WO2015020114A1 - 新型ソホロリピッド化合物及びそれを含有する組成物 - Google Patents
新型ソホロリピッド化合物及びそれを含有する組成物 Download PDFInfo
- Publication number
- WO2015020114A1 WO2015020114A1 PCT/JP2014/070788 JP2014070788W WO2015020114A1 WO 2015020114 A1 WO2015020114 A1 WO 2015020114A1 JP 2014070788 W JP2014070788 W JP 2014070788W WO 2015020114 A1 WO2015020114 A1 WO 2015020114A1
- Authority
- WO
- WIPO (PCT)
- Prior art keywords
- group
- compound
- carbon atoms
- formula
- hydrogen atom
- Prior art date
- Legal status (The legal status is an assumption and is not a legal conclusion. Google has not performed a legal analysis and makes no representation as to the accuracy of the status listed.)
- Ceased
Links
Images
Classifications
-
- C—CHEMISTRY; METALLURGY
- C07—ORGANIC CHEMISTRY
- C07H—SUGARS; DERIVATIVES THEREOF; NUCLEOSIDES; NUCLEOTIDES; NUCLEIC ACIDS
- C07H15/00—Compounds containing hydrocarbon or substituted hydrocarbon radicals directly attached to hetero atoms of saccharide radicals
- C07H15/02—Acyclic radicals, not substituted by cyclic structures
- C07H15/04—Acyclic radicals, not substituted by cyclic structures attached to an oxygen atom of the saccharide radical
- C07H15/10—Acyclic radicals, not substituted by cyclic structures attached to an oxygen atom of the saccharide radical containing unsaturated carbon-to-carbon bonds
-
- A—HUMAN NECESSITIES
- A21—BAKING; EDIBLE DOUGHS
- A21D—TREATMENT OF FLOUR OR DOUGH FOR BAKING, e.g. BY ADDITION OF MATERIALS; BAKING; BAKERY PRODUCTS
- A21D2/00—Treatment of flour or dough by adding materials thereto before or during baking
- A21D2/08—Treatment of flour or dough by adding materials thereto before or during baking by adding organic substances
- A21D2/14—Organic oxygen compounds
- A21D2/16—Fatty acid esters
-
- A—HUMAN NECESSITIES
- A23—FOODS OR FOODSTUFFS; TREATMENT THEREOF, NOT COVERED BY OTHER CLASSES
- A23L—FOODS, FOODSTUFFS OR NON-ALCOHOLIC BEVERAGES, NOT OTHERWISE PROVIDED FOR; PREPARATION OR TREATMENT THEREOF
- A23L2/00—Non-alcoholic beverages; Dry compositions or concentrates therefor; Preparation or treatment thereof
- A23L2/52—Adding ingredients
-
- A—HUMAN NECESSITIES
- A23—FOODS OR FOODSTUFFS; TREATMENT THEREOF, NOT COVERED BY OTHER CLASSES
- A23L—FOODS, FOODSTUFFS OR NON-ALCOHOLIC BEVERAGES, NOT OTHERWISE PROVIDED FOR; PREPARATION OR TREATMENT THEREOF
- A23L29/00—Foods or foodstuffs containing additives; Preparation or treatment thereof
- A23L29/10—Foods or foodstuffs containing additives; Preparation or treatment thereof containing emulsifiers
-
- A—HUMAN NECESSITIES
- A61—MEDICAL OR VETERINARY SCIENCE; HYGIENE
- A61K—PREPARATIONS FOR MEDICAL, DENTAL OR TOILETRY PURPOSES
- A61K8/00—Cosmetics or similar toiletry preparations
- A61K8/18—Cosmetics or similar toiletry preparations characterised by the composition
- A61K8/30—Cosmetics or similar toiletry preparations characterised by the composition containing organic compounds
- A61K8/60—Sugars; Derivatives thereof
- A61K8/602—Glycosides, e.g. rutin
-
- A—HUMAN NECESSITIES
- A61—MEDICAL OR VETERINARY SCIENCE; HYGIENE
- A61Q—SPECIFIC USE OF COSMETICS OR SIMILAR TOILETRY PREPARATIONS
- A61Q19/00—Preparations for care of the skin
-
- A—HUMAN NECESSITIES
- A61—MEDICAL OR VETERINARY SCIENCE; HYGIENE
- A61Q—SPECIFIC USE OF COSMETICS OR SIMILAR TOILETRY PREPARATIONS
- A61Q19/00—Preparations for care of the skin
- A61Q19/007—Preparations for dry skin
-
- A—HUMAN NECESSITIES
- A61—MEDICAL OR VETERINARY SCIENCE; HYGIENE
- A61Q—SPECIFIC USE OF COSMETICS OR SIMILAR TOILETRY PREPARATIONS
- A61Q19/00—Preparations for care of the skin
- A61Q19/10—Washing or bathing preparations
-
- C—CHEMISTRY; METALLURGY
- C07—ORGANIC CHEMISTRY
- C07H—SUGARS; DERIVATIVES THEREOF; NUCLEOSIDES; NUCLEOTIDES; NUCLEIC ACIDS
- C07H15/00—Compounds containing hydrocarbon or substituted hydrocarbon radicals directly attached to hetero atoms of saccharide radicals
- C07H15/02—Acyclic radicals, not substituted by cyclic structures
- C07H15/04—Acyclic radicals, not substituted by cyclic structures attached to an oxygen atom of the saccharide radical
-
- C—CHEMISTRY; METALLURGY
- C07—ORGANIC CHEMISTRY
- C07H—SUGARS; DERIVATIVES THEREOF; NUCLEOSIDES; NUCLEOTIDES; NUCLEIC ACIDS
- C07H15/00—Compounds containing hydrocarbon or substituted hydrocarbon radicals directly attached to hetero atoms of saccharide radicals
- C07H15/02—Acyclic radicals, not substituted by cyclic structures
- C07H15/04—Acyclic radicals, not substituted by cyclic structures attached to an oxygen atom of the saccharide radical
- C07H15/06—Acyclic radicals, not substituted by cyclic structures attached to an oxygen atom of the saccharide radical being a hydroxyalkyl group esterified by a fatty acid
-
- C—CHEMISTRY; METALLURGY
- C12—BIOCHEMISTRY; BEER; SPIRITS; WINE; VINEGAR; MICROBIOLOGY; ENZYMOLOGY; MUTATION OR GENETIC ENGINEERING
- C12P—FERMENTATION OR ENZYME-USING PROCESSES TO SYNTHESISE A DESIRED CHEMICAL COMPOUND OR COMPOSITION OR TO SEPARATE OPTICAL ISOMERS FROM A RACEMIC MIXTURE
- C12P19/00—Preparation of compounds containing saccharide radicals
- C12P19/44—Preparation of O-glycosides, e.g. glucosides
-
- C—CHEMISTRY; METALLURGY
- C12—BIOCHEMISTRY; BEER; SPIRITS; WINE; VINEGAR; MICROBIOLOGY; ENZYMOLOGY; MUTATION OR GENETIC ENGINEERING
- C12P—FERMENTATION OR ENZYME-USING PROCESSES TO SYNTHESISE A DESIRED CHEMICAL COMPOUND OR COMPOSITION OR TO SEPARATE OPTICAL ISOMERS FROM A RACEMIC MIXTURE
- C12P19/00—Preparation of compounds containing saccharide radicals
- C12P19/44—Preparation of O-glycosides, e.g. glucosides
- C12P19/445—The saccharide radical is condensed with a heterocyclic radical, e.g. everninomycin, papulacandin
-
- A—HUMAN NECESSITIES
- A23—FOODS OR FOODSTUFFS; TREATMENT THEREOF, NOT COVERED BY OTHER CLASSES
- A23V—INDEXING SCHEME RELATING TO FOODS, FOODSTUFFS OR NON-ALCOHOLIC BEVERAGES AND LACTIC OR PROPIONIC ACID BACTERIA USED IN FOODSTUFFS OR FOOD PREPARATION
- A23V2002/00—Food compositions, function of food ingredients or processes for food or foodstuffs
-
- A—HUMAN NECESSITIES
- A61—MEDICAL OR VETERINARY SCIENCE; HYGIENE
- A61K—PREPARATIONS FOR MEDICAL, DENTAL OR TOILETRY PURPOSES
- A61K2800/00—Properties of cosmetic compositions or active ingredients thereof or formulation aids used therein and process related aspects
- A61K2800/10—General cosmetic use
-
- A—HUMAN NECESSITIES
- A61—MEDICAL OR VETERINARY SCIENCE; HYGIENE
- A61K—PREPARATIONS FOR MEDICAL, DENTAL OR TOILETRY PURPOSES
- A61K2800/00—Properties of cosmetic compositions or active ingredients thereof or formulation aids used therein and process related aspects
- A61K2800/40—Chemical, physico-chemical or functional or structural properties of particular ingredients
Definitions
- the present invention relates to a sophorolipid which is a kind of biosurfactant.
- Biosurfactants (hereinafter referred to as “BS”), which are biologically derived surfactants, are expected to be industrially used as next-generation surfactants because of their high biodegradability and safety.
- Sophorolipid (hereinafter also referred to as “SL”), which is known as one of glycolipid type BS, is a fermentation product obtained from a yeast fermentation product.
- the SL is easily produced by inoculating yeast in a liquid medium containing a saccharide such as glucose and a carbon source such as vegetable oil and fat, and stirring while aerated under a mild temperature and pressure condition. Since SL has higher productivity than other BSs (for example, about 100 g / L), it is widely used in industry (Non-patent Document 1, Patent Document 1). In addition, since SL is highly safe for the human body, there are examples in which it is actually used in dishwasher detergents and cosmetics (Patent Document 2).
- Non-patent documents 2 and 3 have been conducted, such as fermentation production of SL by changing medium conditions (especially carbon sources) (non-patent documents 2 and 3) and chemical synthesis of SL derivatives.
- Patent Document 3 In general, there are concerns about adverse environmental effects and safety for chemical synthesis of compounds, and at present, it is important to establish a safer manufacturing method including raw materials from the viewpoint of LCA (Life Cycle Assessment). It is recognized. For this reason, it is important to establish a method for producing highly safe SL derived from natural products without using or discharging harmful organic solvents.
- the object of the present invention is to provide a novel SL that can be applied to a wide range of fields such as foods and drinks, cosmetics, pharmaceuticals, and quasi drugs. More specifically, the bitterness is significantly reduced as compared with the conventional SL while having the surface active ability like the conventionally known SL, and the food and drink, the cosmetics, the oral medicine and the quasi-drug. However, it is an object of the present invention to provide a novel SL that can be suitably used without greatly impairing its taste.
- the inventors of the present invention have developed a SL having a novel structure different from the conventionally known SL (acid type, lactone type) from a culture of microorganisms having an ability to produce SL.
- a compound can be obtained, and the SL compound has a surface-active ability (surface tension, emulsifying ability) as well as a conventionally known SL (acid type SL, lactone type SL), and a conventionally known SL having a bitter taste It was confirmed that the bitterness was much less.
- the SL compound can be applied in a wide range, for example, as a component of foods and drinks, oral drugs, quasi drugs, and cosmetics.
- the present invention has been developed based on such knowledge, and has the following embodiments.
- R 1 represents a hydrogen atom or a methyl group
- R 3 and R 4 are the same or different and each represents a hydrogen atom or an acetyl group
- R 5 is a saturated fatty acid residue that may have a hydroxy group or an unsaturated fatty acid residue that may have a hydroxy group, and the remaining four are all hydrogen atoms among the five
- R 2 represents an alkylene group having 9 to 18 carbon atoms or an alkenylene group having 9 to 18 carbon atoms having 1 to 3 double bonds
- R 6 represents a hydroxyl group.
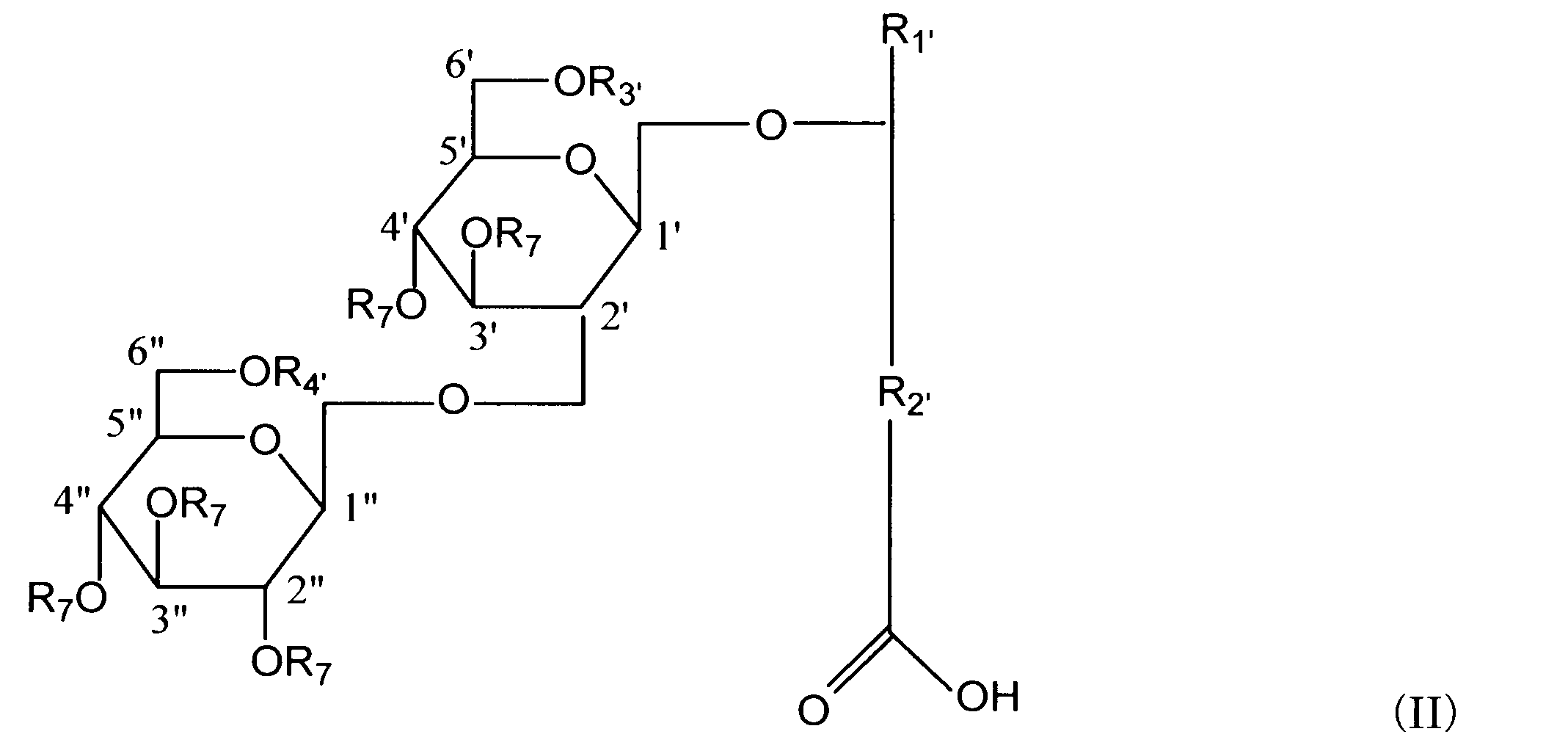
- R 6 may be combined with any one of five R 7 of the compounds represented by the following formula (II) to form a single bond
- R 1 ′ represents a hydrogen atom or a methyl group
- R 3 ′ and R 4 ′ are the same or different and each represents a hydrogen atom or an acetyl group
- R 2 ′ represents an alkylene group having 9 to 18 carbon atoms or an alkenylene group having 9 to 18 carbon atoms having 1 to 3 double bonds
- One of R 7 is combined with R 6 of the compound represented by formula (I) to form a single bond, and the rest are all hydrogen atoms. ]].
- the double bond of R 5 O-one R 5 groups are saturated fatty acid residues, or 1 to 3 carbon atoms 12-20 which may have a hydroxy group
- the SL compound according to (I-1), which is an unsaturated fatty acid residue having 12 to 20 carbon atoms which may have a hydroxy group having a hydrogen atom and the remaining R 5 are all hydrogen atoms.
- R 5 O- groups having R 5 is an unsaturated fatty acid residue which may have a saturated fatty acid residue or a hydroxy group which may have a hydroxy group is bonded to the 4 "-position of sophorose ring It becomes Te, 3 ', 4' sophorose ring position, 2 'position, and 3 "formed by bonding R 5 O-group in position R 5 are all hydrogen atom, (I-1) or (I -SL) described in 2).
- a group R 6 is represented by the formula (II), sophorose R 7 O-group with R 7 to form a single bond coalesced with R 6 ring of 4 "combined result in the position, 3 'position, 4' sophorose ring position, 2 'position, and 3" -position become bonded to R 7 of O- groups R 7 are all hydrogen atom, ( The SL compound according to any one of (I-1) to (I-3).
- R 6 is a hydroxyl group; R 1 is a methyl group; R 2 is an alkenylene group having 15 carbon atoms having one double bond; R bonded to the 4 ′′ position of the sophorose ring.
- R 6 is the formula (II) were combined with R 7 O-group R 7 which binds to the 4 "position of sophorose ring single bonds formed indicated by and;
- R 1 is a methyl group;
- oleate with R 5 is hydroxy group R 5 O-group bonded to the 4 "-position of sophorose ring; alkenylene group for R 2 15 carbon atoms having one double bond The remaining R 5 are all hydrogen atoms;
- R 1 ′ is a methyl group;
- R 2 ′ is an alkylene group having 13 carbon atoms, (I-1) to (I ⁇ )
- the SL compound according to any one of 3).
- (I-7) SL compound described in (I-1), wherein the SL compound is a compound represented by the following (1) or (2): (1)
- R 6 is a hydroxyl group;
- R 1 is a methyl group;
- R 2 is an alkylene group having 9 to 17 carbon atoms or an alkenylene group having 13 to 17 carbon atoms having 1 to 3 double bonds.
- R 3 and R 4 are the same or different, a hydrogen atom or an acetyl group
- sophorose ring 4 "-position to bind R 5 O-group for R 5 is - or without 12 carbon atoms having a hydroxy group 20
- R 6 is forms a single bond with combined with R 7 to R 7 O-group bonded to the 4 "-position of sophorose ring represented by the general formula (II)
- R 1 is a methyl group
- R 2 is an alkylene group having 9 to 17 carbon atoms or an alkenylene group having 13 to 17 carbon atoms having 1 to 3 double bonds
- R 3 and R 4 are the same or different, atom or an acetyl group
- R 5 of R 5 O-group bonded to the 4 "-position of sophorose rings are fatty acid residues or without 12 to 20 carbon atoms having a hydroxy group, the remaining R 5 is a hydrogen atom ;
- R 1 is a methyl group
- R 2 represents an alkenylene group having 15 carbon atoms
- R 5 represents an oleic acid residue having a hydroxy group.
- R 1 is a methyl group
- R 2 represents an alkenylene group having 15 carbon atoms
- R 5 represents an oleic acid residue having a hydroxy group
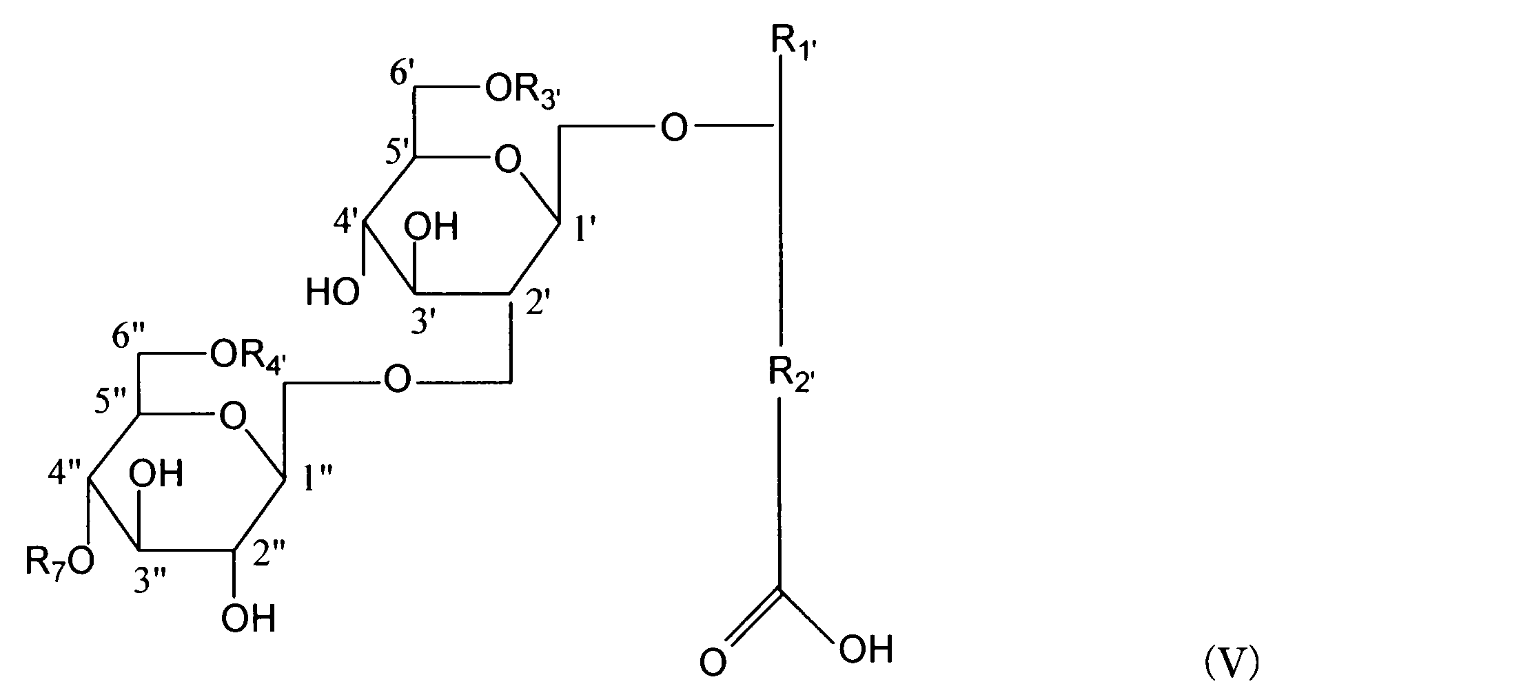
- R 6 is united with R 7 represented by the following formula (V) to form a single bond.
- R 1 ′ is a methyl group
- R 2 ′ represents an alkylene group having 13 carbon atoms
- R 3 ′ represents a hydrogen atom
- R 4 ′ represents an acetyl group.
- Novel sophorolipid-containing composition (II) A composition containing at least one SL compound described in any of (I-1) to (I-8) above. However, the composition does not include a culture of SL-producing yeast.
- composition according to (II-2) which is a surfactant.
- composition described in (II-3) which is a pharmaceutical, a quasi drug, a cosmetic, a food or drink, or an additive thereof.
- the novel SL compound of the present invention has a surface activity (surface tension, emulsifying ability) similar to or comparable to conventional SL (acid type, lactone type), but different from conventional SL having strong bitterness. , Characterized by significantly less bitterness.
- the novel SL compound of the present invention is a field that could not be applied due to the bitterness of conventional SL or a field where application was limited, such as the food and drink field, the oral drug field, the oral quasi-drug field, and Also in the cosmetics field, it can be effectively used as a component of a product (for example, an emulsifier, an antifoaming agent, a coagulant, a preservative, a binder, a stabilizer, etc.) by utilizing its surface active action.
- a product for example, an emulsifier, an antifoaming agent, a coagulant, a preservative, a binder, a stabilizer, etc.
- desired surface active ability can be imparted to foods and drinks, pharmaceuticals, quasi drugs and cosmetics with little influence on the taste.
- Example 1 (3) The chromatogram which used the "conventional type SL / new type SL containing material" acquired in Example 1 (1) for the reverse phase column chromatography is shown (refer Example 1 (3)). Infrared absorption spectra of the X1 fraction, the X2 fraction, the acid type SL (having no acetyl group), and the lactone type SL (having two acetyl groups) are shown in order from the top (Example 1 (4)). (Refer to (4-1) FTIR).
- (A) Result of DEPT135 of new SL (X1-26) and (B) Result of DEPT135 of new SL (X2-36) are shown.
- (A) MS (n) analysis (positive mode) result of the new SL (X1-26) is shown.
- (B) MS (n) analysis (positive mode) results of the new SL (X2-36) are shown.
- (A) ESI-MS analysis result of X1 fraction is shown.
- (B) ESI-MS analysis results of X2 fraction are shown.
- (A) MALITOFMS analysis result of X1 fraction is shown.
- New sophorolipid compound (new SL compound)
- the SL compound of the present invention (also simply referred to as “new type SL”) can be represented by the following general formula (I).
- R 1 represents a hydrogen atom or a methyl group. A methyl group is preferred.
- R 3 and R 4 are the same or different and each represents a hydrogen atom or an acetyl group.
- R 3 and R 4 may both be hydrogen atoms or acetyl groups.
- R 4 when R 3 is a hydrogen atom, R 4 may be an acetyl group, and conversely, when R 3 is an acetyl group, R 4 may be a hydrogen atom.
- R 3 and R 4 are both acetyl groups.
- R 2 represents an alkylene group having 9 to 18 carbon atoms, preferably 9 to 17 carbon atoms, or an alkenylene group having 9 to 18 carbon atoms, preferably 13 to 18 carbon atoms having 1 to 3 double bonds.
- the alkylene group having 9 to 18 carbon atoms includes a linear or branched alkylene group having 9 to 18 carbon atoms.
- a linear alkylene group is preferred.
- the number of carbon atoms is preferably 11 to 18, more preferably 13 to 18, and particularly preferably 15 to 16.
- the C 9-18 alkenylene group having 1 to 3 double bonds includes a 9-18 carbon straight chain or branched alkenylene group having 1 to 3 double bonds.
- the number of carbon atoms is preferably 13 to 18, more preferably 13 to 17, and particularly preferably 13 to 16.
- R 2 is preferably an alkylene group having 13 to 16 carbon atoms or an alkenylene group having 13 to 16 carbon atoms having one or two double bonds, and more preferably 15 to 16 carbon atoms having one double bond.
- R 5 represents a hydrogen atom, a saturated fatty acid residue that may have a hydroxy group, or an unsaturated fatty acid residue that may have a hydroxy group.
- one of the five R 5 groups represented by the compound of formula (I) (hereinafter also referred to as “compound (I)”) has a saturated fatty acid residue or hydroxy group which may have a hydroxy group. Is an unsaturated fatty acid residue, and all the rest are hydrogen atoms.
- the saturated fatty acid residue includes a linear fatty acid residue having 12 to 20 carbon atoms (lauric acid residue, myristic acid residue, pentadecylic acid residue, palmitic acid residue, margaric acid residue, stearic acid residue).
- Arachidin residue Preferably, it is a linear fatty acid residue having 14 to 20 carbon atoms, more preferably 16 to 20 carbon atoms, still more preferably 16 to 18 carbon atoms, and particularly preferably a palmitic acid residue having 16 carbon atoms and an 18 carbon atom residue. It is a stearic acid residue.
- examples of unsaturated fatty acid residues include linear fatty acid residues having 12 to 20 carbon atoms and having 1 to 3 double bonds.
- the number of double bonds is preferably 1 to 2, more preferably 1.
- the number of carbon atoms is preferably 16 to 20, more preferably 16 to 18, and particularly preferably 18.
- Suitable unsaturated fatty acid residues include C16 palmitoleic acid residues having one double bond; C18 oleic acid residues or vaccenic acid residues having one double bond (preferably olein Acid residue); 18-carbon linoleic acid residue having 2 double bonds; 18-carbon (9,12,15) linolenic acid residue having 3 double bonds, (6,9,12) ) Linolenic acid residue and eleostearic acid residue; a (9,12,15) linolenic acid residue having two double bonds, a (6,9,12) linolenic acid residue, and Mention may be made of eleostearic acid residues. More preferably, it is a C16 palmitoleic acid residue having one double bond and a C18 oleic acid residue having one double bond, and particularly preferably the number of carbons having one double bond. 18 oleic acid residues.
- These fatty acid residues may or may not have a hydroxy group.
- the number of hydroxy groups is 1 to 2, preferably 1.
- Examples of the position of the hydroxy group on the fatty acid residue include the ⁇ position and the ⁇ -1 position.
- the position of —OR 5 is the 3 ′ position of the sophorose ring It may be any of 4′-position, 2 ′′ -position, 3 ′′ -position, and 4 ′′ -position. That is, the compound (I) to which the present invention is directed has the above-mentioned position at any one of these positions.
- An SL compound in which —OR 5 group having R 5 which is a fatty acid residue is bonded is included.
- a saturated fatty acid residue or hydroxy group which may have a hydroxy group is located at the 4 ′′ position of the sophorose ring.
- This is a compound (I) formed by bonding —OR 5 wherein R 5 is an unsaturated fatty acid residue that may be present.
- R 6 may be a hydroxyl group.
- the SL compound of the present invention in which R 6 is a hydroxyl group is also referred to as “monomeric SL compound”.
- R 6 in the above (I) is an ester at any of the 3′-position, 4′-position, 2 ′′ -position, 3 ′′ -position and 4 ′′ -position of the sophorose ring of the molecule represented by the following formula (II)
- a single bond may be formed by combining with any one of R 7 formed by bonding.
- R 7 to form a single bond together with R 6 is 3 ', 4' sophorose ring of formula (II) position, 2 "-position, 3" -position and 4 "of any position of R 7
- the compound (I) targeted by the present invention has the above formula (I) at any one position of these R 7 via a bond (single bond) with R 6.
- a dimer-type SL compound formed by binding a compound represented by formula (II) is preferable, as the dimer-type SL compound, preferably —OR located at the 4 ′′ position of the sophorose ring in the above formula (II).
- the dimer-type SL compound is also referred to as a “dimeric SL compound” in order to distinguish it from the “monomeric SL compound”.
- R 1 ′ represents a hydrogen atom or a methyl group.
- a methyl group is preferred.
- R 3 ′ and R 4 ′ are the same or different and each represents a hydrogen atom or an acetyl group.
- Each of R 3 ′ and R 4 ′ may be a hydrogen atom or an acetyl group.
- R 4 ′ when R 3 ′ is a hydrogen atom, R 4 ′ may be an acetyl group, and conversely, when R 3 ′ is an acetyl group, R 4 ′ may be a hydrogen atom.
- R 3 ′ is a hydrogen atom and R 4 ′ is an acetyl group.
- R 2 ′ represents an alkylene group having 9 to 18 carbon atoms, preferably 9 to 17 carbon atoms, or an alkenylene group having 9 to 18 carbon atoms, preferably 13 to 18 carbon atoms having 1 to 3 double bonds.
- the alkylene group having 9 to 18 carbon atoms includes a linear or branched alkylene group having 9 to 18 carbon atoms.
- a linear alkylene group is preferred.
- the carbon number is preferably 11 to 18, more preferably 13 to 18, still more preferably 13 to 16, and particularly preferably 13 or 14.
- the C 9-18 alkenylene group having 1 to 3 double bonds includes a 9-18 carbon straight chain or branched alkenylene group having 1 to 3 double bonds.
- the carbon number is preferably 13 to 18, preferably 13 to 17, and particularly preferably 13 to 16.
- R 2 ′ is preferably an alkylene group having 13 to 16 carbon atoms or an alkenylene group having 13 to 16 carbon atoms having one double bond, and more preferably an alkylene group having 13 or 14 carbon atoms.
- R 6 is a group represented by the formula (II)
- R 2 in the formula (I) and R 2 ′ in the formula (II) may be the same or different groups.
- R 2 is an alkenylene group having 15 carbon atoms having one double bond
- R 2 ′ can be exemplified by an alkylene group having 13 carbon atoms.
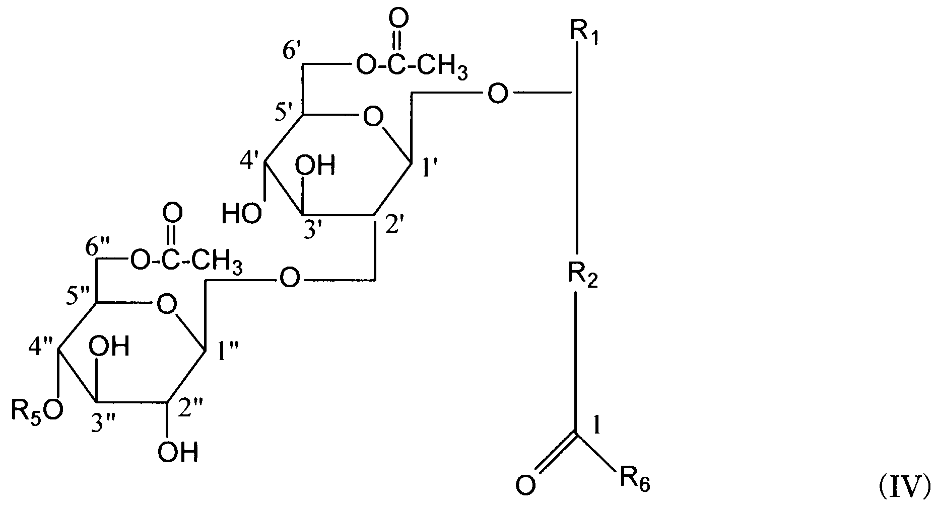
- SL compound of the present invention include a compound represented by the following formula (III) as a monomeric SL compound and a compound represented by the following formula (IV) as a dimeric SL compound.
- R 1 represents a methyl group.
- R 2 represents an alkenylene group having 15 carbon atoms having one double bond, and
- R 5 represents an oleic acid residue having a hydroxy group.
- R 1 represents a methyl group.
- R 2 represents an alkenylene group having 15 carbon atoms having one double bond, and
- R 5 represents an oleic acid residue having a hydroxy group.
- R 6 is united with R 7 represented by the following formula (V) to form a single bond.
- R 1 ′ represents a methyl group.
- R 2 ′ represents an alkylene group having 13 carbon atoms,
- R 3 ′ represents a hydrogen atom, and
- R 4 ′ represents an acetyl group.
- the SL compound of the present invention can be prepared from a culture obtained by culturing yeast.
- cadida bombicola can be preferably mentioned.
- Cadida Bonbicola has been renamed to the genus Starmerella.
- the yeast is a known SL-producing yeast known to produce a significant amount of SL (acid type, lactone type) [Canadian Journal of Chemistry, 39,846 (1961) (Note: described in the literature)
- the genus Torlopsis falls under the genus Cadida, but as described above, it is currently classified into the genus Starmerella.), Applied and Environmental Microbiology, 47, 173 (1984), etc.].
- Cadida (Starmelera) and Bonbicola are registered in the biological resource bank ATCC (American Type Culture Collection), and can be obtained from them (Candida bombicola ATCC22214, etc.).
- ATCC American Type Culture Collection
- SL-producing yeast belonging to the genus Candida which is known to produce SL (acid type, lactone type)
- examples of the SL-producing yeast include Candida magnoliae, Candida gropengisseri, and Candida apicola. It has already been reported that SL is produced in a relatively large amount in the culture medium of these yeasts (R. Hommel, Biodegradation, 1, 107 (1991)).
- saccharides such as glucose and fatty acid esters such as fatty acids and fatty acid triglycerides, or fatty acids are used as components as carbon sources.
- a medium containing fats and oils such as vegetable oil is used.
- Other conditions for the medium are not particularly limited, and can be appropriately selected from medium components generally used for yeast.
- the fatty acid portion of SL depends on the fatty acid chain length and the ratio of the hydrophobic substrate added as a medium component.
- the fatty acid chain length and the ratio of the SL compound can be controlled by appropriately selecting a hydrophobic substrate to be added to the medium.
- hydrophobic substrates include lauric acid (12: 0), myristic acid (14: 0), pentadecylic acid (15: 0), palmitic acid (16: 0), margaric acid (17: 0), stearic acid ( 18: 0) or long chain saturated fatty acids having 12 to 20 carbon atoms such as arachidic acid (20: 0) or lipids containing a high proportion of these saturated fatty acids as a hydrophobic substrate.
- An SL compound having a group or a chain derived from the group (alkylene group) as a constituent component can be produced.
- These unsaturated fatty acid residues can be obtained by using, as a hydrophobic substrate, a long-chain unsaturated fatty acid having 16 to 20 carbon atoms having 1 to 3 double bonds such as the above, or a lipid containing a high proportion of these unsaturated fatty acids.
- An SL compound having a group or a chain derived from the group (alkenylene group) as a constituent component can be produced.
- hydrophobic substrate any oily substrate that has been reported to be used for SL production by culture can be used, and as such a hydrophobic substrate, vegetable oils (Zhou et al., J. Am.Oil.Chem.Soc., 69: 89-91 (1992), etc.), animal fats (Deshbande et al., Bioresource Technol., 54: 143-150 (1995)), fatty acids (Asmer et al., J. Am. Am.Oil.Chem.Soc., 65: 1460-1466 (1988)), fatty acid esters (Davila et al. Appl. Microbiol. Biotechnol.
- n-alkanes Teulloch et al., Can. J. Chem., 46: 3337-3351
- vegetable fats and oils or fatty acid esters derived from vegetable fats and oils can be used, and edible vegetable oils can be used as vegetable fats and oils.
- Is for example, soybean oil, rapeseed oil, cottonseed oil, sunflower oil, kapok oil, sesame oil, corn oil, rice oil, peanut oil, safflower oil, oilseed oil, linseed oil, gill oil, castor oil, palm oil, palm kernel oil coconut oil, coconut oil, etc., or a mixture thereof, preferably soybean oil, rapeseed oil, sunflower oil, safflower oil, or a mixture thereof, such fatty acids having 6 to 24 carbon atoms, preferably 12 to 20 carbon atoms. Further, it may contain 0 to 3 unsaturated bonds in each molecule, and the fatty acids used are caproic acid and caprylic acid.
- Saturated fatty acids such as capric acid, undecanoic acid, lauric acid, tridecanoic acid, myristic acid, pentadecanoic acid, palmitic acid, margaric acid, stearic acid, nonadecanoic acid, arachidic acid, behenic acid, and lignoceric acid; Unsaturated fatty acids such as acids, Linderic acid, Tuzic acid, Myristoleic acid, Palmitoleic acid, Petroselinic acid, Oleic acid, Elaidic acid, Vaccenoic acid, Erucic acid, Linoleic acid, ⁇ -Linolenic acid, and Linolenic acid;
- the fatty acid ester include esters of the above-mentioned fatty acid
- concentration of the oily substrate that can be added at the start of the culture is in the range of 50 to 200 g / L, preferably 100 to 150 g / L. When continuously supplied, an amount of oily group corresponding to the above concentration is
- hydrophobic substrate examples include oleic acid, which is an unsaturated fatty acid having 18 carbon atoms having one double bond, or a lipid containing oleic acid in a high ratio.
- examples of such lipids include vegetable oils such as palm oil, rice bran oil, rapeseed oil, olive oil and safflower oil, and animal oils such as pork fat and beef tallow.
- a mixed substrate of triglyceride and oleic acid is used as the hydrophobic substrate, it is possible to obtain SL compounds having a high proportion of oleic acid residues or chains derived therefrom (alkenylene groups) with high yield and yield. .
- hydrophobic substrate long-chain saturated or unsaturated fatty acid, lipid
- hydrophilic substrates include monosaccharides such as glucose, fructose and galactose; and saccharides such as disaccharides such as sucrose and maltose, with glucose being preferred.
- the medium composition suitable for producing the SL compound of the present invention using the Candida [Starmerella] bombicola ATCC22214 strain is as follows.
- Yeast extract 1-6 g / L, preferably 2-5 g / L, more preferably 2.5-4.5 g / L
- Long chain saturated or unsaturated fatty acids 50 to 200 g / L, preferably 50 to 170 g / L, more preferably 50 to 150 g / L
- Lipid (oil or fat) 50 to 200 g / L, preferably 50 to 170 g / L, more preferably 50 to 150 g / L
- Sugar (glucose) 50 to 200 g / L, preferably 50 to 150 g / L, more preferably 70 to 120 g / L
- Sodium chloride 0.1-5 g / L, preferably 0.1-3 g / L, more preferably 0.5-1.5 g / L
- Monopotassium phosphate 5 to 50 g / L, preferably 5
- the SL compound production method of the present invention (SL-producing yeast culture) is not particularly limited and may be appropriately selected depending on the intended purpose. However, it may be scaled up in the order of seed culture and main culture according to a conventional method. desirable. Examples of culture media and culture conditions in these cultures are as follows.
- Candida [Starmerella] bombicola ATCC22214 strain was shaken at 30 ° C. for 2 days in a liquid medium containing 10 g / L hydrous glucose, 5 g / L yeast extract, and 10 g / L peptone. Incubate.
- lipid (oil) 50 g / L long-chain saturated or unsaturated fatty acid 50 g / L, hydrous glucose 100 g / L, yeast extract 2.5 g / L
- lipid (oil) 50 g / L long-chain saturated or unsaturated fatty acid 50 g / L
- hydrous glucose 100 g / L yeast extract 2.5 g / L
- the lipids (oils and fats) and long-chain saturated or unsaturated fatty acids are appropriately selected and set according to the fatty acid residue or fatty acid-derived group (alkylene group, alkenylene group) constituting the SL compound of the present invention as described above. can do.
- an oleic acid residue or an oleic acid-derived group an alkenylene group having 18 carbon atoms having one double bond.
- R 2 is an alkenylene group having 15 carbon atoms having one double bond
- palm oil, rice bran oil, rapeseed oil, Vegetable oils such as olive oil and safflower oil can be preferably used.
- SL-containing fraction (mixture containing conventional SL and SL compound of the present invention) After leaving the culture obtained above and removing the resulting supernatant, the same amount of water as the supernatant was added. Add to this and adjust to pH 6.5-7 using an alkali component such as sodium hydroxide to solubilize SL contained in the culture. This is centrifuged to remove solids, and the supernatant in which SL is solubilized is recovered. When, for example, an aqueous sulfuric acid solution is added to adjust the pH to 2 to 3, SL is insolubilized again. Therefore, an SL-containing fraction (a mixture containing conventional SL and the SL compound of the present invention) is obtained by collecting the insolubilized material. be able to.
- an alkali component such as sodium hydroxide
- the conventional SL includes an acid type SL represented by the following formula (VI) and a lactone type SL represented by the following formula (VII).
- R 1 represents a hydrogen atom or a methyl group.
- R 3 and R 4 are the same or different and each represents a hydrogen atom or an acetyl group.
- R 2 represents an alkylene group having 9 to 18 carbon atoms or an alkenylene group having 9 to 18 carbon atoms having 1 to 3 double bonds.
- R 1 represents a hydrogen atom or a methyl group.
- R 3 and R 4 are the same or different and each represents a hydrogen atom or an acetyl group.
- R 2 represents an alkylene group having 9 to 18 carbon atoms or an alkenylene group having 9 to 18 carbon atoms having 1 to 3 double bonds.
- the fraction containing the SL compound of the present invention can be isolated by separation from conventional SL (acid type, lactone type).
- the conventional SL is Both the acid type SL and the lactone type SL are eluted with an 80% by volume ethanol aqueous solution, whereas the SL compound of the present invention is eluted with an ethanol aqueous solution having an ethanol concentration of 90% by volume or more.
- the SL compound of the present invention forms a single bond together with an SL compound in which R 6 is a hydroxyl group in the general formula (I) (monomeric SL compound) and R 7 in which R 6 is represented by the formula (II).
- the dimer-form SL compound (dimeric SL compound) is broadly classified, and the former “monomeric SL compound” has an ethanol concentration of 90% by volume in the reverse phase column chromatography.
- the latter “dimeric SL compound” can be eluted and collected with an aqueous ethanol solution having an ethanol concentration of 95% by volume.
- fraction (X1 fraction) eluted and collected with a 90% by volume ethanol aqueous solution contains a plurality of “monomeric SL compounds” in which R 6 is a hydroxyl group in the general formula (I). These compounds are a compound group having a peak in the region of a retention time of 45 to 60 minutes in HPLC under the conditions described in Table 1 described later (see FIG. 1).
- R 1 is a methyl group
- R 3 and R 4 are all acetyl groups
- R 2 is an alkenylene group having 15 carbon atoms
- R 5 is an oleic acid residue having a hydroxy group.
- R 1 is a methyl group
- R 3 and R 4 are all acetyl groups
- R 2 is an alkylene group having 9 to 17 carbon atoms
- R 2 is an alkylene group having 9 to 17 carbon atoms
- R 5 includes an SL compound which is a fatty acid residue having 12 to 20 carbon atoms, which may or may not have a hydroxy group (the compound group described above will be referred to as “monomeric SL compound—Example 1” for convenience) .
- the X1 fraction contains an SL compound in which R 1 is a hydrogen atom instead of a methyl group in the above compound (monomeric SL compound-example 1); in the above compound, R 3 and R 4 are replaced by an acetyl group SL compound which is a hydrogen atom; in the above compound, R 3 and R 4 are replaced with an acetyl group, and one of R 3 and R 4 is a hydrogen atom and the other is an acetyl group; in the above compound, R 1 is SL compound in which a hydrogen atom is substituted for a methyl group, and R 3 and R 4 are a hydrogen atom in place of an acetyl group; in the above compound, R 1 is a hydrogen atom in place of a methyl group, and R 3 and R 4 are one of R 3 and R 4 in place of the acetyl group is a hydrogen atom, a group of compounds the other describing also included are (or SL compound is an acetyl group, for convenience
- R 6 in general formula (I) is combined with R 7 represented by formula (II) to form a single bond.
- R 7 represented by formula (II) to form a single bond.
- a plurality of dimeric SL compounds formed to form a dimer are included. These compounds are a compound group having a peak in the region of a retention time of 60 to 70 minutes in HPLC under the conditions described in Table 1 described later (see FIG. 1).
- the chain length of the fatty acid residue represented by R 5 is contained in addition to the compound represented by formula (IV) and (V), the chain length of the fatty acid residue represented by R 5 , the chain length of the aliphatic residue derived from the fatty acid represented by R 2 , and / or Or the compound from which the chain length of the aliphatic residue derived from the fatty acid shown by R2 ' differs from the said compound is contained.
- R 1 and R 1 ′ are methyl groups
- R 3 and R 4 and R 3 ′ and R 4 ′ are all acetyl groups
- R 2 and R 2 ′ are alkylene groups having 9 to 17 carbon atoms
- R 5 is a fatty acid residue having 12 to 20 carbon atoms which may or may not have a hydroxy group (compound groups described above)
- Dimeric SL Compound—Example 1 Dimeric SL Compound—Example 1”.
- An SL compound in which R 3 and R 4 are substituted with an acetyl group and one of R 3 and R 4 is a hydrogen atom and the other is an acetyl group; in the above compound, R 1 is a hydrogen atom instead of a methyl group; SL and R 3 and R 4 are hydrogen atoms in place of the acetyl group; a hydrogen atom R 1 is instead methyl group in the above compounds, R 3 and R 4 in place of the acetyl group and R 3 and R 4 SL compounds in which one is a hydrogen atom and the other is an acetyl group are also included (the compound group described above is referred to as “dimeric SL compound—example 2” for convenience).
- the compounds (dimer type SL compound - Examples 1 and 2) in the various compounds belonging to the compound R 1 ' is a hydrogen atom instead of the methyl group; R 3 in the above compound A compound wherein ' is an acetyl group instead of a hydrogen atom; a compound wherein R 3 ′ is a hydrogen atom instead of an acetyl group in the above compound; in the above compound, R 1 is a hydrogen atom instead of a methyl group, and R 3 ′ In which R 1 is a hydrogen atom instead of a methyl group, and R 4 ′ is a hydrogen atom instead of an acetyl group, etc.
- the compound group is referred to as “Dimeric SL Compound—Example 3” for convenience).
- the SL compound of the present invention has a conventionally known property in addition to the property that both the monomer type SL compound and the dimer type SL compound have surface activity, particularly surface tension and emulsification power. Unlike the acid type SL and the lactone type SL, there is a feature that the bitterness is not reduced or the bitterness is remarkably reduced.
- composition Targeted by the present invention is characterized by comprising the SL compound of the present invention represented by the aforementioned general formula (I).
- the composition does not include natural products or cultures of SL-producing yeast that is a raw material for production.
- the SL compound is a general term for the above-mentioned monomer type SL compound and dimer type SL compound, and the composition of the present invention contains only the monomer type SL compound as the SL compound, dimer type SL.
- Compositions containing only compounds and compositions containing both monomeric and dimeric SL compounds are included.
- composition of the present invention is characterized by having surface activity, particularly surface tension and emulsifying power, based on the properties of the above-mentioned SL compound (I) of the present invention.
- the composition of the present invention comprises at least a monomeric SL compound represented by the formula (III) and / or a dimeric SL compound represented by the formula (IV), and has surface activity, particularly surface tension and It has emulsifying power.
- the composition of the present invention is a surfactant based on the surface active ability of the SL compound of the present invention, such as foods and drinks, cosmetics, pharmaceuticals, quasi drugs, and additives thereof (for example, emulsifiers, antifoaming agents, It can be applied to coagulants, preservatives, settling charges, stabilizers, etc.
- the oral cavity such as foods and drinks, cosmetics, oral and oral pharmaceuticals, or oral and oral quasi-drugs, etc. It can be applied to products that may be used in the mouth, orally taken, or enter the mouth.
- cosmetics that may enter the mouth include skin lotions, emulsions, creams, lipsticks, lip balms, face wash, cleansing agents, shampoos, conditioners, and the like that are applied to the face.
- a mouthwash, a mouthwash, a toothpaste, an oral deodorant etc. can be mentioned as things other than the food and drink used in an oral cavity, or a pharmaceutical.
- the blending ratio of the SL compound in the composition of the present invention is not particularly limited as long as the composition of the present invention has surface activity, particularly surface tension and emulsifying power, and is appropriately set and adjusted according to the purpose.
- the total amount of the SL compound can be appropriately selected from the range of 0.01 to 100% by weight, preferably 0.05 to 30% by weight, depending on the use of the composition.
- Example 1 Preparation and identification of new sophorolipids (X1 and X2)
- a culture medium 10 g of hydrous glucose per liter (manufactured by Nippon Shokuhin Kako Co., Ltd., product name: eclipse hydrous crystal glucose)
- a liquid medium containing 10 g of peptone manufactured by Oriental Yeast Co., Ltd., product name: Peptone CB90M
- yeast extract manufactured by Asahi Food and Healthcare Co., Ltd., product name: Mist Powder N
- Candida bombicola ATCC22214 was shake-cultured and used as a preculture.
- the main culture medium (3 L) charged in a 5 L fermenter is inoculated with the above pre-cultured liquid at a ratio of 4% by mass of the charged amount, and cultured at 30 ° C. for 6 days under conditions of aeration 0.6 vvm. Fermented.
- As the main culture medium 100 g of hydrous glucose per liter, 50 g of palm olein (manufactured by NOF Corporation, product name: Permaly 2000), 50 g of oleic acid (manufactured by ACID CHEM, product name: Palmac 760), 1 g of sodium chloride, phosphoric acid Medium containing 10 g of monopotassium, 10 g of magnesium sulfate heptahydrate, 2.5 g of yeast extract (manufactured by Asahi Food and Healthcare, product name: Mist Powder N), and 1 g of urea (pH before sterilization: pH 4.5 To 4.8) were used.
- the fermentation was stopped on the 6th day from the start of the culture, and the culture solution taken out from the fermenter was heated to 50 to 80 ° C., returned to room temperature, and allowed to stand for 2 to 3 days.
- the substance layer was separated into three layers, a milky white solid layer which was thought to be mainly bacterial cells, and a supernatant. After removing the supernatant, industrial water or groundwater was added in the same amount as the removed supernatant. While stirring this, a 48 mass% sodium hydroxide aqueous solution was gradually added to adjust the pH to 6.5 to 6.9 to solubilize SL contained in the culture solution.
- the “conventional SL / new SL-containing material” contained 60% by mass of conventional SL and 40% by mass of new SL per 100% by mass of SL as described later.
- the conventional SL (acid type, lactone type) elution fraction contains conventional SL (acid type, lactone type) by comparing with the retention time of the standard product of conventional LS (acid type, lactone type).
- Both the 90% ethanol aqueous solution elution fraction (hereinafter also referred to as “X1 fraction”) and the 95% ethanol aqueous solution elution fraction (hereinafter referred to as “X2 fraction”) are conventional SL (acid type, lactone type).
- X1 fraction 90% ethanol aqueous solution elution fraction
- X2 fraction 95% ethanol aqueous solution elution fraction
- the 90% ethanol aqueous solution elution fraction (X1 fraction) and the 95% ethanol aqueous solution elution fraction (X2 fraction) have a retention time of 45 to 60 minutes and 60 to 70 minutes, respectively, in HPLC under the above conditions. It was confirmed that a substance having a peak was contained.
- the substances contained in the 90% ethanol aqueous solution elution fraction and the 95% ethanol aqueous solution elution fraction are both different from the conventional SL (acid type, lactone type) eluted with 80% ethanol aqueous solution. It was found to be a substance and a more hydrophobic compound than conventional SL.
- the “conventional SL / new SL-containing material” obtained in (1) shows that the acid type SL of the conventional SL is 17.5 mass% per 100 mass% of the total SL. It was confirmed that the lactone type SL of the conventional SL was 42.5% by mass, the new SL (X1) was 19.5% by mass, and the new SL (X2) was 20.5% by mass. .
- the organic layer thus recovered was subjected to an evaporator to remove the organic solvent, and the residue (lipid) was recovered.
- Table 2 shows the fatty acid composition of the compounds contained in the mixture of the X1 fraction and the X2 fraction, calculated based on the GC results.
- the numerical value before “:” means the carbon number of the fatty acid, and the numerical value after it means the number of double bonds.
- “17OH” means that R 1 in formula (I) is a methyl group, and “18OH” means that R 1 in formula (I) is a hydrogen atom.
- the mixture of the X1 fraction and the X2 fraction contains a saturated fatty acid residue having 12 to 20 carbon atoms (for example, a residue of lauric acid, myristic acid, palmitic acid, stearic acid, or arachidic acid), And a compound containing an unsaturated fatty acid residue of 18 carbon atoms having 1 or 2 unsaturated groups (for example, an oleic acid residue or a linoleic acid residue).
- a compound having an unsaturated fatty acid residue having 18 unsaturated carbon atoms (oleic acid residue) having one unsaturated group in formula (I), R 1 is a methyl group) is contained in a high proportion. Recognize.
- FIGS. 5 (A) and 5 (B) show the results of 1 H-NMR and 13 C-NMR of the new SL (X1-26) in FIGS. 3 (A) and (B), the result of 1 H-NMR and 13 C-NMR of the new SL (X2-36)
- FIGS. 5 (A) and 5 (B) respectively.
- 4 shows the two-dimensional NMR spectrum (FIG. 4 (A): HMQC
- FIG. 4 (B): HMBC HMBC
- FIG. 6 shows the two-dimensional NMR spectrum of the new SL (X2-36).
- NMR spectra are shown.
- the new SL (X2-36) compounds having molecular weights of [ ⁇ 661, acid SL (C16, Ac1)] and [ ⁇ 280, C18 ⁇ 1] were decomposed from the parent ion (M ′).
- Daughter ions (B) and (C) were detected.
- the daughter ion (B) was consistent with the molecular weight of the new SL (X1-26). From this, it was estimated that the new SL (X2-36) has a structure in which the conventional SL (acid-type SL) (however, having one acetyl group) is bonded to the new SL (X1-26).
- the daughter ion (C) was further decomposed, the same value as the pseudo-molecular weight of conventional SL (acid type SL) was obtained.
- the new SL (X1-26) has a basic skeleton of the known acid type SL as shown by the following formula (III), and has a sophorose ring. It was confirmed that a hydroxyoleic acid residue, which is a monovalent unsaturated fatty acid having 18 carbon atoms and having a hydroxy group, is bonded by an ester bond to the C4 ′′ position of C6 ′ and C6 ′′ positions. Since the proton and the carbonyl derived from the acetyl group were coupled, it was confirmed that the acetyl group was bonded to both the C6 ′ position and the 6 ′′ position of the sophorose ring via an oxygen atom. Since this acetyl group is easily hydrolyzed, it is decomposed with time to become a hydrogen atom.
- a hydroxyoleic acid residue which is a monovalent unsaturated fatty acid having 18 carbon atoms and having a hydroxy group
- R 1 is a methyl group
- R 2 represents an alkenylene group having 15 carbon atoms
- R 5 represents an oleic acid residue having a hydroxy group.
- the new SL (X2-36) has a basic skeleton of a known acid type SL as shown by the following formula (IV), and has a hydroxy group at the C4 ′′ position of the sophorose ring. It was confirmed that the hydroxy oleic acid residue, which is a monovalent unsaturated fatty acid, was bound by an ester bond. The protons at the C6 ′ and C6 ′′ positions and the carbonyl derived from the acetyl group were coupled.
- R 1 is a methyl group
- R 2 represents an alkenylene group having 15 carbon atoms
- R 5 represents an oleic acid residue having a hydroxy group
- R 6 is united with R 7 represented by the following formula (V) to form a single bond.
- R 1 ′ is a methyl group
- R 2 ′ represents an alkylene group having 13 carbon atoms
- R 3 ′ represents a hydrogen atom
- R 4 ′ represents an acetyl group.
- the X1 fraction contains 14 types of SL structure compounds having the above groups in addition to the compound (X1-26) (detection peak 1009) represented by the formula (III). It was. That is, as shown in the above table, these 14 kinds of compounds are any one of the 2 "-position, 3" -position, 4 "-position, 3'-position and 4'-position of the sophorose ring of the conventional acid type SL. It is presumed that a saturated or unsaturated fatty acid residue having 16 to 20 carbon atoms, which may have a hydroxy group, has a structure linked by an ester bond.
- the X2 fraction contains not only the compound (X2-36) represented by the formula (IV) (detection peak 1671) but also 15 types of SL structure compounds having the above groups. It was. That is, as shown in the above table, these 15 kinds of compounds are any one of the 2 "-position, 3" -position, 4 "-position, 3'-position and 4'-position of the sophorose ring of the conventional acid type SL. And a R 6 group represented by the formula (I) has a structure in which a saturated or unsaturated fatty acid residue having 12 to 20 carbon atoms, which may have a hydroxy group, is bonded by an ester bond.
- the dimer forms a single bond with R 7 bonded through an oxygen atom at the 4 ′ position of the sophorose ring represented by As R 2 ′ represented by the formula (II), an alkylene group having 13 to 15 carbon atoms, or an alkenylene group having 15 carbon atoms having 1 to 2 double bonds can be given.
- the compound contained in the X2 fraction has a C1 position of the compound represented by the formula (I) and a 4 ′′ position of a conventionally known acid type SL (R 2 ′ is C16, C18, C18 ⁇ 1, C18 ⁇ 2), It is a dimer formed by an ester bond.
- L-tryptophan (Kyowa Hakko Kogyo Co., Ltd., Lot No. S860281)” is used as a reference material for bitterness, and a 0.05 to 0.25 mass% aqueous solution as a low concentration aqueous solution, or a high concentration aqueous solution.
- a 0.5 to 1.0 mass% aqueous solution was prepared.
- the conventional SL (lactone type SL) has a structure in which R 1 is a methyl group, R 2 is an alkenylene group having 15 carbon atoms, and R 3 and R 4 are acetyl groups in the chemical formula represented by the formula (VII). A compound.
- both the acid type SL and the lactone type SL have an aqueous solution (pH 7) having a concentration of 0.5% by mass, which is similar to the 0.785% by mass L-tryptophan aqueous solution.
- the bitterness of a 0.5 mass% aqueous solution (pH 7) of a monomer SL compound or a dimer SL compound is 0.093 mass% and 0.088 mass%, respectively.
- the same level as that of the L-tryptophan aqueous solution From this, it was found that the bitterness of the monomer type SL compound or the dimer type SL compound was reduced by about 8 to 10 times compared with the conventional type SL compound.
- the materials were mixed according to the above prescription, molded into a cookie shape, and then baked at 180 ° C. for 13 minutes to produce a cookie. This was sampled by a panelist, and compared with a cookie (control) produced without adding SL, the presence or absence of bitterness was evaluated. As a result, the cookie blended with conventional SL (acid-type SL) as SL strongly expressed bitterness, whereas the cookie blended with the SL compound of the present invention had a monomer SL compound and a dimer mold. There was no bitter taste in any case of the SL compound, and it was confirmed that neither the monomeric SL compound nor the dimeric SL compound affected the taste of food.
- a lip balm was produced by mixing and stirring the water component and the oil component heated to 80 to 90 ° C. according to a conventional method, and then returning to room temperature. This was applied to the lips of the panelists, and compared with a lip balm (control) produced without adding SL, the presence or absence of bitterness felt on the tongue when the lips were licked was evaluated.
- lip balm formulated with conventional SL (acid type SL) as SL strongly expressed bitterness whereas lip balm formulated with the SL compound of the present invention had a monomerized SL compound and two lip balms. There was no bitterness in any of the quantitative SL compounds, and it was confirmed that neither the monomeric SL compound nor the dimeric SL compound affected the taste of the product (lip balm).
- each component was mixed to produce lotions having pH 4 and 9. Apply this to the skin of the panelists (including the lips) and evaluate the presence or absence of bitterness on the tip of the tongue when licking the lips, compared to the lip balm (control) manufactured without adding SL. It was.
- the lip balm formulated with the SL compound of the present invention was composed of a monomer type SL compound and a dimer. There was no bitter taste in any of the type SL compounds, and it was confirmed that neither the monomeric SL compound nor the dimeric SL compound affected the taste of the product (skin lotion).
- the ingredients were mixed according to a conventional method to prepare an emulsion without bitterness.
- the ingredients were mixed according to a conventional method to prepare an external cream without bitterness.
- the ingredients were mixed according to a conventional method to prepare a facial cleanser without bitterness.
- the ingredients were mixed according to a conventional method to prepare a liquid cleansing without bitterness.
Landscapes
- Chemical & Material Sciences (AREA)
- Life Sciences & Earth Sciences (AREA)
- Health & Medical Sciences (AREA)
- Organic Chemistry (AREA)
- Engineering & Computer Science (AREA)
- General Health & Medical Sciences (AREA)
- Biochemistry (AREA)
- Biotechnology (AREA)
- Genetics & Genomics (AREA)
- Wood Science & Technology (AREA)
- Zoology (AREA)
- Veterinary Medicine (AREA)
- Public Health (AREA)
- Animal Behavior & Ethology (AREA)
- Food Science & Technology (AREA)
- Crystallography & Structural Chemistry (AREA)
- Molecular Biology (AREA)
- Dermatology (AREA)
- General Engineering & Computer Science (AREA)
- Nutrition Science (AREA)
- Polymers & Plastics (AREA)
- General Chemical & Material Sciences (AREA)
- Bioinformatics & Cheminformatics (AREA)
- Chemical Kinetics & Catalysis (AREA)
- Microbiology (AREA)
- Birds (AREA)
- Epidemiology (AREA)
- Cosmetics (AREA)
- Preparation Of Compounds By Using Micro-Organisms (AREA)
- Saccharide Compounds (AREA)
- Bakery Products And Manufacturing Methods Therefor (AREA)
- General Preparation And Processing Of Foods (AREA)
- Medicinal Preparation (AREA)
Abstract
Description
しかし、一般に、化合物の化学合成については、環境に対する悪影響や安全性が懸念されており、現在では、LCA(Life Cycle Assessment)の観点から、原材料も含めたより安全な製造方法の確立が重要であると認識されている。このため、安全性の高い天然物由来のSLについてもまた、有害な有機溶剤を使用・排出することなく製造する手法を確立することが重要である。
(I-1)下記一般式(I)で示されるSL化合物:
R3及びR4は、同一または異なって、水素原子またはアセチル基を示す;
R5は、5つのうち、1つはヒドロキシ基を有することのある飽和脂肪酸残基またはヒドロキシ基を有することのある不飽和脂肪酸残基であり、残りの4つはすべて水素原子である;
R2は、炭素数9~18のアルキレン基または1~3の二重結合を有する炭素数9~18のアルケニレン基を示す;
R6は水酸基を示す。あるいは、R6は下式(II)で示す化合物の5つあるR7のいずれか1つと合一して単結合を形成していてもよい;
R3’及びR4’は、同一または異なって、水素原子またはアセチル基を示す;
R2’は、炭素数9~18のアルキレン基または1~3の二重結合を有する炭素数9~18のアルケニレン基を示す;
R7のうち一つは式(I)で示す化合物のR6と合一して単結合を形成しており、残りはすべて水素原子である。)〕。
(1)一般式(I)中、R6は水酸基;R1はメチル基;R2は炭素数9~17のアルキレン基または二重結合を1~3つ有する炭素数13~17のアルケニレン基;R3及びR4は、同一または異なって、水素原子またはアセチル基;ソホロース環の4”位に結合するR5O-基のR5がヒドロキシ基を有するかまたは有しない炭素数12~20の脂肪酸残基であり、残りのR5は水素原子である化合物、
(2)一般式(I)中、R6が一般式(II)で示されるソホロース環の4”位に結合するR7O-基のR7と合一して単結合を形成しており;R1はメチル基;R2は炭素数9~17のアルキレン基または二重結合を1~3つ有する炭素数13~17のアルケニレン基;R3及びR4は、同一または異なって、水素原子またはアセチル基;ソホロース環の4”位に結合するR5O-基のR5がヒドロキシ基を有するかまたは有しない炭素数12~20の脂肪酸残基であり、残りのR5は水素原子;
一般式(II)中、R1’はメチル基;R2’は炭素数9~17のアルキレン基または二重結合を1~3つ有する炭素数13~17のアルケニレン基;R3’及びR4’は、同一または異なって、水素原子またはアセチル基である化合物。
R2は炭素数15のアルケニレン基、R5はヒドロキシ基を有するオレイン酸残基を示す。)
R2は炭素数15のアルケニレン基、R5はヒドロキシ基を有するオレイン酸残基を示す。R6は、下式(V)で示されるR7と合一して単結合を形成している。)
R2’は炭素数13のアルキレン基、R3’は水素原子、R4’はアセチル基を示す。)。
(II-1)上記(I-1)~(I-8)のいずれかに記載するSL化合物を少なくとも1つ含有する組成物。但し、当該組成物には、SL産生酵母の培養物は含まれない。
本発明のSL化合物(単に「新型SL」とも称する)は、下記の一般式(I)で示すことができる。
またR2は二重結合を1つ有する炭素数15のアルケニレン基、R5はヒドロキシ基を有するオレイン酸残基を意味する。
R2は二重結合を1つ有する炭素数15のアルケニレン基、R5はヒドロキシ基を有するオレイン酸残基を意味する。また、R6は、下式(V)で示されるR7と合一して単結合を形成している。
R2’は炭素数13のアルキレン基、R3’は水素原子、R4’はアセチル基を意味する。
本発明のSL化合物は、酵母を培養して得られる培養物から調製することができる。
上記培養に使用する酵母としては、キャディダ・ボンビコーラ(Candida bombicola)を好適に挙げることができる。なお、キャディダ・ボンビコーラは、現在スタメレラ(Starmerella)属という名称に変更されている。当該酵母は、SL(酸型、ラクトン型)を著量生産することが知られている公知のSL産生酵母である〔Canadian Journal of Chemistry, 39,846(1961)(注:当該文献に記載されているトルロプシス属は、キャディダ属に該当するが、上記するように、現在スタメレラ(Starmerella)属に分類されている。)、Applied and Environmental Microbiology, 47,173(1984)など]。なお、キャディダ(スタメレラ)・ボンビコーラは生物資源バンクであるATCC(American Type Culture Collection)に登録されており、そこから入手することができる(Candida bombicola ATCC22214など)。また、本発明のSL化合物の製造には、SL(酸型、ラクトン型)を産生することが知られているキャンディダ属に属する他のSL産生酵母を使用することもできると考えられ、かかるSL産生酵母として、例えばキャンディダ・マグノリエ(Candida magnoliae)、キャンディダ・グロペンギッセリ(Candida gropengisseri)、及びキャンディダ・アピコーラ(Candida apicola)を挙げることができる。なお、これらの酵母の培養液中にSLが比較的多量に生産されることは既に報告されている(R. Hommel, Biodegradation, 1, 107(1991))。
本発明における上記酵母の培養においては、炭素源としてグルコース等の糖類(親水性基質)、並びに脂肪酸、脂肪酸トリグリセリド等の脂肪酸エステル類、または脂肪酸を構成成分として含む植物油等の油脂類(疎水性基質)を含有する培地が用いられる。培地のその他の条件については、特に制限はなく、酵母に対して一般に用いられる培地成分から適宜選定することができる。
酵母エキス:1~6g/L、好ましくは2~5g/L、より好ましくは2.5~4.5g/L、
長鎖飽和または不飽和脂肪酸:50~200g/L、好ましくは50~170g/L、より好ましくは50~150g/L、
脂質(油脂):50~200g/L、好ましくは50~170g/L、より好ましくは50~150g/L、
糖類(グルコース):50~200g/L、好ましくは50~150g/L、より好ましくは70~120g/L、
塩化ナトリウム:0.1~5g/L、好ましくは0.1~3g/L、より好ましくは0.5~1.5g/L、
リン酸一カリウム:5~50g/L、好ましくは5~35g/L、より好ましくは10~25g/L、
硫酸マグネシウム;1~50g/L、好ましくは1~30g/L、より好ましくは5~15g/L、
ペプトン:1~50g/L、好ましくは1~30g/L、より好ましくは5~15g/L、
尿素:0.01~10g/L、好ましくは0.01~5g/L、より好ましくは0.05~3g/L。
上記で得られる培養物を静置し、生じた上澄を除去した後、上澄と同量の水を添加し、これに水酸化ナトリウム等のアルカリ成分を用いてpH6.5~7程度に調整し、培養物に含まれるSLを可溶化する。これを遠心分離することで固形物を除去し、SLが可溶化した上清を回収する。これに例えば硫酸水溶液を添加してpH2~3に調整するとSLが再不溶化するため、この不溶化物を回収することでSL含有画分(従来型SLと本発明のSL化合物を含む混合物)を得ることができる。
R3及びR4は、同一または異なって、水素原子またはアセチル基を示す。
R2は、炭素数9~18のアルキレン基または1~3の二重結合を有する炭素数9~18のアルケニレン基を示す。
R3及びR4は、同一または異なって、水素原子またはアセチル基を示す。
R2は、炭素数9~18のアルキレン基または1~3の二重結合を有する炭素数9~18のアルケニレン基を示す。
例えば、C18のODSカラムを用いた逆相カラムクロマトグラフィーを用いることで、従来型SLと本発明のSL化合物との両方を含むSL含有画分から本発明のSL化合物を含む画分を、従来型SL(酸型、ラクトン型)と分別して単離することができる。具体的には、実施例1(2)に示すように、固定相としてC18のODSカラムを、移動相として50~95容量%のエタノール水溶液を用いた逆相カラムクロマトグラフィーにおいて、従来型SLは酸型SLもラクトン型SLはいずれも80容量%エタノール水溶液で溶出するのに対して、本発明のSL化合物はエタノール濃度が90容量%濃度以上のエタノール水溶液で溶出する。本発明のSL化合物は、一般式(I)中、R6が水酸基であるSL化合物(単量型SL化合物)と、R6が式(II)で示されるR7と一緒に単結合を形成して2量体を形成してなるSL化合物(二量型SL化合物)に大きく分類されるが、前者の「単量型SL化合物」は、上記逆相カラムクロマトグラフィーにおいてエタノール濃度が90容量%であるエタノール水溶液で溶出回収することができ、後者の「二量型SL化合物」は、エタノール濃度が95容量%であるエタノール水溶液で溶出回収することができる。
で示される化合物(単量型SL化合物)が含まれる他、上記式(III)においてR5で示される脂肪酸残基の鎖長及び/又はR2で示される脂肪酸に由来する脂肪族残基の鎖長が上記化合物(III)と異なる化合物が含まれる。具体的には、R1はメチル基、R3及びR4はいずれもアセチル基、R2は炭素数9~17のアルキレン基または二重結合を1~3有する炭素数13~17のアルケニレン基、R5はヒドロキシ基を有するかまたは有しない炭素数12~20の脂肪酸残基であるSL化合物が含まれる(以上説明する化合物群を、便宜上「単量型SL化合物-例1」と称する)。
本発明が対象とする組成物は、前述する一般式(I)で示される本発明のSL化合物を含むことを特徴とする。但し、当該組成物には、天然物や製造原料であるSL産生酵母の培養物は含まれない。ここでSL化合物は、前述する単量型SL化合物及び二量型SL化合物の総称であり、本発明の組成物には、SL化合物として単量型SL化合物だけを含有するもの、二量型SL化合物だけを含有するもの、および単量型SL化合物と二量型SL化合物の両方を含む組成物が含まれる。
(1)従来型SL及び新型SL含有物(従来型SL/新型SL含有物)の調製
培養培地として、1L当たり、含水グルコース10g(日本食品化工社製、製品名:日食含水結晶ブドウ糖)、ペプトン10g(オリエンタル酵母社製、製品名:ペプトンCB90M)、酵母エキス5g(アサヒフードアンドヘルスケア社製、製品名:ミーストパウダーN)を含有する液体培地を使用し、30℃で2日間、Candida bombicola ATCC22214を振盪培養し、これを前培養液とした。
上記で取得した「従来型SL/新型SL含有物」600g(約50%含水物)を、下記条件の逆相カラムクロマトグラフィーに供した。
固定相:C18カラム(コスモシル40C18-PREP、(株)ナカライテスク製、7.5 kg)
移動相:エタノール濃度50~95容量%のエタノール水溶液。
上記カラムクロマトグラフィーによる50%エタノール水溶液溶出画分、80%エタノール水溶液溶出画分、90%エタノール水溶液溶出画分、及び95%エタノール水溶液溶出画分をそれぞれ下記の表記載の条件の高速液体クロマトグラフィー(HPLC)に供し、各溶出画分に含まれる物質の溶出挙動を確認した。具体的には、各溶出画分を蒸発乾固させた後にエタノールに溶解し、これを被験試料として下記条件のHPLCに供した。
上記90%エタノール水溶液溶出画分(X1画分)に含まれる化合物及び95%エタノール水溶液溶出画分(X2画分)に含まれる化合物の構造決定は、以下のようにして行った。
被験試料として、X1画分とX2画分をそれぞれ凍結乾燥したものを使用した。赤外吸収スペクトルについては、フーリエ変換赤外分光分析装置SpectrumTM100(パーキンエルマージャパン製)を使用し、ATR法で分析した。得られた赤外吸収スペクトルを、従来型SL(酸型SL、ラクトン型SL)の分析結果と併せて、図2に示す。なお、ここで酸型SLは前述する式(VI)においてR3及びR4がいずれも水素原子であるものを、ラクトン型SLは前述する式(VII)においてR3及びR3がいずれもアセチル基であるものを使用した。
X1画分とX2画分の混合物(114.9 mg)にメタノール/塩酸(メタノール(10.4 mL)と濃塩酸(1.7 mL)の混合物)12.1 mLを加え、還流条件下、80℃、3時間加熱した。室温まで冷却後、水(20 mL)、及びクロロホルム/メタノール(2:1,容量比)(20 mL)を加えた。十分に混合後、遠心分離を行い、有機層を回収した。残った水層を再度、クロロホルム/メタノール(2:1,容量比)(20 mL)で抽出して有機層を回収して先に回収した有機層と混合した。さらに残った水層をヘキサン/酢酸エチル(1:1,容量比)(20 mL)で抽出して有機層を回収し、これを先に回収した有機層と混合した。
装置:Agilent Technologies 6890N
カラム:DB-23(0.25 mm×30 m,Agilent Technologies)
検出器:FID(245℃)
注入口温度:250℃
昇温条件:150℃,0.5 min
150℃-170℃,4℃/min
170℃-195℃,5℃/min
195℃-215℃,10℃/min
215℃,11 min
スプリット比:50:1。
X1画分及びX2画分から、それぞれ一番ピーク面積の大きかったピーク26(保持時間54分)及びピーク36(保持時間64分)(図1参照)を分取した(前者を「新型SL(X1-26)」、後者を「新型SL(X2-36)」と称する。)。これらをそれぞれNMR装置(JNM EX-270(日本電子))に供し、1H-NMR及び13C-NMR分析を行った。なお、溶媒としてCD3ODを使用した。
新型SL(X1-26)及び新型SL(X2-36)のそれぞれを、DEPT135スペクトル解析に供した。その結果を、それぞれ図7(A)及び(B)に示す。図からわかるように、糖骨格のC6’及びC6’’は、それぞれ64.7ppm及び64.9ppmであることが確認された((図7(A)及び(B)中、丸で囲った部分)。HMBC(図4(B)、図6(B))との相関により、式(I)で示される化合物のC6’位及びC6’’位にはアセチル基が結合していることが確認された。但し、新型SL(X2-36)のC6”にはプロトンが結合している。このことから、新型SL(X1-26)のソホロース環のC6’及びC6’’にはアセチル基がエステル結合しており、新型SL(X2-36)のソホロース環のC6’’にはOH基が、またC6’にはアセチル基がエステル結合していることが判明した。
MS(n)分析(ポジティブモード)をすることで、新型SL(X1-26)及び新型SL(X2-36)それぞれの分解産物を確認した。新型SL(X1-26)及び新型SL(X2-36)のマススペクトルをそれぞれ図8(A)及び(B)に示す。
X1画分とX2画分の混合物(0.1g)に48質量%水酸化ナトリウムを20μL添加し、蒸留水1.88 mL加え、80℃で2時間加熱した。室温まで冷却後、ヘキサン3mLを加えた。十分に混合後、遠心分離を行い、ヘキサン層を回収し、脂肪酸類を除去した。なお、この操作(ヘキサン抽出)を3回繰り返した。脂肪酸類を除去した水層は、HPLC分析に供した。その結果、従来の酸型SL(但し、アセチル基を持たない)のピークが検出されたため、一般式(I)中、R5で示される脂肪酸残基はソホロース環にエステル結合によって結合していることが確認された。
R2は炭素数15のアルケニレン基、R5はヒドロキシ基を有するオレイン酸残基を意味する。)
また、新型SL(X2-36)は、下式(IV)で示されるように、公知の酸型SLの基本骨格を有するとともに、ソホロース環のC4”位に、ヒドロキシ基を有する炭素数18の一価の不飽和脂肪酸であるヒドロキシオレイン酸残基がエステル結合によって結合していることが確認された。またC6’位及びC6"位のプロトンとアセチル基由来のカルボニルがカップリングしていることから、ソホロース環のC6’位と6”位の両方に、酸素原子を介して、アセチル基が結合していることが確認された。なお、新型SL(X1-26)と同様に、このアセチル基は加水分解されやすいため、経時的に分解され、水素原子になる。さらに、新型SL(X2-36)はC-1位に下式(V)で示される酸型SLを結合してなる2量体であることが確認された。
R2は炭素数15のアルケニレン基、R5はヒドロキシ基を有するオレイン酸残基を意味する。また、R6は、下式(V)で示されるR7と合一して単結合を形成している。)
R2’は炭素数13のアルキレン基、R3’は水素原子、R4’はアセチル基を意味する。)。
X1画分及びX2画分のそれぞれを、下記条件でMALDITOFMS分析を行い、分子量を確認した。
装置:AXIMA Confidence (Shimazdu Co.)
Mode:Linear (positive)
マトリックス:DHBA。
X1画分及びX2画分を構成する分子(ユニット)を確認するために、下記の条件でMS(n)分析を行った。
上記で同定した単量型SL化合物(X1画分)と二量型SL化合物(X2画分)のそれぞれについて、表面張力と乳化力の両面から界面活性能を評価した。
単量型SL化合物と二量型SL化合物のそれぞれを0.1質量%の水溶液に調製し、Wilhelmy法(20℃,pH7)を用いて最低表面張力(mN/m)を測定した。比較対照のため、既に界面活性剤として知られている従来型SL(酸型SL)の最低表面張力も併せて測定した。
なお、従来型SL(酸型SL)は、式(VI)で示す化学式において、R1がメチル基、R2が炭素数15のアルケニレン基、R3及びR4がアセチル基である構造を有する化合物である(以下の実験例2も同じ。)。
結果を表9示す。この結果からわかるように、単量型SL化合物と二量型SL化合物のいずれも従来型SL(酸型SL)と同等の表面張力を有していた。
蒸留水に単量型SL化合物または二量型SL化合物をそれぞれ加え、水酸化ナトリウムでpH7に調整し(単量型SL化合物または二量型SL化合物の終濃度2質量%)、80℃に加温した。この試料3gとオリーブスクワラン3gを15 mL容量の遠沈管に入れ、80℃で10分間加温した後、ボルテックスで1分間撹拌した。室温にて一定時間ごとに分離した水の容量を目視で記録した。次式より水の分離率を求めて乳化力を評価した(n=2)。比較対照のため、既に界面活性剤として知られている従来型SL(酸型SL)の乳化力も同様にして測定した。結果を表10に示す。この結果からわかるように、単量型SL化合物と二量型SL化合物のいずれも従来型SL(酸型SL)と同等の乳化力を有していた。
実験例2 官能評価(苦味)その1
20名の健常被験者(パネラー)を対象に、従来型SL(酸型SL、ラクトン型SL)、単量型SL化合物、及び二量型SL化合物の苦味強度を測定した。各被験試料は、水に溶解して0.5質量%濃度の水溶液(pH7)として調整した。具体的には、各パネラーに、各被験試料の味を、基準物質の各種濃度の水溶液の味と比較してもらい、苦味の程度が同じである基準物質水溶液(濃度)を選択してもらった。なお、苦味の基準物質には、「L-トリプトファン(協和発酵工業株式会社、Lot No. S860281)」を用い、低濃度水溶液として0.05~0.25質量%の水溶液を、また高濃度水溶液として0.5~1.0質量%の水溶液を調整した。
なお、従来型SL(ラクトン型SL)は、式(VII)で示す化学式において、R1がメチル基、R2が炭素数15のアルケニレン基、R3及びR4がアセチル基である構造を有する化合物である。
下記処方に従って、各種製品を製造し、官能試験により苦味の有無を評価した。
Claims (7)
- 下記一般式(I)で示されるソホロリピッド化合物:
〔式(I)中、R1は水素原子またはメチル基を示す;
R3及びR4は、同一または異なって、水素原子またはアセチル基を示す;
R5は、5つのうち、1つはヒドロキシ基を有することのある飽和脂肪酸残基またはヒドロキシ基を有することのある不飽和脂肪酸残基であり、残りの4つは水素原子である;
R2は、炭素数9~18のアルキレン基または1~3の二重結合を有する炭素数9~18のアルケニレン基を示す;
R6は水酸基を示す。あるいは、R6は下式(II)で示す化合物の5つあるR7のいずれか1つと合一して単結合を形成していてもよい;
(式(II)中、R1’は水素原子またはメチル基を示す;
R3’及びR4’は、同一または異なって、水素原子またはアセチル基を示す;
R2’は、炭素数9~18のアルキレン基または1~3の二重結合を有する炭素数9~18のアルケニレン基を示す;
R7のうち一つは式(I)で示す化合物のR6と合一して単結合を形成しており、残りの4つは水素原子である。)〕。 - 上記ソホロリピッド化合物が、下記(1)または(2)で示す化合物である請求項1に記載するソホロリピッド化合物:
(1)一般式(I)中、R6は水酸基;R1はメチル基;R2は炭素数9~17のアルキレン基または二重結合を1~3つ有する炭素数13~17のアルケニレン基;R3及びR4は、同一または異なって、水素原子またはアセチル基;ソホロース環の4”位に結合するR5O-基のR5がヒドロキシ基を有するかまたは有しない炭素数12~20の脂肪酸残基であり、残りのR5は水素原子である化合物、
(2)一般式(I)中、R6が一般式(II)で示されるソホロース環の4”位に結合するR7O-基のR7と合一して単結合を形成しており;R1はメチル基;R2は炭素数9~17のアルキレン基または二重結合を1~3つ有する炭素数13~17のアルケニレン基;R3及びR4は、同一または異なって、水素原子またはアセチル基;ソホロース環の4”位に結合するR5O-基のR5がヒドロキシ基を有するかまたは有しない炭素数12~20の脂肪酸残基であり、残りのR5は水素原子;
一般式(II)中、R1’はメチル基;R2’は炭素数9~17のアルキレン基または二重結合を1~3つ有する炭素数13~17のアルケニレン基;R3’及びR4’は、同一または異なって、水素原子またはアセチル基である化合物。 - 上記ソホロリピッド化合物が、下記(1)または(2)で示す化合物である請求項1または2に記載するソホロリピッド化合物:
(1)一般式(I)中、R6は水酸基;R1はメチル基;R2は二重結合を1つ有する炭素数15のアルケニレン基;R3及びR4は、同一または異なって、水素原子またはアセチル基;ソホロース環の4”位に結合するR5O-基のR5がヒドロキシ基を有するオレイン酸残基であり、残りのR5は水素原子である化合物、
(2)一般式(I)中、R6が一般式(II)で示されるソホロース環の4”位に結合するR7O-基のR7と合一して単結合を形成しており;R1はメチル基;R2は二重結合を1つ有する炭素数15のアルケニレン基;R3及びR4は、同一または異なって、水素原子またはアセチル基;ソホロース環の4”位に結合するR5O-基のR5がヒドロキシ基を有するオレイン酸残基であり、残りのR5は水素原子;
一般式(II)中、R1’はメチル基;R2’は炭素数13のアルキレン基;R3’及びR4’は、同一または異なって、水素原子またはアセチル基である化合物。 - 請求項1乃至4のいずれか一項に記載するソホロリピッド化合物を少なくとも1つ含有する組成物。
- 界面活性剤である、請求項5に記載する組成物。
- 医薬品、医薬部外品、化粧品、飲食品またはこれらの添加物である、請求項5に記載する組成物。
Priority Applications (4)
| Application Number | Priority Date | Filing Date | Title |
|---|---|---|---|
| JP2015530934A JP6449156B2 (ja) | 2013-08-09 | 2014-08-06 | 新型ソホロリピッド化合物及びそれを含有する組成物 |
| CN201480054091.5A CN105593370B (zh) | 2013-08-09 | 2014-08-06 | 槐糖脂化合物以及包含所述槐糖脂化合物的组合物 |
| EP14834955.8A EP3034613B1 (en) | 2013-08-09 | 2014-08-06 | Novel sophorolipid compound and composition comprising same |
| US14/911,174 US10752650B2 (en) | 2013-08-09 | 2014-08-06 | Sophorolipid compound and composition comprising same |
Applications Claiming Priority (2)
| Application Number | Priority Date | Filing Date | Title |
|---|---|---|---|
| JP2013167171 | 2013-08-09 | ||
| JP2013-167171 | 2013-08-09 |
Publications (1)
| Publication Number | Publication Date |
|---|---|
| WO2015020114A1 true WO2015020114A1 (ja) | 2015-02-12 |
Family
ID=52461444
Family Applications (1)
| Application Number | Title | Priority Date | Filing Date |
|---|---|---|---|
| PCT/JP2014/070788 Ceased WO2015020114A1 (ja) | 2013-08-09 | 2014-08-06 | 新型ソホロリピッド化合物及びそれを含有する組成物 |
Country Status (5)
| Country | Link |
|---|---|
| US (1) | US10752650B2 (ja) |
| EP (1) | EP3034613B1 (ja) |
| JP (1) | JP6449156B2 (ja) |
| CN (1) | CN105593370B (ja) |
| WO (1) | WO2015020114A1 (ja) |
Cited By (4)
| Publication number | Priority date | Publication date | Assignee | Title |
|---|---|---|---|---|
| EP3397073A4 (en) * | 2015-12-29 | 2019-08-21 | The United States of America, as represented by the Secretary of Agriculture | COMPOSITIONS USING A BITTER TASTE AND AT LEAST ONE SOPHOROLIPIDE AND METHOD FOR REDUCING THE BITTER TASTE OF A BUTTER TASTE IN AN ESTABLISHABLE COMPOSITION |
| WO2020250475A1 (ja) | 2019-06-11 | 2020-12-17 | サラヤ株式会社 | 褐変が抑制された酸型ソホロリピッド含有組成物 |
| WO2022210011A1 (ja) | 2021-03-31 | 2022-10-06 | アライドカーボンソリューションズ株式会社 | 新規ソホロリピッド誘導体 |
| WO2022260090A1 (ja) | 2021-06-08 | 2022-12-15 | サラヤ株式会社 | バイオフィルム除去剤、及びバイオフィルム除去方法 |
Families Citing this family (17)
| Publication number | Priority date | Publication date | Assignee | Title |
|---|---|---|---|---|
| JP6644548B2 (ja) | 2013-09-04 | 2020-02-12 | サラヤ株式会社 | 低毒性ソホロリピッド含有組成物及びその用途 |
| EP3117838B1 (en) | 2014-03-10 | 2020-09-16 | Saraya Co., Ltd. | Composition containing sophorolipid, physiologically active substance and oil and fat, and method of producing said composition |
| EP3569689A4 (en) | 2017-01-31 | 2020-11-11 | Saraya Co., Ltd. | CELL CRYOPRESERVATION COMPOSITION AND CRYOPRESERVATION PROCESS |
| ES2973974T3 (es) | 2017-03-07 | 2024-06-25 | Saraya Co Ltd | Composición de detergente |
| WO2019023323A1 (en) * | 2017-07-25 | 2019-01-31 | Dsm Ip Assets B.V. | USE OF SOPHOROLIPIDES |
| JP7390191B2 (ja) * | 2017-09-28 | 2023-12-01 | ローカス アグリカルチャー アイピー カンパニー エルエルシー | 植物のモザイクウイルス及び細菌感染の処置 |
| WO2019177989A1 (en) * | 2018-03-12 | 2019-09-19 | Monell Chemical Senses Center | Methods of reducing burning or stinging sensation attributed to certain compositions |
| CA3136805A1 (en) * | 2019-04-16 | 2020-10-22 | Locus Ip Company, Llc | Microbe-based emulsifying food additives |
| CN112369542A (zh) * | 2019-10-28 | 2021-02-19 | 广州富诺营养科技有限公司 | 一种蘑菇粉固体饮料及其制备方法 |
| AU2021275871A1 (en) | 2020-05-20 | 2022-05-19 | Locus Ip Company, Llc | Methods of producing compositions comprising hydrophilic sophorolipids |
| PE20250260A1 (es) * | 2022-06-08 | 2025-01-29 | Locus Solutions Ipco Llc | Composiciones y metodos para la floculacion |
| US12516360B2 (en) * | 2022-06-08 | 2026-01-06 | Locus Solutions Ipco, Llc | PH- and temperature-stable etheric sophorolipids and their use |
| EP4651716A1 (en) * | 2022-12-22 | 2025-11-26 | Locus Solutions IPCO, LLC | Sophorolipids and sophorolipid derivatives as tank mix additives and adjuvants in crop protection formulations |
| WO2025061130A1 (zh) * | 2023-09-22 | 2025-03-27 | 中国石油化工股份有限公司 | 一种生物基表面活性剂及其制备方法和应用 |
| WO2026032783A1 (en) | 2024-08-06 | 2026-02-12 | Evonik Operations Gmbh | Bacillus velezensis strains in cleaning and animal feeding |
| EP4692292A1 (en) | 2024-08-06 | 2026-02-11 | Evonik Operations GmbH | Improved method for germinating bacterial spores |
| EP4632053A1 (de) | 2025-04-15 | 2025-10-15 | Evonik Operations GmbH | Verfahren zur behandlung einer metalloberfläche |
Citations (4)
| Publication number | Priority date | Publication date | Assignee | Title |
|---|---|---|---|---|
| JPH07118284A (ja) | 1991-06-03 | 1995-05-09 | Agency Of Ind Science & Technol | ソホロース誘導体 |
| JP2002045195A (ja) | 2000-08-04 | 2002-02-12 | Saraya Kk | ソホロースリピッドの発酵生産法 |
| JP2003013093A (ja) | 2001-06-27 | 2003-01-15 | Saraya Kk | 低泡性洗浄剤組成物 |
| EP2821495A1 (en) | 2012-03-02 | 2015-01-07 | Saraya Co., Ltd. | High-purity acid-form sophorolipid (sl) containing composition and process for preparing same |
Family Cites Families (25)
| Publication number | Priority date | Publication date | Assignee | Title |
|---|---|---|---|---|
| JPS5428895A (en) | 1977-08-01 | 1979-03-03 | Kao Corp | Dehydration purification of fermentation products |
| CA2060698C (en) | 1991-02-12 | 1997-09-30 | Peter J. Hall | Detergent compositions |
| FR2720941B1 (fr) | 1994-06-13 | 1996-08-23 | Inst Francais Du Petrole | Utilisation des sophorolipides et compositions cosmétiques et dermatologiques. |
| DE19517794A1 (de) | 1995-05-15 | 1996-11-21 | Hoechst Ag | Verwendung von Kohlenhydrat-Verbindungen als Hilfsmittel zum Färben und Bedrucken von Fasermaterialien |
| FR2735979B1 (fr) | 1995-06-28 | 1997-08-14 | Inst Francais Du Petrole | Utilisation comme substances therapeutiquement actives ou produits cosmetiques des sophorolipides, en particulier pour le traitement de la peau |
| FR2757766B1 (fr) | 1996-12-27 | 1999-02-19 | Inst Francais Du Petrole | Utilisation des sophorolipides en tant qu'agent stimulateur du metabolisme des fibroblastes dermiques |
| JP4714377B2 (ja) | 2001-06-29 | 2011-06-29 | サラヤ株式会社 | ソホロースリピッドの精製方法 |
| JP4370591B2 (ja) | 2001-07-31 | 2009-11-25 | 独立行政法人産業技術総合研究所 | リポソームおよびそれからなる細胞への物質導入担体 |
| US20050164955A1 (en) | 2003-11-06 | 2005-07-28 | Gross Richard A. | Antifungal properties of various forms of sophorolipids |
| JP4548827B2 (ja) | 2004-09-06 | 2010-09-22 | サラヤ株式会社 | 生分解性の液体洗浄剤組成物 |
| JP2006083238A (ja) | 2004-09-14 | 2006-03-30 | Saraya Kk | 洗浄剤組成物 |
| JP4628811B2 (ja) | 2005-02-01 | 2011-02-09 | サラヤ株式会社 | 泡ディスペンサ |
| US7718782B2 (en) | 2005-07-26 | 2010-05-18 | The United States Of America As Represented By The Secretary Of Agriculture | Charged sophorolipids and sophorolipid containing compounds |
| EP1991238A4 (en) | 2006-03-09 | 2010-11-03 | Univ Polytechnic | ANTI-HERPES VIRUS CHARACTERISTICS OF VARIOUS SOPHOROLIPIDE FORMS |
| JP2008247845A (ja) | 2007-03-30 | 2008-10-16 | National Institute Of Advanced Industrial & Technology | 酸型ソホロースリピッドの生産方法 |
| JP4304352B2 (ja) | 2007-09-04 | 2009-07-29 | 独立行政法人産業技術総合研究所 | ソホロリピッドを含む経皮吸収制御剤及びその製造方法 |
| JP5649268B2 (ja) | 2008-05-15 | 2015-01-07 | サラヤ株式会社 | ソホロリピッドを含む吸着抑制組成物 |
| EP2351847B1 (en) | 2008-10-28 | 2017-04-05 | Kaneka Corporation | Method for producing sophorose lipid |
| DE102009045077A1 (de) | 2009-09-29 | 2011-03-31 | Evonik Goldschmidt Gmbh | Verwendung von Sophorolipiden und deren Derivaten in Kombination mit Pestiziden als Adjuvant/Additiv für den Pflanzenschutz und den industriellen non-crop Bereich |
| DE102010014680A1 (de) | 2009-11-18 | 2011-08-18 | Evonik Degussa GmbH, 45128 | Zellen, Nukleinsäuren, Enzyme und deren Verwendung sowie Verfahren zur Herstellung von Sophorolipiden |
| WO2011127101A1 (en) * | 2010-04-05 | 2011-10-13 | Polytechnic Institute Of New York University | Sophorolipid analog compositions |
| JP5901107B2 (ja) | 2010-08-27 | 2016-04-06 | 三菱重工業株式会社 | マルチ型空気調和システム |
| US20120142621A1 (en) | 2010-12-03 | 2012-06-07 | Biomedica Management Corporation | Purified Ethyl Ester Sophorolipid for the Treatment of Sepsis |
| JP5726102B2 (ja) | 2012-02-14 | 2015-05-27 | 三菱重工業株式会社 | 電動圧縮機 |
| JP6644548B2 (ja) | 2013-09-04 | 2020-02-12 | サラヤ株式会社 | 低毒性ソホロリピッド含有組成物及びその用途 |
-
2014
- 2014-08-06 EP EP14834955.8A patent/EP3034613B1/en active Active
- 2014-08-06 JP JP2015530934A patent/JP6449156B2/ja active Active
- 2014-08-06 US US14/911,174 patent/US10752650B2/en active Active
- 2014-08-06 WO PCT/JP2014/070788 patent/WO2015020114A1/ja not_active Ceased
- 2014-08-06 CN CN201480054091.5A patent/CN105593370B/zh active Active
Patent Citations (4)
| Publication number | Priority date | Publication date | Assignee | Title |
|---|---|---|---|---|
| JPH07118284A (ja) | 1991-06-03 | 1995-05-09 | Agency Of Ind Science & Technol | ソホロース誘導体 |
| JP2002045195A (ja) | 2000-08-04 | 2002-02-12 | Saraya Kk | ソホロースリピッドの発酵生産法 |
| JP2003013093A (ja) | 2001-06-27 | 2003-01-15 | Saraya Kk | 低泡性洗浄剤組成物 |
| EP2821495A1 (en) | 2012-03-02 | 2015-01-07 | Saraya Co., Ltd. | High-purity acid-form sophorolipid (sl) containing composition and process for preparing same |
Non-Patent Citations (14)
| Title |
|---|
| A. BRAKEMEIER; D. WULLBRANDT; S. LANG, APPL MICROBIOL BIOTECHNOL., vol. 50, 1998, pages 161 - 166 |
| ABDUL RASHID YATIM: "Biotransformation of Palm Olein into sophorolipids biosurfactant", THESIS, 2008, UNIVERSITY OF NEW SOUTH WALES, XP055763217, Retrieved from the Internet <URL:http://unsworks.unsw.edu.au/fapi/datastream/unsworks:8293/SOURCE1?view=true> |
| APPLIED AND ENVIRONMENTAL MICROBIOLOGY, vol. 47, 1984, pages 173 |
| ASMER ET AL., J. AM. OIL. CHEM. SOC., vol. 65, 1988, pages 1460 - 1466 |
| CAN. J. CHEM., vol. 46, 1968, pages 3337 - 3351 |
| CANADIAN JOURNAL OF CHEMISTRY, vol. 39, 1961, pages 846 |
| DAVID A. CAVALERO; DAVID G. COOPER, JOURNAL OF BIOTECHNOLOGY, vol. 103, 2003, pages 31 - 41 |
| DAVILA ET AL., APPL. MICROBIOL. BIOTECHNOL., vol. 38, 1992, pages 6 - 11 |
| DAVILA ET AL., APPL., 1988, pages 1460 - 1466 |
| DESHPANDE ET AL., BIORESOURCE TECHNOL., vol. 54, 1995, pages 143 - 150 |
| GORIN, CAN., J CHEM., vol. 39, 1961, pages 846 |
| R. HOMMEL, BIODEGRADATION, vol. 1, 1991, pages 107 |
| VAN BOGAERT,I.N. ET AL.: "Microbial production and application of sophorolipids.", APPL. MICROBIOL. BIOTECHNOL., vol. 76, no. 1, August 2007 (2007-08-01), pages 23 - 34, XP019538805 * |
| ZHOU ET AL., J. AM. OIL. CHEM. SOC., vol. 69, 1992, pages 89 - 91 |
Cited By (7)
| Publication number | Priority date | Publication date | Assignee | Title |
|---|---|---|---|---|
| EP3397073A4 (en) * | 2015-12-29 | 2019-08-21 | The United States of America, as represented by the Secretary of Agriculture | COMPOSITIONS USING A BITTER TASTE AND AT LEAST ONE SOPHOROLIPIDE AND METHOD FOR REDUCING THE BITTER TASTE OF A BUTTER TASTE IN AN ESTABLISHABLE COMPOSITION |
| WO2020250475A1 (ja) | 2019-06-11 | 2020-12-17 | サラヤ株式会社 | 褐変が抑制された酸型ソホロリピッド含有組成物 |
| JPWO2020250475A1 (ja) * | 2019-06-11 | 2020-12-17 | ||
| JP6999211B2 (ja) | 2019-06-11 | 2022-01-18 | サラヤ株式会社 | 褐変が抑制された酸型ソホロリピッド含有組成物 |
| WO2022210011A1 (ja) | 2021-03-31 | 2022-10-06 | アライドカーボンソリューションズ株式会社 | 新規ソホロリピッド誘導体 |
| KR20230022444A (ko) | 2021-03-31 | 2023-02-15 | 얼라이드 카본 솔루션즈 가부시키가이샤 | 신규 소포로리피드 유도체 |
| WO2022260090A1 (ja) | 2021-06-08 | 2022-12-15 | サラヤ株式会社 | バイオフィルム除去剤、及びバイオフィルム除去方法 |
Also Published As
| Publication number | Publication date |
|---|---|
| EP3034613A4 (en) | 2016-12-14 |
| US20160280733A1 (en) | 2016-09-29 |
| JPWO2015020114A1 (ja) | 2017-03-02 |
| JP6449156B2 (ja) | 2019-01-09 |
| CN105593370B (zh) | 2021-07-06 |
| EP3034613B1 (en) | 2025-01-08 |
| CN105593370A (zh) | 2016-05-18 |
| EP3034613A1 (en) | 2016-06-22 |
| US10752650B2 (en) | 2020-08-25 |
| EP3034613C0 (en) | 2025-01-08 |
Similar Documents
| Publication | Publication Date | Title |
|---|---|---|
| JP6449156B2 (ja) | 新型ソホロリピッド化合物及びそれを含有する組成物 | |
| CN105683329B (zh) | 低毒性的含有槐糖脂的组合物及其用途 | |
| EP2821495B1 (en) | High-purity acid-form sophorolipid (sl) containing composition and process for preparing same | |
| Hu et al. | Sophorolipid production from different lipid precursors observed with LC-MS | |
| JP4926056B2 (ja) | バイオサーファクタントを含有するスキンケア化粧料および肌荒れ改善剤 | |
| Ashby et al. | Property control of sophorolipids: influence of fatty acid substrate and blending | |
| EP2918278A1 (en) | Algal extracts comprising fucoxanthin and fucoxanthinol | |
| JP2010158192A (ja) | 糖型バイオサーファクタント生産能を有する微生物及びそれを用いる糖型バイオサーファクタントの製造方法 | |
| JP2008247845A (ja) | 酸型ソホロースリピッドの生産方法 | |
| JP2016000017A (ja) | ソフォロリピッドの製造方法 | |
| Chiewpattanakul et al. | Bioproduction and anticancer activity of biosurfactant produced by the dematiaceous fungus Exophiala dermatitidis SK80 | |
| JP5754796B2 (ja) | 抗酸化剤及びその利用 | |
| JP5622190B2 (ja) | 新規微生物及びそれを用いる糖型バイオサーファクタントの製造方法 | |
| JP6823780B2 (ja) | セラミドの製造方法 | |
| CN113966378B (zh) | 褐变被抑制的含酸型槐糖脂的组合物 | |
| Gowda et al. | Highly efficient preparation of sphingoid bases from glucosylceramides by chemoenzymatic method | |
| JP2010022217A (ja) | グルコシルセラミドの製造方法 | |
| JP4723630B2 (ja) | グルコシルセラミド画分 | |
| JP7133306B2 (ja) | アシルステリルグルコシド、アシルステリルグルコシドの製造方法、組成物、抗酸化剤、血中脂質低下剤、抗肥満剤、抗腫瘍剤及びアテローム性動脈硬化症の予防又は治療剤 | |
| JP2016034908A (ja) | ヒアルロン酸合成酵素誘導作用を呈する脂肪酸誘導体及びその製造方法 |
Legal Events
| Date | Code | Title | Description |
|---|---|---|---|
| 121 | Ep: the epo has been informed by wipo that ep was designated in this application |
Ref document number: 14834955 Country of ref document: EP Kind code of ref document: A1 |
|
| ENP | Entry into the national phase |
Ref document number: 2015530934 Country of ref document: JP Kind code of ref document: A |
|
| NENP | Non-entry into the national phase |
Ref country code: DE |
|
| WWE | Wipo information: entry into national phase |
Ref document number: 2014834955 Country of ref document: EP |
|
| WWE | Wipo information: entry into national phase |
Ref document number: 14911174 Country of ref document: US |











































