiefpassfiltern 36 gefiltert, die als „TPF" bezeichnet werden.
  • Die zwei Komponenten des geformten Analogsignals werden an eine Radiofrequenzsendeeinheit 38 weitergeleitet. Die Radiofrequenzsendeeinheit 38 enthält vorzugsweise einen Modulator 40 und einen Radiofrequenz-Hochkonvertierer 42. Der Modulator 40 kombiniert die „I"- und „Q"-Komponenten miteinander und moduliert diese Komponenten auf einen ausgewählten Träger, so dass das Signal nunmehr ein Zwischenfrequenzsignal ist. Der Radiofrequenz-Hochkonvertierer 42 wird benötigt, um das Zwischenfrequenzsignal auf die Frequenz des gesendeten Radiofrequenzsignals zu konvertieren, welche typischerweise einen höheren Wert als die Frequenz des Zwischenfrequenzsignals hat.
  • Wie 2B zeigt, wird das analoge Radiofrequenzsignal von einer Radiofrequenzempfängereinheit 24 empfangen. Die Radiofrequenzempfängereinheit 24 weist vorzugsweise einen Radiofrequenz-Herunterkonvertierer 44 und einen Demodulator 46 auf. Der Radiofrequenz-Herunterkonvertierer 44 wird benötigt, um die Frequenz des gesendeten Radiofrequenzsignals auf ein Zwischenfrequenzsignal zu konvertieren. Als nächstes verläuft das Zwischenfrequenzsignal an den Demodulator 46, der das Signal in die beiden Komponenten „I" und „Q" aufteilt.
  • Diese zwei Signalkomponenten werden separat von einem von zwei analogen Tiefpassfiltern 48 verarbeitet, die als „TPF" bezeichnet sind. Als nächstes werden die tiefpassgefilterten Signale für „I" und „Q" von einem von zwei Analog/Digital-Wandlern 50 von Analog- zu Digitalsignalen konvertiert.
  • Die digitalen Signale werden dann von einem von zwei digitalen Empfangsfiltern 52 weiterverarbeitet. Vorzugsweise filtern die digitalen Empfangsfilter 52 Rauschen, um den Störabstand (SNR) zu verbessern. Es ist zu beachten, dass die Analog/Digital-Wandler 50 und die digitalen Empfangsfilter 52 ebenfalls kollektiv als „Analog-zu-Digital-Verarbeitungseinheit 53" bezeichnet werden. Als nächstes wird das gefilterte Signal an einen nachgeschalteten Empfänger 54 geleitet, um während der stationären Verarbeitung des Signals ein digitales Ausgangssignal zu erzeugen. Vorzugsweise ist das Verfahren der vorliegenden Erfindung jedoch während der Verarbeitung des eigentlichen Synchronisationsfelds in Betrieb, im bevorzugteren Fall bevor ein Entzerrer, falls vorhanden, trainiert wurde, und daher im noch bevorzugteren Fall vor der Entzerrung des Signals.
  • Die digitale Verarbeitung innerhalb des nachgeschalteten Empfängers 54 weist eine Kompensation für sowohl die Trägerfrequenzverschiebung als auch die Phasenverschiebung, und für die ISI (Intersymbolinterferenz) auf. Das Verfahren gemäss vorliegender Erfindung ermöglicht eine weitaus schnellere Schätzung der Trägerfrequenzverschiebung und mit kürzeren Synchronisationsfeldern (unter Bezugnahme auf die 3 beschrieben), wie es nachstehend ausführlicher in Bezug auf die 4A und 4B beschrieben ist.
  • Wie 3 zeigt, weist jeder Frame 70 ein Synchronisationsfeld 72 und einen Verkehrsabschnitt 74 auf (wobei in der Darstellung relative Proportionen nicht gezeigt sind). Das Synchronisationsfeld 72 ist zur schnellen und effizienten Synchronisation vorhanden. Das Synchronisationsfeld 72 erscheint vorzugsweise am Anfang von Frame 70, wobei in diesem Fall das Synchronisationsfeld 72 der „Header" von Frame 70 ist.
  • Das Synchronisationsfeld 72 ist fakultativ in mindestens zwei Unterabschnitte 76 und 77 aufgeteilt, von denen jeder eine vordefinierte Sequenz pseudozufälliger Symbole aufweist, und die vorzugsweise im wesentlichen äquivalent sind, so dass die Verarbeitung beider Unterabschnitte 76 und 77 vorzugsweise die selbe oder im wesentlichen ähnliche ISI ergeben würde. Jeder Unterabschnitt 76 und 77 ist vorzugsweise durch einen Spacerteil 78 getrennt, der mindestens eine vordefinierte Länge hat. Noch bevorzugter ist die Länge des Spacerteils 78 vorzugsweise ähnlich derjenigen eines Unterabschnitts 76 oder 77.
  • Ebenfalls bevorzugter ist jeder Unterabschnitt 76 oder 77 des weiteren in mindestens drei Sequenzen pseudozufälliger Symbole 80 aufgeteilt (welche nachstehend kollektiv als „Sequenzen 80" bezeichnet sind), von denen jede auch als Teil eines jeden Unterabschnitts 76 oder 77 beschrieben werden kann. Jede Sequenz 80 ist aus einer Vielzahl von Symbolen zusammengesetzt.
  • Im bevorzugtesten Fall handelt es sich bei jeder der drei Sequenzen 80 um eine andere Sequenz pseudozufälliger Symbole. Ebenso ist im bevorzugtesten Fall eine erste Sequenz 82 der drei Sequenzen sowohl für den ersten Unterabschnitt 76 (der als „Unterabschnitt 1" bezeichnet wird) als auch für den zweiten Unterabschnitt 77 (der als „Unterabschnitt 2" bezeichnet wird) im wesentlichen äquivalent. Ähnlich ist eine zweite Sequenz 84 sowohl für den ersten Unterabschnitt 76 als auch für den zweiten Unterabschnitt 77 im wesentlichen äquivalent, und eine dritte Sequenz 86 ist auch sowohl für den ersten Unterabschnitt 76 als auch für den zweiten Unterabschnitt 77 im wesentlichen äquivalent.
  • Lediglich für die Zwecke der Darstellung und der Erläuterung ist für den ersten Unterabschnitt 76 das erste Symbol für die erste Sequenz 82 Symbol i1, das erste Symbol für die zweite Sequenz 84 ist Symbol i2; das letzte Symbol für die zweite Sequenz 84 ist Symbol i3; und das letzte Symbol für die dritte Sequenz 86 ist Symbol i4. Ähnlich ist für den zweiten Unterabschnitt 77 das erste Symbol für die erste Sequenz 82 Symbol i5, das erste Symbol für die zweite Sequenz 84 ist Symbol i6; das letzte Symbol für die zweite Sequenz 84 ist Symbol i7; und das letzte Symbol für die dritte Sequenz 86 ist Symbol i8.
  • Vorzugsweise werden für die Zwecke des Verfahrens der vorliegenden Erfindung nur die zweite Sequenz 84 des ersten Unterabschnitts 76 und des zweiten Unterabschnitts 77 analysiert. Jedoch sind vorzugsweise die erste Sequenz 82 und die dritte Sequenz 86 beide enthalten, um Verzerrungen der Symbole der zweiten Sequenz 84 aus vorherigen und nachfolgenden Symbolen zu minimieren, so dass die Symbole i2 bis i3 und die Symbole i6 bis i7 beide in gleichem oder in im wesentlichen ähnlichem Maße durch ISI verzerrt werden. Das Vorhandensein der ersten Sequenz 82 einer ausreichenden Länge ermöglicht, dass die durch Symbole vor Symbol i1 verursachte ISI bis zum Zeitpunkt des Empfangs von Symbol i2 im wesentlichen abgeklungen ist. Ähnlich wirkt sich bei ausreichender Länge der dritten Sequenz 86 die durch Symbole nach Symbol i4 verursachte ISI nicht erheblich auf Symbol i3 aus. Somit fungieren die erste Sequenz 82 und die dritte Sequenz 86 als ISI-Puffer für die zweite Sequenz 84.
  • Für das Verfahren der vorliegenden Erfindung befindet sich die Signalverarbeitung vorzugsweise auf der Stufe, in der nur das Synchronisationsfeld 72 vom Empfänger eines Empfänger-Sender-Paares verarbeitet wird, und der Entzerrer, falls überhaupt vorhanden, noch nicht in Betrieb ist. Daher enthält das gerade verarbeitete Signal noch ISI (Intersymbolinterferenz), und Ungenauigkeiten der Kanalantwort. Im bevorzugteren Fall wurde das Signal bereits von den Empfangsfiltern von 2B verarbeitet, obwohl alternativ das Signal auch direkt von den Analog/Digital-Wandlern zur Verarbeitung gemäss dem Verfahren der vorliegenden Erfindung empfangen werden könnte. Des weiteren ist im bevorzugteren Fall das Synchronisationsfeld 72 der Header von Frame 70. Die Art der Übertragung ist optional bursthaltig, so dass der Frame 70 ein Burst ist, oder alternativ könnten die Übertragungen auch kontinuierlich sein. Für jeden der beiden Übertragungstypen muss das Timing des Empfangs von Synchronisationsfeld 72 durch den Empfänger des Em pfänger-Sender-Paares vorbestimmt sein, so dass eine bestimmte Übertragungsstruktur vorbestimmt ist und dem Empfänger im voraus bekannt ist. Alternativ und vorzugsweise könnte der Empfänger selbst die Übertragungsstruktur steuern oder bestimmen.
  • Obwohl das Timing der Abtastung des Analog/Digital-Wandlers nicht unbedingt optimal ist, muss es wenigstens von Unterabschnitt 1 bis Unterabschnitt 2 konsistent sein. Ein optimales Timing wird bevorzugt, da das Verfahren der vorliegenden Erfindung bei derart optimalem Timing eine bessere Leistung ergibt. Fällt das Timing zwar nicht optimal, aber konsistent aus, dann ist die Abtastrate vorzugsweise höher als ein Abtastwert pro Symbol, um jedwede Nachteile des Abtasttimings zu überwinden. Ein Beispiel eines Systems, bei dem das Timing zwar konsistent, aber nicht optimal ist, ist in der U.S. Patentanmeldung mit dem Titel „Method For Rapid Synchronisation Of A Point to Multipoint Communication System" beschrieben, die das selbe Anmeldedatum wie die vorliegende Anmeldung hat und durch diesen Literaturhinweis summarisch in diese Offenbarung eingefügt ist, als wäre sie vollständig hierin ausgeführt. Bei dem darin offenbarten System wird das Abtasttiming durch den Sendetakt der Basisstation eingestellt, so dass das Abtasttiming der Empfangstakte der Terminalstation und der Basisstation gemäss dem Sendetakt der Basisstation eingestellt ist, und so dass der Sendetakt der Terminalstation ebenfalls gemäss dem Sendetakt der Basisstation bestimmt wird. Bei diesem System ist das Timing der Basisstation bekannt und konsistent, jedoch nicht unbedingt optimal.
  • Wie 4A zeigt, werden die Schritte des Verfahrens der vorliegenden Erfindung wie folgt durchgeführt, vorzugsweise von einem Datenprozessor im nachgeschalteten Empfänger 54, zum Beispiel als Software, die in einem nichtflüchtigen Speicher im nachgeschalteten Empfänger 54 gespeichert ist. Alternativ und vorzugsweise könnten die Schritte des Verfahrens der vorliegenden Erfindung von spezieller Hardware oder von einer Kombination aus Hardware und Software, auch bekannt unter dem Begriff „Firmware", durchgeführt werden. Ein Durchschnittsfachmann auf dem Gebiet könnte ohne weiteres das Verfahren der vorliegenden Erfindung zur Funktion als Software, Hardware oder Firmware implementieren.
  • Die Schritte des Verfahrens werden von einem Empfänger vollzogen, der mindestens einen Frame mit mindestens einem Synchronisationsfeld von einem Sender empfängt.
  • Die folgende Schreibweise wird für diese Formeln verwendet. Fettdruck bedeutet Spaltenvektoren, während Elemente eines Vektors in Normaldruck mit tiefgestelltem Index angegeben sind.
    Y = Empfangsfilter (Analog/Digital-Wandler)-Ausgang für den Header-Anfang (Spaltenvektor)
    a = Trainingssymbole (Spaltenvektor)
    j = Quadratwurzel von –1
    i = Index, der die Zeit bei Symbolen darstellt
    ai * = komplexes Konjugiertes von ai
    Winkel(x) = ist x eine komplex bewertete Zahl,
    und x = re, wobei r eine reale und nicht negative Zahl ist, und ¬ ein Winkel in Radian zwischen –♢ und ♢ ist, dann ist Winkel(x) als gleich ¬ definiert.
  • Die Schritte des Verfahrens für jeden Frame sind wie folgt: Zunächst wird in Schritt 1 die Phase für den ersten Unterabschnitt 76, der als „Unterabschnitt 1" bezeichnet wird, von 3 unter Verwendung mindestens eines Teils des ersten Unterabschnitts 76 geschätzt. Bevorzugter wird die zweite Sequenz 84 zur Schätzung der Phase verarbeitet, im bevorzugtesten Fall gemäss folgender Gleichung:
    Figure 00190001
  • Ähnlich wird die Phase für den zweiten Unterabschnitt 77, der als „Unterabschnitt 2" bezeichnet wird, von 3 unter Verwendung mindestens eines Teils des zweiten Unterabschnitts 77 geschätzt. Bevorzugter wird die zweite Sequenz 84 zur Schätzung der Phase verwendet, im bevorzugtesten Fall gemäss folgender Gleichung:
    Figure 00190002
  • Die Variable „Y" bezeichnet entweder die Ausgabe des Empfangsfilters oder alternativ des Analog/Digital-Wandlers vom Verarbeiten des Headers, da die Werte von Y optional sind und vorzugsweise vom Empfangsfilter kommend empfangen werden, oder alternativ direkt vom Analog/Digital-Wandler kommend empfangen werden.
  • Ein allgemeinerer Ausdruck für diese Gleichungen ist nachstehend für die erste Gleichung gegeben:
    Figure 00190003
    wobei n und m ganze Zahlen sind, wobei inΣim, und die Länge des Teils des ersten Unterabschnitts, der gerade verarbeitet wird, ist gegeben als in – im + 1. In dem bestimmten, oben dargestellten Beispiel ist n = 3 und m = 2, obwohl natürlich die Werte für n und für m gemäss dem Teil des ersten Unterabschnitts, der gerade verarbeitet wird, optional variiert werden könnten.
  • Ähnlich ist ein allgemeinerer Ausdruck für die zweite Gleichung folgender:
    Figure 00200001
    wobei q und p ganze Zahlen sind, wobei iqΣip, und die Länge des Teils des zweiten Unterabschnitts, der gerade verarbeitet wird, gegeben ist als iq – ip + 1. In dem bestimmten, oben dargestellten Beispiel ist q = 7 und p = 6, obwohl natürlich die Werte für q und für p gemäss dem Teil des zweiten Unterabschnitts, der gerade verarbeitet wird, optional variiert werden könnten.
  • Als nächstes wird in Schritt 2 die Phasendifferenz in Radian aus der anhand von „Unterabschnitt 1" berechneten Phase und der anhand von „Unterabschnitt 2" berechneten Phase gemäss folgender Gleichung bestimmt: Δφ = φ2 – φ1.
  • Als nächstes wird die Phasendifferenz wie folgt in Schritt 3 eingestellt. Für Δφ > π ergibt sich Δφ = Δφ – 2π. Alternativ ist für Δφ < –π Δφ = Δφ + 2π.
  • In Schritt 4 wird dann die Phasendifferenz in Radian gemäss folgender Gleichung in eine Frequenzdifferenz in Hertz (Hz) umgewandelt, wobei es sich um die Schätzung der Trägerfrequenzverschiebung für diesen Frame handelt: Δf = Δφ/(Δt·2π)worin Δt = (i6 – i2)·Ts so dass die Differenz (i6 – i2) die Verzögerung zwischen Unterabschnitt 1 und Unterabschnitt 2 darstellt, gemessen in verarbeiteten Symbolen, und Ts die Symbolperiode in Sekunden darstellt, so dass ∩t die in Sekunden gemessene Verzögerung zwischen Unterabschnitt 1 und Unterabschnitt 2 darstellt. Diese berechnete Frequenzdifferenz ist die Trägerfrequenzverschiebung, die zur übrigen Verarbeitung des Signals wie in 2B gezeigt verwendet werden könnte.
  • Vorzugsweise ist die Berechnung der Phase in Schritt 1 gewichtet, so dass die Gleichung von Schritt 1 für den ersten Unterabschnitt 76 durch folgende Gleichung ersetzt würde:
    Figure 00210001
    in der vi die Menge von Gewichten ist, gemäss der die Phase zur Bildung einer gewichteten Phase gewichtet wird. Zum Beispiel könnte ein einheitliches Gewichtungsschema verwendet werden, so dass sich vi = 1/n für alle i zwischen 1 und n ergibt.
  • Vorzugsweise werden diese Berechnungen jedes Mal dann wiederholt, wenn ein Synchronisationsfeld gesendet wird. Noch bevorzugter wird das Synchronisationsfeld n Mal wiederholt gesendet, so dass n Schätzungen der Trägerfrequenzverschiebung berechnet werden und dann ein Mittelwert berechnet wird, um eine gewichtete Schätzung der Trägerfrequenzverschiebung zu erhalten.
  • Gemäss bevorzugter Ausführungsformen der vorliegenden Erfindung wird vorzugsweise die Trägerfrequenzverschiebung als gewichteter Mittelwert berechnet, so dass bei wiederholter Übertragung des Synchronisationsfelds n Mal, so dass n Schätzungen der Trägerfrequenzverschiebung berechnet werden, eine gewichtete Schätzung der Trägerfrequenzverschiebung vorzugsweise in Schritt 5 gemäss folgender Gleichung berechnet wird:
    Figure 00220001
    bei der wi ein geeignetes Gewichtungsschema für jede Schätzung der Frequenzverschiebung ∩πi darstellt und ∩πw die gewichtete Schätzung der Frequenzverschiebung ist. Mehr Gewicht könnte optional beispielsweise aktueller berechneten Schätzungen der Frequenzverschiebung gegeben werden, da die Frequenz über die Zeit variiert und die aktueller berechneten Schätzungen der Frequenzverschiebung daher auf aktueller empfangenen Synchronisationsfeldern basieren würden. Alternativ könnte eine einheitliche Gewichtung eingesetzt werden, so dass sich wi = 1/n für alle i zwischen 1 und n ergibt.
  • Bei den voranstehend angegebenen Schritten des Verfahrens zum Schätzen der Frequenzverschiebung wird davon ausgegangen, dass jedes Symbol einmal abgetastet wird. Ist zum Beispiel die so genannte Symbol Timing Recovery (STR) als optimal bekannt, ist diese Annahme richtig. Ist jedoch bekannt, dass die STR zwar konsistent, aber nicht optimal ist, dann kann es sein, dass jedes Symbol mehr als einmal abgetastet oder „überabgetastet" wird. In dieser Situation muss eine bestimmte Anzahl von Abtastwerten verworfen oder „heruntergetastet" werden, so dass es nur einen verarbeiteten Abtastwert pro Symbol gibt. Wird beispielsweise jedes Symbol zweimal abgetastet, dann muss gemäss einem konsistenten Schema ein Abtastwert beibehalten werden und ein Abtastwert verworfen werden, so dass beispielsweise alle geraden Abtastwerte oder alle ungeraden Abtastwerte verworfen werden. Vorzugsweise ist dieses konsistente Schema derart, dass die Abtastwerte in der optimalsten Phase beibehalten werden.
  • Die Vorteile des Verfahrens der vorliegenden Erfindung sind folgende. Zunächst einmal wird die Schätzung der Phase sowohl aufgrund von additivem Rauschen und ISI (Intersymbolinterferenz) verschlechtert. Da die Unterabschnitte 1 und 2 identisch sind, leiden beide an der selben ISI und somit haben beide aufgrund von ISI dieselbe einseitige Verzerrung. Da jedoch die Phasendifferenz berechnet wird, hebt sich die ISI-bedingte einseitige Verzerrung in den Berechnungen auf. Daher bleibt das Verfahren gemäss vorliegender Erfindung selbst unter Bedingungen starker ISI in Betrieb und es ist keine Entzerrung des Signals erforderlich.
  • Vorzugsweise weisen die Unterabschnitte 1 und 2 eine oder mehr Sequenzen pseudozufälliger Symbole von mehr als einer Frequenz auf, um eine starke Dämpfung der Empfangssignale zu verhindern, wenn bei einer bestimmten Frequenz eine tiefe Kerbe vorliegt. Auch sind Sequenzen pseudozufälliger Symbole einer Vielzahl von Frequenzen zur Anpassung von Entzerrern geeignet, was somit die Verwendung eines Synchronisationsfeldes sowohl zur Entzerrer-Anpassung als auch zur Schätzung der Trägerfrequenzverschiebung gemäss vorliegender Erfindung ermöglicht.
  • Vorzugsweise liegt eine anfängliche Frequenzverschiebung, πinitial vor, die zur Berechnung der geschätzten Frequenzverschiebung verwendet wird, die aus einer groben Frequenzschätzung erhalten werden könnte, wie es nachstehend ausführlicher beschrieben ist. Sind die Frequenzverschiebungen und die Phasendifferenzen zu groß, dann ist ein zweistufiger Ansatz besonders bevorzugt. In Stufe 1 erfolgt dabei eine Berechnung einer groben Schätzung der Frequenzverschiebung als die anfängliche Frequenzverschiebung, während in Stufe 2 die Schätzung der eigentlichen Frequenzverschiebung, oder die „Feinschätzung der Frequenzverschiebung", berechnet wird. Insbesondere bei einer Frequenzverschiebung von größer 1/(2∩t) ist das zweistufige Verfahren stark bevorzugt.
  • Gemäss bevorzugteren Ausführungsformen der vorliegenden Erfindung weist das zweistufige Verfahren der vorliegenden Erfindung die Berechnung einer groben Frequenzverschiebung als πinitial vor der Durchführung der voran stehenden Schritte des einstufigen Verfahren der vorliegenden Erfindung auf. Die Annahmen sind ähnlich denjenigen, die voranstehend bezüglich des Verfahrens von 4A beschrieben wurden.
  • Kurz gesagt wird ein Beispiel eines zweistufigen Verfahrens gemäss der vorliegenden Erfindung wie folgt durchgeführt. Als erstes wird die DFT (diskrete Fouriertransformierte) der Sequenz a i / *·Y1 aus dem Synchronisationsfeld für eine Menge von Frequenzen {πk} berechnet. Als nächstes wird der maximale Absolutwert im Frequenzbereich bestimmt, und die entsprechende Frequenz wird dann als die grobe Schätzung ausgewählt. Vorzugsweise wird, da der Bereich der Trägerfrequenz so bestimmt werden kann, dass er zwischen zwei Endpunkten πmin und πmax liegt, und die Toleranz des Verfahrens von 4A auch als πtol bestimmt werden kann, dann die Menge von Frequenzen {πk} zwischen πmin und πmax derart gewählt, dass der Fehler der groben Schätzung nicht größer als πtol ist.
  • Die Schritte des Verfahrens sind in 4B gezeigt. Soweit nicht anders angegeben sind alle Variablen und Indexe die selben wie die für die Schritte des in 4A dargestellten und oben beschriebenen Verfahrens. Als erstes wird in Schritt 1 für jede πk der Menge von Frequenzen {πk} die folgende Gleichung berechnet:
    Figure 00250001
    bei der L die Länge des Synchronisationsfeldes darstellt.
  • In Schritt 2 wird πinitial als der Wert der Frequenz πk bestimmt, für die die Menge von Werten T (πk) maximiert ist.
  • Als nächstes wird in Schritt 3 die Phase in Radian für den ersten Unterabschnitt 76, der als „Unterabschnitt 1" bezeichnet wird, von 3 gemäss folgender Gleichung geschätzt:
    Figure 00260001
  • Ähnlich wird die Phase in Radian für den zweiten Unterabschnitt 77, der als „Unterabschnitt 2" bezeichnet wird, von 3 gemäss folgender Gleichung geschätzt:
    Figure 00260002
  • In Schritt 4 wird die Differenz in Radian aus der anhand von „Unterabschnitt 1" berechneten Phase und der anhand von „Unterabschnitt 2" berechneten Phase gemäss folgender Gleichung berechnet: Δφ = φ2 – φ1.
  • Als nächstes wird die Phasendifferenz wie folgt in Schritt 5 eingestellt. Für Δφ > π ergibt sich Δφ = Δφ – 2π. Alternativ ergibt sich für Δφ < –π Δφ = Δφ + 2π.
  • In Schritt 7 wird dann gemäss folgender Gleichung die Phasendifferenz zu einer Frequenzdifferenz in Hertz (Hz) konvertiert, welche die Schätzung der Frequenz für diesen Frame ist: Δf = Δφ/(Δt·2π) + finitial worin Δt = (i6 – i2)·Ts so dass die Differenz (i6 – i2) die Verzögerung zwischen Unterabschnitt 1 und Unterabschnitt 2, gemessen in Symbolen, darstellt und Ts die Symbolperiode in Sekunden darstellt, so dass ∩t die in Sekunden gemessene Verzögerung zwischen Unterabschnitt 1 und Unterabschnitt 2 darstellt. Diese berechnete Frequenzdifferenz ist die Trägerfrequenzverschiebung, die zur übrigen Verarbeitung wie in 2 gezeigt verwendet werden könnte.
  • Obwohl die Erfindung bezüglich einer begrenzten Anzahl von Ausführungsformen beschrieben wurde, versteht es sich natürlich, dass zahlreiche Variationen, Modifikationen und andere Anwendungen der Erfindung ebenfalls möglich sind.

Claims (10)

  1. Verfahren zur Schätzung der Frequenzverschiebung mindestens eines Frames mit mindestens einem in zwei Unterabschnitte aufgeteilten Synchronisationsfeld, wobei die mindestens zwei Unterabschnitte aus identischen Trainingssymbolen bestehen und der Frame durch einen Empfänger von einem Sender empfangen wird, der Empfänger mindestens eine Analog-zu-Digital-Verarbeitungseinheit enthält und die Schritte des Verfahrens von einem Datenprozessor durchgeführt werden, mit folgenden Schritten: (a) Bestimmung einer anfänglichen Frequenzverschiebung finitial; (b) Berechnung einer ersten Phase in Radian für mindestens einen Teil eines ersten Unterabschnitts- gemäss einer Gleichung:
    Figure 00280001
    worin i die Zeit in Symbolen bezeichnet; Ts eine Symbolperiode ist n und m ganze Zahlen sind mit in ≥ im; die Länge des mindestens einen Teils des ersten Unterabschnitts in – im + 1 beträgt; Yi eine Ausgabe der Analog-zu-Digital-Verarbeitungseinheit ist; a * / i das komplex Konjugierte des i-ten Trainingssymbols ai ist; (c) Berechnung einer zweiten Phase in Radian für mindestens einen Teil eines zweiten Unterabschnitts gemäss einer Gleichung:
    Figure 00290001
    worin p und q ganze Zahlen sind; iq ≥ ip; die Länge des mindestens einen Teils des zweiten Unterabschnitts iq – ip + 1 beträgt; (d) Berechnung einer Phasendifferenz zwischen dem Winkel der ersten und der zweiten Phase gemäss einer Gleichung: Δφ = φ2 – φ1;(e) Einstellung, der Phasendifferenz derart, dass wenn Δφ > π, dann Δφ = Δφ – 2π, oder wahlweise derart, dass wenn Δφ < –π, dann Δφ = Δφ + 2π; und (f) Berechnung einer neuen Frequenzverschiebung gemäss einer Formel: Δf = Δφ/(Δt·2π)worin Δt = (ip – im)·Ts.
  2. Verfahren nach Anspruch 1, worin die Analog-zu-Digital-Verarbeitungseinheit einen Analog-Digitalwandler aufweist und Yi eine Ausgabe des Analog-Digitalwandlers ist.
  3. Verfahren nach Anspruch 1, worin die Analog-zu-Digital-Verarbeitungseinheit ein Empfangsfilter aufweist und Yi eine Ausgabe des Empfangsfilters ist.
  4. Verfahren nach Anspruch 1, worin der erste Unterabschnitt drei Teile aufweist, wobei ein erstes Symbol eines ersten Teils mit i1 bezeichnet ist, ein erstes Symbol eines zweiten Teils mit i2, ein letztes Symbol des zweiten Teils als Symbol i3; und ein letztes Symbol für einen dritten Teil als Symbol i4; und worin der zweite Unterabschnitt drei Teile aufweist, wobei ein erstes Symbol eines ersten Teils mit i5 bezeichnet ist, ein erstes Symbol eines zweiten Teils mit i6, ein letztes Symbol des zweiten Teils als Symbol i7; und ein letztes Symbol für einen dritten Teil als Symbol i8; so dass jeweils der zweite Teil des ersten und des zweiten Unterabschnitts derart verarbeitet werden, dass n = 3, m = 2, p = 6 und q = 7.
  5. unerfahren nach Anspruch 1, worin die Schritte des Verfahrens für eine Anzahl von n Frames wiederholt werden, so dass eine Anzahl von n Frequenzverschiebungen berechnet wird, wobei das Verfahren zusätzlich folgenden Schritt aufweist: (g) Berechnung des Mittelwerts der Anzahl von n Frequenzverschiebungen zur Ermittlung der Frequenzverschiebung.
  6. Verfahren nach Anspruch 5, worin die Berechnung des Mittelwerts der Anzahl von n Frequenzverschiebungen die folgenden Schritte beinhaltet: (i) Bestimmung einer Gewichtung wi für jede Frequenzverschiebung i; und (ii) Berechnung der Frequenzverschiebung derart, dass sie Δfw beträgt gemäss einer Gleichung
    Figure 00310001
  7. Verfahren nach Anspruch 1, worin die anfängliche Frequenzverschiebung mit folgenden Schritten berechnet wird: (i) Berechnung einer Wertemenge T(fk) für jede fk einer Menge von Frequenzen {fk} gemäss einer Gleichung:
    Figure 00310002
    worin L die Länge eines Synchronisationsfelds ist j die Quadratwurzel von –1; und (ii) Bestimmung der anfänglichen Frequenzverschiebung als Wert einer Frequenz fk derart, dass die Menge der Werte T(fk) maximiert wird.
  8. Verfahren zur Schätzung der Frequenzverschiebung mindestens eines Frames mit mindestens einem Synchronisationsfeld, das in mindestens einen ersten Unterabschnitt und einen zweiten Unterabschnitt aufgeteilt ist, welche durch einen Spacerteil getrennt sind, wobei die mindestens zwei Unterabschnitte aus identischen Trainingssymbolen bestehen und der erste Unterabschnitt mindestens drei Teile aufweist, wobei ein erster Teil ein erstes, als Symbol i1 bezeichnetes Symbol aufweist, ein zweiter Teil ein erstes, als Symbol i2 bezeichnetes Symbol und ein letztes, als Symbol i3 bezeichnetes Symbol und ein dritter Teil ein letztes, als Symbol i4 bezeichnetes Symbol, wobei der zweite Unterabschnitt ebenfalls mindestens drei Teile aufweist, wobei ein erster Teil ein als Symbol i5 bezeichnetes Symbol aufweist, ein zweiter Teil ein erstes, als Symbol i6 bezeichnetes Symbol und ein letztes, als Symbol i7 bezeichnetes Symbol und ein dritter Teil ein letztes, als Symbol i8 bezeichnetes Symbol aufweist, und wobei der Frame durch einen Empfänger von einem Sender empfangen wird, der Empfänger mindestens eine Analog-zu-Digital-Verarbeitungseinheit enthält und die Schritte des Verfahrens von einem Datenprozessor durchgeführt werden, mit folgenden Schritten: (a) Für jede Frequenz fk einer Menge von Frequenzen {fk} Berechnung einer Gleichung:
    Figure 00320001
    worin Ts eine Symbolperiode ist; L die Länge mindestens eines Teils des Synchronisationsfelds; j die Quadratwurzel von –1; (b) Bestimmung einer anfänglichen Frequenzverschiebung finitial als Wert einer Frequenz fk derart, dass eine Menge von Werten T(fk) maximiert wird; (c) Berechnung einer ersten Phase in Radian für den zweiten Teil des ersten Unterabschnitts gemäss einer Gleichung:
    Figure 00320002
    worin i die Zeit in Symbolen bezeichnet; eine Länge des zweiten Teils des ersten Unterabschnitts i3 – i2 + 1 beträgt; Yi eine Ausgabe der Analog-zu-Digital-Verarbeitungseinheit ist; a * / i das komplex Konjugierte des i-ten Trainingssymbols ai ist; (d) Berechnung einer zweiten Phase in Radian für den zweiten Teil des zweiten Unterabschnitts gemäss einer Gleichung:
    Figure 00330001
    worin die Länge des zweiten Teils des zweiten Unterabschnitts i7 – i6 + 1 beträgt; (e) Berechnung einer Differenz zwischen der ersten und der zweiten Phase gemäss einer Gleichung: Δφ = φ2 – φ1;(f) Einstellung der Phasenverschiebung derart, dass wenn Δφ > π, dann Δφ = Δφ – 2π, oder wahlweise derart, dass wenn Δφ < –π, dann Δ = Δφ + 2π; und (g) Berechnung einer neuen Frequenzverschiebung gemäss einer Formel: Δf = Δφ/(Δt·2π)worin Δt = (i6 – i2)·Ts.
  9. Verfahren nach Anspruch 8, worin die Analog-zu-Digital-Verarbeitungseinheit einen Analog-Digitalwandler aufweist und Yi eine Ausgabe des Analog-Digitalwandlers ist.
  10. Verfahren nach Anspruch 8, worin die Analog-zu-Digital-Verarbeitungseinheit ein Empfangsfilter aufweist und Yi eine Ausgabe des Empfangsfilters ist.
DE69918508T 1998-09-30 1999-09-30 Schätzung von Trägerfrequenzverschiebung Expired - Lifetime DE69918508T2 (de)

Applications Claiming Priority (2)

Application Number Priority Date Filing Date Title
US162996 1980-06-25
US09/162,996 US6731710B1 (en) 1998-09-30 1998-09-30 Method for rapid carrier frequency estimation in a communication system

Publications (2)

Publication Number Publication Date
DE69918508D1 DE69918508D1 (de) 2004-08-12
DE69918508T2 true DE69918508T2 (de) 2005-07-28

Family

ID=22588007

Family Applications (1)

Application Number Title Priority Date Filing Date
DE69918508T Expired - Lifetime DE69918508T2 (de) 1998-09-30 1999-09-30 Schätzung von Trägerfrequenzverschiebung

Country Status (6)

Country Link
US (1) US6731710B1 (de)
EP (1) EP0993159B1 (de)
AT (1) ATE270803T1 (de)
DE (1) DE69918508T2 (de)
ES (1) ES2224518T3 (de)
IL (1) IL131951A (de)

Families Citing this family (11)

* Cited by examiner, † Cited by third party
Publication number Priority date Publication date Assignee Title
ATE278970T1 (de) * 2000-04-25 2004-10-15 Eskom Rauscharme signalauswertung
US7239431B2 (en) * 2001-04-04 2007-07-03 Agere Systems Inc. System and method for recovering primary channel operation in a facsimile receiver and facsimile machine incorporating the same
EP1313281B1 (de) * 2001-11-16 2005-02-02 Com-Research GmbH Solutions for Communication Systems Verfahren und System zur Frequenzoffsetschätzung für Trägermodulierte digitale Kommunikationssysteme
SG109499A1 (en) * 2002-06-17 2005-03-30 Oki Techno Ct Singapore Pte Frequency estimation in a burst radio receiver
US7460839B2 (en) 2004-07-19 2008-12-02 Purewave Networks, Inc. Non-simultaneous frequency diversity in radio communication systems
US7263335B2 (en) 2004-07-19 2007-08-28 Purewave Networks, Inc. Multi-connection, non-simultaneous frequency diversity in radio communication systems
US20090310691A1 (en) * 2008-06-12 2009-12-17 Qualcomm Incorporated Methods and systems for carrier frequency offset estimation and correction ofdm/ofdma systems
US8031747B2 (en) 2009-04-29 2011-10-04 Juniper Networks, Inc. Apparatus and method of compensating for clock frequency and phase variations by processing packet delay values
KR101298591B1 (ko) * 2009-12-17 2013-08-26 한국전자통신연구원 무선 통신 시스템에서 데이터 송수신 장치 및 방법
KR102025324B1 (ko) * 2017-09-27 2019-09-25 (주)에프씨아이 주파수 오프셋 추정 방법
CN110311874B (zh) * 2019-07-18 2022-02-15 锐迪科微电子(上海)有限公司 载波频偏确定方法及装置

Family Cites Families (3)

* Cited by examiner, † Cited by third party
Publication number Priority date Publication date Assignee Title
US6334219B1 (en) * 1994-09-26 2001-12-25 Adc Telecommunications Inc. Channel selection for a hybrid fiber coax network
SE514986C2 (sv) * 1995-03-01 2001-05-28 Telia Ab Metod och anordning för synkronisering vid OFDM-system
US6097770A (en) * 1996-10-31 2000-08-01 Lucent Technologies Inc. Frequency offset estimation for wireless systems based on channel impulse response

Also Published As

Publication number Publication date
EP0993159B1 (de) 2004-07-07
EP0993159A2 (de) 2000-04-12
US6731710B1 (en) 2004-05-04
ES2224518T3 (es) 2005-03-01
DE69918508D1 (de) 2004-08-12
EP0993159A3 (de) 2002-03-06
ATE270803T1 (de) 2004-07-15
IL131951A0 (en) 2001-03-19
IL131951A (en) 2004-01-04

Similar Documents

Publication Publication Date Title
DE602004006406T2 (de) Frequenzsynchronisationsvorrichtung und frequenzsynchronisationsverfahren
DE69637259T2 (de) OFDM Kommunikationsgeräte unter Verwendung von pseudo-zufällig modulierten Referenzsymbolen
DE69732549T2 (de) Schnelles Resynchronisationssystem für Hochgeschwindigkeitsdatenübertragung
DE69632812T2 (de) Uebertragungssystem mit verbesserter symbolverarbeitung
DE69534066T2 (de) Einstellung eines Referenzunterträgers bei Mehrträgerübertragung
DE69530245T2 (de) Digitales OFDM-Rundfunksystem, sowie Übertragungs- und Empfangsvorrichtung für Digitalrundfunk
DE69728383T2 (de) Verfahren und Apparat für Zeitsynchronisierung in einem Empfänger für ein Mehrträgersignal
EP1708401B1 (de) Übertragungsverfahren mit senderseitiger Frequenz- und Zeitspreizung
DE69738249T2 (de) Symbolsynchronisierung und Abtastfrequenzeinstellung in einem OFDM-Empfänger
DE3750265T2 (de) Verfahren und gerät zur entzerrung in datenübertragungssystemen.
DE69413224T2 (de) SIGNALISATIONSPAKET FüR KOMMUNIKATIONSSYSTEM MIT MODULIERTER REFERENZ DIE EINEM ZEITABHAENGIGEN GESETZ FOLGT
DE69933409T2 (de) Verfahren un Anordnung zum Erreichen und Aufrechterhalten der Symbolsynchronisierung in einem OFDM-Übertragungssystem
DE112019007591T5 (de) Empfänger mit eingebetteter tageszeit zur taktübertragung
DE69736659T2 (de) Mehrträgerempfänger mit Ausgleich von Frequenzverschiebungen und von frequenzabhängigen Verzerrungen
DE69918508T2 (de) Schätzung von Trägerfrequenzverschiebung
DE69926869T2 (de) Verfahren und einrichtung zur detektion eines frequenzsynchronisierungssignales
DE102008064762B3 (de) Verfahren zur automatischen Frequenzregelung sowie Sende-/Empfangseinrichtung
DE602004012381T2 (de) Verfahren zur zeit- und frequenzbereichssynchronisation mehrerer einrichtungen in einem übertragungssystem mit ofdm-modulation
DE69232966T2 (de) Taktwiedergewinnungsverfahren und -system
DE69520084T2 (de) Verfahren und Vorrichtung für die Entzerrung von digitalen Signalen im Frequenzbereich
DE60219474T2 (de) Frequenzkorrektion für ein mehrträgersystem
DE19742670B4 (de) Verfahren, Empfänger und Mehrträger-QAM-System zur Demodulation eines analogen Mehrträger-QAM-Signals
DE60030637T2 (de) Empfängerschaltung
DE3750324T2 (de) Vereinfachte Zurückgewinnung von Daten aus Signalen mit Quadraturträgern.
DE60317276T2 (de) Synchronisierung in Mehrträgerempfängern

Legal Events

Date Code Title Description
8364 No opposition during term of opposition
8327 Change in the person/name/address of the patent owner

Owner name: WI-LAN, INC., OTTAWA, ONTARIO, CA