WO2016114386A1 - 進行型免疫性脱髄疾患治療剤 - Google Patents
進行型免疫性脱髄疾患治療剤 Download PDFInfo
- Publication number
- WO2016114386A1 WO2016114386A1 PCT/JP2016/051124 JP2016051124W WO2016114386A1 WO 2016114386 A1 WO2016114386 A1 WO 2016114386A1 JP 2016051124 W JP2016051124 W JP 2016051124W WO 2016114386 A1 WO2016114386 A1 WO 2016114386A1
- Authority
- WO
- WIPO (PCT)
- Prior art keywords
- group
- alkyl
- cyclic
- alkoxy
- cycloalkyl
- Prior art date
- Legal status (The legal status is an assumption and is not a legal conclusion. Google has not performed a legal analysis and makes no representation as to the accuracy of the status listed.)
- Ceased
Links
- 0 Cc1c(*)c(*)c(*)c(*)c1* Chemical compound Cc1c(*)c(*)c(*)c(*)c1* 0.000 description 3
Images
Classifications
-
- A—HUMAN NECESSITIES
- A61—MEDICAL OR VETERINARY SCIENCE; HYGIENE
- A61K—PREPARATIONS FOR MEDICAL, DENTAL OR TOILETRY PURPOSES
- A61K31/00—Medicinal preparations containing organic active ingredients
- A61K31/33—Heterocyclic compounds
- A61K31/395—Heterocyclic compounds having nitrogen as a ring hetero atom, e.g. guanethidine or rifamycins
- A61K31/40—Heterocyclic compounds having nitrogen as a ring hetero atom, e.g. guanethidine or rifamycins having five-membered rings with one nitrogen as the only ring hetero atom, e.g. sulpiride, succinimide, tolmetin, buflomedil
- A61K31/403—Heterocyclic compounds having nitrogen as a ring hetero atom, e.g. guanethidine or rifamycins having five-membered rings with one nitrogen as the only ring hetero atom, e.g. sulpiride, succinimide, tolmetin, buflomedil condensed with carbocyclic rings, e.g. carbazole
- A61K31/4035—Isoindoles, e.g. phthalimide
-
- A—HUMAN NECESSITIES
- A61—MEDICAL OR VETERINARY SCIENCE; HYGIENE
- A61K—PREPARATIONS FOR MEDICAL, DENTAL OR TOILETRY PURPOSES
- A61K31/00—Medicinal preparations containing organic active ingredients
- A61K31/33—Heterocyclic compounds
- A61K31/395—Heterocyclic compounds having nitrogen as a ring hetero atom, e.g. guanethidine or rifamycins
- A61K31/435—Heterocyclic compounds having nitrogen as a ring hetero atom, e.g. guanethidine or rifamycins having six-membered rings with one nitrogen as the only ring hetero atom
- A61K31/44—Non condensed pyridines; Hydrogenated derivatives thereof
- A61K31/4427—Non condensed pyridines; Hydrogenated derivatives thereof containing further heterocyclic ring systems
- A61K31/443—Non condensed pyridines; Hydrogenated derivatives thereof containing further heterocyclic ring systems containing a five-membered ring with oxygen as a ring hetero atom
-
- A—HUMAN NECESSITIES
- A61—MEDICAL OR VETERINARY SCIENCE; HYGIENE
- A61K—PREPARATIONS FOR MEDICAL, DENTAL OR TOILETRY PURPOSES
- A61K31/00—Medicinal preparations containing organic active ingredients
- A61K31/33—Heterocyclic compounds
- A61K31/395—Heterocyclic compounds having nitrogen as a ring hetero atom, e.g. guanethidine or rifamycins
- A61K31/435—Heterocyclic compounds having nitrogen as a ring hetero atom, e.g. guanethidine or rifamycins having six-membered rings with one nitrogen as the only ring hetero atom
- A61K31/44—Non condensed pyridines; Hydrogenated derivatives thereof
- A61K31/445—Non condensed piperidines, e.g. piperocaine
- A61K31/4523—Non condensed piperidines, e.g. piperocaine containing further heterocyclic ring systems
- A61K31/454—Non condensed piperidines, e.g. piperocaine containing further heterocyclic ring systems containing a five-membered ring with nitrogen as a ring hetero atom, e.g. pimozide, domperidone
-
- A—HUMAN NECESSITIES
- A61—MEDICAL OR VETERINARY SCIENCE; HYGIENE
- A61K—PREPARATIONS FOR MEDICAL, DENTAL OR TOILETRY PURPOSES
- A61K31/00—Medicinal preparations containing organic active ingredients
- A61K31/33—Heterocyclic compounds
- A61K31/395—Heterocyclic compounds having nitrogen as a ring hetero atom, e.g. guanethidine or rifamycins
- A61K31/495—Heterocyclic compounds having nitrogen as a ring hetero atom, e.g. guanethidine or rifamycins having six-membered rings with two or more nitrogen atoms as the only ring heteroatoms, e.g. piperazine or tetrazines
- A61K31/496—Non-condensed piperazines containing further heterocyclic rings, e.g. rifampin, thiothixene or sparfloxacin
-
- A—HUMAN NECESSITIES
- A61—MEDICAL OR VETERINARY SCIENCE; HYGIENE
- A61K—PREPARATIONS FOR MEDICAL, DENTAL OR TOILETRY PURPOSES
- A61K31/00—Medicinal preparations containing organic active ingredients
- A61K31/33—Heterocyclic compounds
- A61K31/395—Heterocyclic compounds having nitrogen as a ring hetero atom, e.g. guanethidine or rifamycins
- A61K31/495—Heterocyclic compounds having nitrogen as a ring hetero atom, e.g. guanethidine or rifamycins having six-membered rings with two or more nitrogen atoms as the only ring heteroatoms, e.g. piperazine or tetrazines
- A61K31/50—Pyridazines; Hydrogenated pyridazines
- A61K31/5025—Pyridazines; Hydrogenated pyridazines ortho- or peri-condensed with heterocyclic ring systems
-
- A—HUMAN NECESSITIES
- A61—MEDICAL OR VETERINARY SCIENCE; HYGIENE
- A61K—PREPARATIONS FOR MEDICAL, DENTAL OR TOILETRY PURPOSES
- A61K31/00—Medicinal preparations containing organic active ingredients
- A61K31/33—Heterocyclic compounds
- A61K31/395—Heterocyclic compounds having nitrogen as a ring hetero atom, e.g. guanethidine or rifamycins
- A61K31/535—Heterocyclic compounds having nitrogen as a ring hetero atom, e.g. guanethidine or rifamycins having six-membered rings with at least one nitrogen and one oxygen as the ring hetero atoms, e.g. 1,2-oxazines
- A61K31/5375—1,4-Oxazines, e.g. morpholine
- A61K31/5377—1,4-Oxazines, e.g. morpholine not condensed and containing further heterocyclic rings, e.g. timolol
-
- A—HUMAN NECESSITIES
- A61—MEDICAL OR VETERINARY SCIENCE; HYGIENE
- A61K—PREPARATIONS FOR MEDICAL, DENTAL OR TOILETRY PURPOSES
- A61K31/00—Medicinal preparations containing organic active ingredients
- A61K31/70—Carbohydrates; Sugars; Derivatives thereof
- A61K31/7088—Compounds having three or more nucleosides or nucleotides
- A61K31/7105—Natural ribonucleic acids, i.e. containing only riboses attached to adenine, guanine, cytosine or uracil and having 3'-5' phosphodiester links
-
- A—HUMAN NECESSITIES
- A61—MEDICAL OR VETERINARY SCIENCE; HYGIENE
- A61K—PREPARATIONS FOR MEDICAL, DENTAL OR TOILETRY PURPOSES
- A61K38/00—Medicinal preparations containing peptides
-
- A—HUMAN NECESSITIES
- A61—MEDICAL OR VETERINARY SCIENCE; HYGIENE
- A61K—PREPARATIONS FOR MEDICAL, DENTAL OR TOILETRY PURPOSES
- A61K45/00—Medicinal preparations containing active ingredients not provided for in groups A61K31/00 - A61K41/00
-
- A—HUMAN NECESSITIES
- A61—MEDICAL OR VETERINARY SCIENCE; HYGIENE
- A61K—PREPARATIONS FOR MEDICAL, DENTAL OR TOILETRY PURPOSES
- A61K48/00—Medicinal preparations containing genetic material which is inserted into cells of the living body to treat genetic diseases; Gene therapy
Definitions
- the present invention relates to a therapeutic agent for progressive immune demyelinating disease.
- MS Multiple sclerosis
- RR-MS relapsing-remitting MS
- SP-MS secondary progressive MS
- PR-MS progressive recurrent MS
- DMT disease-modifying therapy
- Non-Patent Document 4 states that in the central nervous system (CNS) of SP-MS patients, a plurality of cells or tissues are damaged, and the damage extends not only to white matter but also to gray matter. Has been reported.
- Non-Patent Document 4 shows that the expression level of the PAR2 receptor belonging to the PAR (Protease-activated receptor) receptor family is changed in the brain of a patient with multiple sclerosis, and the PAR2 receptor becomes a neuroinflammatory condition. It reports that it is involved.
- the present invention has been made in view of these circumstances, and its main object is to provide a therapeutic agent for progressive immune demyelinating disease. Another object of the present invention is to provide a method for treating advanced immune demyelinating disease.
- EAE pathology In the NR4A2-deficient mice in which monophasic experimental autoimmune encephalomyelitis (EAE) was induced, the EAE pathology with normal limb paralysis was not observed in the early stage of induction, whereas the late stage (induction) It was found that EAE pathology (hereinafter also referred to as “late EAE pathology”) was observed about 28 days later) and that late EAE pathology became a model for progressive MS pathology. The present inventors further found that the late EAE pathology of NR4A2-deficient mice is improved by inhibiting the PAR1 receptor using a PAR1 receptor antagonist or the like. The present invention is based on these new findings.
- the present invention provides the following (1) to (16).
- a therapeutic agent for advanced immune demyelinating disease containing as an active ingredient a substance that suppresses or inhibits signal transduction starting from the PAR1 receptor.
- the therapeutic agent for progressive immune demyelinating disease according to (1) wherein the substance comprises a PAR1 receptor antagonist.
- the therapeutic agent for progressive immune demyelinating disease according to (1), wherein the substance contains an inhibitor of an enzyme that activates the PAR1 receptor.
- a method for treating advanced immune demyelinating disease comprising administering to a patient with advanced immune demyelinating disease a pharmaceutical composition containing as an active ingredient a substance that suppresses or inhibits signal transduction starting from the PAR1 receptor.
- Method of treatment (6)
- the present invention it is possible to provide a therapeutic agent for progressive immune demyelinating disease and a therapeutic method for progressive immune demyelinating disease.
- FIG. 3 is a cytogram showing CD107a, IFN- ⁇ , granzyme B and perforin 1 expression of CD3 + CD4 + PBMC derived from an SP-MS patient. It is a graph which shows the change of EAE disease state by administration of granzyme B specific siRNA. It is a graph which shows the change of EAE disease state by administration of a PAR1 receptor antagonist. It is a graph which shows the change of EAE disease state by administration of a PAR1 receptor antagonist. It is a graph which shows the change of EAE disease state by administration of a PAR1 receptor activation peptide.
- progressive immune demyelinating disease refers to a disease caused by damage of the myelin sheath caused by an immune reaction and progressing continuously without remission.
- the progressive immune demyelinating disease is preferably a progressive immune demyelinating disease of the central nervous system.
- progressive immune demyelinating diseases include progressive multiple sclerosis such as PP-MS, SP-MS, and PR-MS.
- NR4A2 gene is also called Nurr1 gene, NOT gene, or RNR1 gene, and is a kind of orphan nuclear receptor.
- the main expression site of the NR4A2 gene is the central nervous system, and is particularly strongly expressed in the ventral midbrain, brainstem, and spinal cord.
- NR4A2 is induced in response to prostaglandins, growth factors, inflammatory cytokines, and T cell receptor cross-linking, and directly binds to DNA in a ligand-dependent or ligand-independent manner to control transcription.
- the accession number of NCBI Reference Sequence of the transcription product of human NR4A2 gene is NM_006186.3.
- the Eomes gene also called Eomesodermin or Tbr2
- Tbr2 is a member of the T-box transcription factor family and is a protein involved in vertebrate development and differentiation.
- the Eomes gene is known to be expressed in CD8 + T cells (cytotoxic T cells, CTL) and NK cells.
- the Eomes gene is known to directly induce the expression of perforin and granzyme B.
- NCBI Reference Sequence accession numbers for the transcripts of the human Eomes gene are NM_001278182.1 (variant 1), NM_005442.3 (variant 2), and NM_001278183.1 (variant 3).
- the PAR1 receptor is a seven-transmembrane G protein-coupled receptor and is known as one of the PAR receptor families.
- the PAR1 receptor is activated by cleaving a specific peptide bond existing in the extracellular region of the amino acid sequence constituting the receptor with an enzyme. More specifically, a specific peptide bond is cleaved, and the peptide from the cleaved position to the N-terminus is removed, thereby generating a new N-terminus in the amino acid sequence.
- the new amino acid sequence around the N-terminus acts as a activating ligand for the PAR1 receptor and causes receptor self-activation.
- Examples of the enzyme that cleaves the peptide bond of the PAR1 receptor include thrombin, granzyme, factor X, trypsin, plasmin, and the like.
- an activating peptide that mimics the amino acid sequence of the activating ligand is known.
- Examples of the activating peptide include peptides having an amino acid sequence such as SFLLRN and TFLLRN.
- the description of an amino acid means S: serine, T: threonine, F: phenylalanine, L: leucine, R: arginine, N: asparagine.
- the therapeutic agent for progressive immune demyelinating disease contains a substance that suppresses or inhibits signal transduction starting from the PAR1 receptor as an active ingredient.
- the therapeutic agent can also be used as a progression inhibitor of the pathological condition of progressive immune demyelinating disease.
- a substance that suppresses or inhibits signal transduction starting from the PAR1 receptor is a substance that suppresses or inhibits signal transduction starting from the PAR1 receptor by suppressing or inhibiting any of the activation mechanisms of the PAR1 receptor described above. .
- it may be a substance that inhibits an enzyme that cleaves a specific peptide of the PAR1 receptor (an inhibitor of an enzyme that activates the PAR1 receptor), and binds to a site where an activation ligand of the PAR1 receptor acts. It may be a substance (PAR1 receptor antagonist) or a substance that inhibits a protein involved in signal transduction in the intracellular region of the PAR1 receptor (signal transduction inhibitor). Moreover, the substance (inhibitor of PAR1 gene expression) which inhibits the expression of the PAR1 receptor at the mRNA level or protein level may be used.
- the inhibitor of the enzyme that activates the PAR1 receptor may be an antibody, a nucleic acid, a peptide, a sugar, or a glycoprotein as long as it can inhibit the enzyme that activates the PAR1 receptor. It may be a compound.
- the antibody may be a monoclonal antibody or a polyclonal antibody.
- Examples of the enzyme that activates the PAR1 receptor include thrombin, granzyme A, granzyme B, activated coagulation factor X (Factor Xa), trypsin, and plasmin.
- Inhibitors of enzymes that activate the PAR1 receptor may be used singly or in combination of two or more.
- thrombin inhibitor examples include antithrombin antibodies (for example, ATAP2, SF-14), thrombin specific siRNA, thrombin specific shRNA, and thrombin specific shRNA plasmid.
- granzyme A inhibitors examples include 3,4-dichloroisocoumarin, nafamostat mesylate, anti-granzyme A antibody or antigen-binding fragment thereof, granzyme A specific siRNA, granzyme A specific shRNA, granzyme A specific.
- a shRNA plasmid is mentioned.
- Examples of the granzyme B inhibitor include benzyloxycarbonyl-isoleucine-glutamic acid-threonine-aspartic acid fluoromethyl ketone (Z-IETDFMK), acetyl-isoleucine-glutamic acid-threonine-aspartic acid-aldehyde (Ac-IETD-CHO), 3,4-dichloroisocoumarin, Ecotin, E .; E.
- coli acetyl-isoleucine-glutamic acid-proline-aspartic acid-aldehyde (Ac-IEPD-CHO), benzyloxycarbonyl-alanine-alanine-aspartic acid, chloromethyl ketone (Z-AAD-CMK), protease inhibitor 9 (J. Immunol 2001; 166: 3218-3225), WO2012 / 076985, anti-granzyme B antibody (eg MAB3070) or antigen-binding fragment thereof, granzyme B-specific siRNA, granzyme B-specific shRNA, granzyme B-specific A shRNA plasmid is mentioned.
- Ac-IEPD-CHO acetyl-isoleucine-glutamic acid-proline-aspartic acid-aldehyde
- Z-AAD-CMK chloromethyl ketone
- protease inhibitor 9 J. Immunol 2001; 166: 3218-3225
- PAR1 receptor antagonists include compounds described in DRUG DEVELOPMENT RESEARCH 59: 355-366 (2003) (for example, RWJ-53052, RWJ-56110, RWJ-58259, SCH-79797, BMS-200201, FR-171113, SCH).
- PAR1 receptor antagonist More specific examples of the PAR1 receptor antagonist include, for example, the compounds described in [1] to [13] below.
- each ring B may further have a substituent (1) an aromatic hydrocarbon ring or (2) an aromatic heterocyclic ring which may contain 1 or 2 N;
- R 101 R 102 and R 103 are the same or different and are (1) a hydrogen atom or (2) any one group selected from the following substituent group c;
- R 5 is (1) a hydrogen atom, (2) a cyano group , (3) a halogen atom or (4) any one group selected from the following substituent group a;
- R 6 is (1) a hydrogen atom, (2) a C 1-6 alkyl group, (3) an acyl group, (4) Carbamoyl group, (5) Hydroxyl group, (6) C 1-6 alkoxy group, (7) C 1-6 alkyloxycarbonyloxy group, (8) C 3-8 cyclic alkyl group, (9) Acyloxy group in optionally substituted C 1-6 alkyl-oxycarbonyl group also (10)
- Ar represents (i) a hydrogen atom
- a 5- to 8-membered heterocyclic ring which may contain an atom and may be substituted with at least one group selected from the following substituent group f may be formed.
- a 5- to 14-membered aromatic heterocyclic group which may be substituted with at least one group selected from the following substituent group g. ⁇ Substituent group a> C 1-6 alkyl group, alkylidene group, C 2-6 alkenyl group, C 2-6 alkynyl each optionally substituted with at least one group selected from the following substituent group a ′ Group, acyl group, carboxyl group, carbamoyl group, C 1-6 alkoxycarbonyl group, C 1-6 alkylaminocarbonyl group, hydroxyl group, C 1-6 alkoxy group, C 3-8 cyclic alkyloxy group, amino group, C 1-6 alkylamino group, C 3-8 cyclic alkylamino group, acylamino group, sulfonylamino group, sulfonyl group, sulfamoyl group, C 3-8 cyclic alkyl group, 5- to 14-membered non-aromatic hetero
- the aromatic heterocyclic group includes a C 1-6 alkyl group, a cyano group, an acyl group, a carboxyl group, a carbamoyl group, a C 1-6 alkoxycarbonyl group, a C 1-6 alkylaminocarbonyl group, a hydroxyl group, and a C 1- 6 alkoxy group, C 3-8 cyclic alkyloxy group, nitro group, amino group, C 1-6 alkylamino group, C 3-8 cyclic alkylamino group, acylamino group, ureido group, urelenylene group, sulfonylamino group, sulfonyl Optionally substituted with at least one group selected from the group consisting of a group, a sulfamoyl group, a halogen atom and a C 3-8 cyclic alkyl group; ⁇ Substituent group b> C 1-6 alkyl group, C 2-6 alkenyl group
- each of the B rings is a benzene ring or a pyridine ring which may further have a substituent;
- R 101 , R 102 and R 103 are the same or Differently, a group consisting of a hydrogen atom, a halogen atom, a C 1-6 alkyl group, a C 1-6 alkylaminocarbonyl group, a C 1-6 alkoxy group, a C 1-6 alkylamino group and a C 3-8 cyclic alkyl group
- R 5 is any one group selected from the group consisting of a hydrogen atom, a C 1-6 alkyl group and a C 1-6 alkoxy C 1-6 alkyl group;
- R 6 is hydrogen atom, a C 1-6 alkyl group and any one of the groups optionally substituted with acyloxy group selected from the group consisting of a C 1-6 alkyloxycarbonyl group;
- Y 1 is a single bond
- Any one group selected from the group consisting of a C 3-8 cyclic alkylamino group, an acylamino group, a 5- to 14-membered non-aromatic heterocyclic group, and a C 1-6 alkyloxycarbonyloxy group, R 11 and R 12 , or R 12 and R 13 may combine to contain (i) 1 to 4 heteroatoms selected from N, S and O, and (ii) a cyano group ,
- a 5- to 8-membered heterocyclic ring may be formed. Or a salt thereof.
- the compound according to [1] is more preferably a formula (3): [Wherein, R 104 and R 105 are the same or different and each represents a hydrogen atom, a C 1-6 alkoxy group, a C 1-6 alkyl group or a halogen atom, R 101 , R 102 , R 5 , R 6 , Y 1 , Y 2 and Ar have the same meanings as defined above (provided that R 101 , R 102 , R 104 and R 105 do not all represent a hydrogen atom at the same time). Or a salt thereof.
- the compound according to [1] is preferably a compound of the formula (4): [In the formula, U represents N or CH, V represents N or CR 101 , W represents N or CR 102 , Z represents N or CR 105 , and one of U, V, W and Z Or two are N; R 101 , R 102 , R 105 , R 5 , R 6 , Y 1 , Y 2 and Ar each have the same meaning as defined above (provided that R 101 , R 102 and R 105). Are not all hydrogen atoms at the same time). Or a salt thereof.
- the compound described in [1] is particularly preferably the following compound.
- a compound described in US7304078 that is, the formula (5): [Wherein the single dotted line represents any single bond; Represents any double bond; n is 0-2; Q is Is R 1 is H, C 1-6 alkyl, fluoro-C 1-6 alkyl-, difluoro-C 1-6 alkyl-, trifluoro-C 1-6 alkyl-, C 3-6 cycloalkyl, C 2- Independently selected from the group consisting of 6 alkenyl, hydroxy-C 1-6 alkyl, and amino-C 1-6 alkyl; R 2 represents H, C 1-6 alkyl, fluoro-C 1-6 alkyl, difluoro-C 1-6 alkyl-, trifluoro-C 1-6 -alkyl, —C 3-6 cycloalkyl, C 2- Independently selected from the group consisting of 6 alkenyl, hydroxy-C 1-6 alkyl-, and amino-C 1-6 alkyl-; R 3 is H,
- W represents H, C 1-6 alkyl, fluoro-C 1-6 alkyl, difluoro-C 1-6 alkyl-, trifluoro-C 1-6 alkyl-, C 3-6 cycloalkylhydroxy-C 1-6 Alkyl-, dihydroxy-C 1-6 alkyl, NR 25 R 26 -C 1-6 alkyl, thioC 1-6 alkyl-, —OH, C 1-6 alkoxy, halogen.
- R 4 and R 5 are independently selected from the group consisting of H, C 1-6 alkyl, phenyl, benzyl and C 1-6 cycloalkyl, or R 4 and R 5 taken together— (CH 2 ) 4 —, — (CH 2 ) 5 — or — (CH 2 ) 2 —NR 7 — (CH 2 ) 2 —, forming a ring with the nitrogen to which R 4 and R 5 are bonded;
- R 6 is H, C 1-6 alkyl or phenyl;
- R 7 is H, C 1-6 alkyl-, —
- n3 is 0-5, n4 and n5 are independently 0-2, and R 12 and R 12a are independently selected from the group consisting of H, C 1-6 alkyl and halogen;
- X is —O— or —NR 6 — when the dotted line represents a single bond, or X is —OH or —NHR 20 when no bond is present;
- Each R 13 is C 1-6 alkyl-, C 3-8 cycloalkyl, — (CH 2 ) n6 NHC (O) OR 16b , — (CH 2 ) n6 NHC (O) R 16b , — (CH 2 ) n6
- the compound according to [2] is preferably represented by the formula (5): [Wherein the single dotted line represents any single bond; Represents any double bond; n is 0-2; Q is R is —NHC (O) OR 16b , R 16b is C 1-6 alkyl; R 1 is H, C 1-6 alkyl, fluoro-C 1-6 alkyl-, difluoro-C 1-6 alkyl-, trifluoro-C 1-6 alkyl-, C 3-6 cycloalkyl, C 2- Independently selected from the group consisting of 6 alkenyl, hydroxy-C 1-6 alkyl, and amino-C 1-6 alkyl; R 2 is H, C 1-6 alkyl, fluoro-C 1-6 alkyl, difluoro-C 1-6 alkyl-, trifluoro-C 1-6 alkyl, C 3-6 cycloalkyl, C 2-6 alkenyl Independently selected from the group consisting of
- R 1 and R 2 are each independently the same or different and each represents a hydrogen atom, a methoxy group or an ethoxy group;
- X 1 represents a hydrogen atom or a halogen atom;
- Ar 2 represents a methyl group or an ethyl group] , A methoxy group, an ethoxy group, a t-butyl group, a morpholinyl group, or a phenyl group which may be substituted with one or more substituents selected from the substituent represented by the formula (7),
- W is —CH— or a nitrogen atom;
- a ′ is —CH 2 — or a single bond;
- R 3 is a hydrogen atom or —OR 5a ;
- X 2 is —CH 2 —, an oxygen atom, Y represents a single bond or a C 1-4 alkylene group;
- R 4 represents a hydrogen atom or —OR 5a ;
- cycloalkyl Mono-, di- or tri-substituted by cycloalkyl, wherein some or all of the hydrogen atoms of alkyl or cycloalkyl may be substituted by fluorine;
- Q 2 and Q 3 are the same or different and are each independently a hydrogen atom, —C 1-6 alkyl or —C 3-6 cycloalkyl, where some or all of the alkyl or cycloalkyl hydrogen atoms May be substituted by fluorine,
- R 1 , R 2 and R 3 are the same or different and are each independently a hydrogen atom, —C 1-6 alkyl, —C 3-6 cycloalkyl, —O—C 1-8 alkyl, —O—C 3-6 cycloalkyl, —C 0-4 alkylene-C (O) —NR 11 R 12 , —C 0-4 alkylene-C (O) —OR 11 , —C 0-4 alkylene-
- R 1 and R 2 or R 2 and R 3 is that they combine with each other to form a that is in 5- to 8-membered ring together with the ring atoms, wherein the ring carbons Composed of only atoms, or 1, 2 or 3 of these atoms are replaced by nitrogen, oxygen or sulfur atoms, wherein the ring is unsubstituted or independently —C 1-4 5- to 8-membered rings formed here, mono- or disubstituted by alkyl, —C 3-6 cycloalkyl, OH, —O—C 1-6 alkyl or —O—C 3-6 cycloalkyl, and Where some or all of the alkyl or
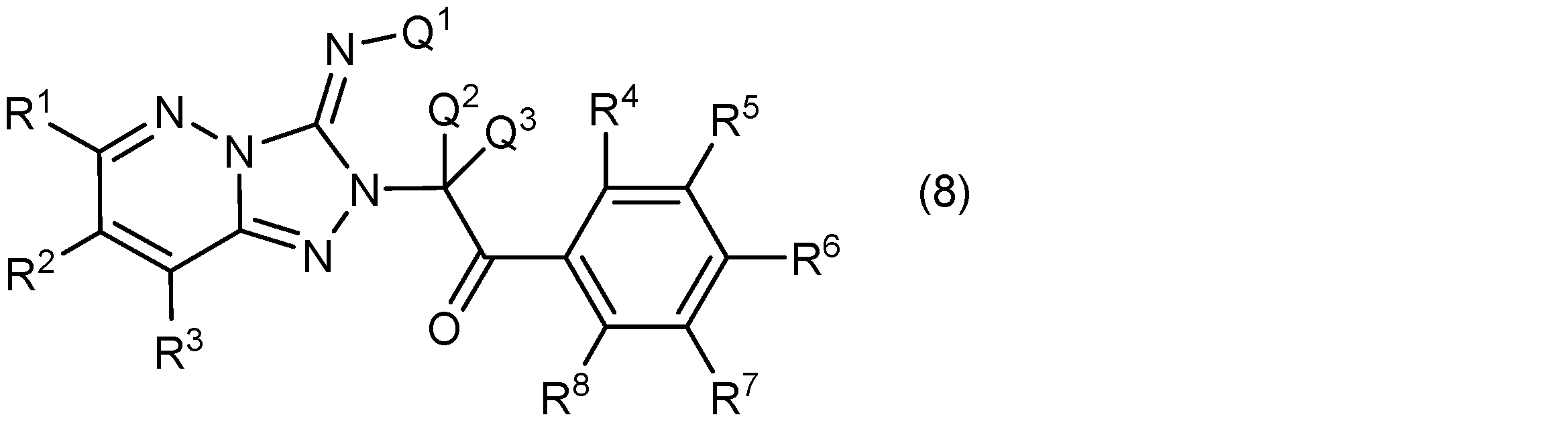
- the compound according to [4] is preferably represented by the formula (8): Wherein Q 1 , Q 2 and Q 3 are hydrogen atoms, —C 1-6 alkyl, —C 3-6 cycloalkyl, wherein some or all of the alkyl or cycloalkyl hydrogen atoms are fluorine May be replaced, R 1 , R 2 and R 3 are the same or different and are each independently a hydrogen atom, —C 1-6 alkyl, —C 3-6 cycloalkyl, —O—C 1-8 alkyl, —O—C 3-6 cycloalkyl, —C 0-4 alkylene-C (O) —N (R 11 ) R 12 , —C 0-4 alkylene-C (O) —OR 11 , —C 0-4 alkylene-C ( O) —R 11 , —C 0-4 alkylene-N (R 11 ) R 12 , —C 0-4 alkylene-N (R 11
- R 4 , R 5 , R 6 , R 7 and R 8 are the same or different and are each independently a hydrogen atom, —C 1-6 alkyl, —C 3-6 cycloalkyl, —OH, —CN, —NO 2 , —O—C 1-8 alkyl, —O—C 3-6 cycloalkyl, —C 0-4 alkylene-C (O) —N (R 21 ) —R 22 , —SO 2 CH 3 , —SO 2 CF 3 , —C 0-4 alkylene-C (O) —OR 21 , halogen, —SF 5 , —C 0-4 alkylene-C (O) —R 21 , C 0-4 alkyl
- R 1 and R 2 together form a ⁇ O group
- R 3 is H, hydroxy, C 1-6 alkoxy, —NR 18 R 19 , —SOR 16 , —SO 2 R 17 , —C (O) OR 17 , —C (O) NR 18 R 19 , —C 1-6 alkyl, halogen, fluoro-C 1-6 alkyl, difluoro-C 1-6 alkyl, trifluoro-C 1-6 alkyl, C 3-7 cycloalkyl, C 2-6 alkenyl, aryl-C 1- 6 alkyl, aryl-C 2-6 alkenyl, heteroaryl-C 1-6 alkyl, heteroaryl-C 2-6 alkenyl, hydroxy-C 1-6 alkyl, amino-C 1-6 alkyl, aryl, thio-C 1-6 alkyl, C 1-6 alkoxy-C 1-6 alkyl or C 1-6 alkylamino-C 1-6 alkyl;
- a monocyclic, bicyclic or tricyclic heterocyclic aromatic group selected from the group consisting of: a ring nitrogen, together with a C 1-4 alkyl group, an N-oxide or a quaternary group Where Het is bonded to B by a carbon atom ring member, wherein the Het group is substituted with 1 to 4 substituents W, wherein the substituents are separated And selected from the group consisting of: H; C 1-6 alkyl; fluoro-C 1-6 alkyl; difluoro-C 1-6 alkyl; trifluoro-C 1-6 alkyl; C 3-7 cycloalkyl Heterocycloalkyl; substituted heterocycloalkyl, which , C 1-6 alkyl, C 2-6 alkenyl, hydroxy -C 1-6 alkyl or O; is substituted with C 2-6 alkenyl; R 21 - aryl -C 1-6 alkyl; R 21 - aryl -C 2-6 alkeny
- R 22 and R 23 are independently hydrogen, R 24 -C 1-10 alkyl, R 24 -C 2-10 alkenyl, R 24 -C 2-10 alkynyl, R 27 -hetero-cycloalkyl, R 25- Aryl, R 25 -aryl-C 1-6 alkyl, R 29 -C 3-7 cycloalkylamino, R 29 -C 3-7 cycloalkenyl, —OH, —OC (O)
- R 42 -substituted carbocycles, or R 42 -substituted heterocycles having 4 to 10 atoms, are formed, wherein 1 to 3 ring members are independently -O-, -NH- And —SO 0-2 — , except that when R 22 and R 10 form a ring, there is no optional double bond;
- R 24 is one, two or three substituents which are independently hydrogen, halogen, C 1-6 alkoxy, R 35 -aryl, C 1-10 alkyl-C (O )-, C 2-10 alkenyl-C (O)-, C 2-10 alkynyl-C (O)-, heterocycloalkyl, R 26 -C 3-7 cycloalkyl, R 26 -C 3-7 cycloalkenyl , —OC (O) R 30 , —C (O) OR 30 , —C (O) R 30 , —C (O) NR 30 R 31 , —NR 30 R 31
- R 30 , R 31 and R 32 are independently hydrogen, C 1-10 alkyl, C 1-6 alkoxy-C 1-10 alkyl, R 25 -aryl-C 1-6 alkyl, R 33 -C 3- 7 cycloalkyl, R 34 -C 3-7 cycloalkyl-C 1-6 alkyl, R 25 -aryl, heterocycloalkyl, heteroaryl, heterocycloalkyl-C 1-6 alkyl and heteroaryl-C 1-6 Selected from the group consisting of alkyl;
- R 33 is hydrogen, C 1-6 alkyl, OH—C 1-6 alkyl or C 1-6 alkoxy;
- R 35 is 1 to 4 substituents, which are each independently hydrogen, C 1-6 alkyl, —OH, halogen, —CN, C 1-6 alkoxy, trihalo-C 1- 6 alkoxy, C 1-6 alkylamino, di (C 1-6 alkyl) amino, OCF 3 , OH—C 1-6 alkyl
- a cyclic heteroaromatic group provided that there are no oxygen or sulfur atoms adjacent to the heteroaromatic group, wherein the ring nitrogen forms a quaternary group with the N-oxide or alkyl group.
- Het is attached to B by a Het carbon atom ring thickness member, and the Het group is substituted by 1 to 4 moieties W, each W being hydrogen; alkyl; fluoroalkyl; difluoroalkyl; trifluoroalkyl; cycloalkyl; heterocycloalkyl; alkyl or heterocycloalkyl optionally substituted alkenyl; alkenyl; R 21 - aryl; R 21 - heteroaryl; R 21 Arylalkyl; R 21 - aryl - alkenyl; heteroaryl; heteroarylalkyl; heteroarylalkenyl: hydroxyalkyl; dihydroxyalkyl; aminoalkyl; alkylaminoalkyl, di - (alkyl)
- R 28 and R 29 are independently selected from the group consisting of hydrogen, alkyl, alkoxy, arylalkyl, heteroaryl, heteroarylalkyl, hydroxyalkyl, alkoxyalkyl, heterocyclyl, heterocyclylalkyl and haloalkyl, or R 28 and R 29 together form a spiro or hetero spiro ring having 3 to 6 ring atoms;
- R 32 and R 33 are hydrogen, R 34 -alkyl, R 34 -alkenyl, R 34 -alkynyl, R 40 -heterocycloalkyl, R 38 -aryl, R 38 -aralkyl, R 42 -cycloalkyl, R 42-.
- a ring provided that S and O cannot be adjacent to each other, or Q is And R 10 and R 11 are independently selected from the group consisting of R 1 and —OR 1 , provided that ring Q is aromatic and R 10 and R 11 having a carbon atom are bonded by a double bond.
- R 10 and R 11 are not present, R is 1 to 5 moieties, and each R is hydrogen, alkyl, halogen, hydroxy, amino, alkylamino, dialkylamino, alkoxy, —COR 16 , —C (O) OR 17 , —C (O) NR 4 R 5 , —SOR 16 , —SO 2 R 16 , —NR 16 COR 16 a , —NR 16 C (O) OR 16 a , —NR 16 CONR 4 R 5 , —NR 16 SO 2 NR 4 R 5 , fluoro Independently selected from the group consisting of alkyl, difluoroalkyl, trifluoroalkyl, cycloalkyl, alkenyl, arylalkyl, arylalkenyl, heteroarylalkyl, heteroarylalkenyl, hydroxyalkyl, aminoalkyl, aryl and thioalkyl; R 34 is 1 to 3 moieties, and
- R 48 is hydrogen, alkyl, haloalkyl, dihaloalkyl or trifluoroalkyl;
- R 49 and R 50 are independently selected from the group consisting of hydrogen, alkyl, aralkyl, phenyl and cycloalkyl, or R 49 and R 50 taken together are — (CH 2 ) 4 —, — ( CH 2 ) 5 — or — (CH 2 ) 2 —NR 39 — (CH 2 ) 2 —, forming a ring with the nitrogen to which they are attached
- R 51 and R 52 are independently selected from the group consisting of hydrogen, alkyl, aralkyl, phenyl and cycloalkyl, or R 51 and R 52 in the —NR 39 C (O) R 40 group are Together with the nitrogen atom, forms a cyclic lactam having 5 to 8 ring members
- R 53 is hydrogen, alkoxy, —SOR 16 , —SO 2 R 17 , —C (O
- ring nitrogen may form a quaternary group or N- oxide having a C 1-6 alkyl group, wherein Het is in B by a carbon atom ring members
- the Het group is substituted with 1 to 4 substituents, W, independently selected from the group consisting of: H; C 1-6 alkyl; fluoro-C 1 -6 alkyl, difluoro-C 1-6 alkyl; trifluoro-C 1-6 alkyl; C 3-6 cycloalkyl; heterocycloalkyl; heterocycloalkyl substituted with C 1-6 alkyl or C 2-6 alkenyl C 2-6 alkenyl; R 21 -aryl-C 1-6 alkyl; R 21 -aryl-C 2-6 alkenyl; heteroaryl-C 1-6 alkyl; heteroaryl-C 2-6 a; Hydroxy-C 1-6 alkyl; Dihydroxy-C 1-6 alkyl; Amino-C 1-6 alkyl;
- the compound according to [8] is preferably represented by the formula (11): [Where: Join Represents a single bond or a double bond, Join Represents a single bond or the absence of a bond, n is 0; Q is Where n1 and n2 are independently 0-2, provided that the sum of n1 and n2 is 2; or the bond When is a single bond, Q is also a fused R-substituted phenyl or furyl; R is independently H, C 1-6 alkyl, halogen, hydroxy, amino, C 1-6 alkylamino, C 1-6 dialkylamino, C 1-6 alkoxy, —COR 16 , —COOR 17 , —SOR 16 , —SO 2 R 16 , —NR 16 COR 16 , —NR 16 COOR 16 , —NR 16 CONR 4 R 5 , fluoro-C 1-6 alkyl, difluoro-C 1-6 alkyl, tri
- R 15 is the bond Is a single bond, and is absent, and if the bond is not present, is H, C 1-6 alkyl, —NR 18 R 19 or —OR 17 ; or Y is And R 15 is H or C 1-6 alkyl; R 16 and R 16a are independently selected from the group consisting of C 1-6 lower alkyl, phenyl or benzyl; R 17 , R 18 and R 19 are independently selected from the group consisting of H, C 1-6 alkyl, phenyl, benzyl; R 20 is H, C 1-6 alkyl, phenyl, benzyl, —C (O) R 6 or —SO 2 R 6 ; R 21 represents —CF 3 , —OCF 3 , halogen, —NO 2 , C
- R 1 is a group consisting of halogen, C 1-4 alkyl, C 2-4 alkenyl, C 2-4 alkynyl, C 1-4 alkoxy, aryl, heteroaryl, amino, amide, amidino, guanidino, hydroxy, nitro and cyano.
- R 2 and R 3 are independently selected from the group consisting of hydrogen, C 1-8 alkyl, C 2-8 alkenyl, C 2-8 alkynyl, C 3-8 cycloalkyl and aryl-C 1-8 alkyl Or, independently selected from the group consisting of C 1-8 alkyl and C 2-8 alkenyl, R 2 and R 3 together with the nitrogen to which they are attached are saturated or partially May form a saturated 4- to 6-membered heterocyclyl ring; n is an integer selected from 0, 1, 2 or 3; X is selected from the group consisting of hydrogen, —OR 4 , —NH 2 , —NHR 4 and —NR 4 R 5 ; R 4 and R 5 are independently selected from the group consisting of C 1-8 alkyl, C 3-8 cycloalkyl and aryl-C 1-8 alkyl;
- R 11 And R 12 (Q 1 Should also be applied to each independently hydrogen atom, -C 1-6 Alkyl, -C 3-6 Cycloalkyl, -C 0-4 Alkylene-C 6-14 Aryl, -C 0-4 Alkylene-C 4-15 Het, -SO 2 CH 3 Or -SO 2 CF 3 Where some or all of the hydrogen atoms in the alkyl, alkylene or cycloalkyl may be replaced by fluorine atoms, or “N (R 11 -R 12 "And” N (R 11 ) -C (O) -R 12 "R in the fragment 11 And R 12 Together with the nitrogen atom “N” or “NC (O)” group to form a cyclic amine, imide or lactam that may contain up to two additional heteroatoms from the group of N, O and S Represents a 5- to 8-membered ring formed, wherein the ring is unsubstituted or —C 1-4 Alkyl, -C
- R 5 , R 6 , R 7 , R 8 And R 9 are the same or different and each independently represents a hydrogen atom, -C 1-6 Alkyl, -C 3-6 Cycloalkyl, —OH, —CN, —NO 2 , -OC 1-8 Alkyl, —O—C 3-6 Cycloalkyl, -C 0-4 Alkylene-C (O) -N (R 21 -R 22 , -SO 2 CH 3 , -SO 2 CF 3 , -C 0-4 Alkylene-C (O) —O—R 21 , Halogen, -SF 5 , -C 0-4 Alkylene-C (O) -R 21 , -C 0-4 Alkylene-N (R 21 -R 22 , -C 0-4 Alkylene-N (R 21 ) -C (O) -R 22 , -C 1-6 Alkylene-OC 1-6 Alkyl, -C 0-6 Al
- Uru salt The compound according to [10] is preferably 1- ⁇ 2- [3-acetylamino-5- (pentafluorosulfanyl) phenyl] -2-oxoethyl ⁇ -3-amino-6-ethoxy [1,2, 4] Triazolo [4,3-b] pyridazine-1-ium trifluoroacetate, 3-amino-1- [2- (3,5-di-tert-butyl-4-hydroxyphenyl) -2-oxoethyl ] -6-trifluoromethyl- [1,2,4] -triazolo [4,3-a] -pyridine-1-ium, 3-amino-1- [2- (3,5-di-tert-butyl) -4-hydroxyphenyl) -2-oxoethyl]-[1,2,4] triazolo [4,3-a] pyridine-1-ium, 3-amino-1- [2- (3,5-di-tert
- a compound described in US Pat. No. 7,183,252 that is, the formula (14): [Where: A 1 And A 2 Are each independently alanine, ⁇ -alanine, arginine, homoarginine, cyclohexylalanine, citrulline, cysteine (optionally C 1-4 Alkyl, aryl or aryl-C 1-4 Optionally substituted with alkyl), 2,4-diaminobutyric acid (optionally acyl, C 1-4 Optionally substituted with alkyl, aroyl, amidino or MeC (NH)-), 2,3-diaminopropionic acid (optionally acyl, C 1-4 Optionally substituted with alkyl, aroyl, amidino or MeC (NH)-), glutamine, glycine, indanylglycine, lysine (optionally acyl, C 1-4 Optionally substituted with alkyl, aroyl or MeC (NH)-), valine, methi
- the compound according to [11] is preferably a compound of the formula (14): [Where: A 1 And A 2 Are each independently alanine, ⁇ -alanine, arginine, homoarginine, cyclohexylalanine, citrulline, cysteine (optionally C 1-4 Alkyl, aryl or aryl-C 1-4 Optionally substituted with alkyl), 2,4-diaminobutanoic acid (optionally acyl, C 1-4 Optionally substituted with alkyl, aroyl, amidino or MeC (NH)-), 2,3-diaminopropionic acid (optionally acyl, C 1-4 Optionally substituted with alkyl, aroyl, amidino or MeC (NH)-), glutamine, glycine, indanylglycine, lysine (optionally acyl, C 1-4 Optionally substituted with alkyl, aroyl or MeC (NH)-), valine, methionine, pro
- the compound according to [11] is more preferably a formula (15): That is, ( ⁇ S) -N-[(1S) -3-amino-1-[[(phenylmethyl) -amino] carbonyl] propyl] - ⁇ -[[[[[[1- (2 , 6-Dichlorophenyl) methyl] -3- (1-pyrrolidinylmethyl) -1H-indazol-6-yl] amino] carbonyl] amino] -3,4-difluorobenzenepropanamide (also called RWJ-58259) It is.
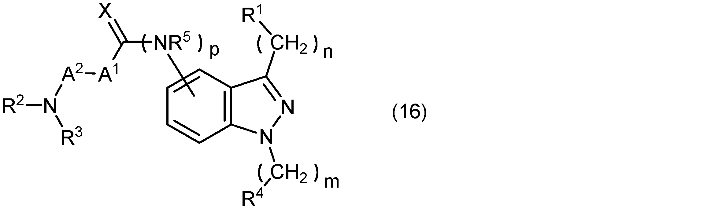
- a compound described in US7049297 for example, the formula (16): [Where: A 1 And A 2 Are each independently alanine, ⁇ -alanine, arginine, homoarginine, cyclohexylalanine, citrulline, cysteine (optionally C 1-4 Alkyl, aryl or aryl-C 1-4 Optionally substituted with alkyl), 2,4-diaminobutyric acid (optionally acyl, C 1-4 Optionally substituted with alkyl, aroyl, amidino or MeC (NH)-), 2,3-diaminopropionic acid (optionally acyl, C 1-4 Optionally substituted with alkyl, aroyl, amidino or MeC (NH)-), glutamine, glycine, indanylglycine, lysine (optionally acyl, C 1-4 Optionally substituted with alkyl, aroyl or MeC (NH)-), valine, methionine, pro
- the compound according to [12] is preferably represented by the formula (16): [Where: A 1 Is selected from the group consisting of alanine, arginine, cyclohexylalanine, glycine, proline, tetrahydroisoquinoline-3-COOH, L-amino acid, and phenylalanine, naphthylalanine, homophenylalanine, O-methyltyrosine An unsubstituted or optionally substituted aromatic amino acid (wherein the substituent of the aromatic amino acid is independently halogen, C 1-4 Alkyl, C 1-4 Alkoxy, hydroxy, C 1-4 Alkoxycarbonyl, amino, amidino, guanidino, fluorinated C 1-4 Alkyl, fluorinated C 1-4 Alkoxy, C 1-4 Alkylsulfonyl, C 1-4 Alkylcarbonyl, cyano, aryl, heteroaryl, aryl-C 1-4 Alkyl, C 2-4 1
- the compound according to [12] is more preferably a formula (17): That is, ( ⁇ S) -N-[(1S) -3-amino-1-[[(phenylmethyl) amino] carbonyl] propyl] - ⁇ -[[[[[1-[(2, 6-dichlorophenyl) methyl] -3- (1-pyrrolidinylmethyl) -1H-indol-6-yl] amino] carbonyl] amino] -3,4-difluoro-benzenepropanamide (also called RWJ-56110) It is. [13] Bioorg. Med. Chem. Lett. 1998, Vol 8, 1649-1654, ie, the formula (18): A compound represented by
- PAR1 receptor antagonists may be used singly or in combination of two or more.
- a PAR1 receptor antagonist may be one substituted with an isotope element.
- the signal transduction inhibitor may be an antibody, a nucleic acid, a peptide, a sugar, or a glycoprotein as long as it can inhibit a protein involved in signal transduction in the intracellular region of the PAR1 receptor, and is a low molecular weight compound having a molecular weight of 2000 or less. Also good.
- the antibody may be a monoclonal antibody or a polyclonal antibody.
- PAR1 The protein involved in the signal transduction in the intracellular region of the receptor, for example, a G i protein, G protein, such as G 12/13. Signal transmission inhibitors may be used alone or in combination of two or more.
- Pepducin generally has a chemical structure in which a peptide capable of binding to a site where G protein interacts with the intracellular region of PAR1 receptor and a fat-soluble group are bound. The peptide interacts with the G protein, and the fat-soluble group interacts with the phospholipid constituting the cell membrane, thereby inhibiting signal transmission from the PAR1 receptor to the G protein.
- Pepducins effective against the PAR1 receptor include the compounds described in WO2013 / 173676, preferably the formula (19): (Also referred to as palmitate-KKSRALF-NH 2 or PZ-128).
- the inhibitor of PAR1 gene expression may be an antibody, a nucleic acid, a peptide, a sugar or a glycoprotein as long as it can inhibit the expression of PAR1 receptor at the mRNA level or protein level, and is a low molecular weight compound having a molecular weight of 2000 or less. Also good.
- the antibody may be a monoclonal antibody or a polyclonal antibody.
- PAR1 gene expression inhibitors may be used alone or in combination of two or more.
- the content of the active ingredient (a substance that suppresses or inhibits signal transduction starting from the PAR1 receptor) in the therapeutic agent for progressive immune demyelinating disease according to the present embodiment is not particularly limited.
- the amount may be 0.001 to 100% by mass based on the total amount of the therapeutic agent for immune demyelinating disease.
- the therapeutic agent for advanced immune demyelinating disease may be composed of only the above-mentioned active ingredient, and in addition to the above-mentioned active ingredient, it is commonly used in the field of other drugs and pharmaceutical technology that can be used in the treatment of multiple sclerosis. It may contain additives such as excipients, buffers, stabilizers, antioxidants, binders, disintegrants, fillers, emulsifiers and flow control agents. Moreover, it is preferable that said other chemical
- Other drugs include voltage-gated sodium channel inhibitors (e.g., lamotrigine), potassium channel blockers (e.g., fampridine), voltage-gated calcium channel inhibitors (e.g., gabapentin), BAF312 (Siponimod), HMG-CoA inhibitors (eg, statins such as Simvastatin), S1P receptor antagonists (eg, fingolimod (Fingolimod, FTY720)), c-kit receptor inhibitors (eg, masitinib) ), MIS416, Toeluna, potassium-sparing diuretics (eg, Amiloride), riluzole Rilazole), phosphodiesterase inhibitors (eg, Ibudilast, MN-166), cyclophosphoamides, steroids (eg, methylprednisolone, prednisone), topoisomerase II inhibitors (eg, Mitoxantrone), ELND002 , MD1003, Ritalin,
- the dosage form of the therapeutic agent for progressive immune demyelinating disease is, for example, any dosage form such as powder, pill, granule, tablet, syrup, troche, capsule, injection and the like. May be.
- the dosage form is an injection, it may be, for example, intravenous injection, subcutaneous injection, intramuscular injection, or intraperitoneal injection.
- the therapeutic agent for progressive immune demyelinating disease may be administered orally or parenterally.
- a specific dose for example, when administered to a human adult male (body weight 60 kg), the daily dose of the therapeutic agent for progressive immune demyelinating disease is usually 0. 0001 ⁇ g to 10,000 mg / day / person.
- the present embodiment includes a method for treating a progressive immune demyelinating disease or a method for inhibiting the progression of a disease state, comprising the step of administering a substance that suppresses or inhibits signal transduction starting from a PAR1 receptor to a human subject in need thereof It can also be said.
- NR4A2cKO mice were established using a targeting vector with the NR4A2 gene sandwiched between loxp sequences. That is, the NR4A2 transgene sandwiched between loxp sequences was introduced into C57BL / 6 embryonic stem cells by microinjection. The established strain was crossed with C57BL / 6 FLPe mice (RIKEN BioResource Center) and the strains from which the neomycin cassette was removed were crossed to produce homozygous NR4A2 fl / fl C57BL / 6 mice.
- mice were crossed with C57BL / 6 CD4-Cre mice (Taconic) to establish CD4-specific NR4A2cKO C57BL / 6 mice (C57BL / 6 Cre-CD4 / NR4A2 fl ⁇ fl mice).
- C57BL / 6 CD4-Cre mice Teconic mice
- CD4-specific NR4A2cKO C57BL / 6 mice C57BL / 6 Cre-CD4 / NR4A2 fl ⁇ fl mice.
- SJL / J mice female, Charles River Japan Co., Ltd.
- NR4A2 fl / fl SJL mice and CD4-specific NR4A2cKO SJL mice SJL / J Cre-CD4 / NR4A2 fl ⁇ fl mouse
- Eomes fl / fl mice purchased from Jackson Laboratories were crossed with C57BL / 6 CD4-Cre mice to obtain Cre-CD4 Eomes fl / fl C57BL / 6 mice. Further, by mating Eomes fl / fl mice and Cre-CD4 / NR4A2 fl / fl C57BL / 6 mice to obtain Cre-CD4 / NR4A2 fl / fl Eomes fl / fl C57BL / 6 mice.
- EAE induction single phase EAE 100 ⁇ g of peptide corresponding to MOG35-55 residue (synthesized at Toray Research Center, Tokyo, Japan, hereinafter also referred to as “MOG peptide”) and 1 mg of Mycobacterium tuberculosis H37Ra (Difco, Kansas, USA) Emulsified with complete Freund's adjuvant was mixed in an equal amount and emulsified with a homogenizer to prepare a MOG emulsion.
- the resulting MOG emulsion was applied subcutaneously to the back of CD4-specific NR4A2cKO C57BL / 6 mice (Cre-CD4 / NR4A2 fl / fl C57BL / 6 mice, NR4A2cKO) and NR4A2 fl / fl C57BL / 6 mice (Control) as controls.
- 200 ⁇ L of a 200 ng pertussis toxin (List Biological Laboratories, USA) PBS solution was injected into the abdominal cavity of mice on the 0th and 2nd days after immunization. After injection, the EAE pathology of the mice was evaluated daily according to the EAE evaluation criteria shown below.
- the obtained tissue homogenate was passed through a 70 ⁇ m cell strainer (manufactured by GE Healthcare Science), and white blood cells were concentrated using a discontinuous Percoll density gradient centrifugation method (37% / 80%). The number of T cells infiltrating into the CNS was measured by FACS ARIA II (manufactured by BD Cytometry Systems). At that time, an anti-CD3 antibody (manufactured by Biolegend) was used for detection of T cells.
- the obtained T cells were stimulated with the MOG peptide, and the IL-17 content in the culture supernatant was measured using a Flow Cytomix cytometric bead array (manufactured by eBioscience) and a Bio-Plex suspension array system (BioRad). It was measured. The amount of IL-17 obtained was divided by the number of CNS infiltrating T cells, and the amount of IL-17 production per CNS infiltrating T cell was calculated.
- the Th17 cell response is suppressed in NR4A2-deficient mice, and the single-phase EAE of NR4A2-deficient mice has a new pathological condition (late EAE pathological condition) at a later stage while its initial pathological condition is suppressed.
- late EAE pathological condition early EAE pathological condition
- monophasic EAE pathology has two pathological conditions that differ in NR4A2 dependence (early pathological condition and late pathological condition).
- the Light Cycler apparatus was used with the Light Cycler-FastStart DNA Master SYBR Green I kit (Roche Diagnostics) or the ABI 7300 real-time PCR instrument with the Power SYBR Green Master Mix (Applied Bios). Quantitative real-time PCR was performed using commercially available primers (QuantiTect Primer Assay, QT01074332, manufactured by Qiagen). The Eomes gene expression level was corrected based on the expression level of the GAPDH housekeeping gene.
- Eomes fl / fl mice Control eomes fl / fl
- Cre-CD4 Eomes fl / fl C57BL / 6 mice Cre-CD4 eomes fl / fl
- NR4A2 fl / fl Eomes fl / fl Monophasic EAE was induced in C57BL / 6 mice (Control), CD4-specific NR4A2cKO mice (NR4A2cKO) and Cre-CD4 / NR4A2 fl / fl Eomes fl / fl C57BL / 6 mice (Eomes / NR4A2cKO). Thereafter, the EAE pathology of the mice was evaluated daily according to the EAE evaluation criteria.
- FIGS. As shown in FIG. 5, Eome-deficient mice in which the cre gene was introduced under the promoter of the CD4 gene and the eomes gene was sandwiched between the loxP genes (Cre-CD4 eomes fl / fl ) were sandwiched between the eomes gene with the loxP gene. Compared to control mice (Control eomes fl / fl ), the EAE score was slightly improved.
- NR4A2-deficient mice NR4A2cKO
- EAE score increased in late EAE pathology
- NR4A2 / Eomes-deficient mice Eomes / NR4A2 cKO
- late EAE score did not increase and late EAE pathology did not develop. It was.
- the antibodies used for the separation were an anti-CD3 antibody (manufactured by Biolegend), an anti-CD4 antibody (manufactured by Biolegend), and an anti-CD27 antibody (manufactured by eBioscience).
- RNA was extracted from the obtained cells, and the expression levels of perforin 1 and granzyme B were measured with the LightCycler device using the Light Cycler-FastStart DNA Master SYBR Green I kit (Roche Diagnostics) or ABI 7300 real-time PCR.
- CD4 + CD27 + T cells derived from NR4A2-deficient mice showed no significant difference in the expression level of perforin 1 compared to CD4 + CD27 ⁇ T cells, but granzyme The expression level of B was increased.
- the expression level of CD107a was increased by stimulating Eomes + CD4 + T cells with anti-CD3 antibody. That is, Eome + CD4 + T cells are considered to degranulate upon stimulation with anti-CD3 antibody.
- Peripheral blood was collected using, and the obtained peripheral blood was precipitated on a Ficoll gradient (GE Healthcare), and PBMCs were separated by centrifugation at about 900 g for 30 minutes.
- the resulting PBMC were surface stained and fixed / intracellular stained using the eBioscience Foxp3 staining kit according to the manufacturer's instructions.
- the expression levels of Eomes, CD11a, and CD27 in CD3 + CD4 + PBMC were analyzed using a flow cytometer.
- the antibodies used in the analysis were anti-CD3 antibody (manufactured by Biolegend), anti-CD4 antibody (manufactured by Biolegend), anti-CD11a antibody (manufactured by Biolegend), anti-CD27 antibody (manufactured by eBioscience), and anti-Eomes antibody ( eBioscience).
- FIGS. Figure 10 is a cytogram showing the CD4 and Eomes expression in CD3 + PBMC, a cytogram showing the CD27 and Eomes expression in the cytogram, and CD3 + CD4 + PBMC showing the CD11a and Eomes expression in CD3 + CD4 + PBMC.
- FIG. 11 is a plot of the proportion of Eomes + cells in CD3 + CD4 + PBMC for healthy adult volunteers, RR-MS patients and SP-MS patients. As shown in FIGS. 10 and 11, Eome + CD4 + T cells were selectively enhanced in SP-MS patients.
- CD3 + CD4 + PBMC derived from SP-MS patients highly express cytotoxic factors (IFN- ⁇ , perforin 1, granzyme B), and when stimulated with anti-CD3 antibody, The expression level of CD107a increased. Therefore, Eome + CD4 + T cells were thought to degranulate upon stimulation.
- NR4A2 / Eome-deficient mice that induced single-phase EAE were induced 18 days after induction (at the time indicated by the dotted line in FIG. 16): 1) PAR1 receptor activation peptide ( SEQ ID NO: 2: SFLLRN) (60 nmol in 200 ⁇ L PBS / mouse (about 3 ⁇ mol / kg body weight)) or 2) PBS alone (200 ⁇ L / mouse) was administered once intravenously. After administration, the EAE pathology of the mice was evaluated daily according to the above EAE evaluation criteria.
- Results are shown in FIG. As shown in FIG. 16, it was confirmed that administration of the PAR1 receptor activating peptide induces a pathological condition similar to late EAE.
Landscapes
- Health & Medical Sciences (AREA)
- Life Sciences & Earth Sciences (AREA)
- Chemical & Material Sciences (AREA)
- Animal Behavior & Ethology (AREA)
- Veterinary Medicine (AREA)
- Public Health (AREA)
- Medicinal Chemistry (AREA)
- Pharmacology & Pharmacy (AREA)
- General Health & Medical Sciences (AREA)
- Epidemiology (AREA)
- Molecular Biology (AREA)
- Engineering & Computer Science (AREA)
- Proteomics, Peptides & Aminoacids (AREA)
- Immunology (AREA)
- Bioinformatics & Cheminformatics (AREA)
- Biochemistry (AREA)
- Biotechnology (AREA)
- Genetics & Genomics (AREA)
- Pharmaceuticals Containing Other Organic And Inorganic Compounds (AREA)
- Medicines That Contain Protein Lipid Enzymes And Other Medicines (AREA)
Abstract
PAR1受容体から始まるシグナル伝達を抑制又は阻害する物質を有効成分として含有する、進行型免疫性脱髄疾患治療剤。
Description
本発明は、進行型免疫性脱髄疾患治療剤に関する。
多発性硬化症(Multiple Sclerosis:MS)とは、自己免疫疾患のひとつで、髄鞘及び神経軸索を標的とする多発性炎症が惹起され、広汎な脱髄に起因する神経伝導障害を引き起こす疾患である。多発性硬化症の病態が進行すると、運動障害や視覚障害などの重篤な神経症状が現れる。
多発性硬化症は、急性増悪と寛解を繰り返す再発寛解型MS(RR-MS)と、進行型MSがある。進行型MSには、一次進行型MS(PP-MS)と、RR-MS病態が一定期間続いた後に進行性の病態へと移行する二次進行型MS(SP-MS)、及び再発を繰り返しながら進行する進行再発型MS(PR-MS)が知られている(非特許文献1~3)。
Nature Reviews Neurology 2012,8,647-656.
Nature Reviews Neurology 2013,9,496-503.
Multiple Sclerosis Journal 2013,19: 1428-1436.
Biochimica et Biophysica Acta 1802(2010),66-79.
RR-MSの疾患修飾性治療薬(disease-modifying therapy:DMT)として、1型インターフェロン、抗炎症剤、免疫抑制剤等が知られている。一方、進行型MSに対してRR-MSのDMTを適用しても効果がなく、現在のところ進行型MSに対するDMTは知られていない。
これまでのところ、進行型MS病態の形成機序は、RR-MS病態の形成機序との異同を含めて明らかではない。一方、非特許文献4には、SP-MS患者の中枢神経系(CNS)では、複数の細胞又は組織において障害が生じており、またその障害が白質だけでなく灰白質にもおよんでいることが報告されている。また非特許文献4は、多発性硬化症患者の脳内において、PAR(Protease-activated receptors)受容体ファミリーに属するPAR2受容体の発現量が変化しており、PAR2受容体が神経の炎症症状に関与していることを報告している。
本発明は、これらの事情に鑑みてなされたものであり、進行型免疫性脱髄疾患治療剤の提供を主な目的とする。本発明はまた、進行型免疫性脱髄疾患の治療方法の提供も目的とする。
本発明者らは、単相型の実験的自己免疫性脳脊髄炎(EAE)を誘導したNR4A2欠損マウスでは、誘導初期に通常の四肢麻痺を伴うEAE病態が観察されない一方で、誘導後期(誘導後約28日以降)にEAE病態(以下、「後期EAE病態」ともいう。)が観察されること、及び後期EAE病態が進行型MS病態のモデルになることを見出した。本発明者らは更に、PAR1受容体アンタゴニスト等を用いてPAR1受容体を阻害することにより、NR4A2欠損マウスの後期EAE病態が改善することを見出した。本発明はこれらの新規知見に基づくものである。
すなわち、本発明は、以下の(1)~(16)を提供する。
(1)PAR1受容体から始まるシグナル伝達を抑制又は阻害する物質を有効成分として含有する、進行型免疫性脱髄疾患治療剤。
(2)上記物質が、PAR1受容体アンタゴニストを含む、(1)に記載の進行型免疫性脱髄疾患治療剤。
(3)上記物質が、PAR1受容体を活性化する酵素の阻害剤を含む、(1)に記載の進行型免疫性脱髄疾患治療剤。
(4)上記進行型免疫性脱髄疾患が二次進行型多発性硬化症である、(1)~(3)のいずれかに記載の進行型免疫性脱髄疾患治療剤。
(5)PAR1受容体から始まるシグナル伝達を抑制又は阻害する物質を有効成分として含有する医薬組成物を、進行型免疫性脱髄疾患患者に投与することを含む、進行型免疫性脱髄疾患の治療方法。
(6)上記物質が、PAR1受容体アンタゴニストを含む、(5)に記載の進行型免疫性脱髄疾患の治療方法。
(7)上記物質が、PAR1受容体を活性化する酵素の阻害剤を含む、(5)に記載の進行型免疫性脱髄疾患の治療方法。
(8)上記進行型免疫性脱髄疾患が二次進行型多発性硬化症である、(5)~(7)のいずれかに記載の方法。
(9)進行型免疫性脱髄疾患治療剤を製造するための、PAR1受容体から始まるシグナル伝達を抑制又は阻害する物質の使用。
(10)上記物質が、PAR1受容体アンタゴニストを含む、(9)に記載の使用。
(11)上記物質が、PAR1受容体を活性化する酵素の阻害剤を含む、(9)に記載の使用。
(12)上記進行型免疫性脱髄疾患が二次進行型多発性硬化症である、(9)~(11)のいずれかに記載の使用。
(13)進行型免疫性脱髄疾患を治療するための、PAR1受容体から始まるシグナル伝達を抑制又は阻害する物質の使用。
(14)上記物質が、PAR1受容体アンタゴニストを含む、(13)に記載の使用。
(15)上記物質が、PAR1受容体を活性化する酵素の阻害剤を含む、(13)に記載の使用。
(16)上記進行型免疫性脱髄疾患が二次進行型多発性硬化症である、(13)~(15)のいずれかに記載の使用。
(1)PAR1受容体から始まるシグナル伝達を抑制又は阻害する物質を有効成分として含有する、進行型免疫性脱髄疾患治療剤。
(2)上記物質が、PAR1受容体アンタゴニストを含む、(1)に記載の進行型免疫性脱髄疾患治療剤。
(3)上記物質が、PAR1受容体を活性化する酵素の阻害剤を含む、(1)に記載の進行型免疫性脱髄疾患治療剤。
(4)上記進行型免疫性脱髄疾患が二次進行型多発性硬化症である、(1)~(3)のいずれかに記載の進行型免疫性脱髄疾患治療剤。
(5)PAR1受容体から始まるシグナル伝達を抑制又は阻害する物質を有効成分として含有する医薬組成物を、進行型免疫性脱髄疾患患者に投与することを含む、進行型免疫性脱髄疾患の治療方法。
(6)上記物質が、PAR1受容体アンタゴニストを含む、(5)に記載の進行型免疫性脱髄疾患の治療方法。
(7)上記物質が、PAR1受容体を活性化する酵素の阻害剤を含む、(5)に記載の進行型免疫性脱髄疾患の治療方法。
(8)上記進行型免疫性脱髄疾患が二次進行型多発性硬化症である、(5)~(7)のいずれかに記載の方法。
(9)進行型免疫性脱髄疾患治療剤を製造するための、PAR1受容体から始まるシグナル伝達を抑制又は阻害する物質の使用。
(10)上記物質が、PAR1受容体アンタゴニストを含む、(9)に記載の使用。
(11)上記物質が、PAR1受容体を活性化する酵素の阻害剤を含む、(9)に記載の使用。
(12)上記進行型免疫性脱髄疾患が二次進行型多発性硬化症である、(9)~(11)のいずれかに記載の使用。
(13)進行型免疫性脱髄疾患を治療するための、PAR1受容体から始まるシグナル伝達を抑制又は阻害する物質の使用。
(14)上記物質が、PAR1受容体アンタゴニストを含む、(13)に記載の使用。
(15)上記物質が、PAR1受容体を活性化する酵素の阻害剤を含む、(13)に記載の使用。
(16)上記進行型免疫性脱髄疾患が二次進行型多発性硬化症である、(13)~(15)のいずれかに記載の使用。
本発明によれば、進行型免疫性脱髄疾患治療剤の提供、および進行型免疫性脱髄疾患の治療方法の提供が可能となる。
〔定義〕
本明細書において、「進行型免疫性脱髄疾患」とは、免疫反応に起因する髄鞘の障害により生じる疾患であって、寛解することなく持続的に進行する疾患を意味する。進行型免疫性脱髄疾患は、好ましくは中枢神経系の進行型免疫性脱髄疾患である。進行型免疫性脱髄疾患としては、例えば、PP-MS、SP-MS及びPR-MS等の進行型多発性硬化症が挙げられる。
本明細書において、「進行型免疫性脱髄疾患」とは、免疫反応に起因する髄鞘の障害により生じる疾患であって、寛解することなく持続的に進行する疾患を意味する。進行型免疫性脱髄疾患は、好ましくは中枢神経系の進行型免疫性脱髄疾患である。進行型免疫性脱髄疾患としては、例えば、PP-MS、SP-MS及びPR-MS等の進行型多発性硬化症が挙げられる。
NR4A2遺伝子は、Nurr1遺伝子、NOT遺伝子、又はRNR1遺伝子とも呼ばれ、オーファン核内受容体の1種である。NR4A2遺伝子の主な発現部位は、中枢神経系であり、特に中脳腹側、脳幹、脊髄に強く発現している。また、NR4A2は,プロスタグランジン、増殖因子、炎症性サイトカイン、T細胞受容体架橋に応答して発現が誘導され、リガンド依存性又はリガンド非依存性にDNAと直接結合して転写を制御する。ヒトNR4A2遺伝子の転写産物のNCBI Reference Sequenceのアクセッション番号は、NM_006186.3である。
Eomes遺伝子は、Eomesodermin又はTbr2とも呼ばれ、T-box転写因子族の一種であり、脊椎動物の発生や分化に係るタンパク質である。Eomes遺伝子は、CD8+T細胞(細胞障害性T細胞,CTL)及びNK細胞で発現していることが知られている。また、Eomes遺伝子は、パーフォリン及びグランザイムBの発現を直接誘導することが知られている。ヒトEomes遺伝子の転写産物のNCBI Reference Sequenceのアクセッション番号は、NM_001278182.1(バリアント1)、NM_005442.3(バリアント2)、及びNM_001278183.1(バリアント3)である。
PAR1受容体は、7回膜貫通型のGタンパク共役型受容体であり、PAR受容体ファミリーの1つとして知られている。PAR1受容体は、当該受容体を構成するアミノ酸配列のうち、細胞外領域に存在する特定のペプチド結合が酵素により切断されることで、活性化する。より具体的には、特定のペプチド結合が切断されて、切断された箇所からN末端までのペプチドが除去されることにより、当該アミノ酸配列に新たなN末端が生じる。新たなN末端周辺のアミノ酸配列は、PAR1受容体の活性化リガンド(tethered ligand)として作用し、受容体の自己活性化を引き起こす。PAR1受容体のペプチド結合を切断する酵素としては、例えば、トロンビン、グランザイム、第X因子、トリプシン、プラスミン等が挙げられる。また、PAR1受容体を活性化する因子として、上記活性化リガンドのアミノ酸配列を模倣した活性化ペプチド(activating peptide)が知られている。活性化ペプチドとしては、例えば、SFLLRN、TFLLRN等のアミノ酸配列を有するペプチドが挙げられる。なお、アミノ酸の表記は、S:セリン、T:スレオニン、F:フェニルアラニン、L:ロイシン、R:アルギニン、N:アスパラギンを意味する。
〔進行型免疫性脱髄疾患治療剤〕
本実施形態に係る進行型免疫性脱髄疾患治療剤は、PAR1受容体から始まるシグナル伝達を抑制又は阻害する物質を有効成分として含有する。当該治療剤は、進行型免疫性脱髄疾患の病態の進行抑制剤としても使用することができる。PAR1受容体から始まるシグナル伝達を抑制又は阻害する物質は、上述のPAR1受容体の活性化メカニズムのいずれかを抑制又は阻害することにより、PAR1受容体から始まるシグナル伝達を抑制又は阻害する物質である。すなわち、PAR1受容体の特定のペプチドを切断する酵素を阻害する物質(PAR1受容体を活性化する酵素の阻害剤)であってもよく、PAR1受容体の活性化リガンドが作用するサイトに結合する物質(PAR1受容体アンタゴニスト)であってもよく、PAR1受容体の細胞内領域でシグナル伝達に関わるタンパクを阻害する物質(シグナル伝達の阻害剤)であってもよい。また、PAR1受容体のmRNAレベル又はタンパク質レベルでの発現を阻害する物質(PAR1遺伝子発現の阻害剤)であってもよい。
本実施形態に係る進行型免疫性脱髄疾患治療剤は、PAR1受容体から始まるシグナル伝達を抑制又は阻害する物質を有効成分として含有する。当該治療剤は、進行型免疫性脱髄疾患の病態の進行抑制剤としても使用することができる。PAR1受容体から始まるシグナル伝達を抑制又は阻害する物質は、上述のPAR1受容体の活性化メカニズムのいずれかを抑制又は阻害することにより、PAR1受容体から始まるシグナル伝達を抑制又は阻害する物質である。すなわち、PAR1受容体の特定のペプチドを切断する酵素を阻害する物質(PAR1受容体を活性化する酵素の阻害剤)であってもよく、PAR1受容体の活性化リガンドが作用するサイトに結合する物質(PAR1受容体アンタゴニスト)であってもよく、PAR1受容体の細胞内領域でシグナル伝達に関わるタンパクを阻害する物質(シグナル伝達の阻害剤)であってもよい。また、PAR1受容体のmRNAレベル又はタンパク質レベルでの発現を阻害する物質(PAR1遺伝子発現の阻害剤)であってもよい。
PAR1受容体を活性化する酵素の阻害剤は、PAR1受容体を活性化する酵素を阻害することができれば、抗体、核酸、ペプチド、糖又は糖タンパクであってもよく、分子量2000以下の低分子化合物であってもよい。抗体は、モノクローナル抗体であってもよく、ポリクローナル抗体であってもよい。PAR1受容体を活性化する酵素としては、例えば、トロンビン、グランザイムA、グランザイムB、活性化凝固第X因子(Factor Xa)、トリプシン、プラスミンが挙げられる。PAR1受容体を活性化する酵素の阻害剤は、1種単独で用いてもよく、2種以上を組み合わせて用いてもよい。
トロンビン阻害剤としては、例えば、抗トロンビン抗体(例えば、ATAP2、SF-14)、トロンビン特異的siRNA、トロンビン特異的shRNA、トロンビン特異的shRNAプラスミドが挙げられる。
グランザイムA阻害剤としては、例えば、3,4-ジクロロイソクマリン、ナファモスタット メシル酸塩、抗グランザイムA抗体又はその抗原結合性断片、グランザイムA特異的siRNA、グランザイムA特異的shRNA、グランザイムA特異的shRNAプラスミドが挙げられる。
グランザイムB阻害剤としては、例えば、ベンジルオキシカルボニル-イソロイシン-グルタミン酸-スレオニン-アスパラギン酸 フルオロメチル ケトン(Z-IETDFMK)、アセチル-イソロイシン-グルタミン酸-スレオニン-アスパラギン酸-アルデヒド(Ac-IETD-CHO)、3,4-ジクロロイソクマリン、Ecotin,E.coli、アセチル-イソロイシン-グルタミン酸-プロリン-アスパラギン酸-アルデヒド(Ac-IEPD-CHO)、ベンジルオキシカルボニル-アラニン-アラニン-アスパラギン酸 クロロメチル ケトン(Z-AAD-CMK)、プロテアーゼインヒビター9(J.Immunol.2001;166:3218-3225)、WO2012/076985に記載の化合物、抗グランザイムB抗体(例えば、MAB3070)又はその抗原結合性断片、グランザイムB特異的siRNA、グランザイムB特異的shRNA、グランザイムB特異的shRNAプラスミドが挙げられる。
PAR1受容体アンタゴニストとしては、DRUG DEVELOPMENT RESEARCH 59:355-366 (2003)に記載の化合物(例えば、RWJ-53052、RWJ-56110、RWJ-58259、SCH-79797、BMS-200261、FR-171113、SCH-73754、RWJ-54399)、US7304078に記載の化合物(例えば、SCH-530348(Vorapaxar))、WO2002/085855に記載の化合物(例えば、E5555(Atopaxar))、US6063847に記載の化合物、US6645987に記載の化合物、US7037920に記載の化合物、US7304078に記載の化合物、US7488742に記載の化合物、US8198272に記載の化合物、US8466169に記載の化合物、US8791133に記載の化合物、US8871798に記載の化合物、US2007202140に記載の化合物、US2011034451に記載の化合物、WO02068425に記載の化合物、WO99/26943に記載の化合物、WO2008/042422に記載の化合物、WO2008/060372に記載の化合物、WO2014/046125に記載の化合物、US7183252に記載の化合物、US7049297に記載の化合物、US8791133に記載の化合物、US8871798に記載の化合物、US8466169に記載の化合物、Curr.Med.Chem.Cardiovasc Hematol Agents. 2003 Mar;1(1):13-36に記載の化合物、Bioorg.Med.Chem.Lett.1998,Vol8,1649-1654に記載の化合物、抗PAR1受容体抗体、PAR1受容体特異的siRNA、PAR1受容体特異的shRNA、PAR1受容体特異的shRNAプラスミド等が挙げられる。
PAR1受容体アンタゴニストのより具体的な例として、例えば、下記[1]~[13]に記載の化合物が挙げられる。
[1]特開2006-206595号公報に記載の化合物、すなわち、式(1):
[式中、B環はそれぞれさらに置換基を有していてもよい(1)芳香族炭化水素環または(2)1あるいは2個のNを含有しても良い芳香族複素環を;R101、R102およびR103は同一または相異なって(1)水素原子または(2)下記置換基群cから選ばれるいずれか1の基を;R5は(1)水素原子、(2)シアノ基、(3)ハロゲン原子または(4)下記置換基群aから選ばれるいずれか1の基を;R6は(1)水素原子、(2)C1-6アルキル基、(3)アシル基、(4)カルバモイル基、(5)水酸基、(6)C1-6アルコキシ基、(7)C1-6アルキルオキシカルボニルオキシ基、(8)C3-8環状アルキル基、(9)アシルオキシ基で置換されていてもよいC1-6アルキルオキシカルボニル基または(10)それぞれ下記置換基群eから選ばれる少なくとも1の基で置換されていてもよいC6-14芳香族炭化水素環式基もしくは5乃至14員芳香族複素環式基を;Y1は単結合、-(CH2)m-、-CR8-、-CR8R9-、-CH2CO-、-NR8-、-SO-、-SO2-、-CO-、-CONR8-または-SO2NR8-〔式中、mは1乃至3の整数を、R8およびR9は同一または相異なって水素原子、ハロゲン原子、C1-6アルキル基、カルボキシル基またはC1-6アルコキシカルボニル基を示す〕を;Y2は単結合、O、N、-(CH2)m-、-CR8-、CR8R9-、-CO-、-SO-、-SO2-または-C(=N-OR8)-〔式中、m、R8およびR9は前記定義と同意義を示す〕を;Arは(i)水素原子、(ii)式(2):
〔式中、R10、R11、R12、R13およびR14は同一または相異なって(1)水素原子、(2)シアノ基、(3)ハロゲン原子、(4)ニトロ基または(5)下記置換基群bから選ばれるいずれか1の基を示し、さらに、R11とR12、または、R12とR13は結合してN、SおよびOから選ばれる1乃至4個の複素原子を含有していてもよく、かつ下記置換基群fから選ばれる少なくとも1の基で置換されていてもよい5乃至8員複素環を形成していてもよい。〕で表わされる基または(3)下記置換基群gから選ばれる少なくとも1の基で置換されていてもよい5乃至14員芳香族複素環式基を示す。
<前記置換基群a>下記置換基群a’から選ばれる少なくとも1の基でそれぞれ置換されていてもよいC1-6アルキル基、アルキリデン基、C2-6アルケニル基、C2-6アルキニル基、アシル基、カルボキシル基、カルバモイル基、C1-6アルコキシカルボニル基、C1-6アルキルアミノカルボニル基、水酸基、C1-6アルコキシ基、C3-8環状アルキルオキシ基、アミノ基、C1-6アルキルアミノ基、C3-8環状アルキルアミノ基、アシルアミノ基、スルホニルアミノ基、スルホニル基、スルファモイル基、C3-8環状アルキル基、5乃至14員非芳香族複素環式基、C6-14芳香族炭化水素環式基および5乃至14員芳香族複素環式基からなる群;
<前記置換基群a’>C1-6アルキル基、C2-6アルケニル基、C2-6アルキニル基、シアノ基、アシル基、カルボキシル基、カルバモイル基、C1-6アルコキシカルボニル基、C1-6アルキルアミノカルボニル基、水酸基、C1-6アルコキシ基、C3-8環状アルキルオキシ基、アミノ基、C1-6アルキルアミノ基、C3-8環状アルキルアミノ基、アシルアミノ基、ウレイド基、ウレニレン基、スルホニルアミノ基、スルホニル基、スルファモイル基、ハロゲン原子、C3-8環状アルキル基、含ヘテロ環状アルキル基、5乃至14員非芳香族複素環式基、C6-14芳香族炭化水素環式基および5乃至14員芳香族複素環式基からなる群を示し、更に、前記C6-14芳香族炭化水素環式基および5乃至14員芳香族複素環式基は、それぞれC1-6アルキル基、シアノ基、アシル基、カルボキシル基、カルバモイル基、C1-6アルコキシカルボニル基、C1-6アルキルアミノカルボニル基、水酸基、C1-6アルコキシ基、C3-8環状アルキルオキシ基、ニトロ基、アミノ基、C1-6アルキルアミノ基、C3-8環状アルキルアミノ基、アシルアミノ基、ウレイド基、ウレニレン基、スルホニルアミノ基、スルホニル基、スルファモイル基、ハロゲン原子およびC3-8環状アルキル基からなる群より選ばれる少なくとも1の基で置換されていてもよい;
<前記置換基群b>下記置換基群b’から選ばれる少なくとも1の基でそれぞれ置換されていてもよいC1-6アルキル基、C2-6アルケニル基、C2-6アルキニル基、アシル基、カルボキシル基、カルバモイル基、C1-6アルコキシカルボニル基、C1-6アルキルアミノカルボニル基、水酸基、C1-6アルコキシ基、C3-8環状アルキルオキシ基、アミノ基、C1-6アミノアルキル基、C1-6アルキルアミノ基、C3-8環状アルキルアミノ基、アシルアミノ基、ウレイド基、スルホニルアミノ基、スルホニル基、スルファモイル基、C3-8環状アルキル基、5乃至14員非芳香族複素環式基、C6-14芳香族炭化水素環式基および5乃至14員芳香族複素環式基からなる群;
<前記置換基群b’>C1-6アルキル基、C2-6アルケニル基、C2-6アルキニル基、オキソ基、シアノ基、C1-6シアノアシル基、C2-7アシル基、C1-6アルカノイル基、ベンゾイル基、アラルカノイル基、C1-6アルコキシアルキルカルボニル基、C1-6ヒドロキシアルキルカルボニル基、カルボキシル基、C1-6カルボキシルアルキル基、C1-6カルボキシルアルキルオキシ基、カルバモイル基、カルバモイルアルキルオキシ基、C1-6アルコキシカルボニル基、C1-10アルコキシカルボニルC1-6アルキル基、C1-10アルコキシカルボニルC1-6アルキルオキシ基、C1-6モノアルキルアミノカルボニル基、C2-6ジアルキルアミノカルボニル基、水酸基、C1-6アルコキシ基、C1-10アルコキシアルキル基、C1-10アラルキルオキシアルキル基、C1-6ヒドロキシアルキル基、C3-8環状アルキルオキシ基、アミノ基、C1-6アルキルアミノ基、C3-8環状アルキルアミノ基、アシルアミノ基、ウレイド基、ウレイレン基、C1-6アルキルスルホニルアミノ基、フェニルスルホニルアミノ基、C1-6アルキルスルホニル基、フェニルスルホニル基、C1-6モノアルキルアミノスルホニル基、C2-6ジアルキルアミノスルホニル基、スルファモイル基、ハロゲノ基、C3-8環状アルキル基、5乃至14員非芳香族複素環式基、C6-14芳香族炭化水素環式基、5乃至14員芳香族複素環式基、含ヘテロ環状アミノカルボニル基、含ヘテロ環状アミノスルホニル基およびイソキサゾリニル基からなる群を示し、更に、前記5乃至14員非芳香族複素環式基、C6-14芳香族炭化水素環式基、5乃至14員芳香族複素環式基およびイソキサゾリニル基は、独立に、C1-6アルキル基、オキソ基、シアノ基、アシル基、カルボキシル基、カルバモイル基、C1-6アルコキシカルボニル基、C1-6アルキルアミノカルボニル基、水酸基、C1-6アルコキシ基、C3-8環状アルキルオキシ基、ニトロ基、アミノ基、C1-6アミノアルキル基、C1-6アルキルアミノ基、C1-6ジアルキルアミノ基、C3-8環状アルキルアミノ基、アシルアミノ基、ウレイド基、ウレイレン基、アルキルスルホニルアミノ基、アルキルスルホニル基、スルファモイル基、ハロゲノ基およびC3-8環状アルキル基からなる群より選ばれる少なくとも1の基で置換されていてもよい;
<前記置換基群c>(1)シアノ基、(2)ハロゲン原子ならびに(3)下記置換基群c’から選ばれる少なくとも1の基でそれぞれ置換されていてもよいC1-6アルキル基、C2-8アルケニル基、C2-8アルキニル基、アシル基、カルボキシル基、カルバモイル基、C1-6アルコキシカルボニル基、C1-6アルキルアミノカルボニル基、水酸基、C1-6アルコキシ基、C3-8環状アルキルオキシ基、アミノ基、C1-6アルキルアミノ基、C3-8環状アルキルアミノ基、アシルアミノ基、ウレイド基、スルホニルアミノ基、スルホニル基、スルファモイル基、C3-8環状アルキル基、5乃至14員非芳香族複素環式基、C6-14芳香族炭化水素環式基および5乃至14員芳香族複素環式基からなる群;
<前記置換基群c’>C1-6アルキル基、C2-8アルケニル基、C2-8アルキニル基、シアノ基、アシル基、カルボキシル基、カルバモイル基、C1-6アルコキシカルボニル基、C1-6アルキルアミノカルボニル基、水酸基、C1-6アルコキシ基、C3-8環状アルキルオキシ基、アミノ基、C1-6アルキルアミノ基、C3-8環状アルキルアミノ基、アシルアミノ基、ウレイド基、ウレニレン基、スルホニルアミノ基、スルホニル基、スルファモイル基、ハロゲノ基、C3-8環状アルキル基、5乃至14員非芳香族複素環式基、C6-14芳香族炭化水素環式基および5乃至14員芳香族複素環式基からなる群;
<前記置換基群e>C1-6アルキル基、シアノ基、アシル基、カルボキシル基、カルバモイル基、C1-6アルコキシカルボニル基、C1-6アルキルアミノカルボニル基、水酸基、C1-6アルコキシ基、C3-8環状アルキルオキシ基、アミノ基、C1-6アルキルアミノ基、C3-8環状アルキルアミノ基、アシルアミノ基、ウレイド基、ウレニレン基、スルホニルアミノ基、スルホニル基、スルファモイル基、ハロゲン原子およびC3-8環状アルキル基からなる群;
<前記置換基群f>(1)水素原子、(2)シアノ基、(3)ハロゲン原子、(4)オキソ基ならびに(5)それぞれ下記置換基群f’から選ばれる少なくとも1の基で置換されていてもよいC1-6アルキル基、アルケニル基、アルキニル基、アシル基、C1-6アルカノイル基、カルボキシル基、カルバモイル基、C1-6アルコキシカルボニル基、C1-6アルキルアミノカルボニル基、水酸基、C1-6アルコキシ基、C3-8環状アルキルオキシ基、アミノ基、イミノ基、C1-6アミノアルキル基、C1-6アルキルアミノ基、C3-8環状アルキルアミノ基、アシルアミノ基、ウレイド基、スルホニルアミノ基、スルホニル基、スルファモイル基、C3-8環状アルキル基、5乃至14員非芳香族複素環式基、C6-14芳香族炭化水素環式基および5乃至14員芳香族複素環式基からなる群;
<前記置換基群f’>C1-6アルキル基、オキソ基、シアノ基、アシル基、カルボキシル基、カルバモイル基、C1-6アルコキシカルボニル基、ベンジルオキシカルボニル基、C1-6アルキルアミノカルボニル基、水酸基、C1-6アルコキシ基、C3-8環状アルキルオキシ基、アミノ基、C1-6アルキルアミノ基、C3-8環状アルキルアミノ基、アシルアミノ基、ウレイド基、ウレニレン基、C1-6アルキルスルホニルアミノ基、C1-6アルキルスルホニル基、スルファモイル基、ハロゲノ基、C3-8環状アルキル基、5乃至14員非芳香族複素環式基、C6-14芳香族炭化水素環式基および5乃至14員芳香族複素環式基からなる群;
<前記置換基群g>C1-6アルキル基、シアノ基、アシル基、カルボキシル基、カルバモイル基、C1-6アルコキシカルボニル基、C1-6アルキルアミノカルボニル基、スルホニル基、スルファモイル基、ハロゲノ基およびC3-8環状アルキル基からなる群。]で表わされる化合物またはその塩。
[1]に記載の化合物は、好ましくは、式(1)において、B環はそれぞれさらに置換基を有していてもよいベンゼン環またはピリジン環を;R101、R102およびR103は同一または相異なって水素原子、ハロゲン原子、C1-6アルキル基、C1-6アルキルアミノカルボニル基、C1-6アルコキシ基、C1-6アルキルアミノ基およびC3-8環状アルキル基からなる群から選ばれるいずれか1の基を;R5は水素原子、C1-6アルキル基およびC1-6アルコキシC1-6アルキル基からなる群から選ばれるいずれか1の基を;R6は水素原子、C1-6アルキル基およびアシルオキシ基で置換されていてもよいC1-6アルキルオキシカルボニル基からなる群から選ばれるいずれか1の基を;Y1は単結合または-(CH2)m-〔式中、mは1乃至3の整数を示す〕を;Y2は単結合または-CO-を;Arは水素原子または式(2):
〔式中、R10、R11、R12、R13およびR14は同一または相異なって水素原子、C1-6アルキル基、水酸基、C1-6アルコキシ基、C1-6アルキルアミノ基、C3-8環状アルキルアミノ基、アシルアミノ基、5乃至14員非芳香族複素環式基およびC1-6アルキルオキシカルボニルオキシ基からなる群から選ばれるいずれか1の基を示し、さらに、R11とR12、または、R12とR13は結合して、(i)N、SおよびOから選ばれる1乃至4個の複素原子を含有していてもよく、かつ(ii)シアノ基、オキソ基ならびにそれぞれ下記置換基群f’’:
<前記置換基群f’’>C1-6アルキル基、オキソ基、シアノ基、アシル基、カルボキシル基およびC1-6アルコキシ基からなる群;から選ばれる少なくとも1の基で置換されていてもよいC1-6アルキル基、アシル基、C1-6アルカノイル基、カルボキシル基、カルバモイル基、C1-6アルコキシカルボニル基、C1-6アルキルアミノカルボニル基、水酸基、C1-6アルコキシ基、C3-8環状アルキルオキシ基、アミノ基、C1-6アルキルアミノ基、スルホニル基および5乃至14員非芳香族複素環式基からなる群から選ばれる少なくとも1の基で置換されていてもよい、5乃至8員複素環を形成していてもよい。〕で表わされる基を示す、化合物またはその塩である。
[1]に記載の化合物は、より好ましくは、式(3):
[式中、R104およびR105は同一または相異なって水素原子、C1-6アルコキシ基、C1-6アルキル基またはハロゲン原子を、R101、R102、R5、R6、Y1、Y2およびArはそれぞれ前記定義と同意義を示す(ただし、R101、R102、R104およびR105がすべて同時に水素原子を示すことはない)。]で表される化合物またはその塩である。
[1]に記載の化合物は、好ましくは、式(4):
〔式中、UはNまたはCHを示し、VはNまたはCR101を示し、WはNまたはCR102を示し、ZはNまたはCR105を示し、U,V,W,Zの内1個あるいは2個がNであり;R101、R102,R105,R5,R6、Y1、Y2およびArはそれぞれ前記定義と同意義を示す(ただし、R101、R102およびR105がすべて同時に水素原子を示すことはない)。〕で表される化合物またはその塩である。
[1]に記載の化合物は、特に好ましくは、以下の化合物である。
[式中、B環はそれぞれさらに置換基を有していてもよい(1)芳香族炭化水素環または(2)1あるいは2個のNを含有しても良い芳香族複素環を;R101、R102およびR103は同一または相異なって(1)水素原子または(2)下記置換基群cから選ばれるいずれか1の基を;R5は(1)水素原子、(2)シアノ基、(3)ハロゲン原子または(4)下記置換基群aから選ばれるいずれか1の基を;R6は(1)水素原子、(2)C1-6アルキル基、(3)アシル基、(4)カルバモイル基、(5)水酸基、(6)C1-6アルコキシ基、(7)C1-6アルキルオキシカルボニルオキシ基、(8)C3-8環状アルキル基、(9)アシルオキシ基で置換されていてもよいC1-6アルキルオキシカルボニル基または(10)それぞれ下記置換基群eから選ばれる少なくとも1の基で置換されていてもよいC6-14芳香族炭化水素環式基もしくは5乃至14員芳香族複素環式基を;Y1は単結合、-(CH2)m-、-CR8-、-CR8R9-、-CH2CO-、-NR8-、-SO-、-SO2-、-CO-、-CONR8-または-SO2NR8-〔式中、mは1乃至3の整数を、R8およびR9は同一または相異なって水素原子、ハロゲン原子、C1-6アルキル基、カルボキシル基またはC1-6アルコキシカルボニル基を示す〕を;Y2は単結合、O、N、-(CH2)m-、-CR8-、CR8R9-、-CO-、-SO-、-SO2-または-C(=N-OR8)-〔式中、m、R8およびR9は前記定義と同意義を示す〕を;Arは(i)水素原子、(ii)式(2):
〔式中、R10、R11、R12、R13およびR14は同一または相異なって(1)水素原子、(2)シアノ基、(3)ハロゲン原子、(4)ニトロ基または(5)下記置換基群bから選ばれるいずれか1の基を示し、さらに、R11とR12、または、R12とR13は結合してN、SおよびOから選ばれる1乃至4個の複素原子を含有していてもよく、かつ下記置換基群fから選ばれる少なくとも1の基で置換されていてもよい5乃至8員複素環を形成していてもよい。〕で表わされる基または(3)下記置換基群gから選ばれる少なくとも1の基で置換されていてもよい5乃至14員芳香族複素環式基を示す。
<前記置換基群a>下記置換基群a’から選ばれる少なくとも1の基でそれぞれ置換されていてもよいC1-6アルキル基、アルキリデン基、C2-6アルケニル基、C2-6アルキニル基、アシル基、カルボキシル基、カルバモイル基、C1-6アルコキシカルボニル基、C1-6アルキルアミノカルボニル基、水酸基、C1-6アルコキシ基、C3-8環状アルキルオキシ基、アミノ基、C1-6アルキルアミノ基、C3-8環状アルキルアミノ基、アシルアミノ基、スルホニルアミノ基、スルホニル基、スルファモイル基、C3-8環状アルキル基、5乃至14員非芳香族複素環式基、C6-14芳香族炭化水素環式基および5乃至14員芳香族複素環式基からなる群;
<前記置換基群a’>C1-6アルキル基、C2-6アルケニル基、C2-6アルキニル基、シアノ基、アシル基、カルボキシル基、カルバモイル基、C1-6アルコキシカルボニル基、C1-6アルキルアミノカルボニル基、水酸基、C1-6アルコキシ基、C3-8環状アルキルオキシ基、アミノ基、C1-6アルキルアミノ基、C3-8環状アルキルアミノ基、アシルアミノ基、ウレイド基、ウレニレン基、スルホニルアミノ基、スルホニル基、スルファモイル基、ハロゲン原子、C3-8環状アルキル基、含ヘテロ環状アルキル基、5乃至14員非芳香族複素環式基、C6-14芳香族炭化水素環式基および5乃至14員芳香族複素環式基からなる群を示し、更に、前記C6-14芳香族炭化水素環式基および5乃至14員芳香族複素環式基は、それぞれC1-6アルキル基、シアノ基、アシル基、カルボキシル基、カルバモイル基、C1-6アルコキシカルボニル基、C1-6アルキルアミノカルボニル基、水酸基、C1-6アルコキシ基、C3-8環状アルキルオキシ基、ニトロ基、アミノ基、C1-6アルキルアミノ基、C3-8環状アルキルアミノ基、アシルアミノ基、ウレイド基、ウレニレン基、スルホニルアミノ基、スルホニル基、スルファモイル基、ハロゲン原子およびC3-8環状アルキル基からなる群より選ばれる少なくとも1の基で置換されていてもよい;
<前記置換基群b>下記置換基群b’から選ばれる少なくとも1の基でそれぞれ置換されていてもよいC1-6アルキル基、C2-6アルケニル基、C2-6アルキニル基、アシル基、カルボキシル基、カルバモイル基、C1-6アルコキシカルボニル基、C1-6アルキルアミノカルボニル基、水酸基、C1-6アルコキシ基、C3-8環状アルキルオキシ基、アミノ基、C1-6アミノアルキル基、C1-6アルキルアミノ基、C3-8環状アルキルアミノ基、アシルアミノ基、ウレイド基、スルホニルアミノ基、スルホニル基、スルファモイル基、C3-8環状アルキル基、5乃至14員非芳香族複素環式基、C6-14芳香族炭化水素環式基および5乃至14員芳香族複素環式基からなる群;
<前記置換基群b’>C1-6アルキル基、C2-6アルケニル基、C2-6アルキニル基、オキソ基、シアノ基、C1-6シアノアシル基、C2-7アシル基、C1-6アルカノイル基、ベンゾイル基、アラルカノイル基、C1-6アルコキシアルキルカルボニル基、C1-6ヒドロキシアルキルカルボニル基、カルボキシル基、C1-6カルボキシルアルキル基、C1-6カルボキシルアルキルオキシ基、カルバモイル基、カルバモイルアルキルオキシ基、C1-6アルコキシカルボニル基、C1-10アルコキシカルボニルC1-6アルキル基、C1-10アルコキシカルボニルC1-6アルキルオキシ基、C1-6モノアルキルアミノカルボニル基、C2-6ジアルキルアミノカルボニル基、水酸基、C1-6アルコキシ基、C1-10アルコキシアルキル基、C1-10アラルキルオキシアルキル基、C1-6ヒドロキシアルキル基、C3-8環状アルキルオキシ基、アミノ基、C1-6アルキルアミノ基、C3-8環状アルキルアミノ基、アシルアミノ基、ウレイド基、ウレイレン基、C1-6アルキルスルホニルアミノ基、フェニルスルホニルアミノ基、C1-6アルキルスルホニル基、フェニルスルホニル基、C1-6モノアルキルアミノスルホニル基、C2-6ジアルキルアミノスルホニル基、スルファモイル基、ハロゲノ基、C3-8環状アルキル基、5乃至14員非芳香族複素環式基、C6-14芳香族炭化水素環式基、5乃至14員芳香族複素環式基、含ヘテロ環状アミノカルボニル基、含ヘテロ環状アミノスルホニル基およびイソキサゾリニル基からなる群を示し、更に、前記5乃至14員非芳香族複素環式基、C6-14芳香族炭化水素環式基、5乃至14員芳香族複素環式基およびイソキサゾリニル基は、独立に、C1-6アルキル基、オキソ基、シアノ基、アシル基、カルボキシル基、カルバモイル基、C1-6アルコキシカルボニル基、C1-6アルキルアミノカルボニル基、水酸基、C1-6アルコキシ基、C3-8環状アルキルオキシ基、ニトロ基、アミノ基、C1-6アミノアルキル基、C1-6アルキルアミノ基、C1-6ジアルキルアミノ基、C3-8環状アルキルアミノ基、アシルアミノ基、ウレイド基、ウレイレン基、アルキルスルホニルアミノ基、アルキルスルホニル基、スルファモイル基、ハロゲノ基およびC3-8環状アルキル基からなる群より選ばれる少なくとも1の基で置換されていてもよい;
<前記置換基群c>(1)シアノ基、(2)ハロゲン原子ならびに(3)下記置換基群c’から選ばれる少なくとも1の基でそれぞれ置換されていてもよいC1-6アルキル基、C2-8アルケニル基、C2-8アルキニル基、アシル基、カルボキシル基、カルバモイル基、C1-6アルコキシカルボニル基、C1-6アルキルアミノカルボニル基、水酸基、C1-6アルコキシ基、C3-8環状アルキルオキシ基、アミノ基、C1-6アルキルアミノ基、C3-8環状アルキルアミノ基、アシルアミノ基、ウレイド基、スルホニルアミノ基、スルホニル基、スルファモイル基、C3-8環状アルキル基、5乃至14員非芳香族複素環式基、C6-14芳香族炭化水素環式基および5乃至14員芳香族複素環式基からなる群;
<前記置換基群c’>C1-6アルキル基、C2-8アルケニル基、C2-8アルキニル基、シアノ基、アシル基、カルボキシル基、カルバモイル基、C1-6アルコキシカルボニル基、C1-6アルキルアミノカルボニル基、水酸基、C1-6アルコキシ基、C3-8環状アルキルオキシ基、アミノ基、C1-6アルキルアミノ基、C3-8環状アルキルアミノ基、アシルアミノ基、ウレイド基、ウレニレン基、スルホニルアミノ基、スルホニル基、スルファモイル基、ハロゲノ基、C3-8環状アルキル基、5乃至14員非芳香族複素環式基、C6-14芳香族炭化水素環式基および5乃至14員芳香族複素環式基からなる群;
<前記置換基群e>C1-6アルキル基、シアノ基、アシル基、カルボキシル基、カルバモイル基、C1-6アルコキシカルボニル基、C1-6アルキルアミノカルボニル基、水酸基、C1-6アルコキシ基、C3-8環状アルキルオキシ基、アミノ基、C1-6アルキルアミノ基、C3-8環状アルキルアミノ基、アシルアミノ基、ウレイド基、ウレニレン基、スルホニルアミノ基、スルホニル基、スルファモイル基、ハロゲン原子およびC3-8環状アルキル基からなる群;
<前記置換基群f>(1)水素原子、(2)シアノ基、(3)ハロゲン原子、(4)オキソ基ならびに(5)それぞれ下記置換基群f’から選ばれる少なくとも1の基で置換されていてもよいC1-6アルキル基、アルケニル基、アルキニル基、アシル基、C1-6アルカノイル基、カルボキシル基、カルバモイル基、C1-6アルコキシカルボニル基、C1-6アルキルアミノカルボニル基、水酸基、C1-6アルコキシ基、C3-8環状アルキルオキシ基、アミノ基、イミノ基、C1-6アミノアルキル基、C1-6アルキルアミノ基、C3-8環状アルキルアミノ基、アシルアミノ基、ウレイド基、スルホニルアミノ基、スルホニル基、スルファモイル基、C3-8環状アルキル基、5乃至14員非芳香族複素環式基、C6-14芳香族炭化水素環式基および5乃至14員芳香族複素環式基からなる群;
<前記置換基群f’>C1-6アルキル基、オキソ基、シアノ基、アシル基、カルボキシル基、カルバモイル基、C1-6アルコキシカルボニル基、ベンジルオキシカルボニル基、C1-6アルキルアミノカルボニル基、水酸基、C1-6アルコキシ基、C3-8環状アルキルオキシ基、アミノ基、C1-6アルキルアミノ基、C3-8環状アルキルアミノ基、アシルアミノ基、ウレイド基、ウレニレン基、C1-6アルキルスルホニルアミノ基、C1-6アルキルスルホニル基、スルファモイル基、ハロゲノ基、C3-8環状アルキル基、5乃至14員非芳香族複素環式基、C6-14芳香族炭化水素環式基および5乃至14員芳香族複素環式基からなる群;
<前記置換基群g>C1-6アルキル基、シアノ基、アシル基、カルボキシル基、カルバモイル基、C1-6アルコキシカルボニル基、C1-6アルキルアミノカルボニル基、スルホニル基、スルファモイル基、ハロゲノ基およびC3-8環状アルキル基からなる群。]で表わされる化合物またはその塩。
[1]に記載の化合物は、好ましくは、式(1)において、B環はそれぞれさらに置換基を有していてもよいベンゼン環またはピリジン環を;R101、R102およびR103は同一または相異なって水素原子、ハロゲン原子、C1-6アルキル基、C1-6アルキルアミノカルボニル基、C1-6アルコキシ基、C1-6アルキルアミノ基およびC3-8環状アルキル基からなる群から選ばれるいずれか1の基を;R5は水素原子、C1-6アルキル基およびC1-6アルコキシC1-6アルキル基からなる群から選ばれるいずれか1の基を;R6は水素原子、C1-6アルキル基およびアシルオキシ基で置換されていてもよいC1-6アルキルオキシカルボニル基からなる群から選ばれるいずれか1の基を;Y1は単結合または-(CH2)m-〔式中、mは1乃至3の整数を示す〕を;Y2は単結合または-CO-を;Arは水素原子または式(2):
〔式中、R10、R11、R12、R13およびR14は同一または相異なって水素原子、C1-6アルキル基、水酸基、C1-6アルコキシ基、C1-6アルキルアミノ基、C3-8環状アルキルアミノ基、アシルアミノ基、5乃至14員非芳香族複素環式基およびC1-6アルキルオキシカルボニルオキシ基からなる群から選ばれるいずれか1の基を示し、さらに、R11とR12、または、R12とR13は結合して、(i)N、SおよびOから選ばれる1乃至4個の複素原子を含有していてもよく、かつ(ii)シアノ基、オキソ基ならびにそれぞれ下記置換基群f’’:
<前記置換基群f’’>C1-6アルキル基、オキソ基、シアノ基、アシル基、カルボキシル基およびC1-6アルコキシ基からなる群;から選ばれる少なくとも1の基で置換されていてもよいC1-6アルキル基、アシル基、C1-6アルカノイル基、カルボキシル基、カルバモイル基、C1-6アルコキシカルボニル基、C1-6アルキルアミノカルボニル基、水酸基、C1-6アルコキシ基、C3-8環状アルキルオキシ基、アミノ基、C1-6アルキルアミノ基、スルホニル基および5乃至14員非芳香族複素環式基からなる群から選ばれる少なくとも1の基で置換されていてもよい、5乃至8員複素環を形成していてもよい。〕で表わされる基を示す、化合物またはその塩である。
[1]に記載の化合物は、より好ましくは、式(3):
[式中、R104およびR105は同一または相異なって水素原子、C1-6アルコキシ基、C1-6アルキル基またはハロゲン原子を、R101、R102、R5、R6、Y1、Y2およびArはそれぞれ前記定義と同意義を示す(ただし、R101、R102、R104およびR105がすべて同時に水素原子を示すことはない)。]で表される化合物またはその塩である。
[1]に記載の化合物は、好ましくは、式(4):
〔式中、UはNまたはCHを示し、VはNまたはCR101を示し、WはNまたはCR102を示し、ZはNまたはCR105を示し、U,V,W,Zの内1個あるいは2個がNであり;R101、R102,R105,R5,R6、Y1、Y2およびArはそれぞれ前記定義と同意義を示す(ただし、R101、R102およびR105がすべて同時に水素原子を示すことはない)。〕で表される化合物またはその塩である。
[1]に記載の化合物は、特に好ましくは、以下の化合物である。
[2]US7304078に記載の化合物、すなわち、式(5):
[式中、単一の点線は任意の単結合を表し;
は、任意の二重結合を示し;
nは、0~2であり;
Qは、
である;
R1は、H,C1-6アルキル,フルオロ-C1-6アルキル-,ジフルオロ-C1-6アルキル-,トリフルオロ-C1-6アルキル-,C3-6シクロアルキル,C2-6アルケニル,ヒドロキシ-C1-6アルキル,およびアミノ-C1-6アルキルから成る群から独立して選択される;
R2は、H,C1-6アルキル,フルオロ-C1-6アルキル,ジフルオロ-C1-6アルキル-,トリフルオロ-C1-6-アルキル,-C3-6シクロアルキル,C2-6アルケニル、ヒドロキシ-C1-6アルキル-,およびアミノ-C1-6アルキル-から成る群から独立して選択される;
R3は、H,ヒドロキシ,C1-6アルコキシ、-SOR16,-SO2R17、-C(O)OR17,-C(O)NR18R19、-C1-6アルキル-C(O)NR18R19、-C1-6アルキル,ハロゲン,フルオロ-C1-6アルキル-,ジフルオロ-C1-6アルキル-,トリフルオロ-C1-6アルキル-,C3-6シクロアルキル,C3-6シクロアルキル-C1-6アルキル、C2-6アルケニル、アリール-C1-6アルキル,アリール-C2-6アルケニル-,ヘテロアリール-C1-6アルキル,ヘテロアリール-C2-6アルケニル-,ヒドロキシ-C1-6アルキル-,-NR22R23,NR22R23-C1-6アルキル,アリール,チオ-C1-6アルキル-,C1-6アルキルチオ-C1-6アルキル-,-C1-6アルコキシC1-6アルキル,NR18R19-C(O)-C1-6アルキル-またはC3-6シクロアルキル-C1-6アルキル-である,
Hetは、1~9個の炭素原子およびN,OおよびSから成る群から独立して選択された1~4個のヘテロ原子を含有する5~10原子の一環または二環のヘテロアリール基であり、ここで環窒素はN-オキシドまたはC1-4アルキル基を有する四級基を形成し得る。ここでHetは炭素原子環メンバーによりBに結合され、Het基はWで置換される;
Wは、H,C1-6アルキル,フルオロ-C1-6アルキル、ジフルオロ-C1-6アルキル-,トリフルオロ-C1-6アルキル-,C3-6シクロアルキルヒドロキシ-C1-6アルキル-,ジヒドロキシ-C1-6アルキル,NR25R26-C1-6アルキル,チオC1-6アルキル-,-OH,C1-6アルコキシ,ハロゲン.-NR4R5,-C(O)OR17、-C(O)R16-C1-6アルキルチオ,R21-アリール,R21-アリール-C1-6アルキル,アリールおよびR21-ヘテロアリールから成る群から独立して選択される1個~4個の置換基であり、ここで隣接ずる炭素はメチレンジオキシ基を含む環を形成する;
R4およびR5は、H,C1-6アルキル,フェニル,ベンジルおよびC1-6シクロアルキルから成る群から独立して選択されるか、またはR4およびR5は、一緒になって-(CH2)4-、-(CH2)5-または-(CH2)2-NR7-(CH2)2-であり、R4およびR5が結合する窒素と環を形成する;
R6は、H,C1-6アルキルまたはフェニルである;
R7は、H,C1-6アルキル-,-C(O)-R16-C(O)OR17またはSO2R17、
R8,R10およびR11は、R1および-OR1からなる群から独立して選択され、但し、任意の二重結合が存在するとき、R10は存在しない;
R7は、H,OHまたはC1-6アルコキシである;
Bは、-(CH2)n3-、シスもしくはトランス-(CH2)n4CR12=CR12a(CH2)n5または(CH2)n4C=C(CH2)5-である。ここで、n3は0~5であり、n4およびn5は独立して0~2であり、R12およびR12aはH,C1-6アルキルおよびハロゲンから成る群から独立して選択される;
Xは、点線が単結合を表すとき、-O-または-NR6-であり、または結合が存在しないとき、Xは-OHまたは-NHR20である;
Yは、点線が単結合のとき、=O,=S,(H,H),(H,OH)または(H,C1-6アルコキシ)であり、または結合が存在しないとき、Yは、=O、(H,H)、(H,OH),(H,SH)または(H,C1-6アルコキシ)である;
各R13は、C1-6アルキル-,C3-8シクロアルキル,-(CH2)n6NHC(O)OR16b、-(CH2)n6NHC(O)R16b、-(CH2)n6NHC(O)NR4R5,-(CH2)n6NHSO2R16、-(CH2)n6NHSO2NR4R5および-(CH2)n6C(O)NR28R29,ハロアルキルおよびハロゲンから独立して選択され、ここでn6は0~4である;
各R14は、H,C1-6アルキル,-OH,C1-6アルコキシ,R27-アリール-C1-6アルキル,ヘテロアリール,ヘテロアリールアルキル,ヘテロシクリル、ヘテロシクリルアルキル、-(CH2)n6NHC(O)OR16b,-(CH2)n6NHC(O)R16b、-(CH2)n6NHC(O)NR4R5,-(CH2)n6NHSO2R16,-(CH2)n6NHSO2NR4R5,-(CH2)n6C(O)NR28R29,ハロゲン,およびハロアルキルから独立して選択され、ここでn6は0~4である;
または、R13およびR14は一緒になって、3~6原子のスピロサイクル環またはヘテロスピロサイクル環を形成する;
ここで、R13またはR14の少なくとも1つは、-(CH2)n6NHC(O)OR16b、-(CH2)n6NHC(O)R16b、-(CH2)n6NHC(O)NR4R5,-(CH2)n6NHSO2R16、-(CH2)n6NHSO2NR4R5および-(CH2)n6C(O)NR28R29から成る群から選択され、ここでn6は0~4である;
点線が単結合を表すとき、R15は存在せず、点線に結合が存在しないとき、R15はH、C1-6アルキル、フェニルおよびベンジルから成る群から独立して選択される;
R16bは、H,アルコキシ,C1-6アルキル,C1-6アルコキシ-C1-6アルキル-,R22-O-C(O)-C1-6アルキル,-C3-6シクロアルキル,R21-アリール,R21-アリール-C1-6アルキル,ハロアルキル,アルケニル,ハロゲン置換されたアルケニル,アルキニル,ハロゲン置換されたアルキニル,R21-ヘテロアリール,R21-C1-6アルキルヘテロアリール,R21-C1-6アルキルヘテロシクロアルキル,R28R29N-C1-6アルキル,R28R29N-C(O)-C1-6アルキル,R28R29N-C(O)O-C1-6アルキル,R28-O-C(O)-N(R29)-C1-6アルキル,R28-SO2N(R29)-C1-6アルキル,R28R29N-C(O)-N(R29)-C1-6アルキル,R28R29N-SO2N(R29)-C1-6アルキル,R28-C(O)N(R29)-C1-6アルキル、R28R29N-SO2-C1-6アルキル,HOSO2-C1-6アルキル,(HO)2P(O)2-C1-6アルキル,R28S-C1-6アルキル,R28SO2-C1-6アルキルまたはヒドロキシ-C1-6アルキルである;
R17,R18およびR19は、H,C1-6アルキル,フェニルおよびベンジルから成る群から独立して選択される;
R20は、H,C1-6アルキル,フェニル,ベンジル,-C(O)R6またはSO2R6である;
R21は、H,-CN,-CF3,-OCF3、ハロゲン、-NO2,-C1-6アルキル,-OH,-C1-6アルコキシ,-C1-6アルキルアミノ,ジ(C1-6アルキル)アミノ,NR25R26-C1-6アルキル,ヒドロキシ-C1-6アルキル,-C(O)OR17,-C(O)R17,-NHC(O)R16NHSO2R16NHSO2CH2CF3,-C(O)NR25R26,NR25-C(O)NR25R26,-S(O)R13、-SO2R13およびSR13から成る群から独立して選択される1~3個の置換基である;
R22は、HまたはC1-6アルキルである;
R23は,C1-6アルキル,-C(O)R24,-SO2R24,-CONHR24または-SO2NHR24である;
R24は、C1-6アルキル,ヒドロキシ-C1-6アルキルまたはNR25R26-(C1-6アルキル)-である;
R25およびR26は、HおよびC1-6アルキルから成る群から独立して選択される;
R27は、H,C1-6アルキル,C3-6シクロアルキル,C1-6アルコキシ、ハロゲンおよびOHから成る群から選択される1つ、2つまたは3つの置換基である;
R28およびR29は、H,C1-6アルキル,C1-6アルコキシ,R27-アリール-C1-6アルキル,ヘテロアリール,ヘテロアリールアルキル,ヒドロキシ-C1-6アルキル,C1-6アルコキシ-C1-6アルキル、ヘテロシクリル,ヘテロシクリルアルキルおよびハロアルキルから成る群から独立して選択される;または
R28およびR29は、一緒になって、3~6原子のスピロサイクル環またはヘテロスピロサイクル環を形成する。]で表される化合物もしくはその薬学的に受容可能な塩または溶媒和物。
[2]に記載の化合物は、好ましくは、式(5):
[式中、単一の点線は任意の単結合を表し;
は、任意の二重結合を示し;
nは、0~2であり;
Qは、
であり、Rが-NHC(O)OR16bであり、R16bがC1-6アルキルであり;
R1は、H,C1-6アルキル,フルオロ-C1-6アルキル-,ジフルオロ-C1-6アルキル-,トリフルオロ-C1-6アルキル-,C3-6シクロアルキル,C2-6アルケニル,ヒドロキシ-C1-6アルキル,およびアミノ-C1-6アルキルから成る群から独立して選択され;
R2は、H,C1-6アルキル,フルオロ-C1-6アルキル,ジフルオロ-C1-6アルキル-,トリフルオロ-C1-6アルキル,C3-6シクロアルキル,C2-6アルケニル、ヒドロキシ-C1-6アルキル-,およびアミノ-C1-6アルキル-から成る基から独立して選択され;
R3は、H,ヒドロキシ,C1-6アルコキシ,-SOR16,-SO2R17,-C(O)OR17,-C(O)NR18R19,-C1-6アルキル-C(O)NR18R19,-C1-6アルキル,ハロゲン,フルオロ-C1-6アルキル-,ジフルオロ-C1-6アルキル-,トリフルオロ-C1-6アルキル-,C3-6シクロアルキル,C3-6シクロアルキル-C1-6アルキル,C2-6アルケニル,アリール-C1-6アルキル-,アリール-C2-6アルケニル-,ヘテロアリール-C1-6アルキル-,ヘテロアリール-C2-6アルケニル-,ヒドロキシ-C1-6アルキル-,-NR22R23,NR22R23-C1-6アルキル,アリール,チオC1-6アルキル-,C1-6アルキルチオ-C1-6アルキル,C1-6アルコキシ-C1-6アルキル-,NR18R19-C(O)-C1-6アルキルまたはC3-6シクロアルキル-C1-6アルキル-である,
Hetは、W-ピリジルであり、WがR21b-フェニルまたはR21b-ピリジルであり、R21bが-CN、-CF3またはFであり;
R8,R10およびR11は、R1および-OR1からなる群から独立して選択され、但し、任意の二重結合が存在するとき、R10は存在しない;
R9は、H,OHまたはC1-6アルコキシであり;
Bは、-CH=CH-であり;
Xは、-O-であり;
Yは、=Oであり;
R15は存在せず;
R16は、C1-6アルキル,フェニルおよびベンジルから成る群から独立して選択され;
R17、R18およびR19は、H,C1-6アルキル,フェニルおよびベンジルから成る群から独立して選択され;
R22は、HまたはC1-6アルキルであり;
R23は、H,C1-6アルキル,-C(O)R24、-SO2R24,-C(O)NHR24または-SO2NHR24であり;
R24は、C1-6アルキル,ヒドロキシ-C1-6アルキルまたはNR25R26-(C1-6アルキル)-であり;
R25およびR26は、HおよびC1-6アルキルから成る群から独立して選択される]で表される化合物もしくはその薬学的に受容可能な塩または溶媒和物である。
[2]に記載の化合物は、より好ましくは、下記式:
で表される化合物もしくはその薬学的に受容可能な塩または溶媒和物である。
[式中、単一の点線は任意の単結合を表し;
は、任意の二重結合を示し;
nは、0~2であり;
Qは、
である;
R1は、H,C1-6アルキル,フルオロ-C1-6アルキル-,ジフルオロ-C1-6アルキル-,トリフルオロ-C1-6アルキル-,C3-6シクロアルキル,C2-6アルケニル,ヒドロキシ-C1-6アルキル,およびアミノ-C1-6アルキルから成る群から独立して選択される;
R2は、H,C1-6アルキル,フルオロ-C1-6アルキル,ジフルオロ-C1-6アルキル-,トリフルオロ-C1-6-アルキル,-C3-6シクロアルキル,C2-6アルケニル、ヒドロキシ-C1-6アルキル-,およびアミノ-C1-6アルキル-から成る群から独立して選択される;
R3は、H,ヒドロキシ,C1-6アルコキシ、-SOR16,-SO2R17、-C(O)OR17,-C(O)NR18R19、-C1-6アルキル-C(O)NR18R19、-C1-6アルキル,ハロゲン,フルオロ-C1-6アルキル-,ジフルオロ-C1-6アルキル-,トリフルオロ-C1-6アルキル-,C3-6シクロアルキル,C3-6シクロアルキル-C1-6アルキル、C2-6アルケニル、アリール-C1-6アルキル,アリール-C2-6アルケニル-,ヘテロアリール-C1-6アルキル,ヘテロアリール-C2-6アルケニル-,ヒドロキシ-C1-6アルキル-,-NR22R23,NR22R23-C1-6アルキル,アリール,チオ-C1-6アルキル-,C1-6アルキルチオ-C1-6アルキル-,-C1-6アルコキシC1-6アルキル,NR18R19-C(O)-C1-6アルキル-またはC3-6シクロアルキル-C1-6アルキル-である,
Hetは、1~9個の炭素原子およびN,OおよびSから成る群から独立して選択された1~4個のヘテロ原子を含有する5~10原子の一環または二環のヘテロアリール基であり、ここで環窒素はN-オキシドまたはC1-4アルキル基を有する四級基を形成し得る。ここでHetは炭素原子環メンバーによりBに結合され、Het基はWで置換される;
Wは、H,C1-6アルキル,フルオロ-C1-6アルキル、ジフルオロ-C1-6アルキル-,トリフルオロ-C1-6アルキル-,C3-6シクロアルキルヒドロキシ-C1-6アルキル-,ジヒドロキシ-C1-6アルキル,NR25R26-C1-6アルキル,チオC1-6アルキル-,-OH,C1-6アルコキシ,ハロゲン.-NR4R5,-C(O)OR17、-C(O)R16-C1-6アルキルチオ,R21-アリール,R21-アリール-C1-6アルキル,アリールおよびR21-ヘテロアリールから成る群から独立して選択される1個~4個の置換基であり、ここで隣接ずる炭素はメチレンジオキシ基を含む環を形成する;
R4およびR5は、H,C1-6アルキル,フェニル,ベンジルおよびC1-6シクロアルキルから成る群から独立して選択されるか、またはR4およびR5は、一緒になって-(CH2)4-、-(CH2)5-または-(CH2)2-NR7-(CH2)2-であり、R4およびR5が結合する窒素と環を形成する;
R6は、H,C1-6アルキルまたはフェニルである;
R7は、H,C1-6アルキル-,-C(O)-R16-C(O)OR17またはSO2R17、
R8,R10およびR11は、R1および-OR1からなる群から独立して選択され、但し、任意の二重結合が存在するとき、R10は存在しない;
R7は、H,OHまたはC1-6アルコキシである;
Bは、-(CH2)n3-、シスもしくはトランス-(CH2)n4CR12=CR12a(CH2)n5または(CH2)n4C=C(CH2)5-である。ここで、n3は0~5であり、n4およびn5は独立して0~2であり、R12およびR12aはH,C1-6アルキルおよびハロゲンから成る群から独立して選択される;
Xは、点線が単結合を表すとき、-O-または-NR6-であり、または結合が存在しないとき、Xは-OHまたは-NHR20である;
Yは、点線が単結合のとき、=O,=S,(H,H),(H,OH)または(H,C1-6アルコキシ)であり、または結合が存在しないとき、Yは、=O、(H,H)、(H,OH),(H,SH)または(H,C1-6アルコキシ)である;
各R13は、C1-6アルキル-,C3-8シクロアルキル,-(CH2)n6NHC(O)OR16b、-(CH2)n6NHC(O)R16b、-(CH2)n6NHC(O)NR4R5,-(CH2)n6NHSO2R16、-(CH2)n6NHSO2NR4R5および-(CH2)n6C(O)NR28R29,ハロアルキルおよびハロゲンから独立して選択され、ここでn6は0~4である;
各R14は、H,C1-6アルキル,-OH,C1-6アルコキシ,R27-アリール-C1-6アルキル,ヘテロアリール,ヘテロアリールアルキル,ヘテロシクリル、ヘテロシクリルアルキル、-(CH2)n6NHC(O)OR16b,-(CH2)n6NHC(O)R16b、-(CH2)n6NHC(O)NR4R5,-(CH2)n6NHSO2R16,-(CH2)n6NHSO2NR4R5,-(CH2)n6C(O)NR28R29,ハロゲン,およびハロアルキルから独立して選択され、ここでn6は0~4である;
または、R13およびR14は一緒になって、3~6原子のスピロサイクル環またはヘテロスピロサイクル環を形成する;
ここで、R13またはR14の少なくとも1つは、-(CH2)n6NHC(O)OR16b、-(CH2)n6NHC(O)R16b、-(CH2)n6NHC(O)NR4R5,-(CH2)n6NHSO2R16、-(CH2)n6NHSO2NR4R5および-(CH2)n6C(O)NR28R29から成る群から選択され、ここでn6は0~4である;
点線が単結合を表すとき、R15は存在せず、点線に結合が存在しないとき、R15はH、C1-6アルキル、フェニルおよびベンジルから成る群から独立して選択される;
R16bは、H,アルコキシ,C1-6アルキル,C1-6アルコキシ-C1-6アルキル-,R22-O-C(O)-C1-6アルキル,-C3-6シクロアルキル,R21-アリール,R21-アリール-C1-6アルキル,ハロアルキル,アルケニル,ハロゲン置換されたアルケニル,アルキニル,ハロゲン置換されたアルキニル,R21-ヘテロアリール,R21-C1-6アルキルヘテロアリール,R21-C1-6アルキルヘテロシクロアルキル,R28R29N-C1-6アルキル,R28R29N-C(O)-C1-6アルキル,R28R29N-C(O)O-C1-6アルキル,R28-O-C(O)-N(R29)-C1-6アルキル,R28-SO2N(R29)-C1-6アルキル,R28R29N-C(O)-N(R29)-C1-6アルキル,R28R29N-SO2N(R29)-C1-6アルキル,R28-C(O)N(R29)-C1-6アルキル、R28R29N-SO2-C1-6アルキル,HOSO2-C1-6アルキル,(HO)2P(O)2-C1-6アルキル,R28S-C1-6アルキル,R28SO2-C1-6アルキルまたはヒドロキシ-C1-6アルキルである;
R17,R18およびR19は、H,C1-6アルキル,フェニルおよびベンジルから成る群から独立して選択される;
R20は、H,C1-6アルキル,フェニル,ベンジル,-C(O)R6またはSO2R6である;
R21は、H,-CN,-CF3,-OCF3、ハロゲン、-NO2,-C1-6アルキル,-OH,-C1-6アルコキシ,-C1-6アルキルアミノ,ジ(C1-6アルキル)アミノ,NR25R26-C1-6アルキル,ヒドロキシ-C1-6アルキル,-C(O)OR17,-C(O)R17,-NHC(O)R16NHSO2R16NHSO2CH2CF3,-C(O)NR25R26,NR25-C(O)NR25R26,-S(O)R13、-SO2R13およびSR13から成る群から独立して選択される1~3個の置換基である;
R22は、HまたはC1-6アルキルである;
R23は,C1-6アルキル,-C(O)R24,-SO2R24,-CONHR24または-SO2NHR24である;
R24は、C1-6アルキル,ヒドロキシ-C1-6アルキルまたはNR25R26-(C1-6アルキル)-である;
R25およびR26は、HおよびC1-6アルキルから成る群から独立して選択される;
R27は、H,C1-6アルキル,C3-6シクロアルキル,C1-6アルコキシ、ハロゲンおよびOHから成る群から選択される1つ、2つまたは3つの置換基である;
R28およびR29は、H,C1-6アルキル,C1-6アルコキシ,R27-アリール-C1-6アルキル,ヘテロアリール,ヘテロアリールアルキル,ヒドロキシ-C1-6アルキル,C1-6アルコキシ-C1-6アルキル、ヘテロシクリル,ヘテロシクリルアルキルおよびハロアルキルから成る群から独立して選択される;または
R28およびR29は、一緒になって、3~6原子のスピロサイクル環またはヘテロスピロサイクル環を形成する。]で表される化合物もしくはその薬学的に受容可能な塩または溶媒和物。
[2]に記載の化合物は、好ましくは、式(5):
[式中、単一の点線は任意の単結合を表し;
は、任意の二重結合を示し;
nは、0~2であり;
Qは、
であり、Rが-NHC(O)OR16bであり、R16bがC1-6アルキルであり;
R1は、H,C1-6アルキル,フルオロ-C1-6アルキル-,ジフルオロ-C1-6アルキル-,トリフルオロ-C1-6アルキル-,C3-6シクロアルキル,C2-6アルケニル,ヒドロキシ-C1-6アルキル,およびアミノ-C1-6アルキルから成る群から独立して選択され;
R2は、H,C1-6アルキル,フルオロ-C1-6アルキル,ジフルオロ-C1-6アルキル-,トリフルオロ-C1-6アルキル,C3-6シクロアルキル,C2-6アルケニル、ヒドロキシ-C1-6アルキル-,およびアミノ-C1-6アルキル-から成る基から独立して選択され;
R3は、H,ヒドロキシ,C1-6アルコキシ,-SOR16,-SO2R17,-C(O)OR17,-C(O)NR18R19,-C1-6アルキル-C(O)NR18R19,-C1-6アルキル,ハロゲン,フルオロ-C1-6アルキル-,ジフルオロ-C1-6アルキル-,トリフルオロ-C1-6アルキル-,C3-6シクロアルキル,C3-6シクロアルキル-C1-6アルキル,C2-6アルケニル,アリール-C1-6アルキル-,アリール-C2-6アルケニル-,ヘテロアリール-C1-6アルキル-,ヘテロアリール-C2-6アルケニル-,ヒドロキシ-C1-6アルキル-,-NR22R23,NR22R23-C1-6アルキル,アリール,チオC1-6アルキル-,C1-6アルキルチオ-C1-6アルキル,C1-6アルコキシ-C1-6アルキル-,NR18R19-C(O)-C1-6アルキルまたはC3-6シクロアルキル-C1-6アルキル-である,
Hetは、W-ピリジルであり、WがR21b-フェニルまたはR21b-ピリジルであり、R21bが-CN、-CF3またはFであり;
R8,R10およびR11は、R1および-OR1からなる群から独立して選択され、但し、任意の二重結合が存在するとき、R10は存在しない;
R9は、H,OHまたはC1-6アルコキシであり;
Bは、-CH=CH-であり;
Xは、-O-であり;
Yは、=Oであり;
R15は存在せず;
R16は、C1-6アルキル,フェニルおよびベンジルから成る群から独立して選択され;
R17、R18およびR19は、H,C1-6アルキル,フェニルおよびベンジルから成る群から独立して選択され;
R22は、HまたはC1-6アルキルであり;
R23は、H,C1-6アルキル,-C(O)R24、-SO2R24,-C(O)NHR24または-SO2NHR24であり;
R24は、C1-6アルキル,ヒドロキシ-C1-6アルキルまたはNR25R26-(C1-6アルキル)-であり;
R25およびR26は、HおよびC1-6アルキルから成る群から独立して選択される]で表される化合物もしくはその薬学的に受容可能な塩または溶媒和物である。
[2]に記載の化合物は、より好ましくは、下記式:
で表される化合物もしくはその薬学的に受容可能な塩または溶媒和物である。
[3]WO2014/046125に記載の化合物、すなわち、式(6):
[式中、R1及びR2は、それぞれ独立し、同一又は相異なって、水素原子、メトキシ基又はエトキシ基を;X1は水素原子又はハロゲン原子を;Ar2は、メチル基、エチル基、メトキシ基、エトキシ基、t-ブチル基、モルホリニル基、又は式(7)で表される置換基から選ばれる1又は2以上の置換基で置換されていてもよいフェニル基を示し、
式(7)中、Wは-CH-又は窒素原子を;A’は-CH2-又は単結合を;R3は水素原子又は-OR5aを;X2は-CH2-、酸素原子、単結合又はカルボニル基を;Yは単結合又はC1-4アルキレン基を;R4は水素原子、-OR6a、シアノ基又は-COOR7を;R5a、R6a及びR7は、それぞれ独立し、同一又は相異なって、水素原子又はC1-4アルキル基を示す。]で表される化合物、もしくはその薬学的に許容される塩、またはそれらの水和物。
[3]に記載の化合物は、好ましくは、下記式:
で表される化合物もしくはその薬学的に許容される塩、またはそれらの水和物である。
[式中、R1及びR2は、それぞれ独立し、同一又は相異なって、水素原子、メトキシ基又はエトキシ基を;X1は水素原子又はハロゲン原子を;Ar2は、メチル基、エチル基、メトキシ基、エトキシ基、t-ブチル基、モルホリニル基、又は式(7)で表される置換基から選ばれる1又は2以上の置換基で置換されていてもよいフェニル基を示し、
式(7)中、Wは-CH-又は窒素原子を;A’は-CH2-又は単結合を;R3は水素原子又は-OR5aを;X2は-CH2-、酸素原子、単結合又はカルボニル基を;Yは単結合又はC1-4アルキレン基を;R4は水素原子、-OR6a、シアノ基又は-COOR7を;R5a、R6a及びR7は、それぞれ独立し、同一又は相異なって、水素原子又はC1-4アルキル基を示す。]で表される化合物、もしくはその薬学的に許容される塩、またはそれらの水和物。
[3]に記載の化合物は、好ましくは、下記式:
で表される化合物もしくはその薬学的に許容される塩、またはそれらの水和物である。
[4]US2011/0034451に記載の化合物、すなわち、式(8):
[式中、Q1は水素原子、-C1-6アルキル、-C3-6シクロアルキル、-OH、-O-C1-6アルキルまたは-O-C3-6シクロアルキルであり、ここでアルキルおよびシクロアルキルはそれぞれ未置換であるか、または独立して-C1-4アルキル、-C3-6シクロアルキル、OH、-O-C1-6アルキルまたは-O-C3-6シクロアルキルにより一、二または三置換され、ここでアルキルまたはシクロアルキルの幾つかまたは全ての水素原子はフッ素により置換されてもよく、
Q2およびQ3は、同一でまたは異なってそれぞれ独立して水素原子、-C1-6アルキルまたは-C3-6シクロアルキルであり、ここでアルキルまたはシクロアルキルの幾つかまたは全ての水素原子はフッ素により置換されてもよく、
R1、R2およびR3は、同一でまたは異なってそれぞれ独立して水素原子、-C1-6アルキル、-C3-6シクロアルキル、-O-C1-8アルキル、-O-C3-6シクロアルキル、-C0-4アルキレン-C(O)-NR11R12、-C0-4アルキレン-C(O)-OR11、-C0-4アルキレン-C(O)-R11、-C0-4アルキレン-NR11R12、-C0-4アルキレン-N(R11)-C(O)-R12、ハロゲン、-OH、-CN、-NO2、-SO2CH3、-SO2CF3、-SF5、-Si[-C1-4アルキル]3、-C1-6アルキレン-O-C1-6アルキル、-O-C1-6アルキレン-O-C1-6アルキル、-O-C0-4アルキレン-C6-14アリール(ここでアリールは未置換であるか、または独立して-O-C1-6アルキル、-C1-4アルキル、OH、-C3-6シクロアルキルまたは-O-C3-6シクロアルキルにより一、二または三置換される)、-O-C1-4アルキレン-C3-6シクロアルキル、-C4-15Het(ここでHetは未置換であるか、または独立して-C1-4アルキル、-C3-6シクロアルキル、OH、-O-C1-6アルキルまたは-O-C3-6シクロアルキルにより一、二または三置換される)、または-O-C1-6アルキレン-O-C1-6アルキレン-O-C1-6アルキルであり、ここでアルキル、アルキレンおよびシクロアルキルはそれぞれ未置換であるか、または独立して-C1-4アルキル、-C3-6シクロアルキル、OH、-O-C1-6アルキル、-C6-14アリール(ここでアリールは未置換であるか、または独立してハロゲン、-C1-4アルキル、-C3-6シクロアルキル、OH、-O-C1-6アルキルまたは-O-C3-6シクロアルキルにより一、二、三、四または五置換される)、-C4-15Het(ここで、Hetは未置換であるか、または独立してハロゲン、-C1-4アルキル、-C3-6シクロアルキル、OH、-O-C1-6アルキルまたは-O-C3-6シクロアルキルにより一、二、三、四または五置換される)、または-O-C3-6シクロアルキルにより一、二または三置換され、またはここでアルキル、アルキレンまたはシクロアルキルの幾つかまたは全ての水素原子はフッ素により置換されてもよく、または
R1およびR2、またはR2およびR3は、それらがそれぞれ結合している環原子と一緒になって5-~8-員環を形成し、ここで環は炭素原子だけで構成されるか、またはこれらの原子のうち1、2または3個は窒素、酸素または硫黄原子により置き換えられ、ここで環は未置換であるか、または独立して-C1-4アルキル、-C3-6シクロアルキル、OH、-O-C1-6アルキルまたは-O-C3-6シクロアルキルにより一または二置換され、ここで形成した5-~8-員環、およびここでアルキルまたはシクロアルキルの幾つかまたは全ての水素原子はフッ素により置換されてもよく、
R11およびR12は、それぞれ独立して水素原子、-C1-6アルキル、-C3-6シクロアルキル、-C0-4アルキレン-C6-14アリール(ここでアリールは未置換であるか、または独立して-O-C1-6アルキル、-C1-4アルキル、-OH、-C3-6シクロアルキルまたは-O-C3-6シクロアルキルにより一、二または三置換される)、-C0-4アルキレン-C4-C15Het(ここでHetは未置換であるか、または独立してハロゲン、C1-4アルキル、-C3-6シクロアルキル、OH,-O-C1-6アルキルまたは-O-C3-6シクロアルキルにより一、二、三、四または五置換される)、-SO2CH3または-SO2CF3であり、ここでアルキル、アルキレンまたはシクロアルキルの幾つかまたは全ての水素原子はフッ素により置換されてもよく、または
“N(R11)-R12”および“N(R11)-C(O)-R12”フラグメントのR11およびR12は、N、OおよびSの群からのヘテロ原子をさらに最大2個含有する環状のアミン、イミドまたはラクタムを形成するための窒素原子“N”または“N-C(O)”基と一緒になって形成される5-~8-員環を表わし、ここで環は未置換であるか、または独立して-C1-4アルキル、-C3-6シクロアルキル、-OH、-O-C1-6アルキルまたは-O-C3-6シクロアルキルにより一または二置換され、形成した5-~8-員環およびここでアルキルまたはシクロアルキルの幾つかまたは全ての水素原子はフッ素により置換されてもよく、
R4、R5、R6、R7およびR8は同一でまたは異なってそれぞれ独立して水素原子、-C1-6アルキル、-C3-6シクロアルキル、-OH、-CN、-NO2、-O-C1-8アルキル、-O-C3-6シクロアルキル、-C0-4アルキレン-C(O)-N(R21)-R22、-SO2CH3、-SO2CF3、-C0-4-アルキレン-C(O)-OR21、ハロゲン、-SF5、-C0-4アルキレン-C(O)-R21、C0-4アルキレン-N(R21)-R22、-C0-4アルキレン-N(R21)-C(O)-R22、-C1-6アルキレン-O-C1-6アルキル、-C0-6アルキレン-O-C1-6アルキレン-O-C1-6アルキル、-Si[-C1-4アルキル]3、-C0-6アルキレン-O-C1-4アルキレン-C3-6シクロアルキル、-C0-6アルキレン-O-C0-6アルキレン-C6-14アリール(ここでアリールは未置換であるか、または独立して-O-C1-6アルキル、-C1-4アルキル、-OH、-C3-6シクロアルキルまたは-O-C3-6シクロアルキルにより一、二または三置換される)、または-C4-15Het(ここでHetは未置換であるか、または独立して-O-C1-6アルキル、-C1-4アルキル、-OH、-C3-6シクロアルキルまたは-O-C3-6シクロアルキルにより一、二または三置換される)であり、ここでアルキル、アルキレンおよびシクロアルキルはそれぞれ未置換であるか、または独立して-C1-4アルキル、-C3-6シクロアルキル、-OH、-O-C1-6アルキル、-C6-14アリール(ここでアリールは未置換であるか、または独立してハロゲン、-C1-4アルキル、-C3-6シクロアルキル、-OH、-O-C1-6アルキルまたは-O-C3-6シクロアルキルにより一、二、三、四または五置換される)、-C4-15Het(ここでHetは未置換であるか、または独立してハロゲン、-C1-4アルキル、-C3-6シクロアルキル、-OH、-O-C1-6アルキルまたは-O-C3-6シクロアルキルにより一、二、三、四または五置換される)、または-O-C3-6シクロアルキルにより一、二または三置換され、ここでアルキル、アルキレンまたはシクロアルキルの幾つかまたは全ての水素原子はフッ素により置換されてもよく、または
R4およびR5、R5およびR6、R6およびR7、またはR7およびR8は、それらがそれぞれ結合している環原子と一緒になって5-~8-員環を形成し、ここで環は炭素原子だけで構成されるか、またはこれらの原子のうちし2または3個は窒素、酸素または硫黄原子により置き換えられ、ここで環は未置換であるか、または独立してC1-4アルキル、-C3-6シクロアルキル、-OH、-O-C1-6アルキルまたは-O-C3-6シクロアルキルにより一または二置換され、ここで形成した5-~8-員環、およびここでアルキルまたはシクロアルキルの幾つかまたは全ての水素原子はフッ素により置換されてもよく、
R21およびR22は、それぞれ独立して水素原子、-C1-6アルキル、-C3-6シクロアルキル、-C0-4アルキレン-C6-14アリール(ここでアリールは未置換であるか、または独立して-O-C1-6アルキル、-C1-4アルキル、-OH、-C3-6シクロアルキルまたは-O-C3-6シクロアルキルにより一、二または三置換される)、-C0-4アルキレン-C4-15Het(ここでHetは未置換であるか、または独立してハロゲン、-C1-4アルキル、-C3-6シクロアルキル、-OH、-O-C1-6アルキルまたは-O-C3-6シクロアルキルにより一、二、三、四または五置換される)、-SO2CH3または-SO2CF3であり、ここでアルキル、アルキレンまたはシクロアルキルの幾つかまたは全ての水素原子はフッ素により置換されてもよく、または
“N(R21)-R22”および“N(R21)-C(O)-R22”フラグメントのR21およびR22は、N、OおよびSの群からのヘテロ原子をさらに最大2個含有する環状のアミン、イミドまたはラクタムを形成するための窒素原子“N”または“N-C(O)”基と一緒になって形成される5-~8-員環を表わし、ここで環は未置換であるか、または独立して-C1-4アルキル、-C3-6シクロアルキル、-OH、-O-C1-6アルキルまたは-O-C3-6シクロアルキルによりーまたは二置換され、ここで形成した5-~8-員環、およびアルキルまたはシクロアルキルの幾つかまたは全ての水素原子はフッ素により置換されてもよい]の化合物、および/または式(8)の化合物の任意の立体異性体または互変異性体、および/または任意の比率のこれらの異性体の混合物、および/または式(8)の化合物の生理学的に適合する塩。
[4]に記載の化合物は、好ましくは、式(8):
[式中、Q1、Q2およびQ3は水素原子、-C1-6アルキル、-C3-6シクロアルキルであり、ここでアルキルまたはシクロアルキルの幾つかまたは全ての水素原子はフッ素により置換されてもよく、
R1、R2およびR3は、同一でまたは異なってそれぞれ独立して水素原子、-C1-6アルキル、-C3-6シクロアルキル、-O-C1-8アルキル、-O-C3-6シクロアルキル、-C0-4アルキレン-C(O)-N(R11)R12、-C0-4アルキレン-C(O)-OR11、-C0-4アルキレン-C(O)-R11、-C0-4アルキレン-N(R11)R12、-C0-4アルキレン-N(R11)-C(O)-R12、ハロゲン、-OH、-CN、-NO2、-SO2CH3、-SO2CF3、-SF5、-Si[-C1-4アルキル]3、-C1-6アルキレン-O-C1-6アルキル、-O-C1-6アルキレン-O-C1-6アルキル、-O-C0-4アルキレン-C6-14アリール(ここでアリールは未置換であるか、または独立して-O-C1-6アルキル、-C1-4アルキル、OH、-C3-6シクロアルキルまたは-O-C3-6シクロアルキルにより一、二または三置換される)、-O-C1-4アルキレン-C3-6シクロアルキル、-C4-15Het(ここでHetは未置換であるか、または独立して-C1-4アルキル、-C3-6シクロアルキル、OH、-O-C1-6アルキルまたは-O-C3-6シクロアルキルにより一、二または三置換される)、または-O-C1-6アルキレン-O-C1-6アルキレン-O-C1-6アルキルであり、ここでアルキル、アルキレンおよびシクロアルキルはそれぞれ未置換であるか、または独立して-C1-4アルキル、-C3-6シクロアルキル、OH、-O-C1-6アルキル、-C6-14アリール(ここでアリールは未置換であるか、または独立してハロゲン、-C1-4アルキル、-C3-6シクロアルキル、OH、-O-C1-6アルキルまたは-O-C3-6シクロアルキルにより一、二、三、四または五置換される)、-C4-15Het(ここで、Hetは未置換であるか、または独立してハロゲン、-C1-4アルキル、-C3-6シクロアルキル、OH、-O-C1-6アルキルまたは-O-C3-6シクロアルキルにより一、二、三、四または五置換される)、または-O-C3-6シクロアルキルにより一、二または三置換され、ここでアルキル、アルキレンまたはシクロアルキルの幾つかまたは全ての水素原子はフッ素により置換されてもよいが、但しR1、R2またはR3のうち少なくとも1個は水素原子ではなく、または
R1およびR2、またはR2およびR3は、それらがそれぞれ結合している環原子と一緒になって5-~8-員環を形成し、ここで環は炭素原子だけで構成されるか、またはこれらの原子のうち1、2または3個は窒素、酸素または硫黄原子により置き換えられ、ここで環は未置換であるか、または独立して-C1-4アルキル、-C3-6シクロアルキル、OH、-O-C1-6アルキルまたは-O-C3-6シクロアルキルにより一または二置換され、ここで形成した5-~8-員環、およびここでアルキルまたはシクロアルキルの幾つかまたは全ての水素原子はフッ素により置換されてもよく、
R11およびR12は、それぞれ独立して水素原子、-C1-6アルキル、-C3-6シクロアルキル、-C0-4アルキレン-C6-14アリール(ここでアリールは未置換であるか、または独立して-O-C1-6アルキル、-C1-4アルキル、-OH、-C3-6シクロアルキルまたは-O-C3-6シクロアルキルにより一、二または三置換される)、-C0-4アルキレン-C4-15Het(ここでHetは未置換であるか、または独立してハロゲン、C1-4アルキル、-C3-6シクロアルキル、OH,-O-C1-6アルキルまたは-O-C3-6シクロアルキルにより一、二、三、四または五置換される)、-SO2CH3または-SO2CF3であり、ここでアルキル、アルキレンまたはシクロアルキルの幾つかまたは全ての水素原子はフッ素により置換されてもよく、または
“N(R11)-R12”および“N(R11)-C(O)-R12”フラグメントのR11およびR12は、N、OおよびSの群からのヘテロ原子をさらに最大2個含有する環状のアミン、イミドまたはラクタムを形成する窒素原子“N”または“N-C(O)”基と一緒になって形成される5-~8-員環を表わし、ここで環は未置換であるか、または独立して-C1-4アルキル、-C3-6シクロアルキル、-OH、-O-C1-6アルキルまたは-O-C3-6シクロアルキルにより一または二置換され、形成した5-~8-員環およびここでアルキルまたはシクロアルキルの幾つかまたは全ての水素原子はフッ素により置換されてもよく、
R4、R5、R6、R7およびR8は同一でまたは異なってそれぞれ独立して水素原子、-C1-6アルキル、-C3-6シクロアルキル、-OH、-CN、-NO2、-O-C1-8アルキル、-O-C3-6シクロアルキル、-C0-4アルキレン-C(O)-N(R21)-R22、-SO2CH3、-SO2CF3、-C0-4アルキレン-C(O)-OR21、ハロゲン、-SF5、-C0-4アルキレン-C(O)-R21、C0-4アルキレン-N(R21)-R22、-C0-4アルキレン-N(R21)-C(O)-R22、-C1-6アルキレン-O-C1-6アルキル、-C0-6アルキレン-O-C1-6アルキレン-O-C1-6アルキル、-Si[-C1-4アルキル]3、-C0-6アルキレン-O-C1-4アルキレン-C3-6シクロアルキル、C0-6アルキレン-O-C0-6アルキレン-C6-14アリール(ここでアリールは未置換であるか、または独立して-O-C1-6アルキル、-C1-4アルキル、-OH、-C3-6シクロアルキルまたは-O-C3-6シクロアルキルにより一、二または三置換される)、または-C4-15Het(ここでHetは未置換であるか、または独立して-O-C1-6アルキル、-C1-4アルキル、-OH、-C3-6シクロアルキルまたは-O-C3-6シクロアルキルにより一、二または三置換される)であり、ここでアルキル、アルキレンおよびシクロアルキルはそれぞれ未置換であるか、または独立して-C1-4アルキル、-C3-6シクロアルキル、-OH、-O-C1-6アルキル、-C6-14アリール(ここでアリールは未置換であるか、または独立してハロゲン、-C1-4アルキル、-C3-6シクロアルキル、-OH、-O-C1-6アルキルまたは-O-C3-6シクロアルキルにより一、二、三、四または五置換される)、-C4-15Het(ここでHetは未置換であるか、または独立してハロゲン、-C1-4アルキル、-C3-6シクロアルキル、-OH、-O-C1-6アルキルまたは-O-C3-6シクロアルキルにより一、二、三、四または五置換される)、または-O-C3-6シクロアルキルにより一、二または三置換され、ここでアルキル、アルキレンまたはシクロアルキルの幾つかまたは全ての水素原子はフッ素により置換されてもよく、または
R4およびR5、R5およびR6、R6およびR7、またはR7およびR8は、それらがそれぞれ結合している環原子と一緒になって5-~8-員環を形成し、ここで環は炭素原子だけで構成されるか、またはこれらの原子のうち1、2または3個は窒素、酸素または硫黄原子により置き換えられ、ここで環は未置換であるか、または独立してC1-4アルキル、-C3-6シクロアルキル、-OH、-O-C1-6アルキルまたは-O-C3-6シクロアルキルにより一または二置換され、ここで形成した5-~8-員環、およびアルキルまたはシクロアルキルの幾つかまたは全ての水素原子はフッ素により置換されてもよく、
R21およびR22は、それぞれ独立して水素原子、-C1-6アルキル、-C3-6シクロアルキル、-C0-4アルキレン-C6-14アリール(ここでアリールは未置換であるか、または独立して-O-C1-6アルキル、-C1-4アルキル、-OH、-C3-6シクロアルキルまたは-O-C3-6シクロアルキルにより一、二または三置換される)、-C0-4アルキレン-C4-15Het(ここでHetは未置換であるか、または独立してハロゲン、-C1-4アルキル、-C3-6シクロアルキル、-OH、-O-C1-6アルキルまたは-O-C3-6シクロアルキルにより一、二、三、四または五置換される)、-SO2CH3または-SO2CF3であり、ここでアルキル、アルキレンまたはシクロアルキルの幾つかまたは全ての水素原子はフッ素により置換されてもよく、または
“N(R21)-R22”および“N(R21)-C(O)-R22”フラグメントのR21およびR22は、N、OおよびSの群からのヘテロ原子をさらに最大2個含有する環状のアミン、イミドまたはラクタムを形成する窒素原子“N”または“N-C(O)”基と一緒になって形成される5-~8-員環を表わし、ここで環は未置換であるか、または独立して-C1-4アルキル、-C3-6シクロアルキル、-OH、-O-C1-6アルキルまたは-O-C3-6シクロアルキルによりーまたは二置換され、ここで形成した5-~8-員環、およびアルキルまたはシクロアルキルの幾つかまたは全ての水素原子はフッ素により置換されてもよい]の化合物、および/または式(8)の化合物の任意の立体異性体または互変異性体、および/または任意の比率のこれらの異性体の混合物、および/または式(8)の化合物の生理学的に適合する塩である。
[式中、Q1は水素原子、-C1-6アルキル、-C3-6シクロアルキル、-OH、-O-C1-6アルキルまたは-O-C3-6シクロアルキルであり、ここでアルキルおよびシクロアルキルはそれぞれ未置換であるか、または独立して-C1-4アルキル、-C3-6シクロアルキル、OH、-O-C1-6アルキルまたは-O-C3-6シクロアルキルにより一、二または三置換され、ここでアルキルまたはシクロアルキルの幾つかまたは全ての水素原子はフッ素により置換されてもよく、
Q2およびQ3は、同一でまたは異なってそれぞれ独立して水素原子、-C1-6アルキルまたは-C3-6シクロアルキルであり、ここでアルキルまたはシクロアルキルの幾つかまたは全ての水素原子はフッ素により置換されてもよく、
R1、R2およびR3は、同一でまたは異なってそれぞれ独立して水素原子、-C1-6アルキル、-C3-6シクロアルキル、-O-C1-8アルキル、-O-C3-6シクロアルキル、-C0-4アルキレン-C(O)-NR11R12、-C0-4アルキレン-C(O)-OR11、-C0-4アルキレン-C(O)-R11、-C0-4アルキレン-NR11R12、-C0-4アルキレン-N(R11)-C(O)-R12、ハロゲン、-OH、-CN、-NO2、-SO2CH3、-SO2CF3、-SF5、-Si[-C1-4アルキル]3、-C1-6アルキレン-O-C1-6アルキル、-O-C1-6アルキレン-O-C1-6アルキル、-O-C0-4アルキレン-C6-14アリール(ここでアリールは未置換であるか、または独立して-O-C1-6アルキル、-C1-4アルキル、OH、-C3-6シクロアルキルまたは-O-C3-6シクロアルキルにより一、二または三置換される)、-O-C1-4アルキレン-C3-6シクロアルキル、-C4-15Het(ここでHetは未置換であるか、または独立して-C1-4アルキル、-C3-6シクロアルキル、OH、-O-C1-6アルキルまたは-O-C3-6シクロアルキルにより一、二または三置換される)、または-O-C1-6アルキレン-O-C1-6アルキレン-O-C1-6アルキルであり、ここでアルキル、アルキレンおよびシクロアルキルはそれぞれ未置換であるか、または独立して-C1-4アルキル、-C3-6シクロアルキル、OH、-O-C1-6アルキル、-C6-14アリール(ここでアリールは未置換であるか、または独立してハロゲン、-C1-4アルキル、-C3-6シクロアルキル、OH、-O-C1-6アルキルまたは-O-C3-6シクロアルキルにより一、二、三、四または五置換される)、-C4-15Het(ここで、Hetは未置換であるか、または独立してハロゲン、-C1-4アルキル、-C3-6シクロアルキル、OH、-O-C1-6アルキルまたは-O-C3-6シクロアルキルにより一、二、三、四または五置換される)、または-O-C3-6シクロアルキルにより一、二または三置換され、またはここでアルキル、アルキレンまたはシクロアルキルの幾つかまたは全ての水素原子はフッ素により置換されてもよく、または
R1およびR2、またはR2およびR3は、それらがそれぞれ結合している環原子と一緒になって5-~8-員環を形成し、ここで環は炭素原子だけで構成されるか、またはこれらの原子のうち1、2または3個は窒素、酸素または硫黄原子により置き換えられ、ここで環は未置換であるか、または独立して-C1-4アルキル、-C3-6シクロアルキル、OH、-O-C1-6アルキルまたは-O-C3-6シクロアルキルにより一または二置換され、ここで形成した5-~8-員環、およびここでアルキルまたはシクロアルキルの幾つかまたは全ての水素原子はフッ素により置換されてもよく、
R11およびR12は、それぞれ独立して水素原子、-C1-6アルキル、-C3-6シクロアルキル、-C0-4アルキレン-C6-14アリール(ここでアリールは未置換であるか、または独立して-O-C1-6アルキル、-C1-4アルキル、-OH、-C3-6シクロアルキルまたは-O-C3-6シクロアルキルにより一、二または三置換される)、-C0-4アルキレン-C4-C15Het(ここでHetは未置換であるか、または独立してハロゲン、C1-4アルキル、-C3-6シクロアルキル、OH,-O-C1-6アルキルまたは-O-C3-6シクロアルキルにより一、二、三、四または五置換される)、-SO2CH3または-SO2CF3であり、ここでアルキル、アルキレンまたはシクロアルキルの幾つかまたは全ての水素原子はフッ素により置換されてもよく、または
“N(R11)-R12”および“N(R11)-C(O)-R12”フラグメントのR11およびR12は、N、OおよびSの群からのヘテロ原子をさらに最大2個含有する環状のアミン、イミドまたはラクタムを形成するための窒素原子“N”または“N-C(O)”基と一緒になって形成される5-~8-員環を表わし、ここで環は未置換であるか、または独立して-C1-4アルキル、-C3-6シクロアルキル、-OH、-O-C1-6アルキルまたは-O-C3-6シクロアルキルにより一または二置換され、形成した5-~8-員環およびここでアルキルまたはシクロアルキルの幾つかまたは全ての水素原子はフッ素により置換されてもよく、
R4、R5、R6、R7およびR8は同一でまたは異なってそれぞれ独立して水素原子、-C1-6アルキル、-C3-6シクロアルキル、-OH、-CN、-NO2、-O-C1-8アルキル、-O-C3-6シクロアルキル、-C0-4アルキレン-C(O)-N(R21)-R22、-SO2CH3、-SO2CF3、-C0-4-アルキレン-C(O)-OR21、ハロゲン、-SF5、-C0-4アルキレン-C(O)-R21、C0-4アルキレン-N(R21)-R22、-C0-4アルキレン-N(R21)-C(O)-R22、-C1-6アルキレン-O-C1-6アルキル、-C0-6アルキレン-O-C1-6アルキレン-O-C1-6アルキル、-Si[-C1-4アルキル]3、-C0-6アルキレン-O-C1-4アルキレン-C3-6シクロアルキル、-C0-6アルキレン-O-C0-6アルキレン-C6-14アリール(ここでアリールは未置換であるか、または独立して-O-C1-6アルキル、-C1-4アルキル、-OH、-C3-6シクロアルキルまたは-O-C3-6シクロアルキルにより一、二または三置換される)、または-C4-15Het(ここでHetは未置換であるか、または独立して-O-C1-6アルキル、-C1-4アルキル、-OH、-C3-6シクロアルキルまたは-O-C3-6シクロアルキルにより一、二または三置換される)であり、ここでアルキル、アルキレンおよびシクロアルキルはそれぞれ未置換であるか、または独立して-C1-4アルキル、-C3-6シクロアルキル、-OH、-O-C1-6アルキル、-C6-14アリール(ここでアリールは未置換であるか、または独立してハロゲン、-C1-4アルキル、-C3-6シクロアルキル、-OH、-O-C1-6アルキルまたは-O-C3-6シクロアルキルにより一、二、三、四または五置換される)、-C4-15Het(ここでHetは未置換であるか、または独立してハロゲン、-C1-4アルキル、-C3-6シクロアルキル、-OH、-O-C1-6アルキルまたは-O-C3-6シクロアルキルにより一、二、三、四または五置換される)、または-O-C3-6シクロアルキルにより一、二または三置換され、ここでアルキル、アルキレンまたはシクロアルキルの幾つかまたは全ての水素原子はフッ素により置換されてもよく、または
R4およびR5、R5およびR6、R6およびR7、またはR7およびR8は、それらがそれぞれ結合している環原子と一緒になって5-~8-員環を形成し、ここで環は炭素原子だけで構成されるか、またはこれらの原子のうちし2または3個は窒素、酸素または硫黄原子により置き換えられ、ここで環は未置換であるか、または独立してC1-4アルキル、-C3-6シクロアルキル、-OH、-O-C1-6アルキルまたは-O-C3-6シクロアルキルにより一または二置換され、ここで形成した5-~8-員環、およびここでアルキルまたはシクロアルキルの幾つかまたは全ての水素原子はフッ素により置換されてもよく、
R21およびR22は、それぞれ独立して水素原子、-C1-6アルキル、-C3-6シクロアルキル、-C0-4アルキレン-C6-14アリール(ここでアリールは未置換であるか、または独立して-O-C1-6アルキル、-C1-4アルキル、-OH、-C3-6シクロアルキルまたは-O-C3-6シクロアルキルにより一、二または三置換される)、-C0-4アルキレン-C4-15Het(ここでHetは未置換であるか、または独立してハロゲン、-C1-4アルキル、-C3-6シクロアルキル、-OH、-O-C1-6アルキルまたは-O-C3-6シクロアルキルにより一、二、三、四または五置換される)、-SO2CH3または-SO2CF3であり、ここでアルキル、アルキレンまたはシクロアルキルの幾つかまたは全ての水素原子はフッ素により置換されてもよく、または
“N(R21)-R22”および“N(R21)-C(O)-R22”フラグメントのR21およびR22は、N、OおよびSの群からのヘテロ原子をさらに最大2個含有する環状のアミン、イミドまたはラクタムを形成するための窒素原子“N”または“N-C(O)”基と一緒になって形成される5-~8-員環を表わし、ここで環は未置換であるか、または独立して-C1-4アルキル、-C3-6シクロアルキル、-OH、-O-C1-6アルキルまたは-O-C3-6シクロアルキルによりーまたは二置換され、ここで形成した5-~8-員環、およびアルキルまたはシクロアルキルの幾つかまたは全ての水素原子はフッ素により置換されてもよい]の化合物、および/または式(8)の化合物の任意の立体異性体または互変異性体、および/または任意の比率のこれらの異性体の混合物、および/または式(8)の化合物の生理学的に適合する塩。
[4]に記載の化合物は、好ましくは、式(8):
[式中、Q1、Q2およびQ3は水素原子、-C1-6アルキル、-C3-6シクロアルキルであり、ここでアルキルまたはシクロアルキルの幾つかまたは全ての水素原子はフッ素により置換されてもよく、
R1、R2およびR3は、同一でまたは異なってそれぞれ独立して水素原子、-C1-6アルキル、-C3-6シクロアルキル、-O-C1-8アルキル、-O-C3-6シクロアルキル、-C0-4アルキレン-C(O)-N(R11)R12、-C0-4アルキレン-C(O)-OR11、-C0-4アルキレン-C(O)-R11、-C0-4アルキレン-N(R11)R12、-C0-4アルキレン-N(R11)-C(O)-R12、ハロゲン、-OH、-CN、-NO2、-SO2CH3、-SO2CF3、-SF5、-Si[-C1-4アルキル]3、-C1-6アルキレン-O-C1-6アルキル、-O-C1-6アルキレン-O-C1-6アルキル、-O-C0-4アルキレン-C6-14アリール(ここでアリールは未置換であるか、または独立して-O-C1-6アルキル、-C1-4アルキル、OH、-C3-6シクロアルキルまたは-O-C3-6シクロアルキルにより一、二または三置換される)、-O-C1-4アルキレン-C3-6シクロアルキル、-C4-15Het(ここでHetは未置換であるか、または独立して-C1-4アルキル、-C3-6シクロアルキル、OH、-O-C1-6アルキルまたは-O-C3-6シクロアルキルにより一、二または三置換される)、または-O-C1-6アルキレン-O-C1-6アルキレン-O-C1-6アルキルであり、ここでアルキル、アルキレンおよびシクロアルキルはそれぞれ未置換であるか、または独立して-C1-4アルキル、-C3-6シクロアルキル、OH、-O-C1-6アルキル、-C6-14アリール(ここでアリールは未置換であるか、または独立してハロゲン、-C1-4アルキル、-C3-6シクロアルキル、OH、-O-C1-6アルキルまたは-O-C3-6シクロアルキルにより一、二、三、四または五置換される)、-C4-15Het(ここで、Hetは未置換であるか、または独立してハロゲン、-C1-4アルキル、-C3-6シクロアルキル、OH、-O-C1-6アルキルまたは-O-C3-6シクロアルキルにより一、二、三、四または五置換される)、または-O-C3-6シクロアルキルにより一、二または三置換され、ここでアルキル、アルキレンまたはシクロアルキルの幾つかまたは全ての水素原子はフッ素により置換されてもよいが、但しR1、R2またはR3のうち少なくとも1個は水素原子ではなく、または
R1およびR2、またはR2およびR3は、それらがそれぞれ結合している環原子と一緒になって5-~8-員環を形成し、ここで環は炭素原子だけで構成されるか、またはこれらの原子のうち1、2または3個は窒素、酸素または硫黄原子により置き換えられ、ここで環は未置換であるか、または独立して-C1-4アルキル、-C3-6シクロアルキル、OH、-O-C1-6アルキルまたは-O-C3-6シクロアルキルにより一または二置換され、ここで形成した5-~8-員環、およびここでアルキルまたはシクロアルキルの幾つかまたは全ての水素原子はフッ素により置換されてもよく、
R11およびR12は、それぞれ独立して水素原子、-C1-6アルキル、-C3-6シクロアルキル、-C0-4アルキレン-C6-14アリール(ここでアリールは未置換であるか、または独立して-O-C1-6アルキル、-C1-4アルキル、-OH、-C3-6シクロアルキルまたは-O-C3-6シクロアルキルにより一、二または三置換される)、-C0-4アルキレン-C4-15Het(ここでHetは未置換であるか、または独立してハロゲン、C1-4アルキル、-C3-6シクロアルキル、OH,-O-C1-6アルキルまたは-O-C3-6シクロアルキルにより一、二、三、四または五置換される)、-SO2CH3または-SO2CF3であり、ここでアルキル、アルキレンまたはシクロアルキルの幾つかまたは全ての水素原子はフッ素により置換されてもよく、または
“N(R11)-R12”および“N(R11)-C(O)-R12”フラグメントのR11およびR12は、N、OおよびSの群からのヘテロ原子をさらに最大2個含有する環状のアミン、イミドまたはラクタムを形成する窒素原子“N”または“N-C(O)”基と一緒になって形成される5-~8-員環を表わし、ここで環は未置換であるか、または独立して-C1-4アルキル、-C3-6シクロアルキル、-OH、-O-C1-6アルキルまたは-O-C3-6シクロアルキルにより一または二置換され、形成した5-~8-員環およびここでアルキルまたはシクロアルキルの幾つかまたは全ての水素原子はフッ素により置換されてもよく、
R4、R5、R6、R7およびR8は同一でまたは異なってそれぞれ独立して水素原子、-C1-6アルキル、-C3-6シクロアルキル、-OH、-CN、-NO2、-O-C1-8アルキル、-O-C3-6シクロアルキル、-C0-4アルキレン-C(O)-N(R21)-R22、-SO2CH3、-SO2CF3、-C0-4アルキレン-C(O)-OR21、ハロゲン、-SF5、-C0-4アルキレン-C(O)-R21、C0-4アルキレン-N(R21)-R22、-C0-4アルキレン-N(R21)-C(O)-R22、-C1-6アルキレン-O-C1-6アルキル、-C0-6アルキレン-O-C1-6アルキレン-O-C1-6アルキル、-Si[-C1-4アルキル]3、-C0-6アルキレン-O-C1-4アルキレン-C3-6シクロアルキル、C0-6アルキレン-O-C0-6アルキレン-C6-14アリール(ここでアリールは未置換であるか、または独立して-O-C1-6アルキル、-C1-4アルキル、-OH、-C3-6シクロアルキルまたは-O-C3-6シクロアルキルにより一、二または三置換される)、または-C4-15Het(ここでHetは未置換であるか、または独立して-O-C1-6アルキル、-C1-4アルキル、-OH、-C3-6シクロアルキルまたは-O-C3-6シクロアルキルにより一、二または三置換される)であり、ここでアルキル、アルキレンおよびシクロアルキルはそれぞれ未置換であるか、または独立して-C1-4アルキル、-C3-6シクロアルキル、-OH、-O-C1-6アルキル、-C6-14アリール(ここでアリールは未置換であるか、または独立してハロゲン、-C1-4アルキル、-C3-6シクロアルキル、-OH、-O-C1-6アルキルまたは-O-C3-6シクロアルキルにより一、二、三、四または五置換される)、-C4-15Het(ここでHetは未置換であるか、または独立してハロゲン、-C1-4アルキル、-C3-6シクロアルキル、-OH、-O-C1-6アルキルまたは-O-C3-6シクロアルキルにより一、二、三、四または五置換される)、または-O-C3-6シクロアルキルにより一、二または三置換され、ここでアルキル、アルキレンまたはシクロアルキルの幾つかまたは全ての水素原子はフッ素により置換されてもよく、または
R4およびR5、R5およびR6、R6およびR7、またはR7およびR8は、それらがそれぞれ結合している環原子と一緒になって5-~8-員環を形成し、ここで環は炭素原子だけで構成されるか、またはこれらの原子のうち1、2または3個は窒素、酸素または硫黄原子により置き換えられ、ここで環は未置換であるか、または独立してC1-4アルキル、-C3-6シクロアルキル、-OH、-O-C1-6アルキルまたは-O-C3-6シクロアルキルにより一または二置換され、ここで形成した5-~8-員環、およびアルキルまたはシクロアルキルの幾つかまたは全ての水素原子はフッ素により置換されてもよく、
R21およびR22は、それぞれ独立して水素原子、-C1-6アルキル、-C3-6シクロアルキル、-C0-4アルキレン-C6-14アリール(ここでアリールは未置換であるか、または独立して-O-C1-6アルキル、-C1-4アルキル、-OH、-C3-6シクロアルキルまたは-O-C3-6シクロアルキルにより一、二または三置換される)、-C0-4アルキレン-C4-15Het(ここでHetは未置換であるか、または独立してハロゲン、-C1-4アルキル、-C3-6シクロアルキル、-OH、-O-C1-6アルキルまたは-O-C3-6シクロアルキルにより一、二、三、四または五置換される)、-SO2CH3または-SO2CF3であり、ここでアルキル、アルキレンまたはシクロアルキルの幾つかまたは全ての水素原子はフッ素により置換されてもよく、または
“N(R21)-R22”および“N(R21)-C(O)-R22”フラグメントのR21およびR22は、N、OおよびSの群からのヘテロ原子をさらに最大2個含有する環状のアミン、イミドまたはラクタムを形成する窒素原子“N”または“N-C(O)”基と一緒になって形成される5-~8-員環を表わし、ここで環は未置換であるか、または独立して-C1-4アルキル、-C3-6シクロアルキル、-OH、-O-C1-6アルキルまたは-O-C3-6シクロアルキルによりーまたは二置換され、ここで形成した5-~8-員環、およびアルキルまたはシクロアルキルの幾つかまたは全ての水素原子はフッ素により置換されてもよい]の化合物、および/または式(8)の化合物の任意の立体異性体または互変異性体、および/または任意の比率のこれらの異性体の混合物、および/または式(8)の化合物の生理学的に適合する塩である。
[5]US7488742に記載の化合物、すなわち、式(9):
[式中、Zは、R10が存在しないとき、-(CH2)n-;
である;またはR3が存在しないとき、
単一点線は、任意の二重結合を表わす;
二重点線は、任意の単給合を表わす;
nは、0~2である;
R1およびR2は、別個に、H、C1-6アルキル、フルオロ-C1-6アルキル、ジフルオロ-C1-6アルキル、トリフルオロ-C1-6アルキル、C3-7シクロアルキル、C2-6アルケニル、アリール-C1-6アルキル、アリ-ル-C2-6アルケニル、ヘテロアリール-C1-6アルキル、へテロアリール-C2-6アルケニル、ヒドロキシ-C1-6アルキル、C1-6アルコキシ-C1-6アルキル、アミノ-C1-6アルキル、アリールおよびチオ-C1-6アルキルからなる鮮から選択される。またはR1およびR2は、一緒になって、=O基を形成する;
R3は、H、ヒドロキシ、C1-6アルコキシ、-NR18R19、-SOR16、-SO2R17、-C(O)OR17、-C(O)NR18R19、-C1-6アルキル、ハロゲン、フルオロ-C1-6アルキル、ジフルオロ-C1-6アルキル、トリフルオロ-C1-6アルキル、C3-7シクロアルキル、C2-6アルケニル、アリール-C1-6アルキル、アリール-C2-6アルケニル、ヘテロアリール-C1-6アルキル、ヘテロアリール-C2-6アルケニル、ヒドロキシ-C1-6アルキル、アミノ-C1-6アルキル、アリール、チオ-C1-6アルキル、C1-6アルコキシ-C1-6アルキルまたはC1-6アルキルアミノ-C1-6アルキルである;
R34は、該任意の二重結合が存在しないとき、(H、R3)、(H、R43)、=Oまたは=NOR17である;R34は、該任意の二重結合が存在するとき、R44である;
Hetは、5個~14個の原子(これは、1個~13個の炭素原子と1個~4個のヘテロ原子とから構成され、このヘテロ原子は、別個に、N、OおよびSからなる群から選択される)の一環式、二環式または三環式の複素環式芳香族基であり、ここで、環窒素は、C1-4アルキル基と共に、N-オキシドまたは四級基を形成でき、ここで、Hetは、炭素原子環員により、Bに結合され、ここで、このHet基は、1個~4個の置換基Wで置換されており、この置換基は、別個に、以下からなる群から選択される:H;C1-6アルキル;フルオロ-C1-6アルキル;ジフルオロ-C1-6アルキル;トリフルオロ-C1-6アルキル;C3-7シクロアルキル、ヘテロシクロアルキル;置換ヘテロシクロアルキルであって、これは、C1-6アルキル、C2-6アルケニル、ヒドロキシ-C1-6アルキルまたは=O;C2-6アルケニルで置換されている;R21-アリール-C1-6アルキル;R21-アリール-C2-6アルケニル;R21-アリールオキシ;R21-アリール-NH-;ヘテロアリール-C1-6アルキル;ヘテロアリール-C2-6アルケニル;ヘテロアリールオキシ;ヘテロアリール-NH-;ヒドロキシ-C1-6アルキル,ジヒドロキシ-C1-6アルキル;アミノ-C1-6アルキル;C1-6アルキルアミノ-C1-6アルキル;ジ-(C1-6アルキル)アミノ-C1-6アルキル,チオ-C1-6アルキル;C1-6アルコキシ;C2-6アルケニルオキシ;ハロゲン;NR4R5;-CN;-OH;-COOR17;-COR16;-OSO2CF3;-CH2OCH2CF3;C1-6アルキルチオ;-C(O)NR4R5;-OCHR6-フェニル;フェノキシ-C1-6アルキル;-NHCOR16;-NHSO2R16;ビフェニル;-OC(R6)2COOR7;-C(R6)2C(O)NR4R5;C1-6アルコキシ;-C(=NOR17)R18;置換C1-6アルコキシであって、これは、C1-6アルキル、アミノ、-OH、COOR17、-NHCOOR17、CONR4R5、アリール、置換アリール(これは、1個~3個の置換基で置換されており、この置換基は、別個に、ハロゲン、-CF3、-C1-6アルキル、-C1-6アルコキシおよび-COOR17からなる群から選択される)、隣接炭素がメチレンジオキシ基と環を形成するアリール、C(O)NR4R5またはヘテロアリールで置換されている;R21-アリール;および隣接炭素がメチレンジオキシ基と環を形成するアリール;R41-ヘテロアリール;および隣接炭素がC3-5アルキレン基またはメチレンジオキシ基と環を形成するヘテロアリール;
R4およびR5は、別個に、H、C1-6アルキル、フェニル、ベンジルおよびC3-7シクロアルキルからなる群から選択されるか、またはR4およびR5は、一緒になって、-(CH2)4-、-(CH2)5-または-(CH2)2NR7-(CH2)2-であり、また、それらが結合する窒素と共に、環を形成する;
R6は、別個に、H、C1-6アルキル、フェニル、C3-7シクロアルキル、C3-7シクロアルキル-C1-6アルキル、C1-6アルコキシ-C1-6アルキル、ヒドロキシ-C1-6アルキルおよびアミノ-C1-6アルキルからなる群から選択される:
R7は、HまたはC1-6アルキルである;
R8、R10およびR11は、別個に、R1および-OR1からなる群から選択されるが、但し、前記任意の二重結合が存在するなら、R10は、存在しない;
R9は、H、OH、C1-6アルコキシ、ハロゲンまたはハロ-C1-6アルキルである;
Bは、-(CH2)n3-、-CH2-O-,-CH2S-、-CH2-NR6-、-C(O)NR6-、-NR6C(O)-、
シスまたはトランス-(CH2)n4CR12=CR12a(CH2)n5または-(CH2)n4C=C(CH2)n5であり、ここで、n3は、0~5であり、n4およびn5は、別個に、0~2であり、そしてR12およびR12aは、別個に、H,C1-6アルキルおよびハロゲンからなる群から選択される;
Xは、二重点線が単結合を表わすとき、-O-または-NR6-であり、またはXは、この結合が存在しないとき、H、-OHまたは-NHR20である;
Yは、二重点線が単結合を表わすとき、=O、=S、(H,H)、(H,OH)または(H,C1-6アルコキシ)であり、またはYは、この結合が存在しないとき、=O、=NOR17、(H,H)、(H,OH)、(H,SH)、(H,C1-6アルコキシ)または(H,-NHR45)である;
R15は、二重点線が単結合を表わすとき、存在しない;R15は、この結合が存在しないとき、H、C1-6アルキル、-NR18R19または-OR17である;または
Yは、
または
であり、そしてR15は、HまたはC1-6アルキルである;
R16は、C1-6低級アルキル、フェニルまたはベンジルである;
R17、R18およびR19は、別個に、H、C1-6アルキル、フェニル、ベンジルからなる群から選択される;
R20は、H、C1-6アルキル、フェニル、ベンジル、-C(O)R6または-SO2R6である,
R21は、1個~3個の置換基であり、これは、別個に、水素、CN、-CF3、-OCF3、ハロゲン、-NO2、C1-6アルキル、C1-6アルコキシ、C1-6アルキルアミノ、ジ(C1-6アルキル)アミノ、アミノ-C1-6アルキル、C1-6アルキルアミノ-C1-6アルキル、ジ(C1-6アルキル)アミノ-C1-6アルキル、ヒドロキシ-C1-6アルキル、COOR17、-COR17、-NHCOR16、-NHSO2R16、-NHSO2CH2CF3、ヘテロアリールまたはC(=NOR17)R18からなる群から選択される:
R22およびR23は、別個に、水素、R24-C1-10アルキル、R24-C2-10アルケニル、R24-C2-10アルキニル、R27-ヘテロ-シクロアルキル、R25-アリール、R25-アリール-C1-6アルキル、R29-C3-7シクロアルキルアミノ、R29-C3-7シクロアルケニル、-OH、-OC(O)R30、-C(O)OR30、-C(O)R30、-C(O)NR30R31、-NR30R31、NR30C(O)R31、NR30C(O)NR31R32NHSO2R30、OC(O)NR30R31、R24-C1-10アルコキシ、R24-C2-10アルケニルオキシ、R24-C2-10アルキニルオキシ、R27-ヘテロシクロアルキルオキシ、R29-C3-7シクロアルキルオキシ、R29-C3-7シクロアルケニルオキシ、R29-C3-7シクロアルキル-NH-、-NHSO2NHR16および-CH(=NOR17)からなる群から選択される;
またはR22およびR10は、それらが結合する炭素と一緒になって、またはR23およびR11は、それらが結合する炭素と一緒になって、別個に、3個~10個の原子を有するR42-置換炭素環、または4個~10個の原子を有するR42-置換複素環を形成し、ここで、1個~3個の環員は、別個に、-O-、-NH-および-SO0~2-からなる群から選択されるが、但し、R22およびR10が環を形成するとき、任意の二重結合は、存在しない;
R24は、1個、2個または3個の置換基であり、この置換基は、別個に、水素、ハロゲン、C1-6アルコキシ、R35-アリール、C1-10アルキル-C(O)-、C2-10アルケニル-C(O)-、C2-10アルキニル-C(O)-、ヘテロシクロアルキル、R26-C3-7シクロアルキル、R26-C3-7シクロアルケニル、-OC(O)R30、-C(O)OR30、-C(O)R30、-C(O)NR30R31、-NR30R31、-NR30C(O)R31、-NR3-C(O)NR31R32、-NHSO2R30、-OC(O)NR30R31、R24-C2-10アルケニルオキシ、R24-C2-10アルキニルオキシ、R27-ヘテロシクロアルキルオキシ、R29-C3-7シクロアルキルオキシ、R29-C3-7シクロアルケニルオキシ、R29-C3-7シクロアルキル-NH-、-NHSO2NHR16および-CH(=NOR17)からなる群から選択される;
R25は、1個、2個または3個の置換基であり、この置換基は、別個に、水素、ヘテロシクロアルキル、ハロゲン、-COOR36、-CN、-C(O)NR37R、-NR39C(O)R-OR36、C3-7シクロアルキル、C3-7シクロアルキル-C1-6アルキル、C1-6アルキル-C3-7シクロアルキル、C1-6アルキル、ハロ-C1-6アルキル-C3-7シクロアルキル-C1-6アルキル、ヒドロキシ-C1-6アルキル、C1-6アルコキシ-C1-6アルキルおよびR41-ヘテロアリールからなる群から選択される;または隣接環上の2個のR25基は、縮合メチレンジオキシ基を形成する;
R26は、1個、2個または3個の置換基であり、この置換基は、別個に、水素、ハロゲンおよびC1-6アルコキシからなる群から選択される;
R27は、1個、2個または3個の置換基であり、この置換基は、別個に、水素、R28-C1-10アルキル、R28-C2-10アルケニル、R28-C2-10アルキニルからなる群から選択される;
R28は、水素、-OHまたはC1-6アルコキシである;
R29は、1個、2個または3個の置換基であり、この置換基は、別個に、水素、C1-6アルキル、-OH、C1-6アルコキシおよびハロゲンからなる群から選択される;
R30、R31およびR32は、別個に、水素、C1-10アルキル、C1-6アルコキシ-C1-10アルキル、R25-アリール-C1-6アルキル、R33-C3-7シクロアルキル、R34-C3-7シクロアルキル-C1-6アルキル、R25-アリール、へテロシクロアルキル、ヘテロアリール、ヘテロシクロアルキル-C1-6アルキルおよびヘテロアリール-C1-6アルキルからなる群から選択される;
R33は、水素、C1-6アルキル、OH-C1-6アルキルまたはC1-6アルコキシである;
R35は、1個~4個の置換基であり、この置換基は、別個に、水素、C1-6アルキル、-OH、ハロゲン、-CN、C1-6アルコキシ、トリハロ-C1-6アルコキシ、C1-6アルキルアミノ、ジ(C1-6アルキル)アミノ、OCF3、OH-C1-6アルキル、CHO、C(O)-C1-6アルキルアミノ、-C(O)ジ(C1-6アルキル)アミノ、-NH2、-NHC(O)-C1-6アルキルおよびN(C1-6アルキル)-C(O)-C1-6アルキルからなる群から選択される;
R36は、水素、C1-6アルキル、ハロ-C1-6アルキル、ジハロ-C1-6アルキルまたはトリフルオロ-C1-6アルキルである;
R37およびR38は、別個に、水素、C1-6アルキル、アリール-C1-6アルキル、フェニルおよびC3-16シクロアルキルからなる群から選択されるか、またはR37およびR38は、一緒になって、-(CH2)4-、-(CH2)5-または-(CH2)2-NR39-(CH2)2-であり、それらが結合する窒素と共に、環を形成する;
R39およびR40は、別個に、水素、C1-6アルキル、アリール-C1-6アルキル、フェニルおよびC3-15シクロアルキルからなる群から選択されるか、または-NR39C(O)R40基内のR39およびR40は、それらが結合する炭素原子および窒素原子と一緒になって、5個~8個の環員を有する環状ラクタムを形成する;
R41は、1個~4個の置換基であり、この置換基は、別個に、水素、C1-6アルキル、C1-6アルコキシ、C1-6アルキルアミノ、ジ(C1-6アルキル)アミノ、-OCF3、OH-C1-6アルキル、-CHOおよびフェニルからなる群から選択される;
R42は、1個~3個の置換基であり、この置換基は、別個に、水素、-OH、C1-6アルキルおよびC1-6アルコキシからなる群から選択される;
R43は、-NR30R31、-NR30C(O)R31、-NR30C(O)NR31R32、-NHSO2R30または-NHCOOR17である;
R44は、H、C1-6アルコキシ、-SOR16、-SO2R17、-C(O)OR17、-C(O)NR18R19、C1-6アルキル、ハロゲン、フルオロ-C1-6アルキル、ジフルオロ-C1-6アルキル、トリフルオロ-C1-6アルキル、C3-7シクロアルキル、C2-6アルケニル、アリール-C1-6アルキル、アリール-C2-6アルケニル、ヘテロアリール-C1-6アルキル、ヘテロアリール-C2-6アルケニル、ヒドロキシ-C1-6アルキル、アミノ-C1-6アルキル、アリール、チオ-C1-6アルキル、C1-6アルコキシ-C1-6アルキルまたはC1-6アルキルアミノ-C1-6アルキルである;そして
R45は、H、C1-6アルキル、-COOR16または-SO2である。]により表わされる化合物、またはそれらの薬学的に受容可能な異性体、塩、溶媒和物または多形。
[5]に記載の化合物は、好ましくは、下記に示す化合物群から選択される化合物、またはそれらの薬学的に許容可能なジアステレオマーもしくは回転異性体である。
[式中、Zは、R10が存在しないとき、-(CH2)n-;
である;またはR3が存在しないとき、
単一点線は、任意の二重結合を表わす;
二重点線は、任意の単給合を表わす;
nは、0~2である;
R1およびR2は、別個に、H、C1-6アルキル、フルオロ-C1-6アルキル、ジフルオロ-C1-6アルキル、トリフルオロ-C1-6アルキル、C3-7シクロアルキル、C2-6アルケニル、アリール-C1-6アルキル、アリ-ル-C2-6アルケニル、ヘテロアリール-C1-6アルキル、へテロアリール-C2-6アルケニル、ヒドロキシ-C1-6アルキル、C1-6アルコキシ-C1-6アルキル、アミノ-C1-6アルキル、アリールおよびチオ-C1-6アルキルからなる鮮から選択される。またはR1およびR2は、一緒になって、=O基を形成する;
R3は、H、ヒドロキシ、C1-6アルコキシ、-NR18R19、-SOR16、-SO2R17、-C(O)OR17、-C(O)NR18R19、-C1-6アルキル、ハロゲン、フルオロ-C1-6アルキル、ジフルオロ-C1-6アルキル、トリフルオロ-C1-6アルキル、C3-7シクロアルキル、C2-6アルケニル、アリール-C1-6アルキル、アリール-C2-6アルケニル、ヘテロアリール-C1-6アルキル、ヘテロアリール-C2-6アルケニル、ヒドロキシ-C1-6アルキル、アミノ-C1-6アルキル、アリール、チオ-C1-6アルキル、C1-6アルコキシ-C1-6アルキルまたはC1-6アルキルアミノ-C1-6アルキルである;
R34は、該任意の二重結合が存在しないとき、(H、R3)、(H、R43)、=Oまたは=NOR17である;R34は、該任意の二重結合が存在するとき、R44である;
Hetは、5個~14個の原子(これは、1個~13個の炭素原子と1個~4個のヘテロ原子とから構成され、このヘテロ原子は、別個に、N、OおよびSからなる群から選択される)の一環式、二環式または三環式の複素環式芳香族基であり、ここで、環窒素は、C1-4アルキル基と共に、N-オキシドまたは四級基を形成でき、ここで、Hetは、炭素原子環員により、Bに結合され、ここで、このHet基は、1個~4個の置換基Wで置換されており、この置換基は、別個に、以下からなる群から選択される:H;C1-6アルキル;フルオロ-C1-6アルキル;ジフルオロ-C1-6アルキル;トリフルオロ-C1-6アルキル;C3-7シクロアルキル、ヘテロシクロアルキル;置換ヘテロシクロアルキルであって、これは、C1-6アルキル、C2-6アルケニル、ヒドロキシ-C1-6アルキルまたは=O;C2-6アルケニルで置換されている;R21-アリール-C1-6アルキル;R21-アリール-C2-6アルケニル;R21-アリールオキシ;R21-アリール-NH-;ヘテロアリール-C1-6アルキル;ヘテロアリール-C2-6アルケニル;ヘテロアリールオキシ;ヘテロアリール-NH-;ヒドロキシ-C1-6アルキル,ジヒドロキシ-C1-6アルキル;アミノ-C1-6アルキル;C1-6アルキルアミノ-C1-6アルキル;ジ-(C1-6アルキル)アミノ-C1-6アルキル,チオ-C1-6アルキル;C1-6アルコキシ;C2-6アルケニルオキシ;ハロゲン;NR4R5;-CN;-OH;-COOR17;-COR16;-OSO2CF3;-CH2OCH2CF3;C1-6アルキルチオ;-C(O)NR4R5;-OCHR6-フェニル;フェノキシ-C1-6アルキル;-NHCOR16;-NHSO2R16;ビフェニル;-OC(R6)2COOR7;-C(R6)2C(O)NR4R5;C1-6アルコキシ;-C(=NOR17)R18;置換C1-6アルコキシであって、これは、C1-6アルキル、アミノ、-OH、COOR17、-NHCOOR17、CONR4R5、アリール、置換アリール(これは、1個~3個の置換基で置換されており、この置換基は、別個に、ハロゲン、-CF3、-C1-6アルキル、-C1-6アルコキシおよび-COOR17からなる群から選択される)、隣接炭素がメチレンジオキシ基と環を形成するアリール、C(O)NR4R5またはヘテロアリールで置換されている;R21-アリール;および隣接炭素がメチレンジオキシ基と環を形成するアリール;R41-ヘテロアリール;および隣接炭素がC3-5アルキレン基またはメチレンジオキシ基と環を形成するヘテロアリール;
R4およびR5は、別個に、H、C1-6アルキル、フェニル、ベンジルおよびC3-7シクロアルキルからなる群から選択されるか、またはR4およびR5は、一緒になって、-(CH2)4-、-(CH2)5-または-(CH2)2NR7-(CH2)2-であり、また、それらが結合する窒素と共に、環を形成する;
R6は、別個に、H、C1-6アルキル、フェニル、C3-7シクロアルキル、C3-7シクロアルキル-C1-6アルキル、C1-6アルコキシ-C1-6アルキル、ヒドロキシ-C1-6アルキルおよびアミノ-C1-6アルキルからなる群から選択される:
R7は、HまたはC1-6アルキルである;
R8、R10およびR11は、別個に、R1および-OR1からなる群から選択されるが、但し、前記任意の二重結合が存在するなら、R10は、存在しない;
R9は、H、OH、C1-6アルコキシ、ハロゲンまたはハロ-C1-6アルキルである;
Bは、-(CH2)n3-、-CH2-O-,-CH2S-、-CH2-NR6-、-C(O)NR6-、-NR6C(O)-、
シスまたはトランス-(CH2)n4CR12=CR12a(CH2)n5または-(CH2)n4C=C(CH2)n5であり、ここで、n3は、0~5であり、n4およびn5は、別個に、0~2であり、そしてR12およびR12aは、別個に、H,C1-6アルキルおよびハロゲンからなる群から選択される;
Xは、二重点線が単結合を表わすとき、-O-または-NR6-であり、またはXは、この結合が存在しないとき、H、-OHまたは-NHR20である;
Yは、二重点線が単結合を表わすとき、=O、=S、(H,H)、(H,OH)または(H,C1-6アルコキシ)であり、またはYは、この結合が存在しないとき、=O、=NOR17、(H,H)、(H,OH)、(H,SH)、(H,C1-6アルコキシ)または(H,-NHR45)である;
R15は、二重点線が単結合を表わすとき、存在しない;R15は、この結合が存在しないとき、H、C1-6アルキル、-NR18R19または-OR17である;または
Yは、
または
であり、そしてR15は、HまたはC1-6アルキルである;
R16は、C1-6低級アルキル、フェニルまたはベンジルである;
R17、R18およびR19は、別個に、H、C1-6アルキル、フェニル、ベンジルからなる群から選択される;
R20は、H、C1-6アルキル、フェニル、ベンジル、-C(O)R6または-SO2R6である,
R21は、1個~3個の置換基であり、これは、別個に、水素、CN、-CF3、-OCF3、ハロゲン、-NO2、C1-6アルキル、C1-6アルコキシ、C1-6アルキルアミノ、ジ(C1-6アルキル)アミノ、アミノ-C1-6アルキル、C1-6アルキルアミノ-C1-6アルキル、ジ(C1-6アルキル)アミノ-C1-6アルキル、ヒドロキシ-C1-6アルキル、COOR17、-COR17、-NHCOR16、-NHSO2R16、-NHSO2CH2CF3、ヘテロアリールまたはC(=NOR17)R18からなる群から選択される:
R22およびR23は、別個に、水素、R24-C1-10アルキル、R24-C2-10アルケニル、R24-C2-10アルキニル、R27-ヘテロ-シクロアルキル、R25-アリール、R25-アリール-C1-6アルキル、R29-C3-7シクロアルキルアミノ、R29-C3-7シクロアルケニル、-OH、-OC(O)R30、-C(O)OR30、-C(O)R30、-C(O)NR30R31、-NR30R31、NR30C(O)R31、NR30C(O)NR31R32NHSO2R30、OC(O)NR30R31、R24-C1-10アルコキシ、R24-C2-10アルケニルオキシ、R24-C2-10アルキニルオキシ、R27-ヘテロシクロアルキルオキシ、R29-C3-7シクロアルキルオキシ、R29-C3-7シクロアルケニルオキシ、R29-C3-7シクロアルキル-NH-、-NHSO2NHR16および-CH(=NOR17)からなる群から選択される;
またはR22およびR10は、それらが結合する炭素と一緒になって、またはR23およびR11は、それらが結合する炭素と一緒になって、別個に、3個~10個の原子を有するR42-置換炭素環、または4個~10個の原子を有するR42-置換複素環を形成し、ここで、1個~3個の環員は、別個に、-O-、-NH-および-SO0~2-からなる群から選択されるが、但し、R22およびR10が環を形成するとき、任意の二重結合は、存在しない;
R24は、1個、2個または3個の置換基であり、この置換基は、別個に、水素、ハロゲン、C1-6アルコキシ、R35-アリール、C1-10アルキル-C(O)-、C2-10アルケニル-C(O)-、C2-10アルキニル-C(O)-、ヘテロシクロアルキル、R26-C3-7シクロアルキル、R26-C3-7シクロアルケニル、-OC(O)R30、-C(O)OR30、-C(O)R30、-C(O)NR30R31、-NR30R31、-NR30C(O)R31、-NR3-C(O)NR31R32、-NHSO2R30、-OC(O)NR30R31、R24-C2-10アルケニルオキシ、R24-C2-10アルキニルオキシ、R27-ヘテロシクロアルキルオキシ、R29-C3-7シクロアルキルオキシ、R29-C3-7シクロアルケニルオキシ、R29-C3-7シクロアルキル-NH-、-NHSO2NHR16および-CH(=NOR17)からなる群から選択される;
R25は、1個、2個または3個の置換基であり、この置換基は、別個に、水素、ヘテロシクロアルキル、ハロゲン、-COOR36、-CN、-C(O)NR37R、-NR39C(O)R-OR36、C3-7シクロアルキル、C3-7シクロアルキル-C1-6アルキル、C1-6アルキル-C3-7シクロアルキル、C1-6アルキル、ハロ-C1-6アルキル-C3-7シクロアルキル-C1-6アルキル、ヒドロキシ-C1-6アルキル、C1-6アルコキシ-C1-6アルキルおよびR41-ヘテロアリールからなる群から選択される;または隣接環上の2個のR25基は、縮合メチレンジオキシ基を形成する;
R26は、1個、2個または3個の置換基であり、この置換基は、別個に、水素、ハロゲンおよびC1-6アルコキシからなる群から選択される;
R27は、1個、2個または3個の置換基であり、この置換基は、別個に、水素、R28-C1-10アルキル、R28-C2-10アルケニル、R28-C2-10アルキニルからなる群から選択される;
R28は、水素、-OHまたはC1-6アルコキシである;
R29は、1個、2個または3個の置換基であり、この置換基は、別個に、水素、C1-6アルキル、-OH、C1-6アルコキシおよびハロゲンからなる群から選択される;
R30、R31およびR32は、別個に、水素、C1-10アルキル、C1-6アルコキシ-C1-10アルキル、R25-アリール-C1-6アルキル、R33-C3-7シクロアルキル、R34-C3-7シクロアルキル-C1-6アルキル、R25-アリール、へテロシクロアルキル、ヘテロアリール、ヘテロシクロアルキル-C1-6アルキルおよびヘテロアリール-C1-6アルキルからなる群から選択される;
R33は、水素、C1-6アルキル、OH-C1-6アルキルまたはC1-6アルコキシである;
R35は、1個~4個の置換基であり、この置換基は、別個に、水素、C1-6アルキル、-OH、ハロゲン、-CN、C1-6アルコキシ、トリハロ-C1-6アルコキシ、C1-6アルキルアミノ、ジ(C1-6アルキル)アミノ、OCF3、OH-C1-6アルキル、CHO、C(O)-C1-6アルキルアミノ、-C(O)ジ(C1-6アルキル)アミノ、-NH2、-NHC(O)-C1-6アルキルおよびN(C1-6アルキル)-C(O)-C1-6アルキルからなる群から選択される;
R36は、水素、C1-6アルキル、ハロ-C1-6アルキル、ジハロ-C1-6アルキルまたはトリフルオロ-C1-6アルキルである;
R37およびR38は、別個に、水素、C1-6アルキル、アリール-C1-6アルキル、フェニルおよびC3-16シクロアルキルからなる群から選択されるか、またはR37およびR38は、一緒になって、-(CH2)4-、-(CH2)5-または-(CH2)2-NR39-(CH2)2-であり、それらが結合する窒素と共に、環を形成する;
R39およびR40は、別個に、水素、C1-6アルキル、アリール-C1-6アルキル、フェニルおよびC3-15シクロアルキルからなる群から選択されるか、または-NR39C(O)R40基内のR39およびR40は、それらが結合する炭素原子および窒素原子と一緒になって、5個~8個の環員を有する環状ラクタムを形成する;
R41は、1個~4個の置換基であり、この置換基は、別個に、水素、C1-6アルキル、C1-6アルコキシ、C1-6アルキルアミノ、ジ(C1-6アルキル)アミノ、-OCF3、OH-C1-6アルキル、-CHOおよびフェニルからなる群から選択される;
R42は、1個~3個の置換基であり、この置換基は、別個に、水素、-OH、C1-6アルキルおよびC1-6アルコキシからなる群から選択される;
R43は、-NR30R31、-NR30C(O)R31、-NR30C(O)NR31R32、-NHSO2R30または-NHCOOR17である;
R44は、H、C1-6アルコキシ、-SOR16、-SO2R17、-C(O)OR17、-C(O)NR18R19、C1-6アルキル、ハロゲン、フルオロ-C1-6アルキル、ジフルオロ-C1-6アルキル、トリフルオロ-C1-6アルキル、C3-7シクロアルキル、C2-6アルケニル、アリール-C1-6アルキル、アリール-C2-6アルケニル、ヘテロアリール-C1-6アルキル、ヘテロアリール-C2-6アルケニル、ヒドロキシ-C1-6アルキル、アミノ-C1-6アルキル、アリール、チオ-C1-6アルキル、C1-6アルコキシ-C1-6アルキルまたはC1-6アルキルアミノ-C1-6アルキルである;そして
R45は、H、C1-6アルキル、-COOR16または-SO2である。]により表わされる化合物、またはそれらの薬学的に受容可能な異性体、塩、溶媒和物または多形。
[5]に記載の化合物は、好ましくは、下記に示す化合物群から選択される化合物、またはそれらの薬学的に許容可能なジアステレオマーもしくは回転異性体である。
[7]WO2008/042422に記載の化合物、すなわち、式(10):
[式中、
は、原子価要件により許容されるとき、二重結合又は単結合を表すが、但し、R3が結合する炭素が二重結合の一部である場合には、R3は存在せず、
Bは、-(CH2)n3-、-(CH2)-O-、-(CH2)S-、-(CH2)-NR6-、-C(O)-NR6-、-NR6C(O)-
-(CH2)n4-CR12=CR12a-(CH2)n5-又は-(CH2)n4-C≡C-(CH2)n5-であり、ここで、n3は0~5であり、n4及びn5は、独立に0~2であり、R12及びR12aは、水素、アルキル及びハロゲンからなる群から独立に選択され、
A、E、G、M及びJは、-N(R54)-、-(CR1R2)-、-O-、
-S-、-S(O)-、-SO2-及び
からなる群から独立に選択され、
Xは、
-CH-又は-N-であるが、但し、A、G、M及びXの選択は、酸素又は硫黄原子の隣接した状態をもたらさず、
各nは、0、1又は2であり、但し、すべてのn変数は0であり得ず、
Hetは、1~13個の炭素原子並びにN、O及びSからなる群から独立に選択される1~4個のヘテロ原子を含む5~14個の原子の単環式、二環式又は三環式複素芳香族基であるが、但し、複素芳香族基に隣接した酸素又は硫黄原子は存在せず、ここで、環窒素は、N-オキシド、又はアルキル基と共に第四級基を形成することができ、Hetは、Hetの炭素原子環厚生員によってBに結合しており、またHet基は、1~4つの部分Wにより置換されており、各Wが、水素;アルキル;フルオロアルキル;ジフルオロアルキル;トリフルオロアルキル;シクロアルキル;ヘテロシクロアルキル;アルキル又はアルケニルにより置換されたヘテロシクロアルキル;アルケニル;R21-アリール;R21-ヘテロアリール;R21-アリールアルキル;R21-アリール-アルケニル;ヘテロアリール;ヘテロアリールアルキル;ヘテロアリールアルケニル:ヒドロキシアルキル;ジヒドロキシアルキル;アミノアルキル;アルキルアミノアルキル,ジ-(アルキル)-アミノアルキル;チオアルキル;アルコキシ;アルケニルオキシ;ハロゲン;-NR4R5;-CN;-OH;-C(O)OR17;-COR16;-OSO2CF3;-CH2OCH2CF3;アルキルチオ;-C(O)NR4R5;-OCHR6-フェニル;フェノキシアルキル;-NHCOR16;-NHSO2R16;ビフェニル;-OC(R6)2COOR7;-OC(R6)2C(O)NR4R5;アルキル、アミノ又は-NHC(O)OR17により置換されたアルコキシ;アリール:或いは-NR1R2、-NR1COR2、-NR1CONR1R2、-NR1C(O)OR2、-NR1SO2R2、-NR1SO2NR1R2、-C(O)OH、-C(O)OR1、-CONR1R2、ヒドロキシアルキル、アルキル又は-SO2-アルキルにより場合によって置換されたアルキルC(O)NR4R5及びヘテロアリールからなる群から独立に選択され、Het環上の隣接した炭素は、メチレンジオキシ基を有する環を場合によって形成することができ、
R1及びR2は、水素、アルキル、フルオロアルキル、ジフルオロアルキル、トリフルオロアルキル、シクロアルキル、アルケニル、アルコキシ、アリールアルキル、アリールアルケニル、ヘテロアリールアルキル、ヘテロアリールアルケニル、ヒドロキシ、ヒドロキシアルキル、アルコキシアルキル、アミノアルキル、アリール及びチオアルキルからなる群から独立に選択されるか、或いは
R1及びR2は、窒素に結合しているときに、-O-、-N-、-S-、-S(O)-、-SO2-及び
から選択される1~3個のヘテロ原子を有する4~10個の原子の単環式又は二環式複素環を一緒になって形成しており、但し、S及びO原子は、互いに隣接しておらず、前期複素環は、非置換であるか、又はアルキル、ハロゲン、ヒドロキシ、アルコキシ、アリールオキシ及びアリールアルコキシから選択される1つ若しくは複数の基で置換されており、
R3は、アラルコキシ、アリールオキシ、ヘテロアリール、ヘテロアラルコキシ、-CN、-NO2、-O-アリール、-O-ヘテロアリール、N3、-C(O)NR18R19、-C(=NR1)NR1R2、-N(R1)C(=NR1)NR1R2、-N=C(R1)NR1R2、-NR18C(O)R19、-NR18C(O)NR18R19、-NR18C(O)OR19、-NR18SO2R19、-NR18SO2NR18R19、-NHNR18R19、-NR18NR18R19又は-アルキル-NR18R19であり、
R6は、水素、アルキル又はフェニルであり、
R7は、水素又はアルキルであり、
各R13は、水素、アルキル、シクロアルキル、ハロアルキル、ハロゲン、-(CH2)n6NHC(O)OR16b、-(CH2)n6NHC(O)R16b、-(CH2)n6NHC(O)NR4R5、-(CH2)n6NHSO2R16、-(CH2)n6NHSO2NR4R5及び-(CH2)R6C(O)NR28R29から独立に選択され、
n6は、0~4であり、
各R14は、水素、アルキル、-OH、アルコキシ、アリールアルキル、ヘテロアリール、ヘテロアリールアルキル、ヘテロシクリル、ヘテロシクリルアルキル、ハロゲン、ハロアルキル、-(CH2)n6NHC(O)OR16b、-(CH2)n6NHC(O)R16b、-(CH2)n6NHC(O)NR4R5、-(CH2)n6NHSO2R16、-(CH2)n6NHSO2NR4R5及び-(CH2)n6C(O)NR28R29からなる群から独立に選択され、ここで、n6は0~4であり、R4及びR5は、水素、アルキル、フェニル、ベンジル及びシクロアルキルからなる群から独立に選択されるか、又はR4及びR5は、それらが結合している窒素と一緒になって環を形成することができ、R4及びR5により形成された前記環は、=O、OH、OR1若しくは-C(O)OHにより場合によって置換されており、或いは
R13及びR14は、一緒になって3~6個の環原子のスピロ環又は複素スピロ環を形成しており、前記複素スピロ環、2~5個の炭素環原子並びにO、S及びNからなる群から選択される1個又は2個のヘテロ環原子を含み、
R16は、水素、アルキル、フェニル及びベンジルからなる群から独立に選択され、
R16aは、水素、アルキル、フェニル及びベンジルからなる群から独立に選択され、
R16bは、水素、アルコキシ、アルキル、アルコキシアルキル、R22-O-C(O)-アルキル-、シクロアルキル、R21-アリール、R21-アリールアルキル、ハロアルキル、アルケニル、ハロ置換アルケニル、アルキニル、ハロ置換アルキニル、R21-ヘテロアリール、(R21-ヘテロアリール)-アルキル-、(R21-へテロシクロアルキル)-アルキル、R28R29N-アルキル-、R28R29N-C(O)-アルキル、R28R29N-C(O)-O-アルキル-、R28OC(O)N(R29)アルキル、R28SO2N(R29)アルキル、R28R29N-C(O)N(R29)アルキル、R28R29N-SO2N(R29)-アルキル、R28-C(O)N(R29)アルキル、R28R29N-SO2-アルキル、HOSO2-アルキル、(OH)2P(O)2-アルキル-、R28-S-アルキル、R28-SO2-アルキル-又はヒドロキシアルキルであり、
R17は、水素、アルキル、フェニル及びベンジルからなる群から独立に選択され、
R18及びR19は、アルキル、アリール、R21-アリール、ヘテロアリール、シクロアルキル、ヘテロシクリル、アルコキシアルキル、ハロアルコキシアルキル、アリールオキシアルキル、アリールアルコキシアルキル、ヘテロアリールオキシアルキル、ヘテロアリールアルコキシアルキル、シクロアルキルオキシアルキル、(ヘテロシクリル)アルキルオキシアルキル、アルコキシアルキルオキシアルキル、-SO2-アルキル、-C(NH)NR1R2又はシクロアルキル、ハロゲン、ヒドロキシ、NR1R2NR1C(O)R2、-NR1C(O)NR1R2、-NR1C(O)OR2、-NR1SO2R2、NR1SO2NR1R2、-C(O)OH、-C(O)OR1及び-C(O)NR1R2から選択される1つ又は2つの部分で置換されたアルキルであるか、或いは
R18及びR19は、それらが結合している窒素原子と一緒になって、-O-、-N-、-S-、-S(O)-、-SO2-及び
から選択される1~3個のヘテロ環原子を有する4~10個の原子の単環式又は二環式複素環を形成しており、但し、S及びO原子は、互いに隣接しておらず、環は、非置換であるか、又はアルキル、ハロゲン、ヒドロキシ、アルコキシ、アリールオキシ、アリールアルコキシ、-NR1R2、-NR1COR2、-NR1C(O)NR1R2、-NR1C(O)OR2、-NR1SO2R2、-NR1SO2NR1R2、-C(O)OR1、-C(O)NR1R2及び-NR1R2、-NR1C(O)R2、-NR1S(O)NR1R2、-NR1C(O)OR2、-NR1SO2R2、-NR1SO2NR1R2、-C(O)OR1又は-CONR1R2で置換されたアルキルから選択される1つ又は複数の基で置換されており、
R21は、1~3つの部分であり、各R21は、水素、-CN、-CF3、-OCF3、ハロゲン、-NO2、アルキル、-OH、アルコキシ、アルキルアミノ-、ジ-(アルキル)アミノ、NR25R26アルキル-、ヒドロキシアルキル、-C(O)OR17、-COR17、-NHCOR16、-NHS(O)2R16、-C(NH)-NH2、-NHSO2CH2CF3、-C(O)NR25R26、-NR25-C(O)-NR25R26、-S(O)R13、-SO2R13、-SR13、-SO2NR4R5及び-CONR4R5からなる群から独立に選択されるか、又は2つの隣接したR21部分は、メチレンジオキシ基を形成することができ、
R22は、水素、アルキル、フェニル、ベンジル、-COR16、-CONR18R19、-COR23、-S(O)R31、-SO2R31、-SO2NR24R25又は-C(O)OR27であり、
R23は、
であり、ここで、R35及びR36は、水素、アルキル及びR37置換アルキルからなる群から独立に選択され、R37は、HO-、HS-、CH2S-、-NH2、フェニル、p-ヒドロキシフェニル及びインドリルからなる群から選択され、或いはR23は、アルキル;ハロアルキル;アルケニル;ハロアルケニル;アルキニル;シクロアルキル;シクロアルキルアルキル,アルコキシアルキル、アルキル、ハロゲン、ヒドロキシ、アルコキシ、アリ-ルオキシ、アリールアルコキシ、-NR1R2、-NR1C(O)R2、-NR1C(O)NR1R2、-NR1C(O)OR2、-NR1SO2R2、-NR1SO2NR1R2、-C(O)OH、-C(O)OR1及び-CONR1R2からなる群から選択される1~3つの置換基により置換されたシクロアルキル;アリール;アラルキル;ヘテロアリール;ヘテロシクロアルキル;-NR1R2、-NR1COR2、-NR1CONR1R2、-NR1C(O)OR2、-NR1SO2R2、-NR1SO2NR1R2、-C(O)OH、-C(O)OR1、-CONR1R2及び-SO3Hで置換されたアルキルであり、
R24、R25及びR26は、水素、アルキル、ハロアルキル、アルケニル、アルキニル、アリール、アラルキル、シクロアルキル、ハロシクロアルキル、アルコキシアルキル、ヒドロキシ及びアルコキシからなる群から独立に選択され、
R27は、1~3つの部分であり、各R27は、水素、アルキル及びシクロアルキルからなる群から選択され、R27は、-OH、-C(O)OH、ハロゲン及びアルコキシで場合によって置換されており、
R28及びR29は、水素、アルキル、アルコキシ、アリールアルキル、ヘテロアリール、ヘテロアリールアルキル、ヒドロキシアルキル、アルコキシアルキル、ヘテロシクリル、ヘテロシクリルアルキル及びハロアルキルからなる群から独立に選択されるか、或いは
R28及びR29は、一緒になって3~6個の環原子を有するスピロ環又は複素スピロ環を形成しており、
R32及びR33は、水素、R34-アルキル、R34-アルケニル、R34-アルキニル、R40-ヘテロシクロアルキル、R38-アリール、R38-アラルキル、R42-シクロアルキル、R42-シクロアルケニル、-OH、-OC(O)R43、-C(O)OR43、-C(O)R43、-C(O)NR43R44、-NR43R44、-NR43C(O)R44、-NR43C(O)NR44R45、-NHSO2R43、-OC(O)NR43R44、R37-アルコキシ、R37-アルケニルオキシ、R37-アルキニルオキシ、R40-ヘテロシクロアルキルオキシ、R42-シクロアルキルオキシ、R42-シクロアルケニルオキシ、R42-シクロアルキル-NH-、-NHSO2NHR16及び-CH(=NOR17)からなる群から独立に選択されるか、或いは
R32及びR33は、結合して下の環構造Q
を形成することができ、
ここで、R9は、水素、OH、アルコキシ、ハロゲン又はハロアルキルであり、
Qは、縮合R置換アリール、R置換ヘテロアリール、O、S、S(O)、SO2及びNR22から選択される1~3個のヘテロ原子を含む4~8個の原子のR置換複素環であり、但し、SとOは互いに隣接することができず、或いは
Qは、
であり、
R10及びR11は、R1及び-OR1からなる群から独立に選択され、但し、環Qが芳香族であり、炭素原子を有するR10及びR11が二重結合により結合されているとすれば、R10及びR11は存在せず、
Rは、1~5つの部分であり、各Rは、水素、アルキル、ハロゲン、ヒドロキシ、アミノ、アルキルアミノ、ジアルキルアミノ、アルコキシ、-COR16、-C(O)OR17、-C(O)NR4R5、-SOR16、-SO2R16、-NR16COR16a、-NR16C(O)OR16a、-NR16CONR4R5、-NR16SO2NR4R5、フルオロアルキル、ジフルオロアルキル、トリフルオロアルキル、シクロアルキル、アルケニル、アリールアルキル、アリールアルケニル、ヘテロアリールアルキル、ヘテロアリールアルケニル、ヒドロキシアルキル、アミノアルキル、アリール及びチオアルキルからなる群から独立に選択され、
R34は、1~3つの部分であり、各R34は、水素、ハロゲン、-OH、アルコキシ、R47-アリール、アルキルC(O)-、アルケニル-C(O)-、アルキニル-C(O)-、ヘテロシクロアルキル、R39-シクロアルキル、R39-シクロアルケニル、-OC(O)R43、-C(O)OR43、-C(O)R43、-C(O)NR43R44、-NR43R44、-NR43C(O)R44、-NR43C(O)NR44R45、-NHSO2R43、-OC(O)NR43R44、R34-アルケニルオキシ、R34-アルキニルオキシ、R40-ヘテロシクロアルキルオキシ、R42-シクロアルキルオキシ、R42-シクロアルケニルオキシ、R42-シクロアルキル-NH-、-NHSO2NHR16及び-CH(=NOR17)からなる群から独立に選択され、
R38は、1~3つの部分であり、各R38は、水素、ヘテロシクロアルキル、ハロゲン、-C(O)OR48、-CN、-C(O)NR49R50、-NR51C(O)R52、-OR48、シクロアルキル、シクロアルキルアルキル、アルキルシクロアルキルアルキル、ハロアルキルシクロアルキルアルキル、ヒドロキシアルキル、アルコキシアルキル及びR52-ヘテロアリールからなる群から独立に選択され、或いは隣接した環炭素上の3つのR38基は縮合メチレンジオキシ基を形成しており、
R39は、1~3つの部分であり、各R39は、水素、ハロゲン及びアルコキシからなる群から独立に選択され、
R40は、1~3つの部分であり、各R40は、水素、R41-アルキル、R41-アルケニル及びR41-アルキニルからなる群から独立に選択され、
R41は、水素、-OH又はアルコキシであり、
R42は、1~3つの部分であり、各R42は、水素、アルキル、-OH、アルコキシ及びハロゲンからなる群から独立に選択され、
R43、R44及びR45は、水素、アルキル、アルコキシアルキル、R38-アリールアルキル、R46-シクロアルキル、R53-シクロアルキルアルキル、R38-アリール、ヘテロシクロアルキル、ヘテロアリール、ヘテロシクロアルキルアルキル及びヘテロアリールアルキルからなる群から独立に選択され、
R46は、水素、アルキル、ヒドロキシアルキル又はアルコキシであり、
R47は、1~3つの部分であり、各R47は、水素、アルキル、-OH、ハロゲン、-CN、アルコキシ、トリハロアルコキシ、アルキルアミノ、ジ(アルキル)アミノ、-OCF3、ヒドロキシアルキル、-CHO、-C(O)アルキルアミノ、-C(O)ジ(アルキル)アミノ、-NH2、-NHC(O)アルキル及び-N(アルキル)C(O)アルキルからなる群から独立に選択され、
R48は、水素、アルキル、ハロアルキル、ジハロアルキル又はトリフルオロアルキルであり、
R49及びR50は、水素、アルキル、アラルキル、フェニル及びシクロアルキルからなる群から独立に選択されるか、或いはR49及びR50は、一緒になって-(CH2)4-、-(CH2)5-又は-(CH2)2-NR39-(CH2)2-であり、それらが結合している窒素と共に環を形成しており、
R51及びR52は、水素、アルキル、アラルキル、フェニル及びシクロアルキルからなる群から独立に選択され、或いは-NR39C(O)R40基におけるR51及びR52は、それらが結合している窒素原子と一緒になって、5~8個の環構成員を有する環状ラクタムを形成しており、
R53は、水素、アルコキシ、-SOR16、-SO2R17、-C(O)OR17、-C(O)NR18R19、アルキル、ハロゲン、フルオロアルキル、ジフルオロアルキル、トリフルオロアルキル、シクロアルキル、アルキニル、アラルキル、アリールアルケニル、ヘテロアリールアルキル、ヘテロアリールアルケニル、ヒドロキシアルキル、アミノアルキル、アリール、チオアルキル、アルコキシアルキル又はアルキルアミノアルキルであり、
R54は、水素;アルキル;フルオロアルキル;ジフルオロアルキル;トリフルオロアルキル;シクロアルキル;アルコキシアルキル、アルキル、ハロゲン、ヒドロキシ、アルコキシ、アリールオキシ、アリールアルコキシ、-NR1R2、-NR1C(O)R2、-NR1C(O)NR1R2、-NR1C(O)OR2、-NR1SO2R2、-NR1SO2NR1R2、-C(O)OH、-C(O)OR1及び-CONR1R2からなる群から選択される1~3つの置換基により置換されたシクロアルキル;アルケニル;アルコキシ;アリールアルキル;アリールアルケニル;ヘテロアリールアルキル;ヘテロアリールアルケニル;ヒドロキシ;アルコキシ;ヒドロキシアルキル;アルコキシアルキル,アミノアルキル;アリール;ヘテロアリール;チオアルキル、並びに尿素、スルホンアミド、カルボキサミド、カルボン酸、カルボン酸エステル及びスルホニル尿素からなる群から選択される1~3つの置換基により置換されたアルキルからなる群から選択される]によって示される化合物又は前記化合物の薬学的に許容できる塩、溶媒和物、エステル若しくはプロドラッグ。
[式中、
は、原子価要件により許容されるとき、二重結合又は単結合を表すが、但し、R3が結合する炭素が二重結合の一部である場合には、R3は存在せず、
Bは、-(CH2)n3-、-(CH2)-O-、-(CH2)S-、-(CH2)-NR6-、-C(O)-NR6-、-NR6C(O)-
-(CH2)n4-CR12=CR12a-(CH2)n5-又は-(CH2)n4-C≡C-(CH2)n5-であり、ここで、n3は0~5であり、n4及びn5は、独立に0~2であり、R12及びR12aは、水素、アルキル及びハロゲンからなる群から独立に選択され、
A、E、G、M及びJは、-N(R54)-、-(CR1R2)-、-O-、
-S-、-S(O)-、-SO2-及び
からなる群から独立に選択され、
Xは、
-CH-又は-N-であるが、但し、A、G、M及びXの選択は、酸素又は硫黄原子の隣接した状態をもたらさず、
各nは、0、1又は2であり、但し、すべてのn変数は0であり得ず、
Hetは、1~13個の炭素原子並びにN、O及びSからなる群から独立に選択される1~4個のヘテロ原子を含む5~14個の原子の単環式、二環式又は三環式複素芳香族基であるが、但し、複素芳香族基に隣接した酸素又は硫黄原子は存在せず、ここで、環窒素は、N-オキシド、又はアルキル基と共に第四級基を形成することができ、Hetは、Hetの炭素原子環厚生員によってBに結合しており、またHet基は、1~4つの部分Wにより置換されており、各Wが、水素;アルキル;フルオロアルキル;ジフルオロアルキル;トリフルオロアルキル;シクロアルキル;ヘテロシクロアルキル;アルキル又はアルケニルにより置換されたヘテロシクロアルキル;アルケニル;R21-アリール;R21-ヘテロアリール;R21-アリールアルキル;R21-アリール-アルケニル;ヘテロアリール;ヘテロアリールアルキル;ヘテロアリールアルケニル:ヒドロキシアルキル;ジヒドロキシアルキル;アミノアルキル;アルキルアミノアルキル,ジ-(アルキル)-アミノアルキル;チオアルキル;アルコキシ;アルケニルオキシ;ハロゲン;-NR4R5;-CN;-OH;-C(O)OR17;-COR16;-OSO2CF3;-CH2OCH2CF3;アルキルチオ;-C(O)NR4R5;-OCHR6-フェニル;フェノキシアルキル;-NHCOR16;-NHSO2R16;ビフェニル;-OC(R6)2COOR7;-OC(R6)2C(O)NR4R5;アルキル、アミノ又は-NHC(O)OR17により置換されたアルコキシ;アリール:或いは-NR1R2、-NR1COR2、-NR1CONR1R2、-NR1C(O)OR2、-NR1SO2R2、-NR1SO2NR1R2、-C(O)OH、-C(O)OR1、-CONR1R2、ヒドロキシアルキル、アルキル又は-SO2-アルキルにより場合によって置換されたアルキルC(O)NR4R5及びヘテロアリールからなる群から独立に選択され、Het環上の隣接した炭素は、メチレンジオキシ基を有する環を場合によって形成することができ、
R1及びR2は、水素、アルキル、フルオロアルキル、ジフルオロアルキル、トリフルオロアルキル、シクロアルキル、アルケニル、アルコキシ、アリールアルキル、アリールアルケニル、ヘテロアリールアルキル、ヘテロアリールアルケニル、ヒドロキシ、ヒドロキシアルキル、アルコキシアルキル、アミノアルキル、アリール及びチオアルキルからなる群から独立に選択されるか、或いは
R1及びR2は、窒素に結合しているときに、-O-、-N-、-S-、-S(O)-、-SO2-及び
から選択される1~3個のヘテロ原子を有する4~10個の原子の単環式又は二環式複素環を一緒になって形成しており、但し、S及びO原子は、互いに隣接しておらず、前期複素環は、非置換であるか、又はアルキル、ハロゲン、ヒドロキシ、アルコキシ、アリールオキシ及びアリールアルコキシから選択される1つ若しくは複数の基で置換されており、
R3は、アラルコキシ、アリールオキシ、ヘテロアリール、ヘテロアラルコキシ、-CN、-NO2、-O-アリール、-O-ヘテロアリール、N3、-C(O)NR18R19、-C(=NR1)NR1R2、-N(R1)C(=NR1)NR1R2、-N=C(R1)NR1R2、-NR18C(O)R19、-NR18C(O)NR18R19、-NR18C(O)OR19、-NR18SO2R19、-NR18SO2NR18R19、-NHNR18R19、-NR18NR18R19又は-アルキル-NR18R19であり、
R6は、水素、アルキル又はフェニルであり、
R7は、水素又はアルキルであり、
各R13は、水素、アルキル、シクロアルキル、ハロアルキル、ハロゲン、-(CH2)n6NHC(O)OR16b、-(CH2)n6NHC(O)R16b、-(CH2)n6NHC(O)NR4R5、-(CH2)n6NHSO2R16、-(CH2)n6NHSO2NR4R5及び-(CH2)R6C(O)NR28R29から独立に選択され、
n6は、0~4であり、
各R14は、水素、アルキル、-OH、アルコキシ、アリールアルキル、ヘテロアリール、ヘテロアリールアルキル、ヘテロシクリル、ヘテロシクリルアルキル、ハロゲン、ハロアルキル、-(CH2)n6NHC(O)OR16b、-(CH2)n6NHC(O)R16b、-(CH2)n6NHC(O)NR4R5、-(CH2)n6NHSO2R16、-(CH2)n6NHSO2NR4R5及び-(CH2)n6C(O)NR28R29からなる群から独立に選択され、ここで、n6は0~4であり、R4及びR5は、水素、アルキル、フェニル、ベンジル及びシクロアルキルからなる群から独立に選択されるか、又はR4及びR5は、それらが結合している窒素と一緒になって環を形成することができ、R4及びR5により形成された前記環は、=O、OH、OR1若しくは-C(O)OHにより場合によって置換されており、或いは
R13及びR14は、一緒になって3~6個の環原子のスピロ環又は複素スピロ環を形成しており、前記複素スピロ環、2~5個の炭素環原子並びにO、S及びNからなる群から選択される1個又は2個のヘテロ環原子を含み、
R16は、水素、アルキル、フェニル及びベンジルからなる群から独立に選択され、
R16aは、水素、アルキル、フェニル及びベンジルからなる群から独立に選択され、
R16bは、水素、アルコキシ、アルキル、アルコキシアルキル、R22-O-C(O)-アルキル-、シクロアルキル、R21-アリール、R21-アリールアルキル、ハロアルキル、アルケニル、ハロ置換アルケニル、アルキニル、ハロ置換アルキニル、R21-ヘテロアリール、(R21-ヘテロアリール)-アルキル-、(R21-へテロシクロアルキル)-アルキル、R28R29N-アルキル-、R28R29N-C(O)-アルキル、R28R29N-C(O)-O-アルキル-、R28OC(O)N(R29)アルキル、R28SO2N(R29)アルキル、R28R29N-C(O)N(R29)アルキル、R28R29N-SO2N(R29)-アルキル、R28-C(O)N(R29)アルキル、R28R29N-SO2-アルキル、HOSO2-アルキル、(OH)2P(O)2-アルキル-、R28-S-アルキル、R28-SO2-アルキル-又はヒドロキシアルキルであり、
R17は、水素、アルキル、フェニル及びベンジルからなる群から独立に選択され、
R18及びR19は、アルキル、アリール、R21-アリール、ヘテロアリール、シクロアルキル、ヘテロシクリル、アルコキシアルキル、ハロアルコキシアルキル、アリールオキシアルキル、アリールアルコキシアルキル、ヘテロアリールオキシアルキル、ヘテロアリールアルコキシアルキル、シクロアルキルオキシアルキル、(ヘテロシクリル)アルキルオキシアルキル、アルコキシアルキルオキシアルキル、-SO2-アルキル、-C(NH)NR1R2又はシクロアルキル、ハロゲン、ヒドロキシ、NR1R2NR1C(O)R2、-NR1C(O)NR1R2、-NR1C(O)OR2、-NR1SO2R2、NR1SO2NR1R2、-C(O)OH、-C(O)OR1及び-C(O)NR1R2から選択される1つ又は2つの部分で置換されたアルキルであるか、或いは
R18及びR19は、それらが結合している窒素原子と一緒になって、-O-、-N-、-S-、-S(O)-、-SO2-及び
から選択される1~3個のヘテロ環原子を有する4~10個の原子の単環式又は二環式複素環を形成しており、但し、S及びO原子は、互いに隣接しておらず、環は、非置換であるか、又はアルキル、ハロゲン、ヒドロキシ、アルコキシ、アリールオキシ、アリールアルコキシ、-NR1R2、-NR1COR2、-NR1C(O)NR1R2、-NR1C(O)OR2、-NR1SO2R2、-NR1SO2NR1R2、-C(O)OR1、-C(O)NR1R2及び-NR1R2、-NR1C(O)R2、-NR1S(O)NR1R2、-NR1C(O)OR2、-NR1SO2R2、-NR1SO2NR1R2、-C(O)OR1又は-CONR1R2で置換されたアルキルから選択される1つ又は複数の基で置換されており、
R21は、1~3つの部分であり、各R21は、水素、-CN、-CF3、-OCF3、ハロゲン、-NO2、アルキル、-OH、アルコキシ、アルキルアミノ-、ジ-(アルキル)アミノ、NR25R26アルキル-、ヒドロキシアルキル、-C(O)OR17、-COR17、-NHCOR16、-NHS(O)2R16、-C(NH)-NH2、-NHSO2CH2CF3、-C(O)NR25R26、-NR25-C(O)-NR25R26、-S(O)R13、-SO2R13、-SR13、-SO2NR4R5及び-CONR4R5からなる群から独立に選択されるか、又は2つの隣接したR21部分は、メチレンジオキシ基を形成することができ、
R22は、水素、アルキル、フェニル、ベンジル、-COR16、-CONR18R19、-COR23、-S(O)R31、-SO2R31、-SO2NR24R25又は-C(O)OR27であり、
R23は、
であり、ここで、R35及びR36は、水素、アルキル及びR37置換アルキルからなる群から独立に選択され、R37は、HO-、HS-、CH2S-、-NH2、フェニル、p-ヒドロキシフェニル及びインドリルからなる群から選択され、或いはR23は、アルキル;ハロアルキル;アルケニル;ハロアルケニル;アルキニル;シクロアルキル;シクロアルキルアルキル,アルコキシアルキル、アルキル、ハロゲン、ヒドロキシ、アルコキシ、アリ-ルオキシ、アリールアルコキシ、-NR1R2、-NR1C(O)R2、-NR1C(O)NR1R2、-NR1C(O)OR2、-NR1SO2R2、-NR1SO2NR1R2、-C(O)OH、-C(O)OR1及び-CONR1R2からなる群から選択される1~3つの置換基により置換されたシクロアルキル;アリール;アラルキル;ヘテロアリール;ヘテロシクロアルキル;-NR1R2、-NR1COR2、-NR1CONR1R2、-NR1C(O)OR2、-NR1SO2R2、-NR1SO2NR1R2、-C(O)OH、-C(O)OR1、-CONR1R2及び-SO3Hで置換されたアルキルであり、
R24、R25及びR26は、水素、アルキル、ハロアルキル、アルケニル、アルキニル、アリール、アラルキル、シクロアルキル、ハロシクロアルキル、アルコキシアルキル、ヒドロキシ及びアルコキシからなる群から独立に選択され、
R27は、1~3つの部分であり、各R27は、水素、アルキル及びシクロアルキルからなる群から選択され、R27は、-OH、-C(O)OH、ハロゲン及びアルコキシで場合によって置換されており、
R28及びR29は、水素、アルキル、アルコキシ、アリールアルキル、ヘテロアリール、ヘテロアリールアルキル、ヒドロキシアルキル、アルコキシアルキル、ヘテロシクリル、ヘテロシクリルアルキル及びハロアルキルからなる群から独立に選択されるか、或いは
R28及びR29は、一緒になって3~6個の環原子を有するスピロ環又は複素スピロ環を形成しており、
R32及びR33は、水素、R34-アルキル、R34-アルケニル、R34-アルキニル、R40-ヘテロシクロアルキル、R38-アリール、R38-アラルキル、R42-シクロアルキル、R42-シクロアルケニル、-OH、-OC(O)R43、-C(O)OR43、-C(O)R43、-C(O)NR43R44、-NR43R44、-NR43C(O)R44、-NR43C(O)NR44R45、-NHSO2R43、-OC(O)NR43R44、R37-アルコキシ、R37-アルケニルオキシ、R37-アルキニルオキシ、R40-ヘテロシクロアルキルオキシ、R42-シクロアルキルオキシ、R42-シクロアルケニルオキシ、R42-シクロアルキル-NH-、-NHSO2NHR16及び-CH(=NOR17)からなる群から独立に選択されるか、或いは
R32及びR33は、結合して下の環構造Q
を形成することができ、
ここで、R9は、水素、OH、アルコキシ、ハロゲン又はハロアルキルであり、
Qは、縮合R置換アリール、R置換ヘテロアリール、O、S、S(O)、SO2及びNR22から選択される1~3個のヘテロ原子を含む4~8個の原子のR置換複素環であり、但し、SとOは互いに隣接することができず、或いは
Qは、
であり、
R10及びR11は、R1及び-OR1からなる群から独立に選択され、但し、環Qが芳香族であり、炭素原子を有するR10及びR11が二重結合により結合されているとすれば、R10及びR11は存在せず、
Rは、1~5つの部分であり、各Rは、水素、アルキル、ハロゲン、ヒドロキシ、アミノ、アルキルアミノ、ジアルキルアミノ、アルコキシ、-COR16、-C(O)OR17、-C(O)NR4R5、-SOR16、-SO2R16、-NR16COR16a、-NR16C(O)OR16a、-NR16CONR4R5、-NR16SO2NR4R5、フルオロアルキル、ジフルオロアルキル、トリフルオロアルキル、シクロアルキル、アルケニル、アリールアルキル、アリールアルケニル、ヘテロアリールアルキル、ヘテロアリールアルケニル、ヒドロキシアルキル、アミノアルキル、アリール及びチオアルキルからなる群から独立に選択され、
R34は、1~3つの部分であり、各R34は、水素、ハロゲン、-OH、アルコキシ、R47-アリール、アルキルC(O)-、アルケニル-C(O)-、アルキニル-C(O)-、ヘテロシクロアルキル、R39-シクロアルキル、R39-シクロアルケニル、-OC(O)R43、-C(O)OR43、-C(O)R43、-C(O)NR43R44、-NR43R44、-NR43C(O)R44、-NR43C(O)NR44R45、-NHSO2R43、-OC(O)NR43R44、R34-アルケニルオキシ、R34-アルキニルオキシ、R40-ヘテロシクロアルキルオキシ、R42-シクロアルキルオキシ、R42-シクロアルケニルオキシ、R42-シクロアルキル-NH-、-NHSO2NHR16及び-CH(=NOR17)からなる群から独立に選択され、
R38は、1~3つの部分であり、各R38は、水素、ヘテロシクロアルキル、ハロゲン、-C(O)OR48、-CN、-C(O)NR49R50、-NR51C(O)R52、-OR48、シクロアルキル、シクロアルキルアルキル、アルキルシクロアルキルアルキル、ハロアルキルシクロアルキルアルキル、ヒドロキシアルキル、アルコキシアルキル及びR52-ヘテロアリールからなる群から独立に選択され、或いは隣接した環炭素上の3つのR38基は縮合メチレンジオキシ基を形成しており、
R39は、1~3つの部分であり、各R39は、水素、ハロゲン及びアルコキシからなる群から独立に選択され、
R40は、1~3つの部分であり、各R40は、水素、R41-アルキル、R41-アルケニル及びR41-アルキニルからなる群から独立に選択され、
R41は、水素、-OH又はアルコキシであり、
R42は、1~3つの部分であり、各R42は、水素、アルキル、-OH、アルコキシ及びハロゲンからなる群から独立に選択され、
R43、R44及びR45は、水素、アルキル、アルコキシアルキル、R38-アリールアルキル、R46-シクロアルキル、R53-シクロアルキルアルキル、R38-アリール、ヘテロシクロアルキル、ヘテロアリール、ヘテロシクロアルキルアルキル及びヘテロアリールアルキルからなる群から独立に選択され、
R46は、水素、アルキル、ヒドロキシアルキル又はアルコキシであり、
R47は、1~3つの部分であり、各R47は、水素、アルキル、-OH、ハロゲン、-CN、アルコキシ、トリハロアルコキシ、アルキルアミノ、ジ(アルキル)アミノ、-OCF3、ヒドロキシアルキル、-CHO、-C(O)アルキルアミノ、-C(O)ジ(アルキル)アミノ、-NH2、-NHC(O)アルキル及び-N(アルキル)C(O)アルキルからなる群から独立に選択され、
R48は、水素、アルキル、ハロアルキル、ジハロアルキル又はトリフルオロアルキルであり、
R49及びR50は、水素、アルキル、アラルキル、フェニル及びシクロアルキルからなる群から独立に選択されるか、或いはR49及びR50は、一緒になって-(CH2)4-、-(CH2)5-又は-(CH2)2-NR39-(CH2)2-であり、それらが結合している窒素と共に環を形成しており、
R51及びR52は、水素、アルキル、アラルキル、フェニル及びシクロアルキルからなる群から独立に選択され、或いは-NR39C(O)R40基におけるR51及びR52は、それらが結合している窒素原子と一緒になって、5~8個の環構成員を有する環状ラクタムを形成しており、
R53は、水素、アルコキシ、-SOR16、-SO2R17、-C(O)OR17、-C(O)NR18R19、アルキル、ハロゲン、フルオロアルキル、ジフルオロアルキル、トリフルオロアルキル、シクロアルキル、アルキニル、アラルキル、アリールアルケニル、ヘテロアリールアルキル、ヘテロアリールアルケニル、ヒドロキシアルキル、アミノアルキル、アリール、チオアルキル、アルコキシアルキル又はアルキルアミノアルキルであり、
R54は、水素;アルキル;フルオロアルキル;ジフルオロアルキル;トリフルオロアルキル;シクロアルキル;アルコキシアルキル、アルキル、ハロゲン、ヒドロキシ、アルコキシ、アリールオキシ、アリールアルコキシ、-NR1R2、-NR1C(O)R2、-NR1C(O)NR1R2、-NR1C(O)OR2、-NR1SO2R2、-NR1SO2NR1R2、-C(O)OH、-C(O)OR1及び-CONR1R2からなる群から選択される1~3つの置換基により置換されたシクロアルキル;アルケニル;アルコキシ;アリールアルキル;アリールアルケニル;ヘテロアリールアルキル;ヘテロアリールアルケニル;ヒドロキシ;アルコキシ;ヒドロキシアルキル;アルコキシアルキル,アミノアルキル;アリール;ヘテロアリール;チオアルキル、並びに尿素、スルホンアミド、カルボキサミド、カルボン酸、カルボン酸エステル及びスルホニル尿素からなる群から選択される1~3つの置換基により置換されたアルキルからなる群から選択される]によって示される化合物又は前記化合物の薬学的に許容できる塩、溶媒和物、エステル若しくはプロドラッグ。
[8]WO99/26943に記載の化合物、すなわち、式(11):
[式中、
一重点線は、必要に応じた二重結合を表す、二重点線は、必要に応じた単結合を表し、
nは、0~2であり、
Qは
であり、ここで、n1およびn2は独立して、0~2であり;または一重結合が存在しない場合、Qはまた、融合R置換アリールまたはR-置換ヘテロアリールであり;Rは独立して、H、C1-6アルキル、ハロゲン、ヒドロキシ、アミノ、C1-6アルキルアミノ、C1-6ジアルキルアミノ、C1-6アルコキシ、-COR16、-COOR17、-SOR16、-SO2R16、-NR16COR16、-NR16COOR16、-NR16CONR4R5、フルオロ-C1-6アルキル、ジフルオロ-C1-6アルキル、トリフルオロ-C1-6アルキル、C3-6シクロアルキル、C2-6アルケニル、アリール-C1-6アルキル、アリール-C2-6アルケニル、ヘテロアリール-C1-6アルキル、ヘテロアリール-C2-6アルケニル、ヒドロキシ-C1-6アルキル、アミノ-C1-6アルキル、アリールおよびチオ-C1-6アルキルからなる群から選択される1~3個の置換基であり;
R1およびR2は、独立して、H、C1-6アルキル、フルオロ-C1-6アルキル、ジフルオロ-C1-6アルキル、トリフルオロ-C1-6アルキル、C3-6シクロアルキル、C2-6アルケニル、アリール-C1-6アルキル、アリール-C2-6アルケニル、アリール-C1-6アルキル、ヘテロアリール-C2-6アルケニル、ヒドロキシ-C1-6アルキル、アミノ-C1-6アルキル、アリールおよびチオ-C1-6アルキルからなる群から選択されるか,またはR1およびR2は共に、=O基を形成し;
R3は、H、ヒドロキシ、C1-6アルコキシ、-SOR16、-SO2R17、-C(O)OR11、-C(O)NR18R19、C1-6アルキル、ハロゲン、フルオロ-C1-6アルキル、ジフルオロ-C1-6アルキル、トリフルオロ-C1-6アルキル、C3-6シクロアルキル、C2-6アルケニル、アリール-C1-6アルキル、アリール-C2-6アルケニル、ヘテロアリール-C1-6アルキル、ヘテロアリール-C2-6アルケニル、ヒドロキシ-C1-6アルキル、アミノ-C1-6アルキル、アリールまたはチオ-C1-6アルキルであり;Hetは、1~13個の炭素原子ならびにN、OおよびSからなる群から独立して選択される1~4個のヘテロ原子からなる5~14個の原子の単環、二環または三環式の複素芳香族基であり、ここで環の窒素はC1-6アルキル基を有する4級の基またはN-オキシドを形成し得、ここでHetは炭素原子環メンバーによりBに結合しており、そしてここでこのHet基は、以下からなる群から独立して選択される1~4個の置換基、Wで置換される:H;C1-6アルキル;フルオロ-C1-6アルキル,ジフルオロ-C1-6アルキル;トリフルオロ-C1-6アルキル;C3-6シクロアルキル;ヘテロシクロアルキル;C1-6アルキルまたはC2-6アルケニルで置換されたヘテロシクロアルキル;C2-6アルケニル;R21-アリール-C1-6アルキル;R21-アリール-C2-6アルケニル;ヘテロアリール-C1-6アルキル;ヘテロアリール-C2-6アルケニル;ヒドロキシ-C1-6アルキル;ジヒドロキシ-C1-6アルキル;アミノ-C1-6アルキル;C1-6アルキルアミノ-C1-6アルキル;ジ(C1-6アルキル)アミノ-C1-6アルキル;チオ-C1-6アルキル;C1-6アルコキシ;C2-6アルケニルオキシ;ハロゲン;-NR4R5;-CN;-OH;-COOR17;-COR16;-OSO2CF3;-CH2OCH2CF3;C1-6アルキルチオ;-C(O)NR4R6;-OCHR6-フェニル,フェニキシ-C1-6アルキル;-NHCOR16;-NHSO2R16;ビフェニル;-OC(R6)2COOR7;-OC(R6)2C(O)NR4R5;C1-6アルコキシ;以下で置換されるC1-6アルコキシ;C1-6アルキル、アミノ、-OH、COOR17、-NHCOOR17、-CONR4R5、アリール、1~3個の置換基で置換されるアリール(該置換基は以下からなる群から独立して選択される:ハロゲン、-CF3、C1-6アルキル、C1-6アルコキシおよび-OR17)、隣接する炭素がメチレンジオキシ基を有する環を形成するアリール、-C(O)NR4R5ならびにヘテロアリール;R21-アリール;隣接する炭素がメチレンジオキシ基を有する環を形成するアリール;ヘテロアリール1~4個の置換基で置換されるヘテロアリール(該置換基は以下からなる群から選択される:ハロゲン、C1-6アルコキシ、C1-6アルキル、C1-6アルキルアミノ、ジ-(C1-6アルキル)アミノ、-CF3、-NO2、ヒドロキシ-C1-6アルキル、-CHOおよびフェニル);ならびに隣接する炭素原子がC3-5アルキレン基またはメチレンジオキシ基を有する環を形成するヘテロアリール;
R4およびR5は独立して、H、C1-6アルキル、フェニル、ベンジルおよびC3-6シクロアルキルからなる群から選択されるか、またはR4およびR5は共に、-(CH2)4-、-(CH2)5-または-(CH2)2NR7-(CH2)2-でありそしてそれらが結合する窒素と共に環を形成し;
R6は、H、C1-6アルキルまたはフェニルからなる群から選択され;
R7は、HまたはC1-6アルキルであり;
R8、R10およびR11は独立して、R1および-OR1からなる群から選択され(但し、必要に応じた二重結合が存在する場合、R10は存在せず、そして環Qが芳香族である場合、R10およびR11は存在しない);
R9は、H、OH、C1-6アルコキシ、ハロゲンまたはハロ-C1-6アルキルであり;
Bは、-(CH2)n3-、-CH2-O-、-CH2S-、-CH2-NR6-、-C(O)NR-、-NR6CO-、
シスまたはトランス-(CH2)n4-CR12=CR12a-(CH2)n5あるいは-(CH2)n4-C≡C-(CH2)n5-であり、ここでn3は0~5であり、n4およびn5は独立して、0~2であり、そしてR12およびR12aは独立して、H、C1-6アルキルおよびハロゲンからなる群から選択され;二重点線が単結合を表す場合、Xは-O-または-NR6-であり、あるいはこの結合が存在しない場合、Xは-OHまたは-NHR20であり;二重点線が単結合を表す場合、Yは=O、=S、(H,H)、(H,OH)または(H,C1-6アルコキシ)であり、あるいはこの結合が存在しない場合、Yは=O、(H,H)、(H,OH)、(H,SH)または(H,C1-6アルコキシ)であり;
R15は、二重点線が単結合を表す場合、存在せず、そしてこの結合が存在しない場合、H、C1-6アルキル、-NR18R19または-OR17であり;またはYは
であり、そしてR15はHまたはC1-6アルキルであり;
R16およびR16aは独立して、C1-6低級アルキル、フェニルまたはベンジルからなる群から選択され;
R17、R18およびR19は独立して、H、C1-6アルキル、フェニル、ベンジルからなる群から選択され;
R20は、H、C1-6アルキル、フェニル、ベンジル、-C(O)R6または-SO2R6であり;
R21は、-CF3、-OCF3、ハロゲン、-NO2、C1-6アルキル、C1-6アルコキシ、C1-6アルキルアミノ、ジ-(C1-6アルキル)アミノ、アミノ-C1-6アルキル、C1-6アルキルアミノ-C1-6アルキル、ジ-(C1-6アルキル)アミノ-C1-6アルキル、ヒドロキシ-C1-6アルキル、-COOR17、-COR17、-NHCOR16、-NHSO2R16および-NHSO2CH2CF3からなる群から独立して選択される1~3個の置換基であり;
Zは、-CH2-、-O-、-S(O)0~2-、-NR22-、-C(O)-、-C(=NOR17)-または-C(R13R14)-であり、ここでR13およびR14は、それらが結合する炭素と共に、3~6個の炭素のスピロシクロアルキル基、または2~5個の炭素原子ならびにO、SおよびNからなる群から選択される1または2個のヘテロ原子を含む3~6員のスピロヘテロシクロアルキル基を形成し;そして
R22は、H、C1-6アルキル、フェニル、ベンジル、-COR16または-CONR18R19である。]で表される化合物、またはその薬学的に受容可能な塩。
[8]に記載の化合物は、好ましくは、式(11):
[式中、
結合
は、単結合または二重結合を表し、
結合
は、単結合を表すか、または結合が存在しないことを表し、
nは、0であり、
Qは
であり、ここで、n1およびn2は独立して、0~2であり、但し、n1及びn2の合計は2であり;または該結合
が単結合である場合、Qはまた、融合R-置換フェニルもしくはフリルであり;
Rは独立して、H、C1-6アルキル、ハロゲン、ヒドロキシ、アミノ、C1-6アルキルアミノ、C1-6ジアルキルアミノ、C1-6アルコキシ、-COR16、-COOR17、-SOR16、-SO2R16、-NR16COR16、-NR16COOR16、-NR16CONR4R5、フルオロ-C1-6アルキル、ジフルオロ-C1-6アルキル、トリフルオロ-C1-6アルキル、C3-6シクロアルキル、C2-6アルケニル、アリール-C1-6アルキル、アリール-C2-6アルケニル、ヘテロアリール-C1-6アルキル、ヘテロアリール-C2-6アルケニル、ヒドロキシ-C1-6アルキル、アミノ-C1-6アルキル、アリールおよびチオ-C1-6アルキルからなる群から選択される1~3個の置換基であり;
R1およびR2は、独立して、H、C1-6アルキル、フルオロ-C1-6アルキル、ジフルオロ-C1-6アルキル、トリフルオロ-C1-6アルキル、C3-6シクロアルキル、C2-6アルケニル、アリール-C1-6アルキル、アリール-C2-6アルケニル、アリール-C1-6アルキル、ヘテロアリール-C2-6アルケニル、ヒドロキシ-C1-6アルキル、アミノ-C1-6アルキル、アリールおよびチオ-C1-6アルキルからなる群から選択されるか,またはR1およびR2は一緒になって、=O基を形成し;
R3は、H、ヒドロキシ、C1-6アルコキシ、-SOR16、-SO2R17、-C(O)OR11、-C(O)NR18R19、C1-6アルキル、ハロゲン、フルオロ-C1-6アルキル、ジフルオロ-C1-6アルキル、トリフルオロ-C1-6アルキル、C3-6シクロアルキル、C2-6アルケニル、アリール-C1-6アルキル、アリール-C2-6アルケニル、ヘテロアリール-C1-6アルキル、ヘテロアリール-C2-6アルケニル、ヒドロキシ-C1-6アルキル、アミノ-C1-6アルキル、アリールまたはチオ-C1-6アルキルであり;
Hetは、ピリジル、キノリル、ピリミジル、チアゾリル、ピラジニル、インドリル、キノキサニリル、ピリダジニル、ベンゾオキサゾリル、フェナントロリニル、ベンゾキノリニル、ベンズイミダゾリルまたはベンズイソキノリニルであり、ここで環の窒素はC1-6アルキル基を有する4級の基またはN-オキシドを形成し得、ここでHetは炭素原子環メンバーによりBに結合しており、そしてここで該Het基は、以下からなる群から独立して選択される1~4個の置換基、Wで置換される:H;C1-6アルキル;フルオロ-C1-6アルキル,ジフルオロ-C1-6アルキル;トリフルオロ-C1-6アルキル;C3-6シクロアルキル;ヘテロシクロアルキル;C1-6アルキルまたはC2-6アルケニルで置換されたヘテロシクロアルキル;C2-6アルケニル;R21-アリール-C1-6アルキル;R21-アリール-C2-6アルケニル;ヘテロアリール-C1-6アルキル;ヘテロアリール-C2-6アルケニル;ヒドロキシ-C1-6アルキル;ジヒドロキシ-C1-6アルキル;アミノ-C1-6アルキル;C1-6アルキルアミノ-C1-6アルキル;ジ-(C1-6アルキル)アミノ-C1-6アルキル;チオ-C1-6アルキル;C1-6アルコキシ;C2-6アルケニルオキシ;ハロゲン;-NR4R5;-CN;-OH;-COOR17;-COR16;-OSO2CF3;-CH2OCH2CF3;C1-6アルキルチオ;-C(O)NR4R6;-OCHR6-フェニル,フェニキシ-C1-6アルキル;-NHCOR16;-NHSO2R16;ビフェニル;-OC(R6)2COOR7;-OC(R6)2C(O)NR4R5;C1-6アルコキシ;以下で置換されるC1-6アルコキシ;C1-6アルキル、アミノ、-OH、COOR17、-NHCOOR17、-CONR4R5、アリール、1~3個の置換基で置換されるアリール(該置換基は以下からなる群から独立して選択される:ハロゲン、-CF3、C1-6アルキル、C1-6アルコキシおよび-OR17)、隣接する炭素がメチレンジオキシ基を有する環を形成するアリール、-C(O)NR4R5ならびにヘテロアリール;R21-アリール;隣接する炭素がメチレンジオキシ基を有する環を形成するアリール;ヘテロアリール;1~4個の置換基で置換されるヘテロアリール(該置換基は以下からなる群から選択される:ハロゲン、C1-6アルコキシ、C1-6アルキル、C1-6アルキルアミノ、ジ-(C1-6アルキル)アミノ、-CF3、-NO2、ヒドロキシ-C1-6アルキル、-CHOおよびフェニル);ならびに隣接する炭素原子がC3-5アルキレン基またはメチレンジオキシ基を有する環を形成するヘテロアリール;
R4およびR5は独立して、H、C1-6アルキル、フェニル、ベンジルおよびC3-6シクロアルキルからなる群から選択されるか、またはR4およびR5は共に、-(CH2)4-、-(CH2)5-または-(CH2)2NR7-(CH2)2-であり、そしてそれらが結合する窒素と共に環を形成し;
R6は、H、C1-6アルキルまたはフェニルからなる群から選択され;
R7は、HまたはC1-6アルキルであり;
R8、R10およびR11は独立して、R1および-OR1からなる群から選択され(但し、該結合
が二重結合である場合、R10は存在せず、そして環Qが芳香族である場合、R10およびR11は存在しない);
R9は、H、OH、C1-6アルコキシ、ハロゲンまたはハロ-C1-6アルキルであり;
Bは、-(CH2)n3-、-CH2-O-、-CH2-NR6-、-NR6CO-、シスまたはトランス-(CH2)n4-CR12=CR12a-(CH2)n5-あるいは-(CH2)n4-C≡C-(CH2)n5-であり、ここでn3は0~5であり、n4およびn5は独立して、0~2であり、そしてR12およびR12aは独立して、H、C1-6アルキルおよびハロゲンからなる群から選択され;
該結合
が単結合を表す場合、Xは-O-または-NR6-であり、あるいは該結合が存在しない場合、Yは=O、=S、(H,H)、(H,OH)または(H,C1-6アルコキシ)であり、あるいはこの結合が存在しない場合、Yは=O、(H,H)、(H,OH)、(H,SH)または(H,C1-6アルコキシ)であり;
R15は、該結合
が単結合を表す場合、存在せず、そして該結合が存在しない場合、H、C1-6アルキル、-NR18R19または-OR17であり;あるいは、Yは
であり、そしてR15はHまたはC1-6アルキルであり;
R16およびR16aは独立して、C1-6低級アルキル、フェニルまたはベンジルからなる群から選択され;
R17、R18およびR19は独立して、H、C1-6アルキル、フェニル、ベンジルからなる群から選択され;
R20は、H、C1-6アルキル、フェニル、ベンジル、-C(O)R6または-SO2R6であり;
R21は、-CF3、-OCF3、ハロゲン、-NO2、C1-6アルキル、C1-6アルコキシ、C1-6アルキルアミノ、ジ-(C1-6アルキル)アミノ、アミノ-C1-6アルキル、C1-6アルキルアミノ-C1-6アルキル、ジ-(C1-6アルキル)-アミノ-(C1-6アルキルヒドロキシ-C1-6アルキル、-COOR17、-COR17、-NHCOR16、-NHSO2R16および-NHSO2CH2CF3からなる群から独立して選択される1~3個の置換基であり;
Zは、-CH2-、-O-、-C(O)-、-C(=NOR17)-または-C(R13R14)-であり、ここでR13およびR14は、それらが結合する炭素と共に、3~6個の炭素のスピロシクロアルキル基、または2~5個の炭素原子ならびにO、SおよびNからなる群から選択される1または2個のヘテロ原子を含む3~6員のスピロヘテロシクロアルキル基を形成する。]で表される化合物、またはその薬学的に受容可能な塩である。
[式中、
一重点線は、必要に応じた二重結合を表す、二重点線は、必要に応じた単結合を表し、
nは、0~2であり、
Qは
であり、ここで、n1およびn2は独立して、0~2であり;または一重結合が存在しない場合、Qはまた、融合R置換アリールまたはR-置換ヘテロアリールであり;Rは独立して、H、C1-6アルキル、ハロゲン、ヒドロキシ、アミノ、C1-6アルキルアミノ、C1-6ジアルキルアミノ、C1-6アルコキシ、-COR16、-COOR17、-SOR16、-SO2R16、-NR16COR16、-NR16COOR16、-NR16CONR4R5、フルオロ-C1-6アルキル、ジフルオロ-C1-6アルキル、トリフルオロ-C1-6アルキル、C3-6シクロアルキル、C2-6アルケニル、アリール-C1-6アルキル、アリール-C2-6アルケニル、ヘテロアリール-C1-6アルキル、ヘテロアリール-C2-6アルケニル、ヒドロキシ-C1-6アルキル、アミノ-C1-6アルキル、アリールおよびチオ-C1-6アルキルからなる群から選択される1~3個の置換基であり;
R1およびR2は、独立して、H、C1-6アルキル、フルオロ-C1-6アルキル、ジフルオロ-C1-6アルキル、トリフルオロ-C1-6アルキル、C3-6シクロアルキル、C2-6アルケニル、アリール-C1-6アルキル、アリール-C2-6アルケニル、アリール-C1-6アルキル、ヘテロアリール-C2-6アルケニル、ヒドロキシ-C1-6アルキル、アミノ-C1-6アルキル、アリールおよびチオ-C1-6アルキルからなる群から選択されるか,またはR1およびR2は共に、=O基を形成し;
R3は、H、ヒドロキシ、C1-6アルコキシ、-SOR16、-SO2R17、-C(O)OR11、-C(O)NR18R19、C1-6アルキル、ハロゲン、フルオロ-C1-6アルキル、ジフルオロ-C1-6アルキル、トリフルオロ-C1-6アルキル、C3-6シクロアルキル、C2-6アルケニル、アリール-C1-6アルキル、アリール-C2-6アルケニル、ヘテロアリール-C1-6アルキル、ヘテロアリール-C2-6アルケニル、ヒドロキシ-C1-6アルキル、アミノ-C1-6アルキル、アリールまたはチオ-C1-6アルキルであり;Hetは、1~13個の炭素原子ならびにN、OおよびSからなる群から独立して選択される1~4個のヘテロ原子からなる5~14個の原子の単環、二環または三環式の複素芳香族基であり、ここで環の窒素はC1-6アルキル基を有する4級の基またはN-オキシドを形成し得、ここでHetは炭素原子環メンバーによりBに結合しており、そしてここでこのHet基は、以下からなる群から独立して選択される1~4個の置換基、Wで置換される:H;C1-6アルキル;フルオロ-C1-6アルキル,ジフルオロ-C1-6アルキル;トリフルオロ-C1-6アルキル;C3-6シクロアルキル;ヘテロシクロアルキル;C1-6アルキルまたはC2-6アルケニルで置換されたヘテロシクロアルキル;C2-6アルケニル;R21-アリール-C1-6アルキル;R21-アリール-C2-6アルケニル;ヘテロアリール-C1-6アルキル;ヘテロアリール-C2-6アルケニル;ヒドロキシ-C1-6アルキル;ジヒドロキシ-C1-6アルキル;アミノ-C1-6アルキル;C1-6アルキルアミノ-C1-6アルキル;ジ(C1-6アルキル)アミノ-C1-6アルキル;チオ-C1-6アルキル;C1-6アルコキシ;C2-6アルケニルオキシ;ハロゲン;-NR4R5;-CN;-OH;-COOR17;-COR16;-OSO2CF3;-CH2OCH2CF3;C1-6アルキルチオ;-C(O)NR4R6;-OCHR6-フェニル,フェニキシ-C1-6アルキル;-NHCOR16;-NHSO2R16;ビフェニル;-OC(R6)2COOR7;-OC(R6)2C(O)NR4R5;C1-6アルコキシ;以下で置換されるC1-6アルコキシ;C1-6アルキル、アミノ、-OH、COOR17、-NHCOOR17、-CONR4R5、アリール、1~3個の置換基で置換されるアリール(該置換基は以下からなる群から独立して選択される:ハロゲン、-CF3、C1-6アルキル、C1-6アルコキシおよび-OR17)、隣接する炭素がメチレンジオキシ基を有する環を形成するアリール、-C(O)NR4R5ならびにヘテロアリール;R21-アリール;隣接する炭素がメチレンジオキシ基を有する環を形成するアリール;ヘテロアリール1~4個の置換基で置換されるヘテロアリール(該置換基は以下からなる群から選択される:ハロゲン、C1-6アルコキシ、C1-6アルキル、C1-6アルキルアミノ、ジ-(C1-6アルキル)アミノ、-CF3、-NO2、ヒドロキシ-C1-6アルキル、-CHOおよびフェニル);ならびに隣接する炭素原子がC3-5アルキレン基またはメチレンジオキシ基を有する環を形成するヘテロアリール;
R4およびR5は独立して、H、C1-6アルキル、フェニル、ベンジルおよびC3-6シクロアルキルからなる群から選択されるか、またはR4およびR5は共に、-(CH2)4-、-(CH2)5-または-(CH2)2NR7-(CH2)2-でありそしてそれらが結合する窒素と共に環を形成し;
R6は、H、C1-6アルキルまたはフェニルからなる群から選択され;
R7は、HまたはC1-6アルキルであり;
R8、R10およびR11は独立して、R1および-OR1からなる群から選択され(但し、必要に応じた二重結合が存在する場合、R10は存在せず、そして環Qが芳香族である場合、R10およびR11は存在しない);
R9は、H、OH、C1-6アルコキシ、ハロゲンまたはハロ-C1-6アルキルであり;
Bは、-(CH2)n3-、-CH2-O-、-CH2S-、-CH2-NR6-、-C(O)NR-、-NR6CO-、
シスまたはトランス-(CH2)n4-CR12=CR12a-(CH2)n5あるいは-(CH2)n4-C≡C-(CH2)n5-であり、ここでn3は0~5であり、n4およびn5は独立して、0~2であり、そしてR12およびR12aは独立して、H、C1-6アルキルおよびハロゲンからなる群から選択され;二重点線が単結合を表す場合、Xは-O-または-NR6-であり、あるいはこの結合が存在しない場合、Xは-OHまたは-NHR20であり;二重点線が単結合を表す場合、Yは=O、=S、(H,H)、(H,OH)または(H,C1-6アルコキシ)であり、あるいはこの結合が存在しない場合、Yは=O、(H,H)、(H,OH)、(H,SH)または(H,C1-6アルコキシ)であり;
R15は、二重点線が単結合を表す場合、存在せず、そしてこの結合が存在しない場合、H、C1-6アルキル、-NR18R19または-OR17であり;またはYは
であり、そしてR15はHまたはC1-6アルキルであり;
R16およびR16aは独立して、C1-6低級アルキル、フェニルまたはベンジルからなる群から選択され;
R17、R18およびR19は独立して、H、C1-6アルキル、フェニル、ベンジルからなる群から選択され;
R20は、H、C1-6アルキル、フェニル、ベンジル、-C(O)R6または-SO2R6であり;
R21は、-CF3、-OCF3、ハロゲン、-NO2、C1-6アルキル、C1-6アルコキシ、C1-6アルキルアミノ、ジ-(C1-6アルキル)アミノ、アミノ-C1-6アルキル、C1-6アルキルアミノ-C1-6アルキル、ジ-(C1-6アルキル)アミノ-C1-6アルキル、ヒドロキシ-C1-6アルキル、-COOR17、-COR17、-NHCOR16、-NHSO2R16および-NHSO2CH2CF3からなる群から独立して選択される1~3個の置換基であり;
Zは、-CH2-、-O-、-S(O)0~2-、-NR22-、-C(O)-、-C(=NOR17)-または-C(R13R14)-であり、ここでR13およびR14は、それらが結合する炭素と共に、3~6個の炭素のスピロシクロアルキル基、または2~5個の炭素原子ならびにO、SおよびNからなる群から選択される1または2個のヘテロ原子を含む3~6員のスピロヘテロシクロアルキル基を形成し;そして
R22は、H、C1-6アルキル、フェニル、ベンジル、-COR16または-CONR18R19である。]で表される化合物、またはその薬学的に受容可能な塩。
[8]に記載の化合物は、好ましくは、式(11):
[式中、
結合
は、単結合または二重結合を表し、
結合
は、単結合を表すか、または結合が存在しないことを表し、
nは、0であり、
Qは
であり、ここで、n1およびn2は独立して、0~2であり、但し、n1及びn2の合計は2であり;または該結合
が単結合である場合、Qはまた、融合R-置換フェニルもしくはフリルであり;
Rは独立して、H、C1-6アルキル、ハロゲン、ヒドロキシ、アミノ、C1-6アルキルアミノ、C1-6ジアルキルアミノ、C1-6アルコキシ、-COR16、-COOR17、-SOR16、-SO2R16、-NR16COR16、-NR16COOR16、-NR16CONR4R5、フルオロ-C1-6アルキル、ジフルオロ-C1-6アルキル、トリフルオロ-C1-6アルキル、C3-6シクロアルキル、C2-6アルケニル、アリール-C1-6アルキル、アリール-C2-6アルケニル、ヘテロアリール-C1-6アルキル、ヘテロアリール-C2-6アルケニル、ヒドロキシ-C1-6アルキル、アミノ-C1-6アルキル、アリールおよびチオ-C1-6アルキルからなる群から選択される1~3個の置換基であり;
R1およびR2は、独立して、H、C1-6アルキル、フルオロ-C1-6アルキル、ジフルオロ-C1-6アルキル、トリフルオロ-C1-6アルキル、C3-6シクロアルキル、C2-6アルケニル、アリール-C1-6アルキル、アリール-C2-6アルケニル、アリール-C1-6アルキル、ヘテロアリール-C2-6アルケニル、ヒドロキシ-C1-6アルキル、アミノ-C1-6アルキル、アリールおよびチオ-C1-6アルキルからなる群から選択されるか,またはR1およびR2は一緒になって、=O基を形成し;
R3は、H、ヒドロキシ、C1-6アルコキシ、-SOR16、-SO2R17、-C(O)OR11、-C(O)NR18R19、C1-6アルキル、ハロゲン、フルオロ-C1-6アルキル、ジフルオロ-C1-6アルキル、トリフルオロ-C1-6アルキル、C3-6シクロアルキル、C2-6アルケニル、アリール-C1-6アルキル、アリール-C2-6アルケニル、ヘテロアリール-C1-6アルキル、ヘテロアリール-C2-6アルケニル、ヒドロキシ-C1-6アルキル、アミノ-C1-6アルキル、アリールまたはチオ-C1-6アルキルであり;
Hetは、ピリジル、キノリル、ピリミジル、チアゾリル、ピラジニル、インドリル、キノキサニリル、ピリダジニル、ベンゾオキサゾリル、フェナントロリニル、ベンゾキノリニル、ベンズイミダゾリルまたはベンズイソキノリニルであり、ここで環の窒素はC1-6アルキル基を有する4級の基またはN-オキシドを形成し得、ここでHetは炭素原子環メンバーによりBに結合しており、そしてここで該Het基は、以下からなる群から独立して選択される1~4個の置換基、Wで置換される:H;C1-6アルキル;フルオロ-C1-6アルキル,ジフルオロ-C1-6アルキル;トリフルオロ-C1-6アルキル;C3-6シクロアルキル;ヘテロシクロアルキル;C1-6アルキルまたはC2-6アルケニルで置換されたヘテロシクロアルキル;C2-6アルケニル;R21-アリール-C1-6アルキル;R21-アリール-C2-6アルケニル;ヘテロアリール-C1-6アルキル;ヘテロアリール-C2-6アルケニル;ヒドロキシ-C1-6アルキル;ジヒドロキシ-C1-6アルキル;アミノ-C1-6アルキル;C1-6アルキルアミノ-C1-6アルキル;ジ-(C1-6アルキル)アミノ-C1-6アルキル;チオ-C1-6アルキル;C1-6アルコキシ;C2-6アルケニルオキシ;ハロゲン;-NR4R5;-CN;-OH;-COOR17;-COR16;-OSO2CF3;-CH2OCH2CF3;C1-6アルキルチオ;-C(O)NR4R6;-OCHR6-フェニル,フェニキシ-C1-6アルキル;-NHCOR16;-NHSO2R16;ビフェニル;-OC(R6)2COOR7;-OC(R6)2C(O)NR4R5;C1-6アルコキシ;以下で置換されるC1-6アルコキシ;C1-6アルキル、アミノ、-OH、COOR17、-NHCOOR17、-CONR4R5、アリール、1~3個の置換基で置換されるアリール(該置換基は以下からなる群から独立して選択される:ハロゲン、-CF3、C1-6アルキル、C1-6アルコキシおよび-OR17)、隣接する炭素がメチレンジオキシ基を有する環を形成するアリール、-C(O)NR4R5ならびにヘテロアリール;R21-アリール;隣接する炭素がメチレンジオキシ基を有する環を形成するアリール;ヘテロアリール;1~4個の置換基で置換されるヘテロアリール(該置換基は以下からなる群から選択される:ハロゲン、C1-6アルコキシ、C1-6アルキル、C1-6アルキルアミノ、ジ-(C1-6アルキル)アミノ、-CF3、-NO2、ヒドロキシ-C1-6アルキル、-CHOおよびフェニル);ならびに隣接する炭素原子がC3-5アルキレン基またはメチレンジオキシ基を有する環を形成するヘテロアリール;
R4およびR5は独立して、H、C1-6アルキル、フェニル、ベンジルおよびC3-6シクロアルキルからなる群から選択されるか、またはR4およびR5は共に、-(CH2)4-、-(CH2)5-または-(CH2)2NR7-(CH2)2-であり、そしてそれらが結合する窒素と共に環を形成し;
R6は、H、C1-6アルキルまたはフェニルからなる群から選択され;
R7は、HまたはC1-6アルキルであり;
R8、R10およびR11は独立して、R1および-OR1からなる群から選択され(但し、該結合
が二重結合である場合、R10は存在せず、そして環Qが芳香族である場合、R10およびR11は存在しない);
R9は、H、OH、C1-6アルコキシ、ハロゲンまたはハロ-C1-6アルキルであり;
Bは、-(CH2)n3-、-CH2-O-、-CH2-NR6-、-NR6CO-、シスまたはトランス-(CH2)n4-CR12=CR12a-(CH2)n5-あるいは-(CH2)n4-C≡C-(CH2)n5-であり、ここでn3は0~5であり、n4およびn5は独立して、0~2であり、そしてR12およびR12aは独立して、H、C1-6アルキルおよびハロゲンからなる群から選択され;
該結合
が単結合を表す場合、Xは-O-または-NR6-であり、あるいは該結合が存在しない場合、Yは=O、=S、(H,H)、(H,OH)または(H,C1-6アルコキシ)であり、あるいはこの結合が存在しない場合、Yは=O、(H,H)、(H,OH)、(H,SH)または(H,C1-6アルコキシ)であり;
R15は、該結合
が単結合を表す場合、存在せず、そして該結合が存在しない場合、H、C1-6アルキル、-NR18R19または-OR17であり;あるいは、Yは
であり、そしてR15はHまたはC1-6アルキルであり;
R16およびR16aは独立して、C1-6低級アルキル、フェニルまたはベンジルからなる群から選択され;
R17、R18およびR19は独立して、H、C1-6アルキル、フェニル、ベンジルからなる群から選択され;
R20は、H、C1-6アルキル、フェニル、ベンジル、-C(O)R6または-SO2R6であり;
R21は、-CF3、-OCF3、ハロゲン、-NO2、C1-6アルキル、C1-6アルコキシ、C1-6アルキルアミノ、ジ-(C1-6アルキル)アミノ、アミノ-C1-6アルキル、C1-6アルキルアミノ-C1-6アルキル、ジ-(C1-6アルキル)-アミノ-(C1-6アルキルヒドロキシ-C1-6アルキル、-COOR17、-COR17、-NHCOR16、-NHSO2R16および-NHSO2CH2CF3からなる群から独立して選択される1~3個の置換基であり;
Zは、-CH2-、-O-、-C(O)-、-C(=NOR17)-または-C(R13R14)-であり、ここでR13およびR14は、それらが結合する炭素と共に、3~6個の炭素のスピロシクロアルキル基、または2~5個の炭素原子ならびにO、SおよびNからなる群から選択される1または2個のヘテロ原子を含む3~6員のスピロヘテロシクロアルキル基を形成する。]で表される化合物、またはその薬学的に受容可能な塩である。
[9]WO02/068425に記載の化合物、すなわち、式(12):
[式中、
R1は、ハロゲン、C1-4アルキル、C2-4アルケニル、C2-4アルキニル、C1-4アルコキシ、アリール、ヘテルアリール、アミノ、アミド、アミジノ、グアニジノ、ヒドロキシ、ニトロおよびシアノよりなる群から独立に選択される1ないし5個の置換基で場合によっては置換されるアリール、ヘテロアリールおよびC3-8シクロアルキルよりなる群から選択され;
R2およびR3は、水素、C1-8アルキル、C2-8アルケニル、C2-8アルキニル、C3-8シクロアルキルおよびアリール-C1-8アルキルよりなる群から独立に選択されるか、あるいは、C1-8アルキルおよびC2-8アルケニルより成る群から独立に選択される場合は、R2およびR3は、それらが結合される窒素と一緒になって、飽和もしくは部分的に飽和の4ないし6員ヘテロシクリル環を形成してもよく;
nは、0、1、2もしくは3から選択される整数であり;
Xは水素、-OR4、-NH2、-NHR4および-NR4R5よりなる群から選択され;
R4およびR5はC1-8アルキル、C3-8シクロアルキルおよびアリール-C1-8アルキルより成る群から独立に選択され;
Yは、ハロゲン、-NH2、-NHR6、-NR6R7、-A1-NH2、-A1-NHR6、-A1-NR6R7、-A1-A2-NH2、-A1-A2-NHR6および-A1-A2-NR6R7よりなる群から選択され;
R6およびR7はC1-8アルキル、C3-8シクロアルキルおよびアリール-C1-8アルキルよりなる群から独立に選択され;ならびに
A1およびA2は、ハロゲン、C1-4アルキル、C2-4アルケニル、C2-4アルキニル、C1-4アルコキシ、アリール、ヘテロシクリル、アミノ、アミド、アミジノ、グアニジノ、ヒドロキシ、ニトロおよびシアノよりなる群から独立に選択される1ないし3個の置換基場合によっては置換される、アルギニン、ホモアルギニン、2,4-ジアミノ酪酸、リシン、オルニチン、ヒスチジン、フェニルアラニン、ホモフェニルアラニン、ナフチルアラニン、シクロヘキシルアラニン、トリプトファンおよびチロシンよりなるL-アミノ酸残基群から独立に選択される]で表される化合物またはその製薬学的に許容される塩。
[式中、
R1は、ハロゲン、C1-4アルキル、C2-4アルケニル、C2-4アルキニル、C1-4アルコキシ、アリール、ヘテルアリール、アミノ、アミド、アミジノ、グアニジノ、ヒドロキシ、ニトロおよびシアノよりなる群から独立に選択される1ないし5個の置換基で場合によっては置換されるアリール、ヘテロアリールおよびC3-8シクロアルキルよりなる群から選択され;
R2およびR3は、水素、C1-8アルキル、C2-8アルケニル、C2-8アルキニル、C3-8シクロアルキルおよびアリール-C1-8アルキルよりなる群から独立に選択されるか、あるいは、C1-8アルキルおよびC2-8アルケニルより成る群から独立に選択される場合は、R2およびR3は、それらが結合される窒素と一緒になって、飽和もしくは部分的に飽和の4ないし6員ヘテロシクリル環を形成してもよく;
nは、0、1、2もしくは3から選択される整数であり;
Xは水素、-OR4、-NH2、-NHR4および-NR4R5よりなる群から選択され;
R4およびR5はC1-8アルキル、C3-8シクロアルキルおよびアリール-C1-8アルキルより成る群から独立に選択され;
Yは、ハロゲン、-NH2、-NHR6、-NR6R7、-A1-NH2、-A1-NHR6、-A1-NR6R7、-A1-A2-NH2、-A1-A2-NHR6および-A1-A2-NR6R7よりなる群から選択され;
R6およびR7はC1-8アルキル、C3-8シクロアルキルおよびアリール-C1-8アルキルよりなる群から独立に選択され;ならびに
A1およびA2は、ハロゲン、C1-4アルキル、C2-4アルケニル、C2-4アルキニル、C1-4アルコキシ、アリール、ヘテロシクリル、アミノ、アミド、アミジノ、グアニジノ、ヒドロキシ、ニトロおよびシアノよりなる群から独立に選択される1ないし3個の置換基場合によっては置換される、アルギニン、ホモアルギニン、2,4-ジアミノ酪酸、リシン、オルニチン、ヒスチジン、フェニルアラニン、ホモフェニルアラニン、ナフチルアラニン、シクロヘキシルアラニン、トリプトファンおよびチロシンよりなるL-アミノ酸残基群から独立に選択される]で表される化合物またはその製薬学的に許容される塩。
[10]US8198272に記載の化合物、すなわち、式(13):
[式中、
XはC-R1又はNであり、
Aは有機又は無機酸のアニオンであり、
Q1は水素原子、-C1-6アルキル、-C3-6シクロアルキル、-C0-4アルキレン-C(O)-R11、-C0-4アルキレン-C(O)-N(R11)-R12、-C0-4アルキレン-C(O)-R11、-OH、-O-C1-6アルキル又は-O-C3-6シクロアルキルであり、ここでアルキル及びシクロアルキルはそれぞれ非置換であるか又は-C1-4アルキル、-C3-6シクロアルキル、-OH、-O-C1-6アルキル若しくは-O-C3-6シクロアルキルによって独立して一、二若しくは三置換されており、ここでアルキル又はシクロアルキル中の水素原子のいくつか又は全てはフッ素によって置き換えられていてもよく、
Q2及びQ3は同一又は異なり、そしてそれぞれ独立して水素原子、-C1-6アルキル又は-C3-6シクロアルキルであり、ここでアルキル又はシクロアルキル中の水素原子のいくつか又は全てはフッ素によって置き換えられていてもよく、
R1、R2、R3及びR4は同一又は異なり、そしてそれぞれ独立して水素原子、-C1-6アルキル、-C3-6シクロアルキル、-O-C1-8アルキル、-O-C3-6シクロアルキル、-C0-4アルキレン-C(O)-N(R11)-R12、-C0-4アルキレン-C(O)-O-R11、-C0-4アルキレン-N(R11)-C(O)-O-R12、-C0-4アルキレン-C(O)-R11、-C0-4アルキレン-N(R11)-R12、-C0-4アルキレン-N(R11)-C(O)-R12、ハロゲン、-OH、-CN、-NO2、-SO2CH3、-SO2CF3、-SF5、-Si[-C1-4アルキル]3、-C1-6アルキレン-O-C1-6アルキル、-O-C1-6アルキレン-O-C1-6アルキル、-O-C0-4アルキレン-C6-14アリール、ここでアリールは非置換であるか若しくは-O-C1-6アルキル、-C1-4アルキル、-OH、-C3-6シクロアルキル若しくは-O-C3-6シクロアルキルによって独立して一、二若しくは三置換されており、-O-C1-4アルキレン-C3-6シクロアルキル、-C4-15Het、ここでHetは非置換であるか若しくは-C1-4アルキル、-C3-6シクロアルキル、-OH、-O-C1-6アルキル若しくは-O-C3-6シクロアルキルによって独立して一、二若しくは三置換されており、又は-O-C1-6アルキレン-O-C1-6アルキレン-O-C1-6アルキルであり、ここでアルキル、アルキレン及びシクロアルキルはそれぞれ非置換であるか又は-C1-4アルキル、-C3-6シクロアルキル、-OH、-O-C1-6アルキル、-C6-14アリール、ここでアリールは非置換であるか若しくはハロゲン、-C1-4アルキル、-C3-6シクロアルキル、-OH、-O-C1-6アルキル若しくは-O-C3-6シクロアルキルによって独立して一、二、三、四若しくは五置換されており、-C4-15Het、ここでHetは非置換であるか若しくはハロゲン、-C1-4アルキル、-C3-6シクロアルキル、-OH、-O-C1-6アルキル若しくは-O-C3-6シクロアルキルによって独立して一、二、三、四若しくは五置換されており、-O-C3-6シクロアルキルによって独立して、二若しくは三置換されており、ここでアルキル、アルキレン又はシクロアルキル中の水素原子のいくつか又は全てはフッ素原子によって置き換えられていてもよく、又は
R1及びR2、R2及びR3、又はR3及びR4は、それらがそれぞれ結合している環原子と共に5~8員環を形成し、ここで環は炭素原子のみからなるか又はそれらの原子の1、2若しくは3個は窒素、酸素若しくは硫黄原子によって置き換えられており、ここで環は非置換であるか又は-C1-4アルキル、-C3-6シクロアルキル、-OH、-O-C1-6アルキル若しくは-O-C3-6シクロアルキルによって独立して一若しくは二置換されており、ここで形成された5~8員環中、及びアルキル又はシクロアルキル中の水素原子のいくつか又は全てはフッ素原子によって置き換えられていてもよく、
R11及びR12(Q1にも適用すべき)はそれぞれ独立して水素原子、-C1-6アルキル、-C3-6シクロアルキル、-C0-4アルキレン-C6-14アリール、-C0-4アルキレン-C4-15Het、-SO2CH3又は-SO2CF3であり、ここでアルキル、アルキレン又はシクロアルキル中の水素原子のいくつか又は全てはフッ素原子によって置き換えられていてもよく、又は
“N(R11)-R12”及び“N(R11)-C(O)-R12”断片中のR11及びR12は、窒素原子“N”又は“N-C(O)”基と共に、N、O及びSの群からの最大で2個のさらなるヘテロ原子を含み得る環式アミン、イミド又はラクタムを形成するよう形成される5~8員環を表しており、ここで環は非置換であるか又は-C1-4アルキル、-C3-6シクロアルキル、-OH、-O-C1-6アルキル若しくは-O-C3-6シクロアルキルによって独立して一若しくは二置換されており、ここで形成された5~8員環中、及びアルキル又はシクロアルキル中の水素原子のいくつか又は全てはフッ素原子によって置き換えられていてもよく、
R5、R6、R7、R8及びR9は同一又は異なり、そしてそれぞれ独立して水素原子、-C1-6アルキル、-C3-6シクロアルキル、-OH、-CN、-NO2、-O-C1-8アルキル、-O-C3-6シクロアルキル、-C0-4アルキレン-C(O)-N(R21)-R22、-SO2CH3、-SO2CF3、-C0-4アルキレン-C(O)-O-R21、ハロゲン、-SF5、-C0-4アルキレン-C(O)-R21、-C0-4アルキレン-N(R21)-R22、-C0-4アルキレン-N(R21)-C(O)-R22、-C1-6アルキレン-O-C1-6アルキル、-C0-6アルキレン-O-C1-6アルキレン-O-C1-6アルキル、-Si[-C1-4アルキル]3、-C0-6アルキレン-O-C1-4アルキレン-C3-6シクロアルキル、-C0-6アルキレン-O-C0-6アルキレン-C6-14アリール又は-C4-15Hetであり、ここでアルキル、アルキレン及びシクロアルキルはそれぞれ非置換であるか又は-C1-4アルキル、-C3-6シクロアルキル、-OH、-O-C1-6アルキル、-C6-14アリール、ここでアリールは非置換であるか若しくはハロゲン、-C1-4アルキル、-C3-6シクロアルキル、-OH、-O-C1-6アルキル若しくは-O-C3-6シクロアルキルによって独立して一、二、三、四若しくは五置換されており、-C4-15Het、ここでHetは非置換であるか若しくはハロゲン、-C1-4アルキル、-C3-6シクロアルキル、-OH、-O-C1-6アルキル若しくは-O-C3-6シクロアルキルによって独立して一、二、三、四若しくは五置換されており、若しくは-O-C3-6シクロアルキルによって独立して一、二若しくは三置換されており、ここでアルキル、アルキレン又はシクロアルキル中の水素原子のいくつか又は全てはフッ素原子によって置き換えられていてもよく、又は
R5及びR6、R6及びR7、R7及びR8、又はR8及びR9は、それらがそれぞれ結合している環原子と共に5~8員環を形成し、ここで環は炭素原子のみからなるか又はそれらの原子の1、2若しくは3個は窒素、酸素若しくは硫黄原子によって置き換えられており、ここで環は非置換であるか又は-C1-4アルキル、-C3-6シクロアルキル、-OH、-O-C1-6アルキル若しくは-O-C3-6シクロアルキルによって独立して、若しくは三置換されており、ここで形成された5~8員環中、及びアルキル又はシクロアルキル中の水素原子のいくつか又は全てはフッ素原子によって置き換えられていてもよく、
R21及びR22はそれぞれ独立して水素原子、-C1-6アルキル、-C3-6シクロアルキル、-C0-4アルキレン-C6-14アリール、-C0-4アルキレン-C4-15Het、-SO2CH3又は-SO2CF3であり、ここでアルキル、アルキレン又はシクロアルキル中の水素原子のいくつか又は全てはフッ素原子によって置き換えられていてもよく、又は“N(R21)-R22”及び“N(R21)-C(O)-R22”断片中のR21及びR22は、窒素原子“N”又は“N-C(O)”基と共に、N、O及びSの群からの最大で2個のさらなるヘテロ原子を含み得る環式アミン、イミド又はラクタムを形成するよう形成される5~8員環を表しており、ここで環は非置換であるか又は-C1-4アルキル、-C3-6シクロアルキル、-OH、-O-C1-6アルキル若しくは-O-C3-6シクロアルキルによって独立してー若しくは二置換されており、ここで形成された5~8員環中、及びアルキル又はシクロアルキル中の水素原子のいくつか又は全てはフッ素によって置換されていてもよい]の化合物及び/又は式(13)の化合物の任意の立体異性形態又は互変異性形態及び/又はそれらの形態の任意の比率の混合物、及び/又は式(13)の化合物の生理学的に適合しうる塩。
[10]に記載の化合物は、好ましくは、1-{2-[3-アセチルアミノ-5-(ペンタフルオロスルファニル)フェニル]-2-オキソエチル}-3-アミノ-6-エトキシ[1,2,4]トリアゾロ[4,3-b]ピリダジン-1-イウムトリフルオロ酢酸塩、3-アミノ-1-[2-(3,5-ジ-tert-ブチル-4-ヒドロキシフェニル)-2-オキソエチル]-6-トリフルオロメチル-[1,2,4]-トリアゾロ[4,3-a]-ピリジン-1-イウム、3-アミノ-1-[2-(3,5-ジ-tert-ブチル-4-ヒドロキシフェニル)-2-オキソエチル]-[1,2,4]トリアゾロ[4,3-a]ピリジン-1-イウム、3-アミノ-1-[2-(3-tert-ブチル-4-メトキシ-5-モルホリン-4-イルフェニル)-2-オキソエチル]-6-トリフルオロメチル[1,2,4]トリアゾロ[4,3-a]ピリジン-1-イウム、3-アミノ-1-[2-(3-tert-ブチル-4-メトキシ-5-モルホリン-4-イルフェニル)-2-オキソエチル]-5-メチル-7-トリフルオロメチル[1,2,4]トリアゾロ[4,3-a]ピリジン-1-イウム、3-アミノ-5-クロロ]-{2-[3-メチルアミノ-5-(ペンタフルオロスルファニル)フェニル]-2-オキソエチル}-[1,2,4]トリアゾロ[4,3-a]ピリジン-1-イウム、3-アミノ-7-エトキシ-6-エトキシカルボニル)-{2-[3-メチルアミノ-5-(ペンタフルオロスルファニル)フェニル]-2-オキソエチル}-[1,2,4]トリアゾロ[4,3-a]ピリジン-1-イウム、3-アミノ-1-[2-(3-tert-ブチル-4-メトキシ-5-モルホリン-4-イルフェニル)-2-オキソエチル]-7-エトキシ-6-エトキシカルボニル-[1,2,4]トリアゾロ[4,3-a]ピリジン-1-イウム、3-アミノ-1-[2-(3-tert-ブチル-4-メトキシ-5-モルホリン-4-イルフェニル)-2-オキソエチル]-7-エトキシ-6-メチルカルバモイル[1,2,4]トリアゾロ[4,3-a]ピリジン]-1-イウム、3-アミノ-6-クロロ-1-[2-(3,5-ジ-tert-ブチル-4-ヒドロキシフェニル)-2-オキソエチル]-[1,2,4]トリアゾロ[4,3-b]ピリダジン-1-イウム、3-アミノ-1-[2-(3-tert-ブチル4-メトキシ-5-モルホリン-4-イルフェニル)-2-オキソエチル]-6-エトキシ[1,2,4]トリアゾロ[4,3-b]ピリダジン-1-イウム、3-アミノ-1-[2-(3-tert-ブチル-4-メトキシ-5-モルホリン-4-イルフェニル)-2-オキソエチル]-6-イソプロポキシ[1,2,4]トリアゾロ[4,3-b]ピリダジン-1-イウム、3-アミノ-1-[2-(3-tert-ブチル-4-メトキシ-5-モルホリン-4-イルフェニル)-2-オキソエチル]-6-メトキシ[1,2,4]トリアゾロ[4,3-b]ピリダジン-1-イウム、3-アミノ-6-エトキシ-1-[2-(4-メトキシ-3-モルホリン-4-イル-5-トリフルオロメチルフェニル)-2-オキソエチル]-[1,2,4]トリアゾロ[4,3-b]ピリダジン-1-イウム、1-{2-[3-アセチルアミノ-5-(ペンタフルオロスルファニル)フェニル]-2-オキソエチル}-3-アミノ-6-エトキシ[1,2,4]トリアゾロ[4,3-b]ピリダジン-1-イウム、3-アミノ-1-[2-(3-tert-ブチル-4-メトキシ-5-モルホリン-4-イルフェニル)-2-オキソエチル]-6-シクロペンチルオキシ[1,2,4]トリアゾロ[4,3-b]ピリダジン-1-イウム、3-アミノ1-[2-(3-tert-ブチル-4-メトキシ-5-モルホリン-4-イルフェニル)-2-オキソエチル]-6-シクロブチルオキシ[1,2,4]トリアゾロ[4,3-b]ピリダジン-1-イウム、3-アミノ-1-[2-(3-tert-ブチル-4-メトキシ-5-モルホリン-4-イルフェニル)-2-オキソエチル]-6-フェノキシ[1,2,4]トリアゾロ[4,3-b]ピリダジン-1-イウム、3-アミノ-6-ベンジルオキシ)-[2-(3-tert-ブチル-4-メトキシ-5-モルホリン-4-イルフェニル)-2-オキソエチル]-[1,2,4]トリアゾロ[4,3-b]ピリダジン-1-イウム、3-アミノ)-[2-(3-tert-ブチル-4-メトキシ-5-モルホリン-4-イルフェニル)-2-オキソエチル]-6-(1-エチルプロポキシ)-[1,2,4]トリアゾロ[4,3-b]ピリダジン-1-イウム、3-アミノ-1-[2-(3-tert-ブチル-4-メトキシ-5-モルホリン-4-イルフェニル)-2-オキソエチル]-6-シクロヘキシルオキシ[1,2,4]トリアゾロ[4,3-b]ピリダジン-1-イウム、3-アミノ-1-[2-(3-tert-ブチル-4-メトキシ-5-モルホリン-4-イル-フェニル)-2-オキソエチル]-6-(2,2,2-トリフルオロエトキシ)-[1,2,4]トリアゾロ[4,3-b]ピリダジン-1-イウム、3-アミノ-1-[2(3-tert-ブチル-4-メトキシ-5-モルホリン-4-イルフェニル)-2-オキソエチル]-6-シクロプロピルメトキシ[1,2,4]トリアゾロ[4,3-b]ピリダジン-1-イウム、3-アミノ-1-[2-(3-tert-ブチル-4-メトキシ-5-モルホリン-4-イルフェニル)-2-オキソエチル]-6-エトキシ[1,2,4]トリアゾロ[4,3-b]ピリダジン-1-イウム、3-アミノ-6-(1-エチルプロポキシ)-1-{2-[3-メチルアミノ-5-(ペンタフルオロスルファニル)フェニル]-2-オキソエチル}-[1,2,4]トリアゾロ[4,3-b]ピリダジン-1-イウム、3-アミノ-6-(1-エチルプロポキシ)-1-{2-[3-メトキシ-5-(ペンタフルオロスルファニル)フェニル]-2-オキソエチル}-[1,2,4]トリアゾロ[4,3-b]ピリダジン-1-イウム、3-アミノ-1-[2-(3-tert-ブチル-5-エトキシメチルフェニル)-2-オキソエチル]-6-(1-エチルプロポキシ)-[1,2,4]トリアゾロ[4,3-b]ピリダジン-1-イウム、3-アミノ-1-[2-(3-tert-ブチル-5-シクロプロピルメトキシメチルフェニル)-2-オキソエチル]-6-(1-エチルプロポキシ)-[1,2,4]トリアゾロ[4,3-b]ピリダジン-1-イウム、3-アミノ-1-[2-(3-tert-ブチル-4,5-ジエトキシフェニル)-2-オキソエチル]-6-(1-エチルプロポキシ)-[1,2,4]トリアゾロ[4,3-b]ピリダジン-1-イウム、3-アミノ-1-[2-(3-tert-ブチル-4,5-ビスシクロプロピルメトキシフェニル)-2-オキソエチル]-6-(1-エチルプロポキシ)-[1,2,4]トリアゾロ[4,3-b]ピリダジン-1-イウム、3-アミノ-1-[2-(3-tert-ブチル-5-プロポキシメチルフェニル)-2-オキソエチル]-6-(1-エチルプロポキシ)-[1,2,4]トリアゾロ[4,3-b]ピリダジン-1-イウム、3-アミノ-1-[2-(3-tert-ブチル-5-エトキシフェニル)-2-オキソエチル]-6-(1-エチルプロポキシ)-[1,2,4]トリアゾロ[4,3-b]ピリダジン-1-イウム、3-アミノ-6-(1-エチルプロポキシ)-1-[2-(3-メトキシ-5-トリフルオロメチルフェニル)-2-オキソエチル]-[1,2,4]トリアゾロ[4,3-b]ピリダジン-1-イウム、3-アミノ-1-[2-(3-tert-ブチル-5-メトキシフェニル)-2-オキソエチル]-6-(1-エチルプロポキシ)-[1,2,4]トリアゾロ[4,3-b]ピリダジン-1-イウム、3-アミノ-1-[2-(3-tert-ブチル-5-シクロプロピルメトキシフェニル)-2-オキソエチル]-6-(1-エチルプロポキシ)-[1,2,4]トリアゾロ[4,3-b]ピリダジン-1-イウム、3-アミノ-1-[2-(3-tert-ブチル-5-シクロブチルメトキシフェニル)-2-オキソエチル]-6-(1-エチルプロポキシ)-[1,2,4]トリアゾロ[4,3-b]ピリダジン-1-イウム、3-アミノ-1-[2-(3-ベンジルオキシメチル-5-tert-ブチルフェニル)-2-オキソエチル]-6-(1-エチルプロポキシ)-[1,2,4]トリアゾロ[4,3-b]ピリダジン-1-イウム、3-アミノ-1-[2-(3-シクロヘキシルメトキシ-4,5-ジメトキシフェニル)-2-オキソエチル]-6-(1-エチルプロポキシ)-[1,2,4]トリアゾロ[4,3-b]ピリダジン-1-イウム、3-アミノ-6-ブトキシ-1-[2-(3-tert-ブチル-5-メトキシメチルフェニル)-2-オキソエチル]-[1,2,4]トリアゾロ[4,3-b]ピリダジン-1-イウム、3-アミノ-1-[2-(3-クロロ-5-メトキシフェニル)-2-オキソエチル]-6-(1-エチルプロポキシ)-[1,2,4]トリアゾロ[4,3-b]ピリダジン-1-イウム、3-アミノ-1-[2-(8-tert-ブチル-4-メチル-3,4-ジヒドロ-2H-ベンゾ[1,4]オキサジン-6-イル)-2-オキソエチル]-6-(1-エチルプロポキシ)-[1,2,4]トリアゾロ[4,3-b]ピリダジン-1-イウム、3-アミノ1-[2-(3-tert-ブチル-4-メトキシ-5-モルホリン-4-イルフェニル)-2-オキソエチル]-6-ジエチルアミノ[1,2,4]トリアゾロ[4,3-b]ピリダジン-1-イウム、3-アミノ-1-[2-(3-tert-ブチル-4-メトキシ-5-モルホリン-4-イルフェニル)-2-オキソエチル]-6-ピペリジン-1-イル-[1,2,4]トリアゾロ[4,3-b]ピリダジン-1-イウム、3-アミノ-1-[2-(3-tert-ブチル-4-メトキシ-5-モルホリン-4-イルフェニル)-2-オキソエチル]-6-エトキシ[1,2,4]トリアゾロ[4,3-a]ピリジン-1-イウム、3-アミノ-1-[2-(3-シクロヘキシルメトキシ-5-エトキシフェニル)-2-オキソエチル]-6-(1-エチルプロポキシ)-[1,2,4]トリアゾロ[4,3-b]ピリダジン-1-イウム、3-アミノ-1-[2-(3-ブロモ-5-メトキシフェニル)-2-オキソエチル]-6-(1-エチルプロポキシ)-[1,2,4]トリアゾロ[4,3-b]ピリダジン-1-イウム、3-アミノ-6-(1-エチルプロポキシ)-1-[2-(3-イソプロピル-5-メトキシフェニル)-2-オキソエチル]-[1,2,4]トリアゾロ[4,3-b]ピリダジン-1-イウム、3-アミノ-1-[2-(3-シクロヘキシルメトキシ-5-メトキシフェニル)-2-オキソエチル]-6-(1-エチルプロポキシ)-[1.2.4]トリアゾロ[4,3-b]ピリダジン-1-イウム、3-アミノ-1-{2-[3-(3.3-ジメチルブトキシ)-5-エトキシフェニル]-2-オキソエチル}-6-(1-エチルプロポキシ)-[1.2.4]トリアゾロ[4.3-b]ピリダジン-1-イウム、3-アミノ-1-[2-(8-tert-ブチル-4-メチル-3,4-ジヒドロ-2H-ベンゾ[1.4]オキサジン-6-イル)-2-オキソエチル]-6-エトキシ[1.2.4]トリアゾロ[4.3-a]ピリジン-1-イウム、3-アミノ-6-ジエチルアミノ-1-{2-[3-メトキシ-5-(ペンタフルオロスルファニル)フェニル]-2-オキソエチル)-[1.2.4]トリアゾロ[4.3-b]ピリダジン-1-イウム、3-アミノ-1-[2-(3-tert-ブチル-4-メトキシ-5-モルホリン-4-イルフェニル)-2-オキソエチル]-6-モルホリン-4-イル-[1.2.4]トリアゾロ[4.3-b]ピリダジン-1-イウム、3-アミノ-1-[2-(5-ブロモ-2,3-ジメトキシフェニル)-2-オキソエチル]-6-(1-エチルプロポキシ)-
[1.2.4]トリアゾロ[4.3-b]ピリダジン-1-イウム、3-アミノ-1-[2-(3-クロロ-4,5ジメトキシフェニル)-2-オキソエチル]-6-(1-エチルプロポキシ)-[1.2.4]トリアゾロ[4.3-b]ピリダジン-1-イウム、3-アミノ-1-{2-[3-tert-ブチル-5-(2-メトキシエトキシ)フェニル]-2-オキソエチル)--6-(1-エチルプロポキシ)-[1,2,4]トリアゾロ[4.3-b]ピリダジン1-イウム、3-アミノ-1-[2-(3-tert-ブチル-5-メトキシフェニル)-2オキソエチル]-6-(2-メトキシエトキシ)-[1.2.4]トリアゾロ[4.3-b]ピリダジン-1-イウム、3-アミノ-1-[2-(3-tert-ブチル-5-メトキシメチルフェニル)-2-オキソエチル]-6-(2-メトキシエトキシ)-[1.2.4]トリアゾロ[4.3-b]ピリダジン-1-イウム、3-アミノ-1-[2-(3-tert-ブチル-4-メトキシ-5-モルホリン-4-イル-フェニル)-2-オキソエチル]-6-クロロ-[1.2.4]トリアゾロ[4.3-b]ピリダジン-1-イウム、3-アミノ-6-(1-エチルプロポキシ)-1-{2-[3-モルホリン-4-イル-5-(ペンタフルオロスルファニル)フェニル]-2-オキソエチル)-[1.2.4]トリアゾロ[4.3-b]ピリダジン-1-イウム、3-アミノ-6-エチル-1-{2-[3-メトキシ-5-(ペンタフルオロスルファニル)フェニル]-2-オキソエチル)-[1.2.4]トリアゾロ[4.3-b]ピリダジン-1-イウム、3-アミノ-1-[2-(3-tert-ブチル-4-メトキシ-5-モルホリン-4-イルフェニル)-2-オキソエチル]-6-エチル[1.2.4]トリアゾロ[4,3-b]ピリダジン-1-イウム、3-アミノ-6-クロロ-7-ジエチルカルバモイル-1-{2-[3-メトキシ-5-(ペンタフルオロスルファニル)フェニル]-2-オキソエチル}-[1,2.4]トリアゾロ[4.3-b]ピリダジン-1-イウム又は3-アミノ-1-[2-(3-tert-ブチル-4-メトキシ-5-モルホリン-4-イルフェニル)-2-オキソエチル]-6-クロロ-7-ジエチルカルバモイル-[1,2,4]トリアゾロ[4.3-b]ピリダジン-1-イウムの群から選ばれる化合物である。
[11]US7183252に記載の化合物、すなわち、式(14):
[式中、
A1及びA2は、それぞれ独立に、アラニン、β-アラニン、アルギニン、ホモアルギニン、シクロヘキシルアラニン、シトルリン、システイン(任意で、C1-4アルキル、アリールもしくはアリール-C1-4アルキルで置換されていてもよい)、2,4-ジアミノ酪酸(任意で、アシル、C1-4アルキル、アロイル、アミジノもしくはMeC(NH)-で置換されていてもよい)、2,3-ジアミノプロピオン酸(任意で、アシル、C1-4アルキル、アロイル、アミジノもしくはMeC(NH)-で置換されていてもよい)、グルタミン、グリシン、インダニルグリシン、リシン(任意で、アシル、C1-4アルキル、アロイルもしくはMeC(NH)-で置換されていてもよい)、バリン、メチオニン、プロリン、セリン(任意で、C1-4アルキル、アリールもしくはアリール-C1-4アルキルで置換されていてもよい)、ホモセリン(任意で、C1-4アルキル、アリールもしくはアリール-C1-4アルキルで置換されていてもよい)、テトラヒドロイソキノリン-3-COOH、スレオニン(任意で、C1-4アルキル、アリールもしくはアリール-C1-4アルキルで置換されていてもよい)、オルニチン(任意で、アシル、C1-4アルキル、アロイルもしくはMeC(NH)-で置換されていてもよい)からなる群から選択されるD-又はL-アミノ酸、ならびに、フェニルアラニン、ヘテロアリールアラニン、ナフチルアラニン、ホモフェニルアラニン、ヒスチジン、トリプトファン、チロシン、アリールグリシン、ヘテロアリールグリシン、アリール-β-アラニン及びヘテロアリール-β-アラニンからなる群から選択される無置換又は置換されていてもよい芳香族アミノ酸(ここで、芳香族アミノ酸の置換基は、独立に、ハロゲン、C1-4アルキル、C1-4アルコキシ、ヒドロキシ、C1-4アルコキシカルボニル、アミノ、アミジノ、グアニジノ、フッ素化されたC1-4アルキル、フッ素化されたC1-4アルコキシ,C1-4アルキルスルホニル、C1-4アルキルカルボニル、シアノ、アリール、ヘテロアリール、アリール-C1-4アルキル、C2-4アルケニル、アルキニル又はニトロである);
R1は、アミノ、C1-8アルキルアミノ、C1-8ジアルキルアミノ、アリールアミノ、アリール-C1-8アルキルアミノ、C3-8シクロアルキルアミノ、ヘテロアルキル-C1-8アルキルアミノ、ヘテロアルキル-C1-8アルキル-N-メチルアミノ、C1-8ジアルキルアミノ-C1-8アルキルアミノ、-N(C1-8アルキル)-C1-8アルキル-N(C1-8アルキル)2、-N(C1-8アルキル)(C1-8アルケニル)、-N(C1-8アルキル)(C3-8シクロアルキル)、ヘテロアルキル又は置換されたヘテロアルキル(ここで、ヘテロアルキル上の置換基は、オキソ、アミノ、C1-8アルコキシ-C1-8アルキル、C1-8アルキルアミノもしくはC1-8ジアルキルアミノから選択される)からなる群から選択され;
R2は、水素、ハロゲン、C1-8アルキル、C3-8シクロアルキル、C1-8アルケニル、C1-8アルキニル、アリール-C1-8アルキル、アリール及びヘテロアリールから選択され;
R3及びR4は、それぞれ独立に、水素、C1-8アルキル、C3-8シクロアルキル、C3-8シクロアルキル-C1-8アルキル、アリール、ヘテロアルキル、置換されたヘテロアルキル(ここで、ヘテロアルキル上の置換基は、C1-8アルコキシカルボニル、C1-8アルキルもしくはC1-4アルキルカルボニルから選択される、1もしくは2以上の置換基である)、ヘテロアルキル-C1-8アルキル、インダニル、アセトアミジノ-C1-8アルキル、アミノ-C1-8アルキル、C1-8アルキルミノ-C1-8アルキル、C1-8ジアルキルアミノ-C1-8アルキル、無置換もしくは置換されたヘテロアリール-C1-8アルキル(ここで、アリールアルキル又はヘテロアリールアルキル上の置換基は、独立に、ハロゲン、ニトロ、アミノ、C1-8アルキル、C1-8アルコキシ、ヒドロキシ、シアノ、C1-4アルキルカルボニル、C1-8アルコキシカルボニル、ヒドロキシ-C1-8アルキル又はアミノスルホニルから選択される1又は2以上の置換基である)からなる群から選択され、
R3及びR4は、これらが結合する窒素原子と一緒になって、ピペリジニル、ピペラジニル、モルホリニル及びピロリジニルから選択される、無置換又は置換されたヘテロアルキル(ここで、置換基は、独立に、C1-8アルキル、C1-8アルコキシカルボニル又はC1-8アルコキシカルボニルから選択される、1又は2以上の置換基である)を形成してもよく;
R5は、無置換又は置換されたアリール、無置換又は置換されたアリール-C1-8アルキル、無置換又は置換されたC3-8シクロアルキル又は無置換又は置換されたヘテロアリール(ここで、アリール、アリール-C1-8アルキル、C3-8シクロアルキル又はヘテロアリール上の置換基は、独立に、ハロゲン、ニトロ、アミノ、シアノ、ヒドロキシアルキル、C1-8アルキル、C1-8アルコキシ、ヒドロキシ、C1-4アルキルカルボニル、C1-8アルコキシカルボニル、フッ素化されたC1-4アルキル、フッ素化されたC1-4アルコキシ又はC1-4アルキルスルホニルから選択される1又は2以上の置換基である)から選択され;
R6は、水素又はC1-8アルキルから選択され;
nは、1又は2から選択される整数であり;
pは、0又は1から選択される整数であり;
Xは、酸素又は硫黄であり;
mは、0、1、2又は3から選択される整数である]で表される化合物、またはその薬学的に許容可能な塩。
[11]に記載の化合物は、好ましくは、式(14):
[式中、
A1及びA2は、それぞれ独立に、アラニン、β-アラニン、アルギニン、ホモアルギニン、シクロヘキシルアラニン、シトルリン、システイン(任意で、C1-4アルキル、アリールもしくはアリール-C1-4アルキルで置換されていてもよい)、2,4-ジアミノブタン酸(任意で、アシル、C1-4アルキル、アロイル、アミジノもしくはMeC(NH)-で置換されていてもよい)、2,3-ジアミノプロピオン酸(任意で、アシル、C1-4アルキル、アロイル、アミジノもしくはMeC(NH)-で置換されていてもよい)、グルタミン、グリシン、インダニルグリシン、リシン(任意で、アシル、C1-4アルキル、アロイルもしくはMeC(NH)-で置換されていてもよい)、バリン、メチオニン、プロリン、セリン(任意で、C1-4アルキル、アリールもしくはアリール-C1-4アルキルで置換されていてもよい)、ホモセリン(任意で、C1-4アルキル、アリールもしくはアリール-C1-4アルキルで置換されていてもよい)、テトラヒドロイソキノリン-3-COOH、スレオニン(任意で、C1-4アルキル、アリールもしくはアリール-C1-4アルキルで置換されていてもよい)、オルニチン(任意で、アシル、C1-4アルキル、アロイルもしくはMeC(NH)-で置換されていてもよい)からなる群から選択されるL-アミノ酸、ならびに、フェニルアラニン、ヘテロアリールアラニン、ナフチルアラニン、ホモフェニルアラニン、ヒスチジン、トリプトファン、チロシン、アリールグリシン、ヘテロアリールグリシン、アリール-β-アラニン及びヘテロアリール-β-アラニンからなる群から選択される無置換又は置換されていてもよい芳香族アミノ酸(ここで、芳香族アミノ酸の置換基は、独立に、ハロゲン、C1-4アルキル、C1-4アルコキシ、ヒドロキシ、C1-4アルコキシカルボニル、アミノ、アミジノ、グアニジノ、フッ素化されたC1-4アルキル、フッ素化されたC1-4アルコキシ,C1-4アルキルスルホニル、C1-4アルキルカルボニル、シアノ、アリール、ヘテロアリール、アリール-C1-4アルキル、C2-4アルケニル、アルキニル又はニトロである);
R1は、アミノ、C1-6アルキルアミノ、C1-6ジアルキルアミノ、アリールアミノ、アリール-C1-6アルキルアミノ、ヘテロアルキル-C1-6アルキルアミノ、ヘテロアルキル-C1-6アルキル-N-メチルアミノ、-N(C1-6アルキル)-C1-6アルキル-N(C1-6アルキル)2、ヘテロアルキル又は置換されたヘテロアルキル(ここで、ヘテロアルキル上の置換基は、オキソ、アミノ、C1-6アルコキシ-C1-6アルキル、C1-6アルキルアミノもしくはC1-6ジアルキルアミノから選択される)からなる群から選択され;
R2は、水素、ハロゲン及びフェニルから選択され;
R3は、水素又はC1-6アルキルから選択され;
R4は、C1-8アルキル、C3-6シクロアルキル、C3-6シクロアルキル-C1-8アルキル、アリール、ヘテロアリール-C1-6アルキル、置換されたヘテロアリール-C1-6アルキル(ここで、置換基は、C1-4アルキル、ヘテロアルキル、ヘテロアルキル-C1-6アルキル、インダニル、アセトアミジノ-C1-6アルキル、アミノ-C1-6アルキル、C1-6アルキルアミノ-C1-6アルキル、C1-6ジアルキルアミノ-C1-6アルキル、アリール-C1-8アルキル、置換されたアリール-C1-8アルキル(ここで、アリールアルキル上の置換基は、独立に、ハロゲン、ニトロ、アミノ、C1-6アルキル、C1-6アルコキシ、C1-6アルコキシカルボニル、ヒドロキシアルキル及びアミノスルホニルから選択される1~5個の置換基である);
R3及びR4は、これらが結合する窒素原子と一緒になって、ピペリジニル、ピペラジニル及びピロリジニルから選択される、無置換又は置換されたヘテロアルキル(ここで、置換基は、独立に、C1-8アルキルから選択される、1又は2の置換基である)を形成してもよく;
R5は、無置換又は置換されたアリール、無置換又は置換されたアリール-C1-6アルキル、無置換又は置換されたC3-6シクロアルキル又は無置換又は置換されたヘテロアリール(ここで、アリール、アリール-C1-8アルキル、C3-8シクロアルキル又はヘテロアリール上の置換基は、独立に、ハロゲン、シアノ、C1-4アルキル、C1-4アルコキシ、C1-4アルコキシカルボニル、フッ素化されたC1-4アルキル、フッ素化されたC1-4アルコキシ又はC1-4アルキルスルホニルから選択される1~3の置換基から選択される)から選択され;
R6は、水素であり;
nは、1又は2から選択される整数であり;
pは、1であり;
Xは、酸素であり;
mは、0、1、2又は3から選択される整数である]で表される化合物、またはその薬学的に許容可能な塩である。
[11]に記載の化合物は、より好ましくは、式(15):
で表される化合物、すなわち、(αS)-N-[(1S)-3-アミノ-1-[[(フェニルメチル)-アミノ]カルボニル]プロピル]-α-[[[[[1-(2,6-ジクロロフェニル)メチル]-3-(1-ピロリジニルメチル)-1H-インダゾール-6-イル]アミノ]カルボニル]アミノ]-3,4-ジフルオロベンゼンプロパンアミド(RWJ-58259とも呼ばれる。)である。
[12]US7049297に記載の化合物、例えば、式(16):
[式中、
A1及びA2は、それぞれ独立に、アラニン、β-アラニン、アルギニン、ホモアルギニン、シクロヘキシルアラニン、シトルリン、システイン(任意で、C1-4アルキル、アリールもしくはアリール-C1-4アルキルで置換されていてもよい)、2,4-ジアミノ酪酸(任意で、アシル、C1-4アルキル、アロイル、アミジノもしくはMeC(NH)-で置換されていてもよい)、2,3-ジアミノプロピオン酸(任意で、アシル、C1-4アルキル、アロイル、アミジノもしくはMeC(NH)-で置換されていてもよい)、グルタミン、グリシン、インダニルグリシン、リシン(任意で、アシル、C1-4アルキル、アロイルもしくはMeC(NH)-で置換されていてもよい)、バリン、メチオニン、プロリン、セリン(任意で、C1-4アルキル、アリールもしくはアリール-C1-4アルキルで置換されていてもよい)、ホモセリン(任意で、C1-4アルキル、アリールもしくはアリール-C1-4アルキルで置換されていてもよい)、テトラヒドロイソキノリン-3-COOH、スレオニン(任意で、C1-4アルキル、アリールもしくはアリール-C1-4アルキルで置換されていてもよい)、オルニチン(任意で、アシル、C1-4アルキル、アロイルもしくはMeC(NH)-で置換されていてもよい)からなる群から選択されるD-又はL-アミノ酸、ならびに、フェニルアラニン、ヘテロアリールアラニン、ナフチルアラニン、ホモフェニルアラニン、ヒスチジン、トリプトファン、チロシン、アリールグリシン、ヘテロアリールグリシン、アリール-β-アラニン及びヘテロアリール-β-アラニンからなる群から選択される無置換又は置換されていてもよい芳香族アミノ酸(ここで、芳香族アミノ酸の置換基は、独立に、1又は2以上の、ハロゲン、C1-4アルキル、C1-4アルコキシ、ヒドロキシ、C1-4アルコキシカルボニル、アミノ、アミジノ、グアニジノ、フッ素化されたC1-4アルキル、フッ素化されたC1-4アルコキシ,C1-4アルキルスルホニル、C1-4アルキルカルボニル、シアノ、アリール、ヘテロアリール、アリール-C1-4アルキル、C2-4アルケニル、アルキニル又はニトロから選択される);
R1は、アミノ、C1-8アルキルアミノ、C1-8ジアルキルアミノ、アリールアミノ、アリール-C1-8アルキルアミノ、C3-8シクロアルキルアミノ、ヘテロアルキル-C1-8アルキルアミノ、ヘテロアルキル-C1-8アルキル-N-メチルアミノ、C1-8ジアルキルアミノ-C1-8アルキルアミノ、-N(C1-8アルキル)-C1-8アルキル-N(C1-8アルキル)2、-N(C1-8アルキル)(C1-8アルケニル)、-N(C1-8アルキル)(C3-8シクロアルキル)、ヘテロアルキル又は置換されたヘテロアルキル(ここで、ヘテロアルキル上の置換基は、オキソ、アミノ、C1-8アルコキシ-C1-8アルキル、C1-8アルキルアミノもしくはC1-8ジアルキルアミノから選択される)からなる群から選択され;
R2及びR3は、それぞれ独立に、水素、C1-8アルキル、C3-8シクロアルキル、C3-8シクロアルキル-C1-8アルキル、アリール、ヘテロアルキル、置換されたヘテロアルキル(ここで、ヘテロアルキル上の置換基は、C1-8アルコキシカルボニル、C1-8アルキルもしくはC1-4アルキルカルボニルから選択される、1もしくは2以上の置換基である)、ヘテロアルキル-C1-8アルキル、インダニル、アセトアミジノ-C1-8アルキル、アミノ-C1-8アルキル、C1-8アルキルミノ-C1-8アルキル、C1-8ジアルキルアミノ-C1-8アルキル、無置換もしくは置換されたヘテロアリール-C1-8アルキル(ここで、アリールアルキル又はヘテロアリールアルキル上の置換基は、独立に、ハロゲン、ニトロ、アミノ、C1-8アルキル、C1-8アルコキシ、ヒドロキシ、シアノ、C1-4アルキルカルボニル、C1-8アルコキシカルボニル、ヒドロキシ-C1-8アルキル又はアミノスルホニルから選択される1又は2以上の置換基である)からなる群から選択され、
R2及びR3は、これらが結合する窒素原子と一緒になって、ピペリジニル、ピペラジニル、モルホリニル及びピロリジニルから選択される、無置換又は置換されたヘテロアルキル(ここで、置換基は、独立に、C1-8アルキル、C1-8アルコキシカルボニル又はC1-8アルコキシカルボニルから選択される、1又は2以上の置換基である)を形成してもよく;
R4は、無置換又は置換されたアリール、無置換又は置換されたアリール-C1-6アルキル、無置換又は置換されたC3-8シクロアルキル又は無置換又は置換されたヘテロアリール(ここで、アリール、アリール-C1-8アルキル、C3-8シクロアルキル又はヘテロアリール上の置換基は、独立に、ハロゲン、シアノ、C1-8アルキル、C1-8アルコキシ、C1-4アルキルカルボニル、C1-8アルコキシカルボニル、フッ素化されたC1-4アルキル、フッ素化されたC1-4アルコキシ又はC1-4アルキルスルホニルから選択される1又は2以上の置換基から選択される)から選択され;
R5は、水素又はC1-8アルキルから選択され(好ましくは、水素であり);
Xは、酸素又は硫黄であり(好ましくは、酸素であり);
nは、1又は2から選択される整数であり;
pは、0又は1から選択される整数であり;
mは、0、1、2又は3から選択される整数である]で表される化合物、またはその薬学的に許容可能な塩。
[12]に記載の化合物は、好ましくは、式(16):
[式中、
A1は、アラニン、アルギニン、シクロヘキシルアラニン、グリシン、プロリン、テトラヒドロイソキノリン-3-COOHからなる群から選択されるL-アミノ酸、ならびに、フェニルアラニン、ナフチルアラニン、ホモフェニルアラニン、O-メチルチロシンからなる群から選択される無置換又は置換されていてもよい芳香族アミノ酸(ここで、芳香族アミノ酸の置換基は、独立に、ハロゲン、C1-4アルキル、C1-4アルコキシ、ヒドロキシ、C1-4アルコキシカルボニル、アミノ、アミジノ、グアニジノ、フッ素化されたC1-4アルキル、フッ素化されたC1-4アルコキシ,C1-4アルキルスルホニル、C1-4アルキルカルボニル、シアノ、アリール、ヘテロアリール、アリール-C1-4アルキル、C2-4アルケニル、アルキニル及びニトロからなる群から選択される1~5の置換基(好ましくは、1~3の置換基)である);
A2は、それぞれ独立に、アラニン、β-アラニン、アルギニン、シトルリン、システイン(任意で、C1-4アルキル、アリールもしくはアリール-C1-4アルキルで置換されていてもよい)、2,4-ジアミノブタン酸(任意で、アシル、C1-4アルキル、アロイル、アミジノもしくはMeC(NH)-で置換されていてもよい)、2,3-ジアミノプロピオン酸(任意で、アシル、C1-4アルキル、アロイル、アミジノもしくはMeC(NH)-で置換されていてもよい)、グルタミン、グリシン、リシン(任意で、アシル、C1-4アルキル、アロイルもしくはMeC(NH)-で置換されていてもよい)、バリン、メチオニン、プロリン、セリン(任意で、C1-4アルキル、アリールもしくはアリール-C1-4アルキルで置換されていてもよい)、ホモセリン(任意で、C1-4アルキル、アリールもしくはアリール-C1-4アルキルで置換されていてもよい)、スレオニン(任意で、C1-4アルキル、アリールもしくはアリール-C1-4アルキルで置換されていてもよい)、オルニチン(任意で、アシル、C1-4アルキル、アロイルもしくはMeC(NH)-で置換されていてもよい)からなる群から選択されるL-アミノ酸、ならびに、フェニルアラニン、ヘテロアリールアラニン及びヒスチジンからなる群から選択される無置換又は置換されていてもよい芳香族アミノ酸(ここで、芳香族アミノ酸の置換基は、独立に、ハロゲン、C1-4アルキル、C1-4アルコキシ、ヒドロキシ、C1-4アルコキシカルボニル、アミノ、アミジノ、グアニジノ、フッ素化されたC1-4アルキル、フッ素化されたC1-4アルコキシ,C1-4アルキルスルホニル、C1-4アルキルカルボニル、シアノ、アリール、ヘテロアリール、アリール-C1-4アルキル、C2-4アルケニル、アルキニル又はニトロからなる群から選択される1~5の置換基(好ましくは、1~3の置換基)である);
R1は、アミノ、C1-6アルキルアミノ、C1-6ジアルキルアミノ、アリールアミノ、アリール-C1-6アルキルアミノ、ヘテロアルキル-C1-6アルキルアミノ、ヘテロアルキル-C1-6アルキル-N-メチルアミノ、-N(C1-6アルキル)-C1-6アルキル-N(C1-6アルキル)2、ヘテロアルキル又は置換されたヘテロアルキル(ここで、ヘテロアルキル上の置換基は、オキソ、アミノ、C1-6アルコキシ-C1-6アルキル、C1-6アルキルアミノもしくはC1-6ジアルキルアミノから選択される)からなる群から選択され;
R2は、水素又はC1-6アルキルから選択され;
R3は、C1-8アルキル、C3-6シクロアルキル、C3-6シクロアルキル-C1-8アルキル、アリール、ヘテロアリール-C1-6アルキル、置換されたヘテロアリール-C1-6アルキル(ここで、置換基は、C1-4アルキル、ヘテロアルキル、ヘテロアルキル-C1-6アルキル、インダニル、アセトアミジノ-C1-6アルキル、アミノ-C1-6アルキル、C1-6アルキルアミノ-C1-6アルキル、C1-6ジアルキルアミノ-C1-6アルキル、アリール-C1-8アルキル及び置換されたアリール-C1-8アルキル(ここで、アリールアルキル上の置換基は、独立に、ハロゲン、ニトロ、アミノ、C1-6アルキル、C1-6アルコキシ、C1-6アルコキシカルボニル、ヒドロキシアルキル及びアミノスルホニルから選択される1~5個の置換基である)からなる群から選択され;
R2及びR3は、これらが結合する窒素原子と一緒になって、ピペリジニル、ピペラジニル及びピロリジニルから選択される、無置換又は置換されたヘテロアルキル(ここで、置換基は、独立に、C1-6アルキルから選択される、1又は2の置換基である)を形成してもよく;
R4は、無置換又は置換されたアリール、無置換又は置換されたアリール-C1-6アルキル、無置換又は置換されたC3-6シクロアルキル又は無置換又は置換されたヘテロアリール(ここで、アリール、アリール-C1-8アルキル、C3-8シクロアルキル又はヘテロアリール上の置換基は、独立に、ハロゲン、シアノ、C1-8アルキル、C1-8アルコキシ、C1-4アルキルカルボニル、C1-8アルコキシカルボニル、フッ素化されたC1-4アルキル、フッ素化されたC1-4アルコキシ又はC1-4アルキルスルホニルから選択される1又は2以上の置換基から選択される)から選択され;
R5は、水素又はC1-8アルキル(好ましくは、水素)であり、
Xは、酸素又は硫黄(好ましくは、酸素)であり;
mは、0、1、2又は3から選択される整数であり(好ましくは、1であり);
nは、1又は2の整数であり(好ましくは、1であり);
pは、0又は1の整数である(好ましくは、1である)]で表される化合物、またはその薬学的に許容可能な塩である。
[12]に記載の化合物は、より好ましくは、式(17):
で表される化合物、すなわち、(αS)-N-[(1S)-3-アミノ-1-[[(フェニルメチル)アミノ]カルボニル]プロピル]-α-[[[[1-[(2,6-ジクロロフェニル)メチル]-3-(1-ピロリジニルメチル)-1H-インドール-6-イル]アミノ]カルボニル]アミノ]-3,4-ジフルオロ-ベンゼンプロパンアミド(RWJ-56110とも呼ばれる。)である。
[13]Bioorg.Med.Chem.Lett.1998,Vol8,1649-1654に記載の化合物、すなわち、式(18):
で表される化合物。
[式中、
XはC-R1又はNであり、
Aは有機又は無機酸のアニオンであり、
Q1は水素原子、-C1-6アルキル、-C3-6シクロアルキル、-C0-4アルキレン-C(O)-R11、-C0-4アルキレン-C(O)-N(R11)-R12、-C0-4アルキレン-C(O)-R11、-OH、-O-C1-6アルキル又は-O-C3-6シクロアルキルであり、ここでアルキル及びシクロアルキルはそれぞれ非置換であるか又は-C1-4アルキル、-C3-6シクロアルキル、-OH、-O-C1-6アルキル若しくは-O-C3-6シクロアルキルによって独立して一、二若しくは三置換されており、ここでアルキル又はシクロアルキル中の水素原子のいくつか又は全てはフッ素によって置き換えられていてもよく、
Q2及びQ3は同一又は異なり、そしてそれぞれ独立して水素原子、-C1-6アルキル又は-C3-6シクロアルキルであり、ここでアルキル又はシクロアルキル中の水素原子のいくつか又は全てはフッ素によって置き換えられていてもよく、
R1、R2、R3及びR4は同一又は異なり、そしてそれぞれ独立して水素原子、-C1-6アルキル、-C3-6シクロアルキル、-O-C1-8アルキル、-O-C3-6シクロアルキル、-C0-4アルキレン-C(O)-N(R11)-R12、-C0-4アルキレン-C(O)-O-R11、-C0-4アルキレン-N(R11)-C(O)-O-R12、-C0-4アルキレン-C(O)-R11、-C0-4アルキレン-N(R11)-R12、-C0-4アルキレン-N(R11)-C(O)-R12、ハロゲン、-OH、-CN、-NO2、-SO2CH3、-SO2CF3、-SF5、-Si[-C1-4アルキル]3、-C1-6アルキレン-O-C1-6アルキル、-O-C1-6アルキレン-O-C1-6アルキル、-O-C0-4アルキレン-C6-14アリール、ここでアリールは非置換であるか若しくは-O-C1-6アルキル、-C1-4アルキル、-OH、-C3-6シクロアルキル若しくは-O-C3-6シクロアルキルによって独立して一、二若しくは三置換されており、-O-C1-4アルキレン-C3-6シクロアルキル、-C4-15Het、ここでHetは非置換であるか若しくは-C1-4アルキル、-C3-6シクロアルキル、-OH、-O-C1-6アルキル若しくは-O-C3-6シクロアルキルによって独立して一、二若しくは三置換されており、又は-O-C1-6アルキレン-O-C1-6アルキレン-O-C1-6アルキルであり、ここでアルキル、アルキレン及びシクロアルキルはそれぞれ非置換であるか又は-C1-4アルキル、-C3-6シクロアルキル、-OH、-O-C1-6アルキル、-C6-14アリール、ここでアリールは非置換であるか若しくはハロゲン、-C1-4アルキル、-C3-6シクロアルキル、-OH、-O-C1-6アルキル若しくは-O-C3-6シクロアルキルによって独立して一、二、三、四若しくは五置換されており、-C4-15Het、ここでHetは非置換であるか若しくはハロゲン、-C1-4アルキル、-C3-6シクロアルキル、-OH、-O-C1-6アルキル若しくは-O-C3-6シクロアルキルによって独立して一、二、三、四若しくは五置換されており、-O-C3-6シクロアルキルによって独立して、二若しくは三置換されており、ここでアルキル、アルキレン又はシクロアルキル中の水素原子のいくつか又は全てはフッ素原子によって置き換えられていてもよく、又は
R1及びR2、R2及びR3、又はR3及びR4は、それらがそれぞれ結合している環原子と共に5~8員環を形成し、ここで環は炭素原子のみからなるか又はそれらの原子の1、2若しくは3個は窒素、酸素若しくは硫黄原子によって置き換えられており、ここで環は非置換であるか又は-C1-4アルキル、-C3-6シクロアルキル、-OH、-O-C1-6アルキル若しくは-O-C3-6シクロアルキルによって独立して一若しくは二置換されており、ここで形成された5~8員環中、及びアルキル又はシクロアルキル中の水素原子のいくつか又は全てはフッ素原子によって置き換えられていてもよく、
R11及びR12(Q1にも適用すべき)はそれぞれ独立して水素原子、-C1-6アルキル、-C3-6シクロアルキル、-C0-4アルキレン-C6-14アリール、-C0-4アルキレン-C4-15Het、-SO2CH3又は-SO2CF3であり、ここでアルキル、アルキレン又はシクロアルキル中の水素原子のいくつか又は全てはフッ素原子によって置き換えられていてもよく、又は
“N(R11)-R12”及び“N(R11)-C(O)-R12”断片中のR11及びR12は、窒素原子“N”又は“N-C(O)”基と共に、N、O及びSの群からの最大で2個のさらなるヘテロ原子を含み得る環式アミン、イミド又はラクタムを形成するよう形成される5~8員環を表しており、ここで環は非置換であるか又は-C1-4アルキル、-C3-6シクロアルキル、-OH、-O-C1-6アルキル若しくは-O-C3-6シクロアルキルによって独立して一若しくは二置換されており、ここで形成された5~8員環中、及びアルキル又はシクロアルキル中の水素原子のいくつか又は全てはフッ素原子によって置き換えられていてもよく、
R5、R6、R7、R8及びR9は同一又は異なり、そしてそれぞれ独立して水素原子、-C1-6アルキル、-C3-6シクロアルキル、-OH、-CN、-NO2、-O-C1-8アルキル、-O-C3-6シクロアルキル、-C0-4アルキレン-C(O)-N(R21)-R22、-SO2CH3、-SO2CF3、-C0-4アルキレン-C(O)-O-R21、ハロゲン、-SF5、-C0-4アルキレン-C(O)-R21、-C0-4アルキレン-N(R21)-R22、-C0-4アルキレン-N(R21)-C(O)-R22、-C1-6アルキレン-O-C1-6アルキル、-C0-6アルキレン-O-C1-6アルキレン-O-C1-6アルキル、-Si[-C1-4アルキル]3、-C0-6アルキレン-O-C1-4アルキレン-C3-6シクロアルキル、-C0-6アルキレン-O-C0-6アルキレン-C6-14アリール又は-C4-15Hetであり、ここでアルキル、アルキレン及びシクロアルキルはそれぞれ非置換であるか又は-C1-4アルキル、-C3-6シクロアルキル、-OH、-O-C1-6アルキル、-C6-14アリール、ここでアリールは非置換であるか若しくはハロゲン、-C1-4アルキル、-C3-6シクロアルキル、-OH、-O-C1-6アルキル若しくは-O-C3-6シクロアルキルによって独立して一、二、三、四若しくは五置換されており、-C4-15Het、ここでHetは非置換であるか若しくはハロゲン、-C1-4アルキル、-C3-6シクロアルキル、-OH、-O-C1-6アルキル若しくは-O-C3-6シクロアルキルによって独立して一、二、三、四若しくは五置換されており、若しくは-O-C3-6シクロアルキルによって独立して一、二若しくは三置換されており、ここでアルキル、アルキレン又はシクロアルキル中の水素原子のいくつか又は全てはフッ素原子によって置き換えられていてもよく、又は
R5及びR6、R6及びR7、R7及びR8、又はR8及びR9は、それらがそれぞれ結合している環原子と共に5~8員環を形成し、ここで環は炭素原子のみからなるか又はそれらの原子の1、2若しくは3個は窒素、酸素若しくは硫黄原子によって置き換えられており、ここで環は非置換であるか又は-C1-4アルキル、-C3-6シクロアルキル、-OH、-O-C1-6アルキル若しくは-O-C3-6シクロアルキルによって独立して、若しくは三置換されており、ここで形成された5~8員環中、及びアルキル又はシクロアルキル中の水素原子のいくつか又は全てはフッ素原子によって置き換えられていてもよく、
R21及びR22はそれぞれ独立して水素原子、-C1-6アルキル、-C3-6シクロアルキル、-C0-4アルキレン-C6-14アリール、-C0-4アルキレン-C4-15Het、-SO2CH3又は-SO2CF3であり、ここでアルキル、アルキレン又はシクロアルキル中の水素原子のいくつか又は全てはフッ素原子によって置き換えられていてもよく、又は“N(R21)-R22”及び“N(R21)-C(O)-R22”断片中のR21及びR22は、窒素原子“N”又は“N-C(O)”基と共に、N、O及びSの群からの最大で2個のさらなるヘテロ原子を含み得る環式アミン、イミド又はラクタムを形成するよう形成される5~8員環を表しており、ここで環は非置換であるか又は-C1-4アルキル、-C3-6シクロアルキル、-OH、-O-C1-6アルキル若しくは-O-C3-6シクロアルキルによって独立してー若しくは二置換されており、ここで形成された5~8員環中、及びアルキル又はシクロアルキル中の水素原子のいくつか又は全てはフッ素によって置換されていてもよい]の化合物及び/又は式(13)の化合物の任意の立体異性形態又は互変異性形態及び/又はそれらの形態の任意の比率の混合物、及び/又は式(13)の化合物の生理学的に適合しうる塩。
[10]に記載の化合物は、好ましくは、1-{2-[3-アセチルアミノ-5-(ペンタフルオロスルファニル)フェニル]-2-オキソエチル}-3-アミノ-6-エトキシ[1,2,4]トリアゾロ[4,3-b]ピリダジン-1-イウムトリフルオロ酢酸塩、3-アミノ-1-[2-(3,5-ジ-tert-ブチル-4-ヒドロキシフェニル)-2-オキソエチル]-6-トリフルオロメチル-[1,2,4]-トリアゾロ[4,3-a]-ピリジン-1-イウム、3-アミノ-1-[2-(3,5-ジ-tert-ブチル-4-ヒドロキシフェニル)-2-オキソエチル]-[1,2,4]トリアゾロ[4,3-a]ピリジン-1-イウム、3-アミノ-1-[2-(3-tert-ブチル-4-メトキシ-5-モルホリン-4-イルフェニル)-2-オキソエチル]-6-トリフルオロメチル[1,2,4]トリアゾロ[4,3-a]ピリジン-1-イウム、3-アミノ-1-[2-(3-tert-ブチル-4-メトキシ-5-モルホリン-4-イルフェニル)-2-オキソエチル]-5-メチル-7-トリフルオロメチル[1,2,4]トリアゾロ[4,3-a]ピリジン-1-イウム、3-アミノ-5-クロロ]-{2-[3-メチルアミノ-5-(ペンタフルオロスルファニル)フェニル]-2-オキソエチル}-[1,2,4]トリアゾロ[4,3-a]ピリジン-1-イウム、3-アミノ-7-エトキシ-6-エトキシカルボニル)-{2-[3-メチルアミノ-5-(ペンタフルオロスルファニル)フェニル]-2-オキソエチル}-[1,2,4]トリアゾロ[4,3-a]ピリジン-1-イウム、3-アミノ-1-[2-(3-tert-ブチル-4-メトキシ-5-モルホリン-4-イルフェニル)-2-オキソエチル]-7-エトキシ-6-エトキシカルボニル-[1,2,4]トリアゾロ[4,3-a]ピリジン-1-イウム、3-アミノ-1-[2-(3-tert-ブチル-4-メトキシ-5-モルホリン-4-イルフェニル)-2-オキソエチル]-7-エトキシ-6-メチルカルバモイル[1,2,4]トリアゾロ[4,3-a]ピリジン]-1-イウム、3-アミノ-6-クロロ-1-[2-(3,5-ジ-tert-ブチル-4-ヒドロキシフェニル)-2-オキソエチル]-[1,2,4]トリアゾロ[4,3-b]ピリダジン-1-イウム、3-アミノ-1-[2-(3-tert-ブチル4-メトキシ-5-モルホリン-4-イルフェニル)-2-オキソエチル]-6-エトキシ[1,2,4]トリアゾロ[4,3-b]ピリダジン-1-イウム、3-アミノ-1-[2-(3-tert-ブチル-4-メトキシ-5-モルホリン-4-イルフェニル)-2-オキソエチル]-6-イソプロポキシ[1,2,4]トリアゾロ[4,3-b]ピリダジン-1-イウム、3-アミノ-1-[2-(3-tert-ブチル-4-メトキシ-5-モルホリン-4-イルフェニル)-2-オキソエチル]-6-メトキシ[1,2,4]トリアゾロ[4,3-b]ピリダジン-1-イウム、3-アミノ-6-エトキシ-1-[2-(4-メトキシ-3-モルホリン-4-イル-5-トリフルオロメチルフェニル)-2-オキソエチル]-[1,2,4]トリアゾロ[4,3-b]ピリダジン-1-イウム、1-{2-[3-アセチルアミノ-5-(ペンタフルオロスルファニル)フェニル]-2-オキソエチル}-3-アミノ-6-エトキシ[1,2,4]トリアゾロ[4,3-b]ピリダジン-1-イウム、3-アミノ-1-[2-(3-tert-ブチル-4-メトキシ-5-モルホリン-4-イルフェニル)-2-オキソエチル]-6-シクロペンチルオキシ[1,2,4]トリアゾロ[4,3-b]ピリダジン-1-イウム、3-アミノ1-[2-(3-tert-ブチル-4-メトキシ-5-モルホリン-4-イルフェニル)-2-オキソエチル]-6-シクロブチルオキシ[1,2,4]トリアゾロ[4,3-b]ピリダジン-1-イウム、3-アミノ-1-[2-(3-tert-ブチル-4-メトキシ-5-モルホリン-4-イルフェニル)-2-オキソエチル]-6-フェノキシ[1,2,4]トリアゾロ[4,3-b]ピリダジン-1-イウム、3-アミノ-6-ベンジルオキシ)-[2-(3-tert-ブチル-4-メトキシ-5-モルホリン-4-イルフェニル)-2-オキソエチル]-[1,2,4]トリアゾロ[4,3-b]ピリダジン-1-イウム、3-アミノ)-[2-(3-tert-ブチル-4-メトキシ-5-モルホリン-4-イルフェニル)-2-オキソエチル]-6-(1-エチルプロポキシ)-[1,2,4]トリアゾロ[4,3-b]ピリダジン-1-イウム、3-アミノ-1-[2-(3-tert-ブチル-4-メトキシ-5-モルホリン-4-イルフェニル)-2-オキソエチル]-6-シクロヘキシルオキシ[1,2,4]トリアゾロ[4,3-b]ピリダジン-1-イウム、3-アミノ-1-[2-(3-tert-ブチル-4-メトキシ-5-モルホリン-4-イル-フェニル)-2-オキソエチル]-6-(2,2,2-トリフルオロエトキシ)-[1,2,4]トリアゾロ[4,3-b]ピリダジン-1-イウム、3-アミノ-1-[2(3-tert-ブチル-4-メトキシ-5-モルホリン-4-イルフェニル)-2-オキソエチル]-6-シクロプロピルメトキシ[1,2,4]トリアゾロ[4,3-b]ピリダジン-1-イウム、3-アミノ-1-[2-(3-tert-ブチル-4-メトキシ-5-モルホリン-4-イルフェニル)-2-オキソエチル]-6-エトキシ[1,2,4]トリアゾロ[4,3-b]ピリダジン-1-イウム、3-アミノ-6-(1-エチルプロポキシ)-1-{2-[3-メチルアミノ-5-(ペンタフルオロスルファニル)フェニル]-2-オキソエチル}-[1,2,4]トリアゾロ[4,3-b]ピリダジン-1-イウム、3-アミノ-6-(1-エチルプロポキシ)-1-{2-[3-メトキシ-5-(ペンタフルオロスルファニル)フェニル]-2-オキソエチル}-[1,2,4]トリアゾロ[4,3-b]ピリダジン-1-イウム、3-アミノ-1-[2-(3-tert-ブチル-5-エトキシメチルフェニル)-2-オキソエチル]-6-(1-エチルプロポキシ)-[1,2,4]トリアゾロ[4,3-b]ピリダジン-1-イウム、3-アミノ-1-[2-(3-tert-ブチル-5-シクロプロピルメトキシメチルフェニル)-2-オキソエチル]-6-(1-エチルプロポキシ)-[1,2,4]トリアゾロ[4,3-b]ピリダジン-1-イウム、3-アミノ-1-[2-(3-tert-ブチル-4,5-ジエトキシフェニル)-2-オキソエチル]-6-(1-エチルプロポキシ)-[1,2,4]トリアゾロ[4,3-b]ピリダジン-1-イウム、3-アミノ-1-[2-(3-tert-ブチル-4,5-ビスシクロプロピルメトキシフェニル)-2-オキソエチル]-6-(1-エチルプロポキシ)-[1,2,4]トリアゾロ[4,3-b]ピリダジン-1-イウム、3-アミノ-1-[2-(3-tert-ブチル-5-プロポキシメチルフェニル)-2-オキソエチル]-6-(1-エチルプロポキシ)-[1,2,4]トリアゾロ[4,3-b]ピリダジン-1-イウム、3-アミノ-1-[2-(3-tert-ブチル-5-エトキシフェニル)-2-オキソエチル]-6-(1-エチルプロポキシ)-[1,2,4]トリアゾロ[4,3-b]ピリダジン-1-イウム、3-アミノ-6-(1-エチルプロポキシ)-1-[2-(3-メトキシ-5-トリフルオロメチルフェニル)-2-オキソエチル]-[1,2,4]トリアゾロ[4,3-b]ピリダジン-1-イウム、3-アミノ-1-[2-(3-tert-ブチル-5-メトキシフェニル)-2-オキソエチル]-6-(1-エチルプロポキシ)-[1,2,4]トリアゾロ[4,3-b]ピリダジン-1-イウム、3-アミノ-1-[2-(3-tert-ブチル-5-シクロプロピルメトキシフェニル)-2-オキソエチル]-6-(1-エチルプロポキシ)-[1,2,4]トリアゾロ[4,3-b]ピリダジン-1-イウム、3-アミノ-1-[2-(3-tert-ブチル-5-シクロブチルメトキシフェニル)-2-オキソエチル]-6-(1-エチルプロポキシ)-[1,2,4]トリアゾロ[4,3-b]ピリダジン-1-イウム、3-アミノ-1-[2-(3-ベンジルオキシメチル-5-tert-ブチルフェニル)-2-オキソエチル]-6-(1-エチルプロポキシ)-[1,2,4]トリアゾロ[4,3-b]ピリダジン-1-イウム、3-アミノ-1-[2-(3-シクロヘキシルメトキシ-4,5-ジメトキシフェニル)-2-オキソエチル]-6-(1-エチルプロポキシ)-[1,2,4]トリアゾロ[4,3-b]ピリダジン-1-イウム、3-アミノ-6-ブトキシ-1-[2-(3-tert-ブチル-5-メトキシメチルフェニル)-2-オキソエチル]-[1,2,4]トリアゾロ[4,3-b]ピリダジン-1-イウム、3-アミノ-1-[2-(3-クロロ-5-メトキシフェニル)-2-オキソエチル]-6-(1-エチルプロポキシ)-[1,2,4]トリアゾロ[4,3-b]ピリダジン-1-イウム、3-アミノ-1-[2-(8-tert-ブチル-4-メチル-3,4-ジヒドロ-2H-ベンゾ[1,4]オキサジン-6-イル)-2-オキソエチル]-6-(1-エチルプロポキシ)-[1,2,4]トリアゾロ[4,3-b]ピリダジン-1-イウム、3-アミノ1-[2-(3-tert-ブチル-4-メトキシ-5-モルホリン-4-イルフェニル)-2-オキソエチル]-6-ジエチルアミノ[1,2,4]トリアゾロ[4,3-b]ピリダジン-1-イウム、3-アミノ-1-[2-(3-tert-ブチル-4-メトキシ-5-モルホリン-4-イルフェニル)-2-オキソエチル]-6-ピペリジン-1-イル-[1,2,4]トリアゾロ[4,3-b]ピリダジン-1-イウム、3-アミノ-1-[2-(3-tert-ブチル-4-メトキシ-5-モルホリン-4-イルフェニル)-2-オキソエチル]-6-エトキシ[1,2,4]トリアゾロ[4,3-a]ピリジン-1-イウム、3-アミノ-1-[2-(3-シクロヘキシルメトキシ-5-エトキシフェニル)-2-オキソエチル]-6-(1-エチルプロポキシ)-[1,2,4]トリアゾロ[4,3-b]ピリダジン-1-イウム、3-アミノ-1-[2-(3-ブロモ-5-メトキシフェニル)-2-オキソエチル]-6-(1-エチルプロポキシ)-[1,2,4]トリアゾロ[4,3-b]ピリダジン-1-イウム、3-アミノ-6-(1-エチルプロポキシ)-1-[2-(3-イソプロピル-5-メトキシフェニル)-2-オキソエチル]-[1,2,4]トリアゾロ[4,3-b]ピリダジン-1-イウム、3-アミノ-1-[2-(3-シクロヘキシルメトキシ-5-メトキシフェニル)-2-オキソエチル]-6-(1-エチルプロポキシ)-[1.2.4]トリアゾロ[4,3-b]ピリダジン-1-イウム、3-アミノ-1-{2-[3-(3.3-ジメチルブトキシ)-5-エトキシフェニル]-2-オキソエチル}-6-(1-エチルプロポキシ)-[1.2.4]トリアゾロ[4.3-b]ピリダジン-1-イウム、3-アミノ-1-[2-(8-tert-ブチル-4-メチル-3,4-ジヒドロ-2H-ベンゾ[1.4]オキサジン-6-イル)-2-オキソエチル]-6-エトキシ[1.2.4]トリアゾロ[4.3-a]ピリジン-1-イウム、3-アミノ-6-ジエチルアミノ-1-{2-[3-メトキシ-5-(ペンタフルオロスルファニル)フェニル]-2-オキソエチル)-[1.2.4]トリアゾロ[4.3-b]ピリダジン-1-イウム、3-アミノ-1-[2-(3-tert-ブチル-4-メトキシ-5-モルホリン-4-イルフェニル)-2-オキソエチル]-6-モルホリン-4-イル-[1.2.4]トリアゾロ[4.3-b]ピリダジン-1-イウム、3-アミノ-1-[2-(5-ブロモ-2,3-ジメトキシフェニル)-2-オキソエチル]-6-(1-エチルプロポキシ)-
[1.2.4]トリアゾロ[4.3-b]ピリダジン-1-イウム、3-アミノ-1-[2-(3-クロロ-4,5ジメトキシフェニル)-2-オキソエチル]-6-(1-エチルプロポキシ)-[1.2.4]トリアゾロ[4.3-b]ピリダジン-1-イウム、3-アミノ-1-{2-[3-tert-ブチル-5-(2-メトキシエトキシ)フェニル]-2-オキソエチル)--6-(1-エチルプロポキシ)-[1,2,4]トリアゾロ[4.3-b]ピリダジン1-イウム、3-アミノ-1-[2-(3-tert-ブチル-5-メトキシフェニル)-2オキソエチル]-6-(2-メトキシエトキシ)-[1.2.4]トリアゾロ[4.3-b]ピリダジン-1-イウム、3-アミノ-1-[2-(3-tert-ブチル-5-メトキシメチルフェニル)-2-オキソエチル]-6-(2-メトキシエトキシ)-[1.2.4]トリアゾロ[4.3-b]ピリダジン-1-イウム、3-アミノ-1-[2-(3-tert-ブチル-4-メトキシ-5-モルホリン-4-イル-フェニル)-2-オキソエチル]-6-クロロ-[1.2.4]トリアゾロ[4.3-b]ピリダジン-1-イウム、3-アミノ-6-(1-エチルプロポキシ)-1-{2-[3-モルホリン-4-イル-5-(ペンタフルオロスルファニル)フェニル]-2-オキソエチル)-[1.2.4]トリアゾロ[4.3-b]ピリダジン-1-イウム、3-アミノ-6-エチル-1-{2-[3-メトキシ-5-(ペンタフルオロスルファニル)フェニル]-2-オキソエチル)-[1.2.4]トリアゾロ[4.3-b]ピリダジン-1-イウム、3-アミノ-1-[2-(3-tert-ブチル-4-メトキシ-5-モルホリン-4-イルフェニル)-2-オキソエチル]-6-エチル[1.2.4]トリアゾロ[4,3-b]ピリダジン-1-イウム、3-アミノ-6-クロロ-7-ジエチルカルバモイル-1-{2-[3-メトキシ-5-(ペンタフルオロスルファニル)フェニル]-2-オキソエチル}-[1,2.4]トリアゾロ[4.3-b]ピリダジン-1-イウム又は3-アミノ-1-[2-(3-tert-ブチル-4-メトキシ-5-モルホリン-4-イルフェニル)-2-オキソエチル]-6-クロロ-7-ジエチルカルバモイル-[1,2,4]トリアゾロ[4.3-b]ピリダジン-1-イウムの群から選ばれる化合物である。
[11]US7183252に記載の化合物、すなわち、式(14):
[式中、
A1及びA2は、それぞれ独立に、アラニン、β-アラニン、アルギニン、ホモアルギニン、シクロヘキシルアラニン、シトルリン、システイン(任意で、C1-4アルキル、アリールもしくはアリール-C1-4アルキルで置換されていてもよい)、2,4-ジアミノ酪酸(任意で、アシル、C1-4アルキル、アロイル、アミジノもしくはMeC(NH)-で置換されていてもよい)、2,3-ジアミノプロピオン酸(任意で、アシル、C1-4アルキル、アロイル、アミジノもしくはMeC(NH)-で置換されていてもよい)、グルタミン、グリシン、インダニルグリシン、リシン(任意で、アシル、C1-4アルキル、アロイルもしくはMeC(NH)-で置換されていてもよい)、バリン、メチオニン、プロリン、セリン(任意で、C1-4アルキル、アリールもしくはアリール-C1-4アルキルで置換されていてもよい)、ホモセリン(任意で、C1-4アルキル、アリールもしくはアリール-C1-4アルキルで置換されていてもよい)、テトラヒドロイソキノリン-3-COOH、スレオニン(任意で、C1-4アルキル、アリールもしくはアリール-C1-4アルキルで置換されていてもよい)、オルニチン(任意で、アシル、C1-4アルキル、アロイルもしくはMeC(NH)-で置換されていてもよい)からなる群から選択されるD-又はL-アミノ酸、ならびに、フェニルアラニン、ヘテロアリールアラニン、ナフチルアラニン、ホモフェニルアラニン、ヒスチジン、トリプトファン、チロシン、アリールグリシン、ヘテロアリールグリシン、アリール-β-アラニン及びヘテロアリール-β-アラニンからなる群から選択される無置換又は置換されていてもよい芳香族アミノ酸(ここで、芳香族アミノ酸の置換基は、独立に、ハロゲン、C1-4アルキル、C1-4アルコキシ、ヒドロキシ、C1-4アルコキシカルボニル、アミノ、アミジノ、グアニジノ、フッ素化されたC1-4アルキル、フッ素化されたC1-4アルコキシ,C1-4アルキルスルホニル、C1-4アルキルカルボニル、シアノ、アリール、ヘテロアリール、アリール-C1-4アルキル、C2-4アルケニル、アルキニル又はニトロである);
R1は、アミノ、C1-8アルキルアミノ、C1-8ジアルキルアミノ、アリールアミノ、アリール-C1-8アルキルアミノ、C3-8シクロアルキルアミノ、ヘテロアルキル-C1-8アルキルアミノ、ヘテロアルキル-C1-8アルキル-N-メチルアミノ、C1-8ジアルキルアミノ-C1-8アルキルアミノ、-N(C1-8アルキル)-C1-8アルキル-N(C1-8アルキル)2、-N(C1-8アルキル)(C1-8アルケニル)、-N(C1-8アルキル)(C3-8シクロアルキル)、ヘテロアルキル又は置換されたヘテロアルキル(ここで、ヘテロアルキル上の置換基は、オキソ、アミノ、C1-8アルコキシ-C1-8アルキル、C1-8アルキルアミノもしくはC1-8ジアルキルアミノから選択される)からなる群から選択され;
R2は、水素、ハロゲン、C1-8アルキル、C3-8シクロアルキル、C1-8アルケニル、C1-8アルキニル、アリール-C1-8アルキル、アリール及びヘテロアリールから選択され;
R3及びR4は、それぞれ独立に、水素、C1-8アルキル、C3-8シクロアルキル、C3-8シクロアルキル-C1-8アルキル、アリール、ヘテロアルキル、置換されたヘテロアルキル(ここで、ヘテロアルキル上の置換基は、C1-8アルコキシカルボニル、C1-8アルキルもしくはC1-4アルキルカルボニルから選択される、1もしくは2以上の置換基である)、ヘテロアルキル-C1-8アルキル、インダニル、アセトアミジノ-C1-8アルキル、アミノ-C1-8アルキル、C1-8アルキルミノ-C1-8アルキル、C1-8ジアルキルアミノ-C1-8アルキル、無置換もしくは置換されたヘテロアリール-C1-8アルキル(ここで、アリールアルキル又はヘテロアリールアルキル上の置換基は、独立に、ハロゲン、ニトロ、アミノ、C1-8アルキル、C1-8アルコキシ、ヒドロキシ、シアノ、C1-4アルキルカルボニル、C1-8アルコキシカルボニル、ヒドロキシ-C1-8アルキル又はアミノスルホニルから選択される1又は2以上の置換基である)からなる群から選択され、
R3及びR4は、これらが結合する窒素原子と一緒になって、ピペリジニル、ピペラジニル、モルホリニル及びピロリジニルから選択される、無置換又は置換されたヘテロアルキル(ここで、置換基は、独立に、C1-8アルキル、C1-8アルコキシカルボニル又はC1-8アルコキシカルボニルから選択される、1又は2以上の置換基である)を形成してもよく;
R5は、無置換又は置換されたアリール、無置換又は置換されたアリール-C1-8アルキル、無置換又は置換されたC3-8シクロアルキル又は無置換又は置換されたヘテロアリール(ここで、アリール、アリール-C1-8アルキル、C3-8シクロアルキル又はヘテロアリール上の置換基は、独立に、ハロゲン、ニトロ、アミノ、シアノ、ヒドロキシアルキル、C1-8アルキル、C1-8アルコキシ、ヒドロキシ、C1-4アルキルカルボニル、C1-8アルコキシカルボニル、フッ素化されたC1-4アルキル、フッ素化されたC1-4アルコキシ又はC1-4アルキルスルホニルから選択される1又は2以上の置換基である)から選択され;
R6は、水素又はC1-8アルキルから選択され;
nは、1又は2から選択される整数であり;
pは、0又は1から選択される整数であり;
Xは、酸素又は硫黄であり;
mは、0、1、2又は3から選択される整数である]で表される化合物、またはその薬学的に許容可能な塩。
[11]に記載の化合物は、好ましくは、式(14):
[式中、
A1及びA2は、それぞれ独立に、アラニン、β-アラニン、アルギニン、ホモアルギニン、シクロヘキシルアラニン、シトルリン、システイン(任意で、C1-4アルキル、アリールもしくはアリール-C1-4アルキルで置換されていてもよい)、2,4-ジアミノブタン酸(任意で、アシル、C1-4アルキル、アロイル、アミジノもしくはMeC(NH)-で置換されていてもよい)、2,3-ジアミノプロピオン酸(任意で、アシル、C1-4アルキル、アロイル、アミジノもしくはMeC(NH)-で置換されていてもよい)、グルタミン、グリシン、インダニルグリシン、リシン(任意で、アシル、C1-4アルキル、アロイルもしくはMeC(NH)-で置換されていてもよい)、バリン、メチオニン、プロリン、セリン(任意で、C1-4アルキル、アリールもしくはアリール-C1-4アルキルで置換されていてもよい)、ホモセリン(任意で、C1-4アルキル、アリールもしくはアリール-C1-4アルキルで置換されていてもよい)、テトラヒドロイソキノリン-3-COOH、スレオニン(任意で、C1-4アルキル、アリールもしくはアリール-C1-4アルキルで置換されていてもよい)、オルニチン(任意で、アシル、C1-4アルキル、アロイルもしくはMeC(NH)-で置換されていてもよい)からなる群から選択されるL-アミノ酸、ならびに、フェニルアラニン、ヘテロアリールアラニン、ナフチルアラニン、ホモフェニルアラニン、ヒスチジン、トリプトファン、チロシン、アリールグリシン、ヘテロアリールグリシン、アリール-β-アラニン及びヘテロアリール-β-アラニンからなる群から選択される無置換又は置換されていてもよい芳香族アミノ酸(ここで、芳香族アミノ酸の置換基は、独立に、ハロゲン、C1-4アルキル、C1-4アルコキシ、ヒドロキシ、C1-4アルコキシカルボニル、アミノ、アミジノ、グアニジノ、フッ素化されたC1-4アルキル、フッ素化されたC1-4アルコキシ,C1-4アルキルスルホニル、C1-4アルキルカルボニル、シアノ、アリール、ヘテロアリール、アリール-C1-4アルキル、C2-4アルケニル、アルキニル又はニトロである);
R1は、アミノ、C1-6アルキルアミノ、C1-6ジアルキルアミノ、アリールアミノ、アリール-C1-6アルキルアミノ、ヘテロアルキル-C1-6アルキルアミノ、ヘテロアルキル-C1-6アルキル-N-メチルアミノ、-N(C1-6アルキル)-C1-6アルキル-N(C1-6アルキル)2、ヘテロアルキル又は置換されたヘテロアルキル(ここで、ヘテロアルキル上の置換基は、オキソ、アミノ、C1-6アルコキシ-C1-6アルキル、C1-6アルキルアミノもしくはC1-6ジアルキルアミノから選択される)からなる群から選択され;
R2は、水素、ハロゲン及びフェニルから選択され;
R3は、水素又はC1-6アルキルから選択され;
R4は、C1-8アルキル、C3-6シクロアルキル、C3-6シクロアルキル-C1-8アルキル、アリール、ヘテロアリール-C1-6アルキル、置換されたヘテロアリール-C1-6アルキル(ここで、置換基は、C1-4アルキル、ヘテロアルキル、ヘテロアルキル-C1-6アルキル、インダニル、アセトアミジノ-C1-6アルキル、アミノ-C1-6アルキル、C1-6アルキルアミノ-C1-6アルキル、C1-6ジアルキルアミノ-C1-6アルキル、アリール-C1-8アルキル、置換されたアリール-C1-8アルキル(ここで、アリールアルキル上の置換基は、独立に、ハロゲン、ニトロ、アミノ、C1-6アルキル、C1-6アルコキシ、C1-6アルコキシカルボニル、ヒドロキシアルキル及びアミノスルホニルから選択される1~5個の置換基である);
R3及びR4は、これらが結合する窒素原子と一緒になって、ピペリジニル、ピペラジニル及びピロリジニルから選択される、無置換又は置換されたヘテロアルキル(ここで、置換基は、独立に、C1-8アルキルから選択される、1又は2の置換基である)を形成してもよく;
R5は、無置換又は置換されたアリール、無置換又は置換されたアリール-C1-6アルキル、無置換又は置換されたC3-6シクロアルキル又は無置換又は置換されたヘテロアリール(ここで、アリール、アリール-C1-8アルキル、C3-8シクロアルキル又はヘテロアリール上の置換基は、独立に、ハロゲン、シアノ、C1-4アルキル、C1-4アルコキシ、C1-4アルコキシカルボニル、フッ素化されたC1-4アルキル、フッ素化されたC1-4アルコキシ又はC1-4アルキルスルホニルから選択される1~3の置換基から選択される)から選択され;
R6は、水素であり;
nは、1又は2から選択される整数であり;
pは、1であり;
Xは、酸素であり;
mは、0、1、2又は3から選択される整数である]で表される化合物、またはその薬学的に許容可能な塩である。
[11]に記載の化合物は、より好ましくは、式(15):
で表される化合物、すなわち、(αS)-N-[(1S)-3-アミノ-1-[[(フェニルメチル)-アミノ]カルボニル]プロピル]-α-[[[[[1-(2,6-ジクロロフェニル)メチル]-3-(1-ピロリジニルメチル)-1H-インダゾール-6-イル]アミノ]カルボニル]アミノ]-3,4-ジフルオロベンゼンプロパンアミド(RWJ-58259とも呼ばれる。)である。
[12]US7049297に記載の化合物、例えば、式(16):
[式中、
A1及びA2は、それぞれ独立に、アラニン、β-アラニン、アルギニン、ホモアルギニン、シクロヘキシルアラニン、シトルリン、システイン(任意で、C1-4アルキル、アリールもしくはアリール-C1-4アルキルで置換されていてもよい)、2,4-ジアミノ酪酸(任意で、アシル、C1-4アルキル、アロイル、アミジノもしくはMeC(NH)-で置換されていてもよい)、2,3-ジアミノプロピオン酸(任意で、アシル、C1-4アルキル、アロイル、アミジノもしくはMeC(NH)-で置換されていてもよい)、グルタミン、グリシン、インダニルグリシン、リシン(任意で、アシル、C1-4アルキル、アロイルもしくはMeC(NH)-で置換されていてもよい)、バリン、メチオニン、プロリン、セリン(任意で、C1-4アルキル、アリールもしくはアリール-C1-4アルキルで置換されていてもよい)、ホモセリン(任意で、C1-4アルキル、アリールもしくはアリール-C1-4アルキルで置換されていてもよい)、テトラヒドロイソキノリン-3-COOH、スレオニン(任意で、C1-4アルキル、アリールもしくはアリール-C1-4アルキルで置換されていてもよい)、オルニチン(任意で、アシル、C1-4アルキル、アロイルもしくはMeC(NH)-で置換されていてもよい)からなる群から選択されるD-又はL-アミノ酸、ならびに、フェニルアラニン、ヘテロアリールアラニン、ナフチルアラニン、ホモフェニルアラニン、ヒスチジン、トリプトファン、チロシン、アリールグリシン、ヘテロアリールグリシン、アリール-β-アラニン及びヘテロアリール-β-アラニンからなる群から選択される無置換又は置換されていてもよい芳香族アミノ酸(ここで、芳香族アミノ酸の置換基は、独立に、1又は2以上の、ハロゲン、C1-4アルキル、C1-4アルコキシ、ヒドロキシ、C1-4アルコキシカルボニル、アミノ、アミジノ、グアニジノ、フッ素化されたC1-4アルキル、フッ素化されたC1-4アルコキシ,C1-4アルキルスルホニル、C1-4アルキルカルボニル、シアノ、アリール、ヘテロアリール、アリール-C1-4アルキル、C2-4アルケニル、アルキニル又はニトロから選択される);
R1は、アミノ、C1-8アルキルアミノ、C1-8ジアルキルアミノ、アリールアミノ、アリール-C1-8アルキルアミノ、C3-8シクロアルキルアミノ、ヘテロアルキル-C1-8アルキルアミノ、ヘテロアルキル-C1-8アルキル-N-メチルアミノ、C1-8ジアルキルアミノ-C1-8アルキルアミノ、-N(C1-8アルキル)-C1-8アルキル-N(C1-8アルキル)2、-N(C1-8アルキル)(C1-8アルケニル)、-N(C1-8アルキル)(C3-8シクロアルキル)、ヘテロアルキル又は置換されたヘテロアルキル(ここで、ヘテロアルキル上の置換基は、オキソ、アミノ、C1-8アルコキシ-C1-8アルキル、C1-8アルキルアミノもしくはC1-8ジアルキルアミノから選択される)からなる群から選択され;
R2及びR3は、それぞれ独立に、水素、C1-8アルキル、C3-8シクロアルキル、C3-8シクロアルキル-C1-8アルキル、アリール、ヘテロアルキル、置換されたヘテロアルキル(ここで、ヘテロアルキル上の置換基は、C1-8アルコキシカルボニル、C1-8アルキルもしくはC1-4アルキルカルボニルから選択される、1もしくは2以上の置換基である)、ヘテロアルキル-C1-8アルキル、インダニル、アセトアミジノ-C1-8アルキル、アミノ-C1-8アルキル、C1-8アルキルミノ-C1-8アルキル、C1-8ジアルキルアミノ-C1-8アルキル、無置換もしくは置換されたヘテロアリール-C1-8アルキル(ここで、アリールアルキル又はヘテロアリールアルキル上の置換基は、独立に、ハロゲン、ニトロ、アミノ、C1-8アルキル、C1-8アルコキシ、ヒドロキシ、シアノ、C1-4アルキルカルボニル、C1-8アルコキシカルボニル、ヒドロキシ-C1-8アルキル又はアミノスルホニルから選択される1又は2以上の置換基である)からなる群から選択され、
R2及びR3は、これらが結合する窒素原子と一緒になって、ピペリジニル、ピペラジニル、モルホリニル及びピロリジニルから選択される、無置換又は置換されたヘテロアルキル(ここで、置換基は、独立に、C1-8アルキル、C1-8アルコキシカルボニル又はC1-8アルコキシカルボニルから選択される、1又は2以上の置換基である)を形成してもよく;
R4は、無置換又は置換されたアリール、無置換又は置換されたアリール-C1-6アルキル、無置換又は置換されたC3-8シクロアルキル又は無置換又は置換されたヘテロアリール(ここで、アリール、アリール-C1-8アルキル、C3-8シクロアルキル又はヘテロアリール上の置換基は、独立に、ハロゲン、シアノ、C1-8アルキル、C1-8アルコキシ、C1-4アルキルカルボニル、C1-8アルコキシカルボニル、フッ素化されたC1-4アルキル、フッ素化されたC1-4アルコキシ又はC1-4アルキルスルホニルから選択される1又は2以上の置換基から選択される)から選択され;
R5は、水素又はC1-8アルキルから選択され(好ましくは、水素であり);
Xは、酸素又は硫黄であり(好ましくは、酸素であり);
nは、1又は2から選択される整数であり;
pは、0又は1から選択される整数であり;
mは、0、1、2又は3から選択される整数である]で表される化合物、またはその薬学的に許容可能な塩。
[12]に記載の化合物は、好ましくは、式(16):
[式中、
A1は、アラニン、アルギニン、シクロヘキシルアラニン、グリシン、プロリン、テトラヒドロイソキノリン-3-COOHからなる群から選択されるL-アミノ酸、ならびに、フェニルアラニン、ナフチルアラニン、ホモフェニルアラニン、O-メチルチロシンからなる群から選択される無置換又は置換されていてもよい芳香族アミノ酸(ここで、芳香族アミノ酸の置換基は、独立に、ハロゲン、C1-4アルキル、C1-4アルコキシ、ヒドロキシ、C1-4アルコキシカルボニル、アミノ、アミジノ、グアニジノ、フッ素化されたC1-4アルキル、フッ素化されたC1-4アルコキシ,C1-4アルキルスルホニル、C1-4アルキルカルボニル、シアノ、アリール、ヘテロアリール、アリール-C1-4アルキル、C2-4アルケニル、アルキニル及びニトロからなる群から選択される1~5の置換基(好ましくは、1~3の置換基)である);
A2は、それぞれ独立に、アラニン、β-アラニン、アルギニン、シトルリン、システイン(任意で、C1-4アルキル、アリールもしくはアリール-C1-4アルキルで置換されていてもよい)、2,4-ジアミノブタン酸(任意で、アシル、C1-4アルキル、アロイル、アミジノもしくはMeC(NH)-で置換されていてもよい)、2,3-ジアミノプロピオン酸(任意で、アシル、C1-4アルキル、アロイル、アミジノもしくはMeC(NH)-で置換されていてもよい)、グルタミン、グリシン、リシン(任意で、アシル、C1-4アルキル、アロイルもしくはMeC(NH)-で置換されていてもよい)、バリン、メチオニン、プロリン、セリン(任意で、C1-4アルキル、アリールもしくはアリール-C1-4アルキルで置換されていてもよい)、ホモセリン(任意で、C1-4アルキル、アリールもしくはアリール-C1-4アルキルで置換されていてもよい)、スレオニン(任意で、C1-4アルキル、アリールもしくはアリール-C1-4アルキルで置換されていてもよい)、オルニチン(任意で、アシル、C1-4アルキル、アロイルもしくはMeC(NH)-で置換されていてもよい)からなる群から選択されるL-アミノ酸、ならびに、フェニルアラニン、ヘテロアリールアラニン及びヒスチジンからなる群から選択される無置換又は置換されていてもよい芳香族アミノ酸(ここで、芳香族アミノ酸の置換基は、独立に、ハロゲン、C1-4アルキル、C1-4アルコキシ、ヒドロキシ、C1-4アルコキシカルボニル、アミノ、アミジノ、グアニジノ、フッ素化されたC1-4アルキル、フッ素化されたC1-4アルコキシ,C1-4アルキルスルホニル、C1-4アルキルカルボニル、シアノ、アリール、ヘテロアリール、アリール-C1-4アルキル、C2-4アルケニル、アルキニル又はニトロからなる群から選択される1~5の置換基(好ましくは、1~3の置換基)である);
R1は、アミノ、C1-6アルキルアミノ、C1-6ジアルキルアミノ、アリールアミノ、アリール-C1-6アルキルアミノ、ヘテロアルキル-C1-6アルキルアミノ、ヘテロアルキル-C1-6アルキル-N-メチルアミノ、-N(C1-6アルキル)-C1-6アルキル-N(C1-6アルキル)2、ヘテロアルキル又は置換されたヘテロアルキル(ここで、ヘテロアルキル上の置換基は、オキソ、アミノ、C1-6アルコキシ-C1-6アルキル、C1-6アルキルアミノもしくはC1-6ジアルキルアミノから選択される)からなる群から選択され;
R2は、水素又はC1-6アルキルから選択され;
R3は、C1-8アルキル、C3-6シクロアルキル、C3-6シクロアルキル-C1-8アルキル、アリール、ヘテロアリール-C1-6アルキル、置換されたヘテロアリール-C1-6アルキル(ここで、置換基は、C1-4アルキル、ヘテロアルキル、ヘテロアルキル-C1-6アルキル、インダニル、アセトアミジノ-C1-6アルキル、アミノ-C1-6アルキル、C1-6アルキルアミノ-C1-6アルキル、C1-6ジアルキルアミノ-C1-6アルキル、アリール-C1-8アルキル及び置換されたアリール-C1-8アルキル(ここで、アリールアルキル上の置換基は、独立に、ハロゲン、ニトロ、アミノ、C1-6アルキル、C1-6アルコキシ、C1-6アルコキシカルボニル、ヒドロキシアルキル及びアミノスルホニルから選択される1~5個の置換基である)からなる群から選択され;
R2及びR3は、これらが結合する窒素原子と一緒になって、ピペリジニル、ピペラジニル及びピロリジニルから選択される、無置換又は置換されたヘテロアルキル(ここで、置換基は、独立に、C1-6アルキルから選択される、1又は2の置換基である)を形成してもよく;
R4は、無置換又は置換されたアリール、無置換又は置換されたアリール-C1-6アルキル、無置換又は置換されたC3-6シクロアルキル又は無置換又は置換されたヘテロアリール(ここで、アリール、アリール-C1-8アルキル、C3-8シクロアルキル又はヘテロアリール上の置換基は、独立に、ハロゲン、シアノ、C1-8アルキル、C1-8アルコキシ、C1-4アルキルカルボニル、C1-8アルコキシカルボニル、フッ素化されたC1-4アルキル、フッ素化されたC1-4アルコキシ又はC1-4アルキルスルホニルから選択される1又は2以上の置換基から選択される)から選択され;
R5は、水素又はC1-8アルキル(好ましくは、水素)であり、
Xは、酸素又は硫黄(好ましくは、酸素)であり;
mは、0、1、2又は3から選択される整数であり(好ましくは、1であり);
nは、1又は2の整数であり(好ましくは、1であり);
pは、0又は1の整数である(好ましくは、1である)]で表される化合物、またはその薬学的に許容可能な塩である。
[12]に記載の化合物は、より好ましくは、式(17):
で表される化合物、すなわち、(αS)-N-[(1S)-3-アミノ-1-[[(フェニルメチル)アミノ]カルボニル]プロピル]-α-[[[[1-[(2,6-ジクロロフェニル)メチル]-3-(1-ピロリジニルメチル)-1H-インドール-6-イル]アミノ]カルボニル]アミノ]-3,4-ジフルオロ-ベンゼンプロパンアミド(RWJ-56110とも呼ばれる。)である。
[13]Bioorg.Med.Chem.Lett.1998,Vol8,1649-1654に記載の化合物、すなわち、式(18):
で表される化合物。
PAR1受容体アンタゴニストは、1種単独で用いてもよく、2種以上を組み合わせて用いてもよい。PAR1受容体アンタゴニストは、同位体元素で置換されたものであってもよい。
シグナル伝達の阻害剤は、PAR1受容体の細胞内領域でシグナル伝達に関わるタンパクを阻害できれば、抗体、核酸、ペプチド、糖又は糖タンパクであってもよく、分子量2000以下の低分子化合物であってもよい。抗体は、モノクローナル抗体であってもよく、ポリクローナル抗体であってもよい。PAR1受容体の細胞内領域でシグナル伝達に関わるタンパクとしては、例えば、Giタンパク、G12/13等のGタンパクを挙げることができる。シグナル伝達の阻害剤は、1種単独で用いてもよく、2種以上を組み合わせて用いてもよい。
シグナル伝達の阻害剤としては、例えば、ペプデューシン(pepducin)が挙げられる。ペプデューシンは、一般的に、GタンパクがPAR1受容体の細胞内領域と相互作用する部位に結合しうるペプチドと脂溶性基とが結合した化学構造を有する。当該ペプチドがGタンパクと相互作用し、当該脂溶性基は細胞膜を構成するリン脂質と相互作用することによって、PAR1受容体からGタンパクへのシグナル伝達を阻害しうる。PAR1受容体に対して有効なペプデューシンとしては、WO2013/173676に記載の化合物が挙げられ、好ましくは、式(19):
で表される化合物(パルミテート-KKSRALF-NH2又はPZ-128とも呼ばれる)である。
で表される化合物(パルミテート-KKSRALF-NH2又はPZ-128とも呼ばれる)である。
PAR1遺伝子発現の阻害剤は、PAR1受容体のmRNAレベル又はタンパク質レベルでの発現を阻害できれば、抗体、核酸、ペプチド、糖又は糖タンパクであってもよく、分子量2000以下の低分子化合物であってもよい。抗体は、モノクローナル抗体であってもよく、ポリクローナル抗体であってもよい。
PAR1遺伝子発現の阻害剤は、1種単独で用いてもよく、2種以上を組み合わせて用いてもよい。
本実施形態に係る進行型免疫性脱髄疾患治療剤における上記有効成分(PAR1受容体から始まるシグナル伝達を抑制又は阻害する物質)の含有量は、特に制限されるものではなく、例えば、進行型免疫性脱髄疾患治療剤全量を基準として、0.001~100質量%であってよい。
進行型免疫性脱髄疾患治療剤は、上記有効成分のみで構成されていてもよく、また上記有効成分以外に、多発性硬化症治療において使用されうる他の薬剤、製剤技術分野において常用される賦形剤、緩衝剤、安定化剤、抗酸化剤、結合剤、崩壊剤、充填剤、乳化剤及び流動添加調節剤等の添加剤を含有していてもよい。また、上記他の薬剤は、PAR1受容体から始まるシグナル伝達の抑制又は阻害とは、異なるメカニズムで治療効果を発揮するものであることが好ましい。
他の薬剤としては、電位依存性ナトリウムチャネル阻害剤(例えば、ラモトリジン(Lamotrigine))、カリウムチャネルブロッカー(例えば、ファムプリジン(Fampridine))、電位依存性カルシウムチャネル抑制剤(例えば、ガバペンチン(Gabapentin))、BAF312(Siponimod)、HMG-CoA阻害剤(例えば、シンバスタチン(Simbastatin)等のスタチン)、S1P受容体アンタゴニスト(例えば、フィンゴリモド(Fingolimod、FTY720)、c-kit受容体阻害剤(例えば、マシチニブ(Masitinib))、MIS416、トエルナ(Toeluna)、カリウム保持性利尿薬(例えば、アミロリド(Amiloride))、リルゾール(Riluzole)、ホスホジエステラーゼ阻害剤(例えば、イブジラスト(Ibudilast、MN-166))、シクロフォスフォアミド、ステロイド(例えば、メチルプレドニゾロン、プレドニゾン)、トポイソメラーゼII阻害剤(例えば、ミトキサントロン(Mitoxantrone))、ELND002、MD1003、リタリン(Ritalin)、フマル酸クエチアピン(Quetiapine fumarate)、NMDA受容体阻害剤(例えば、メマンチン(Memantine))、タクロリムス(Tacrolimus)、テリフルノミド(Teriflunomide、HMR1726)、BHT-3009-01、サンフェノンEGCG(サンフェノンエピガロカテキンガレート)、CS-0777、グラチラマー酢酸塩(Copoxone(登録商標))、ONO-4641、プリン代謝拮抗剤(例えば、クラドリビン(Cladribine))、リポ酸、イノシン、カンナビス、ナビキシモルス(Nabiximols、Sativex(登録商標))、エリスロポイエチン、インターフェロンβ-1b、副腎皮質刺激ホルモン(ACTH)、エストリオール、合成ミエリン塩基性タンパク部分ペプチド(例えば、ジルコチド(Dirucotide、MBP8298))、モノクローナル抗ヒトCD20抗体(例えば、リツキシマブ(Rituximab))、ヒト化モノクローナル抗α4インテグリン抗体(例えば、ナタリツマブ(Natalizumab、BG00002))、モノクロ-ナル抗CD25抗体(例えば、ダクリツマブ(Daclizumab))、ヒト化モノクローナル抗IL-12抗体、モノクローナル抗IL-12/23抗体(例えば、ABT-874(Briakinumab))、ヒト化モノクローナルNogo-A抗体(例えば、Ozanezumab、GSK1223249)等が挙げられる。
本実施形態に係る進行型免疫性脱髄疾患治療剤の剤形は、例えば、散剤、丸剤、顆粒剤、錠剤、シロップ剤、トローチ剤、カプセル剤、注射剤等のいずれの剤形であってもよい。剤形が注射剤である場合には、例えば、静脈内注射、皮下注射、筋肉内注射、腹腔内注射のいずれであってもよい。
本実施形態に係る進行型免疫性脱髄疾患治療剤は、経口投与されてもよく、非経口投与されてもよい。具体的な投与量の一例として、例えば、ヒト成人男子(体重60kg)に投与する場合、一日当たりの進行型免疫性脱髄疾患治療剤の投与量は、通常、有効成分量換算で、0.0001μg~10000mg/日/人である。
本実施形態は、それを必要とするヒト対象にPAR1受容体から始まるシグナル伝達を抑制又は阻害する物質を投与するステップを含む、進行型免疫性脱髄疾患の治療方法、又は病態の進行抑制方法ということもできる。
以下、実施例に基づいて本発明をより具体的に説明する。ただし、本発明は以下の実施例に限定されるものではない。
1.NR4A2cKOマウスの後期EAE病態
(1)動物
使用したマウスはすべて6~8週齢で、特定病原体不在条件下で飼育した。loxp配列でNR4A2遺伝子を挟んだターゲッティングベクターを用いて、NR4A2fl/flマウスを樹立した。すなわち、loxp配列に挟まれたNR4A2導入遺伝子をC57BL/6胚性幹細胞にマイクロインジェクションにより導入した。樹立系統をC57BL/6 FLPeマウス(理研バイオリソースセンター)と交雑させてネオマイシンカセットを除去した系統同士を交配して、ホモ接合NR4A2fl/fl C57BL/6マウスを作製した。得られたマウスをC57BL/6 CD4-Creマウス(タコニック社)と交配させることにより、CD4特異的NR4A2cKO C57BL/6マウス(C57BL/6 Cre-CD4/NR4A2fl\flマウス)を樹立した。また、得られたマウスをSJL/Jマウス(雌、日本チャールズ・リバー株式会社)と10代に渡って交配させる(戻し交配)ことにより、NR4A2fl/fl SJLマウス、及びCD4特異的NR4A2cKO SJLマウス(SJL/J Cre-CD4/NR4A2fl\flマウス)を樹立した。
(1)動物
使用したマウスはすべて6~8週齢で、特定病原体不在条件下で飼育した。loxp配列でNR4A2遺伝子を挟んだターゲッティングベクターを用いて、NR4A2fl/flマウスを樹立した。すなわち、loxp配列に挟まれたNR4A2導入遺伝子をC57BL/6胚性幹細胞にマイクロインジェクションにより導入した。樹立系統をC57BL/6 FLPeマウス(理研バイオリソースセンター)と交雑させてネオマイシンカセットを除去した系統同士を交配して、ホモ接合NR4A2fl/fl C57BL/6マウスを作製した。得られたマウスをC57BL/6 CD4-Creマウス(タコニック社)と交配させることにより、CD4特異的NR4A2cKO C57BL/6マウス(C57BL/6 Cre-CD4/NR4A2fl\flマウス)を樹立した。また、得られたマウスをSJL/Jマウス(雌、日本チャールズ・リバー株式会社)と10代に渡って交配させる(戻し交配)ことにより、NR4A2fl/fl SJLマウス、及びCD4特異的NR4A2cKO SJLマウス(SJL/J Cre-CD4/NR4A2fl\flマウス)を樹立した。
ジャクソン研究所から購入したEomesfl/flマウスをC57BL/6 CD4-Creマウスと交配させて、Cre-CD4 Eomesfl/fl C57BL/6マウスを得た。さらに、Eomesfl/flマウスをCre-CD4/NR4A2fl/fl C57BL/6マウスと交配させて、Cre-CD4/NR4A2fl/flEomesfl/fl C57BL/6マウスを得た。
(2)EAE誘導(単相型EAE)
100μgのMOG35-55残基に相当するペプチド(東レリサーチセンター,日本,東京にて合成、以下、「MOGペプチド」ともいう。)と1mgの結核菌H37Ra死菌(Difco,米国,カンザス州)を完全フロイントアジュバントで乳化したものを等量混和し、ホモジナイザーを用いて乳化させ、MOGエマルジョンを調製した。得られたMOGエマルジョンを、CD4特異的NR4A2cKO C57BL/6マウス(Cre-CD4/NR4A2fl/fl C57BL/6マウス、NR4A2cKO)及び対照としてNR4A2fl/fl C57BL/6マウス(Control)の背部皮下に1~2か所注射し、免疫を付与した。さらに、免疫付与後0日目と2日目に、1匹あたり、200ngの百日咳毒素(List Biological Laboratories,米国)のPBS溶液200μLを、マウスの腹腔内に注射した。注射した後、以下に示すEAE評価基準にしたがい、マウスのEAE病態を毎日、評価した。
<EAE評価基準>
0:臨床徴候なし
1:尾の部分的麻痺
2:弛緩した尾
3:後肢の部分的麻痺
4:全後肢の麻痺
5:後肢及び前肢の麻痺
100μgのMOG35-55残基に相当するペプチド(東レリサーチセンター,日本,東京にて合成、以下、「MOGペプチド」ともいう。)と1mgの結核菌H37Ra死菌(Difco,米国,カンザス州)を完全フロイントアジュバントで乳化したものを等量混和し、ホモジナイザーを用いて乳化させ、MOGエマルジョンを調製した。得られたMOGエマルジョンを、CD4特異的NR4A2cKO C57BL/6マウス(Cre-CD4/NR4A2fl/fl C57BL/6マウス、NR4A2cKO)及び対照としてNR4A2fl/fl C57BL/6マウス(Control)の背部皮下に1~2か所注射し、免疫を付与した。さらに、免疫付与後0日目と2日目に、1匹あたり、200ngの百日咳毒素(List Biological Laboratories,米国)のPBS溶液200μLを、マウスの腹腔内に注射した。注射した後、以下に示すEAE評価基準にしたがい、マウスのEAE病態を毎日、評価した。
<EAE評価基準>
0:臨床徴候なし
1:尾の部分的麻痺
2:弛緩した尾
3:後肢の部分的麻痺
4:全後肢の麻痺
5:後肢及び前肢の麻痺
結果を図1に示す。図1に示すように、NR4A2欠損マウス(NR4A2cKO)では、対照マウス(Control)で観察されたEAE発症期、ピーク期及び慢性期(EAE誘導後約9~28日後)におけるEAE病態が抑制されていた。一方、NR4A2欠損マウスでは、EAE誘導後28日以降に新たな病態(後期EAE病態)が出現した。
(3)中枢神経系へのT細胞の浸潤
上記1.(2)と同様に単相型EAEを誘導したNR4A2欠損マウス(NR4A2cKO)及び対照マウス(Control)の脳及び脊髄を採取し、CNSへ浸潤したT細胞の数をフローサイトメーターを用いて測定した。具体的には、組織を小さい破片に切断した後、37℃で40分間、1.4mg/mLのコラゲナーゼH及び100μg/mLのDNaseI(Roche社製)を含有したRPMI 1640培地(Invitrogen社製)において更に分解した。得られた組織のホモジネートを70μm細胞濾過器(GEヘルスケアサイエンス社製)に通し、不連続パーコール密度勾配遠心分離法(37%/80%)を用いて、白血球細胞を濃縮した。CNSへ浸潤したT細胞の数をFACS ARIA II(BD Cytometry Systems社製)で測定した。その際、T細胞の検出には抗CD3抗体(Biolegend社製)を用いた。
上記1.(2)と同様に単相型EAEを誘導したNR4A2欠損マウス(NR4A2cKO)及び対照マウス(Control)の脳及び脊髄を採取し、CNSへ浸潤したT細胞の数をフローサイトメーターを用いて測定した。具体的には、組織を小さい破片に切断した後、37℃で40分間、1.4mg/mLのコラゲナーゼH及び100μg/mLのDNaseI(Roche社製)を含有したRPMI 1640培地(Invitrogen社製)において更に分解した。得られた組織のホモジネートを70μm細胞濾過器(GEヘルスケアサイエンス社製)に通し、不連続パーコール密度勾配遠心分離法(37%/80%)を用いて、白血球細胞を濃縮した。CNSへ浸潤したT細胞の数をFACS ARIA II(BD Cytometry Systems社製)で測定した。その際、T細胞の検出には抗CD3抗体(Biolegend社製)を用いた。
結果を図2に示す。健常状態のCNSにはT細胞は検出されないが、図2に示すように、後期EAE病態時では、CNSへのT細胞の浸潤が認められた。
(4)後期EAE病態とIL-17産生
上記1.(2)と同様に単相型EAEを誘導したNR4A2欠損マウス(NR4A2cKO)及び対照マウス(Control)から脳及び脊髄を採取し、フローサイトメーターを用いてCD4+T細胞を分離した。具体的には、上記1.(3)と同様に組織から白血球細胞を濃縮した。次いで、CNSへ浸潤したCD4+T細胞をFACS ARIA II(BD Cytometry Systems社製)を用いたFACSソートで分離した。分離の際に使用した抗体は、抗CD3抗体(Biolegend社製)、及び抗CD4抗体(Biolegend社製)である。得られたT細胞を、MOGペプチドで刺激し、培養上清中におけるIL-17含有量を、FlowCytomixサイトメトリックビーズアレイ(eBioscience社製)及びBio-Plexサスペンジョンアレイシステム(バイオラッド社)を用いて測定した。得られたIL-17量をCNS浸潤T細胞の数で除し、CNS浸潤T細胞あたりのIL-17産生量を算出した。
上記1.(2)と同様に単相型EAEを誘導したNR4A2欠損マウス(NR4A2cKO)及び対照マウス(Control)から脳及び脊髄を採取し、フローサイトメーターを用いてCD4+T細胞を分離した。具体的には、上記1.(3)と同様に組織から白血球細胞を濃縮した。次いで、CNSへ浸潤したCD4+T細胞をFACS ARIA II(BD Cytometry Systems社製)を用いたFACSソートで分離した。分離の際に使用した抗体は、抗CD3抗体(Biolegend社製)、及び抗CD4抗体(Biolegend社製)である。得られたT細胞を、MOGペプチドで刺激し、培養上清中におけるIL-17含有量を、FlowCytomixサイトメトリックビーズアレイ(eBioscience社製)及びBio-Plexサスペンジョンアレイシステム(バイオラッド社)を用いて測定した。得られたIL-17量をCNS浸潤T細胞の数で除し、CNS浸潤T細胞あたりのIL-17産生量を算出した。
結果を図3に示す。NR4A2が関わるEAE病態にIL-17を産生するTh17細胞の関与が示唆されている。対照マウス(Control)のDay18における高いIL-17産生量はこれを反映していると考えられる。一方、後期EAE病態(Day28)では、EAE病態を説明し得るIL-17産生量は観察されなかった。
以上の結果から、NR4A2欠損マウスではTh17細胞応答が抑制されていること、NR4A2欠損マウスの単相型EAEは、初期病態が抑制される一方で後期に新たな病態(後期EAE病態)が出現すること、後期EAE病態でも中枢神経系へのT細胞の浸潤が認められるが、Th17細胞応答は生じていないこと、単相型EAE病態は、NR4A2依存性が異なる二つの病態(初期病態と後期病態)からなることが明らかとなった。
(5)CNS浸潤CD4+T細胞におけるEomes遺伝子の発現
上記1.(2)と同様にして単相型EAEを誘導したNR4A2欠損マウス(NR4A2cKO)及び対照マウス(Control)から、誘導15日後(対照のみ)及び誘導28日後(後期EAE病態に相当)に脳及び脊髄を採取し、上記1.(4)と同様にCNSへ浸潤したCD4+T細胞を分離した。RNeasyミニキット又はFastLaneキット(Qiagen社製)を使用して、得られたCD4+T細胞から総RNAを抽出した。得られた総RNAから、ファーストストランドcDNA合成キット(タカラ社製)を用いて、cDNAを合成した。LightCycler装置で、Light Cycler-FastStart DNAマスターSYBRグリーンIキット(Roche Diagnostics社製)を用いた条件で、又はABI 7300リアルタイムPCR装置で、Power SYBRグリーンマスターミックス(Applied Biosystems社製)を用いた条件で、市販のプライマー(QuantiTect Primer Assay,QT01074332,Qiagen社製)を使用して定量リアルタイムPCRを行った。Eomes遺伝子発現量は、GAPDHハウスキーピング遺伝子の発現量に基づいて補正した。
上記1.(2)と同様にして単相型EAEを誘導したNR4A2欠損マウス(NR4A2cKO)及び対照マウス(Control)から、誘導15日後(対照のみ)及び誘導28日後(後期EAE病態に相当)に脳及び脊髄を採取し、上記1.(4)と同様にCNSへ浸潤したCD4+T細胞を分離した。RNeasyミニキット又はFastLaneキット(Qiagen社製)を使用して、得られたCD4+T細胞から総RNAを抽出した。得られた総RNAから、ファーストストランドcDNA合成キット(タカラ社製)を用いて、cDNAを合成した。LightCycler装置で、Light Cycler-FastStart DNAマスターSYBRグリーンIキット(Roche Diagnostics社製)を用いた条件で、又はABI 7300リアルタイムPCR装置で、Power SYBRグリーンマスターミックス(Applied Biosystems社製)を用いた条件で、市販のプライマー(QuantiTect Primer Assay,QT01074332,Qiagen社製)を使用して定量リアルタイムPCRを行った。Eomes遺伝子発現量は、GAPDHハウスキーピング遺伝子の発現量に基づいて補正した。
結果を図4に示す。図4に示すように、後期EAE病態(Day28)では、対照マウス(Control)及びNR4A2欠損マウス(NR4A2cKO)ともに、対照マウスのDay15と比較して、CNSへ浸潤したCD4+T細胞のEomes遺伝子(mRNA)の発現が亢進していた。なお、Eomes+CD4+T細胞ではIL-17発現は観察されなかった(データ示さず)。したがって、Eomes+CD4+T細胞とTh17細胞は、異なるサブセットであると考えられる。
(6)NR4A2/Eomes欠損マウスのEAE病態
上記1.(2)と同様にして、Eomesfl/flマウス(Control eomesfl/fl)、Cre-CD4 Eomesfl/fl C57BL/6マウス(Cre-CD4 eomesfl/fl)、NR4A2fl/flEomesfl/fl C57BL/6マウス(Control)、CD4特異的NR4A2cKOマウス(NR4A2cKO)及びCre-CD4/NR4A2fl/flEomesfl/fl C57BL/6マウス(Eomes/NR4A2cKO)に単相型EAEを誘導した。その後、上記EAE評価基準にしたがい、マウスのEAE病態を毎日、評価した。
上記1.(2)と同様にして、Eomesfl/flマウス(Control eomesfl/fl)、Cre-CD4 Eomesfl/fl C57BL/6マウス(Cre-CD4 eomesfl/fl)、NR4A2fl/flEomesfl/fl C57BL/6マウス(Control)、CD4特異的NR4A2cKOマウス(NR4A2cKO)及びCre-CD4/NR4A2fl/flEomesfl/fl C57BL/6マウス(Eomes/NR4A2cKO)に単相型EAEを誘導した。その後、上記EAE評価基準にしたがい、マウスのEAE病態を毎日、評価した。
結果を図5及び6に示す。図5に示すように、CD4遺伝子のプロモーター下にcre遺伝子を導入し、かつeomes遺伝子をloxP遺伝子で挟んだEomes欠損マウス(Cre-CD4 eomesfl/fl)は、eomes遺伝子をloxP遺伝子で挟んだ対照マウス(Control eomesfl/fl)に比べて、EAEスコアが若干改善した。また、NR4A2欠損マウス(NR4A2cKO)では、後期EAE病態においてEAEスコアが上昇したのに対し、NR4A2/Eomes欠損マウス(Eomes/NR4A2 cKO)では後期EAEスコアが上昇せず、後期EAE病態を発症しなかった。
(7)Eomes+CD4+T細胞における細胞障害因子の発現
上記1.(2)と同様に単相型EAEを誘導し、後期EAE病態を発症した対照マウス(Control)及びNR4A2欠損マウス(NR4A2cKO)の中枢神経系から分離した単核球を、抗CD3抗体、抗CD4抗体、及び抗CD27抗体で染色し、CD4+CD27+T細胞、CD4+CD27-T細胞とCD4-T細胞をFACS ARIA II(BD Cytometry Systems社製)を用いたFACSソートで分離した。分離の際に使用した抗体は、抗CD3抗体(Biolegend社製)、抗CD4抗体(Biolegend社製)、および抗CD27抗体(eBioscience社製)である。得られた細胞からRNAを抽出し、パーフォリン1とグランザイムBの発現量をLightCycler装置で、Light Cycler-FastStart DNAマスターSYBRグリーンIキット(Roche Diagnostics社製)を用いた条件で、又はABI 7300リアルタイムPCR装置で、Power SYBRグリーンマスターミックス(Applied Biosystems社製)を用いた条件で、市販のプライマー(QuantiTect Primer Assay,QT00282002(パーフォリン),QT00114590(グランザイムB),いずれもQiagen社製)を使用して定量リアルタイムPCRを行った。また、Eomes発現CD4+T細胞に抗CD3抗体で刺激した場合と刺激しなかった場合において、Eomes遺伝子及びCD107aの細胞表面発現をフローサイトメーターを用いて解析した。解析の際に使用した抗体は、抗Eomes抗体(eBioscience社製)、抗CD107a抗体(Biolegend社製)である。
上記1.(2)と同様に単相型EAEを誘導し、後期EAE病態を発症した対照マウス(Control)及びNR4A2欠損マウス(NR4A2cKO)の中枢神経系から分離した単核球を、抗CD3抗体、抗CD4抗体、及び抗CD27抗体で染色し、CD4+CD27+T細胞、CD4+CD27-T細胞とCD4-T細胞をFACS ARIA II(BD Cytometry Systems社製)を用いたFACSソートで分離した。分離の際に使用した抗体は、抗CD3抗体(Biolegend社製)、抗CD4抗体(Biolegend社製)、および抗CD27抗体(eBioscience社製)である。得られた細胞からRNAを抽出し、パーフォリン1とグランザイムBの発現量をLightCycler装置で、Light Cycler-FastStart DNAマスターSYBRグリーンIキット(Roche Diagnostics社製)を用いた条件で、又はABI 7300リアルタイムPCR装置で、Power SYBRグリーンマスターミックス(Applied Biosystems社製)を用いた条件で、市販のプライマー(QuantiTect Primer Assay,QT00282002(パーフォリン),QT00114590(グランザイムB),いずれもQiagen社製)を使用して定量リアルタイムPCRを行った。また、Eomes発現CD4+T細胞に抗CD3抗体で刺激した場合と刺激しなかった場合において、Eomes遺伝子及びCD107aの細胞表面発現をフローサイトメーターを用いて解析した。解析の際に使用した抗体は、抗Eomes抗体(eBioscience社製)、抗CD107a抗体(Biolegend社製)である。
結果を図7~図9に示す。図7及び図8に示すように、NR4A2欠損マウス由来のCD4+CD27+T細胞では、CD4+CD27-T細胞と比較して、パーフォリン1の発現量には大きな差を認めなかったが、グランザイムBの発現量が増加していた。また、図9に示すように、Eomes+CD4+T細胞を抗CD3抗体で刺激することにより、CD107aの発現量が上昇した。すなわち、Eomes+CD4+T細胞は、抗CD3抗体による刺激を受けると脱顆粒するものと考えられる。
(8)ヒト末梢血中のEomes+CD4+T細胞頻度
健康成人のボランティア(n=14)、RR-MS患者(n=15)及びSP-MS患者(n=12)から、ヘパリン処理済チューブを用いて末梢血を採取し、得られた末梢血をフィコール勾配(GEヘルスケア)に沈殿させ、約900gで30分間、遠心分離することによってPBMCを分離した。得られたPBMCを、製造者の取扱説明にしたがって、eBioscience Foxp3染色キットを用いて表面染色及び固定/細胞内染色した。CD3+CD4+PBMCにおけるEomes、CD11a及びCD27の発現量を、フローサイトメーターを用いて解析した。解析の際に使用した抗体は、抗CD3抗体(Biolegend社製)、抗CD4抗体(Biolegend社製)、抗CD11a抗体(Biolegend社製)、抗CD27抗体(eBioscience社製)、及び抗Eomes抗体(eBioscience社製)である。
健康成人のボランティア(n=14)、RR-MS患者(n=15)及びSP-MS患者(n=12)から、ヘパリン処理済チューブを用いて末梢血を採取し、得られた末梢血をフィコール勾配(GEヘルスケア)に沈殿させ、約900gで30分間、遠心分離することによってPBMCを分離した。得られたPBMCを、製造者の取扱説明にしたがって、eBioscience Foxp3染色キットを用いて表面染色及び固定/細胞内染色した。CD3+CD4+PBMCにおけるEomes、CD11a及びCD27の発現量を、フローサイトメーターを用いて解析した。解析の際に使用した抗体は、抗CD3抗体(Biolegend社製)、抗CD4抗体(Biolegend社製)、抗CD11a抗体(Biolegend社製)、抗CD27抗体(eBioscience社製)、及び抗Eomes抗体(eBioscience社製)である。
結果を図10及び図11に示す。図10は、CD3+PBMCにおけるCD4及びEomes発現を示すサイトグラム、CD3+CD4+PBMCにおけるCD11a及びEomes発現を示すサイトグラム、並びにCD3+CD4+PBMCにおけるCD27及びEomes発現を示すサイトグラムである。図11は、CD3+CD4+PBMCに占めるEomes+細胞の割合を健康成人ボランティア、RR-MS患者及びSP-MS患者についてプロットしたものである。図10及び図11に示すように、SP-MS患者において、Eomes+CD4+T細胞が選択的に亢進していた。
(9)SP-MS患者由来のEomes+CD4+T細胞の細胞傷害性
上記1.(8)と同様にして得られたSP-MS患者由来のCD3+CD4+PBMCに、抗CD3抗体で刺激を与えた後、CD107a、IFN-γ、グランザイムB及びパーフォリン1の発現量を、フローサイトメーターを用いて解析した。解析の際に使用した抗体は、抗CD107a抗体(Biolegend社製)、抗IFN-γ抗体(Biolegend社製)、抗グランザイムB抗体(Biolegend社製)、抗パーフォリン1抗体(Biolegend社製)である。なお、CD107aについては、抗107a抗体蛍光色素標識抗体の存在下で抗CD3/抗CD28抗体(BD Biosciences,BioLegend又はeBioscienceから入手した)で刺激して行った。
上記1.(8)と同様にして得られたSP-MS患者由来のCD3+CD4+PBMCに、抗CD3抗体で刺激を与えた後、CD107a、IFN-γ、グランザイムB及びパーフォリン1の発現量を、フローサイトメーターを用いて解析した。解析の際に使用した抗体は、抗CD107a抗体(Biolegend社製)、抗IFN-γ抗体(Biolegend社製)、抗グランザイムB抗体(Biolegend社製)、抗パーフォリン1抗体(Biolegend社製)である。なお、CD107aについては、抗107a抗体蛍光色素標識抗体の存在下で抗CD3/抗CD28抗体(BD Biosciences,BioLegend又はeBioscienceから入手した)で刺激して行った。
結果を図12に示す。図12に示すように、SP-MS患者由来のCD3+CD4+PBMCは、細胞傷害因子(IFN-γ、パーフォリン1、グランザイムB)を高発現しており、抗CD3抗体で刺激されると、CD107aの発現量が増加した。したがって、Eomes+CD4+T細胞は刺激を受けることにより、脱顆粒すると考えられた。
以上の結果から、NR4A2欠損マウスの後期EAE病態は、Eomes依存性の病態であること、進行型MS(特に、SP-MS)病態のモデルになることが明らかとなった。
2.PAR1受容体の阻害による後期EAE病態の抑制
(1)グランザイムB特異的siRNAによる後期EAE病態の抑制
上記1.(2)と同様に単相型EAEを誘導したNR4A2欠損マウス(NR4A2cKO)及び対照マウス(Control)に、誘導16日後に、コラーゲンマトリックスに封入したコントロールsiRNA(Negative control、高研社製)、又はグランザイムB特異的siRNA-1(配列番号1:CUCUAGAAUAGAGCAAGAAAUU)を静脈内注射した。注射した後、上述のEAE評価基準にしたがい、マウスのEAE病態を毎日、評価した。
(1)グランザイムB特異的siRNAによる後期EAE病態の抑制
上記1.(2)と同様に単相型EAEを誘導したNR4A2欠損マウス(NR4A2cKO)及び対照マウス(Control)に、誘導16日後に、コラーゲンマトリックスに封入したコントロールsiRNA(Negative control、高研社製)、又はグランザイムB特異的siRNA-1(配列番号1:CUCUAGAAUAGAGCAAGAAAUU)を静脈内注射した。注射した後、上述のEAE評価基準にしたがい、マウスのEAE病態を毎日、評価した。
結果を図13に示す。図13に示すように、NR4A2欠損マウス及び対照マウスのいずれにおいても、グランザイムB特異的siRNAの投与により、後期EAE病態が有意に改善した。
(2)PAR1受容体アンタゴニスト(FR171113)による後期EAE病態の抑制
上記1.(2)と同様に単相型EAEを誘導したNR4A2欠損マウス(NR4A2cKO)及び対照マウス(Control)に、誘導16日後から24日後までの間、PAR1受容体アンタゴニスト(FR171113)を5mg/kg体重、1日1回腹腔内投与した。投与後、上述のEAE評価基準にしたがい、マウスのEAE病態を毎日、評価した。
上記1.(2)と同様に単相型EAEを誘導したNR4A2欠損マウス(NR4A2cKO)及び対照マウス(Control)に、誘導16日後から24日後までの間、PAR1受容体アンタゴニスト(FR171113)を5mg/kg体重、1日1回腹腔内投与した。投与後、上述のEAE評価基準にしたがい、マウスのEAE病態を毎日、評価した。
結果を図14に示す。図14に示すように、NR4A2欠損マウス及び対照マウスのいずれにおいても、FR171113の投与により、後期EAE病態が有意に改善した。
(3)PAR1受容体アンタゴニスト(SCH79797)による後期EAE病態の抑制
上記1.(2)と同様に単相型EAEを誘導したNR4A2欠損マウス(NR4A2cKO)及び対照マウス(Control)に、誘導16日後から24日後までの間、PAR1受容体アンタゴニスト(SCH79797)を5mg/kg体重、2日1回腹腔内投与した。投与後、上述のEAE評価基準にしたがい、マウスのEAE病態を毎日、評価した。
上記1.(2)と同様に単相型EAEを誘導したNR4A2欠損マウス(NR4A2cKO)及び対照マウス(Control)に、誘導16日後から24日後までの間、PAR1受容体アンタゴニスト(SCH79797)を5mg/kg体重、2日1回腹腔内投与した。投与後、上述のEAE評価基準にしたがい、マウスのEAE病態を毎日、評価した。
結果を図15に示す。図15に示すように、NR4A2欠損マウス及び対照マウスのいずれにおいても、SCH79797の投与により、後期EAE病態が有意に改善した。
3.PAR1受容体の活性化による後期EAE病態の誘導
上記1.(2)と同様に単相型EAEを誘導したNR4A2/Eomes欠損マウス(Eomes/NR4A2 cKO)に、誘導18日後(図16において、点線で示す時点)において、1)PAR1受容体活性化ペプチド(配列番号2:SFLLRN)(60nmol in 200μL PBS/マウス(約3μmol/kg体重))、又は2)PBSのみ(200μL/マウス)を単回静脈内投与した。投与後、上述のEAE評価基準にしたがい、マウスのEAE病態を毎日、評価した。
上記1.(2)と同様に単相型EAEを誘導したNR4A2/Eomes欠損マウス(Eomes/NR4A2 cKO)に、誘導18日後(図16において、点線で示す時点)において、1)PAR1受容体活性化ペプチド(配列番号2:SFLLRN)(60nmol in 200μL PBS/マウス(約3μmol/kg体重))、又は2)PBSのみ(200μL/マウス)を単回静脈内投与した。投与後、上述のEAE評価基準にしたがい、マウスのEAE病態を毎日、評価した。
結果を図16に示す。図16に示すように、PAR1受容体活性化ペプチドの投与により、後期EAEに類似する病態が誘導されることが確認された。
Claims (7)
- PAR1受容体から始まるシグナル伝達を抑制又は阻害する物質を有効成分として含有する、進行型免疫性脱髄疾患治療剤。
- 前記物質が、PAR1受容体アンタゴニストを含む、請求項1に記載の進行型免疫性脱髄疾患治療剤。
- 前記PAR1受容体アンタゴニストが、式(1):
[式中、B環はそれぞれさらに置換基を有していてもよい(1)芳香族炭化水素環または(2)1あるいは2個のNを含有しても良い芳香族複素環を;R101、R102およびR103は同一または相異なって(1)水素原子または(2)下記置換基群cから選ばれるいずれか1の基を;R5は(1)水素原子、(2)シアノ基、(3)ハロゲン原子または(4)下記置換基群aから選ばれるいずれか1の基を;R6は(1)水素原子、(2)C1-6アルキル基、(3)アシル基、(4)カルバモイル基、(5)水酸基、(6)C1-6アルコキシ基、(7)C1-6アルキルオキシカルボニルオキシ基、(8)C3-8環状アルキル基、(9)アシルオキシ基で置換されていてもよいC1-6アルキルオキシカルボニル基または(10)それぞれ下記置換基群eから選ばれる少なくとも1の基で置換されていてもよいC6-14芳香族炭化水素環式基もしくは5乃至14員芳香族複素環式基を;Y1は単結合、-(CH2)m-、-CR8-、-CR8R9-、-CH2CO-、-NR8-、-SO-、-SO2-、-CO-、-CONR8-または-SO2NR8-〔式中、mは1乃至3の整数を、R8およびR9は同一または相異なって水素原子、ハロゲン原子、C1-6アルキル基、カルボキシル基またはC1-6アルコキシカルボニル基を示す〕を;Y2は単結合、O、N、-(CH2)m-、-CR8-、CR8R9-、-CO-、-SO-、-SO2-または-C(=N-OR8)-〔式中、m、R8およびR9は前記定義と同意義を示す〕を示し;Arは(i)水素原子、(ii)式(2):
〔式中、R10、R11、R12、R13およびR14は同一または相異なって(1)水素原子、(2)シアノ基、(3)ハロゲン原子、(4)ニトロ基または(5)下記置換基群bから選ばれるいずれか1の基を示し、さらに、R11とR12、または、R12とR13は結合してN、SおよびOから選ばれる1乃至4個の複素原子を含有していてもよく、かつ下記置換基群fから選ばれる少なくとも1の基で置換されていてもよい5乃至8員複素環を形成していてもよい。〕で表わされる基または(3)下記置換基群gから選ばれる少なくとも1の基で置換されていてもよい5乃至14員芳香族複素環式基を示す;
<前記置換基群a>下記置換基群a’から選ばれる少なくとも1の基でそれぞれ置換されていてもよいC1-6アルキル基、アルキリデン基、C2-6アルケニル基、C2-6アルキニル基、アシル基、カルボキシル基、カルバモイル基、C1-6アルコキシカルボニル基、C1-6アルキルアミノカルボニル基、水酸基、C1-6アルコキシ基、C3-8環状アルキルオキシ基、アミノ基、C1-6アルキルアミノ基、C3-8環状アルキルアミノ基、アシルアミノ基、スルホニルアミノ基、スルホニル基、スルファモイル基、C3-8環状アルキル基、5乃至14員非芳香族複素環式基、C6-14芳香族炭化水素環式基および5乃至14員芳香族複素環式基からなる群;
<前記置換基群a’>C1-6アルキル基、C2-6アルケニル基、C2-6アルキニル基、シアノ基、アシル基、カルボキシル基、カルバモイル基、C1-6アルコキシカルボニル基、C1-6アルキルアミノカルボニル基、水酸基、C1-6アルコキシ基、C3-8環状アルキルオキシ基、アミノ基、C1-6アルキルアミノ基、C3-8環状アルキルアミノ基、アシルアミノ基、ウレイド基、ウレニレン基、スルホニルアミノ基、スルホニル基、スルファモイル基、ハロゲン原子、C3-8環状アルキル基、含ヘテロ環状アルキル基、5乃至14員非芳香族複素環式基、C6-14芳香族炭化水素環式基および5乃至14員芳香族複素環式基からなる群を示し、更に、前記C6-14芳香族炭化水素環式基および5乃至14員芳香族複素環式基は、それぞれC1-6アルキル基、シアノ基、アシル基、カルボキシル基、カルバモイル基、C1-6アルコキシカルボニル基、C1-6アルキルアミノカルボニル基、水酸基、C1-6アルコキシ基、C3-8環状アルキルオキシ基、ニトロ基、アミノ基、C1-6アルキルアミノ基、C3-8環状アルキルアミノ基、アシルアミノ基、ウレイド基、ウレニレン基、スルホニルアミノ基、スルホニル基、スルファモイル基、ハロゲン原子およびC3-8環状アルキル基からなる群より選ばれる少なくとも1の基で置換されていてもよい;
<前記置換基群b>下記置換基群b’から選ばれる少なくとも1の基でそれぞれ置換されていてもよいC1-6アルキル基、C2-6アルケニル基、C2-6アルキニル基、アシル基、カルボキシル基、カルバモイル基、C1-6アルコキシカルボニル基、C1-6アルキルアミノカルボニル基、水酸基、C1-6アルコキシ基、C3-8環状アルキルオキシ基、アミノ基、C1-6アミノアルキル基、C1-6アルキルアミノ基、C3-8環状アルキルアミノ基、アシルアミノ基、ウレイド基、スルホニルアミノ基、スルホニル基、スルファモイル基、C3-8環状アルキル基、5乃至14員非芳香族複素環式基、C6-14芳香族炭化水素環式基および5乃至14員芳香族複素環式基からなる群;
<前記置換基群b’>C1-6アルキル基、C2-6アルケニル基、C2-6アルキニル基、オキソ基、シアノ基、C1-6シアノアシル基、C2-7アシル基、C1-6アルカノイル基、ベンゾイル基、アラルカノイル基、C1-6アルコキシアルキルカルボニル基、C1-6ヒドロキシアルキルカルボニル基、カルボキシル基、C1-6カルボキシルアルキル基、C1-6カルボキシルアルキルオキシ基、カルバモイル基、カルバモイルアルキルオキシ基、C1-6アルコキシカルボニル基、C1-10アルコキシカルボニルC1-6アルキル基、C1-10アルコキシカルボニルC1-6アルキルオキシ基、C1-6モノアルキルアミノカルボニル基、C2-6ジアルキルアミノカルボニル基、水酸基、C1-6アルコキシ基、C1-10アルコキシアルキル基、C1-10アラルキルオキシアルキル基、C1-6ヒドロキシアルキル基、C3-8環状アルキルオキシ基、アミノ基、C1-6アルキルアミノ基、C3-8環状アルキルアミノ基、アシルアミノ基、ウレイド基、ウレイレン基、C1-6アルキルスルホニルアミノ基、フェニルスルホニルアミノ基、C1-6アルキルスルホニル基、フェニルスルホニル基、C1-6モノアルキルアミノスルホニル基、C2-6ジアルキルアミノスルホニル基、スルファモイル基、ハロゲノ基、C3-8環状アルキル基、5乃至14員非芳香族複素環式基、C6-14芳香族炭化水素環式基、5乃至14員芳香族複素環式基、含ヘテロ環状アミノカルボニル基、含ヘテロ環状アミノスルホニル基およびイソキサゾリニル基からなる群を示し、更に、前記5乃至14員非芳香族複素環式基、C6-14芳香族炭化水素環式基、5乃至14員芳香族複素環式基およびイソキサゾリニル基は、独立に、C1-6アルキル基、オキソ基、シアノ基、アシル基、カルボキシル基、カルバモイル基、C1-6アルコキシカルボニル基、C1-6アルキルアミノカルボニル基、水酸基、C1-6アルコキシ基、C3-8環状アルキルオキシ基、ニトロ基、アミノ基、C1-6アミノアルキル基、C1-6アルキルアミノ基、C1-6ジアルキルアミノ基、C3-8環状アルキルアミノ基、アシルアミノ基、ウレイド基、ウレイレン基、アルキルスルホニルアミノ基、アルキルスルホニル基、スルファモイル基、ハロゲノ基およびC3-8環状アルキル基からなる群より選ばれる少なくとも1の基で置換されていてもよい;
<前記置換基群c>(1)シアノ基、(2)ハロゲン原子ならびに(3)下記置換基群c’から選ばれる少なくとも1の基でそれぞれ置換されていてもよいC1-6アルキル基、C2-8アルケニル基、C2-8アルキニル基、アシル基、カルボキシル基、カルバモイル基、C1-6アルコキシカルボニル基、C1-6アルキルアミノカルボニル基、水酸基、C1-6アルコキシ基、C3-8環状アルキルオキシ基、アミノ基、C1-6アルキルアミノ基、C3-8環状アルキルアミノ基、アシルアミノ基、ウレイド基、スルホニルアミノ基、スルホニル基、スルファモイル基、C3-8環状アルキル基、5乃至14員非芳香族複素環式基、C6-14芳香族炭化水素環式基および5乃至14員芳香族複素環式基からなる群;
<前記置換基群c’>C1-6アルキル基、C2-8アルケニル基、C2-8アルキニル基、シアノ基、アシル基、カルボキシル基、カルバモイル基、C1-6アルコキシカルボニル基、C1-6アルキルアミノカルボニル基、水酸基、C1-6アルコキシ基、C3-8環状アルキルオキシ基、アミノ基、C1-6アルキルアミノ基、C3-8環状アルキルアミノ基、アシルアミノ基、ウレイド基、ウレニレン基、スルホニルアミノ基、スルホニル基、スルファモイル基、ハロゲノ基、C3-8環状アルキル基、5乃至14員非芳香族複素環式基、C6-14芳香族炭化水素環式基および5乃至14員芳香族複素環式基からなる群;
<前記置換基群e>C1-6アルキル基、シアノ基、アシル基、カルボキシル基、カルバモイル基、C1-6アルコキシカルボニル基、C1-6アルキルアミノカルボニル基、水酸基、C1-6アルコキシ基、C3-8環状アルキルオキシ基、アミノ基、C1-6アルキルアミノ基、C3-8環状アルキルアミノ基、アシルアミノ基、ウレイド基、ウレニレン基、スルホニルアミノ基、スルホニル基、スルファモイル基、ハロゲン原子およびC3-8環状アルキル基からなる群;
<前記置換基群f>(1)水素原子、(2)シアノ基、(3)ハロゲン原子、(4)オキソ基ならびに(5)それぞれ下記置換基群f’から選ばれる少なくとも1の基で置換されていてもよいC1-6アルキル基、アルケニル基、アルキニル基、アシル基、C1-6アルカノイル基、カルボキシル基、カルバモイル基、C1-6アルコキシカルボニル基、C1-6アルキルアミノカルボニル基、水酸基、C1-6アルコキシ基、C3-8環状アルキルオキシ基、アミノ基、イミノ基、C1-6アミノアルキル基、C1-6アルキルアミノ基、C3-8環状アルキルアミノ基、アシルアミノ基、ウレイド基、スルホニルアミノ基、スルホニル基、スルファモイル基、C3-8環状アルキル基、5乃至14員非芳香族複素環式基、C6-14芳香族炭化水素環式基および5乃至14員芳香族複素環式基からなる群;
<前記置換基群f’>C1-6アルキル基、オキソ基、シアノ基、アシル基、カルボキシル基、カルバモイル基、C1-6アルコキシカルボニル基、ベンジルオキシカルボニル基、C1-6アルキルアミノカルボニル基、水酸基、C1-6アルコキシ基、C3-8環状アルキルオキシ基、アミノ基、C1-6アルキルアミノ基、C3-8環状アルキルアミノ基、アシルアミノ基、ウレイド基、ウレニレン基、C1-6アルキルスルホニルアミノ基、C1-6アルキルスルホニル基、スルファモイル基、ハロゲノ基、C3-8環状アルキル基、5乃至14員非芳香族複素環式基、C6-14芳香族炭化水素環式基および5乃至14員芳香族複素環式基からなる群;
<前記置換基群g>C1-6アルキル基、シアノ基、アシル基、カルボキシル基、カルバモイル基、C1-6アルコキシカルボニル基、C1-6アルキルアミノカルボニル基、スルホニル基、スルファモイル基、ハロゲノ基およびC3-8環状アルキル基からなる群]で表される化合物またはその塩である、請求項2に記載の進行型免疫性脱髄疾患治療剤。 - 前記PAR1受容体アンタゴニストが、式(5):
[式中、単一の点線は任意の単結合を表し;
は、任意の二重結合を示し;
nは、0~2であり;
Qは、
である;
R1は、H,C1-6アルキル,フルオロ-C1-6アルキル-,ジフルオロ-C1-6アルキル-,トリフルオロ-C1-6アルキル-,C3-6シクロアルキル,C2-6アルケニル,ヒドロキシ-C1-6アルキル,およびアミノ-C1-6アルキルから成る群から独立して選択される;
R2は、H,C1-6アルキル,フルオロ-C1-6アルキル,ジフルオロ-C1-6アルキル-,トリフルオロ-C1-6-アルキル,-C3-6シクロアルキル,C2-6アルケニル、ヒドロキシ-C1-6アルキル-,およびアミノ-C1-6アルキル-から成る群から独立して選択される;
R3は、H,ヒドロキシ,C1-6アルコキシ、-SOR16,-SO2R17、-C(O)OR17,-C(O)NR18R19、-C1-6アルキル-C(O)NR18R19、-C1-6アルキル,ハロゲン,フルオロ-C1-6アルキル-,ジフルオロ-C1-6アルキル-,トリフルオロ-C1-6アルキル-,C3-6シクロアルキル,C3-6シクロアルキル-C1-6アルキル、C2-6アルケニル、アリール-C1-6アルキル,アリール-C2-6アルケニル-,ヘテロアリール-C1-6アルキル,ヘテロアリール-C2-6アルケニル-,ヒドロキシ-C1-6アルキル-,-NR22R23,NR22R23-C1-6アルキル,アリール,チオ-C1-6アルキル-,C1-6アルキルチオ-C1-6アルキル-,-C1-6アルコキシC1-6アルキル,NR18R19-C(O)-C1-6アルキル-またはC3-6シクロアルキル-C1-6アルキル-である,
Hetは、1~9個の炭素原子およびN,OおよびSから成る群から独立して選択された1~4個のヘテロ原子を含有する5~10原子の一環または二環のヘテロアリール基であり、ここで環窒素はN-オキシドまたはC1-4アルキル基を有する四級基を形成し得る。ここでHetは炭素原子環メンバーによりBに結合され、Het基はWで置換される;
Wは、H,C1-6アルキル,フルオロ-C1-6アルキル、ジフルオロ-C1-6アルキル-,トリフルオロ-C1-6アルキル-,C3-6シクロアルキルヒドロキシ-C1-6アルキル-,ジヒドロキシ-C1-6アルキル,NR25R26-C1-6アルキル,チオC1-6アルキル-,-OH,C1-6アルコキシ,ハロゲン.-NR4R5,-C(O)OR17、-C(O)R16-C1-6アルキルチオ,R21-アリール,R21-アリール-C1-6アルキル,アリールおよびR21-ヘテロアリールから成る群から独立して選択される1個~4個の置換基であり、ここで隣接ずる炭素はメチレンジオキシ基を含む環を形成する;
R4およびR5は、H,C1-6アルキル,フェニル,ベンジルおよびC1-6シクロアルキルから成る群から独立して選択されるか、またはR4およびR5は、一緒になって-(CH2)4-、-(CH2)5-または-(CH2)2-NR7-(CH2)2-であり、R4およびR5が結合する窒素と環を形成する;
R6は、H,C1-6アルキルまたはフェニルである;
R7は、H,C1-6アルキル-,-C(O)-R16-C(O)OR17またはSO2R17、
R8,R10およびR11は、R1および-OR1からなる群から独立して選択され、但し、任意の二重結合が存在するとき、R10は存在しない;
R7は、H,OHまたはC1-6アルコキシである;
Bは、-(CH2)n3-、シスもしくはトランス-(CH2)n4CR12=CR12a(CH2)n5または(CH2)n4C=C(CH2)5-である。ここで、n3は0~5であり、n4およびn5は独立して0~2であり、R12およびR12aはH,(C1-6)アルキルおよびハロゲンから成る群から独立して選択される;
Xは、点線が単結合を表すとき、-O-または-NR6-であり、または結合が存在しないとき、Xは-OHまたは-NHR20である;
Yは、点線が単結合のとき、=O,=S,(H,H),(H,OH)または(H,C1-6アルコキシ)であり、または結合が存在しないとき、Yは、=O、(H,H)、(H,OH),(H,SH)または(H,C1-6アルコキシ)である;
各R13は、C1-6アルキル-,C3-8シクロアルキル,-(CH2)n6NHC(O)OR16b、-(CH2)n6NHC(O)R16b、-(CH2)n6NHC(O)NR4R5,-(CH2)n6NHSO2R16、-(CH2)n6NHSO2NR4R5および-(CH2)n6C(O)NR28R29,ハロアルキルおよびハロゲンから独立して選択され、ここでn6は0~4である;
各R14は、H,C1-6アルキル,-OH,C1-6アルコキシ,R27-アリール-C1-6アルキル,ヘテロアリール,ヘテロアリールアルキル,ヘテロシクリル、ヘテロシクリルアルキル、-(CH2)n6NHC(O)OR16b,-(CH2)n6NHC(O)R16b、-(CH2)n6NHC(O)NR4R5,-(CH2)n6NHSO2R16,-(CH2)n6NHSO2NR4R5,-(CH2)n6C(O)NR28R29,ハロゲン,およびハロアルキルから独立して選択され、ここでn6は0~4である;
または、R13およびR14は一緒になって、3~6原子のスピロサイクル環またはヘテロスピロサイクル環を形成する;
ここで、R13またはR14の少なくとも1つは、-(CH2)n6NHC(O)OR16b、-(CH2)n6NHC(O)R16b、-(CH2)n6NHC(O)NR4R5,-(CH2)n6NHSO2R16、-(CH2)n6NHSO2NR4R5および-(CH2)n6C(O)NR28R29から成る群から選択され、ここでn6は0~4である;
点線が単結合を表すとき、R15は存在せず、点線に結合が存在しないとき、R15はH、C1-6アルキル、フェニルおよびベンジルから成る群から独立して選択される;
R16bは、H,アルコキシ,C1-6アルキル,C1-6アルコキシ-C1-6アルキル-,R22-O-C(O)-C1-6アルキル,-C3-6シクロアルキル,R21-アリール,R21-アリール-C1-6アルキル,ハロアルキル,アルケニル,ハロゲン置換されたアルケニル,アルキニル,ハロゲン置換されたアルキニル,R21-ヘテロアリール,R21-C1-6アルキルヘテロアリール,R21-C1-6アルキルヘテロシクロアルキル,R28R29N-C1-6アルキル,R28R29N-C(O)-C1-6アルキル,R28R29N-C(O)O-C1-6アルキル,R28-O-C(O)-N(R29)-C1-6アルキル,R28-SO2N(R29)-C1-6アルキル,R28R29N-C(O)-N(R29)-C1-6アルキル,R28R29N-SO2N(R29)-C1-6アルキル,R28-C(O)N(R29)-C1-6アルキル、R28R29N-SO2-C1-6アルキル。HOSO2-C1-6アルキル,(HO)2P(O)2-C1-6アルキル,R28S-C1-6アルキル,R28SO2-C1-6アルキルまたはヒドロキシ-C1-6アルキルである;
R17,R18およびR19は、H,C1-6アルキル,フェニルおよびベンジルから成る群から独立して選択される;
R20は、H,C1-6アルキル,フェニル,ベンジル,-C(O)R6またはSO2R6である;
R21は、H,-CN,-CF3,-OCF3,ハロゲン,-NO2,-C1-6アルキル,-OH,-C1-6アルコキシ,-C1-6アルキルアミノ,ジ(C1-6アルキル)アミノ,NR25R26-C1-6アルキル,ヒドロキシ-C1-6アルキル,-C(O)OR17,-C(O)R17,-NHC(O)R16NHSO2R16NHSO2CH2CF3,-C(O)NR25R26,NR25-C(O)NR25R26,-S(O)R13、-SO2R13およびSR13から成る群から独立して選択される1~3個の置換基である;
R22は、HまたはC1-6アルキルである;
R23は,C1-6アルキル,-C(O)R24,-SO2R24,-CONHR24または-SO2NHR24である;
R24は、C1-6アルキル,ヒドロキシ-C1-6アルキルまたはNR25R26-(C1-6アルキル)-である;
R25およびR26は、HおよびC1-6アルキルから成る群から独立して選択される;
R27は、H,C1-6アルキル,C3-6シクロアルキル,C1-6アルコキシ、ハロゲンおよびOHから成る群から選択される1つ、2つまたは3つの置換基である;
R28およびR29は、H,C1-6アルキル,C1-6アルコキシ,R27-アリール-C1-6アルキル,ヘテロアリール,ヘテロアリールアルキル,ヒドロキシ-C1-6アルキル,C1-6アルコキシ-C1-6アルキル、ヘテロシクリル,ヘテロシクリルアルキルおよびハロアルキルから成る群から独立して選択される;または
R28およびR29は、一緒になって、3~6原子のスピロサイクル環またはヘテロスピロサイクル環を形成する。]で表される化合物もしくはその薬学的に受容可能な塩または溶媒和物である、請求項2に記載の進行型免疫性脱髄疾患治療剤。 - 前記物質が、PAR1受容体を活性化する酵素の阻害剤を含む、請求項1に記載の進行型免疫性脱髄疾患治療剤。
- 前記PAR1受容体を活性化する酵素の阻害剤が、グランザイムB特異的siRNAである、請求項5に記載の進行型免疫性脱髄疾患治療剤。
- 前記進行型免疫性脱髄疾患が二次進行型多発性硬化症である、請求項1~6のいずれか一項に記載の進行型免疫性脱髄疾患治療剤。
Priority Applications (1)
| Application Number | Priority Date | Filing Date | Title |
|---|---|---|---|
| JP2016569525A JPWO2016114386A1 (ja) | 2015-01-15 | 2016-01-15 | 進行型免疫性脱髄疾患治療剤 |
Applications Claiming Priority (2)
| Application Number | Priority Date | Filing Date | Title |
|---|---|---|---|
| JP2015006142 | 2015-01-15 | ||
| JP2015-006142 | 2015-01-15 |
Publications (1)
| Publication Number | Publication Date |
|---|---|
| WO2016114386A1 true WO2016114386A1 (ja) | 2016-07-21 |
Family
ID=56405926
Family Applications (1)
| Application Number | Title | Priority Date | Filing Date |
|---|---|---|---|
| PCT/JP2016/051124 Ceased WO2016114386A1 (ja) | 2015-01-15 | 2016-01-15 | 進行型免疫性脱髄疾患治療剤 |
Country Status (2)
| Country | Link |
|---|---|
| JP (1) | JPWO2016114386A1 (ja) |
| WO (1) | WO2016114386A1 (ja) |
Cited By (2)
| Publication number | Priority date | Publication date | Assignee | Title |
|---|---|---|---|---|
| WO2018101261A1 (ja) | 2016-11-29 | 2018-06-07 | 国立研究開発法人国立精神・神経医療研究センター | 進行型免疫性脱髄疾患の予防、発症抑制又は治療剤 |
| KR20230104903A (ko) | 2020-11-06 | 2023-07-11 | 고쿠리쯔겡뀨가이하쯔호징 고꾸리쯔 세이신ㆍ신께이 이료겡뀨센따 | Eomes 양성 CD4 양성 T 세포의 증가에 기인하는 진행형 질환 치료제 |
Citations (10)
| Publication number | Priority date | Publication date | Assignee | Title |
|---|---|---|---|---|
| WO2002085850A1 (en) * | 2001-04-19 | 2002-10-31 | Eisai Co., Ltd. | Cyclic amidine derivative |
| JP2007084440A (ja) * | 2004-11-09 | 2007-04-05 | Eisai R & D Management Co Ltd | トロンビン受容体アンタゴニストを有効成分とするくも膜下出血に伴う血管攣縮の治療剤 |
| JP2007523051A (ja) * | 2003-09-25 | 2007-08-16 | シェーリング コーポレイション | トロンビンレセプターアンタゴニスト |
| JP2008534604A (ja) * | 2005-03-31 | 2008-08-28 | シェーリング コーポレイション | スピロ環式トロンビンレセプターアンタゴニスト |
| WO2008128038A2 (en) * | 2007-04-13 | 2008-10-23 | The Scripps Research Institute | Methods and compositions for treating cardiac dysfunctions |
| JP2009542662A (ja) * | 2006-06-29 | 2009-12-03 | シェーリング コーポレイション | 置換二環系および置換三環系トロンビン受容体アンタゴニスト |
| JP2010505836A (ja) * | 2006-10-04 | 2010-02-25 | シェーリング コーポレイション | ヒンバシンの修飾された三環単位に基づいたトロンビン受容体アンタゴニスト |
| WO2013113774A1 (en) * | 2012-01-31 | 2013-08-08 | Csl Behring Gmbh | Factor xii inhibitors for the treatment of neurological inflammatory disorders |
| WO2015112547A1 (en) * | 2014-01-22 | 2015-07-30 | Oregon Health & Science University | Methods and compositions used in treating inflammatory and autoimmune diseases |
| WO2016002827A1 (ja) * | 2014-07-01 | 2016-01-07 | 国立研究開発法人国立精神・神経医療研究センター | 進行型免疫性脱髄疾患治療剤 |
-
2016
- 2016-01-15 JP JP2016569525A patent/JPWO2016114386A1/ja active Pending
- 2016-01-15 WO PCT/JP2016/051124 patent/WO2016114386A1/ja not_active Ceased
Patent Citations (10)
| Publication number | Priority date | Publication date | Assignee | Title |
|---|---|---|---|---|
| WO2002085850A1 (en) * | 2001-04-19 | 2002-10-31 | Eisai Co., Ltd. | Cyclic amidine derivative |
| JP2007523051A (ja) * | 2003-09-25 | 2007-08-16 | シェーリング コーポレイション | トロンビンレセプターアンタゴニスト |
| JP2007084440A (ja) * | 2004-11-09 | 2007-04-05 | Eisai R & D Management Co Ltd | トロンビン受容体アンタゴニストを有効成分とするくも膜下出血に伴う血管攣縮の治療剤 |
| JP2008534604A (ja) * | 2005-03-31 | 2008-08-28 | シェーリング コーポレイション | スピロ環式トロンビンレセプターアンタゴニスト |
| JP2009542662A (ja) * | 2006-06-29 | 2009-12-03 | シェーリング コーポレイション | 置換二環系および置換三環系トロンビン受容体アンタゴニスト |
| JP2010505836A (ja) * | 2006-10-04 | 2010-02-25 | シェーリング コーポレイション | ヒンバシンの修飾された三環単位に基づいたトロンビン受容体アンタゴニスト |
| WO2008128038A2 (en) * | 2007-04-13 | 2008-10-23 | The Scripps Research Institute | Methods and compositions for treating cardiac dysfunctions |
| WO2013113774A1 (en) * | 2012-01-31 | 2013-08-08 | Csl Behring Gmbh | Factor xii inhibitors for the treatment of neurological inflammatory disorders |
| WO2015112547A1 (en) * | 2014-01-22 | 2015-07-30 | Oregon Health & Science University | Methods and compositions used in treating inflammatory and autoimmune diseases |
| WO2016002827A1 (ja) * | 2014-07-01 | 2016-01-07 | 国立研究開発法人国立精神・神経医療研究センター | 進行型免疫性脱髄疾患治療剤 |
Non-Patent Citations (5)
| Title |
|---|
| BURDA, J. E. ET AL.: "Critical role for PAR1 in Kallikrein 6-mediated oligodendrogliopathy", GLIA, vol. 61, no. 9, 2013, pages 1456 - 1470 * |
| JIANG, W. ET AL.: "Unexpected role for granzyme K in CD 56bright NK cell -mediated immunoregulation of multiple sclerosis", THE JOURNAL OF IMMUNOLOGY, vol. 187, no. 2, 2011, pages 781 - 790 * |
| NEUMANN, H. ET AL.: "Cytotoxic T lymphocytes in autoimmune and degenerative CNS diseases", TRENDS IN NEUROSCIENCES, vol. 25, no. 6, 2002, pages 313 - 319 * |
| RAMACHANDRAN, R. ET AL.: "Targeting proteinase- activated receptors: therapeutic potential and challenges", NATURE REVIEWS : DRUG DISCOVERY, vol. 11, no. 1, 2012, pages 69 - 86 * |
| RAVENEY, B. J. E. ET AL.: "Eomesodermin-expressing T-helper cells are essential for chronic neuroinflammation", NATURE COMMUNICATIONS, vol. 6, October 2015 (2015-10-01), pages 8437 * |
Cited By (3)
| Publication number | Priority date | Publication date | Assignee | Title |
|---|---|---|---|---|
| WO2018101261A1 (ja) | 2016-11-29 | 2018-06-07 | 国立研究開発法人国立精神・神経医療研究センター | 進行型免疫性脱髄疾患の予防、発症抑制又は治療剤 |
| US12157772B2 (en) | 2016-11-29 | 2024-12-03 | National Center Of Neurology And Psychiatry | Prophylactic agent, onset-suppressing agent or therapeutic agent for progressive immune demyelinating diseases |
| KR20230104903A (ko) | 2020-11-06 | 2023-07-11 | 고쿠리쯔겡뀨가이하쯔호징 고꾸리쯔 세이신ㆍ신께이 이료겡뀨센따 | Eomes 양성 CD4 양성 T 세포의 증가에 기인하는 진행형 질환 치료제 |
Also Published As
| Publication number | Publication date |
|---|---|
| JPWO2016114386A1 (ja) | 2017-10-19 |
Similar Documents
| Publication | Publication Date | Title |
|---|---|---|
| JP7170691B2 (ja) | 抗lag3抗体およびその使用 | |
| JP7444781B2 (ja) | 細胞免疫療法組成物およびその使用 | |
| US10302653B2 (en) | Distinguishing antagonistic and agonistic anti B7-H1 antibodies | |
| JP2024028380A (ja) | ダサチニブ及び他のチロシンキナーゼ阻害剤を用いる遺伝子改変されたキメラ抗原受容体t細胞の機能の制御及び調節 | |
| KR20210073490A (ko) | 면역요법과 mdm2 억제제의 병용 | |
| CN110179989B (zh) | 治疗狼疮的方法和组合物 | |
| Mitchell et al. | LILRA5 is expressed by synovial tissue macrophages in rheumatoid arthritis, selectively induces pro‐inflammatory cytokines and IL‐10 and is regulated by TNF‐α, IL‐10 and IFN‐γ | |
| EP3551749B1 (en) | Compositions and methods for in vitro cultivation and/or expansion of regulatory t cells | |
| JP2021006543A (ja) | 好酸球又はマスト細胞関連障害の治療 | |
| KR20240119868A (ko) | 키메라 tim4 수용체 및 이의 용도 | |
| KR20190098995A (ko) | 면역 반응의 조절을 위한 옥사바이사이클로헵탄 | |
| WO2016114386A1 (ja) | 進行型免疫性脱髄疾患治療剤 | |
| US12157772B2 (en) | Prophylactic agent, onset-suppressing agent or therapeutic agent for progressive immune demyelinating diseases | |
| US20090022739A1 (en) | MODULATING THE KV1.1 VOLTAGE-GATED POTASSIUM CHANNEL IN T-CELLS FOR REGULATING THE SYNTHESIS AND SECRETION OF TUMOR NECROSIS FACTOR ALPHA (tnf-ALPHA) AND TREATING HUMAN DISEASE OR INJURIES MEDIATED BY DETRIMENTALLY HIGH OR LOW LEVELS OF TNF-ALPHA | |
| WO2022133492A1 (en) | Compositions and methods for generating anti-tumor immune response | |
| JP2023093779A (ja) | 新規抗がん剤 | |
| JP2010222255A (ja) | 抗体のスクリーニング方法およびそれにより得られる抗体 | |
| EP3904383A1 (en) | Anti-ox40 monoclonal antibody and application thereof | |
| EP3402469B1 (en) | P2x7 receptor antagonists for restoring t-cell lymphopoiesis in subjects infected with human immunodeficiency virus (hiv) | |
| JP2022546686A (ja) | 形質細胞に対する抑制剤または細胞傷害剤を使用する慢性疲労症候群の処置のための方法 | |
| EA047718B1 (ru) | Способ модуляции сигнальных путей tigit и pd-1 с применением 1,2,4-оксадиазольных соединений | |
| BR122022016112B1 (pt) | Usos de um anticorpo ou fragmento de ligação a antígeno do mesmo que se liga especificamente a c5 | |
| BR112018075875B1 (pt) | Anticorpo ou fragmento de ligação a antígeno do mesmo que se liga especificamente a c5 e composição farmacêutica compreendendo os mesmos |
Legal Events
| Date | Code | Title | Description |
|---|---|---|---|
| 121 | Ep: the epo has been informed by wipo that ep was designated in this application |
Ref document number: 16737457 Country of ref document: EP Kind code of ref document: A1 |
|
| ENP | Entry into the national phase |
Ref document number: 2016569525 Country of ref document: JP Kind code of ref document: A |
|
| NENP | Non-entry into the national phase |
Ref country code: DE |
|
| 122 | Ep: pct application non-entry in european phase |
Ref document number: 16737457 Country of ref document: EP Kind code of ref document: A1 |






















































