DE01909263T1 - Verbindung mit Chelationsaffinität und Selektivität für Elemente der ersten Übergangselement-Reihe - Google Patents
Verbindung mit Chelationsaffinität und Selektivität für Elemente der ersten Übergangselement-Reihe Download PDFInfo
- Publication number
- DE01909263T1 DE01909263T1 DE0001261349T DE01909263T DE01909263T1 DE 01909263 T1 DE01909263 T1 DE 01909263T1 DE 0001261349 T DE0001261349 T DE 0001261349T DE 01909263 T DE01909263 T DE 01909263T DE 01909263 T1 DE01909263 T1 DE 01909263T1
- Authority
- DE
- Germany
- Prior art keywords
- alkyl
- interrupted
- alkenyl
- group
- oxa
- Prior art date
- Legal status (The legal status is an assumption and is not a legal conclusion. Google has not performed a legal analysis and makes no representation as to the accuracy of the status listed.)
- Pending
Links
- 230000007704 transition Effects 0.000 title claims abstract 6
- 230000009920 chelation Effects 0.000 title abstract 2
- 150000003839 salts Chemical class 0.000 claims abstract 11
- 206010063837 Reperfusion injury Diseases 0.000 claims abstract 3
- 239000002537 cosmetic Substances 0.000 claims abstract 3
- 208000002925 dental caries Diseases 0.000 claims abstract 3
- 208000024693 gingival disease Diseases 0.000 claims abstract 3
- 230000004792 oxidative damage Effects 0.000 claims abstract 3
- 125000000217 alkyl group Chemical group 0.000 claims 140
- 125000003342 alkenyl group Chemical group 0.000 claims 97
- 125000003118 aryl group Chemical group 0.000 claims 70
- 241000534944 Thia Species 0.000 claims 61
- 125000004171 alkoxy aryl group Chemical group 0.000 claims 60
- 125000003545 alkoxy group Chemical group 0.000 claims 60
- -1 aminoarylalkyl Chemical group 0.000 claims 60
- 125000005160 aryl oxy alkyl group Chemical group 0.000 claims 46
- 125000003302 alkenyloxy group Chemical group 0.000 claims 40
- 125000005108 alkenylthio group Chemical group 0.000 claims 40
- 125000004414 alkyl thio group Chemical group 0.000 claims 40
- 125000005021 aminoalkenyl group Chemical group 0.000 claims 40
- 125000004103 aminoalkyl group Chemical group 0.000 claims 40
- 125000005001 aminoaryl group Chemical group 0.000 claims 40
- 125000003710 aryl alkyl group Chemical group 0.000 claims 40
- 125000004104 aryloxy group Chemical group 0.000 claims 40
- 125000002768 hydroxyalkyl group Chemical group 0.000 claims 39
- 239000008139 complexing agent Substances 0.000 claims 35
- 125000005020 hydroxyalkenyl group Chemical group 0.000 claims 35
- 125000005110 aryl thio group Chemical group 0.000 claims 29
- 125000005027 hydroxyaryl group Chemical group 0.000 claims 28
- 239000000539 dimer Substances 0.000 claims 20
- 229910052736 halogen Inorganic materials 0.000 claims 12
- 125000005843 halogen group Chemical group 0.000 claims 12
- 125000004432 carbon atom Chemical group C* 0.000 claims 10
- 125000005647 linker group Chemical group 0.000 claims 10
- LLKJIZGVRHHRQB-UHFFFAOYSA-N [4,7-bis(phosphonomethyl)-1,4,7-triazonan-1-yl]methylphosphonic acid Chemical compound OP(O)(=O)CN1CCN(CP(O)(O)=O)CCN(CP(O)(O)=O)CC1 LLKJIZGVRHHRQB-UHFFFAOYSA-N 0.000 claims 5
- 125000004948 alkyl aryl alkyl group Chemical group 0.000 claims 4
- 150000002367 halogens Chemical class 0.000 claims 4
- 150000001336 alkenes Chemical class 0.000 claims 3
- 125000004946 alkenylalkyl group Chemical group 0.000 claims 3
- 125000002887 hydroxy group Chemical group [H]O* 0.000 claims 3
- 125000001412 tetrahydropyranyl group Chemical group 0.000 claims 3
- 208000035985 Body Odor Diseases 0.000 claims 2
- 230000015572 biosynthetic process Effects 0.000 claims 2
- 150000001768 cations Chemical class 0.000 claims 2
- 230000002401 inhibitory effect Effects 0.000 claims 2
- 239000002184 metal Substances 0.000 claims 2
- 208000028169 periodontal disease Diseases 0.000 claims 2
- 150000001875 compounds Chemical class 0.000 abstract 4
- 230000005764 inhibitory process Effects 0.000 abstract 3
- 230000000813 microbial effect Effects 0.000 abstract 2
- 230000001419 dependent effect Effects 0.000 abstract 1
- 230000002255 enzymatic effect Effects 0.000 abstract 1
- 239000000126 substance Substances 0.000 abstract 1
- 0 CCCCCCN(*)C[C@](C)* Chemical compound CCCCCCN(*)C[C@](C)* 0.000 description 1
Classifications
-
- A—HUMAN NECESSITIES
- A61—MEDICAL OR VETERINARY SCIENCE; HYGIENE
- A61Q—SPECIFIC USE OF COSMETICS OR SIMILAR TOILETRY PREPARATIONS
- A61Q11/00—Preparations for care of the teeth, of the oral cavity or of dentures; Dentifrices, e.g. toothpastes; Mouth rinses
-
- A—HUMAN NECESSITIES
- A61—MEDICAL OR VETERINARY SCIENCE; HYGIENE
- A61K—PREPARATIONS FOR MEDICAL, DENTAL OR TOILETRY PURPOSES
- A61K31/00—Medicinal preparations containing organic active ingredients
- A61K31/33—Heterocyclic compounds
- A61K31/395—Heterocyclic compounds having nitrogen as a ring hetero atom, e.g. guanethidine or rifamycins
-
- A—HUMAN NECESSITIES
- A61—MEDICAL OR VETERINARY SCIENCE; HYGIENE
- A61K—PREPARATIONS FOR MEDICAL, DENTAL OR TOILETRY PURPOSES
- A61K31/00—Medicinal preparations containing organic active ingredients
- A61K31/66—Phosphorus compounds
- A61K31/675—Phosphorus compounds having nitrogen as a ring hetero atom, e.g. pyridoxal phosphate
-
- A—HUMAN NECESSITIES
- A61—MEDICAL OR VETERINARY SCIENCE; HYGIENE
- A61K—PREPARATIONS FOR MEDICAL, DENTAL OR TOILETRY PURPOSES
- A61K8/00—Cosmetics or similar toiletry preparations
- A61K8/18—Cosmetics or similar toiletry preparations characterised by the composition
- A61K8/30—Cosmetics or similar toiletry preparations characterised by the composition containing organic compounds
- A61K8/40—Cosmetics or similar toiletry preparations characterised by the composition containing organic compounds containing nitrogen
- A61K8/41—Amines
-
- A—HUMAN NECESSITIES
- A61—MEDICAL OR VETERINARY SCIENCE; HYGIENE
- A61K—PREPARATIONS FOR MEDICAL, DENTAL OR TOILETRY PURPOSES
- A61K8/00—Cosmetics or similar toiletry preparations
- A61K8/18—Cosmetics or similar toiletry preparations characterised by the composition
- A61K8/30—Cosmetics or similar toiletry preparations characterised by the composition containing organic compounds
- A61K8/49—Cosmetics or similar toiletry preparations characterised by the composition containing organic compounds containing heterocyclic compounds
- A61K8/494—Cosmetics or similar toiletry preparations characterised by the composition containing organic compounds containing heterocyclic compounds with more than one nitrogen as the only hetero atom
-
- A—HUMAN NECESSITIES
- A61—MEDICAL OR VETERINARY SCIENCE; HYGIENE
- A61P—SPECIFIC THERAPEUTIC ACTIVITY OF CHEMICAL COMPOUNDS OR MEDICINAL PREPARATIONS
- A61P1/00—Drugs for disorders of the alimentary tract or the digestive system
- A61P1/02—Stomatological preparations, e.g. drugs for caries, aphtae, periodontitis
-
- A—HUMAN NECESSITIES
- A61—MEDICAL OR VETERINARY SCIENCE; HYGIENE
- A61P—SPECIFIC THERAPEUTIC ACTIVITY OF CHEMICAL COMPOUNDS OR MEDICINAL PREPARATIONS
- A61P17/00—Drugs for dermatological disorders
-
- A—HUMAN NECESSITIES
- A61—MEDICAL OR VETERINARY SCIENCE; HYGIENE
- A61P—SPECIFIC THERAPEUTIC ACTIVITY OF CHEMICAL COMPOUNDS OR MEDICINAL PREPARATIONS
- A61P31/00—Antiinfectives, i.e. antibiotics, antiseptics, chemotherapeutics
- A61P31/04—Antibacterial agents
-
- A—HUMAN NECESSITIES
- A61—MEDICAL OR VETERINARY SCIENCE; HYGIENE
- A61P—SPECIFIC THERAPEUTIC ACTIVITY OF CHEMICAL COMPOUNDS OR MEDICINAL PREPARATIONS
- A61P39/00—General protective or antinoxious agents
- A61P39/06—Free radical scavengers or antioxidants
-
- A—HUMAN NECESSITIES
- A61—MEDICAL OR VETERINARY SCIENCE; HYGIENE
- A61P—SPECIFIC THERAPEUTIC ACTIVITY OF CHEMICAL COMPOUNDS OR MEDICINAL PREPARATIONS
- A61P43/00—Drugs for specific purposes, not provided for in groups A61P1/00-A61P41/00
-
- A—HUMAN NECESSITIES
- A61—MEDICAL OR VETERINARY SCIENCE; HYGIENE
- A61P—SPECIFIC THERAPEUTIC ACTIVITY OF CHEMICAL COMPOUNDS OR MEDICINAL PREPARATIONS
- A61P9/00—Drugs for disorders of the cardiovascular system
-
- A—HUMAN NECESSITIES
- A61—MEDICAL OR VETERINARY SCIENCE; HYGIENE
- A61Q—SPECIFIC USE OF COSMETICS OR SIMILAR TOILETRY PREPARATIONS
- A61Q15/00—Anti-perspirants or body deodorants
-
- A—HUMAN NECESSITIES
- A61—MEDICAL OR VETERINARY SCIENCE; HYGIENE
- A61K—PREPARATIONS FOR MEDICAL, DENTAL OR TOILETRY PURPOSES
- A61K2800/00—Properties of cosmetic compositions or active ingredients thereof or formulation aids used therein and process related aspects
- A61K2800/40—Chemical, physico-chemical or functional or structural properties of particular ingredients
- A61K2800/51—Chelating agents
-
- A—HUMAN NECESSITIES
- A61—MEDICAL OR VETERINARY SCIENCE; HYGIENE
- A61K—PREPARATIONS FOR MEDICAL, DENTAL OR TOILETRY PURPOSES
- A61K2800/00—Properties of cosmetic compositions or active ingredients thereof or formulation aids used therein and process related aspects
- A61K2800/40—Chemical, physico-chemical or functional or structural properties of particular ingredients
- A61K2800/52—Stabilizers
- A61K2800/522—Antioxidants; Radical scavengers
-
- A—HUMAN NECESSITIES
- A61—MEDICAL OR VETERINARY SCIENCE; HYGIENE
- A61K—PREPARATIONS FOR MEDICAL, DENTAL OR TOILETRY PURPOSES
- A61K2800/00—Properties of cosmetic compositions or active ingredients thereof or formulation aids used therein and process related aspects
- A61K2800/74—Biological properties of particular ingredients
- A61K2800/78—Enzyme modulators, e.g. Enzyme agonists
- A61K2800/782—Enzyme inhibitors; Enzyme antagonists
Landscapes
- Health & Medical Sciences (AREA)
- Life Sciences & Earth Sciences (AREA)
- Animal Behavior & Ethology (AREA)
- General Health & Medical Sciences (AREA)
- Public Health (AREA)
- Veterinary Medicine (AREA)
- Chemical & Material Sciences (AREA)
- Medicinal Chemistry (AREA)
- Pharmacology & Pharmacy (AREA)
- Epidemiology (AREA)
- Nuclear Medicine, Radiotherapy & Molecular Imaging (AREA)
- Chemical Kinetics & Catalysis (AREA)
- General Chemical & Material Sciences (AREA)
- Organic Chemistry (AREA)
- Birds (AREA)
- Engineering & Computer Science (AREA)
- Bioinformatics & Cheminformatics (AREA)
- Oral & Maxillofacial Surgery (AREA)
- Biochemistry (AREA)
- Communicable Diseases (AREA)
- Oncology (AREA)
- Dermatology (AREA)
- Toxicology (AREA)
- Cardiology (AREA)
- Heart & Thoracic Surgery (AREA)
- Pharmaceuticals Containing Other Organic And Inorganic Compounds (AREA)
- Solid-Sorbent Or Filter-Aiding Compositions (AREA)
- Nitrogen And Oxygen Or Sulfur-Condensed Heterocyclic Ring Systems (AREA)
- Silicates, Zeolites, And Molecular Sieves (AREA)
- Cosmetics (AREA)
- Acyclic And Carbocyclic Compounds In Medicinal Compositions (AREA)
- Thiazole And Isothizaole Compounds (AREA)
Abstract
Verfahren zum Verhindern von Körpergerüchen bei einem Lebewesen, welches darin besteht, dass dem Lebewesen Kosmetika/Körperpflegeprodukte verabreicht werden, denen ein Komplexbildner mit der Formel worin
p und q unabhängig voneinander ganze Zahlen von 2 bis 3 sind,
r eine ganze Zahl von 1 bis 4 ist,
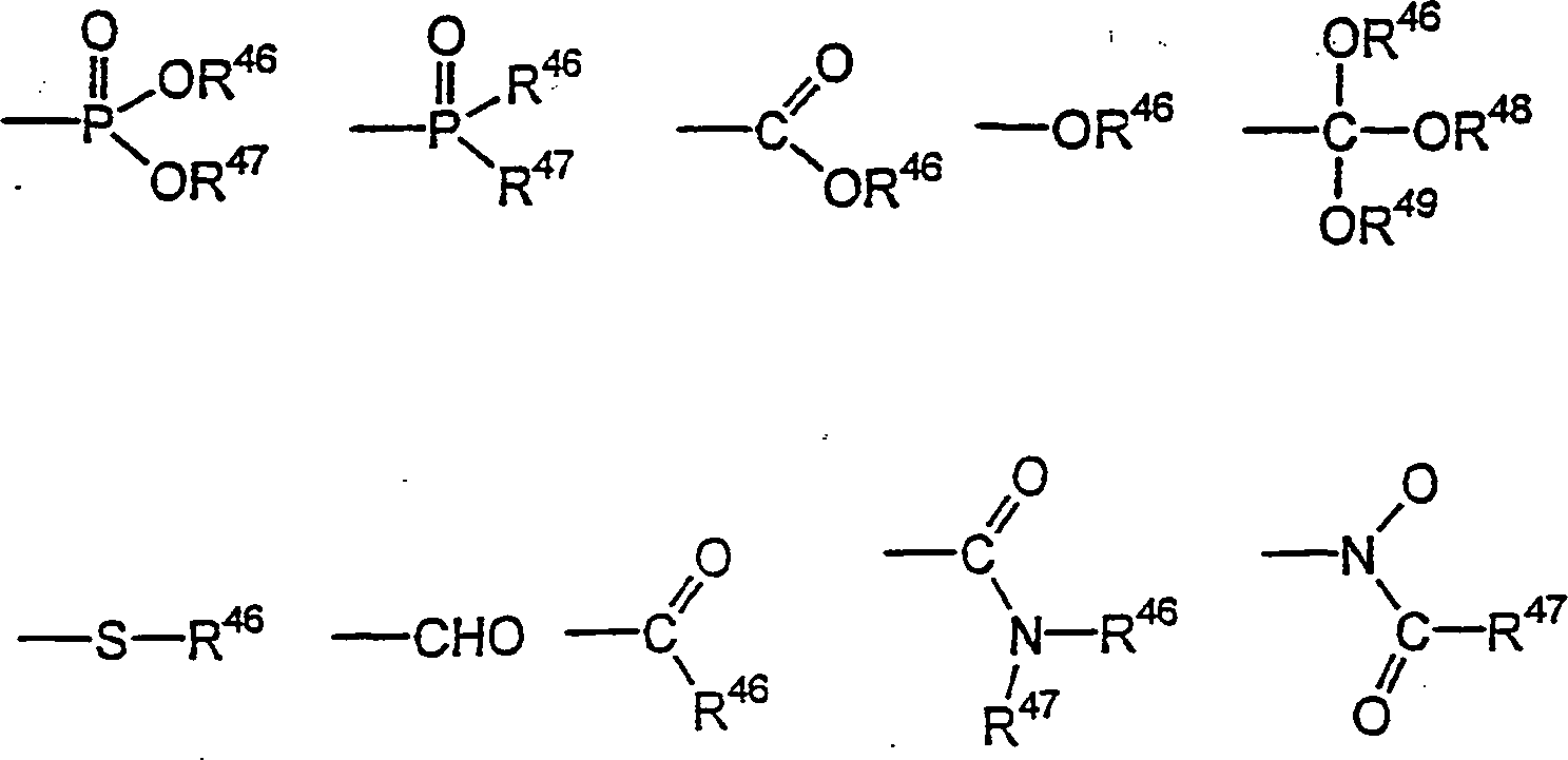
R2, R3 und R4 jeweils unabhängig voneinander aus der Gruppe ausgewählt sind, die aus H, Alkyl, Alkenyl, Aryl, Arylalkyl, Alkoxy, Alkylthio, Alkenyloxy, Alkenylthio, Aryloxy, Arylthio, durch Oxa unterbrochenem Alkyl, durch Oxa unterbrochenem Alkenyl, durch Thia unterbrochenem Alkyl, durch Thia unterbrochenem Alkenyl, Aryloxyalkyl, Alkoxyaryl, Aminoalkyl, Aminoalkenyl, Aminoaryl, Aminoarylalkyl, Hydroxyalkyl, Hydroxyalkenyl, Hydroxyaryl, Hydroxyarylalkyl und deren halogensubstituierten Derivaten besteht,
R1 ein Mitglied ist, das aus der aus R2, R3, R4 und Resten der Formel bestehenden Gruppe ausgewählt ist,
worin
R41, R42 und R43 jeweils unabhängig voneinander aus der Gruppe ausgewählt sind, die aus H, Alkyl, Alkenyl, Aryl, Arylalkyl, Alkoxy, Alkylthio, Alkenyloxy, Alkenylthio,...
p und q unabhängig voneinander ganze Zahlen von 2 bis 3 sind,
r eine ganze Zahl von 1 bis 4 ist,
R2, R3 und R4 jeweils unabhängig voneinander aus der Gruppe ausgewählt sind, die aus H, Alkyl, Alkenyl, Aryl, Arylalkyl, Alkoxy, Alkylthio, Alkenyloxy, Alkenylthio, Aryloxy, Arylthio, durch Oxa unterbrochenem Alkyl, durch Oxa unterbrochenem Alkenyl, durch Thia unterbrochenem Alkyl, durch Thia unterbrochenem Alkenyl, Aryloxyalkyl, Alkoxyaryl, Aminoalkyl, Aminoalkenyl, Aminoaryl, Aminoarylalkyl, Hydroxyalkyl, Hydroxyalkenyl, Hydroxyaryl, Hydroxyarylalkyl und deren halogensubstituierten Derivaten besteht,
R1 ein Mitglied ist, das aus der aus R2, R3, R4 und Resten der Formel bestehenden Gruppe ausgewählt ist,
worin
R41, R42 und R43 jeweils unabhängig voneinander aus der Gruppe ausgewählt sind, die aus H, Alkyl, Alkenyl, Aryl, Arylalkyl, Alkoxy, Alkylthio, Alkenyloxy, Alkenylthio,...
Claims (15)
- Verfahren zum Verhindern von Körpergerüchen bei einem Lebewesen, welches darin besteht, dass dem Lebewesen Kosmetika/Körperpflegeprodukte verabreicht werden, denen ein Komplexbildner mit der Formel worin p und q unabhängig voneinander ganze Zahlen von 2 bis 3 sind, r eine ganze Zahl von 1 bis 4 ist, R2, R3 und R4 jeweils unabhängig voneinander aus der Gruppe ausgewählt sind, die aus H, Alkyl, Alkenyl, Aryl, Arylalkyl, Alkoxy, Alkylthio, Alkenyloxy, Alkenylthio, Aryloxy, Arylthio, durch Oxa unterbrochenem Alkyl, durch Oxa unterbrochenem Alkenyl, durch Thia unterbrochenem Alkyl, durch Thia unterbrochenem Alkenyl, Aryloxyalkyl, Alkoxyaryl, Aminoalkyl, Aminoalkenyl, Aminoaryl, Aminoarylalkyl, Hydroxyalkyl, Hydroxyalkenyl, Hydroxyaryl, Hydroxyarylalkyl und deren halogensubstituierten Derivaten besteht, R1 ein Mitglied ist, das aus der aus R2, R3, R4 und Resten der Formel bestehenden Gruppe ausgewählt ist, worin R41, R42 und R43 jeweils unabhängig voneinander aus der Gruppe ausgewählt sind, die aus H, Alkyl, Alkenyl, Aryl, Arylalkyl, Alkoxy, Alkylthio, Alkenyloxy, Alkenylthio, Aryloxy, Arylthio, durch Oxa unterbrochenem Alkyl, durch Oxa unterbrochenem Alke nyl, durch Thia unterbrochenem Alkyl, durch Thia unterbrochenem Alkenyl, Aryloxyalkyl, Alkoxyaryl, Aminoalkyl, Aminoalkenyl, Aminoaryl, Aminoarylalkyl, Hydroxyalkyl, Hydroxyalkenyl, Hydroxyaryl, Hydroxyarylalkyl und deren halogensubstituierten Derivaten besteht, R44 ein aus der aus H, Hydroxy, Amino, durch Oxa unterbrochenem Alkyl, Alkoxy, Aryl, Aryloxyalkyl, Alkoxyaryl, Alkoxyaryl und deren halogensubstituierten Derivaten bestehenden Gruppe ausgewähltes Mitglied ist, n 0 oder 1 ist und X ein Mitglied ist, das aus der Gruppe ausgewählt ist, die aus Alkyl, Alkenyl, Aryl, Arylalkyl, Alkoxy, Alkylthio, Alkenyloxy, Alkenylthio, Aryloxy, Arylthio, durch Oxa unterbrochenem Alkyl, durch Oxa unterbrochenem Alkenyl, durch Thia unterbrochenem Alkyl, durch Thia unterbrochenem Alkenyl, Aryloxyalkyl, Alkoxyaryl, Aminoalkyl, Aminoalkenyl, Aminoaryl, Aminoarylalkyl, Hydroxyalkyl, Hydroxyalkenyl, Hydroxyaryl, Hydroxyarylalkyl, deren halogensubstituierten Derivaten und Resten, die aus der folgenden Gruppe ausgewählt sind, besteht: worin R41, R42, R43 und R44 jeweils unabhängig voneinander wie vorstehend definiert sind, R46 und R47 jeweils unabhängig voneinander aus der aus H, Alkyl und Aryl bestehenden Gruppe ausgegewählt sind oder zusammen eine Ringstruktur bilden, R48 und R49 jeweils unabhängig voneinander aus der aus H, Alkyl, Aryl, Alkoxy, durch Oxa unterbrochenem Alkyl, Aryloxyalkyl, Alkoxyaryl und halogensubstituierten Derivaten dieser bestehenden Gruppe ausgewählt sind, R50, R51 und R52 jeweils unabhängig voneinander aus der Gruppe ausgewählt sind, die aus H, Alkyl, Alkenyl, Aryl, Arylalkyl, Alkoxy, Alkylthio, Alkenyloxy, Alkenylthio, Aryloxy, Aminoalkyl, Aminoalkenyl, Aminoaryl, Aminoarylalkyl, Hydroxyalkyl, Hydroxyalkenyl, Hydroxyaryl und Hydroxyarylalkyl besteht und m eine ganze Zahl von 1 bis 3 ist, und wobei gegebenenfalls beliebige zwei der Reste R1, R2, R3 und R4 unter Bildung einer Ringstruktur kombiniert sind, bzw. Dimere der Formel I, wobei die Dimeren durch kovalente Verknüpfung von zwei Komplexbildnern der Formel I durch eine Verknüpfungsgruppe mit 1 bis 6 Kohlenstoffatomen gebildet sind und physiologische Salze davon, einverleibt sind, mit der Maßgabe, dass das Molekulargewicht des Komplexbildners 2000 nicht überschreitet.
- Verfahren zum Verhindern von Zahnverfall, Zahnfleischerkrankungen und Erkrankungen des Peridontiums bei einem Lebewesen, welches darin besteht, dass dem Lebewesen ein Mundpflegeprodukt verabreicht wird, welchem ein Komplexbildner der Formel worin p und q unabhängig voneinander entweder 2 oder 3 sind, r eine ganze Zahl von 1 bis 4 ist, R2, R3 und R4 jeweils unabhängig voneinander aus der Gruppe ausgewählt sind, die aus H, Alkyl, Alkenyl, Aryl, Arylalkyl, Alkoxy, Alkylthio, Alkenyloxy, Alkenylthio, Aryloxy, Arylthio, durch Oxa unterbrochenem Alkyl, durch Oxa unterbrochenem Alkenyl, durch Thia unterbrochenem Alkyl, durch Thia unterbrochenem Alkenyl, Aryloxyalkyl, Alkoxyaryl, Aminoalkyl, Aminoalkenyl, Aminoaryl, Aminoarylalkyl, Hydroxyalkyl, Hydroxyalkenyl, Hydroxyaryl, Hydroxyarylalkyl und deren halogensubstituierten Derivaten besteht, R1 ein Mitglied ist, das aus der aus R2, R3, R4 und Resten der Formel bestehenden Gruppe ausgewählt ist, worin R41, R42 und R43 jeweils unabhängig voneinander aus der Gruppe ausgewählt sind, die aus H, Alkyl, Alkenyl, Aryl, Arylalkyl, Alkoxy, Alkylthio, Alkenyloxy, Alkenylthio, Aryloxy, Arylthio, durch Oxa unterbrochenem Alkyl, durch Oxa unterbrochenem Alkenyl, durch Thia unterbrochenem Alkyl, durch Thia unterbrochenem Alkenyl, Aryloxyalkyl, Alkoxyaryl, Aminoalkyl, Aminoalkenyl, Aminoaryl, Aminoarylalkyl, Hydroxyalkyl, Hydroxyalkenyl, Hydroxyaryl, Hydroxyarylalkyl und deren halogensubstituierten Derivaten besteht, R44 ein aus der aus H, Hydroxy, Amino, durch Oxa unterbrochenem Alkyl, Alkoxy, Aryl, Aryloxyalkyl, Alkoxyaryl, Alkoxyaryl und deren halogensubstituierten Derivaten bestehenden Gruppe ausgewähltes Mitglied ist, n 0 oder 1 ist und X ein Mitglied ist, das aus der Gruppe ausgewählt ist, die aus Alkyl, Alkenyl, Aryl, Arylalkyl, Alkoxy, Alkylthio, Alkenyloxy, Alkenylthio, Aryloxy, Arylthio, durch Oxa unterbrochenem Alkyl, durch Oxa unterbrochenem Alkenyl, durch Thia unterbrochenem Alkyl, durch Thia unterbrochenem Alkenyl, Aryloxyalkyl, Alkoxyaryl, Aminoalkyl, Aminoalkenyl, Aminoaryl, Aminoarylalkyl, Hydroxyalkyl, Hydroxyalkenyl, Hydroxyaryl, Hydroxyarylalkyl, deren halogensubstituierten Derivaten und Resten, die aus der folgenden Gruppe ausgewählt sind, besteht: worin R41, R42, R43 und R44 jeweils unabhängig voneinander wie vorstehend definiert sind, R46 und R47 jeweils unabhängig voneinander aus der aus H, Alkyl und Aryl bestehenden Gruppe ausgegewählt sind oder zusammen eine Ringstruktur bilden, R48 und R49 jeweils unabhängig voneinander aus der aus H, Alkyl, Aryl, Alkoxy, durch Oxa unterbrochenem Alkyl, Aryloxyalkyl, Alkoxyaryl und halogensubstituierten Derivaten dieser bestehenden Gruppe ausgewählt sind, R50, R51 und R52 jeweils unabhängig voneinander aus der Gruppe ausgewählt sind, die aus H, Alkyl, Alkenyl, Aryl, Arylalkyl, Alkoxy, Alkylthio, Alkenyloxy, Alkenylthio, Aryloxy, Aminoalkyl, Aminoalkenyl, Aminoaryl, Aminoarylalkyl, Hydroxyalkyl, Hydroxyalkenyl, Hydroxyaryl und Hydroxyarylalkyl besteht und m eine ganze Zahl von 1 bis 3 ist, und wobei gegebenenfalls beliebige zwei der Reste R1, R2, R3 und R4 unter Bildung einer Ringstruktur kombiniert sind, und Dimere der Formel I, wobei die Dimeren durch kovalente Verknüpfung von zwei Komplexbildnern der Formel I durch eine Verknüpfungsgruppe mit 1 bis 6 Kohlenstoffatomen gebildet sind bzw. physiologische Salze davon, einverleibt sind, mit der Maßgabe, dass das Molekulargewicht des Komplexbildners 2000 nicht überschreitet.
- Verfahren zum Verhindern von oxidativer Schädigung der Haut und von Hautanhängen bei einem Lebewesen, das darin besteht, dass dem Lebewesen ein Pflegeprodukt für die Haut und die Hautanhänge verabreicht wird, dem ein Komplexbildner der Formel worin p und q unabhängig voneinander ganze Zahlen von 2 oder 3 sind, r eine ganze Zahl von 1 bis 4 ist, R2, R3 und R4 jeweils unabhängig voneinander aus der Gruppe ausgewählt sind, die aus H, Alkyl, Alkenyl, Aryl, Arylalkyl, Alkoxy, Alkylthio, Alkenyloxy, Alkenylthio, Aryloxy, Arylthio, durch Oxa unterbrochenem Alkyl, durch Oxa unterbrochenem Alkenyl, durch Thia unterbrochenem Alkyl, durch Thia unterbrochenem Alkenyl, Aryloxyalkyl, Alkoxyaryl, Aminoalkyl, Aminoalkenyl, Aminoaryl, Aminoarylalkyl, Hydroxyalkyl, Hydroxyalkenyl, Hydroxyaryl, Hydroxyarylalkyl und deren halogensubstituierten Derivaten besteht, R1 ein Mitglied ist, das aus der R2, R3, R4 und Resten der Formel bestehenden Gruppe ausgewählt ist, worin R41, R42 und R43 jeweils unabhängig voneinander aus der Gruppe ausgewählt sind, die aus H, Alkyl, Alkenyl, Aryl, Arylalkyl, Alkoxy, Alkylthio, Alkenyloxy, Alkenylthio, Aryloxy, Arylthio, durch Oxa unterbrochenem Alkyl, durch Oxa unterbrochenem Alkenyl, durch Thia unterbrochenem Alkyl, durch Thia unterbrochenem Alkenyl, Aryloxyalkyl, Alkoxyaryl, Aminoalkyl, Aminoalkenyl, Aminoaryl, Aminoarylalkyl, Hydroxyalkyl, Hydroxyalkenyl, Hydroxyaryl, Hydroxyarylalkyl und deren halogensubstituierten Derivaten besteht, R44 ein aus der aus H, Hydroxy, Amino, durch Oxa unterbrochenem Alkyl, Alkoxy, Aryl, Aryloxyalkyl, Alkoxyaryl, Alkoxyaryl und deren halogensubstituierten Derivaten bestehenden Gruppe ausgewählt ist, n 0 oder 1 ist und X ein Mitglied ist, das aus der Gruppe ausgewählt ist, die aus Alkyl, Alkenyl, Aryl, Arylalkyl, Alkoxy, Alkylthio, Alkenyloxy, Alkenylthio, Aryloxy, Arylthio, durch Oxa unterbrochenem Alkyl, durch Oxa unterbrochenem Alkenyl, durch Thia unterbrochenem Alkyl, durch Thia unterbrochenem Alkenyl, Aryloxyalkyl, Alkoxyaryl, Aminoalkyl, Aminoalkenyl, Aminoaryl, Aminoarylalkyl, Hydroxyalkyl, Hydroxyalkenyl, Hydroxyaryl, Hydroxyarylalkyl, deren halogensubstituierten Derivaten und Resten, die aus der folgenden Gruppe ausgewählt sind, besteht: worin R41, R42, R43 und R44 jeweils unabhängig voneinander wie vorstehend definiert sind, R46 und R47 jeweils unabhängig voneinander aus der aus H, Alkyl und Aryl bestehenden Gruppe ausgegewählt sind oder zusammen eine Ringstruktur bilden, R48 und R49 jeweils unabhängig voneinander aus der aus H, Alkyl, Aryl, Alkoxy, durch Oxa unterbrochenem Alkyl, Aryloxyalkyl, Alkoxyaryl und halogensubstituierten Derivaten dieser bestehenden Gruppe ausgewählt sind, R50, R51 und R52 jeweils unabhängig voneinander aus der Gruppe ausgewählt sind, die aus H, Alkyl, Alkenyl, Aryl, Arylalkyl, Alkoxy, Alkylthio, Alkenyloxy, Alkenylthio, Aryloxy, Aminoalkyl, Aminoalkenyl, Aminoaryl, Aminoarylalkyl, Hydroxyalkyl, Hydroxyalkenyl, Hydroxyaryl und Hydroxyarylalkyl besteht und m eine ganze Zahl von 1 bis 3 ist, und wobei gegebenenfalls beliebige zwei der Reste R1, R2, R3 und R4 unter Bildung einer Ringstruktur kombiniert sind, und Dimere der Formel I, wobei die Dimeren durch kovalente Verknüpfung von zwei Komplexbildnern der Formel I durch eine Verknüpfungsgruppe mit 1 bis 6 Kohlenstoffatomen gebildet sind und physiologische Salze davon, einverleibt sind, mit der Maßgabe, dass das Molekulargewicht des Komplexbildners 2000 nicht überschreitet.
- Verfahren zum Inhibieren von Metalloenzymen, die Metallkationen der ersten Übergangsgruppe enthalten, in einem Lebewesen, welches darin besteht, dass dem Lebewesen ein Komplexbildner, welcher die Formel hat, worin p und q unabhängig voneinander 2 oder 3 sind, r eine ganze Zahl von 1 bis 4 ist, R2, R3 und R4 jeweils unabhängig voneinander aus der Gruppe ausgewählt sind, die aus H, Alkyl, Alkenyl, Aryl, Arylalkyl, Alkoxy, Alkylthio, Alkenyloxy, Alkenylthio, Aryloxy, Arylthio, durch Oxa unterbrochenem Alkyl, durch Oxa unterbrochenem Alkenyl, durch Thia unterbrochenem Alkyl, durch Thia unterbrochenem Alkenyl, Aryloxyalkyl, Alkoxyaryl, Aminoalkyl, Aminoalkenyl, Aminoaryl, Aminoarylalkyl, Hydroxyalkyl, Hydroxyalkenyl, Hydroxyaryl, Hydroxyarylalkyl und deren halogensubstituierten Derivaten besteht, R1 ein Mitglied ist, das aus der aus R2, R3, R4 und Resten der Formel bestehenden Gruppe ausgewählt ist, worin R41, R42 und R43 jeweils unabhängig voneinander aus der Gruppe ausgewählt sind, die aus H, Alkyl, Alkenyl, Aryl, Arylalkyl, Alkoxy, Alkylthio, Alkenyloxy, Alkenylthio, Aryloxy, Arylthio, durch Oxa unterbrochenem Alkyl, durch Oxa unterbrochenem Alkenyl, durch Thia unterbrochenem Alkyl, durch Thia unterbrochenem Alkenyl, Aryloxyalkyl, Alkoxyaryl, Aminoalkyl, Aminoalkenyl, Aminoaryl, Aminoarylalkyl, Hydroxyalkyl, Hydroxyalkenyl, Hydroxyaryl, Hydroxyarylalkyl und deren halogensubstituierten Derivaten besteht, R44 ein aus der aus H, Hydroxy, Amino, durch Oxa unterbrochenem Alkyl, Alkoxy, Aryl, Aryloxyalkyl, Alkoxyaryl, Alkoxyaryl und deren halogensubstituierten Derivaten bestehenden Gruppe ausgewählt ist, n 0 oder 1 ist und X ein Mitglied ist, das aus der Gruppe ausgewählt ist, die aus Alkyl, Alkenyl, Aryl, Arylalkyl, Alkoxy, Alkylthio, Alkenyloxy, Alkenylthio, Aryloxy, Aryltrio, durch Oxa unterbrochenem Alkyl, durch Oxa unterbrochenem Alkenyl, durch Thia unterbrochenem Alkyl, durch Thia unterbrochenem Alkenyl, Aryloxyalkyl, Alkoxyaryl, Aminoalkyl, Aminoalkenyl, Aminoaryl, Amincarylalkyl, Hydroxyalkyl, Hydroxyalkenyl, Hydroxyaryl, Hydroxyarylalkyl, deren halogensubstituierten Derivaten und Resten, die aus der folgenden Gruppe ausgewählt sind, besteht: worin R41, R42, R43 und R44 jeweils unabhängig voneinander wie vorstehend definiert sind, R46 und R47 jeweils unabhängig voneinander aus der aus H, Alkyl und Aryl bestehenden Gruppe ausgegewählt sind oder zusammen eine Ringstruktur bilden, R48 und R49 jeweils unabhängig voneinander aus der aus H, Alkyl, Aryl, Alkoxy, durch Oxa unterbrochenem Alkyl, Aryloxyalkyl, Alkoxyaryl und halogensubstituierten Derivaten dieser bestehenden Gruppe ausgewählt sind, R50, R51 und R52 jeweils unabhängig voneinander aus der Gruppe ausgewählt sind, die aus H, Alkyl, Alkenyl, Aryl, Arylalkyl, Alkoxy, Alkylthio, Alkenyloxy, Alkenylthio, Aryloxy, Aminoalkyl, Aminoalkenyl, Aminoaryl, Aminoarylalkyl, Hydroxyalkyl, Hydroxyalkenyl, Hydroxyaryl und Hydroxyarylalkyl besteht und m eine ganze Zahl von 1 bis 3 ist, und wobei gegebenenfalls beliebige zwei der Reste R1, R2, R3 und R4 unter Bildung einer Ringstruktur kombiniert sind, und Dimere der Formel I, wobei die Dimeren durch kovalente Verknüpfung von zwei Komplexbildnern der Formel I durch eine Verknüpfungsgruppe mit 1 bis 6 Kohlenstoffatomen gebildet sind und physiologische Salze davon verabreicht oder auf dieses aufgetragen werden, mit der Maßgabe, dass das Molekulargewicht des Komplexbildners 2000 nicht überschreitet.
- Verfahren zum Verhindern von Reperfusions-Verletzung bei einem Lebewesen, das darin besteht, dass dem Lebewesen ein Komplexbildner der Formel worin p und q unabhängig voneinander ganze Zahlen von 2 bis 3 sind, r eine ganze Zahl von 1 bis 4 ist, R2, R3 und R4 jeweils unabhängig voneinander aus der Gruppe ausgewählt sind, die aus H, Alkyl, Alkenyl, Aryl, Arylalkyl, Alkoxy, Alkylthio, Alkenyloxy, Alkenylthio, Aryloxy, Arylthio, durch Oxa unterbrochenem Alkyl, durch Oxa unterbrochenem Alkenyl, durch Thia unterbrochenem Alkyl, durch Thia unterbrochenem Alkenyl, Aryloxyalkyl, Alkoxyaryl, Aminoalkyl, Aminoalkenyl, Aminoaryl, Aminoarylalkyl, Hydroxyalkyl, Hydroxyalkenyl, Hydroxyaryl, Hydroxyarylalkyl und deren halogensubstituierten Derivaten besteht, R1 ein Mitglied ist, das aus der R2, R3, R4 und Resten der Formel bestehenden Gruppe ausgewählt ist, worin R41, R42 und R43 jeweils unabhängig voneinander aus der Gruppe ausgewählt sind, die aus H, Alkyl, Alkenyl, Aryl, Arylalkyl, Alkoxy, Alkylthio, Alkenyloxy, Alkenylthio, Aryloxy, Arylthio, durch Oxa unterbrochenem Alkyl, durch Oxa unterbrochenem Alkenyl, durch Thia unterbrochenem Alkyl, durch Thia unterbrochenem Alkenyl, Aryloxyalkyl, Alkoxyaryl, Aminoalkyl, Aminoalkenyl, Aminoaryl, Aminoarylalkyl, Hydroxyalkyl, Hydroxyalkenyl, Hydroxyaryl, Hydroxyarylalkyl und deren halogensubstituierten Derivaten besteht, R44 ein aus der aus H, Hydroxy, Amino, durch Oxa unterbrochenem Alkyl, Alkoxy, Aryl, Aryloxyalkyl, Alkoxyaryl, Alkoxyaryl und deren halogensubstituierten Derivaten bestehenden Gruppe ausgewählt ist, n 0 oder 1 ist und X ein Mitglied ist, das aus der Gruppe ausgewählt ist, die aus Alkyl, Alkenyl, Aryl, Arylalkyl, Alkoxy, Alkylthio, Alkenyloxy, Alkenylthio, Aryloxy, Arylthio, durch Oxa unterbrochenem Alkyl, durch Oxa unterbrochenem Alkenyl, durch Thia unterbrochenem Alkyl, durch Thia unterbrochenem Alkenyl, Aryloxyalkyl, Alkoxyaryl, Aminoalkyl, Aminoalkenyl, Aminoaryl, Aminoarylalkyl, Hydroxyalkyl, Hydroxyalkenyl, Hydroxyaryl, Hydroxyarylalkyl, deren halogensubstituierten Derivaten und Resten, die aus der folgenden Gruppe ausgewählt sind, besteht: worin R41, R42, R43 und R44 jeweils unabhängig voneinander wie vorstehend definiert sind, R46 und R47 jeweils unabhängig voneinander aus der aus H, Alkyl und Aryl bestehenden Gruppe ausgegewählt sind oder zusammen eine Ringstruktur bilden, R48 und R49 jeweils unabhängig voneinander aus der aus H, Alkyl, Aryl, Alkoxy, durch Oxa unterbrochenem Alkyl, Aryloxyalkyl, Alkoxyaryl und halogensubstituierten Derivaten dieser bestehenden Gruppe ausgewählt sind, R50, R51 und R52 jeweils unabhängig voneinander aus der Gruppe ausgewählt sind, die aus H, Alkyl, Alkenyl, Aryl, Arylalkyl, Alkoxy, Alkylthio, Alkenyloxy, Alkenylthio, Aryloxy, Aminoalkyl, Aminoalkenyl, Aminoaryl, Aminoarylalkyl, Hydroxyalkyl, Hydroxyalkenyl, Hydroxyaryl und Hydroxyarylalkyl besteht und m eine ganze Zahl von 1 bis 3 ist, und wobei gegebenenfalls beliebige zwei der Reste R1, R2, R3 und R4 unter Bildung einer Ringstruktur kombiniert sind, und Dimere der Formel I, wobei die Dimeren durch kovalente Verknüpfung von zwei Komplexbildnern der Formel I durch eine Verknüpfungsgruppe mit 1 bis 6 Kohlenstoffatomen gebildet sind bzw. physiologische Salze davon, verabreicht werden, mit der Maßgabe, dass das Molekulargewicht des Komplexbildners 2000 nicht überschreitet.
- Verfahren zum Verhindern von Körpergerüchen bei einem Lebewesen, welches darin besteht, dass dem Lebewesen Kosmetika/Körperpflegeprodukte verabreicht werden, denen ein Komplexbildner mit der Formel worin t, u und v jeweils unabhängig 2 oder 3 sind, w eine ganze Zahl von 1 bis 4 ist, R11 und R13 jeweils unabhängig voneinander aus der aus H, Alkyl, Alkenyl, Aryl, Arylalkyl, Alkoxy, Alkylthio, Alkenyloxy, Alkenylthio, Aryloxy, Arylthio, durch Oxa unterbrochenem Alkyl, durch Oxa unterbrochenem Alkenyl, durch Thia unterbrochenem Alkyl, durch Thia unterbrochenem Alkenyl, Aryloxyalkyl, Alkoxyaryl, Aminoalkyl, Aminoalkenyl, Aminoaryl, Aminoarylalkyl, Hydroxyalkyl, Hydroxyalkenyl, Hydroxyaryl, Hydroxyarylalkyl und halogensubstituierten Derivaten davon bestehenden Gruppe ausgewählt sind, R11 ein aus der aus R11, R12 und Resten der Formel bestehenden Gruppe ausgewähltes Mitglied ist, worin R41, R42 und R43 jeweils unabhängig voneinander aus der Gruppe ausgewählt sind, die aus H, Alkyl, Alkenyl, Aryl, Arylalkyl, Alkoxy, Alkylthio, Alkenyloxy, Alkenylthio, Aryloxy, Arylthio, durch Oxa unterbrochenem Alkyl, durch Oxa unterbrochenem Alkenyl, durch Thia unterbrochenem Alkyl, durch Thia unterbrochenem Alkenyl, Aryloxyalkyl, Alkoxyaryl, Aminoalkyl, Aminoalkenyl, Aminoaryl, Aminoarylalkyl, Hydroxyalkyl, Hydroxyalkenyl, Hydroxyaryl, Hydroxyarylalkyl und halogensubstituierten Derivaten davon besteht, R44 ein Mitglied ist, das aus der aus H, Hydroxy, Amino, durch Oxa unterbrochenem Alkyl, Alkoxy, Aryl, Aryloxyalkyl, Alkoxyaryl, Alkoxyaryl und halogensubstituierten Derivaten davon bestehenden Gruppe ausgewählt ist, n 0 oder 1 ist, und X ein Mitglied ist, das aus der Gruppe ausgewählt ist, die aus Alkyl, Alkenyl, Aryl, Arylalkyl, Alkoxy, Alkylthio, Alkenyloxy, Alkenylthio, Aryloxy, Arylthio, durch Oxa unterbrochenem Alkyl, durch Oxa unterbrochenem Alkenyl, durch Thia unterbrochenem Alkyl, durch Thia unterbrochenem Alkenyl, Aryloxyalkyl, Alkoxyaryl, Aminoalkyl, Aminoalkenyl, Aminoaryl, Aminoarylalkyl, Hydroxyalkyl, Hydroxyalkenyl, Hydroxyaryl, Hydroxy– arylalkyl, halogensubstituierten Derivaten davon und aus der folgenden Gruppe ausgewählten Resten besteht: worin R41, R42, R43 und R44 jeweils unabhängig voneinander wie vorstehend definiert sind, R46 und R47 jeweils unabhängig voneinander aus der aus H, Alkyl und Aryl bestehenden Gruppe ausgewählt sind oder zusammen eine Ringstruktur bilden, R48 und R49 jeweils unabhängig voneinander aus der aus H, Alkyl, Aryl, Alkoxy, durch Oxa unterbrochenem Alkyl, Aryloxyalkyl, Alkoxyaryl und halogensubstituierten Derivaten dieser bestehenden Gruppe ausgewählt sind, R50, R51 und R52 jeweils unabhängig voneinander aus der aus H, Alkyl, Alkenyl, Aryl, Arylalkyl, Alkoxy, Alkylthio, Alkenyloxy, Alkenylthio, Aryloxy, Aminoalkyl, Aminoalkenyl, Aminoaryl, Aminoarylalkyl, Hydroxyalkyl, Hydroxyalkenyl, Hydroxyaryl und Hydroxyarylalkyl bestehenden Gruppe ausgewählt sind und m eine ganze Zahl von 1 bis 3 ist, und worin gegebenenfalls beliebige zwei der Reste R11, R12 und R13 unter Bildung einer Ringstruktur kombiniert sind, und Dimere der Formel II, wobei die Dimeren durch kovalente Verknüpfung von zwei Komplexbildnern der Formel II durch eine Verknüpfungsgruppe mit 1 bis 6 Kohlenstoffatomen gebildet sind und physiologische Salze davon einverleibt sind, mit der Maßgabe, dass das Molekulargewicht des Komplexbildners 2000 nicht überschreitet.
- Verfahren zum Verhindern von Zahnverfall, Zahnfleischerkrankungen und Erkrankungen des Peridontiums bei einem Lebewesen, welches darin besteht, dass dem Lebewesen ein Mundpflegeprodukt verabreicht wird, welchem ein Komplexbildner der Formel worin t, u und v jeweils unabhängig 2 oder 3 sind, w eine ganze Zahl von 1 bis 4 ist, R11 und R13 jeweils unabhängig voneinander aus der aus H, Alkyl, Alkenyl, Aryl, Arylalkyl, Alkoxy, Alkylthio, Alkenyloxy, Alkenylthio, Aryloxy, Arylthio, durch Oxa unterbrochenem Alkyl, durch Oxa unterbrochenem Alkenyl, durch Thia unterbrochenem Alkyl, durch Thia unterbrochenem Alkenyl, Aryloxyalkyl, Alkoxyaryl, Aminoalkyl, Aminoalkenyl, Aminoaryl, Aminoarylalkyl, Hydroxyalkyl, Hydroxyalkenyl, Hydroxyaryl, Hydroxyarylalkyl und halogensubstituierten Derivaten davon bestehenden Gruppe ausgewählt sind, R11 ein aus der aus R11, R12 und Resten der Formel bestehenden Gruppe ausgewähltes Mitglied ist, worin R41, R42 und R43 jeweils unabhängig voneinander aus der Gruppe ausgewählt sind, die aus H, Alkyl, Alkenyl, Aryl, Arylalkyl, Alkoxy, Alkylthio, Alkenyloxy, Alkenylthio, Aryloxy, Arylthio, durch Oxa unterbrochenem Alkyl, durch Oxa unterbrochenem Alkenyl, durch Thia unterbrochenem Alkyl, durch Thia unterbrochenem Alkenyl, Aryloxyalkyl, Alkoxyaryl, Aminoalkyl, Aminoalkenyl, Aminoaryl, Aminoarylalkyl, Hydroxyalkyl, Hydroxyalkenyl, Hydroxyaryl, Hydroxyarylalkyl und halogensubstituierten Derivaten davon besteht, R44 ein Mitglied ist, das aus der aus H, Hydroxy, Amino, durch Oxa unterbrochenem Alkyl, Alkoxy, Aryl, Aryloxyalkyl, Alkoxyaryl, Alkoxyaryl und halogensubstituierten Derivaten davon bestehenden Gruppe ausgewählt ist, n 0 oder 1 ist, und X ein Mitglied ist, das aus der Gruppe ausgewählt ist, die aus Alkyl, Alkenyl, Aryl, Arylalkyl, Alkoxy, Alkylthio, Alkenyloxy, Alkenylthio, Aryloxy, Arylthio, durch Oxa unterbrochenem Alkyl, durch Oxa unterbroche– nem Alkenyl, durch Thia unterbrochenem Alkyl, durch Thia unterbrochenem Alkenyl, Aryloxyalkyl, Alkoxyaryl, Aminoalkyl, Aminoalkenyl, Aminoaryl, Aminoarylalkyl, Hydroxyalkyl, Hydroxyalkenyl, Hydroxyaryl, Hydroxyarylalkyl, halogensubstituierten Derivaten davon und aus der folgenden Gruppe ausgewählten Resten besteht: worin R41, R42, R43 und R44 jeweils unabhängig voneinander wie vorstehend definiert sind, R46 und R47 jeweils unabhängig voneinander aus der aus H, Alkyl und Aryl bestehenden Gruppe ausgewählt sind oder zusammen eine Ringstruktur bilden, R48 und R49 jeweils unabhängig voneinander aus der aus H, Alkyl, Aryl, Alkoxy, durch Oxa unterbrochenem Alkyl, Aryloxyalkyl, Alkoxyaryl und halogensubstituierten Derivaten dieser bestehenden Gruppe ausgewählt sind, R50, R51 und R52 jeweils unabhängig voneinander aus der aus H, Alkyl, Alkenyl, Aryl, Arylalkyl, Alkoxy, Alkylthio, Alkenyloxy, Alkenylthio, Aryloxy, Aminoalkyl, Aminoalkenyl, Aminoaryl, Aminoarylalkyl, Hydroxyalkyl, Hydroxyalkenyl, Hydroxyaryl und Hydroxyarylalkyl bestehenden Gruppe ausgewählt sind und m eine ganze Zahl von 1 bis 3 ist, und worin gegebenenfalls beliebige zwei der Reste R11, R12 und R13 unter Bildung einer Ringstruktur kombiniert sind, und Dimere der Formel II, wobei die Dimeren durch kovalente Verknüpfung von zwei Komplexbildnern der Formel II durch eine Verknüpfungsgruppe mit 1 bis 6 Kohlenstoffatomen gebildet sind und physiologische Salze davon einverleibt sind, mit der Maßgabe, dass das Molekulargewicht des Komplexbildners 2000 nicht überschreitet.
- Verfahren zum Verhindern von oxidativer Schädigung der Haut und von Hautanhängen bei einem Lebewesen, das darin besteht, dass dem Lebewesen ein Pflegeprodukt für die Haut und die Hautanhänge verabreicht wird, dem ein Komplexbildner der Formel worin t, u und v jeweils unabhängig 2 oder 3 sind, w eine ganze Zahl von 1 bis 4 ist, R11 und R13 jeweils unabhängig voneinander aus der aus H, Alkyl, Alkenyl, Aryl, Arylalkyl, Alkoxy, Alkylthio, Alkenyloxy, Alkenylthio, Aryloxy, Arylthio, durch Oxa unterbrochenem Alkyl, durch Oxa unterbrochenem Alkenyl, durch Thia unterbrochenem Alkyl, durch Thia unterbrochenem Alkenyl, Arylouxyalkyl, Alkoxyaryl, Aminoalkyl, Aminoalkenyl, Aminoaryl, Aminoarylalkyl, Hydroxyalkyl, Hydroxyalkenyl, Hydroxyaryl, Hydroxyarylalkyl und halogensubstituierten Derivaten davon bestehenden Gruppe ausgewählt sind, R11 ein aus der aus R11, R12 und Resten der Formel bestehenden Gruppe ausgewähltes Mitglied ist, worin R41, R42 und R43 jeweils unabhängig voneinander aus der Gruppe ausgewählt sind, die aus H, Alkyl, Alkenyl, Aryl, Arylalkyl, Alkoxy, Alkylthio, Alkenyloxy, Alkenylthio, Aryloxy, Arylthio, durch Oxa unterbrochenem Alkyl, durch Oxa unterbrochenem Alkenyl, durch Thia unterbrochenem Alkyl, durch Thia unterbrochenem Alkenyl, Aryloxyalkyl, Alkoxyaryl, Aminoalkyl, Aminoalkenyl, Aminoaryl, Aminoarylalkyl, Hydroxyalkyl, Hydroxyalkenyl, Hydroxyaryl, Hydroxyarylalkyl und halogensubstituierten Derivaten davon besteht, R44 ein Mitglied ist, das aus der aus H, Hydroxy, Amino, durch Oxa unterbrochenem Alkyl, Alkoxy, Aryl, Aryloxyalkyl, Alkoxyaryl, Alkoxyaryl und halogensubstituierten Derivaten davor. bestehenden Gruppe ausgewählt ist, n 0 oder 1 ist, und X ein Mitglied ist, das aus der Gruppe ausgewählt ist, die aus Alkyl, Alkenyl, Aryl, Arylalkyl, Alkoxy, Alkylthio, Alkenyloxy, Alkenylthio, Aryloxy, Arylthio, durch Oxa unterbrochenem Alkyl, durch Oxa unterbrochenem Alkenyl, durch Thia unterbrochenem Alkyl, durch Thia unterbrochenem Alkenyl, Aryloxyalkyl, Alkoxyaryl, Aminoalkyl, Aminoalkenyl, Aminoaryl, Aminoarylalkyl, Hydroxyalkyl, Hydroxyalkenyl, Hydroxyaryl, Hydroxyarylalkyl, halogensubstituierten Derivaten davon und aus der folgenden Gruppe ausgewählten Resten besteht: worin R41, R42, R43 und R44 jeweils unabhängig voneinander wie vorstehend definiert sind, R46 und R47 jeweils unabhängig voneinander aus der aus H, Alkyl und Aryl bestehenden Gruppe ausgewählt sind oder zusammen eine Ringstruktur bilden, R48 und R49 jeweils unabhängig voneinander aus der aus H, Alkyl, Aryl, Alkoxy, durch Oxa unterbrochenem Alkyl, Aryloxyalkyl, Alkoxyaryl und halogensubstituierten Derivaten dieser bestehenden Gruppe ausgewählt sind, R50, R51 und R52 jeweils unabhängig voneinander aus der aus H, Alkyl, Alkenyl, Aryl, Arylalkyl, Alkoxy, Alkylthio, Alkenyloxy, Alkenylthio, Aryloxy, Aminoalkyl, Aminoalkenyl, Aminoaryl, Aminoarylalkyl, Hydroxyalkyl, Hydroxyalkenyl, Hydroxyaryl und Hydroxyarylalkyl bestehenden Gruppe ausgewählt sind und m eine ganze Zahl von 1 bis 3 ist, und worin gegebenenfalls beliebige zwei der Reste R11, R12 und R13 unter Bildung einer Ringstruktur kombiniert sind, und Dimere der Formel II, wobei die Dimeren durch kovalente Verknüpfung von zwei Komplexbildnern der Formel II durch eine Verknüpfungsgruppe mit 1 bis 6 Kohlenstoffatomen gebildet sind und physiologische Salze davon einverleibt sind, mit der Maßgabe, dass das Molekulargewicht des Komplexbildners 2000 nicht überschreitet.
- Verfahren zum Inhibieren von Metalloenzymen, die Metallkationen der ersten Übergangsgruppe enthalten, in einem Lebewesen, welches darin besteht, dass dem Lebewesen ein Komplexbildner mit der Formel worin t, u und v jeweils unabhängig 2 oder 3 sind, w eine ganze Zahl von 1 bis 4 ist, R11 und R13 jeweils unabhängig voneinander aus der aus H, Alkyl, Alkenyl, Aryl, Arylalkyl, Alkoxy, Alkylthio, Alkenyloxy, Alkenylthio, Aryloxy, Arylthio, durch Oxa unterbrochenem Alkyl, durch Oxa unterbrochenem Alkenyl, durch Thia unterbrochenem Alkyl, durch Thia unterbrochenem Alkenyl, Aryloxyalkyl, Alkoxyaryl, Aminoalkyl, Aminoalkenyl, Aminoaryl, Aminoarylalkyl, Hydroxyalkyl, Hydroxyalkenyl, Hydroxyaryl, Hydroxyarylalkyl und halogensubstituierten Derivaten davon bestehenden Gruppe ausgewählt sind, R11 ein aus der aus R11, R12 und Resten der Formel bestehenden Gruppe ausgewähltes Mitglied ist, worin R41, R42 und R43 jeweils unabhängig voneinander aus der Gruppe ausgewählt sind, die aus H, Alkyl, Alkenyl, Aryl, Arylalkyl, Alkoxy, Alkylthio, Alkenyloxy, Alkenylthio, Aryloxy, Arylthio, durch Oxa unterbrochenem Alkyl, durch Oxa unterbrochenem Alkenyl, durch Thia unterbrochenem Alkyl, durch Thia unterbrochenem Alkenyl, Aryloxyalkyl, Alkoxyaryl, Aminoalkyl, Aminoalkenyl, Aminoaryl, Aminoarylalkyl, Hydroxyalkyl, Hydroxyalkenyl, Hydroxyaryl, Hydroxyarylalkyl und halogensubstituierten Derivaten davon besteht, R44 ein Mitglied ist, das aus der aus H, Hydroxy, Amino, durch Oxa unterbrochenem Alkyl, Alkoxy, Aryl, Aryloxyalkyl, Alkoxyaryl, Alkoxyaryl und halogensubstituierten Derivaten davon bestehenden Gruppe ausgewählt ist, n 0 oder 1 ist, und X ein Mitglied ist, das aus der Gruppe ausgewählt ist, die aus Alkyl, Alkenyl, Aryl, Arylalkyl, Alkoxy, Alkylthio, Alkenyloxy, Alkenylthio, Aryloxy, Arylthio, durch Oxa unterbrochenem Alkyl, durch Oxa unterbrochenem Alkenyl, durch Thia unterbrochenem Alkyl, durch Thia unterbrochenem Alkenyl, Aryloxyalkyl, Alkoxyaryl, Aminoalkyl, Aminoalkenyl, Aminoaryl, Aminoarylalkyl, Hydroxyalkyl, Hydroxyalkenyl, Hydroxyaryl, Hydroxyarylalkyl, halogensubstituierten Derivaten davon und aus der folgenden Gruppe ausgewählten Resten besteht: worin R41, R42, R43 und R44 jeweils unabhängig voneinander wie vorstehend definiert sind, R46 und R47 jeweils unabhängig voneinander aus der aus H, Alkyl und Aryl bestehenden Gruppe ausgewählt sind oder zusammen eine Ringstruktur bilden, R48 und R49 jeweils unabhängig voneinander aus der aus H, Alkyl, Aryl, Alkoxy, durch Oxa unterbrochenem Alkyl, Aryloxyalkyl, Alkoxyaryl und halogensubstituierten Derivaten dieser bestehenden Gruppe ausgewählt sind, R50, R51 und R52 jeweils unabhängig voneinander aus der aus H, Alkyl, Alkenyl, Aryl, Arylalkyl, Alkoxy, Alkylthio, Alkenyloxy, Alkenylthio, Aryloxy, Aminoalkyl, Aminoalkenyl, Aminoaryl, Aminoarylalkyl, Hydroxyalkyl, Hydroxyalkenyl, Hydroxyaryl und Hydroxyarylalkyl bestehenden Gruppe ausgewählt sind und m eine ganze Zahl von 1 bis 3 ist, und worin gegebenenfalls beliebige zwei der Reste R11, R12 und R13 unter Bildung einer Ringstruktur kombiniert sind, und Dimere der Formel II, wobei die Dimeren durch kovalente Verknüpfung von zwei Komplexbildnern der Formel II durch eine Verknüpfungsgruppe mit 1 bis 6 Kohlenstoffatomen gebildet sind und physiologische Salze davon einverleibt sind, mit der Maßgabe, dass das Molekulargewicht des Komplexbildners 2000 nicht überschreitet.
- Verfahren zum Verhindern von Reperfusions-Verletzung bei einem Lebewesen, das darin besteht, dass dem Lebewesen ein Komplexbildner der Formel worin t, u und v jeweils unabhängig 2 oder 3 sind, w eine ganze Zahl von 1 bis 4 ist, R11 und R13 jeweils unabhängig voneinander aus der aus H, Alkyl, Alkenyl, Aryl, Arylalkyl, Alkoxy, Alkylthio, Alkenyloxy, Alkenylthio, Aryloxy, Arylthio, durch Oxa unterbrochenem Alkyl, durch Oxa unterbrochenem Alkenyl, durch Thia unterbrochenem Alkyl, durch Thia unterbrochenem Alkenyl, Aryloxyalkyl, Alkoxyaryl, Aminoalkyl, Aminoalkenyl, Aminoaryl, Aminoarylalkyl, Hydroxyalkyl, Hydroxyalkenyl, Hydroxyaryl, Hydroxyarylalkyl und halogensubstituierten Derivaten davon bestehenden Gruppe ausgewählt sind, R11 ein aus der aus R11, R12 und Resten der Formel bestehenden Gruppe ausgewähltes Mitglied ist, worin R41, R42 und R43 jeweils unabhängig voneinander aus der Gruppe ausgewählt sind, die aus H, Alkyl, Alkenyl, Aryl, Arylalkyl, Alkoxy, Alkylthio, Alkenyloxy, Alkenylthio, Aryloxy, Arylthio, durch Oxa unterbrochenem Alkyl, durch Oxa unterbrochenem Alkenyl, durch Thia unterbrochenem Alkyl, durch Thia unterbrochenem Alkenyl, Aryloxyalkyl, Alkoxyaryl, Aminoalkyl, Aminoalkenyl, Aminoaryl, Aminoarylalkyl, Hydroxyalkyl, Hydroxyalkenyl, Hydroxyaryl, Hydroxyarylalkyl und halogensubstituierten Derivaten davon besteht, R44 ein Mitglied ist, das aus der aus H, Hydroxy, Amino, durch Oxa unterbrochenem Alkyl, Alkoxy, Aryl, Aryloxyalkyl, Alkoxyaryl, Alkoxyaryl und halogensubstituierten Derivaten davon bestehenden Gruppe ausgewählt ist, n 0 oder 1 ist, und X ein Mitglied ist, das aus der Gruppe ausgewählt ist, die aus Alkyl, Alkenyl, Aryl, Arylalkyl, Alkoxy, Alkylthio, Alkenyloxy, Alkenylthio, Aryloxy, Arylthio, durch Oxa unterbrochenem Alkyl, durch Oxa unterbrochenem Alkenyl, durch Thia unterbrochenem Alkyl, durch Thia unterbrochenem Alkenyl, Aryloxyalkyl, Alkoxyaryl, Aminoalkyl, Aminoalkenyl, Aminoaryl, Aminoarylalkyl, Hydroxyalkyl, Hydroxyalkenyl, Hydroxyaryl, Hydroxyarylalkyl, halogensubstituierten Derivaten davon und aus der folgenden Gruppe ausgewählten Resten besteht: worin R41, R42, R43 und R44 jeweils unabhängig voneinander wie vorstehend definiert sind, R46 und R47 jeweils unabhängig voneinander aus der aus H, Alkyl und Aryl bestehenden Gruppe ausgewählt sind oder zusammen eine Ringstruktur bilden, R48 und R49 jeweils unabhängig voneinander aus der aus H, Alkyl, Aryl, Alkoxy, durch Oxa unterbrochenem Alkyl, Aryloxyalkyl, Alkoxyaryl und halogensubstituierten Derivaten dieser bestehenden Gruppe ausgewählt sind, R50, R51 und R52 jeweils unabhängig voneinander aus der aus H, Alkyl, Alkenyl, Aryl, Arylalkyl, Alkoxy, Alkylthio, Alkenyloxy, Alkenylthio, Aryloxy, Aminoalkyl, Aminoalkenyl, Aminoaryl, Aminoarylalkyl, Hydroxyalkyl, Hydroxyalkenyl, Hydroxyaryl und Hydroxyarylalkyl bestehenden Gruppe ausgewählt sind und m eine ganze Zahl von 1 bis 3 ist, und worin gegebenenfalls beliebige zwei der Reste R11, R12 und R13 unter Bildung einer Ringstruktur kombiniert sind, und Dimere der Formel II, wobei die Dimeren durch kovalente Verknüpfung von zwei Komplexbildnern der Formel II durch eine Verknüpfungsgruppe mit 1 bis 6 Kohlenstoffatomen gebildet sind und physiologische Salze davon verabreicht werden, mit der Maßgabe, dass das Molekulargewicht des Komplexbildners 2000 nicht überschreitet.
- Verfahren nach Anspruch 6, bei dem der Komplexbildner N,N',N"-Tri(dihydroxyphosphoryl-methyl)-1,4,7-triazacyclononan ist.
- Verfahren nach Anspruch 7, bei dem der Komplexbildner N,N',N"-Tri(dihydroxyphosphoryl-methyl)-1,4,7-triazacyclononan ist.
- Verfahren nach Anspruch 8, bei dem der Komplexbildner N,N',N"-Tri(dihydroxyphosphoryl-methyl)-1,4,7-triazacyclononan ist.
- Verfahren nach Anspruch 9, bei dem der Komplexbildner N,N',N"-Tri(dihydroxyphosphoryl-methyl)-1,4,7-triazacyclononan ist.
- Verfahren nach Anspruch 10, bei dem der Komplexbildner N,N',N"-Tri(dihydroxyphosphoryl-methyl)-1,4,7-triazacyclononan ist.
Applications Claiming Priority (3)
| Application Number | Priority Date | Filing Date | Title |
|---|---|---|---|
| US510134 | 1983-07-01 | ||
| US09/510,134 US6264966B1 (en) | 2000-02-22 | 2000-02-22 | Compounds with chelation affinity and selectivity for first transition elements and their use in cosmetics and personal care products, inhibition of metalloenzymes, and inhibition of reperfusion injury |
| PCT/US2001/004977 WO2001062262A1 (en) | 2000-02-22 | 2001-02-14 | Compounds with chelation affinity and selectivity for first transition series elements and their use |
Publications (1)
| Publication Number | Publication Date |
|---|---|
| DE01909263T1 true DE01909263T1 (de) | 2004-08-26 |
Family
ID=24029507
Family Applications (2)
| Application Number | Title | Priority Date | Filing Date |
|---|---|---|---|
| DE60135638T Expired - Lifetime DE60135638D1 (de) | 2000-02-22 | 2001-02-14 | Verbindung mit chelationsaffinität und selektivitäe |
| DE0001261349T Pending DE01909263T1 (de) | 2000-02-22 | 2001-02-14 | Verbindung mit Chelationsaffinität und Selektivität für Elemente der ersten Übergangselement-Reihe |
Family Applications Before (1)
| Application Number | Title | Priority Date | Filing Date |
|---|---|---|---|
| DE60135638T Expired - Lifetime DE60135638D1 (de) | 2000-02-22 | 2001-02-14 | Verbindung mit chelationsaffinität und selektivitäe |
Country Status (10)
| Country | Link |
|---|---|
| US (2) | US6264966B1 (de) |
| EP (2) | EP2011501A1 (de) |
| JP (1) | JP2003523394A (de) |
| AT (1) | ATE406902T1 (de) |
| AU (1) | AU2001237038A1 (de) |
| CA (1) | CA2399299C (de) |
| DE (2) | DE60135638D1 (de) |
| ES (1) | ES2239924T1 (de) |
| IL (2) | IL151031A0 (de) |
| WO (1) | WO2001062262A1 (de) |
Families Citing this family (21)
| Publication number | Priority date | Publication date | Assignee | Title |
|---|---|---|---|---|
| US20030158111A1 (en) * | 1999-10-01 | 2003-08-21 | David Bar-Or | Methods and products for oral care |
| US20030130185A1 (en) * | 2000-09-29 | 2003-07-10 | David Bar-Or | Metal-binding compounds and uses therefor |
| US7632803B2 (en) | 1999-10-01 | 2009-12-15 | Dmi Life Sciences, Inc. | Metal-binding compounds and uses therefor |
| US7592304B2 (en) * | 1999-10-01 | 2009-09-22 | Dmi Life Sciences, Inc. | Metal-binding compounds and uses therefor |
| CN1615873A (zh) | 1999-12-24 | 2005-05-18 | 阿文蒂斯药物有限公司 | 氮杂吲哚类化合物 |
| US6264966B1 (en) * | 2000-02-22 | 2001-07-24 | Concat, Ltd. | Compounds with chelation affinity and selectivity for first transition elements and their use in cosmetics and personal care products, inhibition of metalloenzymes, and inhibition of reperfusion injury |
| US6881732B2 (en) * | 2002-06-13 | 2005-04-19 | Chelator Llc | Neuroprotection and cardioprotection afforded by chelators with high affinity and specificity for cations of first transition series elements |
| US20050002876A1 (en) * | 2003-05-07 | 2005-01-06 | Yukl Richard L. | Oral care methods and products |
| US20050112066A1 (en) * | 2003-11-26 | 2005-05-26 | Concat Lp, A California Limited Partnership | Complexes of cyclic polyaza chelators with cations of alkaline earth metals for enhanced biological activity |
| US7659233B2 (en) * | 2004-10-25 | 2010-02-09 | Conopco, Inc. | Personal care compositions with silicones and dihydroxypropyl trialkyl ammonium salts |
| US8476251B2 (en) | 2010-07-29 | 2013-07-02 | Conopco, Inc. | Skin care compositions comprising substituted diamines |
| US8293218B2 (en) | 2010-07-29 | 2012-10-23 | Conopco, Inc. | Skin care compositions comprising substituted monoamines |
| WO2013082458A1 (en) | 2011-12-02 | 2013-06-06 | The Regents Of The University Of California | Reperfusion protection solution and uses thereof |
| CN103086922A (zh) * | 2013-02-07 | 2013-05-08 | 东华大学 | 一种n-烷氧基-4-戊烯酰胺类化合物及其制备方法 |
| KR101709124B1 (ko) * | 2015-08-19 | 2017-02-22 | 기초과학연구원 | 신규한 키랄 금속 착물 및 분광법에 의해 전하를 띤 화합물의 키랄성을 분석하기 위한 이의 용도 |
| JP6856662B2 (ja) | 2015-12-16 | 2021-04-07 | プライオスター プロプライアタリー リミティド | デンドリマー及びその製剤 |
| BR112019023249A8 (pt) | 2017-05-05 | 2021-02-23 | Centre For Probe Dev And Commercialization | anticorpos monoclonais igf-1r e usos dos mesmos |
| US10093741B1 (en) | 2017-05-05 | 2018-10-09 | Fusion Pharmaceuticals Inc. | IGF-1R monoclonal antibodies and uses thereof |
| IL270453B2 (en) | 2017-05-05 | 2025-05-01 | Fusion Pharmaceuticals Inc | Pharmacokinetic enhancements of bifunctional chelates and uses thereof |
| US11373803B2 (en) | 2017-08-11 | 2022-06-28 | Applied Materials, Inc. | Method of forming a magnetic core on a substrate |
| AU2019381793B2 (en) | 2018-11-16 | 2025-02-27 | The Research Foundation For The State University Of New York | Compounds for use as iron (III) MRI contrast agents containing anionic pendents and ancillary groups |
Family Cites Families (15)
| Publication number | Priority date | Publication date | Assignee | Title |
|---|---|---|---|---|
| US4356190A (en) * | 1974-06-12 | 1982-10-26 | Personal Products Company | Inhibiting production of undesirable products on body surfaces and environs employing aminopolycarboxylic compounds |
| JPS62238213A (ja) * | 1986-04-04 | 1987-10-19 | Maab:Kk | 脱臭用清浄布収納パツク |
| JPH0825861B2 (ja) * | 1989-04-24 | 1996-03-13 | サンスター株式会社 | 歯磨組成物 |
| US5236695A (en) | 1989-11-27 | 1993-08-17 | Concat, Ltd. | MRI image enhancement of bone and related tissue using complexes of paramagnetic cations and polyphosphonate ligands |
| US5147632A (en) * | 1990-10-31 | 1992-09-15 | Warner-Lambert Company | Anti-plaque compositions comprising a combination of morpholinoamino alcohol and chelating agent |
| BR9206910A (pt) * | 1991-12-10 | 1995-11-21 | Dow Chemical Co | Composições orais para inibição da formação de placas e cálculos |
| US5409689A (en) | 1993-08-13 | 1995-04-25 | Concat, Ltd. | MRI image enhancement using complexes of paramagnetic cations and amine ligands containing a mixture of phosphonate and non-phosphonate pendant arms |
| US6525041B1 (en) * | 1995-06-06 | 2003-02-25 | Pharmacia Corporation | Manganese or iron complexes of nitrogen-containing macrocyclic ligands effective as catalysts for dismutating superoxide |
| EP0955044B1 (de) | 1995-06-26 | 2005-11-16 | Chelator LLC | Methode zur Hemmung des Wachstums von Bakterien oder Pilzen mit einem Komplexbildner |
| FR2737204B1 (fr) * | 1995-07-26 | 1997-09-12 | Oreal | Derives de n,n'-di(aralkyl)n,n'-di(carboxylakyl)alkylene di- ou triamine et de n-(aralkyl)n'-(carboxyalkyl) n,n'-di(carboxyalkyl)alkylene di- ou triamine et leur utilisation en pharmacie et en cosmetique |
| FR2749845B1 (fr) * | 1996-06-18 | 1998-08-21 | Oreal | Nouveaux derives benzyl substitue(s) de polyalkylene-polyamines et leur utilisation dans des compositions cosmetiques et pharmaceutiques |
| US6165966A (en) * | 1996-09-24 | 2000-12-26 | The Procter & Gamble Company | Liquid detergents containing proteolytic enzyme and protease inhibitors |
| GB0001129D0 (en) * | 2000-01-18 | 2000-03-08 | Unilever Plc | Anti-microbial aerosol compositions |
| EP1248591B1 (de) * | 2000-01-18 | 2007-08-08 | Unilever Plc | Antimikrobielle zubereitung salz eines übergangmetall-chelators enthaltend |
| US6264966B1 (en) * | 2000-02-22 | 2001-07-24 | Concat, Ltd. | Compounds with chelation affinity and selectivity for first transition elements and their use in cosmetics and personal care products, inhibition of metalloenzymes, and inhibition of reperfusion injury |
-
2000
- 2000-02-22 US US09/510,134 patent/US6264966B1/en not_active Expired - Fee Related
-
2001
- 2001-02-14 EP EP08162900A patent/EP2011501A1/de not_active Withdrawn
- 2001-02-14 JP JP2001561327A patent/JP2003523394A/ja active Pending
- 2001-02-14 DE DE60135638T patent/DE60135638D1/de not_active Expired - Lifetime
- 2001-02-14 IL IL15103101A patent/IL151031A0/xx unknown
- 2001-02-14 AU AU2001237038A patent/AU2001237038A1/en not_active Abandoned
- 2001-02-14 WO PCT/US2001/004977 patent/WO2001062262A1/en not_active Ceased
- 2001-02-14 ES ES01909263T patent/ES2239924T1/es active Pending
- 2001-02-14 AT AT01909263T patent/ATE406902T1/de not_active IP Right Cessation
- 2001-02-14 DE DE0001261349T patent/DE01909263T1/de active Pending
- 2001-02-14 EP EP01909263A patent/EP1261349B1/de not_active Expired - Lifetime
- 2001-02-14 CA CA002399299A patent/CA2399299C/en not_active Expired - Fee Related
- 2001-04-20 US US09/839,970 patent/US6387891B2/en not_active Expired - Fee Related
-
2002
- 2002-08-01 IL IL151031A patent/IL151031A/en not_active IP Right Cessation
Also Published As
| Publication number | Publication date |
|---|---|
| CA2399299A1 (en) | 2001-08-30 |
| IL151031A0 (en) | 2003-04-10 |
| US20010041170A1 (en) | 2001-11-15 |
| EP1261349A4 (de) | 2004-09-01 |
| DE60135638D1 (de) | 2008-10-16 |
| CA2399299C (en) | 2009-11-17 |
| WO2001062262A1 (en) | 2001-08-30 |
| EP1261349A1 (de) | 2002-12-04 |
| US6387891B2 (en) | 2002-05-14 |
| IL151031A (en) | 2009-06-15 |
| EP2011501A1 (de) | 2009-01-07 |
| US6264966B1 (en) | 2001-07-24 |
| ATE406902T1 (de) | 2008-09-15 |
| JP2003523394A (ja) | 2003-08-05 |
| AU2001237038A1 (en) | 2001-09-03 |
| EP1261349B1 (de) | 2008-09-03 |
| ES2239924T1 (es) | 2005-10-16 |
Similar Documents
| Publication | Publication Date | Title |
|---|---|---|
| DE01909263T1 (de) | Verbindung mit Chelationsaffinität und Selektivität für Elemente der ersten Übergangselement-Reihe | |
| DE69909135T2 (de) | Orale zubereitung zur bekämpfung von mundgeruch | |
| JP2003523394A5 (de) | ||
| DE60115869T2 (de) | Zusammensetzungen und verfahren zur behandlung von haarausfall unter verwendung von c16-c20 aromatischen tetrahydro-prostaglandinen | |
| EP1609361A3 (de) | Mittel zur Bekämpfung von Pflanzenschädlingen | |
| EP0470127A4 (en) | Pcp receptor ligands and the use thereof | |
| ATE243702T1 (de) | Verfahren zur herstellung von ascorbinsäurederivaten | |
| ATE147725T1 (de) | Biguanidederivate, verfahren zu ihrer herstellung und diese enthaltende desinfektionsmittel | |
| OA09212A (fr) | Lauramides N-substitués, leur préparation et compositions les contenant. | |
| DE69110125T2 (de) | Zahnpasta gegen zahnbelag. | |
| PL2017276T3 (pl) | Związki fenylowo-karboksamidowe przydatne do leczenia bólu | |
| DE68917678D1 (de) | Verfahren und Mittel zur Behandlung der Alzheimer-Krankheit, verwandter Demenzen und Epilepsie. | |
| DE3866652D1 (de) | (benzylpiperidino)-1-propanol-derivate, ihre herstellung, ihre anwendung als mikrobizide und zusammensetzungen, die sie enthalten. | |
| DE2341471C2 (de) | Verwendung eines Alkylen- oder Polyalkylenglykols als Stabilisierungsmittel für eine eine Organothiophosphorverbindung und ein Desodorisierungsmittel enthaltende Zusammensetzung | |
| EP0966256A1 (de) | Mittel zur förderung der mundhygiene und der mundgesundheit | |
| DE60018730T2 (de) | Antiperspirantien und deodoranten, die cyclohexasiloxanen enthalten | |
| FR2646601B1 (fr) | Dentifrice et compositions orales utiles pour inhiber les calculs dentaires | |
| JPH06509081A (ja) | 粉末状体臭除去組成物 | |
| EP0117905A2 (de) | Mundpflegemittel | |
| EP0238943A3 (de) | Fungizide Mittel auf der Basis von Triazolderivaten | |
| KR900009044A (ko) | 착색을 감소시키면서 프라그를 감소시키기 위한 경구 치료방법 | |
| EP0159519A2 (de) | Verwendung von Thioverbindungen zur Verhinderung des durch Cytostatika verursachten Haarausfalls | |
| ATE321553T1 (de) | Arzneimittel für hinterstrangataxie und zusammensetzung zur behandlung von hinterstrangataxie | |
| DE551844T1 (de) | Thiolderivate von Gallensäure. | |
| DE10019753A1 (de) | Körperdeodorant |


































