CN110773555B - Household garbage sorting system - Google Patents
Household garbage sorting system Download PDFInfo
- Publication number
- CN110773555B CN110773555B CN201911113882.1A CN201911113882A CN110773555B CN 110773555 B CN110773555 B CN 110773555B CN 201911113882 A CN201911113882 A CN 201911113882A CN 110773555 B CN110773555 B CN 110773555B
- Authority
- CN
- China
- Prior art keywords
- garbage
- light
- sorting
- volume
- chamber
- Prior art date
- Legal status (The legal status is an assumption and is not a legal conclusion. Google has not performed a legal analysis and makes no representation as to the accuracy of the status listed.)
- Active
Links
- 239000010813 municipal solid waste Substances 0.000 title claims abstract description 188
- 239000005416 organic matter Substances 0.000 claims abstract description 25
- 238000012216 screening Methods 0.000 claims abstract description 25
- 239000010791 domestic waste Substances 0.000 claims abstract description 11
- XLYOFNOQVPJJNP-UHFFFAOYSA-N water Substances O XLYOFNOQVPJJNP-UHFFFAOYSA-N 0.000 claims description 18
- 230000005540 biological transmission Effects 0.000 claims description 15
- 239000004744 fabric Substances 0.000 claims description 8
- 238000001914 filtration Methods 0.000 claims description 8
- 239000004033 plastic Substances 0.000 claims description 8
- 229920003023 plastic Polymers 0.000 claims description 8
- 239000011521 glass Substances 0.000 claims description 7
- 239000002184 metal Substances 0.000 claims description 7
- 239000010893 paper waste Substances 0.000 claims description 7
- 239000002699 waste material Substances 0.000 claims description 6
- 238000007599 discharging Methods 0.000 claims description 5
- 238000000926 separation method Methods 0.000 claims description 4
- 239000002689 soil Substances 0.000 claims description 4
- 238000012937 correction Methods 0.000 claims description 3
- 230000001007 puffing effect Effects 0.000 claims description 3
- 230000000694 effects Effects 0.000 abstract description 9
- 230000008961 swelling Effects 0.000 abstract description 2
- 239000007789 gas Substances 0.000 description 17
- 238000000034 method Methods 0.000 description 7
- 238000001035 drying Methods 0.000 description 6
- CURLTUGMZLYLDI-UHFFFAOYSA-N Carbon dioxide Chemical compound O=C=O CURLTUGMZLYLDI-UHFFFAOYSA-N 0.000 description 4
- 238000009434 installation Methods 0.000 description 4
- 239000010806 kitchen waste Substances 0.000 description 4
- UHOVQNZJYSORNB-UHFFFAOYSA-N Benzene Chemical compound C1=CC=CC=C1 UHOVQNZJYSORNB-UHFFFAOYSA-N 0.000 description 3
- QGJOPFRUJISHPQ-UHFFFAOYSA-N Carbon disulfide Chemical compound S=C=S QGJOPFRUJISHPQ-UHFFFAOYSA-N 0.000 description 3
- XEKOWRVHYACXOJ-UHFFFAOYSA-N Ethyl acetate Chemical compound CCOC(C)=O XEKOWRVHYACXOJ-UHFFFAOYSA-N 0.000 description 3
- 101150054854 POU1F1 gene Proteins 0.000 description 3
- YXFVVABEGXRONW-UHFFFAOYSA-N Toluene Chemical compound CC1=CC=CC=C1 YXFVVABEGXRONW-UHFFFAOYSA-N 0.000 description 3
- 238000010586 diagram Methods 0.000 description 3
- 238000000611 regression analysis Methods 0.000 description 3
- -1 tile Substances 0.000 description 3
- QGZKDVFQNNGYKY-UHFFFAOYSA-N Ammonia Chemical compound N QGZKDVFQNNGYKY-UHFFFAOYSA-N 0.000 description 2
- RWSOTUBLDIXVET-UHFFFAOYSA-N Dihydrogen sulfide Chemical compound S RWSOTUBLDIXVET-UHFFFAOYSA-N 0.000 description 2
- LSDPWZHWYPCBBB-UHFFFAOYSA-N Methanethiol Chemical compound SC LSDPWZHWYPCBBB-UHFFFAOYSA-N 0.000 description 2
- PPBRXRYQALVLMV-UHFFFAOYSA-N Styrene Chemical compound C=CC1=CC=CC=C1 PPBRXRYQALVLMV-UHFFFAOYSA-N 0.000 description 2
- 239000011449 brick Substances 0.000 description 2
- 229910002092 carbon dioxide Inorganic materials 0.000 description 2
- 238000003763 carbonization Methods 0.000 description 2
- 239000000919 ceramic Substances 0.000 description 2
- 150000001875 compounds Chemical class 0.000 description 2
- WQOXQRCZOLPYPM-UHFFFAOYSA-N dimethyl disulfide Chemical compound CSSC WQOXQRCZOLPYPM-UHFFFAOYSA-N 0.000 description 2
- 239000006185 dispersion Substances 0.000 description 2
- 239000012530 fluid Substances 0.000 description 2
- 229910000037 hydrogen sulfide Inorganic materials 0.000 description 2
- 239000010815 organic waste Substances 0.000 description 2
- GETQZCLCWQTVFV-UHFFFAOYSA-N trimethylamine Chemical compound CN(C)C GETQZCLCWQTVFV-UHFFFAOYSA-N 0.000 description 2
- 235000013311 vegetables Nutrition 0.000 description 2
- 239000012855 volatile organic compound Substances 0.000 description 2
- DKPFZGUDAPQIHT-UHFFFAOYSA-N Butyl acetate Natural products CCCCOC(C)=O DKPFZGUDAPQIHT-UHFFFAOYSA-N 0.000 description 1
- QMMFVYPAHWMCMS-UHFFFAOYSA-N Dimethyl sulfide Chemical compound CSC QMMFVYPAHWMCMS-UHFFFAOYSA-N 0.000 description 1
- CTQNGGLPUBDAKN-UHFFFAOYSA-N O-Xylene Chemical compound CC1=CC=CC=C1C CTQNGGLPUBDAKN-UHFFFAOYSA-N 0.000 description 1
- 229910021529 ammonia Inorganic materials 0.000 description 1
- QVGXLLKOCUKJST-UHFFFAOYSA-N atomic oxygen Chemical compound [O] QVGXLLKOCUKJST-UHFFFAOYSA-N 0.000 description 1
- 210000000988 bone and bone Anatomy 0.000 description 1
- 239000001569 carbon dioxide Substances 0.000 description 1
- 230000003197 catalytic effect Effects 0.000 description 1
- 238000004140 cleaning Methods 0.000 description 1
- FUZZWVXGSFPDMH-UHFFFAOYSA-M hexanoate Chemical compound CCCCCC([O-])=O FUZZWVXGSFPDMH-UHFFFAOYSA-M 0.000 description 1
- 239000004047 hole gas Substances 0.000 description 1
- 239000001257 hydrogen Substances 0.000 description 1
- 229910052739 hydrogen Inorganic materials 0.000 description 1
- 239000002440 industrial waste Substances 0.000 description 1
- 235000021190 leftovers Nutrition 0.000 description 1
- 239000000463 material Substances 0.000 description 1
- 239000005300 metallic glass Substances 0.000 description 1
- 239000001301 oxygen Substances 0.000 description 1
- 229910052760 oxygen Inorganic materials 0.000 description 1
- 239000000123 paper Substances 0.000 description 1
- 238000012545 processing Methods 0.000 description 1
- 238000004064 recycling Methods 0.000 description 1
- 238000007873 sieving Methods 0.000 description 1
- 238000003756 stirring Methods 0.000 description 1
- 150000003568 thioethers Chemical class 0.000 description 1
- 238000012546 transfer Methods 0.000 description 1
- 239000008096 xylene Substances 0.000 description 1
Images
Classifications
-
- B—PERFORMING OPERATIONS; TRANSPORTING
- B09—DISPOSAL OF SOLID WASTE; RECLAMATION OF CONTAMINATED SOIL
- B09B—DISPOSAL OF SOLID WASTE NOT OTHERWISE PROVIDED FOR
- B09B3/00—Destroying solid waste or transforming solid waste into something useful or harmless
-
- B—PERFORMING OPERATIONS; TRANSPORTING
- B09—DISPOSAL OF SOLID WASTE; RECLAMATION OF CONTAMINATED SOIL
- B09B—DISPOSAL OF SOLID WASTE NOT OTHERWISE PROVIDED FOR
- B09B5/00—Operations not covered by a single other subclass or by a single other group in this subclass
Landscapes
- Engineering & Computer Science (AREA)
- Environmental & Geological Engineering (AREA)
- Processing Of Solid Wastes (AREA)
- Combined Means For Separation Of Solids (AREA)
Abstract
The application relates to refuse treatment technical field especially relates to a domestic waste sorting system, includes: the device comprises screening equipment, at least two light sorting machines, at least one organic matter sorting machine and a conveying belt; the screening equipment distinguishes garbage with different sizes; the light sorting machine sorts light garbage from the garbage; the organic matter separator is used for swelling the heavy garbage separated by the light separator so as to swell the kitchen garbage therein, and then the kitchen garbage is separated by the light separator again. The household garbage sorting system provided by the application improves the sorting accuracy of one type of household garbage in the garbage disposal stage, so that the effect of subsequent garbage disposal is ensured.
Description
Technical Field
The application relates to the technical field of garbage treatment, in particular to a household garbage sorting system.
Background
Along with the increase of urban population and the improvement of the living standard of people, the yield of urban domestic garbage is increased, the harm to the environment is increased, and therefore, the treatment of the garbage is particularly important.
However, in the current domestic garbage disposal, the daily garbage produced by the household is packed into garbage bags, and then is thrown to a residential garbage site or a garbage can after being packed, and the garbage is cleaned by the personnel waiting for cleaning, and then is uniformly buried and burned, but the current garbage disposal methods cause serious pollution to soil and air.
Therefore, garbage classification is advocated at present, and residents classify garbage when discarding the garbage, so that different types of garbage classified by the residents can be treated differently in the garbage treatment stage. However, the garbage classification method in the garbage discarding stage is difficult to implement and the implementation effect is not satisfactory, so the garbage classification method should focus on the garbage disposal stage.
However, in the current garbage sorting method in the garbage disposal stage, it is difficult to thoroughly sort one type of garbage, and the subsequent disposal effect of different types of garbage based on the sorting is not good. Therefore, how to improve the sorting accuracy of one type of garbage in the garbage treatment stage so as to ensure the effect of subsequent garbage treatment is a technical problem which needs to be solved urgently by technical personnel in the field.
Disclosure of Invention
The application provides a domestic waste sorting system to improve one of them type domestic waste's of refuse treatment stage sorting accuracy degree, thereby guarantee follow-up refuse treatment's effect.
In order to solve the technical problem, the application provides the following technical scheme:
a household waste sorting system comprising: the device comprises screening equipment, at least two light sorting machines, at least one organic matter sorting machine and a conveying belt; a large-volume garbage discharge port and a small-volume garbage discharge port of the screening equipment are respectively connected to feed ports of different light sorting machines through different transmission belts; the light sorting machine is internally provided with a light sorting cavity, the top of the light sorting cavity is outwards provided with a feed inlet, the bottom of the light sorting cavity is outwards provided with a heavy garbage discharge port, and a bottom cover is sealed at the heavy garbage discharge port; the inner wall of the light sorting cavity is provided with a collecting plate which spirals from the top end of the light sorting cavity by a preset distance from top to bottom, and the collecting plate extends to the inside of the light sorting cavity by a preset distance; a light garbage discharge port communicated with the light sorting cavity is formed in the side wall of the light sorting machine, and the lower edge of the light garbage discharge port is flush with the upper surface of the lower end of the collecting plate; a disturbing airflow pipe is led into the light sorting cavity at the lower end of the light sorting machine, and an air nozzle capable of rotating along the circumferential direction of the disturbing airflow pipe is arranged at the front end of the disturbing airflow pipe; the heavy garbage treatment port of the light sorting cavity is connected to the organic matter sorting machine through a conveying belt; the organic matter separator is provided with a high-pressure cavity, the top end of the high-pressure cavity is outwards communicated with a feed inlet and a high-pressure air outlet, and the bottom end of the high-pressure cavity is outwards communicated with a discharge outlet and a supercritical high-pressure air inlet for introducing supercritical gas to play a role in puffing; the discharge gate of organic matter sorter is connected to the feed inlet of light sorter through the transmission belt to the rubbish after will puffing is selected separately.
As above domestic waste sorting system, wherein, the preferred is, the screening installation has the screening chamber, and the inside filter sieve board of having placed of screening chamber, filter the sieve board and divide into epicoele and lower chamber with the screening chamber, the epicoele is outwards connected with the feed inlet to the epicoele still outwards is connected with bulky rubbish discharge gate, the lower extreme of bulky rubbish discharge gate and the upper surface parallel and level of filtering the sieve board, and the lower chamber outwards is connected with little volume rubbish discharge gate.
The household garbage sorting system as described above, wherein the filtering screen plate is preferably vibrated in up-down and horizontal directions by a motor drive.
The household garbage sorting system as described above, wherein the volume of the light sorting chamber of the light sorting machine connected to the large-volume garbage discharge port and the intensity of the turbulent airflow are preferably greater than those of the light sorting chamber of the light sorting machine connected to the small-volume garbage discharge port.
The household garbage sorting system as described above, wherein preferably, the collecting plate extends from the side wall of the light sorting machine to incline upward at a certain angle toward the inside of the light sorting chamber, and the lower end of the collecting plate is closed with a closing plate.
In the household garbage sorting system, preferably, the disturbing airflow pipe has a front end connected to a connecting pipe rotating around an axial direction of the disturbing airflow pipe, and the front end of the connecting pipe is communicated with an air nozzle bearing a certain angle with the axial direction.
The household garbage sorting system as described above, wherein preferably two disturbing airflow pipes are provided to form two mutually alternating helical airflows in the light sorting chamber.
The household garbage sorting system as described above, wherein preferably, the light discharge port of the light sorting machine is further connected to the next-stage sorting device by a transmission belt, and the sorted light garbage is dissolved in water, plastics floating on the water surface are sorted out, cloth sinking on the water bottom is sorted out, and waste paper dissolved in the water is sorted out.
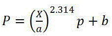
The household garbage sorting system as described above, wherein preferably, the pressure of the disturbed airflow introduced into the light sorting chamber at different weights is obtained according to the following formula:wherein P is the pressure of the sorting disturbed airflow, X is the weight of the garbage in the sorting batch under the standard volume, a is the weight of the reference garbage under the standard volume, P is the intensity of the disturbed airflow under the processing of the reference garbage, and b is a correction coefficient, and the value is 5.23.
The household garbage sorting system preferably further comprises a garbage block breaking machine, wherein the discharge port of the garbage block breaking machine is connected to the feed port of the screening equipment through a conveying belt so as to break the garbage with larger volume into smaller blocks
Compared with the background art, the household garbage sorting system provided by the invention has the advantages that the screening equipment distinguishes garbage with different sizes; the light sorting machine sorts light garbage from the garbage; the organic matter separator is used for swelling the heavy garbage separated by the light separator to swell the kitchen garbage therein, so that the kitchen garbage is separated by the light separator again, the separation accuracy of one type of domestic garbage in the garbage treatment stage is improved, and the subsequent garbage treatment effect is ensured.
Drawings
In order to more clearly illustrate the embodiments of the present invention or the technical solutions in the prior art, the drawings used in the description of the embodiments or the prior art will be briefly described below, it is obvious that the drawings in the following description are only some embodiments described in the present invention, and other drawings can be obtained by those skilled in the art according to the drawings.
Fig. 1 is a schematic view of a household garbage sorting system provided in an embodiment of the present application;
FIG. 2 is a schematic structural diagram of a light-weight classifier provided in an embodiment of the present application;
FIG. 3 is a schematic top view of a lightweight sorter as provided by an embodiment of the present application;
fig. 4 is a schematic structural diagram of an organic matter sorter according to an embodiment of the present disclosure.
Detailed Description
Reference will now be made in detail to embodiments of the present invention, examples of which are illustrated in the accompanying drawings, wherein like or similar reference numerals refer to the same or similar elements or elements having the same or similar function throughout. The embodiments described below with reference to the drawings are illustrative only and should not be construed as limiting the invention.
The urban domestic garbage can be classified into three types of recoverable garbage, kitchen garbage and other garbage, wherein the recoverable garbage is classified into waste paper, plastics, glass, metal, cloth and the like, the kitchen garbage mainly comprises leftovers, bones, vegetable roots, vegetable leaves and the like, and the other garbage mainly comprises brick, tile, ceramic, muck and the like.
Referring to fig. 1, fig. 1 is a schematic view of a household garbage sorting system according to an embodiment of the present application;
the application provides a domestic waste sorting system, includes: a screening device 3, at least two light classifiers (light classifier 41 and light classifier 42), at least one organic classifier 5 and a conveyor belt (not shown in the figure), wherein a plurality of conveyor belts are connected between each two devices.
Wherein, screening installation 3 has the screening chamber, the inside filtration sieve of having placed of screening chamber, it divide into epicoele and lower chamber to filter the sieve with the screening chamber, the epicoele is outwards connected with the feed inlet, and the epicoele still outwards is connected with bulky rubbish discharge gate, the lower extreme of this bulky rubbish discharge gate and the upper surface parallel and level of filtering the sieve, the cavity of resorption outwards is connected with small volume rubbish discharge gate, in order to guarantee that screening installation filters the urban domestic waste of collection from the aspect of the volume size, the preferred sieve that will filter the sieve setting to horizontal vibrations from top to bottom, it is specific can filter the sieve through motor drive along upper and lower direction and horizontal direction vibrations.
The large-volume garbage discharge port and the small-volume garbage discharge port of the screening equipment are respectively connected to the feed ports of different light sorting machines through different transmission belts, wherein the volume of the light sorting cavity of the light sorting machine connected with the large-volume garbage discharge port and the intensity of disturbance airflow are greater than the volume of the light sorting cavity of the light sorting machine connected with the small-volume garbage discharge port and the intensity of disturbance airflow.
Referring to fig. 2, a light sorter 41 is described as an example, and fig. 2 is a schematic structural diagram of the light sorter according to an embodiment of the present disclosure;
the light sorting machine 41 is internally provided with a light sorting cavity 411, the top of the light sorting cavity 411 is outwards provided with a feeding hole 412, the bottom of the light sorting cavity 411 is outwards provided with a heavy garbage discharging hole 413, and in order to ensure that garbage loaded into the light sorting cavity 411 of the light sorting machine 41 is always in the light sorting cavity 411 before sorting is finished, the heavy garbage discharging hole 413 is sealed with a bottom cover 414. A collecting plate 415 which is screwed a predetermined distance from the top end of the light sorting chamber 411 to the bottom is provided on the inner wall of the light sorting chamber 411, and the collecting plate 415 extends a predetermined distance to the inside of the light sorting chamber 411 to receive the light garbage dropped on the collecting plate 415. To avoid the collected light refuse falling off the collecting plate 415, the preferred collecting plate 415 extends from the side wall of the light sorting machine at an angle inclined upwards towards the inside of the light sorting chamber 411. In addition, in order to prevent the light garbage falling on the collecting plate 415 from falling into the light sorting chamber 411 from the lower end of the spiral collecting plate 415, a closing plate is preferably closed at the lower end of the collecting plate 415. A light garbage discharge port 416 communicated with the light sorting cavity 411 is formed in the side wall of the light sorting machine, and the lower edge of the light garbage discharge port 416 is flush with the upper surface of the lower end of the collecting plate 415.
A disturbed airflow pipe 417 is introduced into the light sorting chamber 411 at the lower end of the light sorting machine, and an air nozzle capable of rotating along the circumferential direction of the disturbed airflow pipe is arranged at the front end of the disturbed airflow pipe 417. Specifically, the front end of the disturbing air flow pipe 417 is connected with a connecting pipe which uses the axial direction of the disturbing air flow pipe 417 as a rotating shaft to rotate, the front end of the connecting pipe is communicated with an air nozzle which bears a certain angle with the axial direction, the connecting pipe can be driven by a motor to rotate, and the motor can control the work through a controller. To sufficiently disturb the air flow in the light fraction chamber 411, two disturbing air flow tubes 417 open into the interior of the light fraction chamber 411 at the lower end of the light fraction separator, so that two mutually alternating helical air flows are formed in the light fraction chamber 411 (as shown in fig. 3). The disturbing airflow pipe 417 is connected to a high-pressure gas cylinder outside and supplies high-pressure gas to the light sorting chamber 411 to drive the garbage in the light sorting chamber 411 to move upwards along a spiral track under the action of the spiral disturbing airflow, so that the lighter light garbage (such as waste paper, plastic and cloth) spirally moves to the upper part of the light sorting chamber 411 and centrifugally moves towards the side wall under the action of the spiral airflow, and then falls on the collecting plate 415 and slides downwards along the collecting plate 415 to be sorted out from the light garbage discharge port 416 on the side wall of the light sorting machine.
The light discharge ports of the light classifiers 41 and 42 are connected to the feed port of the trash crusher 6 through a conveying belt to crush the light in the trash crusher 6. Broken machine 6's discharge gate is connected to the feed inlet of dry storehouse 7 through the transmission belt in the rubbish to carry out the drying to light rubbish in dry storehouse 7, specific through to dry storehouse 7 in the tail gas that lets in the drying drum output with carrying out the drying with light rubbish. The discharge hole of the drying bin 7 is connected to a carbonization system through a transmission belt so as to carry out the next carbonization treatment on the light garbage.
In addition, the light discharge ports of the light sorting machines 41 and 42 can be connected to the next-stage sorting equipment through a transmission belt, the sorted light garbage is dissolved in water, so that plastics floating on the water surface are sorted out, cloth sinking at the bottom of the water is sorted out, and waste paper dissolved in the water is sorted out, so that the three kinds of sorted light garbage are sorted more thoroughly.
While the heavy garbage (such as glass, metal, dregs, brick and tile ceramics, kitchen garbage with more and heavier water content, etc.) is left at the bottom of the light sorting cavity and sorted out from the heavy garbage outlet. The heavy garbage disposal port of the light sorting chamber is connected to the organic matter sorter through a transfer belt to sort the organic matter in the organic matter sorter 5.
The proportion of various types of garbage in each batch of garbage may be different, and the proportion of the types of garbage is different, so that the weight of the garbage with the same volume is affected, for example, if the proportion of light type garbage is large, the weight of the garbage with the same volume is lighter, and the different weights of the garbage with the same volume affect the later sorting effect.
Based on the above, in order to avoid the influence of the weight difference caused by different occupation ratios of garbage types of each batch on sorting, the method is based on a formulaObtaining the pressure intensity of the disturbed air flow which is introduced into the light sorting cavity under different weights, wherein P is the pressure intensity of the sorted disturbed air flow, X is the weight of the garbage under the standard volume in the sorting batch, and a is the weight of the reference garbage under the standard volume (1 m)3The weight of the domestic garbage under the volume is 0.8t), p is the intensity of disturbance airflow under the treatment of reference garbage (value is 1000pa), and b is a correction coefficient and value is 5.23. Wherein the formulaThe method is a mathematical regression analysis model established by collecting a large amount of actually measured data and actually measuring the pressure of introduced air flow and the weight of garbage under a standard volume.
The correlation coefficient r of the mathematical regression analysis model is 0.93541, and the closer to 1 the value of r. The correlation coefficient is a statistical index used for reflecting the degree of closeness of the correlation between the variable P and the variable X. The correlation coefficient is calculated according to a product-difference method, the dispersion of two variables and respective average values is taken as the basis, the correlation degree between the two variables is reflected by multiplying the two dispersions, and the more the absolute value of the correlation coefficient r is close to 1, the stronger the linear correlation of the two variables is; the closer the absolute value of r is to 0, the less linear correlation between the two variables exists; generally, | r | is greater than 0.75, the two variables are considered to have strong linear correlation.
The tables described below are the measured pressure of the inlet air stream and the measured weight of the waste at the standard volume for establishing the mathematical regression analysis model.
| 1 | 2 | 3 | 4 | 5 | 6 | 7 | |
| Pressure (pa) | 110 | 339 | 743 | 1013 | 1315 | 2561 | 4271 |
| Weight (t) | 0.4 | 0.5 | 0.7 | 0.8 | 0.9 | 1.2 | 1.5 |
On the basis of the above-mentioned embodiment, in order to more thoroughly sort out the light garbage (waste paper, plastics, cloth) in the light sorting machines 41 and 42, a garbage crusher 2 is further provided before the sieving apparatus 3 to receive the garbage in the garbage storage pit 1. The discharge gate of broken piece machine 2 of rubbish is connected to screening installation 3's feed inlet through the transmission belt to break into the cubic of less point with the rubbish of great volume, for example: larger clothes are crushed into smaller cloth pieces, thicker books are crushed into smaller paper pieces, and heavy plastic bottles are crushed into thin crushed material pieces, so that larger light garbage can be sorted out more easily by using disturbance airflow with lower strength in a light sorting machine. Although the garbage is subjected to the block breaking treatment, various types of garbage in the garbage still have volume size, and only volume division of the size of the garbage is reduced.
Referring to fig. 4, fig. 4 is a schematic view of an organic matter sorter according to an embodiment of the present disclosure;
the organic matter separator 5 is provided with a high-pressure cavity 51, the top end of the high-pressure cavity 51 is outwards communicated with a feed port 52 and a high-pressure air release port 53, the bottom end of the high-pressure cavity 51 is outwards communicated with a discharge port 54 and a supercritical high-pressure air inlet 55, and after heavy garbage enters the high-pressure cavity 51 through the feed port 52, supercritical high-pressure gas, such as supercritical carbon dioxide, is introduced into the high-pressure cavity 51 through the supercritical high-pressure air inlet 55; then, the organic garbage in the high-pressure cavity 51 starts to be expanded, and the pressure is released through the high-pressure air release opening 53 after the expansion is finished. Organic matter rubbish in the heavy garbage in this application has taken away its inside moisture through supercritical fluid, and plays popped effect, and then has alleviateed organic matter rubbish's density, has reduced its weight. In addition, in order to fully expand the organic waste in the waste, the bottom of the organic sorting machine 5 extends into the high-pressure chamber 51 into the stirring teeth 56, so that the waste is fully contacted with the supercritical fluid, the moisture in the organic waste is fully taken away, and the expansion effect is achieved.
The discharge gate of organic matter sorter is connected to the feed inlet of light sorter through the transmission belt, treats rubbish after the bulking treatment, will transport once more through the transmission belt after the bulking and send to light sorter, will reduce the organic matter rubbish separation of density and weight through the bulking and go out, and specific sorting principle is the same with the sorting principle of above-mentioned separation waste paper, plastics, cloth, no longer redundantly here.
The discharge port of the organic matter separator 5 is connected to the feed port of the kitchen waste crusher 8 through a transmission belt, and the discharge port of the kitchen waste crusher 8 is connected to the kitchen waste storage bin 9 through the transmission belt. After the organic garbage is separated out, the organic garbage can be crushed by the kitchen garbage crusher 8 and then stored in the kitchen garbage storage 9 for subsequent biological treatment. The remaining waste such as metal, glass, muck, etc. enters the metallic glass muck sorting system 10 to separate the glass from the metal for respective recycling.
With reference to fig. 1, the household garbage sorting system provided in the embodiment of the present application further includes: a kitchen waste storage bin gas collection system 11, a garbage storage pit gas collection system 11 and a drying bin gas collection system 11. Wherein, kitchen is remained storage storehouse gas collecting system 11 is used for collecting the gas that the organic matter rubbish of the storage in kitchen remains storage 9 was given off, rubbish storage hole gas collecting system 12 is used for collecting the gas that the city domestic waste in rubbish storage hole 1 was given off, and dry storehouse system 13 is then used for collecting the gas that light rubbish was given off in the drying process, and the gas of will collecting is unified to be carried to biological filter 14 to carry out the biodegradable treatment, then lets in gas light oxygen catalytic tower 15, as follows with schizolysis industrial waste gas: ammonia, trimethylamine, hydrogen sulfide, methylthio hydrogen, methyl mercaptan, methyl sulfide, butyl acetate, ethyl acetate, dimethyl disulfide, carbon disulfide and styrene, sulfides H2S, VOCs (volatile organic compounds), molecular chain structures of benzene, toluene and xylene, so that organic or inorganic high-molecular malodorous compound molecular chains are degraded and converted into low-molecular compounds such as CO2, H2O and the like under the irradiation of high-energy ultraviolet light beams, and finally, treated gas reaches the standard and is discharged through a tail gas fan 16.
On the basis, the household garbage sorting system further comprises a water drainage system 17 communicated with the garbage storage pit 1, and the water drainage system 17 collects garbage seepage water seeped from the garbage storage pit 1 and treats the garbage seepage water so as to reduce pollution to water sources and soil.
It will be evident to those skilled in the art that the invention is not limited to the details of the foregoing illustrative embodiments, and that the present invention may be embodied in other specific forms without departing from the spirit or essential attributes thereof. The present embodiments are therefore to be considered in all respects as illustrative and not restrictive, the scope of the invention being indicated by the appended claims rather than by the foregoing description, and all changes which come within the meaning and range of equivalency of the claims are therefore intended to be embraced therein. Any reference sign in a claim should not be construed as limiting the claim concerned.
Furthermore, it should be understood that although the present description refers to embodiments, not every embodiment may contain only a single embodiment, and such description is for clarity only, and those skilled in the art should integrate the description, and the embodiments may be combined as appropriate to form other embodiments understood by those skilled in the art.
Claims (10)
1. A household garbage sorting system, comprising: the device comprises screening equipment, at least two light sorting machines, at least one organic matter sorting machine and a conveying belt;
a large-volume garbage discharge port and a small-volume garbage discharge port of the screening equipment are respectively connected to feed ports of different light sorting machines through different transmission belts;
the light sorting machine is internally provided with a light sorting cavity, the top of the light sorting cavity is outwards provided with a feed inlet, the bottom of the light sorting cavity is outwards provided with a heavy garbage discharge port, and a bottom cover is sealed at the heavy garbage discharge port; the inner wall of the light sorting cavity is provided with a collecting plate which spirals from the top end of the light sorting cavity by a preset distance from top to bottom, and the collecting plate extends to the inside of the light sorting cavity by a preset distance; a light garbage discharge port communicated with the light sorting cavity is formed in the side wall of the light sorting machine, and the lower edge of the light garbage discharge port is flush with the upper surface of the lower end of the collecting plate; a disturbing airflow pipe is led into the light sorting cavity at the lower end of the light sorting machine, and an air nozzle capable of rotating along the circumferential direction of the disturbing airflow pipe is arranged at the front end of the disturbing airflow pipe; the heavy garbage treatment port of the light sorting cavity is connected to the organic matter sorting machine through a conveying belt; the organic matter separator is provided with a high-pressure cavity, the top end of the high-pressure cavity is outwards communicated with a feed inlet and a high-pressure air outlet, and the bottom end of the high-pressure cavity is outwards communicated with a discharge outlet and a supercritical high-pressure air inlet for introducing supercritical gas to play a role in puffing; a discharge port of the organic matter separator is connected to a feed port of the light separator through a transmission belt, after the garbage is subjected to bulking treatment, the bulked garbage is conveyed into the light separator through the transmission belt again, and the bulked organic matter garbage with the density and weight reduced is separated;
and the metal, glass and residue soil left after the organic matter separator is used for separating the glass and the metal enter a metal glass residue soil separation system.
2. The household garbage sorting system according to claim 1, wherein the screening device has a screening chamber, a filtering sieve plate is placed in the screening chamber, the filtering sieve plate divides the screening chamber into an upper chamber and a lower chamber, the upper chamber is externally connected with the feeding port, the upper chamber is further externally connected with a large-volume garbage discharging port, the lower end of the large-volume garbage discharging port is flush with the upper surface of the filtering sieve plate, and the lower chamber is externally connected with a small-volume garbage discharging port.
3. The household garbage sorting system according to claim 2, wherein the filtering sieve plate is driven by a motor to vibrate in an up-and-down direction and a horizontal direction.
4. The domestic waste sorting system of any one of claims 1 to 3, wherein the volume of the light sorting chamber and the intensity of the turbulent airflow of the light sorting machine connected to the large volume waste outlet are greater than the volume of the light sorting chamber and the intensity of the turbulent airflow of the light sorting machine connected to the small volume waste outlet.
5. The sorting system according to any one of claims 1 to 3, wherein the collecting plate extends from a side wall of the light sorting machine to be inclined upward at an angle toward the inside of the light sorting chamber, and the collecting plate is closed at a lower end thereof with a closing plate.
6. The household garbage sorting system according to any one of claims 1 to 3, wherein the front end of the disturbing airflow pipe is connected with a connecting pipe which rotates by taking the axial direction of the disturbing airflow pipe as a rotating shaft, and the front end of the connecting pipe is communicated with an air nozzle which bears a certain angle with the axial direction.
7. The household waste sorting system of claim 6, wherein two disturbing airflow pipes are provided to form two mutually alternating helical airflows within the light sorting chamber.
8. The sorting system for household garbage according to any one of claims 1 to 3, wherein the light garbage discharge port of the light sorting machine is further connected to a next-stage sorting device through a conveying belt, plastics floating on the water surface are sorted out by dissolving the sorted light garbage in water, cloth sinking on the water bottom is sorted out, and waste paper dissolved in water is sorted out.
9. The household waste sorting system according to any one of claims 1 to 3, wherein the pressure of the disturbed airflow that is introduced into the light sorting chamber at different weights is obtained according to the following formula:
10. The household garbage sorting system according to any one of claims 1-3, further comprising a garbage crusher, wherein the discharge port of the garbage crusher is connected to the feed port of the screening device through a conveying belt so as to crush the garbage with larger volume into smaller blocks.
Priority Applications (1)
| Application Number | Priority Date | Filing Date | Title |
|---|---|---|---|
| CN201911113882.1A CN110773555B (en) | 2019-11-14 | 2019-11-14 | Household garbage sorting system |
Applications Claiming Priority (1)
| Application Number | Priority Date | Filing Date | Title |
|---|---|---|---|
| CN201911113882.1A CN110773555B (en) | 2019-11-14 | 2019-11-14 | Household garbage sorting system |
Publications (2)
| Publication Number | Publication Date |
|---|---|
| CN110773555A CN110773555A (en) | 2020-02-11 |
| CN110773555B true CN110773555B (en) | 2021-07-06 |
Family
ID=69391320
Family Applications (1)
| Application Number | Title | Priority Date | Filing Date |
|---|---|---|---|
| CN201911113882.1A Active CN110773555B (en) | 2019-11-14 | 2019-11-14 | Household garbage sorting system |
Country Status (1)
| Country | Link |
|---|---|
| CN (1) | CN110773555B (en) |
Families Citing this family (2)
| Publication number | Priority date | Publication date | Assignee | Title |
|---|---|---|---|---|
| CN111678139B (en) * | 2020-06-22 | 2022-12-02 | 赵莉莉 | Harmless treatment method and system for household garbage |
| CN113769858A (en) * | 2021-10-14 | 2021-12-10 | 河南省荥阳市海通纺织机械有限公司 | A kitchen waste shredder with sorting function |
Citations (8)
| Publication number | Priority date | Publication date | Assignee | Title |
|---|---|---|---|---|
| CN2261887Y (en) * | 1996-06-27 | 1997-09-10 | 冯铁强 | Municipal life refuse sorter |
| US6245958B1 (en) * | 1997-09-12 | 2001-06-12 | Lockheed Martin Corporation | Methods for non-incendiary disposal of rockets, projectiles, missiles and parts thereof |
| CN1391996A (en) * | 2001-06-14 | 2003-01-22 | 顾家华 | Comprehensive treating system for life garbage |
| CN101859992A (en) * | 2010-06-11 | 2010-10-13 | 沈阳电业局电缆厂 | Multifunctional tension clamp |
| CN201664666U (en) * | 2010-03-08 | 2010-12-08 | 黄志庭 | Plastic Category Air Separator |
| CN102430469A (en) * | 2011-11-02 | 2012-05-02 | 重庆大学 | Domestic garbage sorting process and its sorting device |
| JP6410976B1 (en) * | 2018-03-14 | 2018-10-24 | 新日鉄住金エンジニアリング株式会社 | Method for producing molded body and method for producing carbide |
| CN208593504U (en) * | 2018-06-07 | 2019-03-12 | 邢台思倍特生物科技有限公司 | A kind of automatic hybrid packed device |
Family Cites Families (7)
| Publication number | Priority date | Publication date | Assignee | Title |
|---|---|---|---|---|
| CN2445831Y (en) * | 2000-05-21 | 2001-09-05 | 山东煤矿莱芜机械厂 | Winnowing machine for treating urban house refuse |
| CN101274322A (en) * | 2007-03-30 | 2008-10-01 | 杨计明 | Method for sorting consumer waste |
| CN101406895B (en) * | 2008-12-05 | 2010-06-30 | 陕西紫兆环保产业开发有限责任公司 | Hydrolytic reaction pot for realtime processing mixed consumer waste |
| CN202460584U (en) * | 2012-02-06 | 2012-10-03 | 严大春 | High-temperature high-pressure sterilizing, hydrolyzing and curing reaction pot |
| CN103691674A (en) * | 2013-12-24 | 2014-04-02 | 吴章荣 | Pneumatic separator for classifying garbage |
| CN106031925A (en) * | 2015-03-11 | 2016-10-19 | 北京昌东科技有限公司 | Processing technology for harmlessly reducing city garbage and converting city garbage into resources |
| KR101782135B1 (en) * | 2016-08-09 | 2017-09-26 | 황정수 | Method for disposal of Animal Corpse |
-
2019
- 2019-11-14 CN CN201911113882.1A patent/CN110773555B/en active Active
Patent Citations (8)
| Publication number | Priority date | Publication date | Assignee | Title |
|---|---|---|---|---|
| CN2261887Y (en) * | 1996-06-27 | 1997-09-10 | 冯铁强 | Municipal life refuse sorter |
| US6245958B1 (en) * | 1997-09-12 | 2001-06-12 | Lockheed Martin Corporation | Methods for non-incendiary disposal of rockets, projectiles, missiles and parts thereof |
| CN1391996A (en) * | 2001-06-14 | 2003-01-22 | 顾家华 | Comprehensive treating system for life garbage |
| CN201664666U (en) * | 2010-03-08 | 2010-12-08 | 黄志庭 | Plastic Category Air Separator |
| CN101859992A (en) * | 2010-06-11 | 2010-10-13 | 沈阳电业局电缆厂 | Multifunctional tension clamp |
| CN102430469A (en) * | 2011-11-02 | 2012-05-02 | 重庆大学 | Domestic garbage sorting process and its sorting device |
| JP6410976B1 (en) * | 2018-03-14 | 2018-10-24 | 新日鉄住金エンジニアリング株式会社 | Method for producing molded body and method for producing carbide |
| CN208593504U (en) * | 2018-06-07 | 2019-03-12 | 邢台思倍特生物科技有限公司 | A kind of automatic hybrid packed device |
Also Published As
| Publication number | Publication date |
|---|---|
| CN110773555A (en) | 2020-02-11 |
Similar Documents
| Publication | Publication Date | Title |
|---|---|---|
| CN201823746U (en) | House refuse combination and separation device | |
| CN103480633B (en) | Domestic garbage resource treating apparatus and processing method thereof | |
| US11180391B2 (en) | Method and device for processing solid waste | |
| US20130220893A1 (en) | Apparatus and method for processing bagged refuse | |
| CN106391471A (en) | Integrative sorting machine for household garbage | |
| CN101722172A (en) | Domestic garbage integrated separating machine | |
| US11033940B2 (en) | Method and device for processing solid waste | |
| CN104174630A (en) | Horizontal winnowing device for domestic garbage | |
| RU2374009C2 (en) | Method and device for treating municipal solid wastes and biomass material produced from said wastes | |
| CN204769003U (en) | Domestic waste sorts all -in -one | |
| CN110773555B (en) | Household garbage sorting system | |
| CN203598927U (en) | Horizontal household garbage winnowing device | |
| KR102496359B1 (en) | Method and installation for treating a waste mixture, including separation and composting of said mixture | |
| US20170022522A1 (en) | Production of biogas from organic materials | |
| CN106734078A (en) | Solid refuse innocuity disposal system and processing method | |
| KR101010679B1 (en) | Rotary filter and waste sorting device to which this rotary filter is applied | |
| CN113578915A (en) | Screening and decrement treatment system and method for stock garbage | |
| CN201346538Y (en) | Garbage disposing positive pressure air sorting equipment | |
| CN208960380U (en) | A kind of rubbish air blasting device | |
| CN102950140A (en) | Household garbage combination sorting device | |
| CN2547424Y (en) | Garbage sorting and processing equipment | |
| CN202725606U (en) | Combined separating device for household garbage | |
| CN211613789U (en) | Garbage classification treatment system | |
| CN210585313U (en) | Solid waste sorting equipment and garbage disposal system | |
| CN101758024A (en) | Waste processing positive pressure sorting machine |
Legal Events
| Date | Code | Title | Description |
|---|---|---|---|
| PB01 | Publication | ||
| PB01 | Publication | ||
| SE01 | Entry into force of request for substantive examination | ||
| SE01 | Entry into force of request for substantive examination | ||
| GR01 | Patent grant | ||
| GR01 | Patent grant |








