DE69737385T2 - Zusammensetzung für die beschichtung von zähnen - Google Patents
Zusammensetzung für die beschichtung von zähnen Download PDFInfo
- Publication number
- DE69737385T2 DE69737385T2 DE69737385T DE69737385T DE69737385T2 DE 69737385 T2 DE69737385 T2 DE 69737385T2 DE 69737385 T DE69737385 T DE 69737385T DE 69737385 T DE69737385 T DE 69737385T DE 69737385 T2 DE69737385 T2 DE 69737385T2
- Authority
- DE
- Germany
- Prior art keywords
- polymer
- composition according
- phosphoric acid
- composition
- copolymer
- Prior art date
- Legal status (The legal status is an assumption and is not a legal conclusion. Google has not performed a legal analysis and makes no representation as to the accuracy of the status listed.)
- Expired - Fee Related
Links
- 239000000203 mixture Substances 0.000 title claims description 34
- 239000011248 coating agent Substances 0.000 title claims description 7
- 238000000576 coating method Methods 0.000 title claims description 7
- NBIIXXVUZAFLBC-UHFFFAOYSA-N Phosphoric acid Chemical compound OP(O)(O)=O NBIIXXVUZAFLBC-UHFFFAOYSA-N 0.000 claims description 60
- 239000000178 monomer Substances 0.000 claims description 41
- 239000008199 coating composition Substances 0.000 claims description 33
- LFQSCWFLJHTTHZ-UHFFFAOYSA-N Ethanol Chemical compound CCO LFQSCWFLJHTTHZ-UHFFFAOYSA-N 0.000 claims description 31
- 229920001577 copolymer Polymers 0.000 claims description 30
- 229920000642 polymer Polymers 0.000 claims description 30
- 229910000147 aluminium phosphate Inorganic materials 0.000 claims description 28
- 150000003839 salts Chemical class 0.000 claims description 11
- RTAQQCXQSZGOHL-UHFFFAOYSA-N Titanium Chemical compound [Ti] RTAQQCXQSZGOHL-UHFFFAOYSA-N 0.000 claims description 10
- 125000004435 hydrogen atom Chemical group [H]* 0.000 claims description 10
- 229910052719 titanium Inorganic materials 0.000 claims description 10
- 239000010936 titanium Substances 0.000 claims description 10
- 239000010445 mica Substances 0.000 claims description 9
- 229910052618 mica group Inorganic materials 0.000 claims description 9
- XLYOFNOQVPJJNP-UHFFFAOYSA-N water Substances O XLYOFNOQVPJJNP-UHFFFAOYSA-N 0.000 claims description 9
- 239000000049 pigment Substances 0.000 claims description 8
- ABLZXFCXXLZCGV-UHFFFAOYSA-N Phosphorous acid Chemical compound OP(O)=O ABLZXFCXXLZCGV-UHFFFAOYSA-N 0.000 claims description 7
- 239000000843 powder Substances 0.000 claims description 7
- 229920001519 homopolymer Polymers 0.000 claims description 5
- 125000002496 methyl group Chemical group [H]C([H])([H])* 0.000 claims description 5
- 125000002947 alkylene group Chemical group 0.000 claims description 4
- 229910052731 fluorine Inorganic materials 0.000 claims description 4
- 125000001153 fluoro group Chemical group F* 0.000 claims description 4
- 150000004820 halides Chemical class 0.000 claims description 4
- 125000001183 hydrocarbyl group Chemical group 0.000 claims description 4
- ACVYVLVWPXVTIT-UHFFFAOYSA-N phosphinic acid Chemical compound O[PH2]=O ACVYVLVWPXVTIT-UHFFFAOYSA-N 0.000 claims description 4
- 125000004437 phosphorous atom Chemical group 0.000 claims description 4
- 125000003545 alkoxy group Chemical group 0.000 claims description 3
- 125000004104 aryloxy group Chemical group 0.000 claims description 3
- 239000002537 cosmetic Substances 0.000 claims description 3
- 125000004356 hydroxy functional group Chemical group O* 0.000 claims description 3
- 241000251468 Actinopterygii Species 0.000 claims description 2
- 229910052698 phosphorus Inorganic materials 0.000 claims description 2
- 208000035154 Hyperesthesia Diseases 0.000 claims 1
- 230000015572 biosynthetic process Effects 0.000 claims 1
- 208000002925 dental caries Diseases 0.000 claims 1
- 238000002360 preparation method Methods 0.000 claims 1
- NIXOWILDQLNWCW-UHFFFAOYSA-M Acrylate Chemical compound [O-]C(=O)C=C NIXOWILDQLNWCW-UHFFFAOYSA-M 0.000 description 21
- SUPCQIBBMFXVTL-UHFFFAOYSA-N ethyl 2-methylprop-2-enoate Chemical compound CCOC(=O)C(C)=C SUPCQIBBMFXVTL-UHFFFAOYSA-N 0.000 description 13
- SEILKFZTLVMHRR-UHFFFAOYSA-N 2-phosphonooxyethyl 2-methylprop-2-enoate Chemical compound CC(=C)C(=O)OCCOP(O)(O)=O SEILKFZTLVMHRR-UHFFFAOYSA-N 0.000 description 12
- -1 alkali metal salts Chemical class 0.000 description 12
- VYPSYNLAJGMNEJ-UHFFFAOYSA-N Silicium dioxide Chemical compound O=[Si]=O VYPSYNLAJGMNEJ-UHFFFAOYSA-N 0.000 description 10
- 239000002904 solvent Substances 0.000 description 9
- IJGRMHOSHXDMSA-UHFFFAOYSA-N Atomic nitrogen Chemical compound N#N IJGRMHOSHXDMSA-UHFFFAOYSA-N 0.000 description 8
- GWEVSGVZZGPLCZ-UHFFFAOYSA-N Titan oxide Chemical compound O=[Ti]=O GWEVSGVZZGPLCZ-UHFFFAOYSA-N 0.000 description 8
- 239000011521 glass Substances 0.000 description 8
- 150000002430 hydrocarbons Chemical group 0.000 description 8
- 239000000853 adhesive Substances 0.000 description 7
- 230000001070 adhesive effect Effects 0.000 description 7
- 239000000243 solution Substances 0.000 description 7
- WEVYAHXRMPXWCK-UHFFFAOYSA-N Acetonitrile Chemical compound CC#N WEVYAHXRMPXWCK-UHFFFAOYSA-N 0.000 description 6
- OKKJLVBELUTLKV-UHFFFAOYSA-N Methanol Chemical compound OC OKKJLVBELUTLKV-UHFFFAOYSA-N 0.000 description 6
- 238000006116 polymerization reaction Methods 0.000 description 6
- PUZPDOWCWNUUKD-UHFFFAOYSA-M sodium fluoride Chemical compound [F-].[Na+] PUZPDOWCWNUUKD-UHFFFAOYSA-M 0.000 description 6
- OGIDPMRJRNCKJF-UHFFFAOYSA-N titanium oxide Inorganic materials [Ti]=O OGIDPMRJRNCKJF-UHFFFAOYSA-N 0.000 description 6
- PPBRXRYQALVLMV-UHFFFAOYSA-N Styrene Chemical group C=CC1=CC=CC=C1 PPBRXRYQALVLMV-UHFFFAOYSA-N 0.000 description 5
- 230000000052 comparative effect Effects 0.000 description 5
- 239000003479 dental cement Substances 0.000 description 5
- 230000035622 drinking Effects 0.000 description 5
- CERQOIWHTDAKMF-UHFFFAOYSA-N Methacrylic acid Chemical compound CC(=C)C(O)=O CERQOIWHTDAKMF-UHFFFAOYSA-N 0.000 description 4
- XPPKVPWEQAFLFU-UHFFFAOYSA-N diphosphoric acid Chemical group OP(O)(=O)OP(O)(O)=O XPPKVPWEQAFLFU-UHFFFAOYSA-N 0.000 description 4
- 125000002887 hydroxy group Chemical group [H]O* 0.000 description 4
- OSWPMRLSEDHDFF-UHFFFAOYSA-N methyl salicylate Chemical compound COC(=O)C1=CC=CC=C1O OSWPMRLSEDHDFF-UHFFFAOYSA-N 0.000 description 4
- WHNPOQXWAMXPTA-UHFFFAOYSA-N 3-methylbut-2-enamide Chemical compound CC(C)=CC(N)=O WHNPOQXWAMXPTA-UHFFFAOYSA-N 0.000 description 3
- 239000001856 Ethyl cellulose Substances 0.000 description 3
- ZZSNKZQZMQGXPY-UHFFFAOYSA-N Ethyl cellulose Chemical compound CCOCC1OC(OC)C(OCC)C(OCC)C1OC1C(O)C(O)C(OC)C(CO)O1 ZZSNKZQZMQGXPY-UHFFFAOYSA-N 0.000 description 3
- KFZMGEQAYNKOFK-UHFFFAOYSA-N Isopropanol Chemical compound CC(C)O KFZMGEQAYNKOFK-UHFFFAOYSA-N 0.000 description 3
- 229910019142 PO4 Inorganic materials 0.000 description 3
- KWYUFKZDYYNOTN-UHFFFAOYSA-M Potassium hydroxide Chemical compound [OH-].[K+] KWYUFKZDYYNOTN-UHFFFAOYSA-M 0.000 description 3
- HEMHJVSKTPXQMS-UHFFFAOYSA-M Sodium hydroxide Chemical compound [OH-].[Na+] HEMHJVSKTPXQMS-UHFFFAOYSA-M 0.000 description 3
- 235000019325 ethyl cellulose Nutrition 0.000 description 3
- 229920001249 ethyl cellulose Polymers 0.000 description 3
- 238000002156 mixing Methods 0.000 description 3
- 229910052757 nitrogen Inorganic materials 0.000 description 3
- 239000003921 oil Substances 0.000 description 3
- 235000019198 oils Nutrition 0.000 description 3
- 239000010452 phosphate Substances 0.000 description 3
- NBIIXXVUZAFLBC-UHFFFAOYSA-K phosphate Chemical compound [O-]P([O-])([O-])=O NBIIXXVUZAFLBC-UHFFFAOYSA-K 0.000 description 3
- 239000000377 silicon dioxide Substances 0.000 description 3
- 239000011775 sodium fluoride Substances 0.000 description 3
- 235000013024 sodium fluoride Nutrition 0.000 description 3
- 229960000414 sodium fluoride Drugs 0.000 description 3
- 238000012360 testing method Methods 0.000 description 3
- NOOLISFMXDJSKH-UTLUCORTSA-N (+)-Neomenthol Chemical compound CC(C)[C@@H]1CC[C@@H](C)C[C@@H]1O NOOLISFMXDJSKH-UTLUCORTSA-N 0.000 description 2
- KGIGUEBEKRSTEW-UHFFFAOYSA-N 2-vinylpyridine Chemical compound C=CC1=CC=CC=N1 KGIGUEBEKRSTEW-UHFFFAOYSA-N 0.000 description 2
- FJKROLUGYXJWQN-UHFFFAOYSA-N 4-hydroxybenzoic acid Chemical compound OC(=O)C1=CC=C(O)C=C1 FJKROLUGYXJWQN-UHFFFAOYSA-N 0.000 description 2
- 241000283690 Bos taurus Species 0.000 description 2
- VTYYLEPIZMXCLO-UHFFFAOYSA-L Calcium carbonate Chemical compound [Ca+2].[O-]C([O-])=O VTYYLEPIZMXCLO-UHFFFAOYSA-L 0.000 description 2
- NOOLISFMXDJSKH-UHFFFAOYSA-N DL-menthol Natural products CC(C)C1CCC(C)CC1O NOOLISFMXDJSKH-UHFFFAOYSA-N 0.000 description 2
- 241000237536 Mytilus edulis Species 0.000 description 2
- WHNWPMSKXPGLAX-UHFFFAOYSA-N N-Vinyl-2-pyrrolidone Chemical compound C=CN1CCCC1=O WHNWPMSKXPGLAX-UHFFFAOYSA-N 0.000 description 2
- ZYEMGPIYFIJGTP-UHFFFAOYSA-N O-methyleugenol Chemical compound COC1=CC=C(CC=C)C=C1OC ZYEMGPIYFIJGTP-UHFFFAOYSA-N 0.000 description 2
- 239000004793 Polystyrene Substances 0.000 description 2
- 229920001800 Shellac Polymers 0.000 description 2
- FAPWRFPIFSIZLT-UHFFFAOYSA-M Sodium chloride Chemical compound [Na+].[Cl-] FAPWRFPIFSIZLT-UHFFFAOYSA-M 0.000 description 2
- XTXRWKRVRITETP-UHFFFAOYSA-N Vinyl acetate Chemical compound CC(=O)OC=C XTXRWKRVRITETP-UHFFFAOYSA-N 0.000 description 2
- 239000002253 acid Substances 0.000 description 2
- 150000001298 alcohols Chemical class 0.000 description 2
- PNEYBMLMFCGWSK-UHFFFAOYSA-N aluminium oxide Inorganic materials [O-2].[O-2].[O-2].[Al+3].[Al+3] PNEYBMLMFCGWSK-UHFFFAOYSA-N 0.000 description 2
- 239000005354 aluminosilicate glass Substances 0.000 description 2
- TZCXTZWJZNENPQ-UHFFFAOYSA-L barium sulfate Chemical compound [Ba+2].[O-]S([O-])(=O)=O TZCXTZWJZNENPQ-UHFFFAOYSA-L 0.000 description 2
- FUWUEFKEXZQKKA-UHFFFAOYSA-N beta-thujaplicin Chemical compound CC(C)C=1C=CC=C(O)C(=O)C=1 FUWUEFKEXZQKKA-UHFFFAOYSA-N 0.000 description 2
- 229910052799 carbon Inorganic materials 0.000 description 2
- 125000004432 carbon atom Chemical group C* 0.000 description 2
- ULDHMXUKGWMISQ-UHFFFAOYSA-N carvone Chemical compound CC(=C)C1CC=C(C)C(=O)C1 ULDHMXUKGWMISQ-UHFFFAOYSA-N 0.000 description 2
- 239000003795 chemical substances by application Substances 0.000 description 2
- JOZKFWLRHCDGJA-UHFFFAOYSA-N citronellol acetate Chemical compound CC(=O)OCCC(C)CCC=C(C)C JOZKFWLRHCDGJA-UHFFFAOYSA-N 0.000 description 2
- MWKFXSUHUHTGQN-UHFFFAOYSA-N decan-1-ol Chemical compound CCCCCCCCCCO MWKFXSUHUHTGQN-UHFFFAOYSA-N 0.000 description 2
- 229910001873 dinitrogen Inorganic materials 0.000 description 2
- 125000003438 dodecyl group Chemical group [H]C([H])([H])C([H])([H])C([H])([H])C([H])([H])C([H])([H])C([H])([H])C([H])([H])C([H])([H])C([H])([H])C([H])([H])C([H])([H])C([H])([H])* 0.000 description 2
- 230000000694 effects Effects 0.000 description 2
- RRAFCDWBNXTKKO-UHFFFAOYSA-N eugenol Chemical compound COC1=CC(CC=C)=CC=C1O RRAFCDWBNXTKKO-UHFFFAOYSA-N 0.000 description 2
- XMGQYMWWDOXHJM-UHFFFAOYSA-N limonene Chemical compound CC(=C)C1CCC(C)=CC1 XMGQYMWWDOXHJM-UHFFFAOYSA-N 0.000 description 2
- CDOSHBSSFJOMGT-UHFFFAOYSA-N linalool Chemical compound CC(C)=CCCC(C)(O)C=C CDOSHBSSFJOMGT-UHFFFAOYSA-N 0.000 description 2
- 229940041616 menthol Drugs 0.000 description 2
- 229960001047 methyl salicylate Drugs 0.000 description 2
- 210000000214 mouth Anatomy 0.000 description 2
- 235000020638 mussel Nutrition 0.000 description 2
- 229920002223 polystyrene Polymers 0.000 description 2
- 238000000746 purification Methods 0.000 description 2
- 239000010453 quartz Substances 0.000 description 2
- 229920006395 saturated elastomer Polymers 0.000 description 2
- 229940113147 shellac Drugs 0.000 description 2
- 239000005368 silicate glass Substances 0.000 description 2
- 239000002562 thickening agent Substances 0.000 description 2
- MGSRCZKZVOBKFT-UHFFFAOYSA-N thymol Chemical compound CC(C)C1=CC=C(C)C=C1O MGSRCZKZVOBKFT-UHFFFAOYSA-N 0.000 description 2
- RUVINXPYWBROJD-ONEGZZNKSA-N trans-anethole Chemical compound COC1=CC=C(\C=C\C)C=C1 RUVINXPYWBROJD-ONEGZZNKSA-N 0.000 description 2
- 238000009281 ultraviolet germicidal irradiation Methods 0.000 description 2
- 125000000391 vinyl group Chemical group [H]C([*])=C([H])[H] 0.000 description 2
- DTGKSKDOIYIVQL-WEDXCCLWSA-N (+)-borneol Chemical group C1C[C@@]2(C)[C@@H](O)C[C@@H]1C2(C)C DTGKSKDOIYIVQL-WEDXCCLWSA-N 0.000 description 1
- 239000001490 (3R)-3,7-dimethylocta-1,6-dien-3-ol Substances 0.000 description 1
- QYIXCDOBOSTCEI-QCYZZNICSA-N (5alpha)-cholestan-3beta-ol Chemical compound C([C@@H]1CC2)[C@@H](O)CC[C@]1(C)[C@@H]1[C@@H]2[C@@H]2CC[C@H]([C@H](C)CCCC(C)C)[C@@]2(C)CC1 QYIXCDOBOSTCEI-QCYZZNICSA-N 0.000 description 1
- CDOSHBSSFJOMGT-JTQLQIEISA-N (R)-linalool Natural products CC(C)=CCC[C@@](C)(O)C=C CDOSHBSSFJOMGT-JTQLQIEISA-N 0.000 description 1
- WUOACPNHFRMFPN-SECBINFHSA-N (S)-(-)-alpha-terpineol Chemical compound CC1=CC[C@@H](C(C)(C)O)CC1 WUOACPNHFRMFPN-SECBINFHSA-N 0.000 description 1
- KPQOXMCRYWDRSB-UHFFFAOYSA-N 1-(2-chlorophenyl)pyrrole-2,5-dione Chemical compound ClC1=CC=CC=C1N1C(=O)C=CC1=O KPQOXMCRYWDRSB-UHFFFAOYSA-N 0.000 description 1
- BQTPKSBXMONSJI-UHFFFAOYSA-N 1-cyclohexylpyrrole-2,5-dione Chemical compound O=C1C=CC(=O)N1C1CCCCC1 BQTPKSBXMONSJI-UHFFFAOYSA-N 0.000 description 1
- NVZWEEGUWXZOKI-UHFFFAOYSA-N 1-ethenyl-2-methylbenzene Chemical compound CC1=CC=CC=C1C=C NVZWEEGUWXZOKI-UHFFFAOYSA-N 0.000 description 1
- UDJZTGMLYITLIQ-UHFFFAOYSA-N 1-ethenylpyrrolidine Chemical compound C=CN1CCCC1 UDJZTGMLYITLIQ-UHFFFAOYSA-N 0.000 description 1
- HIDBROSJWZYGSZ-UHFFFAOYSA-N 1-phenylpyrrole-2,5-dione Chemical compound O=C1C=CC(=O)N1C1=CC=CC=C1 HIDBROSJWZYGSZ-UHFFFAOYSA-N 0.000 description 1
- BRLVZIYXQOFFAW-UHFFFAOYSA-N 2-(1-prop-2-enoyloxypropan-2-yloxycarbonyl)benzoic acid Chemical compound C=CC(=O)OCC(C)OC(=O)C1=CC=CC=C1C(O)=O BRLVZIYXQOFFAW-UHFFFAOYSA-N 0.000 description 1
- JAHNSTQSQJOJLO-UHFFFAOYSA-N 2-(3-fluorophenyl)-1h-imidazole Chemical compound FC1=CC=CC(C=2NC=CN=2)=C1 JAHNSTQSQJOJLO-UHFFFAOYSA-N 0.000 description 1
- WYGWHHGCAGTUCH-UHFFFAOYSA-N 2-[(2-cyano-4-methylpentan-2-yl)diazenyl]-2,4-dimethylpentanenitrile Chemical compound CC(C)CC(C)(C#N)N=NC(C)(C#N)CC(C)C WYGWHHGCAGTUCH-UHFFFAOYSA-N 0.000 description 1
- 125000004200 2-methoxyethyl group Chemical group [H]C([H])([H])OC([H])([H])C([H])([H])* 0.000 description 1
- XGRSAFKZAGGXJV-UHFFFAOYSA-N 3-azaniumyl-3-cyclohexylpropanoate Chemical compound OC(=O)CC(N)C1CCCCC1 XGRSAFKZAGGXJV-UHFFFAOYSA-N 0.000 description 1
- MYGRPRSFUHJZPY-UHFFFAOYSA-N 3-octyl-3h-2-benzofuran-1-one Chemical compound C1=CC=C2C(CCCCCCCC)OC(=O)C2=C1 MYGRPRSFUHJZPY-UHFFFAOYSA-N 0.000 description 1
- IJALWSVNUBBQRA-UHFFFAOYSA-N 4-Isopropyl-3-methylphenol Chemical compound CC(C)C1=CC=C(O)C=C1C IJALWSVNUBBQRA-UHFFFAOYSA-N 0.000 description 1
- KFDVPJUYSDEJTH-UHFFFAOYSA-N 4-ethenylpyridine Chemical compound C=CC1=CC=NC=C1 KFDVPJUYSDEJTH-UHFFFAOYSA-N 0.000 description 1
- 229940090248 4-hydroxybenzoic acid Drugs 0.000 description 1
- YKXAYLPDMSGWEV-UHFFFAOYSA-N 4-hydroxybutyl 2-methylprop-2-enoate Chemical compound CC(=C)C(=O)OCCCCO YKXAYLPDMSGWEV-UHFFFAOYSA-N 0.000 description 1
- SLXKOJJOQWFEFD-UHFFFAOYSA-N 6-aminohexanoic acid Chemical compound NCCCCCC(O)=O SLXKOJJOQWFEFD-UHFFFAOYSA-N 0.000 description 1
- HRPVXLWXLXDGHG-UHFFFAOYSA-N Acrylamide Chemical compound NC(=O)C=C HRPVXLWXLXDGHG-UHFFFAOYSA-N 0.000 description 1
- NIXOWILDQLNWCW-UHFFFAOYSA-N Acrylic acid Chemical compound OC(=O)C=C NIXOWILDQLNWCW-UHFFFAOYSA-N 0.000 description 1
- 239000004382 Amylase Substances 0.000 description 1
- 102000013142 Amylases Human genes 0.000 description 1
- 108010065511 Amylases Proteins 0.000 description 1
- 239000000120 Artificial Saliva Substances 0.000 description 1
- 108010011485 Aspartame Proteins 0.000 description 1
- QFOHBWFCKVYLES-UHFFFAOYSA-N Butylparaben Chemical compound CCCCOC(=O)C1=CC=C(O)C=C1 QFOHBWFCKVYLES-UHFFFAOYSA-N 0.000 description 1
- OKTJSMMVPCPJKN-UHFFFAOYSA-N Carbon Chemical compound [C] OKTJSMMVPCPJKN-UHFFFAOYSA-N 0.000 description 1
- 239000005973 Carvone Substances 0.000 description 1
- NPBVQXIMTZKSBA-UHFFFAOYSA-N Chavibetol Natural products COC1=CC=C(CC=C)C=C1O NPBVQXIMTZKSBA-UHFFFAOYSA-N 0.000 description 1
- GHXZTYHSJHQHIJ-UHFFFAOYSA-N Chlorhexidine Chemical compound C=1C=C(Cl)C=CC=1NC(N)=NC(N)=NCCCCCCN=C(N)N=C(N)NC1=CC=C(Cl)C=C1 GHXZTYHSJHQHIJ-UHFFFAOYSA-N 0.000 description 1
- 244000067456 Chrysanthemum coronarium Species 0.000 description 1
- 235000007871 Chrysanthemum coronarium Nutrition 0.000 description 1
- 244000192528 Chrysanthemum parthenium Species 0.000 description 1
- JOZKFWLRHCDGJA-LLVKDONJSA-N Citronellyl acetate Natural products CC(=O)OCC[C@H](C)CCC=C(C)C JOZKFWLRHCDGJA-LLVKDONJSA-N 0.000 description 1
- 229920000742 Cotton Polymers 0.000 description 1
- 208000006558 Dental Calculus Diseases 0.000 description 1
- 108010001682 Dextranase Proteins 0.000 description 1
- SNRUBQQJIBEYMU-UHFFFAOYSA-N Dodecane Natural products CCCCCCCCCCCC SNRUBQQJIBEYMU-UHFFFAOYSA-N 0.000 description 1
- 239000005770 Eugenol Substances 0.000 description 1
- PXGOKWXKJXAPGV-UHFFFAOYSA-N Fluorine Chemical compound FF PXGOKWXKJXAPGV-UHFFFAOYSA-N 0.000 description 1
- 241000287828 Gallus gallus Species 0.000 description 1
- 241001071795 Gentiana Species 0.000 description 1
- 241000238631 Hexapoda Species 0.000 description 1
- WOBHKFSMXKNTIM-UHFFFAOYSA-N Hydroxyethyl methacrylate Chemical compound CC(=C)C(=O)OCCO WOBHKFSMXKNTIM-UHFFFAOYSA-N 0.000 description 1
- 229920002153 Hydroxypropyl cellulose Polymers 0.000 description 1
- 206010020751 Hypersensitivity Diseases 0.000 description 1
- DGAQECJNVWCQMB-PUAWFVPOSA-M Ilexoside XXIX Chemical compound C[C@@H]1CC[C@@]2(CC[C@@]3(C(=CC[C@H]4[C@]3(CC[C@@H]5[C@@]4(CC[C@@H](C5(C)C)OS(=O)(=O)[O-])C)C)[C@@H]2[C@]1(C)O)C)C(=O)O[C@H]6[C@@H]([C@H]([C@@H]([C@H](O6)CO)O)O)O.[Na+] DGAQECJNVWCQMB-PUAWFVPOSA-M 0.000 description 1
- 240000008415 Lactuca sativa Species 0.000 description 1
- 235000019501 Lemon oil Nutrition 0.000 description 1
- 235000007688 Lycopersicon esculentum Nutrition 0.000 description 1
- PEEHTFAAVSWFBL-UHFFFAOYSA-N Maleimide Chemical compound O=C1NC(=O)C=C1 PEEHTFAAVSWFBL-UHFFFAOYSA-N 0.000 description 1
- 235000017945 Matricaria Nutrition 0.000 description 1
- 235000007232 Matricaria chamomilla Nutrition 0.000 description 1
- 235000006679 Mentha X verticillata Nutrition 0.000 description 1
- 235000002899 Mentha suaveolens Nutrition 0.000 description 1
- 235000001636 Mentha x rotundifolia Nutrition 0.000 description 1
- VVQNEPGJFQJSBK-UHFFFAOYSA-N Methyl methacrylate Chemical compound COC(=O)C(C)=C VVQNEPGJFQJSBK-UHFFFAOYSA-N 0.000 description 1
- 108010014251 Muramidase Proteins 0.000 description 1
- 102000016943 Muramidase Human genes 0.000 description 1
- 108010062010 N-Acetylmuramoyl-L-alanine Amidase Proteins 0.000 description 1
- 235000019502 Orange oil Nutrition 0.000 description 1
- 108091005804 Peptidases Proteins 0.000 description 1
- 244000124853 Perilla frutescens Species 0.000 description 1
- 235000004348 Perilla frutescens Nutrition 0.000 description 1
- OAICVXFJPJFONN-UHFFFAOYSA-N Phosphorus Chemical compound [P] OAICVXFJPJFONN-UHFFFAOYSA-N 0.000 description 1
- 240000004760 Pimpinella anisum Species 0.000 description 1
- 235000012550 Pimpinella anisum Nutrition 0.000 description 1
- XBDQKXXYIPTUBI-UHFFFAOYSA-M Propionate Chemical compound CCC([O-])=O XBDQKXXYIPTUBI-UHFFFAOYSA-M 0.000 description 1
- 239000004365 Protease Substances 0.000 description 1
- UVMRYBDEERADNV-UHFFFAOYSA-N Pseudoeugenol Natural products COC1=CC(C(C)=C)=CC=C1O UVMRYBDEERADNV-UHFFFAOYSA-N 0.000 description 1
- 102100037486 Reverse transcriptase/ribonuclease H Human genes 0.000 description 1
- 229920002125 Sokalan® Polymers 0.000 description 1
- 240000003768 Solanum lycopersicum Species 0.000 description 1
- 244000061456 Solanum tuberosum Species 0.000 description 1
- 235000002595 Solanum tuberosum Nutrition 0.000 description 1
- UEDUENGHJMELGK-HYDKPPNVSA-N Stevioside Chemical compound O([C@@H]1[C@@H](O)[C@H](O)[C@@H](CO)O[C@H]1O[C@]12C(=C)C[C@@]3(C1)CC[C@@H]1[C@@](C)(CCC[C@]1([C@@H]3CC2)C)C(=O)O[C@H]1[C@@H]([C@@H](O)[C@H](O)[C@@H](CO)O1)O)[C@@H]1O[C@H](CO)[C@@H](O)[C@H](O)[C@H]1O UEDUENGHJMELGK-HYDKPPNVSA-N 0.000 description 1
- 235000006468 Thea sinensis Nutrition 0.000 description 1
- 239000005844 Thymol Substances 0.000 description 1
- XEFQLINVKFYRCS-UHFFFAOYSA-N Triclosan Chemical compound OC1=CC(Cl)=CC=C1OC1=CC=C(Cl)C=C1Cl XEFQLINVKFYRCS-UHFFFAOYSA-N 0.000 description 1
- WYGWHHGCAGTUCH-ISLYRVAYSA-N V-65 Substances CC(C)CC(C)(C#N)\N=N\C(C)(C#N)CC(C)C WYGWHHGCAGTUCH-ISLYRVAYSA-N 0.000 description 1
- HCHKCACWOHOZIP-UHFFFAOYSA-N Zinc Chemical compound [Zn] HCHKCACWOHOZIP-UHFFFAOYSA-N 0.000 description 1
- GNKTZDSRQHMHLZ-UHFFFAOYSA-N [Si].[Si].[Si].[Ti].[Ti].[Ti].[Ti].[Ti] Chemical compound [Si].[Si].[Si].[Ti].[Ti].[Ti].[Ti].[Ti] GNKTZDSRQHMHLZ-UHFFFAOYSA-N 0.000 description 1
- KXKVLQRXCPHEJC-UHFFFAOYSA-N acetic acid trimethyl ester Natural products COC(C)=O KXKVLQRXCPHEJC-UHFFFAOYSA-N 0.000 description 1
- 229910052783 alkali metal Inorganic materials 0.000 description 1
- 125000000217 alkyl group Chemical group 0.000 description 1
- POJWUDADGALRAB-UHFFFAOYSA-N allantoin Chemical class NC(=O)NC1NC(=O)NC1=O POJWUDADGALRAB-UHFFFAOYSA-N 0.000 description 1
- 208000026935 allergic disease Diseases 0.000 description 1
- OVKDFILSBMEKLT-UHFFFAOYSA-N alpha-Terpineol Natural products CC(=C)C1(O)CCC(C)=CC1 OVKDFILSBMEKLT-UHFFFAOYSA-N 0.000 description 1
- TUFYVOCKVJOUIR-UHFFFAOYSA-N alpha-Thujaplicin Natural products CC(C)C=1C=CC=CC(=O)C=1O TUFYVOCKVJOUIR-UHFFFAOYSA-N 0.000 description 1
- QYIXCDOBOSTCEI-UHFFFAOYSA-N alpha-cholestanol Natural products C1CC2CC(O)CCC2(C)C2C1C1CCC(C(C)CCCC(C)C)C1(C)CC2 QYIXCDOBOSTCEI-UHFFFAOYSA-N 0.000 description 1
- AWUCVROLDVIAJX-UHFFFAOYSA-N alpha-glycerophosphate Natural products OCC(O)COP(O)(O)=O AWUCVROLDVIAJX-UHFFFAOYSA-N 0.000 description 1
- 229940088601 alpha-terpineol Drugs 0.000 description 1
- 125000003368 amide group Chemical group 0.000 description 1
- 229960002684 aminocaproic acid Drugs 0.000 description 1
- 235000019418 amylase Nutrition 0.000 description 1
- 229940011037 anethole Drugs 0.000 description 1
- 230000000844 anti-bacterial effect Effects 0.000 description 1
- 230000003110 anti-inflammatory effect Effects 0.000 description 1
- 230000002421 anti-septic effect Effects 0.000 description 1
- 229940064004 antiseptic throat preparations Drugs 0.000 description 1
- IAOZJIPTCAWIRG-QWRGUYRKSA-N aspartame Chemical compound OC(=O)C[C@H](N)C(=O)N[C@H](C(=O)OC)CC1=CC=CC=C1 IAOZJIPTCAWIRG-QWRGUYRKSA-N 0.000 description 1
- 125000004429 atom Chemical group 0.000 description 1
- QVGXLLKOCUKJST-UHFFFAOYSA-N atomic oxygen Chemical compound [O] QVGXLLKOCUKJST-UHFFFAOYSA-N 0.000 description 1
- 230000001580 bacterial effect Effects 0.000 description 1
- 239000003899 bactericide agent Substances 0.000 description 1
- 229910052788 barium Inorganic materials 0.000 description 1
- DSAJWYNOEDNPEQ-UHFFFAOYSA-N barium atom Chemical compound [Ba] DSAJWYNOEDNPEQ-UHFFFAOYSA-N 0.000 description 1
- 239000010620 bay oil Substances 0.000 description 1
- 229960000686 benzalkonium chloride Drugs 0.000 description 1
- UREZNYTWGJKWBI-UHFFFAOYSA-M benzethonium chloride Chemical compound [Cl-].C1=CC(C(C)(C)CC(C)(C)C)=CC=C1OCCOCC[N+](C)(C)CC1=CC=CC=C1 UREZNYTWGJKWBI-UHFFFAOYSA-M 0.000 description 1
- 229960001950 benzethonium chloride Drugs 0.000 description 1
- CADWTSSKOVRVJC-UHFFFAOYSA-N benzyl(dimethyl)azanium;chloride Chemical compound [Cl-].C[NH+](C)CC1=CC=CC=C1 CADWTSSKOVRVJC-UHFFFAOYSA-N 0.000 description 1
- 238000007664 blowing Methods 0.000 description 1
- ZQYZLRKRUCDMQI-UHFFFAOYSA-N boron strontium Chemical compound [Sr].[B] ZQYZLRKRUCDMQI-UHFFFAOYSA-N 0.000 description 1
- 239000005388 borosilicate glass Substances 0.000 description 1
- 125000001246 bromo group Chemical group Br* 0.000 description 1
- 229910000019 calcium carbonate Inorganic materials 0.000 description 1
- 125000003178 carboxy group Chemical group [H]OC(*)=O 0.000 description 1
- 229960001927 cetylpyridinium chloride Drugs 0.000 description 1
- YMKDRGPMQRFJGP-UHFFFAOYSA-M cetylpyridinium chloride Chemical compound [Cl-].CCCCCCCCCCCCCCCC[N+]1=CC=CC=C1 YMKDRGPMQRFJGP-UHFFFAOYSA-M 0.000 description 1
- 229960003260 chlorhexidine Drugs 0.000 description 1
- 125000001309 chloro group Chemical group Cl* 0.000 description 1
- 229930002875 chlorophyll Natural products 0.000 description 1
- 235000019804 chlorophyll Nutrition 0.000 description 1
- ATNHDLDRLWWWCB-AENOIHSZSA-M chlorophyll a Chemical compound C1([C@@H](C(=O)OC)C(=O)C2=C3C)=C2N2C3=CC(C(CC)=C3C)=[N+]4C3=CC3=C(C=C)C(C)=C5N3[Mg-2]42[N+]2=C1[C@@H](CCC(=O)OC\C=C(/C)CCC[C@H](C)CCC[C@H](C)CCCC(C)C)[C@H](C)C2=C5 ATNHDLDRLWWWCB-AENOIHSZSA-M 0.000 description 1
- 239000010630 cinnamon oil Substances 0.000 description 1
- 239000010634 clove oil Substances 0.000 description 1
- 239000003086 colorant Substances 0.000 description 1
- 238000004040 coloring Methods 0.000 description 1
- 125000000753 cycloalkyl group Chemical group 0.000 description 1
- 125000000113 cyclohexyl group Chemical group [H]C1([H])C([H])([H])C([H])([H])C([H])(*)C([H])([H])C1([H])[H] 0.000 description 1
- 150000005690 diesters Chemical group 0.000 description 1
- 229940079919 digestives enzyme preparation Drugs 0.000 description 1
- XQRLCLUYWUNEEH-UHFFFAOYSA-L diphosphonate(2-) Chemical group [O-]P(=O)OP([O-])=O XQRLCLUYWUNEEH-UHFFFAOYSA-L 0.000 description 1
- XQRLCLUYWUNEEH-UHFFFAOYSA-N diphosphonic acid Chemical group OP(=O)OP(O)=O XQRLCLUYWUNEEH-UHFFFAOYSA-N 0.000 description 1
- 229940079593 drug Drugs 0.000 description 1
- 239000003814 drug Substances 0.000 description 1
- 230000002708 enhancing effect Effects 0.000 description 1
- 238000005530 etching Methods 0.000 description 1
- YCUBDDIKWLELPD-UHFFFAOYSA-N ethenyl 2,2-dimethylpropanoate Chemical compound CC(C)(C)C(=O)OC=C YCUBDDIKWLELPD-UHFFFAOYSA-N 0.000 description 1
- TVFJAZCVMOXQRK-UHFFFAOYSA-N ethenyl 7,7-dimethyloctanoate Chemical compound CC(C)(C)CCCCCC(=O)OC=C TVFJAZCVMOXQRK-UHFFFAOYSA-N 0.000 description 1
- MEGHWIAOTJPCHQ-UHFFFAOYSA-N ethenyl butanoate Chemical compound CCCC(=O)OC=C MEGHWIAOTJPCHQ-UHFFFAOYSA-N 0.000 description 1
- CMDXMIHZUJPRHG-UHFFFAOYSA-N ethenyl decanoate Chemical compound CCCCCCCCCC(=O)OC=C CMDXMIHZUJPRHG-UHFFFAOYSA-N 0.000 description 1
- GLVVKKSPKXTQRB-UHFFFAOYSA-N ethenyl dodecanoate Chemical compound CCCCCCCCCCCC(=O)OC=C GLVVKKSPKXTQRB-UHFFFAOYSA-N 0.000 description 1
- UJRIYYLGNDXVTA-UHFFFAOYSA-N ethenyl hexadecanoate Chemical compound CCCCCCCCCCCCCCCC(=O)OC=C UJRIYYLGNDXVTA-UHFFFAOYSA-N 0.000 description 1
- LZWYWAIOTBEZFN-UHFFFAOYSA-N ethenyl hexanoate Chemical compound CCCCCC(=O)OC=C LZWYWAIOTBEZFN-UHFFFAOYSA-N 0.000 description 1
- AFSIMBWBBOJPJG-UHFFFAOYSA-N ethenyl octadecanoate Chemical compound CCCCCCCCCCCCCCCCCC(=O)OC=C AFSIMBWBBOJPJG-UHFFFAOYSA-N 0.000 description 1
- QBDADGJLZNIRFQ-UHFFFAOYSA-N ethenyl octanoate Chemical compound CCCCCCCC(=O)OC=C QBDADGJLZNIRFQ-UHFFFAOYSA-N 0.000 description 1
- UIWXSTHGICQLQT-UHFFFAOYSA-N ethenyl propanoate Chemical compound CCC(=O)OC=C UIWXSTHGICQLQT-UHFFFAOYSA-N 0.000 description 1
- ZQZUENMXBZVXIZ-UHFFFAOYSA-N ethenyl tetradecanoate Chemical compound CCCCCCCCCCCCCC(=O)OC=C ZQZUENMXBZVXIZ-UHFFFAOYSA-N 0.000 description 1
- 125000001495 ethyl group Chemical group [H]C([H])([H])C([H])([H])* 0.000 description 1
- 235000010228 ethyl p-hydroxybenzoate Nutrition 0.000 description 1
- 239000004403 ethyl p-hydroxybenzoate Substances 0.000 description 1
- 229940043351 ethyl-p-hydroxybenzoate Drugs 0.000 description 1
- NUVBSKCKDOMJSU-UHFFFAOYSA-N ethylparaben Chemical compound CCOC(=O)C1=CC=C(O)C=C1 NUVBSKCKDOMJSU-UHFFFAOYSA-N 0.000 description 1
- 239000010642 eucalyptus oil Substances 0.000 description 1
- 229940044949 eucalyptus oil Drugs 0.000 description 1
- 229960002217 eugenol Drugs 0.000 description 1
- 238000011156 evaluation Methods 0.000 description 1
- 238000001704 evaporation Methods 0.000 description 1
- 230000008020 evaporation Effects 0.000 description 1
- 108010000165 exo-1,3-alpha-glucanase Proteins 0.000 description 1
- 210000004905 finger nail Anatomy 0.000 description 1
- 239000012530 fluid Substances 0.000 description 1
- 239000011737 fluorine Substances 0.000 description 1
- 235000003599 food sweetener Nutrition 0.000 description 1
- 208000007565 gingivitis Diseases 0.000 description 1
- 125000005843 halogen group Chemical group 0.000 description 1
- 235000015220 hamburgers Nutrition 0.000 description 1
- 210000003128 head Anatomy 0.000 description 1
- 238000010438 heat treatment Methods 0.000 description 1
- 229910052588 hydroxylapatite Inorganic materials 0.000 description 1
- 239000001863 hydroxypropyl cellulose Substances 0.000 description 1
- 235000010977 hydroxypropyl cellulose Nutrition 0.000 description 1
- 230000009610 hypersensitivity Effects 0.000 description 1
- 230000001771 impaired effect Effects 0.000 description 1
- 229910052738 indium Inorganic materials 0.000 description 1
- 125000000959 isobutyl group Chemical group [H]C([H])([H])C([H])(C([H])([H])[H])C([H])([H])* 0.000 description 1
- 125000001449 isopropyl group Chemical group [H]C([H])([H])C([H])(*)C([H])([H])[H] 0.000 description 1
- NFIDBGJMFKNGGQ-UHFFFAOYSA-N isopropylmethylphenol Natural products CC(C)CC1=CC=CC=C1O NFIDBGJMFKNGGQ-UHFFFAOYSA-N 0.000 description 1
- 229910052746 lanthanum Inorganic materials 0.000 description 1
- FZLIPJUXYLNCLC-UHFFFAOYSA-N lanthanum atom Chemical compound [La] FZLIPJUXYLNCLC-UHFFFAOYSA-N 0.000 description 1
- 239000010501 lemon oil Substances 0.000 description 1
- 229940087305 limonene Drugs 0.000 description 1
- 235000001510 limonene Nutrition 0.000 description 1
- 229930007744 linalool Natural products 0.000 description 1
- 239000004325 lysozyme Substances 0.000 description 1
- 229960000274 lysozyme Drugs 0.000 description 1
- 235000010335 lysozyme Nutrition 0.000 description 1
- 239000000463 material Substances 0.000 description 1
- 239000001525 mentha piperita l. herb oil Substances 0.000 description 1
- 238000000034 method Methods 0.000 description 1
- LVHBHZANLOWSRM-UHFFFAOYSA-N methylenebutanedioic acid Natural products OC(=O)CC(=C)C(O)=O LVHBHZANLOWSRM-UHFFFAOYSA-N 0.000 description 1
- 229940116837 methyleugenol Drugs 0.000 description 1
- PRHTXAOWJQTLBO-UHFFFAOYSA-N methyleugenol Natural products COC1=CC=C(C(C)=C)C=C1OC PRHTXAOWJQTLBO-UHFFFAOYSA-N 0.000 description 1
- OMNKZBIFPJNNIO-UHFFFAOYSA-N n-(2-methyl-4-oxopentan-2-yl)prop-2-enamide Chemical compound CC(=O)CC(C)(C)NC(=O)C=C OMNKZBIFPJNNIO-UHFFFAOYSA-N 0.000 description 1
- ADTJPOBHAXXXFS-UHFFFAOYSA-N n-[3-(dimethylamino)propyl]prop-2-enamide Chemical compound CN(C)CCCNC(=O)C=C ADTJPOBHAXXXFS-UHFFFAOYSA-N 0.000 description 1
- 125000004108 n-butyl group Chemical group [H]C([H])([H])C([H])([H])C([H])([H])C([H])([H])* 0.000 description 1
- 125000004123 n-propyl group Chemical group [H]C([H])([H])C([H])([H])C([H])([H])* 0.000 description 1
- 229960003512 nicotinic acid Drugs 0.000 description 1
- PVNIIMVLHYAWGP-UHFFFAOYSA-N nicotinic acid Natural products OC(=O)C1=CC=CN=C1 PVNIIMVLHYAWGP-UHFFFAOYSA-N 0.000 description 1
- 235000001968 nicotinic acid Nutrition 0.000 description 1
- 239000011664 nicotinic acid Substances 0.000 description 1
- 239000012299 nitrogen atmosphere Substances 0.000 description 1
- 235000020333 oolong tea Nutrition 0.000 description 1
- 239000010502 orange oil Substances 0.000 description 1
- 239000001301 oxygen Substances 0.000 description 1
- 229910052760 oxygen Inorganic materials 0.000 description 1
- RVTZCBVAJQQJTK-UHFFFAOYSA-N oxygen(2-);zirconium(4+) Chemical compound [O-2].[O-2].[Zr+4] RVTZCBVAJQQJTK-UHFFFAOYSA-N 0.000 description 1
- 125000000913 palmityl group Chemical group [H]C([*])([H])C([H])([H])C([H])([H])C([H])([H])C([H])([H])C([H])([H])C([H])([H])C([H])([H])C([H])([H])C([H])([H])C([H])([H])C([H])([H])C([H])([H])C([H])([H])C([H])([H])C([H])([H])[H] 0.000 description 1
- RUVINXPYWBROJD-UHFFFAOYSA-N para-methoxyphenyl Natural products COC1=CC=C(C=CC)C=C1 RUVINXPYWBROJD-UHFFFAOYSA-N 0.000 description 1
- XYJRXVWERLGGKC-UHFFFAOYSA-D pentacalcium;hydroxide;triphosphate Chemical compound [OH-].[Ca+2].[Ca+2].[Ca+2].[Ca+2].[Ca+2].[O-]P([O-])([O-])=O.[O-]P([O-])([O-])=O.[O-]P([O-])([O-])=O XYJRXVWERLGGKC-UHFFFAOYSA-D 0.000 description 1
- 235000019477 peppermint oil Nutrition 0.000 description 1
- 239000002304 perfume Substances 0.000 description 1
- 125000001997 phenyl group Chemical group [H]C1=C([H])C([H])=C(*)C([H])=C1[H] 0.000 description 1
- 125000000843 phenylene group Chemical group C1(=C(C=CC=C1)*)* 0.000 description 1
- 125000002467 phosphate group Chemical group [H]OP(=O)(O[H])O[*] 0.000 description 1
- ACVYVLVWPXVTIT-UHFFFAOYSA-M phosphinate Chemical group [O-][PH2]=O ACVYVLVWPXVTIT-UHFFFAOYSA-M 0.000 description 1
- UEZVMMHDMIWARA-UHFFFAOYSA-M phosphonate Chemical compound [O-]P(=O)=O UEZVMMHDMIWARA-UHFFFAOYSA-M 0.000 description 1
- 150000003016 phosphoric acids Chemical class 0.000 description 1
- 239000011574 phosphorus Substances 0.000 description 1
- 239000001622 pimenta officinalis fruit oil Substances 0.000 description 1
- 229920003229 poly(methyl methacrylate) Polymers 0.000 description 1
- 239000003505 polymerization initiator Substances 0.000 description 1
- 230000000379 polymerizing effect Effects 0.000 description 1
- 239000004926 polymethyl methacrylate Substances 0.000 description 1
- 229920000915 polyvinyl chloride Polymers 0.000 description 1
- 239000004800 polyvinyl chloride Substances 0.000 description 1
- 159000000001 potassium salts Chemical class 0.000 description 1
- 230000001376 precipitating effect Effects 0.000 description 1
- 238000001556 precipitation Methods 0.000 description 1
- 230000002265 prevention Effects 0.000 description 1
- 238000012545 processing Methods 0.000 description 1
- FZYCEURIEDTWNS-UHFFFAOYSA-N prop-1-en-2-ylbenzene Chemical compound CC(=C)C1=CC=CC=C1.CC(=C)C1=CC=CC=C1 FZYCEURIEDTWNS-UHFFFAOYSA-N 0.000 description 1
- LYBIZMNPXTXVMV-UHFFFAOYSA-N propan-2-yl prop-2-enoate Chemical compound CC(C)OC(=O)C=C LYBIZMNPXTXVMV-UHFFFAOYSA-N 0.000 description 1
- 235000010232 propyl p-hydroxybenzoate Nutrition 0.000 description 1
- 239000004405 propyl p-hydroxybenzoate Substances 0.000 description 1
- QELSKZZBTMNZEB-UHFFFAOYSA-N propylparaben Chemical compound CCCOC(=O)C1=CC=C(O)C=C1 QELSKZZBTMNZEB-UHFFFAOYSA-N 0.000 description 1
- 235000019419 proteases Nutrition 0.000 description 1
- 238000010526 radical polymerization reaction Methods 0.000 description 1
- 239000011541 reaction mixture Substances 0.000 description 1
- 238000001226 reprecipitation Methods 0.000 description 1
- 238000011160 research Methods 0.000 description 1
- 239000010668 rosemary oil Substances 0.000 description 1
- 229940058206 rosemary oil Drugs 0.000 description 1
- CVHZOJJKTDOEJC-UHFFFAOYSA-N saccharin Chemical compound C1=CC=C2C(=O)NS(=O)(=O)C2=C1 CVHZOJJKTDOEJC-UHFFFAOYSA-N 0.000 description 1
- 239000010670 sage oil Substances 0.000 description 1
- 235000012045 salad Nutrition 0.000 description 1
- 239000004208 shellac Substances 0.000 description 1
- ZLGIYFNHBLSMPS-ATJNOEHPSA-N shellac Chemical compound OCCCCCC(O)C(O)CCCCCCCC(O)=O.C1C23[C@H](C(O)=O)CCC2[C@](C)(CO)[C@@H]1C(C(O)=O)=C[C@@H]3O ZLGIYFNHBLSMPS-ATJNOEHPSA-N 0.000 description 1
- 235000013874 shellac Nutrition 0.000 description 1
- AWUCVROLDVIAJX-GSVOUGTGSA-N sn-glycerol 3-phosphate Chemical compound OC[C@@H](O)COP(O)(O)=O AWUCVROLDVIAJX-GSVOUGTGSA-N 0.000 description 1
- 239000011734 sodium Substances 0.000 description 1
- 229910052708 sodium Inorganic materials 0.000 description 1
- WXMKPNITSTVMEF-UHFFFAOYSA-M sodium benzoate Chemical compound [Na+].[O-]C(=O)C1=CC=CC=C1 WXMKPNITSTVMEF-UHFFFAOYSA-M 0.000 description 1
- 235000010234 sodium benzoate Nutrition 0.000 description 1
- 239000004299 sodium benzoate Substances 0.000 description 1
- 239000011780 sodium chloride Substances 0.000 description 1
- 229960004711 sodium monofluorophosphate Drugs 0.000 description 1
- 239000001488 sodium phosphate Substances 0.000 description 1
- 229910000162 sodium phosphate Inorganic materials 0.000 description 1
- NTHWMYGWWRZVTN-UHFFFAOYSA-N sodium silicate Chemical compound [Na+].[Na+].[O-][Si]([O-])=O NTHWMYGWWRZVTN-UHFFFAOYSA-N 0.000 description 1
- MNCGMVDMOKPCSQ-UHFFFAOYSA-M sodium;2-phenylethenesulfonate Chemical compound [Na+].[O-]S(=O)(=O)C=CC1=CC=CC=C1 MNCGMVDMOKPCSQ-UHFFFAOYSA-M 0.000 description 1
- 239000011877 solvent mixture Substances 0.000 description 1
- ANOBYBYXJXCGBS-UHFFFAOYSA-L stannous fluoride Chemical compound F[Sn]F ANOBYBYXJXCGBS-UHFFFAOYSA-L 0.000 description 1
- 229960002799 stannous fluoride Drugs 0.000 description 1
- 125000004079 stearyl group Chemical group [H]C([*])([H])C([H])([H])C([H])([H])C([H])([H])C([H])([H])C([H])([H])C([H])([H])C([H])([H])C([H])([H])C([H])([H])C([H])([H])C([H])([H])C([H])([H])C([H])([H])C([H])([H])C([H])([H])C([H])([H])C([H])([H])[H] 0.000 description 1
- 229940013618 stevioside Drugs 0.000 description 1
- OHHNJQXIOPOJSC-UHFFFAOYSA-N stevioside Natural products CC1(CCCC2(C)C3(C)CCC4(CC3(CCC12C)CC4=C)OC5OC(CO)C(O)C(O)C5OC6OC(CO)C(O)C(O)C6O)C(=O)OC7OC(CO)C(O)C(O)C7O OHHNJQXIOPOJSC-UHFFFAOYSA-N 0.000 description 1
- 235000019202 steviosides Nutrition 0.000 description 1
- 238000003756 stirring Methods 0.000 description 1
- 229910052712 strontium Inorganic materials 0.000 description 1
- CIOAGBVUUVVLOB-UHFFFAOYSA-N strontium atom Chemical compound [Sr] CIOAGBVUUVVLOB-UHFFFAOYSA-N 0.000 description 1
- 239000000126 substance Substances 0.000 description 1
- 125000000542 sulfonic acid group Chemical group 0.000 description 1
- 229910052717 sulfur Inorganic materials 0.000 description 1
- 125000004434 sulfur atom Chemical group 0.000 description 1
- 230000001629 suppression Effects 0.000 description 1
- 239000003765 sweetening agent Substances 0.000 description 1
- 125000000999 tert-butyl group Chemical group [H]C([H])([H])C(*)(C([H])([H])[H])C([H])([H])[H] 0.000 description 1
- 239000000892 thaumatin Substances 0.000 description 1
- 235000010436 thaumatin Nutrition 0.000 description 1
- 229960000790 thymol Drugs 0.000 description 1
- 239000004408 titanium dioxide Substances 0.000 description 1
- 150000003611 tocopherol derivatives Chemical class 0.000 description 1
- GYDJEQRTZSCIOI-LJGSYFOKSA-N tranexamic acid Chemical compound NC[C@H]1CC[C@H](C(O)=O)CC1 GYDJEQRTZSCIOI-LJGSYFOKSA-N 0.000 description 1
- 229960000401 tranexamic acid Drugs 0.000 description 1
- 229960003500 triclosan Drugs 0.000 description 1
- RRHXZLALVWBDKH-UHFFFAOYSA-M trimethyl-[2-(2-methylprop-2-enoyloxy)ethyl]azanium;chloride Chemical compound [Cl-].CC(=C)C(=O)OCC[N+](C)(C)C RRHXZLALVWBDKH-UHFFFAOYSA-M 0.000 description 1
- RYFMWSXOAZQYPI-UHFFFAOYSA-K trisodium phosphate Chemical compound [Na+].[Na+].[Na+].[O-]P([O-])([O-])=O RYFMWSXOAZQYPI-UHFFFAOYSA-K 0.000 description 1
- 229930195735 unsaturated hydrocarbon Natural products 0.000 description 1
- MWOOGOJBHIARFG-UHFFFAOYSA-N vanillin Chemical compound COC1=CC(C=O)=CC=C1O MWOOGOJBHIARFG-UHFFFAOYSA-N 0.000 description 1
- FGQOOHJZONJGDT-UHFFFAOYSA-N vanillin Natural products COC1=CC(O)=CC(C=O)=C1 FGQOOHJZONJGDT-UHFFFAOYSA-N 0.000 description 1
- 235000012141 vanillin Nutrition 0.000 description 1
- 229920002554 vinyl polymer Polymers 0.000 description 1
- NLVXSWCKKBEXTG-UHFFFAOYSA-N vinylsulfonic acid Chemical compound OS(=O)(=O)C=C NLVXSWCKKBEXTG-UHFFFAOYSA-N 0.000 description 1
- 229910052727 yttrium Inorganic materials 0.000 description 1
- VWQVUPCCIRVNHF-UHFFFAOYSA-N yttrium atom Chemical compound [Y] VWQVUPCCIRVNHF-UHFFFAOYSA-N 0.000 description 1
- 239000011701 zinc Substances 0.000 description 1
- 229910052725 zinc Inorganic materials 0.000 description 1
- 229910001928 zirconium oxide Inorganic materials 0.000 description 1
- 229910021489 α-quartz Inorganic materials 0.000 description 1
- 229930007845 β-thujaplicin Natural products 0.000 description 1
Classifications
-
- A—HUMAN NECESSITIES
- A61—MEDICAL OR VETERINARY SCIENCE; HYGIENE
- A61K—PREPARATIONS FOR MEDICAL, DENTAL OR TOILETRY PURPOSES
- A61K6/00—Preparations for dentistry
- A61K6/20—Protective coatings for natural or artificial teeth, e.g. sealings, dye coatings or varnish
Landscapes
- Health & Medical Sciences (AREA)
- Oral & Maxillofacial Surgery (AREA)
- Epidemiology (AREA)
- Life Sciences & Earth Sciences (AREA)
- Animal Behavior & Ethology (AREA)
- General Health & Medical Sciences (AREA)
- Public Health (AREA)
- Veterinary Medicine (AREA)
- Cosmetics (AREA)
- Dental Preparations (AREA)
- Paints Or Removers (AREA)
- Addition Polymer Or Copolymer, Post-Treatments, Or Chemical Modifications (AREA)
Description
- TECHNISCHES GEBIET:
- Diese Erfindung betrifft eine dentale Beschichtungszusammensetzung, insbesondere eine Beschichtungszusammensetzung zur Verschönerung von Zähnen.
- STAND DER TECHNIK:
- Maniküre und Pediküre, wie zur kosmetischen Behandlung von Händen, Fingernägeln und Füssen, finden weithin bei Frauen Gefallen. In den letzten Jahren wurde auch die kosmetische Behandlung von Zähnen beliebt. Diese Art der Dentalbehandlung wird im allgemeinen durch Auftragen einer farbstoff- oder pigmenthaltigen Zusammensetzung auf die Zähne durchgeführt.
- Die verwendet eines dentalen Klebemittels ist ein Beispiel einer Technik, um eine Zusammensetzung auf Zähne aufzutragen. Speziell wird ein Monomer oder dergleichen auf die Zähne aufgetragen, gefolgt von einer Polymerisation innerhalb kurzer Zeit durch UV-Bestrahlung oder Erwärmen (z.B. JP-OS Sho 53-69494 und JP-OS Sho 52-113089).
- In Anbetracht der Verwendung hat das oben beschriebene, dentale Klebemittel eine hohe Klebekraft, so dass es sich für lange Zeit nicht von den Zähnen ablöst. Zum Zweck der dentalen Verschönerung muss die Zusammensetzung andererseits angemessene Klebekraft aufweisen, so dass sie sich beim Trinken oder Essen nicht leicht ablöst, aber, falls erforderlich, leicht entfernt werden kann. Da das vorstehend beschriebene, dentale Klebemittel in kurzer Zeit durch UV-Bestrahlung oder dergleichen polymerisiert wird, ist es unmöglich, die Klebekraft oder den Grad der Beschichtung zu steuern.
- Zusätzlich verursacht das oben beschriebene Monomer Sicherheitsprobleme, so dass das Monomer oft ungeeignet für die häusliche Zahnbehandlung ist.
- JP 06-279226 offenbart eine Zusammensetzung, die ein Polymer enthält, das eine Phosphatgruppe aufweisen kann, die mit weiteren Monomeren während des Auftragens auf die Zähne polymerisiert wird.
- Ein Ziel dieser Erfindung ist es daher, eine dentale Beschichtungszusammensetzung bereitzustellen, die sich während des Trinkens oder Essens nicht leicht ablöst, eine angemessene Klebekraft besitzt, so dass sie, falls nötig, leicht entfernt werden kann, und die sehr sicher in der Anwendung ist.
- OFFENBARUNG DER ERFINDUNG:
- Das Vorangegangene im Blick, haben die Erfinder umfangreiche Untersuchungen durchgeführt. Als Ergebnis wurde gefunden, dass eine dentale Beschichtungszusammensetzung, die ein Polymer, das in seinem Molekül einen Rest vom Phosphatsäuretyp, wie Phosphorsäure, enthält, und das ein vorbestimmtes gewichtsgemitteltes Molekulargewicht besitzt, und ein spezifisches Lösungsmittel mit einer angemessenen Klebekraft, wenn es auf die Zähne aufgetragen wird, umfasst, die Zähne durch Verleihen von Glanz oder dergleichen verschönt und eine ausgezeichnet Sicherheit besitzt, zur Vollendung der Erfindung führt.
- Ein Aspekt dieser Erfindung schlägt daher eine dentale Beschichtungszusammensetzung vor, die (a) ein Polymer umfasst, das ein Homopolymer oder Copolymer mit einer durch die folgende Formel (11) dargestellten Struktureinheit ist: wobei R1 ein Wasserstoffatom oder eine Kohlenwasserstoffgruppe, die durch ein Fluoratom substituiert sein kann, darstellt, X eine Alkylen-, COOR3-, CON(R2)R3- oder COO[(CH2)mO]nR3-Gruppe darstellt, wobei R2 ein Wasserstoffatom oder eine C1–5-Kohlenwasserstoffgruppe darstellt, m für 1 bis 10 steht, n für 1 bis 30 steht, und R3 eine zweiwertige C1–20-Kohlenwasserstoffgruppe, die durch eine Hydroxy-, Alkoxy- oder Aryloxygruppe substituiert sein kann, darstellt, und Y einen Rest vom Phosphorsäuretyp darstellt, ausgewählt aus Phosphorsäure, Phosphonsäure und Phosphonsäure, und Halogenide und Salze hiervon, und das ein gewichtsgemitteltes Molekulargewicht von 10.000 bis 5.000.000 aufweist; und (b) Wasser oder einen C1–5-Alkohol, wobei die Menge des Polymers (a), die sich in 100 g wasserfreiem Ethanol bei 20°C löst, mindestens 1 g beträgt.
- Ein weiterer Aspekt dieser Erfindung schlägt auch die Verwendung des oben beschriebenen Polymers (a) für die dentale Beschichtung vor.
- BESTE ART ZUR DURCHFÜHRUNG DER ERFINDUNG:
- Das Polymer (a), das in dieser Erfindung verwendbar ist, hat in seinem Molekül einen oder mehrere Reste vom Phosphorsäuretyp, die aus der Gruppe, die aus Phosphorsäure, Phosphonsäure und Phosphinsäure besteht, ausgewählt sind, und Halogenide und Salze davon, und hat ein gewichtsgemitteltes Molekulargewicht von 10.000 bis 5.000.000.
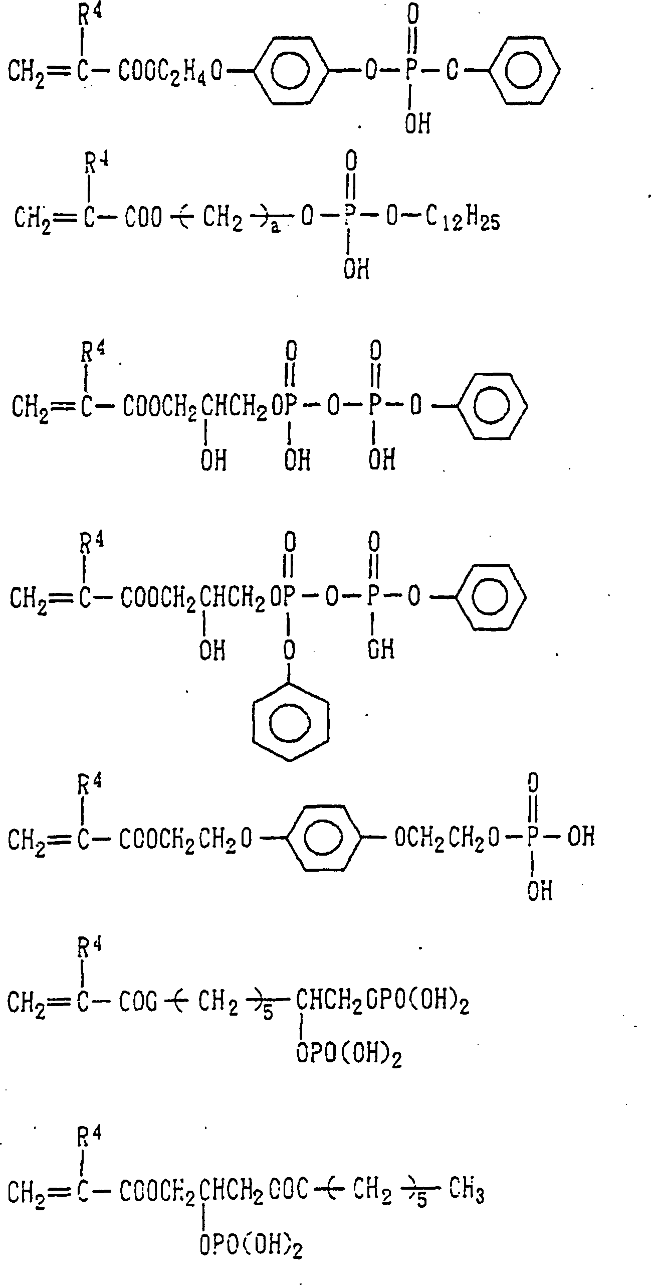
- Beispiele des Phosphorsäurerestes, der in dem Polymer (a) enthalten ist, umfassen Phosphat- und Diphosphatgruppen, die jeweils mindestens eine Hydroxylgruppe besitzen, wie ein Phosphorsäurerest (1), ein Phosphorsäuremonoesterrest (2), ein Diphosphorsäurerest (3), ein Diphosphorsäuremonoesterrest (4) und ein Diphosphorsäurediesterrest (5) (jede der in den nachstehenden Formeln (1) bis (10) beschriebenen Bindungen ist an ein anderes Atom als Sauerstoff gebunden, bevorzugt an ein Kohlenstoff-, Stickstoff- oder Schwefelatom, besonders bevorzugt an ein Kohlenstoffatom).
- Beispiele des Phosphonsäurerestes umfassen Phosphonat- oder Diphosphonatgruppen, die jeweils mindestens eine Hydroxylgruppe besitzen, wie ein Phosphonsäurerest (6), ein Phosphonsäuremonoesterrest (7), ein Diphosphonsäurerest (8) und ein Diphosphorsäuremonoesterrest (9).
- Beispiele des Phosphinsäurerestes umfassen einen Phosphinsäurerest (Phosphinatgruppe) (10).
- Als Salz eines solchen Restes werden Alkalimetallsalze, wie Natrium- oder Kaliumsalze, bevorzugt.
- Beispiele des Halogenids eines solchen Restes umfassen die Gruppe der oben beschriebenen Formeln (1) bis (10), wobei in jeder eine oder mehrere der Hydroxylgruppen durch die gleiche Anzahl an Chloratomen, Bromatomen, Fluoratomen oder dergleichen substituiert ist.
- Unter den Gruppen der vorstehenden Formeln (1) bis (10) werden Phosphorsäurereste [(1) bis (5)] und deren Salze im Hinblick auf geeignete Klebekraft und Sicherheit besonders bevorzugt, wobei der Phosphorsäurerest der Formel (1) und dessen Salze besonders bevorzugt werden.
- Als Polymer (a) werden solche besonders bevorzugt, die als Hauptkette eine Kette, die durch Polymerisation einer polymerisierbaren Vinylgruppe erhalten wurden, und als Seitenkette den oben beschriebenen Phosphorsäurerest besitzen.
- Das Polymer (a) kann als Seitenkette eine andere Gruppe als den oben beschriebenen Phosphorsäurerest aufweisen. Genauer beschrieben kann es als Seitenkette eine oder mehrere Carboxylgruppen und Salze davon, eine Sulfonsäuregruppe oder Salze davon und gesättigte oder ungesättigte Kohlenwasserstoffgruppen, die durch eine Hydroxylgruppe, eine Amidgruppe oder Fluor substituiert sein können, enthalten.
- Das Polymer (a) hat bevorzugt einen Gehalt an Phosphoratomen von 0,0001 bis 35 Gew.%, insbesondere 0,1 bis 10 Gew.%. Durch Einarbeiten des Restes vom Phosphorsäuretyp, um damit einen Gehalt an Phosphoratomen im Polymer (a) von 0,0001 bis 35 Gew.% zu erhalten, erhält man eine dentale Beschichtungszusammensetzung, die eine geeignetere Klebekraft besitzt. Ein Gehalt an Phosphoratomen, der unter 0,0001 Gew.% liegt, bewirkt eine ungenügende Klebekraft. Wenn der Gehalt andererseits 35 Gew.% übersteigt, kommt es vor, dass die Zusammensetzung in der Mundhöhle weich wird.
- Das Polymer (a), das in dieser Erfindung verwendet wird, ist ein Homopolymer oder ein Copolymer mit einer Struktureinheit, die durch folgende Formel (11) dargestellt wird: worin R1 ein Wasserstoffatom oder eine Kohlenwasserstoffgruppe darstellt, die durch ein Fluoratom substituiert sein kann, X eine Alkylen-, COOR3-, CON(R2)R3- oder COO[(CH2)mO]nR3-Gruppe darstellt, wobei R2 ein Wasserstoffatom oder eine C1–5-Kohlenwasserstoffgruppe darstellt, m für 1 bis 10 steht, n für 1 bis 30 steht, und R3 eine zweiwertige C1–20-Kohlenwasserstoffgruppe darstellt, die durch einen Hydroxy-, Alkoxy- oder Aryloxygruppe substituiert sein kann, und Y den oben beschriebenen Rest vom Phosphorsäuretyp darstellt.
- In der vorstehenden Formel (11) werden COOR3- und COO[(CH2)mO]nR3-Gruppen als X bevorzugt. Beispiele der zweiwertigen Kohlenwasserstoffgruppe, die durch R3 dargestellt werden, umfassen lineare oder verzweigte Alkylengruppen, zweiwertige Cycloalkylgruppen und Phenylengruppen und Kombinationen davon.
- Der Rest vom Phosphorsäuretyp, der durch Y in der vorstehenden Formel (11) dargestellt wird, kann mit einer C1–20-Kohlenwasserstoffgruppe (z.B. Alkyl, Phenyl oder dergleichen) verestert werden.
-
- Das gewichtsgemittelte Molekulargewicht des in dieser Erfindung verwendeten Polymers (a) beträgt 10.000 bis 5.000.000, bevorzugt 10.000 bis 2.000.000, besonders bevorzugt 15.000 bis 1.000.000, besonders bevorzugt 20.000 bis 1.000.000. Wenn das gewichtsgemittelte Molekulargewicht weniger als 10.000 beträgt, verringert sich die Festigkeit des gebildeten Films. Wenn es 5.000.000 übersteigt, hat das Polymer eine geringe Löslichkeit im Lösungsmittel und eine zu grosse Viskosität, was die Verarbeitung des Polymers erschwert.
- Weiterhin ist die Menge des Polymers (a), die in 100 g wasserfreiem Ethanol bei 20°C löslich ist, 1 g oder mehr, bevorzugt 5 g oder mehr, und besonders bevorzugt 10 g oder mehr. Wenn die Menge des Polymers, die in 100 g wasserfreiem Ethanol bei 20°C löslich ist, 1 g oder mehr ist, wird es möglich, eine leicht anzuwendende Zusammensetzung herzustellen.
- Das Polymer (a) kann durch Polymerisation eines oder mehrerer Monomere, die den oben beschriebenen Rest vom Phosphorsäuretyp enthalten, oder dieser Monomere und einem Monomer, das frei von solch einem Rest vom Phosphorsäuretyp ist (dieses Monomer wird nachfolgend als "Monomer vom Nicht-Phosphorsäuretyp" bezeichnet), erhalten werden.
- Das Polymerisationsverfahren ist unterschiedlich in Abhängigkeit vom eingesetzten Monomer, aber üblicherweise kann eine Radikalpolymerisation angewendet werden.
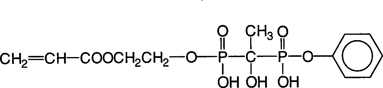
- Obwohl keine besondere Begrenzung auf das oben beschriebene Monomer vom Phosphorsäuretyp, soweit es eine polymerisierbare Vinylgruppe als Hauptkette und den Rest vom Phosphorsäuretyp als Seitenkette enthält, auferlegt wird, wird ein Monomer [CH2=C(R1)-X-Y], das die Struktureinheit der vorstehenden Formel (11) bildet, besonders bevorzugt, wobei ein (Meth)acrylat mit dem Rest vom Phosphorsäuretyp als Seitenkette besonders bevorzugt wird.
-
-
- Beispiele des Monomers vom Nicht-Phosphorsäuretyp, die mit jedem der vorstehend beispielhaft genannten Phosphorresttyp enthaltenden Monomere copolymerisierbar sind, umfassen (Meth)acrylsäure, (Meth)acrylat, (Meth)acrylamid, Vinylcarboxylat, Styrolmonomer, Vinylpyridin, Vinylpyrrolidin, Maleimidmonomer und ungesättigte Fettsäuremonomere.
- Zusätzlich können auch 2-Methacryloyloxyethyltrimethylammoniumchlorid und 2-Acryloyloxypropylhydrogenphthalat als Beispiele angegeben werden.
- Unter den oben beschriebenen Monomeren vom Nicht-Phosphorsäuretyp werden bevorzugt ein oder mehrere von (Meth)acrylsäure, Methyl(meth)acrylat, Ethyl(meth)acrylat, n-Propyl(meth)acrylat, Isopropyl(meth)acrylat, n-Butyl(meth)acrylat, Isobutyl(meth)acrylat, t-Butyl(meth)acrylat, 2-Ethylhexyl(meth)acrylat, Isobornyl(meth)acrylat, Cetyl(meth)acrylat, Lauryl(meth)acrylat, Stearyl(meth)acrylat, Dodecyl(meth)acrylat, Dimethylaminoethyl(meth)acrylat, (Meth)acrylsäurediethylenglykolethoxylat, 2-Methoxyethyl(meth)acrylat, 3-Methoxybutyl(meth)acrylat, Phenoxyethyl(meth)acrylat, Tetrahydrofurfuryl(meth)acrylat, Dimethylacrylamid, N-[3-(Dimethylamino)propyl]acrylamid, Diacetonacrylamid, Cyclohexyl(meth)acrylat, Vinylacetat, Vinylpropionat, Vinylbutyrat, Vinylpivalat, Vinylcaproat, Vinyloctylat, Vinylcaprylat, Vinylcaprat, Vinyllaurat, Vinylmyristat, Vinylpalmitat, Vinylstearat, Vinylneodecanoat, Styrol, 2-Methylstyrol, α-Methylstyroldimer, 2-Vinylpyridin, 4-Vinylpyridin, N-Vinyl-2-pyrrolidon, N-Phenylmaleimid, N-(2-Chlorphenyl)maleimid, N-Laurmaleimid und N-Cyclohexylmaleimid eingesetzt.
- Obwohl dem Mischungsverhältnis von Phosphorsäureresttyp enthaltendem Monomer zu Monomer vom Nicht-Phosphortyp in dem in der Erfindung verwendeten Copolymer keine besondere Begrenzung auferlegt wird, wird das erstgenannte Monomer bevorzugt in einer Menge von 0,01 bis 40 mol-%, insbesondere 0,1 bis 20 mol-% hinzugefügt.
- Wasser oder der C1–5-Alkohol (b), die in die erfindungsgemässe Zusammensetzung eingearbeitet werden sollen, sind Lösungsmittel, die eine gute Affinität zum vorstehend beschriebenen Polymer haben. Beispiele des Alkohols umfassen lineare oder verzweigte, gesättigte Alkohole mit 1 bis 5 Kohlenstoffatomen. Unter diesen werden Ethanol und Isopropylalkohol bevorzugt, wobei Ethanol besonders bevorzugt wird. Wenigstens zwei der Lösungsmittel, die aus Wasser und C1–5-Alkoholen ausgewählt sind, können in Kombination verwendet werden. Es wird bevorzugt, das Lösungsmittel in einer Menge von 30 bis 98 Gew.%, insbesondere 50 bis 95 Gew.%, bezogen auf die gesamte Zusammensetzung, hinzuzufügen.
- Die erfindungsgemässe dentale Beschichtungszusammensetzung hat bevorzugt eine Viskosität von 2 bis 200 cp, insbesondere 5 bis 50 cp, wenn sie auf die Zähne aufgetragen wird. Wenn die Viskosität weniger als 2 cp beträgt, besteht die Möglichkeit, dass die Zusammensetzung in den oder aus dem Mund tropft. Wenn die Viskosität andererseits grösser als 200 cp ist, breitet sich die Zusammensetzung nicht gut aus, was es schwierig macht, die Zusammensetzung einheitlich auf die Zahnoberfläche aufzutragen. Die Viskosität der hier verwendeten Zusammensetzung wird mit einem Brookfield-Viskosimeter bei 20°C gemessen.
- Zu der erfindungsgemässen dentalen Beschichtungszusammensetzung kann ein Pigment hinzugefügt werden, um die Zähne weiss aussehen zu lassen, die Zähne zu färben oder ihnen Glanz zu verleihen. Beispiele des Pigments umfassen Titanglimmer, Fischschuppen (fish scale leaves) und Muschelpulver. Unter diesen wird Titanglimmer bevorzugt, weil er den Zähnen ein ästhetisches Erscheinungsbild und Glanz verleiht, die Unebenheiten der Beschichtung glättet und die Farbe durch die Filmdicke des Titans auf dem Glimmer verändern kann.
- Ein solches Pigment wird bevorzugt in Pulverform hinzugefügt, so dass es in der dentalen Beschichtungszusammensetzung leicht einheitlich dispergiert werden kann. Das Pigment wird bevorzugt in einer Menge von 0,1 bis 10 Gew.%, besonders bevorzugt 0,2 bis 5 Gew.%, hinzugefügt.
- Zu der erfindungsgemässen Zusammensetzung können nach Bedarf weiterhin verschiedene Pulver zugegeben werden. Beispiele umfassen α-Quarz, Silica, Aluminiumoxid, Hydroxyapatit, Calciumcarbonat, Fluoraluminiumsilicatglas, Bariumsulfat, Titanoxid, Zirkoniumoxid, Glas und sehr feinteiliges Silica, und pulverförmige organische Komplexe, die sowohl organische als auch anorganische Komponenten enthalten. Beispiele des Glases umfassen Silicaglas, Natriumqarzsilicatglas, Borsilicatglas, Bariumglas, Strontiumglas, Zinkglas, Lanthanglas, Yttriumglas, Bariumboraluminosilicatglas, Aluminiumoxidsilicatglas, Strontiumboraluminosilicatglas, synthetisches Silica und Titansilicatglas. Zu der erfindungsgemässen Zusammensetzung wird nach Bedarf auch ein Copolymer zwischen Polymethylmethacrylat oder Methylmethacrylat und einem vernetzbaren Monomer, oder ein pulverförmiges Polymer, wie Polystyrol oder Polyvinylchlorid, hinzugefügt.
- Zu der erfindungsgemässen dentalen Beschichtungszusammensetzung können verschiedene, oral anwendbare Komponenten in einem Umfang zugegeben werden, der die Vorteile dieser Erfindung nicht beeinträchtigt. Beispiele solcher Komponenten umfassen die Zahnqualität stärkende Mittel, wie Natriummonofluorphosphat, Zinnfluorid und Natriumfluorid; Bakterizide, wie Chlorhexidin und Salze davon, Triclosan, Cetylpyridinchlorid, Isopropylmethylphenol, Benzethoniumchlorid und Benzalkoniumchlorid; pH-Regulatoren, wie Natriumphosphat, KOH und NaOH; Enzymzubereitungen, wie Dextranase, Amylase, Protease, Lysozym und Mutanase; entzündungshemmende Mittel, durchblutungsfördernde Mittel, wie Natriumchlorid, Hinokitiol, ε-Aminocapronsäure, Tranexamsäure, Allantoinderivate, Tocopherolderivate, Octylphthalid, Nikotinsäureester, Dihydrocholesterin, Glycyrrhetinsäure, Glycyrrhizinsäure und Salze davon, Glycerophosphat, Chlorophyll, wasserlösliche anorganisch Phosphorsäureverbindungen, Azulendrivate, Matricaria, japanischen grünen Enzian, Toki, Cnidii rhizoma und andere pflanzliche und rohe Arzneistoffe; Süssungsmittel, wie Natriumsaccharin, Steviosid, Thaumatin und Aspartylphenylalaninmethylester; Antiseptika, wie p-Hydroxybenzoesäure, Ethyl-p-hydroxybenzoat, Propyl-p-hydroxybenzoat, Butyl-p-hydroxybenzoat und Natriumbenzoat; Färbemittel, färbende Materialien, wie Titandioxid; Aromastoffe, wie Pfefferminzöl, Minzöl, Menthol, Carvon, Anethol, Eugenol, Methylsalicylat, Limonen, Ocimen, n-Decylalkohol, Citronelol, α-Terpineol, Methylacetat, Citronellylacetat, Methyleugenol, Ceneol, Linalool, Ethyllinalool, Vanillin, Thymol, Anisöl, Zitronenöl, Orangenöl, Salbeiöl, Rosmarinöl, Zimtöl, Pimentöl, Lorbeeröl, Perilla frutescens-Öl, Methylsalicylat, Nelkenöl und Eukalyptusöl.
- Die erfindungsgemässe dentale Beschichtungszusammensetzung kann z.B. durch Mischen des vorstehend beschriebenen Polymers (a) und des Lösungsmittels (b) und, nach Bedarf zusätzlich, eines Verdickers, wie Ethylcellulose, Hydroxypropylcellulose oder Carboxyvinylpolymer, und eines Pigments, wie Titanglimmer, Fischschuppen oder Muschelpulver, hergestellt werden. Es ist erforderlich, den Verdicker oder das Pigment so zu wählen, dass sie dem menschlichen Körper nicht schaden, wenn sie irrtümlich eingenommen werden.
- Die erfindungsgemässe dentale Beschichtungszusammensetzung kann durch Auftragen auf die Zähne und dann Verdunstung der Lösungsmittelkomponente aus der Zusammensetzung an die Zähne gebunden werden. Die Zusammensetzung, die an die Zähne gebunden ist, kann leicht durch Ethanol oder dergleichen entfernt werden.
- BEISPIELE
- Diese Erfindung wird nachstehend durch die Beispiele spezifischer beschrieben. Es sollte jedoch beachtet werden, dass diese Erfindung nicht auf oder durch die folgenden Beispiele begrenzt ist.
- BEISPIEL 1
- Ein abtrennbarer 500 ml-Vierhalskolben, der mit einem Rührer, Kondensator, Tropftrichter und Stickstoffeinlassrohr verbunden ist, wurde mit 150 g Acetonitril, 2,5 9 2-Methacryloyloxyethylsäurephosphat und 47,5 g Ethylmethacrylat beladen, gefolgt von 30-minütigem Einblasen von Stickstoffgas mit einer Strömungsgeschwindigkeit von 1,5 l/min, wodurch die Monomerlösung entlüftet wurde. Nachdem die entlüftete Monomerlösung unter Rühren in einem Heisswasserbad auf 60°C erhitzt worden war, wurde zu der Monomerlösung über einen Tropftrichter 30 Minuten lang eine Lösung von 0,11 g 2,2'-Azobis(2,4-dimethylvaleronitril), das in 50 g Acetonitril aufgelöst war, zugegeben. Die Reaktionsmischung wurde dann 4 Stunden bei 60°C und 4 Stunden bei 80°C polymerisiert. Unter Verwendung von 2 % einer 1:1 Methanol/Wasser-Mischung als Ausfällungs- Lösungsmittel wurde die Ausfällung zweimal zur Reinigung durchgeführt, wodurch ein phosphorsäurehaltiges Copolymer erhalten wurde. Das resultierende Copolymer hatte ein gewichtsgemitteltes Molekulargewicht von 63.000 (bezogen auf Polystyrol; gleiches gilt nachfolgend). Das Copolymer (20 g), 1 g Titanoxid, 1 g Titanglimmer und 78 g Ethanol wurden gemischt, wodurch die dentale Beschichtungszusammensetzung (1) erhalten wurde.
- BEISPIEL 2
-
- Ethylmethacrylat auf 41,9 g verringert und weiterhin 1,6 g 2-Hydroxyethylmethacrylat hinzugefügt wurden, wurde die dentale Beschichtungszusammensetzung (2) erhalten. Das Copolymer, das in diesem Beispiel gereinigt wurde, hatte ein gewichtsgemitteltes Molekulargewicht von 105.000.
- BEISPIEL 3
- Auf ähnliche Weise wie in Beispiel 1, ausser dass 12,3 g des Monomers der folgenden Formel: und 0,79 g Methacrylsäure anstelle von 2-Methacryloyloxyethylsäurephosphat bzw. Ethylmethacrylat verwendet wurden, wurde ein phosphorsäurehaltiges Copolymer erhalten. Eine Mischung aus 30 g des resultierenden Copolymers, 2 g Titanoxid, 0,5 g Titanglimmer und 67,5 g Ethanol ergab die dentale Beschichtungszusammensetzung (3). Das Copolymer, das in diesem Beispiel gereinigt wurde, hatte ein gewichtsgemitteltes Molekulargewicht von 52.000.
- BEISPIEL 4
-
- Ethylmethacrylat auf 28,7 g verringert und weiterhin 1,9 g Natriumstyrolsulfonat hinzugefügt wurden, wurde ein phosphorsäurehaltiges Copolymer erhalten. Das Copolymer hatte ein gewichtsgemitteltes Molekulargewicht von 151.000. Eine Mischung aus 10 g des resultierenden Copolymers, 5 g Ethylcellulose, 1 g Titanoxid, 2 g Titanglimmer, 1 g Quarzpulver, 0,1 g eines Parfüms und 80,0 g Ethanol ergab die dentale Beschichtungszusammensetzung (4).
- BEISPIEL 5
- Auf ähnliche Weise wie in Beispiel 1, ausser dass 2-Methacryloyloxyethylsäurephosphat durch 7,2 g des Monomers der folgenden Formel ersetzt wurde: die Menge an Ethylmethacrylat von 47,5 g auf 40,8 g verringert und weiterhin 1,2 g Dimethylacrylamid und 0,8 g Styrol hinzugefügt wurden, wurde ein phosphorsäurehaltiges Copolymer erhalten. Das resultierende Copolymer hatte ein gewichtsgemitteltes Molekulargewicht von 77.000. Eine Mischung aus 15 g des Copolymers, 2 g Ethylcellulose, 1,5 g Titanglimmer, 0,2 g Menthol, 0,2 g Natriumfluorid und 81,1 g Ethanol ergab die dentale Beschichtungszusammensetzung (5).
- BEISPIEL 6
- Auf ähnliche Weise wie in Beispiel 1, ausser dass 2-Methacryloyloxyethylsäurephosphat durch 21 g des Monomers der folgenden Formel ersetzt wurde: die Menge an Ethylmethacrylat von 47,5 g auf 27,3 g verringert und weiterhin 1,0 g N-Vinyl-2-pyrrolidon und 0,6 g Vinylacetat hinzugefügt wurden, wurde ein phosphorsäurehaltiges Copolymer erhalten. Das resultierende Copolymer hatte ein gewichtsgemitteltes Molekulargewicht von 215.000. Eine Mischung aus 20 g des Copolymers, 0,5 g Titanoxid, 5 g Quarzpulver, 0,2 g Natriumfluorid und 74,3 g Ethanol ergab die dentale Beschichtungszusammensetzung (6).
- BEISPIEL 7
- Auf ähnliche Weise wie in Beispiel 1, ausser dass 2-Methacryloyloxyethylsäurephosphat durch 10 g des Monomers der folgenden Formel ersetzt wurde: die Menge an Ethylmethacrylat von 47,5 g auf 38,5 g verringert und weiterhin 1,5 g N-t-Butylacrylamid hinzugefügt wurden, wurde die dentale Beschichtungszusammensetzung (7) erhalten. Das Copolymer, das in diesem Beispiel gereinigt wurde, hatte ein gewichtsgemitteltes Molekulargewicht von 56.000.
- BEISPIEL 8
- Auf ähnliche Weise wie in Beispiel 1, ausser dass 2-Methacryloyloxyethylsäurephosphat durch 18,7 g des Monomers der folgenden Formel ersetzt wurde: die Menge an Ethylmethacrylat von 47,5 g auf 29,7 g verändert und weiterhin 1,6 g Itaconsäure hinzugefügt wurden, wurde die dentale Beschichtungszusammensetzung (8) erhalten. Das Copolymer, das in diesem Beispiel gereinigt wurde, hatte ein gewichtsgemitteltes Molekulargewicht von 116.000.
- BEISPIEL 9
- Auf ähnliche Weise wie in Beispiel 1, ausser dass 2-Methacryloyloxyethylsäurephosphat durch 1,6 g des Monomers der folgenden Formel ersetzt wurde: und die Menge an Ethylmethacrylat von 47,5 g auf 48,4 g erhöht wurde, wurde die dentale Beschichtungszusammensetzung (9) erhalten. Das Copolymer, das in diesem Beispiel gereinigt wurde, hatte ein gewichtsgemitteltes Molekulargewicht von 82.000.
- BEISPIEL 10
- Auf ähnliche Weise wie in Beispiel 1, ausser dass 2-Methacryloyloxyethylsäurephosphat durch 5,1 g des Monomers der folgenden Formel ersetzt wurde: die Menge an Ethylmethacrylat von 47,5 g auf 40,8 g verringert und weiterhin 2,1 g Isopropylacrylat und 2,0 g Dimethylacrylamid hinzugefügt wurden, wurde die dentale Beschichtungszusammensetzung (10) erhalten. Das Copolymer, das in diesem Beispiel gereinigt wurde, hatte ein gewichtsgemitteltes Molekulargewicht von 120.000.
- BEISPIEL 11
- Auf ähnliche Weise wie in Beispiel 1, ausser dass 2-Methacryloyloxyethylsäurephosphat durch 3,3 g des Monomers der folgenden Formel ersetzt wurde: die Menge an Ethylmethacrylat von 47,5 g auf 44,5 g verringert und weiterhin 1,3 g 4-Hydroxybutylmethacrylat und 1,0 g Vinylsulfonsäure hinzugefügt wurden, wurde die dentale Beschichtungszusammensetzung (11) erhalten. Das Copolymer, das in diesem Beispiel gereinigt wurde, hatte ein gewichtsgemitteltes Molekulargewicht von 104.000.
- BEISPIEL 12
- Auf ähnliche Weise wie in Beispiel 1, ausser dass 2-Methacryloyloxyethylsäurephosphat durch 5,3 g des Monomers der folgenden Formel ersetzt wurde: die Menge an Ethylmethacrylat von 47,5 g auf 42,9 g verringert und weiterhin 1,8 g Methacrylsäure hinzugefügt wurden, wurde die dentale Beschichtungszusammensetzung (12) erhalten. Das Copolymer, das in diesem Beispiel gereinigt wurde, hatte ein gewichtsgemitteltes Molekulargewicht von 72.000.
- BEISPIEL 13
- In eine Lösungsmittelmischung aus 80 g Ethanol, 60,9 g Ethylmethacrylat, 19,1 g 10-Methacryloyloxydecylsäurephosphat (ähnlich der Substanz, die in Beispiel 2 verwendet wurde) und 0,15 g V-65 (Polymerisationsinitiator der Azoreihe) wurde 30 Minuten lang Stickstoffgas eingeblasen, wodurch die Monomerlösung entlüftet wurde. Ein abtrennbarer 500 ml-Vierhalskolben, der mit einem Rührer, Kondensator, Tropftrichter und Stickstoffeinlassrohr ausgerüstet war, wurde mit einem 20 Gew.%-igen Anteil der Monomerlösung beladen und bei 62°C 10 Minuten lang unter Stickstoffatmosphäre polymerisiert. Die restliche Monomerlösung wurde 2 Stunden lang in einen Polymerisationsbehälter eingetropft. Nach Beendigung der tropfenweisen Zugabe wurde die Polymerisation bei 62°C für weitere 6 Stunden fortgesetzt. Nach der Polymerisation wurde die Reinigung zweimal unter Verwendung von 3 % einer 1:2 (Volumenverhältnis) Methanol/Wasser-Mischung als Lösungsmittel zur erneuten Ausfällung durchgeführt. Das so erhaltene Polymer hatte ein Molekulargewicht von 960.000.
- VERGLEICHSBEISPIEL 1
- Das Vergleichsprodukt (1) wurde durch Mischen von 30 Gew.-Teilen Schellak (ein Extrakt des Insektes Coccidium, Gifu Shellac Co., Ltd.), 68 Gew.-Teilen Ethanol, 1 Gew.-Teil Titanoxid und 1 Gew.-Teil Titanglimmer erhalten.
- VERGLEICHSBEISPIEL 2
- Es wurde HANIC (hergestellt von Hanics Corp.) verwendet.
- Test 1:
- Es wurde eine Prüfung auf Ablösung durch Essen oder Trinken durchgeführt. 28 Teilnehmer wurden in 4 Gruppen mit jeweils 7 Teilnehmern eingeteilt. Die dentale Beschichtungszusammensetzung (1) wurde um 9 Uhr auf die gesamte Fläche jeden der 6 Frontzähne des Oberkiefers der ersten Gruppe aufgetragen, und es wurde ein Foto der Frontzähne aufgenommen. Ähnlich wurden die dentale Beschichtungszusammensetzung (2), Vergleichsprodukt (1) und Vergleichsprodukt (2) bei der zweiten, dritten bzw. vierten Gruppe aufgetragen, gefolgt von Fotografieren. Jeder Teilnehmer trank um 10 Uhr 200 ml Wasser, ass um 12 Uhr einen handelsüblichen Hamburger, ein handelsübliches gebratenes Hähnchen, 100 g Kopf- und Tomatensalat und eine gekochte Kartoffel und trank 200 ml handelsüblichen Oolongtee, und um 15 Uhr trank er 200 ml Wasser. Um 18 Uhr wurde ein Foto von den Frontzähnen aufgenommen, das mit dem Foto von 9 Uhr verglichen wurde, wodurch der verbliebene Grad der dentalen Beschichtungszusammensetzung oder des Vergleichsprodukts auf den Zähnen entsprechend den folgenden Standards bewertet wurde. Die Ergebnisse sind in Tabelle 1 gezeigt.
- Bewertungsstandards:
-
- 3 Punkte: Es wurde kein Ablösen beobachtet.
- 2 Punkte: Ein Ablösen wurde nur an den Zahnspitzen beobachtet.
- 1 Punkt: Ein Ablösen zeigte sich bei weniger als einem Viertel der beschichteten Oberfläche.
- 0 Punkte: Ein Ablösen zeigte sich bei mindestens einem Viertel der beschichteten Oberfläche.
- Aus Tabelle 1 ist ersichtlich, dass sich sogar beim Essen und Trinken keine der erfindungsgemässen dentalen Beschichtungszusammensetzungen leicht ablöst.
- Test 2:
- Im Anschluss an das Ätzen mit Phosphorsäure, wurde "Panavia EX" (hergestellt von Kuraray Co., Ltd.), ein dentales Klebemittel, in einer per se bekannten Weise auf Rinderzähne aufgetragen. Auf ähnliche Weise wurden die Zusammensetzungen der Beispiele 1, 2 und 3 entsprechend auf die Rinderzähne aufgetragen. Nach 24-stündigem Eintauchen in eine künstliche Speichelflüssigkeit ("Salivate", hergestellt von Teijin Limited) bei 36°C für 24 Stunden, wurden die so behandelten Zähne einer Entfernungsprüfung unter Verwendung von Verbandwatte, die mit Ethanol getränkt war, unterzogen. Das dentale Klebemittel wurde nicht vollständig durch Ethanol entfernt, während die erfindungsgemässen dentalen Beschichtungszusammensetzungen (1), (2) und (3) fast vollständig entfernt wurden.
- GEWERBLICHE ANWENDBARKEIT:
- Diese Erfindung ermöglicht die Bereitstellung einer dentalen Beschichtungszusammensetzung, die sich beim Essen oder Trinken nicht leicht ablöst; die eine angepasste Klebekraft besitzt, so dass sie, falls erforderlich, leicht entfernt werden kann; und die kein Sicherheitsproblem aufweist. Zusätzlich zu der verschönernden Wirkung wird erwartet, dass die Zusammensetzung Wirkungen besitzt, die die Beschädigung der Zähne, Überempfindlichkeit oder Zahnstein durch Bildung eines starken Überzugs auf der Zahnoberfläche verhindert. Ferner wird erwartet, dass die erfindungsgemässe dentale Beschichtungszusammensetzung, aufgrund ihrer wirkungsvollen Unterdrückung von bakteriellem Zahnbelag, möglicherweise zur Verhinderung von Zahnfleischentzündungen beiträgt.
Claims (10)
- Dentale Beschichtungszusammensetzung, umfassend (a) ein Polymer, das ein Homopolymer oder Copolymer mit einer durch die folgende Formel (11) dargestellten Struktureinheit ist: wobei R1 ein Wasserstoffatom oder eine Kohlenwasserstoffgruppe, die durch ein Fluoratom substituiert sein kann, darstellt, X eine Alkylen-, COOR3-, CON(R2)R3- oder COO[(CH2)mO]nR3-Gruppe darstellt, wobei R2 ein Wasserstoffatom oder eine C1–5-Kohlenwasserstoffgruppe darstellt, m für 1 bis 10 steht, n für 1 bis 30 steht, und R3 eine zweiwertige C1–20-Kohlenwasserstoffgruppe, die durch eine Hydroxy-, Alkoxy- oder Aryloxygruppe substituiert sein kann, darstellt, und Y einen Rest vom Phosphorsäuretyp darstellt, ausgewählt aus Phosphorsäure, Phosphonsäure und Phosphinsäure, und Halogenide und Salze hiervon, und das ein gewichtsgemitteltes Molekulargewicht von 10.000 bis 5.000.000 aufweist; und (b) Wasser oder einen C1–5-Alkohol, wobei die Menge des Polymers (a), die sich in 100 g wasserfreiem Ethanol bei 20°C löst, mindestens 1 g beträgt.
- Zusammensetzung nach Anspruch 1, wobei das Polymer (a) ein Polymer mit einem Rest einer Phosphorsäure oder einem Salz hiervon ist.
- Zusammensetzung nach einem der Ansprüche 1 oder 2, wobei der Phosphoratomgehalt im Polymer (a) 0,0001 bis 35 Gew.% beträgt.
- Zusammensetzung nach einem der Ansprüche 1 bis 3, die eine Viskosität von 2 bis 200 cp aufweist.
- Zusammensetzung nach einem der Ansprüche 1 bis 4, wobei das Polymer (a) ein Copolymer eines polymerisierbaren Monomers ist, das die durch die Formel (11) dargestellte Struktureinheit bereitstellt, und einem polymerisierbaren Monomer, das keinen Rest einer Phosphorsäure aufweist.
- Zusammensetzung nach einem der Ansprüche 1 bis 6, weiterhin umfassend ein Pigment, ausgewählt aus der Gruppe, bestehend aus Titanglimmer, Fischschuppenblätter und Schalenpulver.
- Zusammensetzung nach Anspruch 10, wobei der Pigmentgehalt 0,01 bis 10 Gew.% beträgt.
- Kosmetische Verwendung einer nach einem der Ansprüche 1 bis 8 definierten Zusammensetzung für die dentale Beschichtung.
- Verwendung der dentalen Beschichtungszusammensetzung nach einem oder mehreren der Ansprüche 1 bis 11 für die Herstellung einer Zusammensetzung, die nützlich ist zur Behandlung von Zahnverfall, Hyperästhesie und Zahnsteinbildung.
Applications Claiming Priority (3)
| Application Number | Priority Date | Filing Date | Title |
|---|---|---|---|
| JP33965396 | 1996-12-19 | ||
| JP33965396 | 1996-12-19 | ||
| PCT/JP1997/004533 WO1998026749A1 (en) | 1996-12-19 | 1997-12-10 | Coating composition for teeth |
Publications (2)
| Publication Number | Publication Date |
|---|---|
| DE69737385D1 DE69737385D1 (de) | 2007-04-05 |
| DE69737385T2 true DE69737385T2 (de) | 2007-10-25 |
Family
ID=18329542
Family Applications (1)
| Application Number | Title | Priority Date | Filing Date |
|---|---|---|---|
| DE69737385T Expired - Fee Related DE69737385T2 (de) | 1996-12-19 | 1997-12-10 | Zusammensetzung für die beschichtung von zähnen |
Country Status (6)
| Country | Link |
|---|---|
| US (1) | US6048913A (de) |
| EP (1) | EP0897709B1 (de) |
| JP (1) | JP3889449B2 (de) |
| CN (1) | CN1104230C (de) |
| DE (1) | DE69737385T2 (de) |
| WO (1) | WO1998026749A1 (de) |
Families Citing this family (28)
| Publication number | Priority date | Publication date | Assignee | Title |
|---|---|---|---|---|
| FR2767724B1 (fr) * | 1997-09-01 | 2001-06-01 | France Telecom | Procede et dispositif pour le revetement d'un element filaire par une couche fine d'agent liquide et fibre optique ainsi revetue |
| JP4136036B2 (ja) * | 1997-09-19 | 2008-08-20 | 花王株式会社 | 歯のコーティング剤組成物 |
| DE69931509T2 (de) | 1998-09-25 | 2007-01-04 | Kao Corp. | Zubereitungen für die mundhöhle |
| DE60034383T2 (de) | 1999-05-12 | 2007-08-16 | Dentsply International Inc. | Selbstklebendes polymerisierbares Monomer und damit hergestellte Dental/Medizinische Zusammensetzungen |
| DE60038038T2 (de) * | 1999-12-03 | 2009-02-12 | The Regents of The University of California at San Diego, La Jolla | Phosphonatverbindungen |
| JP2001278725A (ja) * | 2000-03-31 | 2001-10-10 | Hanix:Kk | 歯牙被覆組成物およびその上塗組成物 |
| US6537360B2 (en) * | 2000-01-31 | 2003-03-25 | Hanix Co., Ltd. | Tooth coating composition and over-coating composition therefor |
| JP2002003335A (ja) * | 2000-04-21 | 2002-01-09 | Koden Kk | 化粧用コーティング組成物、除去剤、および口内用開唇支持体 |
| US6620859B2 (en) * | 2000-12-15 | 2003-09-16 | Dakota Dental Development, Inc. | Methods of preparing polymerizable dental compositions with improved taste or aroma, and that prevent oxygen-inhibited layer |
| JP2002187809A (ja) * | 2000-12-21 | 2002-07-05 | Hanix:Kk | 歯牙コーティング剤 |
| DE10124028B4 (de) * | 2001-05-16 | 2010-02-18 | 3M Espe Ag | Selbstadhäsive Dentalmaterialien |
| US20040208834A1 (en) * | 2001-07-13 | 2004-10-21 | Takashi Koudate | Oral-use polymer and oral-use composition |
| US8071076B2 (en) * | 2002-05-28 | 2011-12-06 | Oral Health Clinical Services Llc | Oral lubricating and stain retarding compositions |
| US7288615B2 (en) * | 2003-03-14 | 2007-10-30 | Marquette University | Modified dental prosthesis |
| US20050069501A1 (en) * | 2003-08-15 | 2005-03-31 | Sayed Ibrahim | Rapid temporary tooth whitening composition |
| DE10339912B4 (de) | 2003-08-29 | 2016-07-21 | Ivoclar Vivadent Ag | Dentale Beschichtungsmaterialien, deren Verwendung sowie Verfahren zur Beschichtung einer Substratoberfläche |
| WO2006110655A2 (en) | 2005-04-08 | 2006-10-19 | Chimerix, Inc. | Compounds, compositions and methods for the treatment of poxvirus infections |
| EP1968478A1 (de) * | 2005-12-29 | 2008-09-17 | 3M Innovative Properties Company | Verfahren zum aufbringen von dentalmitteln auf zahnflächen und polymerzusammensetzungen |
| JP2009522003A (ja) * | 2005-12-29 | 2009-06-11 | スリーエム イノベイティブ プロパティズ カンパニー | 発泡性歯科用組成物及び方法 |
| CN101977610B (zh) | 2008-01-25 | 2012-05-16 | 奇默里克斯公司 | 治疗病毒感染的方法 |
| US8614200B2 (en) | 2009-07-21 | 2013-12-24 | Chimerix, Inc. | Compounds, compositions and methods for treating ocular conditions |
| DK2534150T3 (en) | 2010-02-12 | 2017-06-12 | Chimerix Inc | METHODS OF TREATING VIRUS INFECTION |
| WO2011139709A2 (en) | 2010-04-26 | 2011-11-10 | Chimerix, Inc. | Methods of treating retroviral infections and related dosage regimes |
| CN102648893A (zh) * | 2011-02-24 | 2012-08-29 | 边清泉 | 新型营养美白生物牙膏 |
| US9107838B2 (en) | 2012-04-25 | 2015-08-18 | Therametrics Technologies, Inc. | Fluoride varnish |
| WO2015122910A1 (en) * | 2014-02-14 | 2015-08-20 | Therametric Technologies, Inc. | Fluoride varnish |
| JP6642436B2 (ja) * | 2014-08-29 | 2020-02-05 | 日油株式会社 | 象牙質知覚過敏症緩和用口腔組成物 |
| US20190175487A1 (en) * | 2017-12-07 | 2019-06-13 | Johnson & Johnson Consumer Inc. | Oral Care Compositions |
Family Cites Families (12)
| Publication number | Priority date | Publication date | Assignee | Title |
|---|---|---|---|---|
| US3882600A (en) * | 1971-04-01 | 1975-05-13 | Richard W Plymale | Composition in method for treating teeth |
| JPS5590516A (en) * | 1978-12-28 | 1980-07-09 | Mitsubishi Rayon Co Ltd | Coating composition with excellent functionality |
| JPS585915A (ja) * | 1981-07-03 | 1983-01-13 | 株式会社東芝 | 保護継電器 |
| JPS61151104A (ja) * | 1984-12-25 | 1986-07-09 | Tokuyama Soda Co Ltd | 歯科用接着性被膜形成材 |
| JPS63100793A (ja) * | 1986-10-17 | 1988-05-02 | 株式会社日立製作所 | 細線のはんだ付構造,はんだ付方法およびそれに用いる装置 |
| GB8809998D0 (en) * | 1988-04-27 | 1988-06-02 | Wilson A D | Poly-vinylphosphonic acid & metal oxide/cement/glass ionomer cement |
| CA2077943C (en) * | 1991-09-20 | 2003-04-29 | Brian N. Holmes | Aesthetic, opalescent cold-polymerizable dental restorative |
| JP2678108B2 (ja) * | 1991-09-24 | 1997-11-17 | 株式会社クラレ | フッ素徐放性歯科用組成物 |
| EP0537972B1 (de) * | 1991-10-14 | 1996-07-10 | Nof Corporation | Behandlungslotion für Kontaktlinsen |
| US5367002A (en) * | 1992-02-06 | 1994-11-22 | Dentsply Research & Development Corp. | Dental composition and method |
| JP3526589B2 (ja) * | 1993-03-25 | 2004-05-17 | サンメディカル株式会社 | 歯質に接着性を有する表面被覆材 |
| US5645429A (en) * | 1994-08-22 | 1997-07-08 | Dentsply Research & Development Corp. | Method for adhering to tooth structure |
-
1997
- 1997-12-10 DE DE69737385T patent/DE69737385T2/de not_active Expired - Fee Related
- 1997-12-10 US US09/125,420 patent/US6048913A/en not_active Expired - Fee Related
- 1997-12-10 JP JP52123098A patent/JP3889449B2/ja not_active Expired - Fee Related
- 1997-12-10 CN CN97192392A patent/CN1104230C/zh not_active Expired - Fee Related
- 1997-12-10 EP EP97947871A patent/EP0897709B1/de not_active Expired - Lifetime
- 1997-12-10 WO PCT/JP1997/004533 patent/WO1998026749A1/ja not_active Ceased
Also Published As
| Publication number | Publication date |
|---|---|
| DE69737385D1 (de) | 2007-04-05 |
| EP0897709B1 (de) | 2007-02-21 |
| CN1104230C (zh) | 2003-04-02 |
| EP0897709A1 (de) | 1999-02-24 |
| JP3889449B2 (ja) | 2007-03-07 |
| US6048913A (en) | 2000-04-11 |
| WO1998026749A1 (en) | 1998-06-25 |
| CN1211915A (zh) | 1999-03-24 |
| EP0897709A4 (de) | 2004-12-15 |
Similar Documents
| Publication | Publication Date | Title |
|---|---|---|
| DE69737385T2 (de) | Zusammensetzung für die beschichtung von zähnen | |
| EP0366977B1 (de) | Mit sichtbarem Licht aushärtbare Dentalmassen | |
| DE69329585T2 (de) | Kosmetisches Mittel formuliert mit einer wässrigen Polymeremulsion | |
| EP0391322B1 (de) | Wässriger Nagellack | |
| DE60030542T2 (de) | Nicht stechendes überzugsmittel | |
| DE2833711C2 (de) | ||
| DE69838730T2 (de) | Zusammensetzung zur zahnbeschichtung | |
| DE69623255T2 (de) | Zahnzementzusammensetzung | |
| EP2081541A1 (de) | Mikroverkapselte photoinitiatoren und deren verwendung für dentalmaterialien | |
| DE2757773A1 (de) | Nagelueberzugsmittel | |
| JPWO1998026749A1 (ja) | 歯のコーティング剤組成物 | |
| DE69219201T2 (de) | Entferner für keratöse Komedonen | |
| DE69612870T2 (de) | Verfahren und zusammensetzung von schnelltrocknendem nagellack | |
| DE60118411T2 (de) | Zusammensetzung zur zahnbeschichtung | |
| DE10240855A1 (de) | Photopolymerisierbare dentale Beschichtungszusammensetzung | |
| EP0062052A4 (de) | Zahn-kosmetisches präparat. | |
| EP0734717A2 (de) | Neue Haarfestigungsmittel | |
| DE1492063B2 (de) | Verwendung von faerbenden Polymerisaten,in deren Molekuelgeruesten das die Faerbung bewirkende Molekuel selbst eingefuehrt worden ist,als faerbender Bestandteil in Haarfaerbemitteln | |
| EP1337222B1 (de) | Verwendung von polysäuren mit enger molmassenverteilung | |
| DE69403005T2 (de) | Wässriger Aerosolhaarlack für die Haarfixierung | |
| DE102004049344A1 (de) | Stabilisierung von wässrigen Lösungen von Homo- und Copolymeren des N-Vinylpyrrolidons | |
| DE3227334A1 (de) | Copolymerisate und ihre verwendung in haarbehandlungsmitteln | |
| DE3610808C2 (de) | ||
| DE4414351A1 (de) | Prothesenlagertrennmaterial | |
| EP1588689A1 (de) | Itaconsäuremonoester/Acrylat Copolymer und Polystyrolsulfonat enthaltende Haarbehandlungsmittel |
Legal Events
| Date | Code | Title | Description |
|---|---|---|---|
| 8364 | No opposition during term of opposition | ||
| 8339 | Ceased/non-payment of the annual fee |



























