TW202028362A - 紫外線固化性矽酮組合物及其固化物 - Google Patents
紫外線固化性矽酮組合物及其固化物 Download PDFInfo
- Publication number
- TW202028362A TW202028362A TW108134190A TW108134190A TW202028362A TW 202028362 A TW202028362 A TW 202028362A TW 108134190 A TW108134190 A TW 108134190A TW 108134190 A TW108134190 A TW 108134190A TW 202028362 A TW202028362 A TW 202028362A
- Authority
- TW
- Taiwan
- Prior art keywords
- group
- general formula
- curable silicone
- silicone composition
- formula
- Prior art date
Links
- 229920001296 polysiloxane Polymers 0.000 title claims abstract description 54
- 239000000203 mixture Substances 0.000 title claims abstract description 51
- 125000004432 carbon atom Chemical group C* 0.000 claims abstract description 22
- 125000001183 hydrocarbyl group Chemical group 0.000 claims abstract description 12
- 125000001931 aliphatic group Chemical group 0.000 claims abstract description 8
- 239000003999 initiator Substances 0.000 claims abstract description 8
- 125000002947 alkylene group Chemical group 0.000 claims abstract description 6
- 125000004430 oxygen atom Chemical group O* 0.000 claims abstract description 6
- -1 methacryloxy Chemical group 0.000 claims description 18
- 239000000126 substance Substances 0.000 claims description 18
- 125000002496 methyl group Chemical group [H]C([H])([H])* 0.000 claims description 6
- 125000003545 alkoxy group Chemical group 0.000 claims description 5
- 125000005824 oxyalkoxy group Chemical group 0.000 claims description 2
- QQONPFPTGQHPMA-UHFFFAOYSA-N propylene Natural products CC=C QQONPFPTGQHPMA-UHFFFAOYSA-N 0.000 claims description 2
- 125000004805 propylene group Chemical group [H]C([H])([H])C([H])([*:1])C([H])([H])[*:2] 0.000 claims description 2
- 238000000034 method Methods 0.000 abstract description 13
- 239000000463 material Substances 0.000 description 13
- 239000000047 product Substances 0.000 description 12
- 230000000052 comparative effect Effects 0.000 description 11
- 125000000217 alkyl group Chemical group 0.000 description 8
- 229920005645 diorganopolysiloxane polymer Polymers 0.000 description 3
- VFHVQBAGLAREND-UHFFFAOYSA-N diphenylphosphoryl-(2,4,6-trimethylphenyl)methanone Chemical compound CC1=CC(C)=CC(C)=C1C(=O)P(=O)(C=1C=CC=CC=1)C1=CC=CC=C1 VFHVQBAGLAREND-UHFFFAOYSA-N 0.000 description 3
- 125000001495 ethyl group Chemical group [H]C([H])([H])C([H])([H])* 0.000 description 3
- 125000001997 phenyl group Chemical group [H]C1=C([H])C([H])=C(*)C([H])=C1[H] 0.000 description 3
- 230000009257 reactivity Effects 0.000 description 3
- 229920005989 resin Polymers 0.000 description 3
- 239000011347 resin Substances 0.000 description 3
- 239000011342 resin composition Substances 0.000 description 3
- PIZHFBODNLEQBL-UHFFFAOYSA-N 2,2-diethoxy-1-phenylethanone Chemical compound CCOC(OCC)C(=O)C1=CC=CC=C1 PIZHFBODNLEQBL-UHFFFAOYSA-N 0.000 description 2
- KWVGIHKZDCUPEU-UHFFFAOYSA-N 2,2-dimethoxy-2-phenylacetophenone Chemical compound C=1C=CC=CC=1C(OC)(OC)C(=O)C1=CC=CC=C1 KWVGIHKZDCUPEU-UHFFFAOYSA-N 0.000 description 2
- UHFFVFAKEGKNAQ-UHFFFAOYSA-N 2-benzyl-2-(dimethylamino)-1-(4-morpholin-4-ylphenyl)butan-1-one Chemical compound C=1C=C(N2CCOCC2)C=CC=1C(=O)C(CC)(N(C)C)CC1=CC=CC=C1 UHFFVFAKEGKNAQ-UHFFFAOYSA-N 0.000 description 2
- PCKZAVNWRLEHIP-UHFFFAOYSA-N 2-hydroxy-1-[4-[[4-(2-hydroxy-2-methylpropanoyl)phenyl]methyl]phenyl]-2-methylpropan-1-one Chemical compound C1=CC(C(=O)C(C)(O)C)=CC=C1CC1=CC=C(C(=O)C(C)(C)O)C=C1 PCKZAVNWRLEHIP-UHFFFAOYSA-N 0.000 description 2
- XMLYCEVDHLAQEL-UHFFFAOYSA-N 2-hydroxy-2-methyl-1-phenylpropan-1-one Chemical compound CC(C)(O)C(=O)C1=CC=CC=C1 XMLYCEVDHLAQEL-UHFFFAOYSA-N 0.000 description 2
- LWRBVKNFOYUCNP-UHFFFAOYSA-N 2-methyl-1-(4-methylsulfanylphenyl)-2-morpholin-4-ylpropan-1-one Chemical compound C1=CC(SC)=CC=C1C(=O)C(C)(C)N1CCOCC1 LWRBVKNFOYUCNP-UHFFFAOYSA-N 0.000 description 2
- 125000003903 2-propenyl group Chemical group [H]C([*])([H])C([H])=C([H])[H] 0.000 description 2
- 125000003342 alkenyl group Chemical group 0.000 description 2
- 230000015572 biosynthetic process Effects 0.000 description 2
- 229910052799 carbon Inorganic materials 0.000 description 2
- 150000001875 compounds Chemical class 0.000 description 2
- 125000004122 cyclic group Chemical group 0.000 description 2
- 230000003247 decreasing effect Effects 0.000 description 2
- 239000004205 dimethyl polysiloxane Substances 0.000 description 2
- 235000013870 dimethyl polysiloxane Nutrition 0.000 description 2
- 230000000694 effects Effects 0.000 description 2
- 125000000816 ethylene group Chemical group [H]C([H])([*:1])C([H])([H])[*:2] 0.000 description 2
- QSHDDOUJBYECFT-UHFFFAOYSA-N mercury Chemical compound [Hg] QSHDDOUJBYECFT-UHFFFAOYSA-N 0.000 description 2
- 229910052753 mercury Inorganic materials 0.000 description 2
- QPJVMBTYPHYUOC-UHFFFAOYSA-N methyl benzoate Chemical compound COC(=O)C1=CC=CC=C1 QPJVMBTYPHYUOC-UHFFFAOYSA-N 0.000 description 2
- 125000001570 methylene group Chemical group [H]C([H])([*:1])[*:2] 0.000 description 2
- BASFCYQUMIYNBI-UHFFFAOYSA-N platinum Chemical compound [Pt] BASFCYQUMIYNBI-UHFFFAOYSA-N 0.000 description 2
- 229920000435 poly(dimethylsiloxane) Polymers 0.000 description 2
- 238000003756 stirring Methods 0.000 description 2
- 238000003786 synthesis reaction Methods 0.000 description 2
- QNODIIQQMGDSEF-UHFFFAOYSA-N (1-hydroxycyclohexyl)-phenylmethanone Chemical compound C=1C=CC=CC=1C(=O)C1(O)CCCCC1 QNODIIQQMGDSEF-UHFFFAOYSA-N 0.000 description 1
- NAWXUBYGYWOOIX-SFHVURJKSA-N (2s)-2-[[4-[2-(2,4-diaminoquinazolin-6-yl)ethyl]benzoyl]amino]-4-methylidenepentanedioic acid Chemical compound C1=CC2=NC(N)=NC(N)=C2C=C1CCC1=CC=C(C(=O)N[C@@H](CC(=C)C(O)=O)C(O)=O)C=C1 NAWXUBYGYWOOIX-SFHVURJKSA-N 0.000 description 1
- PSGCQDPCAWOCSH-UHFFFAOYSA-N (4,7,7-trimethyl-3-bicyclo[2.2.1]heptanyl) prop-2-enoate Chemical compound C1CC2(C)C(OC(=O)C=C)CC1C2(C)C PSGCQDPCAWOCSH-UHFFFAOYSA-N 0.000 description 1
- HGCMSCWGVAYWHR-UHFFFAOYSA-N 1,3,5-trimethyl-2-[[phenyl-[(2,4,6-trimethylphenyl)methyl]phosphoryl]methyl]benzene Chemical compound CC1=CC(C)=CC(C)=C1CP(=O)(C=1C=CC=CC=1)CC1=C(C)C=C(C)C=C1C HGCMSCWGVAYWHR-UHFFFAOYSA-N 0.000 description 1
- 239000012956 1-hydroxycyclohexylphenyl-ketone Substances 0.000 description 1
- 125000006017 1-propenyl group Chemical group 0.000 description 1
- LESMLVDJJCWZAJ-UHFFFAOYSA-N 2-(diphenylphosphorylmethyl)-1,3,5-trimethylbenzene Chemical compound CC1=CC(C)=CC(C)=C1CP(=O)(C=1C=CC=CC=1)C1=CC=CC=C1 LESMLVDJJCWZAJ-UHFFFAOYSA-N 0.000 description 1
- 125000001731 2-cyanoethyl group Chemical group [H]C([H])(*)C([H])([H])C#N 0.000 description 1
- OMIGHNLMNHATMP-UHFFFAOYSA-N 2-hydroxyethyl prop-2-enoate Chemical compound OCCOC(=O)C=C OMIGHNLMNHATMP-UHFFFAOYSA-N 0.000 description 1
- 125000000094 2-phenylethyl group Chemical group [H]C1=C([H])C([H])=C(C([H])=C1[H])C([H])([H])C([H])([H])* 0.000 description 1
- OKTJSMMVPCPJKN-UHFFFAOYSA-N Carbon Chemical compound [C] OKTJSMMVPCPJKN-UHFFFAOYSA-N 0.000 description 1
- 238000005481 NMR spectroscopy Methods 0.000 description 1
- 239000006087 Silane Coupling Agent Substances 0.000 description 1
- PSGCQDPCAWOCSH-BREBYQMCSA-N [(1r,3r,4r)-4,7,7-trimethyl-3-bicyclo[2.2.1]heptanyl] prop-2-enoate Chemical compound C1C[C@@]2(C)[C@H](OC(=O)C=C)C[C@@H]1C2(C)C PSGCQDPCAWOCSH-BREBYQMCSA-N 0.000 description 1
- GUCYFKSBFREPBC-UHFFFAOYSA-N [phenyl-(2,4,6-trimethylbenzoyl)phosphoryl]-(2,4,6-trimethylphenyl)methanone Chemical compound CC1=CC(C)=CC(C)=C1C(=O)P(=O)(C=1C=CC=CC=1)C(=O)C1=C(C)C=C(C)C=C1C GUCYFKSBFREPBC-UHFFFAOYSA-N 0.000 description 1
- 239000006096 absorbing agent Substances 0.000 description 1
- NIXOWILDQLNWCW-UHFFFAOYSA-N acrylic acid group Chemical group C(C=C)(=O)O NIXOWILDQLNWCW-UHFFFAOYSA-N 0.000 description 1
- 239000000654 additive Substances 0.000 description 1
- 239000003963 antioxidant agent Substances 0.000 description 1
- 125000003710 aryl alkyl group Chemical group 0.000 description 1
- 125000003118 aryl group Chemical group 0.000 description 1
- 125000001797 benzyl group Chemical group [H]C1=C([H])C([H])=C(C([H])=C1[H])C([H])([H])* 0.000 description 1
- 235000010290 biphenyl Nutrition 0.000 description 1
- 239000004305 biphenyl Substances 0.000 description 1
- MQDJYUACMFCOFT-UHFFFAOYSA-N bis[2-(1-hydroxycyclohexyl)phenyl]methanone Chemical compound C=1C=CC=C(C(=O)C=2C(=CC=CC=2)C2(O)CCCCC2)C=1C1(O)CCCCC1 MQDJYUACMFCOFT-UHFFFAOYSA-N 0.000 description 1
- 125000005998 bromoethyl group Chemical group 0.000 description 1
- 125000004369 butenyl group Chemical group C(=CCC)* 0.000 description 1
- 125000000484 butyl group Chemical group [H]C([*])([H])C([H])([H])C([H])([H])C([H])([H])[H] 0.000 description 1
- 150000001721 carbon Chemical group 0.000 description 1
- 239000003054 catalyst Substances 0.000 description 1
- 239000007795 chemical reaction product Substances 0.000 description 1
- 125000004218 chloromethyl group Chemical group [H]C([H])(Cl)* 0.000 description 1
- 229920001577 copolymer Polymers 0.000 description 1
- 230000001186 cumulative effect Effects 0.000 description 1
- 125000000113 cyclohexyl group Chemical group [H]C1([H])C([H])([H])C([H])([H])C([H])(*)C([H])([H])C1([H])[H] 0.000 description 1
- UWGIJJRGSGDBFJ-UHFFFAOYSA-N dichloromethylsilane Chemical compound [SiH3]C(Cl)Cl UWGIJJRGSGDBFJ-UHFFFAOYSA-N 0.000 description 1
- CDNGYFJXHJQTJJ-UHFFFAOYSA-N diphenylphosphorylformaldehyde 1,3,5-trimethylbenzene Chemical compound C(=O)P(C1=CC=CC=C1)(C1=CC=CC=C1)=O.CC1=CC(=CC(=C1)C)C CDNGYFJXHJQTJJ-UHFFFAOYSA-N 0.000 description 1
- 239000000975 dye Substances 0.000 description 1
- 238000005516 engineering process Methods 0.000 description 1
- UHESRSKEBRADOO-UHFFFAOYSA-N ethyl carbamate;prop-2-enoic acid Chemical compound OC(=O)C=C.CCOC(N)=O UHESRSKEBRADOO-UHFFFAOYSA-N 0.000 description 1
- 125000004051 hexyl group Chemical group [H]C([H])([H])C([H])([H])C([H])([H])C([H])([H])C([H])([H])C([H])([H])* 0.000 description 1
- 125000004435 hydrogen atom Chemical group [H]* 0.000 description 1
- 238000006459 hydrosilylation reaction Methods 0.000 description 1
- 239000003112 inhibitor Substances 0.000 description 1
- 230000001678 irradiating effect Effects 0.000 description 1
- 125000000959 isobutyl group Chemical group [H]C([H])([H])C([H])(C([H])([H])[H])C([H])([H])* 0.000 description 1
- 125000000555 isopropenyl group Chemical group [H]\C([H])=C(\*)C([H])([H])[H] 0.000 description 1
- 125000001449 isopropyl group Chemical group [H]C([H])([H])C([H])(*)C([H])([H])[H] 0.000 description 1
- 239000004611 light stabiliser Substances 0.000 description 1
- 238000004519 manufacturing process Methods 0.000 description 1
- 229910052751 metal Inorganic materials 0.000 description 1
- 239000002184 metal Substances 0.000 description 1
- 229910001507 metal halide Inorganic materials 0.000 description 1
- 150000005309 metal halides Chemical class 0.000 description 1
- 229940095102 methyl benzoate Drugs 0.000 description 1
- 239000012778 molding material Substances 0.000 description 1
- 125000004108 n-butyl group Chemical group [H]C([H])([H])C([H])([H])C([H])([H])C([H])([H])* 0.000 description 1
- 125000001280 n-hexyl group Chemical group C(CCCCC)* 0.000 description 1
- 125000004123 n-propyl group Chemical group [H]C([H])([H])C([H])([H])C([H])([H])* 0.000 description 1
- 125000001624 naphthyl group Chemical group 0.000 description 1
- 239000012299 nitrogen atmosphere Substances 0.000 description 1
- 125000002347 octyl group Chemical group [H]C([*])([H])C([H])([H])C([H])([H])C([H])([H])C([H])([H])C([H])([H])C([H])([H])C([H])([H])[H] 0.000 description 1
- 125000001147 pentyl group Chemical group C(CCCC)* 0.000 description 1
- ZUOUZKKEUPVFJK-UHFFFAOYSA-N phenylbenzene Natural products C1=CC=CC=C1C1=CC=CC=C1 ZUOUZKKEUPVFJK-UHFFFAOYSA-N 0.000 description 1
- 125000004344 phenylpropyl group Chemical group 0.000 description 1
- 230000000704 physical effect Effects 0.000 description 1
- 239000000049 pigment Substances 0.000 description 1
- 229910052697 platinum Inorganic materials 0.000 description 1
- 238000006116 polymerization reaction Methods 0.000 description 1
- NHARPDSAXCBDDR-UHFFFAOYSA-N propyl 2-methylprop-2-enoate Chemical compound CCCOC(=O)C(C)=C NHARPDSAXCBDDR-UHFFFAOYSA-N 0.000 description 1
- 125000001436 propyl group Chemical group [H]C([*])([H])C([H])([H])C([H])([H])[H] 0.000 description 1
- 230000005855 radiation Effects 0.000 description 1
- 239000000376 reactant Substances 0.000 description 1
- 229920002050 silicone resin Polymers 0.000 description 1
- 238000006884 silylation reaction Methods 0.000 description 1
- 239000003381 stabilizer Substances 0.000 description 1
- 125000001424 substituent group Chemical group 0.000 description 1
- 125000000999 tert-butyl group Chemical group [H]C([H])([H])C(*)(C([H])([H])[H])C([H])([H])[H] 0.000 description 1
- 125000003396 thiol group Chemical group [H]S* 0.000 description 1
- 125000003944 tolyl group Chemical group 0.000 description 1
- 125000000725 trifluoropropyl group Chemical group [H]C([H])(*)C([H])([H])C(F)(F)F 0.000 description 1
- 125000003258 trimethylene group Chemical group [H]C([H])([*:2])C([H])([H])C([H])([H])[*:1] 0.000 description 1
- 125000000391 vinyl group Chemical group [H]C([*])=C([H])[H] 0.000 description 1
- 229920002554 vinyl polymer Polymers 0.000 description 1
- 229910052724 xenon Inorganic materials 0.000 description 1
- FHNFHKCVQCLJFQ-UHFFFAOYSA-N xenon atom Chemical compound [Xe] FHNFHKCVQCLJFQ-UHFFFAOYSA-N 0.000 description 1
- 125000005023 xylyl group Chemical group 0.000 description 1
Classifications
-
- B—PERFORMING OPERATIONS; TRANSPORTING
- B29—WORKING OF PLASTICS; WORKING OF SUBSTANCES IN A PLASTIC STATE IN GENERAL
- B29C—SHAPING OR JOINING OF PLASTICS; SHAPING OF MATERIAL IN A PLASTIC STATE, NOT OTHERWISE PROVIDED FOR; AFTER-TREATMENT OF THE SHAPED PRODUCTS, e.g. REPAIRING
- B29C64/00—Additive manufacturing, i.e. manufacturing of three-dimensional [3D] objects by additive deposition, additive agglomeration or additive layering, e.g. by 3D printing, stereolithography or selective laser sintering
- B29C64/30—Auxiliary operations or equipment
- B29C64/307—Handling of material to be used in additive manufacturing
- B29C64/314—Preparation
-
- B—PERFORMING OPERATIONS; TRANSPORTING
- B33—ADDITIVE MANUFACTURING TECHNOLOGY
- B33Y—ADDITIVE MANUFACTURING, i.e. MANUFACTURING OF THREE-DIMENSIONAL [3-D] OBJECTS BY ADDITIVE DEPOSITION, ADDITIVE AGGLOMERATION OR ADDITIVE LAYERING, e.g. BY 3-D PRINTING, STEREOLITHOGRAPHY OR SELECTIVE LASER SINTERING
- B33Y70/00—Materials specially adapted for additive manufacturing
-
- B—PERFORMING OPERATIONS; TRANSPORTING
- B41—PRINTING; LINING MACHINES; TYPEWRITERS; STAMPS
- B41M—PRINTING, DUPLICATING, MARKING, OR COPYING PROCESSES; COLOUR PRINTING
- B41M5/00—Duplicating or marking methods; Sheet materials for use therein
-
- C—CHEMISTRY; METALLURGY
- C08—ORGANIC MACROMOLECULAR COMPOUNDS; THEIR PREPARATION OR CHEMICAL WORKING-UP; COMPOSITIONS BASED THEREON
- C08F—MACROMOLECULAR COMPOUNDS OBTAINED BY REACTIONS ONLY INVOLVING CARBON-TO-CARBON UNSATURATED BONDS
- C08F299/00—Macromolecular compounds obtained by interreacting polymers involving only carbon-to-carbon unsaturated bond reactions, in the absence of non-macromolecular monomers
- C08F299/02—Macromolecular compounds obtained by interreacting polymers involving only carbon-to-carbon unsaturated bond reactions, in the absence of non-macromolecular monomers from unsaturated polycondensates
- C08F299/08—Macromolecular compounds obtained by interreacting polymers involving only carbon-to-carbon unsaturated bond reactions, in the absence of non-macromolecular monomers from unsaturated polycondensates from polysiloxanes
-
- C—CHEMISTRY; METALLURGY
- C08—ORGANIC MACROMOLECULAR COMPOUNDS; THEIR PREPARATION OR CHEMICAL WORKING-UP; COMPOSITIONS BASED THEREON
- C08G—MACROMOLECULAR COMPOUNDS OBTAINED OTHERWISE THAN BY REACTIONS ONLY INVOLVING UNSATURATED CARBON-TO-CARBON BONDS
- C08G77/00—Macromolecular compounds obtained by reactions forming a linkage containing silicon with or without sulfur, nitrogen, oxygen or carbon in the main chain of the macromolecule
- C08G77/04—Polysiloxanes
- C08G77/20—Polysiloxanes containing silicon bound to unsaturated aliphatic groups
-
- C—CHEMISTRY; METALLURGY
- C08—ORGANIC MACROMOLECULAR COMPOUNDS; THEIR PREPARATION OR CHEMICAL WORKING-UP; COMPOSITIONS BASED THEREON
- C08G—MACROMOLECULAR COMPOUNDS OBTAINED OTHERWISE THAN BY REACTIONS ONLY INVOLVING UNSATURATED CARBON-TO-CARBON BONDS
- C08G77/00—Macromolecular compounds obtained by reactions forming a linkage containing silicon with or without sulfur, nitrogen, oxygen or carbon in the main chain of the macromolecule
- C08G77/04—Polysiloxanes
- C08G77/38—Polysiloxanes modified by chemical after-treatment
-
- C—CHEMISTRY; METALLURGY
- C08—ORGANIC MACROMOLECULAR COMPOUNDS; THEIR PREPARATION OR CHEMICAL WORKING-UP; COMPOSITIONS BASED THEREON
- C08G—MACROMOLECULAR COMPOUNDS OBTAINED OTHERWISE THAN BY REACTIONS ONLY INVOLVING UNSATURATED CARBON-TO-CARBON BONDS
- C08G77/00—Macromolecular compounds obtained by reactions forming a linkage containing silicon with or without sulfur, nitrogen, oxygen or carbon in the main chain of the macromolecule
- C08G77/48—Macromolecular compounds obtained by reactions forming a linkage containing silicon with or without sulfur, nitrogen, oxygen or carbon in the main chain of the macromolecule in which at least two but not all the silicon atoms are connected by linkages other than oxygen atoms
- C08G77/50—Macromolecular compounds obtained by reactions forming a linkage containing silicon with or without sulfur, nitrogen, oxygen or carbon in the main chain of the macromolecule in which at least two but not all the silicon atoms are connected by linkages other than oxygen atoms by carbon linkages
Landscapes
- Chemical & Material Sciences (AREA)
- Engineering & Computer Science (AREA)
- Materials Engineering (AREA)
- Manufacturing & Machinery (AREA)
- Optics & Photonics (AREA)
- Mechanical Engineering (AREA)
- Physics & Mathematics (AREA)
- Health & Medical Sciences (AREA)
- Chemical Kinetics & Catalysis (AREA)
- Medicinal Chemistry (AREA)
- Polymers & Plastics (AREA)
- Organic Chemistry (AREA)
- Macromonomer-Based Addition Polymer (AREA)
Abstract
提供一種具有即使在吊起方式等的造型方式中也能夠使用的黏度、且低異味的紫外線固化性矽酮組合物及其固化物。所述紫外線固化性矽酮組合物含有:
(A)以下述通式(1)表示的有機聚矽氧烷,
[在通式(1)中,n為80≦n≦1000,R1
為碳原子數1~20的一價烴基,A為以下述通式(2)表示的基團。
[在通式(2)中,p為0≦p≦10,a為1≦a≦3,R1
為碳原子數1~20的一價烴基,R2
為氧原子或伸烷基,R3
為丙烯醯氧基烷基等。]]
(B)以下述通式(3)表示的有機聚矽氧烷,
[在通式(3)中的R4
為碳原子數1~10的一價脂肪族烴基或丙烯醯氧基烷基等、m為滿足5≦m≦50的數。]與
(C)光聚合起始劑。
Description
本發明涉及紫外線固化性矽酮組合物及其固化物。
近年來,在3D印表機中使用的造型材料的開發變得活躍,且其造型材料的種類具有從金屬到樹脂的多種類型。在樹脂領域中的主流為丙烯酸酯類光固化性樹脂組合物或聚氨酯丙烯酸酯類光固化性樹脂組合物,但由於這些組合物的固化物非常硬因此並不能彎曲(專利文獻1)。
依其用途,大多需要柔軟的橡膠狀的材料,並且已經開發出適合於造型方式的材料。例如,作為針對光造型方式(SLA)的材料,已經被公開了含有含烯基的有機聚矽氧烷、含巰基的有機聚矽氧烷以及MQ樹脂的組合物(專利文獻2)。另外,還針對分注技術已被公開了含有藉由紫外線所活化的鉑催化劑的矽酮混合物(專利文獻3)。
但是,在近年來開始普及的吊起方式的情況下,需要黏度低的造型材料,因此,上述材料不能直接使用。另外,雖已被公開了一種用於3D印表機的光固化性的低黏度矽酮樹脂材料(專利文獻4),但存在著為了提高材料的反應性而帶來的起因於紫外線反應性成分的異味的問題。
現有技術文獻
專利文獻
專利文獻1日本特開2012-111226號公報
專利文獻2日本專利第4788863號公報
專利文獻3日本專利第5384656號公報
專利文獻4國際公開第2018/003381號公報
發明要解決的問題
本發明的目的在於,鑑於上述問題,提供一種紫外線固化性矽酮組合物及其固化物。該紫外線固化性矽酮組合物具有即使藉由吊起方式等的造型方式也可以使用的黏度,且為低異味,並且其固化物可作為柔軟的橡膠狀的3D印表機造型材料使用。
用於解決問題的方案
本發明者們為達到上述目的,彙集精心研究的結果,藉由使用特定的長鏈紫外線固化性有機聚矽氧烷成分以及短鏈紫外線固化性有機聚矽氧烷成分,研究出了能夠提供一種在固化前為低黏度且低異味,並且在固化後顯示出良好的橡膠物性的紫外線固化性矽酮組合物,進而完成了本發明。
本發明提供以下的紫外線固化性矽酮組合物及其組合物的固化物。
[1] 一種紫外線固化性矽酮組合物,其特徵在於,包括:
(A)以下述通式(1)表示的有機聚矽氧烷:100質量份,
[化學式1]
在通式(1)中,n為80≦n≦1000的數,R1
相互獨立地為碳原子數1~20的一價烴基,A為以下述通式(2)表示的基團,
[化學式2]
在通式(2)中,p為滿足0≦p≦10的數,a為滿足1≦a≦3的數,R1
相互獨立地為碳原子數1~20的一價烴基,R2
為氧原子或伸烷基,R3
為丙烯醯氧基烷基、甲基丙烯醯氧基烷基、丙烯醯氧基烷氧基或甲基丙烯醯氧基烷氧基,
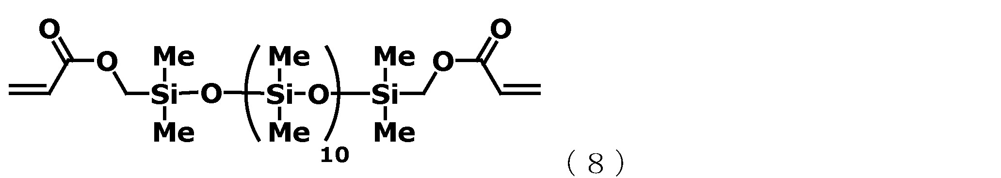
(B)以下述通式(3)表示的有機聚矽氧烷:5~100質量份,
[化學式3]
在通式(3)中,R4
各自獨立地為選自碳原子數1~10的一價脂肪族烴基、丙烯醯氧基烷基、甲基丙烯醯氧基烷基,丙烯醯氧基烷氧基以及甲基丙烯醯氧基烷氧基的基團,在一個分子中具有兩個選自丙烯醯氧基烷基、甲基丙烯醯氧基烷基,丙烯醯氧基烷氧基以及甲基丙烯醯氧基烷氧基的基團,m為滿足5≦m≦50的數,以及
(C)光聚合起始劑:0.1~20質量份。
[2] 如[1]所述的紫外線固化性矽酮組合物,
其在25℃條件下的黏度為10~5000mPa・s。
[3] 一種如[1]或[2]所述的紫外線固化性矽酮組合物的固化物。
[4]如[1]或[2]所述的紫外線固化性矽酮組合物,
其為用於3D印表機墨水。
發明的效果
根據本發明,可提供一種紫外線固化性有機矽組合物,其藉由紫外線固化的造型物顯示出良好的橡膠物性,為低黏度且為低異味。
在通式(1)中的n為80≦n≦1000,較佳為90≦n≦800,更佳為95≦n≦700。n如果小於80則固化物成為脆性材料,n如果大於1000則組合物的黏度增高,從而操作性變劣。
在通式(1)與通式(2)中,R1
相互獨立地表示為碳原子數為1~20的一價烴基,較佳為除脂肪族不飽和基之外的碳原子數為1~10、更佳為碳原子數1~8的一價烴基。
在通式(1)與通式(2)中,作為R1
的碳原子數為1~20的一價烴基可為直鏈、支鏈或環狀的任意一種,作為其具體例可列舉甲基、乙基、正丙基、異丙基、正丁基、異丁基、叔丁基、正己基、環己基、正辛基、2-乙基己基、正癸基等烷基;乙烯基、烯丙基(2-丙烯基)、1-丙烯基、異丙烯基、丁烯基等烯基;苯基、甲苯基、二甲苯基、萘基等芳基;苄基、苯乙基、苯丙基等芳烷基等。
另外,已與這些一價烴基的碳原子鍵合的部分或全部氫原子可以被其他的取代基所取代,作為具體例可列舉氯甲基、溴乙基、三氟丙基、氰乙基等鹵素取代的烴基或氰基取代的烴基等。
在它們當中,作為R1
,較佳為碳原子數1~5的烷基與苯基,更佳為甲基、乙基以及苯基。
另外,在通式(2)中,R2
表示為氧原子或碳原子數為1~20、較佳為1~10、更佳為1~5的伸烷基。
在通式(2)中,作為R2
的碳原子數為1~20的伸烷基可以是直鏈、支鏈或環狀的任意一種,作為其具體例可列舉亞甲基、亞乙基、亞丙基、三亞甲基、四亞甲基、異亞丁基、亞戊基、亞己基、亞庚基、亞辛基、亞壬基、癸烯基等。
在它們當中,作為R2
,較佳為氧原子、亞甲基、亞乙基以及三亞甲基,更佳為氧原子或亞乙基。
進一步,在通式(2)中,R3
相互獨立地表示為丙烯醯氧基烷基、甲基丙烯醯氧基烷基、丙烯醯氧基烷氧基或甲基丙烯醯氧基烷氧基。
在通式(2)中,作為R3
的丙烯醯氧基烷基、甲基丙烯醯氧基烷基、丙烯醯氧基烷氧基或甲基丙烯醯氧基烷氧基中的烷(亞烷)基的碳原子數並無特別地限定,其較佳為1~10、更佳為1~5。作為這些烷基的具體例,可列舉在以上述R1所例
示的基中的碳原子數為1~10的烷基。
上述通式(2)中的p表示為滿足0≦p≦10的數,較佳為0或1。a表示為滿足1≦a≦3的數,較佳為1或2。
這樣的有機聚矽氧烷可藉由公知的方法進行製造。以上述通式(4)表示的有機聚矽氧烷,其藉由例如,作為由二甲基乙烯基甲矽烷氧基封端兩末端的二甲基聚矽氧烷、二甲基乙烯基甲矽烷氧基封端兩末端的二苯基聚矽氧烷或二甲基乙烯基甲矽烷氧基封端兩末端的二甲基矽氧烷・二苯基矽氧烷共聚物等的由二甲基乙烯基甲矽烷氧基封端兩末端的二有機聚矽氧烷與3-(1,1,3,3-四甲基二矽氧烷基)丙基甲基丙烯酸酯(CAS No.96474-12-3)的氫化矽烷化反應物所獲得。
以上述通式(5)表示的有機聚矽氧烷,其可藉由例如將(丙烯酸-2-羥基乙酯添加在由二甲基乙烯基甲矽烷氧基封端兩末端的二甲基聚矽氧烷、二甲基乙烯基甲矽烷氧基封端兩末端的二苯基聚矽氧烷或二甲基乙烯基甲矽烷氧基封端兩末端的二甲基矽氧烷・二苯基矽氧烷共聚物等的由二甲基乙烯基甲矽烷氧基封端兩末端的二有機聚矽氧烷與二氯甲基矽烷的氫化矽烷化反應產物中並使其反應而獲得。
(A)成分的含量,較佳為在本發明的組合物中含有40~95質量%,更佳為含有40~90質量%,特佳為含有50~90質量%。
在上述通式(3)中的R4
為分別獨立地選自碳原子數1~10的一價脂肪族烴基、丙烯醯氧基烷基、甲基丙烯醯氧基烷基,丙烯醯氧基烷氧基以及甲基丙烯醯氧基烷氧基中的基。作為該一價脂肪族烴基,較佳為碳原子數1~8的一價脂肪族烴基,例如,可列舉甲基、乙基、丙基、丁基、戊基、己基以及辛基等烷基。更佳為碳原子數1~6的一價脂肪族烴基。其中,從合成的容易性與成本的方面考慮,優先為在R4
的總數中80%以上為甲基。
另外,在上述通式(3)中的R4
中的2個為選自丙烯醯氧基烷基、甲基丙烯醯氧基烷基,丙烯醯氧基烷氧基以及甲基丙烯醯氧基烷氧基中的聚合性基團,如此的2個聚合性基團可相同也可以不同,具體說來能夠列舉為與作為上述R3
所列舉的基團同樣的基團。該聚合性基團可以存在於有機聚矽氧烷的分子鏈的末端及中途的任一處,但從合成的容易性與成本的方面考慮,其較佳為在一個分子的兩末端各存在一個聚合性基團。
在通式(3)中的m為滿足5≦m≦50的數,較佳為滿足8≦m≦50的數,更佳為滿足10≦m≦30的數。若m小於5則異味加大,若m大於50時則組合物的反應性差,進而導致固化後的材料變脆。m的值可以作為藉由例如29
Si-NMR測定等的平均值而算出。
相對於(A)成分100質量份,(B)成分的添加量為5~100質量份的範圍,較佳為10~70質量份的範圍。相對於(A)成分100質量份,如果(B)成分的添加量小於5質量份時,則組合物的固化性不足,進而導致固化物變脆。在與高黏度的(A)成分進行組合時,可以藉由增加(B)成分的添加量將組合物的整體黏度調整至適於吊起方式的所需範圍,並且可以提高反應性。但是,相對於100質量份的(A)成分,如果(B)成分的添加量超過100質量份時,則固化物的硬度變得高於所需的硬度,進而導致不能獲得所需的橡膠物性。
(C)光聚合起始劑
作為光聚合起始劑(C),可使用公知的光聚合起始劑。其中,可列舉例如,2,2-二乙氧基苯乙酮;2,2-二甲氧基-1,2-二苯基乙烷-1-酮(BASF公司製造Irgacure 651);1-羥基-環己基-苯基-酮(BASF公司製造Irgacure184);2-羥基-2-甲基-1-苯基-丙烷-1-酮(BASF公司製造Irgacure1173);2-羥基-1-{4-[4-(2-羥基-2-甲基-丙醯基)-苄基]-苯基}-2-甲基-丙烷-1-酮(BASF公司製造Irgacure127);苯甲醯甲酸甲酯(BASF公司製造Irgacure MBF);2-甲基-1-[4-(甲硫基)苯基]-2-嗎啉基丙烷-1-酮(BASF公司製造Irgacure907);2-苄基-2-二甲基氨基-1-(4-嗎啉代苯基)-1-丁酮(BASF公司製造Irgacure369);雙(2,4,6-三甲基苯甲醯)-苯基氧化膦(BASF公司製造Irgacure 819);2,4,6-三甲基苯甲醯基-二苯基-氧化膦(BASF公司製造Irgacure TPO);以及這些光聚合起始劑的混合物等。
在上述(C)成分中,從與(A)成分的相容性的觀點考慮,較佳為2,2-二乙氧基苯乙酮、2-羥基-2-甲基-1-苯基-丙烷-1-酮(BASF公司製造Irgacure1173)、雙(2,4,6-三甲基苯甲酰)-苯基氧化膦(BASF公司制造Irgacure819)以及2,4,6-三甲基苯甲酰基-二苯基-氧化膦(BASF公司制造IrgacureTPO)。
相對於(A)成分100質量份,光聚合起始劑的添加量為0.1~20質量份。相對於(A)成分100質量份,(C)成分的添加量如果低於0.1質量份則固化性不足;而在超過20質量份的量的情況下,則深處部位的固化性惡化。
在不損害本發明的效果的範圍內,進一步,也可以將色材(顏料或染料)、矽烷偶聯劑、黏合助劑、阻聚劑、抗氧劑、為耐光性穩定劑的紫外線吸收劑以及光穩定劑等的添加劑配合在本發明的組合物中。另外,本發明的組合物也可以與其它的樹脂組合物適當地進行混合而加以使用。
矽酮組合物的製造方法
本發明的紫外線固化性矽酮組合物可藉由將上述(A)成分、(B)成分、(C)成分以及根據需要的其它的成分進行攪拌、混合等而獲得。對用於進行攪拌等的操作的裝置並無特別的限定。可使用雷潰機、3輥軋機、球磨機、行星式攪拌機等。另外,也可以將這些裝置適當地進行組合。
在本發明的紫外線固化性硅酮組合物中,作為能夠進行以吊起方式的造型的標準,組合物的黏度較佳為10~5000mPa・s,更佳為100~2000mPa・s。需要說明的是,其黏度為在25℃條件下藉由旋轉黏度計所測得的值。如果組合物的黏度在這樣的範圍內,則可以抑制在造型中的已照射紫外線的部位的流動。組合物的黏度可藉由改變(A)成分的鏈長或增減(B)成分的添加量進行調整。
本發明的紫外線固化性矽酮組合物藉由照射紫外線而迅速固化。作為照射在本發明的紫外線固化性矽酮組合物的紫外線的光源,可列舉例如,UVLED燈、高壓水銀燈、超高壓水銀燈、金屬鹵化物燈、碳弧燈以及氙氣燈等。例如,對於已將本發明的組合物成型為2.0mm程度的厚度的片材,其紫外線的照射量(積算光量)較佳為1~5000mJ/cm2
,更佳為10~4000mJ/cm2
。即,在365nm使用照度100mW/cm2
的紫外線的情況下,照射0.01~50秒程度的紫外線即可。
另外,為了使由本發明的紫外線固化性矽酮組合物組成的固化物顯示出優異的橡膠物性,其固化後的硬度為5~80(TypeA)的範圍、較佳為10~70(TypeA)的範圍。其固化後的拉伸強度較佳為0.5MPa以上、更佳為0.8MPa以上。如果其固化後的拉伸強度低於0.5MPa,則造型物有可能變脆。其固化後的斷裂伸長率較佳為50%以上、更佳為80%以上。如果其固化後的斷裂伸長率低於50%,則在折邊彎曲造型物時其不能隨型而變,進而容易產生破裂。需要說明的是,這些值為依據JIS-K6249標準所測定時的值。固化物的橡膠物性可藉由改變(A)成分的鏈長或增減(B)成分的添加量來進行調整。
[實施例]
以下,雖藉由例示實施例與比較例對本發明進行具體的說明,但本發明並不被限定於此。
[實施例1~3、比較例1~4]
依照在表1所示的組成比(數值表示為質量份)混合下述各成分,進而得到了紫外線固化性矽酮組合物。
需要說明的是,在各例中所得到的組合物的黏度為在25℃條件下、使用旋轉黏度計所測定的值。
另外,將各組合物注入在框內,在氮氛圍下、使用EYEGRAPHICS株式會社製造的燈H(M)06-L-61、且在為2000mJ/cm2
的紫外線照射條件下使各組合物固化,進而得到厚度為2.0mm的各固化片材。依據JIS-K6249標準,對所得到的各個固化片材進行了硬度、拉伸強度以及斷裂伸長率的測定。另外,對固化前的各組合物,將其異味強的標識為×,將其異味弱的標識為○。並將所得到的結果表示在表1。
(B-5):丙烯酸異冰片酯(共榮社化學股份有限公司製造 LIGHT ACRYLATE IB-XA)
˙(C)成分
(C-1):2-羥基-2-甲基-1-苯基-丙烷-1-酮(BASF公司制造Irgacure1173)
(C-2):2,4,6-三甲基苯甲酰基-二苯基-氧化膦(BASF公司制造Irgacure TPO)
表1
| 實施例1 | 實施例2 | 實施例3 | 比較例1 | 比較例2 | 比較例3 | 比較例4 | |
| (A-1) | 80 | - | - | - | - | - | - |
| (A-2) | 80 | 90 | 100 | 80 | 80 | 80 | |
| (B-1) | - | 20 | 10 | - | - | - | - |
| (B-2) | 20 | - | - | - | - | - | - |
| (B-3) | - | - | - | - | 20 | - | - |
| (B-4) | - | - | - | - | - | 20 | - |
| (B-5) | - | - | - | - | - | - | 20 |
| (C-1) | 1.0 | 0.5 | 1.0 | 1.0 | 1.0 | 1.0 | 1.0 |
| (C-2) | - | 0.5 | - | - | - | - | - |
| 組合物的黏度(mPa・s) | 110 | 550 | 750 | 1100 | 510 | 654 | 500 |
| 硬度(Type A) | 29 | 33 | 20 | 未固化 | 51 | 17 | 21 |
| 拉伸強度(MPa) | 0.6 | 2.0 | 0.7 | 2.2 | 0.3 | 0.9 | |
| 斷裂伸長率(%) | 100 | 130 | 190 | 75 | 105 | 250 | |
| 組合物的異味 | ○ | ○ | ○ | × | ○ | × |
如表1所示,由於本發明的紫外線固化性矽酮組合物的固化物具有充分的低黏度,且在固化後顯示出優異的橡膠物性,且為低異味,因此,尤其可以作為適合於用於表面曝光方式或吊起方式等的造型方式的3D印表機用的矽酮材料。另一方面,在未含有(B)成分的比較例1中的組合物未發生固化,在使用了替代(B)成分的本發明的範圍外的聚合性成分的比較例2~4中,其組合物具有強烈的異味(比較例2、4),且拉伸強度變得不充分(比較例3)。
無。
無。
無。
Claims (4)
- 一種紫外線固化性矽酮組合物,其特徵在於,包括: (A)以下述通式(1)表示的有機聚矽氧烷:100質量份, [化學式1] 在通式(1)中,n為80≦n≦1000的數,R1 相互獨立地為碳原子數1~20的一價烴基,A為以下述通式(2)表示的基團, [化學式2] 在通式(2)中,p為滿足0≦p≦10的數,a為滿足1≦a≦3的數,R1 相互獨立地為碳原子數1~20的一價烴基,R2 為氧原子或伸烷基,R3 為丙烯醯氧基烷基、甲基丙烯醯氧基烷基、丙烯醯氧基烷氧基或甲基丙烯醯氧基烷氧基, (B)以下述通式(3)表示的有機聚矽氧烷:5~100質量份, [化學式3] 在通式(3)中,R4 各自獨立地為選自碳原子數1~10的一價脂肪族烴基、丙烯醯氧基烷基、甲基丙烯醯氧基烷基,丙烯醯氧基烷氧基以及甲基丙烯醯氧基烷氧基的基團,在一個分子中具有兩個選自丙烯醯氧基烷基、甲基丙烯醯氧基烷基,丙烯醯氧基烷氧基以及甲基丙烯醯氧基烷氧基的基團,m為滿足5≦m≦50的數,以及 (C)光聚合起始劑:0.1~20質量份。
- 如申請專利範圍第1項所述的紫外線固化性矽酮組合物, 其在25℃條件下的粘度為10~5000mPa・s。
- 一種如申請專利範圍第1或2項所述的紫外線固化性矽酮組合物的固化物。
- 如申請專利範圍第1或2項所述的紫外線固化性矽酮組合物, 其為用於3D印表機墨水。
Applications Claiming Priority (2)
| Application Number | Priority Date | Filing Date | Title |
|---|---|---|---|
| JP2018197323 | 2018-10-19 | ||
| JP2018-197323 | 2018-10-19 |
Publications (1)
| Publication Number | Publication Date |
|---|---|
| TW202028362A true TW202028362A (zh) | 2020-08-01 |
Family
ID=70283474
Family Applications (1)
| Application Number | Title | Priority Date | Filing Date |
|---|---|---|---|
| TW108134190A TW202028362A (zh) | 2018-10-19 | 2019-09-23 | 紫外線固化性矽酮組合物及其固化物 |
Country Status (3)
| Country | Link |
|---|---|
| JP (1) | JPWO2020080011A1 (zh) |
| TW (1) | TW202028362A (zh) |
| WO (1) | WO2020080011A1 (zh) |
Families Citing this family (1)
| Publication number | Priority date | Publication date | Assignee | Title |
|---|---|---|---|---|
| JP7342910B2 (ja) * | 2021-04-23 | 2023-09-12 | 信越化学工業株式会社 | 光造形用紫外線硬化性シリコーン組成物、その硬化物および硬化物の製造方法 |
Family Cites Families (5)
| Publication number | Priority date | Publication date | Assignee | Title |
|---|---|---|---|---|
| EP3194501B1 (en) * | 2014-09-17 | 2024-07-10 | Dow Silicones Corporation | 3d printing method utilizing a photocurable silicone composition |
| JP2016069390A (ja) * | 2014-09-26 | 2016-05-09 | 富士フイルム株式会社 | インクジェット記録用インク組成物、白加飾材、並びに、加飾材付き基材及びその製造方法 |
| WO2016134972A1 (en) * | 2015-02-23 | 2016-09-01 | Philips Lighting Holding B.V. | Silicone mixture containing acrylates for inkjet and dispenser 3d printing |
| EP3480227B1 (en) * | 2016-06-30 | 2023-10-04 | Shin-Etsu Chemical Co., Ltd. | Ultraviolet curable silicone composition and cured product of same |
| JP7289676B2 (ja) * | 2018-04-16 | 2023-06-12 | キヤノン株式会社 | 立体造形用の硬化性樹脂組成物 |
-
2019
- 2019-09-13 JP JP2020552972A patent/JPWO2020080011A1/ja active Pending
- 2019-09-13 WO PCT/JP2019/036159 patent/WO2020080011A1/ja not_active Ceased
- 2019-09-23 TW TW108134190A patent/TW202028362A/zh unknown
Also Published As
| Publication number | Publication date |
|---|---|
| JPWO2020080011A1 (ja) | 2021-09-30 |
| WO2020080011A1 (ja) | 2020-04-23 |
Similar Documents
| Publication | Publication Date | Title |
|---|---|---|
| CN112533969B (zh) | 光造型用紫外线固化型有机硅组合物及其固化物 | |
| TWI731985B (zh) | 噴墨用墨液組成物及3d印表機墨液組成物 | |
| WO2020189307A1 (ja) | オルガノポリシロキサン、紫外線硬化性シリコーン組成物及び硬化物 | |
| US12180320B2 (en) | Ultraviolet curable silicone composition and cured product thereof | |
| JP7380394B2 (ja) | 紫外線硬化型シリコーン接着剤組成物およびその硬化物 | |
| TW202028362A (zh) | 紫外線固化性矽酮組合物及其固化物 | |
| CN114174454B (zh) | 紫外线固化型有机聚硅氧烷组合物 | |
| JP7770743B2 (ja) | 二成分型硬化性オルガノポリシロキサン組成物 | |
| CN115702177B (zh) | 紫外线固化型有机硅组合物及其固化物 | |
| JP2018058991A (ja) | 電気・電子部品用樹脂組成物 | |
| TWI910338B (zh) | 光造形用紫外線硬化性聚矽氧組成物、其硬化物,及硬化物之製造方法 | |
| JP2025042171A (ja) | 紫外線硬化型シリコーン組成物およびその硬化物 |



















