WO2012135025A2 - Conjugated lipomers and uses thereof - Google Patents
Conjugated lipomers and uses thereof Download PDFInfo
- Publication number
- WO2012135025A2 WO2012135025A2 PCT/US2012/030349 US2012030349W WO2012135025A2 WO 2012135025 A2 WO2012135025 A2 WO 2012135025A2 US 2012030349 W US2012030349 W US 2012030349W WO 2012135025 A2 WO2012135025 A2 WO 2012135025A2
- Authority
- WO
- WIPO (PCT)
- Prior art keywords
- substituted
- unsubstituted
- group
- certain embodiments
- instance
- Prior art date
- Legal status (The legal status is an assumption and is not a legal conclusion. Google has not performed a legal analysis and makes no representation as to the accuracy of the status listed.)
- Ceased
Links
- 0 CC(C)(C)NC*CI Chemical compound CC(C)(C)NC*CI 0.000 description 15
- IVEBRSXEJSWEOY-UHFFFAOYSA-N OCCN(CCCNCCNCCC1)CCN1[IH]CO Chemical compound OCCN(CCCNCCNCCC1)CCN1[IH]CO IVEBRSXEJSWEOY-UHFFFAOYSA-N 0.000 description 2
- MVJNEMCZIOERCZ-UHFFFAOYSA-N OCCN1CCNCCCNCCN(CCO)CCC1 Chemical compound OCCN1CCNCCCNCCN(CCO)CCC1 MVJNEMCZIOERCZ-UHFFFAOYSA-N 0.000 description 2
- SQDAWNKFHGIMME-UHFFFAOYSA-N CC(C)(C)NCCI Chemical compound CC(C)(C)NCCI SQDAWNKFHGIMME-UHFFFAOYSA-N 0.000 description 1
- RSVODOHTNACGMB-UHFFFAOYSA-N CC(C)(CN1CCN(CCO)CCN(CCO)CCN(CCO)CC1)CO Chemical compound CC(C)(CN1CCN(CCO)CCN(CCO)CCN(CCO)CC1)CO RSVODOHTNACGMB-UHFFFAOYSA-N 0.000 description 1
- FLFWMTSDGMOHNZ-UHFFFAOYSA-N CC(CN1CCN(C[IH]O)CCCN(CCO)CCN(CCO)CCC1)(CO)I Chemical compound CC(CN1CCN(C[IH]O)CCCN(CCO)CCN(CCO)CCC1)(CO)I FLFWMTSDGMOHNZ-UHFFFAOYSA-N 0.000 description 1
- JHVXYBPYNDLLRH-UHFFFAOYSA-N CCCCCCCC(C)COCCN(CCCNCCN(CCO)CCC1)CCN1I Chemical compound CCCCCCCC(C)COCCN(CCCNCCN(CCO)CCC1)CCN1I JHVXYBPYNDLLRH-UHFFFAOYSA-N 0.000 description 1
- QTRQUSNFBTYHLI-UHFFFAOYSA-N OCCN(CCCN(CCO)CC1)CCN(CCO)CCCN1[IH]CO Chemical compound OCCN(CCCN(CCO)CC1)CCN(CCO)CCCN1[IH]CO QTRQUSNFBTYHLI-UHFFFAOYSA-N 0.000 description 1
- CHSNRXBGIDEUDE-UHFFFAOYSA-N OCCN(CCCN(CCO)CC1)CCNCCCN1[IH]CO Chemical compound OCCN(CCCN(CCO)CC1)CCNCCCN1[IH]CO CHSNRXBGIDEUDE-UHFFFAOYSA-N 0.000 description 1
- BWNUTUGXUGYTGD-UHFFFAOYSA-N OCCN1CCN(CCO)CCN(C[IH]O)CCNCC1 Chemical compound OCCN1CCN(CCO)CCN(C[IH]O)CCNCC1 BWNUTUGXUGYTGD-UHFFFAOYSA-N 0.000 description 1
- VJLJCQFRNGYSNN-UHFFFAOYSA-N OCCN1CCN(CCO)CCNCCNCC1 Chemical compound OCCN1CCN(CCO)CCNCCNCC1 VJLJCQFRNGYSNN-UHFFFAOYSA-N 0.000 description 1
- BZENGTLRGKDUDX-UHFFFAOYSA-N OCCN1CCNCCCNCCNCCC1 Chemical compound OCCN1CCNCCCNCCNCCC1 BZENGTLRGKDUDX-UHFFFAOYSA-N 0.000 description 1
- JJSCEKWIMSHVPZ-UHFFFAOYSA-N OCCN1CCNCCNCCNCC1 Chemical compound OCCN1CCNCCNCCNCC1 JJSCEKWIMSHVPZ-UHFFFAOYSA-N 0.000 description 1
- GEYQJDQPZWNLST-UHFFFAOYSA-N OC[IH]N1CCNCCCNCCNCCC1 Chemical compound OC[IH]N1CCNCCCNCCNCCC1 GEYQJDQPZWNLST-UHFFFAOYSA-N 0.000 description 1
Classifications
-
- A—HUMAN NECESSITIES
- A61—MEDICAL OR VETERINARY SCIENCE; HYGIENE
- A61K—PREPARATIONS FOR MEDICAL, DENTAL OR TOILETRY PURPOSES
- A61K47/00—Medicinal preparations characterised by the non-active ingredients used, e.g. carriers or inert additives; Targeting or modifying agents chemically bound to the active ingredient
- A61K47/06—Organic compounds, e.g. natural or synthetic hydrocarbons, polyolefins, mineral oil, petrolatum or ozokerite
- A61K47/22—Heterocyclic compounds, e.g. ascorbic acid, tocopherol or pyrrolidones
-
- A—HUMAN NECESSITIES
- A61—MEDICAL OR VETERINARY SCIENCE; HYGIENE
- A61K—PREPARATIONS FOR MEDICAL, DENTAL OR TOILETRY PURPOSES
- A61K47/00—Medicinal preparations characterised by the non-active ingredients used, e.g. carriers or inert additives; Targeting or modifying agents chemically bound to the active ingredient
- A61K47/30—Macromolecular organic or inorganic compounds, e.g. inorganic polyphosphates
- A61K47/34—Macromolecular compounds obtained otherwise than by reactions only involving carbon-to-carbon unsaturated bonds, e.g. polyesters, polyamino acids, polysiloxanes, polyphosphazines, copolymers of polyalkylene glycol or poloxamers
-
- A—HUMAN NECESSITIES
- A61—MEDICAL OR VETERINARY SCIENCE; HYGIENE
- A61K—PREPARATIONS FOR MEDICAL, DENTAL OR TOILETRY PURPOSES
- A61K47/00—Medicinal preparations characterised by the non-active ingredients used, e.g. carriers or inert additives; Targeting or modifying agents chemically bound to the active ingredient
- A61K47/50—Medicinal preparations characterised by the non-active ingredients used, e.g. carriers or inert additives; Targeting or modifying agents chemically bound to the active ingredient the non-active ingredient being chemically bound to the active ingredient, e.g. polymer-drug conjugates
- A61K47/51—Medicinal preparations characterised by the non-active ingredients used, e.g. carriers or inert additives; Targeting or modifying agents chemically bound to the active ingredient the non-active ingredient being chemically bound to the active ingredient, e.g. polymer-drug conjugates the non-active ingredient being a modifying agent
- A61K47/54—Medicinal preparations characterised by the non-active ingredients used, e.g. carriers or inert additives; Targeting or modifying agents chemically bound to the active ingredient the non-active ingredient being chemically bound to the active ingredient, e.g. polymer-drug conjugates the non-active ingredient being a modifying agent the modifying agent being an organic compound
- A61K47/543—Lipids, e.g. triglycerides; Polyamines, e.g. spermine or spermidine
-
- A—HUMAN NECESSITIES
- A61—MEDICAL OR VETERINARY SCIENCE; HYGIENE
- A61K—PREPARATIONS FOR MEDICAL, DENTAL OR TOILETRY PURPOSES
- A61K47/00—Medicinal preparations characterised by the non-active ingredients used, e.g. carriers or inert additives; Targeting or modifying agents chemically bound to the active ingredient
- A61K47/50—Medicinal preparations characterised by the non-active ingredients used, e.g. carriers or inert additives; Targeting or modifying agents chemically bound to the active ingredient the non-active ingredient being chemically bound to the active ingredient, e.g. polymer-drug conjugates
- A61K47/51—Medicinal preparations characterised by the non-active ingredients used, e.g. carriers or inert additives; Targeting or modifying agents chemically bound to the active ingredient the non-active ingredient being chemically bound to the active ingredient, e.g. polymer-drug conjugates the non-active ingredient being a modifying agent
- A61K47/56—Medicinal preparations characterised by the non-active ingredients used, e.g. carriers or inert additives; Targeting or modifying agents chemically bound to the active ingredient the non-active ingredient being chemically bound to the active ingredient, e.g. polymer-drug conjugates the non-active ingredient being a modifying agent the modifying agent being an organic macromolecular compound, e.g. an oligomeric, polymeric or dendrimeric molecule
- A61K47/59—Medicinal preparations characterised by the non-active ingredients used, e.g. carriers or inert additives; Targeting or modifying agents chemically bound to the active ingredient the non-active ingredient being chemically bound to the active ingredient, e.g. polymer-drug conjugates the non-active ingredient being a modifying agent the modifying agent being an organic macromolecular compound, e.g. an oligomeric, polymeric or dendrimeric molecule obtained otherwise than by reactions only involving carbon-to-carbon unsaturated bonds, e.g. polyureas or polyurethanes
-
- A—HUMAN NECESSITIES
- A61—MEDICAL OR VETERINARY SCIENCE; HYGIENE
- A61K—PREPARATIONS FOR MEDICAL, DENTAL OR TOILETRY PURPOSES
- A61K47/00—Medicinal preparations characterised by the non-active ingredients used, e.g. carriers or inert additives; Targeting or modifying agents chemically bound to the active ingredient
- A61K47/50—Medicinal preparations characterised by the non-active ingredients used, e.g. carriers or inert additives; Targeting or modifying agents chemically bound to the active ingredient the non-active ingredient being chemically bound to the active ingredient, e.g. polymer-drug conjugates
- A61K47/69—Medicinal preparations characterised by the non-active ingredients used, e.g. carriers or inert additives; Targeting or modifying agents chemically bound to the active ingredient the non-active ingredient being chemically bound to the active ingredient, e.g. polymer-drug conjugates the conjugate being characterised by physical or galenical forms, e.g. emulsion, particle, inclusion complex, stent or kit
- A61K47/6905—Medicinal preparations characterised by the non-active ingredients used, e.g. carriers or inert additives; Targeting or modifying agents chemically bound to the active ingredient the non-active ingredient being chemically bound to the active ingredient, e.g. polymer-drug conjugates the conjugate being characterised by physical or galenical forms, e.g. emulsion, particle, inclusion complex, stent or kit the form being a colloid or an emulsion
- A61K47/6907—Medicinal preparations characterised by the non-active ingredients used, e.g. carriers or inert additives; Targeting or modifying agents chemically bound to the active ingredient the non-active ingredient being chemically bound to the active ingredient, e.g. polymer-drug conjugates the conjugate being characterised by physical or galenical forms, e.g. emulsion, particle, inclusion complex, stent or kit the form being a colloid or an emulsion the form being a microemulsion, nanoemulsion or micelle
-
- A—HUMAN NECESSITIES
- A61—MEDICAL OR VETERINARY SCIENCE; HYGIENE
- A61K—PREPARATIONS FOR MEDICAL, DENTAL OR TOILETRY PURPOSES
- A61K47/00—Medicinal preparations characterised by the non-active ingredients used, e.g. carriers or inert additives; Targeting or modifying agents chemically bound to the active ingredient
- A61K47/50—Medicinal preparations characterised by the non-active ingredients used, e.g. carriers or inert additives; Targeting or modifying agents chemically bound to the active ingredient the non-active ingredient being chemically bound to the active ingredient, e.g. polymer-drug conjugates
- A61K47/69—Medicinal preparations characterised by the non-active ingredients used, e.g. carriers or inert additives; Targeting or modifying agents chemically bound to the active ingredient the non-active ingredient being chemically bound to the active ingredient, e.g. polymer-drug conjugates the conjugate being characterised by physical or galenical forms, e.g. emulsion, particle, inclusion complex, stent or kit
- A61K47/6905—Medicinal preparations characterised by the non-active ingredients used, e.g. carriers or inert additives; Targeting or modifying agents chemically bound to the active ingredient the non-active ingredient being chemically bound to the active ingredient, e.g. polymer-drug conjugates the conjugate being characterised by physical or galenical forms, e.g. emulsion, particle, inclusion complex, stent or kit the form being a colloid or an emulsion
- A61K47/6911—Medicinal preparations characterised by the non-active ingredients used, e.g. carriers or inert additives; Targeting or modifying agents chemically bound to the active ingredient the non-active ingredient being chemically bound to the active ingredient, e.g. polymer-drug conjugates the conjugate being characterised by physical or galenical forms, e.g. emulsion, particle, inclusion complex, stent or kit the form being a colloid or an emulsion the form being a liposome
-
- A—HUMAN NECESSITIES
- A61—MEDICAL OR VETERINARY SCIENCE; HYGIENE
- A61K—PREPARATIONS FOR MEDICAL, DENTAL OR TOILETRY PURPOSES
- A61K47/00—Medicinal preparations characterised by the non-active ingredients used, e.g. carriers or inert additives; Targeting or modifying agents chemically bound to the active ingredient
- A61K47/50—Medicinal preparations characterised by the non-active ingredients used, e.g. carriers or inert additives; Targeting or modifying agents chemically bound to the active ingredient the non-active ingredient being chemically bound to the active ingredient, e.g. polymer-drug conjugates
- A61K47/69—Medicinal preparations characterised by the non-active ingredients used, e.g. carriers or inert additives; Targeting or modifying agents chemically bound to the active ingredient the non-active ingredient being chemically bound to the active ingredient, e.g. polymer-drug conjugates the conjugate being characterised by physical or galenical forms, e.g. emulsion, particle, inclusion complex, stent or kit
- A61K47/6921—Medicinal preparations characterised by the non-active ingredients used, e.g. carriers or inert additives; Targeting or modifying agents chemically bound to the active ingredient the non-active ingredient being chemically bound to the active ingredient, e.g. polymer-drug conjugates the conjugate being characterised by physical or galenical forms, e.g. emulsion, particle, inclusion complex, stent or kit the form being a particulate, a powder, an adsorbate, a bead or a sphere
-
- A—HUMAN NECESSITIES
- A61—MEDICAL OR VETERINARY SCIENCE; HYGIENE
- A61K—PREPARATIONS FOR MEDICAL, DENTAL OR TOILETRY PURPOSES
- A61K9/00—Medicinal preparations characterised by special physical form
- A61K9/0012—Galenical forms characterised by the site of application
- A61K9/0019—Injectable compositions; Intramuscular, intravenous, arterial, subcutaneous administration; Compositions to be administered through the skin in an invasive manner
-
- A—HUMAN NECESSITIES
- A61—MEDICAL OR VETERINARY SCIENCE; HYGIENE
- A61K—PREPARATIONS FOR MEDICAL, DENTAL OR TOILETRY PURPOSES
- A61K9/00—Medicinal preparations characterised by special physical form
- A61K9/10—Dispersions; Emulsions
- A61K9/127—Synthetic bilayered vehicles, e.g. liposomes or liposomes with cholesterol as the only non-phosphatidyl surfactant
- A61K9/1271—Non-conventional liposomes, e.g. PEGylated liposomes or liposomes coated or grafted with polymers
- A61K9/1272—Non-conventional liposomes, e.g. PEGylated liposomes or liposomes coated or grafted with polymers comprising non-phosphatidyl surfactants as bilayer-forming substances, e.g. cationic lipids or non-phosphatidyl liposomes coated or grafted with polymers
-
- A—HUMAN NECESSITIES
- A61—MEDICAL OR VETERINARY SCIENCE; HYGIENE
- A61P—SPECIFIC THERAPEUTIC ACTIVITY OF CHEMICAL COMPOUNDS OR MEDICINAL PREPARATIONS
- A61P35/00—Antineoplastic agents
-
- A—HUMAN NECESSITIES
- A61—MEDICAL OR VETERINARY SCIENCE; HYGIENE
- A61P—SPECIFIC THERAPEUTIC ACTIVITY OF CHEMICAL COMPOUNDS OR MEDICINAL PREPARATIONS
- A61P37/00—Drugs for immunological or allergic disorders
- A61P37/02—Immunomodulators
- A61P37/04—Immunostimulants
-
- C—CHEMISTRY; METALLURGY
- C07—ORGANIC CHEMISTRY
- C07D—HETEROCYCLIC COMPOUNDS
- C07D257/00—Heterocyclic compounds containing rings having four nitrogen atoms as the only ring hetero atoms
- C07D257/02—Heterocyclic compounds containing rings having four nitrogen atoms as the only ring hetero atoms not condensed with other rings
-
- C—CHEMISTRY; METALLURGY
- C07—ORGANIC CHEMISTRY
- C07D—HETEROCYCLIC COMPOUNDS
- C07D273/00—Heterocyclic compounds containing rings having nitrogen and oxygen atoms as the only ring hetero atoms, not provided for by groups C07D261/00 - C07D271/00
-
- C—CHEMISTRY; METALLURGY
- C07—ORGANIC CHEMISTRY
- C07D—HETEROCYCLIC COMPOUNDS
- C07D273/00—Heterocyclic compounds containing rings having nitrogen and oxygen atoms as the only ring hetero atoms, not provided for by groups C07D261/00 - C07D271/00
- C07D273/08—Heterocyclic compounds containing rings having nitrogen and oxygen atoms as the only ring hetero atoms, not provided for by groups C07D261/00 - C07D271/00 having two nitrogen atoms and more than one oxygen atom
-
- C—CHEMISTRY; METALLURGY
- C07—ORGANIC CHEMISTRY
- C07D—HETEROCYCLIC COMPOUNDS
- C07D295/00—Heterocyclic compounds containing polymethylene-imine rings with at least five ring members, 3-azabicyclo [3.2.2] nonane, piperazine, morpholine or thiomorpholine rings, having only hydrogen atoms directly attached to the ring carbon atoms
- C07D295/04—Heterocyclic compounds containing polymethylene-imine rings with at least five ring members, 3-azabicyclo [3.2.2] nonane, piperazine, morpholine or thiomorpholine rings, having only hydrogen atoms directly attached to the ring carbon atoms with substituted hydrocarbon radicals attached to ring nitrogen atoms
- C07D295/08—Heterocyclic compounds containing polymethylene-imine rings with at least five ring members, 3-azabicyclo [3.2.2] nonane, piperazine, morpholine or thiomorpholine rings, having only hydrogen atoms directly attached to the ring carbon atoms with substituted hydrocarbon radicals attached to ring nitrogen atoms substituted by singly bound oxygen or sulfur atoms
- C07D295/084—Heterocyclic compounds containing polymethylene-imine rings with at least five ring members, 3-azabicyclo [3.2.2] nonane, piperazine, morpholine or thiomorpholine rings, having only hydrogen atoms directly attached to the ring carbon atoms with substituted hydrocarbon radicals attached to ring nitrogen atoms substituted by singly bound oxygen or sulfur atoms with the ring nitrogen atoms and the oxygen or sulfur atoms attached to the same carbon chain, which is not interrupted by carbocyclic rings
-
- C—CHEMISTRY; METALLURGY
- C08—ORGANIC MACROMOLECULAR COMPOUNDS; THEIR PREPARATION OR CHEMICAL WORKING-UP; COMPOSITIONS BASED THEREON
- C08G—MACROMOLECULAR COMPOUNDS OBTAINED OTHERWISE THAN BY REACTIONS ONLY INVOLVING UNSATURATED CARBON-TO-CARBON BONDS
- C08G73/00—Macromolecular compounds obtained by reactions forming a linkage containing nitrogen with or without oxygen or carbon in the main chain of the macromolecule, not provided for in groups C08G12/00 - C08G71/00
- C08G73/06—Polycondensates having nitrogen-containing heterocyclic rings in the main chain of the macromolecule
- C08G73/10—Polyimides; Polyester-imides; Polyamide-imides; Polyamide acids or similar polyimide precursors
-
- C—CHEMISTRY; METALLURGY
- C12—BIOCHEMISTRY; BEER; SPIRITS; WINE; VINEGAR; MICROBIOLOGY; ENZYMOLOGY; MUTATION OR GENETIC ENGINEERING
- C12N—MICROORGANISMS OR ENZYMES; COMPOSITIONS THEREOF; PROPAGATING, PRESERVING, OR MAINTAINING MICROORGANISMS; MUTATION OR GENETIC ENGINEERING; CULTURE MEDIA
- C12N15/00—Mutation or genetic engineering; DNA or RNA concerning genetic engineering, vectors, e.g. plasmids, or their isolation, preparation or purification; Use of hosts therefor
- C12N15/09—Recombinant DNA-technology
- C12N15/11—DNA or RNA fragments; Modified forms thereof; Non-coding nucleic acids having a biological activity
- C12N15/113—Non-coding nucleic acids modulating the expression of genes, e.g. antisense oligonucleotides; Antisense DNA or RNA; Triplex- forming oligonucleotides; Catalytic nucleic acids, e.g. ribozymes; Nucleic acids used in co-suppression or gene silencing
- C12N15/1137—Non-coding nucleic acids modulating the expression of genes, e.g. antisense oligonucleotides; Antisense DNA or RNA; Triplex- forming oligonucleotides; Catalytic nucleic acids, e.g. ribozymes; Nucleic acids used in co-suppression or gene silencing against enzymes
-
- C—CHEMISTRY; METALLURGY
- C12—BIOCHEMISTRY; BEER; SPIRITS; WINE; VINEGAR; MICROBIOLOGY; ENZYMOLOGY; MUTATION OR GENETIC ENGINEERING
- C12N—MICROORGANISMS OR ENZYMES; COMPOSITIONS THEREOF; PROPAGATING, PRESERVING, OR MAINTAINING MICROORGANISMS; MUTATION OR GENETIC ENGINEERING; CULTURE MEDIA
- C12N15/00—Mutation or genetic engineering; DNA or RNA concerning genetic engineering, vectors, e.g. plasmids, or their isolation, preparation or purification; Use of hosts therefor
- C12N15/09—Recombinant DNA-technology
- C12N15/11—DNA or RNA fragments; Modified forms thereof; Non-coding nucleic acids having a biological activity
- C12N15/113—Non-coding nucleic acids modulating the expression of genes, e.g. antisense oligonucleotides; Antisense DNA or RNA; Triplex- forming oligonucleotides; Catalytic nucleic acids, e.g. ribozymes; Nucleic acids used in co-suppression or gene silencing
- C12N15/1138—Non-coding nucleic acids modulating the expression of genes, e.g. antisense oligonucleotides; Antisense DNA or RNA; Triplex- forming oligonucleotides; Catalytic nucleic acids, e.g. ribozymes; Nucleic acids used in co-suppression or gene silencing against receptors or cell surface proteins
-
- C—CHEMISTRY; METALLURGY
- C12—BIOCHEMISTRY; BEER; SPIRITS; WINE; VINEGAR; MICROBIOLOGY; ENZYMOLOGY; MUTATION OR GENETIC ENGINEERING
- C12N—MICROORGANISMS OR ENZYMES; COMPOSITIONS THEREOF; PROPAGATING, PRESERVING, OR MAINTAINING MICROORGANISMS; MUTATION OR GENETIC ENGINEERING; CULTURE MEDIA
- C12N2310/00—Structure or type of the nucleic acid
- C12N2310/10—Type of nucleic acid
- C12N2310/14—Type of nucleic acid interfering nucleic acids [NA]
-
- C—CHEMISTRY; METALLURGY
- C12—BIOCHEMISTRY; BEER; SPIRITS; WINE; VINEGAR; MICROBIOLOGY; ENZYMOLOGY; MUTATION OR GENETIC ENGINEERING
- C12N—MICROORGANISMS OR ENZYMES; COMPOSITIONS THEREOF; PROPAGATING, PRESERVING, OR MAINTAINING MICROORGANISMS; MUTATION OR GENETIC ENGINEERING; CULTURE MEDIA
- C12N2320/00—Applications; Uses
- C12N2320/30—Special therapeutic applications
- C12N2320/32—Special delivery means, e.g. tissue-specific
Definitions
- RNA interference RNA interference
- in-tact siRNA must enter the cytosol, where the antisense strand is incorporated into the RNA-induced silencing complex (RISC) (Whitehead in supra). RISC associates with and degrades complementary mRNA sequences; this prevents translation of the target mRNA into protein, "silencing" the gene.
- RISC RNA-induced silencing complex
- nucleotides have been complexed with a wide variety of delivery systems, including polymers, lipids, inorganic nanoparticles and viruses (see, e.g., Peer et al. Nature Nanotechnology, (2007) 2:751-760). Although it had been used in commercial products for over thirty years, the cationic polymer polyethyleneimine (PEI) was first reported as an effective gene therapy delivery material in 1995 (Boussif et al., Proceedings of the National Academy of Sciences of the United States of America (1995) 92: 7297-7301).
- PEI polymer polyethyleneimine
- PEI amino groups of PEI are known to be protonated at physiological pH, facilitating electrostatic interactions with the negative phosphate backbone of the nucleotide (see, e.g., Suh et al., Bioorganic Chemistry (1994) 22:318-327).
- Branched PEI (BPEI) is one of the most highly characterized polymeric vectors for genetic delivery owing to increased interactions between the branched cation and the relatively linear phosphate backbone (Von Harpe et al., Journal of Controlled Release (2000) 69: 309-322).
- BPEI is considered an ideal delivery vector because the primary, secondary and tertiary amino groups have different pKas, and can therefore accept a large number of protons in the endosome without acidifying the membrane. Since acidification is required for nuclease activity that would disassemble the nucleotide, the nucleotide is protected from degradation. Furthermore, the influx of protons creates a gradient down which ions and water flow, an effect also known as "the proton sponge". The endosomal membrane is filled like a balloon until it bursts open, releasing genetic material into the cytoplasm. In this way, BPEI is able to effectively ferry nucleic acids from the extracellular space into the cytoplasm (see, e.g., Akinc et al., Journal of Gene Medicine (2005) 7: 657-663).
- BPEI ⁇ ooo a number average molar mass of 25,000 BPEI
- Mn 1200 and Mn 600 PEI failed to yield expression in any trial
- BPEI 80 o DNA transfection was compared to Mn 22,000 linear PEI (LPEI 22, ooo) and BPEI ⁇ ooo, and the authors found that while transfection was only seen with the BPEI 2 5,ooo formulation, BPEI 2 5,ooo was also found to be more cytotoxic.
- BPEI 2 ooo and BPELgoo have used BPEI 2 ooo and BPELgoo to a variety of hydrophobic chemical groups in an effort to bolster the molecular weight of the PEI polymer to provide a new polymer without the cytotoxic effects inherent to BPEI 2 5 >0 oo-
- lipid moieties were conjugated by N- acylation to BPEI 2 ooo (2 kDa PEI) and evaluated for gene delivery (Neamnark, et al.
- BPEI 180 o was conjugated to cholesterol in a molar ratio of cholesterol:BPEI 180 o of approximately 1, but the authors required 5-15 ⁇ for in vitro knockdown, indicating poor efficacy (see Kim et al., J. Controlled Release (2007) 118:357- 363). Still others have investigated poly-siRNA conjugated to BPELgoo for gene silencing (see, e.g., Lee et al, J. Controlled Release (2010) 141:339-346).
- LPEI low molecular weight LPEI and BPEI polymers, i.e., having a number average molar mass (Mn) of ⁇ 2000 ⁇ i.e., approximately ⁇ 2 kDa), are inefficient materials for siRNA delivery (see, e.g., Boussif et al., Proceedings of the National Academy of Sciences of the United States of America (1995) 92: 7297-7301; and Philipp et al, Bioconjugate Chem. (2009) 20:2055-2061).
- Mn number average molar mass
- PEI mediated polynucleotide delivery has been well- studied, but, to date, no highly effective in vivo PEI-based delivery system has been reported.
- PEI-based polynucleotide delivery system which is as efficient a delivery system as a high molecular weight PEI, but with little to no cytotoxicity.
- the present invention provides inventive conjugated polyethyleneimine (PEI) polymers and inventive conjugated aza-macrocycles (collectively referred to herein as "conjugated lipomers” or “lipomers”), which are useful, for example, as polynucleotide delivery systems.
- the conjugated polyethyleneimine polymers are preferably prepared from low molecular weight linear polyethyleneimine (LPEI) and branched polyethyleneimine (BPEI) polymers, i.e., having a number average molar mass (Mn) of ⁇ 2000 ⁇ i.e., approximately ⁇ 2 kDa).
- each instance of L 1 is independently selected from formulae:
- n is an integer of between 3 to 45, inclusive;
- each instance of R is independently hydrogen; acyl; silyl; sulfonyl; an amino protecting group; substituted or unsubstituted alkyl; substituted or unsubstituted alkenyl; substituted or unsubstituted alkynyl; substituted or unsubstituted heteroalkyl; substituted or unsubstituted heteroalkenyl; substituted or unsubstituted heteroalkynyl; substituted or unsubstituted carbocyclyl; substituted or unsubstituted heterocyclyl; substituted or unsubstituted aryl; substituted or unsubstituted heteroaryl; a substituted or unsubstituted polyethyleneimine; or a group of the formula (iii'):
- each instance of R is independently substituted or unsubstituted alkyl; substituted or unsubstituted alkenyl; substituted or unsubstituted alkynyl; substituted or unsubstituted heteroalkyl; substituted or unsubstituted heteroalkenyl; substituted or unsubstituted heteroalkynyl; substituted or unsubstituted carbocyclyl; substituted or unsubstituted heterocyclyl; substituted or unsubstituted aryl; substituted or unsubstituted heteroaryl; or a hydrophilic polymer;
- each instance of R 4 is independently hydrogen, acyl; silyl; a hydroxyl protecting group; substituted or unsubstituted alkyl; substituted or unsubstituted alkenyl; substituted or unsubstituted alkynyl; substituted or unsubstituted heteroalkyl; substituted or unsubstituted heteroalkenyl; substituted or unsubstituted hetero alkynyl; substituted or unsubstituted carbocyclyl; substituted or unsubstituted heterocyclyl; substituted or unsubstituted aryl; or substituted or unsubstituted heteroaryl;
- A is -N(R 5 ) 2 , wherein each instance of R 5 is independently hydrogen; acyl; silyl; sulfonyl; an amino protecting group; substituted or unsubstituted alkyl; substituted or unsubstituted alkenyl; substituted or unsubstituted alkynyl; substituted or unsubstituted heteroalkyl; substituted or unsubstituted heteroalkenyl; substituted or unsubstituted heteroalkynyl; substituted or unsubstituted carbocyclyl; substituted or unsubstituted heterocyclyl; substituted or unsubstituted aryl; substituted or unsubstituted heteroaryl; or a group of the formula (iii'):
- Z is hydrogen; acyl; silyl; sulfonyl; an amino protecting group; substituted or unsubstituted alkyl; substituted or unsubstituted alkenyl; substituted or unsubstituted alkynyl; substituted or unsubstituted heteroalkyl; substituted or unsubstituted heteroalkenyl;
- each instance of L is independently selected from:
- each instance of R is independently hydrogen; acyl; silyl; sulfonyl; an amino protecting group; substituted or unsubstituted alkyl; substituted or unsubstituted alkenyl; substituted or unsubstituted alkynyl; substituted or unsubstituted heteroalkyl; substituted or unsubstituted heteroalkenyl; substituted or unsubstituted heteroalkynyl; substituted or unsubstituted carbocyclyl; substituted or unsubstituted heterocyclyl; substituted or unsubstituted aryl; substituted or unsubstituted heteroaryl; or
- conjugated lipomer contains at least one group of the formula (iii');
- each instance of R is independently substituted or unsubstituted alkyl; substituted or unsubstituted alkenyl; substituted or unsubstituted alkynyl; substituted or unsubstituted heteroalkyl; substituted or unsubstituted heteroalkenyl; substituted or unsubstituted heteroalkynyl; substituted or unsubstituted carbocyclyl; substituted or unsubstituted heterocyclyl; substituted or unsubstituted aryl; substituted or unsubstituted heteroaryl; or a hydrophilic polymer;
- each instance of R 4 is independently hydrogen, acyl; silyl; a hydroxyl protecting group; substituted or unsubstituted alkyl; substituted or unsubstituted alkenyl; substituted or unsubstituted alkynyl; substituted or unsubstituted heteroalkyl; substituted or unsubstituted heteroalkenyl; substituted or unsubstituted heteroalkynyl; substituted or unsubstituted carbocyclyl; substituted or unsubstituted heterocyclyl; substituted or unsubstituted aryl; or substituted or unsubstituted heteroaryl;
- each instance of m and p is independently 0, 1 or 2;
- q is an integer selected from 2, 3, or 4;
- the cyclic conjugated lipomer comprises at least one instance of the group of the formula (vi).
- the conjugated lipomer is of the Formula (V), (VI), or (VII):
- the conjugated lipomer comprises at least one instance of the group of the formula (vii), (viii), or (ix). In these embodiments, the conjugated lipomer is of the Formu
- compositions comprising the inventive conjugated lipomers.
- a composition comprising one or more conjugated lipomers of the present invention, e.g., a conjugated lipomer of Formula (II) or (IV), and, optionallyan excipient.
- the composition is a pharmaceutical composition or a cosmetic composition.
- the composition further comprises an agent.
- the agent is small molecule, organometallic compound, nucleic acid, protein, peptide, polynucleotide, metal, targeting agent, an isotopically labeled chemical compound, drug, vaccine,
- the agent is a polynucleotide, and the polynucleotide is DNA or RNA.
- the RNA is RNAi, dsRNA, siRNA, shRNA, miRNA, or antisense RNA.
- the polynucleotide and the one or more conjugated lipomers are not covalently attached.
- the one or more conjugated lipomers is in the form of a particle.
- the particle is a nanoparticle or microp article.
- the particle encapsulates an agent, e.g., an agent to be delivered.
- a method of preparing a conjugated lipomer of the Formula (II), or salt thereof, the method comprising contacting a compound of the For ula (xii):
- R 1 is independently selected from hydrogen or a group of the formula ( ⁇ '):
- a method of preparing a cyclic conjugated lipomer of the Formula (IV), or salt thereof comprising contacting a compound of the Formula (III), or salt thereof, with an epoxide of the formula (xii):
- each instance of L is independently selected from:
- a method of screening a library of conjugated lipomers of the present invention e.g., conjugated lipomers Formula (II) and/or (IV), the method comprising providing a plurality of conjugated lipomers; and screening the conjugated lipomers for a desired property, e.g., useful in gene therapy.
- the desired property includes a property useful for delivery of an agent (e.g., a small molecule, polynucleotide, protein, peptide) to a cell, tissue, organ, or subject.
- the desired property is an ability to bind a polynucleotide; increase transfection efficiency; support cell growth; support cell attachment; support tissue growth; or to be soluble in an aqueous solution.
- a method of treating cancer comprising administering to a subject in need thereof an effective amount of an inventive conjugated lipomer, or salt thereof, as described herein.
- Compounds described herein can comprise one or more asymmetric centers, and thus can exist in various isomeric forms, e.g., enantiomers and/or diastereomers.
- the compounds described herein can be in the form of an individual enantiomer, diastereomer or geometric isomer, or can be in the form of a mixture of stereoisomers, including racemic mixtures and mixtures enriched in one or more stereoisomer.
- Isomers can be isolated from mixtures by methods known to those skilled in the art, including chiral high pressure liquid chromatography (HPLC) and the formation and crystallization of chiral salts; or preferred isomers can be prepared by asymmetric syntheses.
- HPLC high pressure liquid chromatography
- the invention additionally encompasses compounds as individual isomers substantially free of other isomers, and alternatively, as mixtures of various isomers.
- alkyl refers to a radical of a straight-chain or branched saturated hydrocarbon group having from 1 to 50 carbon atoms (“Ci-so alkyl”). In some embodiments, an alkyl group has 1 to 40 carbon atoms ("C ⁇ o alkyl”). In some embodiments, an alkyl group has 1 to 30 carbon atoms ("C ⁇ o alkyl”). In some embodiments, an alkyl group has 1 to 20 carbon atoms (“C ⁇ o alkyl”). In some embodiments, an alkyl group has 1 to 20 carbon atoms (“C ⁇ o alkyl”). In some embodiments, an alkyl group has 1 to 9 carbon atoms (“Ci_9 alkyl").
- an alkyl group has 1 to 8 carbon atoms ("Q-e alkyl”). In some embodiments, an alkyl group has 1 to 7 carbon atoms ("C ⁇ alkyl”). In some embodiments, an alkyl group has 1 to 6 carbon atoms ("C ⁇ alkyl”). In some embodiments, an alkyl group has 1 to 5 carbon atoms ("C ⁇ s alkyl”). In some embodiments, an alkyl group has 1 to 4 carbon atoms ("C ⁇ alkyl”). In some embodiments, an alkyl group has 1 to 3 carbon atoms (“Ci_ 3 alkyl”). In some embodiments, an alkyl group has 1 to 2 carbon atoms (“Ci_ 2 alkyl”). In some embodiments, an alkyl group has 1 carbon atom (“Q alkyl”). In some embodiments, an alkyl group has 2 to 6 carbon atoms ("C 2 -6 alkyl”).
- Ci_6 alkyl groups include methyl (CO, ethyl (C 2 ), n-propyl (C 3 ), isopropyl (C 3 ), n-butyl (C 4 ), tert-butyl (C 4 ), sec-butyl (C 4 ), iso-butyl (C 4 ), n-pentyl (C 5 ), 3-pentanyl (C 5 ), amyl (C 5 ), neopentyl (C 5 ), 3-methyl-2-butanyl (C 5 ), tertiary amyl (C 5 ), and n-hexyl (C 6 ).
- alkyl groups include n-heptyl (C 7 ), n-octyl (Cg) and the like. Unless otherwise specified, each instance of an alkyl group is independently unsubstituted (an "unsubstituted alkyl") or substituted (a "substituted alkyl") with one or more substituents. In certain embodiments, the alkyl group is an unsubstituted Ciso alkyl. In certain embodiments, the alkyl group is a substituted Ciso alkyl.
- heteroalkyl refers to an alkyl group, as defined herein, which further comprises 1 or more (e.g. , 1 to 25) heteroatoms (e.g., oxygen, sulfur, nitrogen, boron, silicon, phosphorus) included in the parent chain.
- the heteroalkyl group is an unsubstituted Q-so heteroalkyl.
- the heteroalkyl group is a substituted Ci_5o heteroalkyl.
- alkenyl refers to a radical of a straight-chain or branched hydrocarbon group having from 2 to 50 carbon atoms and one or more carbon-carbon double bonds (“C 2 _5o alkenyl”). In some embodiments, an alkenyl group has 2 to 40 carbon atoms ("C 2 ⁇ o alkenyl”). In some embodiments, an alkenyl group has 2 to 30 carbon atoms (“C 2 _ 3 o alkenyl”). In some embodiments, an alkenyl group has 2 to 20 carbon atoms ("C 2 _ 2 o
- alkenyl In some embodiments, an alkenyl group has 2 to 10 carbon atoms ("C 2 _io
- alkenyl In some embodiments, an alkenyl group has 2 to 9 carbon atoms ("C 2 _g alkenyl”). In some embodiments, an alkenyl group has 2 to 8 carbon atoms ("C 2 _8 alkenyl”). In some embodiments, an alkenyl group has 2 to 7 carbon atoms (“C 2 _7 alkenyl”). In some embodiments,
- an alkenyl group has 2 to 6 carbon atoms ("C 2 _ 6 alkenyl").
- an alkenyl group has 2 to 5 carbon atoms ("C 2 _ 5 alkenyl"). In some
- an alkenyl group has 2 to 4 carbon atoms ("C 2 ⁇ alkenyl"). In some
- an alkenyl group has 2 to 3 carbon atoms ("C 2 _ 3 alkenyl”). In some embodiments, an alkenyl group has 2 carbon atoms ("C 2 alkenyl”).
- the one or more carbon-carbon double bonds can be internal (such as in 2-butenyl) or terminal (such as in 1- butenyl).
- Examples of C 2 ⁇ alkenyl groups include ethenyl (C 2 ), 1-propenyl (C 3 ), 2-propenyl (C 3 ), 1-butenyl (C 4 ), 2-butenyl (C 4 ), butadienyl (C 4 ), and the like.
- C 2 _ 6 alkenyl groups include the aforementioned C 2 ⁇ alkenyl groups as well as pentenyl (C 5 ), pentadienyl (C 5 ), hexenyl (C 6 ), and the like. Additional examples of alkenyl include heptenyl (C 7 ), octenyl (Cg), octatrienyl (Cg), and the like. Unless otherwise specified, each instance of an alkenyl group is independently unsubstituted (an "unsubstituted alkenyl") or substituted (a "substituted alkenyl") with one or more substituents. In certain embodiments, the alkenyl group is an unsubstituted C 2 -50 alkenyl. In certain embodiments, the alkenyl group is a substituted C 2 -50 alkenyl.
- heteroalkenyl refers to an alkenyl group, as defined herein, which further comprises 1 or more (e.g. , 1 to 25) heteroatoms (e.g. , oxygen, sulfur, nitrogen, boron, silicon, phosphorus) included in the parent chain.
- the heteroalkenyl group is an unsubstituted C 2 -50 heteroalkenyl.
- the heteroalkenyl group is a substituted C 2 -50 heteroalkenyl.
- alkynyl refers to a radical of a straight-chain or branched hydrocarbon group having from 2 to 50 carbon atoms and one or more carbon-carbon triple bonds ("C 2 -50 alkynyl”). In some embodiments, an alkynyl group has 2 to 40 carbon atoms ("C 2 ⁇ o alkynyl”). In some embodiments, an alkynyl group has 2 to 30 carbon atoms ("C 2 -30 alkynyl”). In some embodiments, an alkynyl group has 2 to 20 carbon atoms (“C 2 -20 alkynyl").
- an alkynyl group has 2 to 10 carbon atoms ("C 2 -10 alkynyl”). In some embodiments, an alkynyl group has 2 to 9 carbon atoms ("C 2 -9 alkynyl”). In some embodiments, an alkynyl group has 2 to 8 carbon atoms ("C 2 -g alkynyl”). In some embodiments, an alkynyl group has 2 to 7 carbon atoms (“C 2 _ 7 alkynyl”). In some embodiments, an alkynyl group has 2 to 6 carbon atoms ("C 2 -6 alkynyl").
- an alkynyl group has 2 to 5 carbon atoms ("C 2 _5 alkynyl”). In some embodiments, an alkynyl group has 2 to 4 carbon atoms ("C 2 ⁇ alkynyl”). In some embodiments, an alkynyl group has 2 to 3 carbon atoms ("C 2 -3 alkynyl”). In some embodiments, an alkynyl group has 2 carbon atoms ("C 2 alkynyl”).
- the one or more carbon- carbon triple bonds can be internal (such as in 2-butynyl) or terminal (such as in 1-butynyl).
- Examples of C 2 - alkynyl groups include, without limitation, ethynyl (C 2 ), 1-propynyl (C 3 ), 2-propynyl (C 3 ), 1-butynyl (C 4 ), 2-butynyl (C 4 ), and the like.
- Examples of C 2 -6 alkenyl groups include the aforementioned C 2 - alkynyl groups as well as pentynyl (C 5 ), hexynyl (C 6 ), and the like. Additional examples of alkynyl include heptynyl (C 7 ), octynyl (Cg), and the like.
- each instance of an alkynyl group is independently unsubstituted (an "unsubstituted alkynyl") or substituted (a "substituted alkynyl") with one or more substituents.
- the alkynyl group is an unsubstituted C 2 -50 alkynyl.
- the alkynyl group is a substituted C 2 -50 alkynyl.
- heteroalkynyl refers to an alkynyl group, as defined herein, which further comprises 1 or more (e.g. , 1 to 25) heteroatoms (e.g.
- the heteroalkynyl group is an unsubstituted C 2 -50 heteroalkynyl. In certain embodiments, the heteroalkynyl group is a substituted C 2 -50 heteroalkynyl.
- carbocyclyl refers to a radical of a non-aromatic cyclic hydrocarbon group having from 3 to 10 ring carbon atoms ("C ⁇ o carbocyclyl") and zero heteroatoms in the non-aromatic ring system.
- a carbocyclyl group has 3 to 8 ring carbon atoms ("C 3 _g carbocyclyl”).
- a carbocyclyl group has 3 to 6 ring carbon atoms ("C 3 _ 6 carbocyclyl”).
- a carbocyclyl group has 3 to 6 ring carbon atoms ("C 3 _6 carbocyclyl”).
- a carbocyclyl group has 3 to 6 ring carbon atoms ("C 3 _6 carbocyclyl”).
- carbocyclyl group has 5 to 10 ring carbon atoms ("Cs-io carbocyclyl").
- Exemplary C 3 _6 carbocyclyl groups include, without limitation, cyclopropyl (C 3 ), cyclopropenyl (C 3 ), cyclobutyl (C 4 ), cyclobutenyl (C 4 ), cyclopentyl (C 5 ), cyclopentenyl (C 5 ), cyclohexyl (C 6 ), cyclohexenyl (C 6 ), cyclohexadienyl (C 6 ), and the like.
- Exemplary C 3 _g carbocyclyl groups include, without limitation, the aforementioned C 3 _ 6 carbocyclyl groups as well as cycloheptyl (C 7 ), cycloheptenyl (C 7 ), cycloheptadienyl (C 7 ), cycloheptatrienyl (C 7 ), cyclooctyl (Cg), cyclooctenyl (Cg), bicyclo[2.2.1]heptanyl (C 7 ), bicyclo[2.2.2]octanyl (Cg), and the like.
- Exemplary C 3 _ 10 carbocyclyl groups include, without limitation, the
- C 3 _g carbocyclyl groups as well as cyclononyl (C 9 ), cyclononenyl (C 9 ), cyclodecyl (C 10 ), cyclodecenyl (C 10 ), octahydro-lH-indenyl (C 9 ), decahydronaphthalenyl (Cio), spiro[4.5]decanyl (C 10 ), and the like.
- the carbocyclyl group is either monocyclic (“monocyclic carbocyclyl”) or polycyclic (e.g., containing a fused, bridged or spiro ring system such as a bicyclic system (“bicyclic carbocyclyl”) or tricyclic system (“tricyclic carbocyclyl”)) and can be saturated or can contain one or more carbon-carbon double or triple bonds.
- Carbocyclyl also includes ring systems wherein the carbocyclyl ring, as defined above, is fused with one or more aryl or heteroaryl groups wherein the point of attachment is on the carbocyclyl ring, and in such instances, the number of carbons continue to designate the number of carbons in the carbocyclic ring system.
- each instance of a carbocyclyl group is independently unsubstituted (an "unsubstituted carbocyclyl") or substituted (a "substituted carbocyclyl”) with one or more substituents.
- the carbocyclyl group is an unsubstituted C 3 _io carbocyclyl.
- the carbocyclyl group is a substituted C 3 _io carbocyclyl.
- “carbocyclyl” is a monocyclic, saturated carbocyclyl group having from 3 to 10 ring carbon atoms ("C ⁇ o cycloalkyl”).
- a cycloalkyl group has 3 to 8 ring carbon atoms ("C 3 _8 cycloalkyl”).
- a cycloalkyl group has 3 to 6 ring carbon atoms ("C 3 _6 cycloalkyl”).
- a cycloalkyl group has 5 to 6 ring carbon atoms ("C 5 _6 cycloalkyl”). In some embodiments, a cycloalkyl group has 5 to 10 ring carbon atoms ("Cs-io cycloalkyl"). Examples of C 5 _6 cycloalkyl groups include cyclopentyl (C 5 ) and cyclohexyl (C 5 ). Examples of C 3 _6 cycloalkyl groups include the aforementioned C 5 _6 cycloalkyl groups as well as cyclopropyl (C 3 ) and cyclobutyl (C 4 ).
- C 3 _g cycloalkyl groups include the aforementioned C 3 _ 6 cycloalkyl groups as well as cycloheptyl (C 7 ) and cyclooctyl (Cg). Unless otherwise specified, each instance of a cycloalkyl group is independently unsubstituted (an
- the cycloalkyl group is an unsubstituted C 3 _io cycloalkyl. In certain embodiments, the cycloalkyl group is a substituted C 3 _io cycloalkyl.
- heterocyclyl refers to a radical of a 3- to 14-membered non- aromatic ring system having ring carbon atoms and 1 to 4 ring heteroatoms, wherein each heteroatom is independently selected from nitrogen, oxygen, and sulfur ("3-14 membered heterocyclyl").
- the point of attachment can be a carbon or nitrogen atom, as valency permits.
- a heterocyclyl group can either be monocyclic (“monocyclic heterocyclyl”) or polycyclic (e.g., a fused, bridged or spiro ring system such as a bicyclic system (“bicyclic heterocyclyl”) or tricyclic system (“tricyclic heterocyclyl”)), and can be saturated or can contain one or more carbon-carbon double or triple bonds.
- Heterocyclyl polycyclic ring systems can include one or more heteroatoms in one or both rings.
- Heterocyclyl also includes ring systems wherein the heterocyclyl ring, as defined above, is fused with one or more carbocyclyl groups wherein the point of attachment is either on the carbocyclyl or heterocyclyl ring, or ring systems wherein the heterocyclyl ring, as defined above, is fused with one or more aryl or heteroaryl groups, wherein the point of attachment is on the heterocyclyl ring, and in such instances, the number of ring members continue to designate the number of ring members in the heterocyclyl ring system.
- each instance of heterocyclyl is independently unsubstituted (an "unsubstituted heterocyclyl") or substituted (a "substituted heterocyclyl") with one or more substituents.
- the heterocyclyl group is an unsubstituted 3-14 membered heterocyclyl.
- the heterocyclyl group is a substituted 3-14 membered heterocyclyl.
- a heterocyclyl group is a 5-10 membered non-aromatic ring system having ring carbon atoms and 1-4 ring heteroatoms, wherein each heteroatom is independently selected from nitrogen, oxygen, and sulfur (“5-10 membered heterocyclyl").
- a heterocyclyl group is a 5-8 membered non-aromatic ring system having ring carbon atoms and 1-4 ring heteroatoms, wherein each heteroatom is
- a heterocyclyl group is a 5-6 membered non-aromatic ring system having ring carbon atoms and 1-4 ring heteroatoms, wherein each heteroatom is
- the 5-6 membered heterocyclyl has 1-3 ring heteroatoms selected from nitrogen, oxygen, and sulfur. In some embodiments, the 5-6 membered heterocyclyl has 1-2 ring heteroatoms selected from nitrogen, oxygen, and sulfur. In some embodiments, the 5-6 membered heterocyclyl has 1 ring heteroatom selected from nitrogen, oxygen, and sulfur.
- Exemplary 3-membered heterocyclyl groups containing 1 heteroatom include, without limitation, azirdinyl, oxiranyl, thiorenyl.
- Exemplary 4-membered heterocyclyl groups containing 1 heteroatom include, without limitation, azetidinyl, oxetanyl and thietanyl.
- Exemplary 5-membered heterocyclyl groups containing 1 heteroatom include, without limitation, tetrahydrofuranyl, dihydrofuranyl, tetrahydrothiophenyl,
- Exemplary 5- membered heterocyclyl groups containing 2 heteroatoms include, without limitation, dioxolanyl, oxathiolanyl and dithiolanyl.
- Exemplary 5-membered heterocyclyl groups containing 3 heteroatoms include, without limitation, triazolinyl, oxadiazolinyl, and thiadiazolinyl.
- Exemplary 6-membered heterocyclyl groups containing 1 heteroatom include, without limitation, piperidinyl, tetrahydropyranyl, dihydropyridinyl, and thianyl.
- Exemplary 6-membered heterocyclyl groups containing 2 heteroatoms include, without limitation, piperazinyl, morpholinyl, dithianyl, dioxanyl. Exemplary 6-membered heterocyclyl groups containing 2 heteroatoms include, without limitation, triazinanyl.
- Exemplary 7-membered heterocyclyl groups containing 1 heteroatom include, without limitation, azepanyl, oxepanyl and thiepanyl.
- Exemplary 8-membered heterocyclyl groups containing 1 heteroatom include, without limitation, azocanyl, oxecanyl and thiocanyl.
- Exemplary bicyclic heterocyclyl groups include, without limitation, indolinyl, isoindolinyl, dihydrobenzofuranyl, dihydrobenzothienyl, tetrahydrobenzothienyl, tetrahydrobenzofuranyl, tetrahydroindolyl, tetrahydroquinolinyl, tetrahydroisoquinolinyl, decahydroquinolinyl, decahydroisoquinolinyl, octahydrochromenyl, octahydroisochromenyl, decahydronaphthyridinyl, decahydro-l,8-naphthyridinyl, octahydropyrrolo[3,2-b]pyrrole, indolinyl, phthalimidyl, naphthalimidyl, chromanyl, chromenyl, lH-benzo[e]
- aryl refers to a radical of a monocyclic or polycyclic (e.g., bicyclic or tricyclic) 4n+2 aromatic ring system (e.g., having 6, 10, or 14 ⁇ electrons shared in a cyclic array) having 6-14 ring carbon atoms and zero heteroatoms provided in the aromatic ring system ("C 6 -i 4 aryl").
- an aryl group has 6 ring carbon atoms ("C 6 aryl”; e.g., phenyl).
- an aryl group has 10 ring carbon atoms ("Cio aryl”; e.g., naphthyl such as 1-naphthyl and 2-naphthyl).
- Cio aryl e.g., naphthyl such as 1-naphthyl and 2-naphthyl.
- an aryl group has 14 ring carbon atoms ("C 14 aryl”; e.g., anthracyl).
- Aryl also includes ring systems wherein the aryl ring, as defined above, is fused with one or more carbocyclyl or heterocyclyl groups wherein the radical or point of attachment is on the aryl ring, and in such instances, the number of carbon atoms continue to designate the number of carbon atoms in the aryl ring system.
- each instance of an aryl group is independently unsubstituted (an "unsubstituted aryl") or substituted (a "substituted aryl”) with one or more substituents.
- the aryl group is an
- the aryl group is a substituted C 6 -i 4 aryl.
- heteroaryl refers to a radical of a 5-14 membered monocyclic or polycyclic (e.g., bicyclic or tricyclic) 4n+2 aromatic ring system (e.g., having 6, 10, or 14 ⁇ electrons shared in a cyclic array) having ring carbon atoms and 1-4 ring heteroatoms provided in the aromatic ring system, wherein each heteroatom is independently selected from nitrogen, oxygen and sulfur ("5-14 membered heteroaryl").
- the point of attachment can be a carbon or nitrogen atom, as valency permits.
- Heteroaryl polycyclic ring systems can include one or more heteroatoms in one or both rings.
- Heteroaryl includes ring systems wherein the heteroaryl ring, as defined above, is fused with one or more carbocyclyl or heterocyclyl groups wherein the point of attachment is on the heteroaryl ring, and in such instances, the number of ring members continue to designate the number of ring members in the heteroaryl ring system.
- Heteroaryl also includes ring systems wherein the heteroaryl ring, as defined above, is fused with one or more aryl groups wherein the point of attachment is either on the aryl or heteroaryl ring, and in such instances, the number of ring members designates the number of ring members in the fused polycyclic (aryl/heteroaryl) ring system.
- Polycyclic heteroaryl groups wherein one ring does not contain a heteroatom e.g., indolyl, quinolinyl, carbazolyl, and the like
- the point of attachment can be on either ring, i.e., either the ring bearing a heteroatom (e.g., 2-indolyl) or the ring that does not contain a heteroatom (e.g., 5-indolyl).
- a heteroaryl group is a 5-10 membered aromatic ring system having ring carbon atoms and 1-4 ring heteroatoms provided in the aromatic ring system, wherein each heteroatom is independently selected from nitrogen, oxygen, and sulfur ("5-10 membered heteroaryl").
- a heteroaryl group is a 5-8 membered aromatic ring system having ring carbon atoms and 1-4 ring heteroatoms provided in the aromatic ring system, wherein each heteroatom is independently selected from nitrogen, oxygen, and sulfur ("5-8 membered heteroaryl").
- a heteroaryl group is a 5-6 membered aromatic ring system having ring carbon atoms and 1-4 ring heteroatoms provided in the aromatic ring system, wherein each heteroatom is independently selected from nitrogen, oxygen, and sulfur ("5-6 membered heteroaryl").
- the 5-6 membered heteroaryl has 1-3 ring heteroatoms selected from nitrogen, oxygen, and sulfur.
- the 5-6 membered heteroaryl has 1-2 ring heteroatoms selected from nitrogen, oxygen, and sulfur.
- the 5-6 membered heteroaryl has 1 ring heteroatom selected from nitrogen, oxygen, and sulfur.
- each instance of a heteroaryl group is independently unsubstituted (an "unsubstituted heteroaryl") or substituted (a "substituted heteroaryl") with one or more substituents.
- the heteroaryl group is an unsubstituted 5-14 membered heteroaryl.
- the heteroaryl group is a substituted 5-14 membered heteroaryl.
- Exemplary 5-membered heteroaryl groups containing 1 heteroatom include, without limitation, pyrrolyl, furanyl and thiophenyl.
- Exemplary 5-membered heteroaryl groups containing 2 heteroatoms include, without limitation, imidazolyl, pyrazolyl, oxazolyl, isoxazolyl, thiazolyl, and isothiazolyl.
- Exemplary 5-membered heteroaryl groups containing 3 heteroatoms include, without limitation, triazolyl, oxadiazolyl, and thiadiazolyl.
- Exemplary 5-membered heteroaryl groups containing 4 heteroatoms include, without limitation, tetrazolyl.
- Exemplary 6-membered heteroaryl groups containing 1 heteroatom include, without limitation, pyridinyl.
- Exemplary 6-membered heteroaryl groups containing 2 heteroatoms include, without limitation, pyridazinyl, pyrimidinyl, and pyrazinyl.
- Exemplary 6-membered heteroaryl groups containing 3 or 4 heteroatoms include, without limitation, triazinyl and tetrazinyl, respectively.
- Exemplary 7-membered heteroaryl groups containing 1 heteroatom include, without limitation, azepinyl, oxepinyl, and thiepinyl.
- Exemplary 5,6- bicyclic heteroaryl groups include, without limitation, indolyl, isoindolyl, indazolyl, benzotriazolyl, benzothiophenyl, isobenzothiophenyl, benzofuranyl, benzoisofuranyl, benzimidazolyl, benzoxazolyl, benzisoxazolyl, benzoxadiazolyl, benzthiazolyl,
- Exemplary 6,6-bicyclic heteroaryl groups include, without limitation, naphthyridinyl, pteridinyl, quinolinyl, isoquinolinyl, cinnolinyl, quinoxalinyl, phthalazinyl, and quinazolinyl.
- Exemplary tricyclic heteroaryl groups include, without limitation, phenanthridinyl, dibenzofuranyl, carbazolyl, acridinyl, phenothiazinyl, phenoxazinyl and phenazinyl.
- partially unsaturated refers to a ring moiety that includes at least one double or triple bond.
- the term “partially unsaturated” is intended to encompass rings having multiple sites of unsaturation, but is not intended to include aromatic groups (e.g., aryl or heteroaryl moieties) as herein defined.
- Alkyl, alkenyl, alkynyl, heteroalkyl, heteroalkenyl, heteroalkynyl, carbocyclyl, heterocyclyl, aryl, and heteroaryl groups, as defined herein, are optionally substituted.
- substituted whether preceded by the term “optionally” or not, means that at least one hydrogen present on a group (e.g., a carbon or nitrogen atom) is replaced with a permissible substituent, e.g., a substituent which upon substitution results in a stable compound, e.g., a compound which does not spontaneously undergo transformation such as by rearrangement, cyclization, elimination, or other reaction.
- a "substituted" group has a substituent at one or more substitutable positions of the group, and when more than one position in any given structure is substituted, the substituent is either the same or different at each position.
- substituted is contemplated to include substitution with all permissible substituents of organic compounds, any of the substituents described herein that results in the formation of a stable compound.
- the present invention contemplates any and all such combinations in order to arrive at a stable compound.
- heteroatoms such as nitrogen may have hydrogen substituents and/or any suitable substituent as described herein which satisfy the valencies of the heteroatoms and results in the formation of a stable moiety.
- Exemplary carbon atom substituents include, but are not limited to, halogen, -
- R ⁇ is, independently, selected from C ⁇ o alkyl, C 2 _ 10 alkenyl, C 2 _ 10 alkynyl, C 3 _ 10 carbocyclyl, 3-14 membered heterocyclyl, C 6 -i 4 aryl, and 5-14 membered heteroaryl, or two R ⁇ groups are joined to form a 3-14 membered heterocyclyl or 5-14 membered heteroaryl ring, wherein each alkyl, alkenyl, alkynyl, carbocyclyl, heterocyclyl, aryl, and heteroaryl is independently substituted
- each instance of R cc is, independently, selected from hydrogen, C ⁇ o alkyl, C 2 _io alkenyl, C 2 _io alkynyl, C 3 _io carbocyclyl, 3-14 membered heterocyclyl, Ce_ 14 aryl, and 5-14 membered heteroaryl, or two R cc groups are joined to form a 3-14 membered heterocyclyl or 5-14 membered heteroaryl ring, wherein each alkyl, alkenyl, alkynyl, carbocyclyl, heterocyclyl, aryl, and heteroaryl is independently substituted with 0, 1, 2, 3, 4, or 5 R dd groups; each instance of R is, independently, selected from halogen, -CN, -N0 2 , -N 3 , - S0 2 H, -S0 3 H, -OH, -OR ee , -ON(R ff ) 2 , -N(R ff ) 2
- each instance of R ee is, independently, selected from Q_6 alkyl, C ⁇ perhaloalkyl, C 2 6 alkenyl, C 2 _ 6 alkynyl, C 3 _io carbocyclyl, C 6 -io aryl, 3-10 membered heterocyclyl, and 3-10 membered heteroaryl, wherein each alkyl, alkenyl, alkynyl, carbocyclyl, heterocyclyl, aryl, and heteroaryl is independently substituted with 0, 1, 2, 3, 4, or 5 R gg groups;
- each instance of R is, independently, selected from hydrogen, Q_6 alkyl, Q_6 perhaloalkyl, C 2 _ 6 alkenyl, C 2 _ 6 alkynyl, C 3 _io carbocyclyl, 3-10 membered heterocyclyl, C 6 - ff
- io aryl and 5-10 membered heteroaryl, or two R groups are joined to form a 3-14 membered heterocyclyl or 5-14 membered heteroaryl ring, wherein each alkyl, alkenyl, alkynyl, carbocyclyl, heterocyclyl, aryl, and heteroaryl is independently substituted with 0, 1, 2, 3, 4, or 5 R gg groups; and
- hydroxyl refers to the group -OH.
- thiol refers to the group -SH.
- amino refers to the group -NH 2 .
- substituted amino by extension, refers to a mono substituted amino, a disubstituted amino, or a trisubstituted amino, as defined herein.
- trisubstituted amino refers to an amino group wherein the nitrogen atom directly attached to the parent molecule is substituted with three groups, and includes groups selected from -N(R bb )3 and -N(R bb ) 3 + X " , wherein R bb and X are as defined herein.
- sulfonyl refers to a group selected from -
- sil refers to the group -Si(R aa ) 3 , wherein R ⁇ is as defined herein.
- halo refers to fluorine (fluoro, -F), chlorine (chloro, -CI), bromine (bromo, -Br), or iodine (iodo, -I).
- a "counterion” is a negatively charged group associated with a positively charged quarternary amine in order to maintain electronic neutrality.
- exemplary counterions include halide ions (e.g., F , CI “ , Br “ , ⁇ ), N0 3 , C10 4 , OH “ , H 2 P0 4 , HS0 4 , sulfonate ions (e.g., methansulfonate, trifluoromethanesulfonate, p-toluenesulfonate, benzenesulfonate, 10-camphor sulfonate, naphthalene-2-sulfonate, naphthalene-l-sulfonic acid-5-sulfonate, ethan-l-sulfonic acid-2-sulfonate, and the like), and carboxylate ions (e.g., acetate, ethanoate, propanoate, be
- Nitrogen atoms can be substituted or unsubstituted as valency permits, and include primary, secondary, tertiary, and quarternary nitrogen atoms.
- the substituent present on the nitrogen atom is an amino protecting group (also referred to herein as a "nitrogen protecting group").
- R aa , R bb , R cc and R dd are as defined herein.
- Amino protecting groups are well known in the art and include those described in detail in Protecting Groups in Organic Synthesis, T. W. Greene and P. G. M.
- Amino protecting groups such as carbamate groups include, but are not limited to, methyl carbamate, ethyl carbamante, 9-fluorenylmethyl carbamate (Fmoc), 9-(2-sulfo)fluorenylmethyl carbamate, 9-(2,7-dibromo)fluoroenylmethyl carbamate, 2,7-di-i-butyl-[9-( 10,10-dioxo-l 0, 10,10,10-tetrahydrothioxanthyl)]methyl carbamate (DBD-Tmoc), 4-methoxyphenacyl carbamate (Phenoc), 2,2,2-trichloroethyl carbamate (Troc), 2-trimethylsilylethyl carbamate (Teoc), 2-phenylethyl carbamate (hZ), 1- (l-adamantyl)-l-methyle
- Amino protecting groups such as sulfonamide groups include, but are not limited to, p-toluenesulfonamide (Ts), benzenesulfonamide, 2,3,6,- trimethyl-4-methoxybenzenesulfonamide (Mtr), 2,4,6-trimethoxybenzenesulfonamide (Mtb), 2,6-dimethyl-4-methoxybenzenesulfonamide (Pme), 2,3,5, 6-tetramethyl-4- methoxybenzenesulfonamide (Mte), 4-methoxybenzenesulfonamide (Mbs), 2,4,6- trimethylbenzenesulfonamide (Mts), 2,6-dimethoxy-4-methylbenzenesulfonamide (iMds), 2,2,5,7, 8-pentamethylchroman-6-sulfonamide (Pmc), methane
- Ts p-toluenesulfonamide
- Mtr 2,
- amino protecting groups include, but are not limited to, phenothiazinyl-
- a "leaving group” is an art-understood term referring to a molecular fragment that departs with a pair of electrons in heterolytic bond cleavage, wherein the molecular fragment is an anion or neutral molecule. See, for example, Smith, March Advanced Organic Chemistry 6th ed. (501-502).
- Exemplary leaving groups include, but are not limited to, halo (e.g., chloro, bromo, iodo) and sulfonyl substituted hydroxyl groups (e.g., tosyl, mesyl, besyl).
- a "polymer” refers to a compound comprised of at least 3 (e.g., at least 10, 20, 30, 40, 50, 60, 70, 80, 90, 100, etc.) repeating covalently bound structural units.
- an "organic molecule” is a molecule comprising carbon, and encompasses large organic molecules and small organic molecules, as defined herein.
- the organic molecule may also comprise a metal.
- the organic molecule is also referred to as an "organometallic compound.”
- a "small organic molecule” or “small molecule” refers to an organic molecule with a molecular weight of less than 800 g/mol (e.g., less than 700 g/mol, less than 600 g/mol, less than 500 g/mol, less than 400 g/mol, less than 300 g/mol, less than 200 g/mol, less than 100 g/mol, between 50 to 800 g/mol, inclusive, between 100 to 800 g/mol, inclusive, or between 100 to 500 g/mol, inclusive).
- the small organic molecule is a therapeutically active agent such as a drug (e.g., a small organic molecule approved by the U.S. Food and Drug Administration as provided in the Code of Federal Regulations (CFR)).
- the small organic molecule may also comprise a metal. In this instance, the small organic molecule is also referred to as an "small organometallic molecule.”
- a "large organic molecule” or “large molecule” refers to an organic compound with a molecular weight of greater than or equal to 800 g/mol (e.g., greater than 800 g/mol, greater than 900 g/mol, greater than 1000 g/mol, greater than 2000 g/mol, between 800 to 2000 g/mol, inclusive, between 1000 to 2000 g/mol, inclusive, or between 800 to 1000 g/mol, inclusive).
- the large organic molecule is a therapeutically active agent such as a drug (e.g., a large organic molecule approved by the U.S. Food and Drug Administration as provided in the Code of Federal Regulations (CFR)).
- the large organic molecule may also comprise a metal.
- the large organic molecule is also referred to as an "large organometallic compound.”
- an "inorganic molecule” is a molecule which comprises elements other than carbon, and encompasses large inorganic molecules and small inorganic molecules, as defined herein. If an inorganic molecule comprises a transition metal, it is also referred to herein as a "metal.”
- a "small inorganic molecule” refers to an inorganic compound with a molecular weight of less than 800 g/mol (e.g., less than 700 g/mol, less than 600 g/mol, less than 500 g/mol, less than 400 g/mol, less than 300 g/mol, less than 200 g/mol, less than 100 g/mol, between 50 to 800 g/mol, inclusive, between 100 to 800 g/mol, inclusive, or between 100 to 500 g/mol, inclusive).
- the small inorganic molecule is a therapeutically active agent such as a drug (e.g., a small inorganic molecule approved by the U.S. Food and Drug Administration as provided in the Code of Federal Regulations (CFR)).
- a "large inorganic molecule” refers to an inorganic compound with a molecular weight of greater than or equal to 800 g/mol (e.g., greater than 800 g/mol, greater than 900 g/mol, greater than 1000 g/mol, greater than 2000 g/mol, between 800 to 2000 g/mol, inclusive, between 1000 to 2000 g/mol, inclusive, or between 800 to 1000 g/mol, inclusive).
- the large inorganic molecule is a therapeutically active agent such as a drug (e.g., a large inorganic molecule approved by the U.S. Food and Drug Administration as provided in the Code of Federal Regulations (CFR)).
- salt or “pharmaceutically acceptable salt” refers to those salts which are, within the scope of sound medical judgment, suitable for use in contact with the tissues of humans and lower animals without undue toxicity, irritation, allergic response and the like, and are commensurate with a reasonable benefit/risk ratio.
- Pharmaceutically acceptable salts are well known in the art. For example, S. M. Berge et ah, describes pharmaceutically acceptable salts in detail in J. Pharmaceutical Sciences (1977) 66: 1-19.
- Pharmaceutically acceptable salts of the compounds of this invention include those derived from suitable inorganic and organic acids and bases.
- Examples of pharmaceutically acceptable, nontoxic acid addition salts are salts of an amino group formed with inorganic acids such as hydrochloric acid, hydrobromic acid, phosphoric acid, sulfuric acid and perchloric acid or with organic acids such as acetic acid, oxalic acid, maleic acid, tartaric acid, citric acid, succinic acid or malonic acid or by using other methods used in the art such as ion exchange.
- salts include adipate, alginate, ascorbate, aspartate, benzenesulfonate, benzoate, bisulfate, borate, butyrate, camphorate, camphorsulfonate, citrate, cyclopentanepropionate, digluconate, dodecylsulfate,
- ethanesulfonate formate, fumarate, glucoheptonate, glycerophosphate, gluconate, hemisulfate, heptanoate, hexanoate, hydroiodide, 2-hydroxy-ethanesulfonate, lactobionate, lactate, laurate, lauryl sulfate, malate, maleate, malonate, methanesulfonate, 2- naphthalenesulfonate, nicotinate, nitrate, oleate, oxalate, palmitate, pamoate, pectinate, persulfate, 3-phenylpropionate, phosphate, picrate, pivalate, propionate, stearate, succinate, sulfate, tartrate, thiocyanate, p-toluenesulfonate, undecanoate, valerate salts, and the like.
- Salts derived from appropriate bases include alkali metal, alkaline earth metal, ammonium and N + (C 1 ⁇ alkyl) 4 salts.
- Representative alkali or alkaline earth metal salts include sodium, lithium, potassium, calcium, magnesium, and the like.
- Further pharmaceutically acceptable salts include, when appropriate, nontoxic ammonium, quaternary ammonium, and amine cations formed using counterions such as halide, hydroxide, carboxylate, sulfate, phosphate, nitrate, sulfonate and aryl sulfonate.
- Further pharmaceutically acceptable salts include salts formed from the quartemization of an amine using an appropriate electrophile, e.g. , an alkyl halide, to form a quarternized alkylated amino salt.
- At least one instance refers to one instance, but also encompasses more than one instance, e.g. , for example, from 1 instance to 50 instances.
- M n , M w , M v and M z Different average values (e.g. , M n , M w , M v and M z ) can be defined depending upon the statistical method that is applied. The weighted mean can be taken with the weight fraction, the mole fraction, or the volume fraction (see, e.g. , R.J. Young and P.A. Lovell, Introduction to Polymers, 1991, incorporated herein by reference).
- Dispersity is a measure of the distribution of molecular mass in a given polymer sample and is calculated by dividing the weight average molar mass (M w ) by the number average molar mass (M n ).
- the dispersityof a given sample can have a value equal to or greater than 1. As the polymer chains approach uniform chain length, the dispersityapproaches unity (1).
- the dispersityof a polymer can be modified, for example, using polymer fractionation (e.g. , preparative SEC, Baker- Williams fractionation, continuous spin fractionation), or modifying the work-up procedure (e.g. , by partially dissolving a polymer, an insoluble high molar mass fraction may be filtered off resulting in a large reduction in M w and a small reduction in M n , thus reducing polydispersity).
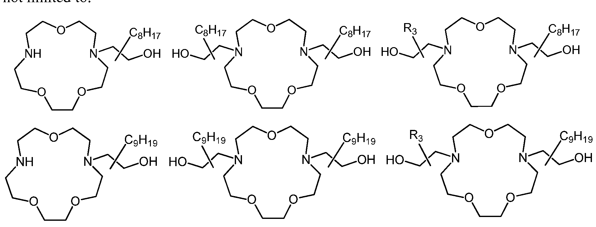
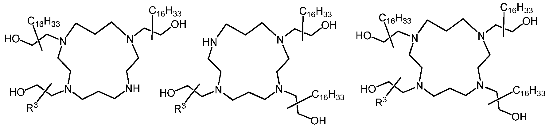
- Figures 1A-1U depict PEI and aza-macrocycle precursors (Figure 1A); a general synthetic method for the conjugation of various epoxide-terminated groups to the precursors ( Figure IB); exemplary conjugated LPEI 6 oo polymers synthesized according to the present method ( Figure 1C); exemplary conjugated B PEL goo polymers synthesized according to the present method ( Figure ID); exemplary conjugated aza- macrocycles synthesized according to the present method ( Figures 1E-1F); and NMR characterization of exemplary conjugated lipomers [Figures 1G-1 U: 1 H NMR (500 MHz) spectra of 2J1 (Figure 1G), 313 (Figure 1H), 317 ( Figure IP), 5H7 (Figure 1J), 7C1 ( Figure IK), 4C4 ( Figure 1L), 4C8 ( Figure 1M), 4D5 ( Figure IN), 4D9 ( Figure 10), 6B 10 ( Figure IP), 6C1 ( Figure IQ),
- Figures 2A-2B demonstrate that non-toxic efficacy increases with
- FIG. 1 LipomensiRNA mass ratios (MR) up to 15 in HeLa cells.
- MR lipomensiRNA mass ratios
- Figure 2A Target gene expression for 750 lipomers tested at four different mass ratios at a dosage of 45 ng/well (20 nM). More lipomers reduce gene expression at a mass ratio of 10 and 15 than 5 and 2.5, as indicated by a larger curve "shoulder”.
- Figure 2B Average target (Firefly) and off-target (Renilla) expression for 200 lipomers tested against HeLa cells at a dose of 45 ng/well. Target gene expression decreases from 78% to 63% as mass ratio increases, while off-target expression remains fairly constant, changing from 88% to 86%.
- Figure 3 depicts the gene expression data for seventeen lipomers screened against HeLa, qBEND.3 and HMVEC cells in vitro.
- the lipomensiRNA mass ratio was 15 and siRNA dosing was 30 nM. All lipomers studied reduced gene expression in at least one cell line by 80% at this dose, indicating a high degree of in vitro potency, and driving subsequent interest for in vivo testing.
- Figures 4A-4B depict the dose response of lipomers 7C1, 6C1 and 6C8 in qBEND.3 murine endothelial cells.
- Figure 4A Tie2 expression shows a dose response profile suggesting an IC 50 concentration between 6.0 and 1.5 nM, indicating a high degree of in vitro potency.
- Figure 4B Control gene GapDH expression remains constant at all doses, indicative of negligible off-target effects.
- Figures 5A-5B Figure 5A depicts the size of lipomers 317 and 7H8 during the formulation process.
- lipomer particle size Before siRNA is added, lipomer particle size is stable at pH 5.3. Particle size remains stable after addition of siRNA at low pH. After dialysis to pH 7.4, 317 lipomer particle size increases while 7H8 lipomer particle size remains constant. Particle size varied from 20 to 130 nm, sizes which are known to increase nanoparticle efficacy (Peerei al.
- Figure 5B 6C1 diameter measured over a period of 18 hours after formulation with cholesterol and conjugation to siRNA. Consistent lipomer particle size indicates that lipomer particles are stable overnight at temperatures ranging from 4°C to 40°C.
- FIG. 6 depictsFactor 7 in vivo expression after tail-vein injection of lipomers 6C1 and 6C8.
- Lipomers were formulated with cholesterol at a lipomer: cholesterol mole ratio of 100: 35, but without C 16 -PEG.
- 6C1 was tested at two lipomer: siRNA mass ratios, 15: 1 and 10: 1. As seen during the in vitro assays, 15: 1 mass ratios resulted in higher knockdown. 6C1 reduced gene expression by 64% while 6C8 did not reduced gene expression in vivo. Importantly, these results indicate that lipomers can deliver siRNA effectively in vivo when delivered systemically.
- Figure 7 depicts the relative expression of Factor 7 after systemic dosing with 2mg/kg siRNA.
- lipomers were formulated with cholesterol and C 16 -PEG such that the Lipomer: Cholesterol: PEG molar ratio was 100:35:25.
- the lipomer: siRNA mass ratio was held constant at 15: 1. Lipomers were then injected via the tail vein, and Factor 7 expression was measured 48 hours later. Several lipomers were shown to decrease in vivo Factor 7 expression, suggesting that in vivo success was not limited to 6C1 and that other lipomer compounds could reduce gene expression in vivo.
- Figure 8 depicts in vivo gene expression of Factor 7. Lipomer 7H6 reduced gene expression by 66% systemic injection into mice at a dose of 1.5 mg/kg. When 7H6 was combined with a luciferase targeting siRNA, it did not reduce F7 expression, that the gene expression is reduced by siRNA action and not toxicity. This lipomer reduced gene expression by 35% in the study described in Figure 7.
- Figures 9A-9B depict them vivo reduction of tumor gene expression in a subcutaneous tumor model. Mice were injected with luciferase expressing tumor cells subcutaneously and tumors were allowed to grow for two weeks. Before injection of siRNA, luciferase expression was measured, and used as baseline.
- Figure 9 A When dosed systemically 1.5 mg/kg of siRNA complexed to lipomer 7H6, luciferase tumor expression was reduced by 51%, indicating that lipomers successfully delivered siRNA into tumor cells. Importantly, the gene expression was reduced after tail vein injection instead of intratumoral injection, since intratumoral injections have limited clinical relevance (if a clinician can inject into a tumor, they often can remove it).
- Figure 9B Tumor before and after injection with 7H6 targeting luciferase expression. Tumor gene expression is markedly reduced.
- FIGS 10A-10B depict the biodistribution of three different successful lipomers (7H6, 711 and 317) evaluated using Cy5.5 labeled siRNA (AllStars Control siRNA, Qiagen, Valencia, CA). Mice were injected with Cy5.5 siRNA (2.5 mg/kg) via the tail vein and sacrificed 1 or 14 hours later. Major organs were harvested and fluorescently imaged to evaluate distribution of Cy5.5 siRNA nanoparticles at 670 (ex. 670 nm, em. 710nm) using an IVIS imaging system. Lipomers were found in the liver, spleen, kidney lungs and near the injection point. This indicates that they may be used for a variety of ailments, both systemic and within different organs. Since many siRNA delivery vehicles hone primarily to the liver, the delivery to lungs and kidneys may present new clinical targets.
- Figure 11 depicts particle size before and after conjugaton of siRNA at a pH of 5.3 (before dialysis). Nanoparticles are kept from aggregating by repulsive factors including steric and electrostatic forces. Upon conjugation of siRNA, electrostatic forces may be reduced, which can lead to aggregation. However, many particles showed stability even after conjugation of siRNA. Note that together, Figures 11-15 demonstrate that the lipomer size, surface charge and chemical composition have been characterized. Importantly, different lipomers have different physical properties, making them ideal for different types of applications. As an example, small particles with diameters below 50 nm may be well suited for kidney delivery while larger particles may be better for delivery of genetic material to the lung.
- Figures 12A-12B depict particle size (Figure 12A) and surface charge (Figure 12B) (zeta potential) before and after conjugation of siRNA at pH of 5.3, and after dialysis to a pH of 7.4.
- Figure 12A 7H8 size remained constant after the addition of siRNA and after extrusion, suggesting that electrostatic interactions are less important for particle stability.
- 317 size was variable, particularly after dialysis, indicating that this particle could be useful for applications where pH-triggered physical transformations are needed. Both lipomers formed particles under 200 nm, suggesting they would be ideal for biological applications.
- Figure 12B In both cases, the zeta potential (a rough indicator of surface charge) of 7H8 and 317 decreased upon the addition of negatively charged siRNA. It became slightly negative after dialysis, indicating these particles may have reduced toxicity owing to high cationic profiles.
- Figures 13A-13B demonstrate the effect of lipomer: siRNA mass ratio (mr) on the size ( Figure 13A) and zeta potential (Figure 13B) of particles before and after dialysis.
- the the lipomer: siRNA did not greatly influence size and zeta potential, indicating a high degree of physical stability.
- the present invention provides inventive conjugated polyethyleneimine polymers and conjugated aza-macrocycles (collectively referred to herein as “conjugated lipomers” or “lipomers”) containing o of the formula (iii):
- R 3 and R 4 are as defined herein.
- the conjugated polyethyleneimine polymers are preferably prepared from low molecular weight linear polyethyleneimine (LPEI) and branched polyethyleneimine (BPEI) polymers, i.e., having a number average molar mass (Mn) of ⁇ 2000 (i.e., approximately ⁇ 2 kDa).
- LPEI low molecular weight linear polyethyleneimine
- BPEI branched polyethyleneimine
- compositions comprising the inventive conjugated lipomers, and methods of preparation and use.
- the present invention provides novel conjugated polyethyleneimine polymers and methods of their preparation. [0086] In one aspect, provided is a conjugated polyethyleneimine polymer of the
- each instance of L is independently selected from formulae:
- n is an integer of between 3 to 45, inclusive;
- each instance of R is independently hydrogen; acyl; silyl; sulfonyl; an amino protecting group; substituted or unsubstituted alkyl; substituted or unsubstituted alkenyl; substituted or unsubstituted alkynyl; substituted or unsubstituted heteroalkyl; substituted or unsubstituted heteroalkenyl; substituted or unsubstituted heteroalkynyl; substituted or unsubstituted carbocyclyl; substituted or unsubstituted heterocyclyl; substituted or unsubstituted aryl; substituted or unsubstituted heteroaryl; a substituted or unsubstituted polyethyleneimine; or a group of the i'): (iii')
- each instance of R is independently substituted or unsubstituted alkyl; substituted or unsubstituted alkenyl; substituted or unsubstituted alkynyl; substituted or unsubstituted heteroalkyl; substituted or unsubstituted heteroalkenyl; substituted or unsubstituted heteroalkynyl; substituted or unsubstituted carbocyclyl; substituted or unsubstituted heterocyclyl; substituted or unsubstituted aryl; substituted or unsubstituted heteroaryl; or a hydrophilic polymer;
- each instance of R 4 is independently hydrogen, acyl; silyl; a hydroxyl protecting group; substituted or unsubstituted alkyl; substituted or unsubstituted alkenyl; substituted or unsubstituted alkynyl; substituted or unsubstituted heteroalkyl; substituted or unsubstituted heteroalkenyl; substituted or unsubstituted hetero alkynyl; substituted or unsubstituted carbocyclyl; substituted or unsubstituted heterocyclyl; substituted or unsubstituted aryl; or a substituted or unsubstituted heteroaryl;
- A is -N(R 5 ) 2 , wherein each instance of R 5 is independently hydrogen; acyl; silyl; sulfonyl; an amino protecting group; substituted or unsubstituted alkyl; substituted or unsubstituted alkenyl; substituted or unsubstituted alkynyl; substituted or unsubstituted heteroalkyl; substituted or unsubstituted heteroalkenyl; substituted or unsubstituted heteroalkynyl; substituted or unsubstituted carbocyclyl; substituted or unsubstituted heterocyclyl; substituted or unsubstituted aryl; substituted or unsubstituted heteroaryl; or a group of the formula (iii'):
- Z is hydrogen; acyl; silyl; sulfonyl; an amino protecting group; substituted or unsubstituted alkyl; substituted or unsubstituted alkenyl; substituted or unsubstituted alkynyl; substituted or unsubstituted heteroalkyl; substituted or unsubstituted heteroalkenyl;
- inventive conjugated polyethyleneimine polymer of Formula (II), or salt thereof is prepared by contacting a compound of Formula (I), or salt thereof (the "precursor polyethyleneimine polymer"), with one or more different epoxides of the formula (xii), e.g., provided below in Scheme I:
- R 1 is independently selected from hydrogen or a group of the formula ( ⁇ '):
- A, Z, L 1 , R2 , R 3 , and n is as defined herein; provided that the number average molar mass (Mn) of the precursor polyethyleneimine polymer does not exceed 2000 g/mol (about 2 kDa).
- the number average molar mass (Mn) of the compound of Formula (II), as described herein, is approximately ⁇ 2000 (i.e., approximately ⁇ 2 kDa) after subtraction of the molecular weight of each instance of the group (iii') attached thereto:
- the conjugated polyethyleneimine polymer is prepared from low molecular weight precursor polyethyleneimine polymer, i.e., having a number average molar mass (Mn) of ⁇ 2000 (i.e., approximately ⁇ 2 kDa). In certain embodiments, the conjugated polyethyleneimine polymer is prepared from a precursor polyethyleneimine polymer having an number average molar mass (Mn) of less than 1900, less than 1800, less than 1700, less than 1600, less than 1500, less than 1400, less than 1300, less than 1200, less than 1100, less than 1000, less than 900, less than 800, or less than 700 g/mol.
- the precursor polyethyleneimine polymer has an number average molar mass (Mn) of between about 400 to about 2000, of between about 400 to about 1900, of between about 400 to about 1800, of between about 500 to about 1900, of between about 600 to about 1800 g/mol, of between about 600 to about 800, of between about 600 to about 700, of between about 700 to about 1800, of between about 800 to about 1800, of between about 900 to about 1800, or of between about 1000 to about 1800 g/mol, inclusive.
- Mn number average molar mass
- the compound of Formula (I) is a branched
- R 1 is of the formula (ii'); e.g., for example, 1 to 45, 1 to 40, 1 to 30, 1 to 20, 1 to 10, or 1 to 5, R 1 groups are of the formula ( ⁇ ').
- the compound of Formula (I) is a linear polyethyleneimine (LPEI) polymer, and each R 1 group is hydrogen.
- neither R 5 , Z, nor R 2 is a group of the formula (iii')-
- R 5 , Z, nor R 2 is a group of the formula (iii')-
- each instance of R is independently hydrogen; acyl; silyl; sulfonyl; an amino protecting group; substituted or unsubstituted alkyl; substituted or unsubstituted alkenyl; substituted or unsubstituted alkynyl; substituted or unsubstituted heteroalkyl; substituted or unsubstituted heteroalkenyl; substituted or unsubstituted heteroalkynyl; substituted or unsubstituted carbocyclyl; substituted or unsubstituted heterocyclyl; substituted or unsubstituted aryl; substituted or unsubstituted heteroaryl; or a substituted or unsubstituted polyethyleneimine;
- A is -N(R 5 ) 2 , wherein each instance of R 5 is independently hydrogen; acyl; silyl; sulfonyl; an amino protecting group; substituted or unsubstituted alkyl; substituted or unsubstituted alkenyl; substituted or unsubstituted alkynyl; substituted or unsubstituted heteroalkyl; substituted or unsubstituted heteroalkenyl; substituted or unsubstituted heteroalkynyl; substituted or unsubstituted carbocyclyl; substituted or unsubstituted heterocyclyl; substituted or unsubstituted aryl; or substituted or unsubstituted heteroaryl; or the two R 5 groups are joined to form a substituted or unsubstituted heterocyclyl; and
- Z is hydrogen; acyl; silyl; sulfonyl; an amino protecting group; substituted or unsubstituted alkyl; substituted or unsubstituted alkenyl; substituted or unsubstituted alkynyl; substituted or unsubstituted heteroalkyl; substituted or unsubstituted heteroalkenyl;
- substituted or unsubstituted heterocyclyl substituted or unsubstituted aryl; or substituted or unsubstituted heteroaryl; or Z and the nitrogen atom to which it is attached form a substituted or unsubstituted heterocyclyl group.
- A is -N(R 5 ) 2 , wherein at least one R 5 is hydrogen. In certain embodiments of Formula (I) A is -N(R 5 ) 2 , wherein each R 5 is hydrogen. In certain embodiments of Formula (I), Z is hydrogen.
- R 5 , Z, and/or R 2 can be a group of the formula (iii) provided that at least one R 2 , R 5 and/or Z is hydrogen in the precursor polyethyleneimine polymer.
- A is -N(R 5 ) 2 , wherein each instance of R 5 is independently hydrogen; acyl; silyl; sulfonyl; an amino protecting group; substituted or unsubstituted alkyl; substituted or unsubstituted alkenyl; substituted or unsubstituted alkynyl; substituted or unsubstituted heteroalkyl;
- substituted or unsubstituted aryl substituted or unsubstituted heteroaryl; or a group of the formula (iii'); or two R 5 groups are joined to form a substituted or unsubstituted heterocyclyl;
- Z is hydrogen; acyl; silyl; sulfonyl; an amino protecting group; substituted or unsubstituted alkyl; substituted or unsubstituted alkenyl; substituted or unsubstituted alkynyl; substituted or unsubstituted heteroalkyl; substituted or unsubstituted heteroalkenyl; substituted or unsubstituted heteroalkynyl; substituted or unsubstituted carbocyclyl;
- substituted or unsubstituted heterocyclyl substituted or unsubstituted aryl; substituted or unsubstituted heteroaryl, or a group of the formula (iii'); or Z and the nitrogen atom to which it is attached form a substituted or unsubstituted heterocyclyl group.
- A is -N(R 5 ) 2 , wherein each instance of
- R 5 is independently hydrogen; acyl; silyl; sulfonyl; an amino protecting group; substituted or unsubstituted alkyl; substituted or unsubstituted heteroalkyl; or a group of the formula (iii').
- A is -N(R 5 ) 2 , wherein each instance of R 5 is independently hydrogen; substituted or unsubstituted alkyl; substituted or unsubstituted heteroalkyl; or a group of the formula (iii').
- Z is hydrogen; acyl; silyl; sulfonyl; an amino protecting group; substituted or unsubstituted alkyl; substituted or unsubstituted heteroalkyl; or a group of the formula (iii').
- Z is hydrogen; substituted or unsubstituted alkyl; substituted or unsubstituted heteroalkyl; or a group of the formula (iii').
- n is an integer of between 3 to 45, inclusive.
- n is an interger of between 3 to 45, between 5 to 45, between 7 to 45, between 9 to 45, between 10 to 45, between 11 to 45, between 12 to 45, between 13 to 45, between 14 to 45, between 5 to 40, between 5 to 35, between 5 to 30, between 5 to 25, between 5 to 20, between 5 to 15, between 10 to 20, between 10 to 15, or between 40 to 45, inclusive.
- n is 14. In certain embodiments, n is 43.
- each instance of R 2 is independently hydrogen; acyl; silyl; sulfonyl; an amino protecting group; substituted or unsubstituted alkyl; substituted or unsubstituted alkenyl; substituted or unsubstituted alkynyl; substituted or unsubstituted heteroalkyl; substituted or unsubstituted heteroalkenyl; substituted or unsubstituted heteroalkynyl; substituted or unsubstituted carbocyclyl; substituted or unsubstituted heterocyclyl; substituted or unsubstituted aryl; substituted or unsubstituted heteroaryl; a substituted or unsubstituted polyethyleneimine; or a group of the formula (iii'); or the two R groups are joined to form a substituted or unsubstituted heterocyclyl.
- each instance of R 2 is independently hydrogen; acyl; silyl; sulfonyl; an amino protecting group; substituted or unsubstituted alkyl; substituted or unsubstituted alkenyl; substituted or unsubstituted alkynyl; substituted or unsubstituted heteroalkyl; substituted or unsubstituted heteroalkenyl; substituted or unsubstituted heteroalkynyl; a substituted or unsubstituted polyethyleneimine; or a group of the formula
- each instance of R 2 is independently hydrogen
- substituted or unsubstituted alkyl substituted or unsubstituted heteroalkyl; a substituted or unsubstituted polyethyleneimine; or a group of the formula (iii'); or the two R groups are joined to form a substituted or unsubstituted heterocyclyl.
- each instance of R 2 is independently hydrogen; a substituted or unsubstituted polyethyleneimine; or a group of the formula (iii').
- At least one R 2 is a substituted or unsubstituted polyethyleneimine.
- a substituted or unsubstituted polyethyleneimine refers to a group of the formula (iv):
- t is an integer of between 1 to 50, inclusive;
- P is hydrogen; acyl; silyl; sulfonyl; an amino protecting group; substituted or unsubstituted alkyl; substituted or unsubstituted alkenyl; substituted or unsubstituted alkynyl; substituted or unsubstituted heteroalkyl; substituted or unsubstituted heteroalkenyl;
- each instance of R 6 is independently selected from hydrogen or a group of the formula
- R 2 , R 3 , and R 4 are as defined herein; provided that the number average molar mass (Mn) of the precursor polyethyleneimine polymer does not exceed 2000 g/mol (about 2 kDa).
- t is an integer of between 1 to 40, between 1 to 30, between 1 to 20, between 1 to 10, between 1 to 5, or between 1 to 3, inclusive.
- each instance of R 2 is hydrogen or a substituted or unsubstituted polyethyleneimine.
- each instance of R 6 may comprise any number of branched polyethyleneimine groups, e.g., exemplary non-limiting examples include:
- each instance of t', t", and t'" is independently an integer of between 1 to 50, inclusive;
- each instance of P', P", and P'" is independently hydrogen; acyl; silyl; sulfonyl; an amino protecting group; substituted or unsubstituted alkyl; substituted or unsubstituted alkenyl; substituted or unsubstituted alkynyl; substituted or unsubstituted heteroalkyl;
- each instance of R 6 ', R 6 ", and R 6 ' is independently hydrogen or a group of the formula ( ⁇ ') or (iii'):
- R 2 ' is as defined as R 2 , defined herein; provided that the number average molar mass (Mn) of the precursor polyethyleneimine polymer does not exceed 2000 g/mol (about 2 kDa).
- the precursor polyethyleneimine polymer of the Formula (I) is a branched polyethyleneimine (BPEI) polymer, as defined herein, wherein P and R 6 of the the precursor polyethyleneimine polymer of the Formula (I) are not a group of the formula (iii').
- the conjugated polyethyleneimine polymer further comprises at least one L group of the formula (ii); e.g. , 1 to 44, 1 to 40, 1 to 30, 1 to 20, 1 to 10, or 1 to 5 groups of the formula (ii).
- the conjugated polyethyleneimine polymer is prepared from a branched polyethyleneimine (BPEI) polymer having an number average molar mass (Mn) of less than 2000 g/mol (approximately 2 kDa). In certain embodiments, the conjugated polyethyleneimine polymer is prepared from a branched polyethyleneimine (BPEI) having an number average molar mass (Mn) of less than 1900, less than 1800, less than 1700, less than 1600, less than 1500, less than 1400, less than 1300, less than 1200, less than 1100, less than 1000, less than 900, less than 800, or less than 700 g/mol.
- BPEI branched polyethyleneimine
- the BPEI has an number average molar mass (Mn) of between about 400 to about 2000, of between about 400 to about 1900, of between about 400 to about 1800, of between about 500 to about 1900, of between about 600 to about 1800 g/mol, of between about 600 to about 800, of between about 600 to about 700, of between about 700 to about 1800, of between about 800 to about 1800, of between about 900 to about 1800, or of between about 1000 to about 1800 g/mol, inclusive.
- Mn number average molar mass
- the conjugated polyethyleneimine polymer is prepared from a branched polyethyleneimine (BPEI) polymer having an number average molar mass (Mn) of about 600 g/mol (BPEI 6 oo)- In this instance, in certain embodiments, n is 14.
- the conjugated polyethyleneimine polymer is prepared from a branched polyethyleneimine (BPEI) polymer having an number average molar mass (Mn) of about 1800 g/mol (BPEI 180 o). In this instance, in certain embodiments, n is 43.
- BPEI branched polyethyleneimine
- the precursor polyethyleneimine polymer is a linear polyethyleneimine (LPEI), as defined herein.
- LPEI linear polyethyleneimine
- the conjugated polyethyleneimine polymer does not comprise an L 1 group of the formula (ii).
- the conjugated polyethyleneimine polymer is prepared from a linear polyethyleneimine (LPEI) having an number average molar mass (Mn) of less than 2000 g/mol (approximately 2 kDa).
- the conjugated polyethyleneimine polymer is prepared from a linear polyethyleneimine (LPEI) having an number average molar mass (Mn) of less than 1900, less than 1800, less than 1700, less than 1600, less than 1500, less than 1400, less than 1300, less than 1200, less than 1100, less than 1000, less than 900, less than 800, or less than 700 g/mol.
- the LPEI has an number average molar mass (Mn) of between about 400 to about 2000, of between about 400 to about 1900, of between about 400 to about 1800, of between about 500 to about 1900, of between about 600 to about 1800 g/mol, of between about 600 to about 800, of between about 600 to about 700, of between about 700 to about 1800, of between about 800 to about 1800, of between about 900 to about 1800, or of between about 1000 to about 1800 g/mol, inclusive.
- Mn number average molar mass
- the conjugated polyethyleneimine polymer comprises at least one instance (e.g. , 1 to 44, 1 to 40, 1 to 30, 1 to 20, 1 to 10, or 1 to 5 instances) of a group of the formula (iii):
- each instance of R provided in the conjugated polyethyleneimine polymer is independently substituted or unsubstituted alkyl; substituted or unsubstituted alkenyl;
- R 4 is independently hydrogen, acyl; silyl; a hydroxyl protecting group; substituted or unsubstituted alkyl; substituted or unsubstituted alkenyl; substituted or unsubstituted alkynyl; substituted or unsubstituted heteroalkyl; substituted or unsubstituted heteroalkenyl; substituted or unsubstituted heteroalkynyl; substituted or unsubstituted carbocyclyl; substituted or unsubstituted heterocyclyl; substituted or unsubstituted aryl; substituted or unsubstituted heteroaryl; or a hydrophilic polymer; and each instance of R 4 is independently hydrogen, acyl; silyl; a hydroxyl protecting group; substituted or unsubstituted alkyl; substituted or unsubstituted alkenyl; substituted or unsubstituted alkynyl; substituted or unsubstituted heteroalkyl
- each instance of R 3 is independently substituted or unsubstituted alkyl; substituted or unsubstituted alkenyl; substituted or unsubstituted alkynyl; substituted or unsubstituted heteroalkyl; substituted or unsubstituted heteroalkenyl;
- substituted or unsubstituted heterocyclyl substituted or unsubstituted aryl; substituted or unsubstituted heteroaryl; or a hydrophilic polymer.
- each instance of R 3 is independently substituted or unsubstituted alkyl; substituted or unsubstituted alkenyl; substituted or unsubstituted alkynyl; substituted or unsubstituted heteroalkyl; substituted or unsubstituted heteroalkenyl;
- each instance of R 3 is independently substituted or unsubstituted alkyl; substituted or unsubstituted heteroalkyl; or a hydrophilic polymer.
- At least one instance of R 3 is substituted or
- At least one instance of R is substituted or unsubstituted alkyl.
- at least one instance of R is substituted or unsubstituted Ci-soalkyl.
- at least one instance of R is substituted or unsubstituted Cs-soalkyl.
- at least one instance of R is substituted or unsubstituted Cg_ 4 oalkyl.
- at least one instance of R is substituted or unsubstituted Cg_ 3 oalkyl.
- at least one instance of R is substituted or unsubstituted C8-2oalkyl.
- At least one instance of R 3 is an unsubstituted alkyl.
- exemplary unsubstituted alkyl groups include, but are not limited to, -CH 3 , -C2H5, -C 3 H 7 , - C 4 H 9 , -CsHn, -C 6 H 1 , -CjHis, -CgH 17 , -CgHig, - ⁇ 21 , -CnH 23 , -C 12 H 2 5, -C 13 H 27 , -C 14 H 2 9, - C 15 H 31 , -Ci 6 H 33 , -C 17 H 3 5, -Ci 8 H 37 , -Ci 9 H 3 9, and -C 2 oH 41 .
- At least one instance of R 3 is a substituted alkyl.
- at least one instance of R is an alkyl substituted with one or more fluorine substituents.
- exemplary substituted alkyl groups include, but are not limited to:
- At least one instance of R 3 is substituted or unsubstituted alkenyl. In certain embodiments, at least one instance of R is substituted or unsubstituted C 2 - 5 oalkenyl. In certain embodiments, at least one instance of R is substituted or unsubstituted Cs-so alkenyl. In certain embodiments, at least one instance of R is substituted or unsubstituted C 8 -40 alkenyl. In certain embodiments, at least one instance of R is substituted or unsubstituted C 8 -30 alkenyl. In certain embodiments, at least one instance of R is substituted or unsubstituted Cg_ 2 o alkenyl. In certain embodiments, at least one instance R 3 3 of is a substituted Cg_ 2 o alkenyl. In certain embodiments, at least one instance of R is an unsubstituted alkenyl.
- Exemplary unsubstituted alkenyl groups include, but are not limited to:
- Myristoleic -(CH 2 ) 7 CH CH(CH 2 ) 3 CH 3 ,
- Palmitoliec -(CH 2 ) 7 CH CH(CH 2 ) 5 CH 3 ,
- Oleic -(CH 2 ) 7 CH CH(CH 2 ) 7 CH 3 ,
- R 3 is defined as a C 6 -soalkyl or C 6 -soalkenyl groups
- such groups are meant to encompass lipophilic groups (also referred to as a "lipid tail").
- Lipophilic groups comprise a group of molecules that include fats, waxes, oils, fatty acids, and the like. Lipid tails present in these lipid groups can be saturated and unsaturated, depending on whether or not the lipid tail comprises double bonds.
- the lipid tail can also comprise different lengths, often categorized as medium (i.e. , with tails between 7-12 carbons, e.g. , C 7-12 alkyl or C 7-12 alkenyl), long (i.e. , with tails greater than 12 carbons and up to 22 carbons, e.g. , C 13 _ 22 alkyl or C 13 _ 2 2 alkenyl), or very long (i.e. , with tails greater than 22 carbons, e.g. , C 23 _ 3 o alkyl or C 23 _ 3 o alkenyl).
- At least one instance of R 3 is substituted or
- At least one instance of R is substituted or unsubstituted alkynyl. In certain embodiments, at least one instance of R is substituted or unsubstituted C 2 - 5 oalkynyl. In certain embodiments, at least one instance of R is substituted or unsubstituted Cg_ 5 o alkynyl. In certain embodiments, at least one instance of R is substituted or unsubstituted Cg_4o alkynyl. In certain embodiments, at least one instance of R is substituted or unsubstituted C8- 3 o alkynyl. In certain embodiments, at least one instance of R is substituted or unsubstituted C8-20 alkynyl. In certain embodiments, at least one instance of R is substituted or unsubstituted C 2 - 5 oalkynyl. In certain embodiments, at least one instance of R is substituted or unsubstituted Cg_ 5 o alkynyl. In certain embodiment
- R 3 3 of R is an unsubstituted alkynyl. In certain embodiments, at least one instance of R is a substituted alkynyl.
- At least one instance of R 3 is substituted or
- At least one instance of R is substituted or unsubstituted Ciso heteroalkyl. In certain embodiments, at least one instance of R is substituted or unsubstituted Cg_so heteroalkyl. In certain embodiments, at least one instance of R is substituted or unsubstituted Cg_ 4 o heteroalkyl. In certain embodiments, at least one instance of R is substituted or unsubstituted C 8 -30 heteroalkyl. In certain embodiments, at least one instance of R is substituted or unsubstituted C 8 -20 heteroalkyl. In certain embodiments, at least one instance of R is a substituted heteroalkyl. In certain embodiments,
- At least one instance of R is an unsubstituted heteroalkyl.
- Exemplary unsubstituted heteroalkyl groups include, but are not limited to:
- At least one instance of R 3 is substituted or
- At least one instance of R is substituted or unsubstituted heteroalkenyl. In certain embodiments, at least one instance of R is substituted or unsubstituted C2-50 heteroalkenyl. In certain embodiments, at least one instance of R is substituted or unsubstituted C 8 -50 heteroalkenyl. In certain embodiments, at least one instance of R is substituted or unsubstituted C 8 -40 heteroalkenyl. In certain embodiments, at least one instance of R is substituted or unsubstituted Cg_ 3 o heteroalkenyl. In certain embodiments, at least one instance of R is substituted or unsubstituted Cg_2o heteroalkenyl. In certain embodiments, at least one instance of R is a substituted heteroalkenyl. In certain embodiments, at least one instance of R is substituted or unsubstituted C2-50 heteroalkenyl. In certain embodiments, at least one instance of R is a substituted heteroalkenyl. In
- At least one instance of R is an unsubstituted heteroalkenyl.
- At least one instance of R 3 is substituted or
- At least one instance of R is substituted or unsubstituted C2-50 heteroalkynyl. In certain embodiments, at least one instance of R is substituted or unsubstituted Cg-50 heteroalkynyl. In certain embodiments, at least one instance of R is substituted or unsubstituted Cg_ 4 o heteroalkynyl. In certain embodiments, at least one instance of R is substituted or unsubstituted Cg_ 3 o heteroalkynyl. In certain embodiments, at least one instance of R is substituted or unsubstituted Cg_2o heteroalkynyl. In certain embodiments, at least one instance of R is a substituted heteroalkynyl. In certain embodiments, at least one instance of R is an unsubstituted heteroalkynyl.
- At least one instance of R 3 is substituted or
- At least one instance of R is a substituted carbocyclyl. In certain embodiments, at least one instance of R is an unsubstituted carbocyclyl.
- At least one instance of R 3 is substituted or
- At least one instance of R is a substituted heterocyclyl. In certain embodiments, at least one instance of R is an
- At least one instance of R 3 is substituted or
- At least one instance of R is an unsubstituted aryl. In certain embodiments, at least one instance of R is a substituted aryl.
- At least one instance of R 3 is substituted or
- At least one instance of R is a substituted heteroaryl. In certain embodiments, at least one instance of R is an unsubstituted heteroaryl.
- At least one instance of R 3 is hydrophilic polymer.
- a "polymer” refers to a compound comprised of at least 3 (e.g. , at least 10, 20, 30, 40, 50, 60, 70, 80, 90, 100, etc.) repeating covalently bound structural units.
- a “hydrophilic polymer” is a polymer, as defined herein, further comprising at least one group (e.g. , an oxygen, nitrogen, and/or sulfur atom) in the repeating structural unit capable of hydrogen bonding.
- the hydrophilic polymer is preferably biocompatible (i.e. , non-toxic).
- Exemplary hydrophilic polymers include, but are not limited to, polypeptides (e.g.
- poly-L-lysine examples include cellulose polymers (e.g. , hydroxyethylcellulose, ethylcellulose, carboxymethylcellulose, methylc cellulose, hydroxypropylmethylcellulose (HPMC)), dextran polymers, polymaleic acid polymers, poly(acrylic acid) polymers, poly(vinylalcohol) polymers, polyvinylpyrrolidone (PVP) polymers, and polyethyleneglycol (PEG) polymers.
- cellulose polymers e.g. , hydroxyethylcellulose, ethylcellulose, carboxymethylcellulose, methylc cellulose, hydroxypropylmethylcellulose (HPMC)
- dextran polymers examples include polymaleic acid polymers, poly(acrylic acid) polymers, poly(vinylalcohol) polymers, polyvinylpyrrolidone (PVP) polymers, and polyethyleneglycol (PEG) polymers.
- PVP polyvinylpyrrolidone
- PEG
- the hydrophilic polymer is a polyethyleneglycol polymer, e.g. , of the formula (v):
- R is hydrogen; acyl; silyl; a hydroxyl protecting group; substituted or unsubstituted alkyl; substituted or unsubstituted alkenyl; substituted or unsubstituted alkynyl; substituted or unsubstituted heteroalkyl; substituted or unsubstituted heteroalkenyl; substituted or unsubstituted heteroalkynyl; substituted or unsubstituted carbocyclyl; substituted or unsubstituted heterocyclyl; substituted or unsubstituted aryl; or substituted or unsubstituted heteroaryl; and
- v is an integer between 3 to 400, inclusive.
- R 7 is hydrogen. In certain embodiments, R 7 is acyl. In certain embodiments, R 7 is a hydroxyl protecting group. In certain embodiments, R 7 is substituted or unsubstituted alkyl. In certain embodiments, R is a substituted alkyl. In certain embodiments, R 7 is an unsubstituted alkyl. In certain embodiments, R 7 is -CH 3 (a "polyethyleneglycol monomethylether" polymer). In certain embodiments, R is substituted or unsubstituted alkenyl. In certain embodiments, R is substituted or unsubstituted alkynyl.
- R is substituted or unsubstituted heteroalkyl.
- R 7 is substituted or unsubstituted heteroalkenyl. In certain embodiments, R 7 is substituted or unsubstituted heteroalkynyl. In certain embodiments, R is substituted or unsubstituted carbocyclyl. In certain embodiments, R is substituted or unsubstituted heterocyclyl. In certain embodiments, R is substituted or unsubstituted aryl. In certain embodiments, R is and substituted or unsubstituted heteroaryl.
- v is an integer between 3 to 300, 3 to 200, 3 to 100, 3 to 90, 3 to 80, 3 to 70, 3 to 60, 3 to 50, 5 to 50, 10 to 50, 15 to 50, 20 to 50, 20 to 40, 20 to 30, 20 to 25, 30 to 50, and 40 to 50, inclusive.
- PEGiooo corresponds, on average, to a v of about 22.7, wherein R is -OCH 3 .
- PEG 2000 corresponds, on average, to a v of about 45.4.
- polyethyleneglycol polymer is ⁇ 10,000.
- the number average molar mass (Mn) of the polyethyleneglycol polymer is ⁇ 10,000, ⁇ 9000, ⁇ 8000, ⁇ 7000, ⁇ 6000, ⁇ 5000, ⁇ 4000, ⁇ 3000, or ⁇ 2000.
- the number average molar mass (Mn) of the polyethyleneglycol polymer is between about 100 to about 10,000, inclusive; e.g., between about 100 to about 5000, between about 100 to about 4000, between about 100 to about 3000, between about 100 to about 2500, between about 100 to about 2000, between about 100 to about 1500, between about 100 to about 1000, between about 100 to about 900, between about 100 to about 800, between about 100 to about 700, between about 100 to about 600, between about 100 to about 500, between about 100 to about 400, between about 100 to about 300, between about 100 to about 200, between about 100 to about 1500, between about 2500 to about 10000, between about 2500 to about 9000, between about 2500 to about 8000, between about 2500 to about 7000, between about 2500 to about 6000, between about 2500 to about 5000, between about 2500 to about 4000, or between about 2500 to about 3000, inclusive.
- the number average molar mass (Mn) of the polyethyleneglycol polymer is 1000 (PEGiooo)- In certain embodiments, the number average molar mass (Mn) of the polyethyleneglycol polymer is 2000 (PEG 2 ooo)- A 1: 1 mixture of PEGiooo and PEG 2 ooo is referred to herein as PEGLS K -
- At least one instance of R 3 is a hydrophilic polymer, and at least one instance of R is a substituted or unsubstituted alkyl.
- R 3 is depicted as bisecting a carbon-carbon bond, e.g., of the group of the formula (iii), it is understood that R may be substituted at either carbon.
- nucleophilic attack of an amino group of the polyethyleneimine polymer at the least sterically hindered carbon of the epoxide provides a group of the formula (iii-a) (route a), while nucleophilic attack at the more sterically hindered carbon of the epoxide provides a group of the formula (iii-b) (route b), wherein R 4 is hydrogen; see, e.g., the "conjugation reaction" of Scheme II.
- compounds of the present invention may comprise a mixture of products attached thereto arising from route (a) and route (b) depending on the preference, or lack thereof, of the mode of addition, and that formulae that depict this bisecting bond may comprise a mixture of compounds.
- the bisecting group R depicted in the formulae seeks to encompasses all contemplated modes of addition.
- the resulting hydroxyl moiety of the formula (iii-a) or (iii-b), wherein R 4 is hydrogen can optionally be converted to a substituted hydroxyl, wherein R 4 is a group other than hydrogen, i.e., is independently selected from acyl; silyl; a hydroxyl protecting group; substituted or unsubstituted alkyl; substituted or unsubstituted alkenyl; substituted or unsubstituted alkynyl; substituted or unsubstituted heteroalkyl; substituted or unsubstituted heteroalkenyl; substituted or unsubstituted hetero alkynyl; substituted or unsubstituted carbocyclyl; substituted or unsubstituted heterocyclyl; substituted or unsubstituted aryl; or substituted or unsubstituted heteroaryl; using conventional methods.
- the hydroxyl moiety is reacted with an electrophile of the formula R 4 -X wherein R 4 is a group other than hydrogen, and X is a leaving group, to provide a substituted hydroxyl group in formula (iii).
- each instance of R 4 is independently hydrogen; acyl; silyl; a hydroxyl protecting group; substituted or unsubstituted alkyl; substituted or unsubstituted alkenyl; substituted or unsubstituted alkynyl; substituted or unsubstituted heteroalkyl; or substituted or unsubstituted heteroalkenyl.
- each instance of R 4 is independently hydrogen; substituted or unsubstituted alkyl; or substituted or unsubstituted heteroalkyl.
- each instance of R 4 is hydrogen.
- group of formula (iii) represents a group of formula (iii-a) or a group of formula (iii-b):
- the conjugation reaction depicted in Scheme II results in a mixture comprising more lipomers conjugated to a group of formula (iii-a) than to a group of formula (iii-b), e.g., the reaction mixture comprises greater than 50%, greater than 60%, greater than 70%, greater than 80%, greater than 90%, greater than 95%, greater than 99%, between about 60% to about 100%, between about 70% to about 100%, between about 80% to about 100%, between about 90% to about 100%, between about 95% to about 100%, or between about 99% to about 100%, of a conjugated lipomer attached to a group of formula (iii-a) .
- the reaction mixture comprises only conjugated lipomers attached to a group formula (iii-a).
- the epoxide is chiral, i.e. , having (R) or (S)
- the conjugation reaction depicted in Scheme II provides a chiral conjugated polyethyleneimine polymer.
- Chirality in a polymer can be characterized in a variety of ways, e.g. , obtaining the optical rotation and/or NMR analysis after chemical modification of the optically active polymer with a chiral derivatizing agent are methods useful in evaluating the chirality of a polymer.
- the conjugation reaction depicted in Scheme II results in a mixture comprising more lipomers conjugated to a group of formula (R)-(iii-a) than to a group of formula (S)- (iii-a), e.g.
- the reaction mixture comprises greater than 50%, greater than 60%, greater than 70%, greater than 80%, greater than 90%, greater than 95%, greater than 99%, between about 60% to about 100%, between about 70% to about 100%, between about 80% to about 100%, between about 90% to about 100%, between about 95% to about 100%, or between about 99% to about 100%, of a conjugated lipomer attached to a group of formula (R)-(iii-a).
- reaction mixture comprises only conjugated lipomers attached to a group formula (R)-(iii-a).
- the conjugation reaction depicted in Scheme II results in a mixture comprising more lipomers conjugated to a group of formula formula (S)-(m-a) than formula (R)-(iii-a), e.g. , the reaction mixture comprises greater than 50%, greater than 60%, greater than 70%, greater than 80%, greater than 90%, greater than 95%, greater than 99%, between about 60% to about 100%, between about 70% to about 100%, between about 80% to about 100%, between about 90% to about 100%, between about 95% to about 100%, or between about 99% to about 100%, of a conjugated lipomer attached to a group of formula (S)-(m-a).
- reaction mixture comprises only conjugated lipomers attached to a group formula (S)-(in-a).
- each instance of R is the same in the conjugated polyethyleneimine polymer.
- each instance of R is the same wherein R is a substituted
- each instance of R is the same wherein R is
- each instance of R is the same wherein R is selected from the group consisting of -CH 3 , -C 2 H 5 , -C 3 H 7 , -C 4 H 9 , -CsHn, -C 6 H 1 , -C ⁇ is, - C 8 H 17 , -CgHig, -CioHii, -CnH 23 , -C 12 H 2 5, -C 13 H 27 , -C 14 H29, -C 15 H 1 , -C 16 H , -C 17 H 5, - Ci 8 H 37 , -Ci 9 H 3 9, and -C 2 oH 41 .
- each instance of R is the same wherein R is selected from the group consisting of -C 1 oH 2 i, -CnH 23 , - C 12 H 2 5, -C 13 H 27 , -C 14 H 2 9, -C 15 H 1 , and -C 16 H .
- the conjugated polyethyleneimine polymer comprises two or more (e.g. , two, three, four, five, six, seven, eight, nine, or ten) different R groups.
- conjugation reaction two different epoxides are used in the conjugation reaction.
- conjugated in certain embodiments, the conjugated
- polyethyleneimine polymer comprises two different R groups.
- the conjugated polyethyleneimine polymer comprises a mixture of two
- the conjugated polyethyleneimine polymer comprises a mixture of two
- the conjugated R group is an unsubstituted alkyl
- the second R group is a polyethyleneglycol polymer.
- polyethyleneimine polymer comprises a mixture of two different R groups, wherein the first R group is selected from the group consisting of -CH 3 , -C 2 H 5 , -C 3 H 7 , -C 4 Hg, -CsHn, -C 6 H 13 , -C 7 H 15 , -CsHn, -CgH ⁇ , -Cio ⁇ i, -CnH 23 , -C 12 H 2 5, -C 13 H 27 , -C 14 H 2 9, -Ci 5 H 31 , -Ci 6 H 33 , - C 17 H 5, and -C 2 oH 41 , and the second R group is PEGiooo-
- the conjugated polyethyleneimine polymer comprises a mixture of two
- the first R group is selected from the group consisting of -CH 3 , -C 2 H 5 , -C 3 H 7 , -C 4 H 9 , -CsHn, -C 6 H 13 , -CjHis, -CgH 17 , -CgHig, -C 10 H 21 , -CnH 23 , -C 12 H 2 5, - C 13 H 27 , -C 14 H 29 , -C 15 H 31 , -C 16 H 33 , -C 17 H 35 , -C 18 H 37 , -C 19 H 39 , and -C 20 H 41 , and the second R 3 group is PEG2000.
- the conjugated polyethyleneimine polymer comprises three different R groups.
- the conjugated polyethyleneimine polymer comprises a mixture of three different R groups, wherein the
- first R group is a substituted or unsubstituted alkyl
- second R group is a first hydrophilic polymer (e.g. , a polyethyleneglycol polymer, e.g. , PEGioooX
- third R group is a second hydrophilic polymer (e.g. , a different polyethyleneglycol polymer, e.g. , PEG 2 ooo)-
- the conjugated polyethyleneimine polymer comprises a mixture of
- the conjugated polyethyleneimine polymer comprises a mixture of three different R groups, wherein the first R group is selected from the group consisting of -CH 3 , -C 2 H 5 , -C 3 H 7 , -C 4 H 9 , -CsHn, - C 6 H 13 , -C 7 H 15 , -CsHn, -CgH ⁇ , -C 10 H 21 , -CnH 23 , -C 12 H 2 5, -C 13 H 27 , -C 14 H 2 9, -C 15 H 31 , - C 16 H 33 , -C 17 H 3 5, -3 ⁇ 4 ⁇ 37 , -CigH ⁇ , and -C 2 oH 41 , the second R group is PEGiooo
- the conjugated polymer comprises more of formula (iii) than of formula (i).
- the ratio of groups of the formulae (i) to (iii) is between about 0: 10 to about 9: 10, inclusive.
- the ratio of groups of the formulae (i) to (iii) is between about 0: 10 to about 9: 10; between about 1 : 10 to about 8: 10; between about 1 : 10 to about 7: 10; between about 1 : 10 to about 6: 10; between about 1 : 10 to about 5: 10; or between about 2: 10 to about 4: 10, inclusive.
- the ratio of groups of the formulae (i) to (iii) is between about 3: 10 to about 4: 10, inclusive.
- the conjugated polymer comprises more of formula (i) than of formula (iii).
- the ratio of groups of the formulae (iii) to (i) is between about 0: 10 to about 9: 10, inclusive.
- the ratio of groups of the formulae (iiii) to (i) is between about 0: 10 to about 9: 10; between about 1 : 10 to about 8: 10; between about 1 : 10 to about 7: 10; between about 1 : 10 to about 6: 10; between about 1 : 10 to about 5: 10; or between about 2: 10 to about 4: 10, inclusive.
- the ratio of groups of the formulae (iii) to (i) is between about 3:10 to about 4:10, inclusive.
- the ratio of the second R 3 group to the first R 3 group is between about 0.01:10 to about 10:10, inclusive. In certain embodiments, the ratio of the second R 3 group to the first R 3 group is between about 0.02:10 to about 10:10; between about 0.03:10 to about 10:10; between about 0.04:10 to about 10:10; between about 0.05:10 to about 10:10; between about 0.06:10 to about 10:10; between about 0.07:10 to about 10:10; between about 0.08:10 to about 10:10; between about 0.08:10 to about 9:10; between about 0.08:10 to about 8:10; between about 0.08:10 to about 7:10; between about 0.08:10 to about 6:10; between about 0.08:10 to about 5:10; between about 0.08:10 to about 4:10; between about 0.08:10 to about 3:10; between about 0.08:10 to about 2:10; or
- the ratio of the sum of the second and third R 3 groups to the first R group is between about 0.01:10 to about 10:10, inclusive.
- the ratio of the sum of the second and third R 3 groups to the first R 3 group is 0.02:10 to about 10:10; between about 0.03:10 to about 10:10; between about 0.04:10 to about 10:10; between about 0.05:10 to about 10:10; between about 0.06:10 to about 10:10; between about 0.07:10 to about 10:10; between about 0.08:10 to about 10:10; between about 0.08:10 to about 9:10; between about 0.08:10 to about 8:10; between about 0.08:10 to about 7:10; between about 0.08:10 to about 6:10; between about 0.08:10 to about 5:10; between about 0.08:10 to about 4:10; between about 0.08:10 to about 3:10; between about 0.08:10 to about 2:10; or between about 0.08:10 to about 1:10, inclusive. In certain embodiments, the ratio of the sum of the second and third R 3 groups to the first R 3 group is about 0.1:10.
- Exemplary conjugated polyethyleneimine polymers of the Formula (II) include, but are not limited to, any of the following LPEI conjugated polymers and BPEI conjugated polymers, or salts thereof, provided in Tables 1 and 2, defining the one or more hi groups present along the polymer backbone.
- the present invention further provides conjugated aza-macrocycles; i.e., of the Formula (IV):
- each instance of L is independently selected from:
- each instance of R is independently hydrogen; acyl; silyl; sulfonyl; an amino protecting group; substituted or unsubstituted alkyl; substituted or unsubstituted alkenyl; substituted or unsubstituted alkynyl; substituted or unsubstituted heteroalkyl; substituted or unsubstituted heteroalkenyl; substituted or unsubstituted heteroalkynyl; substituted or unsubstituted carbocyclyl; substituted or unsubstituted heterocyclyl; substituted or unsubstituted aryl; substituted or unsubstituted heteroaryl; or
- the aza-macrocycle contains at least one group of the formula (iii');
- each instance of R is independently substituted or unsubstituted alkyl; substituted or unsubstituted alkenyl; substituted or unsubstituted alkynyl; substituted or unsubstituted heteroalkyl; substituted or unsubstituted heteroalkenyl; substituted or unsubstituted heteroalkynyl; substituted or unsubstituted carbocyclyl; substituted or unsubstituted heterocyclyl; substituted or unsubstituted aryl; substituted or unsubstituted heteroaryl; or a hydrophilic polymer;
- each instance of R 4 is independently hydrogen, acyl; silyl; a hydroxyl protecting group; substituted or unsubstituted alkyl; substituted or unsubstituted alkenyl; substituted or unsubstituted alkynyl; substituted or unsubstituted heteroalkyl; substituted or unsubstituted heteroalkenyl; substituted or unsubstituted heteroalkynyl; substituted or unsubstituted carbocyclyl; substituted or unsubstituted heterocyclyl; substituted or unsubstituted aryl; or substituted or unsubstituted heteroaryl;
- each instance of m and p is independently 0, 1 or 2;
- q is an integer selected from 2, 3, or 4; and the dashed curved line, together with G and Y, is a covalent bond or a group of the formula:
- the conjugated aza-macrocyle, or salt thereof is prepared similarly to the above described method of preparing a conjugated polyethyleneimine polymer, i.e. , by contacting a compound of Formula (III), or salt thereof (an "aza-macrocycle precursor") with one or more different epoxides; e.g. as provided below in Scheme IV.
- each instance of L is independently selected from:
- the aza-macrocycle precursor contains at least one group selected from (vi), (vii) or (viii); and wherein R , m, p, G, Y, and the dashed curved line, are as defined herein, and further provided that the aza-macrocycle precursor has at least one R group which is hydrogen.
- the aza-macrocycle precursor is a cyclic structure having from 10 to 30 ring members, inclusive; e.g. , from 10 to 20 ring members, inclusive, or from 12 to 18 ring members, inclusive.
- the aza-macrocycle precursor is a 10- membered ring, an 11-membered ring, a 12-membered ring, a 13-membered ring, a 14- membered ring, a 15-membered ring, a 16-membered ring, a 17-membered ring, or an 18- membered ring.
- the conjugated aza-macrocycle, prepared therefrom is also a cyclic structure having from 10 to 30 ring members, inclusive; e.g., from 10 to 20 ring members, inclusive, or from 12 to 18 ring members, inclusive.
- the conjugated aza-macrocycle is a 10-membered ring, an 11-membered ring, a 12-membered ring, a 13-membered ring, a 14-membered ring, a 15-membered ring, a 16-membered ring, a 17-membered ring, or an 18-membered ring.
- R 8 is not a group of the formula (iii').
- each instance of R is independently hydrogen; acyl; silyl; sulfonyl; an amino protecting group; substituted or unsubstituted alkyl; substituted or unsubstituted alkenyl; substituted or unsubstituted alkynyl; substituted or unsubstituted heteroalkyl; substituted or unsubstituted heteroalkenyl; substituted or unsubstituted heteroalkynyl; substituted or unsubstituted carbocyclyl; substituted or unsubstituted heterocyclyl; substituted or unsubstituted aryl; or substituted or unsubstituted heteroaryl; provided that at least one R group is hydrogen.
- each instance of R is independently hydrogen; acyl; silyl; sulfonyl; an amino protecting group; substituted or unsubstituted alkyl; or substituted or unsubstituted heteroalkyl. In certain embodiments of Formula (III), each instance of R is hydrogen.
- each instance of R is independently hydrogen; acyl; silyl; sulfonyl; an amino protecting group; substituted or unsubstituted alkyl; substituted or unsubstituted alkenyl; substituted or unsubstituted alkynyl; substituted or unsubstituted heteroalkyl; substituted or unsubstituted heteroalkenyl;
- each instance of R is independently selected from hydrogen; substituted or unsubstituted alkyl; substituted or unsubstituted alkenyl; substituted or unsubstituted alkynyl; substituted or unsubstituted heteroalkyl; substituted or unsubstituted heteroalkenyl; substituted or unsubstituted heteroalkynyl; or a group of the formula (iii'), provided the aza-macrocycle contains at least one group of the formula (iii').
- each instance of R is independently selected from hydrogen or a group of the formula (iii'), provided the aza- macrocycle contains at least one group of the formula (iii').
- At least one R 8 group of the aza-macrocycle is hydrogen. In certain embodiments, one R group of the aza-macrocycle is hydrogen. In certain embodiments, two R groups of the aza-macrocycle are hydrogen. In certain embodiments, three R groups of the aza-macrocycle are hydrogen. In certain embodiments, four R groups of the aza-macrocycle are hydrogen.
- 1 to 9 R 8 groups provided in the aza-macrocycle is a group of the formula (Hi'); e.g. , 1 to 9; 1 to 8; 1 to 7; 1 to 6; 1 to 5; 1 to 4; 1 to 3; 1 to 2 R 8 groups, inclusive, are of the formula (iii').
- 1 R group of the aza- macrocycle is of the formula (iii').
- 2 R groups of the aza- macrocycle are groups of the formula (iii').
- 3 R groups of the aza- macrocycle are groups of the formula (iii').
- 4 R groups of the aza- macrocycle are groups of the formula (iii').
- all of the R groups of the aza-macrocycle are groups of the formula (iii').
- the ratio of -NH- to -NR 8 - groups provided in the aza- macrocycle, wherein R is a group of the formula (iii'), is between about 90: 10 to about 0: 100.
- each instance of R 3 is independently selected from substituted or unsubstituted alkyl; substituted or unsubstituted alkenyl; substituted or unsubstituted alkynyl; substituted or unsubstituted heteroalkyl; substituted or unsubstituted heteroalkenyl; substituted or unsubstituted hetero alkynyl; substituted or unsubstituted carbocyclyl; substituted or unsubstituted heterocyclyl; substituted or unsubstituted aryl; substituted or unsubstituted heteroaryl; or a hydrophilic polymer.
- each instance of R is independently selected from substituted or unsubstituted alkyl;
- each instance of R is independently selected from substituted or unsubstituted alkyl; substituted or unsubstituted heteroalkyl; or a hydrophilic polymer.
- At least one instance of R 3 is substituted or
- At least one instance of R is substituted or unsubstituted Ci-soalkyl. In certain embodiments, at least one instance of R is substituted or unsubstituted Cg_ 5 oalkyl. In certain embodiments, at least one instance of R is substituted or unsubstituted C 8 - 4 oalkyl. In certain embodiments, at least one instance of R is substituted or unsubstituted C 8 - 3 oalkyl. In certain embodiments, at least one instance of R is substituted or unsubstituted Cg_ 2 oalkyl.
- At least one instance of R 3 is an unsubstituted alkyl.
- exemplary unsubstituted alkyl groups include, but are not limited to, -CH 3 , -C 2 H 5 , -C 3 H 7 , - C 4 H 9 , -CsHn, -C 6 H 13 , - ⁇ 15 , -C8H 17 , -CgH ⁇ , -C 10 H 21 , -CnH 23 , -C 12 H 2 5, -C 13 H 27 , -C 14 H29, - C 15 H 31 , -Ci 6 H 33 , -C 17 H 3 5, -Ci 8 H 37 , -C ⁇ H ⁇ , and -C 2 oH 41 .
- At least one instance of R 3 is a substituted alkyl.
- at least one instance of R is an alkyl substituted with one or more fluorine substituents.
- exemplary substituted alkyl groups include, but are not limited to:
- At least one instance of R 3 is substituted or unsubstituted alkenyl. In certain embodiments, at least one instance of R is substituted or unsubstituted C2-5oalkenyl. In certain embodiments, at least one instance of R is substituted or unsubstituted Cs-so alkenyl. In certain embodiments, at least one instance of R is substituted or unsubstituted Cg_4o alkenyl. In certain embodiments, at least one instance of R is substituted or unsubstituted Cg_3o alkenyl. In certain embodiments, at least one instance of R is substituted or unsubstituted C 8 -20 alkenyl. In certain embodiments, at least one instance of R 3 is a substituted 3
- At least one instance of R is an unsubstituted alkenyl.
- Exemplary unsubstituted alkenyl groups include, but are not limited to:
- Myristoleic -(CH 2 ) 7 CH CH(CH 2 ) 3 CH 3 ,
- Palmitoliec -(CH 2 ) 7 CH CH(CH 2 ) 5 CH 3 ,
- Oleic -(CH 2 ) 7 CH CH(CH 2 ) 7 CH 3 ,
- R 3 is defined as a C 6 -soalkyl or C 6 -soalkenyl groups
- such groups are meant to encompass lipophilic groups (also referred to as a "lipid tail").
- Lipophilic groups comprise a group of molecules that include fats, waxes, oils, fatty acids, and the like. Lipid tails present in these lipid groups can be saturated and unsaturated, depending on whether or not the lipid tail comprises double bonds.
- the lipid tail can also comprise different lengths, often categorized as medium (i.e. , with tails between 7-12 carbons, e.g. , C 7 _ 12 alkyl or C7_ 12 alkenyl), long (i.e. , with tails greater than 12 carbons and up to 22 carbons, e.g. , C 13 _ 22 alkyl or C 13 _ 22 alkenyl), or very long (i.e. , with tails greater than 22 carbons, e.g. , C 23 _ 3 o alkyl or C 23 _ 3 o alkenyl).
- At least one instance of R 3 is substituted or
- At least one instance of R is substituted or unsubstituted alkynyl. In certain embodiments, at least one instance of R is substituted or unsubstituted C 2 _ 5 oalkynyl. In certain embodiments, at least one instance of R is substituted or unsubstituted Cg_ 5 o alkynyl. In certain embodiments, at least one instance of R is substituted or unsubstituted C 8 -40 alkynyl. In certain embodiments, at least one instance of R is substituted or unsubstituted C 8 - 3 o alkynyl. In certain embodiments, at least one instance of R is substituted or unsubstituted Cg_ 2 o alkynyl. In certain embodiments, at least one instance
- R 3 3 of R is an unsubstituted alkynyl. In certain embodiments, at least one instance of R is a substituted alkynyl.
- At least one instance of R 3 is substituted or
- At least one instance of R is substituted or unsubstituted Ciso heteroalkyl. In certain embodiments, at least one instance of R is substituted or unsubstituted Csso heteroalkyl. In certain embodiments, at least one instance of R is substituted or unsubstituted C 8 - 4 o heteroalkyl. In certain embodiments, at least one instance of R is substituted or unsubstituted Cg_ 3 o heteroalkyl. In certain embodiments, at least one instance of R is substituted or unsubstituted Cg_ 2 o heteroalkyl. In certain embodiments,
- At least one instance of R is a substituted heteroalkyl.
- At least one instance of R is an unsubstituted heteroalkyl.
- Exemplary unsubstituted heteroalkyl groups include, but are not limited to:
- At least one instance of R 3 is substituted or unsubstituted heteroalkenyl. In certain embodiments, at least one instance of R is substituted or unsubstituted C2-50 heteroalkenyl. In certain embodiments, at least one instance of R is substituted or unsubstituted C 8 -50 heteroalkenyl. In certain embodiments, at least one instance of R is substituted or unsubstituted C 8 -40 heteroalkenyl. In certain embodiments, at least one instance of R is substituted or unsubstituted Cg_3o heteroalkenyl. In certain embodiments, at least one instance of R is substituted or unsubstituted Cg_2o heteroalkenyl. In certain embodiments, at least one instance of R is a substituted heteroalkenyl. In certain embodiments, at least one instance of R is an unsubstituted heteroalkenyl.
- At least one instance of R 3 is substituted or
- At least one instance of R is substituted or unsubstituted C2-50 heteroalkynyl. In certain embodiments, at least one instance of R is substituted or unsubstituted Cs-so heteroalkynyl. In certain embodiments, at least one instance of R is substituted or unsubstituted C 8 -40 heteroalkynyl. In certain embodiments, at least one instance of R is substituted or unsubstituted Cg_3o heteroalkynyl. In certain embodiments, at least one instance of R is substituted or unsubstituted Cg_2o heteroalkynyl. In certain embodiments, at least one instance of R is a substituted heteroalkynyl. In certain embodiments, at least one instance of R is an unsubstituted heteroalkynyl.
- At least one instance of R 3 is substituted or
- At least one instance of R is a substituted carbocyclyl. In certain embodiments, at least one instance of R is an unsubstituted carbocyclyl.
- At least one instance of R 3 is substituted or
- At least one instance of R is a substituted heterocyclyl. In certain embodiments, at least one instance of R is an
- At least one instance of R 3 is substituted or unsubstituted aryl. In certain embodiments, at least one instance of R is an unsubstituted aryl. In certain embodiments, at least one instance of R is a substituted aryl.
- At least one instance of R 3 is substituted or
- At least one instance of R is a substituted heteroaryl. In certain embodiments, at least one instance of R is an unsubstituted heteroaryl.
- At least one instance of R 3 is hydrophilic polymer.
- a "polymer” refers to a compound comprised of at least 3 (e.g. , at least 10, 20, 30, 40, 50, 60, 70, 80, 90, 100, etc.) repeating covalently bound structural units.
- a “hydrophilic polymer” is a polymer, as defined herein, further comprising at least one group (e.g. , an oxygen, nitrogen, and/or sulfur atom) in the repeating structural unit capable of hydrogen bonding.
- the hydrophilic polymer is preferably biocompatible (i.e. , non-toxic).
- Exemplary hydrophilic polymers include, but are not limited to, polypeptides (e.g.
- poly-L-lysine examples include cellulose polymers (e.g. , hydroxyethylcellulose, ethylcellulose, carboxymethylcellulose, methylc cellulose, hydroxypropylmethylcellulose (HPMC)), dextran polymers, polymaleic acid polymers, poly(acrylic acid) polymers, poly(vinylalcohol) polymers, polyvinylpyrrolidone (PVP) polymers, and polyethyleneglycol (PEG) polymers.
- cellulose polymers e.g. , hydroxyethylcellulose, ethylcellulose, carboxymethylcellulose, methylc cellulose, hydroxypropylmethylcellulose (HPMC)
- dextran polymers examples include polymaleic acid polymers, poly(acrylic acid) polymers, poly(vinylalcohol) polymers, polyvinylpyrrolidone (PVP) polymers, and polyethyleneglycol (PEG) polymers.
- PVP polyvinylpyrrolidone
- PEG
- the hydrophilic polymer is a polyethyleneglycol polymer, e.g. , of the formula (v):
- R is selelected from hydrogen; acyl; silyl; a hydroxyl protecting group; substituted or unsubstituted alkyl; substituted or unsubstituted alkenyl; substituted or unsubstituted alkynyl; substituted or unsubstituted heteroalkyl; substituted or unsubstituted heteroalkenyl;
- v is an integer between 3 to 400, inclusive.
- R 7 is selelected from hydrogen.
- R is acyl. In certain embodiments, R is a hydroxyl protecting group.
- R is substituted or unsubstituted alkyl. In certain embodiments, R is a
- R is an unsubstituted alkyl.
- R is -CH 3 (a "polyethyleneglycol monomethylether” polymer).
- R is substituted or unsubstituted alkenyl. In certain embodiments, R is substituted or unsubstituted alkynyl. In certain embodiments, R is substituted or
- R is substituted or unsubstituted
- R is substituted or unsubstituted heteroalkynyl. In certain embodiments, R is substituted or unsubstituted carbocyclyl. In certain embodiments,
- R is substituted or unsubstituted heterocyclyl. In certain embodiments, R is substituted or unsubstituted aryl. In certain embodiments, R is and substituted or unsubstituted heteroaryl.
- v is an integer between 3 to 300, 3 to 200, 3 to 100, 3 to 90, 3 to 80, 3 to 70, 3 to 60, 3 to 50, 5 to 50, 10 to 50, 15 to 50, 20 to 50, 20 to 40, 20 to 30, 20 to 25, 30 to 50, and 40 to 50, inclusive.
- PEGiooo corresponds, on average, to a v of about 22.7, wherein R is -OCH 3 .
- PEG 2000 corresponds, on average, to a v of about 45.4.
- polyethyleneglycol polymer is ⁇ 10,000. In certain embodiments, the number average molar mass (Mn) of the polyethyleneglycol polymer is ⁇ 10,000, ⁇ 9000, ⁇ 8000, ⁇ 7000, ⁇ 6000, ⁇ 5000, ⁇ 4000, ⁇ 3000, or ⁇ 2000. In certain embodiments, the number average molar mass (Mn) of the polyethyleneglycol polymer is between about 100 to about 10,000, inclusive; e.g.
- the number average molar mass (Mn) of the polyethyleneglycol polymer is 1000 (PEGiooo)- In certain embodiments, the number average molar mass (Mn) of the polyethyleneglycol polymer is 2000 (PEGiooo)- A 1 : 1 mixture of PEGiooo and PEG2000 is referred to herein as PEGLSK-
- At least one instance of R 3 is a hydrophilic polymer, and at least one instance of R is a substituted or unsubstituted alkyl.
- R 3 when the group R 3 is depicted as bisecting a carbon-carbon bond, e.g. , of the group of the formula (iii'), it is understood that R may be substituted at either carbon. It is understood from the present disclosure that the group of formula (iii') represents a group of formula (iii'-a) or a group of formula (iii'-b).
- Nucleophilic attack of an amino group of the aza-macrocycle at the least sterically hindered carbon of the epoxide provides a group of the formula (iii'-a) (route a), while nucleophilic attack at the more sterically hindered carbon of the epoxide provides a group of the formula (iii'-b) (route b), wherein R 4 is hydrogen; see, e.g., the "conjugation reaction" of Scheme V.
- compounds of the present invention may comprise a mixture of products attached thereto arising from route (a) and route (b) depending on the preference, or lack thereof, of the mode of addition, and that formulae that depict this bisecting bond may comprise a mixture of compounds.
- the bisecting group R depicted in the formulae seeks to encompasses all contemplated modes of addition.
- hydroxyl moiety of the formula (iii'-a) or (iii'-b), wherein R is hydrogen can optionally be converted to a substituted hydroxyl, wherein R 4 is a group other than hydrogen, i.e., is independently acyl; silyl; a hydroxyl protecting group; substituted or unsubstituted alkyl; substituted or unsubstituted alkenyl; substituted or unsubstituted alkynyl; substituted or unsubstituted heteroalkyl; substituted or unsubstituted heteroalkenyl;
- the hydroxyl moiety is reacted with an electrophile of the formula R -X wherein R 4 is a group other than hydrogen and X is a leaving group to provide a substituted hydroxyl group in formula (iii').
- each instance of R 4 is independently hydrogen; acyl; silyl; a hydroxyl protecting group; substituted or unsubstituted alkyl; substituted or unsubstituted alkenyl; substituted or unsubstituted alkynyl; substituted or unsubstituted heteroalkyl; or substituted or unsubstituted hetero alkenyl.
- each instance of R 4 is independently hydrogen; substituted or unsubstituted alkyl; or substituted or unsubstituted heteroalkyl.
- each instance of R 4 is hydrogen.
- the conjugation reaction depicted in Scheme V results in a mixture comprising more lipomers conjugated to a group of formula (iii'-a) than to a group of formula (iii'-b), e.g. , the reaction mixture comprises greater than 50%, greater than 60%, greater than 70%, greater than 80%, greater than 90%, greater than 95%, greater than 99%, between about 60% to about 100%, between about 70% to about 100%, between about 80% to about 100%, between about 90% to about 100%, between about 95% to about 100%, or between about 99% to about 100%, of a conjugated lipomer attached to a group of formula (iii'-a).
- the reaction mixture comprises only conjugated lipomers attached to a group formula (iii'-a).
- the epoxide is chiral, i.e. , having (R) or (S)
- the conjugation reaction depicted in Scheme V provides a chiral conjugated aza-macrocycle.
- the conjugation reaction depicted in Scheme V results in a mixture comprising more lipomers conjugated to a group of formula (R)-(iii'-a) than to a group of formula (S)-(m'-a), e.g.
- the reaction mixture comprises greater than 50%, greater than 60%, greater than 70%, greater than 80%, greater than 90%, greater than 95%, greater than 99%, between about 60% to about 100%, between about 70% to about 100%, between about 80% to about 100%, between about 90% to about 100%, between about 95% to about 100%, or between about 99% to about 100%, of conjugated lipomer attached to a group of formula (R)-(iii'-a).
- the reaction mixture comprises only conjugated lipomers attached to a group formula (R)-( iii'-a).
- the conjugation reaction depicted in Scheme V results in a mixture comprising more lipomers conjugated to a group of formula (S)-(m'-a) than to a group of formula (R)-(iii'-a), e.g.
- the reaction mixture comprises greater than 50%, greater than 60%, greater than 70%, greater than 80%, greater than 90%, greater than 95%, greater than 99%, between about 60% to about 100%, between about 70% to about 100%, between about 80% to about 100%, between about 90% to about 100%, between about 95% to about 100%, or between about 99% to about 100%, of a conjugated lipomer attached to a group of formula (S)-(m'-a).
- the reaction mixture comprises only conjugated lipomers attached to a rou formula - iii'-a
- each instance of R is the same in the conjugated aza-macrocycle.
- each instance of R is the same wherein R is a substituted or
- each instance of R is the same wherein R is an
- each instance of R is the same wherein R is selected from the group consisting of -CH 3 , -C 2 H 5 , -C 3 H 7 , -C 4 H 9 , -CsHn, -C 6 H 1 , -C 7 H 1 5, - C 8 H 17 , -CgHig, -CioHii, -CnH 23 , -C 12 H 2 5, -C 13 H 27 , -C 14 H 2 9, ⁇ 15 ⁇ 1 , ⁇ 16 ⁇ , -C 17 H 5, - Ci 8 H 37 , -Ci 9 H 3 9, and -C 2 oH 41 .
- each instance of R is the same wherein R is selected from the group consisting of -C ⁇ Hn, -CgHig, -C 1 oH 2 i, -CnH 23 , - C 12 H 2 5, -C 13 H 27 , -C 14 H 2 9, -3 ⁇ 4 ⁇ 1 , and -C ⁇ H ⁇ .
- the conjugated aza-macrocycle comprises two or more (e.g. , two, three, four, five, six, seven, eight, nine, or ten) different R groups.
- the conjugated aza- macrocycle comprises two different R groups.
- the conjugated aza-macrocycle comprises a mixture of two different R groups, wherein the first
- R group is a substituted or unsubstituted alkyl
- the second R group is a hydrophilic polymer (e.g. , a polyethyleneglycol polymer, as defined herein).
- the conjugated aza-macrocycle comprises a mixture of two different R groups, wherein the
- the first R group is an unsubstituted alkyl
- the second R group is a polyethyleneglycol polymer.
- the conjugated aza-macrocycle comprises a mixture of two 3 3
- the conjugated aza-macrocycle comprises a first R group selected from the group consisting of -CH 3 , -C 2 H 5 , -C 3 H 7 , -C 4 H 9 , -CsHn, -C 6 H 1 , -CjHis, -C 8 H 17 , -CgHig, -C 10 H 21 , -CnH 23 , -C 12 H 2 5, - C 13 H 27 , -C 14 H 29 , -C 15 H 31 , -C 16 H 33 , -C 17 H 35 , -C 18 H 37 , -C 19 H 39 , and -C 2 oH 41 , and the second R 3 group is PEGiooo-
- the conjugated aza-macrocycle comprises a group consisting of -CH 3 , -C 2 H 5 , -C 3 H 7 , -C 4 H 9 , -CsHn, -C 6
- the first R group is selected from the group consisting of -CH 3 , -C 2 H 5 , -C 3 H 7 , -C 4 I3 ⁇ 4, -CsHn, -C 6 H 13 , -C His, -C 8 H 17 , -CgH ⁇ , -C 10 H 21 , - CnH 23 , -C 12 H 2 5, -C 13 H 27 , -C 14 H 2 9, -Ci 5 H 31 , -Ci 6 H 33 , -C 17 H 3 5, -C 18 H 37 , -Ci 9 H 3 9, and -C 2 oH 41 , and the second R group is PEG 2 ooo-
- the conjugated aza-macrocycle comprises three different R groups.
- the conjugated aza-macrocycle comprises three different R groups.
- macrocycle comprises a mixture of three different R groups, wherein the first R group is a substituted or unsubstituted alkyl, the second R group is a first hydrophilic polymer (e.g. , a polyethyleneglycol polymer, as defined herein), and the third R group is a second
- the conjugated aza-macrocycle comprises a mixture of three different R groups, wherein the
- the conjugated aza-macrocycle comprises a
- the first R group is selected from the group consisting of -CH 3 , -C 2 H 5 , -C 3 H 7 , -C 4 H9, -CsHn, -C 6 H 13 , -C 7 H 15 , -C 8 H 17 , -CgH ⁇ , -C 10 H 21 , - CnH 23 , -C 12 H 2 5, -C 13 H 27 , -C 14 H 2 9, -C 15 H 1 , -C 16 H , -C 17 H s, -C 18 H 7 , -C ⁇ H ⁇ , and -C 2 oH 41 ,
- the second R group is PEGiooo
- the third R group is PEG 2 ooo-
- conjugated aza-macrocycle comprises two
- the ratio of the second R group to the first R group is between about 0.01 : 10 to about 10: 10, inclusive.
- the ratio of the second R group to the first R group is between about 0.02: 10 to about 10: 10; between about 0.03: 10 to about 10: 10; between about 0.04: 10 to about 10: 10; between about 0.05: 10 to about 10: 10; between about 0.06: 10 to about 10: 10; between about 0.07: 10 to about 10: 10; between about 0.08: 10 to about 10: 10; between about 0.08: 10 to about 9: 10; between about 0.08: 10 to about 8: 10; between about 0.08: 10 to about 7: 10; between about 0.08: 10 to about 6: 10; between about 0.08: 10 to about 5: 10; between about 0.08: 10 to about 4: 10; between about 0.08: 10 to about 3: 10; between about 0.08: 10 to about 2: 10; or between about 0.08: 10 to about 1 : 10, inclusive.
- the ratio of the second R group to the first R group is about 0.1 : 10.
- the ratio of the sum of the second and third R 3 groups to the first R 3 group is between about 0.01: 10 to about 10: 10, inclusive.
- the ratio of the sum of the second and third R 3 groups to the first R 3 group is 0.02: 10 to about 10: 10; between about 0.03: 10 to about 10: 10; between about 0.04: 10 to about 10: 10; between about 0.05: 10 to about 10: 10; between about 0.06: 10 to about 10: 10; between about 0.07: 10 to about 10: 10; between about 0.08: 10 to about 10: 10; between about 0.08: 10 to about 9: 10; between about 0.08: 10 to about 8: 10; between about 0.08: 10 to about 7: 10; between about 0.08: 10 to about 6: 10; between about 0.08: 10 to about 5: 10; between about 0.08: 10 to about 4: 10; between about 0.08: 10 to about 3: 10; between about 0.08: 10 to about 2: 10; or between about 0.08: 10 to about 1: 10, inclusive. In certain embodiments, the ratio of the sum of the second and third R 3 groups to the first R 3 group is about 0.1: 10.
- each instance of m and p is independently 0, 1 or 2.
- each instance of m is independently 0, 1 or 2.
- each instance of m is 1.
- each instance of m is 2.
- each instance of m is independently 1 or 2.
- each instance of p is independently 0, 1 or 2.
- each instance of p is 1.
- each instance of p is 2.
- each instance of p is independently 1 or 2.
- q is an integer 2, 3, or 4. In certain embodiments, q is 2. In certain embodiments, q is 3. In certain embodiments, q is 2 or 3. In certain embodiments, q is 4.
- the dashed curved line is a covalent bond or a group of the formula:
- the dashed curved line, together with G and Y, is a covalent bond.
- s is 0, 1, or 2. In certain embodiments, s is 1 or 2. In certain embodiments, s is 1.
- s is 0, 1, or 2. In certain embodiments, s is 1 or 2. In certain embodiments, s is 1.
- each instance of L 3 is independently :
- the conjugated aza-macrocycle comprises at least one instance of the group of the formula (vi).
- each instance of L is a group of the formula (vi).
- the conjugated aza-macrocycle of the Formula (IV) is of the Formula (V), (VI), or (VII):
- the conjugated aza-macrocycle comprises at least one instance of the group of the formula (vii), (viii), or (ix). In certain embodiments, the conjugated aza-macrocycle comprises at least one instance of the group of the formula (vii). In certain embodiments, the conjugated aza-macrocycle comprises at least one instance of the group of the formula (viii). In certain embodiments, the conjugated aza-macrocycle comprises at least one instance of the group of the formula (ix). In these instances, in certain embodiments, the conjugated aza-macrocycle of the Formula (IV) is of the Formula (VIII) or (IX):
- Exemplary conjugated aza-macrocycles of the Formula (V) include, but are not limited to:
- R 3 is a
- R 3 is PEG 10 oo- In certain embodiments, R 3 is PEGiooo- In certain embodiments, R 3 is PEGLSK-
- Exemplary conjugated aza-macrocycles of the Formula (VI) include, but are not limited to:
- R is a
- R 3 is PEGiooo. In certain embodiments, R is PEG 2 ooo- In certain embodiments, R is
- Exemplary conjugated aza-macrocycles of the Formula (VII) include, but are not limited to:
- R is a
- R is PEGiooo- In certain embodiments,
- R is PEG 2 ooo- In certain embodiments, R is PEGLSK-
- Exemplary conjugated aza-macrocycles of the Formula (VII) include, but are not limited to:
- R 3 is a polyethyleglycol polymer.
- R 3 is PEG 10 oo- In certain embodiments, R 3 is PEG 2000 - In certain embodiments, R 3 is PEGLSK-
- Exemplary conjugated aza-macrocycles of the Formula (VIII) include, but are not limited to:
- R 3 is a
- R is PEGiooo- In certain embodiments,
- R is PEG 2 ooo- In certain embodiments, R is PEGLS K - Additional Methods of Preparation
- conjugated polyethyleneimine complexes and conjugated macrocycles also referred to herein as “conjugated lipomers” or “lipomers”
- conjugated lipomers also referred to herein as “conjugated lipomers” or “lipomers”
- the precursors are treated with one or more epoxide agents to provide the inventive conjugated lipomer.
- Each of the precursors is dissolved in an organic solvent (e.g., THF, CH 2 C1 2 , MeOH, EtOH, CHC1 3 , hexanes, toluene, benzene, CC1 4 , glyme, diethyl ether, etc.), the one or more epoxides are added, and the reaction mixture is heated to yield the desired conjugated lipomer.
- an organic solvent e.g., THF, CH 2 C1 2 , MeOH, EtOH, CHC1 3 , hexanes, toluene, benzene, CC1 4 , glyme, diethyl ether, etc.
- the reaction mixture is heated to between about 50 °C to about 150 °C. In certain embodiments, the reaction mixture is heated to about 90 °C.
- the epoxide is chiral.
- the chiral epoxides useful in the invention can be obtained from a variety of sources which are familiar to those skilled in the art of organic synthesis. In some embodiments, the chiral epoxides useful in the invention can be obtained commercially. In some embodiments, the chiral epoxides useful in the invention can be synthesized according to methods known to those of skill in the art, such as, but not limited to the Sharpless epoxidation of primary and secondary allylic alcohols into 2,3-epoxyalcohols (Katsuki et al., J. Am. Chem. Soc.
- the chiral epoxides useful in the invention are obtained from the resolution of racemic epoxides. In some embodiments, the chiral epoxides useful in the invention are obtained by the separation of enantiomers or diastereoisomers using chiral chromatography.
- the degree of conjugation may be controlled by the reaction conditions ⁇ e.g., temperature, starting materials,
- the synthesized conjugated lipomer may be purified by any technique known in the art including, but not limited to, precipitation, crystallization, chromatography, distillation, etc.
- the conjugated lipomer is purified through repeated precipitations in organic solvent ⁇ e.g., diethyl ether, hexane, etc.).
- the conjugated lipomer is isolated as a salt.
- the conjugated lipomer is reacted with an acid ⁇ e.g., an organic acid or inorganic acid) to form the corresponding salt.
- the tertiary amine is alkylated to form a quaternary ammonium salt of the conjugated lipomer.
- the tertiary amines may be alkylated with any alkylating agent, for example, alkyl halides such as methyl iodide may be used to from the quaternary amino groups.
- the anion associated with the quaternary amine may be any organic or inorganic anion.
- the anion is a pharmaceutically acceptable anion.
- the invention also provides libraries of the inventive conjugated lipomers prepared by the inventive methods. These conjugated lipomers may be prepared and/or screened using high-throughput techniques involving liquid handlers, robots, microtiter plates, computers, etc. In certain embodiments, the conjugated lipomers are screened for their ability to transfect polynucleotides or other agents ⁇ e.g., proteins, peptides, small molecules) into the cell.
- a library of different conjugated lipomers is prepared in parallel.
- a different precursor and/or epoxide is added to each vial in a set of vials or to each well of a multi-well plate used to prepare the library.
- the array of reaction mixtures is incubated at a temperature and length of time sufficient to allow formation of the conjugated lipomer.
- the vials are incubated at approximately 90 °C overnight.
- the vials are incubated from 1 to 7 days at approximately 90 °C.
- the vials are incubated from 3 to 4 days at approximately 90 °C.
- the vials are incubated from 1 to 2 days at approximately 90 °C.
- the conjugated lipomer may then be isolated and purified using techniques known in the art.
- the conjugated lipomer may then be screened using high-throughput techniques to identify conjugated lipomers with a desired characteristic (e.g., solubility in water, solubility at different pH, ability to bind polynucleotides, ability to bind heparin, ability to bind small molecules, ability to bind protein, ability to form microparticles, ability to increase tranfection efficiency, etc.).
- a desired characteristic e.g., solubility in water, solubility at different pH, ability to bind polynucleotides, ability to bind heparin, ability to bind small molecules, ability to bind protein, ability to form microparticles, ability to increase tranfection efficiency, etc.
- the conjugated lipomers may be screened for properties or characteristics useful as coatings, additives, materials, and excipients in biotechnology and biomedical applications such as the coating of medical devices or implants with films or multilayer films, as non-biofouling agents, micropatterning agents, and cellular encapsulation agents.
- the conjugated lipomer may be screened for properties or characteristics useful in gene therapy (e.g., ability to bind polynucleotides, increase in transfection efficiency) or the administration and/or delivery of therapeutic agents (e.g., polynucleotide, small molecule, antigen, drug, protein, peptide, etc.) to a subject, patient, tissue, organ, or cell, etc.
- inventive conjugated lipomers are particularly useful in the administration of polynucleotides.
- inventive conjugated lipomers possess tertiary amines, and although these amines are hindered, they are available to interact with a polynucleotide (e.g., DNA, RNA, synthetic analogs of DNA and/or RNA, DNA/RNA hydrids, etc.).
- a polynucleotide e.g., DNA, RNA, synthetic analogs of DNA and/or RNA, DNA/RNA hydrids, etc.
- Polynucleotides or derivatives thereof are contacted with the inventive conjugated lipomers under conditions suitable to form polynucleotide/lipomer complexes.
- the interaction of the lipomer with the polynucleotide is thought to at least partially prevent the degradation of the polynucleotide.
- the neutral or slightly-positively-charged complex is also able to more easily pass through the
- hydrophobic membranes e.g., cytoplasmic, lysosomal, endosomal, nuclear
- the complex is slightly positively charged.
- the complex has a positive ⁇ -potential, more preferably the ⁇ -potential is between 0 and +30.
- the conjugated lipomer is preferably at least partially provided as a salt (i.e., is protonated) so as to form a complex with the negatively charged polynucleotide.
- the polynucleotide/lipomer complexes form particles that are useful in the delivery of polynucleotides to cells.
- more than one conjugated lipomer may be associated with a polynucleotide molecule.
- the complex may include 1-100 conjugated lipomers, 1-1000 conjugated lipomers, 10-1000 conjugated lipomers, or 100-10,000 conjugated lipomers.
- the complex may form a particle.
- the diameter of the particles ranges from 10-500 micrometers. In certain embodiments, the diameter of the particles ranges from 10-1200 micrometers. In certain embodiments, the diameter of the particles ranges from 50-150 micrometers. In certain embodiments, the diameter of the particles ranges from 10-500 nm, more preferably the diameter of the particles ranges from 10-1200 nm, and most preferably from 50-150 nm.
- the particles may be associated with a targeting agent as described below. In certain
- the diameter of the particles ranges from 10-500 pm, more preferably the diameter of the particles ranges from 10-1200 pm, and most preferably from 50-150 pm.
- the particles may be associated with a targeting agent as described below.
- the film architecture is precisely designed and can be controlled to 1 nm precision with a range from 1 to 150000 nm and with a definite knowledge of its molecular composition.
- the polynucleotide may be complexed, encapsulated by the inventive conjugated lipomers, or included in a composition comprising the inventive conjugated lipomers.
- the polynucleotide may be any nucleic acid including, but not limited to, RNA and DNA.
- the polynucleotide is DNA.
- the polynucleotide is RNA.
- the polynucleotide is an RNA that carries out RNA interference (RNAi).
- RNAi RNA interference
- the polynucleotide is a dsRNA (double- stranded RNA). In certain embodiments, the polynucleotide is an siRNA (short interfering RNA). In certain embodiments, the polynucleotide is an shRNA (short hairpin RNA).
- the polynucleotide is an miRNA (micro RNA).
- miRNAs are genomically encoded non-coding RNAs of about 21 - 23 nucleotides in length that help regulate gene expression, particularly during development (see, e.g., Bartel, 2004, Cell, 116:281; Novina and Sharp, 2004, Nature, 430: 161; and U.S. Patent Publication 2005/0059005; also reviewed in Wang and Li, 2007, Front. BioscL, 12:3975; and Zhao, 2007, Trends Biochem. Set, 32: 189; each of which are incorporated herein by reference).
- the polynucleotide is an antisense RNA.
- dsRNA, siRNA, shRNA, miRNA and/or antisense RNA can be designed and/or predicted using one or more of a large number of available algorithms.
- the following resources can be utilized to design and/or predict dsRNA, siRNA, shRNA, and/or miRNA: algorithms found at Alnylum Online, Dharmacon Online, OligoEngine Online, Molecula Online, Ambion Online,
- the polynucleotides may be of any size or sequence, and they may be single- or double-stranded. In certain embodiments, the polynucleotide is greater than 100 base pairs long. In certain embodiments, the polynucleotide is greater than 1000 base pairs long and may be greater than 10,000 base pairs long.
- the polynucleotide is optionally purified and substantially pure. Preferably, the polynucleotide is greater than 50% pure, more preferably greater than 75% pure, and most preferably greater than 95% pure.
- the polynucleotide may be provided by any means known in the art.
- the polynucleotide has been engineered using recombinant techniques (for a more detailed description of these techniques, please see Ausubel et al., Current Protocols in Molecular Biology (John Wiley & Sons, Inc., New York, 1999); Molecular Cloning: A Laboratory Manual, 2nd Ed., ed. by Sambrook, Fritsch, and Maniatis (Cold Spring Harbor Laboratory Press: 1989); each of which is incorporated herein by reference).
- the polynucleotide may also be obtained from natural sources and purified from contaminating components found normally in nature.
- the polynucleotide may also be chemically synthesized in a laboratory. In certain embodiments, the polynucleotide is synthesized using standard solid phase chemistry.
- the polynucleotide may be modified by chemical or biological means. In certain embodiments, these modifications lead to increased stability of the polynucleotide. Modifications include methylation, phosphorylation, end-capping, etc.
- Modified bases include, but are not limited to, those found in the following nucleoside analogs: 2-aminoadenosine, 2-thiothymidine, inosine, pyrrolo-pyrimidine, 3- methyl adenosine, 5-methylcytidine, C5-bromouridine, C5-fluorouridine, C5-iodouridine, C5-propynyl-uridine, C5-propynyl-cytidine, C5-methylcytidine, 7-deazaadenosine,
- Modified sugars include, but are not limited to, 2'-fluororibose, ribose, 2'-deoxyribose, 3'- azido-2',3'-dideoxyribose, 2',3'-dideoxyribose, arabinose (the 2'-epimer of ribose), acyclic sugars, and hexoses.
- the nucleosides may be strung together by linkages other than the phosphodiester linkage found in naturally occurring DNA and RNA.
- Modified linkages include, but are not limited to, phosphorothioate and 5'-N-phosphoramidite linkages.
- modified polynucleotides may be provided by any means known in the art; however, as will be appreciated by those of skill in this art, the modified polynucleotides are preferably prepared using synthetic chemistry in vitro.
- the polynucleotides to be delivered may be in any form.
- the polynucleotide may be a circular plasmid, a linearized plasmid, a cosmid, a viral genome, a modified viral genome, an artificial chromosome, etc.
- the polynucleotide may be of any sequence.
- the polynucleotide encodes a protein or peptide.
- the encoded proteins may be enzymes, structural proteins, receptors, soluble receptors, ion channels, pharmaceutically active proteins, cytokines, interleukins, antibodies, antibody fragments, antigens, coagulation factors, albumin, growth factors, hormones, insulin, etc.
- the polynucleotide may also comprise regulatory regions to control the expression of a gene. These regulatory regions may include, but are not limited to, promoters, enhancer elements, repressor elements, TATA box, ribosomal binding sites, stop site for transcription, etc.
- the polynucleotide is not intended to encode a protein.
- the polynucleotide may be used to fix an error in the genome of the cell being transfected.
- the polynucleotide may also be provided as an antisense agent or RNA interference (RNAi) (Fire et al., Nature 391:806-811, 1998; incorporated herein by reference).
- Antisense therapy is meant to include, e.g., administration or in situ provision of single- or double- stranded oligonucleotides or their derivatives which specifically hybridize, e.g., bind, under cellular conditions, with cellular mRNA and/or genomic DNA, or mutants thereof, so as to inhibit expression of the encoded protein, e.g., by inhibiting transcription and/or translation (Crooke "Molecular mechanisms of action of antisense drugs" Biochim. Biophys.
- the polynucleotide to be delivered comprises a sequence encoding an antigenic peptide or protein.
- Nanoparticles containing these polynucleotides can be delivered to an individual to induce an immunologic response sufficient to decrease the chance of a subsequent infection and/or lessen the symptoms associated with such an infection.
- the polynucleotide of these vaccines may be combined with interleukins, interferon, cytokines, and adjuvants such as cholera toxin, alum, Freund's adjuvant, etc.
- a large number of adjuvant compounds are known; a useful compendium of many such compounds is prepared by the National Institutes of Health (see Allison Dev. Biol. Stand.
- the antigenic protein or peptides encoded by the polynucleotide may be derived from such bacterial organisms as Streptococccus pneumoniae, Haemophilus influenzae, Staphylococcus aureus, Streptococcus pyrogenes, Corynebacterium diphtheriae, Listeria monocytogenes, Bacillus anthracis, Clostridium tetani, Clostridium botulinum, Clostridium perfringens, Neisseria meningitidis, Neisseria gonorrhoeae, Streptococcus mutans,
- pneumoniae Chlamydial psittaci, Chlamydial trachomatis, Plasmodium falciparum, Trypanosoma brucei, Entamoeba histolytica, Toxoplasma gondii, Trichomonas vaginalis, Schistosoma mansoni, and the like.
- the nitrogen:phosphate ratio ⁇ i.e., the ratio between the amino groups present in the lipomer, and the phosphate groups present in the polynucleotide) is between about 10: 1 to about 50: 1, inclusive. In certain embodiments, the nitrogen phosphate ratio is between about 10: 1 to about 45: 1, between about 15: 1 to about 45: 1, or between about 20: 1 to about 40: 1, inclusive.
- Increasing nitrogen:phosphate ratios have been shown to positively influence delivery of genetic material by increasing nucleic acid binding and negatively influence delivery by increasing toxicity (see, e.g., Incani et ah, Soft Matter (2010) 6:2124-2138).
- Table 3 of the Examples also provides the lipomenpolynucleotide mass ratio and molar ratios measured from complexes of polynucleotide and conjugated lipomers of the present invention.
- the conjugated lipomenpolynucleotide mass ratio is between about 10: 1 to about 20: 1, inclusive. In certain embodiments, the conjugated lipomenpolynucleotide mass ratio is about 15: 1.
- the conjugated lipomenpolynucleotide molar ratio is between about 10: 1 to about 400: 1, inclusive. In certain embodiments, the conjugated
- lipomenpolynucleotide molar ratio is between about 10: 1 to about 350: 1, between about 15: 1 to about 300: 1, or between about 20: 1 to about 250: 1, inclusive.
- the conjugated lipomers of the present invention may also be used to form drug delivery devices.
- the inventive conjugated lipomers have several properties that make them particularly suitable in the preparation of drug delivery devices. These include: 1) the ability of the lipomer to complex and "protect” labile agents; 2) the ability to buffer the pH in the endosome; 3) the ability to act as a "proton sponge” and cause endosomolysis; and 4) the ability to neutralize the charge on negatively charged agents.
- the conjugated lipomers are used to form particles containing the agent to be delivered.
- the inventive conjugated lipomers may be used to encapsulate agents including, but not limited to, organic molecules ⁇ e.g., cholesterol), inorganic molecules, nucleic acids, proteins, peptides, polynucleotides, targeting agents, isotopically labeled organic or inorganic molecules, vaccines, immunological agents, etc.
- agents including, but not limited to, organic molecules ⁇ e.g., cholesterol), inorganic molecules, nucleic acids, proteins, peptides, polynucleotides, targeting agents, isotopically labeled organic or inorganic molecules, vaccines, immunological agents, etc.
- Other exemplary agents are described in greater detail herein.
- These particles may include other materials such as polymers (e.g., synthetic polymers (e.g., PEG, PLGA), natural polymers (e.g. , phospholipids)).
- the conjugated lipomers are mixed with one or more agents (e.g. , cholesterol) and/or one or more other materials (e.g., polymers).
- agents e.g. , cholesterol
- other materials e.g., polymers
- the diameter of the particles range from between 1 micrometer to 1,000 micrometers. In certain embodiments, the diameter of the particles range from between from 1 micrometer to 100 micrometers. In certain embodiments, the diameter of the particles range from between from 1 micrometer to 10 micrometers. In certain embodiments, the diameter of the particles range from between from 10 micrometer to 100 micrometers. In certain embodiments, the diameter of the particles range from between from 100 micrometer to 1,000 micrometers. In certain embodiments, the particles range from 1-5 micrometers. In certain embodiments, the diameter of the particles range from between 1 nm to 1,000 nm. In certain embodiments, the diameter of the particles range from between from 1 nm to 100 nm.
- the diameter of the particles range from between from 1 nm to 10 nm. In certain embodiments, the diameter of the particles range from between from 10 nm to 100 nm. In certain embodiments, the diameter of the particles range from between from 100 nm to 1,000 nm. In certain embodiments, the particles range from 1-5 nm. In certain embodiments, the diameter of the particles range from between 1 pm to 1,000 pm. In certain embodiments, the diameter of the particles range from between from 1 pm to 100 pm. In certain embodiments, the diameter of the particles range from between from 1 pm to 10 pm. In certain embodiments, the diameter of the particles range from between from 10 pm to 100 pm. In certain embodiments, the diameter of the particles range from between from 100 pm to 1,000 pm. In certain embodiments, the particles range from 1- 5 pm.
- inventive particles may be prepared using any method known in this art. These include, but are not limited to, spray drying, single and double emulsion solvent evaporation, solvent extraction, phase separation, simple and complex coacervation, and other methods well known to those of ordinary skill in the art.
- methods of preparing the particles are the double emulsion process and spray drying.
- the conditions used in preparing the particles may be altered to yield particles of a desired size or property (e.g. , hydrophobicity, hydrophilicity, external morphology, "stickiness", shape, etc.).
- the method of preparing the particle and the conditions (e.g. , solvent, temperature, concentration, air flow rate, etc.) used may also depend on the agent being encapsulated and/or the composition of the matrix.
- the particles prepared by any of the above methods have a size range outside of the desired range, the particles can be sized, for example, using a sieve.
- the particle may also be coated.
- the particles are coated with a targeting agent.
- the particles are coated to achieve desirable surface properties (e.g., a particular charge).
- the conjugated lipomers of the invention may also be used to prepare micelles liposomes.
- any agent may be included in a micelle or liposome.
- Micelles and liposomes are particularly useful in delivering hydrophobic agents such as hydrophobic small molecules.
- a lipoplex When the micelle or liposome is complexed with (e.g., encapsulates or covers) a polynucleotide it is referred to as a "lipoplex.”
- lipoplex a polynucleotide
- Many techniques for preparing micelles, liposomes, and lipoplexes are known in the art, and any method may be used with the inventive conjugated lipomers to make micelles and liposomes.
- liposomes are formed through spontaneous assembly.
- liposomes are formed when thin lipid films or lipid cakes are hydrated and stacks of lipid crystalline bilayers become fluid and swell.
- the hydrated lipid sheets detach during agitation and self-close to form large, multilamellar vesicles (LMV). This prevents interaction of water with the hydrocarbon core of the bilayers at the edges. Once these particles have formed, reducing the size of the particle can be modified through input of sonic energy (sonication) or mechanical energy (extrusion). See Walde, P.
- Conjugated lipomers are first dissolved in an organic solvent to assure a homogeneous mixture of conjugated lipomers. The solvent is then removed to form a polymer-derived film. This polymer-derived film is thoroughly dried to remove residual organic solvent by placing the vial or flask on a vaccuum pump overnight. Hydration of the polymer-derived film is accomplished by adding an aqueous medium and agitating the mixture. Disruption of LMV suspensions using sonic energy typically produces small unilamellar vesicles (SUV) with diameters in the range of 15-50 nm.
- SUV small unilamellar vesicles
- Lipid extrusion is a technique in which a lipid/polymer suspension is forced through a polycarbonate filter with a defined pore size to yield particles having a diameter near the pore size of the filter used. Extrusion through filters with 100 nm pores typically yields large, unilamellar polymer- derived vesicles (LUV) with a mean diameter of 120-140 nm.
- LUV unilamellar polymer- derived vesicles
- the polynucleotide is an RNA molecule (e.g., an RNAi molecule). In other embodiments, the polynucleotide is a DNA molecule. In certain embodiments, the amount of poly(beta-amino alcohol) in the liposome ranges from 30-80 mol , preferably 40-70 mol , more preferably 60-70 mol . These liposomes may be prepared using any method known in the art. In certain embodiments (e.g., liposomes containing RNAi molecules), the liposomes are prepared by lipid extrusion.
- conjugated lipomers can spontaneously self assemble around certain molecules, such as DNA and RNA, to form liposomes.
- the application is the delivery of polynucleotides.
- Use of these conjugated lipomers allows for simple assembly of liposomes without the need for additional steps or devices such as an extruder.
- the agents to be delivered by the systems of the present invention may be therapeutic, diagnostic, or prophylactic agents. Any chemical compound to be administered to an individual may be delivered using the inventive complexes, picoparticles, nanoparticles, microparticles, micelles, or liposomes.
- the agent may be an organic molecule ⁇ e.g., cholesterol, a drug), inorganic molecule, nucleic acid, protein, peptide, polynucleotide, targeting agent, isotopically labeled organic or inorganic molecule, vaccine, immunological agent, etc.
- the agents are organic molecules with pharmaceutical activity, e.g., a drug.
- the drug is an antibiotic, anti-viral agent, anesthetic, steroidal agent, anti-inflammatory agent, anti-neoplastic agent, anti-cancer agent, antigen, vaccine, antibody, decongestant, antihypertensive, sedative, birth control agent, progestational agent, anti-cholinergic, analgesic, anti-depressant, anti-psychotic, ⁇ -adrenergic blocking agent, diuretic, cardiovascular active agent, vasoactive agent, non-steroidal antiinflammatory agent, nutritional agent, etc.
- the agent to be delivered may be a mixture of agents.
- Diagnostic agents include gases; metals; commercially available imaging agents used in positron emissions tomography (PET), computer assisted tomography (CAT), single photon emission computerized tomography, x-ray, fluoroscopy, and magnetic resonance imaging (MRI); and contrast agents.
- PET positron emissions tomography
- CAT computer assisted tomography
- MRI magnetic resonance imaging
- suitable materials for use as contrast agents in MRI include gadolinium chelates, as well as iron, magnesium, manganese, copper, and chromium.
- Examples of materials useful for CAT and x-ray imaging include iodine- based materials.
- Prophylactic agents include, but are not limited to, antibiotics, nutritional supplements, and vaccines.
- Vaccines may comprise isolated proteins or peptides, inactivated organisms and viruses, dead organisms and viruses, genetically altered organisms or viruses, and cell extracts.
- Prophylactic agents may be combined with interleukins, interferon, cytokines, and adjuvants such as cholera toxin, alum, Freund's adjuvant, etc.
- Prophylactic agents include antigens of such bacterial organisms as Streptococccus pneumoniae, Haemophilus influenzae, Staphylococcus aureus, Streptococcus pyrogenes, Corynebacterium diphtheriae, Listeria monocytogenes, Bacillus anthracis, Clostridium tetani, Clostridium botulinum, Clostridium perfringens, Neisseria meningitidis, Neisseria gonorrhoeae,
- Streptococcus mutans Streptococcus mutans, Pseudomonas aeruginosa, Salmonella typhi, Haemophilus
- parainfluenzae Bordetella pertussis, Francisella tularensis, Yersinia pestis, Vibrio cholerae, Legionella pneumophila, Mycobacterium tuberculosis, Mycobacterium leprae, Treponema pallidum, Leptospirosis interrogans, Borrelia burgdorferi, Camphylobacter jejuni, and the like; antigens of such viruses as smallpox, influenza A and B, respiratory syncytial virus, parainfluenza, measles, HIV, varicella-zoster, herpes simplex 1 and 2, cytomegalovirus, Epstein-Barr virus, rotavirus, rhinovirus, adenovirus, papillomavirus, poliovirus, mumps, rabies, rubella, coxsackieviruses, equine encephalitis, Japanese encephalitis, yellow fever, Rift Valley fever, hepatitis A,
- inventive conjugated lipomers, and the complexes, liposomes, micelles, microparticles, picoparticles and nanoparticles, prepared therefrom, may be modified to include targeting agents since it is often desirable to target a particular cell, collection of cells, or tissue.
- targeting agents that direct pharmaceutical compositions to particular cells are known in the art (see, for example, Cotten et ah, Methods Enzym.
- the targeting agents may be included throughout the particle or may be only on the surface.
- the targeting agent may be a protein, peptide, carbohydrate, glycoprotein, lipid, small molecule, nucleic acids, etc.
- the targeting agent may be used to target specific cells or tissues or may be used to promote endocytosis or phagocytosis of the particle.
- Examples of targeting agents include, but are not limited to, antibodies, fragments of antibodies, low-density lipoproteins (LDLs), transferrin,
- the targeting agent may be included in the mixture that is used to form the particles. If the targeting agent is only on the surface, the targeting agent may be associated with (i.e., by covalent, hydrophobic, hydrogen bonding, van der Waals, or other interactions) the formed particles using standard chemical techniques.
- the present invention contemplates an inventive conjugated lipomer as a component of a composition which may be useful in a variety of medical and non-medical applications.
- pharmaceutical compositions comprising an inventive conjugated lipomer may be useful in the delivery of an effective amount of an agent to a subject in need thereof.
- Nutraceutical compositions comprising an inventive conjugated lipomer may be useful in the delivery of an effective amount of a nutraceutical, e.g., a dietary supplement, to a subject in need thereof.
- Cosmetic compositions comprising an inventive conjugated lipomer may be formulated as a cream, ointment, balm, paste, film, or liquid, etc.
- compositions comprising an inventive conjugated lipomer may be useful for nonmedical applications, e.g., such as an emulsion or emulsifier, useful, for example, as a food component, for extinguishing fires, for disinfecting surfaces, for oil cleanup, etc.
- the composition comprises one or more conjugated lipomers of the present invention.
- One or more conjugated lipomers refers to one or more different types of conjugated lipomers included in the composition, and encompasses 1, 2, 3, 4, 5, 6, 7, 8, 9, 10 or more different types of conjugated lipomers.
- the inventive conjugated lipomers are useful as compositions, either for delivery of an effective amount of an agent to a subject in need thereof (e.g., a pharmaceutical composition, a cosmetic composition) or for use as an excipient.
- cosmetic compositions may further use the inventive lipomers as excipients rather than as a delivery system encapsulating an agent to be delivered.
- the composition is a pharmaceutical composition.
- the composition is a cosmetic composition.
- the composition further comprises an agent, as described herein.
- the agent is a small molecule, organometallic compound, nucleic acid, protein, peptide, polynucleotide, metal, targeting agent, an isotopically labeled chemical compound, drug, vaccine, or immunological agent.
- the agent is a polynucleotide.
- the polynucleotide is DNA or RNA.
- the RNA is RNAi, dsRNA, siRNA, shRNA, miRNA, or antisense RNA.
- the polynucleotide and the one or more conjugated lipomers are not covalently attached.
- the one or more conjugated lipomers are in the form of a particle.
- the particle is a nanoparticle or microp article.
- the one or more conjugated lipomers are in the form of liposomes or micelles. It is understood that, in certain embodiments, these conjugated lipomers self-assemble to provide a paricle, micelle or liposome.
- the particle, liposome, or micelle encapsulates an agent.
- the agent to be delivered by the particles, liposomes, or micelles may be in the form of a gas, liquid, or solid.
- the inventive conjugated lipomers may be combined with polymers (synthetic or natural), surfactants, cholesterol, carbohydrates, proteins, lipids etc. to form the particles. These particles may be combined with an excipient to form pharmaceutical and cosmetic compositions.
- the complexes, micelles, liposomes, or particles may be combined with one or more excipients to form a composition that is suitable to administer to animals including humans.
- the excipients may be chosen based on the route of administration as described below, the agent being delivered, time course of delivery of the agent, etc.
- composition comprising an inventive conjugated lipomer and, optionally, an excipient.
- excipient means a non-toxic, inert solid, semi-solid or liquid filler, diluent, encapsulating material or formulation auxiliary of any type.
- excipients include, but are not limited to, sugars such as lactose, glucose, and sucrose; starches such as corn starch and potato starch; cellulose and its derivatives such as sodium carboxymethyl cellulose, ethyl cellulose, and cellulose acetate; powdered tragacanth; malt; gelatin; talc; excipients such as cocoa butter and suppository waxes; oils such as peanut oil, cottonseed oil; safflower oil; sesame oil; olive oil; corn oil and soybean oil; glycols such as propylene glycol; esters such as ethyl oleate and ethyl laurate; agar; detergents such as Tween 80;
- buffering agents such as magnesium hydroxide and aluminum hydroxide; alginic acid;
- pyrogen-free water isotonic saline; Ringer's solution; ethyl alcohol; and phosphate buffer solutions, as well as other non-toxic compatible lubricants such as sodium lauryl sulfate and magnesium stearate, as well as coloring agents, releasing agents, coating agents, sweetening, flavoring and perfuming agents, preservatives and antioxidants can also be present in the composition, according to the judgment of the formulator.
- compositions of this invention can be administered to humans and/or to animals, orally, rectally, parenterally, intracisternally, intravaginally, intranasally, intraperitoneally, topically (as by powders, creams, ointments, or drops), bucally, or as an oral or nasal spray.
- Liquid dosage forms for oral administration include emulsions, microemulsions, solutions, suspensions, syrups, and elixirs.
- the liquid dosage forms may contain inert diluents commonly used in the art such as, for example, water or other solvents, solubilizing agents and emulsifiers such as ethyl alcohol, isopropyl alcohol, ethyl carbonate, ethyl acetate, benzyl alcohol, benzyl benzoate, propylene glycol, 1,3-butylene glycol, dimethylformamide, oils (in particular, cottonseed, groundnut, corn, germ, olive, castor, and sesame oils), glycerol, tetrahydrofurfuryl alcohol, polyethylene glycols and fatty acid esters of sorbit
- Injectable preparations for example, sterile injectable aqueous or oleaginous suspensions may be formulated according to the known art using suitable dispersing or wetting agents and suspending agents.
- the sterile injectable preparation may also be a sterile injectable solution, suspension, or emulsion in a nontoxic parenterally acceptable diluent or solvent, for example, as a solution in 1,3-butanediol.
- acceptable vehicles and solvents that may be employed are water, Ringer's solution, U.S. P. and isotonic sodium chloride solution.
- sterile, fixed oils are conventionally employed as a solvent or suspending medium.
- any bland fixed oil can be employed including synthetic mono- or diglycerides.
- fatty acids such as oleic acid are used in the preparation of injectables.
- the particles are suspended in a carrier fluid comprising 1% (w/v) sodium carboxymethyl cellulose and 0.1% (v/v) Tween 80.
- the injectable formulations can be sterilized, for example, by filtration through a bacteria-retaining filter, or by incorporating sterilizing agents in the form of sterile solid compositions which can be dissolved or dispersed in sterile water or other sterile injectable medium prior to use.
- compositions for rectal or vaginal administration are preferably suppositories which can be prepared by mixing the particles with suitable non-irritating excipients or carriers such as cocoa butter, polyethylene glycol, or a suppository wax which are solid at ambient temperature but liquid at body temperature and therefore melt in the rectum or vaginal cavity and release the particles.
- suitable non-irritating excipients or carriers such as cocoa butter, polyethylene glycol, or a suppository wax which are solid at ambient temperature but liquid at body temperature and therefore melt in the rectum or vaginal cavity and release the particles.
- Solid dosage forms for oral administration include capsules, tablets, pills, powders, and granules.
- the particles are mixed with at least one inert, pharmaceutically acceptable excipient or carrier such as sodium citrate or dicalcium phosphate and/or a) fillers or extenders such as starches, lactose, sucrose, glucose, mannitol, and silicic acid, b) binders such as, for example, carboxymethylcellulose, alginates, gelatin, polyvinylpyrrolidinone, sucrose, and acacia, c) humectants such as glycerol, d) disintegrating agents such as agar-agar, calcium carbonate, potato or tapioca starch, alginic acid, certain silicates, and sodium carbonate, e) solution retarding agents such as paraffin, f) absorption accelerators such as quaternary ammonium compounds, g) wetting agents such as, for example, cetyl alcohol
- compositions of a similar type may also be employed as fillers in soft and hard-filled gelatin capsules using such excipients as lactose or milk sugar as well as high molecular weight polyethylene glycols and the like.
- the solid dosage forms of tablets, dragees, capsules, pills, and granules can be prepared with coatings and shells such as enteric coatings and other coatings well known in the pharmaceutical formulating art. They may optionally contain opacifying agents and can also be of a composition that they release the active ingredient(s) only, or preferentially, in a certain part of the intestinal tract, optionally, in a delayed manner. Examples of embedding compositions which can be used include polymeric substances and waxes.
- compositions of a similar type may also be employed as fillers in soft and hard-filled gelatin capsules using such excipients as lactose or milk sugar as well as high molecular weight polyethylene glycols and the like.
- Dosage forms for topical or transdermal administration of an inventive pharmaceutical composition include ointments, pastes, creams, lotions, gels, powders, solutions, sprays, inhalants, or patches.
- the particles are admixed under sterile conditions with a pharmaceutically acceptable carrier and any needed preservatives or buffers as may be required.
- Ophthalmic formulation, ear drops, and eye drops are also contemplated as being within the scope of this invention.
- the ointments, pastes, creams, and gels may contain, in addition to the particles of this invention, excipients such as animal and vegetable fats, oils, waxes, paraffins, starch, tragacanth, cellulose derivatives, polyethylene glycols, silicones, bentonites, silicic acid, talc, and zinc oxide, or mixtures thereof.
- excipients such as animal and vegetable fats, oils, waxes, paraffins, starch, tragacanth, cellulose derivatives, polyethylene glycols, silicones, bentonites, silicic acid, talc, and zinc oxide, or mixtures thereof.
- Powders and sprays can contain, in addition to the particles of this invention, excipients such as lactose, talc, silicic acid, aluminum hydroxide, calcium silicates, and polyamide powder, or mixtures of these substances.
- Sprays can additionally contain customary propellants such as chlorofluorohydrocarbons.
- Transdermal patches have the added advantage of providing controlled delivery of a compound to the body.
- dosage forms can be made by dissolving or dispensing the microparticles or nanoparticles in a proper medium.
- Absorption enhancers can also be used to increase the flux of the compound across the skin. The rate can be controlled by either providing a rate controlling membrane or by dispersing the particles in a polymer matrix or gel.
- inventive conjugated lipomers e.g., for the treatment of a disease, disorder or condition from which a subject suffers. It is contemplated that the inventive conjugated lipomers will be useful in the treatment of a variety of diseases, disorders or conditions, especially as a system for delivering agents useful in the treatment of that particular disease, disorder or condition.
- a method of treating cancer comprising administering to a subject in need thereof an effective amount of a conjugated lipomer of the present invention, e.g., a conjugated lipomer of the Formula (II) or (IV), or salt thereof, or a composition thereof.
- the method further comprises administering an anti-cancer agent.
- the conjugated lipomer encapsulates the anticancer agent.
- the conjugated lipomer and the anti-cancer agent form a particle ⁇ e.g., a nanoparticle, a microparticle, a micelle, a liposome, a lipoplex).
- a "subject" to which administration is contemplated includes, but is not limited to, humans ⁇ i.e., a male or female of any age group, e.g., a pediatric subject ⁇ e.g, infant, child, adolescent) or adult subject ⁇ e.g., young adult, middle-aged adult or senior adult)) and/or other non-human animals, for example mammals ⁇ e.g., primates ⁇ e.g., cynomolgus monkeys, rhesus monkeys); commercially relevant mammals such as cattle, pigs, horses, sheep, goats, cats, and/or dogs), birds ⁇ e.g., commercially relevant birds such as chickens, ducks, geese, and/or turkeys), reptiles, amphibians, and fish.
- the non-human animal is a mammal.
- the non-human animal may be a male or female and at any stage of development.
- a non-human animal may be a transgenic animal
- the terms “treat,” “treating” and “treatment” contemplate an action that occurs while a subject is suffering from the specified disease, disorder or condition, which reduces the severity of the disease, disorder or condition, or retards or slows the progression of the disease, disorder or condition
- therapeutic treatment and also contemplates an action that occurs before a subject begins to suffer from the specified disease, disorder or condition (“prophylactic treatment”).
- the "effective amount" of a compound refers to an amount sufficient to elicit the desired biological response.
- the effective amount of a compound of the invention may vary depending on such factors as the desired biological endpoint, the pharmacokinetics of the compound, the disease being treated, the mode of administration, and the age, health, and condition of the subject.
- An effective amount encompasses therapeutic and prophylactic treatment.
- a "therapeutically effective amount" of a compound is an amount sufficient to provide a therapeutic benefit in the treatment of a disease, disorder or condition, or to delay or minimize one or more symptoms associated with the disease, disorder or condition.
- a therapeutically effective amount of a compound means an amount of therapeutic agent, alone or in combination with other therapies, which provides a therapeutic benefit in the treatment of the disease, disorder or condition.
- the term "therapeutically effective amount” can encompass an amount that improves overall therapy, reduces or avoids symptoms or causes of disease or condition, or enhances the therapeutic efficacy of another therapeutic agent.
- a prophylactically effective amount of a compound is an amount sufficient to prevent a disease, disorder or condition, or one or more symptoms associated with the disease, disorder or condition, or prevent its recurrence.
- a prophylactically effective amount of a compound means an amount of a therapeutic agent, alone or in combination with other agents, which provides a prophylactic benefit in the prevention of the disease, disorder or condition.
- the term “prophylactically effective amount” can encompass an amount that improves overall prophylaxis or enhances the prophylactic efficacy of another prophylactic agent.
- Exemplary cancers include, but are not limited to, acoustic neuroma, adenocarcinoma, adrenal gland cancer, anal cancer, angiosarcoma (e.g., lymphangiosarcoma, lymphangioendotheliosarcoma, hemangiosarcoma), appendix cancer, benign monoclonal gammopathy, biliary cancer (e.g., cholangiocarcinoma), bladder cancer, breast cancer (e.g., adenocarcinoma of the breast, papillary carcinoma of the breast, mammary cancer, medullary carcinoma of the breast), brain cancer (e.g., meningioma; glioma, e.g., astrocytoma, oligodendroglioma; medulloblastoma), bronchus cancer, carcinoid tumor, cervical cancer (e.g., cervical adenocarcinoma), choriocarcinom
- T-cell NHL such as precursor T-lymphoblastic lymphoma/leukemia, peripheral T-cell lymphoma (PTCL) (e.g., cutaneous T-cell lymphoma (CTCL) (e.g., mycosis fungiodes, Sezary syndrome), angioimmunoblastic T-cell lymphoma, extranodal natural killer T-cell lymphoma, enteropathy type T-cell lymphoma, subcutaneous panniculitis-like T-cell lymphoma, anaplastic large cell lymphoma); a mixture of one or more leukemia
- HCC hepatocellular cancer
- lung cancer e.g., bronchogenic carcinoma, small cell lung cancer (SCLC), non-small cell lung cancer (NSCLC), adenocarcinoma of the lung
- myelofibrosis MF
- chronic idiopathic myelofibrosis CML
- chronic neutrophilic leukemia CML
- hypereosinophilic syndrome HES
- neuroblastoma e.g., neurofibromatosis (NF) type 1 or type 2, schwannomatosis
- NF neurofibromatosis
- neuroendocrine cancer e.g., gastroenteropancreatic neuroendoctrine tumor (GEP-NET), carcinoid tumor), osteosarcoma, ovarian cancer (e.g., cystadenocarcinoma, ovarian embryonal carcinoma, ovarian adenocarcinoma), papillary adenocarcinoma, pancreatic cancer (e.g., pancreatic andenocarcinoma, intraductal papillary mucinous neoplasm (IPMN), Islet cell tumors), penile cancer (e.g., Paget' s disease of the penis and scrotum), pinealoma, primitive neuroectodermal tumor (PNT), prostate cancer (e.g., prostate adenocarcinoma), rectal cancer, rhabdomyosarcoma, salivary gland cancer, skin cancer (e.g., squamous cell carcinoma (SCC), keratoacanthoma (KA), mel
- Anti-cancer agents encompass biotherapeutic anti-cancer agents as well as chemotherapeutic agents.
- biotherapeutic anti-cancer agents include, but are not limited to, interferons, cytokines (e.g., tumor necrosis factor, interferon a, interferon ⁇ ), vaccines, hematopoietic growth factors, monoclonal serotherapy, immuno stimulants and/or immunodulatory agents (e.g., IL- 1, 2, 4, 6, or 12), immune cell growth factors (e.g., GM- CSF) and antibodies (e.g.
- chemotherapeutic agents include, but are not limited to, anti- estrogens (e.g. tamoxifen, raloxifene, and megestrol), LHRH agonists (e.g. goscrclin and leuprolide), anti-androgens (e.g. flutamide and bicalutamide), photodynamic therapies (e.g.
- BPD-MA vertoporfin
- phthalocyanine phthalocyanine
- photo sensitizer Pc4 demethoxy-hypocrellin A
- demethoxy-hypocrellin A demethoxy-hypocrellin A
- nitrogen mustards e.g. cyclophosphamide, ifosfamide, trofosfamide, chlorambucil, estramustine, and melphalan
- nitrosoureas e.g. carmustine (BCNU) and lomustine (CCNU)
- alkylsulphonates e.g. busulfan and treosulfan
- triazenes e.g.
- dacarbazine, temozolomide platinum containing compounds (e.g. cisplatin, carboplatin, oxaliplatin), vinca alkaloids (e.g. vincristine, vinblastine, vindesine, and vinorelbine), taxoids (e.g.
- paclitaxel or a paclitaxel equivalent such as nanoparticle albumin-bound paclitaxel (ABRAXANE), docosahexaenoic acid bound-paclitaxel (DHA-paclitaxel, Taxoprexin), polyglutamate bound-paclitaxel (PG-paclitaxel, paclitaxel poliglumex, CT-2103, XYOTAX), the tumor- activated prodrug (TAP) ANG1005 (Angiopep-2 bound to three molecules of paclitaxel), paclitaxel-EC-1 (paclitaxel bound to the erbB2-recognizing peptide EC-1), and glucose-conjugated paclitaxel, e.g., 2'-paclitaxel methyl 2-glucopyranosyl succinate;
- ABRAXANE nanoparticle albumin-bound paclitaxel
- DHA-paclitaxel docosahexaenoic acid bound-paclitaxel
- docetaxel, taxol epipodophyllins (e.g. etoposide, etoposide phosphate, teniposide, topotecan, 9-aminocamptothecin, camptoirinotecan, irinotecan, crisnatol, mytomycin C), antimetabolites, DHFR inhibitors (e.g. methotrexate, dichloromethotrexate, trimetrexate, edatrexate), IMP dehydrogenase inhibitors (e.g. mycophenolic acid, tiazofurin, ribavirin, and EICAR), ribonuclotide reductase inhibitors (e.g.
- uracil analogs e.g. 5-fluorouracil (5-FU), floxuridine, doxifluridine, ratitrexed, tegafur-uracil, capecitabine
- cytosine analogs e.g. cytarabine (ara C), cytosine arabinoside, and
- fludarabine purine analogs (e.g. mercaptopurine and Thioguanine), Vitamin D3 analogs (e.g. EB 1089, CB 1093, and KH 1060), isoprenylation inhibitors (e.g. lovastatin), dopaminergic neurotoxins (e.g. l-methyl-4-phenylpyridinium ion), cell cycle inhibitors (e.g. staurosporine), actinomycin (e.g. actinomycin D, dactinomycin), bleomycin (e.g. bleomycin A2, bleomycin B2, peplomycin), anthracycline (e.g.
- purine analogs e.g. mercaptopurine and Thioguanine
- Vitamin D3 analogs e.g. EB 1089, CB 1093, and KH 1060
- isoprenylation inhibitors e.g. lovastatin
- dopaminergic neurotoxins e.g
- daunorubicin doxorubicin, pegylated liposomal doxorubicin, idarubicin, epirubicin, pirarubicin, zorubicin, mitoxantrone
- MDR inhibitors e.g. verapamil
- Ca 2+ ATPase inhibitors e.g.
- thapsigargin imatinib, thalidomide, lenalidomide, tyrosine kinase inhibitors (e.g., axitinib (AGO 13736), bosutinib (SKI-606), cediranib (RECENTINTM, AZD2171), dasatinib (SPRYCEL®, BMS-354825), erlotinib (TARCEVA®), gefitinib (IRESSA®), imatinib (Gleevec®, CGP57148B, STI-571), lapatinib (TYKERB®, TYVERB®), lestaurtinib (CEP-701), neratinib (HKI-272), nilotinib
- TASIGNA® semaxanib (semaxinib, SU5416), sunitinib (SUTENT®, SU11248), toceranib (PALLADIA®), vandetanib (ZACTEVIA®, ZD6474), vatalanib (PTK787, PTK/ZK), trastuzumab (HERCEPTIN®), bevacizumab (AVASTIN®), rituximab (RITUXAN®), cetuximab (ERBITUX®), panitumumab (VECTIBIX®), ranibizumab (Lucentis®), nilotinib (TASIGNA®), sorafenib (NEXAVAR®), everolimus (AFINITOR®), alemtuzumab
- CAMPATH® gemtuzumab ozogamicin
- MYLOTARG® gemtuzumab ozogamicin
- TORISEL® temsirolimus
- ENMD-2076 PCI-32765, AC220, dovitinib lactate (TKI258, CHIR-258), BIBW 2992 (TOVOKTM), SGX523, PF-04217903, PF-02341066, PF-299804, BMS-777607, ABT-869, MP470, BIBF 1120 (V ARGATEF® ) , AP24534, JNJ-26483327, MGCD265, DCC-2036, BMS-690154, CEP-11981, tivozanib (AV-951), OSI-930, MM-121, XL-184, XL-647, and/or XL228), proteasome inhibitors (e.g., bortezomib (VELCADE)), m
- the inventive lipomers were synthesized using (i) a polymer PEI backbone a linear PEI with a molecular weight of 600 (LPEI600); a branched PEI with a molecular weight of 600 (BPEI 600 ); a branched PEI with a molecular weight of 1800 (BPEI 1800 ); or (ii) macrocyles comprising amino groups (e.g., aza-crown macrocycles).
- the backbone was chemically modified with alkyl tails and/or PEG polymers by direct alkylation of one or more amino groups.
- the number of alkyl tails and/or PEG polymers per backbone was varied from 0 to 43 alkyl groups per backbone or from 0 to 4 alkyl groups per macrocycle, while the number of PEG polymer per molecule ranged from 0.1 to 0.3 per backbone or macrocycle.
- the resulting lipomer library was screened for in vitro efficacy against one murine cancer cell line (qBEND.3), two human cancer cell lines (HeLa or HCT- 116), and one primary human cell line (HMVEC).
- lipomers were found to reduce gene expression in vitro by more than 80% at doses of 30 nM with negligible toxicity. These lipomers were then tested for systemic in vivo delivery in two animal models: a Factor 7 liver delivery model and a hepatocellular carcinoma tumor model. The in vivo data demonstrated that these new lipomers can deliver siRNA effectively in animals.
- PEI polymers and aza-macrocycles were conjugated to alkyl and PEG polymers via an epoxide ring-opening reaction shown in Figure IB.
- LPEI 6 oo, BPEI 6 oo, BPEIigoo or aza-macrocycles were reacted with epoxides with alkyl chains having lengths between 10 and 18 carbons, inclusive.
- the reaction took place in 100% EtOH for 48-72 hours in capped glass vials at a temperature of about 90°C. After 48-72 hours, the solution was removed from the hotplate and the ethanol was removed via vacuum evaporation.
- LPEI600, ⁇ 6 ⁇ , BPEI ⁇ oo or the aza-macrocycles were also simultaneously alkylated with PEG 1000 (PEG 1K ), PEG2000 (PEG 2K ) or a 1: 1 mixture of PEG 1K and PEG 2K (PEGL SK ).
- PEG 1000 PEG 1K
- PEG2000 PEG 2K
- PEGL SK a 1: 1 mixture of PEG 1K and PEG 2K
- Table 3 lists the theoretical molecular weight, molar ratios, number of backbone nitrogens and nitrogen: phosphate ratios of compounds.
- BPEI with a number molecular weight (M n ) of 600 and a weight molecular weight (M w ) of 800 of (BPEI 6 oo) was purchased from Sigma Aldrich (catalog number 408719).
- BPEI with a M n of 1800 and M w of 2000 (BPEIi 800 ) was purchased from Alfa Aesar (catalog number 40528).
- Aza-macrocycles were purchased from Sigma Aldrich and Alfa Aesar (1,4,8,12 Tetraazacyclopentadecane TCI Catalog number 1691 or Sigma Aldrich Catalog Number 259512, l,4,10,13-Tetraoxa-7,16-Diaazacyclooctade Sigma Aldrich Catalog Number 295809, 1,4,8,11 Tetraazacyclotetradecane TCI Catalog Number T1597, 1,4,7,10- tetraazacyclododecane TCI Catalog Number T1874.
- epoxides were purchased from Sigma Aldrich or TCI America: 1,2-epoxydecane TCI Catalog number E0315 or Sigma Aldrich Catalog Number 260339, 1,2-epoxydodecane TCI Catalog number D1984 or Sigma Aldrich Catalog Number 260207, 1,2-epoxytetradecane TCI Catalog number E0314 or Sigma Aldrich Catalog Number 260266, 1,2-epoxyhexadecane TCI Catalog number E0316 or Sigma Aldrich Catalog Number 260215, 1,2-epoxyoctadecane TCI Catalog number E0313 or Sigma Aldrich Catalog Number 260231.
- PEG i ooo and PEG2000 were purchased from Creative Peg works. In vitro screening
- Lipomers were complexed with anti-Firefly luciferase siRNA (siLuc) (Dharmacon, Boulder, Colorado) or anti-Tie2 siRNA (siTie2) (Alnylam, Cambridge, MA) by incubating the lipomer with siRNA in 25 mMol NaAc with a pH of 5.2. The siRNA and lipomers were bound via electrostatic interactions between the negative phosphate backbone of the siRNA and the protonated amine backbone. GapDH siRNA (siGap) (Alnylam, Cambridge, MA) was used as a control for Tie2 expression. More specifically, lipomers were conjugated with siTie2 or siGap.
- Tie2 expression was measured using both complexes and successful compounds were those that reduced Tie2 expression Both Tie2 and GapDH More specifically, and compounds that reduced Tie2 expression even when conjugated to GapDH were considered toxic. Similarly, HeLa cell toxicity was tested by measuring both (targeted) Firefly luciferase and (control) Renilla Luciferase. Successful compounds reduced target gene expression and did not influence control gene expression.
- the in vitro screen was initiated by seeding cells onto a 96 well plate at a density of 15,000 cells/well. Twenty-four hours later, 30 nM lipomer-siRNA solution was placed in each well. The mixture was incubated overnight at 37 °C and 5% C0 2 . Luciferase and Renilla gene expression was then tested using luminescence (Dual Glow Assay, Promega, Madison, WI) while Tie2 expression was measured using a Quantigene 2.0 BDNA assay (Panomics, Santa Clara, CA). Compounds were considered successful if they reduced target gene expression by more than 80% while off-target gene knockdown was less than 20%. In most cases, successful candidates reduced off-target gene expression by less than 10%.
- HeLa nuclei blue
- cholera toxin B green
- Cysteine-5 tagged siRNA siCy5
- Particles in 25 mMol buffered sodium acetate (pH 5.3), were extruded using a 10 mL Lipex extruder (Northern Lipids, Canada) at 40 °C through 50 nm pore- size polycarbonate membranes until size distribution was uniform. siRNA was then added to the lipomer dispersion for 30 minutes, facilitating electrostatic interactions that led to siRNA complexation. Then, lipomers were dialyzed against IX PBS (pH 7.4) for 75 minutes to remove unbound siRNA and excess acetate. Particle size and charge were measured immediately after mixing with PEG and cholesterol, after conjugation to siRNA, and after dialysis. Particle size was measured with dynamic light scattering (DLS) and surface charge was estimated using zeta potential analysis (Zadorels, Brookhaven
- the Factor 7 siRNA was provided by Alnylam Pharmaceuticals and had a sense sequence of 5'-GGAucAucucAAGucuuAcT*T-3' (SEQ ID NO 1) as previously reported (Akinc, A. et al. Nature Biotechnology 26, 561-569).
- the Cy5-tagged siRNA was purchased from Qiagen and had a proprietary sequence (Product Number 1027297).
- the Luciferase targeting siRNA was purchased from Dharmacon and had a proprietary sequence (Product Number D-002050-0120).
- lipomers were screened against HeLa and HCT-116 cells. Since lipomer: siRNA mass ratios have been related in other studies to both efficacy and toxicity, the library was screened at lipomer: siRNA mass ratios of 2.5, 5, 10 and 15. Slightly less than 5% of the compounds transfected HeLa cells effectively, as shown qualitatively in Figure 2A and quantitatively in Figure 2B. Furthermore, lipomer: siRNA mass ratios of 10 and 15 were found to be most efficacious (Figure 2A), while Figure 2B indicates that at these ratios off-target effects ⁇ i.e., any decrease in Renilla luciferase expression) are negligible.
- siRNA delivery systems 317, 7H6, and 7I1B complexing fluorescently labeled siRNA were injected to the tail vein.
- the resulting biodistribution showed that siRNA accumulates in the liver, spleen, kidney and lungs and the tail of mice ( Figure 10). All compounds had high selectivity to the liver. A significant amount of 7H6 accumulated in the lungs while 71 IB also tended to accumulate in the kidneys. This suggests that different compounds can be optimized for delivery in different organs.
- the means are not intended to be limited to the means disclosed herein for performing the recited function, but are intended to cover in scope any means, known now or later developed, for performing the recited function.
- Use of terms such as “first”, “second”, “third”, etc., in the claims to modify a claim element does not by itself connote any priority, precedence, or order of one claim element over another or the temporal order in which acts of a method are performed, but are used merely as labels to distinguish one claim element having a certain name from another element having a same name (but for use of the ordinal term) to distinguish the claim elements.
Landscapes
- Health & Medical Sciences (AREA)
- Chemical & Material Sciences (AREA)
- Life Sciences & Earth Sciences (AREA)
- Organic Chemistry (AREA)
- Engineering & Computer Science (AREA)
- General Health & Medical Sciences (AREA)
- Medicinal Chemistry (AREA)
- Pharmacology & Pharmacy (AREA)
- Animal Behavior & Ethology (AREA)
- Veterinary Medicine (AREA)
- Public Health (AREA)
- Epidemiology (AREA)
- Bioinformatics & Cheminformatics (AREA)
- Genetics & Genomics (AREA)
- Molecular Biology (AREA)
- Biomedical Technology (AREA)
- Biophysics (AREA)
- Dispersion Chemistry (AREA)
- Chemical Kinetics & Catalysis (AREA)
- General Engineering & Computer Science (AREA)
- Biotechnology (AREA)
- Zoology (AREA)
- Wood Science & Technology (AREA)
- General Chemical & Material Sciences (AREA)
- Immunology (AREA)
- Physics & Mathematics (AREA)
- Plant Pathology (AREA)
- Microbiology (AREA)
- Biochemistry (AREA)
- Proteomics, Peptides & Aminoacids (AREA)
- Dermatology (AREA)
- Polymers & Plastics (AREA)
- Inorganic Chemistry (AREA)
- Nanotechnology (AREA)
- Nuclear Medicine, Radiotherapy & Molecular Imaging (AREA)
- Oil, Petroleum & Natural Gas (AREA)
- Virology (AREA)
- Pharmaceuticals Containing Other Organic And Inorganic Compounds (AREA)
- Macromolecular Compounds Obtained By Forming Nitrogen-Containing Linkages In General (AREA)
Abstract
The present invention provides inventive conjugated polyethyleneimine (PEI) polymers and conjugated aza-macrocycles (collectively referred to herein as "conjugated lipomers" or "lipomers") containing one or more groups of the formula (iii): wherein R3 and R4 are as defined herein. Also provided are compositions comprising the inventive conjugated lipomers, and methods of preparation and use.
Description
CONJUGATED LIPOMERS AND USES THEREOF
Related applications
[0001] The present application claims priority under 35 U.S.C. § 119(e) to U.S.
provisional patent application, U.S. S.N. 61,468,455, filed March 28, 2011, incorporated herein by reference.
Background of the Invention
[0002] The ability to silence genes via RNA interference (RNAi) was reported by
Mello and Fire in 1998 (Fire et al, Nature (1998) 391:806-811). Since then, scientists have rushed to take advantage of the enormous therapeutic potential driven by targeted gene knockdown. This is evidenced by the fact that the first report of small interfering RNA (siRNA) mediated RNAi in human beings was reported only twelve years after the phenomenon was described in Caenorhabditis elegans (Davis et al., Nature (2010)
464: 1067-1070). Unfortunately, this report represents the only successful therapeutic application to date. It is well understood that development of genetic drugs is slowed by the inability to deliver nucleic acids effectively in vivo. When unprotected, genetic material injected into the bloodstream can be degraded by DNAases and RNAases, or, if not degraded, the genetic material can stimulate an immune response (see, e.g., Whitehead et al., Nature Reviews Drug Discovery (2009) 8: 129-138; Robbins et al, Oligonucleotides (2009) 19:89- 102). Finally, in-tact siRNA must enter the cytosol, where the antisense strand is incorporated into the RNA-induced silencing complex (RISC) (Whitehead in supra). RISC associates with and degrades complementary mRNA sequences; this prevents translation of the target mRNA into protein, "silencing" the gene.
[0003] To overcome these barriers, nucleotides have been complexed with a wide variety of delivery systems, including polymers, lipids, inorganic nanoparticles and viruses (see, e.g., Peer et al. Nature Nanotechnology, (2007) 2:751-760). Although it had been used in commercial products for over thirty years, the cationic polymer polyethyleneimine (PEI) was first reported as an effective gene therapy delivery material in 1995 (Boussif et al., Proceedings of the National Academy of Sciences of the United States of America (1995) 92: 7297-7301). The amino groups of PEI are known to be protonated at physiological pH, facilitating electrostatic interactions with the negative phosphate backbone of the nucleotide (see, e.g., Suh et al., Bioorganic Chemistry (1994) 22:318-327). Branched PEI (BPEI) is one
of the most highly characterized polymeric vectors for genetic delivery owing to increased interactions between the branched cation and the relatively linear phosphate backbone (Von Harpe et al., Journal of Controlled Release (2000) 69: 309-322). In addition to this stability, BPEI is considered an ideal delivery vector because the primary, secondary and tertiary amino groups have different pKas, and can therefore accept a large number of protons in the endosome without acidifying the membrane. Since acidification is required for nuclease activity that would disassemble the nucleotide, the nucleotide is protected from degradation. Furthermore, the influx of protons creates a gradient down which ions and water flow, an effect also known as "the proton sponge". The endosomal membrane is filled like a balloon until it bursts open, releasing genetic material into the cytoplasm. In this way, BPEI is able to effectively ferry nucleic acids from the extracellular space into the cytoplasm (see, e.g., Akinc et al., Journal of Gene Medicine (2005) 7: 657-663).
[0004] The potential for effective delivery of nucleic acids with PEI has driven significant interest in the polymer (see, e.g., Incani et al., Soft Matter (2010) 6:2124-2138; and Howard, Advanced Drug Delivery Reviews (2009) 61:710-720). However, many authors have reported that efficacy, molecular weight and toxicity increase together (see, e.g., Godbey et al., Journal Of Biomedical Materials Research (1999) 45: 268-275). For example, it has been reported that a number average molar mass (Mn) of 25,000 BPEI (BPEI^ooo) was required for effective DNA delivery, while Mn 1200 and Mn 600 PEI failed to yield expression in any trial (Richards-Grayson et al., Pharmaceutical research (2006) 23: 1868- 1876). In that same report, BPEI80o DNA transfection was compared to Mn 22,000 linear PEI (LPEI22,ooo) and BPEI^ooo, and the authors found that while transfection was only seen with the BPEI25,ooo formulation, BPEI25,ooo was also found to be more cytotoxic. Regardless, many researchers have utilized BPEI25,ooo to delivery DNA and siRNA (see, e.g., Alshamsan et al., Biomaterials (2009) 31: 1420-1428; Kim et al, Bioconj. Chem. (2006) 17:241-244; Kim et al., J. Controlled Release (2006) 129: 107-116; Kwon et al., Bioconj. Chem. (2008) 19:920- 927; Jiang et al., Biopolymers (2008) 89:635-642; Creusat et al., Bioconjugate chemistry (2010) 21:994-1002; Bajaj et al., Bioconjugate chemistry (2008) 19: 1640-1651; Furgeson et al., Pharmaceutical research (2002) 19:382-390; and Furgeson et al., Bioconjugate Chem (2003)14:840-847). In a recent report, BPEI25jooo was conjugated by N-acylation of the PEI to lipid tails and formulated with siRNA targeting STAT3, a protein required for tumor progression (Alshamsan et al. Biomaterials (2010) 31: 1420-1428). In vitro analysis showed that the BPEI^ooo-C^ conjugate reduced target gene expression by 50% at 25 nM in vitro and reduced tumor size by 50% at 0.3 mg/kg after intra-tumoral injections.
[0005] Investigators have sought to abrogate the cytotoxic effects of using BPEI25>0oo in a variety of ways. For example, some investigators have conjugated lower molecular weight PEI segments together via biodegradable bonds in an effort to provide a new polymer which delivers nucleotides effectively like a ΒΡΕΙ25,οοο, but degrades into non-toxic constituents (see, e.g., Tarcha et al., Biomaterials (2007) 28:3731-3740; Breunig et al., Journal of Controlled Release (2008) 130:57-63; and Breunig et al, Proceedings of the National Academy of Sciences of the United States of America (2007) 104: 14454-14459). Others have used BPEI2ooo and BPELgoo to a variety of hydrophobic chemical groups in an effort to bolster the molecular weight of the PEI polymer to provide a new polymer without the cytotoxic effects inherent to BPEI25>0oo- In one such report, lipid moieties were conjugated by N- acylation to BPEI2ooo (2 kDa PEI) and evaluated for gene delivery (Neamnark, et al.
Molecular Pharmaceutics (2009) 6: 1798-1815). The authors reported that lipid conjugation improved gene delivery, but doses nearing 100 nM were not effective at transfecting the plasmid. In another report, BPEI180o was conjugated to cholesterol in a molar ratio of cholesterol:BPEI180o of approximately 1, but the authors required 5-15 μΜ for in vitro knockdown, indicating poor efficacy (see Kim et al., J. Controlled Release (2007) 118:357- 363). Still others have investigated poly-siRNA conjugated to BPELgoo for gene silencing (see, e.g., Lee et al, J. Controlled Release (2010) 141:339-346). However, the prevailing sense in the research community is that use of LPEI for the delivery of siRNA is still not as effective as use of BPEI, and that low molecular weight LPEI and BPEI polymers, i.e., having a number average molar mass (Mn) of < 2000 {i.e., approximately < 2 kDa), are inefficient materials for siRNA delivery (see, e.g., Boussif et al., Proceedings of the National Academy of Sciences of the United States of America (1995) 92: 7297-7301; and Philipp et al, Bioconjugate Chem. (2009) 20:2055-2061).
[0006] As described above, PEI mediated polynucleotide delivery has been well- studied, but, to date, no highly effective in vivo PEI-based delivery system has been reported. Thus, there continues to remain a need to develop a PEI-based polynucleotide delivery system which is as efficient a delivery system as a high molecular weight PEI, but with little to no cytotoxicity.
Summary of the Invention
[0007] The present invention provides inventive conjugated polyethyleneimine (PEI) polymers and inventive conjugated aza-macrocycles (collectively referred to herein as "conjugated lipomers" or "lipomers"), which are useful, for example, as polynucleotide
delivery systems. The conjugated polyethyleneimine polymers are preferably prepared from low molecular weight linear polyethyleneimine (LPEI) and branched polyethyleneimine (BPEI) polymers, i.e., having a number average molar mass (Mn) of < 2000 {i.e., approximately < 2 kDa).
or salt thereof;
wherein:
each instance of L1 is independently selected from formulae:
(i) (ii) (iii) provided that at least one L is selected from formulae (iii);
n is an integer of between 3 to 45, inclusive;
each instance of R is independently hydrogen; acyl; silyl; sulfonyl; an amino protecting group; substituted or unsubstituted alkyl; substituted or unsubstituted alkenyl; substituted or unsubstituted alkynyl; substituted or unsubstituted heteroalkyl; substituted or unsubstituted heteroalkenyl; substituted or unsubstituted heteroalkynyl; substituted or unsubstituted carbocyclyl; substituted or unsubstituted heterocyclyl; substituted or unsubstituted aryl; substituted or unsubstituted heteroaryl; a substituted or unsubstituted polyethyleneimine; or a group of the formula (iii'):
or the two R groups are joined to form a substituted or unsubstituted heterocyclyl;
each instance of R is independently substituted or unsubstituted alkyl; substituted or unsubstituted alkenyl; substituted or unsubstituted alkynyl; substituted or unsubstituted heteroalkyl; substituted or unsubstituted heteroalkenyl; substituted or unsubstituted heteroalkynyl; substituted or unsubstituted carbocyclyl; substituted or unsubstituted
heterocyclyl; substituted or unsubstituted aryl; substituted or unsubstituted heteroaryl; or a hydrophilic polymer;
each instance of R4 is independently hydrogen, acyl; silyl; a hydroxyl protecting group; substituted or unsubstituted alkyl; substituted or unsubstituted alkenyl; substituted or unsubstituted alkynyl; substituted or unsubstituted heteroalkyl; substituted or unsubstituted heteroalkenyl; substituted or unsubstituted hetero alkynyl; substituted or unsubstituted carbocyclyl; substituted or unsubstituted heterocyclyl; substituted or unsubstituted aryl; or substituted or unsubstituted heteroaryl;
A is -N(R5)2, wherein each instance of R5 is independently hydrogen; acyl; silyl; sulfonyl; an amino protecting group; substituted or unsubstituted alkyl; substituted or unsubstituted alkenyl; substituted or unsubstituted alkynyl; substituted or unsubstituted heteroalkyl; substituted or unsubstituted heteroalkenyl; substituted or unsubstituted heteroalkynyl; substituted or unsubstituted carbocyclyl; substituted or unsubstituted heterocyclyl; substituted or unsubstituted aryl; substituted or unsubstituted heteroaryl; or a group of the formula (iii'):
or two R5 groups are joined to form a substituted or unsubstituted heterocyclyl; and
Z is hydrogen; acyl; silyl; sulfonyl; an amino protecting group; substituted or unsubstituted alkyl; substituted or unsubstituted alkenyl; substituted or unsubstituted alkynyl; substituted or unsubstituted heteroalkyl; substituted or unsubstituted heteroalkenyl;
substituted or unsubstituted heteroalkynyl; substituted or unsubstituted carbocyclyl;
substituted or unsubstituted heterocyclyl; substituted or unsubstituted aryl; substituted or unsubstituted heteroaryl, or a group of the formula (iii'):
or Z and the nitrogen atom to which it is attached form a substituted or unsubstituted heterocyclyl group.
or salt thereof; wherein:
(viii) (ix) provided that the cyclic conjugated lipomer contains at least one group selected from (vi), (vii) or (viii);
each instance of R is independently hydrogen; acyl; silyl; sulfonyl; an amino protecting group; substituted or unsubstituted alkyl; substituted or unsubstituted alkenyl; substituted or unsubstituted alkynyl; substituted or unsubstituted heteroalkyl; substituted or unsubstituted heteroalkenyl; substituted or unsubstituted heteroalkynyl; substituted or unsubstituted carbocyclyl; substituted or unsubstituted heterocyclyl; substituted or unsubstituted aryl; substituted or unsubstituted heteroaryl; or
provided the conjugated lipomer contains at least one group of the formula (iii');
each instance of R is independently substituted or unsubstituted alkyl; substituted or unsubstituted alkenyl; substituted or unsubstituted alkynyl; substituted or unsubstituted heteroalkyl; substituted or unsubstituted heteroalkenyl; substituted or unsubstituted heteroalkynyl; substituted or unsubstituted carbocyclyl; substituted or unsubstituted heterocyclyl; substituted or unsubstituted aryl; substituted or unsubstituted heteroaryl; or a hydrophilic polymer;
each instance of R4 is independently hydrogen, acyl; silyl; a hydroxyl protecting group; substituted or unsubstituted alkyl; substituted or unsubstituted alkenyl; substituted or unsubstituted alkynyl; substituted or unsubstituted heteroalkyl; substituted or unsubstituted heteroalkenyl; substituted or unsubstituted heteroalkynyl; substituted or unsubstituted
carbocyclyl; substituted or unsubstituted heterocyclyl; substituted or unsubstituted aryl; or substituted or unsubstituted heteroaryl;
each instance of m and p is independently 0, 1 or 2;
q is an integer selected from 2, 3, or 4; and
the dashed curved line, together with G and Y, is a covalent bond or a group of the formula:
wherein s is 0, 1, or 2, and R is as defined herein.
[0010] In certain embodiments, the cyclic conjugated lipomer comprises at least one instance of the group of the formula (vi). In these embodiments, the conjugated lipomer is of the Formula (V), (VI), or (VII):
(V) (VI) (VII) or salt thereof.
[0011] In certain embodiments, the conjugated lipomer comprises at least one instance of the group of the formula (vii), (viii), or (ix). In these embodiments, the conjugated lipomer is of the Formu
(VII) (IX) or salt thereof.
[0012] In yet another aspect, provided are compositions comprising the inventive conjugated lipomers. For example, in certain embodiments, provided is a composition comprising one or more conjugated lipomers of the present invention, e.g., a conjugated lipomer of Formula (II) or (IV), and, optionallyan excipient. In certain embodiments, the
composition is a pharmaceutical composition or a cosmetic composition. In certain embodiments, the composition further comprises an agent. In certain embodiments, the agent is small molecule, organometallic compound, nucleic acid, protein, peptide, polynucleotide, metal, targeting agent, an isotopically labeled chemical compound, drug, vaccine,
immunological agent. In certain embodiments, the agent is a polynucleotide, and the polynucleotide is DNA or RNA. In certain embodiments, the RNA is RNAi, dsRNA, siRNA, shRNA, miRNA, or antisense RNA. In certain embodiments, the polynucleotide and the one or more conjugated lipomers are not covalently attached. In certain embodiments, the one or more conjugated lipomers is in the form of a particle. In certain embodiments, the particle is a nanoparticle or microp article. In certain embodiments, the particle encapsulates an agent, e.g., an agent to be delivered.
[0013] In yet another aspect, provided are methods of preparation of the inventive conjugated lipomers. For example, in one embodiment, provided is a method of preparing a conjugated lipomer of the Formula (II), or salt thereof, the method comprising contacting a compound of the For ula (xii):
(I) D
wherein each instance of R1 is independently selected from hydrogen or a group of the formula (ϋ'):
R2' 2 (ii .
[0014] In another embodiment, provided is a method of preparing a cyclic conjugated lipomer of the Formula (IV), or salt thereof, the method comprising contacting a compound of the Formula (III), or salt thereof, with an epoxide of the formula (xii):
(III)
(viii) (ix) provided that the compound of Formula (III) contains at least one group selected from (vi), (vii) or (viii); and further provided that the compound of Formula (III) contains at least one R group that is hydrogen.
[0015] In yet another aspect, provided are screening methods. For example, in one embodiments, provided is a method of screening a library of conjugated lipomers of the present invention, e.g., conjugated lipomers Formula (II) and/or (IV), the method comprising providing a plurality of conjugated lipomers; and screening the conjugated lipomers for a desired property, e.g., useful in gene therapy. In certain embodiments, the desired property includes a property useful for delivery of an agent (e.g., a small molecule, polynucleotide, protein, peptide) to a cell, tissue, organ, or subject. In certain embodiments, the desired property is an ability to bind a polynucleotide; increase transfection efficiency; support cell growth; support cell attachment; support tissue growth; or to be soluble in an aqueous solution.
[0016] In yet another aspect, provided are methods of use of the inventive conjugated lipomers for the treatment of diseases, disorders, or conditions. For example, in certain embodiments, provided is a method of treating cancer comprising administering to a subject in need thereof an effective amount of an inventive conjugated lipomer, or salt thereof, as described herein.
Definitions
[0017] Definitions of specific functional groups and chemical terms are described in more detail below. The chemical elements are identified in accordance with the Periodic Table of the Elements, CAS version, Handbook of Chemistry and Physics, 75th Ed., inside cover, and specific functional groups are generally defined as described therein.
Additionally, general principles of organic chemistry, as well as specific functional moieties and reactivity, are described in Organic Chemistry, Thomas Sorrell, University Science
Books, Sausalito, 1999; Smith and March March's Advanced Organic Chemistry, 5 Edition, John Wiley & Sons, Inc., New York, 2001; Larock, Comprehensive Organic
Transformations, VCH Publishers, Inc., New York, 1989; and Carruthers, Some Modern
Methods of Organic Synthesis, 3 rd Edition, Cambridge University Press, Cambridge, 1987.
[0018] Compounds described herein can comprise one or more asymmetric centers, and thus can exist in various isomeric forms, e.g., enantiomers and/or diastereomers. For example, the compounds described herein can be in the form of an individual enantiomer, diastereomer or geometric isomer, or can be in the form of a mixture of stereoisomers, including racemic mixtures and mixtures enriched in one or more stereoisomer. Isomers can be isolated from mixtures by methods known to those skilled in the art, including chiral high pressure liquid chromatography (HPLC) and the formation and crystallization of chiral salts; or preferred isomers can be prepared by asymmetric syntheses. See, for example, Jacques et ah, Enantiomers, Racemates and Resolutions (Wiley Interscience, New York, 1981); Wilen et ah, Tetrahedron 33:2725 (1977); Eliel, E.L. Stereochemistry of Carbon Compounds (McGraw-Hill, NY, 1962); and Wilen, S.H. Tables of Resolving Agents and Optical
Resolutions p. 268 (E.L. Eliel, Ed., Univ. of Notre Dame Press, Notre Dame, IN 1972). The invention additionally encompasses compounds as individual isomers substantially free of other isomers, and alternatively, as mixtures of various isomers.
[0019] When a range of values is listed, it is intended to encompass each value and sub-range within the range. For example "Ci_6 alkyl" is intended to encompass, C1; C2, C3,
C4, C5, C6, Ci-6, Ci-5, Ci^, Ci-3, Ci-2, C2-6, C2_5, C-2-A, C2_3, C3_6, C3_5, C3^, C4_6, C4_5, and C5-6 alkyl.
[0020] As used herein, "alkyl" refers to a radical of a straight-chain or branched saturated hydrocarbon group having from 1 to 50 carbon atoms ("Ci-so alkyl"). In some embodiments, an alkyl group has 1 to 40 carbon atoms ("C^o alkyl"). In some embodiments, an alkyl group has 1 to 30 carbon atoms ("C^o alkyl"). In some embodiments, an alkyl group has 1 to 20 carbon atoms ("C^o alkyl"). In some embodiments, an alkyl group has 1 to 20 carbon atoms ("C^o alkyl"). In some embodiments, an alkyl group has 1 to 9 carbon atoms ("Ci_9 alkyl"). In some embodiments, an alkyl group has 1 to 8 carbon atoms ("Q-e alkyl"). In some embodiments, an alkyl group has 1 to 7 carbon atoms ("C^ alkyl"). In some embodiments, an alkyl group has 1 to 6 carbon atoms ("C^ alkyl"). In some embodiments, an alkyl group has 1 to 5 carbon atoms ("C^s alkyl"). In some embodiments, an alkyl group has 1 to 4 carbon atoms ("C^ alkyl"). In some embodiments, an alkyl group has 1 to 3 carbon atoms ("Ci_3 alkyl"). In some embodiments, an alkyl group has 1 to 2
carbon atoms ("Ci_2 alkyl"). In some embodiments, an alkyl group has 1 carbon atom ("Q alkyl"). In some embodiments, an alkyl group has 2 to 6 carbon atoms ("C2-6 alkyl").
Examples of Ci_6 alkyl groups include methyl (CO, ethyl (C2), n-propyl (C3), isopropyl (C3), n-butyl (C4), tert-butyl (C4), sec-butyl (C4), iso-butyl (C4), n-pentyl (C5), 3-pentanyl (C5), amyl (C5), neopentyl (C5), 3-methyl-2-butanyl (C5), tertiary amyl (C5), and n-hexyl (C6). Additional examples of alkyl groups include n-heptyl (C7), n-octyl (Cg) and the like. Unless otherwise specified, each instance of an alkyl group is independently unsubstituted (an "unsubstituted alkyl") or substituted (a "substituted alkyl") with one or more substituents. In certain embodiments, the alkyl group is an unsubstituted Ciso alkyl. In certain embodiments, the alkyl group is a substituted Ciso alkyl.
[0021] The term "heteroalkyl," as used herein, refers to an alkyl group, as defined herein, which further comprises 1 or more (e.g. , 1 to 25) heteroatoms (e.g., oxygen, sulfur, nitrogen, boron, silicon, phosphorus) included in the parent chain. In certain embodiments, the heteroalkyl group is an unsubstituted Q-so heteroalkyl. In certain embodiments, the heteroalkyl group is a substituted Ci_5o heteroalkyl.
[0022] As used herein, "alkenyl" refers to a radical of a straight-chain or branched hydrocarbon group having from 2 to 50 carbon atoms and one or more carbon-carbon double bonds ("C2_5o alkenyl"). In some embodiments, an alkenyl group has 2 to 40 carbon atoms ("C2^o alkenyl"). In some embodiments, an alkenyl group has 2 to 30 carbon atoms ("C2_3o alkenyl"). In some embodiments, an alkenyl group has 2 to 20 carbon atoms ("C2_2o
alkenyl"). In some embodiments, an alkenyl group has 2 to 10 carbon atoms ("C2_io
alkenyl"). In some embodiments, an alkenyl group has 2 to 9 carbon atoms ("C2_g alkenyl"). In some embodiments, an alkenyl group has 2 to 8 carbon atoms ("C2_8 alkenyl"). In some embodiments, an alkenyl group has 2 to 7 carbon atoms ("C2_7 alkenyl"). In some
embodiments, an alkenyl group has 2 to 6 carbon atoms ("C2_6 alkenyl"). In some
embodiments, an alkenyl group has 2 to 5 carbon atoms ("C2_5 alkenyl"). In some
embodiments, an alkenyl group has 2 to 4 carbon atoms ("C2^ alkenyl"). In some
embodiments, an alkenyl group has 2 to 3 carbon atoms ("C2_3 alkenyl"). In some embodiments, an alkenyl group has 2 carbon atoms ("C2 alkenyl"). The one or more carbon-carbon double bonds can be internal (such as in 2-butenyl) or terminal (such as in 1- butenyl). Examples of C2^ alkenyl groups include ethenyl (C2), 1-propenyl (C3), 2-propenyl (C3), 1-butenyl (C4), 2-butenyl (C4), butadienyl (C4), and the like. Examples of C2_6 alkenyl groups include the aforementioned C2^ alkenyl groups as well as pentenyl (C5), pentadienyl (C5), hexenyl (C6), and the like. Additional examples of alkenyl include heptenyl (C7),
octenyl (Cg), octatrienyl (Cg), and the like. Unless otherwise specified, each instance of an alkenyl group is independently unsubstituted (an "unsubstituted alkenyl") or substituted (a "substituted alkenyl") with one or more substituents. In certain embodiments, the alkenyl group is an unsubstituted C2-50 alkenyl. In certain embodiments, the alkenyl group is a substituted C2-50 alkenyl.
[0023] The term "heteroalkenyl," as used herein, refers to an alkenyl group, as defined herein, which further comprises 1 or more (e.g. , 1 to 25) heteroatoms (e.g. , oxygen, sulfur, nitrogen, boron, silicon, phosphorus) included in the parent chain. In certain embodiments, the heteroalkenyl group is an unsubstituted C2-50 heteroalkenyl. In certain embodiments, the heteroalkenyl group is a substituted C2-50 heteroalkenyl.
[0024] As used herein, "alkynyl" refers to a radical of a straight-chain or branched hydrocarbon group having from 2 to 50 carbon atoms and one or more carbon-carbon triple bonds ("C2-50 alkynyl"). In some embodiments, an alkynyl group has 2 to 40 carbon atoms ("C2^o alkynyl"). In some embodiments, an alkynyl group has 2 to 30 carbon atoms ("C2-30 alkynyl"). In some embodiments, an alkynyl group has 2 to 20 carbon atoms ("C2-20 alkynyl"). In some embodiments, an alkynyl group has 2 to 10 carbon atoms ("C2-10 alkynyl"). In some embodiments, an alkynyl group has 2 to 9 carbon atoms ("C2-9 alkynyl"). In some embodiments, an alkynyl group has 2 to 8 carbon atoms ("C2-g alkynyl"). In some embodiments, an alkynyl group has 2 to 7 carbon atoms ("C2_7 alkynyl"). In some embodiments, an alkynyl group has 2 to 6 carbon atoms ("C2-6 alkynyl"). In some embodiments, an alkynyl group has 2 to 5 carbon atoms ("C2_5 alkynyl"). In some embodiments, an alkynyl group has 2 to 4 carbon atoms ("C2^ alkynyl"). In some embodiments, an alkynyl group has 2 to 3 carbon atoms ("C2-3 alkynyl"). In some embodiments, an alkynyl group has 2 carbon atoms ("C2 alkynyl"). The one or more carbon- carbon triple bonds can be internal (such as in 2-butynyl) or terminal (such as in 1-butynyl). Examples of C2- alkynyl groups include, without limitation, ethynyl (C2), 1-propynyl (C3), 2-propynyl (C3), 1-butynyl (C4), 2-butynyl (C4), and the like. Examples of C2-6 alkenyl groups include the aforementioned C2- alkynyl groups as well as pentynyl (C5), hexynyl (C6), and the like. Additional examples of alkynyl include heptynyl (C7), octynyl (Cg), and the like. Unless otherwise specified, each instance of an alkynyl group is independently unsubstituted (an "unsubstituted alkynyl") or substituted (a "substituted alkynyl") with one or more substituents. In certain embodiments, the alkynyl group is an unsubstituted C2-50 alkynyl. In certain embodiments, the alkynyl group is a substituted C2-50 alkynyl.
[0025] The term "heteroalkynyl," as used herein, refers to an alkynyl group, as defined herein, which further comprises 1 or more (e.g. , 1 to 25) heteroatoms (e.g. , oxygen, sulfur, nitrogen, boron, silicon, phosphorus) included in the parent chain. In certain embodiments, the heteroalkynyl group is an unsubstituted C2-50 heteroalkynyl. In certain embodiments, the heteroalkynyl group is a substituted C2-50 heteroalkynyl.
[0026] As used herein, "carbocyclyl" refers to a radical of a non-aromatic cyclic hydrocarbon group having from 3 to 10 ring carbon atoms ("C^o carbocyclyl") and zero heteroatoms in the non-aromatic ring system. In some embodiments, a carbocyclyl group has 3 to 8 ring carbon atoms ("C3_g carbocyclyl"). In some embodiments, a carbocyclyl group has 3 to 6 ring carbon atoms ("C3_6 carbocyclyl"). In some embodiments, a carbocyclyl group has 3 to 6 ring carbon atoms ("C3_6 carbocyclyl"). In some embodiments, a
carbocyclyl group has 5 to 10 ring carbon atoms ("Cs-io carbocyclyl"). Exemplary C3_6 carbocyclyl groups include, without limitation, cyclopropyl (C3), cyclopropenyl (C3), cyclobutyl (C4), cyclobutenyl (C4), cyclopentyl (C5), cyclopentenyl (C5), cyclohexyl (C6), cyclohexenyl (C6), cyclohexadienyl (C6), and the like. Exemplary C3_g carbocyclyl groups include, without limitation, the aforementioned C3_6 carbocyclyl groups as well as cycloheptyl (C7), cycloheptenyl (C7), cycloheptadienyl (C7), cycloheptatrienyl (C7), cyclooctyl (Cg), cyclooctenyl (Cg), bicyclo[2.2.1]heptanyl (C7), bicyclo[2.2.2]octanyl (Cg), and the like. Exemplary C3_10 carbocyclyl groups include, without limitation, the
aforementioned C3_g carbocyclyl groups as well as cyclononyl (C9), cyclononenyl (C9), cyclodecyl (C10), cyclodecenyl (C10), octahydro-lH-indenyl (C9), decahydronaphthalenyl (Cio), spiro[4.5]decanyl (C10), and the like. As the foregoing examples illustrate, in certain embodiments, the carbocyclyl group is either monocyclic ("monocyclic carbocyclyl") or polycyclic (e.g., containing a fused, bridged or spiro ring system such as a bicyclic system ("bicyclic carbocyclyl") or tricyclic system ("tricyclic carbocyclyl")) and can be saturated or can contain one or more carbon-carbon double or triple bonds. "Carbocyclyl" also includes ring systems wherein the carbocyclyl ring, as defined above, is fused with one or more aryl or heteroaryl groups wherein the point of attachment is on the carbocyclyl ring, and in such instances, the number of carbons continue to designate the number of carbons in the carbocyclic ring system. Unless otherwise specified, each instance of a carbocyclyl group is independently unsubstituted (an "unsubstituted carbocyclyl") or substituted (a "substituted carbocyclyl") with one or more substituents. In certain embodiments, the carbocyclyl group is an unsubstituted C3_io carbocyclyl. In certain embodiments, the carbocyclyl group is a substituted C3_io carbocyclyl.
[0027] In some embodiments, "carbocyclyl" is a monocyclic, saturated carbocyclyl group having from 3 to 10 ring carbon atoms ("C^o cycloalkyl"). In some embodiments, a cycloalkyl group has 3 to 8 ring carbon atoms ("C3_8 cycloalkyl"). In some embodiments, a cycloalkyl group has 3 to 6 ring carbon atoms ("C3_6 cycloalkyl"). In some embodiments, a cycloalkyl group has 5 to 6 ring carbon atoms ("C5_6 cycloalkyl"). In some embodiments, a cycloalkyl group has 5 to 10 ring carbon atoms ("Cs-io cycloalkyl"). Examples of C5_6 cycloalkyl groups include cyclopentyl (C5) and cyclohexyl (C5). Examples of C3_6 cycloalkyl groups include the aforementioned C5_6 cycloalkyl groups as well as cyclopropyl (C3) and cyclobutyl (C4). Examples of C3_g cycloalkyl groups include the aforementioned C3_6 cycloalkyl groups as well as cycloheptyl (C7) and cyclooctyl (Cg). Unless otherwise specified, each instance of a cycloalkyl group is independently unsubstituted (an
"unsubstituted cycloalkyl") or substituted (a "substituted cycloalkyl") with one or more substituents. In certain embodiments, the cycloalkyl group is an unsubstituted C3_io cycloalkyl. In certain embodiments, the cycloalkyl group is a substituted C3_io cycloalkyl.
[0028] As used herein, "heterocyclyl" refers to a radical of a 3- to 14-membered non- aromatic ring system having ring carbon atoms and 1 to 4 ring heteroatoms, wherein each heteroatom is independently selected from nitrogen, oxygen, and sulfur ("3-14 membered heterocyclyl"). In heterocyclyl groups that contain one or more nitrogen atoms, the point of attachment can be a carbon or nitrogen atom, as valency permits. A heterocyclyl group can either be monocyclic ("monocyclic heterocyclyl") or polycyclic (e.g., a fused, bridged or spiro ring system such as a bicyclic system ("bicyclic heterocyclyl") or tricyclic system ("tricyclic heterocyclyl")), and can be saturated or can contain one or more carbon-carbon double or triple bonds. Heterocyclyl polycyclic ring systems can include one or more heteroatoms in one or both rings. "Heterocyclyl" also includes ring systems wherein the heterocyclyl ring, as defined above, is fused with one or more carbocyclyl groups wherein the point of attachment is either on the carbocyclyl or heterocyclyl ring, or ring systems wherein the heterocyclyl ring, as defined above, is fused with one or more aryl or heteroaryl groups, wherein the point of attachment is on the heterocyclyl ring, and in such instances, the number of ring members continue to designate the number of ring members in the heterocyclyl ring system. Unless otherwise specified, each instance of heterocyclyl is independently unsubstituted (an "unsubstituted heterocyclyl") or substituted (a "substituted heterocyclyl") with one or more substituents. In certain embodiments, the heterocyclyl group is an unsubstituted 3-14 membered heterocyclyl. In certain embodiments, the heterocyclyl group is a substituted 3-14 membered heterocyclyl.
[0029] In some embodiments, a heterocyclyl group is a 5-10 membered non-aromatic ring system having ring carbon atoms and 1-4 ring heteroatoms, wherein each heteroatom is independently selected from nitrogen, oxygen, and sulfur ("5-10 membered heterocyclyl"). In some embodiments, a heterocyclyl group is a 5-8 membered non-aromatic ring system having ring carbon atoms and 1-4 ring heteroatoms, wherein each heteroatom is
independently selected from nitrogen, oxygen, and sulfur ("5-8 membered heterocyclyl"). In some embodiments, a heterocyclyl group is a 5-6 membered non-aromatic ring system having ring carbon atoms and 1-4 ring heteroatoms, wherein each heteroatom is
independently selected from nitrogen, oxygen, and sulfur ("5-6 membered heterocyclyl"). In some embodiments, the 5-6 membered heterocyclyl has 1-3 ring heteroatoms selected from nitrogen, oxygen, and sulfur. In some embodiments, the 5-6 membered heterocyclyl has 1-2 ring heteroatoms selected from nitrogen, oxygen, and sulfur. In some embodiments, the 5-6 membered heterocyclyl has 1 ring heteroatom selected from nitrogen, oxygen, and sulfur.
[0030] Exemplary 3-membered heterocyclyl groups containing 1 heteroatom include, without limitation, azirdinyl, oxiranyl, thiorenyl. Exemplary 4-membered heterocyclyl groups containing 1 heteroatom include, without limitation, azetidinyl, oxetanyl and thietanyl. Exemplary 5-membered heterocyclyl groups containing 1 heteroatom include, without limitation, tetrahydrofuranyl, dihydrofuranyl, tetrahydrothiophenyl,
dihydrothiophenyl, pyrrolidinyl, dihydropyrrolyl and pyrrolyl-2,5-dione. Exemplary 5- membered heterocyclyl groups containing 2 heteroatoms include, without limitation, dioxolanyl, oxathiolanyl and dithiolanyl. Exemplary 5-membered heterocyclyl groups containing 3 heteroatoms include, without limitation, triazolinyl, oxadiazolinyl, and thiadiazolinyl. Exemplary 6-membered heterocyclyl groups containing 1 heteroatom include, without limitation, piperidinyl, tetrahydropyranyl, dihydropyridinyl, and thianyl. Exemplary 6-membered heterocyclyl groups containing 2 heteroatoms include, without limitation, piperazinyl, morpholinyl, dithianyl, dioxanyl. Exemplary 6-membered heterocyclyl groups containing 2 heteroatoms include, without limitation, triazinanyl.
Exemplary 7-membered heterocyclyl groups containing 1 heteroatom include, without limitation, azepanyl, oxepanyl and thiepanyl. Exemplary 8-membered heterocyclyl groups containing 1 heteroatom include, without limitation, azocanyl, oxecanyl and thiocanyl.
Exemplary bicyclic heterocyclyl groups include, without limitation, indolinyl, isoindolinyl, dihydrobenzofuranyl, dihydrobenzothienyl, tetrahydrobenzothienyl, tetrahydrobenzofuranyl, tetrahydroindolyl, tetrahydroquinolinyl, tetrahydroisoquinolinyl, decahydroquinolinyl, decahydroisoquinolinyl, octahydrochromenyl, octahydroisochromenyl,
decahydronaphthyridinyl, decahydro-l,8-naphthyridinyl, octahydropyrrolo[3,2-b]pyrrole, indolinyl, phthalimidyl, naphthalimidyl, chromanyl, chromenyl, lH-benzo[e] [l,4]diazepinyl, l,4,5,7-tetrahydropyrano[3,4-b]pyrrolyl, 5,6-dihydro-4H-furo[3,2-b]pyrrolyl, 6,7-dihydro- 5H-furo [3 ,2-b]pyranyl, 5 ,7-dihydro-4H-thieno [2,3-c]pyranyl, 2,3-dihydro- 1 H- pyrrolo[2,3-b]pyridinyl, 2,3-dihydrofuro[2,3-b]pyridinyl, 4,5,6,7-tetrahydro-lH-pyrrolo- [2,3-b]pyridinyl, 4,5,6,7-tetrahydrofuro[3,2-c]pyridinyl, 4,5,6,7-tetrahydrothieno[3,2- b]pyridinyl, l,2,3,4-tetrahydro-l,6-naphthyridinyl, and the like.
[0031] As used herein, "aryl" refers to a radical of a monocyclic or polycyclic (e.g., bicyclic or tricyclic) 4n+2 aromatic ring system (e.g., having 6, 10, or 14 π electrons shared in a cyclic array) having 6-14 ring carbon atoms and zero heteroatoms provided in the aromatic ring system ("C6-i4 aryl"). In some embodiments, an aryl group has 6 ring carbon atoms ("C6 aryl"; e.g., phenyl). In some embodiments, an aryl group has 10 ring carbon atoms ("Cio aryl"; e.g., naphthyl such as 1-naphthyl and 2-naphthyl). In some
embodiments, an aryl group has 14 ring carbon atoms ("C14 aryl"; e.g., anthracyl). "Aryl" also includes ring systems wherein the aryl ring, as defined above, is fused with one or more carbocyclyl or heterocyclyl groups wherein the radical or point of attachment is on the aryl ring, and in such instances, the number of carbon atoms continue to designate the number of carbon atoms in the aryl ring system. Unless otherwise specified, each instance of an aryl group is independently unsubstituted (an "unsubstituted aryl") or substituted (a "substituted aryl") with one or more substituents. In certain embodiments, the aryl group is an
unsubstituted C6-i4 aryl. In certain embodiments, the aryl group is a substituted C6-i4 aryl.
[0032] As used herein, "heteroaryl" refers to a radical of a 5-14 membered monocyclic or polycyclic (e.g., bicyclic or tricyclic) 4n+2 aromatic ring system (e.g., having 6, 10, or 14 π electrons shared in a cyclic array) having ring carbon atoms and 1-4 ring heteroatoms provided in the aromatic ring system, wherein each heteroatom is independently selected from nitrogen, oxygen and sulfur ("5-14 membered heteroaryl"). In heteroaryl groups that contain one or more nitrogen atoms, the point of attachment can be a carbon or nitrogen atom, as valency permits. Heteroaryl polycyclic ring systems can include one or more heteroatoms in one or both rings. "Heteroaryl" includes ring systems wherein the heteroaryl ring, as defined above, is fused with one or more carbocyclyl or heterocyclyl groups wherein the point of attachment is on the heteroaryl ring, and in such instances, the number of ring members continue to designate the number of ring members in the heteroaryl ring system. "Heteroaryl" also includes ring systems wherein the heteroaryl ring, as defined above, is
fused with one or more aryl groups wherein the point of attachment is either on the aryl or heteroaryl ring, and in such instances, the number of ring members designates the number of ring members in the fused polycyclic (aryl/heteroaryl) ring system. Polycyclic heteroaryl groups wherein one ring does not contain a heteroatom (e.g., indolyl, quinolinyl, carbazolyl, and the like) the point of attachment can be on either ring, i.e., either the ring bearing a heteroatom (e.g., 2-indolyl) or the ring that does not contain a heteroatom (e.g., 5-indolyl).
[0033] In some embodiments, a heteroaryl group is a 5-10 membered aromatic ring system having ring carbon atoms and 1-4 ring heteroatoms provided in the aromatic ring system, wherein each heteroatom is independently selected from nitrogen, oxygen, and sulfur ("5-10 membered heteroaryl"). In some embodiments, a heteroaryl group is a 5-8 membered aromatic ring system having ring carbon atoms and 1-4 ring heteroatoms provided in the aromatic ring system, wherein each heteroatom is independently selected from nitrogen, oxygen, and sulfur ("5-8 membered heteroaryl"). In some embodiments, a heteroaryl group is a 5-6 membered aromatic ring system having ring carbon atoms and 1-4 ring heteroatoms provided in the aromatic ring system, wherein each heteroatom is independently selected from nitrogen, oxygen, and sulfur ("5-6 membered heteroaryl"). In some embodiments, the 5-6 membered heteroaryl has 1-3 ring heteroatoms selected from nitrogen, oxygen, and sulfur. In some embodiments, the 5-6 membered heteroaryl has 1-2 ring heteroatoms selected from nitrogen, oxygen, and sulfur. In some embodiments, the 5-6 membered heteroaryl has 1 ring heteroatom selected from nitrogen, oxygen, and sulfur. Unless otherwise specified, each instance of a heteroaryl group is independently unsubstituted (an "unsubstituted heteroaryl") or substituted (a "substituted heteroaryl") with one or more substituents. In certain embodiments, the heteroaryl group is an unsubstituted 5-14 membered heteroaryl. In certain embodiments, the heteroaryl group is a substituted 5-14 membered heteroaryl.
[0034] Exemplary 5-membered heteroaryl groups containing 1 heteroatom include, without limitation, pyrrolyl, furanyl and thiophenyl. Exemplary 5-membered heteroaryl groups containing 2 heteroatoms include, without limitation, imidazolyl, pyrazolyl, oxazolyl, isoxazolyl, thiazolyl, and isothiazolyl. Exemplary 5-membered heteroaryl groups containing 3 heteroatoms include, without limitation, triazolyl, oxadiazolyl, and thiadiazolyl. Exemplary 5-membered heteroaryl groups containing 4 heteroatoms include, without limitation, tetrazolyl. Exemplary 6-membered heteroaryl groups containing 1 heteroatom include, without limitation, pyridinyl. Exemplary 6-membered heteroaryl groups containing 2 heteroatoms include, without limitation, pyridazinyl, pyrimidinyl, and pyrazinyl. Exemplary
6-membered heteroaryl groups containing 3 or 4 heteroatoms include, without limitation, triazinyl and tetrazinyl, respectively. Exemplary 7-membered heteroaryl groups containing 1 heteroatom include, without limitation, azepinyl, oxepinyl, and thiepinyl. Exemplary 5,6- bicyclic heteroaryl groups include, without limitation, indolyl, isoindolyl, indazolyl, benzotriazolyl, benzothiophenyl, isobenzothiophenyl, benzofuranyl, benzoisofuranyl, benzimidazolyl, benzoxazolyl, benzisoxazolyl, benzoxadiazolyl, benzthiazolyl,
benzisothiazolyl, benzthiadiazolyl, indolizinyl, and purinyl. Exemplary 6,6-bicyclic heteroaryl groups include, without limitation, naphthyridinyl, pteridinyl, quinolinyl, isoquinolinyl, cinnolinyl, quinoxalinyl, phthalazinyl, and quinazolinyl. Exemplary tricyclic heteroaryl groups include, without limitation, phenanthridinyl, dibenzofuranyl, carbazolyl, acridinyl, phenothiazinyl, phenoxazinyl and phenazinyl.
[0035] As used herein, the term "partially unsaturated" refers to a ring moiety that includes at least one double or triple bond. The term "partially unsaturated" is intended to encompass rings having multiple sites of unsaturation, but is not intended to include aromatic groups (e.g., aryl or heteroaryl moieties) as herein defined.
[0036] Alkyl, alkenyl, alkynyl, heteroalkyl, heteroalkenyl, heteroalkynyl, carbocyclyl, heterocyclyl, aryl, and heteroaryl groups, as defined herein, are optionally substituted. In general, the term "substituted", whether preceded by the term "optionally" or not, means that at least one hydrogen present on a group (e.g., a carbon or nitrogen atom) is replaced with a permissible substituent, e.g., a substituent which upon substitution results in a stable compound, e.g., a compound which does not spontaneously undergo transformation such as by rearrangement, cyclization, elimination, or other reaction. Unless otherwise indicated, a "substituted" group has a substituent at one or more substitutable positions of the group, and when more than one position in any given structure is substituted, the substituent is either the same or different at each position. The term "substituted" is contemplated to include substitution with all permissible substituents of organic compounds, any of the substituents described herein that results in the formation of a stable compound. The present invention contemplates any and all such combinations in order to arrive at a stable compound. For purposes of this invention, heteroatoms such as nitrogen may have hydrogen substituents and/or any suitable substituent as described herein which satisfy the valencies of the heteroatoms and results in the formation of a stable moiety.
[0037] Exemplary carbon atom substituents include, but are not limited to, halogen, -
CN, -N02, -N3, -S02H, -S03H, -OH, -OR**, -ON(Rbb)2, -N(Rbb)2, -N(Rbb)3 +X , - N(ORcc)Rbb, -SH, -SR^, -SSRCC, -C(=0)Raa, -C02H, -CHO, -C(ORcc)2, -CO^, -
OC(=0)Raa, -OCOaR^, -C(=0)N(R )2, -OC(=0)N(R )2, -NR C(=0)Raa, -NR^CO^, - NRbbC(=0)N(Rbb)2, -C(=NRbb)Raa, -C(=NRbb)ORaa, -OC(=NRbb)Raa, -OC(=NRbb)ORaa, - C(=NRbb)N(Rbb)2, -OC(=NRbb)N(Rbb)2, -NRbbC(=NRbb)N(Rbb)2, -C(=0)NRbbS02Raa, - NRbbS02Raa, -S02N(Rbb)2, -S02Raa, -SChOR^, -OSOaR^, -S(=0)Raa, -OS(=0)Raa, - Si(Raa)3, -OSi(Raa)3 -C(=S)N(Rbb)2, -C(=0)SRaa, -C(=S)SRaa, -SC(=S)SRaa, -SC(=0)SRaa, -OC(=0)SRaa, -SC(=0)ORaa, -SC(=0)Raa, -P(=0)2Raa, -OP(=0)2Raa, -P(=0)(Raa)2, - OP(=0)(Raa)2, -OP(=0)(ORcc)2, -P(=0)2N(Rbb)2, -OP(=0)2N(Rbb)2, -P(=0)(NRbb)2, - OP(=0)(NRbb)2, -NRbbP(=0)(ORcc)2, -NRbbP(=0)(NRbb)2, -P(RCC)2, -P(RCC)3, -OP(Rcc)2, - OP(Rcc)3, -BCR^, -B(ORcc)2, -BR^OR^), d_10 alkyl, C2_10 alkenyl, C2_10 alkynyl, C3_14 carbocyclyl, 3-14 membered heterocyclyl, C6-i4 aryl, and 5-14 membered heteroaryl, wherein each alkyl, alkenyl, alkynyl, carbocyclyl, heterocyclyl, aryl, and heteroaryl is independently substituted with 0, 1, 2, 3, 4, or 5 Rdd groups;
or two geminal hydrogens on a carbon atom are replaced with the group =0, =S, =NN(Rbb)2, =NNRbbC(=0)Raa, =NNRbbC(=0)ORaa, =NNRbbS(=0)2Raa, =NRbb, or =NORcc; each instance of R^ is, independently, selected from C^o alkyl, C2_10 alkenyl, C2_10 alkynyl, C3_10 carbocyclyl, 3-14 membered heterocyclyl, C6-i4 aryl, and 5-14 membered heteroaryl, or two R^ groups are joined to form a 3-14 membered heterocyclyl or 5-14 membered heteroaryl ring, wherein each alkyl, alkenyl, alkynyl, carbocyclyl, heterocyclyl, aryl, and heteroaryl is independently substituted with 0, 1, 2, 3, 4, or 5 Rdd groups;
each instance of Rbb is, independently, selected from hydrogen, -OH, -OR3*, - N(RCC)2, -CN, -C(=0)Raa, -C(=0)N(Rcc)2, -C02Raa, -SO^, -C(=NRcc)ORaa, - C(=NRCC)N(RCC)2, -S02N(Rcc)2, -S02Rcc, -S02ORcc, -SORaa, -C(=S)N(RCC)2, -C(=0)SRcc, - C(=S)SRCC, -P(=0)2Raa, -P(=0)(Raa)2, -P(=0)2N(Rcc)2, -P(=0)(NRcc)2, Cue alkyl, C2_i0 alkenyl, C2_10 alkynyl, C3_10 carbocyclyl, 3-14 membered heterocyclyl, Ce_14 aryl, and 5-14 membered heteroaryl, or two Rbb groups are joined to form a 3-14 membered heterocyclyl or 5-14 membered heteroaryl ring, wherein each alkyl, alkenyl, alkynyl, carbocyclyl, heterocyclyl, aryl, and heteroaryl is independently substituted with 0, 1, 2, 3, 4, or 5 Rdd groups;
each instance of Rcc is, independently, selected from hydrogen, C^o alkyl, C2_io alkenyl, C2_io alkynyl, C3_io carbocyclyl, 3-14 membered heterocyclyl, Ce_14 aryl, and 5-14 membered heteroaryl, or two Rcc groups are joined to form a 3-14 membered heterocyclyl or 5-14 membered heteroaryl ring, wherein each alkyl, alkenyl, alkynyl, carbocyclyl, heterocyclyl, aryl, and heteroaryl is independently substituted with 0, 1, 2, 3, 4, or 5 Rdd groups;
each instance of R is, independently, selected from halogen, -CN, -N02, -N3, - S02H, -S03H, -OH, -ORee, -ON(Rff)2, -N(Rff)2, -N(Rff)3 +X , -N(ORee)Rff, -SH, -SRee, - SSRee, -C(=0)Ree, -C02H, -C02Ree, -OC(=0)Ree, -OC02Ree, -C(=0)N(Rff)2, - OC(=0)N(Rff)2, -NRffC(=0)Ree, -NRffC02Ree, -NRffC(=0)N(Rff)2, -C(=NRff)ORee, - OC(=NRff)Ree, -OC(=NRff)ORee, -C(=NRff)N(Rff)2, -OC(=NRff)N(Rff)2, - NRffC(=NRff)N(Rff)2,-NRffS02Ree, -S02N(Rff)2, -S02Ree, -S02ORee, -OS02Ree, -S(=0)Ree, -Si(Ree)3, -OSi(Ree)3, -C(=S)N(Rff)2, -C(=0)SRee, -C(=S)SRee, -SC(=S)SRee, -P(=0)2Ree, - P(=0)(Ree)2, -OP(=0)(Ree)2, -OP(=0)(ORee)2, Ci_6 alkyl, Ci_6 perhaloalkyl, C2_6 alkenyl, C2 6 alkynyl, C3_io carbocyclyl, 3-10 membered heterocyclyl, C6-io aryl, 5-10 membered heteroaryl, wherein each alkyl, alkenyl, alkynyl, carbocyclyl, heterocyclyl, aryl, and heteroaryl is independently substituted with 0, 1, 2, 3, 4, or 5 Rgg groups, or two geminal Rdd substituents can be joined to form =0 or =S;
each instance of Ree is, independently, selected from Q_6 alkyl, C^ perhaloalkyl, C2 6 alkenyl, C2_6 alkynyl, C3_io carbocyclyl, C6-io aryl, 3-10 membered heterocyclyl, and 3-10 membered heteroaryl, wherein each alkyl, alkenyl, alkynyl, carbocyclyl, heterocyclyl, aryl, and heteroaryl is independently substituted with 0, 1, 2, 3, 4, or 5 Rgg groups;
ff
each instance of R is, independently, selected from hydrogen, Q_6 alkyl, Q_6 perhaloalkyl, C2_6 alkenyl, C2_6 alkynyl, C3_io carbocyclyl, 3-10 membered heterocyclyl, C6- ff
io aryl and 5-10 membered heteroaryl, or two R groups are joined to form a 3-14 membered heterocyclyl or 5-14 membered heteroaryl ring, wherein each alkyl, alkenyl, alkynyl, carbocyclyl, heterocyclyl, aryl, and heteroaryl is independently substituted with 0, 1, 2, 3, 4, or 5 Rgg groups; and
each instance of Rgg is, independently, halogen, -CN, -N02, -N3, -S02H, -S03H, - OH, -OCi-6 alkyl, -ON(Ci_6 alkyl)2, -N(Ci_6 alkyl)2, -N(Ci_6 alkyl)3 +X- -NH(Ci_6 alkyl)2 +X~ -NH2(Ci_6 alkyl) +X~ -NH3 +X , -N(OCi_6 alkyl)(Ci_6 alkyl), -N(OH)(Ci_6 alkyl), -NH(OH), -SH, -SCi_6 alkyl, -SS(Ci_e alkyl), -C(=0)(Ci_6 alkyl), -C02H, -C02(Ci_6 alkyl), -OC(=0)(Ci_6 alkyl), -OC02(Ci_6 alkyl), -C(=0)NH2, -C(=0)N(Ci_6 alkyl)2, - OC(=0)NH(Ci_6 alkyl), -NHC(=0)( Ci_6 alkyl), -N(Ci_6 alkyl)C(=0)( Ci_6 alkyl), - NHC02(Ci_6 alkyl), -NHC(=0)N(Ci_6 alkyl)2, -NHC(=0)NH(Ci_6 alkyl), -NHC(=0)NH2, -C(=NH)0(Ci_6 alkyl) ,-OC(=NH)(Ci_6 alkyl), -OC(=NH)OCi^, alkyl, -C(=NH)N(Ci_6 alkyl)2, -C(=NH)NH(Ci_6 alkyl), -C(=NH)NH2, -OC(=NH)N(Ci_6 alkyl)2, - OC(NH)NH(Ci^ alkyl), -OC(NH)NH2, -NHC(NH)N(Ci_6 alkyl)2, -NHC(=NH)NH2, - NHS02(d_6 alkyl), -S02N(d_6 alkyl)2, -S02NH(d_6 alkyl), -S02NH2,-S02Ci_6 alkyl, - S02OCi^, alkyl, -OS02Ci_6 alkyl, -SOCi_6 alkyl, -Si(Ci_e alkyl)3, -OSi(Ci_6 alkyl)3 -
C(=S)N(Ci_6 alkyl)2, C(=S)NH(d_6 alkyl), C(=S)NH2, -C(=0)S(C^ alkyl), -C(=S)SC^ alkyl, -SC(=S)Sd_6 alkyl, -P(=0)2(C^ alkyl), -P(=0)(d_6 alkyl)2, -OP(=0)(d 6 alkyl)2, - OP(=0)(Od 6 alkyl)2, Ci_6 alkyl, d_6 perhaloalkyl, C2_6 alkenyl, C2_6 alkynyl, C3-10 carbocyclyl, C6-io aryl, 3-10 membered heterocyclyl, 5-10 membered heteroaryl; or two geminal Rgg substituents can be joined to form =0 or =S;
wherein X- is a counterion.
[0038] As used herein, the term "hydroxyl" or "hydroxy" refers to the group -OH. The term "substituted hydroxyl" or "substituted hydroxyl," by extension, refers to a hydroxyl group wherein the oxygen atom directly attached to the parent molecule is substituted with a group other than hydrogen, and includes groups selected from -OR^, -ON(Rbb)2, - OC(=0)SRaa, -OC(=0)Raa, -OC02Raa, -OC(=0)N(Rbb)2, -OC(=NRbb)Raa, - OC(=NRbb)ORaa, -OC(=NRbb)N(Rbb)2, -OS(=0)Raa, -OSOaR^, -OS^R^, -OP(Rcc)2, - OP(Rcc)3, -ΟΡ(=0)^, -OP(=0)(Raa)2, -OP(=0)(ORcc)2, -OP(=0)2N(Rbb)2, and - OP(=0)(NRbb)2, wherein R^, Rbb, and Rcc are as defined herein.
[0039] As used herein, the term "thiol" or "thio" refers to the group -SH. The term
"substituted thiol" or "substituted thio," by extension, refers to a thiol group wherein the sulfur atom directly attached to the parent molecule is substituted with a group other than hydrogen, and includes groups selected from -SR^, -S=SRCC, -SC(=S)SRaa, -SC(=0)SRaa, - SC(=0)ORaa, and -SC(=0)Raa, wherein Raa and Rcc are as defined herein.
[0040] As used herein, the term, "amino" refers to the group -NH2. The term
"substituted amino," by extension, refers to a mono substituted amino, a disubstituted amino, or a trisubstituted amino, as defined herein.
[0041] As used herein, the term "mono substituted amino" refers to an amino group wherein the nitrogen atom directly attached to the parent molecule is substituted with one hydrogen and one group other than hydrogen, and includes groups selected from -NH(Rbb), - NHC(=0)Raa, -NHC02Raa, -NHC(=0)N(Rbb)2, -NHC(=NRbb)N(Rbb)2, -NHSO^, - NHP(=0)(ORcc)2, and -NHP(=0)(NRbb)2, wherein Raa, Rbb and Rcc are as defined herein, and wherein Rbb of the group -NH(Rbb) is not hydrogen.
[0042] As used herein, the term "disubstituted amino" refers to an amino group wherein the nitrogen atom directly attached to the parent molecule is substituted with two groups other than hydrogen, and includes groups selected from -N(Rbb)2, -NRbb C(=0)Raa, - NR^COaR^, -NRbbC(=0)N(Rbb)2, -NRbbC(=NRbb)N(Rbb)2, -NR^SOaR^, - NRbbP(=0)(ORcc)2, and -NRbbP(=0)(NRbb)2, wherein R^, Rbb, and Rcc are as defined herein,
with the proviso that the nitrogen atom directly attached to the parent molecule is not substituted with hydrogen.
[0043] As used herein, the term "trisubstituted amino" refers to an amino group wherein the nitrogen atom directly attached to the parent molecule is substituted with three groups, and includes groups selected from -N(Rbb)3 and -N(Rbb)3 +X", wherein Rbb and X are as defined herein.
[0044] As used herein, the term "sulfonyl" refers to a group selected from -
S02N(Rbb)2, -SOaR^, and -SOaOR^, wherein Raa and Rbb are as defined herein.
[0045] As used herein, the term "sulfinyl" refers to the group -S(=0)Raa, wherein Raa is as defined herein.
[0046] As used herein, the term "silyl" refers to the group -Si(Raa)3, wherein R^ is as defined herein.
[0047] As used herein, the term "acyl" refers a group wherein the carbon directly attached to the parent molecule is sp hybridized, and is substituted with an oxygen, nitrogen or sulfur atom, e.g. , a group selected from ketones (-C(=0)Raa), carboxylic acids (-C02H), aldehydes (-CHO), esters (-COaR^, -C(=0)SRaa, -C(=S)SRaa), amides (-C(=0)N(Rbb)2, - C(=0)NRbbS02Raa, -C(=S)N(Rbb)2), and imines (-C(=NRbb)Raa, -C(=NRbb)ORaa), - C(=NRbb)N(Rbb)2), wherein Raa and Rbb are as defined herein.
[0048] As used herein, the term "halo" or "halogen" refers to fluorine (fluoro, -F), chlorine (chloro, -CI), bromine (bromo, -Br), or iodine (iodo, -I).
[0049] As used herein, a "counterion" is a negatively charged group associated with a positively charged quarternary amine in order to maintain electronic neutrality. Exemplary counterions include halide ions (e.g., F , CI", Br", Γ), N03 , C104 , OH", H2P04 , HS04 , sulfonate ions (e.g., methansulfonate, trifluoromethanesulfonate, p-toluenesulfonate, benzenesulfonate, 10-camphor sulfonate, naphthalene-2-sulfonate, naphthalene-l-sulfonic acid-5-sulfonate, ethan-l-sulfonic acid-2-sulfonate, and the like), and carboxylate ions (e.g., acetate, ethanoate, propanoate, benzoate, glycerate, lactate, tartrate, glycolate, and the like).
[0050] Nitrogen atoms can be substituted or unsubstituted as valency permits, and include primary, secondary, tertiary, and quarternary nitrogen atoms. Exemplary nitrogen atom substitutents include, but are not limited to, hydrogen, -OH, -OR3*, -N(RCC)2, -CN, - C(=0)Raa, -C(=0)N(Rcc)2, -COaR^, -S02Raa, -C(=NRbb)Raa, -C(=NRcc)ORaa, - C(=NRCC)N(RCC)2, -S02N(Rcc)2, -S02Rcc, -S02ORcc, -SORaa, -C(=S)N(RCC)2, -C(=0)SRcc, - C(=S)SRCC, -P(=0)2Raa, -P(=0)(Raa)2, -P(=0)2N(Rcc)2, -P(=0)(NRcc)2, C,_10 alkyl, C2_10
alkenyl, C2_10 alkynyl, C3_io carbocyclyl, 3-14 membered heterocyclyl, Ce_14 aryl, and 5-14 membered heteroaryl, or two Rcc groups attached to an N atom are joined to form a 3-14 membered heterocyclyl or 5-14 membered heteroaryl ring, wherein each alkyl, alkenyl, alkynyl, carbocyclyl, heterocyclyl, aryl, and heteroaryl is independently substituted with 0, 1, 2, 3, 4, or 5 Rdd groups, and wherein Raa, Rbb, Rcc and Rdd are as defined above.
[0051] In certain embodiments, the substituent present on the nitrogen atom is an amino protecting group (also referred to herein as a "nitrogen protecting group"). Amino protecting groups include, but are not limited to, -OH, -ORaa, -N(RCC)2, -C(=0)Raa, - C(=0)N(Rcc)2, -COrfC", -S02Raa, -C(=NRcc)Raa, -C(=NRcc)ORaa, -C(=NRCC)N(RCC)2, - S02N(Rcc)2, -S02Rcc, -S02ORcc, -SOR^, -C(=S)N(RCC)2, -C(=0)SRcc, -C(=S)SRCC, Ci_i0 alkyl (e.g., aralkyl, heteroaralkyl), C2_10 alkenyl, C2_10 alkynyl, C3_io carbocyclyl, 3-14 membered heterocyclyl, Ce_14 aryl, and 5-14 membered heteroaryl groups, wherein each alkyl, alkenyl, alkynyl, carbocyclyl, heterocyclyl, aralkyl, aryl, and heteroaryl is
independently substituted with 0, 1, 2, 3, 4, or 5 Rdd groups, and wherein Raa, Rbb, Rcc and Rdd are as defined herein. Amino protecting groups are well known in the art and include those described in detail in Protecting Groups in Organic Synthesis, T. W. Greene and P. G. M.
Wuts, 3rd edition, John Wiley & Sons, 1999, incorporated herein by reference.
[0052] For example, amino protecting groups such as amide groups (e.g., -C(=0)Raa) include, but are not limited to, formamide, acetamide, chloroacetamide, trichloroacetamide, trifluoroacetamide, phenylacetamide, 3-phenylpropanamide, picolinamide, 3- pyridylcarboxamide, N-benzoylphenylalanyl derivative, benzamide, p-phenylbenzamide, o- nitophenylacetamide, o-nitrophenoxyacetamide, acetoacetamide, (Ν'- dithiobenzyloxycarbonylamino)acetamide, 3-(p-hydroxyphenyl)propanamide, 3-(o- nitrophenyl)propanamide, 2-methyl-2-(o-nitrophenoxy)propanamide, 2-methyl-2-(o- phenylazophenoxy)propanamide, 4-chlorobutanamide, 3-methyl-3-nitrobutanamide, o- nitrocinnamide, N-acetylmethionine derivative, o-nitrobenzamide and o- (benzoyloxymethyl)benzamide.
[0053] Amino protecting groups such as carbamate groups (e.g., -C(=0)ORaa) include, but are not limited to, methyl carbamate, ethyl carbamante, 9-fluorenylmethyl carbamate (Fmoc), 9-(2-sulfo)fluorenylmethyl carbamate, 9-(2,7-dibromo)fluoroenylmethyl carbamate, 2,7-di-i-butyl-[9-( 10,10-dioxo-l 0, 10,10,10-tetrahydrothioxanthyl)]methyl carbamate (DBD-Tmoc), 4-methoxyphenacyl carbamate (Phenoc), 2,2,2-trichloroethyl carbamate (Troc), 2-trimethylsilylethyl carbamate (Teoc), 2-phenylethyl carbamate (hZ), 1- (l-adamantyl)-l-methylethyl carbamate (Adpoc), l,l-dimethyl-2-haloethyl carbamate,
l,l-dimethyl-2,2-dibromoethyl carbamate (DB-i-BOC), l,l-dimethyl-2,2,2-trichloroethyl carbamate (TCBOC), l-methyl-l-(4-biphenylyl)ethyl carbamate (Bpoc), 1— (3,5— di— i— butylphenyl)-l-methylethyl carbamate (i-Bumeoc), 2-(2'- and 4'-pyridyl)ethyl carbamate (Pyoc), 2-(N,N-dicyclohexylcarboxamido)ethyl carbamate, i-butyl carbamate (BOC), 1- adamantyl carbamate (Adoc), vinyl carbamate (Voc), allyl carbamate (Alloc), 1- isopropylallyl carbamate (Ipaoc), cinnamyl carbamate (Coc), 4-nitrocinnamyl carbamate (Noc), 8-quinolyl carbamate, N-hydroxypiperidinyl carbamate, alkyldithio carbamate, benzyl carbamate (Cbz), p-methoxybenzyl carbamate (Moz), /?-nitobenzyl carbamate, p- bromobenzyl carbamate, p-chlorobenzyl carbamate, 2,4-dichlorobenzyl carbamate, 4- methylsulfinylbenzyl carbamate (Msz), 9-anthrylmethyl carbamate, diphenylmethyl carbamate, 2-methylthioethyl carbamate, 2-methylsulfonylethyl carbamate, 2-(p- toluenesulfonyl)ethyl carbamate, [2-(l,3-dithianyl)]methyl carbamate (Dmoc), 4- methylthiophenyl carbamate (Mtpc), 2,4-dimethylthiophenyl carbamate (Bmpc), 2- phosphonioethyl carbamate (Peoc), 2-triphenylphosphonioisopropyl carbamate (Ppoc), 1, 1- dimethyl-2-cyanoethyl carbamate, m-chloro-p-acyloxybenzyl carbamate, p- (dihydroxyboryl)benzyl carbamate, 5-benzisoxazolylmethyl carbamate, 2-(trifluoromethyl)- 6-chromonylmethyl carbamate (Tcroc), m-nitrophenyl carbamate, 3,5-dimethoxybenzyl carbamate, o-nitrobenzyl carbamate, 3,4-dimethoxy-6-nitrobenzyl carbamate, phenyl(o- nitrophenyl)methyl carbamate, i-amyl carbamate, S-benzyl thiocarbamate, p-cyanobenzyl carbamate, cyclobutyl carbamate, cyclohexyl carbamate, cyclopentyl carbamate,
cyclopropylmethyl carbamate, p-decyloxybenzyl carbamate, 2,2-dimethoxycarbonylvinyl carbamate, o-(N,N-dimethylcarboxamido)benzyl carbamate, l,l-dimethyl-3-(N,N- dimethylcarboxamido)propyl carbamate, 1, 1-dimethylpropynyl carbamate, di(2- pyridyl)methyl carbamate, 2-furanylmethyl carbamate, 2-iodoethyl carbamate, isoborynl carbamate, isobutyl carbamate, isonicotinyl carbamate, p-(p '-methoxyphenylazo)benzyl carbamate, 1-methylcyclobutyl carbamate, 1-methylcyclohexyl carbamate, 1-methyl-l- cyclopropylmethyl carbamate, l-methyl-l-(3,5-dimethoxyphenyl)ethyl carbamate, 1- methyl-l-(p-phenylazophenyl)ethyl carbamate, 1 -methyl- 1-phenylethyl carbamate, 1- methyl-l-(4-pyridyl)ethyl carbamate, phenyl carbamate, /?-(phenylazo)benzyl carbamate, 2,4,6-tri-i-butylphenyl carbamate, 4-(trimethylammonium)benzyl carbamate, and 2,4,6- trimethylbenzyl carbamate.
[0054] Amino protecting groups such as sulfonamide groups (e.g., -S(=0)2Raa) include, but are not limited to, p-toluenesulfonamide (Ts), benzenesulfonamide, 2,3,6,- trimethyl-4-methoxybenzenesulfonamide (Mtr), 2,4,6-trimethoxybenzenesulfonamide
(Mtb), 2,6-dimethyl-4-methoxybenzenesulfonamide (Pme), 2,3,5, 6-tetramethyl-4- methoxybenzenesulfonamide (Mte), 4-methoxybenzenesulfonamide (Mbs), 2,4,6- trimethylbenzenesulfonamide (Mts), 2,6-dimethoxy-4-methylbenzenesulfonamide (iMds), 2,2,5,7, 8-pentamethylchroman-6-sulfonamide (Pmc), methanesulfonamide (Ms), β- trimethylsilylethanesulfonamide (SES), 9-anthracenesulfonamide, 4-(4',8'- dimethoxynaphthylmethyl)benzenesulfonamide (DNMBS), benzylsulfonamide,
trifluoromethylsulfonamide, and phenacylsulfonamide.
[0055] Other amino protecting groups include, but are not limited to, phenothiazinyl-
(lO)-carbonyl derivative, N'-p-toluenesulfonylaminocarbonyl derivative, N'- phenylaminothiocarbonyl derivative, N-benzoylphenylalanyl derivative, N-acetylmethionine derivative, 4,5-diphenyl-3-oxazolin-2-one, N-phthalimide, N-dithiasuccinimide (Dts), N- 2,3-diphenylmaleimide, N-2,5-dimethylpyrrole, N- 1,1, 4,4- tetramethyldisilylazacyclopentane adduct (STABASE), 5-substituted l,3-dimethyl-l,3,5- triazacyclohexan-2-one, 5-substituted l,3-dibenzyl-l,3,5-triazacyclohexan-2-one, 1- substituted 3,5-dinitro-4-pyridone, N-methylamine, N-allylamine, N-[2- (trimethylsilyl)ethoxy]methylamine (SEM), N-3-acetoxypropylamine, N-(l-isopropyl-4- nitro-2-oxo-3-pyroolin-3-yl)amine, quaternary ammonium salts, N-benzylamine, N-di(4- methoxyphenyl)methylamine, N-5-dibenzosuberylamine, N-triphenylmethylamine (Tr), N- [(4-methoxyphenyl)diphenylmethyl] amine (MMTr), N-9-phenylfluorenylamine (PhF), N- 2,7-dichloro-9-fluorenylmethyleneamine, N-ferrocenylmethylamino (Fcm), N-2- picolylamino N'-oxide, N-l,l-dimethylthiomethyleneamine, N-benzylideneamine, N-p- methoxybenzylideneamine, N-diphenylmethyleneamine, N-[(2- pyridyl)mesityl]methyleneamine, N-(N',N'-dimethylaminomethylene)amine, Ν,Ν'- isopropylidenediamine, N-p-nitrobenzylideneamine, N-salicylideneamine, N-5- chlorosalicylideneamine, N-(5-chloro-2-hydroxyphenyl)phenylmethyleneamine, N- cyclohexylideneamine, N-(5,5-dimethyl-3-oxo-l-cyclohexenyl)amine, N-borane derivative, N-diphenylborinic acid derivative, N-[phenyl(pentacarbonylchromium- or tungsten)carbonyl] amine, N-copper chelate, N-zinc chelate, N-nitroamine, N-nitrosoamine, amine N-oxide, diphenylphosphinamide (Dpp), dimethylthiophosphinamide (Mpt), diphenylthiophosphinamide (Ppt), dialkyl phosphoramidates, dibenzyl phosphoramidate, diphenyl phosphoramidate, benzenesulfenamide, o-nitrobenzenesulfenamide (Nps), 2,4- dinitrobenzenesulfenamide, pentachlorobenzenesulfenamide, 2-nitro-4- methoxybenzenesulfenamide, triphenylmethylsulfenamide, and 3-nitropyridinesulfenamide (Npys).
[0056] These and other exemplary substituents are described in more detail in the
Detailed Description, the Examples and in the claims. The invention is not intended to be limited in any manner by the above exemplary listing of substituents.
[0057] As used herein, a "leaving group" is an art-understood term referring to a molecular fragment that departs with a pair of electrons in heterolytic bond cleavage, wherein the molecular fragment is an anion or neutral molecule. See, for example, Smith, March Advanced Organic Chemistry 6th ed. (501-502). Exemplary leaving groups include, but are not limited to, halo (e.g., chloro, bromo, iodo) and sulfonyl substituted hydroxyl groups (e.g., tosyl, mesyl, besyl).
[0058] As used herein, a "polymer" refers to a compound comprised of at least 3 (e.g., at least 10, 20, 30, 40, 50, 60, 70, 80, 90, 100, etc.) repeating covalently bound structural units.
[0059] As used herein, an "organic molecule" is a molecule comprising carbon, and encompasses large organic molecules and small organic molecules, as defined herein. The organic molecule may also comprise a metal. In this instance, the organic molecule is also referred to as an "organometallic compound."
[0060] As used herein, a "small organic molecule" or "small molecule" refers to an organic molecule with a molecular weight of less than 800 g/mol (e.g., less than 700 g/mol, less than 600 g/mol, less than 500 g/mol, less than 400 g/mol, less than 300 g/mol, less than 200 g/mol, less than 100 g/mol, between 50 to 800 g/mol, inclusive, between 100 to 800 g/mol, inclusive, or between 100 to 500 g/mol, inclusive). In certain embodiments, the small organic molecule is a therapeutically active agent such as a drug (e.g., a small organic molecule approved by the U.S. Food and Drug Administration as provided in the Code of Federal Regulations (CFR)). The small organic molecule may also comprise a metal. In this instance, the small organic molecule is also referred to as an "small organometallic molecule."
[0061] As used herein, a "large organic molecule" or "large molecule" refers to an organic compound with a molecular weight of greater than or equal to 800 g/mol (e.g., greater than 800 g/mol, greater than 900 g/mol, greater than 1000 g/mol, greater than 2000 g/mol, between 800 to 2000 g/mol, inclusive, between 1000 to 2000 g/mol, inclusive, or between 800 to 1000 g/mol, inclusive). In certain embodiments, the large organic molecule is a therapeutically active agent such as a drug (e.g., a large organic molecule approved by the U.S. Food and Drug Administration as provided in the Code of Federal Regulations
(CFR)).The large organic molecule may also comprise a metal. In this instance, the large organic molecule is also referred to as an "large organometallic compound."
[0062] As used herein, an "inorganic molecule" is a molecule which comprises elements other than carbon, and encompasses large inorganic molecules and small inorganic molecules, as defined herein. If an inorganic molecule comprises a transition metal, it is also referred to herein as a "metal."
[0063] As used herein, a "small inorganic molecule" refers to an inorganic compound with a molecular weight of less than 800 g/mol (e.g., less than 700 g/mol, less than 600 g/mol, less than 500 g/mol, less than 400 g/mol, less than 300 g/mol, less than 200 g/mol, less than 100 g/mol, between 50 to 800 g/mol, inclusive, between 100 to 800 g/mol, inclusive, or between 100 to 500 g/mol, inclusive). In certain embodiments, the small inorganic molecule is a therapeutically active agent such as a drug (e.g., a small inorganic molecule approved by the U.S. Food and Drug Administration as provided in the Code of Federal Regulations (CFR)).
[0064] As used herein, a "large inorganic molecule" refers to an inorganic compound with a molecular weight of greater than or equal to 800 g/mol (e.g., greater than 800 g/mol, greater than 900 g/mol, greater than 1000 g/mol, greater than 2000 g/mol, between 800 to 2000 g/mol, inclusive, between 1000 to 2000 g/mol, inclusive, or between 800 to 1000 g/mol, inclusive). In certain embodiments, the large inorganic molecule is a therapeutically active agent such as a drug (e.g., a large inorganic molecule approved by the U.S. Food and Drug Administration as provided in the Code of Federal Regulations (CFR)).
[0065] As used herein, the term "salt" or "pharmaceutically acceptable salt" refers to those salts which are, within the scope of sound medical judgment, suitable for use in contact with the tissues of humans and lower animals without undue toxicity, irritation, allergic response and the like, and are commensurate with a reasonable benefit/risk ratio.
Pharmaceutically acceptable salts are well known in the art. For example, S. M. Berge et ah, describes pharmaceutically acceptable salts in detail in J. Pharmaceutical Sciences (1977) 66: 1-19. Pharmaceutically acceptable salts of the compounds of this invention include those derived from suitable inorganic and organic acids and bases. Examples of pharmaceutically acceptable, nontoxic acid addition salts are salts of an amino group formed with inorganic acids such as hydrochloric acid, hydrobromic acid, phosphoric acid, sulfuric acid and perchloric acid or with organic acids such as acetic acid, oxalic acid, maleic acid, tartaric acid, citric acid, succinic acid or malonic acid or by using other methods used in the art such as ion exchange. Other pharmaceutically acceptable salts include adipate, alginate, ascorbate,
aspartate, benzenesulfonate, benzoate, bisulfate, borate, butyrate, camphorate, camphorsulfonate, citrate, cyclopentanepropionate, digluconate, dodecylsulfate,
ethanesulfonate, formate, fumarate, glucoheptonate, glycerophosphate, gluconate, hemisulfate, heptanoate, hexanoate, hydroiodide, 2-hydroxy-ethanesulfonate, lactobionate, lactate, laurate, lauryl sulfate, malate, maleate, malonate, methanesulfonate, 2- naphthalenesulfonate, nicotinate, nitrate, oleate, oxalate, palmitate, pamoate, pectinate, persulfate, 3-phenylpropionate, phosphate, picrate, pivalate, propionate, stearate, succinate, sulfate, tartrate, thiocyanate, p-toluenesulfonate, undecanoate, valerate salts, and the like. Salts derived from appropriate bases include alkali metal, alkaline earth metal, ammonium and N+(C1^alkyl)4 salts. Representative alkali or alkaline earth metal salts include sodium, lithium, potassium, calcium, magnesium, and the like. Further pharmaceutically acceptable salts include, when appropriate, nontoxic ammonium, quaternary ammonium, and amine cations formed using counterions such as halide, hydroxide, carboxylate, sulfate, phosphate, nitrate, sulfonate and aryl sulfonate. Further pharmaceutically acceptable salts include salts formed from the quartemization of an amine using an appropriate electrophile, e.g. , an alkyl halide, to form a quarternized alkylated amino salt.
[0066] As used herein, use of the phrase "at least one instance" refers to one instance, but also encompasses more than one instance, e.g. , for example, from 1 instance to 50 instances.
[0067] "Molar mass averages": Different average values (e.g. , Mn, Mw, Mv and Mz) can be defined depending upon the statistical method that is applied. The weighted mean can be taken with the weight fraction, the mole fraction, or the volume fraction (see, e.g. , R.J. Young and P.A. Lovell, Introduction to Polymers, 1991, incorporated herein by reference).
[0068] "Dispersity": Dispersity (D) is a measure of the distribution of molecular mass in a given polymer sample and is calculated by dividing the weight average molar mass (Mw) by the number average molar mass (Mn). The dispersityof a given sample can have a value equal to or greater than 1. As the polymer chains approach uniform chain length, the dispersityapproaches unity (1). The dispersityof a polymer can be modified, for example, using polymer fractionation (e.g. , preparative SEC, Baker- Williams fractionation, continuous spin fractionation), or modifying the work-up procedure (e.g. , by partially dissolving a polymer, an insoluble high molar mass fraction may be filtered off resulting in a large reduction in Mw and a small reduction in Mn, thus reducing polydispersity).
Brief Description of the Drawings
[0069] Figures 1A-1U. Figures 1A-1R depict PEI and aza-macrocycle precursors (Figure 1A); a general synthetic method for the conjugation of various epoxide-terminated groups to the precursors (Figure IB); exemplary conjugated LPEI6oo polymers synthesized according to the present method (Figure 1C); exemplary conjugated B PEL goo polymers synthesized according to the present method (Figure ID); exemplary conjugated aza- macrocycles synthesized according to the present method (Figures 1E-1F); and NMR characterization of exemplary conjugated lipomers [Figures 1G-1 U: 1H NMR (500 MHz) spectra of 2J1 (Figure 1G), 313 (Figure 1H), 317 (Figure IP), 5H7 (Figure 1J), 7C1 (Figure IK), 4C4 (Figure 1L), 4C8 (Figure 1M), 4D5 (Figure IN), 4D9 (Figure 10), 6B 10 (Figure IP), 6C1 (Figure IQ), 7H4 (Figure IR), 7H8 (Figure IS), 7H10 (Figure IT), and 711 (Figure 1 U)1
[0070] Figures 2A-2B demonstrate that non-toxic efficacy increases with
lipomensiRNA mass ratios (MR) up to 15 in HeLa cells. A library of 750 compounds was tested, of which a select subset reduced gene expression. Figure 2A: Target gene expression for 750 lipomers tested at four different mass ratios at a dosage of 45 ng/well (20 nM). More lipomers reduce gene expression at a mass ratio of 10 and 15 than 5 and 2.5, as indicated by a larger curve "shoulder". Figure 2B: Average target (Firefly) and off-target (Renilla) expression for 200 lipomers tested against HeLa cells at a dose of 45 ng/well. Target gene expression decreases from 78% to 63% as mass ratio increases, while off-target expression remains fairly constant, changing from 88% to 86%.
[0071] Figure 3 depicts the gene expression data for seventeen lipomers screened against HeLa, qBEND.3 and HMVEC cells in vitro. The lipomensiRNA mass ratio was 15 and siRNA dosing was 30 nM. All lipomers studied reduced gene expression in at least one
cell line by 80% at this dose, indicating a high degree of in vitro potency, and driving subsequent interest for in vivo testing.
[0072] Figures 4A-4B depict the dose response of lipomers 7C1, 6C1 and 6C8 in qBEND.3 murine endothelial cells. Figure 4A: Tie2 expression shows a dose response profile suggesting an IC50 concentration between 6.0 and 1.5 nM, indicating a high degree of in vitro potency. Figure 4B: Control gene GapDH expression remains constant at all doses, indicative of negligible off-target effects.
[0073] Figures 5A-5B. Figure 5A depicts the size of lipomers 317 and 7H8 during the formulation process. Before siRNA is added, lipomer particle size is stable at pH 5.3. Particle size remains stable after addition of siRNA at low pH. After dialysis to pH 7.4, 317 lipomer particle size increases while 7H8 lipomer particle size remains constant. Particle size varied from 20 to 130 nm, sizes which are known to increase nanoparticle efficacy (Peerei al.
Nature nanotechnology (2007)2: 751-760). Figure 5B: 6C1 diameter measured over a period of 18 hours after formulation with cholesterol and conjugation to siRNA. Consistent lipomer particle size indicates that lipomer particles are stable overnight at temperatures ranging from 4°C to 40°C.
[0074] Figure 6 depictsFactor 7 in vivo expression after tail-vein injection of lipomers 6C1 and 6C8. Lipomers were formulated with cholesterol at a lipomer: cholesterol mole ratio of 100: 35, but without C16-PEG. 6C1 was tested at two lipomer: siRNA mass ratios, 15: 1 and 10: 1. As seen during the in vitro assays, 15: 1 mass ratios resulted in higher knockdown. 6C1 reduced gene expression by 64% while 6C8 did not reduced gene expression in vivo. Importantly, these results indicate that lipomers can deliver siRNA effectively in vivo when delivered systemically.
[0075] Figure 7 depicts the relative expression of Factor 7 after systemic dosing with 2mg/kg siRNA. In this study, lipomers were formulated with cholesterol and C16-PEG such that the Lipomer: Cholesterol: PEG molar ratio was 100:35:25. The lipomer: siRNA mass ratio was held constant at 15: 1. Lipomers were then injected via the tail vein, and Factor 7 expression was measured 48 hours later. Several lipomers were shown to decrease in vivo Factor 7 expression, suggesting that in vivo success was not limited to 6C1 and that other lipomer compounds could reduce gene expression in vivo.
[0076] Figure 8 depicts in vivo gene expression of Factor 7. Lipomer 7H6 reduced gene expression by 66% systemic injection into mice at a dose of 1.5 mg/kg. When 7H6 was combined with a luciferase targeting siRNA, it did not reduce F7 expression, that the gene
expression is reduced by siRNA action and not toxicity. This lipomer reduced gene expression by 35% in the study described in Figure 7.
[0077] Figures 9A-9B depict them vivo reduction of tumor gene expression in a subcutaneous tumor model. Mice were injected with luciferase expressing tumor cells subcutaneously and tumors were allowed to grow for two weeks. Before injection of siRNA, luciferase expression was measured, and used as baseline. Figure 9 A: When dosed systemically 1.5 mg/kg of siRNA complexed to lipomer 7H6, luciferase tumor expression was reduced by 51%, indicating that lipomers successfully delivered siRNA into tumor cells. Importantly, the gene expression was reduced after tail vein injection instead of intratumoral injection, since intratumoral injections have limited clinical relevance (if a clinician can inject into a tumor, they often can remove it). Figure 9B: Tumor before and after injection with 7H6 targeting luciferase expression. Tumor gene expression is markedly reduced.
[0078] Figures 10A-10B depict the biodistribution of three different successful lipomers (7H6, 711 and 317) evaluated using Cy5.5 labeled siRNA (AllStars Control siRNA, Qiagen, Valencia, CA). Mice were injected with Cy5.5 siRNA (2.5 mg/kg) via the tail vein and sacrificed 1 or 14 hours later. Major organs were harvested and fluorescently imaged to evaluate distribution of Cy5.5 siRNA nanoparticles at 670 (ex. 670 nm, em. 710nm) using an IVIS imaging system. Lipomers were found in the liver, spleen, kidney lungs and near the injection point. This indicates that they may be used for a variety of ailments, both systemic and within different organs. Since many siRNA delivery vehicles hone primarily to the liver, the delivery to lungs and kidneys may present new clinical targets.
[0079] Figure 11 depicts particle size before and after conjugaton of siRNA at a pH of 5.3 (before dialysis). Nanoparticles are kept from aggregating by repulsive factors including steric and electrostatic forces. Upon conjugation of siRNA, electrostatic forces may be reduced, which can lead to aggregation. However, many particles showed stability even after conjugation of siRNA. Note that together, Figures 11-15 demonstrate that the lipomer size, surface charge and chemical composition have been characterized. Importantly, different lipomers have different physical properties, making them ideal for different types of applications. As an example, small particles with diameters below 50 nm may be well suited for kidney delivery while larger particles may be better for delivery of genetic material to the lung.
[0080] Figures 12A-12B depict particle size (Figure 12A) and surface charge (Figure 12B) (zeta potential) before and after conjugation of siRNA at pH of 5.3, and after dialysis to a pH of 7.4. Figure 12A: 7H8 size remained constant after the addition of siRNA and after
extrusion, suggesting that electrostatic interactions are less important for particle stability. In contrast, 317 size was variable, particularly after dialysis, indicating that this particle could be useful for applications where pH-triggered physical transformations are needed. Both lipomers formed particles under 200 nm, suggesting they would be ideal for biological applications. Figure 12B: In both cases, the zeta potential (a rough indicator of surface charge) of 7H8 and 317 decreased upon the addition of negatively charged siRNA. It became slightly negative after dialysis, indicating these particles may have reduced toxicity owing to high cationic profiles.
[0081] Figures 13A-13B demonstrate the effect of lipomer: siRNA mass ratio (mr) on the size (Figure 13A) and zeta potential (Figure 13B) of particles before and after dialysis. The diameter of 6C1 was found to be constant at mr = 10 and 15. The the lipomer: siRNA did not greatly influence size and zeta potential, indicating a high degree of physical stability.
Detailed Description of Certain Embodiments of the Invention
[0082] The present invention provides inventive conjugated polyethyleneimine polymers and conjugated aza-macrocycles (collectively referred to herein as "conjugated lipomers" or "lipomers") containing o of the formula (iii):
(iii)
wherein R3 and R4 are as defined herein.
[0083] The conjugated polyethyleneimine polymers are preferably prepared from low molecular weight linear polyethyleneimine (LPEI) and branched polyethyleneimine (BPEI) polymers, i.e., having a number average molar mass (Mn) of < 2000 (i.e., approximately < 2 kDa).
[0084] Also provided are compositions comprising the inventive conjugated lipomers, and methods of preparation and use.
Conjugated Polyethyleneimine Polymers and Preparation Thereof
[0085] The present invention provides novel conjugated polyethyleneimine polymers and methods of their preparation.
[0086] In one aspect, provided is a conjugated polyethyleneimine polymer of the
or salt thereof; wherein:
each instance of L is independently selected from formulae:
(i) (ϋ) (iii) provided that at least one L is selected from formulae (iii);
n is an integer of between 3 to 45, inclusive;
each instance of R is independently hydrogen; acyl; silyl; sulfonyl; an amino protecting group; substituted or unsubstituted alkyl; substituted or unsubstituted alkenyl; substituted or unsubstituted alkynyl; substituted or unsubstituted heteroalkyl; substituted or unsubstituted heteroalkenyl; substituted or unsubstituted heteroalkynyl; substituted or unsubstituted carbocyclyl; substituted or unsubstituted heterocyclyl; substituted or unsubstituted aryl; substituted or unsubstituted heteroaryl; a substituted or unsubstituted polyethyleneimine; or a group of the i'):
(iii')
or the two R groups are joined to form a substituted or unsubstituted heterocyclyl;
each instance of R is independently substituted or unsubstituted alkyl; substituted or unsubstituted alkenyl; substituted or unsubstituted alkynyl; substituted or unsubstituted heteroalkyl; substituted or unsubstituted heteroalkenyl; substituted or unsubstituted heteroalkynyl; substituted or unsubstituted carbocyclyl; substituted or unsubstituted heterocyclyl; substituted or unsubstituted aryl; substituted or unsubstituted heteroaryl; or a hydrophilic polymer;
each instance of R4 is independently hydrogen, acyl; silyl; a hydroxyl protecting group; substituted or unsubstituted alkyl; substituted or unsubstituted alkenyl; substituted or unsubstituted alkynyl; substituted or unsubstituted heteroalkyl; substituted or unsubstituted
heteroalkenyl; substituted or unsubstituted hetero alkynyl; substituted or unsubstituted carbocyclyl; substituted or unsubstituted heterocyclyl; substituted or unsubstituted aryl; or a substituted or unsubstituted heteroaryl;
A is -N(R5)2, wherein each instance of R5 is independently hydrogen; acyl; silyl; sulfonyl; an amino protecting group; substituted or unsubstituted alkyl; substituted or unsubstituted alkenyl; substituted or unsubstituted alkynyl; substituted or unsubstituted heteroalkyl; substituted or unsubstituted heteroalkenyl; substituted or unsubstituted heteroalkynyl; substituted or unsubstituted carbocyclyl; substituted or unsubstituted heterocyclyl; substituted or unsubstituted aryl; substituted or unsubstituted heteroaryl; or a group of the formula (iii'):
or two R5 groups are joined to form a substituted or unsubstituted heterocyclyl; and
Z is hydrogen; acyl; silyl; sulfonyl; an amino protecting group; substituted or unsubstituted alkyl; substituted or unsubstituted alkenyl; substituted or unsubstituted alkynyl; substituted or unsubstituted heteroalkyl; substituted or unsubstituted heteroalkenyl;
substituted or unsubstituted heteroalkynyl; substituted or unsubstituted carbocyclyl;
substituted or unsubstituted heterocyclyl; substituted or unsubstituted aryl; substituted or unsubstituted heteroaryl, or a group of the formula (iii'):
or Z and the nitrogen atom to which it is attached form a substituted or unsubstituted heterocyclyl group.
[0087] The inventive conjugated polyethyleneimine polymer of Formula (II), or salt thereof, is prepared by contacting a compound of Formula (I), or salt thereof (the "precursor polyethyleneimine polymer"), with one or more different epoxides of the formula (xii), e.g., provided below in Scheme I:
(I) O)
wherein each instance of R1 is independently selected from hydrogen or a group of the formula (Η'):
R2' 2 (ii'),
and A, Z, L 1 , R2 , R 3 , and n is as defined herein; provided that the number average molar mass (Mn) of the precursor polyethyleneimine polymer does not exceed 2000 g/mol (about 2 kDa).
[0088] Thus, it is understood that the number average molar mass (Mn) of the compound of Formula (II), as described herein, is approximately < 2000 (i.e., approximately < 2 kDa) after subtraction of the molecular weight of each instance of the group (iii') attached thereto:
[0089] In certain embodiments, the conjugated polyethyleneimine polymer is prepared from low molecular weight precursor polyethyleneimine polymer, i.e., having a number average molar mass (Mn) of < 2000 (i.e., approximately < 2 kDa). In certain embodiments, the conjugated polyethyleneimine polymer is prepared from a precursor polyethyleneimine polymer having an number average molar mass (Mn) of less than 1900, less than 1800, less than 1700, less than 1600, less than 1500, less than 1400, less than 1300, less than 1200, less than 1100, less than 1000, less than 900, less than 800, or less than 700 g/mol. In certain embodiments, the precursor polyethyleneimine polymer has an number average molar mass (Mn) of between about 400 to about 2000, of between about 400 to about 1900, of between about 400 to about 1800, of between about 500 to about 1900, of between about 600 to about 1800 g/mol, of between about 600 to about 800, of between about 600 to about 700, of between about 700 to about 1800, of between about 800 to about 1800, of between about 900 to about 1800, or of between about 1000 to about 1800 g/mol, inclusive.
[0090] In certain embodiments, the compound of Formula (I) is a branched
polyethyleneimine (BPEI) polymer, and at least one R1 is of the formula (ii'); e.g., for
example, 1 to 45, 1 to 40, 1 to 30, 1 to 20, 1 to 10, or 1 to 5, R1 groups are of the formula (ϋ'). In certain embodiments, the compound of Formula (I) is a linear polyethyleneimine (LPEI) polymer, and each R1 group is hydrogen.
[0091] In certain embodiments of Formula (I), neither R 5 , Z, nor R 2 is a group of the formula (iii')- For example, in certain embodiments of Formula (I),
each instance of R is independently hydrogen; acyl; silyl; sulfonyl; an amino protecting group; substituted or unsubstituted alkyl; substituted or unsubstituted alkenyl; substituted or unsubstituted alkynyl; substituted or unsubstituted heteroalkyl; substituted or unsubstituted heteroalkenyl; substituted or unsubstituted heteroalkynyl; substituted or unsubstituted carbocyclyl; substituted or unsubstituted heterocyclyl; substituted or unsubstituted aryl; substituted or unsubstituted heteroaryl; or a substituted or unsubstituted polyethyleneimine;
A is -N(R5)2, wherein each instance of R5 is independently hydrogen; acyl; silyl; sulfonyl; an amino protecting group; substituted or unsubstituted alkyl; substituted or unsubstituted alkenyl; substituted or unsubstituted alkynyl; substituted or unsubstituted heteroalkyl; substituted or unsubstituted heteroalkenyl; substituted or unsubstituted heteroalkynyl; substituted or unsubstituted carbocyclyl; substituted or unsubstituted heterocyclyl; substituted or unsubstituted aryl; or substituted or unsubstituted heteroaryl; or the two R5 groups are joined to form a substituted or unsubstituted heterocyclyl; and
Z is hydrogen; acyl; silyl; sulfonyl; an amino protecting group; substituted or unsubstituted alkyl; substituted or unsubstituted alkenyl; substituted or unsubstituted alkynyl; substituted or unsubstituted heteroalkyl; substituted or unsubstituted heteroalkenyl;
substituted or unsubstituted heteroalkynyl; substituted or unsubstituted carbocyclyl;
substituted or unsubstituted heterocyclyl; substituted or unsubstituted aryl; or substituted or unsubstituted heteroaryl; or Z and the nitrogen atom to which it is attached form a substituted or unsubstituted heterocyclyl group.
[0092] In certain embodiments of Formula (I), A is -N(R5)2, wherein at least one R5 is hydrogen. In certain embodiments of Formula (I) A is -N(R5)2, wherein each R5 is hydrogen. In certain embodiments of Formula (I), Z is hydrogen.
[0093] Alternatively, in certain embodiments of Formula (II), either R 5 , Z, and/or R 2 can be a group of the formula (iii) provided that at least one R 2 , R 5 and/or Z is hydrogen in the precursor polyethyleneimine polymer. Thus, in certain embodiments of Formula (II), A is -N(R5)2, wherein each instance of R5 is independently hydrogen; acyl; silyl; sulfonyl; an amino protecting group; substituted or unsubstituted alkyl; substituted or unsubstituted
alkenyl; substituted or unsubstituted alkynyl; substituted or unsubstituted heteroalkyl;
substituted or unsubstituted heteroalkenyl; substituted or unsubstituted heteroalkynyl;
substituted or unsubstituted carbocyclyl; substituted or unsubstituted heterocyclyl;
substituted or unsubstituted aryl; substituted or unsubstituted heteroaryl; or a group of the formula (iii'); or two R5 groups are joined to form a substituted or unsubstituted heterocyclyl;
and Z is hydrogen; acyl; silyl; sulfonyl; an amino protecting group; substituted or unsubstituted alkyl; substituted or unsubstituted alkenyl; substituted or unsubstituted alkynyl; substituted or unsubstituted heteroalkyl; substituted or unsubstituted heteroalkenyl; substituted or unsubstituted heteroalkynyl; substituted or unsubstituted carbocyclyl;
substituted or unsubstituted heterocyclyl; substituted or unsubstituted aryl; substituted or unsubstituted heteroaryl, or a group of the formula (iii'); or Z and the nitrogen atom to which it is attached form a substituted or unsubstituted heterocyclyl group.
[0094] In certain embodiments of Formula (II), A is -N(R5)2, wherein each instance of
R5 is independently hydrogen; acyl; silyl; sulfonyl; an amino protecting group; substituted or unsubstituted alkyl; substituted or unsubstituted heteroalkyl; or a group of the formula (iii'). In certain embodiments of Formula (II), A is -N(R5)2, wherein each instance of R5 is independently hydrogen; substituted or unsubstituted alkyl; substituted or unsubstituted heteroalkyl; or a group of the formula (iii').
[0095] In certain embodiments of Formula (II), Z is hydrogen; acyl; silyl; sulfonyl; an amino protecting group; substituted or unsubstituted alkyl; substituted or unsubstituted heteroalkyl; or a group of the formula (iii'). In certain embodiments of Formula (II), Z is hydrogen; substituted or unsubstituted alkyl; substituted or unsubstituted heteroalkyl; or a group of the formula (iii').
[0096] As generally defined above, n is an integer of between 3 to 45, inclusive. In certain embodiments, n is an interger of between 3 to 45, between 5 to 45, between 7 to 45, between 9 to 45, between 10 to 45, between 11 to 45, between 12 to 45, between 13 to 45, between 14 to 45, between 5 to 40, between 5 to 35, between 5 to 30, between 5 to 25, between 5 to 20, between 5 to 15, between 10 to 20, between 10 to 15, or between 40 to 45, inclusive. In certain embodiments, n is 14. In certain embodiments, n is 43.
[0097] As generally defined above, each instance of R2 is independently hydrogen; acyl; silyl; sulfonyl; an amino protecting group; substituted or unsubstituted alkyl; substituted or unsubstituted alkenyl; substituted or unsubstituted alkynyl; substituted or unsubstituted heteroalkyl; substituted or unsubstituted heteroalkenyl; substituted or unsubstituted heteroalkynyl; substituted or unsubstituted carbocyclyl; substituted or unsubstituted
heterocyclyl; substituted or unsubstituted aryl; substituted or unsubstituted heteroaryl; a substituted or unsubstituted polyethyleneimine; or a group of the formula (iii'); or the two R groups are joined to form a substituted or unsubstituted heterocyclyl.
[0098] In certain embodiments, each instance of R2 is independently hydrogen; acyl; silyl; sulfonyl; an amino protecting group; substituted or unsubstituted alkyl; substituted or unsubstituted alkenyl; substituted or unsubstituted alkynyl; substituted or unsubstituted heteroalkyl; substituted or unsubstituted heteroalkenyl; substituted or unsubstituted heteroalkynyl; a substituted or unsubstituted polyethyleneimine; or a group of the formula
(iii'); or the two R groups are joined to form a substituted or unsubstituted heterocyclyl.
[0099] In certain embodiments, each instance of R2 is independently hydrogen;
substituted or unsubstituted alkyl; substituted or unsubstituted heteroalkyl; a substituted or unsubstituted polyethyleneimine; or a group of the formula (iii'); or the two R groups are joined to form a substituted or unsubstituted heterocyclyl.
[00100] In certain embodiments, each instance of R2 is independently hydrogen; a substituted or unsubstituted polyethyleneimine; or a group of the formula (iii').
[00101] In certain embodiments, at least one R2 is a substituted or unsubstituted polyethyleneimine.
[00102] As used herein, a substituted or unsubstituted polyethyleneimine refers to a group of the formula (iv):
wherein:
t is an integer of between 1 to 50, inclusive;
P is hydrogen; acyl; silyl; sulfonyl; an amino protecting group; substituted or unsubstituted alkyl; substituted or unsubstituted alkenyl; substituted or unsubstituted alkynyl; substituted or unsubstituted heteroalkyl; substituted or unsubstituted heteroalkenyl;
substituted or unsubstituted heteroalkynyl; substituted or unsubstituted carbocyclyl;
substituted or unsubstituted heterocyclyl; substituted or unsubstituted aryl; substituted or unsubstituted heteroaryl; or a group of the formula (iii'):
(iii
P, R , and the nitrogen atom to which it is attached form a substituted or unsubstituted heterocyclyl group; and
each instance of R6 is independently selected from hydrogen or a group of the formula
(ϋ') or (iii'):
wherein R 2 , R 3 , and R 4 are as defined herein; provided that the number average molar mass (Mn) of the precursor polyethyleneimine polymer does not exceed 2000 g/mol (about 2 kDa).
[00103] In certain embodiments, t is an integer of between 1 to 40, between 1 to 30, between 1 to 20, between 1 to 10, between 1 to 5, or between 1 to 3, inclusive.
[00104] In certain embodiments of formula (iv), each instance of R2 is hydrogen or a substituted or unsubstituted polyethyleneimine. For example, each instance of R6 may comprise any number of branched polyethyleneimine groups, e.g., exemplary non-limiting examples include:
wherein:
each instance of t', t", and t'" is independently an integer of between 1 to 50, inclusive;
each instance of P', P", and P'" is independently hydrogen; acyl; silyl; sulfonyl; an amino protecting group; substituted or unsubstituted alkyl; substituted or unsubstituted alkenyl; substituted or unsubstituted alkynyl; substituted or unsubstituted heteroalkyl;
substituted or unsubstituted heteroalkenyl; substituted or unsubstituted heteroalkynyl;
substituted or unsubstituted carbocyclyl; substituted or unsubstituted heterocyclyl; substituted or unsubstituted aryl; substituted or unsub aryl, or a group of the formula (iii'):
(iii')
P', P", and P'", the respective R ', R ", and R "', and the nitrogen atom to which both are attached independently forms a substituted or unsubstituted heterocyclyl group; and
each instance of R6', R6", and R6'", is independently hydrogen or a group of the formula (ϋ') or (iii'):
(ii (iii')
wherein R 2 ' is as defined as R 2 , defined herein; provided that the number average molar mass (Mn) of the precursor polyethyleneimine polymer does not exceed 2000 g/mol (about 2 kDa).
[00105] In the instance, wherein at least one R2 is a substituted or unsubstituted polyethyleneimine, the precursor polyethyleneimine polymer of the Formula (I) is a branched polyethyleneimine (BPEI) polymer, as defined herein, wherein P and R6 of the the precursor polyethyleneimine polymer of the Formula (I) are not a group of the formula (iii'). In this
instance, the conjugated polyethyleneimine polymer further comprises at least one L group of the formula (ii); e.g. , 1 to 44, 1 to 40, 1 to 30, 1 to 20, 1 to 10, or 1 to 5 groups of the formula (ii). In certain embodiments, the conjugated polyethyleneimine polymer is prepared from a branched polyethyleneimine (BPEI) polymer having an number average molar mass (Mn) of less than 2000 g/mol (approximately 2 kDa). In certain embodiments, the conjugated polyethyleneimine polymer is prepared from a branched polyethyleneimine (BPEI) having an number average molar mass (Mn) of less than 1900, less than 1800, less than 1700, less than 1600, less than 1500, less than 1400, less than 1300, less than 1200, less than 1100, less than 1000, less than 900, less than 800, or less than 700 g/mol. In certain embodiments, the BPEI has an number average molar mass (Mn) of between about 400 to about 2000, of between about 400 to about 1900, of between about 400 to about 1800, of between about 500 to about 1900, of between about 600 to about 1800 g/mol, of between about 600 to about 800, of between about 600 to about 700, of between about 700 to about 1800, of between about 800 to about 1800, of between about 900 to about 1800, or of between about 1000 to about 1800 g/mol, inclusive.
[00106] In certain embodiments, the conjugated polyethyleneimine polymer is prepared from a branched polyethyleneimine (BPEI) polymer having an number average molar mass (Mn) of about 600 g/mol (BPEI6oo)- In this instance, in certain embodiments, n is 14.
[00107] In certain embodiments, the conjugated polyethyleneimine polymer is prepared from a branched polyethyleneimine (BPEI) polymer having an number average molar mass (Mn) of about 1800 g/mol (BPEI180o). In this instance, in certain embodiments, n is 43.
[00108] In certain embodiments, the precursor polyethyleneimine polymer is a linear polyethyleneimine (LPEI), as defined herein. In this instance, the conjugated
polyethyleneimine polymer does not comprise an L1 group of the formula (ii). In certain embodiments, the conjugated polyethyleneimine polymer is prepared from a linear polyethyleneimine (LPEI) having an number average molar mass (Mn) of less than 2000 g/mol (approximately 2 kDa). In certain embodiments, the conjugated polyethyleneimine polymer is prepared from a linear polyethyleneimine (LPEI) having an number average molar mass (Mn) of less than 1900, less than 1800, less than 1700, less than 1600, less than 1500, less than 1400, less than 1300, less than 1200, less than 1100, less than 1000, less than 900, less than 800, or less than 700 g/mol. In certain embodiments, the LPEI has an number average molar mass (Mn) of between about 400 to about 2000, of between about 400 to about 1900, of between about 400 to about 1800, of between about 500 to about 1900, of between about 600 to about 1800 g/mol, of between about 600 to about 800, of between about 600 to
about 700, of between about 700 to about 1800, of between about 800 to about 1800, of between about 900 to about 1800, or of between about 1000 to about 1800 g/mol, inclusive.
[00109] In certain embodiments, the LPEI polymer having an number average molar mass (Mn) of about 600 g/mol (LPEl6oo)- In this instance, in certain embodiments, n is 14.
[00110] In certain embodiments, the LPEI polymer having an number average molar mass (Mn) of about 1800 g/mol (LPEI180o). In this instance, in certain embodiments, n is 43.
[00111] As generally defined above, the conjugated polyethyleneimine polymer comprises at least one instance (e.g. , 1 to 44, 1 to 40, 1 to 30, 1 to 20, 1 to 10, or 1 to 5 instances) of a group of the formula (iii):
(iii)
wherein each instance of R provided in the conjugated polyethyleneimine polymer is independently substituted or unsubstituted alkyl; substituted or unsubstituted alkenyl;
substituted or unsubstituted alkynyl; substituted or unsubstituted heteroalkyl; substituted or unsubstituted heteroalkenyl; substituted or unsubstituted heteroalkynyl; substituted or unsubstituted carbocyclyl; substituted or unsubstituted heterocyclyl; substituted or unsubstituted aryl; substituted or unsubstituted heteroaryl; or a hydrophilic polymer; and each instance of R4 is independently hydrogen, acyl; silyl; a hydroxyl protecting group; substituted or unsubstituted alkyl; substituted or unsubstituted alkenyl; substituted or unsubstituted alkynyl; substituted or unsubstituted heteroalkyl; substituted or unsubstituted heteroalkenyl; substituted or unsubstituted heteroalkynyl; substituted or unsubstituted carbocyclyl; substituted or unsubstituted heterocyclyl; substituted or unsubstituted aryl; or substituted or unsubstituted heteroaryl.
[00112] As generally defined above, each instance of R3 is independently substituted or unsubstituted alkyl; substituted or unsubstituted alkenyl; substituted or unsubstituted alkynyl; substituted or unsubstituted heteroalkyl; substituted or unsubstituted heteroalkenyl;
substituted or unsubstituted heteroalkynyl; substituted or unsubstituted carbocyclyl;
substituted or unsubstituted heterocyclyl; substituted or unsubstituted aryl; substituted or unsubstituted heteroaryl; or a hydrophilic polymer.
[00113] In certain embodiments, each instance of R3 is independently substituted or unsubstituted alkyl; substituted or unsubstituted alkenyl; substituted or unsubstituted alkynyl;
substituted or unsubstituted heteroalkyl; substituted or unsubstituted heteroalkenyl;
substituted or unsubstituted heteroalkynyl; or a hydrophilic polymer.
[00114] In certain embodiments, each instance of R3 is independently substituted or unsubstituted alkyl; substituted or unsubstituted heteroalkyl; or a hydrophilic polymer.
[00115] In certain embodiments, at least one instance of R3 is substituted or
unsubstituted alkyl. In certain embodiments, at least one instance of R is substituted or unsubstituted Ci-soalkyl. In certain embodiments, at least one instance of R is substituted or unsubstituted Cs-soalkyl. In certain embodiments, at least one instance of R is substituted or unsubstituted Cg_4oalkyl. In certain embodiments, at least one instance of R is substituted or unsubstituted Cg_3oalkyl. In certain embodiments, at least one instance of R is substituted or unsubstituted C8-2oalkyl.
[00116] In certain embodiments, at least one instance of R3 is an unsubstituted alkyl. Exemplary unsubstituted alkyl groups include, but are not limited to, -CH3, -C2H5, -C3H7, - C4H9, -CsHn, -C6H1 , -CjHis, -CgH17, -CgHig, -^οΗ21, -CnH23, -C12H25, -C13H27, -C14H29, - C15H31, -Ci6H33, -C17H35, -Ci8H37, -Ci9H39, and -C2oH41.
[00117] In certain embodiments, at least one instance of R3 is a substituted alkyl. For example, in certain embodimenets, at least one instance of R is an alkyl substituted with one or more fluorine substituents. Exemplary substituted alkyl groups include, but are not limited to:
F F F F F F F F F F F F F F F F F F F F
F F F F F F F F F F F F F F F
[00118] In certain embodiments, at least one instance of R3 is substituted or unsubstituted alkenyl. In certain embodiments, at least one instance of R is substituted or unsubstituted C2-5oalkenyl. In certain embodiments, at least one instance of R is substituted or unsubstituted Cs-so alkenyl. In certain embodiments, at least one instance of R is substituted or unsubstituted C8-40 alkenyl. In certain embodiments, at least one instance of R is substituted or unsubstituted C8-30 alkenyl. In certain embodiments, at least one instance of R is substituted or unsubstituted Cg_2o alkenyl. In certain embodiments, at least one instance R 3 3 of is a substituted Cg_2o alkenyl. In certain embodiments, at least one instance of R is an unsubstituted alkenyl.
[00119] Exemplary unsubstituted alkenyl groups include, but are not limited to:
Palmitoliec -(CH2)7CH=CH(CH2)5CH3,
Sapienic -(CH2)4CH=CH(CH2)8CH3,
Oleic -(CH2)7CH=CH(CH2)7CH3,
Linoleic -(CH2)7CH=CHCH2CH=CH(CH2)4CH3,
OC-Linolenic -(CH2)7CH=CHCH2CH=CHCH2CH=CHCH2CH3,
Arachinodonic -(CH2)3CH=CHCH2CH=CHCH2CH=CHCH2CH=CH(CH2)4CH3,
Eicosapentaenoic -(CH2)3CH=CHCH2CH=CHCH2CH=CHCH2CH=CHCH2CH=CHCH2CH3
Erucic -(CH2)nCH=CH(CH2)7CH3, and
Docosahexaenoic -(CH2)2CH=CHCH2CH=CHCH2CH=CHCH2CH=CHCH2CH=CHCH2CH=CH-CH2CH3.
[00120] In embodiments, wherein R3 is defined as a C6-soalkyl or C6-soalkenyl groups, such groups are meant to encompass lipophilic groups (also referred to as a "lipid tail").
Lipophilic groups comprise a group of molecules that include fats, waxes, oils, fatty acids, and the like. Lipid tails present in these lipid groups can be saturated and unsaturated, depending on whether or not the lipid tail comprises double bonds. The lipid tail can also comprise different lengths, often categorized as medium (i.e. , with tails between 7-12 carbons, e.g. , C7-12 alkyl or C7-12 alkenyl), long (i.e. , with tails greater than 12 carbons and up to 22 carbons, e.g. , C13_22 alkyl or C13_22 alkenyl), or very long (i.e. , with tails greater than 22 carbons, e.g. , C23_3o alkyl or C23_3o alkenyl).
[00121] In certain embodiments, at least one instance of R3 is substituted or
unsubstituted alkynyl. In certain embodiments, at least one instance of R is substituted or unsubstituted C2-5oalkynyl. In certain embodiments, at least one instance of R is substituted or unsubstituted Cg_5o alkynyl. In certain embodiments, at least one instance of R is substituted or unsubstituted Cg_4o alkynyl. In certain embodiments, at least one instance of R is substituted or unsubstituted C8-3o alkynyl. In certain embodiments, at least one instance of R is substituted or unsubstituted C8-20 alkynyl. In certain embodiments, at least one instance
3 3 of R is an unsubstituted alkynyl. In certain embodiments, at least one instance of R is a substituted alkynyl.
[00122] In certain embodiments, at least one instance of R3 is substituted or
unsubstituted heteroalkyl. In certain embodiments, at least one instance of R is substituted or unsubstituted Ciso heteroalkyl. In certain embodiments, at least one instance of R is
substituted or unsubstituted Cg_so heteroalkyl. In certain embodiments, at least one instance of R is substituted or unsubstituted Cg_4o heteroalkyl. In certain embodiments, at least one instance of R is substituted or unsubstituted C8-30 heteroalkyl. In certain embodiments, at least one instance of R is substituted or unsubstituted C8-20 heteroalkyl. In certain embodiments, at least one instance of R is a substituted heteroalkyl. In certain
embodiments, at least one instance of R is an unsubstituted heteroalkyl.
[00123] Exemplary unsubstituted heteroalkyl groups include, but are not limited to:
[00124] In certain embodiments, at least one instance of R3 is substituted or
unsubstituted heteroalkenyl. In certain embodiments, at least one instance of R is substituted or unsubstituted C2-50 heteroalkenyl. In certain embodiments, at least one instance of R is substituted or unsubstituted C8-50 heteroalkenyl. In certain embodiments, at least one instance of R is substituted or unsubstituted C8-40 heteroalkenyl. In certain embodiments, at least one instance of R is substituted or unsubstituted Cg_3o heteroalkenyl. In certain embodiments, at least one instance of R is substituted or unsubstituted Cg_2o heteroalkenyl. In certain embodiments, at least one instance of R is a substituted heteroalkenyl. In certain
embodiments, at least one instance of R is an unsubstituted heteroalkenyl.
[00125] In certain embodiments, at least one instance of R3 is substituted or
unsubstituted heteroalkynyl. In certain embodiments, at least one instance of R is substituted or unsubstituted C2-50 heteroalkynyl. In certain embodiments, at least one instance of R is substituted or unsubstituted Cg-50 heteroalkynyl. In certain embodiments, at least one instance of R is substituted or unsubstituted Cg_4o heteroalkynyl. In certain embodiments, at least one instance of R is substituted or unsubstituted Cg_3o heteroalkynyl. In certain
embodiments, at least one instance of R is substituted or unsubstituted Cg_2o heteroalkynyl. In certain embodiments, at least one instance of R is a substituted heteroalkynyl. In certain embodiments, at least one instance of R is an unsubstituted heteroalkynyl.
[00126] In certain embodiments, at least one instance of R3 is substituted or
unsubstituted carbocyclyl. In certain embodiments, at least one instance of R is a substituted carbocyclyl. In certain embodiments, at least one instance of R is an unsubstituted carbocyclyl.
[00127] In certain embodiments, at least one instance of R3 is substituted or
unsubstituted heterocyclyl. In certain embodiments, at least one instance of R is a substituted heterocyclyl. In certain embodiments, at least one instance of R is an
unsubstituted heterocyclyl.
[00128] In certain embodiments, at least one instance of R3 is substituted or
unsubstituted aryl. In certain embodiments, at least one instance of R is an unsubstituted aryl. In certain embodiments, at least one instance of R is a substituted aryl.
[00129] In certain embodiments, at least one instance of R3 is substituted or
unsubstituted heteroaryl. In certain embodiments, at least one instance of R is a substituted heteroaryl. In certain embodiments, at least one instance of R is an unsubstituted heteroaryl.
[00130] In certain embodiments, at least one instance of R3 is hydrophilic polymer. As used herein, a "polymer" refers to a compound comprised of at least 3 (e.g. , at least 10, 20, 30, 40, 50, 60, 70, 80, 90, 100, etc.) repeating covalently bound structural units. By extension, a "hydrophilic polymer" is a polymer, as defined herein, further comprising at least one group (e.g. , an oxygen, nitrogen, and/or sulfur atom) in the repeating structural unit capable of hydrogen bonding. The hydrophilic polymer is preferably biocompatible (i.e. , non-toxic). Exemplary hydrophilic polymers include, but are not limited to, polypeptides (e.g. , poly-L-lysine), cellulose polymers (e.g. , hydroxyethylcellulose, ethylcellulose, carboxymethylcellulose, methylc cellulose, hydroxypropylmethylcellulose (HPMC)), dextran polymers, polymaleic acid polymers, poly(acrylic acid) polymers, poly(vinylalcohol) polymers, polyvinylpyrrolidone (PVP) polymers, and polyethyleneglycol (PEG) polymers.
[00131] In certain embodiments, the hydrophilic polymer is a polyethyleneglycol polymer, e.g. , of the formula (v):
wherein:
7
R is hydrogen; acyl; silyl; a hydroxyl protecting group; substituted or unsubstituted alkyl; substituted or unsubstituted alkenyl; substituted or unsubstituted alkynyl; substituted or unsubstituted heteroalkyl; substituted or unsubstituted heteroalkenyl; substituted or unsubstituted heteroalkynyl; substituted or unsubstituted carbocyclyl; substituted or unsubstituted heterocyclyl; substituted or unsubstituted aryl; or substituted or unsubstituted heteroaryl; and
v is an integer between 3 to 400, inclusive.
[00132] In certain embodiments, R7 is hydrogen. In certain embodiments, R7 is acyl. In certain embodiments, R 7 is a hydroxyl protecting group. In certain embodiments, R 7 is substituted or unsubstituted alkyl. In certain embodiments, R is a substituted alkyl. In certain embodiments, R 7 is an unsubstituted alkyl. In certain embodiments, R 7 is -CH3 (a "polyethyleneglycol monomethylether" polymer). In certain embodiments, R is substituted or unsubstituted alkenyl. In certain embodiments, R is substituted or unsubstituted alkynyl.
7
In certain embodiments, R is substituted or unsubstituted heteroalkyl. In certain
embodiments, R 7 is substituted or unsubstituted heteroalkenyl. In certain embodiments, R 7 is substituted or unsubstituted heteroalkynyl. In certain embodiments, R is substituted or unsubstituted carbocyclyl. In certain embodiments, R is substituted or unsubstituted heterocyclyl. In certain embodiments, R is substituted or unsubstituted aryl. In certain embodiments, R is and substituted or unsubstituted heteroaryl.
[00133] In certain embodiments, v is an integer between 3 to 300, 3 to 200, 3 to 100, 3 to 90, 3 to 80, 3 to 70, 3 to 60, 3 to 50, 5 to 50, 10 to 50, 15 to 50, 20 to 50, 20 to 40, 20 to 30, 20 to 25, 30 to 50, and 40 to 50, inclusive. PEGiooo corresponds, on average, to a v of about 22.7, wherein R is -OCH3. PEG2000 corresponds, on average, to a v of about 45.4.
[00134] In certain embodiments, the number average molar mass (Mn) of the
polyethyleneglycol polymer is <10,000. In certain embodiments, the number average molar mass (Mn) of the polyethyleneglycol polymer is < 10,000, < 9000, < 8000, < 7000, < 6000, < 5000, < 4000, < 3000, or < 2000. In certain embodiments, the number average molar mass (Mn) of the polyethyleneglycol polymer is between about 100 to about 10,000, inclusive; e.g., between about 100 to about 5000, between about 100 to about 4000, between about 100 to about 3000, between about 100 to about 2500, between about 100 to about 2000, between about 100 to about 1500, between about 100 to about 1000, between about 100 to about 900, between about 100 to about 800, between about 100 to about 700, between about 100 to about 600, between about 100 to about 500, between about 100 to about 400, between about 100 to about 300, between about 100 to about 200, between about 100 to about 1500,
between about 2500 to about 10000, between about 2500 to about 9000, between about 2500 to about 8000, between about 2500 to about 7000, between about 2500 to about 6000, between about 2500 to about 5000, between about 2500 to about 4000, or between about 2500 to about 3000, inclusive. In certain embodiments, the number average molar mass (Mn) of the polyethyleneglycol polymer is 1000 (PEGiooo)- In certain embodiments, the number average molar mass (Mn) of the polyethyleneglycol polymer is 2000 (PEG2ooo)- A 1: 1 mixture of PEGiooo and PEG2ooo is referred to herein as PEGLSK-
[00135] In certain embodiments, at least one instance of R3 is a hydrophilic polymer, and at least one instance of R is a substituted or unsubstituted alkyl.
[00136] As used herein, when the group R3 is depicted as bisecting a carbon-carbon bond, e.g., of the group of the formula (iii), it is understood that R may be substituted at either carbon.
[00137] Nucleophilic attack of an amino group of the polyethyleneimine polymer at the least sterically hindered carbon of the epoxide provides a group of the formula (iii-a) (route a), while nucleophilic attack at the more sterically hindered carbon of the epoxide provides a group of the formula (iii-b) (route b), wherein R4 is hydrogen; see, e.g., the "conjugation reaction" of Scheme II.
[00138] It is understood that compounds of the present invention may comprise a mixture of products attached thereto arising from route (a) and route (b) depending on the preference, or lack thereof, of the mode of addition, and that formulae that depict this bisecting bond may comprise a mixture of compounds. The bisecting group R depicted in the formulae seeks to encompasses all contemplated modes of addition.
Scheme II.
[00139] The resulting hydroxyl moiety of the formula (iii-a) or (iii-b), wherein R4 is hydrogen, can optionally be converted to a substituted hydroxyl, wherein R4 is a group other than hydrogen, i.e., is independently selected from acyl; silyl; a hydroxyl protecting group;
substituted or unsubstituted alkyl; substituted or unsubstituted alkenyl; substituted or unsubstituted alkynyl; substituted or unsubstituted heteroalkyl; substituted or unsubstituted heteroalkenyl; substituted or unsubstituted hetero alkynyl; substituted or unsubstituted carbocyclyl; substituted or unsubstituted heterocyclyl; substituted or unsubstituted aryl; or substituted or unsubstituted heteroaryl; using conventional methods. Alkylation, acylation, and/or protection of a hydroxyl moiety are well-known in the art; see, e.g., Protecting Groups in Organic Synthesis, T. W. Greene and P. G. M. Wuts, 3rd edition, John Wiley & Sons, 1999; Smith and March, March's Advanced Organic Chemistry, 5th Edition, John Wiley & Sons, Inc., New York, 2001; Larock, Comprehensive Organic Transformations, VCH Publishers, rd
Inc., New York, 1989; and Carruthers, Some Modern Methods of Organic Synthesis, 3 Edition, Cambridge University Press, Cambridge, 1987.
[00140] For example, in certain non-limiting embodiments, the hydroxyl moiety is reacted with an electrophile of the formula R4-X wherein R4 is a group other than hydrogen, and X is a leaving group, to provide a substituted hydroxyl group in formula (iii).
[00141] In certain embodiments, each instance of R4 is independently hydrogen; acyl; silyl; a hydroxyl protecting group; substituted or unsubstituted alkyl; substituted or unsubstituted alkenyl; substituted or unsubstituted alkynyl; substituted or unsubstituted heteroalkyl; or substituted or unsubstituted heteroalkenyl. In certain embodiments, each instance of R4 is independently hydrogen; substituted or unsubstituted alkyl; or substituted or unsubstituted heteroalkyl. In certain embodiments, each instance of R4 is hydrogen.
[00142] It is understood from the present disclosure that the group of formula (iii) represents a group of formula (iii-a) or a group of formula (iii-b):
(iii-a) (iii-b)
[00143] In certain embodiments, the conjugation reaction depicted in Scheme II results in a mixture comprising more lipomers conjugated to a group of formula (iii-a) than to a group of formula (iii-b), e.g., the reaction mixture comprises greater than 50%, greater than 60%, greater than 70%, greater than 80%, greater than 90%, greater than 95%, greater than 99%, between about 60% to about 100%, between about 70% to about 100%, between about 80% to about 100%, between about 90% to about 100%, between about 95% to about 100%,
or between about 99% to about 100%, of a conjugated lipomer attached to a group of formula (iii-a) .
[00144] In certain embodiments, the reaction mixture comprises only conjugated lipomers attached to a group formula (iii-a).
[00145] In certain embodiments, the epoxide is chiral, i.e. , having (R) or (S)
stereochemistry. In this instance, in certain embodiments, the conjugation reaction depicted in Scheme II provides a chiral conjugated polyethyleneimine polymer. Chirality in a polymer can be characterized in a variety of ways, e.g. , obtaining the optical rotation and/or NMR analysis after chemical modification of the optically active polymer with a chiral derivatizing agent are methods useful in evaluating the chirality of a polymer.
[00146] In certain embodiments, wherein the epoxide is chiral, the conjugation reaction depicted in Scheme II results in a mixture comprising more lipomers conjugated to a group of formula (R)-(iii-a) than to a group of formula (S)- (iii-a), e.g. , the reaction mixture comprises greater than 50%, greater than 60%, greater than 70%, greater than 80%, greater than 90%, greater than 95%, greater than 99%, between about 60% to about 100%, between about 70% to about 100%, between about 80% to about 100%, between about 90% to about 100%, between about 95% to about 100%, or between about 99% to about 100%, of a conjugated lipomer attached to a group of formula (R)-(iii-a).
[00147] In certain embodiments, reaction mixture comprises only conjugated lipomers attached to a group formula (R)-(iii-a).
[00148] In certain embodiments, wherein the epoxide is chiral, the conjugation reaction depicted in Scheme II results in a mixture comprising more lipomers conjugated to a group of formula formula (S)-(m-a) than formula (R)-(iii-a), e.g. , the reaction mixture comprises greater than 50%, greater than 60%, greater than 70%, greater than 80%, greater than 90%, greater than 95%, greater than 99%, between about 60% to about 100%, between about 70% to about 100%, between about 80% to about 100%, between about 90% to about 100%, between about 95% to about 100%, or between about 99% to about 100%, of a conjugated lipomer attached to a group of formula (S)-(m-a).
[00149] In certain embodiments, reaction mixture comprises only conjugated lipomers attached to a group formula (S)-(in-a).
(S)-(iii-a) (R)-(iii-a) (5)-(iii-b) (R)-(iii-b)
[00150] In certain embodiments, wherein one epoxide is used in the conjugation reaction, each instance of R is the same in the conjugated polyethyleneimine polymer. For
3 3
example, in certain embodiments, each instance of R is the same wherein R is a substituted
3 3 or unsubstituted alkyl. In certain embodiments, each instance of R is the same wherein R is
3 3 an unsubstituted alkyl. In certain embodiments, each instance of R is the same wherein R is selected from the group consisting of -CH3, -C2H5, -C3H7, -C4H9, -CsHn, -C6H1 , -C^is, - C8H17, -CgHig, -CioHii, -CnH23, -C12H25, -C13H27, -C14H29, -C15H 1, -C16H , -C17H 5, - Ci8H37, -Ci9H39, and -C2oH41. In certain embodiments, each instance of R is the same wherein R is selected from the group consisting of
-C1oH2i, -CnH23, - C12H25, -C13H27, -C14H29, -C15H 1, and -C16H .
[00151] Alternatively, in certain embodiments, wherein more than one epoxide is used in the conjugation reaction (e.g. , two, three, four, five, six, seven, eight, nine, or ten different epoxides), the conjugated polyethyleneimine polymer comprises two or more (e.g. , two, three, four, five, six, seven, eight, nine, or ten) different R groups.
[00152] For example, in certain embodiments, two different epoxides are used in the conjugation reaction. In this instance, in certain embodiments, the conjugated
polyethyleneimine polymer comprises two different R groups. For example, in certain embodiments, the conjugated polyethyleneimine polymer comprises a mixture of two
3 3
different R groups, wherein the first R group is a substituted or unsubstituted alkyl, and the second R group is a hydrophilic polymer (e.g. , a polyethyleneglycol polymer). In certain embodiments, the conjugated polyethyleneimine polymer comprises a mixture of two
3 3 3 different R groups, wherein the first R group is an unsubstituted alkyl, and the second R group is a polyethyleneglycol polymer. In certain embodiments, the conjugated
polyethyleneimine polymer comprises a mixture of two different R groups, wherein the first R group is selected from the group consisting of -CH3, -C2H5, -C3H7, -C4Hg, -CsHn, -C6H13, -C7H15, -CsHn, -CgH^, -Cio ^i, -CnH23, -C12H25, -C13H27, -C14H29, -Ci5H31, -Ci6H33, - C17H 5,
and -C2oH41, and the second R group is PEGiooo- In certain embodiments, the conjugated polyethyleneimine polymer comprises a mixture of two
3 3
different R groups, wherein the first R group is selected from the group consisting of -CH3,
-C2H5, -C3H7, -C4H9, -CsHn, -C6H13, -CjHis, -CgH17, -CgHig, -C10H21, -CnH23, -C12H25, - C13H27, -C14H29, -C15H31, -C16H33, -C17H35, -C18H37, -C19H39, and -C20H41, and the second R3 group is PEG2000.
[00153] In certain embodiments, three different epoxides are used in the conjugation reaction. In this instance, in certain embodiments, the conjugated polyethyleneimine polymer comprises three different R groups. For example, in certain embodiments, the conjugated polyethyleneimine polymer comprises a mixture of three different R groups, wherein the
3 3
first R group is a substituted or unsubstituted alkyl, the second R group is a first hydrophilic polymer (e.g. , a polyethyleneglycol polymer, e.g. , PEGioooX and the third R group is a second hydrophilic polymer (e.g. , a different polyethyleneglycol polymer, e.g. , PEG2ooo)- In certain embodiments, the conjugated polyethyleneimine polymer comprises a mixture of
3 3 3 three different R groups, wherein the first R group is an unsubstituted alkyl, the second R group is PEGiooo, and the third R group is PEG2ooo- In certain embodiments, the conjugated polyethyleneimine polymer comprises a mixture of three different R groups, wherein the first R group is selected from the group consisting of -CH3, -C2H5, -C3H7, -C4H9, -CsHn, - C6H13, -C7H15, -CsHn, -CgH^, -C10H21, -CnH23, -C12H25, -C13H27, -C14H29, -C15H31, - C16H33, -C17H35, -¾Η37, -CigH^, and -C2oH41, the second R group is PEGiooo, and the third R group is PEG2ooo- In certain embodiments a 1 : 1 mixture of PEGiooo and PEG2000 is used.
3 3
In this instance, the mixture of the second R group and the third R group are referred to herein as PEGLSK-
[00154] In certain embodiments, the conjugated polymer comprises more of formula (iii) than of formula (i). For example, in certain embodiments, the ratio of groups of the formulae (i) to (iii) is between about 0: 10 to about 9: 10, inclusive. In certain embodiments, the ratio of groups of the formulae (i) to (iii) is between about 0: 10 to about 9: 10; between about 1 : 10 to about 8: 10; between about 1 : 10 to about 7: 10; between about 1 : 10 to about 6: 10; between about 1 : 10 to about 5: 10; or between about 2: 10 to about 4: 10, inclusive. In certain embodiments, the ratio of groups of the formulae (i) to (iii) is between about 3: 10 to about 4: 10, inclusive.
[00155] Alternatively, in certain embodiments, the conjugated polymer comprises more of formula (i) than of formula (iii). For example, in certain embodiments, the ratio of groups of the formulae (iii) to (i) is between about 0: 10 to about 9: 10, inclusive. In certain embodiments, the ratio of groups of the formulae (iiii) to (i) is between about 0: 10 to about 9: 10; between about 1 : 10 to about 8: 10; between about 1 : 10 to about 7: 10; between about 1 : 10 to about 6: 10; between about 1 : 10 to about 5: 10; or between about 2: 10 to about 4: 10,
inclusive. In certain embodiments, the ratio of groups of the formulae (iii) to (i) is between about 3:10 to about 4:10, inclusive.
[00156] In certain embodiments, wherein the conjugated polyethyleneimine polymer comprises two different R 3 groups, the ratio of the second R 3 group to the first R 3 group is between about 0.01:10 to about 10:10, inclusive. In certain embodiments, the ratio of the second R 3 group to the first R 3 group is between about 0.02:10 to about 10:10; between about 0.03:10 to about 10:10; between about 0.04:10 to about 10:10; between about 0.05:10 to about 10:10; between about 0.06:10 to about 10:10; between about 0.07:10 to about 10:10; between about 0.08:10 to about 10:10; between about 0.08:10 to about 9:10; between about 0.08:10 to about 8:10; between about 0.08:10 to about 7:10; between about 0.08:10 to about 6:10; between about 0.08:10 to about 5:10; between about 0.08:10 to about 4:10; between about 0.08:10 to about 3:10; between about 0.08:10 to about 2:10; or between about 0.08:10 to about 1:10, inclusive. In certain embodiments, the ratio of the second R group to the first R group is about 0.1:10.
[00157] In certain embodiments, wherein the conjugated polyethyleneimine polymer comprises three different R 3 groups, the ratio of the sum of the second and third R 3 groups to the first R group is between about 0.01:10 to about 10:10, inclusive. In certain
embodiments, the ratio of the sum of the second and third R 3 groups to the first R 3 group is 0.02:10 to about 10:10; between about 0.03:10 to about 10:10; between about 0.04:10 to about 10:10; between about 0.05:10 to about 10:10; between about 0.06:10 to about 10:10; between about 0.07:10 to about 10:10; between about 0.08:10 to about 10:10; between about 0.08:10 to about 9:10; between about 0.08:10 to about 8:10; between about 0.08:10 to about 7:10; between about 0.08:10 to about 6:10; between about 0.08:10 to about 5:10; between about 0.08:10 to about 4:10; between about 0.08:10 to about 3:10; between about 0.08:10 to about 2:10; or between about 0.08:10 to about 1:10, inclusive. In certain embodiments, the ratio of the sum of the second and third R 3 groups to the first R 3 group is about 0.1:10.
[00158] Exemplary conjugated polyethyleneimine polymers of the Formula (II) include, but are not limited to, any of the following LPEI conjugated polymers and BPEI conjugated polymers, or salts thereof, provided in Tables 1 and 2, defining the one or more hi groups present along the polymer backbone.
Conjugated Aza-Macrocycles and Preparation Thereof
[00159] The present invention further provides conjugated aza-macrocycles; i.e., of the Formula (IV):
or salt thereof; wherein:
(viii) (ix) provided that the aza-macrocycle contains at least one group selected from (vi), (vii) or (viii); each instance of R is independently hydrogen; acyl; silyl; sulfonyl; an amino protecting group; substituted or unsubstituted alkyl; substituted or unsubstituted alkenyl; substituted or unsubstituted alkynyl; substituted or unsubstituted heteroalkyl; substituted or unsubstituted heteroalkenyl; substituted or unsubstituted heteroalkynyl; substituted or unsubstituted carbocyclyl; substituted or unsubstituted heterocyclyl; substituted or unsubstituted aryl; substituted or unsubstituted heteroaryl; or
provided the aza-macrocycle contains at least one group of the formula (iii');
each instance of R is independently substituted or unsubstituted alkyl; substituted or unsubstituted alkenyl; substituted or unsubstituted alkynyl; substituted or unsubstituted heteroalkyl; substituted or unsubstituted heteroalkenyl; substituted or unsubstituted heteroalkynyl; substituted or unsubstituted carbocyclyl; substituted or unsubstituted heterocyclyl; substituted or unsubstituted aryl; substituted or unsubstituted heteroaryl; or a hydrophilic polymer;
each instance of R4 is independently hydrogen, acyl; silyl; a hydroxyl protecting group; substituted or unsubstituted alkyl; substituted or unsubstituted alkenyl; substituted or unsubstituted alkynyl; substituted or unsubstituted heteroalkyl; substituted or unsubstituted heteroalkenyl; substituted or unsubstituted heteroalkynyl; substituted or unsubstituted carbocyclyl; substituted or unsubstituted heterocyclyl; substituted or unsubstituted aryl; or substituted or unsubstituted heteroaryl;
each instance of m and p is independently 0, 1 or 2;
q is an integer selected from 2, 3, or 4; and
the dashed curved line, together with G and Y, is a covalent bond or a group of the formula:
(xi)
(x)
wherein s is 0, 1, or 2.
[00160] The conjugated aza-macrocyle, or salt thereof, is prepared similarly to the above described method of preparing a conjugated polyethyleneimine polymer, i.e. , by contacting a compound of Formula (III), or salt thereof (an "aza-macrocycle precursor") with one or more different epoxides; e.g. as provided below in Scheme IV.
Scheme IV.
(III) (TV)
(viii) (ix) provided that the aza-macrocycle precursor contains at least one group selected from (vi), (vii) or (viii); and wherein R , m, p, G, Y, and the dashed curved line, are as defined herein, and further provided that the aza-macrocycle precursor has at least one R group which is hydrogen.
[00161] Exemplary "aza-macrocycle precursors" are depicted in Figure 1A. In certain embodiments, the aza-macrocycle precursor is a cyclic structure having from 10 to 30 ring members, inclusive; e.g. , from 10 to 20 ring members, inclusive, or from 12 to 18 ring members, inclusive. In certain embodiments, the aza-macrocycle precursor is a 10- membered ring, an 11-membered ring, a 12-membered ring, a 13-membered ring, a 14-
membered ring, a 15-membered ring, a 16-membered ring, a 17-membered ring, or an 18- membered ring. By extension, the conjugated aza-macrocycle, prepared therefrom, is also a cyclic structure having from 10 to 30 ring members, inclusive; e.g., from 10 to 20 ring members, inclusive, or from 12 to 18 ring members, inclusive. In certain embodiments, the conjugated aza-macrocycle is a 10-membered ring, an 11-membered ring, a 12-membered ring, a 13-membered ring, a 14-membered ring, a 15-membered ring, a 16-membered ring, a 17-membered ring, or an 18-membered ring.
[00162] In certain embodiments of Formula (III), R8 is not a group of the formula (iii'). Thus, in certain embodiments of Formula (III), each instance of R is independently hydrogen; acyl; silyl; sulfonyl; an amino protecting group; substituted or unsubstituted alkyl; substituted or unsubstituted alkenyl; substituted or unsubstituted alkynyl; substituted or unsubstituted heteroalkyl; substituted or unsubstituted heteroalkenyl; substituted or unsubstituted heteroalkynyl; substituted or unsubstituted carbocyclyl; substituted or unsubstituted heterocyclyl; substituted or unsubstituted aryl; or substituted or unsubstituted heteroaryl; provided that at least one R group is hydrogen. In certain embodiments of Formula (III), each instance of R is independently hydrogen; acyl; silyl; sulfonyl; an amino protecting group; substituted or unsubstituted alkyl; or substituted or unsubstituted heteroalkyl. In certain embodiments of Formula (III), each instance of R is hydrogen.
[00163] Alternatively, the conjugated aza-macrocycle of Formula (IV) requires that at
8 8 least one R group is of the formula (iii')- Thus, in certain embodiments, each instance of R is independently hydrogen; acyl; silyl; sulfonyl; an amino protecting group; substituted or unsubstituted alkyl; substituted or unsubstituted alkenyl; substituted or unsubstituted alkynyl; substituted or unsubstituted heteroalkyl; substituted or unsubstituted heteroalkenyl;
substituted or unsubstituted heteroalkynyl; or a group of the formula (iii'), provided the aza- macrocycle contains at least one group of the formula (iii'). In certain embodiments, each instance of R is independently selected from hydrogen; substituted or unsubstituted alkyl; substituted or unsubstituted alkenyl; substituted or unsubstituted alkynyl; substituted or unsubstituted heteroalkyl; substituted or unsubstituted heteroalkenyl; substituted or unsubstituted heteroalkynyl; or a group of the formula (iii'), provided the aza-macrocycle contains at least one group of the formula (iii'). In certain embodiments, each instance of R is independently selected from hydrogen or a group of the formula (iii'), provided the aza- macrocycle contains at least one group of the formula (iii').
[00164] In certain embodiments, at least one R8 group of the aza-macrocycle is hydrogen. In certain embodiments, one R group of the aza-macrocycle is hydrogen. In
certain embodiments, two R groups of the aza-macrocycle are hydrogen. In certain embodiments, three R groups of the aza-macrocycle are hydrogen. In certain embodiments, four R groups of the aza-macrocycle are hydrogen.
[00165] In certain embodiments, 1 to 9 R8 groups provided in the aza-macrocycle is a group of the formula (Hi'); e.g. , 1 to 9; 1 to 8; 1 to 7; 1 to 6; 1 to 5; 1 to 4; 1 to 3; 1 to 2 R8 groups, inclusive, are of the formula (iii'). In certain embodiments, 1 R group of the aza- macrocycle is of the formula (iii'). In certain embodiments, 2 R groups of the aza- macrocycle are groups of the formula (iii'). In certain embodiments, 3 R groups of the aza- macrocycle are groups of the formula (iii'). In certain embodiments, 4 R groups of the aza- macrocycle are groups of the formula (iii'). In certain embodiments, all of the R groups of the aza-macrocycle are groups of the formula (iii').
[00166] In certain embodiments, the ratio of -NH- to -NR8- groups provided in the aza- macrocycle, wherein R is a group of the formula (iii'), is between about 90: 10 to about 0: 100.
[00167] As generally defined above, each instance of R3 is independently selected from substituted or unsubstituted alkyl; substituted or unsubstituted alkenyl; substituted or unsubstituted alkynyl; substituted or unsubstituted heteroalkyl; substituted or unsubstituted heteroalkenyl; substituted or unsubstituted hetero alkynyl; substituted or unsubstituted carbocyclyl; substituted or unsubstituted heterocyclyl; substituted or unsubstituted aryl; substituted or unsubstituted heteroaryl; or a hydrophilic polymer. In certain embodiments, each instance of R is independently selected from substituted or unsubstituted alkyl;
substituted or unsubstituted alkenyl; substituted or unsubstituted alkynyl; substituted or unsubstituted heteroalkyl; substituted or unsubstituted heteroalkenyl; substituted or unsubstituted heteroalkynyl; or a hydrophilic polymer. In certain embodiments, each instance of R is independently selected from substituted or unsubstituted alkyl; substituted or unsubstituted heteroalkyl; or a hydrophilic polymer.
[00168] In certain embodiments, at least one instance of R3 is substituted or
unsubstituted alkyl. In certain embodiments, at least one instance of R is substituted or unsubstituted Ci-soalkyl. In certain embodiments, at least one instance of R is substituted or unsubstituted Cg_5oalkyl. In certain embodiments, at least one instance of R is substituted or unsubstituted C8-4oalkyl. In certain embodiments, at least one instance of R is substituted or unsubstituted C8-3oalkyl. In certain embodiments, at least one instance of R is substituted or unsubstituted Cg_2oalkyl.
[00169] In certain embodiments, at least one instance of R3 is an unsubstituted alkyl. Exemplary unsubstituted alkyl groups include, but are not limited to, -CH3, -C2H5, -C3H7, - C4H9, -CsHn, -C6H13, -^Η15, -C8H17, -CgH^, -C10H21, -CnH23, -C12H25, -C13H27, -C14H29, - C15H31, -Ci6H33, -C17H35, -Ci8H37, -C^H^, and -C2oH41.
[00170] In certain embodiments, at least one instance of R3 is a substituted alkyl. For example, in certain embodimenets, at least one instance of R is an alkyl substituted with one or more fluorine substituents. Exemplary substituted alkyl groups include, but are not limited to:
F F F F F F F F F F F F F F F F
[00171] In certain embodiments, at least one instance of R3 is substituted or unsubstituted alkenyl. In certain embodiments, at least one instance of R is substituted or unsubstituted C2-5oalkenyl. In certain embodiments, at least one instance of R is substituted or unsubstituted Cs-so alkenyl. In certain embodiments, at least one instance of R is substituted or unsubstituted Cg_4o alkenyl. In certain embodiments, at least one instance of R is substituted or unsubstituted Cg_3o alkenyl. In certain embodiments, at least one instance of R is substituted or unsubstituted C8-20 alkenyl. In certain embodiments, at least one instance of R 3 is a substituted 3
C8-20 alkenyl. In certain embodiments, at least one instance of R is an unsubstituted alkenyl.
[00172] Exemplary unsubstituted alkenyl groups include, but are not limited to:
Myristoleic -(CH2)7CH=CH(CH2)3CH3,
Palmitoliec -(CH2)7CH=CH(CH2)5CH3,
Sapienic -(CH2)4CH=CH(CH2)8CH3,
Oleic -(CH2)7CH=CH(CH2)7CH3,
Linoleic -(CH2)7CH=CHCH2CH=CH(CH2)4CH3,
OC-Linolenic -(CH2)7CH=CHCH2CH=CHCH2CH=CHCH2CH3,
Arachinodonic -(CH2)3CH=CHCH2CH=CHCH2CH=CHCH2CH=CH(CH2)4CH3,
Eicosapentaenoic -(CH2)3CH=CHCH2CH=CHCH2CH=CHCH2CH=CHCH2CH=CHCH2CH3
Erucic -(CH2)nCH=CH(CH2)7CH3, and
Docosahexaenoic -(CH2)2CH=CHCH2CH=CHCH2CH=CHCH2CH=CHCH2CH=CHCH2CH=CH-CH2CH3.
[00173] In embodiments, wherein R3 is defined as a C6-soalkyl or C6-soalkenyl groups, such groups are meant to encompass lipophilic groups (also referred to as a "lipid tail").
Lipophilic groups comprise a group of molecules that include fats, waxes, oils, fatty acids, and the like. Lipid tails present in these lipid groups can be saturated and unsaturated, depending on whether or not the lipid tail comprises double bonds. The lipid tail can also comprise different lengths, often categorized as medium (i.e. , with tails between 7-12 carbons, e.g. , C7_12 alkyl or C7_12 alkenyl), long (i.e. , with tails greater than 12 carbons and up to 22 carbons, e.g. , C13_22 alkyl or C13_22 alkenyl), or very long (i.e. , with tails greater than 22 carbons, e.g. , C23_3o alkyl or C23_3o alkenyl).
[00174] In certain embodiments, at least one instance of R3 is substituted or
unsubstituted alkynyl. In certain embodiments, at least one instance of R is substituted or unsubstituted C2_5oalkynyl. In certain embodiments, at least one instance of R is substituted or unsubstituted Cg_5o alkynyl. In certain embodiments, at least one instance of R is substituted or unsubstituted C8-40 alkynyl. In certain embodiments, at least one instance of R is substituted or unsubstituted C8-3o alkynyl. In certain embodiments, at least one instance of R is substituted or unsubstituted Cg_2o alkynyl. In certain embodiments, at least one instance
3 3 of R is an unsubstituted alkynyl. In certain embodiments, at least one instance of R is a substituted alkynyl.
[00175] In certain embodiments, at least one instance of R3 is substituted or
unsubstituted heteroalkyl. In certain embodiments, at least one instance of R is substituted or unsubstituted Ciso heteroalkyl. In certain embodiments, at least one instance of R is substituted or unsubstituted Csso heteroalkyl. In certain embodiments, at least one instance of R is substituted or unsubstituted C8-4o heteroalkyl. In certain embodiments, at least one instance of R is substituted or unsubstituted Cg_3o heteroalkyl. In certain embodiments, at least one instance of R is substituted or unsubstituted Cg_2o heteroalkyl. In certain
embodiments, at least one instance of R is a substituted heteroalkyl. In certain
embodiments, at least one instance of R is an unsubstituted heteroalkyl.
[00176] Exemplary unsubstituted heteroalkyl groups include, but are not limited to:
[00177] In certain embodiments, at least one instance of R3 is substituted or unsubstituted heteroalkenyl. In certain embodiments, at least one instance of R is substituted or unsubstituted C2-50 heteroalkenyl. In certain embodiments, at least one instance of R is substituted or unsubstituted C8-50 heteroalkenyl. In certain embodiments, at least one instance of R is substituted or unsubstituted C8-40 heteroalkenyl. In certain embodiments, at least one instance of R is substituted or unsubstituted Cg_3o heteroalkenyl. In certain embodiments, at least one instance of R is substituted or unsubstituted Cg_2o heteroalkenyl. In certain embodiments, at least one instance of R is a substituted heteroalkenyl. In certain embodiments, at least one instance of R is an unsubstituted heteroalkenyl.
[00178] In certain embodiments, at least one instance of R3 is substituted or
unsubstituted heteroalkynyl. In certain embodiments, at least one instance of R is substituted or unsubstituted C2-50 heteroalkynyl. In certain embodiments, at least one instance of R is substituted or unsubstituted Cs-so heteroalkynyl. In certain embodiments, at least one instance of R is substituted or unsubstituted C8-40 heteroalkynyl. In certain embodiments, at least one instance of R is substituted or unsubstituted Cg_3o heteroalkynyl. In certain embodiments, at least one instance of R is substituted or unsubstituted Cg_2o heteroalkynyl. In certain embodiments, at least one instance of R is a substituted heteroalkynyl. In certain embodiments, at least one instance of R is an unsubstituted heteroalkynyl.
[00179] In certain embodiments, at least one instance of R3 is substituted or
unsubstituted carbocyclyl. In certain embodiments, at least one instance of R is a substituted carbocyclyl. In certain embodiments, at least one instance of R is an unsubstituted carbocyclyl.
[00180] In certain embodiments, at least one instance of R3 is substituted or
unsubstituted heterocyclyl. In certain embodiments, at least one instance of R is a substituted heterocyclyl. In certain embodiments, at least one instance of R is an
unsubstituted heterocyclyl.
[00181] In certain embodiments, at least one instance of R3 is substituted or unsubstituted aryl. In certain embodiments, at least one instance of R is an unsubstituted aryl. In certain embodiments, at least one instance of R is a substituted aryl.
[00182] In certain embodiments, at least one instance of R3 is substituted or
unsubstituted heteroaryl. In certain embodiments, at least one instance of R is a substituted heteroaryl. In certain embodiments, at least one instance of R is an unsubstituted heteroaryl.
[00183] In certain embodiments, at least one instance of R3 is hydrophilic polymer. As used herein, a "polymer" refers to a compound comprised of at least 3 (e.g. , at least 10, 20, 30, 40, 50, 60, 70, 80, 90, 100, etc.) repeating covalently bound structural units. By extension, a "hydrophilic polymer" is a polymer, as defined herein, further comprising at least one group (e.g. , an oxygen, nitrogen, and/or sulfur atom) in the repeating structural unit capable of hydrogen bonding. The hydrophilic polymer is preferably biocompatible (i.e. , non-toxic). Exemplary hydrophilic polymers include, but are not limited to, polypeptides (e.g. , poly-L-lysine), cellulose polymers (e.g. , hydroxyethylcellulose, ethylcellulose, carboxymethylcellulose, methylc cellulose, hydroxypropylmethylcellulose (HPMC)), dextran polymers, polymaleic acid polymers, poly(acrylic acid) polymers, poly(vinylalcohol) polymers, polyvinylpyrrolidone (PVP) polymers, and polyethyleneglycol (PEG) polymers.
[00184] In certain embodiments, the hydrophilic polymer is a polyethyleneglycol polymer, e.g. , of the formula (v):
wherein:
R is selelected from hydrogen; acyl; silyl; a hydroxyl protecting group; substituted or unsubstituted alkyl; substituted or unsubstituted alkenyl; substituted or unsubstituted alkynyl; substituted or unsubstituted heteroalkyl; substituted or unsubstituted heteroalkenyl;
substituted or unsubstituted heteroalkynyl; substituted or unsubstituted carbocyclyl;
substituted or unsubstituted heterocyclyl; substituted or unsubstituted aryl; or substituted or unsubstituted heteroaryl; and
v is an integer between 3 to 400, inclusive.
[00185] In certain embodiments, R7 is selelected from hydrogen. In certain
7 7
embodiments, R is acyl. In certain embodiments, R is a hydroxyl protecting group. In
7 7 certain embodiments, R is substituted or unsubstituted alkyl. In certain embodiments, R is a
7
substituted alkyl. In certain embodiments, R is an unsubstituted alkyl. In certain
7
embodiments, R is -CH3 (a "polyethyleneglycol monomethylether" polymer). In certain
7 7
embodiments, R is substituted or unsubstituted alkenyl. In certain embodiments, R is substituted or unsubstituted alkynyl. In certain embodiments, R is substituted or
unsubstituted heteroalkyl. In certain embodiments, R is substituted or unsubstituted
7
heteroalkenyl. In certain embodiments, R is substituted or unsubstituted heteroalkynyl. In certain embodiments, R is substituted or unsubstituted carbocyclyl. In certain embodiments,
7 7
R is substituted or unsubstituted heterocyclyl. In certain embodiments, R is substituted or unsubstituted aryl. In certain embodiments, R is and substituted or unsubstituted heteroaryl.
[00186] In certain embodiments, v is an integer between 3 to 300, 3 to 200, 3 to 100, 3 to 90, 3 to 80, 3 to 70, 3 to 60, 3 to 50, 5 to 50, 10 to 50, 15 to 50, 20 to 50, 20 to 40, 20 to 30, 20 to 25, 30 to 50, and 40 to 50, inclusive. PEGiooo corresponds, on average, to a v of about 22.7, wherein R is -OCH3. PEG2000 corresponds, on average, to a v of about 45.4.
[00187] In certain embodiments, the number average molar mass (Mn) of the
polyethyleneglycol polymer is <10,000. In certain embodiments, the number average molar mass (Mn) of the polyethyleneglycol polymer is < 10,000, < 9000, < 8000, < 7000, < 6000, < 5000, < 4000, < 3000, or < 2000. In certain embodiments, the number average molar mass (Mn) of the polyethyleneglycol polymer is between about 100 to about 10,000, inclusive; e.g. , between about 100 to about 5000, between about 100 to about 4000, between about 100 to about 3000, between about 100 to about 2500, between about 100 to about 2000, between about 100 to about 1500, between about 100 to about 1000, between about 100 to about 900, between about 100 to about 800, between about 100 to about 700, between about 100 to about 600, between about 100 to about 500, between about 100 to about 400, between about 100 to about 300, between about 100 to about 200, between about 100 to about 1500, between about 2500 to about 10000, between about 2500 to about 9000, between about 2500 to about 8000, between about 2500 to about 7000, between about 2500 to about 6000, between about 2500 to about 5000, between about 2500 to about 4000, or between about 2500 to about 3000, inclusive. In certain embodiments, the number average molar mass (Mn) of the polyethyleneglycol polymer is 1000 (PEGiooo)- In certain embodiments, the number average molar mass (Mn) of the polyethyleneglycol polymer is 2000 (PEGiooo)- A 1 : 1 mixture of PEGiooo and PEG2000 is referred to herein as PEGLSK-
[00188] In certain embodiments, at least one instance of R3 is a hydrophilic polymer, and at least one instance of R is a substituted or unsubstituted alkyl.
[00189] As used herein, when the group R3 is depicted as bisecting a carbon-carbon bond, e.g. , of the group of the formula (iii'), it is understood that R may be substituted at either carbon. It is understood from the present disclosure that the group of formula (iii')
represents a group of formula (iii'-a) or a group of formula (iii'-b). Nucleophilic attack of an amino group of the aza-macrocycle at the least sterically hindered carbon of the epoxide provides a group of the formula (iii'-a) (route a), while nucleophilic attack at the more sterically hindered carbon of the epoxide provides a group of the formula (iii'-b) (route b), wherein R4 is hydrogen; see, e.g., the "conjugation reaction" of Scheme V. It is thus understood that compounds of the present invention may comprise a mixture of products attached thereto arising from route (a) and route (b) depending on the preference, or lack thereof, of the mode of addition, and that formulae that depict this bisecting bond may comprise a mixture of compounds. The bisecting group R depicted in the formulae seeks to encompasses all contemplated modes of addition.
Scheme V.
[00190] The resulting hydroxyl moiety of the formula (iii'-a) or (iii'-b), wherein R is hydrogen, can optionally be converted to a substituted hydroxyl, wherein R4 is a group other than hydrogen, i.e., is independently acyl; silyl; a hydroxyl protecting group; substituted or unsubstituted alkyl; substituted or unsubstituted alkenyl; substituted or unsubstituted alkynyl; substituted or unsubstituted heteroalkyl; substituted or unsubstituted heteroalkenyl;
substituted or unsubstituted heteroalkynyl; substituted or unsubstituted carbocyclyl;
substituted or unsubstituted heterocyclyl; substituted or unsubstituted aryl; or substituted or unsubstituted heteroaryl; using conventional methods. Alkylation, acylation, and/or protection of a hydroxyl moiety are well-known in the art; see, e.g., Protecting Groups in Organic Synthesis, T. W. Greene and P. G. M. Wuts, 3rd edition, John Wiley & Sons, 1999; Smith and March, March's Advanced Organic Chemistry, 5th Edition, John Wiley & Sons, Inc., New York, 2001; Larock, Comprehensive Organic Transformations, VCH Publishers, rd
Inc., New York, 1989; and Carruthers, Some Modern Methods of Organic Synthesis, 3 Edition, Cambridge University Press, Cambridge, 1987. For example, in certain non-limiting embodiments, the hydroxyl moiety is reacted with an electrophile of the formula R -X
wherein R4 is a group other than hydrogen and X is a leaving group to provide a substituted hydroxyl group in formula (iii').
[00191] In certain embodiments, each instance of R4 is independently hydrogen; acyl; silyl; a hydroxyl protecting group; substituted or unsubstituted alkyl; substituted or unsubstituted alkenyl; substituted or unsubstituted alkynyl; substituted or unsubstituted heteroalkyl; or substituted or unsubstituted hetero alkenyl. In certain embodiments, each instance of R4 is independently hydrogen; substituted or unsubstituted alkyl; or substituted or unsubstituted heteroalkyl. In certain embodiments, each instance of R4 is hydrogen.
[00192] In certain embodiments, the conjugation reaction depicted in Scheme V results in a mixture comprising more lipomers conjugated to a group of formula (iii'-a) than to a group of formula (iii'-b), e.g. , the reaction mixture comprises greater than 50%, greater than 60%, greater than 70%, greater than 80%, greater than 90%, greater than 95%, greater than 99%, between about 60% to about 100%, between about 70% to about 100%, between about 80% to about 100%, between about 90% to about 100%, between about 95% to about 100%, or between about 99% to about 100%, of a conjugated lipomer attached to a group of formula (iii'-a).
[00193] In certain embodiments, the reaction mixture comprises only conjugated lipomers attached to a group formula (iii'-a).
[00194] In certain embodiments, the epoxide is chiral, i.e. , having (R) or (S)
stereochemistry. In this instance, in certain embodiments, the conjugation reaction depicted in Scheme V provides a chiral conjugated aza-macrocycle.
[00195] In certain embodiments, wherein the epoxide is chiral, the conjugation reaction depicted in Scheme V results in a mixture comprising more lipomers conjugated to a group of formula (R)-(iii'-a) than to a group of formula (S)-(m'-a), e.g. , the reaction mixture comprises greater than 50%, greater than 60%, greater than 70%, greater than 80%, greater than 90%, greater than 95%, greater than 99%, between about 60% to about 100%, between about 70% to about 100%, between about 80% to about 100%, between about 90% to about 100%, between about 95% to about 100%, or between about 99% to about 100%, of conjugated lipomer attached to a group of formula (R)-(iii'-a).
[00196] In certain embodiments, the reaction mixture comprises only conjugated lipomers attached to a group formula (R)-( iii'-a).
[00197] In certain embodiments, wherein the epoxide is chiral, the conjugation reaction depicted in Scheme V results in a mixture comprising more lipomers conjugated to a group of formula (S)-(m'-a) than to a group of formula (R)-(iii'-a), e.g. , the reaction mixture comprises
greater than 50%, greater than 60%, greater than 70%, greater than 80%, greater than 90%, greater than 95%, greater than 99%, between about 60% to about 100%, between about 70% to about 100%, between about 80% to about 100%, between about 90% to about 100%, between about 95% to about 100%, or between about 99% to about 100%, of a conjugated lipomer attached to a group of formula (S)-(m'-a).
[00198] In certain embodiments, the reaction mixture comprises only conjugated lipomers attached to a rou formula - iii'-a
(S)-(iii'-a) (R)-(iii'-a) (5)-(iii'-b) (R)-(iii'-b)
[00199] In certain embodiments, wherein one epoxide is used in the conjugation reaction, each instance of R is the same in the conjugated aza-macrocycle. For example, in
3 3
certain embodiments, each instance of R is the same wherein R is a substituted or
3 3 unsubstituted alkyl. In certain embodiments, each instance of R is the same wherein R is an
3 3 unsubstituted alkyl. In certain embodiments, each instance of R is the same wherein R is selected from the group consisting of -CH3, -C2H5, -C3H7, -C4H9, -CsHn, -C6H1 , -C7H15, - C8H17, -CgHig, -CioHii, -CnH23, -C12H25, -C13H27, -C14H29, ^15Η 1, ^16Η , -C17H 5, - Ci8H37, -Ci9H39, and -C2oH41. In certain embodiments, each instance of R is the same wherein R is selected from the group consisting of -C^Hn, -CgHig, -C1oH2i, -CnH23, - C12H25, -C13H27, -C14H29, -¾Η 1, and -C^H^.
[00200] Alternatively, in certain embodiments, wherein more than one epoxide is used in the conjugation reaction (e.g. , two, three, four, five, six, seven, eight, nine, or ten different epoxides), the conjugated aza-macrocycle comprises two or more (e.g. , two, three, four, five, six, seven, eight, nine, or ten) different R groups.
[00201] For example, in certain embodiments, two different epoxides are used in the conjugation reaction. In this instance, in certain embodiments, the conjugated aza- macrocycle comprises two different R groups. For example, in certain embodiments, the conjugated aza-macrocycle comprises a mixture of two different R groups, wherein the first
3 3
R group is a substituted or unsubstituted alkyl, and the second R group is a hydrophilic polymer (e.g. , a polyethyleneglycol polymer, as defined herein). In certain embodiments, the conjugated aza-macrocycle comprises a mixture of two different R groups, wherein the
3 3
first R group is an unsubstituted alkyl, and the second R group is a polyethyleneglycol polymer. In certain embodiments, the conjugated aza-macrocycle comprises a mixture of two
3 3
different R groups, wherein the first R group is selected from the group consisting of -CH3, -C2H5, -C3H7, -C4H9, -CsHn, -C6H1 , -CjHis, -C8H17, -CgHig, -C10H21, -CnH23, -C12H25, - C13H27, -C14H29, -C15H31, -C16H33, -C17H35, -C18H37, -C19H39, and -C2oH41, and the second R3 group is PEGiooo- In certain embodiments, the conjugated aza-macrocycle comprises a
3 3
mixture of two different R groups, wherein the first R group is selected from the group consisting of -CH3, -C2H5, -C3H7, -C4I¾, -CsHn, -C6H13, -C His, -C8H17, -CgH^, -C10H21, - CnH23, -C12H25, -C13H27, -C14H29, -Ci5H31, -Ci6H33, -C17H35, -C18H37, -Ci9H39, and -C2oH41, and the second R group is PEG2ooo-
[00202] In certain embodiments, three different epoxides are used in the conjugation reaction. In this instance, in certain embodiments, the conjugated aza-macrocycle comprises three different R groups. For example, in certain embodiments, the conjugated aza-
3 3
macrocycle comprises a mixture of three different R groups, wherein the first R group is a substituted or unsubstituted alkyl, the second R group is a first hydrophilic polymer (e.g. , a polyethyleneglycol polymer, as defined herein), and the third R group is a second
hydrophilic polymer (e.g. , a different polyethyleneglycol polymer). In certain embodiments, the conjugated aza-macrocycle comprises a mixture of three different R groups, wherein the
3 3 3 first R group is an unsubstituted alkyl, the second R group is PEGiooo, and the third R group is PEG2ooo- In certain embodiments, the conjugated aza-macrocycle comprises a
3 3
mixture of three different R groups, wherein the first R group is selected from the group consisting of -CH3, -C2H5, -C3H7, -C4H9, -CsHn, -C6H13, -C7H15, -C8H17, -CgH^, -C10H21, - CnH23, -C12H25, -C13H27, -C14H29, -C15H 1, -C16H , -C17H s, -C18H 7, -C^H^, and -C2oH41,
3 3
the second R group is PEGiooo, and the third R group is PEG2ooo-
[00203] In certain embodiments, wherein the conjugated aza-macrocycle comprises two
3 3 3
different R groups, the ratio of the second R group to the first R group is between about 0.01 : 10 to about 10: 10, inclusive. In certain embodiments, the ratio of the second R group to the first R group is between about 0.02: 10 to about 10: 10; between about 0.03: 10 to about 10: 10; between about 0.04: 10 to about 10: 10; between about 0.05: 10 to about 10: 10; between about 0.06: 10 to about 10: 10; between about 0.07: 10 to about 10: 10; between about 0.08: 10 to about 10: 10; between about 0.08: 10 to about 9: 10; between about 0.08: 10 to about 8: 10; between about 0.08: 10 to about 7: 10; between about 0.08: 10 to about 6: 10; between about 0.08: 10 to about 5: 10; between about 0.08: 10 to about 4: 10; between about 0.08: 10 to about 3: 10; between about 0.08: 10 to about 2: 10; or between about 0.08: 10 to about 1 : 10, inclusive.
3 3
In certain embodiments, the ratio of the second R group to the first R group is about 0.1 : 10.
[00204] In certain embodiments, wherein the conjugated aza-macrocycle comprises three different R 3 groups, the ratio of the sum of the second and third R 3 groups to the first R 3 group is between about 0.01: 10 to about 10: 10, inclusive. In certain embodiments, the ratio of the sum of the second and third R 3 groups to the first R 3 group is 0.02: 10 to about 10: 10; between about 0.03: 10 to about 10: 10; between about 0.04: 10 to about 10: 10; between about 0.05: 10 to about 10: 10; between about 0.06: 10 to about 10: 10; between about 0.07: 10 to about 10: 10; between about 0.08: 10 to about 10: 10; between about 0.08: 10 to about 9: 10; between about 0.08: 10 to about 8: 10; between about 0.08: 10 to about 7: 10; between about 0.08: 10 to about 6: 10; between about 0.08: 10 to about 5: 10; between about 0.08: 10 to about 4: 10; between about 0.08: 10 to about 3: 10; between about 0.08: 10 to about 2: 10; or between about 0.08: 10 to about 1: 10, inclusive. In certain embodiments, the ratio of the sum of the second and third R 3 groups to the first R 3 group is about 0.1: 10.
[00205] As generally defined above, each instance of m and p is independently 0, 1 or 2. In certain embodiments, each instance of m is is independently 0, 1 or 2. In certain embodiments, each instance of m is 1. In certain embodiments, each instance of m is 2. In certain embodiments, each instance of m is independently 1 or 2. In certain embodiments, each instance of p is independently 0, 1 or 2. In certain embodiments, each instance of p is 1. In certain embodiments, each instance of p is 2. In certain embodiments, each instance of p is independently 1 or 2.
[00206] As generally defined above, q is an integer 2, 3, or 4. In certain embodiments, q is 2. In certain embodiments, q is 3. In certain embodiments, q is 2 or 3. In certain embodiments, q is 4.
[00207] As generally defined above, the dashed curved line, together with G and Y, is a covalent bond or a group of the formula:
wherein s is 0, 1, or 2.
[00208] In certain embodiments, the dashed curved line, together with G and Y, is a covalent bond.
[00209] In certain embodiments, the dashed curved line, together with G and Y, a group of the formula:
(x)
wherein s is 0, 1, or 2. In certain embodiments, s is 1 or 2. In certain embodiments, s is 1.
[00210] In certain embodiments, the dashed curved line, together with G and Y, a group of the formula:
(xi)
wherein s is 0, 1, or 2. In certain embodiments, s is 1 or 2. In certain embodiments, s is 1.
(viii) (ix) provided that the conjugated aza-macrocycle contains at least one group (vi), (vii) or (viii);
[00212] In certain embodiments, the conjugated aza-macrocycle comprises at least one instance of the group of the formula (vi). In certain embodiments, each instance of L is a group of the formula (vi). For example, in this instance, the conjugated aza-macrocycle of the Formula (IV) is of the Formula (V), (VI), or (VII):
(V) (VI) (VII) or salt thereof, wherein R is as defined herein.
[00213] In certain embodiments, the conjugated aza-macrocycle comprises at least one instance of the group of the formula (vii), (viii), or (ix). In certain embodiments, the conjugated aza-macrocycle comprises at least one instance of the group of the formula (vii).
In certain embodiments, the conjugated aza-macrocycle comprises at least one instance of the group of the formula (viii). In certain embodiments, the conjugated aza-macrocycle comprises at least one instance of the group of the formula (ix). In these instances, in certain embodiments, the conjugated aza-macrocycle of the Formula (IV) is of the Formula (VIII) or (IX):
(VII) (IX) or salt thereof, wherein R is as defined herein.
[00214] Exemplary conjugated aza-macrocycles of the Formula (V) include, but are not limited to:
and salts thereof, wherein R is defined herein. In certain embodiments, R3 is a
polyethyleglycol polymer. In certain embodiments, R3 is PEG10oo- In certain embodiments, R3 is PEGiooo- In certain embodiments, R3 is PEGLSK-
[00215] Exemplary conjugated aza-macrocycles of the Formula (VI) include, but are not limited to:
84
and salts thereof, wherein R is defined herein. In certain embodiments, R is a
polyethyleglycol polymer. In certain embodiments, R3 is PEGiooo. In certain embodiments, R is PEG2ooo- In certain embodiments, R is
[00216] Exemplary conjugated aza-macrocycles of the Formula (VII) include, but are not limited to:
88
90
95
96
97
98
99
100
101
102
103
3 3
and salts thereof, wherein R is defined herein. In certain embodiments, R is a
polyethyleglycol polymer. In certain embodiments, R is PEGiooo- In certain embodiments,
3 3
R is PEG2ooo- In certain embodiments, R is PEGLSK-
[00217] Exemplary conjugated aza-macrocycles of the Formula (VII) include, but are not limited to:
105
and salts thereof, wherein R3 is defined herein. In certain embodiments, R3 is a polyethyleglycol polymer. In certain embodiments, R3 is PEG10oo- In certain embodiments, R3 is PEG2000- In certain embodiments, R3 is PEGLSK-
[00218] Exemplary conjugated aza-macrocycles of the Formula (VIII) include, but are not limited to:
polyethyleglycol polymer. In certain embodiments, R is PEGiooo- In certain embodiments,
3 3
R is PEG2ooo- In certain embodiments, R is PEGLSK- Additional Methods of Preparation
[00219] As described herein, preparation of both conjugated polyethyleneimine complexes and conjugated macrocycles (also referred to herein as "conjugated lipomers" or "lipomers") is achieved using similar reaction conditions and reagents. In particular, the precursors are treated with one or more epoxide agents to provide the inventive conjugated lipomer. Each of the precursors is dissolved in an organic solvent (e.g., THF, CH2C12, MeOH, EtOH, CHC13, hexanes, toluene, benzene, CC14, glyme, diethyl ether, etc.), the one or more epoxides are added, and the reaction mixture is heated to yield the desired conjugated lipomer.
[00220] In certain embodiments, the reaction mixture is heated to between about 50 °C to about 150 °C. In certain embodiments, the reaction mixture is heated to about 90 °C.
[00221] In certain embodiments, the epoxide is chiral. The chiral epoxides useful in the invention can be obtained from a variety of sources which are familiar to those skilled in the art of organic synthesis. In some embodiments, the chiral epoxides useful in the invention can be obtained commercially. In some embodiments, the chiral epoxides useful in the
invention can be synthesized according to methods known to those of skill in the art, such as, but not limited to the Sharpless epoxidation of primary and secondary allylic alcohols into 2,3-epoxyalcohols (Katsuki et al., J. Am. Chem. Soc. 1980, 102, 5974; Hill et al., Org. Syn., Coll. Vol. 7, p.461 (1990); Vol. 63, p.66 (1985); Katsuki et al, Org. React. 1996, 48, 1-300; incorporated herein by reference.) In some embodiments, the chiral epoxides useful in the invention are obtained from the resolution of racemic epoxides. In some embodiments, the chiral epoxides useful in the invention are obtained by the separation of enantiomers or diastereoisomers using chiral chromatography.
[00222] As would be appreciated by one of skill in this art, the degree of conjugation may be controlled by the reaction conditions {e.g., temperature, starting materials,
concentration, solvent, etc.) used in the synthesis.
[00223] The synthesized conjugated lipomer may be purified by any technique known in the art including, but not limited to, precipitation, crystallization, chromatography, distillation, etc. In certain embodiments, the conjugated lipomer is purified through repeated precipitations in organic solvent {e.g., diethyl ether, hexane, etc.).
[00224] In certain embodiments, the conjugated lipomer is isolated as a salt. For example, in certain embodiments, the conjugated lipomer is reacted with an acid {e.g., an organic acid or inorganic acid) to form the corresponding salt. In other embodiments, the tertiary amine is alkylated to form a quaternary ammonium salt of the conjugated lipomer. The tertiary amines may be alkylated with any alkylating agent, for example, alkyl halides such as methyl iodide may be used to from the quaternary amino groups. The anion associated with the quaternary amine may be any organic or inorganic anion. Preferably, the anion is a pharmaceutically acceptable anion.
[00225] The invention also provides libraries of the inventive conjugated lipomers prepared by the inventive methods. These conjugated lipomers may be prepared and/or screened using high-throughput techniques involving liquid handlers, robots, microtiter plates, computers, etc. In certain embodiments, the conjugated lipomers are screened for their ability to transfect polynucleotides or other agents {e.g., proteins, peptides, small molecules) into the cell.
[00124] In one embodiment, a library of different conjugated lipomers is prepared in parallel. A different precursor and/or epoxide is added to each vial in a set of vials or to each well of a multi-well plate used to prepare the library. The array of reaction mixtures is incubated at a temperature and length of time sufficient to allow formation of the conjugated lipomer. In one embodiment, the vials are incubated at approximately 90 °C overnight. In
certain embodiments, the vials are incubated from 1 to 7 days at approximately 90 °C. In certain embodiments, the vials are incubated from 3 to 4 days at approximately 90 °C. In certain embodiments, the vials are incubated from 1 to 2 days at approximately 90 °C. The conjugated lipomer may then be isolated and purified using techniques known in the art. The conjugated lipomer may then be screened using high-throughput techniques to identify conjugated lipomers with a desired characteristic (e.g., solubility in water, solubility at different pH, ability to bind polynucleotides, ability to bind heparin, ability to bind small molecules, ability to bind protein, ability to form microparticles, ability to increase tranfection efficiency, etc.). In certain embodiments the conjugated lipomers may be screened for properties or characteristics useful as coatings, additives, materials, and excipients in biotechnology and biomedical applications such as the coating of medical devices or implants with films or multilayer films, as non-biofouling agents, micropatterning agents, and cellular encapsulation agents. In certain embodiments the conjugated lipomer may be screened for properties or characteristics useful in gene therapy (e.g., ability to bind polynucleotides, increase in transfection efficiency) or the administration and/or delivery of therapeutic agents (e.g., polynucleotide, small molecule, antigen, drug, protein, peptide, etc.) to a subject, patient, tissue, organ, or cell, etc.
Polynucleotide Complexes
[00226] The inventive conjugated lipomers are particularly useful in the administration of polynucleotides. For example, the inventive conjugated lipomers possess tertiary amines, and although these amines are hindered, they are available to interact with a polynucleotide (e.g., DNA, RNA, synthetic analogs of DNA and/or RNA, DNA/RNA hydrids, etc.).
Polynucleotides or derivatives thereof are contacted with the inventive conjugated lipomers under conditions suitable to form polynucleotide/lipomer complexes. The interaction of the lipomer with the polynucleotide is thought to at least partially prevent the degradation of the polynucleotide. By neutralizing the charge on the backbone of the polynucleotide, the neutral or slightly-positively-charged complex is also able to more easily pass through the
hydrophobic membranes (e.g., cytoplasmic, lysosomal, endosomal, nuclear) of the cell. In certain embodiments, the complex is slightly positively charged. In certain embodiments, the complex has a positive ζ-potential, more preferably the ζ-potential is between 0 and +30.
[00227] The conjugated lipomer is preferably at least partially provided as a salt (i.e., is protonated) so as to form a complex with the negatively charged polynucleotide. In certain embodiments, the polynucleotide/lipomer complexes form particles that are useful in the
delivery of polynucleotides to cells. In certain embodiments, more than one conjugated lipomer may be associated with a polynucleotide molecule. For example, the complex may include 1-100 conjugated lipomers, 1-1000 conjugated lipomers, 10-1000 conjugated lipomers, or 100-10,000 conjugated lipomers.
[00228] In certain embodiments, the complex may form a particle. In certain embodiments, the diameter of the particles ranges from 10-500 micrometers. In certain embodiments, the diameter of the particles ranges from 10-1200 micrometers. In certain embodiments, the diameter of the particles ranges from 50-150 micrometers. In certain embodiments, the diameter of the particles ranges from 10-500 nm, more preferably the diameter of the particles ranges from 10-1200 nm, and most preferably from 50-150 nm. The particles may be associated with a targeting agent as described below. In certain
embodiments, the diameter of the particles ranges from 10-500 pm, more preferably the diameter of the particles ranges from 10-1200 pm, and most preferably from 50-150 pm. The particles may be associated with a targeting agent as described below. The film architecture is precisely designed and can be controlled to 1 nm precision with a range from 1 to 150000 nm and with a definite knowledge of its molecular composition.
[00229] The polynucleotide may be complexed, encapsulated by the inventive conjugated lipomers, or included in a composition comprising the inventive conjugated lipomers. The polynucleotide may be any nucleic acid including, but not limited to, RNA and DNA. In certain embodiments, the polynucleotide is DNA. In certain embodiments, the polynucleotide is RNA.
[00230] In certain embodiments, the polynucleotide is an RNA that carries out RNA interference (RNAi). The phenomenon of RNAi is discussed in greater detail, for example, in the following references, each of which is incorporated herein by reference: Elbashir et al., 2001, Genes Dev., 15: 188; Fire et al., 1998, Nature, 391:806; Tabara et al, 1999, Cell, 99: 123; Hammond et al, Nature, 2000, 404:293; Zamore et al, 2000, Cell, 101:25;
Chakraborty, 2007, Curr. Drug Targets, 8:469; and Morris and Rossi, 2006, Gene Ther., 13:553. In certain embodiments, the polynucleotide is a dsRNA (double- stranded RNA). In certain embodiments, the polynucleotide is an siRNA (short interfering RNA). In certain embodiments, the polynucleotide is an shRNA (short hairpin RNA).
[00231] In certain embodiments, the polynucleotide is an miRNA (micro RNA). micro RNAs (miRNAs) are genomically encoded non-coding RNAs of about 21 - 23 nucleotides in length that help regulate gene expression, particularly during development (see, e.g., Bartel, 2004, Cell, 116:281; Novina and Sharp, 2004, Nature, 430: 161; and U.S. Patent Publication
2005/0059005; also reviewed in Wang and Li, 2007, Front. BioscL, 12:3975; and Zhao, 2007, Trends Biochem. Set, 32: 189; each of which are incorporated herein by reference).
[00232] In certain embodiments, the polynucleotide is an antisense RNA.
[00233] In some embodiments, dsRNA, siRNA, shRNA, miRNA and/or antisense RNA can be designed and/or predicted using one or more of a large number of available algorithms. To give but a few examples, the following resources can be utilized to design and/or predict dsRNA, siRNA, shRNA, and/or miRNA: algorithms found at Alnylum Online, Dharmacon Online, OligoEngine Online, Molecula Online, Ambion Online,
BioPredsi Online, RNAi Web Online, Chang Bioscience Online, Invitrogen Online,
LentiWeb Online GenScript Online, Protocol Online; Reynolds et al., 2004, Nat. Biotechnol., 22:326; Naito et al, 2006, Nucleic Acids Res., 34:W448; Li et al, 2007, RNA, 13: 1765; Yiu et al., 2005, Bioinformatics, 21: 144; and Jia et al., 2006, BMC Bioinformatics, 7: 271; each of which is incorporated herein by reference).
[00234] The polynucleotides may be of any size or sequence, and they may be single- or double-stranded. In certain embodiments, the polynucleotide is greater than 100 base pairs long. In certain embodiments, the polynucleotide is greater than 1000 base pairs long and may be greater than 10,000 base pairs long. The polynucleotide is optionally purified and substantially pure. Preferably, the polynucleotide is greater than 50% pure, more preferably greater than 75% pure, and most preferably greater than 95% pure. The polynucleotide may be provided by any means known in the art. In certain embodiments, the polynucleotide has been engineered using recombinant techniques (for a more detailed description of these techniques, please see Ausubel et al., Current Protocols in Molecular Biology (John Wiley & Sons, Inc., New York, 1999); Molecular Cloning: A Laboratory Manual, 2nd Ed., ed. by Sambrook, Fritsch, and Maniatis (Cold Spring Harbor Laboratory Press: 1989); each of which is incorporated herein by reference). The polynucleotide may also be obtained from natural sources and purified from contaminating components found normally in nature. The polynucleotide may also be chemically synthesized in a laboratory. In certain embodiments, the polynucleotide is synthesized using standard solid phase chemistry.
[00235] The polynucleotide may be modified by chemical or biological means. In certain embodiments, these modifications lead to increased stability of the polynucleotide. Modifications include methylation, phosphorylation, end-capping, etc.
[00236] Derivatives of polynucleotides may also be used in the present invention.
These derivatives include modifications in the bases, sugars, and/or phosphate linkages of the polynucleotide. Modified bases include, but are not limited to, those found in the following
nucleoside analogs: 2-aminoadenosine, 2-thiothymidine, inosine, pyrrolo-pyrimidine, 3- methyl adenosine, 5-methylcytidine, C5-bromouridine, C5-fluorouridine, C5-iodouridine, C5-propynyl-uridine, C5-propynyl-cytidine, C5-methylcytidine, 7-deazaadenosine,
7-deazaguanosine, 8-oxoadenosine, 8-oxoguanosine, 0(6)-methylguanine, and 2-thiocytidine. Modified sugars include, but are not limited to, 2'-fluororibose, ribose, 2'-deoxyribose, 3'- azido-2',3'-dideoxyribose, 2',3'-dideoxyribose, arabinose (the 2'-epimer of ribose), acyclic sugars, and hexoses. The nucleosides may be strung together by linkages other than the phosphodiester linkage found in naturally occurring DNA and RNA. Modified linkages include, but are not limited to, phosphorothioate and 5'-N-phosphoramidite linkages.
Combinations of the various modifications may be used in a single polynucleotide. These modified polynucleotides may be provided by any means known in the art; however, as will be appreciated by those of skill in this art, the modified polynucleotides are preferably prepared using synthetic chemistry in vitro.
[00237] The polynucleotides to be delivered may be in any form. For example, the polynucleotide may be a circular plasmid, a linearized plasmid, a cosmid, a viral genome, a modified viral genome, an artificial chromosome, etc.
[00238] The polynucleotide may be of any sequence. In certain embodiments, the polynucleotide encodes a protein or peptide. The encoded proteins may be enzymes, structural proteins, receptors, soluble receptors, ion channels, pharmaceutically active proteins, cytokines, interleukins, antibodies, antibody fragments, antigens, coagulation factors, albumin, growth factors, hormones, insulin, etc. The polynucleotide may also comprise regulatory regions to control the expression of a gene. These regulatory regions may include, but are not limited to, promoters, enhancer elements, repressor elements, TATA box, ribosomal binding sites, stop site for transcription, etc. In certain embodiments, the polynucleotide is not intended to encode a protein. For example, the polynucleotide may be used to fix an error in the genome of the cell being transfected.
[00239] The polynucleotide may also be provided as an antisense agent or RNA interference (RNAi) (Fire et al., Nature 391:806-811, 1998; incorporated herein by reference). Antisense therapy is meant to include, e.g., administration or in situ provision of single- or double- stranded oligonucleotides or their derivatives which specifically hybridize, e.g., bind, under cellular conditions, with cellular mRNA and/or genomic DNA, or mutants thereof, so as to inhibit expression of the encoded protein, e.g., by inhibiting transcription and/or translation (Crooke "Molecular mechanisms of action of antisense drugs" Biochim. Biophys. Acta 1489(l):31-44, 1999; Crooke "Evaluating the mechanism of action of
antiproliferative antisense drugs" Antisense Nucleic Acid Drug Dev. 10(2): 123- 126, discussion 127, 2000; Methods in Enzymology volumes 313-314, 1999; each of which is incorporated herein by reference). The binding may be by conventional base pair
complementarity, or, for example, in the case of binding to DNA duplexes, through specific interactions in the major groove of the double helix (i.e., triple helix formation) (Chan et al., J. Mol. Med. 75(4):267-282, 1997; incorporated herein by reference).
[00240] In certain embodiments, the polynucleotide to be delivered comprises a sequence encoding an antigenic peptide or protein. Nanoparticles containing these polynucleotides can be delivered to an individual to induce an immunologic response sufficient to decrease the chance of a subsequent infection and/or lessen the symptoms associated with such an infection. The polynucleotide of these vaccines may be combined with interleukins, interferon, cytokines, and adjuvants such as cholera toxin, alum, Freund's adjuvant, etc. A large number of adjuvant compounds are known; a useful compendium of many such compounds is prepared by the National Institutes of Health (see Allison Dev. Biol. Stand. 92:3-11, 1998; Unkeless et al., Annu. Rev. Immunol. 6:251-281, 1998; and Phillips et al., Vaccine 10: 151-158, 1992; each of which is incorporated herein by reference).
[00241] The antigenic protein or peptides encoded by the polynucleotide may be derived from such bacterial organisms as Streptococccus pneumoniae, Haemophilus influenzae, Staphylococcus aureus, Streptococcus pyrogenes, Corynebacterium diphtheriae, Listeria monocytogenes, Bacillus anthracis, Clostridium tetani, Clostridium botulinum, Clostridium perfringens, Neisseria meningitidis, Neisseria gonorrhoeae, Streptococcus mutans,
Pseudomonas aeruginosa, Salmonella typhi, Haemophilus parainfluenzae, Bordetella pertussis, Francisella tularensis, Yersinia pestis, Vibrio cholerae, Legionella pneumophila, Mycobacterium tuberculosis, Mycobacterium leprae, Treponema pallidum, Leptospirosis interrogans, Borrelia burgdorferi, Camphylobacter jejuni, and the like; from such viruses as smallpox, influenza A and B, respiratory syncytial virus, parainfluenza, measles, HIV, varicella-zoster, herpes simplex 1 and 2, cytomegalovirus, Epstein-Barr virus, rotavirus, rhinovirus, adenovirus, papillomavirus, poliovirus, mumps, rabies, rubella, coxsackieviruses, equine encephalitis, Japanese encephalitis, yellow fever, Rift Valley fever, hepatitis A, B, C, D, and E virus, and the like; and from such fungal, protozoan, and parasitic organisms such as Cryptococcus neoformans, Histoplasma capsulatum, Candida albicans, Candida tropicalis, Nocardia asteroides, Rickettsia ricketsii, Rickettsia typhi, Mycoplasma
pneumoniae, Chlamydial psittaci, Chlamydial trachomatis, Plasmodium falciparum,
Trypanosoma brucei, Entamoeba histolytica, Toxoplasma gondii, Trichomonas vaginalis, Schistosoma mansoni, and the like.
[00242] Table 3 of the Examples provides the nitrogen: phosphate ratio of conjugated lipomers of the present invention. The nitrogen:phosphate ratio {i.e., the ratio between the amino groups present in the lipomer, and the phosphate groups present in the polynucleotide) is between about 10: 1 to about 50: 1, inclusive. In certain embodiments, the nitrogen phosphate ratio is between about 10: 1 to about 45: 1, between about 15: 1 to about 45: 1, or between about 20: 1 to about 40: 1, inclusive. Increasing nitrogen:phosphate ratios have been shown to positively influence delivery of genetic material by increasing nucleic acid binding and negatively influence delivery by increasing toxicity (see, e.g., Incani et ah, Soft Matter (2010) 6:2124-2138).
[00243] Table 3 of the Examples also provides the lipomenpolynucleotide mass ratio and molar ratios measured from complexes of polynucleotide and conjugated lipomers of the present invention. The conjugated lipomenpolynucleotide mass ratio is between about 10: 1 to about 20: 1, inclusive. In certain embodiments, the conjugated lipomenpolynucleotide mass ratio is about 15: 1. The conjugated lipomenpolynucleotide molar ratio is between about 10: 1 to about 400: 1, inclusive. In certain embodiments, the conjugated
lipomenpolynucleotide molar ratio is between about 10: 1 to about 350: 1, between about 15: 1 to about 300: 1, or between about 20: 1 to about 250: 1, inclusive.
Particles
[00244] The conjugated lipomers of the present invention may also be used to form drug delivery devices. The inventive conjugated lipomers have several properties that make them particularly suitable in the preparation of drug delivery devices. These include: 1) the ability of the lipomer to complex and "protect" labile agents; 2) the ability to buffer the pH in the endosome; 3) the ability to act as a "proton sponge" and cause endosomolysis; and 4) the ability to neutralize the charge on negatively charged agents.
[00245] In certain embodiments, the conjugated lipomers are used to form particles containing the agent to be delivered. The inventive conjugated lipomers may be used to encapsulate agents including, but not limited to, organic molecules {e.g., cholesterol), inorganic molecules, nucleic acids, proteins, peptides, polynucleotides, targeting agents, isotopically labeled organic or inorganic molecules, vaccines, immunological agents, etc. Other exemplary agents are described in greater detail herein. These particles may include other materials such as polymers (e.g., synthetic polymers (e.g., PEG, PLGA), natural
polymers (e.g. , phospholipids)). In certain embodiments, the conjugated lipomers are mixed with one or more agents (e.g. , cholesterol) and/or one or more other materials (e.g., polymers). For example, as shown in Figures 5A-5B and described in the Examples, a conjugated lipomer was mixed with an agent and a polymer, or just mixed with an agent, to provide inventive particles.
[00246] In certain embodiments, the diameter of the particles range from between 1 micrometer to 1,000 micrometers. In certain embodiments, the diameter of the particles range from between from 1 micrometer to 100 micrometers. In certain embodiments, the diameter of the particles range from between from 1 micrometer to 10 micrometers. In certain embodiments, the diameter of the particles range from between from 10 micrometer to 100 micrometers. In certain embodiments, the diameter of the particles range from between from 100 micrometer to 1,000 micrometers. In certain embodiments, the particles range from 1-5 micrometers. In certain embodiments, the diameter of the particles range from between 1 nm to 1,000 nm. In certain embodiments, the diameter of the particles range from between from 1 nm to 100 nm. In certain embodiments, the diameter of the particles range from between from 1 nm to 10 nm. In certain embodiments, the diameter of the particles range from between from 10 nm to 100 nm. In certain embodiments, the diameter of the particles range from between from 100 nm to 1,000 nm. In certain embodiments, the particles range from 1-5 nm. In certain embodiments, the diameter of the particles range from between 1 pm to 1,000 pm. In certain embodiments, the diameter of the particles range from between from 1 pm to 100 pm. In certain embodiments, the diameter of the particles range from between from 1 pm to 10 pm. In certain embodiments, the diameter of the particles range from between from 10 pm to 100 pm. In certain embodiments, the diameter of the particles range from between from 100 pm to 1,000 pm. In certain embodiments, the particles range from 1- 5 pm.
[00247] The inventive particles may be prepared using any method known in this art. These include, but are not limited to, spray drying, single and double emulsion solvent evaporation, solvent extraction, phase separation, simple and complex coacervation, and other methods well known to those of ordinary skill in the art. In certain embodiments, methods of preparing the particles are the double emulsion process and spray drying. The conditions used in preparing the particles may be altered to yield particles of a desired size or property (e.g. , hydrophobicity, hydrophilicity, external morphology, "stickiness", shape, etc.). The method of preparing the particle and the conditions (e.g. , solvent, temperature,
concentration, air flow rate, etc.) used may also depend on the agent being encapsulated and/or the composition of the matrix.
[00248] Methods developed for making particles for delivery of encapsulated agents are described in the literature (for example, please see Doubrow, M., Ed., "Microcapsules and Nanoparticles in Medicine and Pharmacy," CRC Press, Boca Raton, 1992; Mathiowitz and Langer, J. Controlled Release 5: 13-22, 1987; Mathiowitz et al., Reactive Polymers 6:275- 283, 1987; Mathiowitz et al, J. Appl. Polymer Sci. 35:755-774, 1988; each of which is incorporated herein by reference).
[00249] If the particles prepared by any of the above methods have a size range outside of the desired range, the particles can be sized, for example, using a sieve. The particle may also be coated. In certain embodiments, the particles are coated with a targeting agent. In other embodiments, the particles are coated to achieve desirable surface properties (e.g., a particular charge).
Micelles and Liposomes and Lipoplexes
[00250] The conjugated lipomers of the invention may also be used to prepare micelles liposomes. In addition, any agent may be included in a micelle or liposome. Micelles and liposomes are particularly useful in delivering hydrophobic agents such as hydrophobic small molecules. When the micelle or liposome is complexed with (e.g., encapsulates or covers) a polynucleotide it is referred to as a "lipoplex." Many techniques for preparing micelles, liposomes, and lipoplexes are known in the art, and any method may be used with the inventive conjugated lipomers to make micelles and liposomes.
[00251] In certain embodiments, liposomes are formed through spontaneous assembly. In other embodiments, liposomes are formed when thin lipid films or lipid cakes are hydrated and stacks of lipid crystalline bilayers become fluid and swell. The hydrated lipid sheets detach during agitation and self-close to form large, multilamellar vesicles (LMV). This prevents interaction of water with the hydrocarbon core of the bilayers at the edges. Once these particles have formed, reducing the size of the particle can be modified through input of sonic energy (sonication) or mechanical energy (extrusion). See Walde, P. "Preparation of Vesicles (Liposomes)" In Encylopedia of Nano science and Nanotechnology; Nalwa, H. S. Ed. American Scientific Publishers: Los Angeles, 2004; Vol. 9, pp. 43-79; Szoka et al., "Comparative Properties and Methods of Preparation of Lipid Vesicles (Liposomes)" Ann. Rev. Biophys. Bioeng. 9:467-508, 1980; each of which is incorporated herein. The preparation of lipsomes involves preparing the conjugated lipomers for hydration, hydrating
the conjugated lipomers with agitation, and sizing the vesicles to achieve a homogenous distribution of liposomes. Conjugated lipomers are first dissolved in an organic solvent to assure a homogeneous mixture of conjugated lipomers. The solvent is then removed to form a polymer-derived film. This polymer-derived film is thoroughly dried to remove residual organic solvent by placing the vial or flask on a vaccuum pump overnight. Hydration of the polymer-derived film is accomplished by adding an aqueous medium and agitating the mixture. Disruption of LMV suspensions using sonic energy typically produces small unilamellar vesicles (SUV) with diameters in the range of 15-50 nm. Lipid extrusion is a technique in which a lipid/polymer suspension is forced through a polycarbonate filter with a defined pore size to yield particles having a diameter near the pore size of the filter used. Extrusion through filters with 100 nm pores typically yields large, unilamellar polymer- derived vesicles (LUV) with a mean diameter of 120-140 nm.
[00252] In certain embodiments, the polynucleotide is an RNA molecule (e.g., an RNAi molecule). In other embodiments, the polynucleotide is a DNA molecule. In certain embodiments, the amount of poly(beta-amino alcohol) in the liposome ranges from 30-80 mol , preferably 40-70 mol , more preferably 60-70 mol . These liposomes may be prepared using any method known in the art. In certain embodiments (e.g., liposomes containing RNAi molecules), the liposomes are prepared by lipid extrusion.
[00253] Certain conjugated lipomers can spontaneously self assemble around certain molecules, such as DNA and RNA, to form liposomes. In some embodiments, the application is the delivery of polynucleotides. Use of these conjugated lipomers allows for simple assembly of liposomes without the need for additional steps or devices such as an extruder.
[00254] The following scientific papers described other methods for preparing liposomes and micelles: Narang et al., "Cationic Lipids with Increased DNA Binding Affinity for Nonviral Gene Transfer in Dividing and Nondividing Cells" Bioconjugate Chem. 16: 156-68, 2005; Hofland et al., "Formation of stable cationic lipid/DNA complexes for gene transfer" Proc. Natl. Acad. Sci. USA 93:7305-7309, July 1996; Byk et al, "Synthesis, Activity, and Structure— Activity Relationship Studies of Novel Cationic Lipids for DNA Transfer" /. Med. Chem. 41(2):224-235, 1998; Wu et al, "Cationic Lipid Polymerization as a Novel Approach for Constructing New DNA Delivery Agents" Bioconjugate Chem. 12:251- 57, 2001; Lukyanov et al., "Micelles from lipid derivatives of water-soluble polymers as delivery systems for poorly soluble drugs" Advanced Drug Delivery Reviews 56: 1273-1289, 2004; Tranchant et al., "Physicochemical optimisation of plasmid delivery by cationic lipids"
J. Gene Med. 6:S24-S35, 2004; van Balen et ah, "Liposome/Water Lipophilicity: Methods, Information Content, and Pharmaceutical Applications" Medicinal Research Rev. 24(3) :299- 324, 2004; each of which is incorporated herein by reference.
Agents
[00255] The agents to be delivered by the systems of the present invention may be therapeutic, diagnostic, or prophylactic agents. Any chemical compound to be administered to an individual may be delivered using the inventive complexes, picoparticles, nanoparticles, microparticles, micelles, or liposomes. The agent may be an organic molecule {e.g., cholesterol, a drug), inorganic molecule, nucleic acid, protein, peptide, polynucleotide, targeting agent, isotopically labeled organic or inorganic molecule, vaccine, immunological agent, etc.
[00256] In certain embodiments, the agents are organic molecules with pharmaceutical activity, e.g., a drug. In certain embodiments, the drug is an antibiotic, anti-viral agent, anesthetic, steroidal agent, anti-inflammatory agent, anti-neoplastic agent, anti-cancer agent, antigen, vaccine, antibody, decongestant, antihypertensive, sedative, birth control agent, progestational agent, anti-cholinergic, analgesic, anti-depressant, anti-psychotic, β-adrenergic blocking agent, diuretic, cardiovascular active agent, vasoactive agent, non-steroidal antiinflammatory agent, nutritional agent, etc.
[00257] In certain embodiments of the present invention, the agent to be delivered may be a mixture of agents.
[00258] Diagnostic agents include gases; metals; commercially available imaging agents used in positron emissions tomography (PET), computer assisted tomography (CAT), single photon emission computerized tomography, x-ray, fluoroscopy, and magnetic resonance imaging (MRI); and contrast agents. Examples of suitable materials for use as contrast agents in MRI include gadolinium chelates, as well as iron, magnesium, manganese, copper, and chromium. Examples of materials useful for CAT and x-ray imaging include iodine- based materials.
[00259] Prophylactic agents include, but are not limited to, antibiotics, nutritional supplements, and vaccines. Vaccines may comprise isolated proteins or peptides, inactivated organisms and viruses, dead organisms and viruses, genetically altered organisms or viruses, and cell extracts. Prophylactic agents may be combined with interleukins, interferon, cytokines, and adjuvants such as cholera toxin, alum, Freund's adjuvant, etc. Prophylactic agents include antigens of such bacterial organisms as Streptococccus pneumoniae,
Haemophilus influenzae, Staphylococcus aureus, Streptococcus pyrogenes, Corynebacterium diphtheriae, Listeria monocytogenes, Bacillus anthracis, Clostridium tetani, Clostridium botulinum, Clostridium perfringens, Neisseria meningitidis, Neisseria gonorrhoeae,
Streptococcus mutans, Pseudomonas aeruginosa, Salmonella typhi, Haemophilus
parainfluenzae, Bordetella pertussis, Francisella tularensis, Yersinia pestis, Vibrio cholerae, Legionella pneumophila, Mycobacterium tuberculosis, Mycobacterium leprae, Treponema pallidum, Leptospirosis interrogans, Borrelia burgdorferi, Camphylobacter jejuni, and the like; antigens of such viruses as smallpox, influenza A and B, respiratory syncytial virus, parainfluenza, measles, HIV, varicella-zoster, herpes simplex 1 and 2, cytomegalovirus, Epstein-Barr virus, rotavirus, rhinovirus, adenovirus, papillomavirus, poliovirus, mumps, rabies, rubella, coxsackieviruses, equine encephalitis, Japanese encephalitis, yellow fever, Rift Valley fever, hepatitis A, B, C, D, and E virus, and the like; antigens of fungal, protozoan, and parasitic organisms such as Cryptococcus neoformans, Histoplasma capsulatum, Candida albicans, Candida tropicalis, Nocardia asteroides, Rickettsia ricketsii, Rickettsia typhi, Mycoplasma pneumoniae, Chlamydial psittaci, Chlamydial trachomatis, Plasmodium falciparum, Trypanosoma brucei, Entamoeba histolytica, Toxoplasma gondii, Trichomonas vaginalis, Schistosoma mansoni, and the like. These antigens may be in the form of whole killed organisms, peptides, proteins, glycoproteins, carbohydrates, or combinations thereof.
Targeting Agents
[00260] The inventive conjugated lipomers, and the complexes, liposomes, micelles, microparticles, picoparticles and nanoparticles, prepared therefrom, may be modified to include targeting agents since it is often desirable to target a particular cell, collection of cells, or tissue. A variety of targeting agents that direct pharmaceutical compositions to particular cells are known in the art (see, for example, Cotten et ah, Methods Enzym.
217:618, 1993; incorporated herein by reference). The targeting agents may be included throughout the particle or may be only on the surface. The targeting agent may be a protein, peptide, carbohydrate, glycoprotein, lipid, small molecule, nucleic acids, etc. The targeting agent may be used to target specific cells or tissues or may be used to promote endocytosis or phagocytosis of the particle. Examples of targeting agents include, but are not limited to, antibodies, fragments of antibodies, low-density lipoproteins (LDLs), transferrin,
asialycoproteins, gpl20 envelope protein of the human immunodeficiency virus (HIV), carbohydrates, receptor ligands, sialic acid, aptamers, etc. If the targeting agent is included
throughout the particle, the targeting agent may be included in the mixture that is used to form the particles. If the targeting agent is only on the surface, the targeting agent may be associated with (i.e., by covalent, hydrophobic, hydrogen bonding, van der Waals, or other interactions) the formed particles using standard chemical techniques.
Compositions
[00261] The present invention contemplates an inventive conjugated lipomer as a component of a composition which may be useful in a variety of medical and non-medical applications. For example, pharmaceutical compositions comprising an inventive conjugated lipomer may be useful in the delivery of an effective amount of an agent to a subject in need thereof. Nutraceutical compositions comprising an inventive conjugated lipomer may be useful in the delivery of an effective amount of a nutraceutical, e.g., a dietary supplement, to a subject in need thereof. Cosmetic compositions comprising an inventive conjugated lipomer may be formulated as a cream, ointment, balm, paste, film, or liquid, etc. , and may be useful in the application of make-up, hair products, and materials useful for personal hygiene, etc. Compositions comprising an inventive conjugated lipomer may be useful for nonmedical applications, e.g., such as an emulsion or emulsifier, useful, for example, as a food component, for extinguishing fires, for disinfecting surfaces, for oil cleanup, etc.
[00262] In certain embodiments, the composition comprises one or more conjugated lipomers of the present invention. "One or more conjugated lipomers" refers to one or more different types of conjugated lipomers included in the composition, and encompasses 1, 2, 3, 4, 5, 6, 7, 8, 9, 10 or more different types of conjugated lipomers.
[00263] In certain embodiments, the inventive conjugated lipomers are useful as compositions, either for delivery of an effective amount of an agent to a subject in need thereof (e.g., a pharmaceutical composition, a cosmetic composition) or for use as an excipient. For example, cosmetic compositions may further use the inventive lipomers as excipients rather than as a delivery system encapsulating an agent to be delivered. In certain embodiments, the composition is a pharmaceutical composition. In certain embodiments, the composition is a cosmetic composition.
[00264] In certain embodiments, the composition further comprises an agent, as described herein. For example, in certain embodiments, the agent is a small molecule, organometallic compound, nucleic acid, protein, peptide, polynucleotide, metal, targeting agent, an isotopically labeled chemical compound, drug, vaccine, or immunological agent. In certain embodiments, the agent is a polynucleotide. In certain embodiments, the
polynucleotide is DNA or RNA. In certain embodiments, the RNA is RNAi, dsRNA, siRNA, shRNA, miRNA, or antisense RNA.
[00265] In certain embodiments, the polynucleotide and the one or more conjugated lipomers are not covalently attached.
[00266] In certain embodiments, the one or more conjugated lipomers are in the form of a particle. In certain embodiments, the particle is a nanoparticle or microp article. In certain embodiments, the one or more conjugated lipomers are in the form of liposomes or micelles. It is understood that, in certain embodiments, these conjugated lipomers self-assemble to provide a paricle, micelle or liposome. In certain embodiments, the particle, liposome, or micelle encapsulates an agent. The agent to be delivered by the particles, liposomes, or micelles may be in the form of a gas, liquid, or solid. The inventive conjugated lipomers may be combined with polymers (synthetic or natural), surfactants, cholesterol, carbohydrates, proteins, lipids etc. to form the particles. These particles may be combined with an excipient to form pharmaceutical and cosmetic compositions.
[00267] Once the complexes, micelles, liposomes, or particles have been prepared, they may be combined with one or more excipients to form a composition that is suitable to administer to animals including humans.
[00268] As would be appreciated by one of skill in this art, the excipients may be chosen based on the route of administration as described below, the agent being delivered, time course of delivery of the agent, etc.
[00269] In certain embodiments, provided is a composition comprising an inventive conjugated lipomer and, optionally, an excipient. As used herein, the term "excipient" means a non-toxic, inert solid, semi-solid or liquid filler, diluent, encapsulating material or formulation auxiliary of any type. Some examples of materials which can serve as excipients include, but are not limited to, sugars such as lactose, glucose, and sucrose; starches such as corn starch and potato starch; cellulose and its derivatives such as sodium carboxymethyl cellulose, ethyl cellulose, and cellulose acetate; powdered tragacanth; malt; gelatin; talc; excipients such as cocoa butter and suppository waxes; oils such as peanut oil, cottonseed oil; safflower oil; sesame oil; olive oil; corn oil and soybean oil; glycols such as propylene glycol; esters such as ethyl oleate and ethyl laurate; agar; detergents such as Tween 80;
buffering agents such as magnesium hydroxide and aluminum hydroxide; alginic acid;
pyrogen-free water; isotonic saline; Ringer's solution; ethyl alcohol; and phosphate buffer solutions, as well as other non-toxic compatible lubricants such as sodium lauryl sulfate and magnesium stearate, as well as coloring agents, releasing agents, coating agents, sweetening,
flavoring and perfuming agents, preservatives and antioxidants can also be present in the composition, according to the judgment of the formulator. The compositions of this invention can be administered to humans and/or to animals, orally, rectally, parenterally, intracisternally, intravaginally, intranasally, intraperitoneally, topically (as by powders, creams, ointments, or drops), bucally, or as an oral or nasal spray.
[00270] Liquid dosage forms for oral administration include emulsions, microemulsions, solutions, suspensions, syrups, and elixirs. In addition to the active ingredients (i.e., microparticles, nanoparticles, liposomes, micelles, polynucleotide/lipid complexes), the liquid dosage forms may contain inert diluents commonly used in the art such as, for example, water or other solvents, solubilizing agents and emulsifiers such as ethyl alcohol, isopropyl alcohol, ethyl carbonate, ethyl acetate, benzyl alcohol, benzyl benzoate, propylene glycol, 1,3-butylene glycol, dimethylformamide, oils (in particular, cottonseed, groundnut, corn, germ, olive, castor, and sesame oils), glycerol, tetrahydrofurfuryl alcohol, polyethylene glycols and fatty acid esters of sorbitan, and mixtures thereof. Besides inert diluents, the oral compositions can also include adjuvants such as wetting agents, emulsifying and suspending agents, sweetening, flavoring, and perfuming agents.
[00271] Injectable preparations, for example, sterile injectable aqueous or oleaginous suspensions may be formulated according to the known art using suitable dispersing or wetting agents and suspending agents. The sterile injectable preparation may also be a sterile injectable solution, suspension, or emulsion in a nontoxic parenterally acceptable diluent or solvent, for example, as a solution in 1,3-butanediol. Among the acceptable vehicles and solvents that may be employed are water, Ringer's solution, U.S. P. and isotonic sodium chloride solution. In addition, sterile, fixed oils are conventionally employed as a solvent or suspending medium. For this purpose any bland fixed oil can be employed including synthetic mono- or diglycerides. In addition, fatty acids such as oleic acid are used in the preparation of injectables. In certain embodiments, the particles are suspended in a carrier fluid comprising 1% (w/v) sodium carboxymethyl cellulose and 0.1% (v/v) Tween 80.
[00272] The injectable formulations can be sterilized, for example, by filtration through a bacteria-retaining filter, or by incorporating sterilizing agents in the form of sterile solid compositions which can be dissolved or dispersed in sterile water or other sterile injectable medium prior to use.
[00273] Compositions for rectal or vaginal administration are preferably suppositories which can be prepared by mixing the particles with suitable non-irritating excipients or carriers such as cocoa butter, polyethylene glycol, or a suppository wax which are solid at
ambient temperature but liquid at body temperature and therefore melt in the rectum or vaginal cavity and release the particles.
[00274] Solid dosage forms for oral administration include capsules, tablets, pills, powders, and granules. In such solid dosage forms, the particles are mixed with at least one inert, pharmaceutically acceptable excipient or carrier such as sodium citrate or dicalcium phosphate and/or a) fillers or extenders such as starches, lactose, sucrose, glucose, mannitol, and silicic acid, b) binders such as, for example, carboxymethylcellulose, alginates, gelatin, polyvinylpyrrolidinone, sucrose, and acacia, c) humectants such as glycerol, d) disintegrating agents such as agar-agar, calcium carbonate, potato or tapioca starch, alginic acid, certain silicates, and sodium carbonate, e) solution retarding agents such as paraffin, f) absorption accelerators such as quaternary ammonium compounds, g) wetting agents such as, for example, cetyl alcohol and glycerol monostearate, h) absorbents such as kaolin and bentonite clay, and i) lubricants such as talc, calcium stearate, magnesium stearate, solid polyethylene glycols, sodium lauryl sulfate, and mixtures thereof. In the case of capsules, tablets, and pills, the dosage form may also comprise buffering agents.
[00275] Solid compositions of a similar type may also be employed as fillers in soft and hard-filled gelatin capsules using such excipients as lactose or milk sugar as well as high molecular weight polyethylene glycols and the like.
[00276] The solid dosage forms of tablets, dragees, capsules, pills, and granules can be prepared with coatings and shells such as enteric coatings and other coatings well known in the pharmaceutical formulating art. They may optionally contain opacifying agents and can also be of a composition that they release the active ingredient(s) only, or preferentially, in a certain part of the intestinal tract, optionally, in a delayed manner. Examples of embedding compositions which can be used include polymeric substances and waxes.
[00277] Solid compositions of a similar type may also be employed as fillers in soft and hard-filled gelatin capsules using such excipients as lactose or milk sugar as well as high molecular weight polyethylene glycols and the like.
[00278] Dosage forms for topical or transdermal administration of an inventive pharmaceutical composition include ointments, pastes, creams, lotions, gels, powders, solutions, sprays, inhalants, or patches. The particles are admixed under sterile conditions with a pharmaceutically acceptable carrier and any needed preservatives or buffers as may be required. Ophthalmic formulation, ear drops, and eye drops are also contemplated as being within the scope of this invention.
[00279] The ointments, pastes, creams, and gels may contain, in addition to the particles of this invention, excipients such as animal and vegetable fats, oils, waxes, paraffins, starch, tragacanth, cellulose derivatives, polyethylene glycols, silicones, bentonites, silicic acid, talc, and zinc oxide, or mixtures thereof.
[00280] Powders and sprays can contain, in addition to the particles of this invention, excipients such as lactose, talc, silicic acid, aluminum hydroxide, calcium silicates, and polyamide powder, or mixtures of these substances. Sprays can additionally contain customary propellants such as chlorofluorohydrocarbons.
[00281] Transdermal patches have the added advantage of providing controlled delivery of a compound to the body. Such dosage forms can be made by dissolving or dispensing the microparticles or nanoparticles in a proper medium. Absorption enhancers can also be used to increase the flux of the compound across the skin. The rate can be controlled by either providing a rate controlling membrane or by dispersing the particles in a polymer matrix or gel.
Methods of Use
[00282] In another aspect, provided are methods of using the inventive conjugated lipomers, e.g., for the treatment of a disease, disorder or condition from which a subject suffers. It is contemplated that the inventive conjugated lipomers will be useful in the treatment of a variety of diseases, disorders or conditions, especially as a system for delivering agents useful in the treatment of that particular disease, disorder or condition.
[00283] For example, in one aspect, provided is a method of treating cancer comprising administering to a subject in need thereof an effective amount of a conjugated lipomer of the present invention, e.g., a conjugated lipomer of the Formula (II) or (IV), or salt thereof, or a composition thereof. In certain embodiments, the method further comprises administering an anti-cancer agent. In certain embodiments, the conjugated lipomer encapsulates the anticancer agent. In certain embodiments, the conjugated lipomer and the anti-cancer agent form a particle {e.g., a nanoparticle, a microparticle, a micelle, a liposome, a lipoplex).
[00284] A "subject" to which administration is contemplated includes, but is not limited to, humans {i.e., a male or female of any age group, e.g., a pediatric subject {e.g, infant, child, adolescent) or adult subject {e.g., young adult, middle-aged adult or senior adult)) and/or other non-human animals, for example mammals {e.g., primates {e.g., cynomolgus monkeys, rhesus monkeys); commercially relevant mammals such as cattle, pigs, horses, sheep, goats, cats, and/or dogs), birds {e.g., commercially relevant birds such as chickens, ducks, geese,
and/or turkeys), reptiles, amphibians, and fish. In certain embodiments, the non-human animal is a mammal. The non-human animal may be a male or female and at any stage of development. A non-human animal may be a transgenic animal.
[00285] As used herein, and unless otherwise specified, the terms "treat," "treating" and "treatment" contemplate an action that occurs while a subject is suffering from the specified disease, disorder or condition, which reduces the severity of the disease, disorder or condition, or retards or slows the progression of the disease, disorder or condition
("therapeutic treatment"), and also contemplates an action that occurs before a subject begins to suffer from the specified disease, disorder or condition ("prophylactic treatment").
[00286] In general, the "effective amount" of a compound refers to an amount sufficient to elicit the desired biological response. As will be appreciated by those of ordinary skill in this art, the effective amount of a compound of the invention may vary depending on such factors as the desired biological endpoint, the pharmacokinetics of the compound, the disease being treated, the mode of administration, and the age, health, and condition of the subject. An effective amount encompasses therapeutic and prophylactic treatment.
[00287] As used herein, and unless otherwise specified, a "therapeutically effective amount" of a compound is an amount sufficient to provide a therapeutic benefit in the treatment of a disease, disorder or condition, or to delay or minimize one or more symptoms associated with the disease, disorder or condition. A therapeutically effective amount of a compound means an amount of therapeutic agent, alone or in combination with other therapies, which provides a therapeutic benefit in the treatment of the disease, disorder or condition. The term "therapeutically effective amount" can encompass an amount that improves overall therapy, reduces or avoids symptoms or causes of disease or condition, or enhances the therapeutic efficacy of another therapeutic agent.
[00288] As used herein, and unless otherwise specified, a "prophylactically effective amount" of a compound is an amount sufficient to prevent a disease, disorder or condition, or one or more symptoms associated with the disease, disorder or condition, or prevent its recurrence. A prophylactically effective amount of a compound means an amount of a therapeutic agent, alone or in combination with other agents, which provides a prophylactic benefit in the prevention of the disease, disorder or condition. The term "prophylactically effective amount" can encompass an amount that improves overall prophylaxis or enhances the prophylactic efficacy of another prophylactic agent.
[00289] Exemplary cancers include, but are not limited to, acoustic neuroma, adenocarcinoma, adrenal gland cancer, anal cancer, angiosarcoma (e.g., lymphangiosarcoma,
lymphangioendotheliosarcoma, hemangiosarcoma), appendix cancer, benign monoclonal gammopathy, biliary cancer (e.g., cholangiocarcinoma), bladder cancer, breast cancer (e.g., adenocarcinoma of the breast, papillary carcinoma of the breast, mammary cancer, medullary carcinoma of the breast), brain cancer (e.g., meningioma; glioma, e.g., astrocytoma, oligodendroglioma; medulloblastoma), bronchus cancer, carcinoid tumor, cervical cancer (e.g., cervical adenocarcinoma), choriocarcinoma, chordoma, craniopharyngioma, colorectal cancer (e.g., colon cancer, rectal cancer, colorectal adenocarcinoma), epithelial carcinoma, ependymoma, endotheliosarcoma (e.g., Kaposi's sarcoma, multiple idiopathic hemorrhagic sarcoma), endometrial cancer (e.g., uterine cancer, uterine sarcoma), esophageal cancer (e.g., adenocarcinoma of the esophagus, Barrett' s adenocarinoma), Ewing sarcoma, eye cancer (e.g., intraocular melanoma, retinoblastoma), familiar hypereosinophilia, gall bladder cancer, gastric cancer (e.g., stomach adenocarcinoma), gastrointestinal stromal tumor (GIST), head and neck cancer (e.g., head and neck squamous cell carcinoma, oral cancer (e.g., oral squamous cell carcinoma (OSCC), throat cancer (e.g., laryngeal cancer, pharyngeal cancer, nasopharyngeal cancer, oropharyngeal cancer)), hematopoietic cancers (e.g., leukemia such as acute lymphocytic leukemia (ALL) (e.g., B-cell ALL, T-cell ALL), acute myelocytic leukemia (AML) (e.g., B-cell AML, T-cell AML), chronic myelocytic leukemia (CML) (e.g., B-cell CML, T-cell CML), and chronic lymphocytic leukemia (CLL) (e.g., B-cell CLL, T- cell CLL); lymphoma such as Hodgkin lymphoma (HL) (e.g., B-cell HL, T-cell HL) and non-Hodgkin lymphoma (NHL) (e.g., B-cell NHL such as diffuse large cell lymphoma (DLCL) (e.g., diffuse large B-cell lymphoma (DLBCL)), follicular lymphoma, chronic lymphocytic leukemia/small lymphocytic lymphoma (CLL/SLL), mantle cell lymphoma (MCL), marginal zone B-cell lymphomas (e.g., mucosa-associated lymphoid tissue (MALT) lymphomas, nodal marginal zone B-cell lymphoma, splenic marginal zone B-cell
lymphoma), primary mediastinal B-cell lymphoma, Burkitt lymphoma, lymphoplasmacytic lymphoma (i.e., "Waldenstrom's macro globulinemia"), hairy cell leukemia (HCL), immunoblastic large cell lymphoma, precursor B -lymphoblastic lymphoma and primary central nervous system (CNS) lymphoma; and T-cell NHL such as precursor T-lymphoblastic lymphoma/leukemia, peripheral T-cell lymphoma (PTCL) (e.g., cutaneous T-cell lymphoma (CTCL) (e.g., mycosis fungiodes, Sezary syndrome), angioimmunoblastic T-cell lymphoma, extranodal natural killer T-cell lymphoma, enteropathy type T-cell lymphoma, subcutaneous panniculitis-like T-cell lymphoma, anaplastic large cell lymphoma); a mixture of one or more leukemia/lymphoma as described above; and multiple myeloma (MM)), heavy chain disease (e.g., alpha chain disease, gamma chain disease, mu chain disease), hemangioblastoma,
inflammatory myofibroblastic tumors, immunocytic amyloidosis, kidney cancer (e.g., nephroblastoma a.k.a. Wilms' tumor, renal cell carcinoma), liver cancer (e.g., hepatocellular cancer (HCC), malignant hepatoma), lung cancer (e.g., bronchogenic carcinoma, small cell lung cancer (SCLC), non-small cell lung cancer (NSCLC), adenocarcinoma of the lung), leiomyosarcoma (LMS), mastocytosis (e.g., systemic mastocytosis), myelodysplasia syndrome (MDS), mesothelioma, myeloproliferative disorder (MPD) (e.g., polycythemia Vera (PV), essential thrombocytosis (ET), agnogenic myeloid metaplasia (AMM) a.k.a. myelofibrosis (MF), chronic idiopathic myelofibrosis, chronic myelocytic leukemia (CML), chronic neutrophilic leukemia (CNL), hypereosinophilic syndrome (HES)), neuroblastoma, neurofibroma (e.g., neurofibromatosis (NF) type 1 or type 2, schwannomatosis),
neuroendocrine cancer (e.g., gastroenteropancreatic neuroendoctrine tumor (GEP-NET), carcinoid tumor), osteosarcoma, ovarian cancer (e.g., cystadenocarcinoma, ovarian embryonal carcinoma, ovarian adenocarcinoma), papillary adenocarcinoma, pancreatic cancer (e.g., pancreatic andenocarcinoma, intraductal papillary mucinous neoplasm (IPMN), Islet cell tumors), penile cancer (e.g., Paget' s disease of the penis and scrotum), pinealoma, primitive neuroectodermal tumor (PNT), prostate cancer (e.g., prostate adenocarcinoma), rectal cancer, rhabdomyosarcoma, salivary gland cancer, skin cancer (e.g., squamous cell carcinoma (SCC), keratoacanthoma (KA), melanoma, basal cell carcinoma (BCC)), small bowel cancer (e.g., appendix cancer), soft tissue sarcoma (e.g., malignant fibrous histiocytoma (MFH), liposarcoma, malignant peripheral nerve sheath tumor (MPNST), chondrosarcoma, fibrosarcoma, myxosarcoma), sebaceous gland carcinoma, sweat gland carcinoma, synovioma, testicular cancer (e.g., seminoma, testicular embryonal carcinoma), thyroid cancer (e.g., papillary carcinoma of the thyroid, papillary thyroid carcinoma (PTC), medullary thyroid cancer), urethral cancer, vaginal cancer and vulvar cancer (e.g., Paget' s disease of the vulva).
[00290] Anti-cancer agents encompass biotherapeutic anti-cancer agents as well as chemotherapeutic agents.
[00291] Exemplary biotherapeutic anti-cancer agents include, but are not limited to, interferons, cytokines (e.g., tumor necrosis factor, interferon a, interferon γ), vaccines, hematopoietic growth factors, monoclonal serotherapy, immuno stimulants and/or immunodulatory agents (e.g., IL- 1, 2, 4, 6, or 12), immune cell growth factors (e.g., GM- CSF) and antibodies (e.g. HERCEPTIN (trastuzumab), T-DMl, AVASTIN (bevacizumab), ERBITUX (cetuximab), VECTIBIX (panitumumab), RITUXAN (rituximab), BEXXAR (tositumomab)).
[00292] Exemplary chemotherapeutic agents include, but are not limited to, anti- estrogens (e.g. tamoxifen, raloxifene, and megestrol), LHRH agonists (e.g. goscrclin and leuprolide), anti-androgens (e.g. flutamide and bicalutamide), photodynamic therapies (e.g. vertoporfin (BPD-MA), phthalocyanine, photo sensitizer Pc4, and demethoxy-hypocrellin A (2BA-2-DMHA)), nitrogen mustards (e.g. cyclophosphamide, ifosfamide, trofosfamide, chlorambucil, estramustine, and melphalan), nitrosoureas (e.g. carmustine (BCNU) and lomustine (CCNU)), alkylsulphonates (e.g. busulfan and treosulfan), triazenes (e.g.
dacarbazine, temozolomide), platinum containing compounds (e.g. cisplatin, carboplatin, oxaliplatin), vinca alkaloids (e.g. vincristine, vinblastine, vindesine, and vinorelbine), taxoids (e.g. paclitaxel or a paclitaxel equivalent such as nanoparticle albumin-bound paclitaxel (ABRAXANE), docosahexaenoic acid bound-paclitaxel (DHA-paclitaxel, Taxoprexin), polyglutamate bound-paclitaxel (PG-paclitaxel, paclitaxel poliglumex, CT-2103, XYOTAX), the tumor- activated prodrug (TAP) ANG1005 (Angiopep-2 bound to three molecules of paclitaxel), paclitaxel-EC-1 (paclitaxel bound to the erbB2-recognizing peptide EC-1), and glucose-conjugated paclitaxel, e.g., 2'-paclitaxel methyl 2-glucopyranosyl succinate;
docetaxel, taxol), epipodophyllins (e.g. etoposide, etoposide phosphate, teniposide, topotecan, 9-aminocamptothecin, camptoirinotecan, irinotecan, crisnatol, mytomycin C), antimetabolites, DHFR inhibitors (e.g. methotrexate, dichloromethotrexate, trimetrexate, edatrexate), IMP dehydrogenase inhibitors (e.g. mycophenolic acid, tiazofurin, ribavirin, and EICAR), ribonuclotide reductase inhibitors (e.g. hydroxyurea and deferoxamine), uracil analogs (e.g. 5-fluorouracil (5-FU), floxuridine, doxifluridine, ratitrexed, tegafur-uracil, capecitabine), cytosine analogs (e.g. cytarabine (ara C), cytosine arabinoside, and
fludarabine), purine analogs (e.g. mercaptopurine and Thioguanine), Vitamin D3 analogs (e.g. EB 1089, CB 1093, and KH 1060), isoprenylation inhibitors (e.g. lovastatin), dopaminergic neurotoxins (e.g. l-methyl-4-phenylpyridinium ion), cell cycle inhibitors (e.g. staurosporine), actinomycin (e.g. actinomycin D, dactinomycin), bleomycin (e.g. bleomycin A2, bleomycin B2, peplomycin), anthracycline (e.g. daunorubicin, doxorubicin, pegylated liposomal doxorubicin, idarubicin, epirubicin, pirarubicin, zorubicin, mitoxantrone), MDR inhibitors (e.g. verapamil), Ca2+ ATPase inhibitors (e.g. thapsigargin), imatinib, thalidomide, lenalidomide, tyrosine kinase inhibitors (e.g., axitinib (AGO 13736), bosutinib (SKI-606), cediranib (RECENTIN™, AZD2171), dasatinib (SPRYCEL®, BMS-354825), erlotinib (TARCEVA®), gefitinib (IRESSA®), imatinib (Gleevec®, CGP57148B, STI-571), lapatinib (TYKERB®, TYVERB®), lestaurtinib (CEP-701), neratinib (HKI-272), nilotinib
(TASIGNA®), semaxanib (semaxinib, SU5416), sunitinib (SUTENT®, SU11248), toceranib
(PALLADIA®), vandetanib (ZACTEVIA®, ZD6474), vatalanib (PTK787, PTK/ZK), trastuzumab (HERCEPTIN®), bevacizumab (AVASTIN®), rituximab (RITUXAN®), cetuximab (ERBITUX®), panitumumab (VECTIBIX®), ranibizumab (Lucentis®), nilotinib (TASIGNA®), sorafenib (NEXAVAR®), everolimus (AFINITOR®), alemtuzumab
(CAMPATH®), gemtuzumab ozogamicin (MYLOTARG®), temsirolimus (TORISEL®), ENMD-2076, PCI-32765, AC220, dovitinib lactate (TKI258, CHIR-258), BIBW 2992 (TOVOK™), SGX523, PF-04217903, PF-02341066, PF-299804, BMS-777607, ABT-869, MP470, BIBF 1120 (V ARGATEF® ) , AP24534, JNJ-26483327, MGCD265, DCC-2036, BMS-690154, CEP-11981, tivozanib (AV-951), OSI-930, MM-121, XL-184, XL-647, and/or XL228), proteasome inhibitors (e.g., bortezomib (VELCADE)), mTOR inhibitors (e.g., rapamycin, temsirolimus (CCI-779), everolimus (RAD-001), ridaforolimus, AP23573 (Ariad), AZD8055 (AstraZeneca), BEZ235 (Novartis), BGT226 (Norvartis), XL765 (Sanofi Aventis), PF-4691502 (Pfizer), GDC0980 (Genetech), SF1126 (Semafoe) and OSI-027 (OSI)), oblimersen, gemcitabine, carminomycin, leucovorin, pemetrexed, cyclophosphamide, dacarbazine, procarbizine, prednisolone, dexamethasone, campathecin, plicamycin, asparaginase, aminopterin, methopterin, porfiromycin, melphalan, leurosidine, leurosine, chlorambucil, trabectedin, procarbazine, discodermolide, carminomycin,, aminopterin, and hexamethyl melamine.
Examples
[00293] In order that the invention described herein may be more fully understood, the following examples are set forth. It should be understood that these examples are for illustrative purposes only and are not to be construed as limiting this invention in any manner.
Library Synthesis
[00294] The inventive lipomers were synthesized using (i) a polymer PEI backbone a linear PEI with a molecular weight of 600 (LPEI600); a branched PEI with a molecular weight of 600 (BPEI600); a branched PEI with a molecular weight of 1800 (BPEI1800); or (ii) macrocyles comprising amino groups (e.g., aza-crown macrocycles). In each instance, the backbone was chemically modified with alkyl tails and/or PEG polymers by direct alkylation of one or more amino groups. Four structural parameters were varied in the screen: the number of alkyl tails and/or PEG polymers per backbone, and the length of the alkyl groups and/or PEG polymer per backbone. More specifically, the number of alkyl tails per backbone were varied from 0 to 43 alkyl groups per backbone or from 0 to 4 alkyl groups per
macrocycle, while the number of PEG polymer per molecule ranged from 0.1 to 0.3 per backbone or macrocycle. The resulting lipomer library was screened for in vitro efficacy against one murine cancer cell line (qBEND.3), two human cancer cell lines (HeLa or HCT- 116), and one primary human cell line (HMVEC). Seventeen lipomers were found to reduce gene expression in vitro by more than 80% at doses of 30 nM with negligible toxicity. These lipomers were then tested for systemic in vivo delivery in two animal models: a Factor 7 liver delivery model and a hepatocellular carcinoma tumor model. The in vivo data demonstrated that these new lipomers can deliver siRNA effectively in animals.
[00295] PEI polymers and aza-macrocycles (Figure 1A) were conjugated to alkyl and PEG polymers via an epoxide ring-opening reaction shown in Figure IB. LPEI6oo, BPEI6oo, BPEIigoo or aza-macrocycles were reacted with epoxides with alkyl chains having lengths between 10 and 18 carbons, inclusive. The reaction took place in 100% EtOH for 48-72 hours in capped glass vials at a temperature of about 90°C. After 48-72 hours, the solution was removed from the hotplate and the ethanol was removed via vacuum evaporation. In some of the reactions, LPEI600, ΒΡΕΙ6οο, BPEI^oo or the aza-macrocycles were also simultaneously alkylated with PEG 1000 (PEG1K), PEG2000 (PEG2K) or a 1: 1 mixture of PEG1K and PEG2K (PEGLSK). This synthesis is ideal for high-throughput screening since it does not require protection/deprotection steps, organic solvents or complex environmental conditions (Love et al. Proc Natl Acad Sci USA (2010) 107: 1864-1869).
[00296] Table 3 lists the theoretical molecular weight, molar ratios, number of backbone nitrogens and nitrogen: phosphate ratios of compounds.
Table 3
Lipomer: Lipomer:
siRNAMass I siRNA Mole Backbone
i Molar Mass ! Ratio Ratio Nitrogens N : P Ratio
7C1 3764.00 15.00 53.00 14.00 17.67
7H6 2667.00 15.00 74.80 14.00 24.93
7H4 2524.00 15.00 79.04 14.00 26.35
2C6 4603.28 15.00 43.34 43.00 44.37
7h8 2960.00 15.00 67.40 14.00 22.47
7G2 808.00 15.00 246.91 4.00 23.51
7B2 9620.00 15.00 20.74 43.00 21.23
4D1 750.00 15.00 266.00 4.00 25.33
4C8 934.00 15.00 213.60 4.00 20.34
711 4102.00 15.00 48.63 14.00 16.21
6c8 1056.00 15.00 188.92 4.00 17.99
7F10 890.00 15.00 224.16 4.00 21.35
6B10 888.00 15.00 224.66 4.00 21.40
4c4 850.00 15.00 234.71 4.00 22.35
4C5 1062.00 15.00 187.85 4.00 17.89
4C3 638.00 15.00 312.70 4.00 29.78
Reagents
[00297] BPEI with a number molecular weight (Mn) of 600 and a weight molecular weight (Mw) of 800 of (BPEI6oo) was purchased from Sigma Aldrich (catalog number 408719). BPEI with a Mn of 1800 and Mw of 2000 (BPEIi800) was purchased from Alfa Aesar (catalog number 40528).
[00298] Aza-macrocycles were purchased from Sigma Aldrich and Alfa Aesar (1,4,8,12 Tetraazacyclopentadecane TCI Catalog number 1691 or Sigma Aldrich Catalog Number 259512, l,4,10,13-Tetraoxa-7,16-Diaazacyclooctade Sigma Aldrich Catalog Number 295809, 1,4,8,11 Tetraazacyclotetradecane TCI Catalog Number T1597, 1,4,7,10- tetraazacyclododecane TCI Catalog Number T1874.
[00299] The following epoxides were purchased from Sigma Aldrich or TCI America: 1,2-epoxydecane TCI Catalog number E0315 or Sigma Aldrich Catalog Number 260339, 1,2-epoxydodecane TCI Catalog number D1984 or Sigma Aldrich Catalog Number 260207, 1,2-epoxytetradecane TCI Catalog number E0314 or Sigma Aldrich Catalog Number 260266, 1,2-epoxyhexadecane TCI Catalog number E0316 or Sigma Aldrich Catalog Number 260215, 1,2-epoxyoctadecane TCI Catalog number E0313 or Sigma Aldrich Catalog Number 260231.
[00300] PEG i ooo and PEG2000 were purchased from Creative Peg works. In vitro screening
[00301] Following synthesis, the ability to specifically reduce gene expression in vitro was tested against four cell lines; HeLa cells (ATCC, Manassas, VA) transfected by Alnylam Pharmaceuticals to express both Renilla and Firefly luciferase, HCT-116 human colorectal cells (Caliper Life Sciences) transfected to express Firefly luciferase, and qBEND.3 murine endothelial cells and HMVEC primary human endothelial cells, both expressing the endothelial marker Tie2 (Akinc et al. Nat Biotechnol (2008) 26:561-569). Lipomers were complexed with anti-Firefly luciferase siRNA (siLuc) (Dharmacon, Boulder, Colorado) or anti-Tie2 siRNA (siTie2) (Alnylam, Cambridge, MA) by incubating the lipomer with siRNA in 25 mMol NaAc with a pH of 5.2. The siRNA and lipomers were bound via electrostatic interactions between the negative phosphate backbone of the siRNA and the protonated amine backbone. GapDH siRNA (siGap) (Alnylam, Cambridge, MA) was used as a control for Tie2 expression. More specifically, lipomers were conjugated with siTie2 or siGap. Tie2
expression was measured using both complexes and successful compounds were those that reduced Tie2 expression Both Tie2 and GapDH More specifically, and compounds that reduced Tie2 expression even when conjugated to GapDH were considered toxic. Similarly, HeLa cell toxicity was tested by measuring both (targeted) Firefly luciferase and (control) Renilla Luciferase. Successful compounds reduced target gene expression and did not influence control gene expression.
[00302] The in vitro screen was initiated by seeding cells onto a 96 well plate at a density of 15,000 cells/well. Twenty-four hours later, 30 nM lipomer-siRNA solution was placed in each well. The mixture was incubated overnight at 37 °C and 5% C02. Luciferase and Renilla gene expression was then tested using luminescence (Dual Glow Assay, Promega, Madison, WI) while Tie2 expression was measured using a Quantigene 2.0 BDNA assay (Panomics, Santa Clara, CA). Compounds were considered successful if they reduced target gene expression by more than 80% while off-target gene knockdown was less than 20%. In most cases, successful candidates reduced off-target gene expression by less than 10%.
[00303] Since polymer: siRNA mass ratio has been shown to influence the delivery of genetic material, the library was screened at lipomer: siRNA mass ratios of 2.5, 5, 10 and 15 (Figure 2). During mass ratio studies, the amount of lipomer changed while the amount of siRNA remained constant such that the siRNA molarity was 30 nM. Compounds effective against HeLa cells were tested for efficacy against endothelial cells at a dose of 30 nM, as shown in Figure 3. Following the initial screening of the library, a subset of effective compounds was tested for dose response. The lipomer: siRNA mass ratio was maintained at 15: 1 while the amount of molarity of the solution decreased from 30 nM to 0.4 nM. These results are shown in Figure 4.
[00304] The mechanism of cellular uptake was then studied using fluorescently labeled siRNA. Briefly, cells can envelop external particles via a variety of different mechanisms. Each uptake mechanism results in different physiological processes. For this reason, identifying the specific uptake mechanism is important for nanoparticle delivery (Sahay et ah, J. Controlled Release (2010) 145: 182-195). Fortunately, most pathways are identifiable via canonical molecules present during their activation. In this case, the caveolae-mediated pathway was identified by the presence of a molecule termed cholera toxin B. Specifically, HeLa nuclei (blue), cholera toxin B (green) and Cysteine-5 tagged siRNA (siCy5) (red) were stained concurrently after Cy5 tagged siRNA was conjugated to compound 6B10. It was
confirmed by the overlap between the red Cy5 siRNA and cholera toxin B that some molecules were taken up via caveolae-mediated endocytosis.
In vivo formulation and physical characterization
[00305] All in vivo experiments were reviewed and approved by the MIT Institutional Animal Care and Welfare Committee and were conducted in the MIT division of comparative medicine. Using in vitro screening described above, approximately 20 compounds were identified as leading candidates for in vivo analysis. To test the compounds in vivo, lipomers were diluted in 100% EtOH and mixed with C16-PEG (Aniara, Wilmington, OH) and cholesterol (Sigma Aldrich, St. Louis, MO) such that Lipomer: PEG: cholesterol molar ratios were 100:25:35. In another study, lipomers were diluted in 100% EtOH and combined with cholesterol, but not C16-PEG. Particles, in 25 mMol buffered sodium acetate (pH 5.3), were extruded using a 10 mL Lipex extruder (Northern Lipids, Canada) at 40 °C through 50 nm pore- size polycarbonate membranes until size distribution was uniform. siRNA was then added to the lipomer dispersion for 30 minutes, facilitating electrostatic interactions that led to siRNA complexation. Then, lipomers were dialyzed against IX PBS (pH 7.4) for 75 minutes to remove unbound siRNA and excess acetate. Particle size and charge were measured immediately after mixing with PEG and cholesterol, after conjugation to siRNA, and after dialysis. Particle size was measured with dynamic light scattering (DLS) and surface charge was estimated using zeta potential analysis (Zetapals, Brookhaven
Instruments, Holtsville, NY). Finally, to measure the stability of particles after conjugation of siRNA, compound size was measured 1 hour, 3 hours, 6 hours and 18 hours after formulation at 37 °C, 25 °C, 4°C and -20°C. Both size and stability are shown in Figure 5A-5B.
[00306] After dialysis, samples were injected into one of two animal models. In the first model, lipomers with anti-Factor 7 siRNA were injected to 8-wk-old Fox Chase female mice (Charles River, Boston, MA). 48 hours after injection, blood serum was collected and analyzed for Factor 7 expression (Biophen, Aniara, Mason, OH). Serum Factor 7 levels were compared to mice injected with PBS (see Figures 6, 7, and 8).
[00307] In a second study, 8 to 12- week-old Fox Chase female mice, bearing a ~1 cm luciferase-expressing HEPg2 tumor in the flank, were injected with anti-LUC siRNA. Before, and 72 hr after intravenous siRNA administration (dosed at 2.0 mg/kg). Luciferase expression was measured by injecting 150 mg/kg D-luciferin ip (XenoLight Rediject D-Luciferin Ultra, Caliper Life Sciences, Hopkinton, MA) and recording luminescence with an IVIS Spectrum
(Xenogen-Calipers Life Science). Reduction in luciferase expression was determined by comparing luciferase expression pre- and post- siRNA treatment (see Figures 9A-9B).
[00308] Finally, the biodistribution of three different successful compounds (7H6, 711 and 317) was evaluated using Cy5.5 labeled siRNA (AllStars Control siRNA, Qiagen, Valencia, CA). Mice were injected with Cy5.5 siRNA (2.5 mg/kg) via the tail vein and sacrificed 1 or 14 hours later. Major organs were harvested and fluorescently imaged at 670 (ex. 670 nm, em. 710nm) using an IVIS imaging system (see Figures 10A-10B).
[00309] The Factor 7 siRNA was provided by Alnylam Pharmaceuticals and had a sense sequence of 5'-GGAucAucucAAGucuuAcT*T-3' (SEQ ID NO 1) as previously reported (Akinc, A. et al. Nature Biotechnology 26, 561-569). The Cy5-tagged siRNA was purchased from Qiagen and had a proprietary sequence (Product Number 1027297). The Luciferase targeting siRNA was purchased from Dharmacon and had a proprietary sequence (Product Number D-002050-0120).
Results
[00310] To identify compounds that effectively transfect multiple cell lines in vitro, 750 lipomers were screened against HeLa and HCT-116 cells. Since lipomer: siRNA mass ratios have been related in other studies to both efficacy and toxicity, the library was screened at lipomer: siRNA mass ratios of 2.5, 5, 10 and 15. Slightly less than 5% of the compounds transfected HeLa cells effectively, as shown qualitatively in Figure 2A and quantitatively in Figure 2B. Furthermore, lipomer: siRNA mass ratios of 10 and 15 were found to be most efficacious (Figure 2A), while Figure 2B indicates that at these ratios off-target effects {i.e., any decrease in Renilla luciferase expression) are negligible.
[00311] Compounds found to be efficacious (>80% knockdown and <20% toxicity) against HeLa cells were then screened for knockdown against primary human endothelial cells and murine endothelial cells. Figure 3 presents compounds that were found to be highly efficacious in multiple cell lines. Interestingly, the reduction in gene expression varied from one cell line to another, where, in general, primary endothelial cells were easier to transfect.
[00312] Compounds were then tested for in vitro siRNA dose response against qBEND.3 cells. Increasing siRNA dosing led to decreased gene expression in vitro (Figure 4A). At a dose of 30 nM, gene expression was reduced by up to 95% while GapDH {i.e., control gene) expression remained constant. Compounds reduced expression by nearly 80% at a dose of 6 nM, and by 25% at 1.2 nM, suggesting a 3.4 nM siRNA (-400 nM lipomer)
dose would reduce gene expression by 50%. Furthermore, off-target effects were abrogated, as shown by the constant gene expression of the GapDH control (Figure 4B).
[00313] Compounds were then tested for in vivo efficacy against the expression of Factor 7, a serum protein produced by the liver. In an initial study, lipomers formulated with cholesterol (but without C16-PEG) were complexed with anti-Factor 7 siRNA (siF7, Alnylam Pharmaceuticals) and injected to the tail vein, at an siRNA dose of 2 mg/kg and a
lipomensiRNA mass ratio of 15: 1 or 10: 1 (Figure 6). Analyzing Factor 7 in the blood demonstrated more than 64% knockdown and that a 15: 1 mass ratio resulted in higher knockdown. Adding C16-PEG to the formulation (lipomer: cholesterol: C16-PEG mole ratio 100:35:25) reduced knockdown slightly (Figures 7 and 8). No change in animal weight was measured in the several days post administration, pointing to the good in vivo tolerability of the compounds.
[00314] In vivo efficacy was further evaluated in a tumor model. Fox Chase mice bearing subcutaneous HepG2 tumors (~1 cm diameter) that express Firefly- luciferase were injected with anti-Luc siRNA (1.5 mg/kg). Tumor luminescence was measured before, and 72 hr after, siRNA administration. A 51% decrease in tumor luminescence, was measured when using a representative efficacious compound -7H6 (Figure 9A).
[00315] Finally, siRNA delivery systems 317, 7H6, and 7I1B complexing fluorescently labeled siRNA were injected to the tail vein. The resulting biodistribution showed that siRNA accumulates in the liver, spleen, kidney and lungs and the tail of mice (Figure 10). All compounds had high selectivity to the liver. A significant amount of 7H6 accumulated in the lungs while 71 IB also tended to accumulate in the kidneys. This suggests that different compounds can be optimized for delivery in different organs.
Other Embodiments
[00316] All patents, patent applications, and literature references cited herein are incorporated herein by reference.
[00317] Having now described some illustrative embodiments of the invention, it should be apparent to those skilled in the art that the foregoing is merely illustrative and not limiting, having been presented by way of example only. Numerous modifications and other illustrative embodiments are within the scope of one of ordinary skill in the art and are contemplated as falling within the scope of the invention. In particular, although many of the examples presented herein involve specific combinations of method acts or system elements, it should be understood that those acts and those elements may be combined in other ways to
accomplish the same objectives. Acts, elements, and features discussed only in connection with one embodiment are not intended to be excluded from a similar role in other
embodiments. Further, for the one or more means-plus-function limitations recited in the following claims, the means are not intended to be limited to the means disclosed herein for performing the recited function, but are intended to cover in scope any means, known now or later developed, for performing the recited function. Use of terms such as "first", "second", "third", etc., in the claims to modify a claim element does not by itself connote any priority, precedence, or order of one claim element over another or the temporal order in which acts of a method are performed, but are used merely as labels to distinguish one claim element having a certain name from another element having a same name (but for use of the ordinal term) to distinguish the claim elements. Similarly, use of a), b), etc., or i), ii), etc. does not by itself connote any priority, precedence, or order of steps in the claims. Similarly, the use of these terms in the specification does not by itself connote any required priority, precedence, or order.
[00318] The foregoing written specification is considered to be sufficient to enable one skilled in the art to practice the invention. The present invention is not to be limited in scope by examples provided, since the examples are intended as a single illustration of one aspect of the invention and other functionally equivalent embodiments are within the scope of the invention. Various modifications of the invention in addition to those shown and described herein will become apparent to those skilled in the art from the foregoing description and fall within the scope of the appended claims. The advantages and objects of the invention are not necessarily encompassed by each embodiment of the invention.
Claims
Claims
What is claimed is:
or salt thereof; wherein:
n is an integer of between 3 to 45, inclusive;
each instance of R is independently hydrogen; acyl; silyl; sulfonyl; an amino protecting group; substituted or unsubstituted alkyl; substituted or unsubstituted alkenyl; substituted or unsubstituted alkynyl; substituted or unsubstituted heteroalkyl; substituted or unsubstituted heteroalkenyl; substituted or unsubstituted heteroalkynyl; substituted or unsubstituted carbocyclyl; substituted or unsubstituted heterocyclyl; substituted or unsubstituted aryl; substituted or unsubstituted heteroaryl; a substituted or unsubstituted polyethyleneimine; or a group of the
O;
or the two R groups are joined to form a substituted or unsubstituted heterocyclyl;
each instance of R is independently substituted or unsubstituted alkyl; substituted or unsubstituted alkenyl; substituted or unsubstituted alkynyl; substituted or unsubstituted heteroalkyl; substituted or unsubstituted heteroalkenyl; substituted or unsubstituted heteroalkynyl; substituted or unsubstituted carbocyclyl; substituted or unsubstituted heterocyclyl; substituted or unsubstituted aryl; substituted or unsubstituted heteroaryl; or a hydrophilic polymer;
each instance of R4 is independently hydrogen, acyl; silyl; a hydroxyl protecting group; substituted or unsubstituted alkyl; substituted or unsubstituted alkenyl; substituted or unsubstituted alkynyl; substituted or unsubstituted heteroalkyl; substituted or unsubstituted heteroalkenyl; substituted or unsubstituted hetero alkynyl; substituted or unsubstituted carbocyclyl; substituted or unsubstituted heterocyclyl; substituted or unsubstituted aryl; or substituted or unsubstituted heteroaryl;
A is -N(R5)2, wherein each instance of R5 is independently hydrogen; acyl; silyl; sulfonyl; an amino protecting group; substituted or unsubstituted alkyl; substituted or unsubstituted alkenyl; substituted or unsubstituted alkynyl; substituted or unsubstituted heteroalkyl; substituted or unsubstituted heteroalkenyl; substituted or unsubstituted heteroalkynyl; substituted or unsubstituted carbocyclyl; substituted or unsubstituted heterocyclyl; substituted or unsubstituted aryl; substituted or unsubstituted heteroaryl; or a group of the formula (iii'):
or two R5 groups are joined to form a substituted or unsubstituted heterocyclyl; and
Z is hydrogen; acyl; silyl; sulfonyl; an amino protecting group; substituted or unsubstituted alkyl; substituted or unsubstituted alkenyl; substituted or unsubstituted alkynyl; substituted or unsubstituted heteroalkyl; substituted or unsubstituted heteroalkenyl;
substituted or unsubstituted heteroalkynyl; substituted or unsubstituted carbocyclyl;
substituted or unsubstituted heterocyclyl; substituted or unsubstituted aryl; substituted or unsubstituted heteroaryl, or a group of the formula (iii'):
or Z and the nitrogen atom to which it is attached form a substituted or unsubstituted heterocyclyl group.
2. The conjugated lipomer of claim 1, wherein the conjugated lipomer is prepared from a polyethyleneimine polymer having a number average molecule weight (Mn) of less than 2000 g/mol.
3. The conjugated lipomer of claim 1, wherein the conjugated lipomer is prepared from a polyethyleneimine polymer having a number average molecule weight (Mn) of less than 1800 g/mol.
4. The conjugated lipomer of claim 1, wherein the conjugated lipomer is prepared from a polyethyleneimine polymer having a number average molecule weight (Mn) of less than 1200 g/mol.
5. The conjugated lipomer of claim 1, wherein the conjugated lipomer is prepared from a polyethyleneimine polymer having a number average molecule weight (Mn) of less than 800 g/mol.
6. The conjugated lipomer of claim 1, wherein each instance of R5 is independently hydrogen; substituted or unsubstituted alkyl; substituted or unsubstituted heteroalkyl; or a group of the formula (iii').
7. The conjugated lipomer of claim 1, wherein Z is hydrogen; substituted or
unsubstituted alkyl; substituted or unsubstituted heteroalkyl; or a group of the formula (iii').
8. The conjugated lipomer of claim 1, wherein n is an integer of between 14 to 45, inclusive.
9. The conjugated lipomer of claim 1, wherein each instance of R is independently hydrogen; a substituted or unsubstituted polyethyleneimine; or a group of the formula (iii').
10. The conjugated lipomer of claim 1, wherein at least one L1 group of the formula (ii).
11. The conjugated lipomer of claim 1, wherein the lipomer does not include an L1 group of the formula (ii).
12. The conjugated lipomer of claim 1, wherein each instance of R is independently substituted or unsubstituted alkyl; substituted or unsubstituted heteroalkyl; or a hydrophilic polymer.
13. The conjugated lipomer of claim 1, wherein at least one instance of R is substituted or unsubstituted alkyl.
14. The conjugated lipomer of claim 1, wherein at least one instance of R is hydrophilic polymer.
15. The conjugated lipomer of claim 1, wherein at least one instance of R is a hydrophilic polymer, and at least one instance of R is a substituted or unsubstituted alkyl.
16. The conjugated lipomer of claims 14 or 15, wherein the hydrophilic polymer is a polyethyleneglycol (PEG) polymer.
17. The conjugated lipomer of claim 16, wherein the number average molar mass (Mn) of the PEG polymer is between about 100 to about 10,000, inclusive.
18. The conjugated lipomer of claim 16, wherein the number average molar mass (Mn) of the PEG polymer is between about 100 to about 2500, inclusive.
19. The conjugated lipomer of claim 16, wherein the number average molar mass (Mn) of the PEG polymer is between about 2500 to about 10,000, inclusive.
20. The conjugated lipomer of claim 10, wherein the lipomer is selected from the group consisting of:
The conjugated lipomer of claim 11, wherein the lipomer is selected from the group consisting of:
(viii) (ix)
provided that the conjugated lipomer contains at least one group (vi), (vii) or (viii);
each instance of R is independently hydrogen; acyl; silyl; sulfonyl; an amino protecting group; substituted or unsubstituted alkyl; substituted or unsubstituted alkenyl; substituted or unsubstituted alkynyl; substituted or unsubstituted heteroalkyl; substituted or unsubstituted heteroalkenyl; substituted or unsubstituted heteroalkynyl; substituted or unsubstituted carbocyclyl; substituted or unsubstituted heterocyclyl; substituted or unsubstituted aryl; substituted or unsubstituted heteroaryl; or
(ϋΐ')
provided the conjugated lipomer contains at least one group of the formula (iii');
each instance of R is independently substituted or unsubstituted alkyl; substituted or unsubstituted alkenyl; substituted or unsubstituted alkynyl; substituted or unsubstituted heteroalkyl; substituted or unsubstituted heteroalkenyl; substituted or unsubstituted heteroalkynyl; substituted or unsubstituted carbocyclyl; substituted or unsubstituted heterocyclyl; substituted or unsubstituted aryl; substituted or unsubstituted heteroaryl; or a hydrophilic polymer;
each instance of R4 is independently hydrogen, acyl; silyl; a hydroxyl protecting group; substituted or unsubstituted alkyl; substituted or unsubstituted alkenyl; substituted or unsubstituted alkynyl; substituted or unsubstituted heteroalkyl; substituted or unsubstituted heteroalkenyl; substituted or unsubstituted heteroalkynyl; substituted or unsubstituted carbocyclyl; substituted or unsubstituted heterocyclyl; substituted or unsubstituted aryl; or substituted or unsubstituted heteroaryl;
each instance of m and p is independently 0, 1 or 2;
q is an integer 2, 3, or 4; and
the dashed curved line, together with G and Y, is a covalent bond or a group of the formula:
wherein s is 0, 1, or 2.
23. The conjugated lipomer of claim 22, wherein each instance of R is independently hydrogen or a group of the formula (iii')-
24. The conjugated lipomer of claim 22, wherein each instance of R is independently substituted or unsubstituted alkyl; substituted or unsubstituted heteroalkyl; or a hydrophilic polymer.
25. The conjugated lipomer of claim 22, wherein at least one instance of R is substituted or unsubstituted alkyl.
26. The conjugated lipomer of claim 22, wherein at least one instance of R is hydrophilic polymer.
27. The conjugated lipomer of claim 22, wherein at least one instance of R is hydrophilic polymer, and at least one instance of R is substituted or unsubstituted alkyl.
28. The conjugated lipomer of claims 26 or 27, wherein the hydrophilic polymer is a polyethyleneglycol (PEG) polymer.
29. The conjugated lipomer of claim 22, wherein the dashed curved line, together with G and Y, is a covalent bond.
30. The conjugated lipomer of claim 22, wherein the dashed curved line, together with G and Y, a group of the formula:
(x)
wherein s is 0, 1, or 2.
31. The conjugated lipomer of claim 22, wherein the dashed curved line, together with G and Y, a group of the formula:
(xi)
wherein s is 0, 1, or 2.
32. The conjugated lipomer of claim 22, wherein the lipomer comprises at least one instance of the group of the formula (vi).
33. The conjugated lipomer of claim 32, wherein the lipomer is of the Formula (V), (VI), or (VII):
or salt thereof.
34. The conjugated lipomer of claim 22, wherein the lipomer comprises at least one instance of the group of the formula (vii), (viii), or (ix).
The conjugated lipomer of claim 34, wherein the lipomer is of the Formula (VII)
(VII) (IX) or salt thereof.
36. The conjugated lipomer of claim 33, wherein the conjugated lipomer is selected from the group consisting of:
158
159
162
163
164
165
166
167
168
169
170
171
172
173
174
A conjugated lipomer of claim 35, wherein the conjugated lipomer is selected from the group consisting of:
and salts thereof.
38. A composition comprising one or more conjugated lipomers of any one of claims 1 to 37, and, optionally, an excipient.
39. The composition of claim 38, wherein the composition is a pharmaceutical composition or a cosmetic composition.
40. The composition of claim 38, wherein the composition further comprises an agent.
41. The composition of claim 40, wherein the agent is an organic molecule, inorganic molecule, nucleic acid, protein, peptide, polynucleotide, targeting agent, an isotopically labeled chemical compound, vaccine, or an immunological agent.
42. The composition of claim 41, wherein the agent is a polynucleotide, and the polynucleotide is DNA or RNA.
43. The composition of claim 42, wherein the RNA is RNAi, dsRNA, siRNA, shRNA, miRNA, or antisense RNA.
44. The composition of claim 42, wherein the polynucleotide and the one or more conjugated lipomers are not covalently attached.
45. The composition of claim 38, wherein the one or more conjugated lipomers are in the form of a particle.
46. The composition of claim 38, wherein the particle is a nanoparticle or microparticle.
47. The composition of claim 38, wherein the particle is a micelle, liposome, or lipoplex.
48. The composition of claim 45, 46, or 47, wherein the particle encapsulates an agent.
49. A method of preparing a conjugated lipomer of claim 1, or salt thereof, the method comprising contacting a compound of the Formula (I), or salt thereof, with an epoxide of the formula (xii):
(I) <")
wherein each instance of R1 is independently hydrogen or a group of the formula (Η'):
¾2.N.
R2'%2 (HO;
to provide the conjugated lipomer of the Formula (II), or salt thereof.
50. A method of preparing a conjugated lipomer of claim 22, or salt thereof, the method comprising contacting a compound of the Formula (III), or salt thereof, with an epoxide of the formula (xii):
(III)
(viii) (ix) provided that the compound of Formula (III) contains at least one group (vi), (vii) or (viii); and further provided that at least one R group is hydrogen;
to provide the conjugated lipomer of the Formula (IV), or salt thereof.
51. A method of screening a library of conjugated lipomers of any one of claims 1 to 38, the method comprising providing a plurality of conjugated lipomers; and screening the conjugated lipomers for a desired property.
52. The method of claim 51, wherein the desired property is an ability to bind a polynucleotide; increase transfection efficiency; support cell growth; support cell attachment; or to be soluble in an aqueous solution.
53. The method of claim 51, wherein the desired property is an ability to support tissue growth.
54. A method of treating cancer comprising administering to a subject in need thereof an effective amount of a conjugated lipomer, or salt thereof, of any one of claims 1 to 38.
Priority Applications (4)
| Application Number | Priority Date | Filing Date | Title |
|---|---|---|---|
| PL12724782T PL2691443T3 (en) | 2011-03-28 | 2012-03-23 | Conjugated lipomers and their applications |
| CA2831392A CA2831392C (en) | 2011-03-28 | 2012-03-23 | Conjugated lipomers and uses thereof |
| DK12724782.3T DK2691443T3 (en) | 2011-03-28 | 2012-03-23 | CONJUGIATED LIPOMERS AND USES OF THESE |
| EP12724782.3A EP2691443B1 (en) | 2011-03-28 | 2012-03-23 | Conjugated lipomers and uses thereof |
Applications Claiming Priority (2)
| Application Number | Priority Date | Filing Date | Title |
|---|---|---|---|
| US201161468455P | 2011-03-28 | 2011-03-28 | |
| US61/468,455 | 2011-03-28 |
Publications (2)
| Publication Number | Publication Date |
|---|---|
| WO2012135025A2 true WO2012135025A2 (en) | 2012-10-04 |
| WO2012135025A3 WO2012135025A3 (en) | 2013-01-24 |
Family
ID=46197676
Family Applications (1)
| Application Number | Title | Priority Date | Filing Date |
|---|---|---|---|
| PCT/US2012/030349 Ceased WO2012135025A2 (en) | 2011-03-28 | 2012-03-23 | Conjugated lipomers and uses thereof |
Country Status (6)
| Country | Link |
|---|---|
| US (4) | US9238716B2 (en) |
| EP (1) | EP2691443B1 (en) |
| CA (1) | CA2831392C (en) |
| DK (1) | DK2691443T3 (en) |
| PL (1) | PL2691443T3 (en) |
| WO (1) | WO2012135025A2 (en) |
Cited By (114)
| Publication number | Priority date | Publication date | Assignee | Title |
|---|---|---|---|---|
| US8710013B2 (en) | 2008-04-18 | 2014-04-29 | Angiochem Inc. | Pharmaceutical compositions of paclitaxel, paclitaxel analogs or paclitaxel conjugates and related methods of preparation and use |
| US8822663B2 (en) | 2010-08-06 | 2014-09-02 | Moderna Therapeutics, Inc. | Engineered nucleic acids and methods of use thereof |
| US8828925B2 (en) | 2008-10-15 | 2014-09-09 | Angiochem Inc. | Etoposide and doxorubicin conjugates for drug delivery |
| WO2014152211A1 (en) | 2013-03-14 | 2014-09-25 | Moderna Therapeutics, Inc. | Formulation and delivery of modified nucleoside, nucleotide, and nucleic acid compositions |
| US8853353B2 (en) | 2008-12-17 | 2014-10-07 | Angiochem, Inc. | Membrane type-1 matrix metalloprotein inhibitors and uses thereof |
| WO2014204728A1 (en) | 2013-06-17 | 2014-12-24 | The Broad Institute Inc. | Delivery, engineering and optimization of systems, methods and compositions for targeting and modeling diseases and disorders of post mitotic cells |
| US8921314B2 (en) | 2008-10-15 | 2014-12-30 | Angiochem, Inc. | Conjugates of GLP-1 agonists and uses thereof |
| US8980864B2 (en) | 2013-03-15 | 2015-03-17 | Moderna Therapeutics, Inc. | Compositions and methods of altering cholesterol levels |
| US8999380B2 (en) | 2012-04-02 | 2015-04-07 | Moderna Therapeutics, Inc. | Modified polynucleotides for the production of biologics and proteins associated with human disease |
| WO2015089419A2 (en) | 2013-12-12 | 2015-06-18 | The Broad Institute Inc. | Delivery, use and therapeutic applications of the crispr-cas systems and compositions for targeting disorders and diseases using particle delivery components |
| WO2015089354A1 (en) | 2013-12-12 | 2015-06-18 | The Broad Institute Inc. | Compositions and methods of use of crispr-cas systems in nucleotide repeat disorders |
| US9107886B2 (en) | 2012-04-02 | 2015-08-18 | Moderna Therapeutics, Inc. | Modified polynucleotides encoding basic helix-loop-helix family member E41 |
| US9161988B2 (en) | 2009-07-02 | 2015-10-20 | Angiochem Inc. | Multimeric peptide conjugates and uses thereof |
| US9173891B2 (en) | 2009-04-20 | 2015-11-03 | Angiochem, Inc. | Treatment of ovarian cancer using an anticancer agent conjugated to an angiopep-2 analog |
| US9181321B2 (en) | 2013-03-14 | 2015-11-10 | Shire Human Genetic Therapies, Inc. | CFTR mRNA compositions and related methods and uses |
| US9186372B2 (en) | 2011-12-16 | 2015-11-17 | Moderna Therapeutics, Inc. | Split dose administration |
| US9193827B2 (en) | 2010-08-26 | 2015-11-24 | Massachusetts Institute Of Technology | Poly(beta-amino alcohols), their preparation, and uses thereof |
| US9221867B2 (en) | 2003-01-06 | 2015-12-29 | Angiochem Inc. | Method for transporting a compound across the blood-brain barrier |
| US9227917B2 (en) | 2012-08-13 | 2016-01-05 | Massachusetts Institute Of Technology | Amine-containing lipidoids and uses thereof |
| US9238716B2 (en) | 2011-03-28 | 2016-01-19 | Massachusetts Institute Of Technology | Conjugated lipomers and uses thereof |
| US9283287B2 (en) | 2012-04-02 | 2016-03-15 | Moderna Therapeutics, Inc. | Modified polynucleotides for the production of nuclear proteins |
| US9308281B2 (en) | 2011-06-08 | 2016-04-12 | Shire Human Genetic Therapies, Inc. | MRNA therapy for Fabry disease |
| US9315472B2 (en) | 2013-05-01 | 2016-04-19 | Massachusetts Institute Of Technology | 1,3,5-triazinane-2,4,6-trione derivatives and uses thereof |
| EP3009511A2 (en) | 2015-06-18 | 2016-04-20 | The Broad Institute, Inc. | Novel crispr enzymes and systems |
| US9334328B2 (en) | 2010-10-01 | 2016-05-10 | Moderna Therapeutics, Inc. | Modified nucleosides, nucleotides, and nucleic acids, and uses thereof |
| US9365634B2 (en) | 2007-05-29 | 2016-06-14 | Angiochem Inc. | Aprotinin-like polypeptides for delivering agents conjugated thereto to tissues |
| WO2016094874A1 (en) | 2014-12-12 | 2016-06-16 | The Broad Institute Inc. | Escorted and functionalized guides for crispr-cas systems |
| WO2016094880A1 (en) | 2014-12-12 | 2016-06-16 | The Broad Institute Inc. | Delivery, use and therapeutic applications of crispr systems and compositions for genome editing as to hematopoietic stem cells (hscs) |
| WO2016094872A1 (en) | 2014-12-12 | 2016-06-16 | The Broad Institute Inc. | Dead guides for crispr transcription factors |
| WO2016094867A1 (en) | 2014-12-12 | 2016-06-16 | The Broad Institute Inc. | Protected guide rnas (pgrnas) |
| WO2016100974A1 (en) | 2014-12-19 | 2016-06-23 | The Broad Institute Inc. | Unbiased identification of double-strand breaks and genomic rearrangement by genome-wide insert capture sequencing |
| WO2016106244A1 (en) | 2014-12-24 | 2016-06-30 | The Broad Institute Inc. | Crispr having or associated with destabilization domains |
| WO2016106236A1 (en) | 2014-12-23 | 2016-06-30 | The Broad Institute Inc. | Rna-targeting system |
| US9428535B2 (en) | 2011-10-03 | 2016-08-30 | Moderna Therapeutics, Inc. | Modified nucleosides, nucleotides, and nucleic acids, and uses thereof |
| US9464124B2 (en) | 2011-09-12 | 2016-10-11 | Moderna Therapeutics, Inc. | Engineered nucleic acids and methods of use thereof |
| US9512073B2 (en) | 2011-10-27 | 2016-12-06 | Massachusetts Institute Of Technology | Amino acid-, peptide-and polypeptide-lipids, isomers, compositions, and uses thereof |
| US9522176B2 (en) | 2013-10-22 | 2016-12-20 | Shire Human Genetic Therapies, Inc. | MRNA therapy for phenylketonuria |
| WO2016205749A1 (en) | 2015-06-18 | 2016-12-22 | The Broad Institute Inc. | Novel crispr enzymes and systems |
| WO2016205764A1 (en) | 2015-06-18 | 2016-12-22 | The Broad Institute Inc. | Novel crispr enzymes and systems |
| WO2016205745A2 (en) | 2015-06-18 | 2016-12-22 | The Broad Institute Inc. | Cell sorting |
| WO2016205613A1 (en) | 2015-06-18 | 2016-12-22 | The Broad Institute Inc. | Crispr enzyme mutations reducing off-target effects |
| US9533047B2 (en) | 2011-03-31 | 2017-01-03 | Modernatx, Inc. | Delivery and formulation of engineered nucleic acids |
| US9556110B2 (en) | 2008-11-07 | 2017-01-31 | Massachusetts Institute Of Technology | Aminoalcohol lipidoids and uses thereof |
| US9572897B2 (en) | 2012-04-02 | 2017-02-21 | Modernatx, Inc. | Modified polynucleotides for the production of cytoplasmic and cytoskeletal proteins |
| US9597380B2 (en) | 2012-11-26 | 2017-03-21 | Modernatx, Inc. | Terminally modified RNA |
| US9629804B2 (en) | 2013-10-22 | 2017-04-25 | Shire Human Genetic Therapies, Inc. | Lipid formulations for delivery of messenger RNA |
| WO2017070605A1 (en) | 2015-10-22 | 2017-04-27 | The Broad Institute Inc. | Type vi-b crispr enzymes and systems |
| WO2017069958A2 (en) | 2015-10-09 | 2017-04-27 | The Brigham And Women's Hospital, Inc. | Modulation of novel immune checkpoint targets |
| WO2017075465A1 (en) | 2015-10-28 | 2017-05-04 | The Broad Institute Inc. | Compositions and methods for evaluating and modulating immune responses by detecting and targeting gata3 |
| WO2017075451A1 (en) | 2015-10-28 | 2017-05-04 | The Broad Institute Inc. | Compositions and methods for evaluating and modulating immune responses by detecting and targeting pou2af1 |
| WO2017075478A2 (en) | 2015-10-28 | 2017-05-04 | The Broad Institute Inc. | Compositions and methods for evaluating and modulating immune responses by use of immune cell gene signatures |
| WO2017074788A1 (en) | 2015-10-27 | 2017-05-04 | The Broad Institute Inc. | Compositions and methods for targeting cancer-specific sequence variations |
| WO2017106657A1 (en) | 2015-12-18 | 2017-06-22 | The Broad Institute Inc. | Novel crispr enzymes and systems |
| WO2017184786A1 (en) | 2016-04-19 | 2017-10-26 | The Broad Institute Inc. | Cpf1 complexes with reduced indel activity |
| WO2017184768A1 (en) | 2016-04-19 | 2017-10-26 | The Broad Institute Inc. | Novel crispr enzymes and systems |
| WO2017189308A1 (en) | 2016-04-19 | 2017-11-02 | The Broad Institute Inc. | Novel crispr enzymes and systems |
| US9840479B2 (en) | 2014-07-02 | 2017-12-12 | Massachusetts Institute Of Technology | Polyamine-fatty acid derived lipidoids and uses thereof |
| WO2017219027A1 (en) | 2016-06-17 | 2017-12-21 | The Broad Institute Inc. | Type vi crispr orthologs and systems |
| US9850269B2 (en) | 2014-04-25 | 2017-12-26 | Translate Bio, Inc. | Methods for purification of messenger RNA |
| WO2018005873A1 (en) | 2016-06-29 | 2018-01-04 | The Broad Institute Inc. | Crispr-cas systems having destabilization domain |
| WO2018035387A1 (en) | 2016-08-17 | 2018-02-22 | The Broad Institute, Inc. | Novel crispr enzymes and systems |
| WO2018035388A1 (en) | 2016-08-17 | 2018-02-22 | The Broad Institute, Inc. | Novel crispr enzymes and systems |
| US9914754B2 (en) | 2008-12-05 | 2018-03-13 | Angiochem Inc. | Conjugates of neurotensin or neurotensin analogs and uses thereof |
| WO2018049025A2 (en) | 2016-09-07 | 2018-03-15 | The Broad Institute Inc. | Compositions and methods for evaluating and modulating immune responses |
| WO2018067991A1 (en) | 2016-10-07 | 2018-04-12 | The Brigham And Women's Hospital, Inc. | Modulation of novel immune checkpoint targets |
| US9957499B2 (en) | 2013-03-14 | 2018-05-01 | Translate Bio, Inc. | Methods for purification of messenger RNA |
| US10022455B2 (en) | 2014-05-30 | 2018-07-17 | Translate Bio, Inc. | Biodegradable lipids for delivery of nucleic acids |
| WO2018170333A1 (en) | 2017-03-15 | 2018-09-20 | The Broad Institute, Inc. | Novel cas13b orthologues crispr enzymes and systems |
| WO2018191388A1 (en) | 2017-04-12 | 2018-10-18 | The Broad Institute, Inc. | Novel type vi crispr orthologs and systems |
| US10138213B2 (en) | 2014-06-24 | 2018-11-27 | Translate Bio, Inc. | Stereochemically enriched compositions for delivery of nucleic acids |
| US10201618B2 (en) | 2015-06-19 | 2019-02-12 | Massachusetts Institute Of Technology | Alkenyl substituted 2,5-piperazinediones, compositions, and uses thereof |
| WO2019060746A1 (en) | 2017-09-21 | 2019-03-28 | The Broad Institute, Inc. | Systems, methods, and compositions for targeted nucleic acid editing |
| WO2019071054A1 (en) | 2017-10-04 | 2019-04-11 | The Broad Institute, Inc. | Methods and compositions for altering function and structure of chromatin loops and/or domains |
| WO2019094983A1 (en) | 2017-11-13 | 2019-05-16 | The Broad Institute, Inc. | Methods and compositions for treating cancer by targeting the clec2d-klrb1 pathway |
| US10323076B2 (en) | 2013-10-03 | 2019-06-18 | Modernatx, Inc. | Polynucleotides encoding low density lipoprotein receptor |
| WO2019126709A1 (en) | 2017-12-22 | 2019-06-27 | The Broad Institute, Inc. | Cas12b systems, methods, and compositions for targeted dna base editing |
| WO2020033601A1 (en) | 2018-08-07 | 2020-02-13 | The Broad Institute, Inc. | Novel cas12b enzymes and systems |
| WO2020041380A1 (en) | 2018-08-20 | 2020-02-27 | The Broad Institute, Inc. | Methods and compositions for optochemical control of crispr-cas9 |
| US10576166B2 (en) | 2009-12-01 | 2020-03-03 | Translate Bio, Inc. | Liver specific delivery of messenger RNA |
| EP3653229A1 (en) | 2013-12-12 | 2020-05-20 | The Broad Institute, Inc. | Delivery, use and therapeutic applications of the crispr-cas systems and compositions for genome editing |
| EP3686279A1 (en) | 2014-08-17 | 2020-07-29 | The Broad Institute, Inc. | Genome editing using cas9 nickases |
| WO2020191102A1 (en) | 2019-03-18 | 2020-09-24 | The Broad Institute, Inc. | Type vii crispr proteins and systems |
| US10815291B2 (en) | 2013-09-30 | 2020-10-27 | Modernatx, Inc. | Polynucleotides encoding immune modulating polypeptides |
| WO2020236972A2 (en) | 2019-05-20 | 2020-11-26 | The Broad Institute, Inc. | Non-class i multi-component nucleic acid targeting systems |
| WO2021055855A1 (en) | 2019-09-20 | 2021-03-25 | The Broad Institute, Inc. | Compositions and methods for delivering cargo to a target cell |
| US10968257B2 (en) | 2018-04-03 | 2021-04-06 | The Broad Institute, Inc. | Target recognition motifs and uses thereof |
| US10980892B2 (en) | 2015-06-15 | 2021-04-20 | Angiochem Inc. | Methods for the treatment of leptomeningeal carcinomatosis |
| US11001829B2 (en) | 2014-09-25 | 2021-05-11 | The Broad Institute, Inc. | Functional screening with optimized functional CRISPR-Cas systems |
| EP3825406A1 (en) | 2013-06-17 | 2021-05-26 | The Broad Institute Inc. | Delivery and use of the crispr-cas systems, vectors and compositions for hepatic targeting and therapy |
| US11174500B2 (en) | 2018-08-24 | 2021-11-16 | Translate Bio, Inc. | Methods for purification of messenger RNA |
| US11173190B2 (en) | 2017-05-16 | 2021-11-16 | Translate Bio, Inc. | Treatment of cystic fibrosis by delivery of codon-optimized mRNA encoding CFTR |
| US11214800B2 (en) | 2015-08-18 | 2022-01-04 | The Broad Institute, Inc. | Methods and compositions for altering function and structure of chromatin loops and/or domains |
| US11224642B2 (en) | 2013-10-22 | 2022-01-18 | Translate Bio, Inc. | MRNA therapy for argininosuccinate synthetase deficiency |
| US11253605B2 (en) | 2017-02-27 | 2022-02-22 | Translate Bio, Inc. | Codon-optimized CFTR MRNA |
| US11254936B2 (en) | 2012-06-08 | 2022-02-22 | Translate Bio, Inc. | Nuclease resistant polynucleotides and uses thereof |
| US11447527B2 (en) | 2018-09-18 | 2022-09-20 | Vnv Newco Inc. | Endogenous Gag-based capsids and uses thereof |
| US11547614B2 (en) | 2017-10-31 | 2023-01-10 | The Broad Institute, Inc. | Methods and compositions for studying cell evolution |
| US11591601B2 (en) | 2017-05-05 | 2023-02-28 | The Broad Institute, Inc. | Methods for identification and modification of lncRNA associated with target genotypes and phenotypes |
| EP4219699A1 (en) | 2013-12-12 | 2023-08-02 | The Broad Institute, Inc. | Engineering of systems, methods and optimized guide compositions with new architectures for sequence manipulation |
| US11744801B2 (en) | 2017-08-31 | 2023-09-05 | Modernatx, Inc. | Methods of making lipid nanoparticles |
| WO2023196818A1 (en) | 2022-04-04 | 2023-10-12 | The Regents Of The University Of California | Genetic complementation compositions and methods |
| US11786607B2 (en) | 2017-06-15 | 2023-10-17 | Modernatx, Inc. | RNA formulations |
| WO2024145281A1 (en) * | 2022-12-27 | 2024-07-04 | Massachusetts Institute Of Technology | Biodegradable lipids and formulations for intramuscular, in vitro, and ex vivo transfection of mrna |
| US12090235B2 (en) | 2018-09-20 | 2024-09-17 | Modernatx, Inc. | Preparation of lipid nanoparticles and methods of administration thereof |
| US12195505B2 (en) | 2018-11-21 | 2025-01-14 | Translate Bio, Inc. | Treatment of cystic fibrosis by delivery of nebulized mRNA encoding CFTR |
| US12215382B2 (en) | 2019-03-01 | 2025-02-04 | The General Hospital Corporation | Liver protective MARC variants and uses thereof |
| WO2025072383A1 (en) | 2023-09-25 | 2025-04-03 | The Broad Institute, Inc. | Viral open reading frames, uses thereof, and methods of detecting the same |
| WO2025097055A2 (en) | 2023-11-02 | 2025-05-08 | The Broad Institute, Inc. | Compositions and methods of use of t cells in immunotherapy |
| US12297426B2 (en) | 2019-10-01 | 2025-05-13 | The Broad Institute, Inc. | DNA damage response signature guided rational design of CRISPR-based systems and therapies |
| US12297436B2 (en) | 2017-05-18 | 2025-05-13 | The Broad Institute, Inc. | Systems, methods, and compositions for targeted nucleic acid editing |
| WO2025129158A1 (en) | 2023-12-15 | 2025-06-19 | The Broad Institute, Inc. | Engineered arc delivery vesicles and uses thereof |
| WO2025250808A1 (en) | 2024-05-29 | 2025-12-04 | The Brigham And Women’S Hospital, Inc. | Anti-crispr delivery compositions and methods |
| US12499971B2 (en) | 2016-09-28 | 2025-12-16 | The Broad Institute, Inc. | Systematic screening and mapping of regulatory elements in non-coding genomic regions, methods, compositions, and applications thereof |
| US12611442B2 (en) | 2020-09-17 | 2026-04-28 | Translate Bio, Inc. | mRNA encoding engineered CFTR |
Families Citing this family (16)
| Publication number | Priority date | Publication date | Assignee | Title |
|---|---|---|---|---|
| US9006487B2 (en) * | 2005-06-15 | 2015-04-14 | Massachusetts Institute Of Technology | Amine-containing lipids and uses thereof |
| WO2015191693A2 (en) | 2014-06-10 | 2015-12-17 | Massachusetts Institute Of Technology | Method for gene editing |
| WO2017112852A1 (en) * | 2015-12-23 | 2017-06-29 | Preceres Inc. | Modified polyethyleneimines and uses thereof |
| CN111448313A (en) | 2017-11-16 | 2020-07-24 | 阿斯利康(瑞典)有限公司 | Compositions and methods for improving the effectiveness of Cas9-based knock-in strategies |
| CA3111076A1 (en) | 2018-08-30 | 2020-03-05 | Tenaya Therapeutics, Inc. | Cardiac cell reprogramming with myocardin and ascl1 |
| EP3847251A1 (en) | 2018-09-07 | 2021-07-14 | Astrazeneca AB | Compositions and methods for improved nucleases |
| WO2021007515A1 (en) | 2019-07-11 | 2021-01-14 | Tenaya Therapeutics, Inc. | Cardiac cell reprogramming with micrornas and other factors |
| US20230103731A1 (en) | 2020-03-02 | 2023-04-06 | Tenaya Therapeutics, Inc. | Gene vector control by cardiomyocyte-expressed micrornas |
| CN115427566A (en) | 2020-04-08 | 2022-12-02 | 阿斯利康(瑞典)有限公司 | Compositions and methods for improved site-specific modification |
| JP2024513087A (en) | 2021-04-07 | 2024-03-21 | アストラゼネカ・アクチエボラーグ | Compositions and methods for site-specific modification |
| CN117396602A (en) | 2021-05-27 | 2024-01-12 | 阿斯利康(瑞典)有限公司 | CAS9 effector protein with enhanced stability |
| WO2023052508A2 (en) | 2021-09-30 | 2023-04-06 | Astrazeneca Ab | Use of inhibitors to increase efficiency of crispr/cas insertions |
| CN121127605A (en) | 2023-03-29 | 2025-12-12 | 阿斯利康(瑞典)有限公司 | Using inhibitors to improve the efficiency of CRISPR/Cas insertion. |
| WO2024220742A1 (en) * | 2023-04-20 | 2024-10-24 | Vasorx, Inc. | Conjugated polyethyleneimine compounds and compositions, and uses thereof for the treatment of atherosclerosis, cardiovascular, and lung disease |
| WO2025172421A1 (en) | 2024-02-14 | 2025-08-21 | Astrazeneca Ab | Compositions and methods for treatment of huntington's disease |
| EP4678742A1 (en) | 2024-07-10 | 2026-01-14 | Astrazeneca AB | Improved cas9 proteins |
Family Cites Families (336)
| Publication number | Priority date | Publication date | Assignee | Title |
|---|---|---|---|---|
| US2580922A (en) | 1942-09-19 | 1952-01-01 | Nat Aluminate Corp | Prevention of foaming in steam generation |
| US2759021A (en) | 1951-01-19 | 1956-08-14 | Armour & Co | Substituted trimethylene diamines |
| US2647121A (en) | 1951-02-02 | 1953-07-28 | Ruth P Jacoby | Diamine-bis-acetamides |
| US2819718A (en) | 1953-07-16 | 1958-01-14 | Isidore H Goldman | Drainage tube |
| US2717909A (en) | 1953-09-24 | 1955-09-13 | Monsanto Chemicals | Hydroxyethyl-keryl-alkylene-ammonium compounds |
| US2844629A (en) | 1956-04-25 | 1958-07-22 | American Home Prod | Fatty acid amides and derivatives thereof |
| GB866408A (en) | 1957-10-21 | 1961-04-26 | Arnold Hoffman & Co Inc | Quaternary ammonium salts |
| US3096560A (en) | 1958-11-21 | 1963-07-09 | William J Liebig | Process for synthetic vascular implants |
| US3170953A (en) | 1960-09-06 | 1965-02-23 | Dow Chemical Co | N-hydroxymaleamic acid |
| US3127372A (en) | 1960-10-05 | 1964-03-31 | Stabilization of polyolefevs | |
| DE1155118B (en) | 1961-12-30 | 1963-10-03 | Basf Ag | Process for the preparation of sulfonamides substituted on the nitrogen atom |
| US3268576A (en) | 1962-01-23 | 1966-08-23 | American Cyanamid Co | Di-alkanoic acid esters of 2, 2'-(ethylenedhino)-di-1-butanols |
| FR1378382A (en) | 1962-12-01 | 1964-11-13 | Sandoz Sa | Amides of amino-propionic acid, usable in particular for the treatment of textile fibers |
| GB1072118A (en) | 1962-12-01 | 1967-06-14 | Sandoz Ag | Amides of aminopropionic acid |
| BE642774A (en) | 1963-04-02 | 1964-07-22 | ||
| US3354209A (en) | 1964-02-19 | 1967-11-21 | Hercules Inc | Poly(dihydroxyalkyl) tertiary amines |
| US3350325A (en) | 1964-07-31 | 1967-10-31 | Dow Chemical Co | Water soluble polymer of diglycidyl ether and an alkanolamine |
| JPS5141663B1 (en) | 1966-03-12 | 1976-11-11 | ||
| US3682980A (en) | 1966-10-31 | 1972-08-08 | Mobil Oil Corp | Aminobenzoquinones and aminonaphthoquinones as additives for imparting oxidative stability to organic compositions |
| JPS4822365B1 (en) | 1968-10-25 | 1973-07-05 | ||
| US3542581A (en) | 1968-11-05 | 1970-11-24 | Eastman Kodak Co | Method of de-aggregating oxonol dye-containing gelatin layers |
| NL143127B (en) | 1969-02-04 | 1974-09-16 | Rhone Poulenc Sa | REINFORCEMENT DEVICE FOR A DEFECTIVE HEART VALVE. |
| US3614954A (en) | 1970-02-09 | 1971-10-26 | Medtronic Inc | Electronic standby defibrillator |
| US3614955A (en) | 1970-02-09 | 1971-10-26 | Medtronic Inc | Standby defibrillator and method of operation |
| GB1361627A (en) | 1970-08-04 | 1974-07-30 | Marumo H | Detergent composition |
| US4258061A (en) | 1970-08-07 | 1981-03-24 | Pfizer Inc. | Interferon induction in animals by amines |
| JPS5012146Y2 (en) | 1971-07-27 | 1975-04-15 | ||
| US3964861A (en) | 1971-12-23 | 1976-06-22 | Allied Chemical Corporation | Alkoxylated aliphatic amines to inhibit ozone fading of dyed polyamides |
| JPS5122416B2 (en) | 1972-11-11 | 1976-07-09 | ||
| US3945052A (en) | 1972-05-01 | 1976-03-23 | Meadox Medicals, Inc. | Synthetic vascular graft and method for manufacturing the same |
| US3805301A (en) | 1972-07-28 | 1974-04-23 | Meadox Medicals Inc | Tubular grafts having indicia thereon |
| US4022833A (en) | 1973-02-14 | 1977-05-10 | Sterling Drug Inc. | N,N'-bridged-bis[2-alkyl-2-hydroxyethylamines] |
| GB1377449A (en) | 1973-04-02 | 1974-12-18 | Sterling Drug Inc | N,n-bridged-bis-2-alkyl-2-hydroxy ethylamine compounds |
| JPS49127908A (en) | 1973-04-20 | 1974-12-07 | ||
| JPS5624664B2 (en) | 1973-06-28 | 1981-06-08 | ||
| US4013507A (en) | 1973-09-18 | 1977-03-22 | California Institute Of Technology | Ionene polymers for selectively inhibiting the vitro growth of malignant cells |
| JPS5123537A (en) | 1974-04-26 | 1976-02-25 | Adeka Argus Chemical Co Ltd | KASOZAISOSEIBUTSU |
| GB1527592A (en) | 1974-08-05 | 1978-10-04 | Ici Ltd | Wound dressing |
| JPS5120639A (en) | 1974-08-14 | 1976-02-19 | Seiko Instr & Electronics | Ekishohyojisochino kudoseigyokairo |
| US3956502A (en) | 1974-09-04 | 1976-05-11 | Nalco Chemical Company | Polyamine alcohols as microbiocides |
| US3995623A (en) | 1974-12-23 | 1976-12-07 | American Hospital Supply Corporation | Multipurpose flow-directed catheter |
| JPS5813576B2 (en) | 1974-12-27 | 1983-03-14 | アデカ ア−ガスカガク カブシキガイシヤ | Stabilized synthetic polymer composition |
| DE2520814A1 (en) | 1975-05-09 | 1976-11-18 | Bayer Ag | Light stabilisation of polyurethanes - using polymeric tert. amines from aliphatic diamines and (meth)acrylic esters or amides |
| US4281669A (en) | 1975-05-09 | 1981-08-04 | Macgregor David C | Pacemaker electrode with porous system |
| DE2530243C2 (en) | 1975-07-07 | 1985-03-07 | Henkel KGaA, 4000 Düsseldorf | Use of N-substituted aminoalkanols as antimicrobial agents |
| JPS5210847A (en) | 1975-07-16 | 1977-01-27 | Nippon Steel Corp | Pinch roll |
| US4096860A (en) | 1975-10-08 | 1978-06-27 | Mclaughlin William F | Dual flow encatheter |
| JPS5278924A (en) | 1975-12-26 | 1977-07-02 | Hodogaya Chem Co Ltd | Solubilization of dye in hydrocarbon solvent |
| JPS5282910A (en) | 1975-12-30 | 1977-07-11 | Kimio Kawakita | Detergent composition |
| CA1069652A (en) | 1976-01-09 | 1980-01-15 | Alain F. Carpentier | Supported bioprosthetic heart valve with compliant orifice ring |
| US4134402A (en) | 1976-02-11 | 1979-01-16 | Mahurkar Sakharam D | Double lumen hemodialysis catheter |
| US4072146A (en) | 1976-09-08 | 1978-02-07 | Howes Randolph M | Venous catheter device |
| US4335723A (en) | 1976-11-26 | 1982-06-22 | The Kendall Company | Catheter having inflatable retention means |
| US4099528A (en) | 1977-02-17 | 1978-07-11 | Sorenson Research Co., Inc. | Double lumen cannula |
| US4140126A (en) | 1977-02-18 | 1979-02-20 | Choudhury M Hasan | Method for performing aneurysm repair |
| US4265745A (en) | 1977-05-25 | 1981-05-05 | Teijin Limited | Permselective membrane |
| US4182833A (en) | 1977-12-07 | 1980-01-08 | Celanese Polymer Specialties Company | Cationic epoxide-amine reaction products |
| US4180068A (en) | 1978-04-13 | 1979-12-25 | Motion Control, Incorporated | Bi-directional flow catheter with retractable trocar/valve structure |
| EP0005035B1 (en) | 1978-04-19 | 1981-09-23 | Imperial Chemical Industries Plc | A method of preparing a tubular product by electrostatic spinning |
| US4284459A (en) | 1978-07-03 | 1981-08-18 | The Kendall Company | Method for making a molded catheter |
| US4227533A (en) | 1978-11-03 | 1980-10-14 | Bristol-Myers Company | Flushable urinary catheter |
| DE2903979A1 (en) | 1979-02-02 | 1980-08-07 | Henkel Kgaa | Hydroxy-carboxylic acid amide derivs. - prepd. by acylating hydroxyalkyl alkylene di:amine and used as greying inhibitors in detergent compsns. |
| US4375817A (en) | 1979-07-19 | 1983-03-08 | Medtronic, Inc. | Implantable cardioverter |
| JPS5682859A (en) | 1979-12-11 | 1981-07-06 | Sakura Color Prod Corp | Ink composition |
| DE3010841A1 (en) | 1980-03-21 | 1981-10-08 | Ulrich Dr.med. 6936 Haag Uthmann | CATHEDER |
| US4308085A (en) | 1980-07-28 | 1981-12-29 | Jenoptik Jena Gmbh | Process for the preparation of high molecular thermoplastic epoxide-amine-polyadducts |
| JPS5774371A (en) | 1980-10-27 | 1982-05-10 | Nippon Paint Co Ltd | Improver for adhesion between coating film layers and paint composition containing the same |
| US4339369A (en) | 1981-04-23 | 1982-07-13 | Celanese Corporation | Cationic epoxide-amine reaction products |
| US4406656A (en) | 1981-06-01 | 1983-09-27 | Brack Gillium Hattler | Venous catheter having collapsible multi-lumens |
| JPS588770A (en) | 1981-07-09 | 1983-01-18 | Sakura Color Prod Corp | Ink composition for jet printing |
| US4475972A (en) | 1981-10-01 | 1984-10-09 | Ontario Research Foundation | Implantable material |
| DE3143726C2 (en) | 1981-11-04 | 1987-02-05 | Degussa Ag, 6000 Frankfurt | Optically active proline derivatives, processes for their preparation and their use |
| US4401472A (en) | 1982-02-26 | 1983-08-30 | Martin Marietta Corporation | Hydraulic cement mixes and processes for improving hydraulic cement mixes |
| US4568329A (en) | 1982-03-08 | 1986-02-04 | Mahurkar Sakharam D | Double lumen catheter |
| US5201998A (en) | 1982-05-28 | 1993-04-13 | Ciba-Geigy Corporation | Process for sizing paper with anionic hydrophobic sizing agents and cationic retention aids |
| US4546499A (en) | 1982-12-13 | 1985-10-15 | Possis Medical, Inc. | Method of supplying blood to blood receiving vessels |
| US4507466A (en) | 1983-01-07 | 1985-03-26 | The Dow Chemical Corporation | Dense star polymers having core, core branches, terminal groups |
| US4530113A (en) | 1983-05-20 | 1985-07-23 | Intervascular, Inc. | Vascular grafts with cross-weave patterns |
| US4647416A (en) | 1983-08-03 | 1987-03-03 | Shiley Incorporated | Method of preparing a vascular graft prosthesis |
| US4550447A (en) | 1983-08-03 | 1985-11-05 | Shiley Incorporated | Vascular graft prosthesis |
| US5104399A (en) | 1986-12-10 | 1992-04-14 | Endovascular Technologies, Inc. | Artificial graft and implantation method |
| US4710169A (en) | 1983-12-16 | 1987-12-01 | Christopher T Graham | Urinary catheter with collapsible urethral tube |
| US4571241A (en) | 1983-12-16 | 1986-02-18 | Christopher T Graham | Urinary catheter with collapsible urethral tube |
| US5197977A (en) | 1984-01-30 | 1993-03-30 | Meadox Medicals, Inc. | Drug delivery collagen-impregnated synthetic vascular graft |
| US4737518A (en) | 1984-04-03 | 1988-04-12 | Takeda Chemical Industries, Ltd. | Lipid derivatives, their production and use |
| US4562596A (en) | 1984-04-25 | 1986-01-07 | Elliot Kornberg | Aortic graft, device and method for performing an intraluminal abdominal aortic aneurysm repair |
| US4782836A (en) | 1984-05-24 | 1988-11-08 | Intermedics, Inc. | Rate adaptive cardiac pacemaker responsive to patient activity and temperature |
| GB8413911D0 (en) | 1984-05-31 | 1984-07-04 | British Petroleum Co Plc | Encapsulating organic material |
| US4897355A (en) | 1985-01-07 | 1990-01-30 | Syntex (U.S.A.) Inc. | N[ω,(ω-1)-dialkyloxy]- and N-[ω,(ω-1)-dialkenyloxy]-alk-1-yl-N,N,N-tetrasubstituted ammonium lipids and uses therefor |
| US4662382A (en) | 1985-01-16 | 1987-05-05 | Intermedics, Inc. | Pacemaker lead with enhanced sensitivity |
| US4762915A (en) | 1985-01-18 | 1988-08-09 | Liposome Technology, Inc. | Protein-liposome conjugates |
| US4860751A (en) | 1985-02-04 | 1989-08-29 | Cordis Corporation | Activity sensor for pacemaker control |
| CA1320724C (en) | 1985-07-19 | 1993-07-27 | Koichi Kanehira | Terpene amino alcohols and medicinal uses thereof |
| ATE77806T1 (en) | 1985-08-05 | 1992-07-15 | Miyoshi Yushi Kk | PROCESSES FOR THE DEPOSITION OF METALS. |
| US4701162A (en) | 1985-09-24 | 1987-10-20 | The Kendall Company | Foley catheter assembly |
| EP0233140B1 (en) | 1986-01-10 | 1989-11-08 | Ciba-Geigy Ag | Lubricant additives containing sulphur and nitrogen |
| DE3616824A1 (en) | 1986-05-17 | 1987-11-19 | Schering Ag | USE OF CURABLE RESIN MIXTURES FOR SURFACE COATINGS AND PRINTING INKS AND METHOD FOR THE PRODUCTION THEREOF |
| EP0255899B1 (en) | 1986-07-31 | 1992-07-15 | Werner Prof. Dr.-Ing. Irnich | Rate adaptive pacemaker |
| JPH07115545B2 (en) | 1986-08-05 | 1995-12-13 | 株式会社リコー | Reversible thermosensitive recording material |
| US4778825A (en) | 1986-08-29 | 1988-10-18 | The University Of Akron | Macrophage stimulation by quadrol |
| US4960409A (en) | 1986-09-11 | 1990-10-02 | Catalano Marc L | Method of using bilumen peripheral venous catheter with adapter |
| JPH0829776B2 (en) | 1986-10-29 | 1996-03-27 | 東燃化学株式会社 | Synthetic resin container and mold for manufacturing the same |
| US4720517A (en) | 1986-11-24 | 1988-01-19 | Ciba-Geigy Corporation | Compositions stabilized with N-hydroxyiminodiacetic and dipropionic acids and esters thereof |
| US4873370A (en) | 1987-03-03 | 1989-10-10 | Pennzoil Products Company | Alkylene diamines for use in friction and wear reducing compositions |
| US4782105A (en) | 1987-04-10 | 1988-11-01 | Ciba-Geigy Corporation | Long chain N,N,-dialkylhydroxylamines and stabilized compositions |
| JPH0832856B2 (en) | 1987-05-15 | 1996-03-29 | 日本ペイント株式会社 | Paint composition |
| JPH0199679A (en) | 1987-10-09 | 1989-04-18 | Miyoshi Oil & Fat Co Ltd | Method for fixing heavy metals in soil or solid waste |
| US5138067A (en) | 1987-12-17 | 1992-08-11 | Shionogi & Co. Ltd. | Lipid derivatives |
| US5047540A (en) | 1987-12-17 | 1991-09-10 | Shionogi & Co., Ltd. | Lipid derivatives |
| US4892540A (en) | 1988-04-21 | 1990-01-09 | Sorin Biomedica S.P.A. | Two-leaflet prosthetic heart valve |
| US5176661A (en) | 1988-09-06 | 1993-01-05 | Advanced Cardiovascular Systems, Inc. | Composite vascular catheter |
| US5024671A (en) | 1988-09-19 | 1991-06-18 | Baxter International Inc. | Microporous vascular graft |
| WO1990003399A1 (en) | 1988-09-30 | 1990-04-05 | Australian Commercial Research & Development Limited | Amino acid transport proteins, amino acid analogues, assay apparatus, uses thereof for treatment and diagnosis of cancer |
| US5200395A (en) | 1988-10-18 | 1993-04-06 | Ajinomoto Company, Inc. | Pharmaceutical composition of BUF-5 for treating anemia |
| CA2001401A1 (en) | 1988-10-25 | 1990-04-25 | Claude Piantadosi | Quaternary amine containing ether or ester lipid derivatives and therapeutic compositions |
| US5141749A (en) | 1988-12-05 | 1992-08-25 | Eastman Kodak Company | Tetraamides and method for improving feed utilization |
| ZA899436B (en) | 1988-12-12 | 1990-08-29 | Ciba Geigy | Piperidine derivatives |
| FR2645866B1 (en) | 1989-04-17 | 1991-07-05 | Centre Nat Rech Scient | NEW LIPOPOLYAMINES, THEIR PREPARATION AND THEIR USE |
| US5122616A (en) | 1989-09-11 | 1992-06-16 | Ethyl Petroleum Additives, Inc. | Succinimides |
| US5101824A (en) | 1990-04-16 | 1992-04-07 | Siemens-Pacesetter, Inc. | Rate-responsive pacemaker with circuitry for processing multiple sensor inputs |
| JPH04225954A (en) | 1990-05-02 | 1992-08-14 | Yoshitomi Pharmaceut Ind Ltd | Amide compound, its pharmaceutical use and new 1-substituted pyrrolidinemethylamines |
| WO1992001425A1 (en) | 1990-07-26 | 1992-02-06 | Rodney James Lane | Self expanding vascular endoprosthesis for aneurysms |
| US5693338A (en) | 1994-09-29 | 1997-12-02 | Emisphere Technologies, Inc. | Diketopiperazine-based delivery systems |
| US6331318B1 (en) | 1994-09-30 | 2001-12-18 | Emisphere Technologies Inc. | Carbon-substituted diketopiperazine delivery systems |
| JPH0765267B2 (en) | 1990-08-22 | 1995-07-12 | 花王株式会社 | Softening agent |
| DE9117152U1 (en) | 1990-10-09 | 1996-07-11 | Cook Inc., Bloomington, Ind. | Stent |
| ATE120971T1 (en) | 1990-12-19 | 1995-04-15 | Osypka Peter | PACEMAKER LEAD WITH AN INNER CHANNEL AND WITH AN ELECTRODE HEAD. |
| US5116360A (en) | 1990-12-27 | 1992-05-26 | Corvita Corporation | Mesh composite graft |
| US5405363A (en) | 1991-03-15 | 1995-04-11 | Angelon Corporation | Implantable cardioverter defibrillator having a smaller displacement volume |
| JPH04364112A (en) | 1991-06-11 | 1992-12-16 | Mitsubishi Petrochem Co Ltd | Aqueous liquid detergent composition |
| US5330768A (en) | 1991-07-05 | 1994-07-19 | Massachusetts Institute Of Technology | Controlled drug delivery using polymer/pluronic blends |
| US5545449A (en) | 1991-10-02 | 1996-08-13 | Weyerhaeuser Company | Polyether-reinforced fiber-based materials |
| US5151105A (en) | 1991-10-07 | 1992-09-29 | Kwan Gett Clifford | Collapsible vessel sleeve implant |
| JP2684276B2 (en) | 1991-11-27 | 1997-12-03 | 富士写真フイルム株式会社 | Silver halide color photographic materials |
| US5284491A (en) | 1992-02-27 | 1994-02-08 | Medtronic, Inc. | Cardiac pacemaker with hysteresis behavior |
| US5352461A (en) | 1992-03-11 | 1994-10-04 | Pharmaceutical Discovery Corporation | Self assembling diketopiperazine drug delivery system |
| SE9200951D0 (en) | 1992-03-27 | 1992-03-27 | Kabi Pharmacia Ab | PHARMACEUTICAL COMPOSITION CONTAINING A DEFINED LIPID SYSTEM |
| DE4218744C2 (en) * | 1992-06-04 | 1997-11-06 | Schering Ag | Process for the preparation of N-β-hydroxyalkyl-tri-N-carboxylalkyl-1,4,7,10-tetraazacyclododecane and N-β-hydroxyalkyl-tri-N-carboxyalkyl-1,4,8,11-tetraazacyclotetradecane derivatives and their metal complexes |
| EP0657534A4 (en) | 1992-08-04 | 1997-06-04 | Green Cross Corp | ANTIALLERGIC AGENT. |
| US5334761A (en) | 1992-08-28 | 1994-08-02 | Life Technologies, Inc. | Cationic lipids |
| US5380778A (en) | 1992-09-30 | 1995-01-10 | Minnesota Mining And Manufacturing Company | Fluorochemical aminoalcohols |
| US5461223A (en) | 1992-10-09 | 1995-10-24 | Eastman Kodak Company | Bar code detecting circuitry |
| JPH06211978A (en) | 1992-10-28 | 1994-08-02 | Takeda Chem Ind Ltd | New polyether polyol and production of polyurethane foam therefrom |
| US5300022A (en) | 1992-11-12 | 1994-04-05 | Martin Klapper | Urinary catheter and bladder irrigation system |
| US5496362A (en) | 1992-11-24 | 1996-03-05 | Cardiac Pacemakers, Inc. | Implantable conformal coil patch electrode with multiple conductive elements for cardioversion and defibrillation |
| US5716395A (en) | 1992-12-11 | 1998-02-10 | W.L. Gore & Associates, Inc. | Prosthetic vascular graft |
| US6020317A (en) | 1993-02-19 | 2000-02-01 | Nippon Shinyaku Co. Ltd. | Glycerol derivative, device and pharmaceutical composition |
| US5395619A (en) | 1993-03-03 | 1995-03-07 | Liposome Technology, Inc. | Lipid-polymer conjugates and liposomes |
| US5697953A (en) | 1993-03-13 | 1997-12-16 | Angeion Corporation | Implantable cardioverter defibrillator having a smaller displacement volume |
| FR2703055B1 (en) | 1993-03-22 | 1995-07-07 | Guerbet Sa | New polyiodinated compounds, their preparation and their use as contrast agents for radiology. |
| US5624976A (en) | 1994-03-25 | 1997-04-29 | Dentsply Gmbh | Dental filling composition and method |
| US5314430A (en) | 1993-06-24 | 1994-05-24 | Medtronic, Inc. | Atrial defibrillator employing transvenous and subcutaneous electrodes and method of use |
| FR2707289B1 (en) | 1993-07-06 | 1995-08-11 | Chemoxal Sa | Process for the preparation of a hydroxylated compound of secondary or tertiary amine. |
| DE4325848A1 (en) | 1993-07-31 | 1995-02-02 | Basf Ag | Process for the preparation of N- (2-hydroxyethyl) piperazine |
| EP0647462A1 (en) | 1993-10-06 | 1995-04-12 | The Kansai Electric Power Co., Inc. | Method for removing carbon dioxide from combustion exhaust gas |
| US5585391A (en) | 1993-10-08 | 1996-12-17 | Fhj Scientific, Inc. | Hydroxyl ions as unique therapeutic agents and compounds that modulate these ions, compositions employing these agents, therapeutic methods for using such agents and processes for preparing them |
| US5609624A (en) | 1993-10-08 | 1997-03-11 | Impra, Inc. | Reinforced vascular graft and method of making same |
| SE9303481L (en) | 1993-10-22 | 1995-04-23 | Berol Nobel Ab | hygiene composition |
| WO1995013033A1 (en) | 1993-11-08 | 1995-05-18 | Lazarus Harrison M | Intraluminal vascular graft and method |
| NZ277614A (en) | 1993-11-24 | 1998-05-27 | Megabios Corp | Piperazine-containing amphiphiles and their use in liposomes for delivering genetic material intracellularly |
| US5464924A (en) | 1994-01-07 | 1995-11-07 | The Dow Chemical Company | Flexible poly(amino ethers) for barrier packaging |
| FR2714830B1 (en) | 1994-01-10 | 1996-03-22 | Rhone Poulenc Rorer Sa | Composition containing nucleic acids, preparation and uses. |
| US5840576A (en) | 1994-07-20 | 1998-11-24 | Cytotherapeutics, Inc. | Methods and compositions of growth control for cells encapsulated within bioartificial organs |
| US5885613A (en) | 1994-09-30 | 1999-03-23 | The University Of British Columbia | Bilayer stabilizing components and their use in forming programmable fusogenic liposomes |
| GB9524630D0 (en) | 1994-12-24 | 1996-01-31 | Zeneca Ltd | Chemical compounds |
| FR2730637B1 (en) | 1995-02-17 | 1997-03-28 | Rhone Poulenc Rorer Sa | PHARMACEUTICAL COMPOSITION CONTAINING NUCLEIC ACIDS, AND USES THEREOF |
| US5830430A (en) | 1995-02-21 | 1998-11-03 | Imarx Pharmaceutical Corp. | Cationic lipids and the use thereof |
| EP0822835A1 (en) | 1995-04-17 | 1998-02-11 | Imarx Pharmaceutical Corp. | Hybrid magnetic resonance contrast agents |
| US6428771B1 (en) | 1995-05-15 | 2002-08-06 | Pharmaceutical Discovery Corporation | Method for drug delivery to the pulmonary system |
| US5772694A (en) | 1995-05-16 | 1998-06-30 | Medical Carbon Research Institute L.L.C. | Prosthetic heart valve with improved blood flow |
| US5679852A (en) | 1995-06-02 | 1997-10-21 | Schering Aktiengesellschaft | Process for the production of DTPA-monoamides of the central carboxylic acid and their use as pharmaceutical agents |
| US5609629A (en) | 1995-06-07 | 1997-03-11 | Med Institute, Inc. | Coated implantable medical device |
| US5607385A (en) | 1995-08-17 | 1997-03-04 | Medtronic, Inc. | Device and algorithm for a combined cardiomyostimulator and a cardiac pacer-carioverter-defibrillator |
| US5728844A (en) * | 1995-08-29 | 1998-03-17 | Celgene Corporation | Immunotherapeutic agents |
| JPH0995691A (en) | 1995-09-28 | 1997-04-08 | Sony Corp | Lubricant and magnetic recording medium using the same |
| FR2740978B1 (en) | 1995-11-10 | 1998-01-02 | Ela Medical Sa | IMPLANTABLE DEFIBRILLATOR / CARDIOVERVER ACTIVE MEDICAL DEVICE |
| DE19541788A1 (en) | 1995-11-09 | 1997-05-15 | Max Planck Gesellschaft | New fluoroalkyl-(poly)hydroxy hydrocarbon(s) with e.g. amino groups |
| FR2741066B1 (en) | 1995-11-14 | 1997-12-12 | Rhone Poulenc Rorer Sa | NEW TRANSFECTION AGENTS AND THEIR PHARMACEUTICAL APPLICATIONS |
| US6344436B1 (en) | 1996-01-08 | 2002-02-05 | Baylor College Of Medicine | Lipophilic peptides for macromolecule delivery |
| US5874105A (en) | 1996-01-31 | 1999-02-23 | Collaborative Laboratories, Inc. | Lipid vesicles formed with alkylammonium fatty acid salts |
| NL1003008C2 (en) | 1996-05-03 | 1997-11-06 | Dsm Nv | Cyclopentadiene compound substituted with a heteroatom-containing group. |
| US5913848A (en) | 1996-06-06 | 1999-06-22 | Luther Medical Products, Inc. | Hard tip over-the-needle catheter and method of manufacturing the same |
| US5736573A (en) | 1996-07-31 | 1998-04-07 | Galat; Alexander | Lipid and water soluble derivatives of drugs |
| JPH1099679A (en) | 1996-09-30 | 1998-04-21 | Kobe Steel Ltd | Deodorant for basic gas |
| TW520297B (en) | 1996-10-11 | 2003-02-11 | Sequus Pharm Inc | Fusogenic liposome composition and method |
| US6887665B2 (en) | 1996-11-14 | 2005-05-03 | Affymetrix, Inc. | Methods of array synthesis |
| US6204297B1 (en) | 1996-11-26 | 2001-03-20 | Rhodia Inc. | Nonionic gemini surfactants |
| JPH10197978A (en) | 1997-01-09 | 1998-07-31 | Mitsubishi Paper Mills Ltd | Silver halide photographic material |
| FR2760193B1 (en) | 1997-02-28 | 1999-05-28 | Transgene Sa | LIPIDS AND COMPLEXES OF CATIONIC LIPIDS AND ACTIVE SUBSTANCES, IN PARTICULAR FOR THE TRANSFECTION OF CELLS |
| US5837283A (en) | 1997-03-12 | 1998-11-17 | The Regents Of The University Of California | Cationic lipid compositions targeting angiogenic endothelial cells |
| US5958894A (en) | 1997-04-04 | 1999-09-28 | Megabios Corporation | Amphiphilic biguanide derivatives |
| WO1998050078A1 (en) | 1997-05-02 | 1998-11-12 | Genemedicine, Inc. | Lipophilic and/or lytic peptides for specific delivery of nucleic acids to cells |
| JPH115786A (en) | 1997-06-13 | 1999-01-12 | Pola Chem Ind Inc | New aminohydroxypropyl piperazine derivatives |
| JPH11241095A (en) | 1997-08-04 | 1999-09-07 | Ajinomoto Co Inc | Hair cosmetic composition |
| US6067471A (en) | 1998-08-07 | 2000-05-23 | Cardiac Pacemakers, Inc. | Atrial and ventricular implantable cardioverter-defibrillator and lead system |
| JPH1180142A (en) | 1997-09-05 | 1999-03-26 | Pola Chem Ind Inc | Method for producing diphenylalkyl compound |
| AU730364B2 (en) | 1997-09-23 | 2001-03-08 | Bristol-Myers Squibb Company | Selective cPLA2 inhibitors |
| US6673192B1 (en) | 1997-09-25 | 2004-01-06 | Loctite Corporation | Multi-amine compound primers for bonding of polyolefins with cyanoacrylate adhesives |
| US6096075A (en) | 1998-01-22 | 2000-08-01 | Medical Carbon Research Institute, Llc | Prosthetic heart valve |
| FR2774092B1 (en) * | 1998-01-26 | 2000-02-18 | Air Liquide | PROCESS FOR THE PREPARATION OF GRAFT POLYAZACYCLOALCANES ON SILICA GEL AND USE OF THE GRAFT COMPOUNDS |
| US6013429A (en) | 1998-02-27 | 2000-01-11 | Eastman Kodak Company | Photographic element with new singlet oxygen quenchers |
| US6271209B1 (en) | 1998-04-03 | 2001-08-07 | Valentis, Inc. | Cationic lipid formulation delivering nucleic acid to peritoneal tumors |
| US6176877B1 (en) | 1998-04-20 | 2001-01-23 | St. Jude Medical, Inc. | Two piece prosthetic heart valve |
| DE19822602A1 (en) | 1998-05-20 | 1999-11-25 | Goldschmidt Ag Th | Process for the preparation of polyamino acid esters by esterification of acidic polyamino acids or transesterification of polyamino acid esters |
| NO313244B1 (en) | 1998-07-08 | 2002-09-02 | Crew Dev Corp | Process for the isolation and production of magnesite or magnesium chloride |
| US6055454A (en) | 1998-07-27 | 2000-04-25 | Cardiac Pacemakers, Inc. | Cardiac pacemaker with automatic response optimization of a physiologic sensor based on a second sensor |
| CA2340652C (en) | 1998-08-20 | 2013-09-24 | Cook Incorporated | Coated implantable medical device comprising paclitaxel |
| IL126565A0 (en) * | 1998-10-14 | 1999-08-17 | Epox Ltd | Highly branched oligomers process for their preparation and applications thereof |
| ES2237202T3 (en) | 1998-11-30 | 2005-07-16 | Flamel Technologies | IMPROVEMENT OF THE BIOLOGICAL EFFECTIVENESS OF CHEMICAL SUBSTANCES EXOGENATED IN THE VEGETABLES. |
| DE19911509A1 (en) | 1999-03-15 | 2000-09-21 | Boehringer Ingelheim Pharma | Bicyclic heterocycles, medicaments containing these compounds, their use and processes for their preparation |
| US6169923B1 (en) | 1999-04-23 | 2001-01-02 | Pacesetter, Inc. | Implantable cardioverter-defibrillator with automatic arrhythmia detection criteria adjustment |
| US6696424B1 (en) | 1999-05-28 | 2004-02-24 | Vical Incorporated | Cytofectin dimers and methods of use thereof |
| US6398808B1 (en) | 1999-06-15 | 2002-06-04 | Scimed Life Systems, Inc. | Localized delivery of genetic information from biostable materials |
| ES2569916T3 (en) | 1999-06-29 | 2016-05-13 | Mannkind Corporation | Pharmaceutical formulations comprising insulin complexed with a diketopiperazine |
| DE19937721A1 (en) | 1999-08-10 | 2001-02-15 | Max Planck Gesellschaft | New diketopiperazines |
| CZ20021029A3 (en) | 1999-08-27 | 2002-08-14 | Inex Pharmaceuticals Corp. | Composition and use thereof for stimulation of cytokine stimulation and induction of immune response |
| US6358278B1 (en) | 1999-09-24 | 2002-03-19 | St. Jude Medical, Inc. | Heart valve prosthesis with rotatable cuff |
| US6371983B1 (en) | 1999-10-04 | 2002-04-16 | Ernest Lane | Bioprosthetic heart valve |
| JP2001131449A (en) | 1999-11-01 | 2001-05-15 | Matsushita Electric Ind Co Ltd | Inkjet recording ink |
| CN101041079A (en) | 1999-12-30 | 2007-09-26 | 诺瓦提斯公司 | Novel colloid synthetic vectors for gene therapy |
| US6370434B1 (en) | 2000-02-28 | 2002-04-09 | Cardiac Pacemakers, Inc. | Cardiac lead and method for lead implantation |
| US6565960B2 (en) | 2000-06-01 | 2003-05-20 | Shriners Hospital Of Children | Polymer composite compositions |
| IL138474A0 (en) | 2000-09-14 | 2001-10-31 | Epox Ltd | Highly branched water-soluble polyamine oligomers, process for their preparation and applications thereof |
| US7427394B2 (en) | 2000-10-10 | 2008-09-23 | Massachusetts Institute Of Technology | Biodegradable poly(β-amino esters) and uses thereof |
| USRE43612E1 (en) | 2000-10-10 | 2012-08-28 | Massachusetts Institute Of Technology | Biodegradable poly(β-amino esters) and uses thereof |
| US6998115B2 (en) | 2000-10-10 | 2006-02-14 | Massachusetts Institute Of Technology | Biodegradable poly(β-amino esters) and uses thereof |
| US7776315B2 (en) | 2000-10-31 | 2010-08-17 | Boehringer Ingelheim Pharma Gmbh & Co. Kg | Pharmaceutical compositions based on anticholinergics and additional active ingredients |
| US20020094528A1 (en) | 2000-11-29 | 2002-07-18 | Salafsky Joshua S. | Method and apparatus using a surface-selective nonlinear optical technique for detection of probe-target interations |
| JP2002167368A (en) | 2000-12-01 | 2002-06-11 | Nitto Denko Corp | Alkyl-substituted dendrimer and method for producing the same |
| US20020192721A1 (en) | 2001-03-28 | 2002-12-19 | Engeneos, Inc. | Modular molecular clasps and uses thereof |
| US7084303B2 (en) | 2001-04-23 | 2006-08-01 | Shin-Etsu Chemical Co., Ltd. | Tertiary amine compounds having an ester structure and processes for preparing same |
| FR2825370A1 (en) | 2001-05-31 | 2002-12-06 | Inst Nat Sante Rech Med | KERATINOCYTES OBTAINED FROM MAMMALIAN EMBRYONIC STEM CELLS |
| US6656977B2 (en) | 2001-07-20 | 2003-12-02 | Air Products And Chemical, Inc. | Alkyl glycidyl ether-capped polyamine foam control agents |
| US7101995B2 (en) | 2001-08-27 | 2006-09-05 | Mirus Bio Corporation | Compositions and processes using siRNA, amphipathic compounds and polycations |
| AU2002326948A1 (en) | 2001-09-18 | 2003-04-01 | Bristol-Myers Squibb Company | Piperizinones as modulators of chemokine receptor activity |
| EP2390331B1 (en) | 2001-09-28 | 2018-04-25 | Max-Planck-Gesellschaft zur Förderung der Wissenschaften e.V. | MicroRNA molecules |
| WO2003040288A2 (en) | 2001-11-09 | 2003-05-15 | Bayer Healthcare Ag | Isotopically coded affinity markers 3 |
| DE10207178A1 (en) | 2002-02-19 | 2003-09-04 | Novosom Ag | Components for the production of amphoteric liposomes |
| JP4020247B2 (en) | 2002-04-11 | 2007-12-12 | 財団法人理工学振興会 | Polymer graft substrate manufacturing method |
| US20030215395A1 (en) | 2002-05-14 | 2003-11-20 | Lei Yu | Controllably degradable polymeric biomolecule or drug carrier and method of synthesizing said carrier |
| US7601367B2 (en) | 2002-05-28 | 2009-10-13 | Mirus Bio Llc | Compositions and processes using siRNA, amphipathic compounds and polycations |
| US20040028804A1 (en) | 2002-08-07 | 2004-02-12 | Anderson Daniel G. | Production of polymeric microarrays |
| WO2004018654A2 (en) | 2002-08-22 | 2004-03-04 | Celltran Limited | Cell culture surface |
| ATE393813T1 (en) | 2002-09-12 | 2008-05-15 | Procter & Gamble | POLYMER SYSTEMS AND CLEANING OR DETERGENT COMPOSITIONS CONTAINING SAME |
| CN100457804C (en) | 2002-11-04 | 2009-02-04 | Ge拜尔硅股份有限公司 | Linear polyamino- and/or polyammonium polysiloxane copolymer I |
| CA2506843A1 (en) | 2002-11-22 | 2004-06-10 | Novo-Nordisk A/S | 2,5-diketopiperazines for the treatment of obesity |
| US6998508B2 (en) | 2003-03-10 | 2006-02-14 | Air Products And Chemicals, Inc. | Tertiary alkanolamines containing surface active alkyl groups |
| US6737485B1 (en) | 2003-04-22 | 2004-05-18 | E. I. Du Pont De Nemours And Company | Titanium chelate dispersions |
| US7619017B2 (en) | 2003-05-19 | 2009-11-17 | Wacker Chemical Corporation | Polymer emulsions resistant to biodeterioration |
| EP1644479A4 (en) | 2003-06-16 | 2008-04-23 | Mark W Grinstaff | MACROMOLECULES AND FUNCTIONAL SYNTHETIC MOLECULES FOR GENES ADMINISTRATION |
| JP2005010476A (en) | 2003-06-19 | 2005-01-13 | Konica Minolta Medical & Graphic Inc | Photothermographic imaging material |
| WO2005028619A2 (en) | 2003-09-15 | 2005-03-31 | Massachusetts Institute Of Technology | Nanoliter-scale synthesis of arrayed biomaterials and screening thereof |
| US20050123596A1 (en) | 2003-09-23 | 2005-06-09 | Kohane Daniel S. | pH-triggered microparticles |
| US20050069590A1 (en) | 2003-09-30 | 2005-03-31 | Buehler Gail K. | Stable suspensions for medicinal dosages |
| DE602004000802T2 (en) | 2003-10-07 | 2006-12-28 | Fuji Photo Film Co., Ltd., Minami-Ashigara | Polymerizable composition and image recording material containing same |
| KR20060111471A (en) | 2003-11-10 | 2006-10-27 | 니폰 가야꾸 가부시끼가이샤 | Dimonium Salt Compounds and Uses thereof |
| US7022214B2 (en) | 2004-01-21 | 2006-04-04 | Bio-Rad Laboratories, Inc. | Carrier ampholytes of high pH range |
| JP2005227441A (en) | 2004-02-12 | 2005-08-25 | Konica Minolta Medical & Graphic Inc | Photothermographic imaging material |
| BRPI0507904A (en) | 2004-02-19 | 2007-07-10 | Ciba Sc Holding Ag | method of increasing color tone intensity |
| US7556684B2 (en) | 2004-02-26 | 2009-07-07 | Construction Research & Technology Gmbh | Amine containing strength improvement admixture |
| US20060228404A1 (en) | 2004-03-04 | 2006-10-12 | Anderson Daniel G | Compositions and methods for treatment of hypertrophic tissues |
| BRPI0510093B8 (en) | 2004-04-20 | 2022-12-27 | Dendritic Nanotechnologies Inc | dendritic polymers |
| US7799565B2 (en) | 2004-06-07 | 2010-09-21 | Protiva Biotherapeutics, Inc. | Lipid encapsulated interfering RNA |
| US20060035893A1 (en) | 2004-08-07 | 2006-02-16 | Boehringer Ingelheim International Gmbh | Pharmaceutical compositions for treatment of respiratory and gastrointestinal disorders |
| DE102004043342A1 (en) | 2004-09-08 | 2006-03-09 | Bayer Materialscience Ag | Blocked polyurethane prepolymers as adhesives |
| JP2006091276A (en) | 2004-09-22 | 2006-04-06 | Fuji Photo Film Co Ltd | Anti-reflection film, polarizer, image display device, and method of manufacturing anti-reflection film |
| GB0502482D0 (en) | 2005-02-07 | 2005-03-16 | Glaxo Group Ltd | Novel compounds |
| KR100910333B1 (en) | 2005-02-23 | 2009-07-31 | 시오노기세이야쿠가부시키가이샤 | Quinazoline derivative having tyrosine kinase inhibitory activity |
| EP1869106B1 (en) | 2005-03-28 | 2014-06-25 | Dendritic Nanotechnologies, Inc. | Janus dendrimers and dendrons |
| US9006487B2 (en) | 2005-06-15 | 2015-04-14 | Massachusetts Institute Of Technology | Amine-containing lipids and uses thereof |
| MX373000B (en) | 2005-09-14 | 2020-05-21 | Mannkind Corp | METHOD FOR FORMULATING A DRUG BASED ON INCREASING THE AFFINITY OF ACTIVE AGENTS TOWARDS THE SURFACES OF CRYSTALLINE MICROPARTICLES. |
| KR100716210B1 (en) | 2005-09-20 | 2007-05-10 | 웅진코웨이주식회사 | Method for preparing polyamide reverse osmosis composite membrane and polyamide reverse osmosis composite membrane prepared therefrom |
| WO2007073489A2 (en) | 2005-12-22 | 2007-06-28 | Trustees Of Boston University | Molecules for gene delivery and gene therapy, and methods of use thereof |
| CN100569877C (en) | 2005-12-30 | 2009-12-16 | 财团法人工业技术研究院 | Branched structure compound containing multiple UV crosslinking reactive groups and application thereof |
| EP1986679B1 (en) | 2006-02-22 | 2017-10-25 | MannKind Corporation | A method for improving the pharmaceutic properties of microparticles comprising diketopiperazine and an active agent |
| WO2007096662A2 (en) | 2006-02-27 | 2007-08-30 | Technische Universität München | Cancer imaging and treatment |
| JP2007254625A (en) | 2006-03-24 | 2007-10-04 | Fujifilm Corp | Ink composition, inkjet recording method, printed matter, planographic printing plate manufacturing method, and planographic printing plate |
| US20070275923A1 (en) | 2006-05-25 | 2007-11-29 | Nastech Pharmaceutical Company Inc. | CATIONIC PEPTIDES FOR siRNA INTRACELLULAR DELIVERY |
| WO2007143659A2 (en) | 2006-06-05 | 2007-12-13 | Massachusetts Institute Of Technology | Crosslinked, degradable polymers and uses thereof |
| ES2293834B1 (en) | 2006-07-20 | 2009-02-16 | Consejo Superior Investig. Cientificas | COMPOSED WITH INHIBITING ACTIVITY OF UBC13-UEV INTERACTIONS, PHARMACEUTICAL COMPOSITIONS THAT INCLUDE IT AND ITS THERAPEUTIC APPLICATIONS. |
| CA2658768C (en) | 2006-07-21 | 2016-05-17 | Massachusetts Institute Of Technology | End-modified poly(beta-amino esters) and uses thereof |
| SG174107A1 (en) | 2006-08-30 | 2011-09-29 | Univ Michigan | New small molecule inhibitors of mdm2 and the uses thereof |
| KR100905901B1 (en) | 2006-09-07 | 2009-07-02 | 웅진코웨이주식회사 | Amine aqueous solution for forming an active layer of polyamide reverse osmosis composite membrane, polyamide reverse osmosis composite membrane prepared thereby, and preparation method thereof |
| JP5076419B2 (en) | 2006-09-19 | 2012-11-21 | 東ソー株式会社 | Amine catalyst composition for producing polyurethane resin and method for producing polyurethane resin using the same |
| EP3192788A1 (en) | 2006-10-03 | 2017-07-19 | Arbutus Biopharma Corporation | Lipid containing formulations |
| JP2008202015A (en) | 2007-02-23 | 2008-09-04 | Toyo Ink Mfg Co Ltd | Pressure sensitive adhesive composition |
| WO2008113364A2 (en) | 2007-03-20 | 2008-09-25 | Recepticon Aps | Amino derivatives to prevent nephrotoxicity and cancer |
| JP5186126B2 (en) | 2007-03-29 | 2013-04-17 | 公益財団法人地球環境産業技術研究機構 | Novel triazine derivatives, their production and their use as gas separation membranes |
| CA2682483A1 (en) | 2007-03-29 | 2008-10-09 | Novartis Ag | 3-imidazolyl-indoles for the treatment of proliferative diseases |
| US8678686B2 (en) | 2007-05-01 | 2014-03-25 | Pgr-Solutions | Multi-chain lipophilic polyamines |
| JP5446119B2 (en) | 2007-05-08 | 2014-03-19 | 公立大学法人大阪府立大学 | Polyamidoamine dendron lipids containing lower acyl groups |
| GB0716897D0 (en) | 2007-08-30 | 2007-10-10 | Univ Muenchen Tech | Cancer imaging and treatment |
| CA2701274A1 (en) | 2007-10-02 | 2009-04-09 | Mdrna, Inc. | Lipopeptides for delivery of nucleic acids |
| WO2009086253A1 (en) | 2007-12-27 | 2009-07-09 | E. I. Du Pont De Nemours And Company | Hydroxy alkyl isocyanurates |
| WO2009086547A1 (en) | 2008-01-03 | 2009-07-09 | Cedars-Sinai Medical Center | Antioxidant nanosphere comprising [1,2]-dithiolane moieties |
| DE102008013500A1 (en) | 2008-03-10 | 2009-09-17 | Evonik Degussa Gmbh | New chiral selectors and stationary phases for the separation of enantiomeric mixtures |
| CN104119242B (en) | 2008-10-09 | 2017-07-07 | 泰米拉制药公司 | The amino lipids of improvement and the method for delivering nucleic acid |
| CN102231979B (en) | 2008-10-16 | 2014-10-29 | 玛瑞纳生物技术有限公司 | Liposome efficient delivery methods and compositions for gene silencing therapeutics |
| WO2010062322A2 (en) | 2008-10-27 | 2010-06-03 | Massachusetts Institute Of Technology | Modulation of the immune response |
| ES2646630T3 (en) | 2008-11-07 | 2017-12-14 | Massachusetts Institute Of Technology | Amino alcoholic lipidoids and uses thereof |
| WO2010074268A1 (en) | 2008-12-26 | 2010-07-01 | 日油株式会社 | Arginine derivative and cosmetic comprising same |
| EP2379511B1 (en) | 2008-12-29 | 2014-12-17 | MannKind Corporation | Substituted diketopiperazine analogs for use as drug delivery agents |
| US8314106B2 (en) | 2008-12-29 | 2012-11-20 | Mannkind Corporation | Substituted diketopiperazine analogs for use as drug delivery agents |
| US20100222489A1 (en) | 2009-02-27 | 2010-09-02 | Jiang Dayue D | Copolymer composition, membrane article, and methods thereof |
| WO2010114789A1 (en) | 2009-04-02 | 2010-10-07 | The Siemon Company | Telecommunications patch panel |
| KR20180094137A (en) | 2009-05-05 | 2018-08-22 | 알닐람 파마슈티칼스 인코포레이티드 | Lipid compositions |
| WO2010132876A1 (en) | 2009-05-15 | 2010-11-18 | Arizona Board Of Regents For And On Behalf Of Arizona State University | Polymers for delivering a substance into a cell |
| KR102584844B1 (en) | 2009-06-12 | 2023-10-04 | 맨카인드 코포레이션 | Diketopiperazine microparticles with defined specific surface areas |
| BR112012002134B8 (en) | 2009-07-30 | 2021-05-25 | Salvat Lab Sa | apaf-1 inhibitor compounds |
| HUE042177T2 (en) | 2009-12-01 | 2019-06-28 | Translate Bio Inc | Steroid derivative for the delivery of mrna in human genetic diseases |
| GB0921871D0 (en) | 2009-12-15 | 2010-01-27 | Univ Leuven Kath | Novel antifungal compounds |
| US20110257431A1 (en) | 2010-03-18 | 2011-10-20 | Basf Se | Process for producing side product-free aminocarboxylates |
| JP5534932B2 (en) | 2010-05-14 | 2014-07-02 | コンストラクション リサーチ アンド テクノロジー ゲーエムベーハー | Premix mortar composition and premix non-shrink mortar composition |
| CN101863544B (en) | 2010-06-29 | 2011-09-28 | 湖南科技大学 | Cyanuric acid-based heavy metal chelating flocculant and preparation method thereof |
| EP2609135A4 (en) | 2010-08-26 | 2015-05-20 | Massachusetts Inst Technology | POLY (BETA-AMINO ALCOHOLS), THEIR PREPARATION AND USES THEREOF |
| JP5694560B2 (en) | 2010-12-20 | 2015-04-01 | グレンマーク ファーマシューティカルズ, エセ.アー. | 2-Amino-4-arylthiazole compounds as TRPA1 antagonists |
| JP5257528B2 (en) | 2011-03-04 | 2013-08-07 | 東洋インキScホールディングス株式会社 | Crosslinkable composition |
| US9238716B2 (en) | 2011-03-28 | 2016-01-19 | Massachusetts Institute Of Technology | Conjugated lipomers and uses thereof |
| WO2012133737A1 (en) | 2011-03-31 | 2012-10-04 | 公益財団法人地球環境産業技術研究機構 | Crosslinkable amine compound, polymer membrane using crosslinkable amine compound, and method for producing polymer membrane |
| EP2532649B1 (en) | 2011-06-07 | 2015-04-08 | Incella GmbH | Amino lipids, their synthesis and uses thereof |
| PL3586861T3 (en) | 2011-06-08 | 2022-05-23 | Translate Bio, Inc. | COMPOSITIONS OF LIPID nanoparticles and MRN DELIVERY METHODS |
| EP3354644A1 (en) | 2011-06-08 | 2018-08-01 | Translate Bio, Inc. | Cleavable lipids |
| JO3115B1 (en) | 2011-08-22 | 2017-09-20 | Takeda Pharmaceuticals Co | Pyridazinone Compounds and Their Use as DAAO Inhibitors |
| CL2014000988A1 (en) | 2011-10-20 | 2014-11-03 | Oryzon Genomics Sa | Compounds derived from (aryl or heteroaryl) cyclopropylamide, lsd1 inhibitors; procedure to prepare them; pharmaceutical composition that includes them; and method to treat or prevent cancer, a neurological disease, a viral infection and viral reactivation after latency. |
| KR102451116B1 (en) | 2011-10-27 | 2022-10-06 | 메사추세츠 인스티튜트 오브 테크놀로지 | Amino acid derivatives functionalized on the n-terminal capable of forming drug incapsulating microspheres |
| EP2882706A1 (en) | 2012-08-13 | 2015-06-17 | Massachusetts Institute of Technology | Amine-containing lipidoids and uses thereof |
| JP5991937B2 (en) | 2013-03-06 | 2016-09-14 | Jxエネルギー株式会社 | Friction modifier and lubricating oil composition |
| DK2970456T3 (en) | 2013-03-14 | 2021-07-05 | Translate Bio Inc | METHODS AND COMPOSITIONS FOR DELIVERING MRNA-CODED ANTIBODIES |
| WO2014179562A1 (en) | 2013-05-01 | 2014-11-06 | Massachusetts Institute Of Technology | 1,3,5-triazinane-2,4,6-trione derivatives and uses thereof |
| US9895443B2 (en) | 2013-06-26 | 2018-02-20 | Massachusetts Institute Of Technology | Multi-tailed lipids and uses thereof |
| KR101355583B1 (en) | 2013-10-04 | 2014-01-24 | 한국지질자원연구원 | Simplicity valuable mineral decollator and valuable mineral separating method using thereof |
| AU2014340149B2 (en) | 2013-10-22 | 2020-12-24 | Shire Human Genetic Therapies, Inc. | CNS delivery of mRNA and uses thereof |
| MX2016005238A (en) | 2013-10-22 | 2016-08-12 | Shire Human Genetic Therapies | Lipid formulations for delivery of messenger rna. |
| US9840479B2 (en) | 2014-07-02 | 2017-12-12 | Massachusetts Institute Of Technology | Polyamine-fatty acid derived lipidoids and uses thereof |
| ES2949540T3 (en) | 2015-06-19 | 2023-09-29 | Massachusetts Inst Technology | Alkenyl substituted 2,5-piperazinediones and their use in compositions for delivering an agent to a subject or a cell |
| WO2023059806A1 (en) | 2021-10-06 | 2023-04-13 | Massachusetts Institute Of Technology | Lipid nanoparticles for drug delivery to microglia in the brain |
-
2012
- 2012-03-23 US US13/428,695 patent/US9238716B2/en active Active
- 2012-03-23 WO PCT/US2012/030349 patent/WO2012135025A2/en not_active Ceased
- 2012-03-23 EP EP12724782.3A patent/EP2691443B1/en active Active
- 2012-03-23 DK DK12724782.3T patent/DK2691443T3/en active
- 2012-03-23 PL PL12724782T patent/PL2691443T3/en unknown
- 2012-03-23 CA CA2831392A patent/CA2831392C/en active Active
-
2016
- 2016-01-14 US US14/995,842 patent/US10117934B2/en active Active
-
2018
- 2018-11-05 US US16/181,109 patent/US10933139B2/en active Active
-
2020
- 2020-12-15 US US17/122,068 patent/US12390528B2/en active Active
Non-Patent Citations (1)
| Title |
|---|
| None |
Cited By (236)
| Publication number | Priority date | Publication date | Assignee | Title |
|---|---|---|---|---|
| US9221867B2 (en) | 2003-01-06 | 2015-12-29 | Angiochem Inc. | Method for transporting a compound across the blood-brain barrier |
| US9365634B2 (en) | 2007-05-29 | 2016-06-14 | Angiochem Inc. | Aprotinin-like polypeptides for delivering agents conjugated thereto to tissues |
| US8710013B2 (en) | 2008-04-18 | 2014-04-29 | Angiochem Inc. | Pharmaceutical compositions of paclitaxel, paclitaxel analogs or paclitaxel conjugates and related methods of preparation and use |
| US8828925B2 (en) | 2008-10-15 | 2014-09-09 | Angiochem Inc. | Etoposide and doxorubicin conjugates for drug delivery |
| US8921314B2 (en) | 2008-10-15 | 2014-12-30 | Angiochem, Inc. | Conjugates of GLP-1 agonists and uses thereof |
| US11414393B2 (en) | 2008-11-07 | 2022-08-16 | Massachusetts Institute Of Technology | Aminoalcohol lipidoids and uses thereof |
| US10189802B2 (en) | 2008-11-07 | 2019-01-29 | Massachusetts Institute Of Technology | Aminoalcohol lipidoids and uses thereof |
| US10844028B2 (en) | 2008-11-07 | 2020-11-24 | Massachusetts Institute Of Technology | Aminoalcohol lipidoids and uses thereof |
| US9556110B2 (en) | 2008-11-07 | 2017-01-31 | Massachusetts Institute Of Technology | Aminoalcohol lipidoids and uses thereof |
| US9914754B2 (en) | 2008-12-05 | 2018-03-13 | Angiochem Inc. | Conjugates of neurotensin or neurotensin analogs and uses thereof |
| US8853353B2 (en) | 2008-12-17 | 2014-10-07 | Angiochem, Inc. | Membrane type-1 matrix metalloprotein inhibitors and uses thereof |
| US9173891B2 (en) | 2009-04-20 | 2015-11-03 | Angiochem, Inc. | Treatment of ovarian cancer using an anticancer agent conjugated to an angiopep-2 analog |
| US9161988B2 (en) | 2009-07-02 | 2015-10-20 | Angiochem Inc. | Multimeric peptide conjugates and uses thereof |
| US10576166B2 (en) | 2009-12-01 | 2020-03-03 | Translate Bio, Inc. | Liver specific delivery of messenger RNA |
| US9937233B2 (en) | 2010-08-06 | 2018-04-10 | Modernatx, Inc. | Engineered nucleic acids and methods of use thereof |
| US9447164B2 (en) | 2010-08-06 | 2016-09-20 | Moderna Therapeutics, Inc. | Engineered nucleic acids and methods of use thereof |
| US8822663B2 (en) | 2010-08-06 | 2014-09-02 | Moderna Therapeutics, Inc. | Engineered nucleic acids and methods of use thereof |
| US9193827B2 (en) | 2010-08-26 | 2015-11-24 | Massachusetts Institute Of Technology | Poly(beta-amino alcohols), their preparation, and uses thereof |
| US9657295B2 (en) | 2010-10-01 | 2017-05-23 | Modernatx, Inc. | Modified nucleosides, nucleotides, and nucleic acids, and uses thereof |
| US10064959B2 (en) | 2010-10-01 | 2018-09-04 | Modernatx, Inc. | Modified nucleosides, nucleotides, and nucleic acids, and uses thereof |
| US9334328B2 (en) | 2010-10-01 | 2016-05-10 | Moderna Therapeutics, Inc. | Modified nucleosides, nucleotides, and nucleic acids, and uses thereof |
| US10933139B2 (en) | 2011-03-28 | 2021-03-02 | Massachusetts Institute Of Technology | Conjugated lipomers and uses thereof |
| US9238716B2 (en) | 2011-03-28 | 2016-01-19 | Massachusetts Institute Of Technology | Conjugated lipomers and uses thereof |
| US10117934B2 (en) | 2011-03-28 | 2018-11-06 | Massachusetts Institute Of Technology | Conjugated lipomers and uses thereof |
| US12390528B2 (en) | 2011-03-28 | 2025-08-19 | Massachusetts Institute Of Technology | Conjugated lipomers and uses thereof |
| US9950068B2 (en) | 2011-03-31 | 2018-04-24 | Modernatx, Inc. | Delivery and formulation of engineered nucleic acids |
| US9533047B2 (en) | 2011-03-31 | 2017-01-03 | Modernatx, Inc. | Delivery and formulation of engineered nucleic acids |
| US9308281B2 (en) | 2011-06-08 | 2016-04-12 | Shire Human Genetic Therapies, Inc. | MRNA therapy for Fabry disease |
| US12121592B2 (en) | 2011-06-08 | 2024-10-22 | Translate Bio, Inc. | Lipid nanoparticle compositions and methods for mRNA delivery |
| US10507249B2 (en) | 2011-06-08 | 2019-12-17 | Translate Bio, Inc. | Lipid nanoparticle compositions and methods for mRNA delivery |
| US11185595B2 (en) | 2011-06-08 | 2021-11-30 | Translate Bio, Inc. | Lipid nanoparticle compositions and methods for mRNA delivery |
| US11730825B2 (en) | 2011-06-08 | 2023-08-22 | Translate Bio, Inc. | Lipid nanoparticle compositions and methods for mRNA delivery |
| US11951181B2 (en) | 2011-06-08 | 2024-04-09 | Translate Bio, Inc. | Lipid nanoparticle compositions and methods for mRNA delivery |
| US11338044B2 (en) | 2011-06-08 | 2022-05-24 | Translate Bio, Inc. | Lipid nanoparticle compositions and methods for mRNA delivery |
| US10888626B2 (en) | 2011-06-08 | 2021-01-12 | Translate Bio, Inc. | Lipid nanoparticle compositions and methods for mRNA delivery |
| US11951180B2 (en) | 2011-06-08 | 2024-04-09 | Translate Bio, Inc. | Lipid nanoparticle compositions and methods for MRNA delivery |
| US10413618B2 (en) | 2011-06-08 | 2019-09-17 | Translate Bio, Inc. | Lipid nanoparticle compositions and methods for mRNA delivery |
| US11951179B2 (en) | 2011-06-08 | 2024-04-09 | Translate Bio, Inc. | Lipid nanoparticle compositions and methods for MRNA delivery |
| US10238754B2 (en) | 2011-06-08 | 2019-03-26 | Translate Bio, Inc. | Lipid nanoparticle compositions and methods for MRNA delivery |
| US11052159B2 (en) | 2011-06-08 | 2021-07-06 | Translate Bio, Inc. | Lipid nanoparticle compositions and methods for mRNA delivery |
| US11547764B2 (en) | 2011-06-08 | 2023-01-10 | Translate Bio, Inc. | Lipid nanoparticle compositions and methods for MRNA delivery |
| US11291734B2 (en) | 2011-06-08 | 2022-04-05 | Translate Bio, Inc. | Lipid nanoparticle compositions and methods for mRNA delivery |
| US9597413B2 (en) | 2011-06-08 | 2017-03-21 | Shire Human Genetic Therapies, Inc. | Pulmonary delivery of mRNA |
| US10350303B1 (en) | 2011-06-08 | 2019-07-16 | Translate Bio, Inc. | Lipid nanoparticle compositions and methods for mRNA delivery |
| US10751386B2 (en) | 2011-09-12 | 2020-08-25 | Modernatx, Inc. | Engineered nucleic acids and methods of use thereof |
| US10022425B2 (en) | 2011-09-12 | 2018-07-17 | Modernatx, Inc. | Engineered nucleic acids and methods of use thereof |
| US9464124B2 (en) | 2011-09-12 | 2016-10-11 | Moderna Therapeutics, Inc. | Engineered nucleic acids and methods of use thereof |
| US9428535B2 (en) | 2011-10-03 | 2016-08-30 | Moderna Therapeutics, Inc. | Modified nucleosides, nucleotides, and nucleic acids, and uses thereof |
| US10682374B2 (en) | 2011-10-27 | 2020-06-16 | Massachusetts Intstitute Of Technology | Amino acid-, peptide- and polypeptide-lipids, isomers, compositions, and uses thereof |
| US11458158B2 (en) | 2011-10-27 | 2022-10-04 | Massachusetts Institute Of Technology | Amino acid-, peptide- and polypeptide-lipids, isomers, compositions, and uses thereof |
| US10086013B2 (en) | 2011-10-27 | 2018-10-02 | Massachusetts Institute Of Technology | Amino acid-, peptide- and polypeptide-lipids, isomers, compositions, and uses thereof |
| US9512073B2 (en) | 2011-10-27 | 2016-12-06 | Massachusetts Institute Of Technology | Amino acid-, peptide-and polypeptide-lipids, isomers, compositions, and uses thereof |
| US9295689B2 (en) | 2011-12-16 | 2016-03-29 | Moderna Therapeutics, Inc. | Formulation and delivery of PLGA microspheres |
| US9271996B2 (en) | 2011-12-16 | 2016-03-01 | Moderna Therapeutics, Inc. | Formulation and delivery of PLGA microspheres |
| US9186372B2 (en) | 2011-12-16 | 2015-11-17 | Moderna Therapeutics, Inc. | Split dose administration |
| US9233141B2 (en) | 2012-04-02 | 2016-01-12 | Moderna Therapeutics, Inc. | Modified polynucleotides for the production of proteins associated with blood and lymphatic disorders |
| US9061059B2 (en) | 2012-04-02 | 2015-06-23 | Moderna Therapeutics, Inc. | Modified polynucleotides for treating protein deficiency |
| US8999380B2 (en) | 2012-04-02 | 2015-04-07 | Moderna Therapeutics, Inc. | Modified polynucleotides for the production of biologics and proteins associated with human disease |
| US9050297B2 (en) | 2012-04-02 | 2015-06-09 | Moderna Therapeutics, Inc. | Modified polynucleotides encoding aryl hydrocarbon receptor nuclear translocator |
| US9089604B2 (en) | 2012-04-02 | 2015-07-28 | Moderna Therapeutics, Inc. | Modified polynucleotides for treating galactosylceramidase protein deficiency |
| US9095552B2 (en) | 2012-04-02 | 2015-08-04 | Moderna Therapeutics, Inc. | Modified polynucleotides encoding copper metabolism (MURR1) domain containing 1 |
| US9107886B2 (en) | 2012-04-02 | 2015-08-18 | Moderna Therapeutics, Inc. | Modified polynucleotides encoding basic helix-loop-helix family member E41 |
| US9114113B2 (en) | 2012-04-02 | 2015-08-25 | Moderna Therapeutics, Inc. | Modified polynucleotides encoding citeD4 |
| US9149506B2 (en) | 2012-04-02 | 2015-10-06 | Moderna Therapeutics, Inc. | Modified polynucleotides encoding septin-4 |
| US9572897B2 (en) | 2012-04-02 | 2017-02-21 | Modernatx, Inc. | Modified polynucleotides for the production of cytoplasmic and cytoskeletal proteins |
| US9587003B2 (en) | 2012-04-02 | 2017-03-07 | Modernatx, Inc. | Modified polynucleotides for the production of oncology-related proteins and peptides |
| US9192651B2 (en) | 2012-04-02 | 2015-11-24 | Moderna Therapeutics, Inc. | Modified polynucleotides for the production of secreted proteins |
| US9216205B2 (en) | 2012-04-02 | 2015-12-22 | Moderna Therapeutics, Inc. | Modified polynucleotides encoding granulysin |
| US9220792B2 (en) | 2012-04-02 | 2015-12-29 | Moderna Therapeutics, Inc. | Modified polynucleotides encoding aquaporin-5 |
| US9221891B2 (en) | 2012-04-02 | 2015-12-29 | Moderna Therapeutics, Inc. | In vivo production of proteins |
| US9220755B2 (en) | 2012-04-02 | 2015-12-29 | Moderna Therapeutics, Inc. | Modified polynucleotides for the production of proteins associated with blood and lymphatic disorders |
| US9878056B2 (en) | 2012-04-02 | 2018-01-30 | Modernatx, Inc. | Modified polynucleotides for the production of cosmetic proteins and peptides |
| US10501512B2 (en) | 2012-04-02 | 2019-12-10 | Modernatx, Inc. | Modified polynucleotides |
| US9254311B2 (en) | 2012-04-02 | 2016-02-09 | Moderna Therapeutics, Inc. | Modified polynucleotides for the production of proteins |
| US9303079B2 (en) | 2012-04-02 | 2016-04-05 | Moderna Therapeutics, Inc. | Modified polynucleotides for the production of cytoplasmic and cytoskeletal proteins |
| US9301993B2 (en) | 2012-04-02 | 2016-04-05 | Moderna Therapeutics, Inc. | Modified polynucleotides encoding apoptosis inducing factor 1 |
| US9675668B2 (en) | 2012-04-02 | 2017-06-13 | Moderna Therapeutics, Inc. | Modified polynucleotides encoding hepatitis A virus cellular receptor 2 |
| US9828416B2 (en) | 2012-04-02 | 2017-11-28 | Modernatx, Inc. | Modified polynucleotides for the production of secreted proteins |
| US9827332B2 (en) | 2012-04-02 | 2017-11-28 | Modernatx, Inc. | Modified polynucleotides for the production of proteins |
| US9782462B2 (en) | 2012-04-02 | 2017-10-10 | Modernatx, Inc. | Modified polynucleotides for the production of proteins associated with human disease |
| US9283287B2 (en) | 2012-04-02 | 2016-03-15 | Moderna Therapeutics, Inc. | Modified polynucleotides for the production of nuclear proteins |
| US9255129B2 (en) | 2012-04-02 | 2016-02-09 | Moderna Therapeutics, Inc. | Modified polynucleotides encoding SIAH E3 ubiquitin protein ligase 1 |
| US9814760B2 (en) | 2012-04-02 | 2017-11-14 | Modernatx, Inc. | Modified polynucleotides for the production of biologics and proteins associated with human disease |
| US11254936B2 (en) | 2012-06-08 | 2022-02-22 | Translate Bio, Inc. | Nuclease resistant polynucleotides and uses thereof |
| US9439968B2 (en) | 2012-08-13 | 2016-09-13 | Massachusetts Institute Of Technology | Amine-containing lipidoids and uses thereof |
| US9227917B2 (en) | 2012-08-13 | 2016-01-05 | Massachusetts Institute Of Technology | Amine-containing lipidoids and uses thereof |
| US9597380B2 (en) | 2012-11-26 | 2017-03-21 | Modernatx, Inc. | Terminally modified RNA |
| US11820977B2 (en) | 2013-03-14 | 2023-11-21 | Translate Bio, Inc. | Methods for purification of messenger RNA |
| US11510937B2 (en) | 2013-03-14 | 2022-11-29 | Translate Bio, Inc. | CFTR MRNA compositions and related methods and uses |
| US12577554B2 (en) | 2013-03-14 | 2026-03-17 | Translate Bio, Inc. | Methods for purification of messenger RNA |
| US9181321B2 (en) | 2013-03-14 | 2015-11-10 | Shire Human Genetic Therapies, Inc. | CFTR mRNA compositions and related methods and uses |
| US12234446B2 (en) | 2013-03-14 | 2025-02-25 | Translate Bio, Inc. | Methods for purification of messenger RNA |
| US11692189B2 (en) | 2013-03-14 | 2023-07-04 | Translate Bio, Inc. | Methods for purification of messenger RNA |
| US10876104B2 (en) | 2013-03-14 | 2020-12-29 | Translate Bio, Inc. | Methods for purification of messenger RNA |
| US10420791B2 (en) | 2013-03-14 | 2019-09-24 | Translate Bio, Inc. | CFTR MRNA compositions and related methods and uses |
| US9713626B2 (en) | 2013-03-14 | 2017-07-25 | Rana Therapeutics, Inc. | CFTR mRNA compositions and related methods and uses |
| WO2014152211A1 (en) | 2013-03-14 | 2014-09-25 | Moderna Therapeutics, Inc. | Formulation and delivery of modified nucleoside, nucleotide, and nucleic acid compositions |
| US12594295B2 (en) | 2013-03-14 | 2026-04-07 | Translate Bio, Inc. | CFTR mRNA compositions and related methods and uses |
| US9957499B2 (en) | 2013-03-14 | 2018-05-01 | Translate Bio, Inc. | Methods for purification of messenger RNA |
| US8980864B2 (en) | 2013-03-15 | 2015-03-17 | Moderna Therapeutics, Inc. | Compositions and methods of altering cholesterol levels |
| US9315472B2 (en) | 2013-05-01 | 2016-04-19 | Massachusetts Institute Of Technology | 1,3,5-triazinane-2,4,6-trione derivatives and uses thereof |
| EP3825406A1 (en) | 2013-06-17 | 2021-05-26 | The Broad Institute Inc. | Delivery and use of the crispr-cas systems, vectors and compositions for hepatic targeting and therapy |
| WO2014204728A1 (en) | 2013-06-17 | 2014-12-24 | The Broad Institute Inc. | Delivery, engineering and optimization of systems, methods and compositions for targeting and modeling diseases and disorders of post mitotic cells |
| US10815291B2 (en) | 2013-09-30 | 2020-10-27 | Modernatx, Inc. | Polynucleotides encoding immune modulating polypeptides |
| US10323076B2 (en) | 2013-10-03 | 2019-06-18 | Modernatx, Inc. | Polynucleotides encoding low density lipoprotein receptor |
| US11224642B2 (en) | 2013-10-22 | 2022-01-18 | Translate Bio, Inc. | MRNA therapy for argininosuccinate synthetase deficiency |
| US11890377B2 (en) | 2013-10-22 | 2024-02-06 | Translate Bio, Inc. | Lipid formulations for delivery of messenger RNA |
| US12509666B2 (en) | 2013-10-22 | 2025-12-30 | Translate Bio, Inc. | MRNA therapy for phenylketonuria |
| US12533402B2 (en) | 2013-10-22 | 2026-01-27 | Translate Bio, Inc. | MRNA therapy for argininosuccinate synthetase deficiency |
| US10052284B2 (en) | 2013-10-22 | 2018-08-21 | Translate Bio, Inc. | Lipid formulations for delivery of messenger RNA |
| US10959953B2 (en) | 2013-10-22 | 2021-03-30 | Translate Bio, Inc. | Lipid formulations for delivery of messenger RNA |
| US9629804B2 (en) | 2013-10-22 | 2017-04-25 | Shire Human Genetic Therapies, Inc. | Lipid formulations for delivery of messenger RNA |
| US10208295B2 (en) | 2013-10-22 | 2019-02-19 | Translate Bio, Inc. | MRNA therapy for phenylketonuria |
| US9522176B2 (en) | 2013-10-22 | 2016-12-20 | Shire Human Genetic Therapies, Inc. | MRNA therapy for phenylketonuria |
| US11377642B2 (en) | 2013-10-22 | 2022-07-05 | Translate Bio, Inc. | mRNA therapy for phenylketonuria |
| US10493031B2 (en) | 2013-10-22 | 2019-12-03 | Translate Bio, Inc. | Lipid formulations for delivery of messenger RNA |
| EP3470089A1 (en) | 2013-12-12 | 2019-04-17 | The Broad Institute Inc. | Delivery, use and therapeutic applications of the crispr-cas systems and compositions for targeting disorders and diseases using particle delivery components |
| WO2015089419A2 (en) | 2013-12-12 | 2015-06-18 | The Broad Institute Inc. | Delivery, use and therapeutic applications of the crispr-cas systems and compositions for targeting disorders and diseases using particle delivery components |
| EP3653229A1 (en) | 2013-12-12 | 2020-05-20 | The Broad Institute, Inc. | Delivery, use and therapeutic applications of the crispr-cas systems and compositions for genome editing |
| EP3653703A1 (en) | 2013-12-12 | 2020-05-20 | The Broad Institute, Inc. | Compositions and methods of use of crispr-cas systems in nucleotide repeat disorders |
| WO2015089354A1 (en) | 2013-12-12 | 2015-06-18 | The Broad Institute Inc. | Compositions and methods of use of crispr-cas systems in nucleotide repeat disorders |
| EP3653704A1 (en) | 2013-12-12 | 2020-05-20 | The Broad Institute, Inc. | Compositions and methods of use of crispr-cas systems in nucleotide repeat disorders |
| WO2015089351A1 (en) | 2013-12-12 | 2015-06-18 | The Broad Institute Inc. | Compositions and methods of use of crispr-cas systems in nucleotide repeat disorders |
| EP4219699A1 (en) | 2013-12-12 | 2023-08-02 | The Broad Institute, Inc. | Engineering of systems, methods and optimized guide compositions with new architectures for sequence manipulation |
| US12060381B2 (en) | 2014-04-25 | 2024-08-13 | Translate Bio, Inc. | Methods for purification of messenger RNA |
| US10155785B2 (en) | 2014-04-25 | 2018-12-18 | Translate Bio, Inc. | Methods for purification of messenger RNA |
| US11884692B2 (en) | 2014-04-25 | 2024-01-30 | Translate Bio, Inc. | Methods for purification of messenger RNA |
| US11059841B2 (en) | 2014-04-25 | 2021-07-13 | Translate Bio, Inc. | Methods for purification of messenger RNA |
| US9850269B2 (en) | 2014-04-25 | 2017-12-26 | Translate Bio, Inc. | Methods for purification of messenger RNA |
| US10286082B2 (en) | 2014-05-30 | 2019-05-14 | Translate Bio, Inc. | Biodegradable lipids for delivery of nucleic acids |
| US10022455B2 (en) | 2014-05-30 | 2018-07-17 | Translate Bio, Inc. | Biodegradable lipids for delivery of nucleic acids |
| US11433144B2 (en) | 2014-05-30 | 2022-09-06 | Translate Bio, Inc. | Biodegradable lipids for delivery of nucleic acids |
| US10493166B2 (en) | 2014-05-30 | 2019-12-03 | Translate Bio, Inc. | Biodegradable lipids for delivery of nucleic acids |
| US10912844B2 (en) | 2014-05-30 | 2021-02-09 | Translate Bio, Inc. | Biodegradable lipids for delivery of nucleic acids |
| US10293057B2 (en) | 2014-05-30 | 2019-05-21 | Translate Bio, Inc. | Biodegradable lipids for delivery of nucleic acids |
| US10286083B2 (en) | 2014-05-30 | 2019-05-14 | Translate Bio, Inc. | Biodegradable lipids for delivery of nucleic acids |
| US10138213B2 (en) | 2014-06-24 | 2018-11-27 | Translate Bio, Inc. | Stereochemically enriched compositions for delivery of nucleic acids |
| US11104652B2 (en) | 2014-06-24 | 2021-08-31 | Translate Bio, Inc. | Stereochemically enriched compositions for delivery of nucleic acids |
| US9840479B2 (en) | 2014-07-02 | 2017-12-12 | Massachusetts Institute Of Technology | Polyamine-fatty acid derived lipidoids and uses thereof |
| EP3686279A1 (en) | 2014-08-17 | 2020-07-29 | The Broad Institute, Inc. | Genome editing using cas9 nickases |
| US11001829B2 (en) | 2014-09-25 | 2021-05-11 | The Broad Institute, Inc. | Functional screening with optimized functional CRISPR-Cas systems |
| EP3889260A1 (en) | 2014-12-12 | 2021-10-06 | The Broad Institute, Inc. | Protected guide rnas (pgrnas) |
| WO2016094867A1 (en) | 2014-12-12 | 2016-06-16 | The Broad Institute Inc. | Protected guide rnas (pgrnas) |
| EP3985115A1 (en) | 2014-12-12 | 2022-04-20 | The Broad Institute, Inc. | Protected guide rnas (pgrnas) |
| WO2016094872A1 (en) | 2014-12-12 | 2016-06-16 | The Broad Institute Inc. | Dead guides for crispr transcription factors |
| WO2016094880A1 (en) | 2014-12-12 | 2016-06-16 | The Broad Institute Inc. | Delivery, use and therapeutic applications of crispr systems and compositions for genome editing as to hematopoietic stem cells (hscs) |
| WO2016094874A1 (en) | 2014-12-12 | 2016-06-16 | The Broad Institute Inc. | Escorted and functionalized guides for crispr-cas systems |
| US10954514B2 (en) | 2014-12-12 | 2021-03-23 | The Broad Institute, Inc. | Escorted and functionalized guides for CRISPR-Cas systems |
| WO2016100974A1 (en) | 2014-12-19 | 2016-06-23 | The Broad Institute Inc. | Unbiased identification of double-strand breaks and genomic rearrangement by genome-wide insert capture sequencing |
| WO2016106236A1 (en) | 2014-12-23 | 2016-06-30 | The Broad Institute Inc. | Rna-targeting system |
| EP3702456A1 (en) | 2014-12-24 | 2020-09-02 | The Broad Institute, Inc. | Crispr having or associated with destabilization domains |
| WO2016106244A1 (en) | 2014-12-24 | 2016-06-30 | The Broad Institute Inc. | Crispr having or associated with destabilization domains |
| US10980892B2 (en) | 2015-06-15 | 2021-04-20 | Angiochem Inc. | Methods for the treatment of leptomeningeal carcinomatosis |
| US11773412B2 (en) | 2015-06-18 | 2023-10-03 | The Broad Institute, Inc. | Crispr enzymes and systems |
| EP3929287A2 (en) | 2015-06-18 | 2021-12-29 | The Broad Institute, Inc. | Crispr enzyme mutations reducing off-target effects |
| EP4403638A2 (en) | 2015-06-18 | 2024-07-24 | The Broad Institute Inc. | Novel crispr enzymes and systems |
| EP4159856A1 (en) | 2015-06-18 | 2023-04-05 | The Broad Institute, Inc. | Novel crispr enzymes and systems |
| US20180127745A1 (en) * | 2015-06-18 | 2018-05-10 | The Broad Institute Inc. | Cell sorting |
| WO2016205745A2 (en) | 2015-06-18 | 2016-12-22 | The Broad Institute Inc. | Cell sorting |
| WO2016205613A1 (en) | 2015-06-18 | 2016-12-22 | The Broad Institute Inc. | Crispr enzyme mutations reducing off-target effects |
| EP3009511A2 (en) | 2015-06-18 | 2016-04-20 | The Broad Institute, Inc. | Novel crispr enzymes and systems |
| EP3502253A1 (en) | 2015-06-18 | 2019-06-26 | The Broad Institute Inc. | Novel crispr enzymes and systems |
| US11236327B2 (en) | 2015-06-18 | 2022-02-01 | The Broad Institute, Inc. | Cell sorting |
| WO2016205764A1 (en) | 2015-06-18 | 2016-12-22 | The Broad Institute Inc. | Novel crispr enzymes and systems |
| US11421250B2 (en) | 2015-06-18 | 2022-08-23 | The Broad Institute, Inc. | CRISPR enzymes and systems |
| US11060115B2 (en) | 2015-06-18 | 2021-07-13 | The Broad Institute, Inc. | CRISPR enzymes and systems |
| US11180751B2 (en) | 2015-06-18 | 2021-11-23 | The Broad Institute, Inc. | CRISPR enzymes and systems |
| WO2016205749A1 (en) | 2015-06-18 | 2016-12-22 | The Broad Institute Inc. | Novel crispr enzymes and systems |
| EP3666895A1 (en) | 2015-06-18 | 2020-06-17 | The Broad Institute, Inc. | Novel crispr enzymes and systems |
| US10695444B2 (en) | 2015-06-19 | 2020-06-30 | Massachusetts Institute Of Technology | Alkenyl substituted 2,5-piperazinediones, compositions, and uses thereof |
| US10201618B2 (en) | 2015-06-19 | 2019-02-12 | Massachusetts Institute Of Technology | Alkenyl substituted 2,5-piperazinediones, compositions, and uses thereof |
| US11214800B2 (en) | 2015-08-18 | 2022-01-04 | The Broad Institute, Inc. | Methods and compositions for altering function and structure of chromatin loops and/or domains |
| WO2017069958A2 (en) | 2015-10-09 | 2017-04-27 | The Brigham And Women's Hospital, Inc. | Modulation of novel immune checkpoint targets |
| WO2017070605A1 (en) | 2015-10-22 | 2017-04-27 | The Broad Institute Inc. | Type vi-b crispr enzymes and systems |
| US12215318B2 (en) | 2015-10-22 | 2025-02-04 | The Broad Institute, Inc. | Crispr enzymes and systems |
| WO2017074788A1 (en) | 2015-10-27 | 2017-05-04 | The Broad Institute Inc. | Compositions and methods for targeting cancer-specific sequence variations |
| US11186825B2 (en) | 2015-10-28 | 2021-11-30 | The Broad Institute, Inc. | Compositions and methods for evaluating and modulating immune responses by detecting and targeting POU2AF1 |
| WO2017075478A2 (en) | 2015-10-28 | 2017-05-04 | The Broad Institute Inc. | Compositions and methods for evaluating and modulating immune responses by use of immune cell gene signatures |
| WO2017075451A1 (en) | 2015-10-28 | 2017-05-04 | The Broad Institute Inc. | Compositions and methods for evaluating and modulating immune responses by detecting and targeting pou2af1 |
| WO2017075465A1 (en) | 2015-10-28 | 2017-05-04 | The Broad Institute Inc. | Compositions and methods for evaluating and modulating immune responses by detecting and targeting gata3 |
| US11180730B2 (en) | 2015-10-28 | 2021-11-23 | The Broad Institute, Inc. | Compositions and methods for evaluating and modulating immune responses by detecting and targeting GATA3 |
| WO2017106657A1 (en) | 2015-12-18 | 2017-06-22 | The Broad Institute Inc. | Novel crispr enzymes and systems |
| WO2017184786A1 (en) | 2016-04-19 | 2017-10-26 | The Broad Institute Inc. | Cpf1 complexes with reduced indel activity |
| WO2017184768A1 (en) | 2016-04-19 | 2017-10-26 | The Broad Institute Inc. | Novel crispr enzymes and systems |
| WO2017189308A1 (en) | 2016-04-19 | 2017-11-02 | The Broad Institute Inc. | Novel crispr enzymes and systems |
| WO2017219027A1 (en) | 2016-06-17 | 2017-12-21 | The Broad Institute Inc. | Type vi crispr orthologs and systems |
| US11788083B2 (en) | 2016-06-17 | 2023-10-17 | The Broad Institute, Inc. | Type VI CRISPR orthologs and systems |
| WO2018005873A1 (en) | 2016-06-29 | 2018-01-04 | The Broad Institute Inc. | Crispr-cas systems having destabilization domain |
| WO2018035387A1 (en) | 2016-08-17 | 2018-02-22 | The Broad Institute, Inc. | Novel crispr enzymes and systems |
| EP4485466A2 (en) | 2016-08-17 | 2025-01-01 | The Broad Institute Inc. | Novel crispr enzymes and systems |
| WO2018035388A1 (en) | 2016-08-17 | 2018-02-22 | The Broad Institute, Inc. | Novel crispr enzymes and systems |
| WO2018049025A2 (en) | 2016-09-07 | 2018-03-15 | The Broad Institute Inc. | Compositions and methods for evaluating and modulating immune responses |
| US12499971B2 (en) | 2016-09-28 | 2025-12-16 | The Broad Institute, Inc. | Systematic screening and mapping of regulatory elements in non-coding genomic regions, methods, compositions, and applications thereof |
| WO2018067991A1 (en) | 2016-10-07 | 2018-04-12 | The Brigham And Women's Hospital, Inc. | Modulation of novel immune checkpoint targets |
| US12447213B2 (en) | 2016-10-07 | 2025-10-21 | The Broad Institute, Inc. | Modulation of novel immune checkpoint targets |
| US11253605B2 (en) | 2017-02-27 | 2022-02-22 | Translate Bio, Inc. | Codon-optimized CFTR MRNA |
| US11739308B2 (en) | 2017-03-15 | 2023-08-29 | The Broad Institute, Inc. | Cas13b orthologues CRISPR enzymes and systems |
| WO2018170333A1 (en) | 2017-03-15 | 2018-09-20 | The Broad Institute, Inc. | Novel cas13b orthologues crispr enzymes and systems |
| EP4361261A2 (en) | 2017-03-15 | 2024-05-01 | The Broad Institute Inc. | Novel cas13b orthologues crispr enzymes and systems |
| WO2018191388A1 (en) | 2017-04-12 | 2018-10-18 | The Broad Institute, Inc. | Novel type vi crispr orthologs and systems |
| US11840711B2 (en) | 2017-04-12 | 2023-12-12 | The Broad Institute, Inc. | Type VI CRISPR orthologs and systems |
| US11591601B2 (en) | 2017-05-05 | 2023-02-28 | The Broad Institute, Inc. | Methods for identification and modification of lncRNA associated with target genotypes and phenotypes |
| US11173190B2 (en) | 2017-05-16 | 2021-11-16 | Translate Bio, Inc. | Treatment of cystic fibrosis by delivery of codon-optimized mRNA encoding CFTR |
| US12297436B2 (en) | 2017-05-18 | 2025-05-13 | The Broad Institute, Inc. | Systems, methods, and compositions for targeted nucleic acid editing |
| US11786607B2 (en) | 2017-06-15 | 2023-10-17 | Modernatx, Inc. | RNA formulations |
| US11744801B2 (en) | 2017-08-31 | 2023-09-05 | Modernatx, Inc. | Methods of making lipid nanoparticles |
| US12357575B2 (en) | 2017-08-31 | 2025-07-15 | Modernatx, Inc. | Methods of making lipid nanoparticles |
| WO2019060746A1 (en) | 2017-09-21 | 2019-03-28 | The Broad Institute, Inc. | Systems, methods, and compositions for targeted nucleic acid editing |
| WO2019071054A1 (en) | 2017-10-04 | 2019-04-11 | The Broad Institute, Inc. | Methods and compositions for altering function and structure of chromatin loops and/or domains |
| US12433803B2 (en) | 2017-10-31 | 2025-10-07 | The Broad Institute, Inc. | Methods and compositions for studying cell evolution |
| US11547614B2 (en) | 2017-10-31 | 2023-01-10 | The Broad Institute, Inc. | Methods and compositions for studying cell evolution |
| WO2019094983A1 (en) | 2017-11-13 | 2019-05-16 | The Broad Institute, Inc. | Methods and compositions for treating cancer by targeting the clec2d-klrb1 pathway |
| WO2019126709A1 (en) | 2017-12-22 | 2019-06-27 | The Broad Institute, Inc. | Cas12b systems, methods, and compositions for targeted dna base editing |
| US11999767B2 (en) | 2018-04-03 | 2024-06-04 | The Broad Institute, Inc. | Target recognition motifs and uses thereof |
| US10968257B2 (en) | 2018-04-03 | 2021-04-06 | The Broad Institute, Inc. | Target recognition motifs and uses thereof |
| WO2020033601A1 (en) | 2018-08-07 | 2020-02-13 | The Broad Institute, Inc. | Novel cas12b enzymes and systems |
| WO2020041380A1 (en) | 2018-08-20 | 2020-02-27 | The Broad Institute, Inc. | Methods and compositions for optochemical control of crispr-cas9 |
| US12421507B2 (en) | 2018-08-20 | 2025-09-23 | The Broad Institute, Inc. | Methods and compositions for optochemical control of CRISPR-CAS9 |
| US12084702B2 (en) | 2018-08-24 | 2024-09-10 | Translate Bio, Inc. | Methods for purification of messenger RNA |
| US11174500B2 (en) | 2018-08-24 | 2021-11-16 | Translate Bio, Inc. | Methods for purification of messenger RNA |
| US11505578B2 (en) | 2018-09-18 | 2022-11-22 | Vnv Newco Inc. | Endogenous Gag-based capsids and uses thereof |
| US11447527B2 (en) | 2018-09-18 | 2022-09-20 | Vnv Newco Inc. | Endogenous Gag-based capsids and uses thereof |
| US12090235B2 (en) | 2018-09-20 | 2024-09-17 | Modernatx, Inc. | Preparation of lipid nanoparticles and methods of administration thereof |
| US12195505B2 (en) | 2018-11-21 | 2025-01-14 | Translate Bio, Inc. | Treatment of cystic fibrosis by delivery of nebulized mRNA encoding CFTR |
| US12215382B2 (en) | 2019-03-01 | 2025-02-04 | The General Hospital Corporation | Liver protective MARC variants and uses thereof |
| WO2020191102A1 (en) | 2019-03-18 | 2020-09-24 | The Broad Institute, Inc. | Type vii crispr proteins and systems |
| WO2020236972A2 (en) | 2019-05-20 | 2020-11-26 | The Broad Institute, Inc. | Non-class i multi-component nucleic acid targeting systems |
| WO2021055855A1 (en) | 2019-09-20 | 2021-03-25 | The Broad Institute, Inc. | Compositions and methods for delivering cargo to a target cell |
| US12297426B2 (en) | 2019-10-01 | 2025-05-13 | The Broad Institute, Inc. | DNA damage response signature guided rational design of CRISPR-based systems and therapies |
| US12611442B2 (en) | 2020-09-17 | 2026-04-28 | Translate Bio, Inc. | mRNA encoding engineered CFTR |
| WO2023196818A1 (en) | 2022-04-04 | 2023-10-12 | The Regents Of The University Of California | Genetic complementation compositions and methods |
| WO2024145281A1 (en) * | 2022-12-27 | 2024-07-04 | Massachusetts Institute Of Technology | Biodegradable lipids and formulations for intramuscular, in vitro, and ex vivo transfection of mrna |
| WO2025072383A1 (en) | 2023-09-25 | 2025-04-03 | The Broad Institute, Inc. | Viral open reading frames, uses thereof, and methods of detecting the same |
| WO2025097055A2 (en) | 2023-11-02 | 2025-05-08 | The Broad Institute, Inc. | Compositions and methods of use of t cells in immunotherapy |
| WO2025129158A1 (en) | 2023-12-15 | 2025-06-19 | The Broad Institute, Inc. | Engineered arc delivery vesicles and uses thereof |
| WO2025250808A1 (en) | 2024-05-29 | 2025-12-04 | The Brigham And Women’S Hospital, Inc. | Anti-crispr delivery compositions and methods |
Also Published As
| Publication number | Publication date |
|---|---|
| WO2012135025A3 (en) | 2013-01-24 |
| DK2691443T3 (en) | 2021-05-03 |
| US20190167795A1 (en) | 2019-06-06 |
| US20160206740A1 (en) | 2016-07-21 |
| US10117934B2 (en) | 2018-11-06 |
| US20210260195A1 (en) | 2021-08-26 |
| US12390528B2 (en) | 2025-08-19 |
| EP2691443A2 (en) | 2014-02-05 |
| CA2831392A1 (en) | 2012-10-04 |
| US9238716B2 (en) | 2016-01-19 |
| EP2691443B1 (en) | 2021-02-17 |
| PL2691443T3 (en) | 2021-08-30 |
| US20120251560A1 (en) | 2012-10-04 |
| US10933139B2 (en) | 2021-03-02 |
| CA2831392C (en) | 2020-04-28 |
Similar Documents
| Publication | Publication Date | Title |
|---|---|---|
| US12390528B2 (en) | Conjugated lipomers and uses thereof | |
| JP7527650B2 (en) | N-Terminally Functionalized Amino Acid Derivatives Capable of Forming Drug-Loaded Microspheres | |
| US9872911B2 (en) | Alpha-aminoamidine polymers and uses thereof | |
| HK40082319A (en) | Amino acid-, peptide- an polypeptide-lipids, isomers, compositions, an uses thereof | |
| EA040020B1 (en) | AMINO ACID DERIVATIVES FUNCTIONALIZED AT THE N-TERMINAL, CAPABLE OF FORMING DRUG ENCAPSULATED MICROSPHERES |
Legal Events
| Date | Code | Title | Description |
|---|---|---|---|
| 121 | Ep: the epo has been informed by wipo that ep was designated in this application |
Ref document number: 12724782 Country of ref document: EP Kind code of ref document: A2 |
|
| ENP | Entry into the national phase |
Ref document number: 2831392 Country of ref document: CA |
|
| NENP | Non-entry into the national phase |
Ref country code: DE |
|
| WWE | Wipo information: entry into national phase |
Ref document number: 2012724782 Country of ref document: EP |















































































































































































