WO2012079673A1 - Organische elektrolumineszenzvorrichtung - Google Patents

Organische elektrolumineszenzvorrichtung Download PDF

Info

Publication number
WO2012079673A1
WO2012079673A1 PCT/EP2011/005803 EP2011005803W WO2012079673A1 WO 2012079673 A1 WO2012079673 A1 WO 2012079673A1 EP 2011005803 W EP2011005803 W EP 2011005803W WO 2012079673 A1 WO2012079673 A1 WO 2012079673A1
Authority
WO
WIPO (PCT)
Prior art keywords
formula
compound according
organic
group
alkyl
Prior art date
Legal status (The legal status is an assumption and is not a legal conclusion. Google has not performed a legal analysis and makes no representation as to the accuracy of the status listed.)
Ceased
Application number
PCT/EP2011/005803
Other languages
English (en)
French (fr)
Inventor
Junyou Pan
Niels Schulte
Current Assignee (The listed assignees may be inaccurate. Google has not performed a legal analysis and makes no representation or warranty as to the accuracy of the list.)
Merck Patent GmbH
Original Assignee
Merck Patent GmbH
Priority date (The priority date is an assumption and is not a legal conclusion. Google has not performed a legal analysis and makes no representation as to the accuracy of the date listed.)
Filing date
Publication date
Application filed by Merck Patent GmbH filed Critical Merck Patent GmbH
Priority to US13/992,088 priority Critical patent/US9193902B2/en
Priority to JP2013543551A priority patent/JP6284767B2/ja
Priority to EP11788044.3A priority patent/EP2652082B1/de
Publication of WO2012079673A1 publication Critical patent/WO2012079673A1/de
Anticipated expiration legal-status Critical
Ceased legal-status Critical Current

Links

Classifications

    • CCHEMISTRY; METALLURGY
    • C09DYES; PAINTS; POLISHES; NATURAL RESINS; ADHESIVES; COMPOSITIONS NOT OTHERWISE PROVIDED FOR; APPLICATIONS OF MATERIALS NOT OTHERWISE PROVIDED FOR
    • C09KMATERIALS FOR MISCELLANEOUS APPLICATIONS, NOT PROVIDED FOR ELSEWHERE
    • C09K11/00Luminescent, e.g. electroluminescent, chemiluminescent materials
    • C09K11/06Luminescent, e.g. electroluminescent, chemiluminescent materials containing organic luminescent materials
    • BPERFORMING OPERATIONS; TRANSPORTING
    • B82NANOTECHNOLOGY
    • B82YSPECIFIC USES OR APPLICATIONS OF NANOSTRUCTURES; MEASUREMENT OR ANALYSIS OF NANOSTRUCTURES; MANUFACTURE OR TREATMENT OF NANOSTRUCTURES
    • B82Y10/00Nanotechnology for information processing, storage or transmission, e.g. quantum computing or single electron logic
    • HELECTRICITY
    • H05ELECTRIC TECHNIQUES NOT OTHERWISE PROVIDED FOR
    • H05BELECTRIC HEATING; ELECTRIC LIGHT SOURCES NOT OTHERWISE PROVIDED FOR; CIRCUIT ARRANGEMENTS FOR ELECTRIC LIGHT SOURCES, IN GENERAL
    • H05B33/00Electroluminescent light sources
    • H05B33/12Light sources with substantially two-dimensional radiating surfaces
    • H05B33/14Light sources with substantially two-dimensional radiating surfaces characterised by the chemical or physical composition or the arrangement of the electroluminescent material, or by the simultaneous addition of the electroluminescent material in or onto the light source
    • HELECTRICITY
    • H10SEMICONDUCTOR DEVICES; ELECTRIC SOLID-STATE DEVICES NOT OTHERWISE PROVIDED FOR
    • H10KORGANIC ELECTRIC SOLID-STATE DEVICES
    • H10K85/00Organic materials used in the body or electrodes of devices covered by this subclass
    • H10K85/30Coordination compounds
    • H10K85/341Transition metal complexes, e.g. Ru(II)polypyridine complexes
    • H10K85/342Transition metal complexes, e.g. Ru(II)polypyridine complexes comprising iridium
    • HELECTRICITY
    • H10SEMICONDUCTOR DEVICES; ELECTRIC SOLID-STATE DEVICES NOT OTHERWISE PROVIDED FOR
    • H10KORGANIC ELECTRIC SOLID-STATE DEVICES
    • H10K85/00Organic materials used in the body or electrodes of devices covered by this subclass
    • H10K85/30Coordination compounds
    • H10K85/341Transition metal complexes, e.g. Ru(II)polypyridine complexes
    • H10K85/344Transition metal complexes, e.g. Ru(II)polypyridine complexes comprising ruthenium
    • HELECTRICITY
    • H10SEMICONDUCTOR DEVICES; ELECTRIC SOLID-STATE DEVICES NOT OTHERWISE PROVIDED FOR
    • H10KORGANIC ELECTRIC SOLID-STATE DEVICES
    • H10K85/00Organic materials used in the body or electrodes of devices covered by this subclass
    • H10K85/30Coordination compounds
    • H10K85/341Transition metal complexes, e.g. Ru(II)polypyridine complexes
    • H10K85/346Transition metal complexes, e.g. Ru(II)polypyridine complexes comprising platinum
    • HELECTRICITY
    • H10SEMICONDUCTOR DEVICES; ELECTRIC SOLID-STATE DEVICES NOT OTHERWISE PROVIDED FOR
    • H10KORGANIC ELECTRIC SOLID-STATE DEVICES
    • H10K85/00Organic materials used in the body or electrodes of devices covered by this subclass
    • H10K85/60Organic compounds having low molecular weight
    • H10K85/615Polycyclic condensed aromatic hydrocarbons, e.g. anthracene
    • H10K85/621Aromatic anhydride or imide compounds, e.g. perylene tetra-carboxylic dianhydride or perylene tetracarboxylic di-imide
    • HELECTRICITY
    • H10SEMICONDUCTOR DEVICES; ELECTRIC SOLID-STATE DEVICES NOT OTHERWISE PROVIDED FOR
    • H10KORGANIC ELECTRIC SOLID-STATE DEVICES
    • H10K85/00Organic materials used in the body or electrodes of devices covered by this subclass
    • H10K85/60Organic compounds having low molecular weight
    • H10K85/649Aromatic compounds comprising a hetero atom
    • H10K85/652Cyanine dyes
    • CCHEMISTRY; METALLURGY
    • C09DYES; PAINTS; POLISHES; NATURAL RESINS; ADHESIVES; COMPOSITIONS NOT OTHERWISE PROVIDED FOR; APPLICATIONS OF MATERIALS NOT OTHERWISE PROVIDED FOR
    • C09KMATERIALS FOR MISCELLANEOUS APPLICATIONS, NOT PROVIDED FOR ELSEWHERE
    • C09K2211/00Chemical nature of organic luminescent or tenebrescent compounds
    • C09K2211/18Metal complexes
    • C09K2211/185Metal complexes of the platinum group, i.e. Os, Ir, Pt, Ru, Rh or Pd
    • HELECTRICITY
    • H10SEMICONDUCTOR DEVICES; ELECTRIC SOLID-STATE DEVICES NOT OTHERWISE PROVIDED FOR
    • H10KORGANIC ELECTRIC SOLID-STATE DEVICES
    • H10K10/00Organic devices specially adapted for rectifying, amplifying, oscillating or switching; Organic capacitors or resistors having potential barriers
    • H10K10/40Organic transistors
    • H10K10/46Field-effect transistors, e.g. organic thin-film transistors [OTFT]
    • H10K10/462Insulated gate field-effect transistors [IGFETs]
    • H10K10/484Insulated gate field-effect transistors [IGFETs] characterised by the channel regions
    • HELECTRICITY
    • H10SEMICONDUCTOR DEVICES; ELECTRIC SOLID-STATE DEVICES NOT OTHERWISE PROVIDED FOR
    • H10KORGANIC ELECTRIC SOLID-STATE DEVICES
    • H10K2101/00Properties of the organic materials covered by group H10K85/00
    • H10K2101/10Triplet emission
    • HELECTRICITY
    • H10SEMICONDUCTOR DEVICES; ELECTRIC SOLID-STATE DEVICES NOT OTHERWISE PROVIDED FOR
    • H10KORGANIC ELECTRIC SOLID-STATE DEVICES
    • H10K30/00Organic devices sensitive to infrared radiation, light, electromagnetic radiation of shorter wavelength or corpuscular radiation
    • H10K30/30Organic devices sensitive to infrared radiation, light, electromagnetic radiation of shorter wavelength or corpuscular radiation comprising bulk heterojunctions, e.g. interpenetrating networks of donor and acceptor material domains
    • HELECTRICITY
    • H10SEMICONDUCTOR DEVICES; ELECTRIC SOLID-STATE DEVICES NOT OTHERWISE PROVIDED FOR
    • H10KORGANIC ELECTRIC SOLID-STATE DEVICES
    • H10K30/00Organic devices sensitive to infrared radiation, light, electromagnetic radiation of shorter wavelength or corpuscular radiation
    • H10K30/50Photovoltaic [PV] devices
    • HELECTRICITY
    • H10SEMICONDUCTOR DEVICES; ELECTRIC SOLID-STATE DEVICES NOT OTHERWISE PROVIDED FOR
    • H10KORGANIC ELECTRIC SOLID-STATE DEVICES
    • H10K50/00Organic light-emitting devices
    • HELECTRICITY
    • H10SEMICONDUCTOR DEVICES; ELECTRIC SOLID-STATE DEVICES NOT OTHERWISE PROVIDED FOR
    • H10KORGANIC ELECTRIC SOLID-STATE DEVICES
    • H10K50/00Organic light-emitting devices
    • H10K50/10OLEDs or polymer light-emitting diodes [PLED]
    • H10K50/11OLEDs or polymer light-emitting diodes [PLED] characterised by the electroluminescent [EL] layers
    • HELECTRICITY
    • H10SEMICONDUCTOR DEVICES; ELECTRIC SOLID-STATE DEVICES NOT OTHERWISE PROVIDED FOR
    • H10KORGANIC ELECTRIC SOLID-STATE DEVICES
    • H10K85/00Organic materials used in the body or electrodes of devices covered by this subclass
    • H10K85/20Carbon compounds, e.g. carbon nanotubes or fullerenes
    • H10K85/211Fullerenes, e.g. C60
    • H10K85/215Fullerenes, e.g. C60 comprising substituents, e.g. PCBM
    • YGENERAL TAGGING OF NEW TECHNOLOGICAL DEVELOPMENTS; GENERAL TAGGING OF CROSS-SECTIONAL TECHNOLOGIES SPANNING OVER SEVERAL SECTIONS OF THE IPC; TECHNICAL SUBJECTS COVERED BY FORMER USPC CROSS-REFERENCE ART COLLECTIONS [XRACs] AND DIGESTS
    • Y02TECHNOLOGIES OR APPLICATIONS FOR MITIGATION OR ADAPTATION AGAINST CLIMATE CHANGE
    • Y02EREDUCTION OF GREENHOUSE GAS [GHG] EMISSIONS, RELATED TO ENERGY GENERATION, TRANSMISSION OR DISTRIBUTION
    • Y02E10/00Energy generation through renewable energy sources
    • Y02E10/50Photovoltaic [PV] energy
    • Y02E10/549Organic PV cells

Definitions

  • the present invention relates to compounds of general formula (SA) n -T in which at least one fluorescent group S is linked via a bivalent group A with a phosphorescent group, their use in an electronic device, and a
  • Organic-based charge transport materials i.i., triarylamine-based hole transporters
  • organic or polymeric light-emitting diodes OLEDs or PLEDs
  • O-SC organic solar cells
  • O-FET organic field-effect transistors
  • O-TFT organic thin-film transistors
  • O-IC organic switching elements
  • O-lasers organic optical amplifiers or organic laser diodes
  • planarization layer often made of a conductive, doped polymer
  • the above arrangement represents the general structure of an opto-electronic device, wherein different layers
  • a "small molecule OLED” consists for example of one or more organic hole injection layers, hole transport layers, emission layers,
  • Molecules such as polymers, but also for many small molecules
  • Components are usually distributed statistically. For some reasons,
  • the Förster energy transfer rate can theoretically be represented by the following equation: r DA oc VR 6 , where R represents the distance between donor and acceptor. This distance is commonly referred to as the Förster radius.
  • R represents the distance between donor and acceptor. This distance is commonly referred to as the Förster radius.
  • Förster or Dexter it is thus necessary to position the donor and acceptor, ie the two compounds, the fluorescent emitter compound and the phosphorescent emitter compound, as close to each other as possible, advantageously within the so-called "forestry" Radius.
  • Ink jet printing are applied to the substrate. However, many materials do not show good film-forming properties caused by the high mobility of the small molecules in the solvent.
  • the object of the present invention was therefore in the
  • Emitter molecules may be present in a layer of an electronic device.
  • the present invention provides a compound of the following Formula (1) ready:
  • S at each occurrence is independently a monovalent group comprising a fluorescent emitter moiety
  • T is an n-valent group that is a phosphorescent
  • Emitter unit comprises; independently at each occurrence, represents a single covalent bond or a divalent moiety; n is an integer greater than or equal to 1.
  • quintet emitter, S 2
  • Phosphorescent compounds also longer luminescence decay times compared to fluorescent compounds.
  • phosphorescent emitter units are particularly suitable
  • Compounds which, when suitably excited, emit light preferably in the visible range, and also contain at least one atom of atomic numbers> 38 and ⁇ 84, more preferably> 56 and ⁇ 80.
  • Electroluminescence are known.
  • the phosphorescent emitter unit is preferably a metal-ligand coordination compound. It is preferred that A binds to one atom of a ligand of the metal-ligand coordination compound T. In this case, an H atom of an atom of the ligand is preferably absent and the corresponding atom of the ligand forms a link to the bivalent unit A at this point.
  • the compound of the formula (1) according to the invention has excellent energy transfer rates between the two centers S and T due to the covalent linking of the groups S and T by the bivalent unit A.
  • energy transfer is understood in the present invention to mean a physical process in which energy of a
  • the group S functions as donor, and the group T as acceptor in the sense of said energy transfer.
  • the group S acts as an acceptor, and the group T as a donor in the sense of said energy transfer.
  • the metal-ligand coordination compound preferably comprises a metal M which is a transition metal, a main group metal or a lanthanide. If M is a main group metal, then it is preferably a metal of the third, fourth or fifth main group, in particular for tin. If M is a transition metal, then it is preferably Ir, Ru, Os, Pt, Zn, Cu, Mo, W, Rh, Re, Au and Pd, most preferably Ru, Ir, Pt and Cu. As lanthanide Eu is preferred.
  • M is a transition metal, in particular a tetracoordinate, a pentacoordinated or a hexacoordinated transition metal, more preferably selected from the group consisting of chromium, molybdenum, tungsten, rhenium, ruthenium, osmium , Rhodium, iridium, nickel, palladium, platinum, copper, silver and gold, in particular molybdenum, tungsten, rhenium, ruthenium, osmium, iridium, platinum, copper and gold. Most preferred are iridium and platinum.
  • the metals can be present in different oxidation states.
  • the ligands of the metal-ligand coordination compound are preferably mono-, bi-, tri-, tetra-, penta- or hexadentate ligands.
  • M is a hexacoordinated metal
  • M is with two tridentate ligands or with a tetradentate and a bidentate ligand or with a pentadentate and a monodentate
  • M is coordinated with three bidentate ligands or with a tridentate, a bidentate and a monodentate ligand or with a tetradentate and two monodentate ligands;
  • M is with two bidentate and two monodentate ligands or one tridentate and three
  • M is coordinated with a bidentate and four monodentate ligands
  • M is coordinated with 6 monodentate ligands.
  • M is a hexacoordinated metal
  • m 3 and the ligands are each bidentate ligands.
  • the ligands' denticity is dependent on m, which indicates the number of ligands
  • M is a tetracoordinated metal
  • m 2
  • the ligands are bidentate ligands.
  • the ligands of the metal-ligand coordination compound are preferably neutral, monoanionic, dianionic or trianionic ligands, more preferably neutral or monoanionic ligands. They may be monodentate, bidentate, tridentate, tetradentate pentadentate or hexadentate, and are preferably bidentate, thus preferably having two
  • At least one ligand of the metal-ligand coordination compound is a bidentate ligand.
  • Preferred neutral, monodentate ligands of the metal-ligand coordination compound are selected from carbon monoxide, nitrogen monoxide, alkyl cyanides, such as. For example, acetonitrile, aryl cyanides, such as. B.
  • alkyl isocyanides such as.
  • methylisononitrile methylisononitrile
  • aryl isocyanides such as.
  • amines such as. Trimethylamine, triethylamine
  • Morpholine phosphines, in particular halogenophosphines, trialkyl phosphines, triarylphosphines or alkylarylphosphines, such as.
  • Trifluorophosphine trimethylphosphine, tricyclohexylphosphine, tri-tert-butylphosphine, triphenylphosphine, tris (pentafluorophenyl) phosphine, phosphites, such as.
  • trimethyl phosphite triethyl phosphite
  • arsines such as.
  • Preferred monoanionic, monodentate ligands of the metal-ligand coordination compound are selected from hydride, deuteride, the halides F ⁇ , Cl ⁇ , Br ⁇ and ⁇ , alkyl acetylides, such as.
  • methyl-C ⁇ C " , tert-butyl-C C ⁇
  • arylacetylidene such as, for example, phenyl-CsC " , cyanide, cyanate, isocyanate, thiocyanate, isothiocyanate, aliphatic or aromatic alcoholates, such as.
  • thioalcoholates such as.
  • methanethiolate, ethanethiolate, propanethiolate, / ' so-propanethiolate, tert-thiobutylate, thiophenolate amides, such as.
  • dimethylamide, diethylamide, di- / so-propylamide, morpholide carboxylates, such as.
  • Phenyl, naphthyl, and anionic nitrogen-containing heterocycles such as pyrrolidine, imidazolide, pyrazolide.
  • the alkyl groups in these groups are preferably C 1 -C 20 -alkyl groups, particularly preferably C 1 -C 4 -alkyl groups, very particularly preferably C 1 -C 4 -alkyl groups.
  • An aryl group is also understood to mean heteroaryl groups. These groups are as defined below.
  • Preferred di- or trianionic ligands of the metal-ligand coordination compound are O 2 " , S 2_ , carbides, which form a
  • Preferred neutral or mono- or dianionic, bidentate or higher-dentate ligands of the metal-ligand coordination compound are selected from diamines, such as. B. ethylenediamine, ⁇ , ⁇ , ⁇ ', ⁇ ' -tetra- methylethylenediamine, propylenediamine, ⁇ , ⁇ , ⁇ ', ⁇ ' -Tetramethylpropylendi- amine, cis or trans-diaminocyclohexane, cis- or trans-N, N, N ', N'-tetramethyldiaminocyclohexane, imines, such as. B.
  • o-phenanthroline diphosphines such.
  • pyridine-2-carboxylic acid quinoline-2-carboxylic acid, glycine, ⁇ , ⁇ -dimethylglycine, alanine, ⁇ , ⁇ -dimethylaminoalanine, salicyliminates derived from salicylimines, such as.
  • dialcoholates derived from dialcohols such as ethylene glycol, 1, 3-propylene glycol and dithiolates derived from dithiols, such as. B. 1, 2-ethylenedithiol, 1, 3-propylenedithiol.
  • Preferred tridentate ligands are borates of nitrogen-containing heterocycles, such as. As tetrakis (1-imidazolyl) borate and tetrakis (1-pyrazolyl) borate.
  • ligands such as are generally known in the field of phosphorescent metal complexes for organic electroluminescent cenzvorraumen be used, ie ligands of the type phenylpyridine, naphthylpyridine, phenylquinoline, phenylisoquinoline, etc., which may each be substituted by one or more radicals R.
  • the ligand of the metal-ligand coordination compound can then be formed from the groups of formulas (2) to (29) by each of these groups bonding to each other at the position indicated by #.
  • the position at which the groups coordinate to the metal are indicated by * .
  • R is the same or different on each occurrence from the group consisting of alkyl (s), cycloalkyl (s), alkylsilyl (s), silyl (s), arylsilyl (s), alkylalkoxyalkyl (s), arylalkoxyalkyl (s) , Alkylthioalkyl (s), phosphine, phosphine oxide, sulfone, alkylene sulfone, sulfoxide and alkylene sulfoxide, wherein the alkylene group each independently of one another has 1 to 12 C atoms and wherein one or more H atoms by F, Cl, Br, I , Alkyl or cycloalkyl, wherein one or more CH 2 may be replaced by a heteroatom, such as NH, O or S, or a
  • aromatic or heteroaromatic hydrocarbon radical may be replaced with 5 to 20 aromatic ring atoms.
  • X stands for N or CH. Particularly preferably, a maximum of three symbols X in each group stand for N, more preferably there are at most two symbols X in each group for N, more preferably, at most one symbol X in each group represents N. More preferably, all symbols X are CH.
  • ligands are r
  • ligands are 1,3,5-cis-cyclohexane derivatives, in particular of the formula (30), 1,1'-methylmethylene derivatives, in particular of the formula (31) and 1,1,1-trisubstituted methanes, in particular of the formula (32nd ) and (33),
  • the metal-ligand coordination compound T may be an anionic or cationic complex, but is preferably a neutral complex such that the compound of formula (1) is a neutral compound, i. the valence of the metal M and the valency of the ligands of the metal-ligand coordination compound are chosen to balance the charge within each coordination compound.
  • T is preferably a donor, preferably selected from the group of compounds containing the following ligands
  • R is the same or different in each occurrence and the same
  • Most particularly preferred for the group A of the compound of formula (1) are the compound of the group consisting of the following units, which may be further optionally substituted by one or more R radicals, wherein the radicals R are the same or different and which have the meaning given for the compound of formula (10).
  • the group T in the compound of formula (1) is a metal-ligand coordination compound which functions as a dye
  • the dye which is a metal complex has the general formula ML 2 (X) 2, wherein L is preferably selected from the group consisting of 2,2'-bipyridyl-4,4'-dicarboxylic acids and wherein M is a transition metal, which is preferably selected from the group consisting of Ru, Os, Fe, V and Cu and wherein X is selected from the group consisting of halides, cyanides, thiocyanates, acetylacetonates, thiacarbamates or water substituents.
  • L is preferably selected from the group consisting of 2,2'-bipyridyl-4,4'-dicarboxylic acids
  • M is a transition metal, which is preferably selected from the group consisting of Ru, Os, Fe, V and Cu
  • X is selected from the group consisting of halides, cyanides, thiocyanates, acetylacetonates, thiacarbamates or water substituents.
  • metal complexes are described,
  • WO 91/16719 discloses.
  • a phosphorescent emitter unit listed above represent the abovementioned group T and, depending on the index n, are attached to one or more groups A
  • the binding takes place in that one or more hydrogen atoms are not present on the ligand and at this point the binding to the group (s) A takes place.
  • the group S is preferably a monovalent group containing or consisting of a fluorescent emitter unit.
  • a fluorescent emitter unit is generally a unit that emits light, preferably in the visible range, from an excited singlet state.
  • the fluorescent emitter unit preferably comprises the following compounds: mono- or polycyclic aromatic or heteroaromatic ring systems having 5 to 60 aromatic ring atoms or also tolan, stilbene or Bisstyrylarylenderivate, each of which may be substituted by one or more R radicals.
  • Particularly preferred is the incorporation of 1, 4-phenyl, 1, 4-naphthyl, 1, 4- or 9,10-anthryl, 1, 6, 2,7- or 4,9-pyrenyl, 3.9- or 3,10-perylenyl, 4,4-biphenylyl, 4,4 "- terphenylyl, 4,4'-bi-1, 1 '-naphthylyl, 4,4'-tolanyl, 4,4-stilbenyl, 4,4 "-Bisstyrylaryl, benzothiadiazolyl, quinoxalinyl, phenothiazinyl, phenoxazinyl, dihydrophenazinyl, bis (thiophenyl) aryl, oligo (thiophenyl), phenazinyl, rubrenyl, pentacenyl, squarinyl and quinacridonyl, which are preferably substituted, or preferably conjugated push-pull systems
  • S is selected from the group consisting of monostyrylamines, distyrylamines, tristyrylamines, tetrastyrylamines, styrylphosphines, styryl ethers, arylamines, indenofluorenamines,
  • Indenofluorendiaminen and their derivatives consists.
  • any organic emitter emitter compound may be used in accordance with the invention as unit S known to those skilled in the art of organic light emitting diodes or organic light emitting electrochemical cells.
  • the unit S in the compound of the formula (1) according to the invention is preferably selected from the following: styrylamine derivatives, indenofluorene derivatives, polyaromatic compounds, anthracene derivatives, tetracene derivatives, xanthene derivatives, perylene derivatives,
  • Phenylene derivatives fluorene derivatives, arylpyrene derivatives, arylenevinylene derivatives, rubrene derivatives, coumarin derivatives, rhodamine derivatives, quinacridone derivatives, dicyanomethylenepyrane derivatives, thiopyran, polymethine derivatives, pyrylium and thiapyrylium salts, periflanthene Derivatives, indenoperylene derivatives, bis (azinyl) iminboron compounds, bis (azinyl) methine compounds, carbostyryl compounds, monostyrylamines, distyrylamines, tristyrylamines, tetrastyrylamines, styrylphosphines, styryl ethers, arylamines, indenofluoreneamines and indenofluorenediamines, benzoindeno derivatives fluorenamines, benzoindenofluorodiamines, di
  • polyaromatic compounds such as 9,10-di (2-naphthylanthracene) and other anthracene derivatives, derivatives of tetracene, xanthene, perylene such as 2,5,8,11-tetra-t-butylperylene, phenylene, e.g. 4,4 '- (bis (9-ethyl-3-carbazovinylene) -1, 1'-biphenyl, fluorene, arylpyrene (US 2006/0222886), arylenevinylenes
  • blue emitter emitter compounds as unit S may be emitters disclosed in C.H. Chen et al .: "Recent
  • a monostyrylamine is in this case a compound which contains a substituted or unsubstituted styryl group and at least one, preferably aromatic, amine.
  • a distyrylamine is preferably a compound containing two substituted or unsubstituted styryl groups and at least one, preferably aromatic, amine.
  • a tristyrylamine is preferably a compound containing three substituted or unsubstituted styryl groups and at least one, preferably aromatic, amine.
  • a tetrastyrylamine is preferably one
  • the styryl group is a stilbene which may be further substituted.
  • the corresponding suitable phosphines and ethers according to the invention are defined analogously to the amines.
  • arylamine or aromatic amine means a compound which contains three substituted or unsubstituted aromatic or heteroaromatic ring systems which are bonded directly to a nitrogen atom.
  • Ring systems can be a condensed ring.
  • Preferred examples thereof are aromatic anthracene amines, aromatic anthracene diamines, aromatic pyrene amines, aromatic pyrene diamines, aromatic chrysene amines and aromatic chrysene diamines.
  • An aromatic anthracene amine may be a compound in which a diarylamine group is bonded directly to an anthracene group, preferably at position 9.
  • An aromatic anthracene diamine may be a compound in which two diarylamine groups are bonded directly to an anthracene group, preferably at positions 9 and 10.
  • Aromatic pyrene amines, pyrene diamines, chrysene amines and chrysene diamines are defined analogously to where the diarylamine groups on the pyrene are preferably attached at position 1 or at positions 1 and 6.
  • fluorescent emitter compounds are indeno-fluorene amines and indenofluorene diamines, e.g. according to WO 2006/122630, benzoindenofluorene amines and benzoindenofluorene diamines, e.g. according to WO 2008/006449, and dibenzoindenofluorene-amines and dibenzo-indenofluorene-diamines, e.g. according to WO 2007/140847.
  • Emitter compounds from the class of styrylamines are substituted or unsubstituted tristilbene amines or those described in WO 2006/000388, WO 2006/058737, WO 2006/000389, WO 2007/065549 and US Pat
  • WO 2007/115610 are described. Distyrylbenzene and distyrylbiphenyl derivatives are described in US 5121029. Other styrylamines can be found in US 2007/0122656 A1. Particularly preferred styrylamines and triarylamines are the compounds of formulas (183) to (188) and those disclosed in US 7250532 B2, DE 102005058557 A1, CN 1583691 A, JP 08053397 A, US 6251531 B1, and US 2006/210830 A. , Further preferred fluorescent emitter compounds can be taken from the group of triarylamines as disclosed in EP 1957606 A1 and US 2008/0113101 A1.
  • fluorescent emitter compounds can be prepared from the derivatives of naphthalene, anthracene, tetracenes, fluorene, periflavane, indenoperylene, phenanthrene, perylene (US 2007/0252517 A1), Pyrens, Chrysens, Decacyclens, Coronens, tetraphenylcyclopentadiene, pentaphenylcyclopentadiene, fluorene, spirofluorene, Rubrens, Coumarins (US 4769292, US 6020078, US 2007/0252517 A1), pyrans, oxazones, benzoxazoles, benzothiazoles, benzimidazoles, pyrazines, cinnamic acid esters, diketopyrrolopyrroles, acridone and quinacridone (US 2007/0252517 A1).
  • anthracene compounds are the 9,10-substituted ones
  • Anthracenes such as e.g. 9,10-diphenylanthracene and 9,10-bis (phenylethynyl) anthracene, preferred.
  • 1,4-bis (9'-ethynylanthracenyl) benzene may be preferred as the fluorescent emitter compound.
  • Suitable fluorescent emitter units are furthermore the structures depicted in the following table, and those described in JP 06/001973, WO 2004/047499, WO 2006/098080, WO 2007/065678,
  • the unit S consists of one of said fluorescent emitter compounds.
  • the group S is preferably bonded to A such that one of the hydrogen atoms is absent and at this point the bond to the unit A takes place.
  • the group S of the compound of formula (1) is an absorbing group which As a dye works, in particular as an acceptor in the sense of said energy transfer.
  • organic dyes as used in the prior art for "organic solar cells (OPVs)" and as they are known in the art of OPVs.
  • R is the same or different at each occurrence and is a residue which
  • X and Y are the same or different at each occurrence and are selected from H. halogen, alkyl, alkoxyalkyl, alkylsilyl, silyl, alkylalkoxyalky groups,
  • the bivalent unit A is preferably a conjugated or conjugation-interrupting unit.
  • the unit A is particularly preferably a conjugation-interrupting unit. This has the advantage that the energy transfer rates between the groups T and S are increased without changing the electronic properties of T and / or S.
  • the conjugated unit is preferably a substituted or unsubstituted mono- or polycyclic aromatic or heteroaromatic ring system having 5 to 60 aromatic ring atoms.
  • conjugation-interrupting unit a moiety that interferes with, preferably interrupts, the conjugation, i. a possible conjugation of the A-binding ligands is disturbed or preferably interrupted.
  • conjugation is meant in the
  • a unit which is a conjugate-interrupting unit is understood as meaning a unit
  • Overlapping disturbs or preferably completely inhibits. This can be done for example by a unit in which the conjugation is disturbed by at least one sp 3 -hybridized atom, preferably carbon. Likewise, the conjugation may be disturbed by a non sp 3 -hybridized atom, for example by N, P or Si.
  • the konjugationsunterêtde unit is preferably selected from the group consisting of linear or branched Ci.i 2 alkylene, C 3-8 - cycloalkylene, linear or branched mono- (Ci -12 alkyl) silylene, linear or branched di- ( Ci-i 2 -alkyl) -silylene, linear or
  • branched tri- (Ci -12 alkyl) silylene a silylene group, which has one, two or three mono- or polycyclic aromatic or heteroaromatic ring system having 5 to 60 aromatic ring atoms substituted silylene linear or branched Sii -5, linear or branched d.
  • aryl-Ci-i 2 -alkyl-oxy-Ci-i 2 -alkyl-oxy-Ci-i 2 -alkylene linear or branched aryl-Ci-i 2 -alkyl-oxy-Ci-i 2 -alkylene, wherein aryl is a mono- or polycyclic aromatic or heteroaromatic ring system having 5 to 60 aromatic Ring atoms is, linear or branched Ci-i 2- alkyl-thio-Ci - 2- alkylene, sulfone, linear or branched Ci -12 alkylene sulfone, sulfoxide and linear or branched Ci-i 2 -Alkylensulfoxid consists, wherein one or more HI - atoms of the groups mentioned by F, Cl, Br, I, a further Ci -12 - alkyl or C3-8 cycloalkyl, wherein one or more CH 2 groups of the alkyl or cycloalkyl substituted by
  • A is a linear or branched C ⁇ 2 - alkylene or wherein one or more H atoms may be replaced by F.
  • A is a C 1-12 -alkylene or C 3-8 -cycloalkylene substituted with two bivalent mono- or polycyclic aromatic or heteroaromatic ring systems having from 5 to 60 aromatic ring atoms, and linking to S an aromatic atom of the one ring system and the bond to T via an aromatic atom of the other ring system takes place.
  • A corresponds to a bivalent unit of the general formulas (240) to (254),
  • R 1 , R 2 , R 3 and R 4 are each independently alkyl (s), cycloalkyl (s), alkylsilyl (s), silyl ( en), arylsilyl (s), alkylalkoxyalkyl (s), arylalkoxyalkyl (s), alkylthioalkyl (s), phosphine, phosphine oxide, sulfone, alkylene sulfone, sulfone oxide, alkylene sulfone oxide, wherein the alkylene group is independently of one another 1 to 12 C atoms and wherein one or more H atoms by F, Cl, Br, I, alkyl or
  • Cycloalkyl wherein one or more CH 2 may be replaced by a heteroatom such as NH, O or S, or an aromatic or heteroaromatic hydrocarbon radical may be replaced with 5 to 20 aromatic ring atoms.
  • the substituents R 1 to R 4 may either be adjacent to one another at the respective An, Ar 2 or Ar 3 or one or more ring atoms may be present therebetween.
  • the atoms to which the substituents R 1 to R 4 are bonded are preferably ring atoms of the aromatic or heteroaromatic unit.
  • Preferred for A are in particular the following structures
  • A Particularly preferred for A are the following structures, as disclosed, for example, in DE 102009023156.0:
  • Formula (270) Formula (271) wherein the dotted lines represent bonds to groups S and T and W and Z are independently selected from the group consisting of H, F, Ci-40 alkyl, C 2- 4o- Alkenyl, C 2 ⁇ o-alkynyl, a substituted or unsubstituted aromatic or
  • heteroaromatic hydrocarbon radical having 5 to 60 ring atoms.
  • the parameter n is preferably 1, 2, 3, 4 or 5, more preferably 1, 2 or 3, even more preferably 1 or 2 and most preferably 1. Further, it is preferred that an emission band of the fluorescent emitter unit of the compound of formula ( 1) has an emission maximum in the wavelength range of 500 to 750 nm
  • an absorption band of the fluorescent emitter unit of the compound of the formula (1) it is likewise preferred for an absorption band of the fluorescent emitter unit of the compound of the formula (1) to have an absorption maximum in the wavelength range from 400 to 600 nm.
  • An emission band of the phosphorescent emitter unit of the compound of the formula (1) preferably has an emission maximum in the wavelength range from 400 to 600 nm.
  • Emitter unit of the compound of formula (1) with an emission band of the phosphorescent emitter unit has an overlapping wavelength range. Furthermore, it is also preferable that an emission band of the fluorescent emitter unit of the compound of the formula (1) having an absorption band of the phosphorescent emitter unit has an overlapping wavelength range. Examples of compounds of the formula (1) according to the invention are the following:
  • linear, branched or cyclic alkyl groups preference is given to linear, branched or cyclic alkyl groups.
  • the linear alkyl groups preferably have 1 to 6, 1 to 10 or 1 to 40 carbon atoms.
  • the branched or cyclic alkyl groups preferably have 3 to 6, 3 to 10 or 3 to 40 carbon atoms.
  • One or more hydrogen atoms on these alkyl groups may be replaced by a fluorine atom.
  • one or more of the CH 2 groups of these Units are replaced by NR, O or S (R is a radical selected from the group consisting of H and Ci-6-alkyl).
  • CH 2 groups When one or more of the CH 2 groups is replaced by NR, O or S, it is particularly preferred that only one of these groups be replaced; particularly preferably by an O atom.
  • examples of such compounds include the following: methyl, ethyl, n -propyl, i -propyl, n -butyl, i -butyl, s -butyl, t -butyl, 2-methylbutyl, n -pentyl, s -pentyl, n- Hexyl, n-heptyl, n-octyl, 2-ethylhexyl, trifluoromethyl, pentafluoroethyl, 2,2,2-trifluoroethyl, cyclopentyl, cyclohexyl, cycloheptyl and cyclooctyl.
  • C 2-4 alkenyl is meant a linear alkenyl group of 2 to 40 carbon atoms or a branched or cyclic alkenyl group of 3 to 40 carbon atoms, more preferably a group of 2 or 3 to 20, even more preferably a group with 2 or 3 to 10 and most preferably a group of 2 or 3 to 6
  • One or more hydrogen atoms may be replaced by a fluorine atom.
  • one or more of the CH 2 - groups of these units may be replaced by NR, O or S (R is a radical selected from the group consisting of H and C 1-6 -alkyl).
  • R is a radical selected from the group consisting of H and C 1-6 -alkyl.
  • C 2-4 alkynyl is meant a linear or branched alkynyl group of 2 to 40 carbon atoms More preferably, the alkynyl group has 2 to 20, more preferably 2 to 10 and most preferably 2 to 6 carbon atoms
  • one or more of the CH 2 groups of these units may be replaced by NR, O or S (R is a radical selected from the group consisting of H and C 1-6).
  • R is a radical selected from the group consisting of H and C 1-6.
  • NR, O or S it is particularly preferred that only one of these groups is replaced.
  • ethynyl, propynyl, butynyl, pentynyl, hexynyl and octynyl may be mentioned for this purpose.
  • d-12-alkylene in the present invention a linear or branched alkyl group as defined above having preferably 1 to 12, more preferably 1 to 6 and most preferably 1 to 3 carbon atoms in which a hydrogen radical is absent and present this site is another bond.
  • C 3-8 cycloalkylene is meant in the present invention a cyclic alkyl group as defined above having preferably 3 to 8, more preferably 5 to 8 and most preferably 5 or 6 carbon atoms in which a hydrogen radical is absent and at this Place is another bond.
  • Invention provides a (SiH 3 ), (SiH 2 ) or (SiH) moiety having a linear or branched alkyl group (as defined above) having 1 and 3 to 12 carbon atoms, respectively, more preferably 1 and 3 to 6 carbon atoms, respectively is linked.
  • This group is a bivalent moiety that has one carbon atom of an alkyl group and one of the Si atom (then SiH 2 unit) or two carbon atoms of one or two alkyl groups (then SiH 3 unit) or both times via the Si atom (then SiH unit) can bind.
  • the examples given above in connection "Ci-40-Alkyl" also apply here for the existing alkyl group.
  • di (Ci-i 2 -alkyl) -silylene is meant in the present invention, a (SiH 2 ), (SiH) or (Si) unit, with two identical or different in each occurrence linear or branched alkyl groups (as defined above) having 1 or 3 to 12 carbon atoms, more preferably 1 or 3 to 6 carbon atoms, respectively, this group is a bivalent unit which has a C atom of an alkyl group and the Si atom ( SiH unit) or via two C atoms of one or two alkyl groups (then SiH 2 unit) or both times via the Si atom (then Si unit) .
  • the above in connection "C 1-0 -alkyl” given examples also apply here for the existing alkyl groups.
  • tri-iC ⁇ -alky -silylene means an (SiH) or (Si) unit which has three identical or different linear or branched alkyl groups (as defined above) with each occurrence or 3 to 12 carbon atoms, more preferably 1 or 3 to 6 carbon atoms, respectively.
  • This group is a divalent unit which has one carbon atom of an alkyl group and the silicon atom (then Si unit) or two carbon atoms Atoms of one or two alkyl groups (then SiH unit)
  • the examples given above in connection with the definition of "Ci-40-alkyl” also apply here to the alkyl groups present.
  • a silylene group which is substituted by one, two or three mono- or polycyclic aromatic or heteroaromatic ring systems having 5 to 60 aromatic ring atoms is understood as meaning a silysilyl group which has one, two or three monocyclic or polycyclic ring systems aromatic or heteroaromatic ring systems is substituted with 5 to 60 aromatic ring atoms.
  • This group is a divalent group, which can bind either twice over the Si atom or once over the Si and once via a ring atom of the ring system or both times via ring atoms of the ring system.
  • S -5 -silylene is meant in the instant compound a silyl group having 1 or 3 to 5 silicon atoms, which is linear or branched, and is a bivalent moiety that binds to the same or different Si atoms are monosilyl, disilyl, trisilyl, tetrasilyl and pentasilyl.
  • Ci-40-alkoxy group or thio-C -4 o-alkyl group means a C 1-4 o-alkyl group as defined above, which is bonded via an O or S atom.
  • alkoxy groups are methoxy, trifluoromethoxy, ethoxy, n-propoxy, i-propoxy, n-butoxy, i-butoxy, s-butoxy, t-butoxy or 2-methylbutoxy.
  • C 1-12 -alkyl-oxy-C 1-4 -alkylene is meant in the present invention a bivalent ether unit having two linear or branched alkyl groups with 1 or 3 to 12, more preferably 1 or 3 to 6
  • C 1-6 -alkyl Carbon atoms which are bonded via an oxygen atom.
  • the examples given above in connection with the definition of "C 1-6 -alkyl” also apply here to the alkyl groups present
  • the unit is a divalent unit which has either one or two C atoms of the same alkyl group or two C atoms can bind different alkyl groups.
  • C 1-4 -alkyl-thio-C 1-4 -alkylene is meant in the present invention a bivalent thioether moiety having two linear or branched alkyl groups having 1 and 3 to 12, more preferably 1 and 3 to 6 carbon atoms, respectively are linked via a sulfur atom, which are mentioned above in connection with the definition Examples given here apply to the existing alkyl groups.
  • the moiety is a divalent moiety that can bind either through one or two C atoms of the same alkyl group or over two C atoms of different alkyl groups.
  • alkyl-oxy-C ⁇ alkylene-C ⁇ aryl C1 12 alkyl-oxy-C 1 12 -.. Alkylene
  • alkyl group is substituted with an aryl representing a mono- or polycyclic aromatic or heteroaromatic ring system having 5 to 60 aromatic ring atoms as defined below.
  • a mono- or polycyclic aromatic or heteroaromatic hydrocarbon radical preferably contains 5 to 60, more preferably 5 to 20, most preferably 5 or 6 aromatic ring atoms.
  • the unit preferably contains 6 to 20, more preferably 6 to 10, most preferably 6, carbon atoms as ring atoms.
  • the moiety is a heteroaromatic moiety, it contains 5 to 20, more preferably 5 to 10, most preferably 5 aromatic ring atoms, at least one of which is a heteroatom.
  • the heteroatoms are preferably selected from N, O and / or S.
  • a simple aromatic cycle ie benzene, or a simple heteroaromatic cycle
  • a simple heteroaromatic cycle for example pyridine, pyrimidine, thiophene, etc.
  • a fused aryl or heteroaryl group for example, naphthalene, anthracene, phenanthrene, quinoline, isoquinoline, benzothiophene, benzofuran and indole, etc. understood.
  • aromatic or heteroaromatic hydrocarbon radicals are accordingly: benzene,
  • Phenanthroline 1, 2,3-triazole, 1, 2,4-triazole, benzotriazole, 1, 2,3-oxadiazole, 1, 2,4-oxadiazole, 1, 2,5-oxadiazole, 1, 3,4- Oxadiazole, 1, 2,3-thiadiazole, 1, 2,4-thiadiazole, 1, 2,5-thiadiazole, 1, 3,4-thiadiazole, 1, 3,5-triazine, 1, 2,4-triazine, 1, 2,3-triazine, tetrazole, 1, 2,4,5-tetrazine, 1, 2,3,4-tetrazine, 1, 2,3,5-tetrazine, purine, pteridine, indolizine and benzothiadiazole.
  • a monocyclic or polycyclic aromatic ring system is preferably an aromatic ring system having 6 to 60 carbon atoms, preferably 6 to 30, particularly preferably e to 10 carbon atoms.
  • an aromatic ring system is to be understood as meaning a system which does not necessarily contain only aromatic groups, but in which several aromatic radicals are also replaced by a short non-aromatic unit ( ⁇ 10% of the atoms other than H, preferably ⁇ 5% of those of H different atoms), such as sp 3 - hybridized C, O, N, etc., may be interrupted.
  • aromatic ring systems may be monocyclic or polycyclic, ie they may have one ring (eg phenyl) or two or more rings which may also be condensed (eg naphthyl) or covalently linked (eg biphenyl), or a combination of fused and linked rings include.
  • Preferred aromatic ring systems are e.g. Phenyl, biphenyl,
  • a mono- or polycyclic heteroaromatic ring system is preferably a heteroaromatic ring system having 5 to 60 ring atoms, preferably 5 to 30, particularly preferably 5 to 14 ring atoms.
  • the heteroaromatic ring system contains at least one heteroatom selected from N, O and S (remaining atoms are carbon).
  • a heteroaromatic ring system is to be understood as meaning a system which does not necessarily contain only aromatic or heteroaromatic groups, but in which also several aromatic or heteroaromatic groups are replaced by a short non-aromatic unit ( ⁇ 10% of the atoms other than H, preferably ⁇ 5% of the atoms other than H), such as sp 3 -hybridized C, O, N, etc., may be interrupted.
  • These heteroaromatic ring systems may be monocyclic or polycyclic, ie they may have one ring (eg pyridyl) or two or more rings, which may also be fused or covalently linked, or a combination of fused and linked rings.
  • Preferred heteroaromatic ring systems are e.g. 5-membered rings such as pyrrole, pyrazole, imidazole, 1, 2,3-triazole, 1, 2,4-triazole, tetrazole, furan, thiophene, selenophene, oxazole, isoxazole, 1, 2-thiazole, 1, 3-thiazole , 1, 2,3-oxadiazole, 1, 2,4-oxadiazole, 1, 2,5-oxadiazole, 1, 3,4-oxadiazole, 1, 2,3-thiadiazole, 1, 2,4-thiadiazole, 1 , 2,5-thiadiazole, 1, 3,4-thiadiazole, 6-membered rings such as pyridine, pyridazine, pyrimidine, pyrazine, 1, 3,5-triazine, 1, 2,4-triazine, 1, 2,3- Triazine, 1, 2,4,5-tetrazine, 1, 2,3,4-tetraz
  • Benzimidazole benzotriazole, purine, naphthimidazole, phenanthrimidazole, pyridimidazole, pyrazine imidazole, quinoxaline imidazole, benzoxazole,
  • Particularly preferred are imidazole, benzimidazole and pyridine.
  • alkyl (s) "cycloalkyl (s)", “alkylsilyl (s)”, “arylsilyl (s)”, “alkylalkoxyalkyl (s)”, “arylalkoxyalkyl (s)”, “alkylthioalkyl (s) "," alkylene sulfone ",” alkylene sulfoxide "is meant
  • aryl group is as defined above and the alkyl groups or alkylene groups each independently 1 to 12 carbon atoms, wherein one or more H atoms by F, Cl, Br, I, alkyl or cycloalkyl, wherein one or a plurality of CH 2 may be replaced by a heteroatom such as NH, O or S, or may be replaced by an aromatic or heteroaromatic hydrocarbon radical having 5 to 20 aromatic ring atoms.
  • Another object of the present invention is a multilayer structure comprising a layer containing a compound of formula (1) according to the invention.
  • a multilayer structure is understood as meaning a multilayer structure composed of two or more layers, which are preferably applied successively to a glass substrate.
  • the layers may contain individual compounds according to the invention. It is preferred that the layers comprise further compounds or polymers or oligomers with different properties.
  • Another object of the present invention is a formulation, in particular a solution, dispersion or emulsion containing at least one compound of formula (1) according to the invention and at least one solvent.
  • solvents all conceivable can be used which are capable of the invention
  • the following organic solvents are preferred, without being limiting to the invention: dichloromethane, trichloromethane, monochlorobenzene, o-dichlorobenzene, tetrahydrofuran, anisole, morpholine, toluene, o-xylene, m-xylene, p-xylene, 1 , 4-dioxane, acetone, methyl ethyl ketone, 1, 2-dichloroethane, 1, 1, 1-trichloroethane, 1, 1, 2,2-tetrachloroethane, ethyl acetate, n-butyl acetate, dimethylformamide, dimethyl acetamide, dimethyl sulfoxide, tetralin , Decalin, indane and / or mixtures thereof.
  • the concentration of the compound of the formula (1) of the invention in the solution is preferably 0.1 to 10% by weight, more preferably 0.5 to 5% by weight, based on the total weight of the solution.
  • the solution also comprises one or more binders in order to adjust the theological properties of the solution accordingly, as described, for example, in WO 2005/055248 A1.
  • Solvent blends may also be used and are identified as described in "Solvents, W.H. 9- 10, 1986. Such processes may result in a mixture of so-called “non-” solvents which will dissolve the composition, although it is desirable to include at least one true solvent in the composition of the
  • Another preferred form of the formulation is an emulsion, and more preferably a miniemulsion, which are more particularly prepared as heterophasic systems in which stable nanodroplets of a first phase are dispersed in a second continuous phase.
  • the present invention relates to a miniemulsion wherein the various components of the compound of the invention are arranged either in the same phase or in different phases. Preferred distributions are the following:
  • Both a miniemulsion wherein the continuous phase is a polar phase and an inverse miniemulsion wherein the continuous phase is a non-polar phase may be used in the present invention.
  • the preferred form is a miniemulsion.
  • surfactants In order to increase the kinetic stability of the emulsion, it is also possible to add surfactants.
  • the choice of solvents for biphasic systems, the surfactants, and the processing into a stable miniemulsion should be well known to those skilled in the art based on their expertise or numerous publications, such as a comprehensive article by Landfester in Annu. Rev, Mater. Res. (06), 36, p. 231.
  • the compound of the invention or a formulation thereof by a correspondingly suitable
  • Ink jet printing is particularly preferred and it allows the production of high-resolution displays.
  • the solutions of the invention can be applied to prefabricated device substrates by ink jet printing or by microadministration.
  • industrial piezoelectric are preferred Printheads, such as those used by Aprion, Hitachie-Koki, Inkjet Technology, On Target Technology, Picojet, Spectra, Trident, Xaar, to deposit the organic semiconductor layers on a substrate.
  • semi-inductive printheads such as those manufactured by Brother, Epson, Konika, Seiko Instruments, Toshiba TEC or single-dose microdispensers, such as those manufactured by Mikrodrop and Mikrofab, may also be used.
  • the compound of the invention In order for the compound of the invention to be applied by ink-jet printing or microadministration, it should first be dissolved in a suitable solvent.
  • the solvents must meet the above requirements and not have any adverse effects on the selected printhead.
  • the solvents should have a boiling point above 100 ° C, preferably above 140 ° C, and more preferably above 150 ° C, to avoid processing problems caused by drying out of the solution inside the printhead.
  • the following solvents are also suitable: substituted and unsubstituted xylene derivatives, D1-C 1-2 alkylformamides, substituted and unsubstituted anisols and others
  • Phenolic ether derivatives substituted heterocycles such as substituted pyridines, pyrapsins, pyrimidines, pyrrolidinones, substituted and unsubstituted N, N-di-Ci-2-alkylanilines and other fluorinated or chlorinated aromatics.
  • a preferred solvent for the ink jet printing of the compound of the invention comprises a benzene derivative having a benzene ring substituted by one or more substituents, wherein the total number of carbon atoms of the one or more substituents is at least three.
  • the benzene derivative may be substituted with one propyl group or three methyl groups, in which case the total number of carbon atoms must be at least three.
  • Such a solvent enables the formation of an ink-jet liquid comprising the solvent with the compound of the present invention, and reduces or prevents the sticking of the nozzles and the separation of the components during the spraying.
  • the solvent (s) may be such the one selected from the following list of examples: dodecylbenzene, 1-methyl-4-tert-butylbenzene, terpineollimones, isoduron,
  • the solvent may also be a solvent mixture of two or more solvents, wherein each of the solvents preferably has a boiling point greater than 100 ° C, more preferably greater than 140 ° C. Such solvents promote film formation of the deposited layer and reduce
  • the inkjet liquid (that is, a mixture preferably of solvent (s), binder and the compound of the present invention) preferably has a viscosity at 20 ° C of 1 to 100 mPa ⁇ s, more preferably 1 to 50 mPa ⁇ s and most preferably 1 to 30 mPa-s.
  • the compound or formation according to the invention may additionally comprise one or more further components, for example surface-active substances, lubricants, wetting agents, dispersants, water-repellants, adhesives, flow improvers, anti-foaming agents, air-separating agents, diluents, which may be reactive or non-reactive substances, auxiliaries, colorants, Dyes or pigments, sensitizers, stabilizers or inhibitors.
  • surface-active substances for example surface-active substances, lubricants, wetting agents, dispersants, water-repellants, adhesives, flow improvers, anti-foaming agents, air-separating agents, diluents, which may be reactive or non-reactive substances, auxiliaries, colorants, Dyes or pigments, sensitizers, stabilizers or inhibitors.
  • Another object of the invention is the use of the abovementioned compounds according to the invention in one of the below-mentioned electronic or optoelectronic device, such as an organic electroluminescent device, in particular an organic light-emitting diode.
  • the compounds according to the invention are preferably formed as or in an electroluminescent (n) layer.
  • a layer is preferably formed by applying a formulation of the invention to a support and then removing the solvent.
  • Another object of the invention is the use of the abovementioned compounds according to the invention in an organic electroluminescent device.
  • the compounds according to the invention are preferred as or in an electroluminescent (n) layer educated.
  • a layer is preferably formed by applying a formulation of the invention to a support and then removing the solvent.
  • Another object of the present invention is an electronic device containing a (e) inventive compound or
  • Suitable matrix materials in electronic devices are known to the person skilled in the art and can be used for the purposes of the present invention.
  • Suitable matrix materials in electronic devices for compounds of the formula (1) are, for example, CBP ( ⁇ , ⁇ -biscarbazolylbiphenyl), carbazole derivatives (for example according to US Pat
  • WO 2005/039246 US 2005/0069729, JP 2004/288381, EP 1205527 or WO 2008/086851
  • azacarbazoles for example according to EP 1617710, EP 1617711, EP 1731584, JP 2005/347160
  • ketones e.g. WO 2004/093207 or DE 102008033943
  • phosphine oxides for example according to WO 2005/003253
  • oligophenylenes for example according to US 2005/0069729
  • bipolar matrix materials eg B. according to
  • indenocarbazole derivatives for example according to the unpublished application DE 102009023155.2 and DE 102009031021.5
  • diazaphosphole derivatives for example according to the unpublished application DE 102009022858.6
  • triazole derivatives Oxazoles and oxazole derivatives, imidazole derivatives, polyarylalkane derivatives, pyrazoline derivatives, pyrazolone derivatives, distyrylpyrazine derivatives, thiopyrandioxide derivatives, phenylenediamine derivatives, tertiary aromatic amines, styrylamines, amino-substituted chalcone derivatives, indoles , Hydrazone derivatives, stilbene derivatives, silazane derivatives, aromatic dimethylidene compounds, carbodiimide derivatives, metal complexes of 8-hydroxyquinoline derivatives such as AIQ3, the 8-hydroxyquinoline complexes may also contain triazole derivatives, Oxazoles and oxazole derivatives
  • mixtures of two or more of the abovementioned matrix materials in particular mixtures of an electron-transporting material and a hole-transporting material.
  • CDBP 9,9 '- (2,2'-dimethyl [1, 1'-biphenyl] -4,4'-diyl
  • CDBP 9,9 '- (2,2'-dimethyl [1, 1'-biphenyl] -4,4'-diyl
  • PVK polyvinylcarbazole
  • 3,5-di (9H-carbazol-9-yl) biphenyl and others, below Illustrated compounds of the formula (296) to (299) (see also US 2007/0128467, US 2007/0128467).
  • Si tetraaryls as described, for example, in US 004/209115, US 2004/0209116 US 2007/0087219, US 2007/0087219 and H. Gilman, EA Zuech, Chemistry & Industry (London, United Kingdom), 1960, 120 are particularly preferred here are the compounds of formulas (300) to (307).
  • Particularly preferred matrix materials for phosphorescent dopants are compounds in EP 652273, DE 102009022858.6, DE 102009023155.2, WO 2007/063754 and WO 2008/056746, in particular the compounds of the formulas (308) to (311).
  • the electronic device is preferably an organic electroluminescent device, preferably comprising a cathode, an anode and at least one organic layer, the organic layer containing the compound or formulation according to the invention.
  • the organic layer containing the compound or formulation according to the invention preferably the emitting layer.
  • the organic electroluminescent device may further comprise further layers selected from one or more hole injection layers, hole transport layers, hole blocking layers, electron transport layers, electron injection layers, electron blocking layers, charge generation layers, and / or layers which form organic or inorganic P / N junctions.
  • the electroluminescent device may further include further emissive layers. Preferably, between two emitting layers so-called interlayer introduced, which for example have an exciton-blocking function. It should be noted, however, that not necessarily each of these
  • the organic electrochemical device preferably has a planar shape and / or is fiber-shaped.
  • a fiber is understood to mean any shape in which the ratio between length to diameter is greater than or equal to 10: 1, preferably 100: 1, whereby the shape of the cross section along the length axis does not matter.
  • the cross section along the longitudinal axis can therefore be, for example, round, oval, triangular, quadrangular or polygonal.
  • Light-emitting fibers have preferred properties with respect to their use. So they are suitable u.a. for use in the field of therapeutic and / or cosmetic phototherapy. Further details are described in the prior art (eg in US 6538375, US 2003/0099858, Brenndan
  • the organic electroencecentence device comprises a plurality of emitting layers, wherein at least one emitting layer comprises the compound according to the invention, these have several
  • Layers prefers a total of several emission maxima between 380 nm and 750 nm, so that overall white emission results, i. in the emitting layers are emitting different
  • Used compounds that can fluoresce or phosphoresce are particularly preferred.
  • three layer systems wherein the three layers show blue, green and orange or red emission, for the basic structure see, for example, WO 2005/011013.
  • one or more layers of solution and one or more layers via a Sublimation method be applied.
  • the materials in Vakuumsublimationsanlagen be at a pressure less than 10 "5 mbar, preferably less than 10" 6 mbar, particularly preferably less than 1 CT evaporated 7 mbar.
  • OVPD Organic Vapor Phase Deposition
  • the materials at a pressure between 10 "5 mbar and 1 bar are applied.
  • the OVJP- (Organic Vapor jet printing) process in which the materials are applied directly through a nozzle and is so structured (eg MS Arnold et al., Appl. Phys. Lett., 2008, 92, 053301).
  • one or more layers in the organic electroluminescent device are applied from solution, for example by spin-coating or by any printing method, for example screen printing, flexographic printing or offset printing.
  • any printing method for example screen printing, flexographic printing or offset printing.
  • LITI Laser Induced Thermal Imaging
  • the device usually includes a cathode and an anode
  • the electrodes are selected so that their potential coincides as well as possible with the potential of the adjacent organic layer, in order to ensure the most efficient electron or hole injection possible.
  • metal complexes, low work function metals, metal alloys or multilayer structures of various metals are preferable, such as alkaline earth metals, alkali metals, main group metals or lathanoids (eg, Ca, Ba, Mg, Al, In, Mg, Yb, Sm, etc .).
  • alkaline earth metals alkali metals
  • main group metals or lathanoids eg, Ca, Ba, Mg, Al, In, Mg, Yb, Sm, etc .
  • further metals which have a relatively high work function, such as, for example, B. Ag, which then usually combinations of metals, such as Ca / Ag or Ba / Ag be used. It may also be preferable to have a thin layer between a metallic cathode and the organic semiconductor
  • Intermediate layer of a material with a high dielectric constant to bring For this example, come alkali metal or
  • Alkaline earth metal fluorides but also the corresponding oxides in question (eg LiF, U 2 O, BaF 2 , MgO, NaF, etc.).
  • the layer thickness of this layer is preferably between 1 and 10 nm, more preferably between 2 and 8 nm.
  • the anode high workfunction materials are preferred.
  • the anode has a potential greater than 4.5 eV. Vacuum up.
  • metals with a high redox potential such as Ag, Pt or Au, are suitable for this purpose.
  • metal / metal oxide electrons eg Al / Ni / ⁇ , Al / PtO x ) may also be preferred.
  • at least one of the electrodes must be transparent to either the
  • Irradiation of the organic material or the extraction of light (OLED / PLED, O-LASER) to allow.
  • a preferred construction uses a transparent anode.
  • Preferred anode materials here are conductive mixed metal oxides. Particularly preferred are indium tin oxide (ITO) or indium zinc oxide (IZO). Preference is furthermore given to conductive, doped organic materials, in particular conductive doped polymers.
  • the device is structured, contacted and finally hermetically sealed in a manner known per se, since the service life of such devices is drastically shortened in the presence of water and / or air.
  • the organic electroluminescent device according to the invention is preferably selected from the group consisting of organic electroluminescent devices (OLEDs), polymeric light-emitting diodes (PLEDs), organic light-emitting electrochemical cells (OLECs), color-fast photosensitive solar cells (DSSCs), in a non-limiting manner.
  • OLEDs organic electroluminescent devices
  • PLEDs polymeric light-emitting diodes
  • OECs organic light-emitting electrochemical cells
  • DSSCs color-fast photosensitive solar cells
  • organic field-effect transistors O-FETs
  • organic thin-film transistors O-TFTs
  • organic light-emitting transistors O-LETs
  • organic integrated circuits O-ICs
  • organic solar cells O-SCs
  • organic field Quench devices O-FQDs
  • light emitting electrochemical cells LECs
  • organic photoreceptors organic laser diodes (O lasers), radio frequency identification (RFID) devices, photodetectors, sensors, logic circuits, charge injection layers,
  • RFID radio frequency identification
  • An organic plasma-emitting device is preferably a device as described by Koller et al., In Nature Photonics (08), 2, pages 684 to 687.
  • the so-called OPED is very similar to the OLED described above, except that at least the anode or cathode should be able to anchor the surface plasma to the emitating layer. It is further preferred that the OPED comprises a compound of the invention.
  • OLET organic light emitting transistor
  • Electrophotographic elements comprise a substrate, an electrode and a charge transport layer above the electrode, and optionally a charge generation layer between the electrode and the
  • Compound of the invention comprises, more preferably within a charge transport layer.
  • a particularly preferred spintronic organic device is a rotary valve device as reported by ZH Xiong et al., Nature 2004 Vol. 727, page 821, which comprises two ferromagnetic electrodes and an organic layer between the two ferromagnetic electrodes, wherein at least one of the organic layers comprising a compound of the invention and the ferromagnetic electrode of cobalt, nickel, iron or an alloy thereof
  • Re is a rare earth element
  • OLEDs Organic light-emitting electrochemical cells
  • OLEDs comprise two electrodes and a mixture of electrode and fluorescent species therebetween, as first reported by Pei & Heeger in Science (95), 269, pp. 1086-1088. It is desirable that a
  • inventive compound is used in such a device.
  • Dye-sensitized solar cells comprise one electrode / dye-sensitized TiO 2 porous in the following sequence
  • OSC Organic solar concentrators
  • An OSC consists of a thin film of organic dyes deposited on a glass substrate with a high refractive index. The dye absorbs incoming solar energy and re-emits it at low energy. The majority of the re-emitted photons are from a waveguide by total internal reflection fully captured. This is done by a photovoltaic device, the on
  • Substrate edge is arranged.
  • the compounds according to the invention and the devices containing them are furthermore suitable for use in the context of phototherapeutic measures.
  • Another object of the present invention relates to the compounds of the invention for the production of devices for the therapy, prophylaxis and / or diagnosis of therapeutic diseases.
  • Phototherapy or light therapy is used in many medical and / or cosmetic fields.
  • the compounds according to the invention and the devices containing these compounds can therefore be used for the therapy and / or prophylaxis and / or diagnosis of all diseases and / or in cosmetic applications for which the person skilled in the art considers the use of phototherapy.
  • the term phototherapy also includes photodynamic therapy (PDT) as well as disinfecting and sterilizing in general.
  • Phototherapy or light therapy can treat not only humans or animals, but also any other type of living or inanimate matter. For this include, for example, fungi, bacteria, microbes, viruses, eukaryotes, prokaryotes, foods, beverages, water and drinking water.
  • phototherapy also includes any type of combination of light therapy and other types of therapy, such as the treatment with drugs.
  • Many light therapies aim to irradiate or treat external parts of an object, such as the skin of humans and animals, wounds, mucous membranes, eye, hair, nails, nail bed, gums and tongue.
  • the treatment or irradiation according to the invention can also be carried out within an object in order to treat, for example, internal organs (heart, lungs, etc.) or blood vessels or the breast.
  • Fields of application are preferably selected from the group of skin diseases and skin-associated diseases or changes such as psoriasis, skin aging, skin wrinkling, skin rejuvenation, enlarged skin pores, cellulite, oily / greasy skin, folliculitis, actinic keratosis, precancerose actinic keratosis, skin Lesions, sun-damaged and sun-stressed skin, crow's feet, skin ulcer, acne, acne rosacea, acne scars, acne
  • skin diseases and skin-associated diseases or changes such as psoriasis, skin aging, skin wrinkling, skin rejuvenation, enlarged skin pores, cellulite, oily / greasy skin, folliculitis, actinic keratosis, precancerose actinic keratosis, skin Lesions, sun-damaged and sun-stressed skin, crow's feet, skin ulcer, acne, acne rosacea, acne scar
  • Particularly preferred for the purposes of the invention are the treatment and / or prophylaxis of psoriasis, acne, cellulite, skin wrinkling, skin aging, jaundice and vitiligo.
  • compositions and / or devices containing the compositions according to the invention are selected from the group of inflammatory diseases, rheumatoid arthritis, pain therapy, treatment of wounds, neurological diseases and conditions, edema, Paget's disease, primary and metastatic tumors, connective tissue disease. disorders, changes in collagen, fibroblasts and fibroblast-derived cell levels in mammalian tissues, retinal irradiation, neovascular and hypertrophic diseases, allergic reactions, respiratory tract irradiation, sweating, ocular neovascular disorders, viral infections, especially herpes simplex infections or HPV (Humane
  • Papillomavirus for the treatment of warts and genital warts.
  • Particularly preferred for the purposes of the invention are the treatment and / or prophylaxis of rheumatoid arthritis, viral infections, and pain.
  • Further fields of application according to the invention for the compounds and / or devices comprising the compounds according to the invention are selected from winter depression, sleeping sickness, radiation to improve mood, alleviation of pain, especially muscle pain due to, for example, tension or joint pain, elimination of stiffness of joints and lightening of the teeth (bleaching).
  • any type of objects (inanimate matter) or subjects (living matter such as, for example, human and animal) can be treated for the purpose of disinfection.
  • these include, for example, the disinfection of wounds, the reduction of bacteria, the disinfection of surgical instruments or other objects, the disinfection of food and food, of liquids, especially water, drinking water and other drinks, the disinfection of mucous membranes and gums and teeth.
  • Disinfection here means the reduction of living microbiological causative agents of undesired effects, such as bacteria and germs.
  • devices containing the compounds according to the invention preferably emit light of the wavelength between 250 and 1250 nm, particularly preferably between 300 and 1000 nm and particularly preferably between 400 and 850 nm.
  • the compounds according to the invention are used in an organic light-emitting diode (OLED) or an organic light-emitting electrochemical cell (OLEC) for the purpose of photothermal.
  • OLED organic light-emitting diode
  • OEC organic light-emitting electrochemical cell
  • Both the OLED and the OLEC can have a planar or fiber-like structure of any desired cross-section (for example, round, oval, polygonal, square) with a monolayer or multilayer structure.
  • These OLECs and / or OLEDs may be incorporated into other devices that include other mechanical, adhesive, and / or electronic devices (e.g., battery and / or control unit for adjusting irradiation times, intensities, and wavelengths).
  • These devices containing the OLECs and / or OLEDs according to the invention are preferably selected from the group consisting of plasters, pads, tapes, bandages, cuffs, blankets, hoods; Sleeping bags.Textiles and stents.
  • the use of said devices for the said therapeutic and / or cosmetic purpose is particularly advantageous over the prior art, since with the aid of the devices according to the invention using the OLEDs and / or OLECs homogeneous irradiations of lower irradiation intensities at almost any location and at any time of day possible are.
  • the irradiations may be performed inpatient, outpatient and / or self, ie without initiation by medical or cosmetic specialists.
  • patches can be worn under clothing, so that irradiation is also possible during working hours, at leisure or during sleep.
  • expensive inpatient / outpatient treatments can be omitted in many cases or reduce their frequency.
  • the devices of the invention may be intended for reuse or disposable items that can be disposed of after one, two or three uses.
  • the present invention furthermore relates to a method for the therapy, prophylaxis and / or diagnosis of diseases, for which purpose the compounds and devices according to the invention are used.
  • the present invention furthermore relates to a method for the therapy, prophylaxis and / or diagnosis of cosmetic circumstances, for which purpose the compounds and devices according to the invention are used.
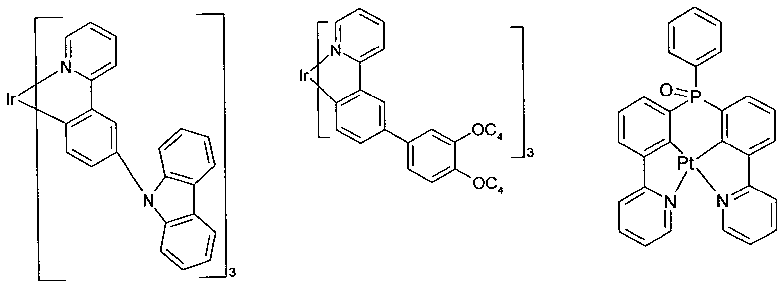
  • E2 51 is a laser dye purchased from Lambda Physik AG, D-37079 Goettingen, Germany.
  • N l N'-bis (2,6-dimethylphenyl) perylene-3,4,9,10-tetracarnkladiimid is a dye for solar cells and was at Sigma-Aldrich with product no. Bought 14799.
  • T1 (Flrpic) is a blue triplet emitter, available from Luminescence Technology Corp. Taiwan, R.O. China bought.
  • T2 is a green triplet emitter, and was named after J. Am. Chem Soc. Vol 123, 4304 (2001).
  • TMM-080 and TMM-102 are the matrix materials of Merck KGaA.
  • Compound (III) is synthesized according to JP 2005 / 15508A.
  • Tetranon (IV) is synthesized as described in Journal Phys. Chem. C 2007 11 4861 described by the following route:
  • Tetrakistriphenylphosphine palladium is added and refluxed for 20 h heated.
  • the solution is cooled to room temperature and the phases are separated.
  • the aqueous phase is extracted three times with toluene,
  • Ethanol toluene recrystallized 3 1. This gives 4.4 g (3.2 mmol) (45%) of a white solid having a purity of 99.6%.
  • a typical OLED device has one
  • Buffer layer is called.
  • substrates of the company Technoprint Sodalimeglas
  • ITO structure indium tin oxide, a transparent, conductive anode
  • the substrates are cleaned in the clean room with deionized water and a detergent (Deconex 15 PF) and then activated by a UV / ozone plasma treatment. Thereafter, an 80 nm layer of PEDOT (PEDOT is a polythiophene derivative (Baytron P VAI 4083sp.) From HC Starck, Goslar, which is supplied as an aqueous dispersion) is also applied in the clean room as a buffer layer by spin-coating. The required spin rate depends on the degree of dilution and the specific spincoater geometry (typically 80 nm: 4500 rpm). To remove residual water from the layer, the substrates are baked for 10 minutes at 180 ° C on a hot plate.
  • PEDOT is a polythiophene derivative (Baytron P VAI 4083sp.) From HC Starck, Goslar, which is supplied as an aqueous dispersion
  • an interlayer typically a hole-dominated polymer, here HIL-012 from Merck
  • EML emitting layers
  • the Ba / Al cathode is vapor deposited (high purity metals from Aldrich, especially barium 99.99% (stock number 47471 1); vapor deposition units from Lesker et al., More typically
  • the devices are clamped in holder specially made for the substrate size and contacted by means of spring contacts.
  • Photodiode with eye-tracking filter can be placed directly on the measuring holder to exclude the influence of extraneous light.
  • the voltages are from 0 to max. 20 V in 0.2 V increments and lowered again.
  • the current through the device and the resulting photocurrent are measured by the photodiode. In this way one obtains the IVL data of the test devices.
  • Important parameters are the measured maximum efficiency ("Eff.” In cd / A) and that required for 100 cd / m 2
  • the OLED3 according to the invention provides a significant improvement over the two
  • the solar cells PV1 & PV2 are made similar to OLED1-3, except: 1) The intermediate layer was omitted;
  • PCBM butyric acid methyl ester

Landscapes

  • Chemical & Material Sciences (AREA)
  • Engineering & Computer Science (AREA)
  • Materials Engineering (AREA)
  • Crystallography & Structural Chemistry (AREA)
  • Physics & Mathematics (AREA)
  • Inorganic Chemistry (AREA)
  • Nanotechnology (AREA)
  • Spectroscopy & Molecular Physics (AREA)
  • Organic Chemistry (AREA)
  • Theoretical Computer Science (AREA)
  • Mathematical Physics (AREA)
  • Electroluminescent Light Sources (AREA)
  • Photovoltaic Devices (AREA)
  • Hybrid Cells (AREA)

Abstract

Die vorliegende Erfindung betrifft Verbindungen der allgemeinen Formel (S-A)n-T, bei denen mindestens eine fluoreszierende Gruppe S über eine bivalente Gruppe A mit einer phosphoreszierenden Gruppe T verknüpft ist, deren Verwendung in einer elektronischen Vorrichtung, sowie eine Formulierung und eine elektronische Vorrichtung, die die neuen Verbindungen enthalten.

Description

Organische Elektrolumineszenzvorrichtung
Die vorliegende Erfindung betrifft Verbindungen der allgemeinen Formel (S-A)n-T, bei denen mindestens eine fluoreszierende Gruppe S über eine bivalente Gruppe A mit einer phosphoreszierenden Gruppe verknüpft ist , deren Verwendung in einer elektronischen Vorrichtung, sowie eine
Formulierung und eine elektronische Vorrichtung, die die neuen
Verbindungen enthalten.
Elektronische Vorrichtungen, welche organische, metallorganische und/oder polymere Halbleiter enthalten, werden immer häufiger in kommerziellen Produkten verwendet oder stehen kurz vor der Markteinführung. Als Beispiele seien hier Ladungstransportmaterialien auf organischer Basis (i. d. R. Lochtransporter auf Triarylamin-Basis) in Kopiergeräten und organische oder polymere Leuchtdioden (OLEDs oder PLEDs) in Anzeige- und Displayvorrichtungen oder organische Photorezeptoren in Kopierern genannt. Auch organische Solarzellen (O-SC), organische Feldeffekt-Transistoren (O-FET), organische Dünnfilm- Transistoren (O-TFT), organische Schaltelemente (O-IC), organische optische Verstärker oder organische Laserdioden (O-Laser) sind in einem fortgeschrittenen Entwicklungsstand und können in der Zukunft große Bedeutung erlangen.
Viele dieser elektronischen bzw. opto-elektronischen Vorrichtungen weisen unabhängig von dem jeweiligen Verwendungszweck folgenden allge- meinen Schichtaufbau auf, der für die jeweilige Anwendung angepasst werden kann:
(1) Substrat,
(2) Elektrode, häufig metallisch oder anorganisch, aber auch aus organischen bzw. polymeren leitfähigen Materialien;
(3) Ladungsinjektionsschicht bzw. Zwischenschicht zum
Ausgleich von Unebenheiten der Elektrode ("planarisation layer"), häufig aus einem leitfähigen, dotierten Polymer,
(4) Organische Halbleiter,
(5) evtl. eine weitere Ladungstransport- bzw. Ladungsinjektions- bzw. Ladungsblockierschicht,
(6) Gegenelektrode, Materialien wie unter (2) genannt,
(7) Verkapselung.
Die obige Anordnung stellt den allgemeinen Aufbau einer opto- elektronischen Vorrichtung dar, wobei verschiedene Schichten
zusammengefasst werden können, so dass im einfachsten Fall eine Anordnung aus zwei Elektroden, zwischen denen sich eine organische Schicht befindet, resultiert. Die organische Schicht erfüllt in diesem Fall alle Funktionen, einschließlich der Emission von Licht. Ein derartiges System ist beispielsweise in der WO 9013148 A1 auf der Basis von Poly- (p-phenylenen) beschrieben.
Ein Problem, das sich in einem derartigen "Dreischichtsystem" ergibt, ist jedoch die fehlende Möglichkeit, die einzelnen Bestandteile in unterschied- liehen Schichten bezüglich ihrer Eigenschaften zu optimieren, wie es beispielsweise bei SMOLEDs ("small-molecule OLEDs") durch einen mehrschichtigen Aufbau einfach gelöst ist. Eine "small molecule OLED" besteht beispielsweise aus einer oder mehreren organischen Lochinjektionsschichten, Lochtransportschichten, Emissionsschichten,
Elektronentransportschichten und Elektroneninjektionsschichten sowie einer Anode und einer Kathode, wobei sich das ganze System gewöhnlich auf einem Glassubstrat befindet. Ein Vorteil einer solchen Mehrlagenstruktur besteht darin, dass verschiedene Funktionen der Ladungsinjektion, des Ladungstransports und der Emission in die verschiedenen Schichten aufgeteilt und somit die Eigenschaften der jeweiligen Schichten separat modifiziert werden können.
Das Aufbringen der Schichten in SMOLED-Vorrichtungen erfolgt gewöhnlich durch Aufdampfen in einer Vakuumkammer. Dieses Verfahren ist jedoch aufwändig und somit teuer und insbesondere für große
Moleküle, wie beispielsweise Polymere, aber auch für viele kleine
Moleküle, die sich unter den Aufdampfbedingungen häufig zersetzen, ungeeignet.
Vorteilhaft ist deshalb die Aufbringung von Schichten aus Lösung, wobei sowohl kleine Moleküle, als auch Oligomere oder Polymere aus Lösung prozessiert werden können.
Im letzten Jahrzehnt kam es zu einer großen Leistungssteigerung hinsichtlich der Phosphoreszenz in SMOLEDs, insbesondere seit dem ersten Bericht von Forrest in Nature (London) (1998), 395, p. 151.
Allerdings weisen OLEDs, die phosphoreszierende Emitterverbindungen enthalten, immer noch einige Nachteile auf. Ein Nachteil ist der sogenannte„Roll-off" Effekt. Wegen der sogenannten Triplett-Triplett- Annihilation sinkt die Effizienz der phosphoreszierenden Emission bei hohen Anregungsdichten. Deshalb sind fluoreszierende Emitterverbindungen bei vielen Anwendungen mehr erwünscht, bei denen eine hohe Helligkeit erforderlich ist. Das genannte Probleme konnte bisher durch sogennante„Phosphorescence sensitized fluorescence" nur teilweise gelöst werden. Über ein erstes Beispiel für ein hocheffizientes
fluoreszierendes SMOLED wurde von Forrest et al. in Nature (London)
403[6771], 750-753. (2000) berichtet, wobei ein Singulett-Emitter (DCM2) durch einen phosphoreszierenden Metallkomplex lr(ppy)3 in dem gleichen Host CPB aber in separaten Schichten sensibilisiert ist. Gewöhnlich wird angenommen, dass in diesem Fall ein Energietransfer zwischen dem Singulett-Emitter und dem phosphoreszierenden Metallkomplex nach dem Förster-Transfer-Mechanismus stattfindet.
Es ist besonderes erwünscht, diese Effekte auch in einer einzigen Schicht zu realisieren, insbesondere indem diese Schicht aus Lösung prozessiert wird.
Im herkömmlichen Verfahren zur OLED-Herstellung, sowohl durch
Abscheidung aus der Gasphase oder lösungsprozessiert, ist es schwierig die Verteilung der einzelnen Komponenten zu kontrollieren. Die
Komponenten verteilen sich gewöhnlich statistisch. Für einige
physikalische Eigenschaften solcher Systeme ist dies unerwünscht, beispielsweise bei der "Phosphorescence sensitized fluorescence ".
Hierbei wird auf ähnliche Weise wie beim sogenannten Förster- Energietransfer oder dem Dexter-Energietransfer Energie von der phosphoreszierenden Emitterverbindung auf die fluoreszierende
Emitterverbindung übertragen.
Die Förster-Energietransferrate kann beispielsweise theoretisch nach folgender Gleichung dargestellt werden: rDA oc VR6, wobei R den Abstand zwischen Donor und Akzeptor darstellt. Dieser Abstand wird gewöhnlich auch als der Förster-Radius bezeichnet. Um einen effizienten Energietransfer, z.B. gemäß Förster oder Dexter zu ermöglichen, ist es somit notwendig den Donor und Akzeptor, das heißt die beiden Verbindungen, die fluoreszierende Emitterverbindung und die phosphoreszierende Emitterverbindung, so nahe wie möglich zueinander zu positionieren, vorteilhafterweise innerhalb des sogenannten Förster- Radius.
Dadurch, dass sich die beiden Emitterverbindungen gewöhnlich statistisch verteilen, ist der notwendige geringe Abstand der beiden Emittermoleküle voneinander (Donor und Akzeptor) nicht im vollen Umfang gewährleistet.
Ein weiteres großes Problem bei lösungsbasierten SMOLEDs ist die Filmbildungseigenschaft. Häufig sind die verwendeten Materialien sehr gut löslich in einem Lösungsmittel und können beispielsweise durch
Tintenstrahldruck auf das Substrat aufgebracht werden. Viele Materialien zeigen hierbei jedoch keine guten Filmbildungseigenschaften, verursacht durch die hohe Mobilität der kleinen Moleküle im Lösungsmittel.
Die Aufgabe der vorliegenden Erfindung bestand deshalb in der
Bereitstellung von neuen Verbindungen, bei denen zwei Emittermoleküle den notwendigen geringen Abstand aufweisen, der für einen effizienten Energietransfer zwischen den Emittermolekülen notwendig ist, so dass keine statistische Verteilung der beiden wechselwirkenden
Emittermoleküle in einer Schicht einer elektronischen Vorrichtung vorliegen kann.
Die vorliegende Erfindung stellt hierfür eine Verbindung der folgenden Formel (1) bereit:
(S-A)n-T
Formel (1), wobei die verwendeten Symbole und Indices die folgende Bedeutung
S ist bei jedem Auftreten unabhängig voneinander eine monovalente Gruppe, die eine fluoreszierende Emittereinheit umfasst;
T ist eine n-valente Gruppe, die eine phosphoreszierende
Emittereinheit umfasst; stellt bei jedem Auftreten unabhängig voneinander eine kovalente Einfachbindung oder eine bivalente Einheit dar; n ist eine ganze Zahl, die größer oder gleich 1 ist.
Durch die kovalente Verknüpfung der Gruppen S und T in der Verbindung der Formel (1) ist es möglich, das Phänomen der„Phosphorescence sensitized fluorescence" innerhalb eines einzigen Moleküls zu realisieren. Des Weiteren ist es auch möglich, die Energieniveaus von beiden
Emitterverbindungen so zujustieren, dass vorzugsweise Extrafluoreszenz (sowie von Segal, et al., in Nat.Mater. 6[5], 374-378. 2007. beschrieben wurde) auftritt, d.h. die Effizienz von OLEDs wird dadurch erhöht. Unter einer phosphoreszierenden Emittereinheit wird eine Verbindung verstanden, die Lumineszenz aus einem angeregten Zustand mit höherer Spinmultiplizität (2S + 1) zeigt, wobei die Spinquantenzahl S größer oder gleich 1 ist, wie beispielsweise aus einem angeregten Triplett-Zustand (Triplett-Emitter, S = 1 ), aus einem MLCT-Mischzustand oder einem Quintett-Zustand (Quintett-Emitter, S = 2). Typischerweise zeigen phosphoreszierende Verbindungen auch längere Abklingzeiten der Lumineszenz im Vergleich zu fluoreszierenden Verbindungen. Als phosphoreszierende Emittereinheiten eignen sich insbesondere
Verbindungen, die bei geeigneter Anregung Licht, vorzugsweise im sichtbaren Bereich, emittieren und außerdem mindestens ein Atom der Ordnungszahlen > 38 und < 84, besonders bevorzugt > 56 und < 80 enthalten. Bevorzugt werden als Phosphoreszenz-Emitter Verbindungen, die Kupfer, Molybdän, Wolfram, Rhenium, Ruthenium, Osmium, Rhodium, Iridium, Palladium, Platin, Silber, Gold oder Europium enthalten, insbesondere Verbindungen, die Iridium, Platin oder Kupfer enthalten. Beispiele der oben beschriebenen Emitter können den Anmeldungen WO 00/7065, WO 01/41512, WO 02/02714, WO 02/15645, EP 1191613, EP 1191612, EP 1191614, WO 05/033244 entnommen werden. Generell eignen sich alle phosphoreszierenden Komplexe, wie sie gemäß dem Stand der Technik für phosphoreszierende OLEDs verwendet werden und wie sie dem Fachmann auf dem Gebiet der organischen
Elektrolumineszenz bekannt sind.
Die phosphoreszierende Emittereinheit ist vorzugsweise eine Metall- Ligand-Koordinationsverbindung. Es ist dabei bevorzugt, dass A an ein Atom eines Liganden der Metall-Ligand-Koordinationsverbindung T bindet. Hierbei ist vorzugsweise ein H-Atom eines Atoms des Liganden nicht vorhanden und das entsprechende Atom des Liganden bildet an dieser Stelle eine Verknüpfung zu der bivalenten Einheit A.
Die erfindungsgemäße Verbindung der Formel (1) weist durch die kovalente Verknüpfung der Gruppen S und T durch die bivalente Einheit A hervorragende Energietransferraten zwischen den zwei Zentren S und T auf.
Unter dem Begriff„Energietransfer" versteht man in der vorliegenden Erfindung einen physikalischen Prozess, bei dem Energie eines
angeregten Farbstoffs (Donor) strahlungsfrei auf einen zweiten Farbstoff (Akzeptor) übertragen wird, wie beispielsweise beim sogenannten Förster- Transfer (siehe T. Förster, "Zwischenmolekulare Energiewanderung und Fluoreszenz", Ann. Physic. (1948) 437, 55) oder Dexter-Transfer (Siehe D. L. Dexter, J. Chem. Phys., (1953) 21 , 836).
In einer bevorzugten Ausführungsform der vorliegenden Erfindung fungiert die Gruppe S als Donor, und die Gruppe T als Akzeptor im Sinne des genannten Energietransfers.
In einer weiter bevorzugten Ausführungsform der vorliegenden Erfindung fungiert die Gruppe S als Akzeptor, und die Gruppe T als Donor im Sinne des genannten Energietransfers.
Die Metall-Ligand-Koordinationsverbindung umfasst vorzugsweise ein Metall M, das ein Übergangsmetall, ein Hauptgruppenmetall oder eine Lanthanid ist. Wenn M für ein Hauptgruppenmetall steht, dann steht es bevorzugt für ein Metall der dritten, vierten oder fünften Hauptgruppe, insbesondere für Zinn. Ist M ein Übergangsmetall, dann steht es vorzugsweise für Ir, Ru, Os, Pt, Zn, Cu, Mo, W, Rh, Re, Au und Pd, ganz besonders bevorzugt Ru, Ir, Pt und Cu. Als Lanthanid ist Eu bevorzugt.
Bevorzugt sind Verbindungen gemäß Formel (1), in denen M für ein Übergangsmetall, insbesondere für ein tetrakoordiniertes, ein pentakoordi- niertes oder ein hexakoordiniertes Übergangsmetall steht, besonders bevorzugt ausgewählt aus der Gruppe bestehend aus Chrom, Molybdän, Wolfram, Rhenium, Ruthenium, Osmium, Rhodium, Iridium, Nickel, Palladium, Platin, Kupfer, Silber und Gold, insbesondere Molybdän, Wolfram, Rhenium, Ruthenium, Osmium, Iridium, Platin, Kupfer und Gold . Ganz besonders bevorzugt sind Iridium und Platin. Die Metalle können dabei in verschiedenen Oxidationsstufen vorliegen. Bevorzugt sind dabei die oben genannten Metalle in den Oxidationsstufen Cr(0), Cr(ll), Cr(lll), Cr(IV), Cr(VI), Mo(0), Mo(ll), Mo(lll), Mo(IV), Mo(VI), W(0), W(ll), W(lll), W(IV), W(VI), Re(l), Re(ll), Re(lll), Re(IV), Ru(ll), Ru(lll), Os(ll), Os(lll), Os(IV), Rh(l), Rh(lll), lr(l), Ir(lll), Ir(IV), Ni(0), Ni(ll), Ni(IV), Pd(ll), Pt(ll), Pt(IV), Cu(l), Cu(ll), Cu(lll), Ag(l), Ag(ll), Au(l), Au(lll) und Au(V); ganz besonders bevorzugt sind Mo(0), W(0), Re(l), Ru(ll), Os(ll), Rh(lll), Ir(lll), Pt(ll) und Cu(l), insbesondere Ir(lll) und Pt(ll). ln einer bevorzugten Ausführungsform der Erfindung ist M ein tetrakoordiniertes oder ein hexakoordiniertes Metall.
Die Liganden der Metall-Ligand-Koordinationsverbindung sind vorzugsweise mono-, bi-, tri-, tetra-, penta- oder hexadentate Liganden.
Wenn M ein hexakoordiniertes Metall ist, so bestehen in Abhängigkeit von der Anzahl m der Liganden folgende koordinativen Möglichkeiten:
M ist mit zwei tridentaten Liganden oder mit einem tetradentaten und einem bidentaten Liganden oder mit einem pentadentaten und einem monodentaten
Liganden koordiniert;
M ist mit drei bidentaten Liganden oder mit einem tridentaten, einem bidentaten und einem monodentaten Liganden oder mit einem tetradentaten und zwei monodentaten Liganden koordiniert;
M ist mit zwei bidentaten und zwei monodentaten Liganden oder einem tridentaten und drei
monodentaten Liganden koordiniert;
M ist mit einem bidentaten und vier monodentaten Liganden koordiniert;
M ist mit 6 monodentaten Liganden koordinert.
Besonders bevorzugt ist es, wenn M ein hexakoordiniertes Metall, m = 3 und die Liganden jeweils bidentate Liganden sind.
Wenn M ein tetrakoordiniertes Metall ist, so ist die Zähnigkeit der Liganden in Abhängigkeit von m, das die Anzahl der Liganden angibt,
folgendermaßen: m = 2: M ist mit zwei bidentaten Liganden oder mit einem tridentaten und einem monodentaten Liganden koordiniert; m = 3: M ist mit einem bidentaten und zwei monodentaten
Liganden koordiniert; m = 4: M ist mit vier monodentaten Liganden koordiniert.
Besonders bevorzugt ist es, wenn M ein tetrakoordiniertes Metall, m = 2 und die Liganden bidentate Liganden sind.
Die Liganden der Metall-Ligand-Koordinationsverbindung sind bevorzugt neutrale, monoanionische, dianionische oder trianionische Liganden, besonders bevorzugt neutrale oder monoanionische Liganden. Sie können monodentat, bidentat, tridentat, tetradentat pentadentat oder hexadentat sein, und sind bevorzugt bidentat, weisen also bevorzugt zwei
Koordinationsstellen auf.
Des Weiteren ist es erfindungsgemäß bevorzugt, wenn jeweils mindestens ein Ligand der Metall-Ligand-Koordinationsverbindung ein bidentater Ligand ist.
Bevorzugte neutrale, monodentate Liganden der Metall-Ligand-Koordi- nationsverbindung sind ausgewählt aus Kohlenmonoxid, Stickstoffmonoxid, Alkylcyaniden, wie z. B. Acetonitril, Arylcyaniden, wie z. B.
Benzonitril, Alkylisocyaniden, wie z. B. Methylisonitril, Arylisocyaniden, wie z. B. Benzoisonitril, Aminen, wie z. B. Trimethylamin, Triethylamin,
Morpholin, Phosphinen, insbesondere Halogenphosphine, Trialkyl- phosphine, Triarylphosphine oder Alkylarylphosphine, wie z. B. Trifluor- phosphin, Trimethylphosphin, Tricyclohexylphosphin, Tri-terf-butyl- phosphin, Triphenylphosphin, Tris(pentafluorphenyl)phosphin, Phosphiten, wie z. B. Trimethylphosphit, Triethylphosphit, Arsinen, wie z. B. Trifluor- arsin, Trimethylarsin, Tricyclohexylarsin, Tri-terf-butylarsin, Triphenylarsin, Tris(pentafluorphenyl)arsin, Stibinen, wie z. B. Trifluorstibin, Trimethyl- stibin, Tricyclohexylstibin, Tri-fe/f-butylstibin, Triphenylstibin, Tris(penta- fluorphenyl)stibin, stickstoffhaltigen Heterocyclen, wie z. B. Pyridin,
Pyridazin, Pyrazin, Pyrimidin, Triazin, und Carbenen, insbesondere
Arduengo-Carbenen.
Bevorzugte monoanionische, monodentate Liganden der Metall-Ligand- Koordinationsverbindung sind ausgewählt aus Hydrid, Deuterid, den Halogeniden F~, Cl~, Br~ und Γ, Alkylacetyliden, wie z. B. Methyl-C^C", tert-Butyl-C=C~, Arylacetyliden, wie z. B. Phenyl-CsC", Cyanid, Cyanat, Isocyanat, Thiocyanat, Isothiocyanat, aliphatischen oder aromatischen Alkoholaten, wie z. B. Methanolat, Ethanolat, Propanolat, /so-Propanolat, te f-Butylat, Phenolat, aliphatischen oder aromatischen Thioalkoholaten, wie z. B. Methanthiolat, Ethanthiolat, Propanthiolat, /'so-Propanthiolat, tert- Thiobutylat, Thiophenolat, Amiden, wie z. B. Dimethylamid, Diethylamid, Di-/so-propylamid, Morpholid, Carboxylaten, wie z. B. Acetat, Trifluor- acetat, Propionat, Benzoat, Arylgruppen, wie z. B. Phenyl, Naphthyl, und anionischen, stickstoffhaltigen Heterocyclen, wie Pyrrolid, Imidazolid, Pyrazolid. Dabei sind die Alkylgruppen in diesen Gruppen bevorzugt Cr C2o-Alkylgruppen, besonders bevorzugt CrCi0-Alkylgruppen, ganz besonders bevorzugt Ci-C4-Alkylgruppen. Unter einer Arylgruppe werden auch Heteroarylgruppen verstanden. Diese Gruppen sind wie unten definiert.
Bevorzugte di- bzw. trianionische Liganden der Metall-Ligand- Koordinationsverbindung sind O2", S2_, Carbide, welche zu einer
Koordination der Form R-CsM führen, Nitrene, welche zu einer
Koordination der Form R-N=M führen, wobei R allgemein für einen
Substituenten steht, und N3-.
Bevorzugte neutrale oder mono- oder dianionische, bidentate oder höher- dentate Liganden der Metall-Ligand-Koordinationsverbindung sind ausgewählt aus Diaminen, wie z. B. Ethylendiamin, Ν,Ν,Ν''-Tetra- methylethylendiamin, Propylendiamin, Ν,Ν,Ν''-Tetramethylpropylendi- amin, eis- oder trans-Diaminocyclohexan, eis- oder trans-N,N,N',N'-Tetra- methyldiaminocyclohexan, Iminen, wie z. B. 2[1-(Phenylimino)ethyl]pyridin, 2[1-(2-Methylphenylimino)ethyl]pyridin, 2[1-(2,6-Di-/so-propylphenyl- imino)ethyl]pyridin, 2[1-(Methylimino)ethyl]pyridin, 2[1-(ethylimino)- ethyl]pyridin, 2[1-(/so-Propylimino)ethyl]pyridin, 2[1-(Te/f-Butylimino)ethyl]- pyridin, Diminen, wie z. B. 1 ,2-Bis(methylimino)ethan, 1 ,2-Bis(ethylimino)- ethan, 1 ,2-Bis(/so-propylimino)ethan, 1 ,2-Bis(te/f-butylimino)ethan,
2,3-Bis(methylimino)butan, 2,3-Bis(ethylimino)butan, 2,3-Bis(/'so-propyl- imino)butan, 2,3-Bis(terf-butylimino)butan, 1 ,2-Bis(phenylimino)ethan, 1 ,2-Bis(2-methylphenylimino)ethan, 1 ,2-Bis(2,6-di-/'so-propylphenylimino)- ethan, 1 ,2-Bis(2,6-di-iert-butylphenylimino)ethan, 2,3-Bis(phenylimino)- butan, 2,3-Bis(2-methylphenylimino)butan, 2,3-Bis(2,6-di-/'so-propylphenyl- imino)butan, 2,3-Bis(2,6-di-fe/f-butylphenylimino)butan, Heterocyclen enthaltend zwei Stickstoffatome, wie ζ. B. 2,2'-Bipyridin, o-Phenanthrolin, Diphosphinen, wie z. B. Bis(diphenylphosphino)methan, Bis(diphenyl- phosphino)ethan, Bis(diphenylphosphino)propan, Bis(diphenylphos- phino)butan, Bis(dimethylphosphino)methan, Bis(dimethylphosphino)- ethan, Bis(dimethylphosphino)propan, Bis(diethylphosphino)methan, Bis- (diethylphosphino)ethan, Bis(diethylphosphino)propan, Bis(di-terf-butyl- phosphino)methan, Bis(di-te/f-butylphosphino)ethan, Bis(ferf-butyl- phosphino)propan, 1 ,3-Diketonaten abgeleitet von 1 ,3-Diketonen, wie z. B. Acetylaceton, Benzoylaceton, 1 ,5-Diphenylacetylaceton, Dibenzoylmethan, Bis(1 ,1 ,1-trifluoracetyl)methan, 3-Ketonaten abgeleitet von 3-Ketoestern, wie z. B. Acetessigsäureethylester, Carboxylate, abgeleitet von Amino- carbonsäuren, wie z. B. Pyridin-2-carbonsäure, Chinolin-2-carbonsäure, Glycin, Ν,Ν-Dimethylglycin, Alanin, Ν,Ν-Dimethylaminoalanin, Salicyl- iminaten abgeleitet von Salicyliminen, wie z. B. Methylsalicylimin, Ethyl- salicylimin, Phenylsalicylimin, Dialkoholaten abgeleitet von Dialkoholen, wie z. B. Ethylenglykol, 1 ,3-Propylenglykol und Dithiolaten abgeleitet von Dithiolen, wie z. B. 1 ,2-Ethylendithiol, 1 ,3-Propylendithiol.
Bevorzugte tridentate Liganden sind Borate stickstoffhaltiger Heterocyclen, wie z. B. Tetrakis(1-imidazolyl)borat und Tetrakis(1-pyrazolyl)borat.
Bevorzugt sind weiterhin bidentate monoanionische Liganden der Metall- Ligand-Koordinationsverbindung, welche mit dem Metall einen cyclo- metallierten Fünfring oder Sechsring mit mindestens einer Metall-Kohlenstoff-Bindung aufweisen, insbesondere einen cyclometallierten Fünfring. Dies sind insbesondere Liganden, wie sie allgemein im Gebiet der phosphoreszierenden Metallkomplexe für organische Elektrolumines- zenzvorrichtungen verwendet werden, also Liganden vom Typ Phenyl- pyridin, Naphthylpyridin, Phenylchinolin, Phenylisochinolin, etc., welche jeweils durch einen oder mehrere Reste R substituiert sein können. Dem Fachmann auf dem Gebiet der phosphoreszierenden Elektrolumines- zenzvorrichtungen ist eine Vielzahl derartiger Liganden bekannt, und er kann weitere derartige Liganden auswählen. Generell eignet sich dafür besonders die Kombination aus zwei Gruppen, wie sie durch die folgenden Formeln (2) bis (29) dargestellt sind, wobei eine Gruppe über ein neutrales Stickstoffatom oder ein Carbenatom bindet und die andere Gruppe über ein negativ geladenes Kohlenstoffatom oder ein negativ geladenes
Stickstoffatom bindet. Der Ligand der Metall-Ligand-Koordinations- verbindung kann dann aus den Gruppen der Formeln (2) bis (29) gebildet werden, indem diese Gruppen jeweils an der durch # gekennzeichneten Position aneinander binden. Die Position, an der die Gruppen an das Metall koordinieren, sind durch * gekennzeichnet.
Formel (2) Formel (3) Formel (4) Formel (5)
Figure imgf000013_0002
Formel (6) Formel (7) Formel (8) Formel (9)
Figure imgf000013_0003
Formel (10) Formel (1 ) Formel (12) Formel (13)
Figure imgf000014_0001
Formel (14) Formel (15) Formel (16) Formel (17)
Figure imgf000014_0002
Formel (18) Formel (19) Formel (20) Formel (21)
# # #
#
X^N* X^N *
v \ / X N
X-N x=x \\ //
X H x-x
\\ // X
x— X
Formel (22) Formel (23) Formel (24) Formel (25)
Figure imgf000014_0003
Formel (26) Formel (27) Formel (28) Formel (29)
Dabei ist R bei jedem Auftreten gleich oder verschieden aus der Gruppe ausgewählt, die aus Alkyl(en), Cycloalkyl(en), Alkylsilyl(en), Silyl(en), Arylsilyl(en), Alkylalkoxyalkyl(en), Arylalkoxyalkyl(en), Alkylthioalkyl(en), Phosphin, Phosphinoxid, Sulfon, Alkylensulfon, Sulfoxid und Alkylen- sulfoxid besteht, wobei die Alkylengruppe jeweils unabhängig voneinander 1 bis 12 C-Atome aufweist und wobei ein oder mehrere H-Atome durch F, Cl, Br, I, Alkyl oder Cycloalkyl, wobei ein oder mehrere CH2 durch ein Heteroatom, wie NH, O oder S ersetzt sein können, oder einem
aromatischen oder heteroaromatischen Kohlenwasserstoffrest mit 5 bis 20 aromatischen Ringatomen ersetzt sein können. X steht für N oder CH. Besonders bevorzugt stehen maximal drei Symbole X in jeder Gruppe für N, besonders bevorzugt stehen maximal zwei Symbole X in jeder Gruppe für N, ganz besonders bevorzugt steht maximal ein Symbol X in jeder Gruppe für N. Insbesondere bevorzugt stehen alle Symbole X für CH.
Ebenfalls bevorzugte Liganden sind r|5-Cyclopentadienyl, r|5-Pentamethyl- cyclopentadienyl, η6-ΒβηζοΙ oder T]7-Cycloheptatrienyl, welche jeweils durch einen oder mehrere Reste R substituiert sein können.
Ebenfalls bevorzugte Liganden sind 1 ,3,5-cis-Cyclohexanderivate, insbesondere der Formel (30), l .l ^-Tr methylenJmethanderivate, insbesondere der Formel (31) und 1 , 1 , 1 -trisubstituierte Methane, insbesondere der Formel (32) und (33),
Figure imgf000015_0001
Formel (30) Formel (31) Formel (32) Formel (33) wobei in den Formeln jeweils die Koordination an das Metall M dargestellt ist, R die oben genannte Bedeutung hat und G, gleich oder verschieden bei jedem Auftreten, für 0", S", COO", P(R)2 oder N(R)2 steht.
Die Metall-Ligand-Koordinationsverbindung T kann ein anionischer oder kationischer Komplex sein, ist vorzugsweise aber ein neutraler Komplex, so dass die Verbindung der Formel (1) eine neutrale Verbindung ist, d.h. die Wertigkeit des Metalls M und die Wertigkeit der Liganden der Metall- Ligand-Koordinationsverbindung wird so gewählt, dass sich die Ladung innerhalb einer jeden Koordinationsverbindung ausgleicht.
T ist vorzugsweise ein Donor, vorzugsweise ausgewählt aus der Gruppe von Verbindungen enthaltend die folgenden Liganden
Figure imgf000016_0001
Formel (34) Formel (34a)
Figure imgf000016_0002
Formel (35) Formel (35a)
Figure imgf000016_0003
Formel (36) Formel (36a)
Figure imgf000016_0004
Formel (37) Formel (37a)
Figure imgf000017_0001
Formel (38) Formel (38a)
Figure imgf000017_0002
Formel (39) Formel (39a) wobei:
R gleich oder verscheiden bei jedem Auftreten ist und die gleiche
Bedeutung hat wie der Rest R der Verbindung der Formel (10); m ist bei jedem Auftreten unabhängig voneinander 0, 1 , 2, 3 oder
4;
n ist bei jedem Auftreten unabhängig voneinander 0, 1 , oder 2; o ist bei jedem Auftreten unabhängig voneinander 0, 1 , 2 oder 3; Ganz besonders bevorzugt für die Gruppe A aus der Verbindung der Formel (1) sind die Verbindung aus der Gruppe, die aus den folgenden Einheiten besteht, die gegebenenfalls weiter mit einem oder mehreren Resten R substituiert sein können, wobei die Reste R gleich oder verschieden sein können und die für die Verbindung mit der Formel (10) angegebene Bedeutung haben.
Figure imgf000018_0001
Formel (39c)
Figure imgf000018_0002
Formel (39g)
Figure imgf000018_0003
Formel (39h) Formel (39i)
Figure imgf000018_0004
Formel (39j) Formel (39k)
Figure imgf000019_0001
Formel (39I)
In eine weiteren Ausführungsform der vorliegenden Erfindung ist die Gruppe T in der Verbindung der Formel (1) eine Metall-Ligand- Koordinationsverbindung, die als Farbstoff fungiert, und zwar
insbesondere als Donor im Sinne des genannten Energietransfers.
Generell eignen sich alle Farbstoff-Metall-Ligand-Koordinations- verbindungen, wie sie gemäß dem Stand der Technik für sogenannte„dye- sensitized solar cells (DSSCs)" verwendet werden und wie sie dem
Fachmann auf dem Gebiet der DSSCs bekannt sind. Diese Farbstoffe sind vorzugsweise ausgewählt aus der Gruppe bestehend aus Polypyridyl- Komplexen von Übergangsmetallen, ganz bevorzugt solche enthaltend Ruthenium, Osmium und Kupfer. In einer weiteren bevorzugten Ausführungsform der vorliegenden Erfindung hat der Farbstoff, der ein Metallkomplex ist, die allgemeine Formel ML2(X)2, wobei L bevorzugt ausgewählt ist aus der Gruppe bestehend aus 2,2'-Bipyridyl-4,4'-dicarbonsäuren und wobei M ein Übergangsmetall ist, das bevorzugt ausgewählt ist aus der Gruppe bestehend aus Ru, Os, Fe, V and Cu und wobei X ausgewählt ist aus der Gruppe bestehend aus Halogeniden, Cyaniden, Thiocyanaten, Acetylacetonaten, Thiacarbamaten oder Wasser-Substituenten. Solche Metallkomplexe sind beispielsweise in J. Phys. Chem. C 09, 113, 2966- 2973, US 2009/000658, WO 2009/107100, WO 2009/098643,
US 6245988, WO 2010/055471 , JP 2010-084003, EP 1622178,
WO 98/50393, WO 95/29924, WO 94/04497, WO 92/14741 ,
WO 91/16719 offenbart.
Beispiele für bevorzugte phosphoreszierende Emittereinheiten sind in der folgenden Tabelle aufgeführt:
Figure imgf000020_0001
Figure imgf000021_0001
Formel (53) Formel (54)
Figure imgf000021_0002
Formel (55) Formel (56) Formel (57)
Formel (59) Formel (60)
Figure imgf000021_0003
Formel (61) Formel (62) Formel (63) -21 -
Figure imgf000022_0001
Figure imgf000023_0001
Figure imgf000024_0001
Figure imgf000025_0001
Formel (103) Formel (104) Formel (105)
Figure imgf000026_0001
Formel (107) Formel (108)
Figure imgf000026_0002
Formel (110) Formel (111)
Figure imgf000026_0003
Formel (112) Formel (113) Formel (114)
Figure imgf000027_0001
Formel (124) Formel (125) Formel (126)
Figure imgf000028_0001
Formel (128) Formel (129)
Figure imgf000028_0002
Formel (131) Formel (132)
Formel (133)
Figure imgf000028_0003
Formel (136) Formel (137) Formel (138)
Figure imgf000029_0001
Formel (139) Formel (140) Formel (141)
Figure imgf000029_0002
Figure imgf000029_0003
Figure imgf000029_0004
Formel (151) Formel (152) Formel (153)
Figure imgf000030_0002
Formel (157) Formel (158) Formel (159)
Figure imgf000031_0001

Figure imgf000032_0001
Formel (169) Formel (170) Formel (171)
Figure imgf000032_0002
Formel (172) Formel (173) Formel (174)
Figure imgf000032_0003
Formel (175) Formel (176) Formel (177)
Figure imgf000032_0004
Formel (178) Formel (179) Formel (180)
Figure imgf000033_0001
Formel (181) Formel (182)
Die zuvor aufgelisteten Beispiele für eine phosphoreszierende Emittereinheit stellen hierbei die oben genannte Gruppe T dar und werden in Abhängigkeit von dem Index n an eine oder mehrere Gruppen A
gebunden. Die Bindung findet statt, indem ein oder mehrere Wasserstoff - atome an den Liganden nicht vorhanden sind und an dieser Stelle die Bindung zu der/den Gruppe(n) A stattfindet.
Die Gruppe S ist vorzugsweise eine monovalente Gruppe, die eine fluoreszierende Emittereinheit enthält bzw. daraus besteht.
Eine fluoreszierende Emittereinheit im Sinne dieser Erfindung ist allgemein betrachtet eine Einheit, die Licht, vorzugsweise im sichtbaren Bereich, aus einem angeregten Singulett-Zustand emittiert.
Die fluoreszierende Emittereinheit umfasst vorzugsweise die folgenden Verbindungen: mono- oder polycyclische aromatische oder hetero- aromatischen Ringsysteme mit 5 bis 60 aromatischen Ringatomen oder auch Tolan-, Stilben- oder Bisstyrylarylenderivate, die jeweils mit einem oder mehreren Resten R substituiert sein können. Besonders bevorzugt ist dabei der Einbau von 1 ,4-Phenyl, 1 ,4-Naphthyl, 1 ,4- oder 9,10-Anthryl, 1 ,6-, 2,7- oder 4,9-Pyrenyl, 3,9- oder 3,10-Perylenyl, 4,4 -Biphenylyl, 4,4"- Terphenylyl, 4,4'-Bi-1 , 1 '-naphthylyl, 4,4'-Tolanyl, 4,4 -Stilbenyl, 4,4"-Bissty- rylaryl, Benzothiadiazolyl, Chinoxalinyl, Phenothiazinyl, Phenoxazinyl, Dihydrophenazinyl, Bis(thiophenyl)aryl, Oligo(thiophenyl), Phenazinyl, Rubrenyl, Pentacenyl, Squarinyl und Chinacridonyl, die vorzugsweise substituiert sind, oder vorzugsweise konjugierte Push-Pull-Systeme
(Systeme, die mit Donor- und Akzeptorsubstituenten substituiert sind, oder Systeme wie Squarine oder Chinacridone, die vorzugsweise substituiert sind.
Des Weiteren ist es bevorzugt, dass S aus der Gruppe ausgewählt ist, die aus Monostyrylaminen, Distyrylaminen, Tristyrylaminen, Tetrastyrylaminen, Styrylphophinen, Styrylethern, Arylaminen, Indenofluorenaminen,
Indenofluorendiaminen und deren Derivaten besteht.
Im Prinzip kann jede organische fluoreszierende Emitterverbindung erfindungsgemäß als Einheit S eingesetzt werden, die dem Fachmann auf dem Gebiet von organischen lichtemittierenden Dioden oder organischen lichtemittierenden elektrochemischen Zellen bekannt ist.
Die Einheit S in der erfindungsgemäßen Verbindung der Formel (1) wird vorzugsweise unter den folgenden ausgewählt: Styrylamine-Derivate, Indenofluoren-Derivate, polyaromatische Verbindungen, Anthracen- Derivate, Tetracen-Derivate, Xanthen-Derivate, Perylen-Derivate,
Phenylen-Derivate, Fluoren-Derivate, Arylpyren-Derivate, Arylenvinylen- Derivate, Rubren-Derivate, Coumarin-Derivate, Rhodamin-Derivate, Quinacridon-Derivate, Dicyanomethylenpyran-Derivate, Thiopyran, Poly- methin-Derivate, Pyrylium und Thiapyrylium Salze, Periflanthen-Derivate, Indenoperylen-Derivate, Bis(azinyl)iminboron-Verbindungen, Bis(azinyl)- methin-Verbindungen, Carbostyryl-Verbindungen, Monostyrylamine, Disty- rylamine, Tristyrylamine, Tetrastyrylamine, Styrylphosphine, Styrylether, Arylamine, Indenofluorenamine und Indenofluorendiamine, Benzoindeno- fluorenamine, Benzoindenofluorendiamine, Dibenzoindenofluorenamine, Dibenzoindenofluorendiamine, substituierte oder unsubstituierte Tristilben- amine, Distyrylbenzol und Distyrylbiphenyl-Derivate, Triarylamine, Naph- thalen-Derivate, Anthracen-Derivate, Tetracen-Derivate, Fluoren-Derivate, Periflanthen-Derivate, Indenoperylen-Derivate, Phenanthren-Derivate, Perylen-Derivate, Pyren-Derivate, Chrysen-Derivate, Decacyclen-Derivate, Coronen-Derivate, Tetraphenylcyclopentadien-Derivate, Pentaphenyl- cyclopentadien-Derivate, Fluoren-Derivate, Spirofluoren-Derivate, Pyran- Derivate, Oxazon-Derivate, Benzoxazol-Derivate, Benzothiazol-Derivate, Benzimidazol-Derivate, Pyrazin-Derivate, Zimtsäureester, Diketopyrrolo- pyrrol-Derivate, und Acridon-Derivate. Blaue fluoreszierende Emitterverbindungen als Einheit S können
vorzugsweise polyaromatische Verbindungen sein, wie beispielsweise 9,10-Di(2-naphthylanthracen) und andere Anthracen-Derivate, Derivate von Tetracen, Xanthen, Perylen, wie beispielsweise 2,5,8,11-Tetra-t- butylperylen, Phenylen, z.B. 4,4'-(Bis(9-ethyl-3-carbazovinylen)-1 ,1'- biphenyl, Fluoren, Arylpyrene (US 2006/0222886), Arylenvinylene
(US 5121029, US 5130603), Derivate von Rubren, Coumarin, Rhodamin, Quinacridon, wie beispielsweise Ν,Ν'-Dimethylquinacridon (DMQA), Dicyanomethylenepyran, wie beispielsweise 4-(Dicyanoethylen)-6-(4- dimethylaminostyryl-2-methyl)-4H-pyran (DCM), Thiopyrane, Polymethin, Pyrylium and Thiapyrylium Salze, Periflanthen, Indenoperylen, Bis(azinyl)- iminboron-Verbindungen (US 2007/0092753 A1), Bis(azinyl)methen- Verbindungen und Carbostyryl-Verbindungen.
Weiterhin bevorzugte blaue fluoreszierende Emitterverbindungen als Einheit S können Emitter sein, die in C.H. Chen et al.: "Recent
developments in organic electroluminescent materials" Macromol. Symp. 125, (1997), 1-48 und "Recent progress of molecular organic
electroluminescent materials and devices" Mat. Sei. and Eng. R, 39 (2002), 143-222 beschrieben werden.
Ein Monostyrylamin ist hierbei eine Verbindung, die eine substituierte oder unsubstituierte Styrylgruppe und wenigstens ein, vorzugsweise aromatisches, Amin enthält. Ein Distyrylamin ist vorzugsweise eine Verbindung, die zwei substituierte oder unsubstituierte Styrylgruppen und wenigstens ein, vorzugsweise aromatisches, Amin enthält. Ein Tristyryl- amin ist vorzugsweise eine Verbindung, die drei substituierte oder unsubstituierte Styrylgruppen und wenigstens ein, vorzugsweise aromatisches, Amin enthält. Ein Tetrastyrylamin ist vorzugsweise eine
Verbindung, die vier substituierte oder unsubstituierte Styrylgruppen und wenigstens ein, vorzugsweise aromatisches, Amin enthält. Besonders bevorzugt ist die Styrylgruppe ein Stilben, das weiterhin substituiert sein kann. Die erfindungsgemäß einsetzbaren entsprechenden Phosphine and Ethers werden analog zu den Aminen definiert. Für den Zweck dieser Erfindung bedeutet Arylamin oder aromatisches Amin eine Verbindung, die drei substituierte oder unsubstituierte aromatische oder heteroaromatische Ringsysteme enthält, die direkt an ein Stickstoffatom gebunden sind.
Wenigstens eines dieser aromatischen oder heteroaromatischen
Ringsysteme kann ein kondensierter Ring sein. Bevorzugt Beispiele hierfür sind aromatische Anthracen-Amine, aromatische Anthracen-Diamine, aromatische Pyren-Amine, aromatische Pyren-Diamine, aromatische Chrysen-Amine und aromatische Chrysen-Diamine. Ein aromatisches Anthracen-Amin kann eine Verbindung sein, in der eine Diarylamingruppe direkt an eine Anthracengruppe, vorzugsweise in der Position 9, gebunden ist. Ein aromatisches Anthracen-Diamin kann eine Verbindung sein, in der zwei Diarylamingruppen direkt an eine Anthracengruppe, vorzugsweise in den Positionen 9 und 10 gebunden sind. Aromatische Pyren-Amine, Pyren-Diamine, Chrysen-Amine und Chrysen-Diamine werden analog dazu definiert, worin die Diarylamingruppen am Pyren vorzugsweise in der Position 1 oder in den Positionen 1 und 6 gebunden sind.
Weiterhin bevorzugte fluoreszierende Emitterverbindungen sind Indeno- fluoren-Amine und Indenofluoren-Diamine, z.B. gemäß WO 2006/122630, Benzoindenofluoren-Amine und Benzoindenofluoren-Diamine, z.B. gemäß WO 2008/006449, und Dibenzoindenofluoren-Amine und Dibenzo- indenofluoren-Diamine, z.B. gemäß WO 2007/140847.
Beispiele für weitere erfindungsgemäß einsetzbare fluoreszierende
Emitterverbindungen aus der Klasse der Styrylamine sind substituierte oder unsubstituierte Tristilben-Amine oder solche, die in WO 2006/000388, WO 2006/058737, WO 2006/000389, WO 2007/065549 und
WO 2007/115610 beschrieben sind. Distyrylbenzen- und Distyrylbiphenyl- Derivate werden in US 5121029 beschrieben. Weitere Styrylamine können in US 2007/0122656 A1 gefunden werden. Besonders bevorzugte Styrylamine und Triarylamine sind die Verbindungen der Formeln (183) to (188) und solche, die in US 7250532 B2, DE 102005058557 A1 , CN 1583691 A, JP 08053397 A, US 6251531 B1 , und US 2006/210830 A offenbart sind.
Figure imgf000037_0001
Weiterhin bevorzugte fluoreszierende Emitterverbindungen können aus der Gruppe der Triarylamine wie in EP 1957606 A1 und US 2008/0113101 A1 offenbart entnommen werden.
Weiterhin bevorzugte fluoreszierende Emitterverbindungen können aus den Derivaten des Naphthalens, Anthracens, Tetracens, Fluorens, Periflan- thens, Indenoperylens, Phenanthrens, Perylens (US 2007/0252517 A1), Pyrens, Chrysens, Decacyclens, Coronens, Tetraphenylcyclopentadiens, Pentaphenylcyclopentadiens, Fluorens, Spirofluorens, Rubrens, Coumarins (US 4769292, US 6020078, US 2007/0252517 A1), Pyrans, Oxazons, Benzoxazols, Benzothiazols, Benzimidazols, Pyrazins, Zimtsäureesters, Diketopyrrolopyrrols, Acridons und Quinacridons (US 2007/0252517 A1) ausgewählt werden.
Unter den Anthracen-Verbindungen sind die 9,10-substituierten
Anthracene, wie z.B. das 9,10-Diphenylanthracen und 9,10-Bis(phenyl- ethynyl)anthracen, bevorzugt. Auch 1 ,4-Bis(9'-ethynylanthracenyl)benzol kann als fluoreszierende Emitterverbindung bevorzugt sein.
Geeignete fluoreszierende Emitter-Einheiten sind weiterhin die in der folgenden Tabelle abgebildeten Strukturen, sowie die in JP 06/001973, WO 2004/047499, WO 2006/098080, WO 2007/065678,
US 2005/0260442 und WO 2004/092111 offenbarten Strukturen.
Figure imgf000038_0001
Formel (189) Formel (190) Formel (191)
Figure imgf000039_0001
Formel(192) Formel (193) Formel (194)
Figure imgf000039_0002
Figure imgf000039_0003
Figure imgf000040_0001
Figure imgf000041_0001
Formel (213) Formel (2 4) Formel (215)
Figure imgf000041_0002
Formel (216) Formel (217) Formel (218)
Figure imgf000041_0003
Figure imgf000041_0004
Figure imgf000042_0001
Formel (225) Formel (226) Formel (227)
Figure imgf000042_0002
Formel (228) Formel (229) Formel (230)
Formel (231) Formel (232) Formel (233)
Figure imgf000042_0004
Es ist bevorzugt, dass die Einheit S aus einer der genannten fluoreszierenden Emitterverbindungen besteht. Dabei wird die Gruppe S vorzugsweise so an A gebunden, dass einer der Wasserstoffatome nicht vorhanden ist und an dieser Stelle die Bindung zur Einheit A stattfindet.
In einer weiteren Ausführungsform der vorliegenden Erfindung ist die Gruppe S der Verbindung der Formel (1) eine absorbierende Gruppe, die als Farbstoff funktioniert, und zwar insbesondere als Akzeptor im Sinne des genannten Energietransfers. Generell eignen sich alle organischen Farbstoffe, wie sie gemäß dem Stand der Technik für„organic solar cells (OPVs)" verwendet werden und wie sie dem Fachmann auf dem Gebiet der OPVs bekannt sind.
Besonders bevorzugte Beispiele für die Gruppe S für die Verwendung der Verbindung der Formel (1) in Solarzellen sind die folgenden:
Figure imgf000043_0001
Formel (237) Formel (238)
Figure imgf000043_0002
Formel (239) wobei
R bei jedem Auftreten gleich oder verschieden ein Rest ist, der
bereits oben für Formel (10) definiert wurder; und
X und Y bei jedem Auftreten gleich oder verschieden ein Rest ist ausgewählt aus, H. Halogen, Alkyl, Alkoxyalkyl, Alkylsilyl, Silyl, Alkylalkoxyalky Gruppen,
Die bivalente Einheit A ist vorzugsweise eine konjugierte oder konjuga- tionsunterbrechende Einheit. Besonders bevorzugt ist die Einheit A ein konjugationsunterbrechende Einheit. Dies hat den Vorteil, dass die Energietransferraten zwischen den Gruppen T und S erhöht ist, ohne die elektronischen Eigenschaften von T und/oder S zu ändern. Die konjugierte Einheit ist vorzugsweise ein substituiertes oder unsub- stituiertes mono- oder polycyclisches aromatisches oder heteroaromatisches Ringsystem mit 5 bis 60 aromatischen Ringatomen.
Unter einer konjugationsunterbrechenden Einheit wird eine Einheit verstanden, die die Konjugation stört bzw. vorzugsweise unterbricht, d.h. eine mögliche Konjugation der an A bindenden Liganden wird gestört bzw. vorzugsweise unterbrochen. Unter Konjugation versteht man in der
Chemie die Überlappung eines ττ-Orbitals (π=ΡΙ) mit einem p-Orbital eines sp2-hybridisierten (Kohlenstoff-)Atoms oder weiteren π-Orbitalen. Im
Gegensatz dazu versteht man im Sinne dieser Anmeldung unter einer konjugationsunterbrechenden Einheit eine Einheit, die eine solche
Überlappung stört bzw. vorzugsweise völlig unterbindet. Dies kann beispielsweise durch eine Einheit erfolgen, bei der die Konjugation durch mindestens ein sp3-hybridisiertes Atom, bevorzugt Kohlenstoff, gestört wird. Ebenso kann die Konjugation durch ein nicht sp3-hybridisiertes Atom gestört sein, beispielsweise durch N, P oder Si.
Die konjugationsunterbrechende Einheit ist vorzugsweise aus der Gruppe ausgewählt, die aus linearem oder verzweigtem Ci.i2-Alkylen, C3-8- Cycloalkylen, linearem oder verzweigten Mono-(Ci-12-alkyl)-silylen, linearem oder verzweigten Di-(Ci-i2-alkyl)-silylen, linearem oder
verzweigtem Tri-(Ci-12-alkyl)-silylen, einer Silylengruppe, die mit ein, zwei oder drei mono- oder polycyclischen aromatischen oder heteroaromatischen Ringsystemen mit 5 bis 60 aromatischen Ringatomen substituiert ist, linearem oder verzweigtem Sii-5-silylen, linearem oder verzweigtem d. 12-Alkyl-oxy-Ci.i2-alkylen, linearem oder verzweigtem Aryl-Ci-i2-Alkyl-oxy- Ci-i2-alkylen, wobei Aryl ein mono- oder polycylisches aromatisches oder heteroaromatisches Ringsystem mit 5 bis 60 aromatischen Ringatomen ist, linearem oder verzweigtem Ci-i2-Alkyl-thio-Ci- 2-alkylen, Sulfon, linearem oder verzweigtem Ci-12-Alkylensulfon, Sulfoxid und linearem oder verzweigtem Ci-i2-Alkylensulfoxid besteht, wobei ein oder mehrere HI- Atome der genannten Gruppen durch F, Cl, Br, I, einem weiteren Ci-12- Alkyl oder C3-8-Cycloalkyl, wobei ein oder mehrere CH2-Gruppen des Alkyl oder Cycloalkyl durch Heteroatome, wie NH, O oder S, ersetzt sein können, oder einem mono- oder polycylischen aromatischen oder heteroaromatischen Ringsystemen mit 5 bis 60 aromatischen Ringatomen ersetzt sein können, und wobei ein oder mehrere CH2-Gruppen der genannten Gruppen, die A darstellen, durch ein bivalentes mono- oder polycyclisches aromatisches oder heteroaromatisches Ringsystem mit 5 bis 60 aromatischen Ringatomen ersetzt sein können, mit der Maßgabe, dass die bivalente Einheit A über jedes denkbare Atom der Einheit an die Gruppen S und T binden kann.
Besonders bevorzugt bedeutet A ein lineares oder verzweigtes C^2- Alkylen oder
Figure imgf000045_0001
wobei ein oder mehrere H-Atome durch F ersetzt sein können.
Des Weiteren ist es bevorzugt, dass A ein Ci-12-Alkylen oder C3-8- Cycloalkylen ist, das mit zwei bivalenten mono- oder polycyclischen aromatischen oder heteroaromatischen Ringsystemen mit 5 bis 60 aromatischen Ringatomen substituiert ist, und die Bindung zu S über ein aromatisches Atom des einen Ringsystems und die Bindung zu T über ein aromatisches Atom des anderen Ringsystems stattfindet.
Weiter bevorzugt entspricht A einer bivalenten Einheit der allgemeinen Formeln (240) bis (254),
Figure imgf000045_0002
Formel ( mel (242)
Figure imgf000045_0003
Formel (243) Formel (244)
Figure imgf000046_0001

Figure imgf000047_0001
Formel (253) Formel (254) wobei An, ΑΓ2 und Ar3 jeweils unabhängig voneinander eine mono- oder polycyclische aromatische oder heteroaromatische Einheit mit 5 bis 60 Ringatomen bedeuten, zwei der Reste R1 bis R4 bzw. einer der Reste R1 bis R4 und eine der Gruppen Ar1 f Ar2 und Ar3 eine Bindung zu den
Liganden L1 bzw. L2 der Verbindung der allgemeinen Formel (1) aufweisen, und wobei R1, R2, R3 und R4 jeweils unabhängig voneinander Alkyl(en), Cycloalkyl(en), Alkylsilyl(en), Silyl(en), Arylsilyl(en), Alkylalkoxy- alkyl(en), Arylalkoxyalkyl(en), Alkylthioalkyl(en), Phosphin, Phosphinoxid, Sulfon, Alkylensulfon, Sulfonoxid, Alkylensulfonoxid bedeuten, wobei die Alkylengruppe jeweils unabhängig voneinander 1 bis 12 C-Atome aufweist und wobei ein oder mehrere H-Atome durch F, Cl, Br, I, Alkyl oder
Cycloalkyl, wobei ein oder mehrere CH2 durch ein Heteroatom, wie NH, O oder S ersetzt sein können, oder einem aromatischen oder heteroaromatischen Kohlenwasserstoff rest mit 5 bis 20 aromatischen Ringatomen ersetzt sein können.
Die Substituenten R1 bis R4 können am jeweiligen An, Ar2 oder Ar3 entweder zueinander benachbart sein oder es können ein oder mehrere Ringatome dazwischen liegen. Die Atome, an denen die Substituenten R1 bis R4 gebunden sind, sind vorzugsweise Ringatome der aromatischen oder heteroaromatischen Einheit.
Bevorzugt für A sind insbesondere die folgenden Strukturen
Figure imgf000047_0002
Formel (255) Formel (256) Formel (257)
Figure imgf000048_0001
Formel (266) Formel (267)
35
Figure imgf000049_0001
Formel (268) Formel (269) wobei die Symbole und Indices die bei den Strukturen (240) bis (254) angegebene Bedeutung haben.
Bevorzugt für A sind insbesondere die folgenden Strukturen, wie beispielsweise in DE 102009023156.0 offenbart:
Figure imgf000049_0002
Formel (270) Formel (271), worin die gestrichelten Linien Bindungen zu den Gruppen S und T darstellen und W und Z unabhängig voneinander aus der Gruppe ausgewählt sind, die aus H, F, Ci-40-Alkyl, C2-4o-Alkenyl, C2^o-Alkinyl, einem substituierten oder unsubstituierten aromatischen oder
heteroaromatischen Kohlenwasserstoffrest mit 5 bis 60 Ringatomen besteht.
Der Parameter n ist vorzugsweise 1 , 2, 3, 4 oder 5, besonders bevorzugt 1 , 2 oder 3, noch stärker bevorzugt 1 oder 2 und am bevorzugtesten 1. Desweiteren ist es bevorzugt, dass eine Emissionsbande der fluoreszierenden Emittereinheit der Verbindung der Formel (1) ein Emissionsmaximum im Wellenlängenbereich von 500 bis 750 nm aufweist
Ebenso bevorzugt ist es, dass eine Absorptionsbande der fluoreszierenden Emittereinheit der Verbindung der Formel (1 ) ein Absorptions- maximum im Wellenlängenbereich von 400 bis 600 nm aufweist. Eine Emissionsbande der phosphoreszierenden Emittereinheit der Verbindung der Formel (1) weist vorzugsweise ein Emissionsmaximum im Wellenlängenbereich von 400 bis 600 nm auf. Vorzugsweise weist eine Absorptionsbande der fluoreszierenden
Emittereinheit der Verbindung der Formel (1) mit einer Emissionsbande der phosphoreszierenden Emittereinheit einen überlappenden Wellenlängenbereich weist. Desweiteren ist es auch bevorzugt, dass eine Emissionsbande der fluoreszierenden Emittereinheit der Verbindung der Formel (1) mit einer Absorptionsbande der phosphoreszierenden Emittereinheit einen überlappenden Wellenlängenbereich aufweist. Beispiele für erfindungsgemäße Verbindungen der Formel (1 ) sind die folgenden:
Figure imgf000050_0001
Formel (272)
Figure imgf000051_0001
Figure imgf000051_0002
Formel (274)
Figure imgf000051_0003
Formel (275)
35
Figure imgf000052_0001
Figure imgf000052_0002
Figure imgf000052_0003
Formel (278)
35
Figure imgf000053_0001
Formel (279)
Figure imgf000053_0002
Formel (281)
35
Figure imgf000054_0001

Figure imgf000055_0001
30
35
Figure imgf000056_0001
Figure imgf000057_0001

Figure imgf000058_0001
Figure imgf000058_0002
Formel (294)
Unter
Figure imgf000058_0003
werden in der vorliegenden Erfindung vorzugsweise lineare, verzweigte oder cyclische Alkylgruppen verstanden. Die linearen Alkylgruppen haben vorzugsweise 1 bis 6, 1 bis 10 oder 1 bis 40 Kohlenstoffatome. Die verzweigten oder cyclischen Alkylgruppen haben vorzugsweise 3 bis 6, 3 bis 10 oder 3 bis 40 Kohlenstoffatome. Bevorzugt sind Alkylgruppen mit 1 bis 6, bzw. 3 bis 6 Kohlenstoffatomen, besonders bevorzugt 1 bis 3, bzw. 3 Kohlenstoffatomen. Ein oder mehrere Wasserstoffatome an diesen Alkylgruppen können durch ein Fluoratom ersetzt sein. Außerdem können ein oder mehrere der CH2-Gruppen dieser Einheiten durch NR, O oder S ersetzt sein (R ist dabei ein Rest, der aus der Gruppe ausgewählt ist, die aus H und C-i-6-Alkyl besteht). Wenn eine oder mehrere der CH2-Gruppen durch NR, O oder S ersetzt ist, ist es besonders bevorzugt, dass nur eine dieser Gruppen ersetzt ist; besonders bevorzugt durch ein O-Atom. Beispiele solcher Verbindungen schließen die folgenden ein: Methyl, Ethyl, n-Propyl, i-Propyl, n-Butyl, i-Butyl, s-Butyl, t-Butyl, 2-Methylbutyl, n-Pentyl, s-Pentyl, n-Hexyl, n-Heptyl, n-Octyl, 2- Ethylhexyl, Trifluormethyl, Pentafluorethyl, 2,2,2-Trifluorethyl, Cyclopentyl, Cyclohexyl, Cycloheptyl und Cyclooctyl. Ebenso versteht man unter C^- Alkyl, Ci-io-Alkyl und Ci-2o-Alkyl Alkylgruppen wie vorstehend definiert, mit der Maßgabe, dass sie entsprechend weniger Kohlenstoffatome enthalten.
Unter einem„C2-4o-Alkenyl" versteht man eine lineare Alkenylgruppe mit 2 bis 40 Kohlenstoffatomen oder eine verzweigte oder cyclische Alkenylgruppe mit 3 bis 40 Kohlenstoffatomen. Es ist stärker bevorzugt eine Gruppe mit 2 bzw. 3 bis 20, noch stärker bevorzugt eine Gruppe mit 2 bzw. 3 bis 10 und am stärksten bevorzugt eine Gruppe mit 2 bzw. 3 bis 6
Kohlenstoffatomen. Ein oder mehrere Wasserstoffatome können durch ein Fluoratom ersetzt sein. Außerdem können ein oder mehrere der CH2- Gruppen dieser Einheiten durch NR, O oder S ersetzt sein (R ist dabei ein Rest, der aus der Gruppe ausgewählt ist, die aus H und Ci-6-Alkyl besteht). Wenn eine oder mehrere der CH2-Gruppen durch NR, O oder S ersetzt ist, ist es besonders bevorzugt, dass nur eine dieser Gruppen ersetzt ist.
Beispielhaft können hierfür Ethenyl, Propenyl, Butenyl, Pentenyl,
Cyclopentenyl, Hexenyl, Cyclo-hexenyl, Heptenyl, Cycloheptenyl, Octenyl und Cyclooctenyl genannt werden.
Unter einem„C2-4o-Alkinyl" versteht man eine lineare oder verzweigte Alkinylgruppe mit 2 bis 40 Kohlenstoffatomen. Stärker bevorzugt weist die Alkinylgruppe 2 bis 20, noch stärker bevorzugt 2 bis 10 und am stärksten bevorzugt 2 bis 6 Kohlenstoffatome auf. Ein oder mehrere Wasserstoffatome können durch ein Fluoratom ersetzt sein. Außerdem können ein oder mehrere der CH2-Gruppen dieser Einheiten durch NR, O oder S ersetzt sein (R ist dabei ein Rest, der aus der Gruppe ausgewählt ist, die aus H und Ci-6-Alkyl besteht). Wenn eine oder mehrere der CH2-Gruppen durch NR, O oder S ersetzt ist, ist es besonders bevorzugt, dass nur eine dieser Gruppen ersetzt ist. Beispielhaft können hierfür Ethinyl, Propinyl, Butinyl, Pentinyl, Hexinyl und Octinyl genannt werden.
Unter„d-12-Alkylen" versteht man in der vorliegenden Erfindung eine wie oben definierte lineare oder verzweigte Alkylgruppe mit vorzugsweise 1 bis 12, stärker bevorzugt 1 bis 6 und am stärksten bevorzugt 1 bis 3 Kohlenstoffatomen bei der ein Wasserstoffrest nicht vorhanden ist und an dieser Stelle eine weitere Bindung ist.
Unter„C3-8-Cycloalkylen" versteht man in der vorliegenden Erfindung eine wie oben definierte cyclische Alkylgruppe mit vorzugsweise 3 bis 8, stärker bevorzugt 5 bis 8 und am stärksten bevorzugt 5 oder 6 Kohlenstoffatomen bei der ein Wasserstoffrest nicht vorhanden ist und an dieser Stelle eine weitere Bindung ist.
Unter„Mono-(Ci-i2-alkyl)-silylen" versteht man in der vorliegenden
Erfindung eine (SiH3)-, (SiH2)- oder (SiH)-Einheit, die mit einer linearen oder verzweigten Alkylgruppe (wie oben definiert) mit 1 bzw. 3 bis 12 Kohlenstoffatomen, stärker bevorzugt 1 bzw. 3 bis 6 Kohlenstoffatomen verknüpft ist. Diese Gruppe ist eine bivalente Einheit, die über ein C-Atom einer Alkylgruppe und über das Si-Atom (dann SiH2-Einheit) oder über zwei C-Atome einer oder zweier Alkylgruppen (dann SiH3-Einheit) oder beide Male über das Si-Atom (dann SiH-Einheit) binden kann. Die oben in Verbindung„Ci-40-Alkyl" angegeben Beispiele gelten auch hier für die vorhandene Alkylgruppe.
Unter„Di-(Ci-i2-alkyl)-silylen" versteht man in der vorliegenden Erfindung eine (SiH2)-, (SiH)- oder (Si)-Einheit, die mit zwei bei jedem Auftreten gleich oder verschiedenen linearen oder verzweigten Alkylgruppen (wie oben definiert) mit 1 bzw. 3 bis 12 Kohlenstoffatomen, stärker bevorzugt 1 bzw. 3 bis 6 Kohlenstoffatomen verknüpft ist. Diese Gruppe ist eine bivalente Einheit, die über ein C-Atom einer Alkylgruppe und über das Si- Atom (dann SiH-Einheit) oder über zwei C-Atome einer oder zweier Alkylgruppen (dann SiH2-Einheit) oder beide Male über das Si-Atom (dann Si-Einheit) binden kann. Die oben in Verbindung„Ci- 0-Alkyl" angegeben Beispiele gelten auch hier für die vorhandene Alkylgruppen. Unter„Tri-iC^^-alky -silylen" versteht man in der vorliegenden Erfindung eine (SiH)- oder (Si)-Einheit, die mit drei bei jedem Auftreten gleich oder verschiedenen linearen oder verzweigten Alkylgruppen (wie oben definiert) mit 1 bzw. 3 bis 12 Kohlenstoffatomen, stärker bevorzugt 1 bzw. 3 bis 6 Kohlenstoffatomen verknüpft ist. Diese Gruppe ist eine bivalente Einheit, die über ein C-Atom einer Alkylgruppe und über das Si-Atom (dann Si- Einheit) oder über zwei C-Atome einer oder zweier Alkylgruppen (dann SiH-Einheit) binden kann. Die oben in Verbindung mit der Definition von „Ci-40-Alkyl" angegebenen Beispiele gelten auch hier für die vorhandene Alkylgruppen.
Unter einer Silylengruppe, die mit ein, zwei oder drei mono- oder polycyc- lischen aromatischen oder heteroaromatischen Ringsystemen mit 5 bis 60 aromatischen Ringatomen substituiert ist, versteht man eine Sii- Silyl- gruppe, die mit einem, zwei oder drei mono- oder polycyclischen aromatischen oder heteroaromatischen Ringsystemen mit 5 bis 60 aromatischen Ringatomen substituiert ist. Diese Gruppe ist eine bivalente Gruppe, die entweder zwei Mal über das Si-Atom oder ein Mal über das Si- und ein Mal über ein Ringatom des Ringsystems oder beide Male über Ringatome des Ringsystems binden kann.
Unter„S -5-silylen" versteht man in der vorliegenden Verbindung eine Silylgruppe mit 1 bzw. 3 bis 5 Siliciumatomen, die linear oder verzweigt ist. Es ist eine bivalente Einheit, die über das gleiche oder verschiedene Si- Atome bindet. Beispiele hierfür sind Monosilyl, Disilyl, Trisilyl, Tetrasilyl und Pentasilyl.
Unter einer Ci-40-Alkoxygruppe bzw. Thio-C -4o-alkylgruppe versteht man eine wie oben definierte C1-4o-Alkylgruppe, die über eine O- oder S-Atom gebunden ist.
Bevorzugte Alkoxygruppen sind Methoxy, Trifluormethoxy, Ethoxy, n- Propoxy, i-Propoxy, n-Butoxy, i-Butoxy, s-Butoxy, t-Butoxy oder 2-Methyl- butoxy. Unter„Ci-^-Alkyl-oxy-Ci.^-alkylen" versteht man in der vorliegenden Erfindung eine bivalente Ethereinheit mit zwei linearen oder verzweigten Alkylgruppen mit 1 bzw. 3 bis 12, stärker bevorzugt 1 bzw. 3 bis 6
Kohlenstoffatomen, die über ein Sauerstoffatom gebunden sind. Die oben in Verbindung mit der Definition von„C^o-Alkyl" angegebenen Beispiele gelten auch hier für die vorhandenen Alkylgruppen. Die Einheit ist eine bivalente Einheit, die entweder über ein oder zwei C-Atome der gleichen Alkylgruppe oder über zwei C-Atome verschiedener Alkylgruppen binden kann.
Unter„Ci.^-Alkyl-thio-Ci.^-alkylen" versteht man in der vorliegenden Erfindung eine bivalente Thioethereinheit mit zwei linearen oder verzweigten Alkylgruppen mit 1 bzw. 3 bis 12, stärker bevorzugt 1 bzw. 3 bis 6 Kohlenstoffatomen, die über ein Schwefelatom gebunden sind. Die oben in Verbindung mit der Definition
Figure imgf000062_0001
angegebenen Beispiele gelten auch hier für die vorhandenen Alkylgruppen. Die Einheit ist eine bivalente Einheit, die entweder über ein oder zwei C-Atome der gleichen Alkylgruppe oder über zwei C-Atome verschiedener Alkylgruppen binden kann.
Unter„Aryl-Ci.^-alkyl-oxy-C^-alkylen" versteht man in der vorliegenden Erfindung eine bivalente Einheit wie vorstehend für„C1.12-Alkyl-oxy-C1.12- alkylen" definiert, wobei eine Alkylgruppe mit einem Aryl substituiert ist, das ein mono- oder polycylisches aromatisches oder heteroaromatisches Ringsystem mit 5 bis 60 aromatischen Ringatomen wie nachstehend definiert darstellt.
Unter„Sulfon" wird in der vorliegenden Anmeldung eine bivalente Einheit -S(=0)2- verstanden.
Unter„Ci-12-Alkylensulfon" wird in der vorliegenden Erfindung eine Einheit -S(=0)2-, die mit einer Alkylengruppe mit 1 bis 12 Kohlenstoffatomen substituiert ist. Es ist eine bivalente Einheit, die über ein C-Atom der Alkylengruppe und über das S-Atom binden kann. Die oben in Verbindung mit der Definition von„Ci-12-Alkylen" gemachte Offenbarung gilt auch für die hier bevorzugten Alkylengruppen. Unter„Sulfoxid" wird in der vorliegenden Erfindung eine bivalente Einheit -S(=0)- verstanden.
Unter„Ci-i2-Alkylensulfoxid" wird in der vorliegenden Erfindung eine Einheit -S(=O)-, die mit einer Alkylengruppe mit 1 bis 12 Kohlenstoffatomen substituiert ist. Es ist eine bivalente Einheit, die über ein C-Atom der Alkylengruppe und über das S-Atom binden kann. Die oben in
Verbindung mit der Definition von„Ci-12-Alkylen" gemachte Offenbarung gilt auch für die hier bevorzugten Alkylengruppen.
Ein mono- oder polycyclischer aromatischer oder heteroaromatischer Kohlenwasserstoffrest enthält vorzugsweise 5 bis 60, stärker bevorzugt 5 bis 20, am bevorzugtesten 5 oder 6 aromatische Ringatome. Ist die Einheit eine aromatische Einheit, so enthält sie vorzugsweise 6 bis 20, stärker bevorzugt 6 bis 10, am bevorzugtesten 6 Kohlenstoffatome als Ringatome. Ist die Einheit eine heteroaromatische Einheit enthält sie 5 bis 20, stärker bevorzugt 5 bis 10, am bevorzugtesten 5 aromatische Ringatome, von denen mindestens eines ein Heteroatom ist. Die Heteroatome sind bevorzugt ausgewählt aus N, O und/oder S. Dabei wird unter einer aromatischen bzw. heteroaromatischen Einheit entweder ein einfacher aromatischer Cyclus, also Benzol, bzw. ein einfacher heteroaromatischer Cyclus, beispielsweise Pyridin, Pyrimidin, Thiophen, etc., oder eine kondensierte Aryl- oder Heteroarylgruppe, beispielsweise Naphthalin, Anthracen, Phenanthren, Chinolin, Isochinolin, Benzothiophen, Benzofuran und Indol etc., verstanden.
Erfindungsgemäße Beispiele für die aromatischen oder heteroaromatischen Kohlenwasserstoffreste sind demgemäß: Benzol,
Naphthalin, Anthracen, Phenanthren, Pyren, Chrysen, Benzanthracen, Perylen, Naphthacen, Pentacen, Benzpyren, Furan, Benzofuran,
Isobenzofuran, Dibenzofuran, Thiophen, Benzothiophen, Isobenzo- thiophen, Dibenzothiophen, Pyrrol, Indol, Isoindol, Pyridin, Chinolin, Isochinolin, Acridin, Phenanthridin, Benzo-5,6-chinolin, Benzo-6,7-chinolin, Benzo-7,8-chinolin, Phenothiazin, Phenoxazin, Pyrazol, Indazol, Imidazol, Benzimidazol, Naphthimidazol, Phenanthrimidazol, Pyridimidazol, Pyrazin- imidazol, Chinoxalinimidazol, Oxazol, Benzoxazol, Naphthoxazol,
Anthroxazol, Phenanthroxazol, Isoxazol, 1 ,2-Thiazol, 1 ,3-Thiazol, Benzo- thiazol, Pyridazin, Benzopyridazin, Pyrimidin, Benzpyrimidin, Chinoxalin, 1 ,5-Diazaanthracen, 2,7-Diazapyren, 2,3-Diazapyren, 1 ,6-Diazapyren, 1 ,8- Diazapyren, 4,5-Diazapyren, 4,5,9, 10-Tetraazaperylen, Pyrazin, Phenazin, Phenoxazin, Phenothiazin, Fluorubin, Naphthyridin, Benzocarbolin,
Phenanthrolin, 1 ,2,3-Triazol, 1 ,2,4-Triazol, Benzotriazol, 1 ,2,3-Oxadiazol, 1 ,2,4-Oxadiazol, 1 ,2,5-Oxadiazol, 1 ,3,4-Oxadiazol, 1 ,2,3-Thiadiazol, 1 ,2,4- Thiadiazol, 1 ,2,5-Thiadiazol, 1 ,3,4-Thiadiazol, 1 ,3,5-Triazin, 1 ,2,4-Triazin, 1 ,2,3-Triazin, Tetrazol, 1 ,2,4,5-Tetrazin, 1 ,2,3,4-Tetrazin, 1 ,2,3,5-Tetrazin, Purin, Pteridin, Indolizin und Benzothiadiazol.
Unter einem mono- oder polycylischen aromatischen Ringsystem versteht man im Sinne dieser Erfindung vorzugsweise ein aromatisches Ringsystem mit 6 bis 60 Kohlenstoffatomen, bevorzugt 6 bis 30, besonders bevorzugt e bis 10 Kohlenstoffatomen. Unter einem aromatischen Ringsystem im Sinne der vorliegenden Erfindung soll ein System verstanden werden, das nicht notwendigerweise nur aromatische Gruppen enthält, sondern in dem auch mehrere aromatische durch eine kurze nichtaromatische Einheit (< 10 % der von H verschiedenen Atome, vorzugsweise < 5 % der von H verschiedenen Atome), wie beispielsweise sp3- hybridisierter C, O, N, etc., unterbrochen sein können. Diese aromatischen Ringsysteme können monocyclisch oder polycyclisch sein, d.h. sie können einen Ring (z.B. Phenyl) oder zwei oder mehr Ringe aufweisen, welche auch kondensiert (z.B. Naphthyl) oder kovalent verknüpft sein können (z.B. Biphenyl), oder eine Kombination von kondensierten und verknüpften Ringen beinhalten.
Bevorzugte aromatische Ringsysteme sind z.B. Phenyl, Biphenyl,
Triphenyl, Naphthyl, Anthracyl, Binaphthyl, Phenanthryl, Dihydro- phenanthryl, Pyren, Dihydropyren, Chrysen, Perylen, Tetracen, Pentacen, Benzpyren, Fluoren und Inden.
Unter einem mono- oder polycylischen heteroaromatischen Ringsystem versteht man im Sinne dieser Erfindung vorzugsweise ein heteroaromatisches Ringsystem mit 5 bis 60 Ringatomen, bevorzugt 5 bis 30, besonders bevorzugt 5 bis 14 Ringatomen. Das heteroaromatische Ringsystem enthält mindestens ein Heteroatom ausgewählt aus N, O und S (verbleibenden Atome sind Kohlenstoff). Unter einem heteroaromatischen Ringsystem soll zudem ein System verstanden werden, das nicht notwendigerweise nur aromatische oder heteroaromatische Gruppen enthält, sondern in dem auch mehrere aromatische bzw. heteroaromatische Gruppen durch eine kurze nicht-aromatische Einheit (< 10 % der von H verschiedenen Atome, vorzugsweise < 5 % der von H verschiedenen Atome), wie beispielsweise sp3-hybridisierter C, O, N, etc., unterbrochen sein können. Diese heteroaromatischen Ringsysteme können monocyclisch oder polycyclisch sein, d.h. sie können einen Ring (z.B. Pyridyl) oder zwei oder mehr Ringe aufweisen, welche auch kondensiert oder kovalent verknüpft sein können, oder eine Kombination von kondensierten und verknüpften Ringen beinhalten.
Bevorzugte heteroaromatische Ringsysteme sind z.B. 5-gliedrige Ringe wie Pyrrol, Pyrazol, Imidazol, 1 ,2,3-Triazol, 1 ,2,4-Triazol, Tetrazol, Furan, Thiophen, Selenophen, Oxazol, Isoxazol, 1 ,2-Thiazol, 1 ,3-Thiazol, 1 ,2,3- Oxadiazol, 1 ,2,4-Oxadiazol, 1 ,2,5-Oxadiazol, 1 ,3,4-Oxadiazol, 1 ,2,3- Thiadiazol, 1 ,2,4-Thiadiazol, 1 ,2,5-Thiadiazol, 1 ,3,4-Thiadiazol, 6-gliedrige Ringe wie Pyridin, Pyridazin, Pyrimidin, Pyrazin, 1 ,3,5-Triazin, 1 ,2,4- Triazin, 1 ,2,3-Triazin, 1 ,2,4,5-Tetrazin, 1 ,2,3,4-Tetrazin, 1 ,2,3,5-Tetrazin, oder kondensierte Gruppen wie Indol, Isoindol, Indolizin, Indazol,
Benzimidazol, Benzotriazol, Purin, Naphthimidazol, Phenanthrimidazol, Pyridimidazol, Pyrazinimidazol, Chinoxalinimidazol, Benzoxazol,
Naphthoxazol, Anthroxazol, Phenanthroxazol, Isoxazol, Benzothiazol, Benzofuran, Isobenzofuran, Dibenzofuran, Chinolin, Isochinolin, Pteridin, Benzo-5,6-chinolin, Benzo-6,7-chinolin, Benzo-7,8-chinolin,
Benzoisochinolin, Acridin, Phenothiazin, Phenoxazin, Benzopyridazin, Benzopyrimidin, Chinoxalin, Phenazin, Naphthyridin, Azacarbazol, Benzocarbolin, Phenanthridin, Phenanthrolin, Thieno[2,3b]thiophen, Thieno[3,2b]thiophen, Dithienothiophen, Isobenzothiophen, Dibenzo- thiophen, Benzothiadiazothiophen oder Kombinationen dieser Gruppen. Besonders bevorzugt sind Imidazol, Benzimidazol und Pyridin. Unter den allgemeinen Begriffen„Alkyl(en)",„Cycloalkyl(en)",„Alkyl- silyl(en)", ^Arylsilyl(en)",„Alkylalkoxyalkyl(en)",„Arylalkoxyalkyl(en)", „Alkylthioalkyl(en)",„Alkylensulfon",„Alkylensulfoxid" versteht man
Gruppen, bei denen die Arylgruppe wie vorstehend definiert ist und die Alkylgruppen bzw. Alkylengruppen jeweils unabhängig voneinander 1 bis 12 C-Atome aufweist, wobei ein oder mehrere H-Atome durch F, Cl, Br, I, Alkyl oder Cycloalkyl, wobei ein oder mehrere CH2 durch ein Heteroatom, wie NH, O oder S ersetzt sein können, oder einem aromatischen oder heteroaromatischen Kohlenwasserstoffrest mit 5 bis 20 aromatischen Ringatomen ersetzt sein können.
Ein weiterer Gegenstand der vorliegenden Erfindung ist eine Multilayer- Struktur, die eine Schicht, die eine erfindungsgemäße Verbindung der Formel (1) enthält, umfasst.
Unter eine Multilayer-Struktur versteht man in der vorliegenden Erfindung eine Mehrschicht-Struktur aus zwei oder mehr Schichten, die nacheinander vorzugsweise auf einen Glasträger aufgebracht werden. Die Schichten können einzelne erfindungsgemäße Verbindungen enthalten. Es ist bevorzugt, dass die Schichten weitere Verbindungen bzw. Polymere oder Oligomere mit unterschiedlichen Eigenschaften umfassen.
Ein weiterer Gegenstand der vorliegenden Erfindung ist eine Formulierung, insbesondere eine Lösung, Dispersion oder Emulsion, enthaltend mindestens eine erfindungsgemäße Verbindung nach Formel (1) und mindestens ein Lösungsmittel. Als Lösungsmittel können alle denkbaren eingesetzt werden, die in der Lage sind die erfindungsgemäßen
Verbindungen zu lösen oder mit ihnen eine Suspension zu bilden.
Folgende organische Lösungsmittel sind hierbei - ohne auf die Erfindung beschränkend zu wirken - erfindungsgemäß bevorzugt: Dichlormethan, Trichlormethan, Monochlorbenzol, o-Dichlorbenzol, Tetra hydrofu ran, Anisol, Morpholin, Toluol, o-Xylol, m-Xylol, p-Xylol, 1 ,4-Dioxan, Aceton, Methylethylketon, 1 ,2-Dichlorethan, 1 ,1 ,1-Trichlorethan, 1 ,1 ,2,2-Tetra- chlorethan, Ethylacetat, n-Butylacetat, Dimethylformamid, Dimethyl- acetamid, Dimethylsulfoxid, Tetralin, Decalin, Indan und/oder Mischungen davon. Die Konzentration der erfindungsgemäßen Verbindung der Formel (1) in der Lösung ist vorzugsweise 0,1 bis 10 Gew.-%, stärker bevorzugt 0,5 bis 5 Gew.-%, bezogen auf das Gesamtgewicht der Lösung. Optional umfasst die Lösung auch einen oder mehrere Bindemittel um die Theologischen Eigenschaften der Lösung entsprechend einzustellen, wie beispielsweise in der WO 2005/055248 A1 beschrieben.
Nach dem angemessenen Vermischen und Altern der Lösungen werden diese in eine der folgenden Kategorien eingeteilt:„Vollständige" Lösung, „grenzwertige" Lösung oder unlöslich. Die Grenzlinie zwischen diesen Kategorien wird anhand der Löslichkeitsparameter gezogen. Die entsprechenden Werte können aus der Literatur entnommen werden, wie beispielsweise aus„Crowley, J. D., Teague, G. S. Jr. und Lowe, J. W. Jr., Journal of Paint Technology, 38, No. 496, 296 (1966)".
Lösungsmittelmischungen können auch verwendet werden und werden so identifiziert, wie in„Solvents, W.H. Ellis, Federation of Societies for Coatings Technology, S. 9 bis 10, 1986" beschrieben werden. Solche Verfahren können zu einer Mischung von sogenannten„nicht"- Lösungsmitteln führen, die die Zusammensetzung lösen, obwohl es wünschenswert ist, wenigstens ein wirkliches Lösungsmittel in der
Mischung zu haben.
Eine weitere bevorzugte Form der Formulierung ist eine Emulsion, und stärker bevorzugt eine Miniemulsion, die insbesondere als Heterophasen- systeme hergestellt werden, in denen stabile Nanotröpfchen einer ersten Phase in einer zweiten kontinuierlichen Phase dispergiert werden. Die vorliegende Erfindung betrifft insbesondere eine Miniemulsion, worin die verschiedenen Komponenten der erfindungsgemäßen Verbindung entweder in der gleichen Phase oder in verschiedenen Phasen angeordnet sind. Bevorzugte Verteilungen sind die Folgenden:
1) Die Mehrzahl aller erfindungsgemäßen Verbindungen und die
Mehrzahl aller funktionalen Verbindungen befinden sich in der kontinuierlichen Phase; 2) Die Mehrzahl aller erfindungsgemäßen Verbindungen befindet sich in Nanotröpfchen und die Mehrzahl aller weiteren funktionalen Verbindungen, wie zum Beispiel die Hostverbindung, befindet sich in der kontinuierlichen Phase.
Sowohl eine Miniemulsion, worin die kontinuierliche Phase eine polare Phase ist, als auch eine inverse Miniemulsion, worin die kontinuierliche Phase eine nicht polare Phase ist, können in der vorliegenden Erfindung verwendet werden. Die bevorzugte Form ist eine Miniemulsion. Um die kinetische Stabilität der Emulsion zu erhöhen, können auch Tenside beigemischt werden. Die Wahl der Lösungsmittel für zweiphasige Systeme, der Tenside und der Verarbeitung zu einer stabilen Miniemulsion sollten für einen Fachmann auf diesem Gebiet auf Basis seinen Fachwissens oder durch zahlreiche Veröffentlichungen bekannt sein, wie zum Beispiel ein umfassender Artikel von Landfester in Annu. Rev, Mater. Res. (06), 36, S. 231.
Zur Verwendung von sogenannten Dünnschichten in elektronischen oder optoelektronischen Vorrichtungen kann die erfindungsgemäße Verbindung oder eine Formulierung dieser durch ein entsprechend geeignetes
Verfahren abgeschieden werden. Flüssigbeschichtung von Vorrichtungen, wie zum Beispiel von OLEDs, ist wünschenswerter als Vakuumabschei- dungstechniken. Abscheidungsverfahren aus Lösung sind besonders bevorzugt. Bevorzugte Abscheidungstechniken schließen, ohne die
Erfindung entsprechend einzuschränken, Tauchbeschichtung, Spin- coating, Tintenstrahl-Druck,„Letter-press"-Druck,„Screenprinting",„Doctor Blaid' -Beschichten,„Rollerprinting",„Reverse-Rollerprinting", Offset-Lithographie, flexographisches Drucken,„Webprinting", Sprühbeschichten, Pinselbeschichten oder„Padprinting" und„Slot-die coating" ein. Tinten- strahldruck ist besonders bevorzugt und es ermöglicht die Herstellung von hochauflösenden Displays.
Die erfindungsgemäßen Lösungen können auf vorgefertigte Vorrichtungssubstrate mithilfe von Tintenstrahldruck oder durch Mikroverabreichung aufgebracht werden. Bevorzugt werden hierzu industrielle piezoelektrische Druckköpfe, wie von Aprion, Hitachie-Koki, Inkjet Technology, On Target Technology, Picojet, Spectra, Trident, Xaar verwendet werden, um die organischen Halbleiterschichten auf ein Substrat aufzubringen. Zusätzlich können auch halbindustrielle Druckköpfe, wie solche von Brother, Epson, Konika, Seiko Instruments, Toshiba TEC oder eindüsige Mikroverab- reichungsgeräten, wie sie zum Beispiel von Mikrodrop und Mikrofab hergestellt werden, verwendet werden.
Damit die erfindungsgemäße Verbindung durch Tintenstrahl-Druck oder Mikroverabreichung aufgebracht werden kann, sollte sie zunächst in einem geeigneten Lösungsmittel gelöst werden. Die Lösungsmittel müssen die oben genannten Anforderungen erfüllen und dürfen nicht irgendwelche nachteiligen Wirkungen auf den ausgewählten Druckkopf haben.
Zusätzlich sollten die Lösungsmittel einen Siedepunkt von über 100°C, vorzugsweise über 140°C und stärker bevorzugt über 150°C haben, um Verarbeitungsprobleme zu vermeiden, die durch das Austrocken der Lösung im Inneren des Druckkopfes hervorgerufen werden. Neben den oben genannten Lösungsmitteln sind auch die folgenden Lösungsmittel geeignet: Substituierte und nicht substituierte Xylolderivate, D1-C1-2- Alkyl- formamide, substituierte und nicht substituierte Anisole und andere
Phenoletherderivate, substituierte Heterozyklen, wie substituierte Pyridine, Pyrapsine, Pyrimidine, Pyrrolidinone, substituierte und nicht substituierte N, N-Di-Ci-2-Alkylaniline und andere fluorierte oder chlorierte Aromaten.
Ein bevorzugtes Lösungsmittel für die Ablagerung der erfindungsgemäßen Verbindung durch Tintenstrahl-Druck umfasst ein Benzolderivat, das einen durch einen oder mehrere Substituenten substituierten Benzolring aufweist, worin die Gesamtzahl der Kohlenstoffatome des einen oder der mehreren Substituenten wenigstens drei ist. So kann zum Beispiel das Benzolderivat mit einer Propylgruppe oder drei Methylgruppen substituiert sein, wobei in jedem Fall die Gesamtanzahl der Kohlenstoffatome wenigstens drei sein muss. Ein solches Lösungsmittel ermöglicht die Bildung einer Tintenstrahl-Flüssigkeit, die das Lösungsmittel mit der erfindungsgemäßen Verbindung umfasst, und vermindert oder verhindert das Verkleben der Düsen und die Trennung der Komponenten während dem Aufsprühen. Das/die Lösungsmittel kann/können (ein) solche(s) sein, das/die aus der folgenden Beispielsliste ausgewählt wird/werden: Dode- cylbenzol, 1-Methyl-4-tert-butylbenzol, Terpineollimonen, Isodurol,
Terpinolen, Cymol und Dethylbenzol. Das Lösungsmittel kann auch eine Lösungsmittelmischung aus zwei oder mehr Lösungsmittel sein, wobei jedes der Lösungsmittel vorzugsweise einen Siedepunkt von größer 100 °C, stärker bevorzugt größer 140 °C aufweist. Solche Lösungsmittel fördern die Filmbildung der abgelagerten Schicht und vermindern
Schichtfehler.
Die Tintenstrahl-Flüssigkeit, (das heißt eine Mischung vorzugsweise aus Lösungsmittel(n), Bindemittel und der erfindungsgemäßen Verbindung) weist vorzugsweise eine Viskosität bei 20°C von 1 bis 100 mPa-s, stärker bevorzugt 1 bis 50 mPa-s und am stärksten bevorzugt 1 bis 30 mPa-s auf.
Die erfindungsgemäße Verbindung oder Formierung kann zusätzlich ein oder mehrere weitere Komponenten wie zum Beispiel oberflächenaktive Substanzen, Gleitmittel, Benetzungsmittel, Dispergiermittel, wasserabweisende Mittel, Haftmittel, Fließverbesserer, Antischäumungsmittel, Luftabscheidungsmittel, Verdünnungsmittel, die reaktive oder nicht reaktive Substanzen sein können, Hilfsmittel, Farbmittel, Farbstoffe oder Pigmente, Sensibilisatoren, Stabilisatoren oder Inhibitoren umfassen.
Ein weiterer Gegenstand der Erfindung ist die Verwendung der oben genannten erfindungsgemäßen Verbindungen in einer der unten genannten elektronischen oder optoelektronischen Vorrichtung, wie einer organischen Elektrolumineszenzvorrichtung, insbesondere einer organischen Licht-emittierenden Diode. Die erfindungsgemäßen Verbindungen sind dabei bevorzugt als oder in einer elektrolumineszierende(n) Schicht ausgebildet. Eine Schicht wird vorzugsweise gebildet, indem eine erfindungsgemäße Formulierung auf einen Träger aufgebracht und anschließend das Lösungsmittel entfernt wird.
Ein weiterer Gegenstand der Erfindung ist die Verwendung der oben genannten erfindungsgemäßen Verbindungen in einer organischen Elektrolumineszenzvorrichtung. Die erfindungsgemäßen Verbindungen sind dabei bevorzugt als oder in einer elektrolumineszierende(n) Schicht ausgebildet. Eine Schicht wird vorzugsweise gebildet, indem eine erfindungsgemäße Formulierung auf einen Träger aufgebracht und anschließend das Lösungsmittel entfernt wird.
Ein weiterer Gegenstand der vorliegenden Erfindung ist eine elektronische Vorrichtung enthaltend ein(e) erfindungsgemäße Verbindung oder
Formulierung.
Geeignete Matrixmaterialien in elektronischen Vorrichtungen sind dem Fachmann bekannt und können im Sinne der vorliegenden Erfindung verwendet werden. Als geeignete Matrixmaterialien in elektronischen Vorrichtungen für Verbindungen der Formel (1) eignen sich bspw. CBP (Ν,Ν-Biscarbazolylbiphenyl), Carbazolderivate (z. B. gemäß
WO 2005/039246, US 2005/0069729, JP 2004/288381 , EP 1205527 oder WO 2008/086851), Azacarbazole (z. B. gemäß EP 1617710, EP 1617711 , EP 1731584, JP 2005/347160), Ketone (z. B. gemäß WO 2004/093207 oder gemäß DE 102008033943), Phosphinoxide, Sulfoxide und Sulfone (z. B. gemäß WO 2005/003253), Oligophenylene, aromatische Amine (z. B. gemäß US 2005/0069729), bipolare Matrixmaterialien (z. B. gemäß
WO 2007/137725), Silane (z. B. gemäß WO 2005/111172), 9,9-Diaryl- fluorenderivate (z. B. gemäß DE 102008017591), Azaborole oder
Boronester (z. B. gemäß WO 2006/117052), Triazin-Derivate (z. B. gemäß DE 102008036982), Indolocarbazolderivate (z. B. gemäß
WO 2007/063754 oder WO 2008/056746), Indenocarbazolderivate (z. B. gemäß der nicht offen gelegten Anmeldung DE 102009023155.2 und DE 102009031021.5), Diazaphospholderivate (z. B. gemäß der nicht offen gelegten Anmeldung DE 102009022858.6), Triazol-Derivate, Oxazole und Oxazol-Derivate, Imidazol-Derivate, Polyarylalkan-Derivate, Pyrazolin- Derivate, Pyrazolon-Derivate, Distyrylpyrazin-Derivate, Thiopyrandioxid- Derivate, Phenylendiamin-Derivate, tertiäre aromatische Amine, Styryl- amine, Amino-substituierte Chalcon-Derivate, Indole, Hydrazon-Derivate, Stilben-Derivate, Silazan-Derivate, aromatische Dimethyliden-Verbin- dungen, Carbodiimid-Derivate, Metallkomplexe von 8-Hydroxychinolin- Derivaten wie z.B. AIQ3, die 8-Hydroxychinolin-Komplexe können auch Triarylaminophenol-Liganden enthalten (US 2007/0134514 A1), Metallkomplex-Polysilan-Verbindungen sowie Thiophen-, Benzothiophen- und Dibenzothiophen-Derivate.
Die Materialien können als Reinmaterialien oder gedopt verwendet werden wie z.B. CBP intrinsisch oder gedopt mit BczVBi (= 4,4'-(Bis(9-ethyl-3- carbazovinylen)-1 , 1 '-biphenyl).
Es ist weiterhin bevorzugt, Mischungen aus zwei oder mehreren der oben genannten Matrixmaterialien zu verwenden, insbesondere Mischungen aus einem elektronentransportierenden Material und einem lochtrans- portierenden Material.
Beispiele für bevorzugte Carbazolderivate sind mCP (= 1 ,3-N,N-dicarba- zol-benzol (= 9,9'-(1 ,3-Phenylen)bis-9H-carbazol), Formel (295),
US 2005/0249976), CDBP (= 9,9'-(2,2'-Dimethyl[1 ,1'-biphenyl]-4,4'- diyl)bis-9H-carbazol), 1 ,3-Bis(N,N'-dicarbazol)benzol (= 1,3-Bis(carbazol-9- yl)benzol), PVK (Polyvinylcarbazol), 3,5-Di(9H-carbazol-9-yl)biphenyl sowie die weiteren, unten abgebildeten Verbindungen mit den Formel (296) bis (299) (s. auch US 2007/0128467, US 2007/0128467).
Figure imgf000072_0001
Formel (296)
Figure imgf000073_0001
Figure imgf000073_0002
Figure imgf000073_0003
Formel (299)
Weitere bevorzugte Matrixmaterialien im Sinne der vorliegenden Erfindung sind Si-Tetraarylewie sie bspw. in US 004/209115, US 2004/0209116 US 2007/0087219, US 2007/0087219 und H. Gilman, E.A. Zuech, Chemistry&lndustry (London, United Kingdom), 1960, 120 offenbart sind, besonders bevorzugt hierbei sind die Verbindungen der Formeln (300) bis (307).
Figure imgf000074_0001
Formel (301)
Figure imgf000074_0002
Formel (302) Formel (303)
Figure imgf000074_0003
Formel (304) Formel (305)
Figure imgf000074_0004
Formel (306)
Besonders bevorzugte Matrixmaterialien für phosphoreszierende Dotanden sind Verbindungen in EP 652273, DE 102009022858.6, DE 102009023155.2, WO 2007/063754 und WO 2008/056746, insbesondere die Verbindungen der Formeln (308) bis (311).
Figure imgf000075_0001
Formel (310) Formel (311)
Die elektronische Vorrichtung ist vorzugsweise eine organische Elektro- lumineszenzvorrichtung, enthaltend vorzugsweise eine Kathode, eine Anode und mindestens eine organische Schicht, wobei die organische Schicht die erfindungsgemäße Verbindung oder Formulierung enthält.
Wie eben ausgeführt ist die organische Schicht, die die erfindungsgemäße Verbindung oder Formulierung enthält, vorzugsweise die emittierende Schicht. Die organische Elektrolumineszenzvorrichtung kann darüber hinaus weitere Schichten enthalten, ausgewählt aus jeweils einer oder mehrerer Lochinjektionsschichten, Lochtransportschichten, Lochblockierschichten, Elektronentransportschichten, Elektroneninjektionsschichten, Elektronenblockierschichten, Ladungserzeugungsschichten und/oder Schichten, welche organische oder anorganische P/N-Übergänge erzeugen. Die elektrolumineszierende Vorrichtung kann darüber hinaus weitere emittierende Schichten enthalten. Vorzugsweise sind zwischen zwei emittierenden Schichten sogenannte Interlayer eingebracht, welche beispielsweise eine Excitonen-blockierende Funktion aufweisen. Es sei aber darauf hingewiesen, dass nicht notwendigerweise jede dieser
Schichten vorhanden sein muss.
Die organische Elektroiumineszenzvornchtung weist vorzugsweise eine planare Form auf und/oder ist Faser-förmig.
Unter einer Faser im Sinne der vorliegenden Erfindung wird jede Form verstanden, in dem das Verhältnis zwischen Länge zu Durchmesser größer oder gleich 10:1 , bevorzugt 100:1 ist, wobei es auf die Form des Querschnitts entlang der Längenachse nicht ankommt. Der Querschnitt entlang der Längenachse kann demnach bspw. rund, oval, dreieckig, viereckig oder polygonal sein. Lichtemittierende Faser weisen bevorzugte Eigenschaften hinsichtlich ihrer Verwendung auf. So eignen sie sich u.a. fir die Anwendung im Bereich der therapeutischen und/oder kosmetischen Phototherapie. Weitere Einzelheiten hierzu sind im Stand der Technik beschrieben (bspw. in US 6538375, US 2003/0099858, Brenndan
O'Connor et al. (Adv. Mater. 2007, 19, 3897-3900 und der nicht offengelegte Patentanmeldung EP 10002558.4).
Wenn die organische Elektroiumineszenzvornchtung mehrere emittierende Schichten enthält, wobei mindestens eine emittierende Schicht die erfindungsgemäße Verbindung aufweist, weisen diese mehreren
Schichten bevorzugt insgesamt mehrere Emissionsmaxima zwischen 380 nm und 750 nm auf, so dass insgesamt weiße Emission resultiert, d.h. in den emittierenden Schichten werden verschiedene emittierende
Verbindungen verwendet, die fluoreszieren oder phosphoreszieren können. Insbesondere bevorzugt sind drei Schichtsysteme, wobei die drei Schichten blaue, grüne und orange oder rote Emission zeigen, für den prinzipiellen Aufbau siehe zum Beispiel WO 2005/011013.
Die verschiedenen Schichten können im Sinne der Erfindung
unterschiedlich aufgetragen werden. Beispielsweise kann in der
erfindungsgemäßen Elektroiumineszenzvornchtung eine oder mehrere Schichten aus Lösung sowie eine oder mehrere Schichten über ein Sublimationsverfahren aufgebracht werden. Dabei werden die Materialien in Vakuumsublimationsanlagen bei einem Druck kleiner als 10"5 mbar, bevorzugt kleiner als 10"6 mbar, besonders bevorzugt kleiner als 1 CT7 mbar aufgedampft. Ebenfalls ist es möglich, eine oder mehrere Schichten mit OVPD-(Organic Vapor Phase Deposition)-Verfahren oder mit Hilfe einer Trägergassublimation aufzubringen. Dabei werden die Materialien bei einem Druck zwischen 10"5 mbar und 1 bar aufgebracht. Ein Spezialfall dieses Verfahrens ist das OVJP-(Organic Vapor Jet Printing)-Verfahren, bei dem die Materialien direkt durch eine Düse aufgebracht und so strukturiert werden (z.B. M. S. Arnold et al., Appl. Phys. Lett. 2008, 92, 053301).
Besonders bevorzugt ist jedoch, dass eine oder mehrere Schichten in der organischen Elektrolumineszenzvorrichtung aus Lösung aufgebracht werden, beispielsweise durch Spin-Coating oder mit einem beliebigen Druckverfahren, wie zum Beispiel Siebdruck, Flexodruck oder Offsetdruck. Besonders bevorzugt aber LITI (Laser Induced Thermal Imaging,
Thermotransferdruck), oder Inkjet-Druck (Tintenstrahldruck). Diese
Verfahren sind dem Fachmann generell bekannt und können von ihm ohne Probleme auf organische Elektrolumineszenzvorrichtungen angewandt werden.
Die Vorrichtung enthält gewöhnlich eine Kathode und eine Anode
(Elektroden). Die Elektroden (Kathode, Anode) werden im Sinne dieser Erfindung so gewählt, dass ihr Potential möglichst gut mit dem Potential der angrenzenden organischen Schicht übereinstimmt, um eine möglichst effiziente Elektronen- bzw. Lochinjektion zu gewährleisten.
Als Kathode sind Metallkomplexe, Metalle mit geringer Austrittsarbeit, Metalllegierungen oder mehrlagige Strukturen aus verschiedenen Metallen bevorzugt, wie beispielsweise Erdalkalimetalle, Alkalimetalle, Hauptgruppenmetalle oder Lathanoide (z. B. Ca, Ba, Mg, AI, In, Mg, Yb, Sm, etc.). Bei mehrlagigen Strukturen können auch zusätzlich zu den genannten Metallen weitere Metalle verwendet werden, die eine relativ hohe Austrittsarbeit aufweisen, wie z. B. Ag, wobei dann in der Regel Kombinationen der Metalle, wie beispielsweise Ca/Ag oder Ba/Ag verwendet werden. Es kann auch bevorzugt sein, zwischen einer metallischen Kathode und dem organischen Halbleiter eine dünne
Zwischenschicht eines Materials mit einer hohen Dielektrizitätskonstante einzubringen. Hierfür kommen beispielsweise Alkalimetall- oder
Erdalkalimetallfluoride, aber auch die entsprechenden Oxide in Frage (z.B. LiF, U2O, BaF2, MgO, NaF, etc.). Die Schichtdicke dieser Schicht beträgt bevorzugt zwischen 1 und 10 nm, mehr bevorzugt zwischen 2 und 8 nm.
Als Anode sind Materialien mit hoher Austrittsarbeit bevorzugt. Bevorzugt weist die Anode ein Potential größer 4.5 eV vs. Vakuum auf. Hierfür sind einerseits Metalle mit hohem Redoxpotential geeignet, wie beispielsweise Ag, Pt oder Au. Es können andererseits auch Metall/Metalloxid-Elektronen (z. B. AI/Ni/ΝϊΟχ, AI/PtOx) bevorzugt sein. Für einige Anwendungen muss mindestens eine der Elektroden transparent sein, um entweder die
Bestrahlung des organischen Materials (O-SC) oder die Auskopplung von Licht (OLED/PLED, O-LASER) zu ermöglichen. Ein bevorzugter Aufbau verwendet eine transparente Anode. Bevorzugte Anodenmaterialien sind hier leitfähige gemischte Metalloxide. Besonders bevorzugt sind Indium- Zinn-Oxid (ITO) oder Indium-Zink-Oxid (IZO). Bevorzugt sind weiterhin leitfähige, dotierte organische Materialien, insbesondere leitfähige dotierte Polymere.
Die Vorrichtung wird in an sich bekannter Weise je nach Anwendung entsprechend strukturiert, kontaktiert und schließlich hermetisch versiegelt, da sich die Lebensdauer derartiger Vorrichtungen bei Anwesenheit von Wasser und/oder Luft drastisch verkürzt.
Die erfindungsgemäße organische Elektrolumineszenzvorrichtung ist - in nicht einschränkender Weise - bevorzugt ausgewählt aus der Gruppe, bestehend aus organischen Elektrolumineszenzvorrichtungen (OLEDs), polymeren Licht-emittierenden Dioden (PLEDs), organischen Lichtemittierenden elektrochemischen Zellen (OLECs), Farbsoff-lichtempfindlichen Solarzellen (DSSCs), organischen Feld-Effekt-Transistoren (O- FETs), organischen Dünnfilmtransistoren (O-TFTs), organischen lichtemittierenden Transistoren (O-LETs), organischen integrierten Schaltungen (O-ICs), organischen Solarzellen (O-SCs), organischen Feld- Quench-Devices (O-FQDs), lichtemittierenden elektrochemischen Zellen (LECs), organischen Photorezeptoren, organischen Laserdioden (O- Laser), Radiofrequenzidentifikationsvorrichtungen (RFID), Photodetektoren, Sensoren, Logikschaltkreisen, Ladungsinjektionsschichten,
Schottky-Dioden, planarisierende Schichten, antistatische Folien, leitende Substrate oder Strukturen, Photokonduktoren, elektrophotographischen Elementen, organischen„spintronic" Vorrichtungen, organische Plasmaemittierende Vorrichtungen (OPED) oder organische Solarkonzentratoren. Besonders bevorzugt sind organische Elektrolumineszenzvorrichtungen.
Der Aufbau der oben erwähnten elektronischen Vorrichtung ist einem Fachmann auf dem Gebiet von elektronischen Vorrichtungen bekannt. Nichtsdestotrotz werden im Folgenden einige Literaturstellen angegeben, die eine detaillierte Vorrichtungsstruktur offenbaren.
Eine organische Plasma-emittierende Vorrichtung ist vorzugsweise eine Vorrichtung wie sie von Koller et al., in Nature Photonics (08), 2, Seiten 684 bis 687 beschrieben wird. Das sogenannte OPED ist dem weiter oben beschriebenen OLED sehr ähnlich, abgesehen davon, dass zumindest die Anode oder Kathode in der Lage sein soll, das Oberflächenplasma auf der emitierenden Schicht zu verankern. Es ist desweiteren bevorzugt, dass das OPED eine erfindungsgemäße Verbindung umfasst.
Ein organischer lichtemittierender Transistor (OLET) hat eine sehr ähnliche Struktur wie ein organischer Feldeffekttransistor, aber mit einem bipolaren Material als Aktivschicht zwischen der Quelle und dem Abfluss. Die kürzlich neueste Entwicklung kann aus einer Veröffentlichung von Muccini et al., in Nature Materials 9, 496 bis 503 (2010) entnommen werden. Auch hier ist es bevorzugt, dass das OLET wenigstens eine erfindungsgemäße Verbindung umfasst.
Elektrophotographische Elemente umfassen ein Substrat, eine Elektrode und eine Ladungstransportschicht oberhalb der Elektrode, sowie optional eine Ladungserzeugungsschicht zwischen der Elektrode und der
Ladungstransportschicht. Bezüglich diverser Details und Variationen solcher Vorrichtungen und Materialien, die hierin verwendet werden können, wird auf das Buch„Organic Photoreceptors for Xerography" von Marcel Dekker, Inc., Ed. by Paul M. Borsenberger & D. S. Weiss (1998) verwiesen. Es ist bevorzugt, dass eine solche Vorrichtung eine
erfindungsgemäße Verbindung umfasst, besonders bevorzugt innerhalb einer Ladungstransportschicht.
Eine besonders bevorzugte organische Spintronic-Vorrichtung ist eine Drehventil-Vorrichtung, wie von Z. H. Xiong et al., in Nature 2004 Vol. 727, Seite 821 berichtet, die zwei ferromagnetische Elektroden und eine organische Schicht zwischen den zwei ferromag netischen Elektroden umfasst, worin wenigstens eine der organischen Schichten, die eine erfindungsgemäße Verbindung und die ferromagnetische Elektrode umfasst, aus Cobalt, Nickel, Eisen oder einer Legierung davon
zusammengesetzt ist, oder einem ReMnOß oder CrO2, worin Re ein Seltenerdelement ist.
Organische lichtemittierende elektrochemische Zellen (OLECs) umfassen zwei Elektroden und eine Mischung aus Elektrode und fluoreszierender Spezies dazwischen, wie zuerst von Pei & Heeger in Science (95), 269, Seiten 1086 bis 1088 berichtet. Es ist erwünscht, dass eine
erfindungsgemäße Verbindung in einer solchen Vorrichtung verwendet wird.
Farbstoffsensibilisierte Solarzellen (DSSCs) umfassen in der folgenden Abfolge eine Elektrode/einen farbstoffsensibilisierten TiO2 porösen
Dünnfilm/einen Elektrolyten /eine Gegenelektrode, wie zuerst von
O'Regan & Grätzel in Nature (91), 353, Seiten 737 bis 740 berichtet. Die flüssige Elektrode kann durch eine feste Lochtransportschicht ersetzt werden, wie in Nature (98), 395, Seiten 583 bis 585 berichtet.
Organische Solarkonzentratoren (OSC) können wie in dem Bericht von Baldo et al., in Science 321 , 226 (2008) verwendet werden. Ein OSC besteht aus einem Dünnfilm aus organischen Farbstoffen, die auf einem Glassubstrat mit einem hohen Brechungsindex abgeschieden sind. Der Farbstoff absorbiert einfallende Sonnenenergie und reemittiert diese bei niedriger Energie. Die Mehrzahl der reemittierten Photonen werden von einem Wellenleiter durch interne Totalreflektion voll umfänglich eingefangen. Dies geschieht durch eine Photovoltaik-Vorrichtung, die am
Substratrand angeordnet ist.
Die erfindungsgemäßen Verbindungen sowie die Vorrichtungen enthaltend diese sind weiterhin dazu geeignet im Rahmen phototherapeutischer Maßnahmen eingesetzt zu werden.
Ein weiterer Gegenstand der vorliegenden Erfindung bezieht sich daher auf die Verwendung der erfindungsgemäßen Verbindungen und Vorrichtungen enthaltend die Verbindungen zur Behandlung, Prophylaxe und Diagnose von Erkrankungen. Noch ein weiterer Gegenstand der vorliegenden Erfindung bezieht sich auf die Verwendung, der erfindungsgemäßen Verbindungen und Vorrichtungen enthaltend die Verbindungen zur Behandlung und Prophylaxe kosmetischen Umstände.
Ein weiterer Gegenstand der vorliegenden Erfindung bezieht sich auf die erfindungsgemäßen Verbindungen zu Herstellung von Vorrichtungen zur Therapie, Prophylaxe und/oder Diagnose therapeutischer Erkrankungen.
Dabei sind viele Erkrankungen mit kosmetischen Aspekten assoziiert. So leidet ein Patient mit schwerer Akne in der Gesichtspartie nicht nur an den medizinischen Ursachen und Folgen der Erkrankung, sondern auch an den kosmetischen Begleitumständen.
Phototherapie oder Lichttherapie findet in vielen medizinischen und/oder kosmetischen Bereichen Anwendung. Die erfindungsgemäßen Verbindungen sowie die Vorrichtungen enthaltend diese Verbindungen können daher zur Therapie und/oder Prophylaxe und/oder Diagnose von allen Erkrankungen und/oder in kosmetischen Anwendungen eingesetzt werden, für die der Fachmann die Anwendung von Phototherapie in Betracht zieht. Der Begriff Phototherapie beinhaltet dabei neben der Bestrahlung auch die photodynamischen Therapie (PDT) sowie das Desinfizieren und Sterilisieren im Allgemeinen. Behandelt werden können mittels Phototherapie oder Lichttherapie nicht nur Menschen oder Tiere, sondern auch jegliche andere Art lebender oder unbelebter Materie. Hierzu gehören, bspw., Pilze, Bakterien, Mikroben, Viren, Eukaryonten, Pro- karyonten, Nahrungsmittel, Getränke, Wasser und Trinkwasser.
Der Begriff Phototherapie beinhaltet auch jede Art der Kombination von Lichttherapie und anderen Therapiearten, wie bspw. die Behandlung mit Wirkstoffen. Viele Lichttherapien habe zum Ziel äußere Partien eines Objektes zu bestrahlen oder zu behandeln, so wie die Haut von Menschen und Tieren, Wunden, Schleimhäute, Auge, Haare, Nägel, das Nagelbett, Zahnfleisch und die Zunge. Die erfindungsgemäße Behandlung oder Bestrahlung kann daneben auch innerhalb eines Objektes durchgeführt werden, um bspw. innere Organe (Herz, Lunge etc.) oder Blutgefäße oder die Brust zu behandeln.
Die erfindungsgemäßen therapeutischen und/oder kosmetischen
Anwendungsgebiete sind bevorzugt ausgewählt aus der Gruppe der Hauterkrankungen und Haut-assoziierten Erkrankungen oder Veränderungen bzw. Umstände wie bspw. Psoriasis, Hautalterung, Hautfaltenbildung, Hautverjüngung, vergrößerte Hautporen, Cellulite, ölige/fettige Haut, Follikulitis, aktinische Keratose, precancerose aktinische Keratose, Haut Läsionen, sonnengeschädigte und sonnengestresste Haut, Krähenfüße, Haut Ulkus, Akne, Akne rosacea, Narben durch Akne, Akne
Bakterien, Photomodulierung fettiger/öliger Talgdrüsen sowie deren umgebende Gewebe, Ikterus, Neugeborenenikterus, Vitiligo, Hautkrebs, Hauttumore, Crigler Naijar, Dermatitis, atopische Dermatitis, diabetische Hautgeschwüre sowie Desensibilisierung der Haut.
Besonders bevorzugt im Sinne der Erfindung sind die Behandlung und/oder Prophylaxe von Psoriasis, Akne, Cellulite, Hautfaltenbildung, Hautalterung, Ikterus und Vitiligo.
Weitere erfindungsgemäße Anwendungsgebiete für die Zusammensetzungen und/oder Vorrichtungen enthaltend die erfindungsgemäßen Zusammensetzungen sind ausgewählt aus der Gruppe der Entzündungserkrankungen, rheumatoide Arthritis, Schmerztherapie, Behandlung von Wunden, neurologische Erkrankungen und Umstände, Ödeme, Paget's Erkrankung, primäre und metastasierende Tumoren, Bindegewebser- krankungen bzw.—Veränderungen, Veränderungen des Kollagens, Fibroblasten und von Fibroblasten stammende Zellspiegel in Geweben von Säugetieren, Bestrahlung der Retina, neovasculare und hypertrophe Erkrankungen, allergische Reaktionen, Bestrahlung der Atemwege, Schwitzen, okulare neovaskulare Erkrankungen, virale Infektionen besonders Infektionen durch Herpes Simplex oder HPV (Humane
Papillomviren) zur Behandlung von Warzen und Genitalwarzen.
Besonders bevorzugt im Sinne der Erfindung sind die Behandlung und/oder Prophylaxe von rheumatoider Arthritis, viraler Infektionen, und Schmerzen.
Weitere erfindungsgemäße Anwendungsgebiete für die Verbindungen und/oder Vorrichtungen enthaltend die erfindungsgemäßen Verbindungen sind ausgewählt aus der Winterdepression, Schlafkrankheit, Bestrahlung zur Verbesserung der Stimmung, Linderung von Schmerzen besonders Muskelschmerzen durch bspw. Verspannungen oder Gelenkschmerzen, Beseitigung der Steifheit von Gelenken und das Aufhellen der Zähne (Bleaching).
Weitere erfindungsgemäße Anwendungsgebiete für die Verbindungen und/oder Vorrichtungen enthaltend die erfindungsgemäßen Verbindungen sind ausgewählt aus der Gruppe der Desinfektionen. Mit den erfindungsgemäßen Verbindungen und/oder mit den erfindungsgemäßen Vorrichtungen können jegliche Art von Objekten (unbelebte Materie) oder Subjekten (lebende Materie wie bspw. Mensch und Tier) zum Zweck der Desinfektion behandelt werden. Hierzu zählt, zum Beispiel, die Desinfektion von Wunden, die Reduktion von Bakterien, das Desinfizieren chirurgischer Instrumente oder anderer Gegenstände, das Desinfizieren von Nahrungs- und Lebensmitteln, von Flüssigkeiten, insbesondere Wasser, Trinkwasser und andere Getränke, das Desinfizieren von Schleimhäuten und Zahnfleisch und Zähnen. Unter Desinfektion wird hierbei die Reduktion lebender mikrobiologischer Verursacher unerwünschter Effekte, wie Bakterien und Keime, verstanden. Zu dem Zweck der oben genannten Phototherapie emittieren Vorrichtungen enthaltend die erfindungsgemäßen Verbindungen bevorzugt Licht der Wellenlänge zwischen 250 and 1250 nm, besonders bevorzugt zwischen 300 and 1000 nm und insbesondere bevorzugt zwischen 400 and 850 nm.
In einer besonders bevorzugten Ausführungsform der vorliegenden Erfindung werden die erfindungsgemäßen Verbindungen in einer organischen lichtemittierenden Diode (OLED) oder einer organischen lichtemittierenden elektrochemischen Zelle (OLEC) zum Zwecke der Phototherpie eingesetzt. Sowohl die OLED als auch die OLEC können dabei einen planaren oder Fiber- bzw. Faser-artigen Aufbau mit beliebigem Querschnitt (z.B. rund, oval, polygonal, quadratisch) mit einem ein- oder mehrschichtigen Aufbau aufweisen. Diese OLECs und/oder OLEDs können in andere Vorrichtungen eingebaut werden, die weitere mechanische, adhäsive und/oder elektronische Bausteine (z.B. Batterie und/oder Steuerungseinheit zur Einstellung der Bestrahlungszeiten, -Intensitäten und -Wellenlängen) enthalten. Diese Vorrichtungen enthaltend die erfindungsgemäßen OLECs und/order OLEDs sind vorzugsweise ausgewählt aus der Gruppe enthaltend Pflaster, Pads, Tapes, Bandagen, Manschetten, Decken, Hauben; Schlafsäcken.Textilien und Stents.
Die Verwendung von den genannten Vorrichtungen zu dem genannten therapeutischen und/oder kosmetischen Zweck ist besonders vorteilhaft gegenüber dem Stand der Technik, da mit Hilfe der erfindungsgemäßen Vorrichtungen unter Verwendung der OLEDs und/oder OLECs homogene Bestrahlungen geringerer Bestrahlungsintensitäten an nahezu jedem Ort und zu jeder Tageszeit möglich sind. Die Bestrahlungen können stationär, ambulant und/oder selbst, d.h., ohne Einleitung durch medizinisches oder kosmetisches Fachpersonal durchgeführt werden. So können, bspw., Pflaster unter der Kleidung getragen werden, so dass eine Bestrahlung auch während der Arbeitszeit, in der Freizeit oder während des Schlafes möglich ist. Auf aufwendige stationäre/ambulante Behandlungen mit kann in vielen Fällen verzichtet bzw. deren Häufigkeit reduziert werden. Die erfindungsgemäßen Vorrichtungen können zum Widergebrauch gedacht sein oder Wegwerfartikel darstellen, die nach ein-, zwei oder dreimaligem Gebrauch entsorgt werden können.
Weitere Vorteile gegenüber dem Stand der Technik sind bspw. eine geringere Wärmeentwicklung und emotionale Aspekte. So werden Neugeborene, die aufgrund einer Gelbsucht (Ikterus) therapiert werden müssen typischerweise mit verbundenen Augen in einem Brutkasten, ohne körperlichen Kontakt zur den Eltern bestrahlt, was eine emotionale Stresssituation für Eltern und Neugeborene darstellt. Mit Hilfe einer erfindungsgemäßen Decke enthaltend die erfindungsgemäßen OLEDs und/oder OLECs kann der emotionale Stress signifikant vermindert werden. Zudem ist eine bessere Temperierung des Kindes durch eine verringerte Wärmeproduktion der erfindungsgemäßen Vorrichtungen gegenüber herkömmlicher Bestrahlungsgeräte möglich.
Die vorliegende Erfindung betrifft weiterhin eine Methode zur Therapie, Prophylaxe und/oder Diagnose von Erkrankungen, wobei hierzu die erfindungsgemäßen Verbindungen und Vorrichtungen verwendet werden.
Die vorliegende Erfindung betrifft weiterhin eine Methode zur Therapie, Prophylaxe und/oder Diagnose kosmetischer Umstände, wobei hierzu die erfindungsgemäßen Verbindungen und Vorrichtungen verwendet werden.
Es sei darauf hingewiesen, dass Variationen der in der vorliegenden Erfindung beschriebenen Ausführungsformen unter den Umfang dieser Erfindung fallen. Jedes in der vorliegenden Erfindung offenbarte Merkmal kann, sofern dies nicht explizit ausgeschlossen wird, durch alternative Merkmale, die demselben, einem äquivalenten oder einem ähnlichen Zweck dienen, ausgetauscht werden. Somit ist jedes in der vorliegenden Erfindung offenbartes Merkmal, sofern nichts anderes gesagt wurde, als Beispiel einer generischen Reihe oder als äquivalentes oder ähnliches Merkmal zu betrachten.
Alle Merkmale der vorliegenden Erfindung können in jeder Art miteinander kombiniert werden, es sei denn dass sich bestimmte Merkmale und/oder Schritte sich gegenseitig ausschließen. Dies gilt insbesondere für bevorzugte Merkmale der vorliegenden Erfindung. Gleichermaßen können Merkmale nicht wesentlicher Kombinationen separat verwendet werden (und nicht in Kombination).
Es sei ferner darauf hingewiesen, dass viele der Merkmale, und insbesondere die der bevorzugten Ausführungsformen der vorliegenden Erfindung selbst erfinderisch und nicht lediglich als Teil der Ausführungsformen der vorliegenden Erfindung zu betrachten sind. Für diese
Merkmale kann ein unabhängiger Schutz zusätzlich oder alternativ zu jeder gegenwärtig beanspruchten Erfindung begehrt werden. Die mit der vorliegenden Erfindung offengelegte Lehre zum technischen Handeln kann abstrahiert und mit anderen Beispielen kombiniert werden.
Die Erfindung wird durch die nachfolgenden Beispiele näher erläutert, ohne sie dadurch einschränken zu wollen.
Svnthese- und Beispiele:
Die folgenden Materialen wurden in dieser Erfindung verwendet:
Figure imgf000087_0001
E2 51 (DCM) ist ein Laser-Farbstoff, gekauft bei Lambda Physik AG, D-37079 Goettingen, Germany.
52 (NlN'-Bis(2,6-dimethylphenyl)perylen-3,4,9,10-tetracarnsäurediimid) ist ein Farbstoff für Solarzellen und wurde beim Sigma-Aldrich mit Produkt-Nr. 14799 gekauft.
T1 (Flrpic) ist ein blauer Triplett-Emitter, und wurde bei Luminescence Technology Corp. Taiwan, R.O. China gekauft.
T2 ist ein grüner Triplett Emitter, und wurde nach J. Am. Chem Soc. Vol 123, 4304 (2001) synthesiert.
TMM-080 und TMM-102 sind die Matrix-Materialen von Merck KGaA.
Diese wurden 1:1 als Matrix gemischt.
Beispiel 1 :
Synthesen den Verbindungen E1 & E2
Figure imgf000088_0001
(l)
Verbindung (I) wird gemäß Patentschrift WO 2005/121274 synthetisiert
2-(2-{(E)-2-[8-(4-lodo-phenyl)-2,3,6,7-tetrahydro-1 H,5H-pyrido[3,2J1-ij] quinolin-9-yl]-vinyl}-6-methyl-pyran-4-yliden)-malononitril 2
Figure imgf000089_0001
(ll)
50 g (99 mmol) von Verbindung (I) werden in 500 ml Dichlormethan gelöst und auf 0°C abgekühlt und sorgfältig entgast. Die Reaktionsmischung wird anschließend mit 100 ml einer 1 M HCI-Lösung in Dichlormethan versetzt und für 2 h bei 0°C gerührt. Die Lösung wird auf Raumtemperatur erwärmt und vorsichtig mit einer gesättigten Na2S2O3 versetzt bis die rötliche Färbung verschwunden ist. Anschließend werden die Phasen getrennt. Die wässrige Phase wird dreimal mit Dichlormethan extrahiert, anschließend die vereinigten organischen Phasen zweimal mit Wasser gewaschen, über Magnesiumsulfat getrocknet, filtriert und das Lösungsmittel im Vakuum abgezogen. Der Rückstand wird aus Isopropanol umkristallisiert.
Man erhält 52.6 g (94 mmol) (95%) eines roten Feststoffes in einer von Reinheit 99,7%.
Iridiumkompiex (III)
Figure imgf000089_0002
Verbindung (III) wird gemäß Patentschrift JP 2005/15508A synthetisiert.
DCM - Iridiumdipehnylpyridlnkomplex (E1)
Figure imgf000090_0001
8 g (11 mmol) Iridiumkomplex (III) und 2.7 g (11 mmol) 9-BBN-Dimer werden unter Schutzgas in 200 ml Toluol bei Raumtemperatur gelöst und für 20 h gerührt. Während der Reaktion löst sich die Suspension von 9- BBN langsam auf. Anschließend werden der Reaktionslösung 6.1 g (11 mmol) lod-DCM-Komplex und 40 ml einer 1 M NaOH Lösung zugesetzt. Die Reaktionsmischung wird sorgfältig entgast und mit 50 mg Tetrakistriphenylphosphin-palladium versetzt und für 20 h unter Rückfluss erhitzt. Die Lösung wird auf Raumtemperatur abgekühlt und die Phasen getrennt. Die wässrige Phase wird dreimal mit Toluol extrahiert,
anschließend die vereinigten organischen Phasen zweimal mit Wasser gewaschen, über Magnesiumsulfat getrocknet, filtriert und das
Lösungsmittel im Vakuum abgezogen. Der Rückstand wird aus
Ethanol/Toluol 3:1 umkristallisiert. Man erhält 7.2 g (6.3 mmol) (57%) eines weißen Feststoffes mit einer Reinheit von 99,8%.
2-(2,6-ϋΪΓηθίΜγΙ-ρΗθηγΙ)-9-(4-ϊο0ο-2,6-άϊίΠθίήγΙ-ρίΊθηγΙ)-3ηίΗΓ3[2,1,9- def;6,5,10 IVf]diisoquinoline-1,3,8,10-tetraon 4
Das Tetranon (IV) wird wie in Journal Phys. Chem. C 2007 11 4861 beschrieben über folgendem Weg erhalten:
Figure imgf000091_0001
Figure imgf000091_0002
Figure imgf000091_0003
5 g (7.2 mmol) Iridiumkomplex (V) und 1.8 g (7.2 mmol) 9-BBN-Dimer werden unter Schutzgas in 50 ml Toluol bei Raumtemperatur gelöst und für 20 h gerührt. Während der Reaktion löst sich die Suspension von 9- BBN langsam auf. Anschließend werden der Reaktionslösung 5.2 g (7.2 mmol) lod-Tetraon (IV) und 20 ml einer 1 M NaOH Lösung zugesetzt. Die Reaktionsmischung wird sorgfältig entgast und mit 30 mg
Tetrakistriphenylphosphin-palladium versetzt und für 20 h zum Rückfluss erhitzt. Die Lösung wird auf Raumtemperatur abgekühlt und die Phasen getrennt. Die wässrige Phase wird dreimal mit Toluol extrahiert,
anschließend die vereinigten organischen Phasen zweimal mit Wasser gewaschen, über Magnesiumsulfat getrocknet, filtriert und das
Lösungsmittel im Vakuum abgezogen. Der Rückstand wird aus
Ethanol Toluol 3:1 umkristallisiert. Man erhält 4.4 g (3.2 mmol) (45%) eines weißen Feststoffes mit einer Reinheit von 99,6%.
Beispiel 2:
Herstellung und Charakterisierung von organischen
Elektrolumineszenzvorrichtungen, enthaltend die erfindungsgemäße Verbindung E1
Die Herstellung einer organischen Leuchtdiode aus Lösung ist in der Literatur bereits vielfach beschrieben (z.B. in der WO 2004/037887 A2). Um die vorliegende Erfindung beispielhaft zu erläutern, werden OLEDs mit verschiedenen Kombinationen von S1 , T1 & E1 in Matrix durch
Spincoating hergestellt. Eine typische OLED-Vorrichtung hat einen
Schichtaufbau: ITO/HIL/Interlayer/EML/Kathode, wobei HIL auch
Pufferschicht genannt wird.
Dazu werden Substrate der Firma Technoprint (Sodalimeglas) verwendet, auf weiche die ITO-Struktur (Indium-Zinn-Oxid, eine transparente, leitfähige Anode) aufgebracht wird.
Die Substrate werden im Reinraum mit deionisiertem Wasser und einem Detergens (Deconex 15 PF) gereinigt und dann durch eine UV/Ozon- Plasmabehandlung aktiviert. Danach wird ebenfalls im Reinraum als Pufferschicht eine 80 nm Schicht PEDOT (PEDOT ist ein Polythiophen- Derivat (Baytron P VAI 4083sp.) von H. C. Starck, Goslar, das als wässrige Dispersion geliefert wird) durch Spin-Coating aufgebracht. Die benötigte Spinrate hängt vom Verdünnungsgrad und der spezifischen Spincoater- Geometrie ab (typisch für 80 nm: 4500 rpm). Um Restwasser aus der Schicht zu entfernen, werden die Substrate für 10 Minuten bei 180°C auf einer Heizplatte ausgeheizt. Danach werden unter Inertgasatmosphäre (Stickstoff bzw. Argon) zunächst 20 nm einer Interlayer (typischerweise ein lochdominiertes Polymer, hier HIL-012 von Merck) und dann 80 nm der emittierenden Schichten (EML für Emissive Layer) aus Lösungen
(Konzentration 24 g/l in Chlorbenzol, die Kompositionen für die
verschiedene EMLs, und denen Konzentrationen sind in Tabelle 1 aufgelistet) aufgebracht. Alle EML Schichten werden bei 180°C
mindestens 10 Minuten ausgeheizt. Danach wird die Ba/Al-Kathode aufgedampft (hochreine Metalle von Aldrich, besonders Barium 99,99% (Best-Nr. 47471 1 ); Aufdampfanlagen von Lesker o.a., typischer
Vakuumlevel 5 x 106 mbar). Um vor allem die Kathode vor Luft und Luftfeuchtigkeit zu schützen, wird die Vorrichtung abschließend verkapselt und dann charakterisiert.
Tabelle 1 : Die EML Kompositionen in verschiedene OLEDs
Figure imgf000093_0001
Dazu werden die Devices in für die Substratgröße eigens angefertigte Halter eingespannt und mittels Federkontakten kontaktiert. Eine
Photodiode mit Augenverlaufsfilter kann direkt auf den Messhalter aufgesetzt werden, um Einflüsse von Fremdlicht auszuschließen.
Typischerweise werden die Spannungen von 0 bis max. 20 V in 0,2 V- Schritten erhöht und wieder erniedrigt. Für jeden Messpunkt wird der Strom durch die Vorrichtung sowie der erhaltene Photostrom von der Photodiode gemessen. Auf diese Art und Weise erhält man die IVL-Daten der Testvorrichtungen. Wichtige Kenngrößen sind die gemessene maximale Effizienz („Eff." in cd/A) und die für 100 cd/m2 benötigte
Spannung Uioo- Um außerdem die Farbe und das genaue Elektrolumineszenzspektrum der Testvorrichtungen zu kennen, wird nach der ersten Messung nochmals die für 100 cd/m2 benötigte Spannung angelegt und die Photodiode durch einen Spektrum-Messkopf ersetzt. Dieser ist durch eine Lichtleitfaser mit einem Spektrometer (Ocean Optics) verbunden. Aus dem gemessenen Spektrum können die Farbkoordinaten (CIE: Commission International de l'eclairage, Normalbetrachter von 1931) abgeleitet werden.
Die Ergebnisse, die bei Verwendung der Emitter S1 , T1 & E1 in OLEDs erhalten werden, sind in Tabelle 2 zusammengefasst.
Tabelle 2
Figure imgf000094_0001
Wie man aus den Ergebnissen erkennen kann, stellt die erfindungsgemäße OLED3 eine deutliche Verbesserung gegenüber den zwei
Referenzen OLED1 & OLED2 hinsichtlich der Max Effizienz und EQE dar. Auf der Grundlage der vorliegenden erfindungsgemäßen technischen Lehre können weitere Optimierungen mittels unterschiedlicher Möglichkeiten realisiert werden ohne dabei erfinderisch zu sein. So kann eine weitere Optimierung bspw. durch die Verwendung einer anderen Matrix oder gemischten Matricen in der gleichen oder einer anderen
Konzentration erreicht werden.
Beispiel 3:
Solarzellen enthaltende S2 und E2.
Die Herstellung, das Messen und die Charakterisierung einer organischen Solarzelle aus Lösung ist in der Literatur bereits vielfach beschrieben (z.B. in Appl. Phys. Lett, Vol. 84, No. 19, 10 May 2004, pp3906).
Die Solarzellen PV1 & PV2 werden ähnlich wie OLED1-3 herstellet, außer: 1 ) Die Zwischenschicht wurde weggelassen;
2) Die EML wurde durch den wie in Tabelle 3 angezeigte aktiv Schicht ersetzt;
3) Als Kathode wurde nur 150 nm AI verwendet.
Tabelle 3: Die Kompositionen in aktive Schicht in PVs
Figure imgf000095_0001
[6,6]-Phenyl C61 Buttersäuremethylester (PCBM) wurde von Sigma- Aldrich gekauft.
Photovoltaische Kennlinien von PV1 und PV2 werden unten Bestrahlung von AM1.5 (1000 W/m2) gemessen. Die power conversion efficiency (PCE) wurde ausgerechnet und in Tabelle 3 aufgelistet. Durch Verwendung von E2, kann man die PCE von PV1 fast um 40% verbessern. Der mögliche Grund dafür ist, dass mit E2 auch Photonen im blauen Bereich genutzt werden können. Auf der Grundlage der vorliegenden erfindungsgemäßen technischen Lehre können weitere Optimierungen mittels unterschiedlicher Möglichkeiten realisiert werden ohne dabei erfinderisch zu sein. So kann eine weitere Optimierung bspw. durch die Verwendung andere Loch- Transportmaterialien oder gemischten Matricen in der gleichen oder einer anderen Konzentration erreicht werden.

Claims

Patentansprüche
Verbindung der allgemeinen Formel (1):
(S-A)n-T
Formel (1), wobei die verwendeten Symbole und Indices die folgende Bedeutung haben:
S ist bei jedem Auftreten unabhängig voneinander eine monovalente Gruppe, die eine fluoreszierende Emittereinheit umfasst;
T ist eine n-valente Gruppe, die eine phosphoreszierende Emittereinheit umfasst;
A stellt bei jedem Auftreten unabhängig voneinander eine kovalente Einfachbindung oder eine bivalente Einheit dar; n ist eine ganze Zahl, die größer oder gleich 1 ist.
Verbindung nach Anspruch 1 , dadurch gekennzeichnet, dass die phosphoreszierende Emittereinheit eine Metall-Ligand- Koordinationsverbindung ist.
Verbindung nach Anspruch 2, dadurch gekennzeichnet, dass die Metall-Ligand-Koordinationsverbindung ein Übergangsmetall-Atom oder ein Seltenerdmetall-Atom umfasst.
Verbindung nach Anspruch 2 oder 3, dadurch gekennzeichnet, dass die Metall-Ligand-Koordinationsverbindung ein Metall umfasst, das aus der Gruppe ausgewählt ist, die aus Ir, Zn, Cu, Os, Ru, Pd, Pt, Re, Au, Mo, W, Rh und Eu besteht. Verbindung nach einem oder mehreren der Ansprüche 1 bis 4, dadurch gekennzeichnet, dass S ein substituiertes oder nicht- substituiertes aromatisches oder heteroaromatisches Ringsystem ist.
Verbindung nach einem oder mehreren der Ansprüche 1 bis 5, dadurch gekennzeichnet, dass S aus der Gruppe ausgewählt ist, die aus Monostyrylaminen, Distyrylaminen, Tristyrylaminen,
Tetrastyrylaminen, Styrylphophinen, Styrylethern, Arylaminen, Indenofluorenaminen, Indenofiuorendiaminen und deren Derivaten besteht.
Verbindung nach einem oder mehreren der Ansprüche 1 bis 6, dadurch gekennzeichnet, dass die bivalente Einheit eine
konjugationsunterbrechende Einheit ist.
Verbindung nach Anspruch 7, dadurch gekennzeichnet, dass die konjugationsunterbrechende Einheit aus der Gruppe ausgewählt ist, die aus linearem oder verzweigtem Ci-12-Alkylen, C3-8-Cycloalkylen, linearem oder verzweigten Mono-(Ci-i2-alkyl)-silylen, linearem oder verzweigten
Figure imgf000097_0001
linearem oder verzweigtem Tri- (Ci-i2-alkyl)-silylen, einer Silylengruppe, die mit ein, zwei oder drei mono- oder polycyclischen aromatischen oder heteroaromatischen Ringsystemen mit 5 bis 60 aromatischen Ringatomen substituiert ist, linearem oder verzweigtem Si1-5-silylen, linearem oder verzweigtem Ci-i2-Alkyl-oxy-Ci.i2-alkylen, linearem oder verzweigtem Aryl-C1- 2- alkyl-oxy-Ci.12-alkylen, wobei Aryl ein mono- oder polycylisches aromatisches oder heteroaromatisches Ringsystem mit 5 bis 60 aromatischen Ringatomen ist, linearem oder verzweigtem CM2-Alkyl- thio-Ci-12-alkylen, Sulfon, linearem oder verzweigtem CM2- Alkylensulfon, Sulfoxid und linearem oder verzweigtem C-i-12- Alkylensulfoxid besteht, wobei ein oder mehrere H-Atome der genannten Gruppen durch F, Cl, Br, I, einem weiteren C1- 2-Alkyl oder C3-8-Cycloalkyl, wobei ein oder mehrere CH2-Gruppen des Alkyl oder Cycloalkyl durch Heteroatome, wie NH, O oder S, ersetzt sein können, oder einem mono- oder polycylischen aromatischen oder heteroaromatischen Ringsystemen mit 5 bis 60 aromatischen Ringatomen ersetzt sein können, und wobei ein oder mehrere CH2- Gruppen der genannten Gruppen, die A darstellen, durch ein bivalentes mono- oder polycyclisches aromatisches oder
heteroaromatisches Ringsystem mit 5 bis 60 aromatischen
Ringatomen ersetzt sein können, mit der Maßgabe, dass die bivalente Einheit A über jedes denkbare Atom der Gruppen S und T binden kann.
Verbindung nach Anspruch 7 oder 8, dadurch gekennzeichnet, dass die konjugationsunterbrechende Einheit eine der folgenden bivalenten Einheiten ist:
Figure imgf000098_0001
Formel (270) Formel (271) worin die gestrichelten Linien Bindungen zu den Gruppen S und T darstellen und W und Z unabhängig voneinander aus der Gruppe ausgewählt sind, die aus H, F, C- o-Alkyl, C2-4o-Alkenyl, C2-4o-Alkinyl, einem substituierten oder unsubstituierten aromatischen oder heteroaromatischen Kohlenwasserstoffrest mit 5 bis 60 Ringatomen besteht.
10. Verbindung nach einem oder mehreren der Ansprüche 1 bis 9,
dadurch gekennzeichnet, dass n gleich 1 , 2 oder 3, bevorzugt 2 oder 1 und ganz besonders bevorzugt 1 ist.
11. Verbindung nach einem oder mehreren der Ansprüche 1 bis 10, dadurch gekennzeichnet, dass eine Emissionsbande der
fluoreszierenden Emittereinheit ein Emissionsmaximum im
Wellenlängenbereich von 500 bis 750 nm aufweist.
12. Verbindung nach einem oder mehreren der Ansprüche 1 bis 11 , dadurch gekennzeichnet, dass eine Absorptionsbande der fluoreszierenden Emittereinheit ein Absorptionsmaximum im
Wellenlängenbereich von 400 bis 600 nm aufweist.
13. Verbindung nach einem oder mehreren der Ansprüche 1 bis 12, dadurch gekennzeichnet, dass eine Emissionsbande der phosphoreszierenden Emittereinheit ein Emissionsmaximum im Wellenlängenbereich von 400 bis 600 nm aufweist.
14. Verbindung nach einem der Ansprüche 1 bis 13, dadurch
gekennzeichnet, dass eine Absorptionsbande der fluoreszierenden Emittereinheit mit einer Emissionsbande der phosphoreszierenden Emittereinheit einen überlappenden Wellenlängenbereich aufweist.
15. Verbindung nach einem oder mehreren der Ansprüche 1 bis 14, dadurch gekennzeichnet, dass eine Emissionsbande der fluoreszierenden Emittereinheit mit einer Absorptionsbande der phosphoreszierenden Emittereinheit einen überlappenden
Wellenlängenbereich aufweist.
16. Verwendung einer Verbindung gemäß einem oder mehreren der Ansprüche 1 bis 15 in einer elektronischen Vorrichtung.
17. Organische Elektrolumineszenzvorrichtung enthaltend eine
Verbindung gemäß einem der Ansprüche 1 bis 15, bevorzugt ausgewählt aus organischen Leuchtdioden (OLEDs), organischen licht-emittierenden elektrochemischen Zellen (OLECs) und organischen lichtemittierenden Transistoren (OLETs).
18. Elektronische Vorrichtung enthaltend eine Verbindung gemäß einem der Ansprüche 1 bis 15, bevorzugt ausgewählt aus der Gruppe bestehend aus organischen integrierten Schaltungen (O-ICs), organischen Feld-Effekt-Transistoren (O-FETs), organischen Dünnfilmtransistoren (O-TFTs), organischen Solarzellen (O-SCs), farbstoffsensibilisierten organischen Solarzellen (DSSCs),
organischen optischen Detektoren, organischen Photorezeptoren, organischen Feld-Quench-Devices (O-FQDs), organischen
Laserdioden (O Laser) und„organic plasmon emitting devices".
Formulierung, insbesondere eine Lösung, Dispersion oder Emulsion, enthaltend mindestens eine Verbindung nach einem oder mehreren der Ansprüche 1 bis 15 und mindestens ein Lösungsmittel.
Verbindung nach einem oder mehreren der Ansprüche 1 bis 15 oder Vorrichtung nach einem der Ansprüche 17 oder 18 oder
Formulierung nach Anspruch 19 zur Verwendung zur Therapie, Prophylaxe und Diagnose medizinischer Erkrankungen und zur Verwendung in kosmetischen Anwendungen.
PCT/EP2011/005803 2010-12-15 2011-11-17 Organische elektrolumineszenzvorrichtung Ceased WO2012079673A1 (de)

Priority Applications (3)

Application Number Priority Date Filing Date Title
US13/992,088 US9193902B2 (en) 2010-12-15 2011-11-17 Organic electroluminescent device
JP2013543551A JP6284767B2 (ja) 2010-12-15 2011-11-17 有機エレクトロルミネッセンス素子
EP11788044.3A EP2652082B1 (de) 2010-12-15 2011-11-17 Organische elektrolumineszenzvorrichtung

Applications Claiming Priority (2)

Application Number Priority Date Filing Date Title
DE102010054525A DE102010054525A1 (de) 2010-12-15 2010-12-15 Organische Elektrolumineszenzvorrichtung
DE102010054525.2 2010-12-15

Publications (1)

Publication Number Publication Date
WO2012079673A1 true WO2012079673A1 (de) 2012-06-21

Family

ID=45044500

Family Applications (1)

Application Number Title Priority Date Filing Date
PCT/EP2011/005803 Ceased WO2012079673A1 (de) 2010-12-15 2011-11-17 Organische elektrolumineszenzvorrichtung

Country Status (5)

Country Link
US (1) US9193902B2 (de)
EP (1) EP2652082B1 (de)
JP (1) JP6284767B2 (de)
DE (1) DE102010054525A1 (de)
WO (1) WO2012079673A1 (de)

Cited By (9)

* Cited by examiner, † Cited by third party
Publication number Priority date Publication date Assignee Title
US20140158993A1 (en) * 2012-12-12 2014-06-12 Woo-Young So Phosphorescence-sensitizing fluorescence material system
WO2022129116A1 (de) 2020-12-18 2022-06-23 Merck Patent Gmbh Indolo[3.2.1-jk]carbazole-6-carbonitril-derivate als blau fluoreszierende emitter zur verwendung in oleds
WO2022129113A1 (de) 2020-12-18 2022-06-23 Merck Patent Gmbh Stickstoffhaltige heteroaromaten für organische elektrolumineszenzvorrichtungen
WO2022129114A1 (de) 2020-12-18 2022-06-23 Merck Patent Gmbh Stickstoffhaltige verbindungen für organische elektrolumineszenzvorrichtungen
WO2022229234A1 (de) 2021-04-30 2022-11-03 Merck Patent Gmbh Stickstoffhaltige, heterocyclische verbindungen für organische elektrolumineszenzvorrichtungen
WO2023041454A1 (de) 2021-09-14 2023-03-23 Merck Patent Gmbh Borhaltige, heterocyclische verbindungen für organische elektrolumineszenzvorrichtungen
WO2023072799A1 (de) 2021-10-27 2023-05-04 Merck Patent Gmbh Bor- und stickstoffhaltige, heterocyclische verbindungen für organische elektrolumineszenzvorrichtungen
WO2023161168A1 (de) 2022-02-23 2023-08-31 Merck Patent Gmbh Aromatische heterocyclen für organische elektrolumineszenzvorrichtungen
WO2023161167A1 (de) 2022-02-23 2023-08-31 Merck Patent Gmbh Stickstoffhaltige heterocyclen für organische elektrolumineszenzvorrichtungen

Families Citing this family (6)

* Cited by examiner, † Cited by third party
Publication number Priority date Publication date Assignee Title
US10069090B2 (en) * 2012-11-20 2018-09-04 Universal Display Corporation Organic electroluminescent materials and devices
JP6663143B2 (ja) * 2015-03-10 2020-03-11 国立大学法人大阪大学 イリジウム錯体の炭素−水素結合のアリール化方法
KR102519180B1 (ko) 2017-07-26 2023-04-06 삼성전자주식회사 유기금속 화합물, 이를 포함한 유기 발광 소자 및 이를 포함한 진단용 조성물
CN109425450B (zh) * 2017-08-23 2021-04-23 北京纳米能源与系统研究所 传感器及应用其的电子、仿生皮肤及仿生交流通讯设备
US11459348B2 (en) * 2018-04-02 2022-10-04 Samsung Electronics Co., Ltd. Organometallic compound, organic light-emitting device including the same, and diagnostic composition including the organometallic compound
CN114614091B (zh) * 2022-03-02 2023-08-25 珠海冠宇电池股份有限公司 一种电解液以及包括该电解液的电池

Citations (85)

* Cited by examiner, † Cited by third party
Publication number Priority date Publication date Assignee Title
US4769292A (en) 1987-03-02 1988-09-06 Eastman Kodak Company Electroluminescent device with modified thin film luminescent zone
WO1990013148A1 (en) 1989-04-20 1990-11-01 Cambridge Research And Innovation Limited Electroluminescent devices
WO1991016719A2 (en) 1990-04-17 1991-10-31 Michael Graetzel Photovoltaic cells
US5121029A (en) 1987-12-11 1992-06-09 Idemitsu Kosan Co., Ltd. Electroluminescence device having an organic electroluminescent element
US5130603A (en) 1989-03-20 1992-07-14 Idemitsu Kosan Co., Ltd. Organic electroluminescence device
WO1992014741A1 (fr) 1991-02-21 1992-09-03 Asulab S.A. Complexes mono, bis ou tris (2,2'-bipyridine substituee) d'un metal choisi parmi le fer, le ruthenium, l'osmium ou le vanadium et leurs procedes de preparation
JPH061973A (ja) 1992-06-18 1994-01-11 Konica Corp 有機エレクトロルミネッセンス素子
WO1994004497A1 (en) 1992-08-21 1994-03-03 Ecole polytechnique fédérale de Lausanne (EPFL) Organic compounds
EP0652273A1 (de) 1993-11-09 1995-05-10 Shinko Electric Industries Co. Ltd. Organisches Material für elektrolumineszente Vorrichtung und elektrolumineszente Vorrichtung
WO1995029924A1 (en) 1994-05-02 1995-11-09 Ecole Polytechnique Federale De Lausanne (Epfl) Phosphonated polypyridyl compounds and their complexes
JPH0853397A (ja) 1994-08-12 1996-02-27 Toyo Ink Mfg Co Ltd ジアリールアミン誘導体、その製造方法及び用途
WO1998050393A1 (en) 1997-05-07 1998-11-12 Ecole Polytechnique Federale De Lausanne Metal complex photosensitizer and photovoltaic cell
US6020078A (en) 1998-12-18 2000-02-01 Eastman Kodak Company Green organic electroluminescent devices
WO2000007065A1 (en) 1998-07-29 2000-02-10 Matsushita Electric Industrial Co., Ltd. Scattering display and method for driving the same
WO2001041512A1 (en) 1999-12-01 2001-06-07 The Trustees Of Princeton University Complexes of form l2mx as phosphorescent dopants for organic leds
US6251531B1 (en) 1995-02-25 2001-06-26 Toyo Ink Manufacturing Co., Ltd. Light-emitting material for organic electroluminescence device, and organic electroluminescence device for which the light-emitting material is adapted
WO2002002714A2 (en) 2000-06-30 2002-01-10 E.I. Du Pont De Nemours And Company Electroluminescent iridium compounds with fluorinated phenylpyridines, phenylpyrimidines, and phenylquinolines and devices made with such compounds
WO2002015645A1 (en) 2000-08-11 2002-02-21 The Trustees Of Princeton University Organometallic compounds and emission-shifting organic electrophosphorescence
EP1191613A2 (de) 2000-09-26 2002-03-27 Canon Kabushiki Kaisha Lumineszente Vorrichtung, Bildanzeigevorrichtung und Metallkoordinationsverbindung
EP1191614A2 (de) 2000-09-26 2002-03-27 Canon Kabushiki Kaisha Lumineszente Vorrichtung und dafür verwendete Metallkoordinationsverbindung
EP1191612A2 (de) 2000-09-26 2002-03-27 Canon Kabushiki Kaisha Lumineszente Vorrichtung, Bildanzeigevorrichtung und Metallkoordinationsverbindung
EP1205527A1 (de) 2000-03-27 2002-05-15 Idemitsu Kosan Co., Ltd. Organische elektrolumineszierende vorrichtung
US6538375B1 (en) 2000-08-17 2003-03-25 General Electric Company Oled fiber light source
US20030099858A1 (en) 2001-11-27 2003-05-29 General Electric Company One Research Circle Environmentally-stable organic electroluminescent fibers
WO2003102109A1 (de) * 2002-06-04 2003-12-11 H.C. Starck Gmbh Phosphoreszierende und lumineszierende konjugierte polymere und deren anwendung in elektrolumineszierenden anordnungen
WO2004037887A2 (de) 2002-10-25 2004-05-06 Covion Organic Semiconductors Gmbh Arylamin-einheiten enthaltende konjugierte polymere, deren darstellung und verwendung
WO2004047499A1 (ja) 2002-11-18 2004-06-03 Idemitsu Kosan Co., Ltd. 有機エレクトロルミネッセンス素子
DE10311767A1 (de) * 2003-03-18 2004-09-30 H.C. Starck Gmbh Lumineszierende konjugierte Polymere und deren Anwendung in elektrolumineszierenden Anordnungen
JP2004288381A (ja) 2003-03-19 2004-10-14 Konica Minolta Holdings Inc 有機エレクトロルミネッセンス素子
US20040209116A1 (en) 2003-04-21 2004-10-21 Xiaofan Ren Organic light emitting devices with wide gap host materials
US20040209115A1 (en) 2003-04-21 2004-10-21 Thompson Mark E. Organic light emitting devices with wide gap host materials
WO2004092111A1 (ja) 2003-04-10 2004-10-28 Idemitsu Kosan Co., Ltd. 芳香族アミン誘導体及びそれを用いた有機エレクトロルミネッセンス素子
WO2004093207A2 (de) 2003-04-15 2004-10-28 Covion Organic Semiconductors Gmbh Mischungen von organischen zur emission befähigten halbleitern und matrixmaterialien, deren verwendung und elektronikbauteile enthaltend diese mischungen
WO2005003253A2 (de) 2003-07-07 2005-01-13 Covion Organic Semiconductors Gmbh Mischungen von organischen zur emission befähigten halbleitern und matrixmaterialen, deren verwendung und elektronikbauteile enthaltend diese
JP2005015508A (ja) 2003-06-23 2005-01-20 Konica Minolta Holdings Inc ブロック共重合体、有機エレクトロルミネッセンス素子、表示装置、照明装置及び光源
WO2005011013A1 (de) 2003-07-21 2005-02-03 Covion Organic Semiconductors Gmbh Organisches elektrolumineszenzelement
CN1583691A (zh) 2004-06-04 2005-02-23 友达光电股份有限公司 蒽化合物以及包括此蒽化合物的有机电致发光装置
US20050069729A1 (en) 2003-09-30 2005-03-31 Konica Minolta Holdings, Inc. Organic electroluminescent element, illuminator, display and compound
WO2005033244A1 (de) 2003-09-29 2005-04-14 Covion Organic Semiconductors Gmbh Metallkomplexe
WO2005055248A2 (en) 2003-11-28 2005-06-16 Merck Patent Gmbh Organic semiconducting layer formulations comprising polyacenes and organic binder polymers
US20050249976A1 (en) 2002-03-22 2005-11-10 Idemitsu Kosan Co., Ltd. Material for organic electroluminescence devices and organic electroluminescence device using the material
US20050260442A1 (en) 2004-05-24 2005-11-24 Chen-Ping Yu Anthracene compound for organic electroluminescent device
WO2005111172A2 (de) 2004-05-11 2005-11-24 Merck Patent Gmbh Neue materialmischungen für die elektrolumineszenz
JP2005347160A (ja) 2004-06-04 2005-12-15 Konica Minolta Holdings Inc 有機エレクトロルミネッセンス素子、照明装置及び表示装置
WO2005121274A1 (en) 2004-06-07 2005-12-22 Gracel Display Inc. Red electroluminescent compounds and organic electroluminescent device using the same
WO2006000389A1 (de) 2004-06-26 2006-01-05 Merck Patent Gmbh Verbindungen für organische elektronische vorrichtungen
WO2006000388A1 (de) 2004-06-26 2006-01-05 Merck Patent Gmbh Organische elektrolumineszenzvorrichtung
GB2415960A (en) * 2003-03-07 2006-01-11 Dainippon Printing Co Ltd Organic compound and organic electroluminescence device
EP1617710A1 (de) 2003-04-23 2006-01-18 Konica Minolta Holdings, Inc. Material für ein organisches elektrolumineszenzgerät, organisches elektrolumineszenzgerät, beleuchtungsvorrichtung und anzeige
EP1622178A1 (de) 2004-07-29 2006-02-01 Ecole Polytechnique Federale De Lausanne (Epfl) 2,2 -Bipyridinligand, Sensibilisierungsfarbstoff und farbstoffsensibilisierte Solarzelle
WO2006058737A1 (de) 2004-12-01 2006-06-08 Merck Patent Gmbh Verbindungen für organische elektronische vorrichtungen
WO2006098080A1 (ja) 2005-03-15 2006-09-21 Idemitsu Kosan Co., Ltd. 芳香族アミン誘導体及びそれを用いた有機エレクトロルミネッセンス素子
US20060222886A1 (en) 2005-04-04 2006-10-05 Raymond Kwong Arylpyrene compounds
WO2006117052A1 (de) 2005-05-03 2006-11-09 Merck Patent Gmbh Organische elektrolumineszenzvorrichtung und in deren herstellung verwendete boronsäure- und borinsäure-derivate
WO2006122630A1 (de) 2005-05-20 2006-11-23 Merck Patent Gmbh Verbindungen für organische elektronische vorrichtungen
EP1731584A1 (de) 2004-03-31 2006-12-13 Konica Minolta Holdings, Inc. Organischer elektrolumineszenzvorrichtungsstoff, organische elektrolumineszenzvorrichtung, display und beleuchtungsvorrichtung
US20070087219A1 (en) 2005-10-19 2007-04-19 Eastman Kodak Company Electroluminescent device
US20070092753A1 (en) 2005-10-26 2007-04-26 Eastman Kodak Company Organic element for low voltage electroluminescent devices
US20070122656A1 (en) 2005-11-30 2007-05-31 Eastman Kodak Company Electroluminescent device containing an anthracene derivative
US20070128467A1 (en) 2003-12-26 2007-06-07 Idemitsu Kosan C., Ltd. Material for organic electroluminescent device and organic electroluminescent device using same
WO2007063754A1 (ja) 2005-12-01 2007-06-07 Nippon Steel Chemical Co., Ltd. 有機電界発光素子用化合物及び有機電界発光素子
DE102005058557A1 (de) 2005-12-08 2007-06-14 Merck Patent Gmbh Organische Elektrolumineszenzvorrichtung
US20070134514A1 (en) 2005-12-14 2007-06-14 Eastman Kodak Company Electroluminescent host material
WO2007065549A1 (de) 2005-12-08 2007-06-14 Merck Patent Gmbh Organische elektrolumineszenzvorrichtungen
US7250532B2 (en) 2001-03-16 2007-07-31 Idemitsu Kosan Co., Ltd. Method for producing aromatic amino compound
WO2007115610A1 (de) 2006-04-01 2007-10-18 Merck Patent Gmbh Materialen für organische elektrolumineszenzvorrichtungen
US20070252517A1 (en) 2006-04-27 2007-11-01 Eastman Kodak Company Electroluminescent device including an anthracene derivative
WO2007137725A1 (de) 2006-05-31 2007-12-06 Merck Patent Gmbh Neue materialien für organische elektrolumineszenzvorrichtungen
WO2007140847A1 (de) 2006-06-02 2007-12-13 Merck Patent Gmbh Materialien für organische elektrolumineszenzvorrichtungen
WO2008006449A1 (de) 2006-07-11 2008-01-17 Merck Patent Gmbh Neue materialien für organische elektrolumineszenzvorrichtungen
WO2008056746A1 (en) 2006-11-09 2008-05-15 Nippon Steel Chemical Co., Ltd. Compound for organic electroluminescent device and organic electroluminescent device
US20080113101A1 (en) 2006-11-09 2008-05-15 Idemitsu Kosan Co., Ltd. Organic-electroluminescence-material-containing solution, method for forming thin film of organic electroluminescence material, thin film of organic electroluminescence material and organic electroluminescence device
WO2008086851A1 (de) 2007-01-18 2008-07-24 Merck Patent Gmbh Carbazol-derivate für organische elektrolumineszenzvorrichtungen
WO2009098643A2 (en) 2008-02-04 2009-08-13 Ecole polytechnique fédérale de Lausanne (EPFL) Organic sensitizers
WO2009107100A2 (en) 2008-02-27 2009-09-03 Ecole Polytechnique Federale De Lausanne (Epfl) High molecular extinction coefficient metal dyes
DE102008017591A1 (de) 2008-04-07 2009-10-08 Merck Patent Gmbh Neue Materialien für organische Elektrolumineszenzvorrichtungen
DE102008033943A1 (de) 2008-07-18 2010-01-21 Merck Patent Gmbh Neue Materialien für organische Elektrolumineszenzvorrichtungen
DE102008036982A1 (de) 2008-08-08 2010-02-11 Merck Patent Gmbh Organische Elektrolumineszenzvorrichtung
JP2010084003A (ja) 2008-09-30 2010-04-15 Jsr Corp 色素、色素増感太陽電池及びその製造方法
WO2010055471A1 (en) 2008-11-11 2010-05-20 Ecole Polytechnique Federale De Lausanne (Epfl) Novel anchoring ligands for sensitizers of dye-sensitized photovoltaic devices
US20100133992A1 (en) * 2008-11-28 2010-06-03 Samsung Electronics Co., Ltd. Compound comprising phosphorescence unit, emitting polymer and organic emitting device comprising the emitting polymer
DE102009023156A1 (de) 2009-05-29 2010-12-02 Merck Patent Gmbh Polymere, die substituierte Indenofluorenderivate als Struktureinheit enthalten, Verfahren zu deren Herstellung sowie deren Verwendung
DE102009023155A1 (de) 2009-05-29 2010-12-02 Merck Patent Gmbh Materialien für organische Elektrolumineszenzvorrichtungen
DE102009031021A1 (de) 2009-06-30 2011-01-05 Merck Patent Gmbh Materialien für organische Elektrolumineszenzvorrichtungen
DE102009022858A1 (de) 2009-05-27 2011-12-15 Merck Patent Gmbh Organische Elektrolumineszenzvorrichtungen

Family Cites Families (24)

* Cited by examiner, † Cited by third party
Publication number Priority date Publication date Assignee Title
US4209115A (en) 1978-09-06 1980-06-24 Georg Menshen & Co. Kg Two-part delivery outlet closure for containers
EP0886804B1 (de) * 1996-03-15 2001-11-21 Ecole Polytechnique Féderale de Lausanne (EPFL) Elektrochrome oder photoelektrochrome vorrichtung
IT1301990B1 (it) 1998-08-03 2000-07-20 Licio Zambon Catalizzatori per la polimerizzazione delle olefine.
DE19853081C1 (de) 1998-11-17 2000-07-27 Vollmer Werke Maschf Verfahren und Vorrichtung zum Aufstellen von Kegeln auf einer Kegelbahn
JP4220767B2 (ja) 2001-12-04 2009-02-04 日本放送協会 有機化合物、有機el素子およびディスプレイ
JPWO2003077323A1 (ja) * 2002-03-11 2005-07-07 新日本石油株式会社 光電変換素子
GB0220092D0 (en) * 2002-08-29 2002-10-09 Isis Innovation Reactive dendrimers
GB0220080D0 (en) * 2002-08-29 2002-10-09 Isis Innovation Blended dendrimers
JP2004355899A (ja) * 2003-05-28 2004-12-16 Konica Minolta Holdings Inc 有機エレクトロルミネッセンス素子、照明装置および表示装置
JP4622218B2 (ja) * 2003-09-12 2011-02-02 コニカミノルタホールディングス株式会社 有機エレクトロルミネッセンス素子、表示装置および照明装置
JP4367068B2 (ja) * 2003-09-26 2009-11-18 コニカミノルタホールディングス株式会社 有機エレクトロルミネッセンス素子、表示装置および照明装置
KR100732823B1 (ko) * 2005-04-21 2007-06-27 삼성에스디아이 주식회사 호스트용 화합물과 도판트용 화합물이 연결된 유기 금속화합물, 이를 이용한 유기 전계 발광 소자 및 그의제조방법
WO2007073562A2 (en) * 2005-12-20 2007-06-28 Invitrogen Corporation Fluorescent ion indicators for cadmium and lanthanide ion detection
CN1990822A (zh) * 2005-12-30 2007-07-04 上海广电电子股份有限公司 钯配位磷光材料及其制备方法
JP4804197B2 (ja) * 2006-03-31 2011-11-02 キヤノン株式会社 蛍光およびリン光を同時発光する有機化合物とそれを有する有機発光素子
KR100996236B1 (ko) * 2007-02-12 2010-11-23 주식회사 동진쎄미켐 신규한 루테늄계 염료 및 이의 제조방법
US7993763B2 (en) * 2007-05-10 2011-08-09 Universal Display Corporation Organometallic compounds having host and dopant functionalities
TWI362409B (en) * 2007-09-06 2012-04-21 Show An Chen Electroluminescent conjugated polymers grafted with charge transporting moieties having graded ionization potential or electrophilic property and their application in light-emitting diodes
JP2009203468A (ja) * 2008-01-28 2009-09-10 Mitsubishi Chemicals Corp 発光層材料およびこれを用いた発光層形成用組成物、有機電界発光素子、ならびに有機エレクトロルミネッセンスディスプレイ
EP2280972A1 (de) 2008-03-26 2011-02-09 Yeda Research And Development Company Ltd. Doppelt reduzierte perylendiimide und von perylendiimiden abgeleitete supramolekulare polymere
WO2010044465A1 (ja) 2008-10-17 2010-04-22 国立大学法人 群馬大学 新規化合物およびそれを含む機能性発光プローブ
JP2010105927A (ja) * 2008-10-28 2010-05-13 Idemitsu Kosan Co Ltd 含窒素複素環誘導体及びそれを用いた有機エレクトロルミネッセンス素子
JP5475305B2 (ja) * 2009-03-26 2014-04-16 セイコーエプソン株式会社 発光素子、露光ヘッドおよび画像形成装置
KR20100128096A (ko) * 2009-05-27 2010-12-07 주식회사 동진쎄미켐 신규한 루테늄계 염료 및 이의 제조방법

Patent Citations (92)

* Cited by examiner, † Cited by third party
Publication number Priority date Publication date Assignee Title
US4769292A (en) 1987-03-02 1988-09-06 Eastman Kodak Company Electroluminescent device with modified thin film luminescent zone
US5121029A (en) 1987-12-11 1992-06-09 Idemitsu Kosan Co., Ltd. Electroluminescence device having an organic electroluminescent element
US5130603A (en) 1989-03-20 1992-07-14 Idemitsu Kosan Co., Ltd. Organic electroluminescence device
WO1990013148A1 (en) 1989-04-20 1990-11-01 Cambridge Research And Innovation Limited Electroluminescent devices
WO1991016719A2 (en) 1990-04-17 1991-10-31 Michael Graetzel Photovoltaic cells
WO1992014741A1 (fr) 1991-02-21 1992-09-03 Asulab S.A. Complexes mono, bis ou tris (2,2'-bipyridine substituee) d'un metal choisi parmi le fer, le ruthenium, l'osmium ou le vanadium et leurs procedes de preparation
JPH061973A (ja) 1992-06-18 1994-01-11 Konica Corp 有機エレクトロルミネッセンス素子
WO1994004497A1 (en) 1992-08-21 1994-03-03 Ecole polytechnique fédérale de Lausanne (EPFL) Organic compounds
EP0652273A1 (de) 1993-11-09 1995-05-10 Shinko Electric Industries Co. Ltd. Organisches Material für elektrolumineszente Vorrichtung und elektrolumineszente Vorrichtung
WO1995029924A1 (en) 1994-05-02 1995-11-09 Ecole Polytechnique Federale De Lausanne (Epfl) Phosphonated polypyridyl compounds and their complexes
JPH0853397A (ja) 1994-08-12 1996-02-27 Toyo Ink Mfg Co Ltd ジアリールアミン誘導体、その製造方法及び用途
US6251531B1 (en) 1995-02-25 2001-06-26 Toyo Ink Manufacturing Co., Ltd. Light-emitting material for organic electroluminescence device, and organic electroluminescence device for which the light-emitting material is adapted
WO1998050393A1 (en) 1997-05-07 1998-11-12 Ecole Polytechnique Federale De Lausanne Metal complex photosensitizer and photovoltaic cell
US6245988B1 (en) 1997-05-07 2001-06-12 Ecole Polytechnique Federale De Lausanne Metal complex photosensitizer and photovoltaic cell
WO2000007065A1 (en) 1998-07-29 2000-02-10 Matsushita Electric Industrial Co., Ltd. Scattering display and method for driving the same
US6020078A (en) 1998-12-18 2000-02-01 Eastman Kodak Company Green organic electroluminescent devices
WO2001041512A1 (en) 1999-12-01 2001-06-07 The Trustees Of Princeton University Complexes of form l2mx as phosphorescent dopants for organic leds
EP1205527A1 (de) 2000-03-27 2002-05-15 Idemitsu Kosan Co., Ltd. Organische elektrolumineszierende vorrichtung
WO2002002714A2 (en) 2000-06-30 2002-01-10 E.I. Du Pont De Nemours And Company Electroluminescent iridium compounds with fluorinated phenylpyridines, phenylpyrimidines, and phenylquinolines and devices made with such compounds
WO2002015645A1 (en) 2000-08-11 2002-02-21 The Trustees Of Princeton University Organometallic compounds and emission-shifting organic electrophosphorescence
US6538375B1 (en) 2000-08-17 2003-03-25 General Electric Company Oled fiber light source
EP1191613A2 (de) 2000-09-26 2002-03-27 Canon Kabushiki Kaisha Lumineszente Vorrichtung, Bildanzeigevorrichtung und Metallkoordinationsverbindung
EP1191614A2 (de) 2000-09-26 2002-03-27 Canon Kabushiki Kaisha Lumineszente Vorrichtung und dafür verwendete Metallkoordinationsverbindung
EP1191612A2 (de) 2000-09-26 2002-03-27 Canon Kabushiki Kaisha Lumineszente Vorrichtung, Bildanzeigevorrichtung und Metallkoordinationsverbindung
US7250532B2 (en) 2001-03-16 2007-07-31 Idemitsu Kosan Co., Ltd. Method for producing aromatic amino compound
US20030099858A1 (en) 2001-11-27 2003-05-29 General Electric Company One Research Circle Environmentally-stable organic electroluminescent fibers
US20050249976A1 (en) 2002-03-22 2005-11-10 Idemitsu Kosan Co., Ltd. Material for organic electroluminescence devices and organic electroluminescence device using the material
WO2003102109A1 (de) * 2002-06-04 2003-12-11 H.C. Starck Gmbh Phosphoreszierende und lumineszierende konjugierte polymere und deren anwendung in elektrolumineszierenden anordnungen
WO2004037887A2 (de) 2002-10-25 2004-05-06 Covion Organic Semiconductors Gmbh Arylamin-einheiten enthaltende konjugierte polymere, deren darstellung und verwendung
WO2004047499A1 (ja) 2002-11-18 2004-06-03 Idemitsu Kosan Co., Ltd. 有機エレクトロルミネッセンス素子
GB2415960A (en) * 2003-03-07 2006-01-11 Dainippon Printing Co Ltd Organic compound and organic electroluminescence device
DE10311767A1 (de) * 2003-03-18 2004-09-30 H.C. Starck Gmbh Lumineszierende konjugierte Polymere und deren Anwendung in elektrolumineszierenden Anordnungen
JP2004288381A (ja) 2003-03-19 2004-10-14 Konica Minolta Holdings Inc 有機エレクトロルミネッセンス素子
WO2004092111A1 (ja) 2003-04-10 2004-10-28 Idemitsu Kosan Co., Ltd. 芳香族アミン誘導体及びそれを用いた有機エレクトロルミネッセンス素子
WO2004093207A2 (de) 2003-04-15 2004-10-28 Covion Organic Semiconductors Gmbh Mischungen von organischen zur emission befähigten halbleitern und matrixmaterialien, deren verwendung und elektronikbauteile enthaltend diese mischungen
US20040209116A1 (en) 2003-04-21 2004-10-21 Xiaofan Ren Organic light emitting devices with wide gap host materials
US20040209115A1 (en) 2003-04-21 2004-10-21 Thompson Mark E. Organic light emitting devices with wide gap host materials
EP1617710A1 (de) 2003-04-23 2006-01-18 Konica Minolta Holdings, Inc. Material für ein organisches elektrolumineszenzgerät, organisches elektrolumineszenzgerät, beleuchtungsvorrichtung und anzeige
EP1617711A1 (de) 2003-04-23 2006-01-18 Konica Minolta Holdings, Inc. Organisches elektrolumineszenzbauelement und anzeige
JP2005015508A (ja) 2003-06-23 2005-01-20 Konica Minolta Holdings Inc ブロック共重合体、有機エレクトロルミネッセンス素子、表示装置、照明装置及び光源
WO2005003253A2 (de) 2003-07-07 2005-01-13 Covion Organic Semiconductors Gmbh Mischungen von organischen zur emission befähigten halbleitern und matrixmaterialen, deren verwendung und elektronikbauteile enthaltend diese
WO2005011013A1 (de) 2003-07-21 2005-02-03 Covion Organic Semiconductors Gmbh Organisches elektrolumineszenzelement
WO2005033244A1 (de) 2003-09-29 2005-04-14 Covion Organic Semiconductors Gmbh Metallkomplexe
WO2005039246A1 (ja) 2003-09-30 2005-04-28 Konica Minolta Holdings, Inc. 有機エレクトロルミネッセンス素子、照明装置、表示装置
US20050069729A1 (en) 2003-09-30 2005-03-31 Konica Minolta Holdings, Inc. Organic electroluminescent element, illuminator, display and compound
WO2005055248A2 (en) 2003-11-28 2005-06-16 Merck Patent Gmbh Organic semiconducting layer formulations comprising polyacenes and organic binder polymers
US20070128467A1 (en) 2003-12-26 2007-06-07 Idemitsu Kosan C., Ltd. Material for organic electroluminescent device and organic electroluminescent device using same
EP1731584A1 (de) 2004-03-31 2006-12-13 Konica Minolta Holdings, Inc. Organischer elektrolumineszenzvorrichtungsstoff, organische elektrolumineszenzvorrichtung, display und beleuchtungsvorrichtung
WO2005111172A2 (de) 2004-05-11 2005-11-24 Merck Patent Gmbh Neue materialmischungen für die elektrolumineszenz
US20050260442A1 (en) 2004-05-24 2005-11-24 Chen-Ping Yu Anthracene compound for organic electroluminescent device
JP2005347160A (ja) 2004-06-04 2005-12-15 Konica Minolta Holdings Inc 有機エレクトロルミネッセンス素子、照明装置及び表示装置
CN1583691A (zh) 2004-06-04 2005-02-23 友达光电股份有限公司 蒽化合物以及包括此蒽化合物的有机电致发光装置
WO2005121274A1 (en) 2004-06-07 2005-12-22 Gracel Display Inc. Red electroluminescent compounds and organic electroluminescent device using the same
WO2006000388A1 (de) 2004-06-26 2006-01-05 Merck Patent Gmbh Organische elektrolumineszenzvorrichtung
WO2006000389A1 (de) 2004-06-26 2006-01-05 Merck Patent Gmbh Verbindungen für organische elektronische vorrichtungen
US20090000658A1 (en) 2004-07-29 2009-01-01 Shaik Mohammed Zakeeruddin 2,2-Bipyridine Ligand, Sensitizing Dye and Dye Sensitized Solar Cell
EP1622178A1 (de) 2004-07-29 2006-02-01 Ecole Polytechnique Federale De Lausanne (Epfl) 2,2 -Bipyridinligand, Sensibilisierungsfarbstoff und farbstoffsensibilisierte Solarzelle
WO2006058737A1 (de) 2004-12-01 2006-06-08 Merck Patent Gmbh Verbindungen für organische elektronische vorrichtungen
WO2006098080A1 (ja) 2005-03-15 2006-09-21 Idemitsu Kosan Co., Ltd. 芳香族アミン誘導体及びそれを用いた有機エレクトロルミネッセンス素子
US20060210830A1 (en) 2005-03-15 2006-09-21 Idemitsu Kosan Co., Ltd. Aromatic amine derivative and organic electroluminescence device using the same
US20060222886A1 (en) 2005-04-04 2006-10-05 Raymond Kwong Arylpyrene compounds
WO2006117052A1 (de) 2005-05-03 2006-11-09 Merck Patent Gmbh Organische elektrolumineszenzvorrichtung und in deren herstellung verwendete boronsäure- und borinsäure-derivate
WO2006122630A1 (de) 2005-05-20 2006-11-23 Merck Patent Gmbh Verbindungen für organische elektronische vorrichtungen
US20070087219A1 (en) 2005-10-19 2007-04-19 Eastman Kodak Company Electroluminescent device
US20070092753A1 (en) 2005-10-26 2007-04-26 Eastman Kodak Company Organic element for low voltage electroluminescent devices
US20070122656A1 (en) 2005-11-30 2007-05-31 Eastman Kodak Company Electroluminescent device containing an anthracene derivative
WO2007063754A1 (ja) 2005-12-01 2007-06-07 Nippon Steel Chemical Co., Ltd. 有機電界発光素子用化合物及び有機電界発光素子
DE102005058557A1 (de) 2005-12-08 2007-06-14 Merck Patent Gmbh Organische Elektrolumineszenzvorrichtung
WO2007065678A1 (de) 2005-12-08 2007-06-14 Merck Patent Gmbh Neue materialien für organische elektroluminieszenzvorrichtungen
WO2007065549A1 (de) 2005-12-08 2007-06-14 Merck Patent Gmbh Organische elektrolumineszenzvorrichtungen
EP1957606A1 (de) 2005-12-08 2008-08-20 Merck Patent GmbH Neue materialien für organische elektroluminieszenzvorrichtungen
US20070134514A1 (en) 2005-12-14 2007-06-14 Eastman Kodak Company Electroluminescent host material
WO2007115610A1 (de) 2006-04-01 2007-10-18 Merck Patent Gmbh Materialen für organische elektrolumineszenzvorrichtungen
US20070252517A1 (en) 2006-04-27 2007-11-01 Eastman Kodak Company Electroluminescent device including an anthracene derivative
WO2007137725A1 (de) 2006-05-31 2007-12-06 Merck Patent Gmbh Neue materialien für organische elektrolumineszenzvorrichtungen
WO2007140847A1 (de) 2006-06-02 2007-12-13 Merck Patent Gmbh Materialien für organische elektrolumineszenzvorrichtungen
WO2008006449A1 (de) 2006-07-11 2008-01-17 Merck Patent Gmbh Neue materialien für organische elektrolumineszenzvorrichtungen
WO2008056746A1 (en) 2006-11-09 2008-05-15 Nippon Steel Chemical Co., Ltd. Compound for organic electroluminescent device and organic electroluminescent device
US20080113101A1 (en) 2006-11-09 2008-05-15 Idemitsu Kosan Co., Ltd. Organic-electroluminescence-material-containing solution, method for forming thin film of organic electroluminescence material, thin film of organic electroluminescence material and organic electroluminescence device
WO2008086851A1 (de) 2007-01-18 2008-07-24 Merck Patent Gmbh Carbazol-derivate für organische elektrolumineszenzvorrichtungen
WO2009098643A2 (en) 2008-02-04 2009-08-13 Ecole polytechnique fédérale de Lausanne (EPFL) Organic sensitizers
WO2009107100A2 (en) 2008-02-27 2009-09-03 Ecole Polytechnique Federale De Lausanne (Epfl) High molecular extinction coefficient metal dyes
DE102008017591A1 (de) 2008-04-07 2009-10-08 Merck Patent Gmbh Neue Materialien für organische Elektrolumineszenzvorrichtungen
DE102008033943A1 (de) 2008-07-18 2010-01-21 Merck Patent Gmbh Neue Materialien für organische Elektrolumineszenzvorrichtungen
DE102008036982A1 (de) 2008-08-08 2010-02-11 Merck Patent Gmbh Organische Elektrolumineszenzvorrichtung
JP2010084003A (ja) 2008-09-30 2010-04-15 Jsr Corp 色素、色素増感太陽電池及びその製造方法
WO2010055471A1 (en) 2008-11-11 2010-05-20 Ecole Polytechnique Federale De Lausanne (Epfl) Novel anchoring ligands for sensitizers of dye-sensitized photovoltaic devices
US20100133992A1 (en) * 2008-11-28 2010-06-03 Samsung Electronics Co., Ltd. Compound comprising phosphorescence unit, emitting polymer and organic emitting device comprising the emitting polymer
DE102009022858A1 (de) 2009-05-27 2011-12-15 Merck Patent Gmbh Organische Elektrolumineszenzvorrichtungen
DE102009023156A1 (de) 2009-05-29 2010-12-02 Merck Patent Gmbh Polymere, die substituierte Indenofluorenderivate als Struktureinheit enthalten, Verfahren zu deren Herstellung sowie deren Verwendung
DE102009023155A1 (de) 2009-05-29 2010-12-02 Merck Patent Gmbh Materialien für organische Elektrolumineszenzvorrichtungen
DE102009031021A1 (de) 2009-06-30 2011-01-05 Merck Patent Gmbh Materialien für organische Elektrolumineszenzvorrichtungen

Non-Patent Citations (26)

* Cited by examiner, † Cited by third party
Title
"Recent progress of molecular organic electroluminescent materials and devices", MAT. SCI. AND ENG. R, vol. 39, 2002, pages 143 - 222
APPL. PHYS. LETT., vol. 84, no. 19, 10 May 2004 (2004-05-10), pages 3906
BALDO ET AL., SCIENCE, vol. 321, 2008, pages 226
BRENNDAN O'CONNOR ET AL., ADV. MATER., vol. 19, 2007, pages 3897 - 3900
C.H. CHEN ET AL.: "Recent developments in organic electroluminescent materials", MACROMOL. SYMP., vol. 125, 1997, pages 1 - 48, XP000891579
CHENG GANG ET AL: "White organic light-emitting devices using a phosphorescent sensitizer", APPLIED PHYSICS LETTERS, AIP, AMERICAN INSTITUTE OF PHYSICS, MELVILLE, NY, US, vol. 82, no. 24, 16 June 2003 (2003-06-16), pages 4224 - 4226, XP012034359, ISSN: 0003-6951, DOI: 10.1063/1.1584075 *
CROWLEY, J. D.; TEAGUE, G. S. JR.; LOWE, J. W. JR., JOURNAL OF PAINT TECHNOLOGY, vol. 38, no. 496, 1966, pages 296
FORREST ET AL., NATURE (LONDON, vol. 403, no. 6771, 2000, pages 750 - 753
FORREST, NATURE (LONDON, vol. 395, 1998, pages 151
H. GILMAN; E.A. ZUECH, CHEMISTRY&NDUSTRY, 1960, pages 120
J. AM. CHEM SOC., vol. 123, 2001, pages 4304
J. PHYS. CHEM. C, vol. 09, no. 113, pages 2966 - 2973
JOURNAL PHYS. CHEM. C, vol. 111, 2007, pages 4861
KOLLER ET AL., NATURE PHOTONICS, vol. 2, pages 684 - 687
LANDFESTER, ANNU. REV, MATER. RES., vol. 06, no. 36, pages 231
M. S. ARNOLD ET AL., APPL. PHYS. LETT., vol. 92, 2008, pages 053301
MUCCINI ET AL., NATURE MATERIALS, vol. 9, 2010, pages 496 - 503
NATURE, vol. 395, pages 583 - 585
O'REGAN; GRÄTZEL, NATURE, vol. 353, pages 787 - 740
PAUL M. BORSENBERGER & D. S. WEISS: "Organic Photoreceptors for Xerography", 1998, MARCEL DEKKER, INC.
PEI; HEEGER, SCIENCE, vol. 269, pages 1086 - 1088
SEGAL ET AL., NAT.MATER., vol. 6, no. 5, 2007, pages 374 - 378
SIEHE D. L. DEXTER, J. CHEM. PHYS., vol. 21, 1953, pages 836
SOLVENTS, W.H. ELLIS, FEDERATION OF SOCIETIES FOR COATINGS TECHNOLOGY, 1986, pages 9 - 10
T. FÖRSTER: "Zwischenmolekulare Energiewanderung und Fluoreszenz", ANN. PHYSIC., vol. 437, 1948, pages 55
Z. H. XIONG ET AL., NATURE, vol. 727, 2004, pages 821

Cited By (11)

* Cited by examiner, † Cited by third party
Publication number Priority date Publication date Assignee Title
US20140158993A1 (en) * 2012-12-12 2014-06-12 Woo-Young So Phosphorescence-sensitizing fluorescence material system
US9653691B2 (en) * 2012-12-12 2017-05-16 Universal Display Corporation Phosphorescence-sensitizing fluorescence material system
WO2022129116A1 (de) 2020-12-18 2022-06-23 Merck Patent Gmbh Indolo[3.2.1-jk]carbazole-6-carbonitril-derivate als blau fluoreszierende emitter zur verwendung in oleds
WO2022129113A1 (de) 2020-12-18 2022-06-23 Merck Patent Gmbh Stickstoffhaltige heteroaromaten für organische elektrolumineszenzvorrichtungen
WO2022129114A1 (de) 2020-12-18 2022-06-23 Merck Patent Gmbh Stickstoffhaltige verbindungen für organische elektrolumineszenzvorrichtungen
EP4676208A2 (de) 2020-12-18 2026-01-07 Merck Patent GmbH Stickstoffhaltige heteroaromaten für organische elektrolumineszenzvorrichtungen
WO2022229234A1 (de) 2021-04-30 2022-11-03 Merck Patent Gmbh Stickstoffhaltige, heterocyclische verbindungen für organische elektrolumineszenzvorrichtungen
WO2023041454A1 (de) 2021-09-14 2023-03-23 Merck Patent Gmbh Borhaltige, heterocyclische verbindungen für organische elektrolumineszenzvorrichtungen
WO2023072799A1 (de) 2021-10-27 2023-05-04 Merck Patent Gmbh Bor- und stickstoffhaltige, heterocyclische verbindungen für organische elektrolumineszenzvorrichtungen
WO2023161168A1 (de) 2022-02-23 2023-08-31 Merck Patent Gmbh Aromatische heterocyclen für organische elektrolumineszenzvorrichtungen
WO2023161167A1 (de) 2022-02-23 2023-08-31 Merck Patent Gmbh Stickstoffhaltige heterocyclen für organische elektrolumineszenzvorrichtungen

Also Published As

Publication number Publication date
JP6284767B2 (ja) 2018-02-28
EP2652082A1 (de) 2013-10-23
EP2652082B1 (de) 2017-12-20
JP2014507382A (ja) 2014-03-27
DE102010054525A1 (de) 2012-04-26
US20130261098A1 (en) 2013-10-03
US9193902B2 (en) 2015-11-24

Similar Documents

Publication Publication Date Title
EP2652082B1 (de) Organische elektrolumineszenzvorrichtung
EP2896627B1 (de) Organische Komplexe enthaltende Metalle
EP2569323B1 (de) Metallkomplexe
EP2694523B1 (de) Metallkomplexe
DE102011104745A1 (de) Materialien für organische Elektrolumineszenzvorrichtungen
WO2012084114A1 (de) Organische elektrolumineszenzvorrichtung
DE102010009193B4 (de) Zusammensetzung enthaltend Fluor-Fluor Assoziate, Verfahren zu deren Herstellung, deren Verwendung sowie organische elektronische Vorrichtung diese enthaltend
EP2656410B1 (de) Organische elektrolumineszenzvorrichtung
EP2715828B1 (de) Organische elektronische vorrichtung
WO2012038029A1 (de) Phosphorhaltige metallkomplexe
US9843004B2 (en) Metal-ligand coordination compounds
WO2017097397A1 (de) Metallkomplexe

Legal Events

Date Code Title Description
121 Ep: the epo has been informed by wipo that ep was designated in this application

Ref document number: 11788044

Country of ref document: EP

Kind code of ref document: A1

WWE Wipo information: entry into national phase

Ref document number: 2011788044

Country of ref document: EP

WWE Wipo information: entry into national phase

Ref document number: 13992088

Country of ref document: US

ENP Entry into the national phase

Ref document number: 2013543551

Country of ref document: JP

Kind code of ref document: A

NENP Non-entry into the national phase

Ref country code: DE