CAMPO DA INVENÇÃO
[0001] A presente invenção refere-se a uma série de novos compostos, métodos para prevenir ou tratar infecções virais em animais utilizando os novos compostos e o uso dos referidos novos compostos como um medicamento, mais preferencialmente, para o uso como medicamento no tratamento ou prevenção de infecções virais, particularmente as infecções por RNA vírus, mais particularmente infecções por vírus pertencentes à família Flaviviridae, e ainda mais particularmente infecções pelo vírus da dengue. A presente invenção refere-se ainda às composições farmacêuticas ou preparações combinadas dos novos compostos, composições ou preparações para uso como um medicamento, mais preferencialmente para a prevenção ou tratamento de infecções virais. A invenção também se refere aos processos para a preparação dos compostos.
ANTECEDENTES DA INVENÇÃO
[0002] Os Flavivírus, que são transmitidos por mosquitos ou carrapatos, causam infecções fatais no homem, tais como a encefalite e febre hemorrágica. Quatro sorotipos distintos, mas estreitamente ligados, do Flavivírus da dengue são conhecidos (DENV-1, -2, -3 e -4). A dengue é endêmica na maioria das regiões tropicais e subtropicais de todo o mundo, predominantemente em áreas urbanas e semiurbanas. Segundo a Organização Mundial da Saúde (OMS), 2,5 bilhões de pessoas, das quais 1 bilhão de crianças estão em risco de infecção pelo DENV (WHO, 2002). Estima-se que 50 a 100 milhões de casos de febre da dengue [DF], meio milhão de casos da doença grave da dengue (ou seja, a febre da dengue hemorrágica [FHD] e síndrome do choque associado à dengue [DSS]), e mais de 20.000 mortes ocorrem anualmente no mundo. A FHD se tornou uma das principais causas de hospitalização e morte entre as crianças nas regiões endêmicas. Ao todo, a dengue representa a causa mais comum de doença arboviral. Devido a recentes grandes surtos em países situados na América Latina, Sudeste da Ásia e Pacífico Ocidental (incluindo o Brasil, Porto Rico, Venezuela, Camboja, Indonésia, Vietnã, Tailândia), o número de casos de dengue tem aumentado drasticamente nos últimos anos. Não é apenas o número de casos de dengue crescente devido à doença estar se espalhando para novas áreas, mas os surtos tendem a ser mais graves.
[0003] Para prevenir e/ou controlar a dengue, os únicos métodos disponíveis atualmente são estratégias de erradicação do mosquito para controlar o vetor. Embora haja progressos no desenvolvimento de vacinas para a dengue, muitas dificuldades são encontradas. Dentre estas incluem a existência de um fenômeno conhecido como amplificação dependente de anticorpo (ADE). A recuperação de uma infecção por um sorotipo fornece imunidade vitalícia contra esse sorotipo, mas confere apenas uma proteção parcial e transitória contra uma infecção subsequente por um dos outros três sorotipos. Após a infecção por outro sorotipo, anticorpos heterólogos pré- existentes formam complexos com o sorotipo do vírus da dengue que infectou recentemente, mas não neutralizam o patógeno. Em vez disso, acredita-se que a entrada do vírus nas células seja facilitada, resultando na replicação do vírus descontrolada e em altos títulos de pico viral. Tanto nas infecções primárias quanto secundárias, os títulos virais mais elevados estão associados à doença da dengue mais grave. Uma vez que os anticorpos maternos podem facilmente passar para as crianças através do aleitamento materno, essa pode ser uma das razões pelas quais as crianças são mais afetadas do que os adultos pela doença grave da dengue.
[0004] Em locais com dois ou mais sorotipos que circulam simultaneamente, também referidas como regiões hiperendêmicas, o risco de doença grave da dengue é significativamente mais elevada devido a um risco aumentado de sofrer uma infecção secundária, mais severa. Além disso, em uma situação de hiperendemicidade, a probabilidade do aparecimento de cepas mais virulentas é aumentada, que por sua vez aumenta a probabilidade de ocorrência da dengue hemorrágica (DHF) ou síndrome do choque associado à dengue.
[0005] Os mosquitos transmissores da dengue, incluindo Aedes aegypti e Aedes albopictus (mosquito tigre), estão se movendo para o norte. De acordo com os Centros de Controle e Prevenção de Doenças dos Estados Unidos (Centers for Disease Control and Prevention (CDC)) ambos os mosquitos estão atualmente onipresentes no sul do Texas. A propagação dos mosquitos transmissores da dengue para o norte não está confinada aos EUA, mas também tem sido observada na Europa.
[0006] Apesar de grandes esforços nas últimas 3 décadas, não há atualmente nenhuma vacina disponível para proteger contra a doença do vírus da dengue. O principal problema é o de desenvolver uma vacina que ofereça proteção contra os quatro sorotipos (uma vacina tetravalente) na mesma medida. Além disso, hoje em dia, os medicamentos antivirais específicos para o tratamento ou prevenção de infecção pelo vírus da dengue não estão disponíveis. Claramente, existe ainda uma grande necessidade de terapias para a prevenção ou tratamento de infecções virais em animais, mais particularmente em seres humanos e, especialmente para infecções virais causadas pelos Flavivírus, mais especificamente o vírus da dengue. Agentes terapêuticos com boa potência, ou baixos níveis de efeitos colaterais, com atividade de amplo espectro contra vários sorotipos do vírus da dengue, com baixa toxicidade e/ou boa farmacocinética ou propriedades farmacodinâmicas são muito bem-vindos. A presente invenção provê novos compostos que exibem atividade contra os Flavivírus, incluindo o vírus do dengue. A técnica anterior não leva um perito na arte aos compostos da presente invenção, nem à utilização destes como compostos antivirais.
DESCRIÇÃO RESUMIDA DA INVENÇÃO
[0007] A presente invenção baseia-se na descoberta inesperada de que pelo menos um dos problemas mencionados acima pode ser resolvido por uma nova classe de compostos.
[0008] A presente invenção proporciona novos compostos que têm demonstrado possuir atividade antiviral. A presente invenção demonstra, além disso, que estes compostos inibem eficientemente a proliferação viral, especialmente a do Flavivírus, mais especificamente do vírus da dengue (DENV) e do vírus da febre amarela (YFV). Portanto, estes compostos constituem uma classe útil de novos compostos potentes que podem ser utilizados no tratamento e/ou prevenção de infecções virais em animais, mamíferos e seres humanos, mais especificamente para o tratamento e/ou prevenção de infecções causadas por vírus pertencentes à família dos Flavivírus, e ainda mais particularmente infecções pelo vírus da dengue ou vírus da febre amarela.
[0009] A presente invenção refere-se ainda ao uso de tais compostos como medicamentos e o uso dos mesmos para a fabricação de medicamentos para o tratamento e/ou prevenção de infecções virais, em particular pelo vírus pertencente à família dos Flavivírus, e ainda mais particularmente infecções pelo vírus da dengue ou vírus da febre amarela, em animais ou mamíferos, mais particularmente em seres humanos. A presente invenção, portanto, está relacionada aos compostos para uso como medicamentos e aos compostos para uso como medicamentos para tratar e/ou prevenir infecções virais, em particular pelo vírus pertencente à família dos Flavivírus, e ainda mais particularmente infecções pelo vírus da dengue ou vírus da febre amarela, em animais ou mamíferos, mais particularmente em seres humanos. A invenção também se refere aos métodos para a preparação de todos os compostos e as composições farmacêuticas contendo tais compostos em uma quantidade eficaz.
[0010] A presente invenção também se refere a um método de tratamento ou prevenção de infecções virais em seres humanos através da administração de um ou mais destes compostos, opcionalmente em combinação com um ou mais medicamentos diferentes, a um paciente com tal necessidade. Particularmente, a presente invenção também se refere a um método de tratamento ou prevenção de infecções virais, especialmente infecções flavivirais, em seres humanos pela administração de uma quantidade eficaz de um ou mais desses compostos ou um sal farmaceuticamente aceitável, opcionalmente em combinação com um ou mais medicamentos diferentes, a um paciente com necessidade de tal tratamento. Mais particularmente, a presente invenção também se refere a um método de tratamento ou prevenção de infecções pelo vírus da dengue ou vírus da febre amarela em humanos pela administração de uma quantidade eficaz de um ou mais desses compostos ou dos sais farmaceuticamente aceitáveis dos mesmos, opcionalmente em combinação com um ou mais medicamentos diferentes, a um paciente com tal necessidade
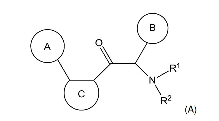
[0011] Um aspecto da invenção é o fornecimento de novos compostos de fórmula (A),
em que: - o ciclo A é selecionado a partir do grupo consistindo de cicloalquila; cicloalquenila; cicloalquinila; arila; e heterociclo; em que a referida cicloalquila, cicloalquenila, cicloalquinila, arila e heterociclo, podem ser não substituídos ou substituídos com um ou mais substituintes selecionados a partir de alquila, cicloalquila, alquenila, cicloalquenila, alquinila, cicloalquinila, heteroalquila, heteroalquenila, heteroalquinila, hidroxila, =O, halogênio, -SH, =S, trifluorometila, -OCF3, ciano, nitro, -C(O)OH, -NH2, NH(alquil), ou N(alquil)2; - o ciclo C é um monociclo selecionado a partir de

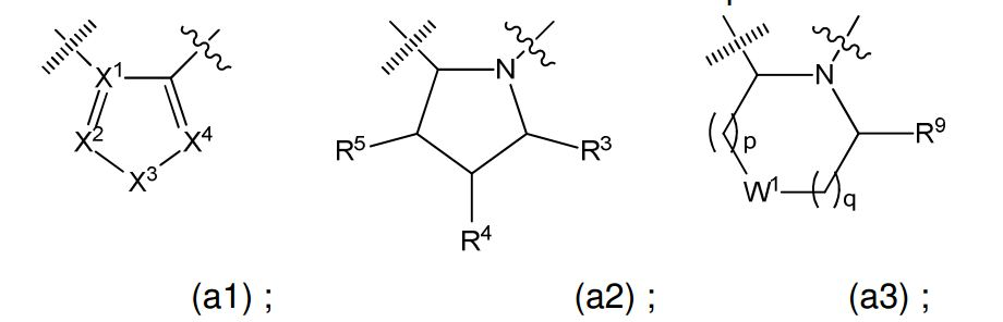
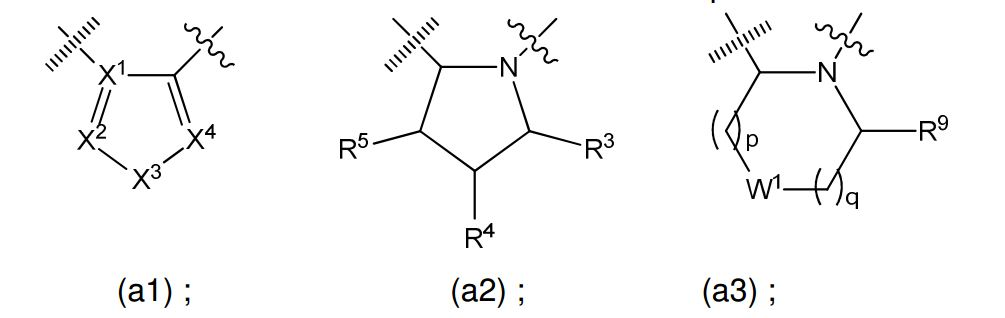
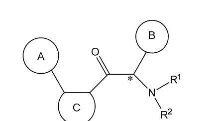
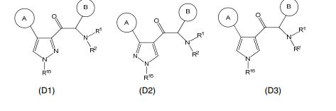
(a1) ; (a2) ; (a3) ; em que a linha ondulada (MAT) indica o ponto de ligação à carbonila da Fórmula principal (A) e a linha tracejada indica o ponto de ligação ao ciclo A da Fórmula principal (A); - X1 é selecionado a partir de C; e N; - X2 é selecionado a partir de CR12; NR13; N; O; e S; - X3 é selecionado a partir de CR14, NR15; N; O; e S; - X4 é selecionado a partir de CR16, NR17; N; O; e S; - cada R3 e R9 é selecionado independentemente a partir de hidrogênio; alquila; alquenila; alquinila; heteroalquila; heteroalquenila; heteroalquinila; =O; e =S; em que a referida alquila, alquenila, alquinila, heteroalquila, heteroalquenila, e heteroalquinila podem ser não substituídas ou substituídas com um ou mais substituintes selecionados a partir de hidroxila, =O, halogênio, -SH, =S, trifluorometila, -OCF3, ciano, nitro, -C(O)OH ou NH2; - cada R4 e R5 é selecionado independentemente a partir de hidrogênio; halogênio; hidroxila; sulfidrila; =O; =S; trifluorometila; trifluorometóxi; ciano; alquila; alquenila; alquinila; heteroalquila; heteroalquenila; e heteroalquinila; e em que a referida alquila, alquenila, alquinila, cicloalquinila, heteroalquila, heteroalquenila, heteroalquinila, podem ser não substituídas ou substituídas com um ou mais substituintes selecionados a partir de hidroxila, =O, halogênio, -SH, =S, trifluorometila, -OCF3, ciano, nitro, -C(O)OH ou NH2; - W1 é selecionado a partir de CR32R32a; NR33; O; S; e SO2; - cada p e q são selecionados independentemente a partir de 1 e 2, de modo que p+q é selecionado a partir de 2 e 3; - o ciclo B é selecionado a partir de arila; e heterociclo; em que a referida arila e heterociclo podem ser não substituídos ou substituídos com um ou mais Z1a; - R1 é selecionado a partir de cicloalquila; cicloalquenila; cicloalquinila; arila; heterociclo; arilalquila; arilalquenila; arilalquinila; heterociclo-alquila; heterociclo-alquenila; heterociclo-alquinila; arilheteroalquila; arilheteroalquenila; arilheteroalquinila; heterociclo-heteroalquila; heterociclo- heteroalquenila; heterociclo-heteroalquinila; e em que a referida cicloalquila; cicloalquenila; cicloalquinila; arila, heterociclo, arilalquila, arilalquenila, arilalquinila, heterociclo-alquila, heterociclo- alquenila, heterociclo-alquinila, arilheteroalquila, arilheteroalquenila, arilheteroalquinila, heterociclo-heteroalquila, heterociclo-heteroalquenila e heterociclo-heteroalquinila podem ser não substituídas ou substituídas com um ou mais Z1b; - R2 é selecionado a partir de hidrogênio; alquila; cicloalquila; alquenila; cicloalquenila; alquinila; cicloalquinila; heteroalquila; heteroalquenila; e heteroalquinila; e em que a referida alquila, cicloalquila; alquenila; cicloalquenila; alquinila; cicloalquinila; heteroalquila, heteroalquenila, e heteroalquinila, podem ser não substituídas ou substituídas com um ou mais Z1c; - cada R12, R14, e R16 são selecionados independentemente a partir de hidrogênio; halogênio; hidroxila; sulfidrila; trifluorometila; trifluorometóxi; nitro; amino; ciano; alquila; cicloalquila; alquenila; cicloalquenila; alquinila; cicloalquinila; heteroalquila; heteroalquenila; heteroalquinila; em que a referida alquila, cicloalquila, alquenila, cicloalquenila, alquinila, cicloalquinila, heteroalquila, heteroalquenila, e heteroalquinila podem ser não substituídas ou substituídas com um ou mais substituintes selecionados a partir de alquila, alquenila, alquinila, heteroalquila, heteroalquenila, heteroalquinila, hidroxila, =O, halogênio, -SH, =S, trifluorometila, -OCF3, ciano, nitro, -C(O)OH ou NH2; - R13, R15, e R17 são selecionados independentemente a partir de hidrogênio; hidroxila; sulfidrila; -S(O)Z2; -S(O)2Z3; -S(O)2NZ4Z5; trifluorometila; - C(O)Z3; -C(O)OZ2; -C(O)NZ4Z5; -C(O)H; alquila; cicloalquila; alquenila; cicloalquenila; alquinila; cicloalquinila; heteroalquila; heteroalquenila; heteroalquinila; em que a referida alquila, cicloalquila, alquenila, cicloalquenila, alquinila, cicloalquinila, heteroalquila, heteroalquenila, ou heteroalquinila podem ser não substituídas ou substituídas com um ou mais substituintes selecionados a partir de alquila, alquenila, alquinila, heteroalquila, heteroalquenila, heteroalquinila, hidroxila, =O, halogênio, -SH, =S, trifluorometila, -OCF3, ciano, nitro, -C(O)OH ou NH2; - cada R32 e R32a são selecionados independentemente a partir de hidrogênio; halogênio; hidroxila; sulfidrila; =O; =S; trifluorometila; trifluorometóxi; ciano; alquila; alquenila; alquinila; heteroalquila; heteroalquenila; e heteroalquinila; e em que a referida alquila, alquenila, alquinila, cicloalquinila, heteroalquila, heteroalquenila, heteroalquinila, podem ser não substituídas ou substituídas com um ou mais substituintes selecionados a partir de hidroxila, =O, halogênio, -SH, =S, trifluorometila, -OCF3, ciano, nitro, -C(O)OH ou NH2; - cada R33 são selecionados independentemente a partir de hidrogênio; alquila; alquenila; alquinila; heteroalquila; heteroalquenila; e heteroalquinila; e em que a referida alquila, alquenila, alquinila, cicloalquinila, heteroalquila, heteroalquenila, heteroalquinila, podem ser não substituídas ou substituídas com um ou mais substituintes selecionados a partir de hidroxila, =O, halogênio, -SH, =S, trifluorometila, -OCF3, ciano, nitro, -C(O)OH ou NH2; - cada Z1a, Z1b, e Z1c são selecionados independentemente a partir do grupo consistindo de halogênio; hidroxila; sulfidrila; -OZ2; =O; -SZ2; =S; -S(O)Z2; -S(O)2Z3; -S(O)2NZ4Z5; trifluorometila; trifluorometóxi; nitro; -NZ4Z5; -NZ4S(O)2Z2; -NZ4C(O)Z2; -NZ4C(O)NZ4Z5; ciano; -C(O)Z3; -C(O)OZ2; - C(O)NZ4Z5; -C(O)H; alquila; cicloalquila; alquenila; cicloalquenila; alquinila; cicloalquinila; heteroalquila; heteroalquenila; heteroalquinila; arila; heterociclo; arilalquila; arilalquenila; arilalquinila; arilheteroalquila; arilheteroalquenila; arilheteroalquinila; heterociclo-alquila; heterociclo-alquenila; heterociclo- alquinila; heterociclo-heteroalquila, heterociclo-heteroalquenila; ou heterociclo- heteroalquinila; e em que a referida alquila, cicloalquila, alquenila, cicloalquenila, alquinila, cicloalquinila, heteroalquila, heteroalquenila, heteroalquinila, arila, heterociclo, arilalquila, arilalquenila, arilalquinila, arilheteroalquila, arilheteroalquenila, arilheteroalquinila, heterociclo-alquila, heterociclo-alquenila, heterociclo-alquinila, heterociclo-heteroalquila, heterociclo-heteroalquenila, ou heterociclo-heteroalquinila podem ser não substituídas ou substituídas com um ou mais substituintes selecionados a partir de alquila, alquenila, alquinila, heteroalquila, heteroalquenila, heteroalquinila, hidroxila, =O, halogênio, -SH, =S, trifluorometila, -OCF3, ciano, nitro, -C(O)OH ou NH2; - cada Z2 é selecionado independentemente a partir de alquila; cicloalquila; alquenila; cicloalquenila; alquinila; cicloalquinila; heteroalquila; heteroalquenila; heteroalquinila; arila; heterociclo; arilalquila; arilalquenila; arilalquinila; arilheteroalquila; arilheteroalquenila; arilheteroalquinila; heterociclo-alquila; heterociclo-alquenila; heterociclo-alquinila; heterociclo- heteroalquila; heterociclo-heteroalquenila; ou heterociclo-heteroalquinila; em que a referida alquila, cicloalquila, alquenila, cicloalquenila, alquinila, cicloalquinila, heteroalquila, heteroalquenila, heteroalquinila, arila, heterociclo, arilalquila, arilalquenila, arilalquinila, arilheteroalquila, arilheteroalquenila, arilheteroalquinila, heterociclo-alquila, heterociclo-alquenila, heterociclo-alquinila, heterociclo-heteroalquila, heterociclo-heteroalquenila, ou heterociclo-heteroalquinila podem ser não substituídas ou substituídas com um ou mais substituintes selecionados a partir de alquila, alquenila, alquinila, hidroxila, =O, halogênio, -SH, =S, trifluorometila, -O-alquila, -OCF3, ciano, nitro, -C(O)OH ou NH2; - cada Z3 é selecionado independentemente a partir de hidroxila; alquila; cicloalquila; alquenila; cicloalquenila; alquinila; cicloalquinila; heteroalquila; heteroalquenila; heteroalquinila; arila; heterociclo; arilalquila; arilalquenila; arilalquinila; arilheteroalquila; arilheteroalquenila; arilheteroalquinila; heterociclo-alquila; heterociclo-alquenila; heterociclo- alquinila; heterociclo-heteroalquila; heterociclo-heteroalquenila; ou heterociclo- heteroalquinila; em que a referida alquila, cicloalquila, alquenila, cicloalquenila, alquinila, cicloalquinila, heteroalquila, heteroalquenila, heteroalquinila, arila, heterociclo, arilalquila, arilalquenila, arilalquinila, arilheteroalquila, arilheteroalquenila, arilheteroalquinila, heterociclo-alquila, heterociclo-alquenila, heterociclo-alquinila, heterociclo-heteroalquila, heterociclo-heteroalquenila, ou heterociclo-heteroalquinila podem ser não substituídas ou substituídas com um ou mais substituintes selecionados a partir de alquila, alquenila, alquinila, hidroxila, =O, halogênio, -SH, =S, trifluorometila, -O-alquila, -OCF3, ciano, nitro, -C(O)OH ou NH2; - cada Z4 e Z5 são selecionados independentemente a partir de hidrogênio; alquila; cicloalquila; alquenila; cicloalquenila; alquinila; cicloalquinila; heteroalquila; heteroalquenila; heteroalquinila; arila; heterociclo; arilalquila; arilalquenila; arilalquinila; arilheteroalquila; arilheteroalquenila; arilheteroalquinila; heterociclo-alquila; heterociclo-alquenila; heterociclo- alquinila; heterociclo-heteroalquila; heterociclo-heteroalquenila; ou heterociclo- heteroalquinila; em que a referida alquila, cicloalquila, alquenila, cicloalquenila, alquinila, cicloalquinila, heteroalquila, heteroalquenila, heteroalquinila, arila, heterociclo, arilalquila, arilalquenila, arilalquinila, arilheteroalquila, arilheteroalquenila, arilheteroalquinila, heterociclo-alquila, heterociclo-alquenila, heterociclo-alquinila, heterociclo-heteroalquila, heterociclo-heteroalquenila, ou heterociclo-heteroalquinila podem ser não substituídas ou substituídas com um ou mais substituintes selecionados a partir de alquila, alquenila, alquinila, hidroxila, =O, halogênio, -SH, =S, trifluorometila, -O-alquila, -OCF3, ciano, nitro, -C(O)OH ou NH2; e em que Z4 e Z5 podem ser tomados em conjunto para formar um heterociclo (com 5, 6 ou 7 membros) que pode ser não substituído ou substituído com alquila, cicloalquila, alquenila, cicloalquenila, alquinila, cicloalquinila, hidroxila, halogênio, -SH, trifluorometila, -O-alquila, -OCF3, ciano, nitro, -C(O)OH ou -NH2; e isômeros (particularmente estereoisômeros ou tautômeros), solvatos, sais (particularmente sais farmaceuticamente aceitáveis) ou pró- fármacos destes.
[0012] Preferencialmente, a invenção provê um composto de fórmula (A), em que, - o ciclo A é selecionado a partir do grupo consistindo de cicloalquila; cicloalquenila; cicloalquinila; arila; e heterociclo; em que a referida cicloalquila, cicloalquenila, cicloalquinila, arila e heterociclo, podem ser não substituídos ou substituídos com um ou mais substituintes selecionados a partir de alquila, cicloalquila, alquenila, cicloalquenila, alquinila, cicloalquinila, heteroalquila, heteroalquenila, heteroalquinila, hidroxila, =O, halogênio, -SH, =S, trifluorometila, -OCF3, ciano, nitro, -C(O)OH, -NH2, NH(alquil), ou N(alquil)2; - o ciclo C é um monociclo selecionado a partir de

(a1) ; (a3) ; em que a linha ondulada ^^) indica o ponto de ligação à carbonila da Fórmula principal (A) e a linha tracejada ( ) indica o ponto de ligação ao ciclo A da Fórmula principal (A); - X1 é selecionado a partir de C; e N; - X2 é selecionado a partir de CR12; NR13; N; O; e S; - X3 é selecionado a partir de CR14, NR15; N; O; e S; - X4 é selecionado a partir de CR16, NR17; N; O; e S; - cada R9 é selecionado independentemente a partir de hidrogênio; alquila; alquenila; alquinila; heteroalquila; heteroalquenila; heteroalquinila; =O; e =S; em que a referida alquila, alquenila, alquinila, heteroalquila, heteroalquenila, e heteroalquinila podem ser não substituídas ou substituídas com um ou mais substituintes selecionados a partir de hidroxila, =O, halogênio, -SH, =S, trifluorometila, -OCF3, ciano, nitro, -C(O)OH ou NH2; - W1 é selecionado a partir de CR32R32a; NR33; O; S; e SO2; - cada p e q são selecionados independentemente a partir de 1 e 2, de modo que p+q é selecionado a partir de 2 e 3; - o ciclo B é selecionado a partir de arila; e heterociclo; em que a referida arila e heterociclo podem ser não substituídos ou substituídos com um ou mais Z1a; - R1 é selecionado a partir de cicloalquila; cicloalquenila; cicloalquinila; arila; heterociclo; arilalquila; arilalquenila; arilalquinila; heterociclo-alquila; heterociclo-alquenila; heterociclo-alquinila; arilheteroalquila; arilheteroalquenila; arilheteroalquinila; heterociclo-heteroalquila; heterociclo- heteroalquenila; heterociclo-heteroalquinila; e em que a referida cicloalquila; cicloalquenila; cicloalquinila; arila, heterociclo, arilalquila, arilalquenila, arilalquinila, heterociclo-alquila, heterociclo- alquenila, heterociclo-alquinila, arilheteroalquila, arilheteroalquenila, arilheteroalquinila, heterociclo-heteroalquila, heterociclo-heteroalquenila e heterociclo-heteroalquinila podem ser não substituídas ou substituídas com um ou mais Z1b; - R2 é selecionado a partir de hidrogênio; alquila; cicloalquila; alquenila; cicloalquenila; alquinila; cicloalquinila; heteroalquila; heteroalquenila; e heteroalquinila; - em que a referida alquila, cicloalquila; alquenila; cicloalquenila; alquinila; cicloalquinila; heteroalquila, heteroalquenila, e heteroalquinila, podem ser não substituídas ou substituídas com um ou mais Z1c; - cada R12, R14, e R16 são selecionados independentemente a partir de hidrogênio; halogênio; hidroxila; sulfidrila; trifluorometila; trifluorometóxi; nitro; amino; ciano; alquila; cicloalquila; alquenila; cicloalquenila; alquinila; cicloalquinila; heteroalquila; heteroalquenila; heteroalquinila; em que a referida alquila, cicloalquila, alquenila, cicloalquenila, alquinila, cicloalquinila, heteroalquila, heteroalquenila, e heteroalquinila podem ser não substituídas ou substituídas com um ou mais substituintes selecionados a partir de alquila, alquenila, alquinila, heteroalquila, heteroalquenila, heteroalquinila, hidroxila, =O, halogênio, -SH, =S, trifluorometila, -OCF3, ciano, nitro, -C(O)OH ou NH2; - R13, R15, e R17 são selecionados independentemente a partir de hidrogênio; hidroxila; sulfidrila; -S(O)Z2; -S(O)2Z3; -S(O)2NZ4Z5; trifluorometila; - C(O)Z3; -C(O)OZ2; -C(O)NZ4Z5; -C(O)H; alquila; cicloalquila; alquenila; cicloalquenila; alquinila; cicloalquinila; heteroalquila; heteroalquenila; heteroalquinila; em que a referida alquila, cicloalquila, alquenila, cicloalquenila, alquinila, cicloalquinila, heteroalquila, heteroalquenila, ou heteroalquinila podem ser não substituídas ou substituídas com um ou mais substituintes selecionados a partir de alquila, alquenila, alquinila, heteroalquila, heteroalquenila, heteroalquinila, hidroxila, =O, halogênio, -SH, =S, trifluorometila, -OCF3, ciano, nitro, -C(O)OH ou NH2; - cada R32 e R32a são selecionados independentemente a partir de hidrogênio; halogênio; hidroxila; sulfidrila; =O; =S; trifluorometila; trifluorometóxi; ciano; alquila; alquenila; alquinila; heteroalquila; heteroalquenila; e heteroalquinila; e em que a referida alquila, alquenila, alquinila, cicloalquinila, heteroalquila, heteroalquenila, heteroalquinila, podem ser não substituídas ou substituídas com um ou mais substituintes selecionados a partir de hidroxila, =O, halogênio, -SH, =S, trifluorometila, -OCF3, ciano, nitro, -C(O)OH ou NH2; - cada R33 são selecionados independentemente a partir de hidrogênio; alquila; alquenila; alquinila; heteroalquila; heteroalquenila; e heteroalquinila; e em que a referida alquila, alquenila, alquinila, cicloalquinila, heteroalquila, heteroalquenila, heteroalquinila, podem ser não substituídas ou substituídas com um ou mais substituintes selecionados a partir de hidroxila, =O, halogênio, -SH, =S, trifluorometila, -OCF3, ciano, nitro, -C(O)OH ou NH2; - cada Z1a, Z1b, e Z1c são selecionados independentemente a partir do grupo consistindo de halogênio; hidroxila; sulfidrila; -OZ2; =O; -SZ2; =S; -S(O)Z2; -S(O)2Z3; -S(O)2NZ4Z5; trifluorometila; trifluorometóxi; nitro; -NZ4Z5; -NZ4S(O)2Z2; -NZ4C(O)Z2; -NZ4C(O)NZ4Z5; ciano; -C(O)Z3; -C(O)OZ2; - C(O)NZ4Z5; -C(O)H; alquila; cicloalquila; alquenila; cicloalquenila; alquinila; cicloalquinila; heteroalquila; heteroalquenila; heteroalquinila; arila; heterociclo; arilalquila; arilalquenila; arilalquinila; arilheteroalquila; arilheteroalquenila; arilheteroalquinila; heterociclo-alquila; heterociclo-alquenila; heterociclo- alquinila; heterociclo-heteroalquila, heterociclo-heteroalquenila; ou heterociclo- heteroalquinila; e em que a referida alquila, cicloalquila, alquenila, cicloalquenila, alquinila, cicloalquinila, heteroalquila, heteroalquenila, heteroalquinila, arila, heterociclo, arilalquila, arilalquenila, arilalquinila, arilheteroalquila, arilheteroalquenila, arilheteroalquinila, heterociclo-alquila, heterociclo-alquenila, heterociclo-alquinila, heterociclo-heteroalquila, heterociclo-heteroalquenila, ou heterociclo-heteroalquinila podem ser não substituídas ou substituídas com um ou mais substituintes selecionados a partir de alquila, alquenila, alquinila, heteroalquila, heteroalquenila, heteroalquinila, hidroxila, =O, halogênio, -SH, =S, trifluorometila, -OCF3, ciano, nitro, -C(O)OH ou NH2; - cada Z2 é selecionado independentemente a partir de alquila; cicloalquila; alquenila; cicloalquenila; alquinila; cicloalquinila; heteroalquila; heteroalquenila; heteroalquinila; arila; heterociclo; arilalquila; arilalquenila; arilalquinila; arilheteroalquila; arilheteroalquenila; arilheteroalquinila; heterociclo-alquila; heterociclo-alquenila; heterociclo-alquinila; heterociclo- heteroalquila; heterociclo-heteroalquenila; ou heterociclo-heteroalquinila; em que a referida alquila, cicloalquila, alquenila, cicloalquenila, alquinila, cicloalquinila, heteroalquila, heteroalquenila, heteroalquinila, arila, heterociclo, arilalquila, arilalquenila, arilalquinila, arilheteroalquila, arilheteroalquenila, arilheteroalquinila, heterociclo-alquila, heterociclo-alquenila, heterociclo-alquinila, heterociclo-heteroalquila, heterociclo-heteroalquenila, ou heterociclo-heteroalquinila podem ser não substituídas ou substituídas com um ou mais substituintes selecionados a partir de alquila, alquenila, alquinila, hidroxila, =O, halogênio, -SH, =S, trifluorometila, -O-alquila, -OCF3, ciano, nitro, -C(O)OH ou NH2; - cada Z3 é selecionado independentemente a partir de hidroxila; alquila; cicloalquila; alquenila; cicloalquenila; alquinila; cicloalquinila; heteroalquila; heteroalquenila; heteroalquinila; arila; heterociclo; arilalquila; arilalquenila; arilalquinila; arilheteroalquila; arilheteroalquenila; arilheteroalquinila; heterociclo-alquila; heterociclo-alquenila; heterociclo- alquinila; heterociclo-heteroalquila; heterociclo-heteroalquenila; ou heterociclo- heteroalquinila; em que a referida alquila, cicloalquila, alquenila, cicloalquenila, alquinila, cicloalquinila, heteroalquila, heteroalquenila, heteroalquinila, arila, heterociclo, arilalquila, arilalquenila, arilalquinila, arilheteroalquila, arilheteroalquenila, arilheteroalquinila, heterociclo-alquila, heterociclo-alquenila, heterociclo-alquinila, heterociclo-heteroalquila, heterociclo-heteroalquenila, ou heterociclo-heteroalquinila podem ser não substituídas ou substituídas com um ou mais substituintes selecionados a partir de alquila, alquenila, alquinila, hidroxila, =O, halogênio, -SH, =S, trifluorometila, -O-alquila, -OCF3, ciano, nitro, -C(O)OH ou NH2; - cada Z4 e Z5 são selecionados independentemente a partir de hidrogênio; alquila; cicloalquila; alquenila; cicloalquenila; alquinila; cicloalquinila; heteroalquila; heteroalquenila; heteroalquinila; arila; heterociclo; arilalquila; arilalquenila; arilalquinila; arilheteroalquila; arilheteroalquenila; arilheteroalquinila; heterociclo-alquila; heterociclo-alquenila; heterociclo- alquinila; heterociclo-heteroalquila; heterociclo-heteroalquenila; ou heterociclo- heteroalquinila; em que a referida alquila, cicloalquila, alquenila, cicloalquenila, alquinila, cicloalquinila, heteroalquila, heteroalquenila, heteroalquinila, arila, heterociclo, arilalquila, arilalquenila, arilalquinila, arilheteroalquila, arilheteroalquenila, arilheteroalquinila, heterociclo-alquila, heterociclo-alquenila, heterociclo-alquinila, heterociclo-heteroalquila, heterociclo-heteroalquenila, ou heterociclo-heteroalquinila podem ser não substituídas ou substituídas com um ou mais substituintes selecionados a partir de alquila, alquenila, alquinila, hidroxila, =O, halogênio, -SH, =S, trifluorometila, -O-alquila, -OCF3, ciano, nitro, -C(O)OH ou NH2; e em que Z4 e Z5 podem ser tomados em conjunto para formar um heterociclo (com 5, 6 ou 7 membros) que pode ser não substituído ou substituído com alquila, cicloalquila, alquenila, cicloalquenila, alquinila, cicloalquinila, hidroxila, halogênio, -SH, trifluorometila, -O-alquila, -OCF3, ciano, nitro, -C(O)OH ou -NH2; e isômeros (particularmente estereoisômeros ou tautômeros), solvatos, sais (particularmente sais farmaceuticamente aceitáveis) ou pró- fármacos destes, com a condição de que o composto não é 2-anilino-2-(4-terc-butilfenil)-1-(2-fenil-1-piperidil)etanona; 2-anilino-1-(2-fenil-1-piperidil)-2-[4-(trifluorometil)fenil]etanona; 2-anilino-2-(4-terc-butilfenil)-1-(2-fenilazepan-1-il)etanona.
DESCRIÇÃO DETALHADA DA INVENÇÃO
[0013] A presente invenção será descrita em relação aos exemplos de realização específicos, mas a invenção não está limitada a eles.
[0014] Declarações (características) e exemplos de realização preferidos dos compostos e processos da presente invenção estão definidos na presente invenção. Cada declaração e exemplo de realização da invenção assim definido pode ser combinado com qualquer outra declaração e/ou exemplo de realização, a menos que expressamente indicado de outra forma. Em particular, qualquer característica indicada como sendo preferida ou vantajosa pode ser combinada com qualquer outra característica ou características indicadas como sendo preferidas ou vantajosas.
[0015] As declarações numeradas desta invenção são:
em que: - o ciclo A é selecionado a partir do grupo consistindo de cicloalquila; cicloalquenila; cicloalquinila; arila; e heterociclo; em que a referida cicloalquila, cicloalquenila, cicloalquinila, arila e heterociclo, podem ser não substituídos ou substituídos com um ou mais substituintes selecionados a partir de alquila, cicloalquila, alquenila, cicloalquenila, alquinila, cicloalquinila, heteroalquila, heteroalquenila, heteroalquinila, hidroxila, =O, halogênio, -SH, =S, trifluorometila, -OCF3, ciano, nitro, -C(O)OH, -NH2, NH(alquil), ou N(alquil)2;

em que a linha ondulada ^^) indica o ponto de ligação à carbonila da Fórmula principal (A) e a linha tracejada (IIIIII ) indica o ponto de ligação ao ciclo A da Fórmula principal (A); - X1 é selecionado a partir de C; e N; - X2 é selecionado a partir de CR12; NR13; N; O; e S; - X3 é selecionado a partir de CR14, NR15; N; O; e S; - X4 é selecionado a partir de CR16, NR17; N; O; e S; - cada R3 e R9 são selecionados independentemente a partir de hidrogênio; alquila; alquenila; alquinila; heteroalquila; heteroalquenila; heteroalquinila; =O; e =S; em que a referida alquila, alquenila, alquinila, heteroalquila, heteroalquenila, e heteroalquinila podem ser não substituídas ou substituídas com um ou mais substituintes selecionados a partir de hidroxila, =O, halogênio, -SH, =S, trifluorometila, -OCF3, ciano, nitro, -C(O)OH ou NH2; - cada R4 e R5 são selecionados independentemente a partir de hidrogênio; halogênio; hidroxila; sulfidrila; =O; =S; trifluorometila; trifluorometóxi; ciano; alquila; alquenila; alquinila; heteroalquila; heteroalquenila; e heteroalquinila; e em que a referida alquila, alquenila, alquinila, cicloalquinila, heteroalquila, heteroalquenila, heteroalquinila, podem ser não substituídas ou substituídas com um ou mais substituintes selecionados a partir de hidroxila, =O, halogênio, -SH, =S, trifluorometila, -OCF3, ciano, nitro, -C(O)OH ou NH2; - W1 é selecionado a partir de CR32R32a; NR33; O; S; e SO2; - cada p e q são selecionados independentemente a partir de 1 e 2, de modo que p+q é selecionado a partir de 2 e 3; - o ciclo B é selecionado a partir de arila; e heterociclo; em que a referida arila e heterociclo podem ser não substituídos ou substituídos com um ou mais Z1a; - R1 é selecionado a partir de cicloalquila; cicloalquenila; cicloalquinila; arila; heterociclo; arilalquila; arilalquenila; arilalquinila; heterociclo-alquila; heterociclo-alquenila; heterociclo-alquinila; arilheteroalquila; arilheteroalquenila; arilheteroalquinila; heterociclo-heteroalquila; heterociclo- heteroalquenila; heterociclo-heteroalquinila; e em que a referida cicloalquila; cicloalquenila; cicloalquinila; arila, heterociclo, arilalquila, arilalquenila, arilalquinila, heterociclo-alquila, heterociclo- alquenila, heterociclo-alquinila, arilheteroalquila, arilheteroalquenila, arilheteroalquinila, heterociclo-heteroalquila, heterociclo-heteroalquenila e heterociclo-heteroalquinila podem ser não substituídas ou substituídas com um ou mais Z1b; - R2 é selecionado a partir de hidrogênio; alquila; cicloalquila; alquenila; cicloalquenila; alquinila; cicloalquinila; heteroalquila; heteroalquenila; e heteroalquinila; - em que a referida alquila, cicloalquila; alquenila; cicloalquenila; alquinila; cicloalquinila; heteroalquila, heteroalquenila, e heteroalquinila, podem ser não substituídas ou substituídas com um ou mais Z1c; - cada R12, R14, e R16 são selecionados independentemente a partir de hidrogênio; halogênio; hidroxila; sulfidrila; trifluorometila; trifluorometóxi; nitro; amino; ciano; alquila; cicloalquila; alquenila; cicloalquenila; alquinila; cicloalquinila; heteroalquila; heteroalquenila; heteroalquinila; em que a referida alquila, cicloalquila, alquenila, cicloalquenila, alquinila, cicloalquinila, heteroalquila, heteroalquenila, e heteroalquinila podem ser não substituídas ou substituídas com um ou mais substituintes selecionados a partir de alquila, alquenila, alquinila, heteroalquila, heteroalquenila, heteroalquinila, hidroxila, =O, halogênio, -SH, =S, trifluorometila, -OCF3, ciano, nitro, -C(O)OH ou NH2; - R13, R15, e R17 são selecionados independentemente a partir de hidrogênio; hidroxila; sulfidrila; -S(O)Z2; -S(O)2Z3; -S(O)2NZ4Z5; trifluorometila; - C(O)Z3; -C(O)OZ2; -C(O)NZ4Z5; -C(O)H; alquila; cicloalquila; alquenila; cicloalquenila; alquinila; cicloalquinila; heteroalquila; heteroalquenila; heteroalquinila; em que a referida alquila, cicloalquila, alquenila, cicloalquenila, alquinila, cicloalquinila, heteroalquila, heteroalquenila, ou heteroalquinila podem ser não substituídas ou substituídas com um ou mais substituintes selecionados a partir de alquila, alquenila, alquinila, heteroalquila, heteroalquenila, heteroalquinila, hidroxila, =O, halogênio, -SH, =S, trifluorometila, -OCF3, ciano, nitro, -C(O)OH ou NH2; - cada R32 e R32a são selecionados independentemente a partir de hidrogênio; halogênio; hidroxila; sulfidrila; =O; =S; trifluorometila; trifluorometóxi; ciano; alquila; alquenila; alquinila; heteroalquila; heteroalquenila; e heteroalquinila; e em que a referida alquila, alquenila, alquinila, cicloalquinila, heteroalquila, heteroalquenila, heteroalquinila, podem ser não substituídas ou substituídas com um ou mais substituintes selecionados a partir de hidroxila, =O, halogênio, -SH, =S, trifluorometila, -OCF3, ciano, nitro, -C(O)OH ou NH2; - cada R33 é selecionado independentemente a partir de hidrogênio; alquila; alquenila; alquinila; heteroalquila; heteroalquenila; e heteroalquinila; e em que a referida alquila, alquenila, alquinila, cicloalquinila, heteroalquila, heteroalquenila, heteroalquinila, podem ser não substituídas ou substituídas com um ou mais substituintes selecionados a partir de hidroxila, =O, halogênio, -SH, =S, trifluorometila, -OCF3, ciano, nitro, -C(O)OH ou NH2; - cada Z1a, Z1b, e Z1c são selecionados independentemente a partir do grupo consistindo de halogênio; hidroxila; sulfidrila; -OZ2; =O; -SZ2; =S; -S(O)Z2; -S(O)2Z3; -S(O)2NZ4Z5; trifluorometila; trifluorometóxi; nitro; -NZ4Z5; -NZ4S(O)2Z2; -NZ4C(O)Z2; -NZ4C(O)NZ4Z5; ciano; -C(O)Z3; -C(O)OZ2; - C(O)NZ4Z5; -C(O)H; alquila; cicloalquila; alquenila; cicloalquenila; alquinila; cicloalquinila; heteroalquila; heteroalquenila; heteroalquinila; arila; heterociclo; arilalquila; arilalquenila; arilalquinila; arilheteroalquila; arilheteroalquenila; arilheteroalquinila; heterociclo-alquila; heterociclo-alquenila; heterociclo- alquinila; heterociclo-heteroalquila, heterociclo-heteroalquenila; ou heterociclo- heteroalquinila; e em que a referida alquila, cicloalquila, alquenila, cicloalquenila, alquinila, cicloalquinila, heteroalquila, heteroalquenila, heteroalquinila, arila, heterociclo, arilalquila, arilalquenila, arilalquinila, arilheteroalquila, arilheteroalquenila, arilheteroalquinila, heterociclo-alquila, heterociclo-alquenila, heterociclo-alquinila, heterociclo-heteroalquila, heterociclo-heteroalquenila, ou heterociclo-heteroalquinila podem ser não substituídas ou substituídas com um ou mais substituintes selecionados a partir de alquila, alquenila, alquinila, heteroalquila, heteroalquenila, heteroalquinila, hidroxila, =O, halogênio, -SH, =S, trifluorometila, -OCF3, ciano, nitro, -C(O)OH ou NH2; - cada Z2 é selecionado independentemente a partir de alquila; cicloalquila; alquenila; cicloalquenila; alquinila; cicloalquinila; heteroalquila; heteroalquenila; heteroalquinila; arila; heterociclo; arilalquila; arilalquenila; arilalquinila; arilheteroalquila; arilheteroalquenila; arilheteroalquinila; heterociclo-alquila; heterociclo-alquenila; heterociclo-alquinila; heterociclo- heteroalquila; heterociclo-heteroalquenila; ou heterociclo-heteroalquinila; em que a referida alquila, cicloalquila, alquenila, cicloalquenila, alquinila, cicloalquinila, heteroalquila, heteroalquenila, heteroalquinila, arila, heterociclo, arilalquila, arilalquenila, arilalquinila, arilheteroalquila, arilheteroalquenila, arilheteroalquinila, heterociclo-alquila, heterociclo-alquenila, heterociclo-alquinila, heterociclo-heteroalquila, heterociclo-heteroalquenila, ou heterociclo-heteroalquinila podem ser não substituídas ou substituídas com um ou mais substituintes selecionados a partir de alquila, alquenila, alquinila, hidroxila, =O, halogênio, -SH, =S, trifluorometila, -O-alquila, -OCF3, ciano, nitro, -C(O)OH ou NH2; - cada Z3 é selecionado independentemente a partir de hidroxila; alquila; cicloalquila; alquenila; cicloalquenila; alquinila; cicloalquinila; heteroalquila; heteroalquenila; heteroalquinila; arila; heterociclo; arilalquila; arilalquenila; arilalquinila; arilheteroalquila; arilheteroalquenila; arilheteroalquinila; heterociclo-alquila; heterociclo-alquenila; heterociclo- alquinila; heterociclo-heteroalquila; heterociclo-heteroalquenila; ou heterociclo- heteroalquinila; em que a referida alquila, cicloalquila, alquenila, cicloalquenila, alquinila, cicloalquinila, heteroalquila, heteroalquenila, heteroalquinila, arila, heterociclo, arilalquila, arilalquenila, arilalquinila, arilheteroalquila, arilheteroalquenila, arilheteroalquinila, heterociclo-alquila, heterociclo-alquenila, heterociclo-alquinila, heterociclo-heteroalquila, heterociclo-heteroalquenila, ou heterociclo-heteroalquinila podem ser não substituídas ou substituídas com um ou mais substituintes selecionados a partir de alquila, alquenila, alquinila, hidroxila, =O, halogênio, -SH, =S, trifluorometila, -O-alquila, -OCF3, ciano, nitro, -C(O)OH ou NH2; - cada Z4 e Z5 são selecionados independentemente a partir de hidrogênio; alquila; cicloalquila; alquenila; cicloalquenila; alquinila; cicloalquinila; heteroalquila; heteroalquenila; heteroalquinila; arila; heterociclo; arilalquila; arilalquenila; arilalquinila; arilheteroalquila; arilheteroalquenila; arilheteroalquinila; heterociclo-alquila; heterociclo-alquenila; heterociclo-alquinila; heterociclo- heteroalquila; heterociclo-heteroalquenila; ou heterociclo-heteroalquinila; em que a referida alquila, cicloalquila, alquenila, cicloalquenila, alquinila, cicloalquinila, heteroalquila, heteroalquenila, heteroalquinila, arila, heterociclo, arilalquila, arilalquenila, arilalquinila, arilheteroalquila, arilheteroalquenila, arilheteroalquinila, heterociclo-alquila, heterociclo-alquenila, heterociclo-alquinila, heterociclo-heteroalquila, heterociclo-heteroalquenila, ou heterociclo-heteroalquinila podem ser não substituídas ou substituídas com um ou mais substituintes selecionados a partir de alquila, alquenila, alquinila, hidroxila, =O, halogênio, -SH, =S, trifluorometila, -O-alquila, -OCF3, ciano, nitro, -C(O)OH ou NH2; - em que Z4 e Z5 podem ser tomados em conjunto para formar um heterociclo (com 5, 6 ou 7 membros) que pode ser não substituído ou substituído com alquila, cicloalquila, alquenila, cicloalquenila, alquinila, cicloalquinila, hidroxila, halogênio, -SH, trifluorometila, -O-alquila, -OCF3, ciano, nitro, -C(O)OH ou -NH2; e isômeros (particularmente estereoisômeros ou tautômeros), solvatos, sais (particularmente sais farmaceuticamente aceitáveis) ou pró- fármacos destes. -2 . O composto de acordo com a declaração 1, caracterizado pelo fato de que o ciclo C é selecionado dentre o seguinte grupo de ciclos

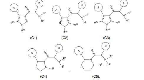
- 3. O composto de acordo com a declaração 1 ou 2, caracterizado pelo fato de que o ciclo C é selecionado dentre o seguinte grupo de ciclos
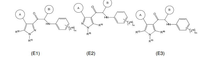
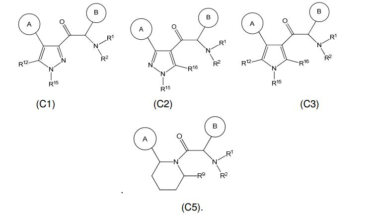
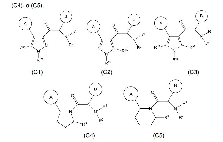
4. Os compostos de acordo com qualquer uma das declarações 1 a 3, selecionados a partir dos compostos de fórmula (C1), (C2), (C3), (C4) e (C5),
5. Os compostos de acordo com a declaração 1, caracterizado pelo fato de que;
em que a linha ondulada (MAT) indica o ponto de ligação à carbonila da Fórmula principal (A) e a linha tracejada indica o ponto de ligação ao ciclo A da Fórmula principal (A); - o ciclo A é selecionado a partir de arila; e heterociclo; opcionalmente substituído com um, dois, ou três substituintes (mais particularmente um ou dois substituintes) selecionados a partir de alquila, cicloalquila, alquenila, cicloalquenila, alquinila, cicloalquinila, heteroalquila, heteroalquenila, heteroalquinila, hidroxila, =O, halogênio, -SH, =S, trifluorometila, -OCF3, ciano, nitro, -C(O)OH , NH2, NH(alquil), ou N(alquil)2; mais particularmente o ciclo A é selecionado a partir de


em que a linha ondulada (—) indica o ponto de ligação ao átomo do ciclo C, e em que os ciclos ilustrados podem ser opcionalmente substituídos com um, dois, ou três substituintes selecionados a partir de alquila, cicloalquila, alquenila, cicloalquenila, alquinila, cicloalquinila, heteroalquila, heteroalquenila, heteroalquinila, hidroxila, =O, halogênio, -SH, =S, trifluorometila, -OCF3, ciano, nitro, -C(O)OH, NH2, NH(alquil), ou N(alquil)2; - o ciclo B é selecionado a partir de arila; e heterociclo; em que a referida arila e heterociclo são opcionalmente substituídos com um, dois, ou

em que a linha ondulada (~~) indica o ponto de ligação ao átomo de carbono da Fórmula principal (A), e em que os ciclos ilustrados podem ser opcionalmente substituídos com um, dois, ou três Z1a; - R1 é selecionado a partir de alquila C1-6, cicloalquila C3-7, cicloalquenila C3-7, cicloalquinila C3-7, arila, heterociclo, arilalquila C1-6, arilalquenila C2-6, arilalquinila C2-6, heterociclo-alquila C1-6, heterociclo-alquenila C2-6, heterociclo-alquinila C2-6, arilheteroalquila C1-6 , arilheteroalquenila C2-6, arilheteroalquinila C2-6, heterociclo-heteroalquila C1-6, heterociclo- heteroalquenila C2-6, e heterociclo-heteroalquinila C2-6; preferencialmente R1 é selecionado a partir de alquila C1-6, cicloalquila C3-7, arila, heterociclo; e em que a referida alquila C1-6, cicloalquila C3-7, cicloalquenila C37, cicloalquinila C3-7, arila, heterociclo, arilalquila C1-6, arilalquenila C2-6, arilalquinila C2-6, heterociclo-alquila C1-6, heterociclo-alquenila C2-6, heterociclo- alquinila C2-6, arilheteroalquila C1-6 , arilheteroalquenila C2-6, arilheteroalquinila C2-6, heterociclo-heteroalquila C1-6, heterociclo-heteroalquenila C2-6, e heterociclo-heteroalquinila C2-6, são opcionalmente substituídos com um, dois, ou três Z1b; preferencialmente a referida alquila C1-6, cicloalquila C3-7, arila, e heterociclo, são opcionalmente substituídos com um, dois, ou três Z1b; - R2 é selecionado a partir de hidrogênio, -C(O)Z3, alquila C1-6, alquenila C2-6, alquinila C2-6, heteroalquila C1-6, heteroalquenila C2-6, e heteroalquinila C2-6; preferencialmente R2 é selecionado a partir de hidrogênio, -C(O)Z3, e alquila C1-6; e em que a referida alquila C1-6, alquenila C2-6, alquinila C2-6, heteroalquila C1-6, heteroalquenila C2-6, e heteroalquinila C2-6, são opcionalmente substituídos com um, dois, ou três Z1c; preferencialmente a referida alquila C1-6 é opcionalmente substituída com um, dois, ou três Z1c; - R3 é selecionado a partir de hidrogênio; alquila C1-6; heteroalquila C1-6; e =O; - cada R4 e R5 são selecionados independentemente a partir de hidrogênio; halogênio; hidroxila; sulfidrila; trifluorometila; trifluorometóxi; ciano; alquila C1-6; alquenila C2-6; alquinila C2-6; heteroalquila C1-6; heteroalquenila C16; e heteroalquinila C1-6; - R9 é selecionado a partir de hidrogênio; alquila C1-6; heteroalquila C1-6; e =O; - cada um dentre R12, R14 e R16 são selecionados independentemente a partir de hidrogênio; halogênio; trifluorometila; ciano; alquila C1-6 e cicloalquila C1-6; - cada um dentre R13, R15 e R17 são selecionados independentemente a partir de hidrogênio; halogênio; trifluorometila; ciano; alquila C1-6 e cicloalquila C1-6; - cada R32 e R5 são selecionados independentemente a partir de hidrogênio; halogênio; hidroxila; sulfidrila; trifluorometila; trifluorometóxi; ciano; alquila C1-6; alquenila C2-6; alquinila C2-6; heteroalquila C1-6; heteroalquenila C16; e heteroalquinila C1-6; - R33 é selecionado independentemente a partir de hidrogênio e alquila C1-6; - cada Z1a, Z1b, e Z1c são selecionados independentemente a partir do grupo consistindo de halogênio, hidroxila, sulfidrila, -OZ2, -O-C(=O)Z3, =O, -SZ2, =S, -S(=O)Z2, -S(=O)2Z3, -S(=O)2NZ4Z5, trifluorometila, trifluorometóxi, nitro, -NZ4Z5, -NZ4S(=O)2Z2, -NZ4C(=O)Z2, -NZ4C(=O)-OZ2, -NZ4C(=O)NZ4Z5, ciano, -C(=O)Z3, -C(=O)OZ2, -C(=O)NZ4Z5, -C(=O)H, alquila C1-6, alquenila C2-6, alquinila C2-6, heteroalquila C1-6, heteroalquenila C2-6, heteroalquinila C2-6, arila, heterociclo, arilalquila C1-6, arilalquenila C2-6, arilalquinila C2-6, arilheteroalquila C1-6, arilheteroalquenila C2-6, arilheteroalquinila C2-6, heterociclo-alquila C1-6, heterociclo-alquenila C2-6, heterociclo-alquinila C2-6, heterociclo-heteroalquila C1-6, heterociclo-heteroalquenila C2-6, e heterociclo-heteroalquinila C2-6; preferencialmente cada Z1, Z1a, Z1b, e Z1c são selecionados independentemente a partir do grupo consistindo de halogênio, hidroxila, sulfidrila, -OZ2, -O- C(=O)Z3, =O, -SZ2, =S, -S(=O)Z2, -S(=O)2Z3, -S(=O)2NZ4Z5, trifluorometila, trifluorometóxi, nitro, -NZ4Z5, -NZ4S(=O)2Z2, -NZ4C(=O)Z2, -NZ4C(=O)2Z2, - NZ4C(=O)NZ4Z5, ciano, -C(=O)Z3, -C(=O)OZ2, -C(=O)NZ4Z5, -C(=O)H, alquila C1-6, heteroalquila C1-6, arila, heterociclo, e heterociclo-alquila C1-6; mais preferencialmente cada Z1, Z1a, Z1b, e Z1c são selecionados independentemente a partir do grupo consistindo de halogênio, hidroxila, -OZ2, -O-C(=O)Z3, =O, - S(=O)2Z3, -S(=O)2NZ4Z5, trifluorometila, trifluorometóxi, -NZ4Z5, -NZ4C(=O)Z2, - NZ4C(=O)-OZ2, ciano, -C(=O)Z3, -C(=O)OZ2, -C(=O)NZ4Z5, alquila C1-6, heteroalquila C1-6, arila, heterociclo, e heterociclo-alquila C1-6; e em que a referida alquila C1-6, alquenila C2-6, alquinila C2-6, heteroalquila C1-6, heteroalquenila C2-6, heteroalquinila C2-6, arila, heterociclo, arilalquila C1-6, arilalquenila C2-6, arilalquinila C2-6, arilheteroalquila C1-6 , arilheteroalquenila C2-6, arilheteroalquinila C2-6, heterociclo-alquila C1-6, heterociclo-alquenila C2-6, heterociclo-alquinila C2-6, heterociclo-heteroalquila C1-6, heterociclo-heteroalquenila C2-6, e heterociclo-heteroalquinila C2-6, são opcionalmente substituídos com um, dois, ou três substituintes selecionados a partir de alquila C1-6, alquenila C2-6, alquinila C2-6, heteroalquila C1-6, heteroalquenila C2-6, heteroalquinila C2-6, hidroxila, =O, halogênio, -SH, =S, trifluorometila, -OCF3, -O-C(O)Me, ciano, nitro, -C(O)OH, -C(O)Oalquila C1-6, - NH2, -NHCH3; -N(CH3)2, -NH-C(=O)O-alquilaC1-4, morfolinila, -S(O)2alquilaC1-4, e -O-alquila Ci-β; preferencialmente a referida alquila Ci-β, heteroalquila Ci-β, arila, heterociclo, e heterociclo-alquila C1-6, são opcionalmente substituídos com um, dois, ou três substituintes selecionados a partir de hidroxila, =O, halogênio, -SH, =S, trifluorometila, -OCF3, -O-C(O)Me, ciano, nitro, -C(O)OH, - C(O)Oalquila C1-6, -NH2, -NHCH3; -N(CH3)2, -NH-C(=O)O-alquilaC1-4, morfolinila, -S(O)2alquilaC1-4, e -O-alquila C1-6; mais preferencialmente a referida alquila C1-6, arila, e heterociclo são opcionalmente substituídos com um, dois, ou três substituintes selecionados a partir de hidroxila, =O, -O- C(O)Me, ciano, -C(O)OH, -C(O)Oalquila C1-6, -NH2, -NHCH3; -N(CH3)2, -NH- C(=O)O-alquilaCi-4, morfolinila, -S(O)2alquilaCi-4, e -O-alquila Ci-β; 1. cada Z2 é selecionado independentemente a partir de alquila C1- β, alquenila C2-β, alquinila C2-β, heteroalquila Ci-β, heteroalquenila C2-β, heteroalquinila C2-β, arila, heterociclo, arilalquila Ci-β, arilalquenila C2-β, arilalquinila C2-β, arilheteroalquila Ci-β , arilheteroalquenila C2-β, arilheteroalquinila C2-β, heterociclo-alquila Ci-β, heterociclo-alquenila C2-β, heterociclo-alquinila C2-β, heterociclo-heteroalquila Ci-β, heterociclo- heteroalquenila C2-β, e heterociclo-heteroalquinila C2-β; preferencialmente Z2 é selecionado independentemente a partir de alquila Ci-β, arila, heterociclo, e heterociclo-alquila Ci-β; mais preferencialmente Z2 é selecionado independentemente a partir de alquila Ci-β, arila, e heterociclo-alquila Ci-β; em que a referida alquila Ci-β, alquenila C2-β, alquinila C2-β, heteroalquila Ci-β, heteroalquenila C2-β, heteroalquinila C2-β, arila, heterociclo, arilalquila Ci-β, arilalquenila C2-β, arilalquinila C2-β, arilheteroalquila Ci-β , arilheteroalquenila C2-β, arilheteroalquinila C2-β, heterociclo-alquila Ci-β, heterociclo-alquenila C2-β, heterociclo-alquinila C2-β, heterociclo-heteroalquila Ci-β, heterociclo-heteroalquenila C2-β, e heterociclo-heteroalquinila C2-β, são opcionalmente substituídos com um, dois, ou três substituintes selecionados a partir de alquila Ci-β, alquenila C2-β, alquinila C2-β, hidroxila, =O, halogênio, -SH, =S, trifluorometila, difluorometila, -O-alquila Ci-β, -OCF3, -S(=O)2alquilaCi-4, ciano, nitro, -C(=O)OH, -C(=O)O-alquilaCi-4, -NH2, -N(CH3)2, pirrolidinila, piperidinila, e piperazinila; preferencialmente a referida alquila Ci-β, arila, heterociclo, e heterociclo-alquila Ci-β, são opcionalmente substituídos com um, dois, ou três substituintes selecionados a partir de hidroxila, =O, halogênio, - SH, =S, trifluorometila, difluorometila, -O-alquila Ci-β, -OCF3, -S(=O)2alquilaCi-4, ciano, nitro, -C(=O)OH, -C(=O)O-alquilaCi-4, -NH2, -N(CH3)2, pirrolidinila, piperidinila, e piperazinila; mais preferencialmente a referida alquila C1-6, e arila, são opcionalmente substituídas com um, dois, ou três substituintes selecionados a partir de hidroxila, halogênio, difluorometila, -O-alquila C1-6, - S(=O)2alquilaC1-4, -C(=O)OH, -C(=O)O-alquilaC1-4, -NH2, -N(CH3)2, pirrolidinila, piperidinila, e piperazinila; 2. cada Z3 é selecionado independentemente a partir de hidroxila, alquila C1-6, alquenila C2-6, alquinila C2-6, heteroalquila C1-6, heteroalquenila C26, heteroalquinila C2-6, arila, heterociclo, arilalquila C1-6, arilalquenila C2-6, arilalquinila C2-6, arilheteroalquila C1-6, arilheteroalquenila C2-6, arilheteroalquinila C2-6, heterociclo-alquila C1-6, heterociclo-alquenila C2-6, heterociclo-alquinila C2-6, heterociclo-heteroalquila C1-6, heterociclo- heteroalquenila C2-6, e heterociclo-heteroalquinila C2-6; preferencialmente Z3 é selecionado independentemente a partir de hidroxila, alquila C1-6, arila, e heterociclo; mais preferencialmente Z3 é selecionado independentemente a partir de hidroxila, alquila C1-6, e heterociclo; em que a referida alquila C1-6, alquenila C2-6, alquinila C2-6, heteroalquila C1-6, heteroalquenila C2-6, heteroalquinila C2-6, arila, heterociclo, arilalquila C1-6, arilalquenila C2-6, arilalquinila C2-6, arilheteroalquila C1-6, arilheteroalquenila C2-6, arilheteroalquinila C2-6, heterociclo-alquila C1-6, heterociclo-alquenila C2-6, heterociclo-alquinila C2-6, heterociclo-heteroalquila C1-6, heterociclo-heteroalquenila C2-6, e heterociclo-heteroalquinila C2-6, são opcionalmente substituídos com um, dois, ou três substituintes selecionados a partir de alquila C1-6, alquenila C2-6, alquinila C2-6, hidroxila, =O, halogênio, -SH, =S, trifluorometila, -O-alquila C1-6, -OCF3, ciano, nitro, -C(=O)OH, -NH2, e - N(CH3)2; preferencialmente a referida alquila C1-6, arila, e heterociclo são opcionalmente substituídos com um, dois, ou três substituintes selecionados a partir de alquila C1-6 e -N(CH3)2; mais preferencialmente a referida alquila C1-6 e heterociclo são opcionalmente substituídos com um, dois, ou três substituintes selecionados a partir de alquila C1-6 e -N(CH3)2; 3. cada Z4 e Z5 são selecionados independentemente a partir de hidrogênio, alquila C1-6, alquenila C2-6, alquinila C2-6, heteroalquila C1-6, heteroalquenila C2-6, heteroalquinila C2-6, arila, cicloalquila C3-7, heterociclo, arilalquila C1-6, arilalquenila C2-6, arilalquinila C2-6, arilheteroalquila C1-6, arilheteroalquenila C2-6, arilheteroalquinila C2-6, heterociclo-alquila C1-6, heterociclo-alquenila C2-6, heterociclo-alquinila C2-6, heterociclo-heteroalquila C1-6, heterociclo-heteroalquenila C2-6, e heterociclo-heteroalquinila C2-6; preferencialmente cada Z4 e Z5 são selecionados independentemente a partir de hidrogênio, alquila C1-6, arila, cicloalquila C3-7, e heterociclo; mais preferencialmente cada Z4 e Z5 são selecionados independentemente a partir de hidrogênio, alquila C1-6, e cicloalquila C3-7; em que a referida alquila C1-6, alquenila C2-6, alquinila C2-6, heteroalquila C1-6, heteroalquenila C2-6, heteroalquinila C2-6, arila, heterociclo, arilalquila C1-6, arilalquenila C2-6, arilalquinila C2-6, arilheteroalquila C1-6, arilheteroalquenila C2-6, arilheteroalquinila C2-6, heterociclo-alquila C1-6, heterociclo-alquenila C2-6, heterociclo-alquinila C2-6, heterociclo-heteroalquila C1-6, heterociclo-heteroalquenila C2-6, e heterociclo-heteroalquinila C2-6, são opcionalmente substituídos com um, dois, ou três substituintes selecionados a partir de alquila C1-6, alquenila C2-6, alquinila C2-6, hidroxila, =O, halogênio, -SH, =S, trifluorometila, -O-alquila C1-6, -OCF3, ciano, nitro, -C(=O)OH ou -NH2; 4. em que Z4 e Z5 podem ser tomados em conjunto para formar um heterociclo (com 5, 6 ou 7 membros) que é opcionalmente substituído com alquila C1-6, alquenila C2-6, alquinila C2-6, hidroxila, halogênio, -SH, trifluorometila, -O-alquila C1-6, -OCF3, ciano, nitro, -C(=O)OH, ou -NH2. 6. Os compostos de acordo com qualquer uma das declarações de 1 a 5, caracterizado pelo fato de que; - cada Z1, Z1a, Z1b, e Z1c são selecionados independentemente a partir do grupo consistindo de halogênio, hidroxila, -OZ2, -O-C(=O)Z3, =O, - S(=O)2Z3, -S(=O)2NZ4Z5, trifluorometila, trifluorometóxi, -NZ4Z5, -NZ4C(=O)Z2, - NZ4C(=O)-OZ2, ciano, -C(=O)Z3, -C(=O)OZ2, -C(=O)NZ4Z5, alquila C1-6, heteroalquila C1-6, arila, heterociclo, e heterociclo-alquila C1-6; e em que a referida alquila C1-6, arila, e heterociclo são opcionalmente substituídos com um, dois, ou três substituintes selecionados a partir de hidroxila, =O, -O-C(O)Me, ciano, -C(O)OH, -C(O)Oalquila C1-6, -NH2, - NHCH3; -N(CH3)2, -NH-C(=O)O-alquilaCi-4; -S(O)2alquilaCi-4, e -O-alquila Ci-6; - cada Z2 é selecionado independentemente a partir de alquila C16, arila, e heterociclo-alquila C1-6; em que a referida alquila C1-6, e arila, são opcionalmente substituídas com um, dois, ou três substituintes selecionados a partir de hidroxila, halogênio, difluorometila, -O-alquila C1-6, -S(=O)2alquilaC1-4, - C(=O)OH, -C(=O)O-alquilaC1-4, -NH2, e -N(CH3)2, pirrolidinila, piperidinila, e piperazinila; - cada Z3 é selecionado independentemente a partir de hidroxila, alquila C1-6, e heterociclo; em que a referida alquila C1-6 e heterociclo são opcionalmente substituídos com um, dois, ou três substituintes selecionados a partir de alquila C1-6 e -N(CH3)2; - cada Z4 e Z5 são selecionados independentemente a partir de hidrogênio, alquila C1-6, e cicloalquila C3-7. 7. Uma composição farmacêutica compreendendo um veículo aceitável, e como ingrediente ativo uma quantidade eficaz do composto de acordo com qualquer uma das declarações de 1 a 6 ou um sal farmaceuticamente aceitável do mesmo. 8. Os compostos de acordo com qualquer uma das declarações de 1 a 6, ou uma composição farmacêutica de acordo com a declaração 7, para o uso como um medicamento. 9. Os compostos de acordo com qualquer uma das declarações de 1 a 6, ou uma composição farmacêutica de acordo com a declaração 7, para o uso na prevenção ou tratamento da infecção pelo Flavivírus em um animal, mamífero ou humano. 10. Os compostos de acordo com a declaração 9, ou uma composição farmacêutica de acordo com a declaração 9, em que a infecção pelo Flavivírus é uma infecção com um vírus da dengue ou vírus da febre amarela. 11. Um método para a preparação do composto de acordo com qualquer uma das declarações de 1 a 6, compreendendo a etapa de - reação de uma imina com um aldeído sob condições de umpolung na presença de um catalisador tiazólio para obter os compostos desejados da invenção. Em outro exemplo de realização, a invenção refere-se a um método para a preparação dos compostos da invenção, compreendendo as etapas de - reação de um derivado de cetona possuindo um grupo metileno adjacente à carbonila sob condições de halogenação para se obter uma alfa- halogenocetona, - substituir a alfa-halogenocetona anteriormente obtida com aminas para se obter os compostos desejados da invenção. Em outro exemplo de realização, a invenção refere-se a um método para a preparação dos compostos da invenção, compreendendo as etapas de - reação de uma heterociclicamina com haleto de ácido 2- halogenoacético para se obter um derivado de alfa-halogenoamida, - substituir a alfa-halogenoamida anteriormente obtida com aminas para se obter os compostos desejados da invenção. 12. Um método de tratamento ou prevenção de infecções por Flavivírus em seres humanos pela administração de uma quantidade eficaz de um composto de acordo com qualquer uma das declarações de 1 a 6 ou um sal farmaceuticamente aceitável do mesmo, opcionalmente em combinação com um ou mais outros medicamentos, a um paciente com tal necessidade. 13. O método de acordo com a declaração 12, em que a infecção por Flavivírus é uma infecção pelo vírus da dengue ou vírus da febre amarela. 14. Os compostos de acordo com qualquer uma das declarações de 1 a 10, ou uma composição farmacêutica de acordo com qualquer uma das declarações de 7 a 10, em que: - o ciclo A é selecionado a partir do grupo consistindo de cicloalquila C3-7; C5-7cicloalquenila; C5-7cicloalquinila; C6-12arila; e heterociclo; em que a referida cicloalquila C3-7, C5-7cicloalquenila, C5-7cicloalquinila, C6-12arila e heterociclo, podem ser não substituídos ou substituídos com um ou mais substituintes selecionados a partir de alquila C1-6, cicloalquila C3-7, alquenila C2-6, C5-7cicloalquenila, alquinila C2-6, C5-7cicloalquinila, hetero alquila C1-6, heteroalquenila C2-6, heteroalquinila C2-6, hidroxila, =O, halogênio, -SH, =S, trifluorometila, -OCF3, ciano, nitro, -C(O)OH, -NH2, NH(C1-6alquil), ou N(C1-6alquil)2; - o ciclo C é um monociclo selecionado a partir de

(a1) ; (a2) ; (a3) ; em que a linha ondulada (MAT) indica o ponto de ligação à carbonila da Fórmula principal (A) e a linha tracejada indica o ponto de ligação ao ciclo A da Fórmula principal (A); - X1 é selecionado a partir de C; e N; - X2 é selecionado a partir de CR12; NR13; N; O; e S; - X3 é selecionado a partir de CR14, NR15; N; O; e S; - X4 é selecionado a partir de CR16, NR17; N; O; e S; - cada R3 e R9 são selecionados independentemente a partir de hidrogênio; alquila C1-6; alquenila C2-6; alquinila C2-6; heteroalquila C1-6; heteroalquenila C2-6; heteroalquinila C2-6; =O; e =S; em que a referida alquila C1-6, alquenila C2-6, alquinila C2-6, heteroalquila C1-6, heteroalquenila C2-6, e heteroalquinila C2-6 podem ser não substituídas ou substituídas com um ou mais substituintes selecionados a partir de hidroxila, =O, halogênio, -SH, =S, trifluorometila, -OCF3, ciano, nitro, -C(O)OH ou NH2; - cada R4 e R5 são selecionados independentemente a partir de hidrogênio; halogênio; hidroxila; sulfidrila; =O; =S; trifluorometila; trifluorometóxi; ciano; alquila C1-6; alquenila C2-6; alquinila C2-6; heteroalquila C16; heteroalquenila C2-6; e heteroalquinila C2-6; e em que a referida alquila C1-6, alquenila C2-6, alquinila C2-6, heteroalquila C1-6, heteroalquenila C2-6, heteroalquinila C2-6, podem ser não substituídas ou substituídas com um ou mais substituintes selecionados a partir de hidroxila, =O, halogênio, -SH, =S, trifluorometila, -OCF3, ciano, nitro, -C(O)OH ou NH2; - W1 é selecionado a partir de CR32R32a; NR33; O; S; e SO2; - cada p e q são selecionados independentemente a partir de 1 e 2, de modo que p+q é selecionado a partir de 2 e 3; - o ciclo B é selecionado a partir de arila; e heterociclo; em que a referida arila e heterociclo podem ser não substituídos ou substituídos com um ou mais Z1a; - R1 é selecionado a partir de cicloalquila C3-7; C5-7cicloalquenila; C5-7cicloalquinila; arila C6-12; heterociclo; arilaC6-12 alquila C1-6; arila C6-12 alquenila C2-6; arila C6-12 alquinila C2-6; heterociclo-alquila C1-6; heterociclo- alquenila C2-6; heterociclo-alquinila C2-6; heteroarilaC6-12 alquila C1-6; heteroarilaC6-12 alquenila C2-6; heteroarilaC6-12 alquinila C2-6; heterociclo- heteroalquila C1-6; heterociclo-heteroalquenila C2-6; heterociclo-heteroalquinila C2-6; e em que a referida cicloalquila C3-7; C5-7cicloalquenila; cicloalquinila C5-7; arila C6-12, heterociclo, arilaC6-12 alquila C1-6, arila C6-12 alquenila C2-6, arila C6-12 alquinila C2-6, heterociclo-alquila C1-6, heterociclo- alquenila C2-6, heterociclo-alquinila C2-6, heteroarilaC6-12 alquila C1-6 , heteroarilaC6-12 alquenila C2-6, heteroarilaC6-12 alquinila C2-6, heterociclo- heteroalquila C1-6, heterociclo-heteroalquenila C2-6 e heterociclo-heteroalquinila C2-6 podem ser não substituídos ou substituídos com um ou mais Z1b; - R2 é selecionado a partir de hidrogênio; alquila C1-6; cicloalquila C3-7; alquenila C2-6; C5-7cicloalquenila; alquinila C2-6; cicloalquinila C5-7; heteroalquila C1-6; heteroalquenila C2-6; e heteroalquinila C2-6; e em que a referida alquila C1-6, cicloalquila C3-7; alquenila C2-6; C5-7cicloalquenila; alquinila C2-6; cicloalquinila C5-7; heteroalquila C1-6, heteroalquenila C2-6, e heteroalquinila C2-6, podem ser não substituídos ou substituídos com um ou mais Z1c; - cada R12, R14, e R16 são selecionados independentemente a partir de hidrogênio; halogênio; hidroxila; sulfidrila; trifluorometila; trifluorometóxi; nitro; amino; ciano; alquila C1-6; cicloalquila C3-7; alquenila C2-6; C5-7cicloalquenila; alquinila C2-6; cicloalquinila C5-7; heteroalquila C1-6; heteroalquenila C2-6; heteroalquinila C2-6; em que a referida alquila C1-6, cicloalquila C3-7, alquenila C2-6, C5- 7cicloalquenila, alquinila C2-6, cicloalquinila C5-7, heteroalquila C1-6, heteroalquenila C2-6, e heteroalquinila C2-6 podem ser não substituídas ou substituídas com um ou mais substituintes selecionados a partir de alquila C1-6, alquenila C2-6, alquinila C2-6, heteroalquila C1-6, heteroalquenila C2-6, heteroalquinila C2-6, hidroxila, =O, halogênio, -SH, =S, trifluorometila, -OCF3, ciano, nitro, -C(O)OH ou NH2; - R13, R15, e R17 são selecionados independentemente a partir de hidrogênio; hidroxila; sulfidrila; -S(O)Z2; -S(O)2Z3; -S(O)2NZ4Z5; trifluorometila; - C(O)Z3; -C(O)OZ2; -C(O)NZ4Z5; -C(O)H; alquila C1-6; cicloalquila C3-7; alquenila C2-6; C5-7cicloalquenila; alquinila C2-6; cicloalquinila C5-7; heteroalquila C1-6; heteroalquenila C2-6; heteroalquinila C2-6; em que a referida alquila C1-6, cicloalquila C3-7, alquenila C2-6, C5- 7cicloalquenila, alquinila C2-6, cicloalquinila C5-7, heteroalquila C1-6, heteroalquenila C2-6, ou heteroalquinila C2-6 podem ser não substituídas ou substituídas com um ou mais substituintes selecionados a partir de alquila C1-6, alquenila C2-6, alquinila C2-6, heteroalquila C1-6, heteroalquenila C2-6, heteroalquinila C2-6, hidroxila, =O, halogênio, -SH, =S, trifluorometila, -OCF3, ciano, nitro, -C(O)OH ou NH2; - cada R32 e R32a são selecionados independentemente a partir de hidrogênio; halogênio; hidroxila; sulfidrila; =O; =S; trifluorometila; trifluorometóxi; ciano; alquila C1-6; alquenila C2-6; alquinila C2-6; heteroalquila C16; heteroalquenila C2-6; e heteroalquinila C2-6; e em que a referida alquila C1-6, alquenila C2-6, alquinila C2-6, heteroalquila C1-6, heteroalquenila C2-6, heteroalquinila C2-6, podem ser não substituídas ou substituídas com um ou mais substituintes selecionados a partir de hidroxila, =O, halogênio, -SH, =S, trifluorometila, -OCF3, ciano, nitro, -C(O)OH ou NH2; - cada R33 é selecionado independentemente a partir de hidrogênio; alquila C1-6; alquenila C2-6; alquinila C2-6; heteroalquila C1-6; heteroalquenila C2-6; e heteroalquinila C2-6; e em que a referida alquila C1-6, alquenila C2-6, alquinila C2-6, heteroalquila C1-6, heteroalquenila C2-6, heteroalquinila C2-6, podem ser não substituídas ou substituídas com um ou mais substituintes selecionados a partir de hidroxila, =O, halogênio, -SH, =S, trifluorometila, -OCF3, ciano, nitro, -C(O)OH ou NH2; - cada Z1a, Z1b, e Z1c são selecionados independentemente a partir do grupo consistindo de halogênio; hidroxila; sulfidrila; -OZ2; =O; -SZ2; =S; -S(O)Z2; -S(O)2Z3; -S(O)2NZ4Z5; trifluorometila; trifluorometóxi; nitro; -NZ4Z5; -NZ4S(O)2Z2; -NZ4C(O)Z2; -NZ4C(O)NZ4Z5; ciano; -C(O)Z3; -C(O)OZ2; - C(O)NZ4Z5; -C(O)H; alquila C1-6; cicloalquila C3-7; alquenila C2-6; C5- 7cicloalquenila; alquinila C2-6; cicloalquinila C5-7; heteroalquila C1-6; heteroalquenila C2-6; heteroalquinila C2-6; arila C6-12; heterociclo; arilaC6-12 alquila C1-6; arila C6-12 alquenila C2-6; arila C6-12 alquinila C2-6; heteroarilaC6-12 alquila C1-6 ; heteroarilaC6-12 alquenila C2-6; heteroarilaC6-12 alquinila C2-6; heterociclo-alquila C1-6; heterociclo-alquenila C2-6; heterociclo-alquinila C2-6; heterociclo-heteroalquila C1-6, heterociclo-heteroalquenila C2-6; ou heterociclo- heteroalquinila C2-6; e em que a referida alquila C1-6, cicloalquila C3-7, alquenila C2-6, C5-7cicloalquenila, alquinila C2-6, cicloalquinila C5-7, heteroalquila C1-6, heteroalquenila C2-6, heteroalquinila C2-6, arila C6-12, heterociclo, arilaC6-12 alquila C1-6, arila C6-12 alquenila C2-6, arila C6-12 alquinila C2-6, heteroarilaC6-12 alquila C1-6 , heteroarilaC6-12 alquenila C2-6, heteroarilaC6-12 alquinila C2-6, heterociclo-alquila, heterociclo-alquenila C2-6, heterociclo-alquinila C2-6, heterociclo-heteroalquila C1-6, heterociclo-heteroalquenila C2-6, ou heterociclo- heteroalquinila C2-6 podem ser não substituídas ou substituídas com um ou mais substituintes selecionados a partir de alquila C1-6, alquenila C2-6, alquinila C2-6, heteroalquila C1-6, heteroalquenila C2-6, heteroalquinila C2-6, hidroxila, =O, halogênio, -SH, =S, trifluorometila, -OCF3, ciano, nitro, -C(O)OH ou NH2; - cada Z2 é selecionado independentemente a partir de alquila C1-6; cicloalquila C3-7; alquenila C2-6; C5-7cicloalquenila; alquinila C2-6; cicloalquinila C5-7; heteroalquila C1-6; heteroalquenila C2-6; heteroalquinila C2-6; arila C6-12; heterociclo; arilaC6-12 alquila C1-6; arila C6-12 alquenila C2-6; arila C6-12 alquinila C2-6; heteroarilaC6-12 alquila C1-6 ; heteroarilaC6-12 alquenila C2-6; heteroarilaC6-12 alquinila C2-6; heterociclo-alquila C1-6; heterociclo-alquenila C2-6; heterociclo- alquinila C2-6; heterociclo-heteroalquila C1-6; heterociclo-heteroalquenila C2-6; ou heterociclo-heteroalquinila C2-6; em que a referida alquila C1-6, cicloalquila C3-7, alquenila C2-6, C5- 7cicloalquenila, alquinila C2-6, cicloalquinila C5-7, heteroalquila C1-6, heteroalquenila C2-6, heteroalquinila C2-6, arila C6-12, heterociclo, arilaC6-12 alquila C1-6, arila C6-12 alquenila C2-6, arila C6-12 alquinila C2-6, heteroarilaC6-12 alquila C1-6 , heteroarilaC6-12 alquenila C2-6, heteroarilaC6-12 alquinila C2-6, heterociclo-alquila C1-6, heterociclo-alquenila C2-6, heterociclo-alquinila C2-6, heterociclo-heteroalquila C1-6, heterociclo-heteroalquenila C2-6, ou heterociclo- heteroalquinila C2-6 podem ser não substituídas ou substituídas com um ou mais substituintes selecionados a partir de alquila C1-6, alquenila C2-6, alquinila C2-6, hidroxila, =O, halogênio, -SH, =S, trifluorometila, -O-alquila, -OCF3, ciano, nitro, -C(O)OH ou NH2; - cada Z3 é selecionado independentemente a partir de hidroxila; alquila C1-6; cicloalquila C3-7; alquenila C2-6; C5-7cicloalquenila; alquinila C2-6; cicloalquinila C5-7; heteroalquila C1-6; heteroalquenila C2-6; heteroalquinila C2-6; arila; heterociclo; arilaC6-12 alquila C1-6; arila C6-12 alquenila C2-6; arila C6-12 alquinila C2-6; heteroarilaC6-12 alquila C1-6 ; heteroarilaC6-12 alquenila C2-6; heteroarilaC6-12 alquinila C2-6; heterociclo-alquila C1-6; heterociclo-alquenila C2-6; heterociclo-alquinila C2-6; heterociclo-heteroalquila C1-6; heterociclo- heteroalquenila C2-6; ou heterociclo-heteroalquinila C2-6; em que a referida alquila C1-6, cicloalquila C3-7, alquenila C2-6, C5- 7cicloalquenila, alquinila C2-6, cicloalquinila C5-7, heteroalquila C1-6, heteroalquenila C2-6, heteroalquinila C2-6, arila C6-12, heterociclo, arilaC6-12 alquila C1-6, arila C6-12 alquenila C2-6, arila C6-12 alquinila C2-6, heteroarilaC6-12 alquila C1-6 , heteroarilaC6-12 alquenila C2-6, heteroarilaC6-12 alquinila C2-6, heterociclo-alquila C1-6, heterociclo-alquenila C2-6, heterociclo-alquinila C2-6, heterociclo-heteroalquila C1-6, heterociclo-heteroalquenila C2-6, ou heterociclo- heteroalquinila C2-6 podem ser não substituídas ou substituídas com um ou mais substituintes selecionados a partir de alquila C1-6, alquenila C2-6, alquinila C2-6, hidroxila, =O, halogênio, -SH, =S, trifluorometila, -O-alquila, -OCF3, ciano, nitro, -C(O)OH ou NH2; - cada Z4 e Z5 são selecionados independentemente a partir de hidrogênio; alquila C1-6; cicloalquila C3-7; alquenila C2-6; C5-7cicloalquenila; alquinila C2-6; cicloalquinila C5-7; heteroalquila C1-6; heteroalquenila C2-6; heteroalquinila C2-6; arila C6-12; heterociclo; arilaC6-12 alquila C1-6; arila C6-12 alquenila C2-6; arila C6-12 alquinila C2-6; heteroarilaC6-12 alquila C1-6; heteroarilaC6-12 alquenila C2-6; heteroarilaC6-12 alquinila C2-6; heterociclo-alquila C1-6; heterociclo-alquenila C2-6; heterociclo-alquinila C2-6; heterociclo- heteroalquila C1-6; heterociclo-heteroalquenila C2-6; ou heterociclo- heteroalquinila C2-6; em que a referida alquila C1-6, cicloalquila C3-7, alquenila C2-6, C5- 7cicloalquenila, alquinila C2-6, cicloalquinila C5-7, heteroalquila C1-6, heteroalquenila C2-6, heteroalquinila C2-6, arila C6-12, heterociclo, arilaC6-12 alquila C1-6, arila C6-12 alquenila C2-6, arila C6-12 alquinila C2-6, heteroarilaC6-12 alquila C1-6 , heteroarilaC6-12 alquenila C2-6, heteroarilaC6-12 alquinila C2-6, heterociclo-alquila C1-6, heterociclo-alquenila C2-6, heterociclo-alquinila C2-6, heterociclo-heteroalquila C1-6, heterociclo-heteroalquenila C2-6, ou heterociclo- heteroalquinila C2-6 podem ser não substituídas ou substituídas com um ou mais substituintes selecionados a partir de alquila C1-6, alquenila C2-6, alquinila C2-6, hidroxila, =O, halogênio, -SH, =S, trifluorometila, -O-alquila C1-6, -OCF3, ciano, nitro, -C(O)OH ou NH2; e em que Z4 e Z5 podem ser tomados em conjunto para formar um heterociclo (com 5, 6 ou 7 membros) que pode ser não substituído ou substituído com alquila C1-6, cicloalquila C3-7, alquenila C2-6, C5-7cicloalquenila, alquinila C2-6, cicloalquinila C5-7, hidroxila, halogênio, -SH, trifluorometila, -O- alquila, -OCF3, ciano, nitro, -C(O)OH ou -NH2; preferencialmente em que a referida heteroalquila C1-6 como um grupo ou parte de um grupo é selecionada a partir de -CO-O-alquilaCi-5, -O- alquila Ci-β, -NH-alquila Ci-β, -N(alquila Ci-β)2, -S(=O)2alquila Ci-β, e -S-alquila C1-6; e isômeros (particularmente estereoisômeros ou tautômeros), solvatos, sais (particularmente sais farmaceuticamente aceitáveis) ou pró- fármacos destes. 15. Os compostos de acordo com qualquer uma das declarações de 1 a 10, 14 ou uma composição farmacêutica de acordo com qualquer uma das declarações de 7 a 10, em que: - o ciclo A é selecionado a partir do grupo consistindo de cicloalquila C3-7; arila C6-12; e heterociclo; em que a referida cicloalquila C3-7, arila C6-12 e heterociclo, podem ser não substituídos ou substituídos com um ou mais substituintes selecionados a partir de alquila C1-6, cicloalquila C3-7, heteroalquila C1-6, heteroalquenila C2-6, heteroalquinila C2-6, hidroxila, =O, halogênio, -SH, =S, trifluorometila, -OCF3, ciano, nitro, -C(O)OH, -NH2, NH(alquila C1-6), ou N(alquila C1-6)2; - o ciclo C é um monociclo selecionado a partir de

(a1) ; (a2) ; (a3) ; em que a linha ondulada ^^) indica o ponto de ligação à carbonila da Fórmula principal (A) e a linha tracejada ( ) indica o ponto de ligação ao ciclo A da Fórmula principal (A); - X1 é selecionado a partir de C; e N; - X2 é selecionado a partir de CR12; NR13; N; O; e S; - X3 é selecionado a partir de CR14, NR15; N; O; e S; - X4 é selecionado a partir de CR16, NR17; N; O; e S; - cada R3 e R9 são selecionados independentemente a partir de hidrogênio; alquila C1-6; heteroalquila C1-6; =O; e =S; em que a referida alquila C1-6, e heteroalquila C1-6, podem ser não substituídas ou substituídas com um ou mais substituintes selecionados a partir de hidroxila, =O, halogênio, -SH, =S, trifluorometila, -OCF3, ciano, nitro, -C(O)OH ou NH2; - cada R4 e R5 são selecionados independentemente a partir de hidrogênio; halogênio; hidroxila; sulfidrila; =O; =S; trifluorometila; trifluorometóxi; ciano; alquila C1-6; e heteroalquila C1-6; e em que a referida alquila C1-6, heteroalquila C1-6, podem ser não substituídas ou substituídas com um ou mais substituintes selecionados a partir de hidroxila, =O, halogênio, -SH, =S, trifluorometila, -OCF3, ciano, nitro, -C(O)OH ou NH2; - W1 é selecionado a partir de CR32R32a; NR33; O; S; e SO2; - cada p e q são selecionados independentemente a partir de 1 e 2, de modo que p+q é selecionado a partir de 2 e 3; - o ciclo B é selecionado a partir de arila; e heterociclo; em que a referida arila e heterociclo podem ser não substituídos ou substituídos com um ou mais Z1a; - R1 é selecionado a partir de cicloalquila C3-7; arila C6-12; heterociclo; arilaC6-12 alquila C1-6; heterociclo-alquila C1-6; heteroarilaC6-12 alquila C1-6 ; heterociclo-heteroalquila C1-6; e em que a referida cicloalquila C3-7; arila C6-12, heterociclo, arilaC6-12 alquila C1-6, heterociclo-alquila C1-6, heteroarilaC6-12 alquilaC1-6 , e heterociclo-heteroalquila C1-6, podem ser não substituídos ou substituídos com um ou mais Z1b; - R2 é selecionado a partir de hidrogênio; alquila C1-6; cicloalquila C3-7; e heteroalquila C1-6; e em que a referida alquila C1-6, cicloalquila C3-7; e heteroalquila C1-6, podem ser não substituídas ou substituídas com um ou mais Z1c; - cada R12, R14, e R16 são selecionados independentemente a partir de hidrogênio; halogênio; hidroxila; sulfidrila; trifluorometila; trifluorometóxi; nitro; amino; ciano; alquila C1-6; cicloalquila C3-7; heteroalquila C1-6; em que a referida alquila C1-6, cicloalquila C3-7, e heteroalquila C16, podem ser não substituídas ou substituídas com um ou mais substituintes selecionados a partir de alquila C1-6, heteroalquila C1-6, hidroxila, =O, halogênio, -SH, =S, trifluorometila, -OCF3, ciano, nitro, -C(O)OH ou NH2; - R13, R15, e R17 são selecionados independentemente a partir de hidrogênio; hidroxila; sulfidrila; -S(O)Z2; -S(O)2Z3; -S(O)2NZ4Z5; trifluorometila; - C(O)Z3; -C(O)OZ2; -C(O)NZ4Z5; -C(O)H; alquila C1-6; cicloalquila C3-7; heteroalquila C1-6; em que a referida alquila C1-6, cicloalquila C3-7, heteroalquila C1-6, podem ser não substituídas ou substituídas com um ou mais substituintes selecionados a partir de alquila C1-6, heteroalquila C1-6, hidroxila, =O, halogênio, -SH, =S, trifluorometila, -OCF3, ciano, nitro, -C(O)OH ou NH2; - cada R32 e R32a são selecionados independentemente a partir de hidrogênio; halogênio; hidroxila; sulfidrila; =O; =S; trifluorometila; trifluorometóxi; ciano; alquila C1-6; e heteroalquila C1-6; e em que a referida alquila C1-6, heteroalquila C1-6, podem ser não substituídas ou substituídas com um ou mais substituintes selecionados a partir de hidroxila, =O, halogênio, -SH, =S, trifluorometila, -OCF3, ciano, nitro, -C(O)OH ou NH2; - cada R33 é selecionado independentemente a partir de hidrogênio; alquila C1-6; e heteroalquila C1-6; em que a referida alquila C1-6, heteroalquila C1-6, podem ser não substituídas ou substituídas com um ou mais substituintes selecionados a partir de hidroxila, =O, halogênio, -SH, =S, trifluorometila, -OCF3, ciano, nitro, -C(O)OH ou NH2; - cada Z1a, Z1b, e Z1c são selecionados independentemente a partir do grupo consistindo de halogênio; hidroxila; sulfidrila; -OZ2; =O; -SZ2; =S; -S(O)Z2; -S(O)2Z3; -S(O)2NZ4Z5; trifluorometila; trifluorometóxi; nitro; -NZ4Z5; -NZ4S(O)2Z2; -NZ4C(O)Z2; -NZ4C(O)NZ4Z5; ciano; -C(O)Z3; -C(O)OZ2; - C(O)NZ4Z5; -C(O)H; alquila C1-6; cicloalquila C3-7; heteroalquila C1-6; arila C6-12; heterociclo; arilaC6-12 alquila C1-6; heteroarilaC6-12 alquila C1-6 ; heterociclo- alquila C1-6; ou heterociclo-heteroalquila C1-6, e em que a referida alquila C1-6, cicloalquila C3-7, heteroalquila C16, arila C6-12, heterociclo, arilaC6-12 alquila C1-6, heteroarilaC6-12 alquila C1-6 , heterociclo-alquila C1-6, ou heterociclo-heteroalquila C1-6, podem ser não substituídas ou substituídas com um ou mais substituintes selecionados a partir de alquila C1-6, heteroalquila C1-6, hidroxila, =O, halogênio, -SH, =S, trifluorometila, -OCF3, ciano, nitro, -C(O)OH ou NH2; - cada Z2 é selecionado independentemente a partir de alquila C1-6; cicloalquila C3-7; heteroalquila C1-6; arila C6-12; heterociclo; arilaC6-12 alquila C1-6; heteroarilaC6-12 alquila C1-6 ; heterociclo-alquila C1-6; ou heterociclo- heteroalquila C1-6; em que a referida alquila C1-6, cicloalquila C3-7, heteroalquila C1-6, arila C6-12, heterociclo, arilaC6-12 alquila C1-6, heteroarilaC6-12 alquila C1-6, heterociclo-alquila C1-6, ou heterociclo-heteroalquila C1-6, podem ser não substituídas ou substituídas com um ou mais substituintes selecionados a partir de alquila C1-6, hidroxila, =O, halogênio, -SH, =S, trifluorometila, -O-alquila, - OCF3, ciano, nitro, -C(O)OH ou NH2; - cada Z3 é selecionado independentemente a partir de hidroxila; alquila C1-6; cicloalquila C3-7; heteroalquila C1-6; arila; heterociclo; arilaC6-12 alquila C1-6; heteroarilaC6-12 alquila C1-6 ; heterociclo-alquila C1-6; ou heterociclo- heteroalquila C1-6; em que a referida alquila C1-6, cicloalquila C3-7, heteroalquila C1-6, arila C6-12, heterociclo, arilaC6-12 alquila C1-6, heteroarilaC6-12 alquila C1-6, heterociclo-alquila C1-6, ou heterociclo-heteroalquila C1-6, podem ser não substituídas ou substituídas com um ou mais substituintes selecionados a partir de alquila C1-6, hidroxila, =O, halogênio, -SH, =S, trifluorometila, -O-alquila, - OCF3, ciano, nitro, -C(O)OH ou NH2; - cada Z4 e Z5 são selecionados independentemente a partir de hidrogênio; alquila C1-6; cicloalquila C3-7; heteroalquila C1-6; arila C6-12; heterociclo; arilaC6-12 alquila C1-6; heteroarilaC6-12 alquila C1-6 ; heterociclo- alquila C1-6; ou heterociclo-heteroalquila C1-6; em que a referida alquila C1-6, cicloalquila C3-7, heteroalquila C1-6, arila C6-12, heterociclo, arilaC6-12 alquila C1-6, heteroarilaC6-12 alquila C1-6 , heterociclo-alquila C1-6, ou heterociclo-heteroalquila C1-6, podem ser não substituídas ou substituídas com um ou mais substituintes selecionados a partir de alquila C1-6, hidroxila, =O, halogênio, -SH, =S, trifluorometila, -O-alquila C1-6, -OCF3, ciano, nitro, -C(O)OH ou NH2; e em que Z4 e Z5 podem ser tomados em conjunto para formar um heterociclo (com 5, 6 ou 7 membros) que pode ser não substituído ou substituído com alquila C1-6, cicloalquila C3-7, hidroxila, halogênio, -SH, trifluorometila, -O-alquila, -OCF3, ciano, nitro, -C(O)OH ou -NH2; e isômeros (particularmente estereoisômeros ou tautômeros), solvatos, sais (particularmente sais farmaceuticamente aceitáveis) ou pró- fármacos destes. 16. Um composto de Fórmula (A):

em que: - o ciclo A é selecionado a partir do grupo consistindo de cicloalquila; cicloalquenila; cicloalquinila; arila; e heterociclo; em que a referida cicloalquila, cicloalquenila, cicloalquinila, arila e heterociclo, podem ser não substituídos ou substituídos com um ou mais substituintes selecionados a partir de alquila, cicloalquila, alquenila, cicloalquenila, alquinila, cicloalquinila, heteroalquila, heteroalquenila, heteroalquinila, hidroxila, =O, halogênio, -SH, =S, trifluorometila, -OCF3, ciano, nitro, -C(O)OH, -NH2, NH(alquil), ou N(alquil)2;

em que a linha ondulada (MAT) indica o ponto de ligação à carbonila da Fórmula principal (A) e a linha tracejada indica o ponto de ligação ao ciclo A da Fórmula principal (A); - X1 é selecionado a partir de C; e N; - X2 é selecionado a partir de CR12; NR13; N; O; e S; - X3 é selecionado a partir de CR14, NR15; N; O; e S; - X4 é selecionado a partir de CR16, NR17; N; O; e S; - cada R9 é selecionado independentemente a partir de hidrogênio; alquila; alquenila; alquinila; heteroalquila; heteroalquenila; heteroalquinila; =O; e =S; em que a referida alquila, alquenila, alquinila, heteroalquila, heteroalquenila, e heteroalquinila podem ser não substituídas ou substituídas com um ou mais substituintes selecionados a partir de hidroxila, =O, halogênio, -SH, =S, trifluorometila, -OCF3, ciano, nitro, -C(O)OH ou NH2; - W1 é selecionado a partir de CR32R32a; NR33; O; S; e SO2; - cada p e q são selecionados independentemente a partir de 1 e 2, de modo que p+q é selecionado a partir de 2 e 3; - o ciclo B é selecionado a partir de arila; e heterociclo; em que a referida arila e heterociclo podem ser não substituídos ou substituídos com um ou mais Z1a; - R1 é selecionado a partir de cicloalquila; cicloalquenila; cicloalquinila; arila; heterociclo; arilalquila; arilalquenila; arilalquinila; heterociclo-alquila; heterociclo-alquenila; heterociclo-alquinila; arilheteroalquila; arilheteroalquenila; arilheteroalquinila; heterociclo-heteroalquila; heterociclo- heteroalquenila; heterociclo-heteroalquinila; e em que a referida cicloalquila; cicloalquenila; cicloalquinila; arila, heterociclo, arilalquila, arilalquenila, arilalquinila, heterociclo-alquila, heterociclo- alquenila, heterociclo-alquinila, arilheteroalquila, arilheteroalquenila, arilheteroalquinila, heterociclo-heteroalquila, heterociclo-heteroalquenila e heterociclo-heteroalquinila podem ser não substituídas ou substituídas com um ou mais Z1b; - R2 é selecionado a partir de hidrogênio; alquila; cicloalquila; alquenila; cicloalquenila; alquinila; cicloalquinila; heteroalquila; heteroalquenila; e heteroalquinila; e em que a referida alquila, cicloalquila; alquenila; cicloalquenila; alquinila; cicloalquinila; heteroalquila, heteroalquenila, e heteroalquinila, podem ser não substituídas ou substituídas com um ou mais Z1c; - cada R12, R14, e R16 são selecionados independentemente a partir de hidrogênio; halogênio; hidroxila; sulfidrila; trifluorometila; trifluorometóxi; nitro; amino; ciano; alquila; cicloalquila; alquenila; cicloalquenila; alquinila; cicloalquinila; heteroalquila; heteroalquenila; heteroalquinila; em que a referida alquila, cicloalquila, alquenila, cicloalquenila, alquinila, cicloalquinila, heteroalquila, heteroalquenila, e heteroalquinila podem ser não substituídas ou substituídas com um ou mais substituintes selecionados a partir de alquila, alquenila, alquinila, heteroalquila, heteroalquenila, heteroalquinila, hidroxila, =O, halogênio, -SH, =S, trifluorometila, -OCF3, ciano, nitro, -C(O)OH ou NH2; - R13, R15, e R17 são selecionados independentemente a partir de hidrogênio; hidroxila; sulfidrila; -S(O)Z2; -S(O)2Z3; -S(O)2NZ4Z5; trifluorometila; - C(O)Z3; -C(O)OZ2; -C(O)NZ4Z5; -C(O)H; alquila; cicloalquila; alquenila; cicloalquenila; alquinila; cicloalquinila; heteroalquila; heteroalquenila; heteroalquinila; em que a referida alquila, cicloalquila, alquenila, cicloalquenila, alquinila, cicloalquinila, heteroalquila, heteroalquenila, ou heteroalquinila podem ser não substituídas ou substituídas com um ou mais substituintes selecionados a partir de alquila, alquenila, alquinila, heteroalquila, heteroalquenila, heteroalquinila, hidroxila, =O, halogênio, -SH, =S, trifluorometila, -OCF3, ciano, nitro, -C(O)OH ou NH2; - cada R32 e R32a são selecionados independentemente a partir de hidrogênio; halogênio; hidroxila; sulfidrila; =O; =S; trifluorometila; trifluorometóxi; ciano; alquila; alquenila; alquinila; heteroalquila; heteroalquenila; e heteroalquinila; e em que a referida alquila, alquenila, alquinila, cicloalquinila, heteroalquila, heteroalquenila, heteroalquinila, podem ser não substituídas ou substituídas com um ou mais substituintes selecionados a partir de hidroxila, =O, halogênio, -SH, =S, trifluorometila, -OCF3, ciano, nitro, -C(O)OH ou NH2; - cada R33 é selecionado independentemente a partir de hidrogênio; alquila; alquenila; alquinila; heteroalquila; heteroalquenila; e heteroalquinila; e em que a referida alquila, alquenila, alquinila, cicloalquinila, heteroalquila, heteroalquenila, heteroalquinila, podem ser não substituídas ou substituídas com um ou mais substituintes selecionados a partir de hidroxila, =O, halogênio, -SH, =S, trifluorometila, - OCF3, ciano, nitro, -C(O)OH ou NH2; - cada Z1a, Z1b, e Z1c são selecionados independentemente a partir do grupo consistindo de halogênio; hidroxila; sulfidrila; -OZ2; =O; - SZ2; =S; -S(O)Z2; -S(O)2Z3; -S(O)2NZ4Z5; trifluorometila; trifluorometóxi; nitro; -NZ4Z5; -NZ4S(O)2Z2; -NZ4C(O)Z2; -NZ4C(O)NZ4Z5; ciano; -C(O)Z3; - C(O)OZ2; -C(O)NZ4Z5; -C(O)H; alquila; cicloalquila; alquenila; cicloalquenila; alquinila; cicloalquinila; heteroalquila; heteroalquenila; heteroalquinila; arila; heterociclo; arilalquila; arilalquenila; arilalquinila; arilheteroalquila; arilheteroalquenila; arilheteroalquinila; heterociclo-alquila; heterociclo-alquenila; heterociclo-alquinila; heterociclo-heteroalquila, heterociclo-heteroalquenila; ou heterociclo-heteroalquinila; e em que a referida alquila, cicloalquila, alquenila, cicloalquenila, alquinila, cicloalquinila, heteroalquila, heteroalquenila, heteroalquinila, arila, heterociclo, arilalquila, arilalquenila, arilalquinila, arilheteroalquila, arilheteroalquenila, arilheteroalquinila, heterociclo-alquila, heterociclo-alquenila, heterociclo-alquinila, heterociclo-heteroalquila, heterociclo-heteroalquenila, ou heterociclo-heteroalquinila podem ser não substituídas ou substituídas com um ou mais substituintes selecionados a partir de alquila, alquenila, alquinila, heteroalquila, heteroalquenila, heteroalquinila, hidroxila, =O, halogênio, -SH, =S, trifluorometila, -OCF3, ciano, nitro, -C(O)OH ou NH2; - cada Z2 é selecionado independentemente a partir de alquila; cicloalquila; alquenila; cicloalquenila; alquinila; cicloalquinila; heteroalquila; heteroalquenila; heteroalquinila; arila; heterociclo; arilalquila; arilalquenila; arilalquinila; arilheteroalquila; arilheteroalquenila; arilheteroalquinila; heterociclo-alquila; heterociclo-alquenila; heterociclo-alquinila; heterociclo- heteroalquila; heterociclo-heteroalquenila; ou heterociclo-heteroalquinila; em que a referida alquila, cicloalquila, alquenila, cicloalquenila, alquinila, cicloalquinila, heteroalquila, heteroalquenila, heteroalquinila, arila, heterociclo, arilalquila, arilalquenila, arilalquinila, arilheteroalquila, arilheteroalquenila, arilheteroalquinila, heterociclo-alquila, heterociclo-alquenila, heterociclo-alquinila, heterociclo-heteroalquila, heterociclo-heteroalquenila, ou heterociclo-heteroalquinila podem ser não substituídas ou substituídas com um ou mais substituintes selecionados a partir de alquila, alquenila, alquinila, hidroxila, =O, halogênio, -SH, =S, trifluorometila, -O-alquila, -OCF3, ciano, nitro, -C(O)OH ou NH2; - cada Z3 é selecionado independentemente a partir de hidroxila; alquila; cicloalquila; alquenila; cicloalquenila; alquinila; cicloalquinila; heteroalquila; heteroalquenila; heteroalquinila; arila; heterociclo; arilalquila; arilalquenila; arilalquinila; arilheteroalquila; arilheteroalquenila; arilheteroalquinila; heterociclo-alquila; heterociclo-alquenila; heterociclo- alquinila; heterociclo-heteroalquila; heterociclo-heteroalquenila; ou heterociclo- heteroalquinila; em que a referida alquila, cicloalquila, alquenila, cicloalquenila, alquinila, cicloalquinila, heteroalquila, heteroalquenila, heteroalquinila, arila, heterociclo, arilalquila, arilalquenila, arilalquinila, arilheteroalquila, arilheteroalquenila, arilheteroalquinila, heterociclo-alquila, heterociclo-alquenila, heterociclo-alquinila, heterociclo-heteroalquila, heterociclo-heteroalquenila, ou heterociclo-heteroalquinila podem ser não substituídas ou substituídas com um ou mais substituintes selecionados a partir de alquila, alquenila, alquinila, hidroxila, =O, halogênio, -SH, =S, trifluorometila, -O-alquila, -OCF3, ciano, nitro, -C(O)OH ou NH2; - cada Z4 e Z5 são selecionados independentemente a partir de hidrogênio; alquila; cicloalquila; alquenila; cicloalquenila; alquinila; cicloalquinila; heteroalquila; heteroalquenila; heteroalquinila; arila; heterociclo; arilalquila; arilalquenila; arilalquinila; arilheteroalquila; arilheteroalquenila; arilheteroalquinila; heterociclo-alquila; heterociclo-alquenila; heterociclo- alquinila; heterociclo-heteroalquila; heterociclo-heteroalquenila; ou heterociclo- heteroalquinila; em que a referida alquila, cicloalquila, alquenila, cicloalquenila, alquinila, cicloalquinila, heteroalquila, heteroalquenila, heteroalquinila, arila, heterociclo, arilalquila, arilalquenila, arilalquinila, arilheteroalquila, arilheteroalquenila, arilheteroalquinila, heterociclo-alquila, heterociclo-alquenila, heterociclo-alquinila, heterociclo-heteroalquila, heterociclo-heteroalquenila, ou heterociclo-heteroalquinila podem ser não substituídas ou substituídas com um ou mais substituintes selecionados a partir de alquila, alquenila, alquinila, hidroxila, =O, halogênio, -SH, =S, trifluorometila, -O-alquila, -OCF3, ciano, nitro, -C(O)OH ou NH2; e em que Z4 e Z5 podem ser tomados em conjunto para formar um heterociclo (com 5, 6 ou 7 membros) que pode ser não substituído ou substituído com alquila, cicloalquila, alquenila, cicloalquenila, alquinila, cicloalquinila, hidroxila, halogênio, -SH, trifluorometila, -O-alquila, -OCF3, ciano, nitro, -C(O)OH ou -NH2; e isômeros (particularmente estereoisômeros ou tautômeros), solvatos, sais (particularmente sais farmaceuticamente aceitáveis) ou pró- fármacos destes, com a condição de que o composto não é 2-anilino-2-(4-terc-butilfenil)-1-(2-fenil-1-piperidil)etanona; 2-anilino-1-(2-fenil-1-piperidil)-2-[4-(trifluorometil)fenil]etanona; 2-anilino-2-(4-terc-butilfenil)-1-(2-fenilazepan-1-il)etanona. 17. Os compostos de acordo com qualquer uma das declarações de 1-10, 14-16, ou uma composição farmacêutica de acordo com qualquer uma

18. Os compostos de acordo com a declaração 17, caracterizado
19. Os compostos de acordo com qualquer uma das declarações de 1-10, 14-18, ou uma composição farmacêutica de acordo com qualquer uma das declarações de 7 a 10, selecionados a partir dos compostos de fórmula
20. Os compostos de acordo com qualquer uma das declarações de 1 a 10, 14 a 19 ou uma composição farmacêutica de acordo com qualquer uma das declarações de 7 a 10, em que: o ciclo C é um monociclo selecionado a partir de
em que a linha ondulada (~~) indica o ponto de ligação ao átomo do ciclo C, e em que os ciclos ilustrados podem ser opcionalmente substituídos com um, dois, ou três substituintes selecionados a partir de alquila, cicloalquila, alquenila, cicloalquenila, alquinila, cicloalquinila, heteroalquila, heteroalquenila, heteroalquinila, hidroxila, =O, halogênio, -SH, =S, trifluorometila, -OCF3, ciano, nitro, -C(O)OH, NH2, NH(alquil), ou N(alquil)2; - o ciclo B é selecionado a partir de arila; e heterociclo; em que a referida arila e heterociclo são opcionalmente substituídos com um, dois, ou

em que a linha ondulada ( ) indica o ponto de ligação ao átomo do ciclo C, e em que os ciclos ilustrados podem ser opcionalmente substituídos com um, dois, ou três substituintes selecionados a partir de alquila, cicloalquila, alquenila, cicloalquenila, alquinila, cicloalquinila, heteroalquila, heteroalquenila, heteroalquinila, hidroxila, =O, halogênio, -SH, =S, trifluorometila, -OCF3, ciano, nitro, -C(O)OH, NH2, NH(alquil), ou N(alquil)2; - o ciclo B é selecionado a partir de arila; e heterociclo; em que a referida arila e heterociclo são opcionalmente substituídos com um, dois, ou três Z1a; mais particularmente o ciclo B é selecionado a partir de


em que a linha ondulada (—) indica o ponto de ligação ao átomo de carbono da Fórmula principal (A), e em que os ciclos ilustrados podem ser opcionalmente substituídos com um, dois, ou três Z1a; - R1 é selecionado a partir de alquila C1-6, cicloalquila C3-7, cicloalquenila C3-7, cicloalquinila C3-7, arila, heterociclo, arilalquila C1-6, arilalquenila C2-6, arilalquinila C2-6, heterociclo-alquila C1-6, heterociclo-alquenila C2-6, heterociclo-alquinila C2-6, arilheteroalquila C1-6 , arilheteroalquenila C2-6, arilheteroalquinila C2-6, heterociclo-heteroalquila C1-6, heterociclo- heteroalquenila C2-6, e heterociclo-heteroalquinila C2-6; preferencialmente R1 é selecionado a partir de alquila C1-6, cicloalquila C3-7, arila, heterociclo; e em que a referida alquila C1-6, cicloalquila C3-7, cicloalquenila C37, cicloalquinila C3-7, arila, heterociclo, arilalquila C1-6, arilalquenila C2-6, arilalquinila C2-6, heterociclo-alquila C1-6, heterociclo-alquenila C2-6, heterociclo- alquinila C2-6, arilheteroalquila C1-6 , arilheteroalquenila C2-6, arilheteroalquinila C2-6, heterociclo-heteroalquila C1-6, heterociclo-heteroalquenila C2-6, e heterociclo-heteroalquinila C2-6, são opcionalmente substituídos com um, dois, ou três Z1b; preferencialmente a referida alquila C1-6, cicloalquila C3-7, arila, e heterociclo, são opcionalmente substituídos com um, dois, ou três Z1b; - R2 é selecionado a partir de hidrogênio, -C(O)Z3, alquila C1-6, alquenila C2-6, alquinila C2-6, heteroalquila C1-6, heteroalquenila C2-6, e heteroalquinila C2-6; preferencialmente R2 é selecionado a partir de hidrogênio, -C(O)Z3, e alquila C1-6; e em que a referida alquila C1-6, alquenila C2-6, alquinila C2-6, heteroalquila C1-6, heteroalquenila C2-6, e heteroalquinila C2-6, são opcionalmente substituídos com um, dois, ou três Z1c; preferencialmente a referida alquila C1-6 é opcionalmente substituída com um, dois, ou três Z1c; - R9 é selecionado a partir de hidrogênio; alquila C1-6; heteroalquila C1-6; e =O; - cada um dentre R12, R14 e R16 são selecionados independentemente a partir de hidrogênio; halogênio; trifluorometila; ciano; alquila C1-6 e cicloalquila C1-6; - cada um dentre R13, R15 e R17 são selecionados independentemente a partir de hidrogênio; halogênio; trifluorometila; ciano; alquila C1-6 e cicloalquila C1-6; - cada R32 e R5 são selecionados independentemente a partir de hidrogênio; halogênio; hidroxila; sulfidrila; trifluorometila; trifluorometóxi; ciano; alquila C1-6; alquenila C2-6; alquinila C2-6; heteroalquila C1-6; heteroalquenila C16; e heteroalquinila C1-6; - R33 é selecionado independentemente a partir de hidrogênio e alquila C1-6; - cada Z1a, Z1b, e Z1c são selecionados independentemente a partir do grupo consistindo de halogênio, hidroxila, sulfidrila, -OZ2, -O-C(=O)Z3, =O, -SZ2, =S, -S(=O)Z2, -S(=O)2Z3, -S(=O)2NZ4Z5, trifluorometila, trifluorometóxi, nitro, -NZ4Z5, -NZ4S(=O)2Z2, -NZ4C(=O)Z2, -NZ4C(=O)-OZ2, -NZ4C(=O)NZ4Z5, ciano, -C(=O)Z3, -C(=O)OZ2, -C(=O)NZ4Z5, -C(=O)H, alquila C1-6, alquenila C2-6, alquinila C2-6, heteroalquila C1-6, heteroalquenila C2-6, heteroalquinila C2-6, arila, heterociclo, arilalquila C1-6, arilalquenila C2-6, arilalquinila C2-6, arilheteroalquila C1-6, arilheteroalquenila C2-6, arilheteroalquinila C2-6, heterociclo-alquila C1-6, heterociclo-alquenila C2-6, heterociclo-alquinila C2-6, heterociclo-heteroalquila C1-6, heterociclo-heteroalquenila C2-6, e heterociclo-heteroalquinila C2-6; preferencialmente cada Z1, Z1a, Z1b, e Z1c são selecionados independentemente a partir do grupo consistindo de halogênio, hidroxila, sulfidrila, -OZ2, -O- C(=O)Z3, =O, -SZ2, =S, -S(=O)Z2, -S(=O)2Z3, -S(=O)2NZ4Z5, trifluorometila, trifluorometóxi, nitro, -NZ4Z5, -NZ4S(=O)2Z2, -NZ4C(=O)Z2, -NZ4C(=O)2Z2, - NZ4C(=O)NZ4Z5, ciano, -C(=O)Z3, -C(=O)OZ2, -C(=O)NZ4Z5, -C(=O)H, alquila C1-6, heteroalquila C1-6, arila, heterociclo, e heterociclo-alquila C1-6; mais preferencialmente cada Z1, Z1a, Z1b, e Z1c são selecionados independentemente a partir do grupo consistindo de halogênio, hidroxila, -OZ2, -O-C(=O)Z3, =O, - S(=O)2Z3, -S(=O)2NZ4Z5, trifluorometila, trifluorometóxi, -NZ4Z5, -NZ4C(=O)Z2, - NZ4C(=O)-OZ2, ciano, -C(=O)Z3, -C(=O)OZ2, -C(=O)NZ4Z5, alquila C1-6, heteroalquila C1-6, arila, heterociclo, e heterociclo-alquila C1-6; e em que a referida alquila C1-6, alquenila C2-6, alquinila C2-6, heteroalquila C1-6, heteroalquenila C2-6, heteroalquinila C2-6, arila, heterociclo, arilalquila C1-6, arilalquenila C2-6, arilalquinila C2-6, arilheteroalquila C1-6 , arilheteroalquenila C2-6, arilheteroalquinila C2-6, heterociclo-alquila C1-6, heterociclo-alquenila C2-6, heterociclo-alquinila C2-6, heterociclo-heteroalquila C1-6, heterociclo-heteroalquenila C2-6, e heterociclo-heteroalquinila C2-6, são opcionalmente substituídos com um, dois, ou três substituintes selecionados a partir de alquila C1-6, alquenila C2-6, alquinila C2-6, heteroalquila C1-6, heteroalquenila C2-6, heteroalquinila C2-6, hidroxila, =O, halogênio, -SH, =S, trifluorometila, -OCF3, -O-C(O)Me, ciano, nitro, -C(O)OH, -C(O)Oalquila C1-6, - NH2, -NHCH3; -N(CH3)2, -NH-C(=O)O-alquilaC1-4, morfolinila, -S(O)2alquilaC1-4, e -O-alquila Ci-β; preferencialmente a referida alquila Ci-β, heteroalquila Ci-β, arila, heterociclo, e heterociclo-alquila C1-6, são opcionalmente substituídos com um, dois, ou três substituintes selecionados a partir de hidroxila, =O, halogênio, -SH, =S, trifluorometila, -OCF3, -O-C(O)Me, ciano, nitro, -C(O)OH, - C(O)Oalquila C1-6, -NH2, -NHCH3; -N(CH3)2, -NH-C(=O)O-alquilaC1-4, morfolinila, -S(O)2alquilaC1-4, e -O-alquila C1-6; mais preferencialmente a referida alquila C1-6, arila, e heterociclo são opcionalmente substituídos com um, dois, ou três substituintes selecionados a partir de hidroxila, =O, -O- C(O)Me, ciano, -C(O)OH, -C(O)Oalquila C1-6, -NH2, -NHCH3; -N(CH3)2, -NH- C(=O)O-alquilaCi-4, morfolinila, -S(O)2alquilaCi-4, e -O-alquila Ci-β; 1. cada Z2 é selecionado independentemente a partir de alquila C1- β, alquenila C2-β, alquinila C2-β, heteroalquila Ci-β, heteroalquenila C2-β, heteroalquinila C2-β, arila, heterociclo, arilalquila Ci-β, arilalquenila C2-β, arilalquinila C2-β, arilheteroalquila Ci-β , arilheteroalquenila C2-β, arilheteroalquinila C2-β, heterociclo-alquila Ci-β, heterociclo-alquenila C2-β, heterociclo-alquinila C2-β, heterociclo-heteroalquila Ci-β, heterociclo- heteroalquenila C2-β, e heterociclo-heteroalquinila C2-β; preferencialmente Z2 é selecionado independentemente a partir de alquila Ci-β, arila, heterociclo, e heterociclo-alquila Ci-β; mais preferencialmente Z2 é selecionado independentemente a partir de alquila Ci-β, arila, e heterociclo-alquila Ci-β; em que a referida alquila Ci-β, alquenila C2-β, alquinila C2-β, heteroalquila Ci-β, heteroalquenila C2-β, heteroalquinila C2-β, arila, heterociclo, arilalquila Ci-β, arilalquenila C2-β, arilalquinila C2-β, arilheteroalquila Ci-β , arilheteroalquenila C2-β, arilheteroalquinila C2-β, heterociclo-alquila Ci-β, heterociclo-alquenila C2-β, heterociclo-alquinila C2-β, heterociclo-heteroalquila Ci-β, heterociclo-heteroalquenila C2-β, e heterociclo-heteroalquinila C2-β, são opcionalmente substituídos com um, dois, ou três substituintes selecionados a partir de alquila Ci-β, alquenila C2-β, alquinila C2-β, hidroxila, =O, halogênio, -SH, =S, trifluorometila, difluorometila, -O-alquila Ci-β, -OCF3, -S(=O)2alquilaCi-4, ciano, nitro, -C(=O)OH, -C(=O)O-alquilaCi-4, -NH2, -N(CH3)2, pirrolidinila, piperidinila, e piperazinila; preferencialmente a referida alquila Ci-β, arila, heterociclo, e heterociclo-alquila Ci-β, são opcionalmente substituídos com um, dois, ou três substituintes selecionados a partir de hidroxila, =O, halogênio, - SH, =S, trifluorometila, difluorometila, -O-alquila Ci-β, -OCF3, -S(=O)2alquilaCi-4, ciano, nitro, -C(=O)OH, -C(=O)O-alquilaCi-4, -NH2, -N(CH3)2, pirrolidinila, piperidinila, e piperazinila; mais preferencialmente a referida alquila C1-6, e arila, são opcionalmente substituídas com um, dois, ou três substituintes selecionados a partir de hidroxila, halogênio, difluorometila, -O-alquila C1-6, - S(=O)2alquilaC1-4, -C(=O)OH, -C(=O)O-alquilaC1-4, -NH2, -N(CH3)2, pirrolidinila, piperidinila, e piperazinila; 2. cada Z3 é selecionado independentemente a partir de hidroxila, alquila C1-6, alquenila C2-6, alquinila C2-6, heteroalquila C1-6, heteroalquenila C26, heteroalquinila C2-6, arila, heterociclo, arilalquila C1-6, arilalquenila C2-6, arilalquinila C2-6, arilheteroalquila C1-6, arilheteroalquenila C2-6, arilheteroalquinila C2-6, heterociclo-alquila C1-6, heterociclo-alquenila C2-6, heterociclo-alquinila C2-6, heterociclo-heteroalquila C1-6, heterociclo- heteroalquenila C2-6, e heterociclo-heteroalquinila C2-6; preferencialmente Z3 é selecionado independentemente a partir de hidroxila, alquila C1-6, arila, e heterociclo; mais preferencialmente Z3 é selecionado independentemente a partir de hidroxila, alquila C1-6, e heterociclo; em que a referida alquila C1-6, alquenila C2-6, alquinila C2-6, heteroalquila C1-6, heteroalquenila C2-6, heteroalquinila C2-6, arila, heterociclo, arilalquila C1-6, arilalquenila C2-6, arilalquinila C2-6, arilheteroalquila C1-6, arilheteroalquenila C2-6, arilheteroalquinila C2-6, heterociclo-alquila C1-6, heterociclo-alquenila C2-6, heterociclo-alquinila C2-6, heterociclo-heteroalquila C1-6, heterociclo-heteroalquenila C2-6, e heterociclo-heteroalquinila C2-6, são opcionalmente substituídos com um, dois, ou três substituintes selecionados a partir de alquila C1-6, alquenila C2-6, alquinila C2-6, hidroxila, =O, halogênio, -SH, =S, trifluorometila, -O-alquila C1-6, -OCF3, ciano, nitro, -C(=O)OH, -NH2, e - N(CH3)2; preferencialmente a referida alquila C1-6, arila, e heterociclo são opcionalmente substituídos com um, dois, ou três substituintes selecionados a partir de alquila C1-6 e -N(CH3)2; mais preferencialmente a referida alquila C1-6 e heterociclo são opcionalmente substituídos com um, dois, ou três substituintes selecionados a partir de alquila C1-6 e -N(CH3)2; 3. cada Z4 e Z5 são selecionados independentemente a partir de hidrogênio, alquila C1-6, alquenila C2-6, alquinila C2-6, heteroalquila C1-6, heteroalquenila C2-6, heteroalquinila C2-6, arila, cicloalquila C3-7, heterociclo, arilalquila C1-6, arilalquenila C2-6, arilalquinila C2-6, arilheteroalquila C1-6, arilheteroalquenila C2-6, arilheteroalquinila C2-6, heterociclo-alquila C1-6, heterociclo-alquenila C2-6, heterociclo-alquinila C2-6, heterociclo-heteroalquila C1-6, heterociclo-heteroalquenila C2-6, e heterociclo-heteroalquinila C2-6; preferencialmente cada Z4 e Z5 são selecionados independentemente a partir de hidrogênio, alquila C1-6, arila, cicloalquila C3-7, e heterociclo; mais preferencialmente cada Z4 e Z5 são selecionados independentemente a partir de hidrogênio, alquila C1-6, e cicloalquila C3-7; em que a referida alquila C1-6, alquenila C2-6, alquinila C2-6, heteroalquila C1-6, heteroalquenila C2-6, heteroalquinila C2-6, arila, heterociclo, arilalquila C1-6, arilalquenila C2-6, arilalquinila C2-6, arilheteroalquila C1-6, arilheteroalquenila C2-6, arilheteroalquinila C2-6, heterociclo-alquila C1-6, heterociclo-alquenila C2-6, heterociclo-alquinila C2-6, heterociclo-heteroalquila C1-6, heterociclo-heteroalquenila C2-6, e heterociclo-heteroalquinila C2-6, são opcionalmente substituídos com um, dois, ou três substituintes selecionados a partir de alquila C1-6, alquenila C2-6, alquinila C2-6, hidroxila, =O, halogênio, -SH, =S, trifluorometila, -O-alquila C1-6, -OCF3, ciano, nitro, -C(=O)OH ou -NH2; 4. em que Z4 e Z5 podem ser tomados em conjunto para formar um heterociclo (com 5, 6 ou 7 membros) que é opcionalmente substituído com alquila C1-6, alquenila C2-6, alquinila C2-6, hidroxila, halogênio, -SH, trifluorometila, -O-alquila C1-6, -OCF3, ciano, nitro, -C(=O)OH, ou -NH2. 21. O composto de acordo com qualquer uma das declarações de 1 a 10, 14 a 20 ou uma composição farmacêutica de acordo com qualquer uma das declarações de 7 a 10, em que: cada Z1, Z1a, Z1b, e Z1c são selecionados independentemente a partir do grupo consistindo de halogênio, hidroxila, -OZ2, -O-C(=O)Z3, =O, - S(=O)2Z3, -S(=O)2NZ4Z5, trifluorometila, trifluorometóxi, -NZ4Z5, -NZ4C(=O)Z2, - NZ4C(=O)-OZ2, ciano, -C(=O)Z3, -C(=O)OZ2, -C(=O)NZ4Z5, alquila C1-6, heteroalquila C1-6, arila, heterociclo, e heterociclo-alquila C1-6; e em que a referida alquila C1-6, arila, e heterociclo são opcionalmente substituídos com um, dois, ou três substituintes selecionados a partir de hidroxila, =O, -O-C(O)Me, ciano, -C(O)OH, -C(O)Oalquila C1-6, -NH2, - NHCH3; -N(CH3)2, -NH-C(=O)O-alquilaCi-4; -S(O)2alquilaCi-4, e -O-alquila Ci-6; - cada Z2 é selecionado independentemente a partir de alquila C16, arila, e heterociclo-alquila C1-6; em que a referida alquila C1-6, e arila, são opcionalmente substituídas com um, dois, ou três substituintes selecionados a partir de hidroxila, halogênio, difluorometila, -O-alquila C1-6, -S(=O)2alquilaC1-4, - C(=O)OH, -C(=O)O-alquilaC1-4, -NH2, e -N(CH3)2, pirrolidinila, piperidinila, e piperazinila; - cada Z3 é selecionado independentemente a partir de hidroxila, alquila C1-6, e heterociclo; em que a referida alquila C1-6 e heterociclo são opcionalmente substituídos com um, dois, ou três substituintes selecionados a partir de alquila C1-6 e -N(CH3)2; - cada Z4 e Z5 são selecionados independentemente a partir de hidrogênio, alquila C1-6, e cicloalquila C3-7. 22. Os compostos de acordo com qualquer uma das declarações de 16 a 21, para o uso como um medicamento. 23. Os compostos de acordo com a declaração 22, para uso na prevenção ou tratamento da infecção por Flavivírus em um animal, mamífero ou humano. 24. Os compostos de fórmula (A) para uso na prevenção ou tratamento de uma infecção por Flavivírus em um animal, mamífero ou humano.

em que: - o ciclo A é selecionado a partir do grupo consistindo de cicloalquila; cicloalquenila; cicloalquinila; arila; e heterociclo; em que a referida cicloalquila, cicloalquenila, cicloalquinila, arila e heterociclo, podem ser não substituídos ou substituídos com um ou mais substituintes selecionados a partir de alquila, cicloalquila, alquenila, cicloalquenila, alquinila, cicloalquinila, heteroalquila, heteroalquenila, heteroalquinila, hidroxila, =O, halogênio, -SH, =S, trifluorometila, -OCF3, ciano, nitro, -C(O)OH, -NH2, NH(alquil), ou N(alquil)2; - o ciclo C é um monociclo selecionado a partir de

em que a linha ondulada ^^) indica o ponto de ligação à carbonila da Fórmula principal (A) e a linha tracejada ( ) indica o ponto de ligação ao ciclo A da Fórmula principal (A); - X1 é selecionado a partir de C; e N; - X2 é selecionado a partir de CR12; NR13; N; O; e S; - X3 é selecionado a partir de CR14, NR15; N; O; e S; - X4 é selecionado a partir de CR16, NR17; N; O; e S; - cada R3 e R9 são selecionados independentemente a partir de hidrogênio; alquila; alquenila; alquinila; heteroalquila; heteroalquenila; heteroalquinila; =O; e =S; em que a referida alquila, alquenila, alquinila, heteroalquila, heteroalquenila, e heteroalquinila podem ser não substituídas ou substituídas com um ou mais substituintes selecionados a partir de hidroxila, =O, halogênio, -SH, =S, trifluorometila, -OCF3, ciano, nitro, -C(O)OH ou NH2; - cada R4 e R5 são selecionados independentemente a partir de hidrogênio; halogênio; hidroxila; sulfidrila; =O; =S; trifluorometila; trifluorometóxi; ciano; alquila; alquenila; alquinila; heteroalquila; heteroalquenila; e heteroalquinila; e em que a referida alquila, alquenila, alquinila, cicloalquinila, heteroalquila, heteroalquenila, heteroalquinila, podem ser não substituídas ou substituídas com um ou mais substituintes selecionados a partir de hidroxila, =O, halogênio, -SH, =S, trifluorometila, -OCF3, ciano, nitro, -C(O)OH ou NH2; - W1 é selecionado a partir de CR32R32a; NR33; O; S; e SO2; - cada p e q são selecionados independentemente a partir de 1 e 2, de modo que p+q é selecionado a partir de 2 e 3; - o ciclo B é selecionado a partir de arila; e heterociclo; em que a referida arila e heterociclo podem ser não substituídos ou substituídos com um ou mais Z1a; - R1 é selecionado a partir de cicloalquila; cicloalquenila; cicloalquinila; arila; heterociclo; arilalquila; arilalquenila; arilalquinila; heterociclo-alquila; heterociclo-alquenila; heterociclo-alquinila; arilheteroalquila; arilheteroalquenila; arilheteroalquinila; heterociclo-heteroalquila; heterociclo- heteroalquenila; heterociclo-heteroalquinila; e em que a referida cicloalquila; cicloalquenila; cicloalquinila; arila, heterociclo, arilalquila, arilalquenila, arilalquinila, heterociclo-alquila, heterociclo- alquenila, heterociclo-alquinila, arilheteroalquila, arilheteroalquenila, arilheteroalquinila, heterociclo-heteroalquila, heterociclo-heteroalquenila e heterociclo-heteroalquinila podem ser não substituídas ou substituídas com um ou mais Z1b; - R2 é selecionado a partir de hidrogênio; alquila; cicloalquila; alquenila; cicloalquenila; alquinila; cicloalquinila; heteroalquila; heteroalquenila; e heteroalquinila; - em que a referida alquila, cicloalquila; alquenila; cicloalquenila; alquinila; cicloalquinila; heteroalquila, heteroalquenila, e heteroalquinila, podem ser não substituídas ou substituídas com um ou mais Z1c; - cada R12, R14, e R16 são selecionados independentemente a partir de hidrogênio; halogênio; hidroxila; sulfidrila; trifluorometila; trifluorometóxi; nitro; amino; ciano; alquila; cicloalquila; alquenila; cicloalquenila; alquinila; cicloalquinila; heteroalquila; heteroalquenila; heteroalquinila; em que a referida alquila, cicloalquila, alquenila, cicloalquenila, alquinila, cicloalquinila, heteroalquila, heteroalquenila, e heteroalquinila podem ser não substituídas ou substituídas com um ou mais substituintes selecionados a partir de alquila, alquenila, alquinila, heteroalquila, heteroalquenila, heteroalquinila, hidroxila, =O, halogênio, -SH, =S, trifluorometila, -OCF3, ciano, nitro, -C(O)OH ou NH2; - R13, R15, e R17 são selecionados independentemente a partir de hidrogênio; hidroxila; sulfidrila; -S(O)Z2; -S(O)2Z3; -S(O)2NZ4Z5; trifluorometila; - C(O)Z3; -C(O)OZ2; -C(O)NZ4Z5; -C(O)H; alquila; cicloalquila; alquenila; cicloalquenila; alquinila; cicloalquinila; heteroalquila; heteroalquenila; heteroalquinila; em que a referida alquila, cicloalquila, alquenila, cicloalquenila, alquinila, cicloalquinila, heteroalquila, heteroalquenila, ou heteroalquinila podem ser não substituídas ou substituídas com um ou mais substituintes selecionados a partir de alquila, alquenila, alquinila, heteroalquila, heteroalquenila, heteroalquinila, hidroxila, =O, halogênio, -SH, =S, trifluorometila, -OCF3, ciano, nitro, -C(O)OH ou NH2; - cada R32 e R32a são selecionados independentemente a partir de hidrogênio; halogênio; hidroxila; sulfidrila; =O; =S; trifluorometila; trifluorometóxi; ciano; alquila; alquenila; alquinila; heteroalquila; heteroalquenila; e heteroalquinila; e em que a referida alquila, alquenila, alquinila, cicloalquinila, heteroalquila, heteroalquenila, heteroalquinila, podem ser não substituídas ou substituídas com um ou mais substituintes selecionados a partir de hidroxila, =O, halogênio, -SH, =S, trifluorometila, -OCF3, ciano, nitro, -C(O)OH ou NH2; - cada R33 é selecionado independentemente a partir de hidrogênio; alquila; alquenila; alquinila; heteroalquila; heteroalquenila; e heteroalquinila; e em que a referida alquila, alquenila, alquinila, cicloalquinila, heteroalquila, heteroalquenila, heteroalquinila, podem ser não substituídas ou substituídas com um ou mais substituintes selecionados a partir de hidroxila, =O, halogênio, -SH, =S, trifluorometila, -OCF3, ciano, nitro, -C(O)OH ou NH2; - cada Z1a, Z1b, e Z1c são selecionados independentemente a partir do grupo consistindo de halogênio; hidroxila; sulfidrila; -OZ2; =O; -SZ2; =S; -S(O)Z2; -S(O)2Z3; -S(O)2NZ4Z5; trifluorometila; trifluorometóxi; nitro; -NZ4Z5; -NZ4S(O)2Z2; -NZ4C(O)Z2; -NZ4C(O)NZ4Z5; ciano; -C(O)Z3; -C(O)OZ2; - C(O)NZ4Z5; -C(O)H; alquila; cicloalquila; alquenila; cicloalquenila; alquinila; cicloalquinila; heteroalquila; heteroalquenila; heteroalquinila; arila; heterociclo; arilalquila; arilalquenila; arilalquinila; arilheteroalquila; arilheteroalquenila; arilheteroalquinila; heterociclo-alquila; heterociclo-alquenila; heterociclo- alquinila; heterociclo-heteroalquila, heterociclo-heteroalquenila; ou heterociclo- heteroalquinila; e em que a referida alquila, cicloalquila, alquenila, cicloalquenila, alquinila, cicloalquinila, heteroalquila, heteroalquenila, heteroalquinila, arila, heterociclo, arilalquila, arilalquenila, arilalquinila, arilheteroalquila, arilheteroalquenila, arilheteroalquinila, heterociclo-alquila, heterociclo-alquenila, heterociclo-alquinila, heterociclo-heteroalquila, heterociclo-heteroalquenila, ou heterociclo-heteroalquinila podem ser não substituídas ou substituídas com um ou mais substituintes selecionados a partir de alquila, alquenila, alquinila, heteroalquila, heteroalquenila, heteroalquinila, hidroxila, =O, halogênio, -SH, =S, trifluorometila, -OCF3, ciano, nitro, -C(O)OH ou NH2; - cada Z2 são selecionados independentemente a partir de alquila; cicloalquila; alquenila; cicloalquenila; alquinila; cicloalquinila; heteroalquila; heteroalquenila; heteroalquinila; arila; heterociclo; arilalquila; arilalquenila; arilalquinila; arilheteroalquila; arilheteroalquenila; arilheteroalquinila; heterociclo-alquila; heterociclo-alquenila; heterociclo-alquinila; heterociclo- heteroalquila; heterociclo-heteroalquenila; ou heterociclo-heteroalquinila; em que a referida alquila, cicloalquila, alquenila, cicloalquenila, alquinila, cicloalquinila, heteroalquila, heteroalquenila, heteroalquinila, arila, heterociclo, arilalquila, arilalquenila, arilalquinila, arilheteroalquila, arilheteroalquenila, arilheteroalquinila, heterociclo-alquila, heterociclo-alquenila, heterociclo-alquinila, heterociclo-heteroalquila, heterociclo-heteroalquenila, ou heterociclo-heteroalquinila podem ser não substituídas ou substituídas com um ou mais substituintes selecionados a partir de alquila, alquenila, alquinila, hidroxila, =O, halogênio, -SH, =S, trifluorometila, -O-alquila, -OCF3, ciano, nitro, -C(O)OH ou NH2; - cada Z3 é selecionado independentemente a partir de hidroxila; alquila; cicloalquila; alquenila; cicloalquenila; alquinila; cicloalquinila; heteroalquila; heteroalquenila; heteroalquinila; arila; heterociclo; arilalquila; arilalquenila; arilalquinila; arilheteroalquila; arilheteroalquenila; arilheteroalquinila; heterociclo-alquila; heterociclo-alquenila; heterociclo- alquinila; heterociclo-heteroalquila; heterociclo-heteroalquenila; ou heterociclo- heteroalquinila; em que a referida alquila, cicloalquila, alquenila, cicloalquenila, alquinila, cicloalquinila, heteroalquila, heteroalquenila, heteroalquinila, arila, heterociclo, arilalquila, arilalquenila, arilalquinila, arilheteroalquila, arilheteroalquenila, arilheteroalquinila, heterociclo-alquila, heterociclo-alquenila, heterociclo-alquinila, heterociclo-heteroalquila, heterociclo-heteroalquenila, ou heterociclo-heteroalquinila podem ser não substituídas ou substituídas com um ou mais substituintes selecionados a partir de alquila, alquenila, alquinila, hidroxila, =O, halogênio, -SH, =S, trifluorometila, -O-alquila, -OCF3, ciano, nitro, -C(O)OH ou NH2; - cada Z4 e Z5 são selecionados independentemente a partir de hidrogênio; alquila; cicloalquila; alquenila; cicloalquenila; alquinila; cicloalquinila; heteroalquila; heteroalquenila; heteroalquinila; arila; heterociclo; arilalquila; arilalquenila; arilalquinila; arilheteroalquila; arilheteroalquenila; arilheteroalquinila; heterociclo-alquila; heterociclo-alquenila; heterociclo- alquinila; heterociclo-heteroalquila; heterociclo-heteroalquenila; ou heterociclo- heteroalquinila; em que a referida alquila, cicloalquila, alquenila, cicloalquenila, alquinila, cicloalquinila, heteroalquila, heteroalquenila, heteroalquinila, arila, heterociclo, arilalquila, arilalquenila, arilalquinila, arilheteroalquila, arilheteroalquenila, arilheteroalquinila, heterociclo-alquila, heterociclo-alquenila, heterociclo-alquinila, heterociclo-heteroalquila, heterociclo-heteroalquenila, ou heterociclo-heteroalquinila podem ser não substituídas ou substituídas com um ou mais substituintes selecionados a partir de alquila, alquenila, alquinila, hidroxila, =O, halogênio, -SH, =S, trifluorometila, -O-alquila, -OCF3, ciano, nitro, -C(O)OH ou NH2; e em que Z4 e Z5 podem ser tomados em conjunto para formar um heterociclo (com 5, 6 ou 7 membros) que pode ser não substituído ou substituído com alquila, cicloalquila, alquenila, cicloalquenila, alquinila, cicloalquinila, hidroxila, halogênio, -SH, trifluorometila, -O-alquila, -OCF3, ciano, nitro, -C(O)OH ou -NH2; e isômeros (particularmente estereoisômeros ou tautômeros), solvatos, sais (particularmente sais farmaceuticamente aceitáveis) ou pró- fármacos destes. 25. Os compostos de acordo com a declaração 24, caracterizado pelo fato de que o ciclo C é selecionado dentre o seguinte grupo de ciclos

26. O composto de acordo com qualquer uma das declarações 24 ou 25, caracterizado pelo fato de que o ciclo C é selecionado dentre o seguinte grupo de ciclos
27. Os compostos de acordo com qualquer uma das declarações de 24 a 26, selecionados a partir dos compostos de fórmula (C1), (C2), (C3), (C4) e (C5),
28. Os compostos de acordo com a declaração 27, caracterizado pelo fato de que; - o ciclo C é um monociclo selecionado a partir de
em que a linha ondulada (MAT) indica o ponto de ligação à carbonila da Fórmula principal (A) e a linha tracejada indica o ponto de ligação ao ciclo A da Fórmula principal (A); - o ciclo A é selecionado a partir de arila; e heterociclo; opcionalmente substituído com um, dois, ou três substituintes (mais particularmente um ou dois substituintes) selecionados a partir de alquila, cicloalquila, alquenila, cicloalquenila, alquinila, cicloalquinila, heteroalquila, heteroalquenila, heteroalquinila, hidroxila, =O, halogênio, -SH, =S, trifluorometila, -OCF3, ciano, nitro, -C(O)OH , NH2, NH(alquil), ou N(alquil)2;


em que a linha ondulada (—) indica o ponto de ligação ao átomo do ciclo C, e em que os ciclos ilustrados podem ser opcionalmente substituídos com um, dois, ou três substituintes selecionados a partir de alquila, cicloalquila, alquenila, cicloalquenila, alquinila, cicloalquinila, heteroalquila, heteroalquenila, heteroalquinila, hidroxila, =O, halogênio, -SH, =S, trifluorometila, -OCF3, ciano, nitro, -C(O)OH, NH2, NH(alquil), ou N(alquil)2; - o ciclo B é selecionado a partir de arila; e heterociclo; em que a referida arila e heterociclo são opcionalmente substituídos com um, dois, ou


em que a linha ondulada (~>~) indica o ponto de ligação ao átomo de carbono da Fórmula principal (A), e em que os ciclos ilustrados podem ser opcionalmente substituídos com um, dois, ou três Z1a; - R1 é selecionado a partir de alquila C1-6, cicloalquila C3-7, cicloalquenila C3-7, cicloalquinila C3-7, arila, heterociclo, arilalquila C1-6, arilalquenila C2-6, arilalquinila C2-6, heterociclo-alquila C1-6, heterociclo-alquenila C2-6, heterociclo-alquinila C2-6, arilheteroalquila C1-6 , arilheteroalquenila C2-6, arilheteroalquinila C2-6, heterociclo-heteroalquila C1-6, heterociclo- heteroalquenila C2-6, e heterociclo-heteroalquinila C2-6; preferencialmente R1 é selecionado a partir de alquila C1-6, cicloalquila C3-7, arila, heterociclo; e em que a referida alquila C1-6, cicloalquila C3-7, cicloalquenila C37, cicloalquinila C3-7, arila, heterociclo, arilalquila C1-6, arilalquenila C2-6, arilalquinila C2-6, heterociclo-alquila C1-6, heterociclo-alquenila C2-6, heterociclo- alquinila C2-6, arilheteroalquila C1-6 , arilheteroalquenila C2-6, arilheteroalquinila C2-6, heterociclo-heteroalquila C1-6, heterociclo-heteroalquenila C2-6, e heterociclo-heteroalquinila C2-6, são opcionalmente substituídos com um, dois, ou três Z1b; preferencialmente a referida alquila C1-6, cicloalquila C3-7, arila, e heterociclo, são opcionalmente substituídos com um, dois, ou três Z1b; - R2 é selecionado a partir de hidrogênio, -C(O)Z3, alquila C1-6, alquenila C2-6, alquinila C2-6, heteroalquila C1-6, heteroalquenila C2-6, e heteroalquinila C2-6; preferencialmente R2 é selecionado a partir de hidrogênio, -C(O)Z3, e alquila C1-6; e em que a referida alquila C1-6, alquenila C2-6, alquinila C2-6, heteroalquila C1-6, heteroalquenila C2-6, e heteroalquinila C2-6, são opcionalmente substituídos com um, dois, ou três Z1c; preferencialmente a referida alquila C1-6 é opcionalmente substituída com um, dois, ou três Z1c; - R3 é selecionado a partir de hidrogênio; alquila C1-6; heteroalquila C1-6; e =O; - cada R4 e R5 são selecionados independentemente a partir de hidrogênio; halogênio; hidroxila; sulfidrila; trifluorometila; trifluorometóxi; ciano; alquila C1-6; alquenila C2-6; alquinila C2-6; heteroalquila C1-6; heteroalquenila C16; e heteroalquinila C1-6; - R9 é selecionado a partir de hidrogênio; alquila C1-6; heteroalquila C1-6; e =O; - cada um dentre R12, R14 e R16 são selecionados independentemente a partir de hidrogênio; halogênio; trifluorometila; ciano; alquila C1-6 e cicloalquila C1-6; - cada um dentre R13, R15 e R17 são selecionados independentemente a partir de hidrogênio; halogênio; trifluorometila; ciano; alquila C1-6 e cicloalquila C1-6; - cada R32 e R5 são selecionados independentemente a partir de hidrogênio; halogênio; hidroxila; sulfidrila; trifluorometila; trifluorometóxi; ciano; alquila C1-6; alquenila C2-6; alquinila C2-6; heteroalquila C1-6; heteroalquenila C16; e heteroalquinila C1-6; - R33 é selecionado independentemente a partir de hidrogênio e alquila C1-6; - cada Z1a, Z1b, e Z1c são selecionados independentemente a partir do grupo consistindo de halogênio, hidroxila, sulfidrila, -OZ2, -O-C(=O)Z3, =O, -SZ2, =S, -S(=O)Z2, -S(=O)2Z3, -S(=O)2NZ4Z5, trifluorometila, trifluorometóxi, nitro, -NZ4Z5, -NZ4S(=O)2Z2, -NZ4C(=O)Z2, -NZ4C(=O)-OZ2, -NZ4C(=O)NZ4Z5, ciano, -C(=O)Z3, -C(=O)OZ2, -C(=O)NZ4Z5, -C(=O)H, alquila C1-6, alquenila C2-6, alquinila C2-6, heteroalquila C1-6, heteroalquenila C2-6, heteroalquinila C2-6, arila, heterociclo, arilalquila C1-6, arilalquenila C2-6, arilalquinila C2-6, arilheteroalquila C1-6, arilheteroalquenila C2-6, arilheteroalquinila C2-6, heterociclo-alquila C1-6, heterociclo-alquenila C2-6, heterociclo-alquinila C2-6, heterociclo-heteroalquila C1-6, heterociclo-heteroalquenila C2-6, e heterociclo-heteroalquinila C2-6; preferencialmente cada Z1, Z1a, Z1b, e Z1c são selecionados independentemente a partir do grupo consistindo de halogênio, hidroxila, sulfidrila, -OZ2, -O- C(=O)Z3, =O, -SZ2, =S, -S(=O)Z2, -S(=O)2Z3, -S(=O)2NZ4Z5, trifluorometila, trifluorometóxi, nitro, -NZ4Z5, -NZ4S(=O)2Z2, -NZ4C(=O)Z2, -NZ4C(=O)2Z2, - NZ4C(=O)NZ4Z5, ciano, -C(=O)Z3, -C(=O)OZ2, -C(=O)NZ4Z5, -C(=O)H, alquila C1-6, heteroalquila C1-6, arila, heterociclo, e heterociclo-alquila C1-6; mais preferencialmente cada Z1, Z1a, Z1b, e Z1c são selecionados independentemente a partir do grupo consistindo de halogênio, hidroxila, -OZ2, -O-C(=O)Z3, =O, - S(=O)2Z3, -S(=O)2NZ4Z5, trifluorometila, trifluorometóxi, -NZ4Z5, -NZ4C(=O)Z2, - NZ4C(=O)-OZ2, ciano, -C(=O)Z3, -C(=O)OZ2, -C(=O)NZ4Z5, alquila C1-6, heteroalquila C1-6, arila, heterociclo, e heterociclo-alquila C1-6; e em que a referida alquila C1-6, alquenila C2-6, alquinila C2-6, heteroalquila C1-6, heteroalquenila C2-6, heteroalquinila C2-6, arila, heterociclo, arilalquila C1-6, arilalquenila C2-6, arilalquinila C2-6, arilheteroalquila C1-6 , arilheteroalquenila C2-6, arilheteroalquinila C2-6, heterociclo-alquila C1-6, heterociclo-alquenila C2-6, heterociclo-alquinila C2-6, heterociclo-heteroalquila C1-6, heterociclo-heteroalquenila C2-6, e heterociclo-heteroalquinila C2-6, são opcionalmente substituídos com um, dois, ou três substituintes selecionados a partir de alquila C1-6, alquenila C2-6, alquinila C2-6, heteroalquila C1-6, heteroalquenila C2-6, heteroalquinila C2-6, hidroxila, =O, halogênio, -SH, =S, trifluorometila, -OCF3, -O-C(O)Me, ciano, nitro, -C(O)OH, -C(O)Oalquila C1-6, - NH2, -NHCH3; -N(CH3)2, -NH-C(=O)O-alquilaC1-4, morfolinila, -S(O)2alquilaC1-4, e -O-alquila Ci-β; preferencialmente a referida alquila Ci-β, heteroalquila Ci-β, arila, heterociclo, e heterociclo-alquila C1-6, são opcionalmente substituídos com um, dois, ou três substituintes selecionados a partir de hidroxila, =O, halogênio, -SH, =S, trifluorometila, -OCF3, -O-C(O)Me, ciano, nitro, -C(O)OH, - C(O)Oalquila Ci-β, -NH2, -NHCH3; -N(CH3)2, -NH-C(=O)O-alquilaCi-4, morfolinila, -S(O)2alquilaCi-4, e -O-alquila Ci-β; mais preferencialmente a referida alquila Ci-β, arila, e heterociclo são opcionalmente substituídos com um, dois, ou três substituintes selecionados a partir de hidroxila, =O, -O- C(O)Me, ciano, -C(O)OH, -C(O)Oalquila Ci-β, -NH2, -NHCH3; -N(CH3)2, -NH- C(=O)O-alquilaCi-4, morfolinila, -S(O)2alquilaCi-4, e -O-alquila Ci-β; - cada Z2 é selecionado independentemente a partir de alquila Ci- β, alquenila C2-β, alquinila C2-β, heteroalquila Ci-β, heteroalquenila C2-β, heteroalquinila C2-β, arila, heterociclo, arilalquila Ci-β, arilalquenila C2-β, arilalquinila C2-β, arilheteroalquila Ci-β , arilheteroalquenila C2-β, arilheteroalquinila C2-β, heterociclo-alquila Ci-β, heterociclo-alquenila C2-β, heterociclo-alquinila C2-β, heterociclo-heteroalquila Ci-β, heterociclo- heteroalquenila C2-β, e heterociclo-heteroalquinila C2-β; preferencialmente Z2 é selecionado independentemente a partir de alquila Ci-β, arila, heterociclo, e heterociclo-alquila Ci-β; mais preferencialmente Z2 é selecionado independentemente a partir de alquila Ci-β, arila, e heterociclo-alquila Ci-β; em que a referida alquila Ci-β, alquenila C2-β, alquinila C2-β, heteroalquila Ci-β, heteroalquenila C2-β, heteroalquinila C2-β, arila, heterociclo, arilalquila Ci-β, arilalquenila C2-β, arilalquinila C2-β, arilheteroalquila Ci-β , arilheteroalquenila C2-β, arilheteroalquinila C2-β, heterociclo-alquila Ci-β, heterociclo-alquenila C2-β, heterociclo-alquinila C2-β, heterociclo-heteroalquila Ci-β, heterociclo-heteroalquenila C2-β, e heterociclo-heteroalquinila C2-β, são opcionalmente substituídos com um, dois, ou três substituintes selecionados a partir de alquila C1-6, alquenila C2-6, alquinila C2-6, hidroxila, =O, halogênio, -SH, =S, trifluorometila, difluorometila, -O-alquila C1-6, -OCF3, -S(=O)2alquilaC1-4, ciano, nitro, -C(=O)OH, -C(=O)O-alquilaC1-4, -NH2, -N(CH3)2, pirrolidinila, piperidinila, e piperazinila; preferencialmente a referida alquila C1-6, arila, heterociclo, e heterociclo-alquila C1-6, são opcionalmente substituídos com um, dois, ou três substituintes selecionados a partir de hidroxila, =O, halogênio, - SH, =S, trifluorometila, difluorometila, -O-alquila C1-6, -OCF3, -S(=O)2alquilaC1-4, ciano, nitro, -C(=O)OH, -C(=O)O-alquilaC1-4, -NH2, -N(CH3)2, pirrolidinila, piperidinila, e piperazinila; mais preferencialmente a referida alquila C1-6, e arila, são opcionalmente substituídas com um, dois, ou três substituintes selecionados a partir de hidroxila, halogênio, difluorometila, -O-alquila C1-6, - S(=O)2alquilaC1-4, -C(=O)OH, -C(=O)O-alquilaC1-4, -NH2, -N(CH3)2, pirrolidinila, piperidinila, e piperazinila; - cada Z3 é selecionado independentemente a partir de hidroxila, alquila C1-6, alquenila C2-6, alquinila C2-6, heteroalquila C1-6, heteroalquenila C26, heteroalquinila C2-6, arila, heterociclo, arilalquila C1-6, arilalquenila C2-6, arilalquinila C2-6, arilheteroalquila C1-6, arilheteroalquenila C2-6, arilheteroalquinila C2-6, heterociclo-alquila C1-6, heterociclo-alquenila C2-6, heterociclo-alquinila C2-6, heterociclo-heteroalquila C1-6, heterociclo- heteroalquenila C2-6, e heterociclo-heteroalquinila C2-6; preferencialmente Z3 é selecionado independentemente a partir de hidroxila, alquila C1-6, arila, e heterociclo; mais preferencialmente Z3 é selecionado independentemente a partir de hidroxila, alquila C1-6, e heterociclo; em que a referida alquila C1-6, alquenila C2-6, alquinila C2-6, heteroalquila C1-6, heteroalquenila C2-6, heteroalquinila C2-6, arila, heterociclo, arilalquila C1-6, arilalquenila C2-6, arilalquinila C2-6, arilheteroalquila C1-6, arilheteroalquenila C2-6, arilheteroalquinila C2-6, heterociclo-alquila C1-6, heterociclo- alquenila C2-6, heterociclo-alquinila C2-6, heterociclo-heteroalquila C1-6, heterociclo- heteroalquenila C2-6, e heterociclo-heteroalquinila C2-6, são opcionalmente substituídos com um, dois, ou três substituintes selecionados a partir de alquila C1-6, alquenila C2-6, alquinila C2-6, hidroxila, =O, halogênio, -SH, =S, trifluorometila, -O- alquila C1-6, -OCF3, ciano, nitro, -C(=O)OH, -NH2, e -N(CH3)2; preferencialmente a referida alquila C1-6, arila, e heterociclo são opcionalmente substituídos com um, dois, ou três substituintes selecionados a partir de alquila C1-6 e -N(CH3)2; mais preferencialmente a referida alquila C1-6 e heterociclo são opcionalmente substituídos com um, dois, ou três substituintes selecionados a partir de alquila C1-6 e -N(CH3)2; - cada Z4 e Z5 são selecionados independentemente a partir de hidrogênio, alquila C1-6, alquenila C2-6, alquinila C2-6, heteroalquila C1-6, heteroalquenila C2-6, heteroalquinila C2-6, arila, cicloalquila C3-7, heterociclo, arilalquila C1-6, arilalquenila C2-6, arilalquinila C2-6, arilheteroalquila C1-6, arilheteroalquenila C2-6, arilheteroalquinila C2-6, heterociclo-alquila C1-6, heterociclo-alquenila C2-6, heterociclo-alquinila C2-6, heterociclo-heteroalquila C1-6, heterociclo-heteroalquenila C2-6, e heterociclo-heteroalquinila C2-6; preferencialmente cada Z4 e Z5 são selecionados independentemente a partir de hidrogênio, alquila C1-6, arila, cicloalquila C3-7, e heterociclo; mais preferencialmente cada Z4 e Z5 são selecionados independentemente a partir de hidrogênio, alquila C1-6, e cicloalquila C3-7; em que a referida alquila C1-6, alquenila C2-6, alquinila C2-6, heteroalquila C1-6, heteroalquenila C2-6, heteroalquinila C2-6, arila, heterociclo, arilalquila C1-6, arilalquenila C2-6, arilalquinila C2-6, arilheteroalquila C1-6, arilheteroalquenila C2-6, arilheteroalquinila C2-6, heterociclo-alquila C1-6, heterociclo-alquenila C2-6, heterociclo-alquinila C2-6, heterociclo-heteroalquila C1-6, heterociclo-heteroalquenila C2-6, e heterociclo-heteroalquinila C2-6, são opcionalmente substituídos com um, dois, ou três substituintes selecionados a partir de alquila C1-6, alquenila C2-6, alquinila C2-6, hidroxila, =O, halogênio, -SH, =S, trifluorometila, -O-alquila C1-6, -OCF3, ciano, nitro, -C(=O)OH ou -NH2; e em que Z4 e Z5 podem ser tomados em conjunto para formar um heterociclo (com 5, 6 ou 7 membros) que é opcionalmente substituído com alquila C1-6, alquenila C2-6, alquinila C2-6, hidroxila, halogênio, -SH, trifluorometila, -O-alquila C1-6, -OCF3, ciano, nitro, -C(=O)OH, ou -NH2. 29. O composto de acordo com qualquer uma das declarações de 24 a 28, caracterizado pelo fato de que; cada Z1, Z1a, Z1b, e Z1c são selecionados independentemente a partir do grupo consistindo de halogênio, hidroxila, -OZ2, -O-C(=O)Z3, =O, - S(=O)2Z3, -S(=O)2NZ4Z5, trifluorometila, trifluorometóxi, -NZ4Z5, -NZ4C(=O)Z2, - NZ4C(=O)-OZ2, ciano, -C(=O)Z3, -C(=O)OZ2, -C(=O)NZ4Z5, alquila C1-6, heteroalquila C1-6, arila, heterociclo, e heterociclo-alquila C1-6; e em que a referida alquila C1-6, arila, e heterociclo são opcionalmente substituídos com um, dois, ou três substituintes selecionados a partir de hidroxila, =O, -O-C(O)Me, ciano, -C(O)OH, -C(O)Oalquila C1-6, -NH2, - NHCH3; -N(CH3)2, -NH-C(=O)O-alquilaCi-4; -S(O)2alquilaCi-4, e -O-alquila Ci-6; - cada Z2 é selecionado independentemente a partir de alquila C16, arila, e heterociclo-alquila C1-6; em que a referida alquila C1-6, e arila, são opcionalmente substituídas com um, dois, ou três substituintes selecionados a partir de hidroxila, halogênio, difluorometila, -O-alquila C1-6, -S(=O)2alquilaC1-4, - C(=O)OH, -C(=O)O-alquilaC1-4, -NH2, e -N(CH3)2, pirrolidinila, piperidinila, e piperazinila; - cada Z3 é selecionado independentemente a partir de hidroxila, alquila C1-6, e heterociclo; em que a referida alquila C1-6 e heterociclo são opcionalmente substituídos com um, dois, ou três substituintes selecionados a partir de alquila C1-6 e -N(CH3)2; - cada Z4 e Z5 são selecionados independentemente a partir de hidrogênio, alquila C1-6, e cicloalquila C3-7. 30. Os compostos de acordo com qualquer uma das declarações de 24 a 29, em que a infecção pelo Flavivírus é uma infecção por um vírus da dengue ou um vírus da febre amarela. 31. Uma composição farmacêutica compreendendo um veículo aceitável, e como ingrediente ativo uma quantidade eficaz do composto de acordo com qualquer uma das declarações de 16 a 29 ou um sal farmaceuticamente aceitável do mesmo. 32. Um método para a preparação do composto de acordo com qualquer uma das declarações de 16 a 29, compreendendo a etapa de - reação de uma imina com um aldeído sob condições de umpolung na presença de um catalisador tiazólio para obter os compostos desejados da invenção. 33. Um método para a preparação do composto de acordo com qualquer uma das declarações de 16 a 29, compreendendo a etapa de - reação de um derivado de cetona possuindo um grupo metileno adjacente à carbonila sob condições de halogenação para se obter uma alfa- halogenocetona, - substituir a alfa-halogenocetona anteriormente obtida com aminas para se obter os compostos desejados da invenção. 34. Um método para a preparação do composto de acordo com qualquer uma das declarações de 16 a 29, compreendendo a etapa de - reação de uma heterociclicamina com haleto de ácido 2- halogenoacético para se obter um derivado de alfa-halogenoamida, - substituir a alfa-halogenoamida anteriormente obtida com aminas para se obter os compostos desejados da invenção. 35. Um método de tratamento ou prevenção de infecções por Flavivírus em seres humanos pela administração de uma quantidade eficaz de um composto de acordo com qualquer uma das declarações de 16 a 29 ou um sal farmaceuticamente aceitável do mesmo, opcionalmente em combinação com um ou mais outros medicamentos, a um paciente com tal necessidade. 36. O método de acordo com a declaração 35, em que a infecção por Flavivírus é uma infecção pelo vírus da dengue ou vírus da febre amarela. 37. O composto de acordo com qualquer uma das declarações de 1 a 10, 14 a 29 ou uma composição farmacêutica de acordo com qualquer uma das declarações de 7 a 10, em que: - o ciclo C é um monociclo selecionado a partir de

em que a linha ondulada (MAT) indica o ponto de ligação à carbonila da Fórmula principal (A) e a linha tracejada indica o ponto de ligação ao ciclo A da Fórmula principal (A); - X1 é selecionado a partir de C; e N; - X2 é selecionado a partir de CR12; NR13; N; O; e S; - X3 é selecionado a partir de CR14, NR15; N; O; e S; - X4 é selecionado a partir de CR16, NR17; N; O; e S; - cada R3 e R9 são selecionados independentemente a partir de hidrogênio; alquila C1-6; alquenila C2-6; alquinila C2-6; heteroalquila C1-6; heteroalquenila C2-6; heteroalquinila C2-6; =O; e =S; em que a referida alquila C1-6, alquenila C2-6, alquinila C2-6, heteroalquila C1-6, heteroalquenila C2-6, e heteroalquinila C2-6 podem ser não substituídas ou substituídas com um ou mais substituintes selecionados a partir de hidroxila, =O, halogênio, -SH, =S, trifluorometila, -OCF3, ciano, nitro, -C(O)OH ou NH2; - cada R4 e R5 são selecionados independentemente a partir de hidrogênio; halogênio; hidroxila; sulfidrila; =O; =S; trifluorometila; trifluorometóxi; ciano; alquila C1-6; alquenila C2-6; alquinila C2-6; heteroalquila C16; heteroalquenila C2-6; e heteroalquinila C2-6; e em que a referida alquila C1-6, alquenila C2-6, alquinila C2-6, heteroalquila C1-6, heteroalquenila C2-6, heteroalquinila C2-6, podem ser não substituídas ou substituídas com um ou mais substituintes selecionados a partir de hidroxila, =O, halogênio, -SH, =S, trifluorometila, -OCF3, ciano, nitro, -C(O)OH ou NH2; - W1 é selecionado a partir de CR32R32a; NR33; O; S; e SO2; - cada p e q são selecionados independentemente a partir de 1 e 2, de modo que p+q é selecionado a partir de 2 e 3; - o ciclo A é selecionado a partir do grupo consistindo de cicloalquila C3-7; C5-7cicloalquenila; C5-7cicloalquinila; C6-12arila; e heterociclo; em que a referida cicloalquila C3-7, C5-7cicloalquenila, C5-7cicloalquinila, C6-12arila e heterociclo, podem ser não substituídos ou substituídos com um ou mais substituintes selecionados a partir de alquila C1-6, cicloalquila C3-7, alquenila C2-6, C5-7cicloalquenila, alquinila C2-6, C5-7cicloalquinila, hetero alquila C1-6, heteroalquenila C2-6, heteroalquinila C2-6, hidroxila, =O, halogênio, -SH, =S, trifluorometila, -OCF3, ciano, nitro, -C(O)OH, -NH2, NH(C1-6alquil), ou N(C1-6alquil)2; - o ciclo B é selecionado a partir de arila; e heterociclo; em que a referida arila e heterociclo são opcionalmente substituídos com um, dois, ou três Z1a; - R1 é selecionado a partir de alquila C1-6, cicloalquila C3-7, cicloalquenila C3-7, cicloalquinila C3-7, arila, heterociclo, arilalquila C1-6, arilalquenila C2-6, arilalquinila C2-6, heterociclo-alquila C1-6, heterociclo-alquenila C2-6, heterociclo-alquinila C2-6, arilheteroalquila C1-6 , arilheteroalquenila C2-6, arilheteroalquinila C2-6, heterociclo-heteroalquila C1-6, heterociclo- heteroalquenila C2-6, e heterociclo-heteroalquinila C2-6; preferencialmente R1 é selecionado a partir de alquila C1-6, cicloalquila C3-7, arila, heterociclo; e em que a referida alquila C1-6, cicloalquila C3-7, cicloalquenila C37, cicloalquinila C3-7, arila, heterociclo, arilalquila C1-6, arilalquenila C2-6, arilalquinila C2-6, heterociclo-alquila C1-6, heterociclo-alquenila C2-6, heterociclo- alquinila C2-6, arilheteroalquila C1-6 , arilheteroalquenila C2-6, arilheteroalquinila C2-6, heterociclo-heteroalquila C1-6, heterociclo-heteroalquenila C2-6, e heterociclo-heteroalquinila C2-6, são opcionalmente substituídos com um, dois, ou três Z1b; preferencialmente a referida alquila C1-6, cicloalquila C3-7, arila, e heterociclo, são opcionalmente substituídos com um, dois, ou três Z1b; - R2 é selecionado a partir de hidrogênio, -C(O)Z3, alquila C1-6, alquenila C2-6, alquinila C2-6, heteroalquila C1-6, heteroalquenila C2-6, e heteroalquinila C2-6; preferencialmente R2 é selecionado a partir de hidrogênio, -C(O)Z3, e alquila C1-6; e em que a referida alquila C1-6, alquenila C2-6, alquinila C2-6, heteroalquila C1-6, heteroalquenila C2-6, e heteroalquinila C2-6, são opcionalmente substituídos com um, dois, ou três Z1c; preferencialmente a referida alquila C1-6 é opcionalmente substituída com um, dois, ou três Z1c; - R3 é selecionado a partir de hidrogênio; alquila C1-6; heteroalquila C1-6; e =O; - cada R4 e R5 são selecionados independentemente a partir de hidrogênio; halogênio; hidroxila; sulfidrila; trifluorometila; trifluorometóxi; ciano; alquila C1-6; alquenila C2-6; alquinila C2-6; heteroalquila C1-6; heteroalquenila C26; e heteroalquinila C2-6; - R9 é selecionado a partir de hidrogênio; alquila C1-6; heteroalquila C1-6; e =O; - cada um dentre R12, R14 e R16 são selecionados independentemente a partir de hidrogênio; halogênio; trifluorometila; ciano; alquila C1-6 e cicloalquila C1-6; - cada um dentre R13, R15 e R17 são selecionados independentemente a partir de hidrogênio; halogênio; trifluorometila; ciano; alquila C1-6 e cicloalquila C1-6; - cada R32 e R5 são selecionados independentemente a partir de hidrogênio; halogênio; hidroxila; sulfidrila; trifluorometila; trifluorometóxi; ciano; alquila C1-6; alquenila C2-6; alquinila C2-6; heteroalquila C1-6; heteroalquenila C26; e heteroalquinila C2-6; - R33 é selecionado independentemente a partir de hidrogênio e alquila C1-6; - cada Z1a, Z1b, e Z1c são selecionados independentemente a partir do grupo consistindo de halogênio, hidroxila, sulfidrila, -OZ2, -O-C(=O)Z3, =O, -SZ2, =S, -S(=O)Z2, -S(=O)2Z3, -S(=O)2NZ4Z5, trifluorometila, trifluorometóxi, nitro, -NZ4Z5, -NZ4S(=O)2Z2, -NZ4C(=O)Z2, -NZ4C(=O)-OZ2, -NZ4C(=O)NZ4Z5, ciano, -C(=O)Z3, -C(=O)OZ2, -C(=O)NZ4Z5, -C(=O)H, alquila C1-6, alquenila C2-6, alquinila C2-6, heteroalquila C1-6, heteroalquenila C2-6, heteroalquinila C2-6, arila, heterociclo, arilalquila C1-6, arilalquenila C2-6, arilalquinila C2-6, arilheteroalquila C1-6, arilheteroalquenila C2-6, arilheteroalquinila C2-6, heterociclo-alquila C1-6, heterociclo-alquenila C2-6, heterociclo-alquinila C2-6, heterociclo-heteroalquila C1-6, heterociclo-heteroalquenila C2-6, e heterociclo-heteroalquinila C2-6; preferencialmente cada Z1, Z1a, Z1b, e Z1c são selecionados independentemente a partir do grupo consistindo de halogênio, hidroxila, sulfidrila, -OZ2, -O- C(=O)Z3, =O, -SZ2, =S, -S(=O)Z2, -S(=O)2Z3, -S(=O)2NZ4Z5, trifluorometila, trifluorometóxi, nitro, -NZ4Z5, -NZ4S(=O)2Z2, -NZ4C(=O)Z2, -NZ4C(=O)2Z2, - NZ4C(=O)NZ4Z5, ciano, -C(=O)Z3, -C(=O)OZ2, -C(=O)NZ4Z5, -C(=O)H, alquila C1-6, heteroalquila C1-6, arila, heterociclo, e heterociclo-alquila C1-6; mais preferencialmente cada Z1, Z1a, Z1b, e Z1c são selecionados independentemente a partir do grupo consistindo de halogênio, hidroxila, -OZ2, -O-C(=O)Z3, =O, - S(=O)2Z3, -S(=O)2NZ4Z5, trifluorometila, trifluorometóxi, -NZ4Z5, -NZ4C(=O)Z2, - NZ4C(=O)-OZ2, ciano, -C(=O)Z3, -C(=O)OZ2, -C(=O)NZ4Z5, alquila C1-6, heteroalquila C1-6, arila, heterociclo, e heterociclo-alquila C1-6; e em que a referida alquila C1-6, alquenila C2-6, alquinila C2-6, heteroalquila C1-6, heteroalquenila C2-6, heteroalquinila C2-6, arila, heterociclo, arilalquila C1-6, arilalquenila C2-6, arilalquinila C2-6, arilheteroalquila C1-6 , arilheteroalquenila C2-6, arilheteroalquinila C2-6, heterociclo-alquila C1-6, heterociclo-alquenila C2-6, heterociclo-alquinila C2-6, heterociclo-heteroalquila C1-6, heterociclo-heteroalquenila C2-6, e heterociclo-heteroalquinila C2-6, são opcionalmente substituídos com um, dois, ou três substituintes selecionados a partir de alquila C1-6, alquenila C2-6, alquinila C2-6, heteroalquila C1-6, heteroalquenila C2-6, heteroalquinila C2-6, hidroxila, =O, halogênio, -SH, =S, trifluorometila, -OCF3, -O-C(O)Me, ciano, nitro, -C(O)OH, -C(O)Oalquila C1-6, - NH2, -NHCH3; -N(CH3)2, -NH-C(=O)O-alquilaC1-4, morfolinila, -S(O)2alquilaC1-4, e -O-alquila Ci-β; preferencialmente a referida alquila Ci-β, heteroalquila Ci-β, arila, heterociclo, e heterociclo-alquila C1-6, são opcionalmente substituídos com um, dois, ou três substituintes selecionados a partir de hidroxila, =O, halogênio, -SH, =S, trifluorometila, -OCF3, -O-C(O)Me, ciano, nitro, -C(O)OH, - C(O)Oalquila C1-6, -NH2, -NHCH3; -N(CH3)2, -NH-C(=O)O-alquilaC1-4, morfolinila, -S(O)2alquilaC1-4, e -O-alquila C1-6; mais preferencialmente a referida alquila C1-6, arila, e heterociclo são opcionalmente substituídos com um, dois, ou três substituintes selecionados a partir de hidroxila, =O, -O- C(O)Me, ciano, -C(O)OH, -C(O)Oalquila C1-6, -NH2, -NHCH3; -N(CH3)2, -NH- C(=O)O-alquilaC1-4, morfolinila, -S(O)2alquilaC1-4, e -O-alquila C1-6; - cada Z2 é selecionado independentemente a partir de alquila C16, alquenila C2-6, alquinila C2-6, heteroalquila C1-6, heteroalquenila C2-6, heteroalquinila C2-6, arila, heterociclo, arilalquila C1-6, arilalquenila C2-6, arilalquinila C2-6, arilheteroalquila C1-6 , arilheteroalquenila C2-6, arilheteroalquinila C2-6, heterociclo-alquila C1-6, heterociclo-alquenila C2-6, heterociclo-alquinila C2-6, heterociclo-heteroalquila C1-6, heterociclo- heteroalquenila C2-6, e heterociclo-heteroalquinila C2-6; preferencialmente Z2 é selecionado independentemente a partir de alquila C1-6, arila, heterociclo, e heterociclo-alquila C1-6; mais preferencialmente Z2 é selecionado independentemente a partir de alquila C1-6, arila, e heterociclo-alquila C1-6; em que a referida alquila C1-6, alquenila C2-6, alquinila C2-6, heteroalquila C1-6, heteroalquenila C2-6, heteroalquinila C2-6, arila, heterociclo, arilalquila C1-6, arilalquenila C2-6, arilalquinila C2-6, arilheteroalquila C1-6 , arilheteroalquenila C2-6, arilheteroalquinila C2-6, heterociclo-alquila C1-6, heterociclo-alquenila C2-6, heterociclo-alquinila C2-6, heterociclo-heteroalquila C1-6, heterociclo-heteroalquenila C2-6, e heterociclo-heteroalquinila C2-6, são opcionalmente substituídos com um, dois, ou três substituintes selecionados a partir de alquila C1-6, alquenila C2-6, alquinila C2-6, hidroxila, =O, halogênio, -SH, =S, trifluorometila, difluorometila, -O-alquila C1-6, -OCF3, -S(=O)2alquilaC1-4, ciano, nitro, -C(=O)OH, -C(=O)O-alquilaC1-4, -NH2, -N(CH3)2, pirrolidinila, piperidinila, e piperazinila; preferencialmente a referida alquila C1-6, arila, heterociclo, e heterociclo-alquila C1-6, são opcionalmente substituídos com um, dois, ou três substituintes selecionados a partir de hidroxila, =O, halogênio, - SH, =S, trifluorometila, difluorometila, -O-alquila C1-6, -OCF3, -S(=O)2alquilaC1-4, ciano, nitro, -C(=O)OH, -C(=O)O-alquilaC1-4, -NH2, -N(CH3)2, pirrolidinila, piperidinila, e piperazinila; mais preferencialmente a referida alquila C1-6, e arila, são opcionalmente substituídas com um, dois, ou três substituintes selecionados a partir de hidroxila, halogênio, difluorometila, -O-alquila C1-6, - S(=O)2alquilaC1-4, -C(=O)OH, -C(=O)O-alquilaC1-4, -NH2, -N(CH3)2, pirrolidinila, piperidinila, e piperazinila; - cada Z3 é selecionado independentemente a partir de hidroxila, alquila C1-6, alquenila C2-6, alquinila C2-6, heteroalquila C1-6, heteroalquenila C26, heteroalquinila C2-6, arila, heterociclo, arilalquila C1-6, arilalquenila C2-6, arilalquinila C2-6, arilheteroalquila C1-6, arilheteroalquenila C2-6, arilheteroalquinila C2-6, heterociclo-alquila C1-6, heterociclo-alquenila C2-6, heterociclo-alquinila C2-6, heterociclo-heteroalquila C1-6, heterociclo- heteroalquenila C2-6, e heterociclo-heteroalquinila C2-6; preferencialmente Z3 é selecionado independentemente a partir de hidroxila, alquila C1-6, arila, e heterociclo; mais preferencialmente Z3 é selecionado independentemente a partir de hidroxila, alquila C1-6, e heterociclo; em que a referida alquila C1-6, alquenila C2-6, alquinila C2-6, heteroalquila C1-6, heteroalquenila C2-6, heteroalquinila C2-6, arila, heterociclo, arilalquila C1-6, arilalquenila C2-6, arilalquinila C2-6, arilheteroalquila C1-6, arilheteroalquenila C2-6, arilheteroalquinila C2-6, heterociclo-alquila C1-6, heterociclo-alquenila C2-6, heterociclo-alquinila C2-6, heterociclo-heteroalquila C1-6, heterociclo-heteroalquenila C2-6, e heterociclo-heteroalquinila C2-6, são opcionalmente substituídos com um, dois, ou três substituintes selecionados a partir de alquila C1-6, alquenila C2-6, alquinila C2-6, hidroxila, =O, halogênio, -SH, =S, trifluorometila, -O-alquila C1-6, -OCF3, ciano, nitro, -C(=O)OH, -NH2, e - N(CH3)2; preferencialmente a referida alquila C1-6, arila, e heterociclo são opcionalmente substituídos com um, dois, ou três substituintes selecionados a partir de alquila C1-6 e -N(CH3)2; mais preferencialmente a referida alquila C1-6 e heterociclo são opcionalmente substituídos com um, dois, ou três substituintes selecionados a partir de alquila C1-6 e -N(CH3)2; - cada Z4 e Z5 são selecionados independentemente a partir de hidrogênio, alquila C1-6, alquenila C2-6, alquinila C2-6, heteroalquila C1-6, heteroalquenila C2-6, heteroalquinila C2-6, arila, cicloalquila C3-7, heterociclo, arilalquila C1-6, arilalquenila C2-6, arilalquinila C2-6, arilheteroalquila C1-6, arilheteroalquenila C2-6, arilheteroalquinila C2-6, heterociclo-alquila C1-6, heterociclo-alquenila C2-6, heterociclo-alquinila C2-6, heterociclo-heteroalquila C1-6, heterociclo-heteroalquenila C2-6, e heterociclo-heteroalquinila C2-6; preferencialmente cada Z4 e Z5 são selecionados independentemente a partir de hidrogênio, alquila C1-6, arila, cicloalquila C3-7, e heterociclo; mais preferencialmente cada Z4 e Z5 são selecionados independentemente a partir de hidrogênio, alquila C1-6, e cicloalquila C3-7; em que a referida alquila C1-6, alquenila C2-6, alquinila C2-6, heteroalquila C1-6, heteroalquenila C2-6, heteroalquinila C2-6, arila, heterociclo, arilalquila C1-6, arilalquenila C2-6, arilalquinila C2-6, arilheteroalquila C1-6, arilheteroalquenila C2-6, arilheteroalquinila C2-6, heterociclo-alquila C1-6, heterociclo-alquenila C2-6, heterociclo-alquinila C2-6, heterociclo-heteroalquila C1-6, heterociclo-heteroalquenila C2-6, e heterociclo-heteroalquinila C2-6, são opcionalmente substituídos com um, dois, ou três substituintes selecionados a partir de alquila C1-6, alquenila C2-6, alquinila C2-6, hidroxila, =O, halogênio, -SH, =S, trifluorometila, -O-alquila C1-6, -OCF3, ciano, nitro, -C(=O)OH ou -NH2; e em que Z4 e Z5 podem ser tomados em conjunto para formar um heterociclo (com 5, 6 ou 7 membros) que é opcionalmente substituído com alquila C1-6, alquenila C2-6, alquinila C2-6, hidroxila, halogênio, -SH, trifluorometila, -O-alquila C1-6, -OCF3, ciano, nitro, -C(=O)OH, ou -NH2; preferencialmente em que a referida heteroalquila C1-6 como um grupo ou parte de um grupo é selecionada a partir de -CO-O-alquilaCi-5, -O- alquila Ci-β, -NH-alquila Ci-β, -N(alquila Ci-β)2, -S(=O)2alquila Ci-β, e -S-alquila C1-6. 38. O composto de acordo com qualquer uma das declarações de 1 a 10, 14 a 29, 37 ou uma composição farmacêutica de acordo com qualquer uma das declarações de 7 a 10, em que o ciclo B é selecionado a partir de:

em que a linha ondulada (—) indica o ponto de ligação ao átomo de carbono da Fórmula principal (A), e em que os ciclos ilustrados podem ser opcionalmente substituídos com um, dois, ou três Z1a; 39. O composto de acordo com qualquer uma das declarações 1-10, 14-29, 37 ou uma composição farmacêutica de acordo com qualquer uma das declarações de 7 to 10, em que B é selecionado a partir do grupo compreendendo substituído ou não substituído com um ou mais Z1a (por exemplo, um, dois ou três Z1a) fenila, pirazinila, pirazol[1,5-a]piridinila; isoxazolila; 6,8-dihidro-5H-imidazol[2,1-c]1,4-oxazinila; tetrahidropiranila, tiofenila, tetrahidrofuranila, pirimidinila, furanila, imidazo[1,2-a]piridinila; imidazolila; quinoxalinila, pirazolila; 1,3-dihidrobenzimidazolila; isoquinolinila; tiazolila; indolila; piridazinila; tiazol[4,5-b]pirazinila; 1H-imidazo[4,5-b]piridinila; 1,3-benzoxazolila; 1,3-benzotiazolila; e 4,5,6,7-tetrahidropirazol[1,5-a]pirazinila. 40. O composto de acordo com qualquer uma das declarações 1-10, 14-29, 37-39; ou uma composição farmacêutica de acordo com qualquer uma das declarações de 7 a 10, em que cada Z1a, é selecionado independentemente a partir do grupo consistindo de halogênio; hidroxila; sulfidrila; -OZ2; =O; -SZ2; =S; -S(O)Z2; -S(O)2Z3; -S(O)2NZ4Z5; trifluorometila; trifluorometóxi; nitro; -NZ4Z5; -NZ4S(O)2Z2; -NZ4C(O)Z2; -NZ4C(O)NZ4Z5; ciano; - C(O)Z3; -C(O)OZ2; -C(O)NZ4Z5; -C(O)H; alquila C1-6; cicloalquila C3-7; alquenila C2-6; C5-7cicloalquenila; alquinila C2-6; cicloalquinila C5-7; heteroalquila C1-6; heteroalquenila C2-6; heteroalquinila C2-6; arila C6-12; heterociclo; arilaC6-12 alquila C1-6; arila C6-12 alquenila C2-6; arila C6-12 alquinila C2-6; heteroarilaC6-12 alquila C1-6 ; heteroarilaC6-12 alquenila C2-6; heteroarilaC6-12 alquinila C2-6; heterociclo-alquila C1-6; heterociclo-alquenila C2-6; heterociclo-alquinila C2-6; heterociclo-heteroalquila C1-6, heterociclo-heteroalquenila C2-6; ou heterociclo- heteroalquinila C2-6, e em que a referida alquila C1-6, cicloalquila C3-7, alquenila C2-6, C5-7cicloalquenila, alquinila C2-6, cicloalquinila C5-7, heteroalquila C1-6, heteroalquenila C2-6, heteroalquinila C2-6, arila C6-12, heterociclo, arilaC6-12 alquila C1-6, arila C6-12 alquenila C2-6, arila C6-12 alquinila C2-6, heteroarilaC6-12 alquila C1-6 , heteroarilaC6-12 alquenila C2-6, heteroarilaC6-12 alquinila C2-6, heterociclo-alquila, heterociclo-alquenila C2-6, heterociclo-alquinila C2-6, heterociclo-heteroalquila C1-6, heterociclo-heteroalquenila C2-6, ou heterociclo- heteroalquinila C2-6 podem ser não substituídos ou substituídos com um ou mais substituintes selecionados a partir de alquila C1-6, alquenila C2-6, alquinila C2-6, heteroalquila C1-6, heteroalquenila C2-6, heteroalquinila C2-6, hidroxila, =O, halogênio, -SH, =S, trifluorometila, -OCF3, ciano, nitro, -C(O)OH NH2; ou - NZ4Z5; preferencialmente em que a referida heteroalquila C1-6 como um grupo ou parte de um grupo é selecionada a partir de -CO-O-alquilaCi-5, -O- alquila Ci-β, -NH-alquila Ci-β, -N(alquila Ci-β)2, -S(=O)2alquila Ci-β, e -S-alquila C1-6. 41. O composto de acordo com qualquer uma das declarações 1-10, 14-29, 37-40; ou uma composição farmacêutica de acordo com qualquer uma das declarações de 7 a 10, em que cada Z1b, é selecionado independentemente a partir do grupo consistindo de halogênio; hidroxila; sulfidrila; -OZ2; =O; -SZ2; =S; -S(O)Z2; -S(O)2Z3; -S(O)2NZ4Z5; trifluorometila; trifluorometóxi; nitro; -NZ4Z5; -NZ4S(O)2Z2; -NZ4C(O)Z2; -NZ4C(O)NZ4Z5; ciano; - C(O)Z3; -C(O)OZ2; -C(O)NZ4Z5; -C(O)H; alquila C1-6; cicloalquila C3-7; alquenila C2-6; C5-7cicloalquenila; alquinila C2-6; cicloalquinila C5-7; heteroalquila C1-6; heteroalquenila C2-6; heteroalquinila C2-6; arila C6-12; heterociclo; arilaC6-12 alquila C1-6; arila C6-12 alquenila C2-6; arila C6-12 alquinila C2-6; heteroarilaC6-12 alquila C1-6 ; heteroarilaC6-12 alquenila C2-6; heteroarilaC6-12 alquinila C2-6; heterociclo-alquila C1-6; heterociclo-alquenila C2-6; heterociclo-alquinila C2-6; heterociclo-heteroalquila C1-6, heterociclo-heteroalquenila C2-6; ou heterociclo- heteroalquinila C2-6, e em que a referida alquila C1-6, cicloalquila C3-7, alquenila C2-6, C5-7cicloalquenila, alquinila C2-6, cicloalquinila C5-7, heteroalquila C1-6, heteroalquenila C2-6, heteroalquinila C2-6, arila C6-12, heterociclo, arilaC6-12 alquila C1-6, arila C6-12 alquenila C2-6, arila C6-12 alquinila C2-6, heteroarilaC6-12 alquila C1-6 , heteroarilaC6-12 alquenila C2-6, heteroarilaC6-12 alquinila C2-6, heterociclo-alquila, heterociclo-alquenila C2-6, heterociclo-alquinila C2-6, heterociclo-heteroalquila C1-6, heterociclo-heteroalquenila C2-6, ou heterociclo- heteroalquinila C2-6 podem ser não substituídas ou substituídas com um ou mais substituintes selecionados a partir de alquila C1-6, alquenila C2-6, alquinila C2-6, heteroalquila C1-6, heteroalquenila C2-6, heteroalquinila C2-6, hidroxila, =O, halogênio, -SH, =S, trifluorometila, -OCF3, ciano, nitro, -C(O)OH NH2; ou - NZ4Z5; preferencialmente em que a referida heteroalquila C1-6 como um grupo ou parte de um grupo é selecionada a partir de -CO-O-alquilaCi-5, -O- alquila Ci-β, -NH-alquila Ci-β, -N(alquila Ci-β)2, -S(=O)2alquila Ci-β, e -S-alquila C1-6. 42. O composto de acordo com qualquer uma das declarações 1-10, 14-29, 37-41; ou uma composição farmacêutica de acordo com qualquer uma das declarações de 7 a 10, caracterizado pelo fato de que cada Z1c, é selecionado independentemente a partir do grupo consistindo de halogênio; hidroxila; sulfidrila; -OZ2; =O; -SZ2; =S; -S(O)Z2; -S(O)2Z3; -S(O)2NZ4Z5; trifluorometila; trifluorometóxi; nitro; -NZ4Z5; -NZ4S(O)2Z2; -NZ4C(O)Z2; - NZ4C(O)NZ4Z5; ciano; -C(O)Z3; -C(O)OZ2; -C(O)NZ4Z5; -C(O)H; alquila C1-6; cicloalquila C3-7; alquenila C2-6; C5-7cicloalquenila; alquinila C2-6; cicloalquinila C5-7; heteroalquila C1-6; heteroalquenila C2-6; heteroalquinila C2-6; arila C6-12; heterociclo; arilaC6-12 alquila C1-6; arila C6-12 alquenila C2-6; arila C6-12 alquinila C2-6; heteroarilaC6-12 alquila C1-6 ; heteroarilaC6-12 alquenila C2-6; heteroarilaC6-12 alquinila C2-6; heterociclo-alquila C1-6; heterociclo-alquenila C2-6; heterociclo- alquinila C2-6; heterociclo-heteroalquila C1-6, heterociclo-heteroalquenila C2-6; ou heterociclo-heteroalquinila C2-6, e em que a referida alquila C1-6, cicloalquila C37, alquenila C2-6, C5-7cicloalquenila, alquinila C2-6, cicloalquinila C5-7, heteroalquila C1-6, heteroalquenila C2-6, heteroalquinila C2-6, arila C6-12, heterociclo, arilaC6-12 alquila C1-6, arila C6-12 alquenila C2-6, arila C6-12 alquinila C2-6, heteroarilaC6-12 alquila C1-6 , heteroarilaC6-12 alquenila C2-6, heteroarilaC6-12 alquinila C2-6, heterociclo-alquila, heterociclo-alquenila C2-6, heterociclo-alquinila C2-6, heterociclo-heteroalquila C1-6, heterociclo-heteroalquenila C2-6, ou heterociclo-heteroalquinila C2-6 podem ser não substituídas ou substituídas com um ou mais substituintes selecionados a partir de alquila C1-6, alquenila C2-6, alquinila C2-6, heteroalquila C1-6, heteroalquenila C2-6, heteroalquinila C2-6, hidroxila, =O, halogênio, -SH, =S, trifluorometila, -OCF3, ciano, nitro, -C(O)OH NH2; ou -NZ4Z5; preferencialmente em que a referida heteroalquila C1-6 como um grupo ou parte de um grupo é selecionada a partir de -CO-O-alquilaCi-5, -O- alquila Ci-β, -NH-alquila Ci-β, -N(alquila Ci-β)2, -S(=O)2alquila Ci-β, e -S-alquila C1-6. 43. O composto de acordo com qualquer uma das declarações 1-10, 14-29, 37-42; ou uma composição farmacêutica de acordo com qualquer uma das declarações de 7 a 10, caracterizados pelo fato de que, o ciclo A é selecionado a partir do grupo consistindo de cicloalquila C3-7; C5-7cicloalquenila; cicloalquinila C5-7; arila C6-12; e heterociclo; em que a referida cicloalquila C3-7, C5-7cicloalquenila, cicloalquinila C5-7, arila C6-12 e heterociclo, podem ser não substituídos ou substituídos com um ou mais substituintes selecionados a partir de alquila C1-6, cicloalquila C3-7, alquenila C2-6, C5-7cicloalquenila, alquinila C2-6, cicloalquinila C5-7, heteroalquila C1-6, heteroalquenila C2-6, heteroalquinila C2-6, hidroxila, =O, halogênio, -SH, =S, trifluorometila, -OCF3, ciano, nitro, -C(O)OH, -NH2, NH(alquila C1-6), ou N(alquila C1-6)2; preferencialmente em que a referida heteroalquila C1-6 como um grupo ou parte de um grupo é selecionada a partir de -CO-O-alquilaC1-5, -O-alquila C1-6, -NH-alquila C1-6, -N(alquila C1-6)2, -S(=O)2alquila C1-6, e -S-C1-6alquila. 44. O composto de acordo com qualquer uma das declarações 1- 10, 14-29, 37-43; ou uma composição farmacêutica de acordo com qualquer uma das declarações de 7 a 10, caracterizados pelo fato de que o ciclo A é


em que a linha ondulada (—) indica o ponto de ligação ao átomo do ciclo C, e em que os ciclos ilustrados podem ser opcionalmente substituídos com um, dois, ou três substituintes selecionados a partir de alquila, cicloalquila, alquenila, cicloalquenila, alquinila, cicloalquinila, heteroalquila, heteroalquenila, heteroalquinila, hidroxila, =O, halogênio, -SH, =S, trifluorometila, -OCF3, ciano, nitro, -C(O)OH, NH2, NH(alquil), ou N(alquil)2; preferencialmente em que a referida heteroalquila C1-6 como um grupo ou parte de um grupo é selecionada a partir de -CO-O-alquilaCi-5, -O-alquilaCi-6, -NH-alquilaCi-6, -N(alquila Ci-e)2, - S(=O)2alquilaCi-6, e -S-alquilaC1-6. 45. O composto de acordo com qualquer uma das declarações i-i0, 14-29, 37-43; ou uma composição farmacêutica de acordo com qualquer uma das declarações de 7 a 10, caracterizados pelo fato de que o ciclo A é selecionado a partir do grupo compreendendo não substituído ou substituído com um ou mais substituintes (por exemplo, um, dois ou três substituintes) fenila; pirazolila; pirimidinila; piridinila; tiofenila; isoxazolila; benzotiazolila; furanila; 1,3-benzoxazolila; pirazinila; 2,3-dihidrobenzo[b]furanila; indolila; ciclopropila; ciclopentila; ciclohexila; piperidinila; tetrahidropiranila; em que o referido substituinte pode ser (cada um) independentemente selecionado a partir de alquila C1-6, cicloalquila C3-7, alquenila C2-6, C5-7cicloalquenila, alquinila C2-6, cicloalquinila C5-7, heteroalquila C1-6, heteroalquenila C2-6, heteroalquinila C2-6, hidroxila, =O, halogênio, -SH, =S, trifluorometila, -OCF3, ciano, nitro, -C(O)OH, -NH2, NH(alquil), ou N(alquil)2; preferencialmente em que a referida heteroalquila C1-6 como um grupo ou parte de um grupo é selecionada a partir de -CO-O-alquilaCi-5, -O-alquila Ci-6, -NH-alquila Ci-6, -N(alquila Ci-6)2, -S(=O)2alquila Ci-6, e -S-Ci-6alquila. 46. O composto de acordo com qualquer uma das declarações 1-10, 14-29, 37-45; ou uma composição farmacêutica de acordo com qualquer uma das declarações de 7 e 10, caracterizados pelo fato de que - R1 é selecionado a partir de cicloalquila C3-7; arila C6-12; heterociclo; arilaC6-12 alquila C1-6; heterociclo-alquila C1-6; heteroarilaC6-12 alquila C1-6 ; heterociclo-heteroalquila C1-6; e em que a referida cicloalquila C3-7; arila C6-12, heterociclo, arilaC6-12 alquila C1-6, heterociclo-alquila C1-6, heteroarilaC6-12 alquila C1-6, heterociclo-heteroalquila C1-6, podem ser não substituídos ou substituídos com um ou mais Z1b; - cada Z1b é selecionado independentemente a partir do grupo consistindo de halogênio, hidroxila, sulfidrila, -OZ2, -O-C(=O)Z3, =O, -SZ2, =S, - S(=O)Z2, -S(=O)2Z3, -S(=O)2NZ4Z5, trifluorometila, trifluorometóxi, nitro, -NZ4Z5, -NZ4S(=O)2Z2, -NZ4C(=O)Z2, -NZ4C(=O)-OZ2, -NZ4C(=O)NZ4Z5, ciano, - C(=O)Z3, -C(=O)OZ2, -C(=O)NZ4Z5, -C(=O)H, alquila C1-6, heteroalquila C1-6, arila C6-12, heterociclo, arilaC6-12 alquila C1-6, heteroarilaC6-12 alquila C1-6, heterociclo-alquila C1-6, e heterociclo-heteroalquila C1-6, preferencialmente cada Z1b é selecionado independentemente a partir do grupo consistindo de halogênio, hidroxila, sulfidrila, -OZ2, -O-C(=O)Z3, =O, -SZ2, =S, -S(=O)Z2, - S(=O)2Z3, -S(=O)2NZ4Z5, trifluorometila, trifluorometóxi, nitro, -NZ4Z5, - NZ4S(=O)2Z2, -NZ4C(=O)Z2, -NZ4C(=O)2Z2, -NZ4C(=O)NZ4Z5, ciano, -C(=O)Z3, - C(=O)OZ2, -C(=O)NZ4Z5, -C(=O)H, alquila C1-6, heteroalquila C1-6, arila C6-12, heterociclo, e heterociclo-alquila C1-6; mais preferencialmente cada Z1b é selecionado independentemente a partir do grupo consistindo de halogênio, hidroxila, -OZ2, -O-C(=O)Z3, =O, -S(=O)2Z3, -S(=O)2NZ4Z5, trifluorometila, trifluorometóxi, -NZ4Z5, -NZ4C(=O)Z2, -NZ4C(=O)-OZ2, ciano, -C(=O)Z3, - C(=O)OZ2, -C(=O)NZ4Z5, alquila C1-6, heteroalquila C1-6, arila C6-12, heterociclo, e heterociclo-alquila C1-6; e em que a referida alquila C1-6, heteroalquila C1-6, arila C6-12, heterociclo, arilaC6-12 alquila C1-6, heteroarilaC6-12 alquila C1-6, heterociclo- alquila C1-6, e heterociclo-heteroalquila C1-6, são opcionalmente substituídos com um, dois, ou três substituintes selecionados a partir de alquila C1-6, heteroalquila C1-6, hidroxila, =O, halogênio, -SH, =S, trifluorometila, -OCF3, -O- C(O)Me, ciano, nitro, -C(O)OH, -C(O)Oalquila C1-6, -NH2, -NHCH3; -N(CH3)2, - NH-C(=O)O-alquilaCi-4, morfolinila, -S(O)2alquilaCi-4, e -O-alquila Ci-β; preferencialmente a referida alquila C1-6, heteroalquila C1-6, arila C6-12, heterociclo, e heterociclo-alquila Ci-β, são opcionalmente substituídos com um, dois, ou três substituintes selecionados a partir de hidroxila, =O, halogênio, - SH, =S, trifluorometila, -OCF3, -O-C(O)Me, ciano, nitro, -C(O)OH, -C(O)Oalquila Ci-β, -NH2, -NHCH3; -N(CH3)2, -NH-C(=O)O-alquilaCi-4, morfolinila, - S(O)2alquilaCi-4, e -O-alquila Ci-β; mais preferencialmente a referida alquila Ci- β, arila Cβ-i2, e heterociclo são opcionalmente substituídos com um, dois, ou três substituintes selecionados a partir de hidroxila, =O, -O-C(O)Me, ciano, - C(O)OH, -C(O)Oalquila Ci-β, -NH2, -NHCH3; -N(CH3)2, -NH-C(=O)O-alquilaCi-4, morfolinila, -S(O)2alquilaCi-4, e -O-Ci-βalquila. 47. O composto de acordo com qualquer uma das declarações i- i0, i4-29, 37-4β; ou uma composição farmacêutica de acordo com qualquer uma das declarações de 7 e i0, caracterizados pelo fato de que - Ri é selecionado a partir de cicloalquila C3-7; arila Cβ-i2; heterociclo; arilaCβ-i2 alquila Ci-β; heterociclo-alquila Ci-β; Cβ-i2aril-O-Ci-βalquil-; heterociclo-O-Ci-βalquil-; e em que a referida cicloalquila C3-7; arila Cβ-i2, heterociclo, Cβ- i2arilCi-βalquil-, heterociclo-Ci-βalquil-, Cβ-i2aril-O-Ci-βalquil-, heterociclo-O-Ci- βalquil-, podem ser não substituídos ou substituídos com um ou mais Zib; - cada Zib é selecionado independentemente a partir do grupo consistindo de halogênio, hidroxila, sulfidrila, -OZ2, -O-C(=O)Z3, =O, -SZ2, =S, - S(=O)Z2, -S(=O)2Z3, -S(=O)2NZ4Z5, trifluorometila, trifluorometóxi, nitro, -NZ4Z5, -NZ4S(=O)2Z2, -NZ4C(=O)Z2, -NZ4C(=O)-OZ2, -NZ4C(=O)NZ4Z5, ciano, - C(=O)Z3, -C(=O)OZ2, -C(=O)NZ4Z5, -C(=O)H, alquila C1-6, heteroalquila C1-6, arila C6-12, heterociclo, arilaC6-12 alquila C1-6, C6-12arilO-C1-6alquil-, heterociclo- alquila C1-6, e heterociclo-O-C1-6alquil-, preferencialmente cada Z1b é selecionado independentemente a partir do grupo consistindo de halogênio, hidroxila, sulfidrila, -OZ2, -O-C(=O)Z3, =O, -SZ2, =S, -S(=O)Z2, -S(=O)2Z3, - S(=O)2NZ4Z5, trifluorometila, trifluorometóxi, nitro, -NZ4Z5, -NZ4S(=O)2Z2, - NZ4C(=O)Z2, -NZ4C(=O)2Z2, -NZ4C(=O)NZ4Z5, ciano, -C(=O)Z3, -C(=O)OZ2, - C(=O)NZ4Z5, -C(=O)H, alquila C1-6, heteroalquila C1-6, arila C6-12, heterociclo, e heterociclo-alquila C1-6; mais preferencialmente cada Z1b é selecionado independentemente a partir do grupo consistindo de halogênio, hidroxila, -OZ2, -O-C(=O)Z3, =O, -S(=O)2Z3, -S(=O)2NZ4Z5, trifluorometila, trifluorometóxi, - NZ4Z5, -NZ4C(=O)Z2, -NZ4C(=O)-OZ2, ciano, -C(=O)Z3, -C(=O)OZ2, - C(=O)NZ4Z5, alquila C1-6, heteroalquila C1-6, arila C6-12, heterociclo, e heterociclo-alquila C1-6; e em que a referida alquila C1-6, heteroalquila C1-6, arila C6-12, heterociclo, arilaC6-12 alquila C1-6, C6-12aril-O-C1-6alquil-, heterociclo-alquila C1-6, e heterociclo-O-C1-6alquil-, são opcionalmente substituídos com um, dois, ou três substituintes selecionados a partir de alquila C1-6, heteroalquila C1-6, hidroxila, =O, halogênio, -SH, =S, trifluorometila, -OCF3, -O-C(O)Me, ciano, nitro, -C(O)OH, - C(O)Oalquila C1-6, -NH2, -NHCH3; -N(CH3)2, -NH-C(=O)O-alquilaC1-4, morfolinila, - S(O)2alquilaCi-4, e -O-alquila Ci-β; preferencialmente a referida alquila Ci-β, heteroalquila C1-6, arila C6-12, heterociclo, e heterociclo-alquila C1-6, são opcionalmente substituídos com um, dois, ou três substituintes selecionados a partir de hidroxila, =O, halogênio, -SH, =S, trifluorometila, -OCF3, -O-C(O)Me, ciano, nitro, -C(O)OH, -C(O)Oalquila Ci-β, -NH2, -NHCH3; -N(CH3)2, -NH-C(=O)O-alquilaCi-4, morfolinila, -S(O)2alquilaCi-4, e -O-alquila Ci-β; mais preferencialmente a referida alquila C1-6, arila C6-12, e heterociclo são opcionalmente substituídos com um, dois, ou três substituintes selecionados a partir de hidroxila, =O, -O-C(O)Me, ciano, - C(O)OH, -C(O)Oalquila C1-6, -NH2, -NHCH3; -N(CH3)2, -NH-C(=O)O-alquilaC1-4, morfolinila, -S(O)2alquilaCi-4, e -O-Ci-6alquila. 48. O composto de acordo com qualquer uma das declarações 1- i0, i4-29, 37-47; ou uma composição farmacêutica de acordo com qualquer uma das declarações de 7 a i0, caracterizados pelo fato de que a referida heteroalquila como um grupo ou parte de um grupo é selecionado a partir de - CO-O-alquila, -O-alquila, -NH-alquila, -N(alquil)2, -S(=O)2alquila, e -S-alquila. 49. O composto de acordo com qualquer uma das declarações i-i0, i4-29, 37-48; ou uma composição farmacêutica de acordo com qualquer uma das declarações de 7 a i0, em que a referida heteroalquila Ci-6 como um grupo ou parte de um grupo é selecionada a partir de -CO-O-alquilaCi-5, -O-alquila Ci-6, -NH- alquila Ci-6, -N(alquila Ci-6)2, -S(=O)2alquila Ci-6, e -S-Ci-6alquila.
[0016] Um exemplo de realização específico da invenção é o fornecimento de novos compostos de fórmula geral (Bi), (B2) e (B3),
(Bi) (B2) (B3) em que cada um dentre Xi, X2, X3, X4, o ciclo A, ciclo B, Ri, R2, R3, R4, R5, R9, Wi, p e q são conforme descrito no presente para a Fórmula (A) e exemplos de realização descritos no presente; e isômeros (particularmente estereoisômeros ou tautômeros), solvatos, sais (particularmente sais farmaceuticamente aceitáveis) ou pró- fármacos destes.
[0017] Em outro exemplo de realização específico, os compostos possuem uma estrutura de acordo com a fórmula (A), em que o ciclo C é selecionado a partir dos seguintes grupos de ciclos
o ciclo A, ciclo B, R1, R2, R3, R4, R5, R9, R12, R13, R14, R15, R16, R17, R32, R32a e R33 são conforme descrito para a Fórmula (A) e exemplos de realização descritos no presente; e isômeros (particularmente estereoisômeros ou tautômeros), solvatos, sais (particularmente sais farmaceuticamente aceitáveis) ou pró- fármacos destes.
[0018] Ainda em outro exemplo de realização específico, os compostos possuem uma estrutura de acordo com a fórmula (A), em que o
em que cada um dentre o ciclo A, ciclo B, R1, R2, R3, R4, R5, R9, R12, R13, R14, R15, R16, R17, R32, R32a e R33 são conforme descrito para a Fórmula (A) e exemplos de realização descritos no presente; e isômeros (particularmente estereoisômeros ou tautômeros), solvatos, sais (particularmente sais farmaceuticamente aceitáveis) ou pró-fármacos destes.
[0019] Em outro exemplo de realização, X1 é C.
[0020] Em outro exemplo de realização específico, X2 é selecionado a partir de CR12; NR13; e N.
[0021] Em um exemplo de realização específico, R12 é selecionado a partir de hidrogênio; halogênio; trifluorometila; ciano; alquila e cicloalquila. Em um exemplo de realização mais específico, R12 é selecionado a partir de hidrogênio; halogênio; trifluorometila; ciano; alquila C1-6 e cicloalquila C3-7. Em um exemplo de realização mais específico, R12 é selecionado a partir de hidrogênio; F; Cl; trifluorometila; ciano; e alquila C1-3.
[0022] Em um exemplo de realização específico, R13 é selecionado a partir de hidrogênio; alquila; e cicloalquila. Em um exemplo de realização mais específico, R13 é selecionado a partir de hidrogênio; alquila C1-6 e cicloalquila C3-7. Em um exemplo de realização mais específico, R13 é selecionado a partir de hidrogênio; e alquila C1-3; mais particularmente hidrogênio e metila.
[0023] Em outro exemplo de realização específico, X3 é selecionado a partir de CR14, NR15; e N.
[0024] Em um exemplo de realização específico, R14 é selecionado a partir de hidrogênio; halogênio; trifluorometila; ciano; alquila e cicloalquila. Em um exemplo de realização mais específico, R14 é selecionado a partir de hidrogênio; halogênio; trifluorometila; ciano; alquila C1-6 e cicloalquila C3-7. Em um exemplo de realização mais específico, R14 é selecionado a partir de hidrogênio; F; Cl; trifluorometila; ciano; e alquila C1-3.
[0025] Em um exemplo de realização específico, R15 é selecionado a partir de hidrogênio; alquila; e cicloalquila. Em um exemplo de realização mais específico, R15 é selecionado a partir de hidrogênio; alquila C1-6 e cicloalquila C3-7. Em um exemplo de realização mais específico, R15 é selecionado a partir de hidrogênio; e alquila C1-3; mais particularmente selecionados a partir de hidrogênio e metila.
[0026] Em outro exemplo de realização específico, X4 é selecionado a partir de CR16, NR17; e N.
[0027] Em um exemplo de realização específico, R16 é selecionado a partir de hidrogênio; halogênio; trifluorometila; ciano; alquila e cicloalquila. Em um exemplo de realização mais específico, R16 é selecionado a partir de hidrogênio; halogênio; trifluorometila; ciano; alquila C1-6 e cicloalquila C3-7. Em um exemplo de realização mais específico, R16 é selecionado a partir de hidrogênio; F; Cl; trifluorometila; ciano; e alquila C1-3.
[0028] Em um exemplo de realização específico, R17 é selecionado a partir de hidrogênio; alquila; e cicloalquila. Em um exemplo de realização mais específico, R17 é selecionado a partir de hidrogênio; alquila C1-6 e cicloalquila C3-7. Em um exemplo de realização mais específico, R17 é selecionado a partir de hidrogênio; e alquila C1-3; mais particularmente selecionados a partir de hidrogênio e metila.
[0029] Em um exemplo de realização específico, R3 é selecionado a partir de hidrogênio; alquila; heteroalquila; e =O. Em um exemplo de realização mais específico, R3 é selecionado a partir de hidrogênio e alquila; mais particularmente a partir de hidrogênio e alquila C1-6; ainda mais particularmente a partir de hidrogênio e alquila C1-3; ainda mais particularmente a partir de hidrogênio e metila. Em um exemplo de realização específico, R3 é selecionado a partir de hidrogênio; alquilaC1-4; alcóxi C1-4 carbonila; aminocarbonila; alquilaminocarbonila C1-4; di(C1-4alquil)aminocarbonila; ou hidroximetila.
[0030] Em um exemplo de realização específico, cada R4 e R5 é selecionado independentemente a partir de hidrogênio; halogênio; hidroxila; sulfidrila; trifluorometila; trifluorometóxi; ciano; alquila; alquenila; alquinila; heteroalquila; heteroalquenila; e heteroalquinila. Em um exemplo de realização mais específico, cada R4 e R5 é selecionado independentemente a partir de hidrogênio; halogênio; e alquila. Em um exemplo de realização mais específico, cada R4 e R5 são selecionados independentemente a partir de hidrogênio; F; Cl; e alquila C1-6 (mais particularmente alquila C1-3, mais particularmente metila). Em um exemplo de realização mais específico, pelo menos um dentre R4 e R5 é hidrogênio. Em um exemplo de realização específico, cada R4 e R5 são selecionados independentemente a partir de hidrogênio; halogênio; alquilaC1-4; alcóxi C1-4 ; ciano; hidroxi; C1-4alquiltio; trifluorometila; amina; alquilaC1-4mino; di(C1-4alquil)amina; carboxi; alcóxi C1-4 carbonila; C1-4alquilsulfonila; alcóxi C1-4 carbonilamina; trifluorometanosulfonila; trifluorometóxi; e hidroxialquilaC1-4; desde que um dentre R4 e R5 seja hidrogênio.
[0031] Em um exemplo de realização específico, R9 é selecionado a partir de hidrogênio; alquila; heteroalquila; e =O. Em um exemplo de realização mais específico, R9 é selecionado a partir de hidrogênio e alquila; mais particularmente a partir de hidrogênio e alquila C1-6; ainda mais particularmente a partir de hidrogênio e alquila C1-3; ainda mais particularmente a partir de hidrogênio e metila.
[0032] Em um exemplo de realização específico, W1 é selcionado a partir de CR32R32a e NR33. Em outro exemplo de realização específico, W1 é selecionado a partir de CHR32a e NR33. Em outro exemplo de realização específico, W1 é selecionado a partir de CH2 e NH.
[0033] Em um exemplo de realização específico, cada R32 e R32a são selecionados independentemente a partir de hidrogênio; halogênio; hidroxila; sulfidrila; trifluorometila; trifluorometóxi; ciano; alquila; alquenila; alquinila; heteroalquila; heteroalquenila; e heteroalquinila.
[0034] Em um exemplo de realização específico, está previsto que um dentre R32 ou R32a é hidrogênio, exceto pelo fato de que R32 ou R32a podem ser alquila ao mesmo tempo.
[0035] Em um exemplo de realização mais específico, cada R32 e R32a são selecionados independentemente a partir de hidrogênio; halogênio; e alquila. Em um exemplo de realização mais específico, cada R32 e R32a são selecionados independentemente a partir de hidrogênio; F; Cl; e alquila C1-6 (mais particularmente alquila C1-3, mais particularmente metila). Em um exemplo de realização mais específico, pelo menos um dentre R32 e R32a é hidrogênio.
[0036] Em um exemplo de realização específico, R33 é selecionado independentemente a partir de hidrogênio e alquila. Em um exemplo de realização específico, R33 é selecionado independentemente a partir de hidrogênio e alquila C1-6 (mais particularmente alquila C1-3, mais particularmente metila).
[0037] Em um exemplo de realização específico, p e q são 1.
[0038] Ainda em outro exemplo de realização específico, os compostos possuem uma estrutura de acordo com a fórmula (C1), (C2), (C3),
em que cada um dentre o ciclo A, ciclo B, R1, R2, R3, R9, e R15, são conforme descrito para a Fórmula (A) e exemplos de realização descritos no presente; e isômeros (particularmente estereoisômeros ou tautômeros), solvatos, sais (particularmente sais farmaceuticamente aceitáveis) ou pró- fármacos destes.
[0039] Ainda em outro exemplo de realização específico, os estrutura de acordo com a fórmula (D1), (D2), (D3),
em que cada um dentre o ciclo A, ciclo B, R1, R2, R3, R9, e R15, são conforme descrito para a Fórmula (A) e exemplos de realização descritos no presente; e isômeros (particularmente estereoisômeros ou tautômeros), solvatos, sais (particularmente sais farmaceuticamente aceitáveis) ou pró- fármacos destes.
[0040] Em um exemplo de realização específico, o ciclo A é selecionado a partir do grupo consistindo de cicloalquila; cicloalquenila; cicloalquinila; arila; e heterociclo; em que a referida cicloalquila, cicloalquenila, cicloalquinila, arila e heterociclo, podem ser não substituídas ou substituídas com um, dois ou três substituintes (mais particularmente um ou dois substituintes) selecionados a partir de alquila, cicloalquila, alquenila, cicloalquenila, alquinila, cicloalquinila, heteroalquila, heteroalquenila, heteroalquinila, hidroxila, =O, halogênio, -SH, =S, trifluorometila, -OCF3, ciano, nitro, -C(O)OH , NH2, NH(alquil), ou N(alquil)2. Em outro exemplo de realização específico, o ciclo A é selecionado a partir do grupo consistindo de arila; e heterociclo (mais particularmente heteroaril); em que a referida arila e heterociclo (mais particularmente heteroaril), podem ser não substituídas ou substituídas com um, dois ou três substituintes (mais particularmente um ou dois substituintes) selecionados a partir de alquila, cicloalquila, alquenila, cicloalquenila, alquinila, cicloalquinila, heteroalquila, heteroalquenila, heteroalquinila, hidroxila, =O, halogênio, -SH, =S, trifluorometila, - OCF3, ciano, nitro, -C(O)OH , NH2, NH(alquil), ou N(alquil)2.

em que a linha ondulada (~~) indica o ponto de ligação ao átomo do ciclo C, e em que os ciclos ilustrados podem ser opcionalmente substituídos com um, dois, ou três substituintes selecionados a partir de alquila, cicloalquila, alquenila, cicloalquenila, alquinila, cicloalquinila, heteroalquila, heteroalquenila, heteroalquinila, hidroxila, =O, halogênio, -SH, =S, trifluorometila, -OCF3, ciano, nitro, -C(O)OH, , NH2, NH(alquil), ou N(alquil)2. Em outro exemplo de realização específico, o ciclo A é selecionado a partir de arila; e heteroarila selecionados a
em que a linha ondulada (~~) indica o ponto de ligação ao átomo do ciclo C, e em que os ciclos ilustrados podem ser opcionalmente substituídos com um, dois, ou três substituintes selecionados a partir de alquila, cicloalquila,

em que a linha ondulada (~~) indica o ponto de ligação ao átomo do ciclo C, e em que os ciclos ilustrados podem ser opcionalmente substituídos com um, dois, ou três substituintes selecionados a partir de alquila, cicloalquila, alquenila, cicloalquenila, alquinila, cicloalquinila, heteroalquila, heteroalquenila, heteroalquinila, hidroxila, =O, halogênio, -SH, =S, trifluorometila, -OCF3, ciano, nitro, -C(O)OH, , NH2, NH(alquil), ou N(alquil)2. Ainda em outro exemplo de realização específico, o ciclo A é selecionado a partir de fenila opcionalmente substituído com um, dois, ou três substituintes selecionados a partir de alquila, cicloalquila, alquenila, cicloalquenila, alquinila, cicloalquinila, heteroalquila, heteroalquenila, heteroalquinila, hidroxila, halogênio, -SH, trifluorometila, -OCF3, ciano, nitro, - C(O)OH, NH2, NH(alquil), ou N(alquil)2. Ainda em outro exemplo de realização específico, o ciclo A é fenila opcionalmente substituído com um, dois, ou três substituintes selecionados a partir de alquila, alquenila, alquinila, heteroalquila, heteroalquenila, heteroalquinila, hidroxila, halogênio, -SH, trifluorometila, -OCF3, ciano, nitro, -C(O)OH, NH2, NH(alquil), ou N(alquil)2. Ainda em outro exemplo de realização específico, o ciclo A é fenila opcionalmente substituído com um, dois, ou três substituintes selecionados a partir de alquila, alcóxi, halogênio, trifluorometila, -OCF3, ou ciano. Em um exemplo de realização específico, os ciclo abrangidos pelo ciclo A são substituídos ou não substituídos um, dois ou três substituintes (mais particularmente um ou dois substituintes) selecionados a partir de alquila C1-6, cicloalquila C3-7, alquenila C2-6, C3-7cicloalquenila, C3-6alquinila, C3- 7cicloalquinila, C1-6heteroalquila, C2-6heteroalquenila, C3-6heteroalquinila, hidroxila, =O, halogênio, -SH, =S, trifluorometila, -OCF3, ciano, nitro, -C(O)OH , NH2, NH(alquil), ou N(alquil)2.
[0041] Em outro exemplo de realização específico, ciclo B é selecionado a partir de substituído ou não substituído com um ou mais Z1a (particularmente um, dois ou três Z1a) fenila; piridil, piridazinila, pirimidinila, pirazinila, triazinila, oxazolila, imidazolila, tiazolila, isoxazolila, pirazolila, isotiazolila, furila, tienila, pirrolila, benzofuranila, indolila, quinolinila, isoquinolinila, benzimidazolila, piridinimidazolila, piridinpirolila, pirazolpiridinila, benzpirolila, triazinila, purinila, quinoxalinila, quinazolinila, dihidroimidazo- oxazinila e pteridinila. Ainda em outro exemplo de realização específico, ciclo B é selecionado a partir de substituído ou não substituído com um ou mais Z1a (particularmente um, dois ou três Z1a) fenila; e piridila. Em outro exemplo de realização específico, ciclo B é um heterociclo que pode ser não substituído ou substituído com um ou mais Z1a (particularmente um, dois ou três Z1a). Em outro exemplo de realização específico, ciclo B é selecionado a partir de substituído ou não substituído com um ou mais Z1a (particularmente um, dois ou três Z1a) arila e heteroarila. Em um exemplo de realização mais específico ciclo B é uma heteroarila que pode ser substituída ou não substituída com um ou mais Z1a (particularmente um, dois ou três Z1a). Em um exemplo de realização ainda mais específico, ciclo B é selecionado a partir de substituído ou não substituído com um ou mais Z1a (particularmente um, dois ou três Z1a) piridil, piridazinila, pirimidinila, pirazinila, triazinila, oxazolila, imidazolila, tiazolila, isoxazolila, pirazolila, isotiazolila, furila, tienila, pirrolila, benzofuranila, indolila, quinolinila, isoquinolinila, benzimidazolila, piridinimidazolila, piridinpirolila, pirazolpiridinila, benzpirolila, triazinila, purinila, quinoxalinila, quinazolinila, e pteridinila. Em um exemplo de realização ainda mais específico, ciclo B é selecionado a partir de substituído ou não substituído com um ou mais Z1a (particularmente um, dois ou três Z1a) piridil, pirazinila, pirimidil, imidazolila, isoxazolila, pirazolila, furila, tienila, isoquinolinila, benzimidazolila, piridinimidazolila, benzopirolila, pirazolpiridinila e quinoxalinila. Em um exemplo de realização específico, ciclo B não é uma fenila não substituída.
[0042] Em um exemplo de realização específico, ciclo B é selecionado a partir de arila e heterociclo, em que a referida arila e heterociclo são opcionalmente substituídos com um, dois, ou três Z1a; preferencialmente
em que a linha ondulada (—) indica o ponto de ligação ao átomo de carbono da Fórmula principal (A), e em que os ciclos ilustrados podem ser opcionalmente substituídos com um, dois, ou três Z1a;
[0043] Em outro exemplo de realização, R2 é selecionado a partir de hidrogênio e não substituído ou substituído com um ou mais Z1c (particularmente um ou dois Z1c) alquila. Em outro exemplo de realização específico, R2 é selecionado a partir de hidrogênio e alquila (mais particularmente C1-3alquil). Ainda em outro exemplo de realização específico, R2 é selecionado a partir de hidrogênio, metila, etila, e propila.
[0044] Em outro exemplo de realização, R1 é selecionado a partir de arila; heterociclo; arilalquila; arilalquenila; arilalquinila; heterociclo-alquila; heterociclo-alquenila; heterociclo-alquinila; arilheteroalquila; arilheteroalquenila; arilheteroalquinila; heterociclo-heteroalquila; heterociclo-heteroalquenila; heterociclo-heteroalquinila; e em que a referida arila, heterociclo, arilalquila, arilalquenila, arilalquinila, heterociclo-alquila, heterociclo-alquenila, heterociclo- alquinila, arilheteroalquila, arilheteroalquenila, arilheteroalquinila, heterociclo- heteroalquila, heterociclo-heteroalquenila e heterociclo-heteroalquinila podem ser não substituídos ou substituídos com um ou mais Z1b (particularmente um, dois ou três Z1b). Em outro exemplo de realização, R1 é selecionado a partir de arila; heterociclo; W-arila; e W-heterociclo; em que a referida arila, heterociclo, W-arila, e W-heterociclo podem ser não substituídos ou substituídos com um ou mais Z1b (particularmente um, dois ou três Z1b); e em que W é selecionado a partir de alquila C1-3, C1-3alquenila, C1-3alquinila, C1-3 heteroalquila, C1-3 heteroalquenila e C1-3 heteroalquinila. Em outro exemplo de realização específico, R1 é selecionado a partir de arila; heterociclo; W-arila; e W- heterociclo; em que a referida arila, heterociclo, W-arila, e W-heterociclo podem ser não substituídos ou substituídos com um ou mais Z1b (particularmente um, dois ou três Z1b); e em que W é selecionado a partir de alquila C1-3. Ainda em outro exemplo de realização específico, R1 é selecionado a partir de arila; heterociclo; -CH2-arila; e -CH2-heterociclo; em que a referida arila, heterociclo, -CH2-arila e -CH2-heterociclo podem ser não substituídos ou substituídos com um ou mais Z1b (particularmente um, dois ou três Z1b). Em outro exemplo de realização, R1 é selecionado a partir de arila; e heterociclo; em que a referida arila e heterociclo podem ser não substituídos ou substituídos com um ou mais Z1b (particularmente um, dois ou três Z1b). Em um exemplo de realização mais específico, R1 é selecionado a partir de fenila e piridil, não substituído ou substituído com um ou mais Z1b (particularmente um, dois ou três Z1b). Em um exemplo de realização ainda mais específico, R1 é selecionado a partir de

(particularmente um, dois ou três Z1b).
[0045] Em um exemplo de realização específico, cada Z1a, Z1b, e Z1c são selecionados independentemente a partir do grupo consistindo de halogênio, hidroxila, sulfidrila, -OZ2, -O-C(=O)Z3, =O, -SZ2, =S, -S(=O)Z2, - S(=O)2Z3, -S(=O)2NZ4Z5, trifluorometila, trifluorometóxi, nitro, -NZ4Z5, - NZ4S(=O)2Z2, -NZ4C(=O)Z2, -NZ4C(=O)-OZ2, -NZ4C(=O)NZ4Z5, ciano, -C(=O)Z3, -C(=O)OZ2, -C(=O)NZ4Z5, -C(=O)H, alquila C1-6, cicloalquila C3-7, alquenila C2-6, C3-7cicloalquenila, alquinila C2-6, C3-7cicloalquinila, heteroalquila C1-6, heteroalquenila C2-6, heteroalquinila C2-6, arila, heterociclo, arilalquila C1-6, arilalquenila C2-6, arilalquinila C2-6, arilheteroalquila C1-6, arilheteroalquenila C2-6, arilheteroalquinila C2-6, heterociclo-alquila C1-6, heterociclo-alquenila C2-6, heterociclo-alquinila C2-6, heterociclo-heteroalquila C1-6, heterociclo- heteroalquenila C2-6, e heterociclo-heteroalquinila C2-6; preferencialmente cada Z1a, Z1b, e Z1c são selecionados independentemente a partir do grupo consistindo de halogênio, hidroxila, sulfidrila, -OZ2, -O-C(=O)Z3, =O, -SZ2, =S, - S(=O)Z2, -S(=O)2Z3, -S(=O)2NZ4Z5, trifluorometila, trifluorometóxi, nitro, -NZ4Z5, -NZ4S(=O)2Z2, -NZ4C(=O)Z2, -NZ4C(=O)2Z2, -NZ4C(=O)NZ4Z5, ciano, -C(=O)Z3, -C(=O)OZ2, -C(=O)NZ4Z5, -C(=O)H, alquila C1-6, heteroalquila C1-6, arila, heterociclo, e heterociclo-alquila C1-6; mais preferencialmente cada Z1, Z1a, Z1b, e Z1c são selecionados independentemente a partir do grupo consistindo de halogênio, hidroxila, -OZ2, -O-C(=O)Z3, =O, -S(=O)2Z3, -S(=O)2NZ4Z5, trifluorometila, trifluorometóxi, -NZ4Z5, -NZ4C(=O)Z2, -NZ4C(=O)-OZ2, ciano, - C(=O)Z3, -C(=O)OZ2, -C(=O)NZ4Z5, alquila C1-6, heteroalquila C1-6, arila, heterociclo, e heterociclo-alquila C1-6; e em que a referida alquila C1-6, cicloalquila C3-7, alquenila C2-6, C3-7cicloalquenila, alquinila C2-6, C3-7cicloalquinila, heteroalquila C1-6, heteroalquenila C2-6, heteroalquinila C2-6, arila, heterociclo, arilalquila C1-6, arilalquenila C2-6, arilalquinila C2-6, arilheteroalquila C1-6, arilheteroalquenila C2-6, arilheteroalquinila C2-6, heterociclo-alquila C1-6, heterociclo-alquenila C2-6, heterociclo-alquinila C2-6, heterociclo-heteroalquila C1-6, heterociclo- heteroalquenila C2-6, e heterociclo-heteroalquinila C2-6, são opcionalmente substituídos com um, dois, ou três substituintes selecionados a partir de alquila C1-6, cicloalquila C3-7, alquenila C2-6, C3-7cicloalquenila, alquinila C2-6, C3- 7cicloalquinila, heteroalquila C1-6, heteroalquenila C2-6, heteroalquinila C2-6, hidroxila, =O, halogênio, -SH, =S, trifluorometila, -OCF3, -O-C(O)Me, ciano, nitro, -C(O)OH, -C(O)Oalquila C1-6, -NH2, -NHCH3; -N(CH3)2, -NH-C(=O)O- alquilaCi-4, morfolinila, -S(O)2alquilaCi-4, e -O-alquila Ci-β; preferencialmente a referida alquila C1-6, heteroalquila C1-6, arila, heterociclo, e heterociclo-alquila Ci-6, são opcionalmente substituídos com um, dois, ou três substituintes selecionados a partir de hidroxila, =O, halogênio, -SH, =S, trifluorometila, - OCF3, -O-C(O)Me, ciano, nitro, -C(O)OH, -C(O)Oalquila Ci-6, -NH2, -NHCH3; - N(CH3)2, -NH-C(=O)O-alquilaCi-4, morfolinila, -S(O)2alquilaCi-4, e -O-alquila Ci- 6; mais preferencialmente a referida alquila Ci-6, arila, e heterociclo são opcionalmente substituídos com um, dois, ou três substituintes selecionados a partir de hidroxila, =O, -O-C(O)Me, ciano, -C(O)OH, -C(O)Oalquila Ci-6, -NH2, - NHCH3; -N(CH3)2, -NH-C(=O)O-alquilaCi-4, morfolinila, -S(O)2alquilaCi-4, e -O- C1-6alquila.
[0046] Em um exemplo de realização específico, cada Z2 é selecionado independentemente a partir de alquila Ci-6, cicloalquila C3-7, alquenila C2-6, C3-7cicloalquenila, alquinila C2-6, C3-7cicloalquinila, heteroalquila Ci-6, heteroalquenila C2-6, heteroalquinila C2-6, arila, heterociclo, arilalquila Ci-6, arilalquenila C2-6, arilalquinila C2-6, arilheteroalquila Ci-6 , arilheteroalquenila Ci- 6, arilheteroalquinila Ci-6, heterociclo-alquila Ci-6, heterociclo-alquenila C2-6, heterociclo-alquinila C2-6, heterociclo-heteroalquila Ci-6, heterociclo- heteroalquenila C2-6, e heterociclo-heteroalquinila C2-6; preferencialmente Z2 é selecionado independentemente a partir de alquila Ci-6, arila, heterociclo, e heterociclo-alquila Ci-6; mais preferencialmente Z2 é selecionado independentemente a partir de alquila Ci-6, arila, e heterociclo-alquila Ci-6; em que a referida alquila Ci-6, cicloalquila C3-7, alquenila C2-6, C3- 7cicloalquenila, alquinila C2-6, C3-7cicloalquinila, heteroalquila Ci-6, heteroalquenila C2-6, heteroalquinila C2-6, arila, heterociclo, arilalquila Ci-6, arilalquenila C2-6, arilalquinila C2-6, arilheteroalquila Ci-6, arilheteroalquenila C2-6, arilheteroalquinila C2-6, heterociclo-alquila Ci-6, heterociclo-alquenila C2-6, heterociclo-alquinila C2-6, heterociclo-heteroalquila Ci-6, heterociclo- heteroalquenila C2-6, e heterociclo-heteroalquinila C2-6, são opcionalmente substituídos com um, dois, ou três substituintes selecionados a partir de alquila Ci-6, alquenila C2-6, alquinila C2-6, hidroxila, =O, halogênio, -SH, =S, trifluorometila, difluorometila, -O-alquila Ci-6, -OCF3, -S(=O)2alquilaCi-4, ciano, nitro, -C(=O)OH, -C(=O)O-alquilaCi-4, -NH2, -N(CH3)2, pirrolidinila, piperidinila, e piperazinila; preferencialmente a referida alquila Ci-6, arila, heterociclo, e heterociclo-alquila Ci-6, são opcionalmente substituídos com um, dois, ou três substituintes selecionados a partir de hidroxila, =O, halogênio, -SH, =S, trifluorometila, difluorometila, -O-alquila Ci-6, -OCF3, -S(=O)2alquilaCi-4, ciano, nitro, -C(=O)OH, -C(=O)O-alquilaC1-4, -NH2, -N(CH3)2, pirrolidinila, piperidinila, e piperazinila; mais preferencialmente a referida alquila C1-6, e arila, são opcionalmente substituídas com um, dois, ou três substituintes selecionados a partir de hidroxila, halogênio, difluorometila, -O-alquila C1-6, -S(=O)2alquilaC1-4, - C(=O)OH, -C(=O)O-alquilaC1-4, -NH2, -N(CH3)2, pirrolidinila, piperidinila, e piperazinila.
[0047] Em um exemplo de realização específico, cada Z3 é selecionado independentemente a partir de hidroxila, alquila C1-6, cicloalquila C3-7, alquenila C2-6, C3-7cicloalquenila, alquinila C2-6, C3-7cicloalquinila, heteroalquila C1-6, heteroalquenila C2-6, heteroalquinila C2-6, arila, heterociclo, arilalquila C1-6, arilalquenila C2-6, arilalquinila C2-6, arilheteroalquila C1-6, arilheteroalquenila C2-6, arilheteroalquinila C2-6, heterociclo-alquila C1-6, heterociclo-alquenila C2-6, heterociclo-alquinila C2-6, heterociclo-heteroalquila C1-6, heterociclo-heteroalquenila C2-6, e heterociclo-heteroalquinila C2-6; preferencialmente Z3 é selecionado independentemente a partir de hidroxila, alquila C1-6, arila, e heterociclo; mais preferencialmente Z3 é selecionado independentemente a partir de hidroxila, alquila C1-6, e heterociclo; em que a referida alquila C1-6, cicloalquila C3-7, alquenila C2-6, C3- 7cicloalquenila, alquinila C2-6, C3-7cicloalquinila, heteroalquila C1-6, heteroalquenila C2-6, heteroalquinila C2-6, arila, heterociclo, arilalquila C1-6, arilalquenila C2-6, arilalquinila C2-6, arilheteroalquila C1-6, arilheteroalquenila C2-6, arilheteroalquinila C2-6, heterociclo-alquila C1-6, heterociclo-alquenila C2-6, heterociclo-alquinila C2-6, heterociclo-heteroalquila C1-6, heterociclo- heteroalquenila C2-6, e heterociclo-heteroalquinila C2-6, são opcionalmente substituídos com um, dois, ou três substituintes selecionados a partir de alquila C1-6, alquenila C2-6, alquinila C2-6, hidroxila, =O, halogênio, -SH, =S, trifluorometila, -O-alquila C1-6, -OCF3, ciano, nitro, -C(=O)OH, -NH2, e -N(CH3)2; preferencialmente a referida alquila C1-6, arila, e heterociclo são opcionalmente substituídos com um, dois, ou três substituintes selecionados a partir de alquila C1-6 e -N(CH3)2; mais preferencialmente a referida alquila C1-6 e heterociclo são opcionalmente substituídos com um, dois, ou três substituintes selecionados a partir de alquila C1-6 e -N(CH3)2.
[0048] Em um exemplo de realização específico, cada Z4 e Z5 são selecionados independentemente a partir de hidrogênio, alquila C1-6, cicloalquila C3-7, alquenila C2-6, C3-7cicloalquenila, alquinila C2-6, C3- 7cicloalquinila, heteroalquila C1-6, heteroalquenila C2-6, heteroalquinila C2-6, arila, heterociclo, arilalquila C1-6, arilalquenila C2-6, arilalquinila C2-6, arilheteroalquila C1-6, arilheteroalquenila C2-6, arilheteroalquinila C2-6, heterociclo-alquila C1-6, heterociclo-alquenila C2-6, heterociclo-alquinila C2-6, heterociclo-heteroalquila C1-6, heterociclo-heteroalquenila C2-6, e heterociclo-heteroalquinila C2-6; preferencialmente cada Z4 e Z5 são selecionados independentemente a partir de hidrogênio, alquila C1-6, arila, cicloalquila C3-7, e heterociclo; mais preferencialmente cada Z4 e Z5 são selecionados independentemente a partir de hidrogênio, alquila C1-6, e cicloalquila C3-7; em que a referida alquila C1-6, alquila C1-6, cicloalquila C3-7, alquenila C2-6, C3-7cicloalquenila, alquinila C2-6, C3-7cicloalquinila, heteroalquila C1-6, heteroalquenila C2-6, heteroalquinila C2-6, arila, heterociclo, arilalquila C1-6, arilalquenila C2-6, arilalquinila C2-6, arilheteroalquila C1-6, arilheteroalquenila C2-6, arilheteroalquinila C2-6, heterociclo-alquila C1-6, heterociclo-alquenila C2-6, heterociclo-alquinila C2-6, heterociclo-heteroalquila C1-6, heterociclo- heteroalquenila C2-6, e heterociclo-heteroalquinila C2-6, são opcionalmente substituídos com um, dois, ou três substituintes selecionados a partir de alquila C1-6, alquenila C2-6, alquinila C2-6, hidroxila, =O, halogênio, -SH, =S, trifluorometila, -O-alquila C1-6, -OCF3, ciano, nitro, -C(=O)OH ou -NH2; e em que Z4 e Z5 podem ser tomados em conjunto para formar um heterociclo (com 5, 6 ou 7 membros) que é opcionalmente substituído com alquila C1-6, alquenila C2-6, alquinila C2-6, hidroxila, halogênio, -SH, trifluorometila, -O-alquila C1-6, -OCF3, ciano, nitro, -C(=O)OH, ou -NH2.
[0049] Um segundo aspecto da invenção refere-se aos compostos de fórmula (A) para uso como um medicamento,
em que: - o ciclo A é selecionado a partir do grupo consistindo de cicloalquila; cicloalquenila; cicloalquinila; arila; e heterociclo; em que a referida cicloalquila, cicloalquenila, cicloalquinila, arila e heterociclo, podem ser não substituídas ou substituídas com um ou mais substituintes selecionados a partir de alquila, cicloalquila, alquenila, cicloalquenila, alquinila, cicloalquinila, heteroalquila, heteroalquenila, heteroalquinila, hidroxila, =O, halogênio, -SH, =S, trifluorometila, -OCF3, ciano, nitro, -C(O)OH ou NH2;

em que a linha ondulada (MAT) indica o ponto de ligação à carbonila da Fórmula principal (A) e a linha tracejada indica o ponto de ligação ao ciclo A da Fórmula principal (A); - X1 é selecionado a partir de C; e N; - X2 é selecionado a partir de CR12; NR13; N; O; e S; - X3 é selecionado a partir de CR14, NR15; N; O; e S; - X4 é selecionado a partir de CR16, NR17; N; O; e S; - cada R3 e R9 são selecionados independentemente a partir de hidrogênio; alquila; alquenila; alquinila; heteroalquila; heteroalquenila; heteroalquinila; =O; e =S; em que a referida alquila, alquenila, alquinila, heteroalquila, heteroalquenila, e heteroalquinila podem ser não substituídas ou substituídas com um ou mais substituintes selecionados a partir de hidroxila, =O, halogênio, -SH, =S, trifluorometila, -OCF3, ciano, nitro, -C(O)OH ou NH2; - cada R4 e R5 são selecionados independentemente a partir de hidrogênio; halogênio; hidroxila; sulfidrila; =O; =S; trifluorometila; trifluorometóxi; ciano; alquila; alquenila; alquinila; heteroalquila; heteroalquenila; e heteroalquinila; e em que a referida alquila, alquenila, alquinila, cicloalquinila, heteroalquila, heteroalquenila, heteroalquinila, podem ser não substituídas ou substituídas com um ou mais substituintes selecionados a partir de hidroxila, =O, halogênio, -SH, =S, trifluorometila, -OCF3, ciano, nitro, -C(O)OH ou NH2; - W1 é selecionado a partir de CR32R32a; NR33; O; S; e SO2; - cada p e q são selecionados independentemente a partir de 1 e 2, de modo que p+q é selecionado a partir de 2 e 3; - o ciclo B é selecionado a partir de arila; e heterociclo; em que a referida arila e heterociclo podem ser não substituídos ou substituídos com um ou mais Z1a; - R1 é selecionado a partir de cicloalquila; cicloalquenila; cicloalquinila; arila; heterociclo; arilalquila; arilalquenila; arilalquinila; heterociclo-alquila; heterociclo-alquenila; heterociclo-alquinila; arilheteroalquila; arilheteroalquenila; arilheteroalquinila; heterociclo-heteroalquila; heterociclo- heteroalquenila; heterociclo-heteroalquinila; - em que a referida cicloalquila; cicloalquenila; cicloalquinila; arila, heterociclo, arilalquila, arilalquenila, arilalquinila, heterociclo-alquila, heterociclo- alquenila, heterociclo-alquinila, arilheteroalquila, arilheteroalquenila, arilheteroalquinila, heterociclo-heteroalquila, heterociclo-heteroalquenila e heterociclo-heteroalquinila podem ser não substituídas ou substituídas com um ou mais Z1b; - R2 é selecionado a partir de hidrogênio; alquila; cicloalquila; alquenila; cicloalquenila; alquinila; cicloalquinila; heteroalquila; heteroalquenila; e heteroalquinila; - em que a referida alquila, cicloalquila; alquenila; cicloalquenila; alquinila; cicloalquinila; heteroalquila, heteroalquenila, e heteroalquinila, podem ser não substituídas ou substituídas com um ou mais Z1c; - cada R12, R14, e R16 são selecionados independentemente a partir de hidrogênio; halogênio; hidroxila; sulfidrila; trifluorometila; trifluorometóxi; nitro; amino; ciano; alquila; cicloalquila; alquenila; cicloalquenila; alquinila; cicloalquinila; heteroalquila; heteroalquenila; heteroalquinila; em que a referida alquila, cicloalquila, alquenila, cicloalquenila, alquinila, cicloalquinila, heteroalquila, heteroalquenila e heteroalquinila podem ser não substituídas ou substituídas com um ou mais substituintes selecionados a partir de alquila, alquenila, alquinila, heteroalquila, heteroalquenila, heteroalquinila, hidroxila, =O, halogênio, -SH, =S, trifluorometila, -OCF3, ciano, nitro, -C(O)OH ou NH2; - R13, R15, e R17 são selecionados independentemente a partir de hidrogênio; hidroxila; sulfidrila; -S(O)Z2; -S(O)2Z3; -S(O)2NZ4Z5; trifluorometila; - C(O)Z3; -C(O)OZ2; -C(O)NZ4Z5; -C(O)H; alquila; cicloalquila; alquenila; cicloalquenila; alquinila; cicloalquinila; heteroalquila; heteroalquenila; heteroalquinila; em que a referida alquila, cicloalquila, alquenila, cicloalquenila, alquinila, cicloalquinila, heteroalquila, heteroalquenila, ou heteroalquinila podem ser não substituídas ou substituídas com um ou mais substituintes selecionados a partir de alquila, alquenila, alquinila, heteroalquila, heteroalquenila, heteroalquinila, hidroxila, =O, halogênio, -SH, =S, trifluorometila, -OCF3, ciano, nitro, -C(O)OH ou NH2; - cada R32 e R32a são selecionados independentemente a partir de hidrogênio; halogênio; hidroxila; sulfidrila; =O; =S; trifluorometila; trifluorometóxi; ciano; alquila; alquenila; alquinila; heteroalquila; heteroalquenila; e heteroalquinila; e em que a referida alquila, alquenila, alquinila, cicloalquinila, heteroalquila, heteroalquenila, heteroalquinila, podem ser não substituídas ou substituídas com um ou mais substituintes selecionados a partir de hidroxila, =O, halogênio, -SH, =S, trifluorometila, -OCF3, ciano, nitro, -C(O)OH ou NH2; - cada R33 é selecionado independentemente a partir de hidrogênio; alquila; alquenila; alquinila; heteroalquila; heteroalquenila; e heteroalquinila; e em que a referida alquila, alquenila, alquinila, cicloalquinila, heteroalquila, heteroalquenila, heteroalquinila, podem ser não substituídas ou substituídas com um ou mais substituintes selecionados a partir de hidroxila, =O, halogênio, -SH, =S, trifluorometila, -OCF3, ciano, nitro, -C(O)OH ou NH2; - cada Z1a, Z1b, e Z1c são selecionados independentemente a partir do grupo consistindo de halogênio; hidroxila; sulfidrila; -OZ2; =O; -SZ2; =S; -S(O)Z2; -S(O)2Z3; -S(O)2NZ4Z5; trifluorometila; trifluorometóxi; nitro; -NZ4Z5; -NZ4S(O)2Z2; -NZ4C(O)Z2; -NZ4C(O)NZ4Z5; ciano; -C(O)Z3; -C(O)OZ2; - C(O)NZ4Z5; -C(O)H; alquila; cicloalquila; alquenila; cicloalquenila; alquinila; cicloalquinila; heteroalquila; heteroalquenila; heteroalquinila; arila; heterociclo; arilalquila; arilalquenila; arilalquinila; arilheteroalquila; arilheteroalquenila; arilheteroalquinila; heterociclo-alquila; heterociclo-alquenila; heterociclo- alquinila; heterociclo-heteroalquila, heterociclo-heteroalquenila; ou heterociclo- heteroalquinila; - em que a referida alquila, cicloalquila, alquenila, cicloalquenila, alquinila, cicloalquinila, heteroalquila, heteroalquenila, heteroalquinila, arila, heterociclo, arilalquila, arilalquenila, arilalquinila, arilheteroalquila, arilheteroalquenila, arilheteroalquinila, heterociclo-alquila, heterociclo-alquenila, heterociclo-alquinila, heterociclo-heteroalquila, heterociclo-heteroalquenila, ou heterociclo-heteroalquinila podem ser não substituídas ou substituídas com um ou mais substituintes selecionados a partir de alquila, alquenila, alquinila, heteroalquila, heteroalquenila, heteroalquinila, hidroxila, =O, halogênio, -SH, =S, trifluorometila, -OCF3, ciano, nitro, -C(O)OH ou NH2; - cada Z2 é selecionado independentemente a partir de alquila; cicloalquila; alquenila; cicloalquenila; alquinila; cicloalquinila; heteroalquila; heteroalquenila; heteroalquinila; arila; heterociclo; arilalquila; arilalquenila; arilalquinila; arilheteroalquila; arilheteroalquenila; arilheteroalquinila; heterociclo-alquila; heterociclo-alquenila; heterociclo-alquinila; heterociclo- heteroalquila; heterociclo-heteroalquenila; ou heterociclo-heteroalquinila; em que a referida alquila, cicloalquila, alquenila, cicloalquenila, alquinila, cicloalquinila, heteroalquila, heteroalquenila, heteroalquinila, arila, heterociclo, arilalquila, arilalquenila, arilalquinila, arilheteroalquila, arilheteroalquenila, arilheteroalquinila, heterociclo-alquila, heterociclo-alquenila, heterociclo-alquinila, heterociclo-heteroalquila, heterociclo-heteroalquenila, ou heterociclo-heteroalquinila podem ser não substituídas ou substituídas com um ou mais substituintes selecionados a partir de alquila, alquenila, alquinila, hidroxila, =O, halogênio, -SH, =S, trifluorometila, -O-alquila, -OCF3, ciano, nitro, -C(O)OH ou NH2; - cada Z3 é selecionado independentemente a partir de hidroxila; alquila; cicloalquila; alquenila; cicloalquenila; alquinila; cicloalquinila; heteroalquila; heteroalquenila; heteroalquinila; arila; heterociclo; arilalquila; arilalquenila; arilalquinila; arilheteroalquila; arilheteroalquenila; arilheteroalquinila; heterociclo-alquila; heterociclo-alquenila; heterociclo- alquinila; heterociclo-heteroalquila; heterociclo-heteroalquenila; ou heterociclo- heteroalquinila; em que a referida alquila, cicloalquila, alquenila, cicloalquenila, alquinila, cicloalquinila, heteroalquila, heteroalquenila, heteroalquinila, arila, heterociclo, arilalquila, arilalquenila, arilalquinila, arilheteroalquila, arilheteroalquenila, arilheteroalquinila, heterociclo-alquila, heterociclo-alquenila, heterociclo-alquinila, heterociclo-heteroalquila, heterociclo-heteroalquenila, ou heterociclo-heteroalquinila podem ser não substituídas ou substituídas com um ou mais substituintes selecionados a partir de alquila, alquenila, alquinila, hidroxila, =O, halogênio, -SH, =S, trifluorometila, -O-alquila, -OCF3, ciano, nitro, -C(O)OH ou NH2; - cada Z4 e Z5 são selecionados independentemente a partir de hidrogênio; alquila; cicloalquila; alquenila; cicloalquenila; alquinila; cicloalquinila; heteroalquila; heteroalquenila; heteroalquinila; arila; heterociclo; arilalquila; arilalquenila; arilalquinila; arilheteroalquila; arilheteroalquenila; arilheteroalquinila; heterociclo-alquila; heterociclo-alquenila; heterociclo- alquinila; heterociclo-heteroalquila; heterociclo-heteroalquenila; ou heterociclo- heteroalquinila; em que a referida alquila, cicloalquila, alquenila, cicloalquenila, alquinila, cicloalquinila, heteroalquila, heteroalquenila, heteroalquinila, arila, heterociclo, arilalquila, arilalquenila, arilalquinila, arilheteroalquila, arilheteroalquenila, arilheteroalquinila, heterociclo-alquila, heterociclo-alquenila, heterociclo-alquinila, heterociclo-heteroalquila, heterociclo-heteroalquenila, ou heterociclo-heteroalquinila podem ser não substituídas ou substituídas com um ou mais substituintes selecionados a partir de alquila, alquenila, alquinila, hidroxila, =O, halogênio, -SH, =S, trifluorometila, -O-alquila, -OCF3, ciano, nitro, -C(O)OH ou NH2; e em que Z4 e Z5 podem ser tomados em conjunto para formar um heterociclo (com 5, 6 ou 7 membros) que pode ser não substituído ou substituído com alquila, cicloalquila, alquenila, cicloalquenila, alquinila, cicloalquinila, hidroxila, halogênio, -SH, trifluorometila, -O-alquila, -OCF3, ciano, nitro, -C(O)OH ou -NH2; e isômeros (particularmente estereoisômeros ou tautômeros), solvatos, sais (particularmente sais farmaceuticamente aceitáveis) ou pró- fármacos destes.
[0050] Um exemplo de realização específico desse aspecto da invenção refere-se aos compostos de fórmula (A), (B1), (B2), (B3), (C1), (C2), (C3), (C4), (C5), (D1), (D2), (D3), (D4), e (D5), e aos compostos de acordo com qualquer um dos exemplos de realização específicos destes descritos na presente invenção para uso como um medicamento.
[0051] Um terceiro aspecto da invenção refere-se aos compostos de fórmula (A), (B1), (B2), (B3), (C1), (C2), (C3), (C4), (C5), (D1), (D2), (D3), (D4), e (D5), e aos compostos de acordo com qualquer um dos exemplos de realização específicos destes descritos na presente invenção para uso como um medicamento para a prevenção ou tratamento de uma infecção viral em um animal (incluindo um humano).
[0052] Em um exemplo de realização, a infecção viral é uma infecção com Flavivírus. Em um exemplo de realização adicional, o Flavivírus é o vírus da dengue.
[0053] A presente invenção diz respeito ainda a uma composição farmacêutica compreendendo os compostos de fórmula (A), (B1), (B2), (B3), C1), (C2), (C3), (C4), (C5), (D1), (D2), (D3), (D4) ou (D5) ou compostos de acordo com qualquer um dos exemplos de realização específicos, tal como descrito na presente invenção, em combinação com um veículo farmaceuticamente aceitável.
[0054] A presente invenção diz respeito ainda a um método para a prevenção ou tratamento de uma infecção viral em um animal, compreendendo administrar ao referido animal (incluindo um ser humano) com necessidade de tal prevenção ou tratamento de uma dose eficaz de um composto de fórmula (A), (B1), (B2), (B3), (C1), (C2), (C3), (C4), (C5), (D1), (D2), (D3), (D4) ou (D5) ou um composto de acordo com qualquer um dos exemplos de realização específicos, tal como os descritos na presente invenção.
[0055] A presente invenção está relaciona da a um método para a preparação dos compostos de fórmula (A), (B1), (B2), (B3), (C1), (C2), (C3), (C4), (C5) , (D1), (D2), (D3), (D4) e (D5), e dos compostos de acordo com qualquer um dos exemplos de realização específicos descritos na presente invenção, compreendendo as etapas de: - reação de uma imina com um aldeído sob condições de umpolung na presença de um catalisador tiazólio para obter os compostos desejados da invenção.
[0056] Em outro exemplo de realização, a invenção refere-se a um método para a preparação dos compostos da invenção, compreendendo as etapas de - reação de um derivado de cetona possuindo um grupo metileno adjacente à carbonila sob condições de halogenação para se obter uma alfa- halogenocetona, - substituir a alfa-halogenocetona anteriormente obtida com aminas para se obter os compostos desejados da invenção.
[0057] Em outro exemplo de realização, a invenção refere-se a um método para a preparação dos compostos da invenção, compreendendo as etapas de - reação de uma heterociclicamina com haleto de ácido 2- halogenoacético para se obter um derivado de alfa-halogenoamida, - substituir a alfa-halogenoamida anteriormente obtida com aminas para se obter os compostos desejados da invenção.
[0058] Mais particularmente, um aspecto da invenção é o fornecimento de compostos de fórmula (A),
em que: - o ciclo C é um monociclo selecionado a partir de
em que a linha ondulada (MAT) indica o ponto de ligação à carbonila da Fórmula principal (A) e a linha tracejada indica o ponto de ligação ao ciclo A da Fórmula principal (A); - o ciclo A é selecionado a partir de arila; e heterociclo; opcionalmente substituído com um, dois, ou três substituintes (mais particularmente um ou dois substituintes) selecionados a partir de alquila, cicloalquila, alquenila, cicloalquenila, alquinila, cicloalquinila, heteroalquila, heteroalquenila, heteroalquinila, hidroxila, =O, halogênio, -SH, =S, trifluorometila, -OCF3, ciano, nitro, -C(O)OH , NH2, NH(alquil), ou N(alquil)2; mais particularmente o ciclo A é selecionado a partir de


em que a linha ondulada (—) indica o ponto de ligação ao átomo do ciclo C, e em que os ciclos ilustrados podem ser opcionalmente substituídos com um, dois, ou três substituintes selecionados a partir de alquila, cicloalquila, alquenila, cicloalquenila, alquinila, cicloalquinila, heteroalquila, heteroalquenila, heteroalquinila, hidroxila, =O, halogênio, -SH, =S, trifluorometila, -OCF3, ciano, nitro, -C(O)OH, NH2, NH(alquil), ou N(alquil)2; - o ciclo B é selecionado a partir de arila; e heterociclo; em que a


em que a linha ondulada (~~) indica o ponto de ligação ao átomo de carbono da Fórmula principal (A), e em que os ciclos ilustrados podem ser opcionalmente substituídos com um, dois, ou três Z1a; - R1 é selecionado a partir de alquila C1-6, cicloalquila C3-7, cicloalquenila C3-7, cicloalquinila C3-7, arila, heterociclo, arilalquila C1-6, arilalquenila C2-6, arilalquinila C2-6, heterociclo-alquila C1-6, heterociclo-alquenila C2-6, heterociclo-alquinila C2-6, arilheteroalquila C1-6 , arilheteroalquenila C2-6, arilheteroalquinila C2-6, heterociclo-heteroalquila C1-6, heterociclo- heteroalquenila C2-6, e heterociclo-heteroalquinila C2-6; preferencialmente R1 é selecionado a partir de alquila C1-6, cicloalquila C3-7, arila, heterociclo; e em que a referida alquila C1-6, cicloalquila C3-7, cicloalquenila C37, cicloalquinila C3-7, arila, heterociclo, arilalquila C1-6, arilalquenila C2-6, arilalquinila C2-6, heterociclo-alquila C1-6, heterociclo-alquenila C2-6, heterociclo- alquinila C2-6, arilheteroalquila C1-6 , arilheteroalquenila C2-6, arilheteroalquinila C2-6, heterociclo-heteroalquila C1-6, heterociclo-heteroalquenila C2-6, e heterociclo-heteroalquinila C2-6, são opcionalmente substituídos com um, dois, ou três Z1b; preferencialmente a referida alquila C1-6, cicloalquila C3-7, arila, e heterociclo, são opcionalmente substituídos com um, dois, ou três Z1b; - R2 é selecionado a partir de hidrogênio, -C(O)Z3, alquila C1-6, alquenila C2-6, alquinila C2-6, heteroalquila C1-6, heteroalquenila C2-6, e heteroalquinila C2-6; preferencialmente R2 é selecionado a partir de hidrogênio, -C(O)Z3, e alquila C1-6; e em que a referida alquila C1-6, alquenila C2-6, alquinila C2-6, heteroalquila C1-6, heteroalquenila C2-6, e heteroalquinila C2-6, são opcionalmente substituídos com um, dois, ou três Z1c; preferencialmente a referida alquila C1-6 é opcionalmente substituída com um, dois, ou três Z1c; - R3 é selecionado a partir de hidrogênio; alquila C1-6; heteroalquila C1-6; e =O; - cada R4 e R5 são selecionados independentemente a partir de hidrogênio; halogênio; hidroxila; sulfidrila; trifluorometila; trifluorometóxi; ciano; alquila C1-6; alquenila C2-6; alquinila C2-6; heteroalquila C1-6; heteroalquenila C16; e heteroalquinila C1-6; - R9 é selecionado a partir de hidrogênio; alquila C1-6; heteroalquila C1-6; e =O; - cada um dentre R12, R14 e R16 são selecionados independentemente a partir de hidrogênio; halogênio; trifluorometila; ciano; alquila C1-6 e cicloalquila C1-6; - cada um dentre R13, R15 e R17 são selecionados independentemente a partir de hidrogênio; halogênio; trifluorometila; ciano; alquila C1-6 e cicloalquila C1-6; - cada R32 e R5 são selecionados independentemente a partir de hidrogênio; halogênio; hidroxila; sulfidrila; trifluorometila; trifluorometóxi; ciano; alquila C1-6; alquenila C2-6; alquinila C2-6; heteroalquila C1-6; heteroalquenila C16; e heteroalquinila C1-6; - R33 é selecionado independentemente a partir de hidrogênio e alquila C1-6; - cada Z1a, Z1b, e Z1c são selecionados independentemente a partir do grupo consistindo de halogênio, hidroxila, sulfidrila, -OZ2, -O-C(=O)Z3, =O, -SZ2, =S, -S(=O)Z2, -S(=O)2Z3, -S(=O)2NZ4Z5, trifluorometila, trifluorometóxi, nitro, -NZ4Z5, -NZ4S(=O)2Z2, -NZ4C(=O)Z2, -NZ4C(=O)-OZ2, -NZ4C(=O)NZ4Z5, ciano, -C(=O)Z3, -C(=O)OZ2, -C(=O)NZ4Z5, -C(=O)H, alquila C1-6, alquenila C2-6, alquinila C2-6, heteroalquila C1-6, heteroalquenila C2-6, heteroalquinila C2-6, arila, heterociclo, arilalquila C1-6, arilalquenila C2-6, arilalquinila C2-6, arilheteroalquila C1-6, arilheteroalquenila C2-6, arilheteroalquinila C2-6, heterociclo-alquila C1-6, heterociclo-alquenila C2-6, heterociclo-alquinila C2-6, heterociclo-heteroalquila C1-6, heterociclo-heteroalquenila C2-6, e heterociclo-heteroalquinila C2-6; preferencialmente cada Z1, Z1a, Z1b, e Z1c são selecionados independentemente a partir do grupo consistindo de halogênio, hidroxila, sulfidrila, -OZ2, -O- C(=O)Z3, =O, -SZ2, =S, -S(=O)Z2, -S(=O)2Z3, -S(=O)2NZ4Z5, trifluorometila, trifluorometóxi, nitro, -NZ4Z5, -NZ4S(=O)2Z2, -NZ4C(=O)Z2, -NZ4C(=O)2Z2, - NZ4C(=O)NZ4Z5, ciano, -C(=O)Z3, -C(=O)OZ2, -C(=O)NZ4Z5, -C(=O)H, alquila C1-6, heteroalquila C1-6, arila, heterociclo, e heterociclo-alquila C1-6; mais preferencialmente cada Z1, Z1a, Z1b, e Z1c são selecionados independentemente a partir do grupo consistindo de halogênio, hidroxila, -OZ2, -O-C(=O)Z3, =O, - S(=O)2Z3, -S(=O)2NZ4Z5, trifluorometila, trifluorometóxi, -NZ4Z5, -NZ4C(=O)Z2, - NZ4C(=O)-OZ2, ciano, -C(=O)Z3, -C(=O)OZ2, -C(=O)NZ4Z5, alquila C1-6, heteroalquila C1-6, arila, heterociclo, e heterociclo-alquila C1-6; e em que a referida alquila C1-6, alquenila C2-6, alquinila C2-6, heteroalquila C1-6, heteroalquenila C2-6, heteroalquinila C2-6, arila, heterociclo, arilalquila C1-6, arilalquenila C2-6, arilalquinila C2-6, arilheteroalquila C1-6 , arilheteroalquenila C2-6, arilheteroalquinila C2-6, heterociclo-alquila C1-6, heterociclo-alquenila C2-6, heterociclo-alquinila C2-6, heterociclo-heteroalquila C1-6, heterociclo-heteroalquenila C2-6, e heterociclo-heteroalquinila C2-6, são opcionalmente substituídos com um, dois, ou três substituintes selecionados a partir de alquila C1-6, alquenila C2-6, alquinila C2-6, heteroalquila C1-6, heteroalquenila C2-6, heteroalquinila C2-6, hidroxila, =O, halogênio, -SH, =S, trifluorometila, -OCF3, -O-C(O)Me, ciano, nitro, -C(O)OH, -C(O)Oalquila C1-6, - NH2, -NHCH3; -N(CH3)2, -NH-C(=O)O-alquilaC1-4, morfolinila, -S(O)2alquilaC1-4, e -O-alquila Ci-β; preferencialmente a referida alquila Ci-β, heteroalquila Ci-β, arila, heterociclo, e heterociclo-alquila C1-6, são opcionalmente substituídos com um, dois, ou três substituintes selecionados a partir de hidroxila, =O, halogênio, -SH, =S, trifluorometila, -OCF3, -O-C(O)Me, ciano, nitro, -C(O)OH, - C(O)Oalquila Ci-β, -NH2, -NHCH3; -N(CH3)2, -NH-C(=O)O-alquilaCi-4, morfolinila, -S(O)2alquilaCi-4, e -O-alquila Ci-β; mais preferencialmente a referida alquila Ci-β, arila, e heterociclo são opcionalmente substituídos com um, dois, ou três substituintes selecionados a partir de hidroxila, =O, -O- C(O)Me, ciano, -C(O)OH, -C(O)Oalquila Ci-β, -NH2, -NHCH3; -N(CH3)2, -NH- C(=O)O-alquilaCi-4, morfolinila, -S(O)2alquilaCi-4, e -O-alquila Ci-β; - cada Z2 é selecionado independentemente a partir de alquila Ci- β, alquenila C2-β, alquinila C2-β, heteroalquila Ci-β, heteroalquenila C2-β, heteroalquinila C2-β, arila, heterociclo, arilalquila Ci-β, arilalquenila C2-β, arilalquinila C2-β, arilheteroalquila Ci-β, arilheteroalquenila Ci-β, arilheteroalquinila C1-6, heterociclo-alquila C1-6, heterociclo-alquenila C2-6, heterociclo-alquinila C2-6, heterociclo-heteroalquila C1-6, heterociclo- heteroalquenila C2-6, e heterociclo-heteroalquinila C2-6; preferencialmente Z2 é selecionado independentemente a partir de alquila C1-6, arila, heterociclo, e heterociclo-alquila C1-6; mais preferencialmente Z2 é selecionado independentemente a partir de alquila C1-6, arila, e heterociclo-alquila C1-6; em que a referida alquila C1-6, alquenila C2-6, alquinila C2-6, heteroalquila C1-6, heteroalquenila C2-6, heteroalquinila C2-6, arila, heterociclo, arilalquila C1-6, arilalquenila C2-6, arilalquinila C2-6, arilheteroalquila C1-6 , arilheteroalquenila C2-6, arilheteroalquinila C2-6, heterociclo-alquila C1-6, heterociclo-alquenila C2-6, heterociclo-alquinila C2-6, heterociclo-heteroalquila C1-6, heterociclo-heteroalquenila C2-6, e heterociclo-heteroalquinila C2-6, são opcionalmente substituídos com um, dois, ou três substituintes selecionados a partir de alquila C1-6, alquenila C2-6, alquinila C2-6, hidroxila, =O, halogênio, -SH, =S, trifluorometila, difluorometila, -O-alquila C1-6, -OCF3, -S(=O)2alquilaC1-4, ciano, nitro, -C(=O)OH, -C(=O)O-alquilaC1-4, -NH2, -N(CH3)2, pirrolidinila, piperidinila, e piperazinila; preferencialmente a referida alquila C1-6, arila, heterociclo, e heterociclo-alquila C1-6, são opcionalmente substituídos com um, dois, ou três substituintes selecionados a partir de hidroxila, =O, halogênio, - SH, =S, trifluorometila, difluorometila, -O-alquila C1-6, -OCF3, -S(=O)2alquilaC1-4, ciano, nitro, -C(=O)OH, -C(=O)O-alquilaC1-4, -NH2, -N(CH3)2, pirrolidinila, piperidinila, e piperazinila; mais preferencialmente a referida alquila C1-6, e arila, são opcionalmente substituídas com um, dois, ou três substituintes selecionados a partir de hidroxila, halogênio, difluorometila, -O-alquila C1-6, - S(=O)2alquilaC1-4, -C(=O)OH, -C(=O)O-alquilaC1-4, -NH2, -N(CH3)2, pirrolidinila, piperidinila, e piperazinila; - cada Z3 é selecionado independentemente a partir de hidroxila, alquila C1-6, alquenila C2-6, alquinila C2-6, heteroalquila C1-6, heteroalquenila C2- 6, heteroalquinila C2-6, arila, heterociclo, arilalquila C1-6, arilalquenila C2-6, arilalquinila C2-6, arilheteroalquila C1-6, arilheteroalquenila C2-6, arilheteroalquinila C2-6, heterociclo-alquila C1-6, heterociclo-alquenila C2-6, heterociclo-alquinila C2-6, heterociclo-heteroalquila C1-6, heterociclo- heteroalquenila C2-6, e heterociclo-heteroalquinila C2-6; preferencialmente Z3 é selecionado independentemente a partir de hidroxila, alquila C1-6, arila, e heterociclo; mais preferencialmente Z3 é selecionado independentemente a partir de hidroxila, alquila C1-6, e heterociclo; em que a referida alquila C1-6, alquenila C2-6, alquinila C2-6, heteroalquila C1-6, heteroalquenila C2-6, heteroalquinila C2-6, arila, heterociclo, arilalquila C1-6, arilalquenila C2-6, arilalquinila C2-6, arilheteroalquila C1-6, arilheteroalquenila C2-6, arilheteroalquinila C2-6, heterociclo-alquila C1-6, heterociclo-alquenila C2-6, heterociclo-alquinila C2-6, heterociclo-heteroalquila C1-6, heterociclo-heteroalquenila C2-6, e heterociclo-heteroalquinila C2-6, são opcionalmente substituídos com um, dois, ou três substituintes selecionados a partir de alquila C1-6, alquenila C2-6, alquinila C2-6, hidroxila, =O, halogênio, -SH, =S, trifluorometila, -O-alquila C1-6, -OCF3, ciano, nitro, -C(=O)OH, -NH2, e - N(CH3)2; preferencialmente a referida alquila C1-6, arila, e heterociclo são opcionalmente substituídos com um, dois, ou três substituintes selecionados a partir de alquila C1-6 e -N(CH3)2; mais preferencialmente a referida alquila C1-6 e heterociclo são opcionalmente substituídos com um, dois, ou três substituintes selecionados a partir de alquila C1-6 e -N(CH3)2; - cada Z4 e Z5 são selecionados independentemente a partir de hidrogênio, alquila C1-6, alquenila C2-6, alquinila C2-6, heteroalquila C1-6, heteroalquenila C2-6, heteroalquinila C2-6, arila, cicloalquila C3-7, heterociclo, arilalquila C1-6, arilalquenila C2-6, arilalquinila C2-6, arilheteroalquila C1-6, arilheteroalquenila C2-6, arilheteroalquinila C2-6, heterociclo-alquila C1-6, heterociclo-alquenila C2-6, heterociclo-alquinila C2-6, heterociclo-heteroalquila C1-6, heterociclo-heteroalquenila C2-6, e heterociclo-heteroalquinila C2-6; preferencialmente cada Z4 e Z5 são selecionados independentemente a partir de hidrogênio, alquila C1-6, arila, cicloalquila C3-7, e heterociclo; mais preferencialmente cada Z4 e Z5 são selecionados independentemente a partir de hidrogênio, alquila C1-6, e cicloalquila C3-7; em que a referida alquila C1-6, alquenila C2-6, alquinila C2-6, heteroalquila C1-6, heteroalquenila C2-6, heteroalquinila C2-6, arila, heterociclo, arilalquila C1-6, arilalquenila C2-6, arilalquinila C2-6, arilheteroalquila C1-6, arilheteroalquenila C2-6, arilheteroalquinila C2-6, heterociclo-alquila C1-6, heterociclo-alquenila C2-6, heterociclo-alquinila C2-6, heterociclo-heteroalquila C1-6, heterociclo-heteroalquenila C2-6, e heterociclo-heteroalquinila C2-6, são opcionalmente substituídos com um, dois, ou três substituintes selecionados a partir de alquila C1-6, alquenila C2-6, alquinila C2-6, hidroxila, =O, halogênio, -SH, =S, trifluorometila, -O-alquila C1-6, -OCF3, ciano, nitro, -C(=O)OH ou -NH2; e em que Z4 e Z5 podem ser tomados em conjunto para formar um heterociclo (com 5, 6 ou 7 membros) que é opcionalmente substituído com alquila C1-6, alquenila C2-6, alquinila C2-6, hidroxila, halogênio, -SH, trifluorometila, -O-alquila C1-6, -OCF3, ciano, nitro, -C(=O)OH, ou -NH2; e isômeros (particularmente estereoisômeros ou tautômeros), solvatos, sais (particularmente sais farmaceuticamente aceitáveis) ou pró- fármacos destes.
[0059] Um aspecto da invenção refere-se aos compostos de fórmula (A) para uso como um medicamento, mais particularmente para uso na prevenção ou tratamento de uma infecção por Flavivírus em um animal, mamífero ou humano, preferencialmente uma infecção pelo vírus da dengue ou vírus da febre amarela.
[0060] Em um exemplo de realização específico dos diferentes aspectos da invenção, os compostos possuem uma estrutura de acordo com a fórmula (C1), (C2), (C3), (C4) ou (C5),
em que o ciclo A, ciclo B, R1, R2, R3, R9, R12, R15, e R16 são confomre definido nas fórmulas A ou qualquer um dos exemplos de realização descritos na presente invenção; e isômeros (particularmente estereoisômeros ou tautômeros), solvatos, sais (particularmente sais farmaceuticamente aceitáveis) ou pró-fármacos destes.
[0061] Em outro exemplo de realização específico, os compostos
em que cada um dentre o ciclo A, ciclo B, R3, R9, R12, R15, R16, e Z1b são conforme descrito para a Fórmula (A) e exemplos de realização descritos no presente e m é selecionado a partir de 0, 1, 2 ou 3; ou mais particularmente em que - ciclo B é selecionado a partir de arila e heteroarila; mais preferencialmente o ciclo B é selecionado a partir de
; em que a referida arila, heteroarila, e os ciclos ilustrados podem ser opcionalmente substituídos com halogênio, alquilaC1-4, ou alcóxi C1-4 ; mais preferencialmente a referida arila é substituída com halogênio, alquilaC1-4, ou alcóxi C1-4 ; - preferencialmente Z1b é alcóxi C1-4 , -OCH2CH2OH, hidrogênio, - CH2-OH; - m é selecionado a partir de 0, 1, 2, e 3; preferencialmente m é selecionado a partir de 1 e 2; e isômeros (particularmente estereoisômeros ou tautômeros), solvatos, sais (particularmente sais farmaceuticamente aceitáveis) ou pró- fármacos destes.
[0062] Em outro exemplo de realização específico, R1 tem uma estrutura de acordo com a fórmula (F),
em que a linha ondulada (—) indica o ponto de ligação ao átomo amina da Fórmula principal (A) e Z2, Z1b e m são conforme descrito no presente, mais particularmente como na Fórmula (E1), (E2), (E3), (E4) ou (E5).
[0063] Os compostos da presente invenção apresentam pelo menos um centro assimétrico no átomo de carbono substituído com ciclo B, conforme mostrado abaixo com um asterisco na fórmula (A). Este centro assimétrico podem ocorrer na sua configuração R ou S. Em um exemplo de realização preferido, o referido centro assimétrico está na configuração R. Em outro exemplo de realização preferido, o referido centro assimétrico está a configuração S.
[0064] Um exemplo de realização específico da invenção diz respeito aos compostos individuais selecionados a partir dos compostos na Tabela 1. A presente invenção, por esse motivo, também abrange qualquer composto individual listados na Tabela 1.
[0065] O termo “tratar” ou “tratamento” conforme utilizado na presente invenção, pretende referir-se a administração de um composto ou composição da invenção a um sujeito com a finalidade de efetuar um benefício terapêutico ou profilático pela inibição de uma infecção viral. O tratamento inclui a reversão, melhora, alívio, inibição do progresso diminuição da gravidade, ou prevenção de uma doença, distúrbio ou condição, ou um ou mais sintomas de tal doença, distúrbio ou condição mediada através da inibição da infecção viral. O termo “sujeito” refere-se a um animal ou paciente mamífero que necessita de tal tratamento, tal como um humano.
[0066] Deve ser notado que o termo “compreendendo”, utilizado nas reivindicações, não deve ser interpretado como sendo restrito aos meios enumerados em seguida; isto não exclui outros elementos ou etapas.
[0067] A referência ao longo deste relatório descritivo a “um exemplo de realização” ou “realização” significa que uma determinada particularidade, estrutura ou característica descrita em ligação com o exemplo de realização está incluída em pelo menos um exemplo de realização da presente invenção. Assim, o aparecimento das frases “em um exemplo de realização” ou “em uma realização” em vários lugares ao longo deste relatório descritivo não está necessariamente se referindo ao mesmo exemplo de realização, mas podem. Além disso, as particularidades, estruturas ou características podem ser combinadas de qualquer forma adequada, tal como seria evidente para um técnico hábil na arte a partir desta descrição, em uma ou mais exemplos de realização. Também exemplos de realização descritos para um aspecto da invenção podem ser utilizados para outro aspecto da invenção e também podem ser combinados. Sempre que um artigo indefinido ou definido é usado quando se refere a um substantivo no singular, por exemplo, “um/uma” ou “o/a”, inclui-se um plural desse substantivo, a menos que esteja expressamente indicado.
[0068] Do mesmo modo, deve ser entendido que na descrição de exemplos de realização exemplificativos da invenção, várias características da invenção são, por vezes, agrupadas em conjunto em um único exemplo de realização, figura, ou descrição dos mesmos com o objetivo de simplificar a descrição e ajudar na compreensão de um ou mais dos vários aspectos da invenção.
[0069] Em cada uma das seguintes definições, o número de átomos de carbono representa o número máximo de átomos de carbono em geral, de forma otimamente presente no substituinte ou ligante; entende-se que quando indicado de outra forma, no presente pedido, o número de átomos de carbono representa o número máximo de átomos de carbono ótimo para esse substituinte ou ligante específico.
[0070] O termo “grupo de saída” ou “LG”, tal como utilizado na presente invenção, significa um grupo químico que é susceptível de ser deslocado por um nucleófilo ou clivado ou hidrolisado em condições básicas ou ácidas. Em um exemplo de realização particular, um grupo de saída é selecionado dentre um átomo de halogênio (por exemplo, Cl, Br, I) ou um sulfonato (por exemplo, mesilato, tosilato, triflato).
[0071] O termo “grupo protetor” refere-se a um radical de um composto que mascara ou altera as propriedades de um grupo funcional ou as propriedades do composto como um todo. A subestrutura química de um grupo protetor varia amplamente. Uma função de um grupo protetor é a de servir como intermediário na síntese da substância do fármaco parental. Grupos protetores químicos e as estratégias de proteção/desproteção são bem conhecidas no estado da técnica. Vide: “Protective Groups in Organic Chemistry”, Theodora W. Greene (John Wiley & Sons, Inc., Nova Iorque, 1991. Os grupos de proteção são frequentemente utilizados para mascarar a reatividade de certos grupos funcionais, para auxiliar na eficiência de reações químicas desejadas, por exemplo, fazer e quebrar ligações químicas de uma forma ordenada e planejada. A proteção de grupos funcionais de um composto altera outras propriedades físicas além da reatividade do grupo funcional protegido, tais como a polaridade, lipofilicidade (hidrofobicidade) e outras propriedades que podem ser mensuradas por ferramentas analíticas comuns. Intermediários quimicamente protegidos podem ser biologicamente ativos ou inativos.
[0072] Compostos protegidos podem também exibir propriedades in vitro e in vivo alteradas e, em alguns casos, otimizadas, tais como a passagem através de membranas celulares e resistência à degradação ou sequestro enzimático. Neste papel, compostos protegidos com efeitos terapêuticos desejados podem ser referidos como pró-drogas. Outra função de um grupo protetor consiste em converter o fármaco parental, em um pró- fármaco, em que o fármaco parental é libertado após a conversão in vivo do pró-fármaco. Como pró-fármacos ativos podem ser absorvidos de forma mais eficaz do que o fármaco parental, os pró-fármacos podem possuir uma maior potência in vivo do que o fármaco parental. Os grupos protetores são removidos in vitro, no caso dos intermediários químicos, ou in vivo no caso dos pró-fármacos. Com intermediários químicos, não é particularmente importante que os produtos resultantes após a desproteção, por exemplo, alcoóis, sejam fisiologicamente aceitáveis, embora de um modo geral é mais desejável que os produtos sejam farmacologicamente inócuos.
[0073] O termo “hidrocarbila”, “hidrocarbila C1-18”, “grupo hidrocarbila” ou “grupo hidrocarbila C1-18” conforme utilizado na presente invenção refere-se ao hidrocarbonos C1-C18 ciclos ou aciclos, normais, secundários, terciários, insaturados ou saturados, não aromáticos, e suas combinações. Assim, este termo compreende alquila, alquenila, alquinila, cicloalquila, cicloalquenila e cicloalquinila.
[0074] A terminologia “heterohidrocarbila”, “hetero hidrocarbila C1-18”, “heterohidrocarbila C1-18” “grupo heterohidrocarbila”, “grupo heterohidrocarbila C1-18” ou “grupo hidrocarbila” que opcionalmente inclui um ou mais heteroátomos, cujos referidos heteroátomos são selecionados dentre os átomos consistindo de O, S, e N’’ conforme utilizado na presente invenção, refere-se a um grupo hidrocarbila em que um ou mais átomos de carbono são substituídos com um ou mais átomos de oxigênio, nitrogênio ou enxofre e inclui, portanto, heteroalquila, heteroalquenila, heteroalquinila e heterociclos não aromáticos. Consequentemente, este termo compreende como exemplos alcóxi, alqueniloxi, alquilCw-O-alquilaC18-w, alquenilCw-O-alquila, alquilCw-NH- alquenilaC18-w, entre outros, em que w é selecionado a partir de qualquer número entre 1 e 18.
[0075] O termo “alquila” ou “alquila C1-18” conforme utilizado no presente significa hidrocarbonetos C1-C18 normais, secundários ou terciários, lineares, ramificados, sem sítio de insaturação. Exemplo são metila, etila, 1- propila (n-propil), 2-propila (iPr), 1-butila, 2-metil-1-propil(i-Bu), 2-butila (s-Bu), 2-dimetil-2-propila (t-Bu), 1-pentil(n-pentil), 2-pentila, 3-pentila, 2-metil-2-butil, 3- metil-2-butil, 3-metil-1-butila, 2-metil-1-butila, 1-hexila, 2-hexila, 3-hexila, 2- metil-2-pentila, 3-metil-2-pentila, 4-metil-2-pentila, 3-metil-3-pentila, 2-metil-3- pentila, 2,3-dimetil-2-butila, 3,3-dimetil-2-butila, n-heptila, n-octila, n-nonila, n- decila, n-undecila, n-dodecila, n-tridecila, n-tetradecila, n-pentadecila, n- hexadecila, n-heptadecila, n-octadecila, n-nonadecila, e n-icosila. Em um exemplo de realização específico, o termo alquila refere-se a hidrocarbonetos C1-12, em um exemplo de realização ainda mais específico aos hidrocarbonetos C1-6, em um exemplo de realização mais específico ainda aos hidrocarbonetos C1-3 conforme definido adicionalmente acima. Uma alquila preferida é a alquila C1-6. Outra alquila preferida é a alquila C1-4.
[0076] O termo “cicloalquila” ou “cicloalquila C3-18” conforme utilizado no presente e a menos que indicado de outra forma significa um radical de hidrocarboneto monovalente saturado possuindo de 3 a 18 átomos de carbono que consiste, ou compreende um grupo monociclo C3-10 ou policiclo C7-18, saturado, tais como por exemplo ciclopropila, ciclopropilmetileno, ciclobutila, ciclopentila, ciclopentilmetileno, ciclopropiletileno, metilciclopropileno, ciclohexila, cicloheptila, ciclooctila, isopropoilciclooctila, ciclooctilmetileno, norbornila, fenquila, trimetiltricicloheptila, decalinila, adamantila e similares. Para evitar dúvidas e como um exemplo, ciclopentilmetileno refere-se a
em que o grupo metila no ciclopentila está acoplado a outro grupo. Além disso, para evitar dúvidas e como um exemplo, metilciclopropileno refere-se a
, em que a ciclopropila da metilciclopropila está acoplada a outro grupo. Uma cicloalquila preferida é cicloalquila C3-7.
[0077] O termo “alquenila” ou “alquenila C2-18” conforme utilizado no presente é um hidrocarboneto C2-C18 normal, secundário ou terciário, linear ou ramificado com pelo menos um sítio (geralmente 1 a 3, de um modo preferido 1) de insaturação, ou seja, uma ligação dupla carbono-carbono, sp2. Exemplos incluem, mas não estão limitados a: etileno ou vinila (-CH=CH2), allila (-CH2CH=CH2), e 5-hexenila (-CH2CH2CH2CH2CH=CH2). A ligação dupla pode estar na configuração cis ou trans. Em um exemplo de realização particular, o termo alquenila refere-se a hidrocarbonetos C2-12, ainda mais particularmente aos hidrocarbonetos C2-6 conforme adicionalmente definido acima. Uma alquenila preferida é a alquenila C2-6.
[0078] O termo “cicloalquenila”, conforme utilizado na presente invenção refere-se a um hidrocarboneto não aromático possuindo de 3 a 18 átomos de carbono com pelo menos um sítio (geralmente 1 a 3, de um modo preferido 1) de insaturação, ou seja, uma ligação dupla carbono-carbono sp2 e consistindo, ou compreendendo, um hidrocarboneto monociclo C3-10 ou policiclo C7-18. Exemplos incluem, mas não estão limitados a: ciclopentenila (-C5H7), ciclopentenilpropileno, metilciclohexenileno e ciclohexenila (-C6H9). A ligação dupla pode estar na configuração cis ou trans.
[0079] O termo “alquinila” ou “alquinila C2-18”, conforme utilizado na presente invenção refere-se a um hidrocarboneto C2-C18, ramificado ou linear, normal, secundário, terciário, com pelo menos um sítio (geralmente 1 a 3, de um modo preferido 1) de insaturação, ou seja, uma ligação tripla sp, carbono-carbono. Exemplos incluem, mas não estão limitados a: etinila (- C=CH), e 1-propinila (propargila, -CH2C=CH). Em um exemplo de realização particular, o termo alquinila refere-se a hidrocarbonetos C2-12, ainda mais particularmente aos hidrocarbonetos C2-6 conforme adicionalmente definido acima. Uma alquinila preferida é a alquinila C2-6.
[0080] O termo “cicloalquinila”, conforme utilizado na presente invenção refere-se a um hidrocarboneto não aromático possuindo de 3 a 18 átomos de carbono com pelo menos um sítio (geralmente 1 a 3, de um modo preferido 1) de insaturação, ou seja, uma ligação tripla sp, carbono-carbono e consistindo, ou compreendendo, um hidrocarboneto monociclo C3-10 ou policiclo C7-18. Exemplos incluem, mas não estão limitados a: ciclohept-1-ina, 3-etil- ciclohept-1-inileno, 4-ciclohept-1-in-metileno e etileno-ciclohept-1-ina.
[0081] O termo “alquileno” refere-se na presente invenção a um radical de hidrocarboneto saturado, de cadeia linear ou ramificada de 1-18 átomos de carbono, (mais particularmente C1-12 ou C1-16 átomos de carbono) e possuindo dois centros de radicais monovalentes derivados da remoção de dois átomos de hidrogênio a partir dos mesmos ou de dois átomos de carbono diferentes de um alcano progenitor. Os radicais alquileno típicos incluem, mas não estão limitados a: metileno (-CH2-), 1,2-etila (-CH2CH2-), 1,3-propila (- CH2CH2CH2-), 1,4-butila (-CH2CH2CH2CH2-), e similares.
[0082] O termo “alquenileno” conforme utilizado no presente refere-se a um hidrocarboneto de cadeia linear ou ramificada de 2-18 átomos de carbono (mais em particularmente C2-12 ou C2-6 átomos de carbono) com pelo menos um sítio (geralmente 1 a 3, e preferencialmente 1) de insaturação, ou seja, uma ligação dupla sp2, carbono-carbono, e possuindo dois centros radicais monovalentes derivados da remoção de dois átomos de hidrogênio a partir do mesmo ou de dois átomos de carbono diferentes de um alqueno progenitor.
[0083] O termo “alquinileno” conforme utilizado no presente refere- se a um hidrocarboneto de cadeia linear ou ramificada de 2-18 átomos de carbono (mais em particularmente C2-12 ou C2-6 átomos de carbono) com pelo menos um sítio (geralmente 1 a 3, e preferencialmente 1) de insaturação, ou seja, uma ligação tripla sp, carbono-carbono, e possuindo dois centros radicais monovalentes derivados da remoção de dois átomos de hidrogênio a partir do mesmo ou de dois átomos de carbono diferentes de um alquina progenitora.
[0084] O termo “heteroalquila”, conforme utilizado no presente refere-se a uma alquila em que um ou mais átomos de carbono (geralmente 1, 2 ou 3) são substituídos com um átomo de oxigênio, nitrogênio ou enxofre, com a condição de que a referida cadeia pode não conter dois átomos de O adjacentes ou dois átomos de S adjacentes. Isto significa que um ou mais -CH3 da referida alquila pode ser substituído com -NH2 e/ou que um ou mais -CH2 da referida alquila acíclica pode ser substituído com -NH-, -O- ou -S-. Os átomos de S nas referidas cadeias podem opcionalmente ser oxidados com um ou dois átomos de oxigênio, para se obter sulfóxidos e sulfonas, respectivamente. Além disso, os grupos heteroalquila, nos compostos da presente invenção podem conter um grupo oxo ou tio em qualquer carbono ou heteroátomo que resulte em um composto estável. Os átomos de C na referida cadeia podem opcionalmente ser oxidados com um átomo de oxigênio, para proporcionar, por exemplo, grupos carbonila e carbonilóxi, respectivamente. Exemplos de grupos heteroalquila incluem, mas não estão limitados a, alcoóis, éteres alquílicos, alquilaminas primárias, secundárias, e terciárias, amidas, cetonas, ésteres, sulfuretos de alquila e sulfonas de alquila. -CO-O-alquila, -O-alquila, - NH-alquila, -N(alquil)2, -S(=O)2alquila, e -S-alquila. Em alguns exemplos de realização, a referida heteroalquila C1-6 como um grupo ou parte de um grupo é selecionada a partir de -CO-O-alquilaC1-5, -O-alquila C1-6, -NH-alquila C1-6, - N(alquila C1-6)2, -S(=O)2alquila C1-6, e -S-alquila C1-6.
[0085] O termo “heteroalquenila”, conforme utilizado no presente refere-se a uma alquenila em que um ou mais átomos de carbono (geralmente 1, 2 ou 3) são substituídos com um átomo de oxigênio, nitrogênio ou enxofre, com a condição de que a referida cadeia pode não conter dois átomos de O adjacentes ou dois átomos de S adjacentes. Isto significa que um ou mais -CH3 da referida alquenila pode ser substituído com -NH2 e/ou que um ou mais -CH2 da referida alquenila acíclica pode ser substituído com -NH-, -O- ou -S- e/ou que um ou mais -CH= da referida alquinila acíclica pode ser substituído com - N=.. Os átomos de S nas referidas cadeias podem opcionalmente ser oxidados com um ou dois átomos de oxigênio, para se obter sulfóxidos e sulfonas, respectivamente. Além disso, os grupos heteroalquila, nos compostos da presente invenção podem conter um grupo oxo ou tio em qualquer carbono ou heteroátomo que resulte em um composto estável. O termo heteroalquenila compreende, assim, iminas, -O-alquenila, -NH-alquenila, -N(alquenila)2, - N(alquil)(alquenila), e -S-alquenila.
[0086] O termo “heteroalquinila”, conforme utilizado no presente refere-se a uma alquinila em que um ou mais átomos de carbono (geralmente 1, 2 ou 3) são substituídos com um átomo de oxigênio, nitrogênio ou enxofre, com a condição de que a referida cadeia pode não conter dois átomos de O adjacentes ou dois átomos de S adjacentes. Isto significa que um ou mais -CH3 da referida alquinila pode ser substituído com -NH2 e/ou que um ou mais -CH2 da referida alquinila acíclica pode ser substituído com -NH-, -O- ou -S- e/ou que um ou mais -CH= da referida alquinila acíclica pode ser substituído com - N=e/ou que um ou mais ^=CHda referida alquinila acíclica pode ser substituído com N. Os átomos de S nas referidas cadeias podem opcionalmente ser oxidados com um ou dois átomos de oxigênio, para se obter sulfóxidos e sulfonas, respectivamente. Além disso, os grupos heteroalquinila, nos compostos da presente invenção podem conter um grupo oxo ou tio em qualquer carbono ou heteroátomo que resulte em um composto estável. O termo heteroalquinila compreende, assim, -O-alquinila, -NH-alquinila, - N(alquinil)2, -N(alquil)(alquinila), -N(alquenil)(alquinila), e -S-alquinila.
[0087] O termo “heteroalquileno”, conforme utilizado no presente refere-se a um alquileno em que um ou mais átomos de carbono (geralmente 1, 2 ou 3) são substituídos com um átomo de oxigênio, nitrogênio ou enxofre, com a condição de que a referida cadeia pode não conter dois átomos de O adjacentes ou dois átomos de S adjacentes. Isto significa que um ou mais -CH3 do referido alquileno pode ser substituído com -NH2 e/ou que um ou mais -CH2 do referido alquileno pode ser substituído com -NH-, -O- ou -S-. Os átomos de S nas referidas cadeias podem opcionalmente ser oxidados com um ou dois átomos de oxigênio, para se obter sulfóxidos e sulfonas, respectivamente. Além disso, os grupos heteroalquileno, nos compostos da presente invenção podem conter um grupo oxo ou tio em qualquer carbono ou heteroátomo que resulte em um composto estável.
[0088] O termo “heteroalquenileno”, conforme utilizado no presente refere-se a um alquenileno em que um ou mais átomos de carbono (geralmente 1, 2 ou 3) são substituídos com um átomo de oxigênio, nitrogênio ou enxofre, com a condição de que a referida cadeia pode não conter dois átomos de O adjacentes ou dois átomos de S adjacentes. Isto significa que um ou mais -CH3 do referido alquenileno pode ser substituído com -NH2 e/ou que um ou mais -CH2 do referido alquenileno pode ser substituído com -NH-, -O- ou -S- e/ou que um ou mais -CH= do referido alquenileno pode ser substituído com -N=. Os átomos de S nas referidas cadeias podem opcionalmente ser oxidados com um ou dois átomos de oxigênio, para se obter sulfóxidos e sulfonas, respectivamente. Além disso, os grupos heteroalquenileno, nos compostos da presente invenção podem conter um grupo oxo ou tio em qualquer carbono ou heteroátomo que resulte em um composto estável.
[0089] O termo “heteroalquinileno”, conforme utilizado no presente refere-se a um alquinileno em que um ou mais átomos de carbono (geralmente 1, 2 ou 3) são substituídos com um átomo de oxigênio, nitrogênio ou enxofre, com a condição de que a referida cadeia pode não conter dois átomos de O adjacentes ou dois átomos de S adjacentes. Isto significa que um ou mais -CH3 do referido alquinileno pode ser substituído com -NH2 e/ou que um ou mais - CH2 do referido alquinileno pode ser substituído com -NH-, -O- ou -S- e/ou que um ou mais -CH= do referido alquinileno pode ser substituído com -N= e/ou que um ou mais ^=CHdo referido alquinileno pode ser substituído com N. Os átomos de S nas referidas cadeias podem opcionalmente ser oxidados com um ou dois átomos de oxigênio, para se obter sulfóxidos e sulfonas, respectivamente. Além disso, os grupos heteroalquinileno, nos compostos da presente invenção podem conter um grupo oxo ou tio em qualquer carbono ou heteroátomo que resulte em um composto estável. .
[0090] O termo “arila” conforme utilizado no presente significa um radical de hidrocarboneto aromático com 6-20 átomos de carbono derivados pela remoção de hidrogênio de um átomo de carbono a partir de um sistema de anel aromático parental. Grupos arila típicos incluem, mas não estão limitados a um anel, ou 2 ou 3 anéis fundidos em conjunto, radicais derivados de benzeno, naftaleno, antraceno, bifenila, e similares. O termo “sistema de anel aromático parental” significa um sistema de anel monociclo aromático ou um sistema de anel bi- ou triciclo, dos quais pelo menos um anel é aromático. Portanto, neste exemplo de realização, os grupos arila típicos incluem, mas não estão limitados a um anel, ou 2 ou 3 anéis fundidos juntos, radicais derivados de benzeno, naftaleno, antraceno, bifenila, 2,3-dihidro-1H-indenila, 5,6,7,8-tetrahidronaftalenila, 1,2,6,7,8,8a-hexahidroacenaftilenila, 1,2- dihidroacenaftilenila, e similares. Grupos arila específicos são fenila e naftila, especialmente fenila.
[0091] O termo “arilalquila” ou “arilalquil-” refere-se a um radical alquila, no qual um dos átomos de hidrogênio ligados a um átomo de carbono é substituído com um radical arila. Grupos arilalquila típicos incluem, mas não estão limitados a, benzila, 2-feniletan-1-il, 2-fenileten-1-ila, naftilmetila, 2- naftiletila, e similares. O grupo arilalquila compreende 6 a 20 átomos de carbono, por exemplo, a porção alquila do grupo arilalquila tem 1 a 6 átomos de carbono e a porção arila é de 5 a 14 átomos de carbono.
[0092] O termo “arilalquenila” ou “arilalquenil-” refere-se a um radical alquenila, no qual um dos átomos de hidrogênio ligados a um átomo de carbono é substituído com um radical arila. O grupo arilalquenila compreende 6 a 20 átomos de carbono, por exemplo, a porção alquenila do grupo arilalquenila tem 1 a 6 átomos de carbono e a porção arila é de 5 a 14 átomos de carbono.
[0093] O termo “arilalquinila” ou “arilalquinil-” refere-se a um radical alquinila no qual um dos átomos de hidrogênio ligados a um átomo de carbono é substituído com um radical arila. O grupo arilalquinila compreende 6 a 20 átomos de carbono, por exemplo, a porção alquinila do grupo arilalquinila tem 1 a 6 átomos de carbono e a porção arila é de 5 a 14 átomos de carbono.
[0094] O termo “arilheteroalquila” ou “heteroarilalquil-” refere-se a um radical heteroalquila, no qual um dos átomos de hidrogênio ligados a um átomo de carbono tipicamente um átomo de carbono terminal ou sp3, é substituído com um radical arila. O grupo arilheteroalquila compreende 6 a 20 átomos de carbono, por exemplo, a porção heteroalquila do grupo arilheteroalquila tem 1 a 6 átomos de carbono e a porção arila é de 5 a 14 átomos de carbono.
[0095] O termo “arilheteroalquenila” ou “heteroarilalquenil-” refere- se a um radical heteroalquenila, no qual um dos átomos de hidrogênio ligados a um átomo de carbono é substituído com um radical arila. O grupo arilheteroalquenila compreende 6 a 20 átomos de carbono, por exemplo, a porção heteroalquenila do grupo arilheteroalquenila tem 1 a 6 átomos de carbono e a porção arila é de 5 a 14 átomos de carbono.
[0096] O termo “arilheteroalquinila” ou “heteroarilalquinil-” refere- se a um radical heteroalquinila, no qual um dos átomos de hidrogênio ligados a um átomo de carbono é substituído com um radical arila. O grupo arilheteroalquinila compreende 6 a 20 átomos de carbono, por exemplo, a porção heteroalquinila do grupo arilheteroalquinila tem 1 a 6 átomos de carbono e a porção arila é de 5 a 14 átomos de carbono.
[0097] O termo “heterociclo”, conforme utilizado no presente, significa um sistema de anel aromático saturado ou insaturado, de 3 a 18 átomos, incluindo pelo menos um heteroátomo N, O, S ou P. Heterociclos incluem, portanto, grupos heteroarila. Heterociclos conforme utilizado no presente incluem a título de exemplos não limitantes do escopo da invenção, os heterociclos descritos em Paquette, Leo A. “Principles of Modern Heterocyclic Chemistry” (W.A. Benjamin, Nova Iorque, 1968), especialmente nos capítulos 1, 3, 4, 6, 7 e 9; “The Chemistry of Heterocyclic Compounds, A series of Monographs” (John Wiley & Sons, Nova Iorque, 1950 até o presente), especialmente os volumes 13, 14, 16, 19 e 28; Katritzky, Alan R., Rees, C.W. e Scriven, E. “Comprehensive Heterocyclic Chemistry” (Pergamon Press, 1996); e J. Am. Chem. Soc. (1960) 82:5566. Em um exemplo de realização específico, o termo significa piridila, dihidroipiridila, tetrahidropiridil (piperidila), tiazolila, tetrahidrotiofenila, tetrahidrotiofenila com enxofre oxidado, furanila, tienila, pirrolila, pirazolila, imidazolila, tetrazolila, benzofuranila, tianaftalenila, indolila, indolenila, quinolinila, isoquinolinila, benzimidazolila, piperidinila, 4-piperidonila, pirrolidinila, 2-pirrolidonila, pirrolinila, tetrahidrofuranila, bis-tetrahidrofuranila, tetrahidropiranila, bis-tetrahidropiranila, tetrahidroquinolinila, tetrahidroisoquinolinila, decahidroquinolinila, octahidroisoquinolinila, azocinila, triazinila, 6H-1,2,5-tiadiazinila, 2H,6H-1,5,2-ditiazinila, tiantrenila, piranila, isobenzofuranila, chromenila, xantenila, fenoxatinila, 2H-pirrolila, isotiazolila, isoxazolila, pirazinila, piridazinila, indolizinila, isoindolila, 3H-indolila, 1H- indazoli, purinila, 4H-quinolizinila, ftalazinila, naftiridinila, quinoxalinila, quinazolinila, cinnolinila, pteridinila, 4aH-carbazolila, carbazolila, β-carbolinila, fenantridinila, acridinila, pirimidinila, fenantrolinila, fenazinila, fenotiazinila, furazanila, fenoxazinila, isocromanila, cromanila, imidazolidinila, imidazolinila, pirazolidinila, pirazolinila, piperazinila, indolinila, isoindolinila, quinuclidinila, morfolinila, oxazolidinila, benzotriazolila, benzisoxazolila, oxindolila, benzoxazolinila, benzotienila, benzotiazolila e isatinoila.
[0098] O termo “heteroarila” significa um sistema de anel aromático de 5 a 18 átomos, incluindo pelo menos um heteroátomo N, O, S, ou P e, portanto, refere-se a heterociclos aromáticos. Exemplos de heteroarila incluem, mas não estão limitados a piridila, piridazinila, pirimidinila, pirazinila, s- triazinila, oxazolila, imidazolila, tiazolila, isoxazolila, pirazolila, isotiazolila, furila, tienila, e pirrolila.
[0099] O termo “heterociclo não aromático”, conforme utilizado no presente, significa um sistema de anel não aromático saturado ou insaturado com 3 a 18 átomos, incluindo pelo menos um heteroátomo N, O, S ou P.
[00100] O termo “heterociclo-alquila” ou “heterociclo-alquil-” conforme utilizado no presente refere-se a um radical alquila no qual um dos átomos de hidrogênio ligados a um átomo de carbono, tipicamente um atomo de carbono terminal ou sp3, é substituído com um radical heterociclo. Um exemplo de um grupo heterociclo-alquila é 2-piridil-metileno. O grupo heterociclo-alquila compreende 6 a 20 átomos, por exemplo, o radical alquila do grupo heterociclo-alquila é de 1 a 6 átomos de carbono e a porção heterociclo é de 3 a 14 átomos.
[00101] O termo “heterociclo-alquenila” ou “heterociclo- alquenil-”, conforme utilizado no presente refere-se a um radical alquenila em que um dos átomos de hidrogênio ligados a um átomo de carbono é substituído com um radical heterociclo. O grupo heterociclo-alquenila compreende 6 a 20 átomos, por exemplo, o radical alquenila do grupo heterociclo-alquenila tem 1 a 6 átomos de carbono e a porção heterociclo é de 3 a 14 átomos.
[00102] O termo “heterociclo-alquinila” ou “heterociclo- alquinil-” conforme utilizado na presente invençao refere-se a um radical alquinila em que um dos átomos de hidrogênio ligados a um átomo de carbono é substituído com um radical heterociclo. O grupo heterociclo-alquinila compreende 6 a 20 átomos, por exemplo, o radical alquinila do grupo heterociclo-alquinila é de 1 a 6 átomos de carbono e a porção heterociclo é de 3 a 14 átomos.
[00103] O termo “heterociclo-heteroalquila” ou “heterociclo- heteroalquil-”, conforme utilizado no presente refere-se a um radical heteroalquila em que um dos átomos de hidrogênio ligados a um átomo de carbono, tipicamente um átomo de carbono terminal ou sp3, é substituído com um radical heterociclo. O grupo heterociclo-heteroalquila compreende 6 a 20 átomos, por exemplo, o radical heteroalquila do grupo heterociclo-heteroalquila é de 1 a 6 átomos de carbono e a porção heterociclo é de 3 a 14 átomos.
[00104] O termo “heterociclo-heteroalquenila” ou “heterociclo-heteroalquenil-”, conforme utilizado no presente refere-se a um radical heteroalquenila em que um dos átomos de hidrogênio ligados a um átomo de carbono é substituído com um radical heterociclo. O grupo heterociclo-heteroalquenila compreende 6 a 20 átomos, por exemplo, o radical heteroalquenila do grupo heterociclo-heteroalquenila é de 1 a 6 átomos de carbono e a porção heterociclo é de 3 a 14 átomos.
[00105] O termo “heterociclo-heteroalquinila” ou “heterociclo- heteroalquinil-”, conforme utilizado no presente refere-se a um radical heteroalquinila em que um dos átomos de hidrogênio ligados a um átomo de carbono é substituído com um radical heterociclo. O grupo heterociclo- heteroalquinila compreende 6 a 20 átomos, por exemplo, o radical heteroalquinila do grupo heterociclo-heteroalquinila é de 1 a 6 átomos de carbono e a porção heterociclo é de 3 a 14 átomos.
[00106] O termo “arilheteroalquila” ou “heteroaril-alquil-” conforme utilizado no presente refere-se a um radical alquila em que um dos átomos de hidrogênio ligados a um átomo de carbono, tipicamente um átomo de carbono terminal ou sp3, é substituído com um radical heteroarila. Um exemplo de um grupo heteroaril-alquila é 2-piridil-metileno. O grupo heteroaril- alquila compreende 6 a 20 átomos, por exemplo, o radical alquila do grupo heteroaril-alquila é de 1 a 6 átomos de carbono e a porção heteroarila é de 5 a 14 átomos.
[00107] O termo “heteroaril-alquenila” ou “heteroaril-alquenil-”, conforme utilizado no presente refere-se a um radical alquenila em que um dos átomos de hidrogênio ligados a um átomo de carbono é substituído com um radical heteroarila. O grupo heteroaril-alquenila compreende 6 a 20 átomos, por exemplo, o radical alquenila do grupo heteroaril-alquenila tem 1 a 6 átomos de carbono e a porção heteroarila é de 5 a 14 átomos.
[00108] O termo “heteroaril-alquinila” ou “heteroaril-alquinil-” conforme utilizado no presente refere-se a um radical alquinila em que um dos átomos de hidrogênio ligados a um átomo de carbono é substituído com um radical heteroarila. O grupo heteroaril-alquinila compreende 6 a 20 átomos, por exemplo, o radical alquinila do grupo heteroaril-alquinila é de 1 a 6 átomos de carbono e a porção heteroarila é de 5 a 14 átomos.
[00109] O termo “heteroaril-heteroalquila” ou “heteroaril- heteroalquil-”, conforme utilizado no presente refere-se a um radical heteroalquila em que um dos átomos de hidrogênio ligados a um átomo de carbono, tipicamente um átomo de carbono terminal ou sp3, é substituído com um radical heterociclo. O grupo heteroaril-heteroalquila compreende 6 a 20 átomos, por exemplo, o radical heteroalquila do grupo heteroaril-heteroalquila é de 1 a 6 átomos de carbono e a porção heteroarila é de 5 a 14 átomos.
[00110] O termo “heteroaril-heteroalquenila” ou “heteroaril- heteroalquenil-”, conforme utilizado no presente refere-se a um radical heteroalquenila em que um dos átomos de hidrogênio ligados a um átomo de carbono é substituído com um radical heteroarila. O grupo heteroaril- heteroalquenila compreende 6 a 20 átomos, por exemplo, o radical heteroalquenila do grupo heteroaril-heteroalquenila é de 1 a 6 átomos de carbono e a porção heteroarila é de 5 a 14 átomos.
[00111] O termo “heteroaril-heteroalquinila” ou “heteroaril- heteroalquinil-”, conforme utilizado no presente refere-se a um radical heteroalquinila em que um dos átomos de hidrogênio ligados a um átomo de carbono é substituído com um radical heteroarila. O grupo heteroaril- heteroalquinila compreende 6 a 20 átomos, por exemplo, o radical heteroalquinila do grupo heteroaril-heteroalquinila é de 1 a 6 átomos de carbono e a porção heteroarila é de 5 a 14 átomos.
[00112] O termo “heterociclo-alquila não aromático” ou “heterociclo-alquil- não aromático” conforme utilizado no presente refere-se a um radical alquila aciclo em que um dos átomos de hidrogênio ligados a um átomo de carbono, tipicamente um átomo de carbono terminal ou sp3, é substituído com um heterociclo não aromático. O grupo heterociclo-alquila não aromático compreende 6 a 20 átomos, por exemplo, o radical alquila do grupo heterociclo-alquila não aromático é de 1 a 6 átomos de carbono e a porção do heterociclo não aromático é de 3 a 14 átomos.
[00113] O termo “heterociclo-alquenila não aromático” ou “heterociclo não aromático-alquenil-”, conforme utilizado no presente refere-se a um radical alquenila aciclo em que um dos átomos de hidrogênio ligados a um átomo de carbono é substituído com um radical heterociclo não aromático. O grupo heterociclo-alquenila não aromático compreende 6 a 20 átomos, por exemplo, o radical alquenila do grupo heterociclo-alquenila não aromático é de 1 a 6 átomos de carbono e a porção heterociclo não aromático é de 3 a 14 átomos.
[00114] O termo “heterociclo-alquinila não aromático” ou “heterociclo não aromático-alquinil-”, conforme utilizado no presente refere-se a um radical alquinila aciclo em que um dos átomos de hidrogênio ligados a um átomo de carbono é substituído com um radical heterociclo não aromático. O grupo heterociclo não aromático-alquinila compreende 6 a 20 átomos, por exemplo, o radical alquinila do grupo heterociclo não aromático-alquinila é de 1 a 6 átomos de carbono e a porção do heterociclo não aromático é de 3 a 14 átomos.
[00115] O termo “heterociclo não aromático-heteroalquila” ou “heterociclo não aromático-heteroalquil-”, conforme utilizado no presente refere- se a um radical heteroalquila em que um dos átomos de hidrogênio ligados a um átomo de carbono, tipicamente um átomo de carbono terminal ou sp3, é substituído com um radical heterociclo. O grupo heterociclo não aromático- heteroalquila compreende 6 a 20 átomos, por exemplo, o radical heteroalquila do grupo heterociclonão aromático-heteroalquila é de 1 a 6 átomos de carbono e a porção do heterociclo não aromático é de 3 a 14 átomos.
[00116] O termo “heterociclo não aromático-heteroalquenila” ou “heterociclo não aromático--heteroalquenil-”, conforme utilizado no presente refere-se a um radical heteroalquenila em que um dos átomos de hidrogênio ligados a um átomo de carbono é substituído com um radical heterociclo não aromático. O grupo heterociclo não aromático-heteroalquenila compreende 6 a 20 átomos, por exemplo, o radical heteroalquenila do grupo heterociclo não aromático-heteroalquenila é de 1 a 6 átomos de carbono e a porção do heterociclo não aromático é de 3 a 14 átomos.
[00117] O termo “heterociclo não aromático-heteroalquinila” ou “heterociclo não aromático-heteroalquinil-”, conforme utilizado no presente refere-se a um radical heteroalquinila em que um dos átomos de hidrogênio ligados a um átomo de carbono é substituído com um radical heterociclo não aromático. O grupo heterociclo não aromático-heteroalquinila compreende 6 a 20 átomos, por exemplo, o radical heteroalquinila do grupo heterociclo não aromático-heteroalquinila é de 1 a 6 átomos de carbono e a porção do heterociclo não aromático é de 3 a 14 átomos.
[00118] A título de exemplo, anéis heterociclos ligados a carbono estão ligados nas posições 2, 3, 4, 5 ou 6 de uma piridina, posição 3, 4, 5 ou 6 de uma piridazina, posição 2, 4, 5, ou 6 de uma pirimidina, posição 2, 3, 5 ou 6 de uma pirazina, posição 2, 3, 4 ou 5 de um furano, tetrahidrofurano, tiofeno, pirrol ou tetrahidrotiofeno, posição 2, 4 ou 5 de um oxazol, imidazol ou tiazol, posição 3, 4 ou 5 de uma isoxazol, pirazole, ou isotiazole, posição 2 ou 3 de uma aziridina, posição 2, 3 ou 4 de uma azetidina, posição 2, 3, 4, 5, 6, 7 ou 8 de uma quinolína ou posição 1, 3, 4, 5, 6, 7 ou 8 de um isoquinolina. Ainda mais tipicamente, heterociclos ligados por carbono incluem 2-piridila, 3-piridila, 4-piridila, 5-piridila, 6-piridila, 3-piridazinila, 4-piridazinila, 5-piridazinila, 6- piridazinila, 2-pirimidinila, 4 - pirimidinila, 5-pirimidinila, 6-pirimidinila, 2- pirazinila, 3-pirazinila, 5-pirazinila, 6-pirazinila, 2-tiazolila, 4-tiazolila ou 5- tiazolila. A título de exemplo, anéis heterociclos estão ligados por nitrogênio estão ligados na posição, 1 de um aziridina, azetidina, pirrol, pirrolidina, 2- pirrolina, 3-pirrolina, imidazólicos, imidazolidina, 2-imidazolina, 3-imidazolina, pirazol, pirazolina, 2-pirazolina, 3-pirazolina, piperidina, piperazina, indólicos, indolina, 1H-indazol, posição 2 de uma isoindol, ou isoindolina, posição 4 de uma morfolina, e posição 9 de uma carbazol, ou β-carbolina. Ainda mais tipicamente, os heterociclos ligados por nitrogênio incluem 1-aziridila, 1- azetedila, 1-pirrolila, 1-imidazolila, 1-pirazolila e 1-piperidinila.
[00119] Conforme utilizado no presente e a menos que indicado de outra forma, os termos “alcóxi”, “ciclo-alcóxi”, “ariloxi”, “arilalquiloxi”, “heterociclo-oxi”, “alquiltio”, “cicloalquiltio”, “ariltio”, “arilalquiltio” e “heterociclotio” referem-se aos substituintes em que um grupo alquila, respectivamente, um grupo cicloalquila, arila, arilalquila ou heterociclo (cada um deles conforme definido no presente), estão ligados a um átomo de oxigênio ou um átomo de enxofre através de uma ligação simples, tais como, mas não se limitando a; metoxi , etoxi, propoxi, butoxi, tioetilo, tiometila, feniloxila, benziloxila, mercaptobenzila e similares. As mesmas definições serão aplicadas para alquenila e alquinila em vez de alquila. Um alcóxi preferido é o alcóxi C1-6; outro alcóxi preferido é alcóxi C1-4.
[00120] Conforme utilizado no presente e a menos que indicado de outra forma, o termo halogêneo significa qualquer átomo selecionado a partir do grupo que consiste de flúor (F), cloro (Cl), bromo (Br) e iodo (I).
[00121] Conforme utilizado no presente em relação a um grupo substituinte, e a menos que indicado de outra forma, os termos “substituído” tal como em “alquila substituída”, “alquenila substituída”, “alquinila substituída”, “arila substituída”, “heterociclo substituído”, “arilalquila substituída”, “heterociclo-alquila substituído” e similares referem-se às estruturas químicas aqui definidas, e em que a referida hidrocarbila, grupo hetero e/ou a referida arila ou heterociclo podem ser opcionalmente substituídos com um ou mais substituintes (preferivelmente 1, 2, 3, 4, 5 ou 6), o que significa que um ou mais átomos de hidrogênio são cada um independentemente substituídos com um substituinte. Os substituintes típicos incluem, mas não estão limitados, em um exemplo de realização particular os referidos substituintes são independentemente selecionados a partir do grupo que consiste de halogênio, amina, hidroxila, sulfidrila, alquila, alcóxi, alquenila, alqueniloxi, alquinila, alquiniloxi, cicloalquila, cicloalquenila, cicloalquinila, heteroalquila, heteroalquenila, heteroalquinila, arila, heterociclo, arilalquila, arilalquenila, arilalquinila, heterociclo-alquila, heterociclo-alquenila e heterociclo-alquinila, -X, -Z, -O-, -OZ, =O, -SZ, -S-, =S, -NZ2, -N+Z3, =NZ, =N-OZ, -CX3 (pode exemplo, trifluorometila), -CN, -OCN, -SCN, -N=C=O, -N=C=S, -NO, -NO2, =N2, -N3, - NZC(O)Z, -NZC(S)Z, -NZC(O)O-, -NZC(O)OZ, -NZC(S)OZ, -NZC(O)NZZ, NZC(NZ)Z, NZC(NZ)NZZ, -C(O)NZZ, -C(NZ)Z, -S(O)2O-, -S(O)2OZ, -S(O)2Z, - OS(O)2OZ, -OS(O)2Z, -OS(O)2O-, -S(O)2NZ, -S(O)Z, -OP(O)(OZ)2, -P(O)(OZ)2, - P(O)(O-)2, -P(O)(OZ)(O-), -P(O)(OH)2, -C(O)Z, -C(O)X, -C(S)Z, -C(O)OZ, - C(O)O-, -C(S)OZ, -C(O)SZ, -C(S)SZ, -C(O)NZZ, -C(S)NZZ, -C(NZ)NZZ, - OC(O)Z, -OC(S)Z, -OC(O)O-, -OC(O)OZ, -OC(S)OZ, em que cada X é independentemente um halogênio selecionado a partir de F, Cl, Br, ou I; e cada Z é independentemente -H, alquila, alquenila, alquinila, heteroalquila, heteroalquenila, heteroalquinila, arila, heterociclo, grupo protetor ou porção pró- fármaco, enquanto dois Z ligados a um átomo de nitrogênio podem ser considerados em conjunto com o átomo de nitrogênio ao qual eles estão ligados para formar um heterociclo. Grupos alquil(eno), alquenil(eno), e alquinil(eno) também podem ser similarmente substituídos.
[00122] Qualquer designação de substituinte que se encontra em mais de um local, em um composto da presente invenção deve ser selecionado de forma independente.
[00123] Substituintes são opcionalmente designados com ou sem ligações. Independentemente das indicações de ligações, se um substituinte é polivalente (com base na sua posição na estrutura a que se refere), então qualquer e todas as possíveis orientações do substituinte são abrangidas.
[00124] Conforme utilizado no presente e a menos que indicado de outra forma, o termo “solvato” inclui qualquer combinação que pode ser formada por um derivado desta invenção com um solvente inorgânico adequado (por exemplo, hidratos) ou solventes orgânicos, tais como, mas não limitado a alcoóis, cetonas, ésteres , éteres, nitrilas e semelhantes.
[00125] O termo “heteroátomo(s)”, conforme utilizado no presente, significa um átomo selecionado a partir de nitrogênio, que pode ser quaternizado; oxigênio; e enxofre, incluindo sulfóxido e sulfona.
[00126] O termo “hidroxi”, conforme utilizado na presente invenção, significa -OH.
[00127] O termo “carbonila” conforme utilizado na presente invenção significa um átomo de carbono ligado ao oxigênio com uma ligação dupla, ou seja, C=O.
[00128] O termo “amino”, conforme utilizado na presente invenção significa o grupo -NH2.
[00129] Os compostos da invenção são utilizados para o tratamento ou profilaxia de infecções virais, mais particularmente infecções por Flavivírus.
[00130] Flavivírus é um gênero da família (vide http://en.wikipedia.org/wiki/Flaviviridae). Este gênero inclui o vírus do Oeste do Nilo, vírus da dengue, encefalite transmitida por carrapatos, vírus da febre amarela, e diversos outros vírus que podem causar encefalite. Os Flavivírus compartilham um tamanho comum (40-65 nm), simetria (envelopado, nucleocapsídeo icosaédrico), ácido nucleico (sentido positivo, RNA de cadeia simples de aproximadamente 10,000-11,000 bases) e é evidenciado por microscopia eletrônica. Estes vírus são transmitidos pela picada de um artrópode infectado (mosquito ou carrapato).
[00131] Os compostos da invenção são particularmente ativos contra a replicação do vírus da dengue. Para o vírus da dengue são conhecidos quatro sorotipos distintos, mas estreitamente relacionados, (DENV- 1, -2, -3 e -4). A dengue é endêmica na maioria das regiões tropicais e subtropicais de todo o mundo, predominantemente em áreas urbanas e semiurbanas. Segundo a Organização Mundial da Saúde (OMS), 2,5 bilhões de pessoas, das quais 1 bilhão de crianças estão em risco de infecção pelo DENV (WHO, 2002). Estima-se que 50 a 100 milhões de casos de febre da dengue [DF], meio milhão de casos da doença grave da dengue (ou seja, a febre da dengue hemorrágica [FHD] e síndrome do choque associado à dengue [DSS]), e mais de 20.000 mortes ocorrem anualmente no mundo. A FHD se tornou uma das principais causas de hospitalização e morte entre as crianças nas regiões endêmicas. Ao todo, a dengue representa a causa mais comum de doença arboviral. Devido a recentes grandes surtos em países situados na América Latina, Sudeste da Ásia e Pacífico Ocidental (incluindo o Brasil, Porto Rico, Venezuela, Camboja, Indonésia, Vietnã, Tailândia), o número de casos de dengue tem aumentado drasticamente nos últimos anos. Não é apenas o número de casos de dengue crescente devido à doença estar se espalhando para novas áreas, mas os surtos tendem a ser mais graves.
[00132] Para prevenir e/ou controlar a dengue, os únicos métodos disponíveis atualmente são estratégias de erradicação do mosquito para controlar o vetor. Embora haja progressos no desenvolvimento de vacinas para a dengue, muitas dificuldades são encontradas. Dentre estas incluem a existência de um fenômeno conhecido como amplificação dependente de anticorpo (ADE). A recuperação de uma infecção por um sorotipo fornece imunidade vitalícia contra esse sorotipo, mas confere apenas uma proteção parcial e transitória contra uma infecção subsequente por um dos outros três sorotipos. Após a infecção por outro sorotipo, anticorpos heterólogos pré- existentes formam complexos com o sorotipo do vírus da dengue que infectou recentemente, mas não neutralizam o patógeno. Em vez disso, acredita-se que a entrada do vírus nas células seja facilitada, resultando na replicação do vírus descontrolada e em altos títulos de pico viral. Tanto nas infecções primárias quanto secundárias, os títulos virais mais elevados estão associados à doença da dengue mais grave. Uma vez que os anticorpos maternos podem facilmente passar para as crianças através do aleitamento materno, essa pode ser uma das razões pelas quais as crianças são mais afetadas do que os adultos pela doença grave da dengue.
[00133] Em locais com dois ou mais sorotipos que circulam simultaneamente, também referidas como regiões hiperendêmicas, o risco de doença grave da dengue é significativamente mais elevada devido a um risco aumentado de sofrer uma infecção secundária, mais severa. Além disso, em uma situação de hiperendemicidade, a probabilidade do aparecimento de cepas mais virulentas é aumentada, que por sua vez aumenta a probabilidade de ocorrência da dengue hemorrágica (DHF) ou síndrome do choque associado à dengue.
[00134] Quando se utiliza um ou mais compostos da invenção e das fórmulas aqui definidas:
[00135] - O(s) composto(s) pode(m) ser administrado(s) ao animal ou mamífero (incluindo um ser humano) a ser tratado por quaisquer meios bem conhecidos na arte, ou seja, oralmente, intranasalmente, subcutaneamente, intramuscularmente, intradermicamente, intravenosamente, intra-arterialmente, parentericamente ou por cateterismo.
[00136] - A quantidade terapeuticamente eficaz da preparação do(s) composto(s), especialmente para o tratamento de infecções virais em seres humanos e outros mamíferos, é preferencialmente uma quantidade das fórmulas inibidora da replicação do Flavivírus tal como definido na presente invenção e corresponde a uma quantidade que assegura um nível plasmático entre 1 μg/ml e 100 mg/ml, opcionalmente, 10 mg/ml.
[00137] A presente invenção diz respeito ainda a um método para a prevenção ou tratamento de infecções virais em um sujeito ou paciente, pela administração ao paciente com necessidade do mesmo de uma quantidade terapeuticamente eficaz dos compostos da presente invenção. A quantidade terapeuticamente eficaz do(s) composto(s), especialmente para o tratamento de infecções virais em seres humanos e outros mamíferos, é de preferência uma quantidade inibidora de replicação do Flavivírus. A dosagem adequada está normalmente na faixa de 0,001 mg a 60 mg, opcionalmente, de 0,01 mg a 10 mg, opcionalmente, 0,1 mg a 1 mg por dia por kg de peso corporal para seres humanos. Dependendo da condição patológica a ser tratada e do estado do paciente, a referida quantidade eficaz pode ser dividida em várias subunidades por dia ou pode ser administrada em intervalos de mais de um dia.
[00138] Como é convencional na arte, a avaliação de um efeito sinérgico na combinação de drogas pode ser feita analisando a quantificação das interações entre as drogas individuais, usando o princípio do efeito mediano descrito por Chou et al. em Adv. Enzyme Reg. (1984) 22:27. Resumidamente, este princípio afirma que as interações (sinergismo, aditividade, antagonismo) entre duas drogas podem ser quantificadas usando o índice de combinação (designado adiante como CI) definido pela seguinte equação:
[00140] em que EDX é a dose da primeira ou respectivamente segunda droga usada sozinha (1a, 2a), ou em combinação com a segunda ou respectivamente primeira droga (1c, 2c), que é necessária para produzir um determinado efeito. A primeira e segunda droga mencionada tem efeitos aditivos ou sinérgicos ou antagonistas, dependendo de CI <1, IC = 1, ou CI> 1, respectivamente.
[00141] A atividade sinergística das composições farmacêuticas ou preparações combinadas da presente invenção contra a infecção viral também pode ser facilmente determinada por meio de um ou mais testes como, mas não se limitando, o método de isobolograma, conforme descrito anteriormente por Elion et al. em J. Biol. Chem. (1954) 208: 477-488 e por Baba et al. em Antimicrob. Agents Chemother. (1984) 25: 515-517, utilizando a EC50 para calcular a concentração inibidora fracional (a seguir designada como FIC). Quando o índice FIC mínimo correspondente ao FIC de compostos combinados (por exemplo, FICx + FICy) é igual a 1,0, a combinação é referida com sendo aditiva; quando se encontra entre 1,0 e 0,5, a combinação é definida como subsinergística, e quando é inferior a 0,5, a combinação é definida como sinérgica. Quando o índice FIC mínimo está entre 1,0 e 2,0 a combinação é definida como subantagonística e, quando é superior a 2,0, a combinação é definida como antagonista.
[00142] Este princípio pode ser aplicado a uma combinação de diferentes drogas antivirais da invenção ou a uma combinação das drogas antivirais da invenção com outros fármacos que apresentam atividade antiviral ou que estimulam a resposta imune.
[00143] A invenção refere-se assim a uma composição farmacêutica ou preparação combinada possuindo efeitos sinérgicos contra uma infecção viral e contendo: Tanto: A) (a) uma combinação de dois ou mais dos compostos da presente invenção, e (b) opcionalmente um ou mais excipientes farmacêuticos ou veículos farmaceuticamente aceitáveis, para a utilização simultânea, separada ou sequencial no tratamento ou prevenção de uma infecção por Flavivírus ou B) (c) um ou mais agentes antivirais e/ou agentes estimulantes do sistema imune, e (d) pelo menos um dos compostos da presente invenção, e (e) opcionalmente um ou mais excipientes farmacêuticos ou veículos farmaceuticamente aceitáveis, para a utilização simultânea, separada ou sequencial no tratamento ou prevenção de uma infecção por Flavivírus.
[00144] Agentes antivirais adequados para inclusão nas composições antivirais sinérgicas ou preparações combinadas da presente invenção incluem a ribavirina.
[00145] Agentes estimulantes do sistema imune para a inclusão nas composições antivirais sinérgicas ou preparações combinadas da presente invenção incluem o interferon.
[00146] A composição farmacêutica ou preparação combinada com atividade sinergística contra a infecção viral de acordo com a presente invenção pode conter os compostos da presente invenção ao longo de uma ampla gama de conteúdo de acordo com o uso previsto e do efeito esperado da preparação. Geralmente, o teor do composto da invenção para a inclusão nas composições antivirais sinérgicas da presente invenção da preparação combinada está no intervalo de 0,1 a 99,9%, em peso, de preferência de 1 a 99% em peso, mais preferencialmente de 5 a 95% em peso.
[00147] De acordo com um exemplo de realização particular da invenção, os compostos da invenção podem ser utilizados em combinação com outros agentes terapêuticos para o tratamento ou profilaxia de infecções por Flavivírus, mais preferivelmente infecções pelo vírus da dengue. Consequentemente, a invenção está relacionada ao uso de uma composição compreendendo: (f) um ou mais compostos com as fórmulas descritas na presente invenção, e (g) um ou mais inibidores de enzima picornaviral como agentes biologicamente ativos nas respectivas proporções, tais como para proporcionar um efeito sinérgico contra uma infecção pelo Flavivírus, particularmente uma infecção pelo vírus da Dengue em um mamífero, por exemplo, sob a forma de uma preparação combinada para utilização simultânea, separada ou sequencial na terapia para a infecção viral.
[00148] De modo geral, a invenção está relacionada aos compostos de fórmula (A), (B), (C), (D-1), (D-2), (E), (F), e (L) e todos os exemplos de realização destes são úteis como agentes com atividade biológica (em particular atividade antiviral) ou como agentes de diagnóstico. Qualquer um dos usos mencionados em relação a presente invenção pode ser restrito a um uso não médico, não terapêutico, não diagnóstico, ou exclusivamente um uso in vitro, ou uso relacionado com células remotas a partir de um animal.
[00149] De modo geral, a invenção está relacionada aos compostos de fórmula (A), (B), (C), (D-1), (D-2), (E), (F), (G), (H), (I), (J), e todos os exemplos de realização destes são úteis como agentes com atividade biológica (em particular atividade antiviral) ou como agentes de diagnóstico. Qualquer um dos usos mencionados em relação a presente invenção pode ser restrito a um uso não médico, não terapêutico, não diagnóstico, ou exclusivamente um uso in vitro, ou uso relacionado com células remotas a partir de um animal.
[00150] Os técnicos hábeis no assunto reconhecerão também que os compostos da invenção podem existir em diversos estados de protonação diferentes, dependendo, entre outras coisas, do pH de seu ambiente. Embora as fórmulas estruturais aqui fornecidas ilustrem os compostos em apenas um dentre os vários estados de protonação possíveis, faz-se observar que estas estruturas são apenas ilustrativas, e que a invenção não está limitada a um determinado estado de protonação - quaisquer e todas as formas protonadas dos compostos destinam-se a cair dentro do escopo da invenção.
[00151] O termo “sais farmaceuticamente aceitáveis”, conforme utilizado no presente, significa as formas de sal atóxicas terapeuticamente ativas que os compostos das fórmulas da presente invenção são capazes de formar. Portanto, os compostos da presente invenção compreendem opcionalmente sais dos compostos da presente invenção, os sais atóxicos farmaceuticamente aceitáveis, especialmente contendo, por exemplo, Na+, Li+, K+, NH4+, Ca2+ e Mg2+. Tais sais podem incluir os derivados por combinação de cátions apropriados, tais como íons de metais alcalinos e metal alcalino- terrosos ou íons de amônia e amino quaternário, com um radical ânion de ácido, tipicamente um ácido carboxílico. Os compostos da invenção podem conter múltiplas diversas positivas ou negativas. A carga líquida dos compostos da invenção pode ser positiva ou negativa. Quaisquer contraíons associados são geralmente ditados pelos métodos de síntese e/ou isolamento, através da qual os compostos são obtidos. Contraíons típicos incluem, mas não estão limitados a, amônio, sódio, potássio, lítio, halogenetos, acetato, trifluoroacetato, etc, e suas misturas. Deve ser compreendido que a identidade de qualquer contraíon não está associada a uma característica crítica da invenção, e que a invenção abrange os compostos em associação com qualquer tipo de contraíon. Além disso, como os compostos podem existir em uma variedade de formas diferentes, a presente invenção destina-se a abranger não só as formas dos compostos que estão em associação com os contraíons (por exemplo, sais secos), mas também as formas que não estão em associação com um contraíon (por exemplo, soluções aquosas ou orgânicas). Os sais de metais são preparados tipicamente pela reação de hidróxido do metal com um composto da presente invenção. Exemplos de sais de metais que são preparados deste modo são sais que contêm Li+, Na+, e K+. Um sal de metal menos solúvel pode ser precipitado a partir da solução de um sal mais solúvel pela adição do composto metálico adequado. Além disso, os sais podem ser formados a partir da adição ácida de determinados ácidos orgânicos e inorgânicos para os centros básicos, tipicamente aminas, ou grupos acídicos. Exemplos de tais ácidos apropriados incluem, por exemplo, ácidos inorgânicos, tais como ácidos halogenídrico, por exemplo, ácido clorídrico ou bromídrico, ácido sulfúrico, ácido nítrico, ácido fosfórico e semelhantes; ou ácidos orgânicos, tais como, por exemplo, acético, propanóico, hidroxiacético, 2- hidroxipropanóico, 2-oxopropanóico, lático, pirúvico, oxálico (isto é, etanodióico), malônico, succínico (isto é, ácido butanodioico), maleico, fumárico, málico, tartárico, cítrico, metanossulfônico, etanossulfônico, benzenossulfônico, p-toluenossulfônico, ciclo-hexanossulfâmico, salicílico (ou seja, 2-hidroxibenzóico), p-amino-salicílico e semelhantes. Além disso, este termo inclui também os solvatos em que os compostos das fórmulas da presente invenção, bem como os seus sais, são capazes de formar, tais como, por exemplo, hidratos, alcoolatos e similares. Finalmente, deve ser entendido que as composições descritas na presente invenção compreendem compostos da invenção na sua forma não ionizada, bem como a forma zwiteriônica, e combinações com quantidades estequiométricas de água como em hidratos.
[00152] Também estão incluídos dentro do escopo da presente invenção os sais dos compostos parentais com um ou mais aminoácidos, especialmente os aminoácidos de ocorrência natural encontrados como componentes proteicos. O aminoácido é tipicamente aquele que contém uma cadeia lateral com um grupo básico ou acídico, por exemplo, lisina, arginina ou ácido glutâmico, ou um grupo neutro, tal como glicina, serina, treonina, alanina, isoleucina, ou leucina.
[00153] Os compostos da invenção também incluem sais fisiologicamente aceitáveis. Exemplos de sais fisiologicamente aceitáveis dos compostos da invenção incluem sais derivados de uma base apropriada, tal como um metal alcalino (por exemplo, sódio), um alcalino-terroso (por exemplo, magnésio), amônio e NX4+ (em que X é alquila C1- C4). Os sais fisiologicamente aceitáveis de um átomo de hidrogênio ou um grupo amino incluem sais de ácidos carboxílicos orgânicos tais como ácido acético, benzóico, lático, fumárico, tartárico, maleico, malônico, málico, isetiônico, lactobiônico e succínico; ácidos orgânicos sulfônicos, tais como metanossulfônico, etanossulfônico, benzenossulfônico e p-toluenossulfônico; e ácidos inorgânicos, como ácido clorídrico, sulfúrico, fosfórico e sulfâmico. Os sais fisiologicamente aceitáveis de um composto contendo um grupo hidroxi incluem o ânion do referido composto em combinação com um cátion adequado tal como Na+ e NX4+ (em que X é tipicamente selecionado independentemente de H ou um grupo alquila C1-C4). Entretanto, sais de ácidos ou bases que não são fisiologicamente aceitáveis podem também encontrar uso, por exemplo, na preparação ou purificação de um composto fisiologicamente aceitável. Todos os sais, sejam ou não derivados de um ácido ou base fisiologicamente aceitável, estão dentro do escopo da presente invenção.
[00154] Ânions preferidos para formar o sais de adição de ácido farmaceuticamente aceitável são o acetato, benzenossulfonato, benzoato, bicarbonato, bitartarato, brometo, edetato de cálcio, camsiato, carbonato, cloreto, citrato, dicloridrato, edetato, edisilato, estolato, esilato, fumarato, gluceptato, gluconato, glutamato, glicolilarsanilato, hexilresorcinato, hidrabamina, bromidrato, cloridrato, hidroxinaftoato, iodeto, isetionato, lactato, lactobionato, malato, maleato, mandelato, mesilato, metilbrometo, metilnitrato, metilsulfato, mucato, napsilato, nitrato, pamoato (embonato), pantotenato, fosfato/difosfato, poligalacturonato, salicilato, estearato, subacetato, succinato, sulfato, tanato, tartarato, teoclato, trietiodeto, e similares.
[00155] Cátions preferidos para formar sais de base farmaceuticamente aceitável são benzatina, cloroprocaína, colina, dietanolamina, etilenodiamina, meglumina, procaína, e similares; e os formados com cátions metálicos tais como o alumínio, cálcio, lítio, magnésio, potássio, sódio, zinco, e outros similares.
[00156] Conforme utilizado no presente e a menos que indicado de outra forma, o termo “enantiômero” significa cada forma oticamente ativa individual de um composto da invenção, tendo uma pureza ótica ou excesso enantiomérico (determinado por métodos padrão na arte) de pelo menos 80% (ou seja, pelo menos 90% de um enantiômero e no máximo 10% de outro enantiômero), de preferência pelo menos 90% e mais preferencialmente pelo menos 98%.
[00157] O termo “isômeros” conforme utilizado na presente invenção significa que os compostos de fórmulas da presente invenção podem possuir todas as possíveis formas isoméricas, incluindo as formas tautoméricas e estereoquímicas, mas não incluindo isômeros de posição. Tipicamente, as estruturas apresentadas na presente invenção exemplificam apenas uma forma tautomérica ou de ressonância dos compostos, mas as configurações alternativas correspondentes também são contempladas. Salvo quando indicado de outra forma, a designação química dos compostos denota a mistura de todas as possíveis formas estereoquimicamente isoméricas, contendo essas misturas todos os diastereômeros e enantiômeros (uma vez que os compostos de fórmulas da presente invenção podem ter pelo menos um centro quiral) da estrutura molecular básica, bem como os compostos estereoquimicamente puros ou enriquecidos. Mais particularmente, os centros estereogênicos podem ter ou a configuração R ou S, e ligações múltiplas podem ter a configuração cis ou trans.
[00158] Formas isoméricas puras dos referidos compostos são definidas como isômeros substancialmente livres de outras formas enantioméricas ou diastereoméricas da mesma estrutura molecular básica. Em particular, o termo “estereoisomericamente puro” ou “quiralmente puro” refere-se a compostos tendo um excesso estereoisomérico de, pelo menos, cerca de 80% (ou seja, pelo menos 90% de um isômero e máximo de 10% dos outros isômeros possíveis), de preferência pelo menos 90%, mais preferencialmente pelo menos 94% e mais preferencialmente pelo menos 97%. Os termos “enantiomericamente puro” e “diastereomericamente puro” devem ser entendidos de uma maneira semelhante, levando em conta o excesso enantiomérico, e respectivamente o excesso diastereomérico, da mistura em questão.
[00159] A separação de estereoisômeros é realizada por métodos convencionais conhecidos pelos especialistas no assunto. Um enantiômero de um composto da invenção pode ser separado de maneira substancialmente livre de seu enantiômero oposto por um método como a formação de diastereômeros usando agentes de resolução opticamente ativos (“Stereochemistry of Carbon Compounds”, (1962) por E. L. Eliel, McGraw Hill; Lochmuller, C. H., (1975) J. Chromatogr., 113:(3) 283-302). A separação dos isômeros em uma mistura pode ser conseguida por qualquer método adequado, incluindo: (1) a formação de sais diastereoméricos, iônicos com compostos quirais e separação por cristalização fracionada ou outros métodos, (2) formação de compostos diastereoméricos com reagentes de derivatização quirais, separação dos diastereoisômeros e conversão nos enantiômeros puros, e (3) os enantiômeros podem ser separados diretamente sob condições quirais. De acordo com o método (1), os sais diastereoméricos podem ser formados pela reação de bases quirais enantiomericamente puras, tais como brucina, quinina, efedrina, estricnina, α-metil-β-feniletilamina (anfetaminas), e similares, compostos assimétricos carregando funcionalidade acídica, tal como ácido carboxílico e ácido sulfônico. Os sais diastereoméricos podem ser induzidos a separação pela cristalização fracionada ou cromatografia iônica. Para a separação de isômeros ópticos dos compostos amino, a adição de ácidos carboxílicos quirais ou ácidos sulfônicos, como o ácido canforsulfônico, ácido tartárico, ácido mandélico e ácido láctico pode resultar na formação de sais diastereoméricos. Alternativamente, pelo método (2), o substrato para ser resolvido é reagido com um enantiômero de um composto quiral para formar um par diastereomérico (Eliel, E. e Wilen, S., Stereochemistry of Organic Compounds, John Wiley & Sons, Inc., 1994, pág. 322). Compostos diastereoméricos podem ser formados pela reação de compostos assimétricos com reagentes derivatizante quirais enantiomericamente puros, tais como os derivados de mentila, seguido pela separação dos diastereoisômeros e hidrólise para produzir o xanteno enantioméricamente enriquecido, livre. Um método de determinação da pureza ótica envolve a produção de ésteres quirais, tal como um éster mentila ou éster de Mosher, a-metoxi-a- (trifluorometil)-fenila (Jacob III. (1982) J. Org. Chem. 47: 4165), da mistura racêmica, e analisando o espectro por RMN para verificar a presença dos dois diasterômeros atropisoméricos. Diastereoisômeros estáveis podem ser separados e isolados por cromatografia normal de em fase reversa e em seguida pelos métodos de separação de naftil-isoquinolinas atropisoméricas (Hoye, T., WO 96/15111). De acordo com o método (3), uma mistura racêmica de dois enantiômeros assimétricos é separada por cromatografia utilizando uma fase estacionária quiral. Fases estacionárias quirais adequadas são, por exemplo, polissacarídeos, em particular os derivados da celulose ou amilose. Fases estacionárias quirais comercialmente disponíveis baseadas em polissacarídeo são ChiralCeITM CA, OA, OB5, OC5, OD, OF, OG, OJ e OK, e ChiralpakTM AD, AS, OP(+) e OT(+). Os eluentes ou fases móveis apropriados para utilização em combinação com as referidas fases estacionárias quirais de polissacarídeos são hexano e similares, modificados com um álcool tal como etanol, isopropanol e similares. (“Chiral Liquid Chromatography” (1989) W. J. Lough, Ed. Chapman e Hall, Nova Iorque; Okamoto, (1990) “Optical resolution of dihydropyridine enantiomers by High-performance liquid chromatography using phenylcarbamates of polysaccharides as a chiral stationary phase”, J. of Chromatogr. 513:375-378).
[00160] Os termos cis e trans são usados na presente invenção de acordo com a nomenclatura de Chemical Abstracts e incluem referência à posição dos substituintes em agrupamento de anel. A configuração estereoquímica absoluta dos compostos de fórmula (1) pode facilmente ser determinada pelos peritos na arte, enquanto utilizando métodos bem conhecidos, como, por exemplo, difração de raios-X.
[00161] Os compostos da invenção podem ser formulados com veículos e excipientes convencionais, que serão selecionados em conformidade com a prática padrão. Os comprimidos irão conter excipientes, deslizantes, cargas, aglutinantes e similares. As formulações aquosas são preparadas em uma forma estéril, e quando pretendidas para a entrega por administração oral geralmente serão isotônicas. As formulações contêm opcionalmente excipientes, tais como os apresentados em “Handbook of Pharmaceutical Excipients” (1986) e incluem o ácido ascórbico e outros antioxidantes, agentes quelantes como EDTA, carboidratos tais como dextrina, hidroxialquilcelulose, hidroxialquilmetilcelulose, ácido esteárico e similares.
[00162] Subsequentemente, o termo “veículo farmaceuticamente aceitável” conforme utilizado no presente, significa qualquer material ou substância com o qual o ingrediente ativo é formulado a fim de facilitar a sua aplicação ou disseminação no local a ser tratado, por exemplo, dissolvendo, dispersando ou difundindo a referida composição, e/ou para facilitar seu armazenamento, transporte ou manuseio sem prejudicar a sua eficácia. O veículo farmaceuticamente aceitável pode ser um sólido ou um líquido ou um gás que foi comprimido para formar um líquido, ou seja, as composições da presente invenção podem ser adequadamente utilizadas como concentrados, emulsões, soluções, granulados, pós, sprays, aerossóis, suspensões, pomadas, cremes, comprimidos, pastilhas ou pó.
[00163] Os veículos farmacêuticos adequados para uso nas referidas composições farmacêuticas e suas formulações são bem conhecidos pelos técnicos hábeis, e não há nenhuma restrição em particular quanto a sua seleção no âmbito da presente invenção.
[00164] Eles também podem incluir aditivos, tais como agentes de umidificação, agentes de dispersão, autocolantes, adesivos, agentes emulsionantes, solventes, revestimentos, agentes antibacterianos e antifúngicos (por exemplo, fenol, ácido sórbico, clorobutanol), agentes isotônicos (tais como açúcares ou cloreto de sódio) e similares, desde que os mesmos sejam consistentes com a prática farmacêutica, ou seja, veículos e aditivos que não criam danos permanentes aos mamíferos.
[00165] As composições farmacêuticas da presente invenção podem ser preparadas de qualquer maneira conhecida, por exemplo misturando homogeneamente, revestindo e/ou moendo os ingredientes ativos, em um procedimento de uma etapa ou multi-etapas, com o material transportador selecionado, e, se for caso, outros aditivos como agentes tensoativos, também podem ser preparados por micronização, por exemplo, com o objetivo de obter-los na forma de microsferas usualmente possuindo um diâmetro de cerca de 1 a 10 gm, ou seja, para a fabricação de microcápsulas de liberação controlada ou prolongada dos ingredientes ativos.
[00166] Os agentes tensoativos adequados, também conhecidos como emulgentes ou emulsionantes, para serem utilizados nas composições farmacêuticas da presente invenção são materiais não iônicos, catiônicos e/ou aniônicos possuindo boas propriedades emulsionantes, dispersantes e/ou molhantes. Tensoativos aniônicos adequados incluem sabões solúveis em água e agentes tensoativos sintéticos solúveis em água. Os sabões adequados são os sais alcalinos ou alcalino-terrosos, sais de amônia não substituídos ou substituídos de ácidos graxos superiores (C10-C22), por exemplo, os sais de sódio ou potássio de ácido oleico ou esteárico, ou de misturas de ácidos graxos naturais que podem ser obtidas a partir de óleo de coco ou óleo de sebo. Tensoativos sintéticos incluem os sais de sódio ou cálcio de ácidos poliacrílicos; sulfonatos e sulfatos graxos; derivados de benzimidazol sulfonado e alquilarilsulfonatos. Sulfonatos ou sulfatos graxos estão geralmente na forma de sais de metais alcalinos ou alcalino-terrosos, sais de amônia não substituídos ou sais de amônia substituídos com um radical alquila ou acila possuindo de 8 a 22 átomos de carbono, por exemplo, o sal de sódio ou de cálcio de ácido lignosulfônico ou ácido dodecilsulfônico ou uma mistura de sulfatos de alcoóis graxos obtidos a partir de ácidos graxos naturais, sais de metais alcalinos ou alcalino-terrosos de ésteres de ácido sulfúrico ou ácido sulfônico (tal como laurilsulfato de sódio) e ácidos sulfônicos de álcool graxo/aduto de óxido de etileno. Derivados de benzimidazol sulfonados adequados contêm preferencialmente 8 a 22 átomos de carbono. Exemplos de alquilarilsulfonatos são os sais de sódio, cálcio ou de ácido alcoolamina de ácido dodecilbenzenossulfônico ou ácido dibutil-naftalenossulfônico ou um ácido naftaleno-sulfônico /produto da condensação de formaldeído. Também são adequados os fosfatos correspondentes, por exemplo, sais de éster de ácido fosfórico e um aduto de p-nonilfenol com etileno e/ou óxido de propileno, ou fosfolípidos. Fosfolípidos adequados para este fim são os naturais (originados a partir de células animais ou vegetais) ou fosfolípidos sintéticos do tipo cefalina ou lecitina tais como por exemplo fosfatidiletanolamina, fosfatidilserina, fosfatidilglicerina, lisolecitina, cardiolipina, dioctanilfosfatidil- colina, dipalmitoilfosfatidil -colina e misturas dos mesmos.
[00167] Tensioativos não iônicos adequados incluem derivados polietoxilados e polipropoxilados de alquilfenóis, alcoóis graxos, ácidos graxos, aminas ou amidas alifáticas contendo pelo menos 12 átomos de carbono na molécula, alquilarenossulfonatos e dialquilsulfosucinatos, tais como derivados de éter poliglicol de alcoóis alifáticos e cicloalifáticos, ácidos graxos saturados e insaturados e alquilfenóis, os referidos derivados contendo preferencialmente de 3 a 10 grupos éter de glicol e 8 a 20 átomos de carbono no radical hidrocarboneto (alifático) e 6 a 18 átomos de carbono no radical alquila do alquilfenol. Outros tensoativos não iônicos adequados são os adutos solúveis em água de óxido de polietileno com polipropilenoglicol, etilenodiaminopolipropilenoglicol contendo 1 a 10 átomos de carbono na cadeia alquila, cujos adutos contêm 20 a 250 grupos éter de etilenoglicol e/ou 10 a 100 grupos éter de propilenoglicol. Tais compostos contêm normalmente entre 1 a 5 unidades de etilenoglicol por unidade de propilenoglicol. Exemplos representativos de tensoativos não iônicos são nonilfenol -polietoxietanol, éteres poliglicólicos de óleo de rícino, adutos de óxido de polipropileno/polietileno, tributilfenoxipolietoxietanol, polietilenoglicol e octilfenoxipolietoxietanol. Ésteres de ácidos graxos de polietileno-sorbitano (tais como trioleato de polioxietileno sorbitano), glicerol, sorbitano, sacarose e pentaeritritol são também tensoativos não iônicos adequados.
[00168] Os agentes tensoativos catiônicos adequados incluem sais de amônia quaternários, particularmente haletos, com 4 radicais hidrocarboneto opcionalmente substituídos com halogêneo, fenila, hidroxi ou fenila substituída; por exemplo sais de amônio quaternários contendo como N- substituinte pelo menos um radical alquila C8-C22 (por exemplo, cetila, laurila, palmitila, miristila, oleila e similares) e, como substituintes adicionais, alquila inferior não substituída ou halogenato, benzila e/ou radicais hidroxi-alquila inferiores.
[00169] Uma descrição mais detalhada de agentes tensoativos adequados para este fim pode ser encontrada, por exemplo, em “Detergents and Emulsifiers Annual de McCutcheon” (MC Publishing Crop., Ridgewood, Nova Jersey, 1981), “Tensid-Taschenbucw ', 2 d ed. (Hanser Verlag, Viena, 1981) e “Encyclopaedia of Surfactants” (Chemical Publishing Co., Nova Iorque, 1981).
[00170] Os compostos da invenção e os seus sais fisiologicamente aceitáveis (daqui em diante referidos coletivamente como ingredientes ativos) podem ser administrados por qualquer via adequada para a condição a ser tratada, vias apropriadas incluindo oral, retal, nasal, tópica (incluindo ocular, bucal e sublingual), vaginal e parenteral (incluindo subcutânea, intramuscular, intravenosa, intradérmica, intratecal e epidural). A via de administração preferida pode variar, por exemplo, de acordo com a condição de que recebe.
[00171] Embora é possível que os ingredientes ativos sejam administrados isoladamente, é preferível apresentá-los como formulações farmacêuticas. As formulações, tanto para uso veterinário quanto para uso humano, da presente invenção compreendem pelo menos um ingrediente ativo, conforme descrito acima, juntamente com um ou mais veículos farmaceuticamente aceitáveis e opcionalmente outros ingredientes terapêuticos. O(s) veículo(s) otimamente são “aceitáveis” no sentido de serem compatíveis com os outros ingredientes da formulação e não deletérios para o seu receptor. As formulações incluem aquelas adequadas para administração oral, retal, nasal, tópica (incluindo bucal e sublingual), (incluindo subcutânea, intramuscular, intravenosa, intradérmica, intratecal e epidural) vaginal ou parenteral. As formulações podem ser convenientemente apresentadas na forma de dosagem unitária e podem ser preparadas por qualquer um dos métodos conhecidos no estado da técnica farmacêutica. Tais métodos incluem a etapa de fornecer em associação o ingrediente ativo com o veículo que contém um ou mais ingredientes acessórios. Em geral, as formulações são preparadas sob condições estéreis por indução uniforme e discreta na associação do ingrediente ativo com o veículo líquido ou finamente separado no veículo sólido, ou ambos, e depois, se necessário, moldando o produto.
[00172] As formulações da presente invenção adequadas para administração oral podem ser apresentadas como unidades individuais tais como cápsulas, pílulas ou comprimidos contendo cada um uma quantidade predeterminada do ingrediente ativo; como um pó ou grânulos; como uma solução ou uma suspensão em um líquido aquoso ou líquido não aquoso; ou como uma emulsão líquida óleo-em-água ou uma emulsão líquida água-em-óleo. O ingrediente ativo também pode ser apresentado como um bolus, electuário ou pasta.
[00173] Um comprimido pode ser feito por compressão ou moldagem, opcionalmente com um ou mais ingredientes acessórios. Comprimidos prensados podem ser preparados pela compressão do ingrediente ativo em uma máquina apropriada em uma forma fluída livre, como um pó ou granulado, opcionalmente misturado com um aglutinante, lubrificante, diluente inerte, conservante, de superfície ativa ou agente dispersante. Comprimidos moldados podem ser feitos pela moldagem de uma mistura do composto em pó umidificado com um diluente líquido inerte. Os comprimidos podem ser opcionalmente revestidos ou marcados e podem ser opcionalmente formulados de modo a proporcionar a liberação lenta ou controlada do ingrediente ativo deste. Para infecções do olho ou outros tecidos externos, por exemplo, boca e pele, as formulações são opcionalmente aplicadas como uma pomada ou creme tópico contendo o(s) ingrediente(s) ativo(s) em uma quantidade de, por exemplo, 0,075 a 20% p/p (incluindo ingrediente(s) ativo(s) em um intervalo entre 0,1% e 20% em incrementos de 0,1% p/p, tal como 0,6% p/p, 0,7% p/p, etc), de preferência 0,2 a 15% p/p e mais preferivelmente 0,5 a 10% p/p. Quando formulada em uma pomada, os princípios ativos podem ser empregados com qualquer base parafínica ou pomada miscível em água. Alternativamente, os ingredientes ativos podem ser formulados em uma base de creme óleo em água. Se desejado, a fase aquosa da base cremosa pode incluir, por exemplo, pelo menos 30% de um álcool polihídrico, ou seja, um álcool que contém dois ou mais grupos hidroxila, tais como propilenoglicol, 1,3- diol butano, manitol, sorbitol, glicerol e polietileno glicol (incluindo PEG400) e misturas destes. Pode ser desejável que as formulações tópicas incluam um composto que melhore a absorção ou penetração da substância ativa através da pele ou de outras áreas afetadas. Exemplos deste tipo de potenciadores da penetração cutânea incluem dimetilsulfóxido e análogos relacionados.
[00174] A fase oleosa das emulsões da presente invenção pode ser constituída a partir de ingredientes conhecidos em uma maneira conhecida. Embora a fase possa compreender apenas um emulsificante (também conhecido como um emulgente), é desejável que a mistura contenha de pelo menos um emulsificante com uma gordura ou um óleo, ou ambas, gordura e óleo. Opcionalmente, um emulsificante hidrofílico é incluído juntamente com um emulsificante lipofílico, que age como um estabilizante. É também preferido que inclua tanto um óleo quanto uma gordura. Juntos, o(s) emulsificante(s) com ou sem estabilizante(s), perfazem a então chamada cera emulsificante, e a cera, juntamente com o óleo e a gordura formam a então chamada base de pomada emulsificante que constitui a fase dispersa oleosa nas formulações cremosas.
[00175] A escolha de óleos ou gorduras adequados para a formulação é baseada na obtenção das propriedades cosméticas desejadas, uma vez que a solubilidade do composto ativo na maioria dos óleos susceptíveis de serem utilizados em formulações de emulsões farmacêuticas é muito baixa. Assim, o creme deve ser opcionalmente um produto não gorduroso, que não manche e seja lavável com consistência adequada para evitar fugas dos tubos ou outros recipientes. Ésteres alquílicos mono- ou dibásicos de cadeia linear ou ramificada, tais como di-isoadipato, estearato de isocetila, diéster de propilenoglicol de ácidos graxos de coco, miristato de isopropila, oleato de decila, palmitato de isopropila, estearato de butila, palmitato de 2-etil-hexila ou uma mistura de ésteres de cadeia ramificada conhecidos como Crodamol CAP podem ser utilizados, sendo os três últimos ésteres os preferidos. Estes podem ser utilizados isoladamente ou em combinação dependendo das propriedades requeridas. Alternativamente, lipídeos de elevado ponto de fusão tais como parafina branca macia e/ou parafina líquida ou outros óleos minerais podem ser utilizados.
[00176] As formulações adequadas para a administração tópica ao olho também incluem colírios onde o ingrediente ativo é dissolvido ou suspenso em um veículo adequado, especialmente um solvente aquoso para o ingrediente ativo. O ingrediente ativo está opcionalmente presente em tais formulações em uma concentração de cerca de 0,5 a 20%, vantajosamente cerca de 0,5 a 10%, especificamente cerca de 1,5% p/p. Formulações adequadas para a administração tópica na boca incluem pastilhas contendo o ingrediente ativo em uma base aromatizada, geralmente sacarose e acácia ou goma tragacanto; Pastilhas contendo o ingrediente ativo em uma base inerte, tal como a gelatina e glicerina, ou sacarose e acácia; e colutórios contendo o ingrediente ativo em um veículo líquido adequado.
[00177] Formulações para a administração retal pode ser apresentado como um supositório com uma base adequada composta, por exemplo, de manteiga de cacau ou um salicilato. As formulações adequadas para administração nasal em que o veículo é um sólido incluem um pó grosso possuindo um tamanho de partícula, por exemplo, na faixa de 20 a 500 microns (incluindo tamanhos de partículas em uma faixa entre 20 e 500 microns em incrementos de 5 microns, tais como 30 microns, 35 microns, etc.), que é administrado de maneira em que o pó é tomado, ou seja, por inalação rápida através da passagem nasal a partir de um contentor do pó mantido próximo do nariz. As formulações adequadas em que o veículo é um líquido, para administração como, por exemplo, um spray nasal ou como gotas nasais, incluem soluções aquosas ou oleosas do ingrediente ativo. As formulações adequadas para administração em aerossol podem ser preparadas de acordo com métodos convencionais e podem ser administradas com outros agentes terapêuticos.
[00178] As formulações adequadas para administração vaginal podem ser apresentadas como pessários, tampões, cremes, géis, pastas, espuma ou formulações em spray contendo além do ingrediente ativo, veículos como os conhecidos no estado da técnica como sendo adequados.
[00179] As formulações adequadas para administração parenteral incluem soluções injetáveis estéreis aquosas e não aquosas, que podem conter antioxidantes, tampões, bacteriostáticos e solutos que tornam a formulação isotônica com o sangue do paciente, e suspensões estéreis aquosas e não aquosas, que podem incluir agentes de suspensão e espessantes. As formulações podem ser apresentadas em doses unitárias ou recipientes para doses múltiplas, por exemplo, ampolas e frascos fechados, e podem ser armazenadas em condição liofilizada necessitando apenas a adição do veículo líquido estéril, por exemplo, água para injeção, imediatamente antes do uso. Soluções e suspensões de injeção extemporânea podem ser preparadas a partir de pós, grânulos e comprimidos estéreis do tipo descrito anteriormente.
[00180] Unidades de dosagem preferidas das formulações são aquelas que contêm uma dose diária ou unidade de subdose diária, tal como recitado acima, ou uma fração apropriada desta, de um ingrediente ativo.
[00181] Deve ser entendido que em adição aos ingredientes particularmente mencionados acima, as formulações desta invenção podem incluir outros agentes convencionais na arte levando em consideração o tipo de formulação em questão, por exemplo, aquelas adequadas para administração oral podem incluir agentes aromatizantes.
[00182] Os compostos da invenção podem ser usados para proporcionar formulações farmacêuticas de liberação controlada contendo como ingrediente ativo um ou mais compostos da invenção (“formulações de liberação controlada”) em que a liberação do ingrediente ativo pode ser controlada e regulada para permitir menor frequência de dosagem ou para melhorar o perfil farmacocinético ou de toxicidade de um determinado composto da invenção. As formulações de liberação controlada adaptadas para administração oral nas quais unidades individuais que compreendem um ou mais compostos da invenção podem ser preparadas de acordo com métodos convencionais.
[00183] Os ingredientes adicionais podem ser incluídos, a fim de controlar a duração da ação do ingrediente ativo na composição. Composições de liberação controlada podem ser, portanto, conseguidas pela seleção de suportes poliméricos adequados, tais como, por exemplo, poliésteres, poliaminoácidos, polivinilpirrolidona, copolímeros de etileno-acetato de vinila, metilcelulose, carboximetilcelulose, sulfatosulfato protamina e similares. A taxa de liberação do fármaco e a duração da ação poderão igualmente ser controladas pela incorporação do ingrediente ativo em partículas, por exemplo, microcápsulas de uma substância polimérica tais como hidrogéis, ácido polilático, hidroximetilcelulose, metacrilato de polimetila e os outros polímeros descritos acima. Tais métodos incluem sistemas de administração de fármacos coloidais, como lipossomas, microesferas, microemulsões, nanopartículas, nanocápsulas e similares. Dependendo da via de administração, a composição farmacêutica pode exigir revestimentos de proteção. As formas farmacêuticas adequadas para o uso injetável incluem soluções aquosas estéreis ou dispersões e pó estéril para a preparação extemporânea das mesmas. Os veículos típicos para este fim incluem tampões biocompatíveis aquosos, etanol, glicerol, propilenoglicol, polietilenoglicol e similares e misturas dos mesmos.
[00184] Em vista do fato de que, quando vários ingredientes ativos são usados em combinação, não necessariamente trazer seus efeitos terapêuticos conjuntos diretamente ao mesmo tempo no mamífero a ser tratado, a composição correspondente pode também estar na forma de um kit medicamentoso ou pacote contendo os dois ingredientes em repositórios ou compartimentos separados, mas adjacentes. Neste último contexto, cada ingrediente ativo pode, portanto, ser formulado em uma forma adequada para uma via de administração diferente do outro ingrediente, por exemplo, um deles pode estar na forma de uma formulação oral ou parenteral, enquanto que o outro está na forma de uma ampola para injeção intravenosa ou na forma de um aerossol.
[00185] Outro exemplo de realização da invenção está relacionado com vários precursores ou formas de “pró-fármacos” dos compostos da presente invenção. Pode ser desejável formular os compostos da presente invenção sob a forma de uma espécie química que por si só não é significativamente biologicamente ativa, mas que quando entregue ao animal irá sofrer uma reação química catalisada pela função normal do corpo do animal, inter alia, as enzimas presentes no estômago ou no sangue, e a referida reação química tem o efeito de liberar um composto conforme definido na presente invenção. O termo “pró-fármaco” ou “pró-droga” refere- se assim a estas espécies que são convertidas in vivo no ingrediente farmacêutico ativo.
[00186] Os pró-fármacos da presente invenção podem ter qualquer forma adequada para o formulador, por exemplo, ésteres são formas de pró-fármacos comuns não limitantes. No presente caso, no entanto, o pró-fármaco pode necessariamente existir em uma forma em que uma ligação covalente é clivada pela ação de uma enzima presente no locus alvo. Por exemplo, uma ligação C-C covalente pode ser seletivamente clivada por uma ou mais enzimas no referido locus alvo e, por conseguinte, um pró-fármaco em uma forma diferente de um precursor facilmente hidrolisável, inter alia, um éster, amida, e similares podem ser usados. A contraparte do ingrediente farmacêutico ativo no pró-fármaco pode ter estruturas diferentes, tal como um aminoácido ou estrutura peptídica, cadeias de alquila, porções de açúcar e outras conhecidas no estado da técnica.
[00187] Para a finalidade da presente invenção, o termo “pró- fármaco terapeuticamente adequado” é definido no presente como “um composto modificado de tal maneira para ser transformado in vivo na forma terapeuticamente ativa, seja por meio de uma única transformação ou por várias transformações biológicas, quando em contato com os tecidos do animal, mamífero ou humano ao qual o pró-fármaco foi administrado, e sem a indevida toxicidade, irritação, ou resposta alérgica, e alcançando o resultado terapêutico pretendido”.
[00188] Mais especificamente, o termo “pró-fármaco”, conforme utilizado no presente, refere-se a um derivado inativo ou significativamente menos ativo de um composto da invenção, que passa por uma transformação espontânea ou enzimática dentro do corpo, a fim de libertar a forma farmacologicamente ativa do composto. Para uma revisão abrangente, é feita referência a Rautio J. et al. (“Prodrugs: design and clinical applications” Nature Reviews Drug Discovery, 2008, doi: 10.1038/nrd2468).
[00189] Os compostos da invenção são opcionalmente ligados de forma covalente a uma matriz insolúvel e utilizada para cromatografia de afinidade (separações, dependendo da natureza dos grupos dos compostos, por exemplo, compostos com arila pendente são úteis em separações por afinidade hidrofóbica).
[00190] Os compostos da invenção podem ser preparados ao mesmo tempo usando uma série de reações químicas bem conhecidas pelos especialistas na técnica, em conjunto fazendo o processo para preparar os referidos compostos e adicionalmente exemplificando. Os processos descritos adicionalmente servem apenas como exemplos e de modo algum se destinam a limitar o escopo da presente invenção.
[00191] Os compostos da presente invenção podem ser preparados de acordo com o procedimento geral descrito nos esquemas a
[00192] Esquema 1: Todos os A, B, C, R1 e LG são conforme descrito para os compostos da presente invenção de acordo com a fórmula (A) em que o ciclo C tem um estrutura como a de fórmula (A1) e seus exemplos de realização e fórmulas.
[00193] Os aldeídos de fórmula 1 (comercialmente disponíveis ou sintetizados) podem reagir com aminas de fórmula R1NH2 para fornecer iminas de fórmula 2, que podem então ser reagir com intermediários de fórmula 3 (comercialmente disponíveis ou sintetizados por procedimentos conhecidos pelo especialista na técnica ou conforme estabelecido nos exemplos abaixo), na presença de um catalisador, tal como cloreto de 3- benzil-5-(2-hidroxietil)-4-metiltiazol-3-ío para proporcionar intermediários de fórmula 4. Informações mais detalhadas podem ser encontradas em Chem. Commun., 2007, 852-854. Os compostos de fórmula 4 podem então ser convertidos nos compostos desejados de fórmula 5 por meio de reações de acoplamento catalisadas por paládio (por exemplo, de Suzuki, Stille, Negishi e similares). Alternativamente, os intermediários de fórmula 3 podem ser convertidos em intermediários de fórmula 6 por meio de reações de acoplamento catalisadas por paládio (por exemplo, Suzuki, Stille, Negishi e similares) que podem ainda reagir com iminas de fórmula geral 2 sob catálise com N-heterociclos carbenos de modo a proporcionar os compostos desejados de fórmula 5 seguindo os procedimentos conhecidos pelo especialista na técnica ou conforme estabelecido nos exemplos abaixo.
[00194] Em outro exemplo de realização, os compostos da presente invenção também podem ser sintetizados de acordo com o procedimento geral delineado no seguinte esquema.
[00195] Esquema 2: Todos os A, B, C, R1, R2 e LG são conforme descrito para os compostos da presente invenção de acordo com a fórmula (A) em que o ciclo C tem um estrutura como a de fórmula (a1) e seus exemplos de realização e fórmulas.
[00196]Os derivados de fórmula 6 (comercialmente disponíveis ou sintetizados por procedimentos conhecidos pelo especialista na técnica) podem reagir com Grignard ou derivados de organolítio de fórmula 7, em que M representa MgX (sendo X halogênio selecionado a partir de cloro, bromo e iodo) ou lítio para proporcionar intermediários de fórmula 8, que podem ser oxidados em compostos intermédios de fórmula 9 após reações conhecidas pelos especialistas na técnica. Os intermediários de fórmula 9 podem ser convertidos em intermediários de fórmula 10, em que LG é um halogênio selecionado dentre cloro, bromo ou iodo após reações conhecidas pelos especialistas na técnica ou conforme estabelecido nos exemplos abaixo. Os compostos de interesse possuindo uma fórmula geral 11 podem, finalmente, ser obtidos a partir de intermediários de fórmula 10, pelo deslocamento do grupo de saída com aminas de fórmula R1R2NH (comercialmente disponíveis ou sintetizadas). Alternativamente, os intermediários de fórmula 9 podem ser preparados por condensação dos derivados organometálicos de fórmula 7 com os intermediários de fórmula 12, em que R representa um átomo de cloro ou -N (CH3)OCH3 (amida Weinreb), conforme conhecido pelo especialista na técnica. Os intermediários de fórmula 9, também podem ser preparados por α -arilação de cetonas de fórmula 13, com os intermediários de fórmula 14, em que X é um halogêneo selecionado entre cloro, bromo ou iodo, na presença de um catalisador (por exemplo, Pd2dba3, Pd(OAc)2, Pd(dba)2 e similares), um ligante (por exemplo BINAP, Xantphos, PtBu3 e similares) e uma base (por exemplo NaOtBu, K3PO4 e similares). Mais informações podem ser encontradas nas seguintes referências: J. Am. Chem. Soc. 1997, 1110811109 e J. Am. Chem. Soc. 1999, 1473-1478.
[00197] Em outro exemplo de realização, os compostos da presente invenção também podem ser sintetizados de acordo com o procedimento geral delineado no seguinte esquema.
[00198] Esquema 3: Todos os A, B, C, R1 e R2 e LG são conforme descrito para os compostos da presente invenção de acordo com a fórmula (A) em que o ciclo C tem um estrutura como a de fórmula (a2) ou (a3) e seus exemplos de realização e fórmulas.
[00199] Os intermediários de fórmula 15 podem ser convertidos em intermediários de fórmula 18 após a formação da ligação amida padrão com intermediários de fórmula 16 ou com intermediários de fórmula 17, em que LG é um átomo de cloro ou bromo (preferencialmente um átomo de cloro). O grupo de saída LG de intermediários de fórmula 18 pode então ser deslocado por aminas de fórmula R1R2NH para fornecer os compostos desejados de fórmula 19. Alternativamente, derivados do ácido acético 2-substituído de fórmula 20, em que R é um grupo protetor éster (por exemplo, metila, etila, t-butila e similares), podem ser convertidos em intermediários de fórmula 21 por reações de halogenação conhecidas pelo especialista na técnica ou conforme estabelecido nos exemplos abaixo. Os intermediários de fórmula 21 podem então reagir com aminas de fórmula R1R2NH para proporcionar intermediários de fórmula 22, o qual pode ser convertido nos compostos desejados de fórmula 19, após a hidrólise padrão e formação da ligação peptídica.
[00200] As abreviaturas utilizadas na descrição, particularmente nos Esquemas e Exemplos, são as seguintes: DIBALH hidreto de di-isobutilalumínio DMAP 4-dimetilaminopiridina DME Dimetoxietano DMF N,N-dimetilformamida DMSO dimetilsulfóxido h Hora HATU Hexafluorofosfato de O-(7-azabenzotriazol-1- il) -N,N,N',N'-tetrametilurônio HPLC Cromatografia líquida de alto desempenho min Minuto NBS N-bromosuccinimida THF tetrahidrofurano TLC cromatografia em camada fina tr tempo de retenção
EXEMPLOS
[00201] Os seguintes exemplos são fornecidos com a finalidade de ilustrar a presente invenção e de modo algum devem ser interpretados como limitantes do escopo da presente invenção.
[00202] A parte A representa a preparação dos compostos (compostos intermediários e finais) ao passo que a parte B representa os exemplos farmacológicos. TABELA 1 ESTRUTURAS DE COMPOSTOS EXEMPLOS DA INVENÇÃO E SEUS RESPECTIVOS CÓDIGOS.
PARTE A
[00203] Todas as purificações por HPLC preparativa mencionadas nesta parte experimental foram realizadas com o seguinte sistema: um detector UV/Visível Waters 2489, um módulo Waters 2545 Binary Gradient Module, um Coletor Waters Fraction Collector III e um injector Waters Dual Flex Injector.
[00204] As separações foram realizadas com uma coluna XBridge Prep C18 (19x100 mm, 5 μm) equipada com uma pré-coluna XBridge C18 (19x10 mm; 5 μm) ou com uma coluna SunFire Prep C18 ODB (19x100 mm, 5 μm) equipada com uma coluna de guarda SunFire C18(19x10 mm; 5 μm).
[00205] Eluições foram realizadas com os métodos descritos nas seguintes tabelas, e comprimentos de onda de detecção foram fixados em 210 e 254 nm. MÉTODO 1
Solvente A: Ácido Fórmico grau LC-MS 0,1% em água milliQ Solvente B: Acetonitrila grau HPLC. MÉTODO 2
Solvente A: Acetato de Amônio puriss p.a para HPLC 10 mM em água milliQ, ajustado em pH 10 com hidróxido de amônio puriss p.a. para HPLC
Solvente B: Acetonitrila grau HPLC.
[00206] Todas as separações de enatiômeros mencionadas nesta parte experimental foram realizadas com o seguinte sistema: um detector UV/Visível Waters 2489, um módulo Waters 2545 Binary Gradient Module, um Coletor Waters Fraction Collector III e um injector Waters Dual Flex Injector. As separações foram realizadas com uma coluna ChiralPak IC (20x250 mm, 5 μm) equipada com uma coluna de guarda ChiralPak IC (10x20 mm; 5 μm). Eluições foram realizadas com o método isocrático descrito abaixo e os comprimentos de onda de detecção foram fixados em 210 e 254 nm.
MÉTODO 3
[00207] Eluente: n-heptano/diclorometano/etanol/dietilamina: 90/10/1/0,1
[00208] Velocidade de Fluxo: 20 mL/min
[00209] Os procedimentos gerais utilizados na síntese de compostos da invenção:
PROCEDIMENTO GERAL A
[00210] Em uma solução de um ácido carboxílico em diclorometano foi adicionada uma amina, trietilamina e HATU. A mistura de reação foi agitada em temperatura ambiente durante a noite. A mistura de reação foi diluída com diclorometano e lavada com uma solução 1N de ácido clorídrico. As fases foram separadas. A fase orgânica foi lavada com uma solução de bicarbonato de sódio saturado, água e salina, seca sobre sulfato de sódio, filtrada e concentrada sob pressão reduzida. O resíduo foi purificado por cromatografia flash em gel de sílica.
PROCEDIMENTO GERAL B
[00211] Uma mistura de um aldeído e uma amina foi aquecida em um tubo selado a 60 °C durante 6 h. A formação de imina foi quantitativa e a imina foi usada na etapa seguinte sem purificação adicional.
PROCEDIMENTO GERAL C
[00212] Uma mistura de um aldeído e uma amina em etanol foi aquecida a 60 - 70 °C durante 5 - 20 horas. A formação de imina foi quantitativa e a solução da imina em etanol foi utilizada na etapa seguinte sem purificação adicional.
PROCEDIMENTO GERAL D: UMPOLUNG
[00213] Em uma solução de cloreto de 3-benzil-5-(2-hidroxietil)- 4-metiltiazol-3-ío em etanol foi adicionada trietilamina e a mistura foi agitada a 60 - 70 °C durante 10 min. Na solução amarela resultante adicionou-se um aldeído e uma solução de uma imina em etanol. A mistura de reação foi agitada em um tubo selado a 60 - 70 °C, durante 18 - 120 h. A mistura de reação foi concentrada sob pressão reduzida e o resíduo foi purificado por cromatografia flash em gel de sílica.
PROCEDIMENTO GERAL E
[00214] Em uma solução de cloreto de 3-benzil-5-(2-hidroxietil)- 4-metiltiazol-3-ío em etanol foi adicionada trietilamina e a mistura da reação foi agitada a 60 - 70 °C durante 10 min. Na solução amarela resultante adicionou- se um aldeído e uma solução de uma imina em etanol. A mistura de reação foi agitada em um tubo selado a 60 - 70 °C durante 18 - 120 h, após o qual a mistura de reação foi irradiada em um forno de micro-ondas a 160 °C durante 4 min. A mistura de reação foi concentrada sob pressão reduzida e o resíduo foi purificado por cromatografia flash em gel de sílica.
PROCEDIMENTO GERAL F
[00215] Uma mistura desgaseificada de uma arila ou halogeneto heteroarila, um ácido borônico ou um éster borônico e uma base (por exemplo, fluoreto de potássio ou carbonato de sódio) em uma mistura de um solvente orgânico (por exemplo, DME ou dioxano) e água foi adicionado tetraquis(trifenilfosfina)paládio(0). A mistura de reação foi submetida a refluxo durante a noite. Após o arrefecimento até a temperatura ambiente, a mistura de reação foi filtrada através de celite. O filtrado foi diluído com acetato de etila e lavado com água. As fases foram separadas. A fase orgânica foi lavada com salina, seca sobre sulfato de sódio, filtrada e concentrada sob pressão reduzida. O resíduo foi purificado por cromatografia flash em gel de sílica.
PROCEDIMENTO GERAL G
[00216] Uma mistura desgaseificada de uma arila ou halogeneto heteroarila, um ácido borônico ou um éster borônico e uma base (por exemplo, fluoreto de potássio ou carbonato de sódio) em uma mistura de um solvente orgânico (por exemplo, DME ou dioxano) e água foi adicionado tetraquis(trifenilfosfina)paládio(0). A mistura de reação foi irradiada em um forno micro-ondas a 130 °C durante 20 min. Após o arrefecimento até a temperatura ambiente, a mistura de reação foi filtrada através de celite. O filtrado foi diluído com acetato de etila e lavado com água. As fases foram separadas. A fase orgânica foi lavada com salina, seca sobre sulfato de sódio, filtrada e concentrada sob pressão reduzida. O resíduo foi purificado por cromatografia flash em gel de sílica.
EXEMPLO 1 PREPARAÇÃO DE 2-((3-METOXIFENIL)AMINO)-1 -(1 -METIL-4-FENIL-1 H- PIRAZOL-3-IL)- 2-FENILETANONA
[00217] Etapa 1: 1-Metil-4-fenil-1 H-pirazol-3-carbaldeído foi preparado de acordo com o precedimento geral F a partir de 4-bromo-1-metil- 1H-pirazol-3-carbaldeído (0,100 g; 0,529 mmol), ácido benzenoborônico (0,077 g; 0,635 mmol), carbonato de sódio (0,135 g; 1,274 mmol) e tetraquis(trifenilfosfina)paládio(0) (0,031 g; 0,026 mmol) em uma mistura de DME (4 mL) e água (1,6 mL). A purificação por cromatografia flash em gel de sílica utilizando um gradiente de acetato de etíla (10% a 100%) em heptano forneceu 0,093 g (94%) do composto desejado como um sólido amarelo. ESI/APCI(+): 187 (M+H).
[00218] Etapa 2: N-Benzilideno-3-metoxianilina foi preparada de acordo com o precedimento geral B a partir de uma mistura de benzaldeído (0,101 mL; 0,996 mmol) e m-anidisina (0,112 mL; 1,073 mmol).
[00219] Etapa 3: 2-((3-Metoxifenil)amino)-1-(1-metil-4-fenil-1 H- pirazol-3-il)-2-feniletanona foi preparada de acordo com o precedimento geral D a partir de uma mistura de cloreto de 3-benzil-5-(2-hidroxietil)-4-metiltiazol-3-ío (0,067 g; 0,248 mmol) e trietilamina (0,035 mL; 0,252 mmol) em etanol (1 mL), 1-metil-4-fenil-1H-pirazol-3-carbaldeído (0,093 g; 0,499 mmol) e uma solução de N-benzilideno-3-metoxianilina (0,499 mmol) em etanol (1 mL), aquecida a 70 °C por 24 h. A purificação por cromatografia flash em gel de sílica utilizando um gradiente de acetato de etíla (5% a 80%) em heptano seguida por uma segunda purificação por cromatografia flash em gel de sílica utilizando um gradiente de acetato de etíla (10% a 60%) em heptano forneceu 0,030 g (14%) do composto desejado como um sólido branco. ESI/APCI(+): 398 (M+H). ESI/APCI(-): 396 (M-H).
EXEMPLO 2 PREPARAÇÃO DE 1 -(4-(4-FLUOROFENIL)-1 -METIL-1 H- PIRAZOL-3-IL)-2-((3- METOXIFENIL)AMINO)-2-FENILETANONA
[00220] Etapa 1: 1-(4-Bromo-1-metil-1 H-pirazol-3-il)-2-((3- metoxifenil)amino)-2-feniletanona foi preparada de acordo com o precedimento geral D a partir de uma mistura de cloreto de 3-benzil-5-(2-hidroxietil)-4- metiltiazol-3-ío (0,135 g; 0,500 mmol) e trietilamina (0,069 mL; 0,498 mmol) em etanol (0,735 mL), 4-bromo-1-metil-1H-pirazol-3-carboxaldeído (0,205 g, 1,085 mmol) e uma solução de N-benzilideno-3-metoxianilina (0,996 mmol) em etanol (0,735 mL), aquecidas a 70 °C por 18 h. A purificação por cromatografia flash em gel de sílica utilizando um gradiente de acetato de etíla (0% a 70%) em heptano forneceu 0,266 g (67%) do composto desejado como um sólido amarelo. ESI/APCI(+): 400, 402 (M+H). RMN H1 (DMSO-d6) δ 8,13 (1H, s); 7,49 (2H, d); 7,33 (2H, m); 7,25 (1H, m); 6,93 (1H, t); 6,44 (1H, d); 6,25 (3H, m); 6,14 (1H, d); 4,00 (3H, s); 3,64 (3H, s).
[00221] Etapa 2: 1 -(4-(4-Fluorofenil)-1 -metil-1 H-pirazol-3-il)-2-((3- metoxifenil)amino)-2-feniletanona foi preparada de acordo com o precedimento geral F a partir de 1-(4-bromo-1-metil-1H-pirazol-3-il)-2-((3-metoxifenil)amino)- 2-feniletanona (0,100 g; 0,250 mmol), ácido 4-fluorofenilborônico (0,052 g; 0,372 mmol), fluoreto de potássio (0,058 g; 0,998 mmol) e tetraquis(trifenilfosfina)paládio(0) (0,029 g; 0,025 mmol) em uma mistura de dioxano (4 mL) e água (1 mL). A purificação por cromatografia flash em gel de sílica utilizando um gradiente de acetato de etíla (20% a 50%) em heptano forneceu 0,073 g (70%) do composto desejado como uma espuma branca. ESI/APCI(+): 416 (M+H). ESI/APCI(-): 414 (M-H). RMN H1 (DMSO-d6) δ 8,06 (1H, s); 7,52 (2H, d); 7,1-7,4 (7H, m); 6,92 (1H, t); 6,35 (2H, m); 6,28 (2H, m); 6,12 (1H, d); 4,03 (3H, s); 3,61 (3H, s).
EXEMPLO 3 PREPARAÇÃO DE 2-((3-METOXIFENIL)AMINO)-1 -(1 -METIL-4-FENIL-1 H- PIRAZOL-3-IL)- 2-(PIRIDIN-3-IL)ETANONA
[00222] Etapa 1: Uma solução de 3-metoxi-N-(piridin-3- ilmetileno)anilina em etanol foi preparada de acordo com o precedimento geral C a partir de uma mistura de nicotinaldeído (0,047 mL; 0,500 mmol) e m- anidisina (0,056 mL; 0,500 mmol) em etanol (0,5 mL), aquecida a 60 °C por 6 h.
[00223] Etapa 2: 2-((3-Metoxifenil)amino)-1-(1-metil-4-fenil-1 H- pirazol-3-il)-2-(piridin-3-il)etanona foi preparada de acordo com o precedimento geral D a partir de uma mistura de cloreto de 3-benzil-5-(2-hidroxietil)-4- metiltiazol-3-ío (0,067 g; 0,248 mmol) e trietilamina (0,035 mL; 0,252 mmol) em etanol (1 mL), 1-metil-4-fenil-1H-pirazol-3-carbaldeído (0,093 g; 0,499 mmol) e uma solução de 3-metoxi-N-(piridin-3-ilmetileno)anilina (0,500 mmol) em etanol (0,5 mL), aquecida a 70 °C por 18 h. A purificação por cromatografia flash em gel de sílica utilizando um gradiente de acetato de etíla (2% a 20%) em diclorometano seguida pela precipitação a partir de éter dietílico forneceu 0,060 g (30%) do composto desejado como um sólido branco. ESI/APCI(+): 399 (M+H). ESI/APCI(-): 397 (M-H). RMN H1 (DMSO-d6) δ 8,75 (1H, s); 8,45 (1H, d); 8,08 (1H, s); 7,88 (1H, d); 7,21-7,43 (6H, m); 6,95 (1H, t); 6,55 (1H, d); 6,40 (1H, d); 6,30 (2H, m); 6,15 (1H, d); 4,04 (3H, s); 3,62 (3H, s).
EXEMPLO 4 PREPARAÇÃO DE 2-(5-FLUOROPIRIDIN-3-IL)-2-((3-METOXIFENIL)AMINO)-1-(1-METIL-4- FENIL-1H- PIRAZOL-3-IL)ETANONA
[00224] Etapa 1: Uma solução de N-((5-fluoropiridin-3- il)metileno)-3-metoxianilina em etanol foi preparada de acordo com o precedimento geral C a partir de uma mistura de 5-fluoronicotinaldeído (0,062 g; 0,504 mmol) e m-anidisina (0,056 mL; 0,500 mmol) em etanol (0,5 mL), aquecida a 60 °C por 6 h.
[00225] Etapa 2: 2-(5-Fluoropiridin-3-il)-2-((3-metoxifenil)amino)- 1-(1-metil-4-fenil-1H-pirazol-3-il)etanona foi preparada de acordo com o precedimento geral D a partir de uma mistura de cloreto de 3-benzil-5-(2- hidroxietil)-4-metiltiazol-3-ío (0,067 g; 0,248 mmol) e trietilamina (0,035 mL; 0,252 mmol) em etanol (1 mL), 1-metil-4-fenil-1H-pirazol-3-carbaldeído (0,093 g; 0,499 mmol) e uma solução de N-((5-fluoropiridin-3-il)metileno)-3- metoxianilina (0,500 mmol) em etanol (0,5 mL), aquecida a 70 °C por 18 h. A purificação por cromatografia flash em gel de sílica utilizando um gradiente de acetato de etíla (2% a 20%) em diclorometano seguido pela precipitação a partir de etanol forneceu 0,055 g (26%) do composto desejado como um sólido bege. ESI/APCI(+): 417 (M+H). ESI/APCI(-): 415 (M-H). RMN H1 (DMSO-d6) δ 8,65 (1H, s); 8,47 (1H, d); 8,10 (1H, s); 7,83 (1H, d); 7,23-7,47 (5H, m); 6,96 (1H, t); 6,56-6,67 (1H, m); 6,44-6,53 (1H, m); 6,32 (2H, m); 6,18 (1H, d); 4,05 (3H, s); 3,63 (3H, s).
EXEMPLO 5 PREPARAÇÃO DE 1 -(4-(2-FLUOROFENIL)-1 -METIL-1H PIRAZOL-3-IL)-2-((3- METOXIFENIL)AMINO)-2-FENILETANONA
[00226] 1-(4-(2-Fluorofenil)-1-metil-1H-pirazol-3-il)-2-((3- metoxifenil)amino)-2-feniletanona foi preparada de acordo com o precedimento geral F a partir de 1-(4-bromo-1-metil-1H-pirazol-3-il)-2-((3-metoxifenil)amino)- 2-feniletanona (0,100 g; 0,250 mmol), ácido (2-fluorofenil)borônico (0,052 g; 0,372 mmol), fluoreto de potássio (0,058 g; 0,998 mmol) e tetraquis(trifenilfosfina)paládio(0) (0,029 g; 0,025 mmol) em uma mistura de DME (3 mL) e água (0,75 mL). A purificação por cromatografia flash em gel de sílica utilizando um gradiente de acetato de etíla (2% a 40%) em heptano forneceu 0,095 g (91%) do composto desejado como um sólido bege. ESI/APCI(+): 416 (M+H). ESI/APCI(-): 414 (M-H). RMN H1 (DMSO-d6) δ 8,03 (1H, s); 7,51 (2H, d); 7,20-7,41 (5H, m); 7,17 (2H, d); 6,92 (1H, t); 6,34-6,44 (1H, m); 6,21-6,33 (3H, m); 6,12 (1H, d); 4,04 (3H, s); 3,61 (3H, s).
EXEMPLO 6 PREPARAÇÃO DE 1 -(4-(3-FLUOROFENIL)-1 -METIL-1 H- PIRAZOL-3-IL)-2-((3- METOXIFENIL)AMINO)-2-FENILETANONA
[00227] 1-(4-(3-Fluorofenil)-1-metil-1H-pirazol-3-il)-2-((3- metoxifenil)amino)-2-feniletanona foi preparada de acordo com o precedimento geral F a partir de 1-(4-bromo-1-metil-1H-pirazol-3-il)-2-((3-metoxifenil)amino)- 2-feniletanona (0,100 g; 0,250 mmol), ácido (3-fluorofenil)borônico (0,052 g; 0,372 mmol), fluoreto de potássio (0,058 g; 0,998 mmol) e tetraquis(trifenilfosfina)paládio(0) (0,029 g; 0,025 mmol) em uma mistura de DME (3 mL) e água (0,75 mL). A purificação por cromatografia flash em gel de sílica utilizando um gradiente de acetato de etíla (2% a 40%) em heptano forneceu 0,092 g (89%) do composto desejado como um sólido bege. ESI/APCI(+): 416 (M+H). ESI/APCI(-): 414 (M-H). RMN H1 (DMSO-d6) δ 8,15 (1H, s); 7,51 (2H, d); 7,34 (3H, m); 7,22 (3H, m); 7,06 (1H, t); 6,93 (1H, t); 6,46 (1H, d); 6,24-6,39 (3H, m); 6,13 (1H, d); 4,04 (3H, s); 3,62 (3H, s).
EXEMPLO 7 PREPARAÇÃO DE 1-(1,1 '-DIMETIL-1 H,1' H- [4,4'-BIPIRAZOL]-3-IL)-2-((3- METOXIFENIL)AMINO)-2-FENILETANONA
[00228] 1-(1,1'-Dimetil-1H,1'H-[4,4'-bipirazol]-3-il)-2-((3- metoxifenil)amino)-2-feniletanona foi preparada de acordo com o precedimento geral F a partir de 1-(4-bromo-1-metil-1H-pirazol-3-il)-2-((3-metoxifenil)amino)- 2-feniletanona (0,100 g; 0,250 mmol), éster pinacol do ácido 1-metil-1H-pirazol- 4-borônico (0,078 g; 0,375 mmol), fluoreto de potássio (0,058 g; 0,998 mmol) e tetraquis(trifenilfosfina)paládio(0) (0,029 g; 0,025 mmol) em uma mistura de DME (3 mL) e água (0,75 mL). A purificação por cromatografia flash em gel de sílica utilizando um gradiente de acetato de etíla (2% a 20%) em diclorometano forneceu 0,074 g (74%) do composto desejado como um sólido bege. ESI/APCI(+): 402 (M+H). ESI/APCI(-): 400 (M-H). RMN H1 (DMSO-d6) δ 8,14 (2H, s); 7,75 (1H, s); 7,51 (2H, m); 7,17-7,36 (3H, m); 6,93 (1H, t); 6,40 (2H, m); 6,30 (2H, s); 6,13 (1H, d); 4,01 (3H, s); 3,82 (3H, s); 3,62 (3H, s).
EXEMPLO 8 PREPARAÇÃO DE 2-(4-FLUOROFENIL)-2-((3-METOXIFENIL)AMINO)-1-(1-METIL-4- FENIL-1H- PIRAZOL-3-IL)ETANONA
[00229] Etapa 1: Uma solução de N-(4-fluorobenzilideno)-3- metoxianilina em etanol foi preparada de acordo com o precedimento geral C a partir de uma mistura de 4-fluorobenzaldeído (0,126 g; 1,015 mmol) e m- anidisina (0,109 mL; 0,974 mmol) em etanol (0,5 mL), aquecida a 60 °C por 18 h.
[00230] Etapa 2: 2-(4-Fluorofenil)-2-((3-metoxifenil)amino)-1-(1- metil-4-fenil-1H-pirazol-3-il)etanona foi preparada de acordo com o precedimento geral D a partir de uma mistura de cloreto de 3-benzil-5-(2- hidroxietil)-4-metiltiazol-3-ío (0,116 g; 0,430 mmol) e trietilamina (0,080 mL; 0,574 mmol) em etanol (0,5 mL), 1-metil-4-fenil-1H-pirazol-3-carbaldeído (0,160 g; 0,859 mmol) e uma solução de N-(4-fluorobenzilideno)-3-metoxianilina (0,974 mmol) em etanol (1,5 mL), aquecida a 60 °C por 18 h. A purificação por cromatografia flash em gel de sílica utilizando um gradiente de acetato de etíla (0% a 40%) em heptano forneceu 0,174 g (48%) do composto desejado como um óleo amarelo. ESI/APCI(+): 416 (M+H).
EXEMPLO 9 PREPARAÇÃO DE 2-((3-METOXIFENIL)AMINO)-1 -(1 -METIL-4-(PIRIMIDIN-5-IL)-1 H- PIRAZOL-3-IL)-2-( P- TOLIL)ETANONA
[00231] Etapa 1: Uma solução de 3-metoxi-N-(4- metilbenzilideno)anilina em etanol foi preparada de acordo com o precedimento geral C a partir de uma mistura de p-tolualdeído (0,279 mL; 2,57 mmol) e m- anidisina (0,277 mL; 2,48 mmol) em etanol (1,5 mL), aquecida a 60 °C por 6 h.
[00232] Etapa 2: 1-(4-Bromo-1-metil-1 H-pirazol-3-il)-2-((3- metoxifenil)amino)-2-(p-tolil)etanona foi preparada de acordo com o precedimento geral D a partir de uma mistura de cloreto de 3-benzil-5-(2- hidroxietil)-4-metiltiazol-3-ío (0,330 g; 1,22 mmol) e trietilamina (0,250 mL; 1,79 mmol) em etanol (1,5 mL), 4-bromo-1-metil-1H-pirazol-3-carboxaldeído (0,455 g, 2,41 mmol) e uma solução de 3-metoxi-N-(4-metilbenzilideno)anilina (2,48 mmol) em etanol (3 mL), aquecida a 60 °C por 18 h. A purificação por cromatografia flash em gel de sílica utilizando um gradiente de acetato de etíla (0% a 50%) em heptano forneceu 0,612 g (61%) do composto desejado como uma cera amarela que solidificaou lentamente. ESI/APCI(+): 414, 416 (M+H).
[00233] Etapa 3: 2-((3-Metoxifenil)amino)-1-(1-metil-4-(pirimidin- 5-il)-1H-pirazol-3-il)-2-(p-tolil)etanona foi preparada de acordo com o precedimento geral F a partir de 1-(4-bromo-1-metil-1H-pirazol-3-il)-2-((3- metoxifenil)amino)-2-(p-tolil)etanona (0,120 g; 0,290 mmol), ácido pirimidin-5- ilborônico (0,056 g; 0,452 mmol), fluoreto de potássio (0,072 g; 1,239 mmol) e tetraquis(trifenilfosfina)paládio(0) (0,035 g; 0,030 mmol) em uma mistura de dioxano (4 mL) e água (1 mL). A purificação por cromatografia flash em gel de sílica utilizando um gradiente de acetato de etíla (50% a 100%) em heptano seguida pela purificação por extração em fase sólida em coluna de fase reversa C18 utilizando um gradiente de acetonitrila (10% a 60%) em água forneceu 0,090 g (75%) do composto desejado como uma espuma amarela. ESI/APCI(+): 414 (M+H).
EXEMPLO 10 PREPARAÇÃO DE 2-((3-METOXIFENIL)AMINO)-1 -(1 -METIL-4-(PIRIDIN-4-IL)-1 H- PIRAZOL-3-IL)-2-( P- TOLIL)ETANONA
[00234] 2-((3-Metoxifenil)amino)-1-(1-metil-4-(piridin-4-il)-1H- pirazol-3-il)-2-(p-tolil)etanona foi preparada de acordo com o precedimento geral F a partir de 1-(4-bromo-1-metil-1H-pirazol-3-il)-2-((3-metoxifenil)amino)- 2-(p-tolil)etanona (0,123 g; 0,297 mmol), ácido piridina-4-ilborônico (0,057 g; 0,464 mmol), fluoreto de potássio (0,076 g; 1,308 mmol) e tetraquis(trifenilfosfina)paládio(0) (0,032 g; 0,028 mmol) em uma mistura de dioxano (4 mL) e água (1 mL). O resíduo foi purificado por cromatografia flash em gel de sílica utilizando um gradiente de acetato de etíla (50% a 100%) em heptano. A purificação adicional por extração em fase sólida em coluna de fase reversa C18 utilizando um gradiente de acetonitrila (10% a 60%) em água seguida pela purificação por HPLC preparativa (coluna XBrigde; método 1) forneceu 0,045 g (37%) do composto desejado como um sólido amarelo. ESI/APCI(+): 413 (M+H).
EXEMPLO 11 PREPARAÇÃO DE 2-((3-METOXIFENIL)AMINO)-2-(5-METOXIPIRAZIN-2-IL)-1-(1-METIL-4- FENIL-1H- PIRAZOL-3-IL)ETANONA
[00235] Etapa 1: Uma solução de 3-metoxi-N-((5-metoxipirazin- 2-il)metileno)anilina em etanol foi preparada de acordo com o precedimento geral C a partir de uma mistura de 5-metoxipirazina-2-carbaldeído (0,139 g; 1,006 mmol) e m-anidisina (0,110 mL; 0,983 mmol) em etanol (0,5 mL), aquecida a 60 °C por 18 h.
[00236] Etapa 2: 2-((3-Metoxifenil)amino)-2-(5-metoxipirazin-2-il)- 1-(1-metil-4-fenil-1H-pirazol-3-il)etanona foi preparada de acordo com o precedimento geral D a partir de uma mistura de cloreto de 3-benzil-5-(2- hidroxietil)-4-metiltiazol-3-ío (0,116 g; 0,430 mmol) e trietilamina (0,080 mL; 0,574 mmol) em etanol (0,5 mL), 1-metil-4-fenil-1H-pirazol-3-carbaldeído (0,162 g; 0,870 mmol) e uma solução de 3-metoxi-N-((5-metoxipirazin-2- il)metileno)anilina (0,983 mmol) em etanol (1,5 mL), aquecida a 60 °C por 18 h. O resíduo foi purificado por cromatografia flash em gel de sílica utilizando um gradiente de acetato de etíla (0% a 60%) em heptano. A purificação adicional por extração em fase sólida em coluna de fase reversa C18 utilizando um gradiente de acetonitrila (10% a 55%) em água seguida pela purificação por HPLC preparativa (coluna XBridge; método 1) forneceu 0,118 g (32%) do composto desejado como um sólido amarelo. ESI/APCI(+): 430 (M+H).
EXEMPLO12 PREPARAÇÃO DE 2-(6-METOXIPIRIDIN-3-IL)-2-((5-METOXIPIRIDIN-3-IL)AMINO)-1-(1- METIL-4-FENIL-1H- PIRAZOL-3-IL)ETANONA
[00237] Etapa 1: Uma solução de 5-metoxi-N-((6-metoxipiridin-3- il)metileno)piridin-3-amina em etanol foi preparada de acordo com o precedimento geral C a partir de uma mistura de 6-metóxinicotinaldeído (0,126 g; 0,919 mmol) e 5-metoxipiridin-3-amina (0,114 g; 0,918 mmol) em etanol (1 mL), aquecida a 60 °C por 6 h.
[00238] Etapa 2: 2-(6-Metóxipiridin-3-il)-2-((5-metoxipiridin-3- il)amino)-1-(1-metil-4-fenil-1H-pirazol-3-il)etanona foi preparada de acordo com o precedimento geral D a partir de uma mistura de cloreto de 3-benzil-5-(2- hidroxietil)-4-metiltiazol-3-ío (0,126 g; 0,460 mmol) e trietilamina (0,064 mL; 0,462 mmol) em etanol (1,5 mL), 1-metil-4-fenil-1H-pirazol-3-carbaldeído (0,171 g; 0,918 mmol) e uma solução de 5-metoxi-N-((6-metoxipiridin-3- il)metileno)piridin-3-amina (0,918 mmol) em etanol (1 mL), aquecida a 70 °C por 18 h. O resíduo foi purificado por cromatografia flash em gel de sílica utilizando um gradiente de acetato de etíla (30% a 100%) em diclorometano. A purificação adicional por cromatografia flash em gel de sílica utilizando um gradiente de metanol (0% a 7%) em diclorometano forneceu 0,030 g (8%) do composto desejado como um sólido bege. ESI/APCI(+): 430 (M+H). ESI/APCI(- ): 428 (M-H).
EXEMPLO 13 PREPARAÇÃO DE 2-((3-METOXIFENIL)AMINO)-1 -(1 -METIL-4-FENIL-1 H- PIRAZOL-3-IL)- 2-(PIRAZOL[1,5-A ]PIRIDIN-2-IL)ETANONA
[00239] Etapa 1: Uma solução de 3-metoxi-N-(pirazol[1,5- a]piridin-2-ilmetileno)anilina em etanol foi preparada de acordo com o precedimento geral C a partir de uma mistura de pirazol[1,5-a]piridina-2- carbaldeído (0,073 g; 0,499 mmol) e m-anidisina (0,056 mL; 0,501 mmol) em etanol (0,5 mL), aquecida a 60 °C por 6 h.
[00240] Etapa 2: 1-(4-Bromo-1-metil-1 H-pirazol-3-il)-2-((3- metoxifenil)amino)-2-(pirazol[1,5-a]piridin-2-il)etanona foi preparada de acordo com o precedimento geral D a partir de uma mistura de cloreto de 3-benzil-5-(2- hidroxietil)-4-metiltiazol-3-ío (0,135 g; 0,500 mmol) e trietilamina (0,070 mL; 0,505 mmol) em etanol (1,5 mL), 4-bromo-1-metil-1H-pirazol-3-carboxaldeído (0,189 g, 1,000 mmol) e uma solução de 3-metoxi-N-(pirazol[1,5-a]piridin-2- ilmetileno)anilina (0,999 mmol) em etanol (1 mL), aquecida a 70 °C por 18 h. A purificação por cromatografia flash em gel de sílica utilizando um gradiente de acetato de etíla (15% a 70%) em heptano forneceu 0,277 g (63%) do composto desejado como um sólido bege. ESI/APCI(+): 440, 442 (M+H).
[00241] Etapa 3: 2-((3-Metoxifenil)amino)-1-(1-metil-4-fenil-1 H- pirazol-3-il)-2-(pirazol[1,5-a]piridin-2-il)etanona foi preparada de acordo com o precedimento geral F a partir de 1-(4-bromo-1-metil-1H-pirazol-3-il)-2-((3- metoxifenil)amino)-2-(pirazol[1,5-a]piridin-2-il)etanona (0,100 g; 0,227 mmol), ácido benzenoborônico (0,041 g; 0,341 mmol), fluoreto de potássio (0,053 g; 0,908 mmol) e tetraquis(trifenilfosfina)paládio(0) (0,026 g; 0,023 mmol) em uma mistura de DME (3 mL) e água (0,75 mL). A purificação por cromatografia flash em gel de sílica utilizando um gradiente de acetato de etíla (15% a 70%) em heptano forneceu 0,074 g (76%) do composto desejado como um sólido bege. ESI/APCI(+): 438 (M+H). RMN H1 (DMSO-d6) δ 8,61 (1H, d); 8,06 (1H, s); 7,64 (1H, d); 7,46 (2H, m); 7,23-7,40 (3H, m); 7,18 (1H, t); 6,96 (1H, t); 6,78 (1H, t); 6,62 (2H, m); 6,38 (2H, m); 6,30 (1H, d); 6,15 (1H, d); 4,01 (3H, s); 3,63 (3H, s).
EXEMPLO 14 PREPARAÇÃO DE 4-(3-(2-((3-METOXIFENIL)AMINO)-2-(PIRAZOL[1,5-A ]PIRIDIN-2- IL)ACETIL)-1 -METIL-1H- PIRAZOL-4-IL)BENZONITRILA
[00242] 4-(3-(2-((3-Metoxifenil)amino)-2-(pirazol[1,5-a]piridin-2- il)acetil)-1-metil-1H-pirazol-4-il)benzonitrila foi preparada de acordo com o precedimento geral G a partir de 1-(4-bromo-1-metil-1H-pirazol-3-il)-2-((3- metoxifenil)amino)-2-(pirazol[1,5-a]piridin-2-il)etanona (0,080 g; 0,182 mmol), ácido 4-cianofenilborônico (0,040 g; 0,273 mmol), fluoreto de potássio (0,042 g; 0,727 mmol) e tetraquis(trifenilfosfina)paládio(0) (0,021 g; 0,018 mmol) em uma mistura de DME (3 mL) e água (0,75 mL). A purificação por cromatografia flash em gel de sílica utilizando um gradiente de acetato de etíla (15% a 70%) em heptano forneceu 0,057 g (68%) do composto desejado como um sólido bege. ESI/APCI(+): 463 (M+H). ESI/APCI(-): 461 (M-H). RMN H1 (DMSO-d6) δ 8,61 (1H, d); 8,22 (1H, s); 7,83 (2H, m); 7,57-7,74 (3H, m); 7,12-7,25 (1H, m); 6,96 (1H, t); 6,85 (1H, t); 6,55-6,70 (2H, m); 6,37 (3H, m); 6,16 (1H, d); 4,01 (3H, s); 3,63 (3H, s).
EXEMPLO 15 PREPARAÇÃO DE 2-((3,5-DIMETOXIFENIL)AMINO)-1 -(1-METIL-4-FENIL-1 H- PIRAZOL-3- IL)-2-( P- TOLIL)ETANONA
[00243] Etapa 1: Uma solução de 3,5-dimetoxi-N-(4- metilbenzilideno)anilina em etanol foi preparada de acordo com o precedimento geral C a partir de uma mistura de p-tolualdeído (0,118 mL; 1,000 mmol) e 3,5- dimetoxianilina (0,153 g; 0,999 mmol) em etanol (2 mL), aquecida a 60 °C por 6,5 h.
[00244] Etapa 2: 1-(4-Bromo-1-metil-1 H-pirazol-3-il)-2-((3,5- dimetoxifenil)amino)-2-(p-tolil)etanona foi preparada de acordo com o precedimento geral D a partir de uma mistura de cloreto de 3-benzil-5-(2- hidroxietil)-4-metiltiazol-3-ío (0,135 g; 0,500 mmol) e trietilamina (0,069 mL; 0,498 mmol) em etanol (0,735 mL), 4-bromo-1-metil-1H-pirazol-3-carboxaldeído (0,205 g, 1,085 mmol) e uma solução de 3,5-dimetoxi-N-(4- metilbenzilideno)anilina (0,999 mmol) em etanol (2 mL) e diclorometano (1 mL), aquecida a 70 °C por 25 h. A purificação por cromatografia flash em gel de sílica utilizando um gradiente de acetato de etíla (0% a 100%) em heptano forneceu 0,063 g (15%) do composto desejado como uma espuma amarela. ESI/APCI(+): 444, 446 (M+H).
[00245] Etapa 3: 2-((3,5-Dimetoxifenil)amino)-1-(1-metil-4-fenil- 1H-pirazol-3-il)-2-(p-tolil)etanona foi preparada de acordo com o precedimento geral F a partir de 1-(4-bromo-1-metil-1H-pirazol-3-il)-2-((3,5- dimetoxifenil)amino)-2-(p-tolil)etanona (0,063 g; 0,142 mmol), ácido benzenoborônico (0,066 g; 0,213 mmol), fluoreto de potássio (0,030 g; 0,516 mmol) e tetraquis(trifenilfosfina)paládio(0) (0,016 g; 0,014 mmol) em uma mistura de dioxano (2,3 mL) e água (0,6 mL). A purificação por cromatografia flash em gel de sílica utilizando um gradiente de acetato de etíla (20% a 60%) em heptano forneceu 0,028 g (45%) do composto desejado como um sólido bege. ESI/APCI(+): 442 (M+H); 464 (M+Na). ESI/APCI(-): 440 (M-H). RMN H1 (DMSO-d6) δ 8,04 (1H, s); 7,2-7,4 (7H, m); 7,12 (2H, m); 6,30 (2H, m); 5,91 (2H, s); 5,72 (1H, s); 4,02 (3H, s); 3,60 (3H, s); 1,99 (3H, s).
EXEMPLO 16 PREPARAÇÃO DE 1-(4-(BENZO[ D]TIAZOL-5-IL)-1-METIL-1 H- PIRAZOL-3-IL)-2-((3- METOXIFENIL)AMINO)-2-(6-METOXIPIRIDIN-3-IL)ETANONA
[00246] Etapa 1: Uma solução de 3-metoxi-N-((6-metoxipiridin-3- il)metileno)anilina em etanol foi preparada de acordo com o precedimento geral C a partir de uma mistura de 6-metoxipiridina-3-carboxaldeído (0,411 g; 2,98 mmol) e m-anisidina (0,336 mL; 3,00 mmol) em etanol (6 mL), aquecida a 60 °C por 6,5 h.
[00247] Etapa 2: 1-(4-Bromo-1-metil-1 H-pirazol-3-il)-2-((3- metoxifenil)amino)-2-(6-metoxipiridin-3-il)etanona foi preparada de acordo com o precedimento geral D a partir de uma mistura de cloreto de 3-benzil-5-(2- hidroxietil)-4-metiltiazol-3-ío (0,405 g; 1,50 mmol) e trietilamina (0,207 mL; 1,49 mmol) em etanol (2,2 mL), 4-bromo-1-metil-1H-pirazol-3-carboxaldeído (0,615 g, 3,25 mmol) e uma solução de 3-metoxi-N-((6-metoxipiridin-3- il)metileno)anilina (2,98 mmol) em etanol (6 mL), aquecida a 70 °C por 22 h. A purificação por cromatografia flash em gel de sílica utilizando um gradiente de acetato de etíla (40% a 100%) em heptano forneceu 0,776 g (60%) do composto desejado como um sólido amarelo. ESI/APCI(+): 431, 433 (M+H). RMN H1 (DMSO-d6) δ 8,28 (1H, s); 8,14 (1H, s); 7,75 (1H, d); 6,94 (1H, t); 6,80 (1H, d); 6,47 (1H, d); 6,27 (2H, s); 6,1-6,25 (2H, m); 3,99 (3H, s); 3,80 (3H, s); 3,62 (3H, s).
[00248] Etapa 3: 1-(4-(Benzo[d]tiazol-5-il)-1-metil-1 H-pirazol-3-il)- 2-((3-metoxifenil)amino)-2-(6-metoxipiridin-3-il)etanona foi preparada de acordo com o precedimento geral F a partir de 1-(4-bromo-1-metil-1H-pirazol-3-il)-2- ((3-metoxifenil)amino)-2-(6-metoxipiridin-3-il)etanona (0,120 g; 0,278 mmol), éster pinacol do ácido benzotiazol-5-borônico (0,109 g; 0,417 mmol), fluoreto de potássio (0,058 g; 0,998 mmol) e tetraquis(trifenilfosfina)paládio(0) (0,032 g; 0,028 mmol) em uma mistura de dioxano (4,5 mL) e água (1,1 mL). A purificação por cromatografia flash em gel de sílica utilizando um gradiente de acetato de etíla (20% a 80%) em heptano seguida pela purificação por TLC preparativa utilizando acetato de etíla (70%) em heptano como eluente forneceu 0,042 g (31%) do composto desejado como uma espuma amarela. ESI/APCI(+): 486 (M+H); 508 (M+Na). ESI/APCI(-): 484 (M-H). RMN H1 (DMSO-d6) δ 9,40 (1H, s); 8,33 (1H, s); 8,21 (1H, s); 8,14 (2H, m); 7,79 (1H, d); 7,50 (1H, d); 6,95 (1H, t); 6,80 (1H, d); 6,33 (2H, m); 6,30 (2H, s); 6,17 (1H, d); 4,06 (3H, s); 3,80 (3H, s); 3,63 (3H, s).
EXEMPLO 17: PREPARAÇÃO DE 1-(4-(2,3-DIHIDROBENZOFURAN-5-IL)-1-METIL-1 H- PIRAZOL-3-IL)-2-((3-METOXIFENIL)AMINO)-2-(6-METOXIPIRIDIN-3-IL)ETANONA
[00249] 1-(4-(2,3-Dihidrobenzofuran-5-il)-1-metil-1H-pirazol-3-il)- 2-((3-metoxifenil)amino)-2-(6-metoxipiridin-3-il)etanona foi preparada de acordo com o precedimento geral F a partir de 1-(4-bromo-1-metil-1H-pirazol-3-il)-2- ((3-metoxifenil)amino)-2-(6-metoxipiridin-3-il)etanona (0,120 g; 0,278 mmol), ácido 2,3-dihidro-1-benzofuran-5-ilborônico (0,068 g; 0,415 mmol), fluoreto de potássio (0,058 g; 0,998 mmol) e tetraquis(trifenilfosfina)paládio(0) (0,032 g; 0,028 mmol) em uma mistura de dioxano (4,5 mL) e água (1,1 mL). A purificação por cromatografia flash em gel de sílica utilizando um gradiente de acetato de etíla (30% a 70%) em heptano seguida por uma segunda purificação por cromatografia flash utilizando um gradiente de acetato de etíla (30% a 70%) em heptano forneceu 0,034 g (26%) do composto desejado como um sólido branco. ESI/APCI(+): 471 (M+H); 493 (M+Na). ESI/APCI(-): 469 (M-H). RMN H1 (DMSO-d6) δ 8,29 (1H, s); 7,97 (1H, s); 7,76 (1H, d); 7,29 (1H, s); 7,12 (1H, d); 6,94 (1H, t); 6,75 (2H, m); 6,43 (1H, m); 6,29 (3H, m); 6,14 (1H, d); 4,52 (2H, t); 4,01 (3H, s); 3,79 (3H, s); 3,62 (3H, s); 3,15 (2H, t).
EXEMPLO 18 PREPARAÇÃO DE 2-((3-METOXIFENIL)AMINO)-2-(6-METOXIPIRIDIN-3-IL)-1-(1-METIL-4- (TIOFEN-2-IL)-1 H- PIRAZOL-3-IL)ETANONA
[00250] 2-((3-Metoxifenil)amino)-2-(6-metoxipiridin-3-il)-1-(1- metil-4-(tiofen-2-il)-1H-pirazol-3-il)etanona foi preparada de acordo com o precedimento geral F a partir de 1-(4-bromo-1-metil-1H-pirazol-3-il)-2-((3- metoxifenil)amino)-2-(6-metoxipiridin-3-il)etanona (0,120 g; 0,278 mmol), ácido tiofeno-2-borônico (0,053 g; 0,414 mmol), fluoreto de potássio (0,058 g; 0,998 mmol) e tetraquis(trifenilfosfina)paládio(0) (0,032 g; 0,028 mmol) em uma mistura de dioxano (4,5 mL) e água (1,1 mL). A purificação por cromatografia flash em gel de sílica utilizando um gradiente de acetato de etíla (20% a 60%) em heptano seguido pela cristalização a partir de acetato de etíla e heptano forneceu 0,015 g (12%) do composto desejado como um sólido amarelo. ESI/APCI(+): 435 (M+H). RMN H1 (DMSO-d6) δ 8,29 (1H, s); 8,25 (1H, s); 7,78 (1H, d); 7,49 (2H, m); 7,05 (1H, t); 6,95 (1H, t); 6,76 (2H, d); 6,50 (1H, d); 6,30 (3H, m); 6,15 (1H, d); 4,02 (3H, s); 3,79 (3H, s); 3,62 (3H, s).
EXEMPLO 19 PREPARAÇÃO DE 2-((3-METOXIFENIL)AMINO)-1-(1-METIL-4-(6-METILPIRIDIN-3-IL)-1 H- PIRAZOL-3-IL)-2-FENILETANONA
[00251] 2-((3-Metoxifenil)amino)-1-(1-metil-4-(6-metilpiridin-3-il)- 1H-pirazol-3-il)-2-feniletanona foi preparada de acordo com o precedimento geral G a partir de 1-(4-bromo-1-metil-1H-pirazol-3-il)-2-((3-metoxifenil)amino)- 2-feniletanona (0,120 g; 0,300 mmol), 2-metil-5-(4,4,5,5-tetrametil-1,3,2- dioxaborolan-2-il)piridina (0,104 g; 0,475 mmol), fluoreto de potássio (0,070 g; 1,205 mmol) e tetraquis(trifenilfosfina)paládio(0) (0,044 g; 0,038 mmol) em uma mistura de dioxano (4 mL) e água (1 mL). A purificação por cromatografia flash em gel de sílica utilizando um gradiente de acetato de etíla (50% a 100%) em heptano seguida pela purificação por HPLC preparativa (coluna XBridge; método 1) forneceu 0,071 g (57%) do composto desejado como um sólido amarelo. ESI/APCI(+): 413 (M+H).
EXEMPLO 20 PREPARAÇÃO DE 1 -(4-(3,5-DIMETILISOXAZOL-4-IL)-1 -METIL-1 H- PIRAZOL-3-IL)-2-((3- METOXIFENIL)AMINO)-2-( P- TOLIL)ETANONA
[00252] 1-(4-(3,5-Dimetilisoxazol-4-il)-1-metil-1H-pirazol-3-il)-2- ((3-metoxifenil)amino)-2-(p-tolil)etanona foi preparada de acordo com o precedimento geral F a partir de 1-(4-bromo-1-metil-1H-pirazol-3-il)-2-((3- metoxifenil)amino)-2-(p-tolil)etanona (0,120 g; 0,290 mmol), ácido (3,5- dimetilisoxazol-4-il)borônico (0,062 g; 0,440 mmol), fluoreto de potássio (0,070 g; 1,205 mmol) e tetraquis(trifenilfosfina)paládio(0) (0,035 g; 0,030 mmol) em uma mistura de dioxano (4 mL) e água (1 mL). O resíduo foi purificado por cromatografia flash em gel de sílica utilizando um gradiente de acetato de etíla (50% a 100%) em heptano. A purificação adicional por cromatografia flash em gel de sílica utilizando um gradiente de acetato de etíla (0% a 50%) em heptano seguida pela purificação por HPLC preparativa (coluna XBridge; método 1) forneceu 0,045 g (36%) do composto desejado como um sólido amarelo. ESI/APCI(+): 431 (M+H).
EXEMPLO 21 ENANTIÔMEROS DE SEPARAÇÃO DE 2-((3-METOXIFENIL)AMINO)-1-(1-METIL-4-FENIL- 1H- PIRAZOL-3-IL)-2-FENILETANONA LEVANDO A (-)-2-((3-METOXIFENIL)AMINO)-1 -(1 - METIL-4-FENIL-1H- PIRAZOL-3-IL)-2-FENILETANONA E (+)-2-((3-METOXIFENIL)AMINO)- 1-(1-METIL-4-FENIL-1 H- PIRAZOL-3-IL)-2-FENILETANONA
[00253] 2-((3-Metoxifenil)amino)-1-(1-metil-4-fenil-1H-pirazol-3- il)-2-feniletanona foi separada em seus enatiômeros e purificada por HPLC preparativa (coluna ChiralPak; método 3). Sob essas condições, os dois enatiômeros foram obtidos: - enatiômero de eluição rápida: tr = 8,6 min; ee > 95% - enatiômero de eluição lenta tr = 14,2 min; ee > 95%.
EXEMPLO 22 PREPARAÇÃO DE 2-((3-METOXIFENIL)AMINO)-2-FENIL-1 -(4-FENIL-1 H- PIRAZOL-3- IL)ETANONA
[00254] Etapa 1: 4-Fenil-1 H-pirazol-3-carbaldeído foi preparado de acordo com o precedimento geral F a partir de 4-bromo-1H-pirazol-3- carbaldeído (0,200 g; 1,14 mmol), ácido benzenoborônico (0,209 g; 1,71 mmol), fluoreto de potássio (0,266 g; 4,57 mmol) e tetraquis(trifenilfosfina)paládio(0) (0,132 g; 0,114 mmol) em uma mistura de DME (16 mL) e água (4 mL). A purificação por cromatografia flash em gel de sílica utilizando um gradiente de acetato de etíla (5% a 50%) em heptano forneceu 0,078 g (40%) do composto desejado como um sólido branco. ESI/APCI(-): 171 (M-H).
[00255] Etapa 2: 2-((3-Metoxifenil)amino)-2-fenil-1 -(4-fenil-1 H- pirazol-3-il)etanona foi preparada de acordo com o precedimento geral D a partir de uma mistura de cloreto de 3-benzil-5-(2-hidroxietil)-4-metiltiazol-3-ío (0,110 g; 0,407 mmol) e trietilamina (0,057 mL; 0,407 mmol) em etanol (1 mL), 4-fenil-1H-pirazol-3-carbaldeído (0,140 g, 0,813 mmol) e uma solução de N- benzilideno-3-metoxianilina (0,813 mmol) em etanol (1 mL), aquecida a 70 °C por 18 h. O resíduo foi purificado por cromatografia flash em gel de sílica utilizando um gradiente de acetato de etíla (5% a 50%) em heptano. A purificação adicional por cromatografia flash em gel de sílica utilizando um gradiente de acetato de etíla (2% a 40%) em heptano seguida pela purificação por HPLC preparativa (coluna XBridge; método 2) forneceu 0,012 g (4%) do composto desejado como um sólido bege. ESI/APCI(-): 171 (M-H).
EXEMPLO 23 PREPARAÇÃO DE 2-((3-METOXIFENIL)AMINO)-2-FENIL-1 -(4-FENIL-1H- PIRROL-3- IL)ETANONA
[00256] Etapa 1: Em uma solução de carboxilato de 4-fenil-1H- pirrol-3-etila (0,500 g; 2,32 mmol) em acetonitrila (15 mL) foram adicionados dicarbonato de di-terc-butila (0,610 g; 2,79 mmol) e DMAP (0,026 g; 0,213 mmol). A mistura de reação foi agitada durante a noite em temperatura ambiente e foi concentrada sob pressão reduzida. O resíduo foi dividido entre diclorometano e uma solução saturada cloreto de amônio. As fases foram separadas. A fase orgânica foi lavada com uma solução 1M de bicarbonato de sódio e salina, seca sob sulfato de magnésio, filtrada e concentrada sob pressão reduzida. O resíduo foi purificado por cromatografia flash em gel de sílica usando acetato de etíla (30%) em heptano como eluente para render 0,643 g (88%) de 4-fenil-1H-pirrol-1,3-dicarboxilato de 1-terc-butila 3-etila como um sólido branco. RMN H1 (DMSO-d6) δ 7,82 (1H, s); 7,45-7,33 (6H, m); 4,16 (2H, q); 1,59 (9H, s); 1,19 (3H, t).
[00257] Etapa 2: Em uma solução de 4-fenil-1 H-pirrol-1,3- dicarboxilato de 1-terc-butila 3-etila (0,643 g; 2,04 mmol) em diclorometano (20 mL) resfriado a -78 °C foi adicionada uma solição DIBALH 1M em hexano (4,50 mL; 4,50 mmol). A mistura de reação foi deixada aquecer até 0 °C e agitada continuamente por 1 h. A mistura de reação foi diluída com acetato de etíla e uma solução de sal Rochelle 1N foi adicionada. Após 30 minutos de agitação em temperatura ambiente, as fases foram separadas. A fase orgânica foi lavada com salina, seca sob sulfato de magnésio, filtrada e concentrada sob pressão reduzida para render 0,505 g (91%) de 3-(hidroximetil)-4-fenil-1H- pirrol-1-carboxilato de terc-butila como um óleo rosa claro. O produto bruto foi utilizado na etapa seguinte sem purificação adicional.
[00258] Etapa 3: Uma mistrura de 3-(hidroximetil)-4-fenil-1 H- pirrol-1-carboxilato de terc-butila (0,505 g; 1,85 mmol) e dióxido de manganês (1,650 g; 19,0 mmol) em DMSO (8 mL) foi agitada a 50 °C por 6 h. A mistura de reação foi deixada resfriar até a temperatua ambiente e agitada continuamente por 60 h. A solução foi filtrada através de celite. O filtrado foi diluído com acetato de etíla e foi lavado com água. A fase orgânica foi lavada com salina, seca sob sulfato de magnésio, filtrada e concentrada sob pressão reduzida. A purificação por cromatografia flash em gel de sílica utilizando um gradiente de acetato de etíla (0% a 20%) em heptano forneceu 0,149 g (30%) de 3-formil-4- fenil-1H-pirrol-1-carboxilato de terc-butila como um sólido branco. RMN H1 (DMSO-d6) : 9,88 (1H, s); 8,20 (1H, d); 7,58 (2H, d); 7,53 (1H, d); 7,41-7,32 (3H, m); 1,61 (9H, s).
[00259] Etapa 4: 2-((3-Metoxifenil)amino)-2-fenil-1-(4-fenil-1 H- pirrolo-3-il)etanona foi preparada de acordo com o precedimento geral E a partir de uma mistura de cloreto de 3-benzil-5-(2-hidroxietil)-4-metiltiazolium (0,070 g; 0,259 mmol) e trietilamina (0,060 mL; 0,430 mmol) em etanol (1 mL), 3-formil-4-fenil-1H-pirrol-4-carboxilato de terc-butila (0,149 g; 0,549 mmol) e N- benzilideno-3-metoxianilina (0,601 mmol) em etanol (1,5 mL). A purificação por cromatografia flash em gel de sílica utilizando um gradiente de acetato de etíla (0% a 50%) em heptano seguida pela purificação por HPLC preparativa (coluna XBridge, método 1) forneceu 0,010 g (5%) do composto desejado. ESI/APCI(+): 383 (M+H). ESI/APCI(-): 381 (M-H).
EXEMPLO 24: PREPARAÇÃO DE 2-((3-METOXIFENIL)AMINO)-2-FENIL-1-(4- FENILTIOFEN-3-IL)ETANONA
[00260] Etapa 1: 1-(4-Bromotiofen-3-il)-2-((3-metoxifenil)amino)- 2-feniletanona foi preparada de acordo com o precedimento geral D a partir de uma mistura de cloreto de 3-benzil-5-(2-hidroxietil)-4-metiltiazol-3-ío (0,135 g; 0,500 mmol) e trietilamina (0,069 mL; 0,498 mmol) em etanol (0,735 mL), 4- bromotiofeno-3-carboxaldeído (0,229 g, 1,199 mmol) e uma solução de N- benzilideno-3-metoxianilina (0,996 mmol) em etanol (0,735 mL), aquecida a 70 °C por 64 h. O resíduo foi purificado por cromatografia flash em gel de sílica utilizando um gradiente de acetato de etíla (0% a 100%) em heptano. A purificação adicional por cromatografia flash em gel de sílica utilizando um gradiente de acetato de etíla (10% a 50%) em heptano seguido pela cristalização a partir de acetato de etíla e heptano forneceu 0,014 g (15%) do composto desejado como um sólido amarelo. ESI/APCI(+): 402, 404 (M+H).
[00261] Etapa 2: 2-((3-Metoxifenil)amino)-2-fenil-1 -(4-feniltiofen- 3-il)etanona foi preparada de acordo com o precedimento geral F a partir de 1- (4-bromotiofen-3-il)-2-((3-metoxifenil)amino)-2-feniletanona (0,058 g; 0,144 mmol), ácido benzenoborônico (0,026 g; 0,213 mmol), fluoreto de potássio (0,033 g; 0,568 mmol) e tetraquis(trifenilfosfina)paládio(0) (0,017 g; 0,015 mmol) em uma mistura de dioxano (2,3 mL) e água (0,6 mL). A purificação por cromatografia flash em gel de sílica utilizando um gradiente de acetato de etíla (10% a 30%) em heptano seguida pela purificação por HPLC preparativa (coluna XBridge; método 1) forneceu 0,028 g (49%) do composto desejado como uma espuma branca. ESI/APCI(+): 400 (M+H); 422 (M+Na). ESI/APCI(-): 398 (M-H). RMN H1 (DMSO-d6) δ 8,98 (1H, d); 7,49 (3H, m); 7,35 (2H, m); 7,26 (4H, m); 6,91 (3H, m); 6,33 (3H, m); 6,18 (1H, d); 6,11 (1H, d); 3,62 (3H, s).
EXEMPLO 25 PREPARAÇÃO DE 2-((3-METOXIFENIL)AMINO)-1 -(1 -METIL-3-FENIL-1 H- PIRAZOL-4-IL)- 2-FENILETANONA
[00262] 2-((3-Metoxifenil)amino)-1-(1-metil-3-fenil-1H-pirazol-4- il)-2-feniletanona foi preparada de acordo com o precedimento geral D a partir de uma mistura de cloreto de 3-benzil-5-(2-hidroxietil)-4-metiltiazol-3-ío (0,091 g; 0,337 mmol) e trietilamina (0,070 mL; 0,502 mmol) em etanol (0,5 mL), 1- metil-3-fenil-1H-pirazol-4-carbaldeído (0,122 g; 0,655 mmol) e uma solução de N-benzilideno-3-metoxianilina (0,757 mmol) em etanol (1,5 mL), aquecida a 60 °C por 16 h. A purificação por cromatografia flash em gel de sílica utilizando um gradiente de acetato de etíla (0% a 50%) em heptano seguida pela purificação por HPLC preparativa (coluna XBridge; método 20% acid) forneceu 0,053 g (20%) do composto desejado como um sólido branco. . ESI/APCI(+): 398 (M+H). ESI/APCI(-): 396 (M-H).
EXEMPLO 26 PREPARAÇÃO DE 2-((3,5-DIMETOXIFENIL)AMINO)-1-(2-FENILPIPERIDIN-1-IL)-2-( P- TOLIL)ETANONA
[00263] Etapa 1: Em uma solução de etila p-tolilacetato (2,97 mL; 16,8 mmol) em tetracloreto de carbono (17 mL) foi adicionada em porçõesNBS (3,30 g; 18,5 mmol). Após a adição de algumas gotas de uma solução de 48% ácido hidrobrômico, a mistura de reação foi submetida ao refluxo por 4 h. A mistura de reação foi arrefecida até a temperatua ambiente e filtrada. Os sólidos foram lavados com tetracloreto de carbono e o filtrado foi concentrado sob pressão reduzida. O resíduo foi dissolvido em acetonitrila (42 mL). Após a adição de 3,5-dimetoxianilina (6,50 g; 42,4 mmol), a mistura de reação foi submetida ao refluxo durante a noite e foi concentrada sob pressão reduzida. O resíduo foi dividido entre acetato de etíla e uma solução de ácido clorídrico 1N . A fase orgânica foi lavada com um bicarbonato de sódio saturado, água e salina, seca sob sulfato de sódio, filtrada e concentrada sob pressão reduzida. O resíduo foi purificado por cromatografia flash em gel de sílica utilizando um gradiente de acetato de etíla (20% a 90%) em heptano para render 0,737 g (13%) de acetato de 2-((3,5-dimetoxifenil)amino)-2-(p-tolil)etila como um sólido branco. ESI/APCI(+): 330 (M+H). RMN H1 (DMSO-d6) δ 7,38 (2H, m); 7,18 (2H, m); 6,27 (1H, d); 5,89 (2H, s); 5,77 (1H, s); 5,12 (1H, d); 4,10 (2H, m); 3,63 (6H, s); 2,29 (3H, s); 1,13 (3H, t).
[00264] Etapa 2: Em uma mistura de acetato de 2-((3,5- dimetoxifenil)amino)-2-(p-tolil)etila (0,721 g; 2,19 mmol) in metanol (9 mL), THF (9 mL) e água (9 mL) foi adicionado hidróxido de lítio (0,280 g; 11,7 mmol). A mistura de reação foi agitada em temperatura ambiente por 2,5 h. Os solventes orgânicos foram removidos sob pressão reduzida. O resíduo foi acidificado com uma solução de ácido clorídrico 3M e extraído com acetato de etíla. A fase orgânica foi seca sob sulfato de sódio, filtrada e concentrada sob pressão reduzida para render quantitativamente 0,663 g de ácido 2-((3,5- dimetoxifenil)amino)-2-(p-tolil)acético como um sólido bege. ESI/APCI(+): 302 (M+H). ESI/APCI(-): 300 (M-H). RMN H1 (DMSO-d6) δ 12,8 (1H, brs); 7,36 (2H, m); 7,15 (2H, m); 6,20 (1H, brs); 5,86 (2H, s); 5,73 (1H, s); 4,99 (1H, s); 3,60 (6H, s); 2,28 (3H, s).
[00265] Etapa 3: 2-((3,5-Dimetoxifenil)amino)-1-(2-fenilpiperidin- 1-il)-2-(p-tolil)etanona foi preparada de acordo com o precedimento geral A a partir de ácido 2-((3,5-dimetoxifenil)amino)-2-(p-tolil)acético (0,070 g; 0,232 mmol), 2-fenilpiperidina (0,040 g; 0,248 mmol), trietilamina (0,150 mL; 1,082 mmol) e HATU (0,090 g; 0,237 mmol) em diclorometano (3 mL). A purificação por cromatografia flash em gel de sílica utilizando um gradiente de acetato de etíla (0% a 20%) em heptano forneceu 0,040 g (39%) do composto desejado como um sólido branco. ESI/APCI(+): 445 (M+H).
EXEMPLO 27 PREPARAÇÃO DE 2-((3,5-DIMETOXIFENIL)AMINO)-1-(2-FENILPIRROLIDIN-1-IL)-2-( P- TOLIL)ETANONA
[00266] 2-((3,5-Dimetoxifenil)amino)-1-(2-fenilpirrolidin-1-il)-2-(p- tolil)etanona foi preparada de acordo com o precedimento geral A a partir de ácido 2-((3,5-dimetoxifenil)amino)-2-(p-tolil)acético (0,080 g; 0,265 mmol), 2- fenilpirrolidina (0,041 g; 0,278 mmol), trietilamina (0,220 mL; 1,587 mmol) e HATU (0,101 g; 0,265 mmol) em diclorometano (2,9 mL). A purificação por cromatografia flash em gel de sílica utilizando um gradiente de acetato de etíla (20% a 60%) em heptano forneceu 0,070 g (61%) do composto desejado como uma espuma branca. ESI/APCI(+): 431 (M+H); 453 (M+Na).
EXEMPLO 28 PREPARAÇÃO DE 2-((3-METOXIFENIL)AMINO)-1 -(2-METIL-4-FENILTIAZOL-5-IL)-2- FENILETANONA
[00267] 2-((3-Metoxifenil)amino)-1-(2-metil-4-feniltiazol-5-il)-2- feniletanona foi preparada de acordo com o precedimento geral D a partir de uma mistura de cloreto de 3-benzil-5-(2-hidroxietil)-4-metiltiazol-3-ío (0,135 g; 0,500 mmol) e trietilamina (0,069 mL; 0,498 mmol) em etanol (0,735 mL), 2- metil-4-fenil-1,3-tiazol-5-carboxaldeído (0,244 g; 1,200 mmol) e uma solução de N-benzilideno-3-metoxianilina (0,996 mmol) em etanol (2 mL), aquecida a 70 °C por 16 h. A purificação por cromatografia flash em gel de sílica utilizando um gradiente de acetato de etíla (20% a 50%) em heptano seguida pela purificação por cristalização a partir de acetato de etíla e heptano forneceu 0,013 g (3%) do composto desejado como um pó branco. ESI/APCI(+): 415 (M+H). ESI/APCI(- ): 413 (M-H). RMN H1 (DMSO-d6) δ 7,48 (2H, m); 7,43 (3H, m); 7,31 (5H, m); 6,92 (1H, t); 6,60 (1H, d); 6,16 (3H, m); 5,58 (1H, d); 3,61 (3H, s); 2,70 (3H, s).
EXEMPLO 29 PREPARAÇÃO DE 2-((3,5-DIMETOXIFENIL)AMINO)-1 -(4-METIL-2-FENILPIPERAZIN-1 -IL)- 2-( P- TOLIL)ETANONA
[00268] 2-((3,5-Dimetoxifenil)amino)-1-(4-metil-2-fenilpiperazin-1- il)-2-(p-tolil)etanona foi preparada de acordo com o precedimento geral A a partir de ácido 2-((3,5-dimetoxifenil)amino)-2-(p-tolil)acético (0,080 g; 0,265 mmol), 1-metil-3-fenilpiperazina (0,040 g; 0,227 mmol), trietilamina (0,150 mL; 1,082 mmol) e HATU (0,101 g; 0,265 mmol) em diclorometano (2 mL). A purificação por cromatografia flash em gel de sílica utilizando um gradiente de acetato de etíla (0% a 20%) em heptano seguida pela purificação por HPLC preparativa (coluna XBridge, método 1) forneceu 0,019 g (18%) do composto desejado sob sua forma de sal de ácido fórmico. ESI/APCI(+): 460 (M+H).
EXEMPLO 30 PREPARAÇÃO DE 2-((3,5-DIMETOXIFENIL)AMINO)-1-(2-FENILAZEPAN-1-IL)-2-( P- TOLIL)ETANONA
[00269] 2-((3,5-Dimetoxifenil)amino)-1-(2-fenilazepan-1-il)-2-(p- tolil)etanona foi preparada de acordo com o precedimento geral A a partir de ácido 2-((3,5-dimetoxifenil)amino)-2-(p-tolil)acético (0,080 g; 0,265 mmol), 2- fenilazepano (0,049 g; 0,280 mmol), trietilamina (0,220 mL; 1,587 mmol) e HATU (0,101 g; 0,265 mmol) em diclorometano (2,9 mL). A purificação por cromatografia flash em gel de sílica utilizando um gradiente de acetato de etíla (10% a 30%) em heptano forneceu 0,060 g (49%) do composto desejado como uma espuma branca. ESI/APCI(+): 459 (M+H).
EXEMPLO 31 PREPARAÇÃO DE 1 -(5—BROMO—1-METIL—4—FENIL—1H PIRROL-3-IL)-2-((3,5- DIMETOXIFENIL)AMINO)-2-FENILETAN-1-ONA
[00270] Etapa 1: Em uma suspensão de hidreto de sódio (0,049 g; 1,225 mmol) em DMF (1,1 mL) resfriado a 0 °C foi adicionada gota a gota uma solução carboxilato de 4-fenilpirrol-3-etila (0,210 g; 0,976 mmol) em DMF (2 mL). Após 1 h em temperatura ambiente, uma solução de iodeto de metila (0,072 mL; 1,157 mmol) em DMF (1,9 mL) foi adicionada. A mistura de reação foi agitada em temperatura ambiente durante a noite. A mistura de reação foi vertida em água gelada e foi extraída com acetato de etíla. A fase orgânica foi lavada com uma solução de icarbonato de sódio saturada, água e salina, seca sob sulfato de sódio, filtrada e concentrada sob pressão reduzida. O resíduo foi purificado por cromatografia flash em gel de sílica utilizando um gradiente de acetato de etíla (10% a 40%) em heptano para render 0,175 g (78%) de carboxilato de 1-metil-4-fenil-1H-pirrol-3-etila como um óleo amarelo. ESI/APCI(+): 230 (M+H). RMN H1 (DMSO-d6) δ 7,47 (1H, s); 7,41 (2H, m); 7,30 (2H, m); 7,21 (1H, t); 6,91 (1H, s); 4,09 (2H, q); 3,67 (3H, s); 1,19 (3H, t).
[00271] Etapa 2: Em uma solução de carboxilato de 1-metil-4- fenil-1H-pirrol-3-etila (0,170 g; 0,741 mmol) em THF (2,5 mL) resfriado a -40 °C foram adicionados cloridrato de N,O-dimetilhidroxilamina (0,187 g; 1,917 mmol) e uma solução 2M de cloreto de isopropilmagnésio em THF (2 mL; 4,0 mmol). A mistura de reação foi deixada aquecer até 0 °C durante 5 h. A reação foi interrompida pela adição de uma solução saturada cloreto de amônio. A mistura de reação foi diluída com acetato de etíla. As fases foram separadas. A fase orgânica foi lavada com água e salina, seca sob sulfato de sódio, filtrada e concentrada sob pressão reduzida. O resíduo foi purificado por cromatografia flash em gel de sílica utilizando um gradiente de acetato de etíla (30% a 85%) em heptano para render 0,148 g (82%) de N-metoxi-N,1-dimetil-4-fenil-1H- pirrol-3-carboxamida como um óleo branco. ESI/APCI(+): 245 (M+H). RMN H1 (DMSO-d6) δ 7,28 (4H, m); 7,15 (2H, m); 6,95 (1H, s); 3,66 (3H, s); 3,53 (3H, s); 3,09 (3H, s).
[00272] Etapa 3: Em uma solução de_N-metoxi-N,1-dimetil-4- fenil-1H-pirrol-3-carboxamida (0,138 g; 0,565 mmol) em THF (4 mL) resfriado a -70 °C foi adicionada uma solução 1M de cloreto de benzilmagnésio em THF (1,7 mL; 1,7 mmol). A mistura de reação foi agitada a -70 °C por 3 h. Uma solução 1M de cloreto de benzilmagnésio em THF (1,7 mL; 1,7 mmol) foi adicionada novamente. Após 3 h a -70 °C, uma solução 1M de cloreto de benzilmagnésio em THF (1,7 mL; 1,7 mmol) e a mistura de reação foi deixcada aquecer lentamente até a temperatua ambiente e agitada em temperatura ambiente durante a noite. A reação foi interrompida pela adição de uma solução saturada cloreto de amônio. A mistura de reação foi diluída com acetato de etíla. As fases foram separadas. A fase orgânica foi lavada com uma bicarbonato de sódio saturado, água e salina, seca sob sulfato de sódio, filtrada e concentrada sob pressão reduzida. O resíduo foi purificado por cromatografia flash em gel de sílica utilizando um gradiente de acetato de etíla (20% a 60%) em heptano para render 0,095 g (61%) de 1-(1-metil-4-fenil-1H- pirrol-3-il)-2-feniletan-1-ona como um óleo branco. ESI/APCI(+): 276 (M+H). RMN H1 (DMSO-d6) δ 7,89 (1H, d); 7,1-7,3 (10H, m); 6,92 (1H, d); 3,99 (2H, s); 3,70 (3H, s).
[00273] Etapa 4: Em uma solução de_1-(1-metil-4-fenil-1 H-pirrol- 3-il)-2-feniletan-1-ona (0,090 g; 0,327 mmol) em THF (4 mL) resfriado a 0 °C foi adicionada uma solução de tribrometo de feniltrimetilamônio (0,176 g; 0,468 mmol) em THF (4,9 mL). A mistura de reação foi agitada a 0 °C por 1 h e em temperatura ambiente por 3 h. Uma solução de tribrometo de feniltrimetilamônio (0,050 g; 0,133 mmol) em THF (1,4 mL) foi adicionada e agitada continuamente por 3,5 h. 3,5-Dimetoxianilina (0,507 g; 3,310 mmol) foi adicionada e a mistura de reação foi agitada em temperatura ambiente por 64 h e foi submetida ao refluxo por 6,5 h. A mistura de reação foi concentrada sob pressão reduzida. O resíduo foi dividido entre acetato de etíla e uma solução de ácido clorídrico 1N . A fase orgânica foi lavada com água e salina, seca sob sulfato de sódio, filtrada e concentrada sob pressão reduzida. A purificação por cromatografia flash em gel de sílica utilizando um gradiente de acetato de etíla (20% a 60%) em heptano seguido pela cristalização a partir de acetato de etíla e heptano forneceu 0,021 g (13%) de 1-(5-bromo-1-metil-4-fenil-1H-pirrol-3-il)- 2-((3,5-dimetoxifenil)amino)-2-feniletan-1-ona como um pó bege. ESI/APCI(+): 505, 507 (M+H). ESI/APCI(-): 503, 505 (M-H). RMN H1 (DMSO-d6) δ 8,53 (1H, s); 7,51 (2H, m); 7,2-7,4 (6H, m); 7,11 (2H, m); 6,22 (1H, m); 5,94 (2H, s); 5,83 (1H, m); 5,72 (1H, s); 3,72 (3H, s); 3,62 (6H, s).
EXEMPLO 32 PREPARAÇÃO DE 2-((3,5-DIMETOXIFENIL)AMINO)-1-(3-FENILMORFOLINO)-2-( P- TOLIL)ETAN-1-ONA
[00274] 2-((3,5-Dimetoxifenil)amino)-1-(3-fenilmorfolino)-2-(p- tolil)etanona foi preparada de acordo com o precedimento geral A a partir de ácido 2-((3,5-dimetoxifenil)amino)-2-(p-tolil)acético (0,061 g; 0,202 mmol), 3- fenilmorfolina (0,040 g; 0,245 mmol), trietilamina (0,115 mL; 0,825 mmol) e HATU (0,087 g; 0,229 mmol) em diclorometano (2 mL). A purificação por cromatografia flash em gel de sílica utilizando um gradiente de acetato de etíla (0% a 30%) em heptano forneceu 0,029 g (24%) do composto desejado como um sólido branco. ESI/APCI(+): 447 (M+H).
EXEMPLO 33 PREPARAÇÃO DE 2-((3,5-DIMETOXIFENIL)AMINO)-1-(3-FENILTIOMORFOLINO)-2-( P- TOLIL)ETAN-1-ONA
[00275] 2-((3,5-Dimetoxifenil)amino)-1-(3-feniltiomorfolino)-2-(p- tolil)etan-1-ona foi preparada de acordo com o precedimento geral A a partir de ácido 2-((3,5-dimetoxifenil)amino)-2-(p-tolil)acético (0,080 g; 0,265 mmol), 3- feniltiomorfolina (0,050 g; 0,279 mmol), trietilamina (0,220 mL; 1,587 mmol) e HATU (0,101 g; 0,265 mmol) em diclorometano (2,9 mL). A purificação por cromatografia flash em gel de sílica utilizando um gradiente de acetato de etíla (10% a 40%) em heptano forneceu 0,011 g (9%) de estereoisômero menos polar como um sólido branco e 0,047 g (39%) de do estereoisômero mais polar como uma espuma branca. ESI/APCI(+): 463 (M+H).
EXEMPLO 34 PREPARAÇÃO DE 2-((3,5-DIMETOXIFENIL)AMINO)-1-(1,1-DIOXIDO-3- FENILTIOMORFOLINO)-2-( P- TOLIL)ETAN-1 -ONA
[00276] 2-((3,5-Dimetoxifenil)amino)-1-(1,1-dioxido-3- feniltiomorfolino)-2-(p-tolil)etan-1-ona foi preparada de acordo com o precedimento geral A a partir de ácido 2-((3,5-dimetoxifenil)amino)-2-(p- tolil)acético (0,080 g; 0,265 mmol), 3-fenil-1À6,4-tiomorfolina-1,1-diona (0,058 g; 0,275 mmol), trietilamina (0,220 mL; 1,587 mmol) e HATU (0,101 g; 0,265 mmol) em diclorometano (2,9 mL). A purificação por cromatografia flash em gel de sílica utilizando um gradiente de acetato de etíla (30% a 70%) em heptano forneceu 0,067 g (51%) de 2-((3,5-dimetoxifenil)amino)-1-(1,1-dioxido-3- feniltiomorfolino)-2-(p-tolil)etan-1-ona como uma espuma branca. ESI/APCI(+): 495 (M+H). ESI/APCI(-): 493 (M-H).
[00277] Sem serem limitantes, mais alguns exemplos de compostos da presente invenção que podem ser preparados pela utilização de protocolos similares, tal como descritos na presente invenção, estão apresentados na Tabela 1. PARTE B
EXEMPLO 35 ATIVIDADE ANTIVIRAL DOS COMPOSTOS DA INVENÇÃO
[00278] Para o vírus da dengue: Células Vero-B ou Vero-M (5 x 104) foram semeadas em placas de 96 poços. Um dia mais tarde, o meio de cultura foi substituído com 100 μL de meio de ensaio contendo uma diluição em série de 2x do composto (intervalo de concentração: 50 μg/mL - 0,004 μg/mL) e 100 μL de inoculo de vírus da dengue (DENV). Após um período de incubação de 2 horas, a monocamada celular foi lavada 3 vezes com meio de ensaio para remover o vírus residual, não adsorvido e as culturas foram incubadas durante mais quer 4 dias (DENV-2 NGC), 5 dias (DENV-4 cepa H241) ou 7 dias (DENV-1 Djibuti cepa D1/H/IMTSSA/98/606 e DENV-3 cepa H87 protótipo) na presença do inibidor. O sobrenadante foi coletado e carga de RNA viral foi determinada por RT-PCR em tempo real quantitativa. A concentração eficaz 50% (EC50), que é definida como a concentração de composto que é necessária para inibir a replicação do RNA viral em 50%, foi determinada utilizando a interpolação logarítmica.
[00279] A atividade antiviral dos compostos contra DENV-2 NGC também é testada em células de adenocarcinoma de células epiteliais basais alveolares humanas (células A549), utilizando o protocolo descrito acima, com a diferença de que menos células/poço foram semeadas (2 x 104 células/poço).
[00280] Para o vírus da febre amarela: Células Vero-B (5 x 104) foram semeadas em placas de 96 poços. Um dia mais tarde, o meio de cultura é substituído com 100 μL de meio de ensaio contendo uma diluição em série de 2x do composto (intervalo de concentração: 50 μg/mL - 0,004 μg/mL) e 100 μL de inoculo de vírus da febre amarela (YFD-17D). Após um período de incubação de 2 horas, a monocamada de células é lavada 3 vezes com meio de ensaio para remover o residual, o vírus não adsorvido e as culturas são incubadas durante 4 dias na presença do composto (inibidor). O sobrenadante é coletado e carga de RNA viral determinada por RT-PCR em tempo real quantitativa. A concentração eficaz 50% (EC50), que é definida como a concentração de composto que é necessária para inibir a replicação do RNA viral em 50%, é determinada utilizando a interpolação logarítmica.
PCR VIA TRANSCRIPTASE REVERSA QUANTITATIVA (RT-QPCR)
[00281] O RNA foi isolado a partir de 100 μL (ou em alguns casos 150 μL) de sobrenadante com o kit NucleoSpin 96 Virus kit (Macherey-Nagel, Düren, Alemanha), conforme descrito pelo fabricante. As sequências dos primers TaqMan (DENV-For, DENV-Rev, YFV-For, YFV-Rev; Tabela 2) e as sondas TaqMan (DENV-Probe e YFV-Probe; Tabela 2) foram selecionadas a partir de gene não estrutural 3 (NS3) ou NS5, dos respectivos Flavivírus usando o software Primer Express (versão 2.0; Applied Biosystems, Lennik, Bélgica). A sonda TaqMan foi marcada por fluorescência com 6- carboxifluoresceína (FAM) na extremidade 5' como o corante repórter e com ligante do sulco menor (MGB) na extremidade 3' como o elemento que bloqueia a emissão da fluorescência (quencher) (Tabela 2). Uma RT-PCR quantitativa de uma etapa de foi realizada em um volume total de 25 μL, contendo 13,9375 μL de H2O, 6,25 μL master mix (Eurogentec, Seraing, Bélgica), 0,375 μL de primer direto, 0,375 μL de primer reverso, 1 μL de sonda, 0,0625 μL de transcriptase reversa (Eurogentec) e 3 μL de amostra. A RT-PCR foi realizada utilizando o sistema ABI 7500 Fast Real-Time PCR System(Applied Biosystems, Branchburg, New Jersey, EUA) utilizando as seguintes condições: 30 min a 48 °C e 10 min a 95 °C, seguido de 40 ciclos de 15 s a 95 °C e 1 minuto a 60 °C. Os dados foram analisados utilizando o software ABI PRISM 7500 SDS (versão 1.3.1; Applied Biosystems). Por quantificação absoluta, curvas padrão foram geradas utilizando diluições de 10 vezes de preparações de molde com concentrações conhecidas. TABELA 2 PRIMERS E SONDAS UTILIZADOS PARA A RT-PCR EM TEMPO REAL QUANTITATIVA

a Os elementos corante repórter (FAM) e quencher (MGB/TAMRA) são indicados em negrito e itálico. b A sequência de nucleotídeos e a posição dos primers e sondas dentro do genoma foram deduzidas a partir da sequência de nucleotídeos do DENV 2 NGC (n° de acesso GenBank M29095; Irie et al., 1989), vírus da dengue sorotipo 1 Djibouti cepa D1/H/IMTSSA/98/606 (Número de acesso GenBank AF298808), vírus da dengue sorotipo 3 cepa H87 protótipo (c93130), vírus da dengue sorotipo 4 cepa H241 (sem sequências disponível) e YFV-17D (número de acesso GenBank X03700; Rice et al., 1985).
ENSAIO DE CITOTOXICIDADE
[00282] Os potenciais efeitos citotóxicos dos compostos foram avaliados em células Vero-B ou Vero-M quiescentes infectadas. As células foram semeadas a 5 x 104 células/poço em uma placa de 96 poços na presença de diluições seriadas de duas vezes (variando de 50 μg/mL - 0,004 μg/mL) do composto e foram incubadas durante 4 a 7 dias. O meio de cultura foi descartado e 100 μL 3-(4,5-dimetiltiazol-2-il)-5-(3-carboximetoxifenil)-2-(4- sulfofenil)-2H-tetrazólio/fenazinametosulfato (MTS/PMS; Promega, Leiden, Holanda) em PBS foi adicionado a cada poço. Após um período de incubação de 2 horas a 37 °C, a densidade óptica foi determinada a 498 nm. A atividade citotóxica foi calculada usando a seguinte fórmula: % da viabilidade de células = 100 x (ODcomposto/ODcc), onde ODcomposto e ODcc correspondem à densidade ótica a 498 nm das culturas de células não infectadas tratadas com o composto e culturas de células não tratadas não infectadas, respectivamente. A concentração citotóxica 50% (ou seja, a concentração que reduz o número total de células em 50%; CC50) foi calculada utilizando a interpolação linear.
[00283] Um protocolo semelhante foi utilizado para avaliar a citotoxicidade em células A549 com a diferença de que as células foram semeadas a 2x104 células/poço.
[00284] A Tabela 3 exibe a atividade contra DENV-2 em células Vero-B e a citotoxicidade de alguns exemplos de compostos da invenção.
[00285] A Tabela 4 exibe a atividade contra DENV-1 em células Vero-B e a citotoxicidade de alguns exemplos de compostos da invenção. TABELA 4
[00286] A Tabela 5 exibe a atividade contra DENV-3 em células Vero-B e a citotoxicidade de alguns exemplos de compostos da invenção. TABELA 5
[00287] A Tabela 6 exibe a atividade contra DENV-4 em células Vero-M e a citotoxicidade de alguns exemplos de compostos da invenção. TABELA 6
EXEMPLO 36 ATIVIDADE IN VIVO DOS COMPOSTOS DA INVENÇÃO CONTRA A INFECÇÃO DA DENGUE
[00288] Um modelo de viremia da dengue em camundongos conforme descrito em Schul W, Liu W, Xu HY, Flamand M, Vasudevan SG. J. Infect Dis. 2007; 95(5):665-74) (incluído ao presente pela referência) pode ser utilizado para examinar a eficácia in vivo dos compostos. Neste modelo, camundongos AG129 (carecendo de receptores interferon alfa/beta e interferon gama) são inoculados intraperitonealmente com 2x106 unidades formadoras de placas (UFP) de DENV-2 (cepa TSV01) no dia 0. Os camundongos infectados (6 ou 8 animais por grupo) são tratados imediatamente com o composto a ser testado em uma ou mais doses selecionadas por via IP, IV ou SC ou por administração oral e o veículo como controle durante três dias consecutivos. No dia 4, as amostras de sangue são coletadas, e os títulos virais são determinados usando um ensaio de placas.
[00289] Um modelo de mortalidade da dengue em camundongos AG129 (carecendo de receptores de interferon alfa/beta e interferon gama) tal como descrito em Tan et al (PLoS Negl Trop Dis 2010; 4(4) e Ann Acad Med Singapore 2011;40:523-32) (incluído ao presente pela referência) foi estabelecido para examinar a eficácia in vivo de um composto da invenção. Camundongos AG129 fêmeas (B & K Universal, Reino Unido), com 7-9 semanas de idade, são divididos aleatoriamente em 3 grupos teste (n = 4 ou 5 por grupo): 1 grupo infectado, que só recebe veículo e 2 grupos infectados que são tratados com o composto teste da invenção (60 mg/kg/dia, S.C., duas vezes ao dia dissolvido em um 10% de DMSO, 5% de Solutol em solução salina (0,9%)) ou com um composto de referência (por exemplo, celgosivir (100 mg/kg/dia ; i.p., duas vezes por dia, dissolvido em NaCl a 0,9%)). Os camundongos são inoculados por via subcutânea no dia 0 com 1 x107 unidades formadoras de placas (UFP) do DENV-2 cepa D2Y98P não adaptada para camundongo, uma cepa altamente infecciosa em camundongos AG129, o que resulta em grave doença e, eventualmente, morte dentro de 2 semanas. Os camundongos infectados são subsequentemente tratados duas vezes ao dia durante vários dias consecutivos (por exemplo, 17 dias consecutivos) com veículo, composto de referência (por exemplo, celgosivir) ou com o composto da invenção. Os camundongos são sacrificados, logo que eles têm sinais de paralisia induzida pelo vírus e/ou terem perdido > = 30% de peso corporal.