RU2760373C2 - Биарильное производное и содержащее его лекарственное средство - Google Patents
Биарильное производное и содержащее его лекарственное средство Download PDFInfo
- Publication number
- RU2760373C2 RU2760373C2 RU2018114077A RU2018114077A RU2760373C2 RU 2760373 C2 RU2760373 C2 RU 2760373C2 RU 2018114077 A RU2018114077 A RU 2018114077A RU 2018114077 A RU2018114077 A RU 2018114077A RU 2760373 C2 RU2760373 C2 RU 2760373C2
- Authority
- RU
- Russia
- Prior art keywords
- group
- compound
- mmol
- alkyl group
- alkoxy
- Prior art date
Links
- 239000003814 drug Substances 0.000 title claims abstract description 25
- 125000005841 biaryl group Chemical class 0.000 title claims 21
- 229940079593 drug Drugs 0.000 title abstract description 11
- 150000001875 compounds Chemical class 0.000 claims abstract description 1004
- 125000004169 (C1-C6) alkyl group Chemical group 0.000 claims abstract description 174
- 125000004435 hydrogen atom Chemical group [H]* 0.000 claims abstract description 147
- 125000005843 halogen group Chemical group 0.000 claims abstract description 114
- 150000003839 salts Chemical class 0.000 claims abstract description 72
- 238000000034 method Methods 0.000 claims abstract description 66
- 125000001997 phenyl group Chemical group [H]C1=C([H])C([H])=C(*)C([H])=C1[H] 0.000 claims abstract description 37
- 125000004178 (C1-C4) alkyl group Chemical group 0.000 claims abstract description 35
- 125000002887 hydroxy group Chemical group [H]O* 0.000 claims abstract description 19
- 125000002496 methyl group Chemical group [H]C([H])([H])* 0.000 claims abstract description 18
- 201000009862 superficial mycosis Diseases 0.000 claims abstract description 14
- 125000003226 pyrazolyl group Chemical group 0.000 claims abstract description 13
- 125000004076 pyridyl group Chemical group 0.000 claims abstract description 11
- 229940124597 therapeutic agent Drugs 0.000 claims abstract description 11
- 206010017533 Fungal infection Diseases 0.000 claims abstract description 10
- 125000002971 oxazolyl group Chemical group 0.000 claims abstract description 10
- 125000000714 pyrimidinyl group Chemical group 0.000 claims abstract description 10
- 125000000335 thiazolyl group Chemical group 0.000 claims abstract description 10
- 125000002883 imidazolyl group Chemical group 0.000 claims abstract description 9
- 229940121375 antifungal agent Drugs 0.000 claims abstract description 8
- 239000003429 antifungal agent Substances 0.000 claims abstract description 8
- 125000000842 isoxazolyl group Chemical group 0.000 claims abstract description 8
- 125000001715 oxadiazolyl group Chemical group 0.000 claims abstract description 8
- 125000004043 oxo group Chemical group O=* 0.000 claims abstract description 8
- 230000000843 anti-fungal effect Effects 0.000 claims abstract description 7
- 208000031888 Mycoses Diseases 0.000 claims abstract description 6
- 125000001425 triazolyl group Chemical group 0.000 claims abstract description 4
- -1 C 1 -C 6 haloalkyl group substituted Chemical class 0.000 claims description 222
- 238000002360 preparation method Methods 0.000 claims description 191
- 239000007787 solid Substances 0.000 claims description 121
- 125000004191 (C1-C6) alkoxy group Chemical group 0.000 claims description 77
- 125000000753 cycloalkyl group Chemical group 0.000 claims description 70
- 125000000171 (C1-C6) haloalkyl group Chemical group 0.000 claims description 68
- 125000004093 cyano group Chemical group *C#N 0.000 claims description 60
- 125000004454 (C1-C6) alkoxycarbonyl group Chemical group 0.000 claims description 56
- 125000004737 (C1-C6) haloalkoxy group Chemical group 0.000 claims description 53
- 125000004916 (C1-C6) alkylcarbonyl group Chemical group 0.000 claims description 44
- 125000000592 heterocycloalkyl group Chemical group 0.000 claims description 29
- 125000006700 (C1-C6) alkylthio group Chemical group 0.000 claims description 28
- 125000001072 heteroaryl group Chemical group 0.000 claims description 27
- 125000000882 C2-C6 alkenyl group Chemical group 0.000 claims description 24
- 125000003601 C2-C6 alkynyl group Chemical group 0.000 claims description 23
- 238000011282 treatment Methods 0.000 claims description 23
- 125000004765 (C1-C4) haloalkyl group Chemical group 0.000 claims description 20
- 201000005882 tinea unguium Diseases 0.000 claims description 16
- 125000006766 (C2-C6) alkynyloxy group Chemical group 0.000 claims description 15
- 239000004480 active ingredient Substances 0.000 claims description 13
- 125000004767 (C1-C4) haloalkoxy group Chemical group 0.000 claims description 12
- 125000000217 alkyl group Chemical group 0.000 claims description 12
- RAXXELZNTBOGNW-UHFFFAOYSA-N imidazole Natural products C1=CNC=N1 RAXXELZNTBOGNW-UHFFFAOYSA-N 0.000 claims description 12
- 229910052760 oxygen Inorganic materials 0.000 claims description 11
- 125000002485 formyl group Chemical group [H]C(*)=O 0.000 claims description 10
- 229910052717 sulfur Inorganic materials 0.000 claims description 9
- YNAVUWVOSKDBBP-UHFFFAOYSA-N Morpholine Chemical compound C1COCCN1 YNAVUWVOSKDBBP-UHFFFAOYSA-N 0.000 claims description 8
- 125000001559 cyclopropyl group Chemical group [H]C1([H])C([H])([H])C1([H])* 0.000 claims description 8
- 239000007788 liquid Substances 0.000 claims description 8
- 125000000449 nitro group Chemical group [O-][N+](*)=O 0.000 claims description 8
- 125000002534 ethynyl group Chemical group [H]C#C* 0.000 claims description 7
- 241000124008 Mammalia Species 0.000 claims description 6
- 125000003545 alkoxy group Chemical group 0.000 claims description 6
- WTKZEGDFNFYCGP-UHFFFAOYSA-N Pyrazole Chemical compound C=1C=NNC=1 WTKZEGDFNFYCGP-UHFFFAOYSA-N 0.000 claims description 4
- 125000000719 pyrrolidinyl group Chemical group 0.000 claims description 2
- SNOOUWRIMMFWNE-UHFFFAOYSA-M sodium;6-[(3,4,5-trimethoxybenzoyl)amino]hexanoate Chemical compound [Na+].COC1=CC(C(=O)NCCCCCC([O-])=O)=CC(OC)=C1OC SNOOUWRIMMFWNE-UHFFFAOYSA-M 0.000 claims 4
- 125000002757 morpholinyl group Chemical group 0.000 claims 1
- 238000011321 prophylaxis Methods 0.000 claims 1
- 230000000694 effects Effects 0.000 abstract description 9
- 239000000126 substance Substances 0.000 abstract description 5
- 208000024386 fungal infectious disease Diseases 0.000 abstract description 4
- 229910052757 nitrogen Inorganic materials 0.000 abstract description 3
- 239000003795 chemical substances by application Substances 0.000 abstract 1
- 150000002391 heterocyclic compounds Chemical class 0.000 abstract 1
- XEKOWRVHYACXOJ-UHFFFAOYSA-N Ethyl acetate Chemical compound CCOC(C)=O XEKOWRVHYACXOJ-UHFFFAOYSA-N 0.000 description 627
- 239000000203 mixture Substances 0.000 description 278
- VLKZOEOYAKHREP-UHFFFAOYSA-N n-Hexane Chemical compound CCCCCC VLKZOEOYAKHREP-UHFFFAOYSA-N 0.000 description 222
- 239000012230 colorless oil Substances 0.000 description 166
- XLYOFNOQVPJJNP-UHFFFAOYSA-N water Substances O XLYOFNOQVPJJNP-UHFFFAOYSA-N 0.000 description 153
- 230000002829 reductive effect Effects 0.000 description 137
- 239000002904 solvent Substances 0.000 description 136
- 238000010898 silica gel chromatography Methods 0.000 description 110
- 239000012044 organic layer Substances 0.000 description 105
- 239000011541 reaction mixture Substances 0.000 description 103
- PMZURENOXWZQFD-UHFFFAOYSA-L Sodium Sulfate Chemical compound [Na+].[Na+].[O-]S([O-])(=O)=O PMZURENOXWZQFD-UHFFFAOYSA-L 0.000 description 90
- WYURNTSHIVDZCO-UHFFFAOYSA-N Tetrahydrofuran Chemical compound C1CCOC1 WYURNTSHIVDZCO-UHFFFAOYSA-N 0.000 description 90
- HPALAKNZSZLMCH-UHFFFAOYSA-M sodium;chloride;hydrate Chemical class O.[Na+].[Cl-] HPALAKNZSZLMCH-UHFFFAOYSA-M 0.000 description 79
- LFQSCWFLJHTTHZ-UHFFFAOYSA-N Ethanol Chemical compound CCO LFQSCWFLJHTTHZ-UHFFFAOYSA-N 0.000 description 66
- 239000000243 solution Substances 0.000 description 64
- OKKJLVBELUTLKV-UHFFFAOYSA-N Methanol Chemical compound OC OKKJLVBELUTLKV-UHFFFAOYSA-N 0.000 description 63
- 238000004519 manufacturing process Methods 0.000 description 53
- ZMXDDKWLCZADIW-UHFFFAOYSA-N N,N-Dimethylformamide Chemical compound CN(C)C=O ZMXDDKWLCZADIW-UHFFFAOYSA-N 0.000 description 52
- HEDRZPFGACZZDS-UHFFFAOYSA-N Chloroform Chemical compound ClC(Cl)Cl HEDRZPFGACZZDS-UHFFFAOYSA-N 0.000 description 48
- 238000006243 chemical reaction Methods 0.000 description 44
- WEVYAHXRMPXWCK-UHFFFAOYSA-N Acetonitrile Chemical compound CC#N WEVYAHXRMPXWCK-UHFFFAOYSA-N 0.000 description 42
- 150000005347 biaryls Chemical class 0.000 description 40
- KDLHZDBZIXYQEI-UHFFFAOYSA-N Palladium Chemical compound [Pd] KDLHZDBZIXYQEI-UHFFFAOYSA-N 0.000 description 35
- ZMANZCXQSJIPKH-UHFFFAOYSA-N Triethylamine Chemical compound CCN(CC)CC ZMANZCXQSJIPKH-UHFFFAOYSA-N 0.000 description 35
- FJDQFPXHSGXQBY-UHFFFAOYSA-L caesium carbonate Chemical compound [Cs+].[Cs+].[O-]C([O-])=O FJDQFPXHSGXQBY-UHFFFAOYSA-L 0.000 description 35
- DWOZNANUEDYIOF-UHFFFAOYSA-L 4-ditert-butylphosphanyl-n,n-dimethylaniline;dichloropalladium Chemical compound Cl[Pd]Cl.CN(C)C1=CC=C(P(C(C)(C)C)C(C)(C)C)C=C1.CN(C)C1=CC=C(P(C(C)(C)C)C(C)(C)C)C=C1 DWOZNANUEDYIOF-UHFFFAOYSA-L 0.000 description 34
- 229910000024 caesium carbonate Inorganic materials 0.000 description 34
- ROEQGIFOWRQYHD-UHFFFAOYSA-N (2-methoxyphenyl)boronic acid Chemical compound COC1=CC=CC=C1B(O)O ROEQGIFOWRQYHD-UHFFFAOYSA-N 0.000 description 33
- BWHMMNNQKKPAPP-UHFFFAOYSA-L potassium carbonate Chemical compound [K+].[K+].[O-]C([O-])=O BWHMMNNQKKPAPP-UHFFFAOYSA-L 0.000 description 32
- 125000001424 substituent group Chemical group 0.000 description 30
- VYPSYNLAJGMNEJ-UHFFFAOYSA-N Silicium dioxide Chemical compound O=[Si]=O VYPSYNLAJGMNEJ-UHFFFAOYSA-N 0.000 description 28
- UIIMBOGNXHQVGW-UHFFFAOYSA-M Sodium bicarbonate Chemical class [Na+].OC([O-])=O UIIMBOGNXHQVGW-UHFFFAOYSA-M 0.000 description 28
- 125000000229 (C1-C4)alkoxy group Chemical group 0.000 description 27
- YMWUJEATGCHHMB-UHFFFAOYSA-N Dichloromethane Chemical compound ClCCl YMWUJEATGCHHMB-UHFFFAOYSA-N 0.000 description 27
- 239000003921 oil Substances 0.000 description 26
- 235000019198 oils Nutrition 0.000 description 26
- ADJBXDCXYMCCAD-UHFFFAOYSA-N (4-fluoro-2-methoxyphenyl)boronic acid Chemical compound COC1=CC(F)=CC=C1B(O)O ADJBXDCXYMCCAD-UHFFFAOYSA-N 0.000 description 25
- IAZDPXIOMUYVGZ-UHFFFAOYSA-N Dimethylsulphoxide Chemical compound CS(C)=O IAZDPXIOMUYVGZ-UHFFFAOYSA-N 0.000 description 24
- HEMHJVSKTPXQMS-UHFFFAOYSA-M Sodium hydroxide Chemical compound [OH-].[Na+] HEMHJVSKTPXQMS-UHFFFAOYSA-M 0.000 description 24
- SECXISVLQFMRJM-UHFFFAOYSA-N N-Methylpyrrolidone Chemical compound CN1CCCC1=O SECXISVLQFMRJM-UHFFFAOYSA-N 0.000 description 23
- LRHPLDYGYMQRHN-UHFFFAOYSA-N N-Butanol Chemical compound CCCCO LRHPLDYGYMQRHN-UHFFFAOYSA-N 0.000 description 21
- 229910052705 radium Inorganic materials 0.000 description 21
- 229910052701 rubidium Inorganic materials 0.000 description 21
- RYHBNJHYFVUHQT-UHFFFAOYSA-N 1,4-Dioxane Chemical compound C1COCCO1 RYHBNJHYFVUHQT-UHFFFAOYSA-N 0.000 description 19
- 125000005196 alkyl carbonyloxy group Chemical group 0.000 description 19
- 125000000623 heterocyclic group Chemical group 0.000 description 19
- JGFZNNIVVJXRND-UHFFFAOYSA-N N,N-Diisopropylethylamine (DIPEA) Chemical compound CCN(C(C)C)C(C)C JGFZNNIVVJXRND-UHFFFAOYSA-N 0.000 description 18
- 229920006395 saturated elastomer Polymers 0.000 description 18
- 229910052763 palladium Inorganic materials 0.000 description 17
- JRNVZBWKYDBUCA-UHFFFAOYSA-N N-chlorosuccinimide Chemical compound ClN1C(=O)CCC1=O JRNVZBWKYDBUCA-UHFFFAOYSA-N 0.000 description 16
- 229910000027 potassium carbonate Inorganic materials 0.000 description 16
- ZBZNLBIHQORSMH-UHFFFAOYSA-N (4-methoxypyridin-3-yl)boronic acid;hydrate Chemical compound O.COC1=CC=NC=C1B(O)O ZBZNLBIHQORSMH-UHFFFAOYSA-N 0.000 description 15
- VEXZGXHMUGYJMC-UHFFFAOYSA-N Hydrochloric acid Chemical compound Cl VEXZGXHMUGYJMC-UHFFFAOYSA-N 0.000 description 15
- WMFOQBRAJBCJND-UHFFFAOYSA-M Lithium hydroxide Chemical compound [Li+].[OH-] WMFOQBRAJBCJND-UHFFFAOYSA-M 0.000 description 15
- KWYUFKZDYYNOTN-UHFFFAOYSA-M Potassium hydroxide Chemical compound [OH-].[K+] KWYUFKZDYYNOTN-UHFFFAOYSA-M 0.000 description 15
- YXFVVABEGXRONW-UHFFFAOYSA-N Toluene Chemical compound CC1=CC=CC=C1 YXFVVABEGXRONW-UHFFFAOYSA-N 0.000 description 15
- 239000002585 base Substances 0.000 description 15
- 238000001816 cooling Methods 0.000 description 15
- NVOLYUXUHWBCRJ-UHFFFAOYSA-N (2-methoxypyridin-3-yl)boronic acid Chemical compound COC1=NC=CC=C1B(O)O NVOLYUXUHWBCRJ-UHFFFAOYSA-N 0.000 description 14
- RIOQSEWOXXDEQQ-UHFFFAOYSA-N triphenylphosphine Chemical compound C1=CC=CC=C1P(C=1C=CC=CC=1)C1=CC=CC=C1 RIOQSEWOXXDEQQ-UHFFFAOYSA-N 0.000 description 14
- 125000003320 C2-C6 alkenyloxy group Chemical group 0.000 description 13
- 241000893966 Trichophyton verrucosum Species 0.000 description 13
- 239000012298 atmosphere Substances 0.000 description 13
- XKRFYHLGVUSROY-UHFFFAOYSA-N Argon Chemical compound [Ar] XKRFYHLGVUSROY-UHFFFAOYSA-N 0.000 description 12
- KFZMGEQAYNKOFK-UHFFFAOYSA-N Isopropanol Chemical compound CC(C)O KFZMGEQAYNKOFK-UHFFFAOYSA-N 0.000 description 12
- CDBYLPFSWZWCQE-UHFFFAOYSA-L Sodium Carbonate Chemical compound [Na+].[Na+].[O-]C([O-])=O CDBYLPFSWZWCQE-UHFFFAOYSA-L 0.000 description 12
- WQDUMFSSJAZKTM-UHFFFAOYSA-N Sodium methoxide Chemical compound [Na+].[O-]C WQDUMFSSJAZKTM-UHFFFAOYSA-N 0.000 description 12
- 239000007864 aqueous solution Substances 0.000 description 12
- 239000000741 silica gel Substances 0.000 description 12
- 229910002027 silica gel Inorganic materials 0.000 description 12
- FVAUCKIRQBBSSJ-UHFFFAOYSA-M sodium iodide Chemical compound [Na+].[I-] FVAUCKIRQBBSSJ-UHFFFAOYSA-M 0.000 description 12
- KEAYESYHFKHZAL-UHFFFAOYSA-N Sodium Chemical compound [Na] KEAYESYHFKHZAL-UHFFFAOYSA-N 0.000 description 11
- 239000000654 additive Substances 0.000 description 11
- 125000004432 carbon atom Chemical group C* 0.000 description 11
- 210000000282 nail Anatomy 0.000 description 11
- 235000017557 sodium bicarbonate Nutrition 0.000 description 11
- 229910000030 sodium bicarbonate Inorganic materials 0.000 description 11
- 239000012312 sodium hydride Substances 0.000 description 11
- 229910000104 sodium hydride Inorganic materials 0.000 description 11
- LWIHDJKSTIGBAC-UHFFFAOYSA-K tripotassium phosphate Chemical compound [K+].[K+].[K+].[O-]P([O-])([O-])=O LWIHDJKSTIGBAC-UHFFFAOYSA-K 0.000 description 11
- 125000006570 (C5-C6) heteroaryl group Chemical group 0.000 description 10
- NLXLAEXVIDQMFP-UHFFFAOYSA-N Ammonia chloride Chemical compound [NH4+].[Cl-] NLXLAEXVIDQMFP-UHFFFAOYSA-N 0.000 description 10
- UFHFLCQGNIYNRP-UHFFFAOYSA-N Hydrogen Chemical compound [H][H] UFHFLCQGNIYNRP-UHFFFAOYSA-N 0.000 description 10
- CSNNHWWHGAXBCP-UHFFFAOYSA-L Magnesium sulfate Chemical compound [Mg+2].[O-][S+2]([O-])([O-])[O-] CSNNHWWHGAXBCP-UHFFFAOYSA-L 0.000 description 10
- FXHOOIRPVKKKFG-UHFFFAOYSA-N N,N-Dimethylacetamide Chemical compound CN(C)C(C)=O FXHOOIRPVKKKFG-UHFFFAOYSA-N 0.000 description 10
- 229910003827 NRaRb Inorganic materials 0.000 description 10
- 208000002474 Tinea Diseases 0.000 description 10
- 230000000996 additive effect Effects 0.000 description 10
- 239000003054 catalyst Substances 0.000 description 10
- 229910052739 hydrogen Inorganic materials 0.000 description 10
- 239000001257 hydrogen Substances 0.000 description 10
- 125000003373 pyrazinyl group Chemical group 0.000 description 10
- MSXVEPNJUHWQHW-UHFFFAOYSA-N 2-methylbutan-2-ol Chemical compound CCC(C)(C)O MSXVEPNJUHWQHW-UHFFFAOYSA-N 0.000 description 9
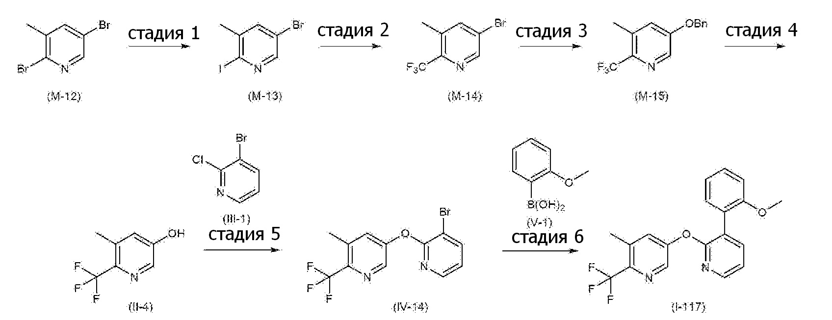
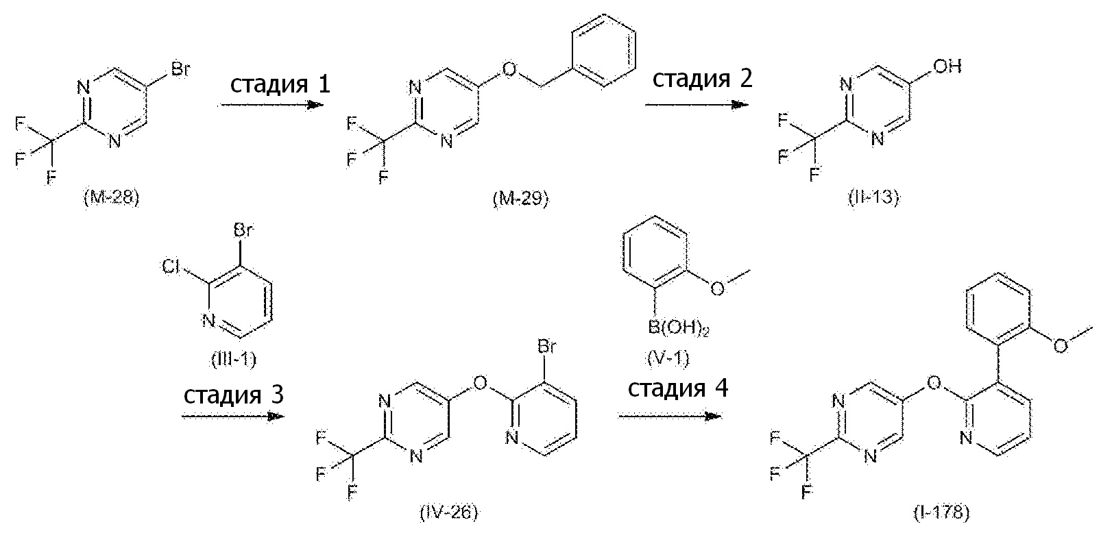
- VQMMVHXURLPJAW-UHFFFAOYSA-N 5-[3-(4-fluoro-2-methoxyphenyl)pyridin-2-yl]oxy-2-iodopyrimidine Chemical compound FC1=CC(=C(C=C1)C=1C(=NC=CC=1)OC=1C=NC(=NC=1)I)OC VQMMVHXURLPJAW-UHFFFAOYSA-N 0.000 description 9
- CSCPPACGZOOCGX-UHFFFAOYSA-N Acetone Chemical compound CC(C)=O CSCPPACGZOOCGX-UHFFFAOYSA-N 0.000 description 9
- WVDDGKGOMKODPV-UHFFFAOYSA-N Benzyl alcohol Chemical compound OCC1=CC=CC=C1 WVDDGKGOMKODPV-UHFFFAOYSA-N 0.000 description 9
- YLQBMQCUIZJEEH-UHFFFAOYSA-N Furan Chemical compound C=1C=COC=1 YLQBMQCUIZJEEH-UHFFFAOYSA-N 0.000 description 9
- HEDRZPFGACZZDS-MICDWDOJSA-N Trichloro(2H)methane Chemical class [2H]C(Cl)(Cl)Cl HEDRZPFGACZZDS-MICDWDOJSA-N 0.000 description 9
- NLKNQRATVPKPDG-UHFFFAOYSA-M potassium iodide Chemical compound [K+].[I-] NLKNQRATVPKPDG-UHFFFAOYSA-M 0.000 description 9
- 230000035484 reaction time Effects 0.000 description 9
- CCQKIRUMTHHPSX-UHFFFAOYSA-N (5-fluoro-2-methoxyphenyl)boronic acid Chemical compound COC1=CC=C(F)C=C1B(O)O CCQKIRUMTHHPSX-UHFFFAOYSA-N 0.000 description 8
- UJEGBESUCWOWNQ-UHFFFAOYSA-N 5-bromoquinoxaline Chemical compound C1=CN=C2C(Br)=CC=CC2=N1 UJEGBESUCWOWNQ-UHFFFAOYSA-N 0.000 description 8
- LQZMLBORDGWNPD-UHFFFAOYSA-N N-iodosuccinimide Substances IN1C(=O)CCC1=O LQZMLBORDGWNPD-UHFFFAOYSA-N 0.000 description 8
- 239000007810 chemical reaction solvent Substances 0.000 description 8
- KWGKDLIKAYFUFQ-UHFFFAOYSA-M lithium chloride Chemical compound [Li+].[Cl-] KWGKDLIKAYFUFQ-UHFFFAOYSA-M 0.000 description 8
- NFHFRUOZVGFOOS-UHFFFAOYSA-N palladium;triphenylphosphane Chemical compound [Pd].C1=CC=CC=C1P(C=1C=CC=CC=1)C1=CC=CC=C1.C1=CC=CC=C1P(C=1C=CC=CC=1)C1=CC=CC=C1.C1=CC=CC=C1P(C=1C=CC=CC=1)C1=CC=CC=C1.C1=CC=CC=C1P(C=1C=CC=CC=1)C1=CC=CC=C1 NFHFRUOZVGFOOS-UHFFFAOYSA-N 0.000 description 8
- 125000006163 5-membered heteroaryl group Chemical group 0.000 description 7
- 125000004448 alkyl carbonyl group Chemical group 0.000 description 7
- 125000004429 atom Chemical group 0.000 description 7
- 238000001914 filtration Methods 0.000 description 7
- 230000002401 inhibitory effect Effects 0.000 description 7
- LPDXDGZARPKGCF-UHFFFAOYSA-N (2,4-difluoro-5-methoxyphenyl)boronic acid Chemical compound COC1=CC(B(O)O)=C(F)C=C1F LPDXDGZARPKGCF-UHFFFAOYSA-N 0.000 description 6
- ASPZNHZSIQDSTM-UHFFFAOYSA-N (5-fluoro-2-methoxypyridin-3-yl)boronic acid Chemical compound COC1=NC=C(F)C=C1B(O)O ASPZNHZSIQDSTM-UHFFFAOYSA-N 0.000 description 6
- JSHVRRPJCCSNFB-UHFFFAOYSA-N 2-[2-[6-(trifluoromethyl)pyridin-3-yl]oxypyridin-3-yl]phenol Chemical compound FC(C1=CC=C(C=N1)OC1=NC=CC=C1C1=C(C=CC=C1)O)(F)F JSHVRRPJCCSNFB-UHFFFAOYSA-N 0.000 description 6
- VFOBDHYPESAMAF-UHFFFAOYSA-N 6-(trifluoromethyl)pyridin-3-ol Chemical compound OC1=CC=C(C(F)(F)F)N=C1 VFOBDHYPESAMAF-UHFFFAOYSA-N 0.000 description 6
- QTBSBXVTEAMEQO-UHFFFAOYSA-N Acetic acid Chemical compound CC(O)=O QTBSBXVTEAMEQO-UHFFFAOYSA-N 0.000 description 6
- WFDIJRYMOXRFFG-UHFFFAOYSA-N Acetic anhydride Chemical compound CC(=O)OC(C)=O WFDIJRYMOXRFFG-UHFFFAOYSA-N 0.000 description 6
- RTZKZFJDLAIYFH-UHFFFAOYSA-N Diethyl ether Chemical compound CCOCC RTZKZFJDLAIYFH-UHFFFAOYSA-N 0.000 description 6
- ROSDSFDQCJNGOL-UHFFFAOYSA-N Dimethylamine Chemical compound CNC ROSDSFDQCJNGOL-UHFFFAOYSA-N 0.000 description 6
- PCLIMKBDDGJMGD-UHFFFAOYSA-N N-bromosuccinimide Chemical compound BrN1C(=O)CCC1=O PCLIMKBDDGJMGD-UHFFFAOYSA-N 0.000 description 6
- JUJWROOIHBZHMG-UHFFFAOYSA-N Pyridine Chemical compound C1=CC=NC=C1 JUJWROOIHBZHMG-UHFFFAOYSA-N 0.000 description 6
- 229910052786 argon Inorganic materials 0.000 description 6
- 125000000723 dihydrobenzofuranyl group Chemical group O1C(CC2=C1C=CC=C2)* 0.000 description 6
- 125000001495 ethyl group Chemical group [H]C([H])([H])C([H])([H])* 0.000 description 6
- 125000001786 isothiazolyl group Chemical group 0.000 description 6
- ZCSHNCUQKCANBX-UHFFFAOYSA-N lithium diisopropylamide Chemical compound [Li+].CC(C)[N-]C(C)C ZCSHNCUQKCANBX-UHFFFAOYSA-N 0.000 description 6
- 125000004593 naphthyridinyl group Chemical group N1=C(C=CC2=CC=CN=C12)* 0.000 description 6
- NROKBHXJSPEDAR-UHFFFAOYSA-M potassium fluoride Chemical compound [F-].[K+] NROKBHXJSPEDAR-UHFFFAOYSA-M 0.000 description 6
- 125000001567 quinoxalinyl group Chemical group N1=C(C=NC2=CC=CC=C12)* 0.000 description 6
- 229910000029 sodium carbonate Inorganic materials 0.000 description 6
- LPXPTNMVRIOKMN-UHFFFAOYSA-M sodium nitrite Chemical compound [Na+].[O-]N=O LPXPTNMVRIOKMN-UHFFFAOYSA-M 0.000 description 6
- GEHJYWRUCIMESM-UHFFFAOYSA-L sodium sulfite Chemical compound [Na+].[Na+].[O-]S([O-])=O GEHJYWRUCIMESM-UHFFFAOYSA-L 0.000 description 6
- WJKHJLXJJJATHN-UHFFFAOYSA-N triflic anhydride Chemical compound FC(F)(F)S(=O)(=O)OS(=O)(=O)C(F)(F)F WJKHJLXJJJATHN-UHFFFAOYSA-N 0.000 description 6
- 125000000391 vinyl group Chemical group [H]C([*])=C([H])[H] 0.000 description 6
- ASXFMIDIRZPCGK-UHFFFAOYSA-N (4-methylpyridin-3-yl)boronic acid Chemical compound CC1=CC=NC=C1B(O)O ASXFMIDIRZPCGK-UHFFFAOYSA-N 0.000 description 5
- 125000006771 (C1-C6) haloalkylthio group Chemical group 0.000 description 5
- KZPYGQFFRCFCPP-UHFFFAOYSA-N 1,1'-bis(diphenylphosphino)ferrocene Chemical compound [Fe+2].C1=CC=C[C-]1P(C=1C=CC=CC=1)C1=CC=CC=C1.C1=CC=C[C-]1P(C=1C=CC=CC=1)C1=CC=CC=C1 KZPYGQFFRCFCPP-UHFFFAOYSA-N 0.000 description 5
- BXPFXSQVJYNZJF-UHFFFAOYSA-N 2,2-difluoro-2-[5-[3-(2-methoxyphenyl)pyridin-2-yl]oxypyridin-2-yl]-N-methylethanamine Chemical compound FC(CNC)(C1=NC=C(C=C1)OC1=NC=CC=C1C1=C(C=CC=C1)OC)F BXPFXSQVJYNZJF-UHFFFAOYSA-N 0.000 description 5
- IBMRBYFGPBESAC-UHFFFAOYSA-N 3-[3-(2-methoxyphenyl)pyridin-2-yl]oxy-5,6,7,8-tetrahydroquinolin-8-ol Chemical compound COC1=C(C=CC=C1)C=1C(=NC=CC=1)OC=1C=NC=2C(CCCC=2C=1)O IBMRBYFGPBESAC-UHFFFAOYSA-N 0.000 description 5
- VHYFNPMBLIVWCW-UHFFFAOYSA-N 4-Dimethylaminopyridine Chemical compound CN(C)C1=CC=NC=C1 VHYFNPMBLIVWCW-UHFFFAOYSA-N 0.000 description 5
- IUDWCXZSTPALBX-UHFFFAOYSA-N 5-[3-(2-methoxyphenyl)pyridin-2-yl]oxy-1H-pyridin-2-one Chemical compound COC1=C(C=CC=C1)C=1C(=NC=CC=1)OC=1C=CC(=NC=1)O IUDWCXZSTPALBX-UHFFFAOYSA-N 0.000 description 5
- XVUCNKOQDLZUQY-UHFFFAOYSA-N 7-bromopyrazolo[1,5-a]pyridine Chemical compound BrC1=CC=CC2=CC=NN12 XVUCNKOQDLZUQY-UHFFFAOYSA-N 0.000 description 5
- NJSNGZBHGZIZKE-UHFFFAOYSA-N 8,8-difluoro-3-[3-(2-methoxyphenyl)pyridin-2-yl]oxy-6,7-dihydro-5H-quinoline Chemical compound FC1(CCCC=2C=C(C=NC1=2)OC1=NC=CC=C1C1=C(C=CC=C1)OC)F NJSNGZBHGZIZKE-UHFFFAOYSA-N 0.000 description 5
- WKBOTKDWSSQWDR-UHFFFAOYSA-N Bromine atom Chemical group [Br] WKBOTKDWSSQWDR-UHFFFAOYSA-N 0.000 description 5
- SIKJAQJRHWYJAI-UHFFFAOYSA-N Indole Chemical compound C1=CC=C2NC=CC2=C1 SIKJAQJRHWYJAI-UHFFFAOYSA-N 0.000 description 5
- DGEZNRSVGBDHLK-UHFFFAOYSA-N [1,10]phenanthroline Chemical compound C1=CN=C2C3=NC=CC=C3C=CC2=C1 DGEZNRSVGBDHLK-UHFFFAOYSA-N 0.000 description 5
- GSQZPESYMSSLIC-UHFFFAOYSA-N [5-[3-(2-methoxyphenyl)pyridin-2-yl]oxypyridin-2-yl]methanol Chemical compound COC1=C(C=CC=C1)C=1C(=NC=CC=1)OC=1C=CC(=NC=1)CO GSQZPESYMSSLIC-UHFFFAOYSA-N 0.000 description 5
- FYJKEHKQUPSJDH-UHFFFAOYSA-N [dimethyl-(trimethylsilylamino)silyl]methane;potassium Chemical compound [K].C[Si](C)(C)N[Si](C)(C)C FYJKEHKQUPSJDH-UHFFFAOYSA-N 0.000 description 5
- 239000003153 chemical reaction reagent Substances 0.000 description 5
- 229910052801 chlorine Inorganic materials 0.000 description 5
- 125000001309 chloro group Chemical group Cl* 0.000 description 5
- GBRBMTNGQBKBQE-UHFFFAOYSA-L copper;diiodide Chemical compound I[Cu]I GBRBMTNGQBKBQE-UHFFFAOYSA-L 0.000 description 5
- CSJLBAMHHLJAAS-UHFFFAOYSA-N diethylaminosulfur trifluoride Chemical compound CCN(CC)S(F)(F)F CSJLBAMHHLJAAS-UHFFFAOYSA-N 0.000 description 5
- 238000002330 electrospray ionisation mass spectrometry Methods 0.000 description 5
- INQOMBQAUSQDDS-UHFFFAOYSA-N iodomethane Chemical compound IC INQOMBQAUSQDDS-UHFFFAOYSA-N 0.000 description 5
- XGZVUEUWXADBQD-UHFFFAOYSA-L lithium carbonate Chemical compound [Li+].[Li+].[O-]C([O-])=O XGZVUEUWXADBQD-UHFFFAOYSA-L 0.000 description 5
- 229910052808 lithium carbonate Inorganic materials 0.000 description 5
- KTMKRRPZPWUYKK-UHFFFAOYSA-N methylboronic acid Chemical compound CB(O)O KTMKRRPZPWUYKK-UHFFFAOYSA-N 0.000 description 5
- 239000012046 mixed solvent Substances 0.000 description 5
- 125000002950 monocyclic group Chemical group 0.000 description 5
- LPNYRYFBWFDTMA-UHFFFAOYSA-N potassium tert-butoxide Chemical compound [K+].CC(C)(C)[O-] LPNYRYFBWFDTMA-UHFFFAOYSA-N 0.000 description 5
- 238000010992 reflux Methods 0.000 description 5
- JRMUNVKIHCOMHV-UHFFFAOYSA-M tetrabutylammonium bromide Chemical compound [Br-].CCCC[N+](CCCC)(CCCC)CCCC JRMUNVKIHCOMHV-UHFFFAOYSA-M 0.000 description 5
- DPKBAXPHAYBPRL-UHFFFAOYSA-M tetrabutylazanium;iodide Chemical compound [I-].CCCC[N+](CCCC)(CCCC)CCCC DPKBAXPHAYBPRL-UHFFFAOYSA-M 0.000 description 5
- 229910000404 tripotassium phosphate Inorganic materials 0.000 description 5
- 235000019798 tripotassium phosphate Nutrition 0.000 description 5
- NLLGFYPSWCMUIV-UHFFFAOYSA-N (3-methoxyphenyl)boronic acid Chemical compound COC1=CC=CC(B(O)O)=C1 NLLGFYPSWCMUIV-UHFFFAOYSA-N 0.000 description 4
- CJMUIIBZOBKEGZ-UHFFFAOYSA-N (3-methoxypyridin-4-yl)boronic acid Chemical compound COC1=CN=CC=C1B(O)O CJMUIIBZOBKEGZ-UHFFFAOYSA-N 0.000 description 4
- BZJQXIUWWLFBJS-UHFFFAOYSA-N (5-chloro-2-methoxypyridin-3-yl)boronic acid Chemical compound COC1=NC=C(Cl)C=C1B(O)O BZJQXIUWWLFBJS-UHFFFAOYSA-N 0.000 description 4
- FCEHBMOGCRZNNI-UHFFFAOYSA-N 1-benzothiophene Chemical compound C1=CC=C2SC=CC2=C1 FCEHBMOGCRZNNI-UHFFFAOYSA-N 0.000 description 4
- 238000005160 1H NMR spectroscopy Methods 0.000 description 4
- PYGRIXVEOXAICR-UHFFFAOYSA-N 2,2-difluoro-2-[5-[3-(2-methoxyphenyl)pyridin-2-yl]oxypyridin-2-yl]ethanol Chemical compound FC(CO)(C1=NC=C(C=C1)OC1=NC=CC=C1C1=C(C=CC=C1)OC)F PYGRIXVEOXAICR-UHFFFAOYSA-N 0.000 description 4
- FUYOGJAAQPOQAJ-UHFFFAOYSA-N 2-[2-[6-(trifluoromethyl)pyridin-3-yl]oxypyridin-3-yl]aniline Chemical compound FC(C1=CC=C(C=N1)OC1=NC=CC=C1C1=C(N)C=CC=C1)(F)F FUYOGJAAQPOQAJ-UHFFFAOYSA-N 0.000 description 4
- QLKLKOKXMPSATH-UHFFFAOYSA-N 2-[5-[3-(2,4-difluoro-5-methoxyphenyl)pyridin-2-yl]oxypyridin-2-yl]-2,2-difluoroethanol Chemical compound FC1=C(C=C(C(=C1)F)OC)C=1C(=NC=CC=1)OC=1C=CC(=NC=1)C(CO)(F)F QLKLKOKXMPSATH-UHFFFAOYSA-N 0.000 description 4
- AYLVTNQTXLGEQT-UHFFFAOYSA-N 3-(2-bromophenyl)-2-[6-(trifluoromethyl)pyridin-3-yl]oxypyridine Chemical compound BrC1=C(C=CC=C1)C=1C(=NC=CC=1)OC=1C=NC(=CC=1)C(F)(F)F AYLVTNQTXLGEQT-UHFFFAOYSA-N 0.000 description 4
- XIXYADNIFNIEKF-UHFFFAOYSA-N 3-(2-methoxyphenyl)-2-(6-methylpyridin-3-yl)oxypyridine Chemical compound COC1=C(C=CC=C1)C=1C(=NC=CC=1)OC=1C=NC(=CC=1)C XIXYADNIFNIEKF-UHFFFAOYSA-N 0.000 description 4
- BBVMBHPIXKFENP-UHFFFAOYSA-N 3-(2-methoxyphenyl)-2-(6-phenylmethoxypyridin-3-yl)oxypyridine Chemical compound C(C1=CC=CC=C1)OC1=CC=C(C=N1)OC1=NC=CC=C1C1=C(C=CC=C1)OC BBVMBHPIXKFENP-UHFFFAOYSA-N 0.000 description 4
- GIPFJNHFVGXUGS-UHFFFAOYSA-N 3-(4-methoxypyridin-3-yl)-5-nitro-2-[4-(trifluoromethyl)phenoxy]pyridine Chemical compound COC1=C(C=NC=C1)C=1C(=NC=C(C=1)[N+](=O)[O-])OC1=CC=C(C=C1)C(F)(F)F GIPFJNHFVGXUGS-UHFFFAOYSA-N 0.000 description 4
- RMCFYEZFBOOMSQ-UHFFFAOYSA-N 3-[2-[6-(trifluoromethyl)pyridin-3-yl]oxypyridin-3-yl]-2H-pyrazolo[3,4-b]pyridine Chemical compound FC(C1=CC=C(C=N1)OC1=NC=CC=C1C1=NNC2=NC=CC=C21)(F)F RMCFYEZFBOOMSQ-UHFFFAOYSA-N 0.000 description 4
- DEPAKDGBKFDMDN-UHFFFAOYSA-N 3-[3-(2-methoxyphenyl)pyridin-2-yl]oxy-6,7-dihydro-5H-quinolin-8-one Chemical compound COC1=C(C=CC=C1)C=1C(=NC=CC=1)OC=1C=NC=2C(CCCC=2C=1)=O DEPAKDGBKFDMDN-UHFFFAOYSA-N 0.000 description 4
- BAYGVMXZJBFEMB-UHFFFAOYSA-N 4-(trifluoromethyl)phenol Chemical compound OC1=CC=C(C(F)(F)F)C=C1 BAYGVMXZJBFEMB-UHFFFAOYSA-N 0.000 description 4
- WFROKVZRMWMROG-UHFFFAOYSA-N 4-chloro-3-[2-[6-(1,1-difluoroethyl)pyridin-3-yl]oxypyridin-3-yl]-5-fluoropyridine Chemical compound ClC1=C(C=NC=C1F)C=1C(=NC=CC=1)OC=1C=NC(=CC=1)C(C)(F)F WFROKVZRMWMROG-UHFFFAOYSA-N 0.000 description 4
- RMVDYKKRIYFKAM-UHFFFAOYSA-N 5-(4-methoxypyridin-3-yl)-6-[4-(trifluoromethyl)phenoxy]pyridin-3-amine Chemical compound COC1=C(C=NC=C1)C=1C(=NC=C(C=1)N)OC1=CC=C(C=C1)C(F)(F)F RMVDYKKRIYFKAM-UHFFFAOYSA-N 0.000 description 4
- WQUQTNITTLYWPW-UHFFFAOYSA-N 5-[3-(2-methoxyphenyl)pyridin-2-yl]oxypyridine-2-carbaldehyde Chemical compound COC1=C(C=CC=C1)C=1C(=NC=CC=1)OC=1C=CC(=NC=1)C=O WQUQTNITTLYWPW-UHFFFAOYSA-N 0.000 description 4
- WZQAYCUVJKHWIJ-UHFFFAOYSA-N 5-[3-(4-fluoro-2-methoxyphenyl)pyridin-2-yl]oxypyrimidin-2-amine Chemical compound FC1=CC(=C(C=C1)C=1C(=NC=CC=1)OC=1C=NC(=NC=1)N)OC WZQAYCUVJKHWIJ-UHFFFAOYSA-N 0.000 description 4
- FTRKHVUBTUHSQK-UHFFFAOYSA-N 5-bromo-[1,2,4]triazolo[1,5-a]pyridine Chemical compound BrC1=CC=CC2=NC=NN12 FTRKHVUBTUHSQK-UHFFFAOYSA-N 0.000 description 4
- ZCYVEMRRCGMTRW-UHFFFAOYSA-N 7553-56-2 Chemical group [I] ZCYVEMRRCGMTRW-UHFFFAOYSA-N 0.000 description 4
- ZTYZXYBIDNDPQF-UHFFFAOYSA-N 8-bromopyrido[3,4-b]pyrazine Chemical compound C1=CN=C2C(Br)=CN=CC2=N1 ZTYZXYBIDNDPQF-UHFFFAOYSA-N 0.000 description 4
- 101100132433 Arabidopsis thaliana VIII-1 gene Proteins 0.000 description 4
- CZZFLXWSEWFKSM-UHFFFAOYSA-N COC1=C(C=CC=C1)C=1C(=NC=CC=1)OC=1C=NC(=CC=1)C(F)(F)F Chemical compound COC1=C(C=CC=C1)C=1C(=NC=CC=1)OC=1C=NC(=CC=1)C(F)(F)F CZZFLXWSEWFKSM-UHFFFAOYSA-N 0.000 description 4
- QLPRFYPHJTVAPT-UHFFFAOYSA-N COC1=C(C=CC=C1)C=1C(=NC=CC=1)OC=1C=NC=2CCCCC=2C=1 Chemical compound COC1=C(C=CC=C1)C=1C(=NC=CC=1)OC=1C=NC=2CCCCC=2C=1 QLPRFYPHJTVAPT-UHFFFAOYSA-N 0.000 description 4
- 229910021595 Copper(I) iodide Inorganic materials 0.000 description 4
- XTHFKEDIFFGKHM-UHFFFAOYSA-N Dimethoxyethane Chemical compound COCCOC XTHFKEDIFFGKHM-UHFFFAOYSA-N 0.000 description 4
- 241000233866 Fungi Species 0.000 description 4
- SMWDFEZZVXVKRB-UHFFFAOYSA-N Quinoline Chemical compound N1=CC=CC2=CC=CC=C21 SMWDFEZZVXVKRB-UHFFFAOYSA-N 0.000 description 4
- HMDVJDPJNZIGEO-UHFFFAOYSA-N [2-[2-[6-(trifluoromethyl)pyridin-3-yl]oxypyridin-3-yl]phenyl]methanol Chemical compound FC(C1=CC=C(C=N1)OC1=NC=CC=C1C1=C(C=CC=C1)CO)(F)F HMDVJDPJNZIGEO-UHFFFAOYSA-N 0.000 description 4
- 125000003342 alkenyl group Chemical group 0.000 description 4
- 235000019270 ammonium chloride Nutrition 0.000 description 4
- IOJUPLGTWVMSFF-UHFFFAOYSA-N benzothiazole Chemical compound C1=CC=C2SC=NC2=C1 IOJUPLGTWVMSFF-UHFFFAOYSA-N 0.000 description 4
- 229910052799 carbon Inorganic materials 0.000 description 4
- LSXDOTMGLUJQCM-UHFFFAOYSA-M copper(i) iodide Chemical compound I[Cu] LSXDOTMGLUJQCM-UHFFFAOYSA-M 0.000 description 4
- 239000002552 dosage form Substances 0.000 description 4
- 239000000706 filtrate Substances 0.000 description 4
- 229910052731 fluorine Inorganic materials 0.000 description 4
- 125000001153 fluoro group Chemical group F* 0.000 description 4
- 125000002541 furyl group Chemical group 0.000 description 4
- LEQAOMBKQFMDFZ-UHFFFAOYSA-N glyoxal Chemical compound O=CC=O LEQAOMBKQFMDFZ-UHFFFAOYSA-N 0.000 description 4
- 125000004438 haloalkoxy group Chemical group 0.000 description 4
- 239000011261 inert gas Substances 0.000 description 4
- 208000015181 infectious disease Diseases 0.000 description 4
- 229910052740 iodine Inorganic materials 0.000 description 4
- AWJUIBRHMBBTKR-UHFFFAOYSA-N isoquinoline Chemical compound C1=NC=CC2=CC=CC=C21 AWJUIBRHMBBTKR-UHFFFAOYSA-N 0.000 description 4
- LVKCSZQWLOVUGB-UHFFFAOYSA-M magnesium;propane;bromide Chemical compound [Mg+2].[Br-].C[CH-]C LVKCSZQWLOVUGB-UHFFFAOYSA-M 0.000 description 4
- 125000000956 methoxy group Chemical group [H]C([H])([H])O* 0.000 description 4
- SKTCDJAMAYNROS-UHFFFAOYSA-N methoxycyclopentane Chemical compound COC1CCCC1 SKTCDJAMAYNROS-UHFFFAOYSA-N 0.000 description 4
- 244000052769 pathogen Species 0.000 description 4
- 230000001717 pathogenic effect Effects 0.000 description 4
- IOLCXVTUBQKXJR-UHFFFAOYSA-M potassium bromide Chemical compound [K+].[Br-] IOLCXVTUBQKXJR-UHFFFAOYSA-M 0.000 description 4
- 239000000843 powder Substances 0.000 description 4
- 125000002098 pyridazinyl group Chemical group 0.000 description 4
- 125000000168 pyrrolyl group Chemical group 0.000 description 4
- KXJJSKYICDAICD-UHFFFAOYSA-N quinolin-8-ylboronic acid Chemical compound C1=CN=C2C(B(O)O)=CC=CC2=C1 KXJJSKYICDAICD-UHFFFAOYSA-N 0.000 description 4
- JHJLBTNAGRQEKS-UHFFFAOYSA-M sodium bromide Chemical compound [Na+].[Br-] JHJLBTNAGRQEKS-UHFFFAOYSA-M 0.000 description 4
- 235000009518 sodium iodide Nutrition 0.000 description 4
- MFRIHAYPQRLWNB-UHFFFAOYSA-N sodium tert-butoxide Chemical compound [Na+].CC(C)(C)[O-] MFRIHAYPQRLWNB-UHFFFAOYSA-N 0.000 description 4
- 125000000999 tert-butyl group Chemical group [H]C([H])([H])C(*)(C([H])([H])[H])C([H])([H])[H] 0.000 description 4
- FPGGTKZVZWFYPV-UHFFFAOYSA-M tetrabutylammonium fluoride Chemical compound [F-].CCCC[N+](CCCC)(CCCC)CCCC FPGGTKZVZWFYPV-UHFFFAOYSA-M 0.000 description 4
- 125000001113 thiadiazolyl group Chemical group 0.000 description 4
- 125000001544 thienyl group Chemical group 0.000 description 4
- NHDIQVFFNDKAQU-UHFFFAOYSA-N tripropan-2-yl borate Chemical compound CC(C)OB(OC(C)C)OC(C)C NHDIQVFFNDKAQU-UHFFFAOYSA-N 0.000 description 4
- JIAARYAFYJHUJI-UHFFFAOYSA-L zinc dichloride Chemical compound [Cl-].[Cl-].[Zn+2] JIAARYAFYJHUJI-UHFFFAOYSA-L 0.000 description 4
- FMBVAOHFMSQDGT-UHFFFAOYSA-N (5-chloro-2-methoxyphenyl)boronic acid Chemical compound COC1=CC=C(Cl)C=C1B(O)O FMBVAOHFMSQDGT-UHFFFAOYSA-N 0.000 description 3
- GQWZKBTZAFEQJZ-UHFFFAOYSA-N (6-methoxypyridin-2-yl)boronic acid Chemical compound COC1=CC=CC(B(O)O)=N1 GQWZKBTZAFEQJZ-UHFFFAOYSA-N 0.000 description 3
- FZENGILVLUJGJX-NSCUHMNNSA-N (E)-acetaldehyde oxime Chemical compound C\C=N\O FZENGILVLUJGJX-NSCUHMNNSA-N 0.000 description 3
- SCZNXLWKYFICFV-UHFFFAOYSA-N 1,2,3,4,5,7,8,9-octahydropyrido[1,2-b]diazepine Chemical compound C1CCCNN2CCCC=C21 SCZNXLWKYFICFV-UHFFFAOYSA-N 0.000 description 3
- QXXMTDHLEQYPSN-UHFFFAOYSA-N 1-[2-[2-[6-(trifluoromethyl)pyridin-3-yl]oxypyridin-3-yl]phenyl]ethanone Chemical compound FC(C1=CC=C(C=N1)OC1=NC=CC=C1C1=C(C=CC=C1)C(C)=O)(F)F QXXMTDHLEQYPSN-UHFFFAOYSA-N 0.000 description 3
- YJCYUBSPYJALDA-UHFFFAOYSA-N 1-[2-[6-(1,1-difluoroethyl)pyridin-3-yl]oxypyridin-3-yl]isoquinoline Chemical compound FC(C)(F)C1=CC=C(C=N1)OC1=NC=CC=C1C1=NC=CC2=CC=CC=C12 YJCYUBSPYJALDA-UHFFFAOYSA-N 0.000 description 3
- ZZZHISHMFHMJGP-UHFFFAOYSA-N 1-[2-[6-(trifluoromethyl)pyridin-3-yl]oxypyridin-3-yl]pyrrolo[2,3-b]pyridine Chemical compound FC(C1=CC=C(C=N1)OC1=NC=CC=C1N1C=CC=2C1=NC=CC=2)(F)F ZZZHISHMFHMJGP-UHFFFAOYSA-N 0.000 description 3
- LOKSRQQWTISEDX-UHFFFAOYSA-N 2,2-difluoro-2-[5-[3-(2-methoxyphenyl)pyridin-2-yl]oxypyridin-2-yl]-N,N-dimethylethanamine Chemical compound FC(CN(C)C)(C1=NC=C(C=C1)OC1=NC=CC=C1C1=C(C=CC=C1)OC)F LOKSRQQWTISEDX-UHFFFAOYSA-N 0.000 description 3
- JDOYUFYZFXCQJP-UHFFFAOYSA-N 2,3-dihydro-1-benzofuran-7-ylboronic acid Chemical compound OB(O)C1=CC=CC2=C1OCC2 JDOYUFYZFXCQJP-UHFFFAOYSA-N 0.000 description 3
- ZRIQGZCUNMACNS-UHFFFAOYSA-N 2,4-dimethoxy-3-[2-[4-(trifluoromethyl)phenoxy]pyridin-3-yl]pyridine Chemical compound COC1=NC=CC(=C1C=1C(=NC=CC=1)OC1=CC=C(C=C1)C(F)(F)F)OC ZRIQGZCUNMACNS-UHFFFAOYSA-N 0.000 description 3
- ZKXZOQFAYORLRE-UHFFFAOYSA-N 2-(1,1-difluoro-2-imidazol-1-ylethyl)-5-[3-(4-fluoro-2-methoxyphenyl)pyridin-2-yl]oxypyridine Chemical compound FC(CN1C=NC=C1)(F)C1=CC=C(C=N1)OC1=NC=CC=C1C1=C(C=C(C=C1)F)OC ZKXZOQFAYORLRE-UHFFFAOYSA-N 0.000 description 3
- DAEJOPOBKTZBTK-UHFFFAOYSA-N 2-(1,1-difluoro-2-methoxyethyl)-5-[3-(2,4-difluoro-5-methoxyphenyl)pyridin-2-yl]oxypyridine Chemical compound FC(COC)(F)C1=CC=C(C=N1)OC1=NC=CC=C1C1=C(C=C(C(=C1)OC)F)F DAEJOPOBKTZBTK-UHFFFAOYSA-N 0.000 description 3
- HBGXJWZEZKMCAI-UHFFFAOYSA-N 2-(1,1-difluoro-2-pyrazol-1-ylethyl)-5-[3-(4-fluoro-2-methoxyphenyl)pyridin-2-yl]oxypyridine Chemical compound FC(CN1N=CC=C1)(F)C1=CC=C(C=N1)OC1=NC=CC=C1C1=C(C=C(C=C1)F)OC HBGXJWZEZKMCAI-UHFFFAOYSA-N 0.000 description 3
- YYOLMCPMHYNCTF-UHFFFAOYSA-N 2-(1,1-difluoroethyl)-5-[3-(2,4-difluoro-5-methoxyphenyl)pyridin-2-yl]oxypyridine Chemical compound FC1=C(C=C(C(=C1)F)OC)C=1C(=NC=CC=1)OC=1C=NC(=CC=1)C(C)(F)F YYOLMCPMHYNCTF-UHFFFAOYSA-N 0.000 description 3
- ANCSGALWXQCROI-UHFFFAOYSA-N 2-(1,1-difluoroethyl)-5-[3-(2-imidazol-1-ylpyridin-3-yl)pyridin-2-yl]oxypyridine Chemical compound FC(C)(F)C1=CC=C(C=N1)OC1=NC=CC=C1C=1C(=NC=CC=1)N1C=NC=C1 ANCSGALWXQCROI-UHFFFAOYSA-N 0.000 description 3
- OGOPWLZTJHWHJW-UHFFFAOYSA-N 2-(1,1-difluoroethyl)-5-[3-(2-pyrazol-1-ylpyridin-3-yl)pyridin-2-yl]oxypyridine Chemical compound FC(C)(F)C1=CC=C(C=N1)OC1=NC=CC=C1C=1C(=NC=CC=1)N1N=CC=C1 OGOPWLZTJHWHJW-UHFFFAOYSA-N 0.000 description 3
- OBLVYDHZWMRJHH-UHFFFAOYSA-N 2-(1,1-difluoroethyl)-5-[3-(2-pyrrolidin-1-ylpyridin-3-yl)pyridin-2-yl]oxypyridine Chemical compound CC(C1=CC=C(OC2=C(C=CC=N2)C2=CC=CN=C2N2CCCC2)C=N1)(F)F OBLVYDHZWMRJHH-UHFFFAOYSA-N 0.000 description 3
- YGVABMNNBYYSPJ-UHFFFAOYSA-N 2-(1,1-difluoroethyl)-5-[3-(3-fluoropyridin-4-yl)pyridin-2-yl]oxypyridine Chemical compound FC(C)(F)C1=CC=C(C=N1)OC1=NC=CC=C1C1=C(C=NC=C1)F YGVABMNNBYYSPJ-UHFFFAOYSA-N 0.000 description 3
- IXJLUGLPUAQRMV-UHFFFAOYSA-N 2-(1,1-difluoroethyl)-5-[3-(3-methoxypyridin-4-yl)pyridin-2-yl]oxypyridine Chemical compound FC(C)(F)C1=CC=C(C=N1)OC1=NC=CC=C1C1=C(C=NC=C1)OC IXJLUGLPUAQRMV-UHFFFAOYSA-N 0.000 description 3
- VRIIVCSWHODCDM-UHFFFAOYSA-N 2-(1,1-difluoroethyl)-5-[3-(4-methylpyridin-3-yl)pyridin-2-yl]oxypyridine Chemical compound FC(C)(F)C1=CC=C(C=N1)OC1=NC=CC=C1C=1C=NC=CC=1C VRIIVCSWHODCDM-UHFFFAOYSA-N 0.000 description 3
- XUVLUWYEOBZYFV-UHFFFAOYSA-N 2-(1,1-difluoroethyl)-5-[3-(5-methylpyridin-3-yl)pyridin-2-yl]oxypyridine Chemical compound FC(C)(F)C1=CC=C(C=N1)OC1=NC=CC=C1C=1C=NC=C(C=1)C XUVLUWYEOBZYFV-UHFFFAOYSA-N 0.000 description 3
- MHEUFLPWJVYHFI-UHFFFAOYSA-N 2-(1,1-difluoroethyl)-5-[3-(6-methoxypyridin-2-yl)pyridin-2-yl]oxypyridine Chemical compound FC(C)(F)C1=CC=C(C=N1)OC1=NC=CC=C1C1=NC(=CC=C1)OC MHEUFLPWJVYHFI-UHFFFAOYSA-N 0.000 description 3
- XKDXETFZDXNVIN-UHFFFAOYSA-N 2-(1,1-difluoroethyl)-5-[3-[2-(difluoromethyl)phenyl]pyridin-2-yl]oxypyridine Chemical compound FC(C)(F)C1=CC=C(C=N1)OC1=NC=CC=C1C1=C(C=CC=C1)C(F)F XKDXETFZDXNVIN-UHFFFAOYSA-N 0.000 description 3
- WMACEGIFWHXOGE-UHFFFAOYSA-N 2-(2-ethoxy-1,1-difluoroethyl)-5-[3-(4-fluoro-2-methoxyphenyl)pyridin-2-yl]oxypyridine Chemical compound C(C)OCC(F)(F)C1=CC=C(C=N1)OC1=NC=CC=C1C1=C(C=C(C=C1)F)OC WMACEGIFWHXOGE-UHFFFAOYSA-N 0.000 description 3
- JLWOAGRMDVYLQG-UHFFFAOYSA-N 2-(4-bromophenoxy)-3-(4-methoxypyridin-3-yl)pyridine Chemical compound BrC1=CC=C(OC2=NC=CC=C2C=2C=NC=CC=2OC)C=C1 JLWOAGRMDVYLQG-UHFFFAOYSA-N 0.000 description 3
- ZZVONGCMMQCYOZ-UHFFFAOYSA-N 2-(4-chlorophenoxy)-3-(2-methoxyphenyl)pyridine Chemical compound ClC1=CC=C(OC2=NC=CC=C2C2=C(C=CC=C2)OC)C=C1 ZZVONGCMMQCYOZ-UHFFFAOYSA-N 0.000 description 3
- YQEONFUZRGRHPV-UHFFFAOYSA-N 2-(4-chlorophenoxy)-3-(3-methoxyphenyl)pyridine Chemical compound ClC1=CC=C(OC2=NC=CC=C2C2=CC(=CC=C2)OC)C=C1 YQEONFUZRGRHPV-UHFFFAOYSA-N 0.000 description 3
- SCJJXCGNRAFOIK-UHFFFAOYSA-N 2-(4-fluorophenoxy)-3-(4-methoxypyridin-3-yl)pyridine Chemical compound FC1=CC=C(OC2=NC=CC=C2C=2C=NC=CC=2OC)C=C1 SCJJXCGNRAFOIK-UHFFFAOYSA-N 0.000 description 3
- QZENZKPRCWMQAZ-UHFFFAOYSA-N 2-(difluoromethyl)-5-[3-(2,6-dimethoxypyridin-3-yl)pyridin-2-yl]oxy-3-methylpyridine Chemical compound FC(C1=C(C=C(C=N1)OC1=NC=CC=C1C=1C(=NC(=CC=1)OC)OC)C)F QZENZKPRCWMQAZ-UHFFFAOYSA-N 0.000 description 3
- ARAKKUYEMOCMQO-UHFFFAOYSA-N 2-(difluoromethyl)-5-[3-(2-fluoro-5-methoxyphenyl)pyridin-2-yl]oxypyridine Chemical compound FC(C1=CC=C(C=N1)OC1=NC=CC=C1C1=C(C=CC(=C1)OC)F)F ARAKKUYEMOCMQO-UHFFFAOYSA-N 0.000 description 3
- TVDTZJGZEHUOKP-UHFFFAOYSA-N 2-(difluoromethyl)-5-[3-(4-fluoro-3-methoxyphenyl)pyridin-2-yl]oxypyridine Chemical compound FC(C1=CC=C(C=N1)OC1=NC=CC=C1C1=CC(=C(C=C1)F)OC)F TVDTZJGZEHUOKP-UHFFFAOYSA-N 0.000 description 3
- CTUUZNKBVRMCJK-UHFFFAOYSA-N 2-(difluoromethyl)-5-[3-(5-fluoro-2-methoxyphenyl)pyridin-2-yl]oxy-3-methylpyridine Chemical compound FC(C1=NC=C(C=C1C)OC1=NC=CC=C1C1=C(C=CC(=C1)F)OC)F CTUUZNKBVRMCJK-UHFFFAOYSA-N 0.000 description 3
- KWZSDJXAEGPRKS-UHFFFAOYSA-N 2-[1,1-difluoro-2-(4-methylpyrazol-1-yl)ethyl]-5-[3-(2-methoxyphenyl)pyridin-2-yl]oxypyridine Chemical compound FC(CN1N=CC(=C1)C)(F)C1=CC=C(C=N1)OC1=NC=CC=C1C1=C(C=CC=C1)OC KWZSDJXAEGPRKS-UHFFFAOYSA-N 0.000 description 3
- RJINSHLEGOWKME-UHFFFAOYSA-N 2-[2-[6-(1,1-difluoroethyl)pyridin-3-yl]oxypyridin-3-yl]-6-fluorobenzonitrile Chemical compound FC(C)(F)C1=CC=C(C=N1)OC1=NC=CC=C1C1=C(C#N)C(=CC=C1)F RJINSHLEGOWKME-UHFFFAOYSA-N 0.000 description 3
- UXMCVUVXRLLZBM-UHFFFAOYSA-N 2-[2-[6-(trifluoromethyl)pyridin-3-yl]oxypyridin-3-yl]benzaldehyde Chemical compound FC(C1=CC=C(C=N1)OC1=NC=CC=C1C1=C(C=O)C=CC=C1)(F)F UXMCVUVXRLLZBM-UHFFFAOYSA-N 0.000 description 3
- DDBUSMXZTIJFHF-UHFFFAOYSA-N 2-[4-(difluoromethoxy)phenoxy]-3-(4-methoxypyridin-3-yl)pyridine Chemical compound FC(OC1=CC=C(OC2=NC=CC=C2C=2C=NC=CC=2OC)C=C1)F DDBUSMXZTIJFHF-UHFFFAOYSA-N 0.000 description 3
- ILCHSKKWLPXORH-UHFFFAOYSA-N 2-[[5-[3-(4-fluoro-2-methoxyphenyl)pyridin-2-yl]oxypyrimidin-2-yl]-methylamino]acetonitrile Chemical compound FC1=CC(=C(C=C1)C=1C(=NC=CC=1)OC=1C=NC(=NC=1)N(CC#N)C)OC ILCHSKKWLPXORH-UHFFFAOYSA-N 0.000 description 3
- OAWBWDVAMPDYFF-UHFFFAOYSA-N 2-cyclopropyl-5-[3-(2-methoxyphenyl)pyridin-2-yl]oxypyridine Chemical compound C1(CC1)C1=CC=C(C=N1)OC1=NC=CC=C1C1=C(C=CC=C1)OC OAWBWDVAMPDYFF-UHFFFAOYSA-N 0.000 description 3
- DWRLDPDUTMIFLP-UHFFFAOYSA-N 2-cyclopropyl-5-[3-(4-methoxypyridin-3-yl)pyridin-2-yl]oxypyridine Chemical compound C1(CC1)C1=CC=C(C=N1)OC1=NC=CC=C1C=1C=NC=CC=1OC DWRLDPDUTMIFLP-UHFFFAOYSA-N 0.000 description 3
- DISMTFQPUDGART-UHFFFAOYSA-N 2-ethoxy-5-[3-(4-fluoro-2-methoxyphenyl)pyridin-2-yl]oxypyrimidine Chemical compound C(C)OC1=NC=C(C=N1)OC1=NC=CC=C1C1=C(C=C(C=C1)F)OC DISMTFQPUDGART-UHFFFAOYSA-N 0.000 description 3
- WWTBGXYDOPQOEC-UHFFFAOYSA-N 2-ethyl-5-[3-(2-methoxyphenyl)pyridin-2-yl]oxypyridine Chemical compound C(C)C1=CC=C(C=N1)OC1=NC=CC=C1C1=C(C=CC=C1)OC WWTBGXYDOPQOEC-UHFFFAOYSA-N 0.000 description 3
- PXNOGORZLARCSE-UHFFFAOYSA-N 2-ethyl-5-[3-(4-methoxypyridin-3-yl)pyridin-2-yl]oxypyridine Chemical compound C(C)C1=CC=C(C=N1)OC1=NC=CC=C1C=1C=NC=CC=1OC PXNOGORZLARCSE-UHFFFAOYSA-N 0.000 description 3
- GNTXSXDCNUEPCC-UHFFFAOYSA-N 2-methoxy-3-[2-(6-phenylmethoxypyridin-3-yl)oxypyridin-3-yl]pyridine Chemical compound C(C1=CC=CC=C1)OC1=CC=C(C=N1)OC1=NC=CC=C1C=1C(=NC=CC=1)OC GNTXSXDCNUEPCC-UHFFFAOYSA-N 0.000 description 3
- ZCMXMBLULQKBOW-UHFFFAOYSA-N 2-methoxy-3-[2-[4-(trifluoromethyl)phenoxy]pyridin-3-yl]pyridine Chemical compound COC1=NC=CC=C1C=1C(=NC=CC=1)OC1=CC=C(C=C1)C(F)(F)F ZCMXMBLULQKBOW-UHFFFAOYSA-N 0.000 description 3
- NJYOJYVDCXIPJC-UHFFFAOYSA-N 2-methoxy-5-methyl-3-[2-[6-(trifluoromethyl)pyridin-3-yl]oxypyridin-3-yl]pyridine Chemical compound COC1=NC=C(C=C1C=1C(=NC=CC=1)OC=1C=NC(=CC=1)C(F)(F)F)C NJYOJYVDCXIPJC-UHFFFAOYSA-N 0.000 description 3
- CUTNIUJDWRNQMC-UHFFFAOYSA-N 2-methoxy-6-[2-[4-(trifluoromethyl)phenoxy]pyridin-3-yl]pyridine Chemical compound COC1=CC=CC(=N1)C=1C(=NC=CC=1)OC1=CC=C(C=C1)C(F)(F)F CUTNIUJDWRNQMC-UHFFFAOYSA-N 0.000 description 3
- JFEBLOWDPGORIR-UHFFFAOYSA-N 2-methoxy-6-methyl-3-[2-[6-(trifluoromethyl)pyridin-3-yl]oxypyridin-3-yl]pyridine Chemical compound COC1=NC(=CC=C1C=1C(=NC=CC=1)OC=1C=NC(=CC=1)C(F)(F)F)C JFEBLOWDPGORIR-UHFFFAOYSA-N 0.000 description 3
- NMDQJUNUIXUZRW-UHFFFAOYSA-N 2-methyl-3-[2-[4-(trifluoromethyl)phenoxy]pyridin-3-yl]-5,6,7,8-tetrahydropyrazolo[5,1-b][1,3]oxazepine Chemical compound CC1=NN2C(OCCCC2)=C1C=1C(=NC=CC=1)OC1=CC=C(C=C1)C(F)(F)F NMDQJUNUIXUZRW-UHFFFAOYSA-N 0.000 description 3
- VZIQXPVROIIIRP-UHFFFAOYSA-N 2-methyl-3-[2-[6-(trifluoromethyl)pyridin-3-yl]oxypyridin-3-yl]pyridine Chemical compound CC1=NC=CC=C1C=1C(=NC=CC=1)OC=1C=NC(=CC=1)C(F)(F)F VZIQXPVROIIIRP-UHFFFAOYSA-N 0.000 description 3
- ZQCUAZXONKMAHQ-UHFFFAOYSA-N 3-(2,2-difluoro-1,3-benzodioxol-4-yl)-2-[6-(trifluoromethyl)pyridin-3-yl]oxypyridine Chemical compound FC1(OC2=C(O1)C=CC=C2C=1C(=NC=CC=1)OC=1C=NC(=CC=1)C(F)(F)F)F ZQCUAZXONKMAHQ-UHFFFAOYSA-N 0.000 description 3
- ZEAOZNVPYDLHFE-UHFFFAOYSA-N 3-(2,3-difluorophenyl)-2-[6-(trifluoromethyl)pyridin-3-yl]oxypyridine Chemical compound FC1=C(C=CC=C1F)C=1C(=NC=CC=1)OC=1C=NC(=CC=1)C(F)(F)F ZEAOZNVPYDLHFE-UHFFFAOYSA-N 0.000 description 3
- VATBROYRIXRHQD-UHFFFAOYSA-N 3-(2,4-difluoro-5-methoxyphenyl)-2-[6-(difluoromethyl)pyridin-3-yl]oxypyridine Chemical compound FC1=C(C=C(C(=C1)F)OC)C=1C(=NC=CC=1)OC=1C=NC(=CC=1)C(F)F VATBROYRIXRHQD-UHFFFAOYSA-N 0.000 description 3
- VTSFQWHNTSZPRZ-UHFFFAOYSA-N 3-(2,4-difluorophenyl)-2-[6-(trifluoromethyl)pyridin-3-yl]oxypyridine Chemical compound FC1=C(C=CC(=C1)F)C=1C(=NC=CC=1)OC=1C=NC(=CC=1)C(F)(F)F VTSFQWHNTSZPRZ-UHFFFAOYSA-N 0.000 description 3
- YEBHOHOBXQUGFY-UHFFFAOYSA-N 3-(2,5-difluorophenyl)-2-[6-(trifluoromethyl)pyridin-3-yl]oxypyridine Chemical compound FC1=C(C=C(C=C1)F)C=1C(=NC=CC=1)OC=1C=NC(=CC=1)C(F)(F)F YEBHOHOBXQUGFY-UHFFFAOYSA-N 0.000 description 3
- HKNRMTZVCAUROM-UHFFFAOYSA-N 3-(2,6-difluorophenyl)-2-[6-(trifluoromethyl)pyridin-3-yl]oxypyridine Chemical compound FC1=C(C(=CC=C1)F)C=1C(=NC=CC=1)OC=1C=NC(=CC=1)C(F)(F)F HKNRMTZVCAUROM-UHFFFAOYSA-N 0.000 description 3
- IEWCHFFDICDGCR-UHFFFAOYSA-N 3-(2-ethynylphenyl)-2-[6-(trifluoromethyl)pyridin-3-yl]oxypyridine Chemical compound C(#C)C1=C(C=CC=C1)C=1C(=NC=CC=1)OC=1C=NC(=CC=1)C(F)(F)F IEWCHFFDICDGCR-UHFFFAOYSA-N 0.000 description 3
- RNSYAIBHBLZRHI-UHFFFAOYSA-N 3-(2-fluoro-6-methoxyphenyl)-2-[6-(trifluoromethyl)pyridin-3-yl]oxypyridine Chemical compound FC1=C(C(=CC=C1)OC)C=1C(=NC=CC=1)OC=1C=NC(=CC=1)C(F)(F)F RNSYAIBHBLZRHI-UHFFFAOYSA-N 0.000 description 3
- YYCLRQWUHZMZSR-UHFFFAOYSA-N 3-(2-methoxyphenyl)-2-[6-(2-phenylethoxy)pyridin-3-yl]oxypyridine Chemical compound COC1=C(C=CC=C1)C=1C(=NC=CC=1)OC=1C=NC(=CC=1)OCCC1=CC=CC=C1 YYCLRQWUHZMZSR-UHFFFAOYSA-N 0.000 description 3
- UWDAXBINVNUFJE-UHFFFAOYSA-N 3-(2-methoxyphenyl)-2-[6-(phenoxymethyl)pyridin-3-yl]oxypyridine Chemical compound COC1=C(C=CC=C1)C=1C(=NC=CC=1)OC=1C=NC(=CC=1)COC1=CC=CC=C1 UWDAXBINVNUFJE-UHFFFAOYSA-N 0.000 description 3
- UNDJAIQQTUVQTK-UHFFFAOYSA-N 3-(2-methoxyphenyl)-2-[6-(pyridin-3-ylmethoxy)pyridin-3-yl]oxypyridine Chemical compound COC1=C(C=CC=C1)C=1C(=NC=CC=1)OC=1C=NC(=CC=1)OCC=1C=NC=CC=1 UNDJAIQQTUVQTK-UHFFFAOYSA-N 0.000 description 3
- AJWLLVKSLJKFKA-UHFFFAOYSA-N 3-(2-methoxyphenyl)-4-methyl-2-[6-(trifluoromethyl)pyridin-3-yl]oxypyridine Chemical compound COC1=C(C=CC=C1)C=1C(=NC=CC=1C)OC=1C=NC(=CC=1)C(F)(F)F AJWLLVKSLJKFKA-UHFFFAOYSA-N 0.000 description 3
- FILIYEOVYDADIR-UHFFFAOYSA-N 3-(2-methoxyphenyl)-5-methyl-2-[6-(trifluoromethyl)pyridin-3-yl]oxypyridine Chemical compound COC1=C(C=CC=C1)C=1C(=NC=C(C=1)C)OC=1C=NC(=CC=1)C(F)(F)F FILIYEOVYDADIR-UHFFFAOYSA-N 0.000 description 3
- CKXNDYLXJNPDGU-UHFFFAOYSA-N 3-(2-methoxyphenyl)-6-methyl-2-[6-(trifluoromethyl)pyridin-3-yl]oxypyridine Chemical compound COC1=C(C=CC=C1)C=1C(=NC(=CC=1)C)OC=1C=NC(=CC=1)C(F)(F)F CKXNDYLXJNPDGU-UHFFFAOYSA-N 0.000 description 3
- RMMDECBCBYABDH-UHFFFAOYSA-N 3-(2-methylpyrazol-3-yl)-2-[4-(trifluoromethyl)phenoxy]pyridine Chemical compound CN1N=CC=C1C=1C(=NC=CC=1)OC1=CC=C(C=C1)C(F)(F)F RMMDECBCBYABDH-UHFFFAOYSA-N 0.000 description 3
- JDTOHHYOPDZDNB-UHFFFAOYSA-N 3-(2-methylsulfanylphenyl)-2-[6-(trifluoromethyl)pyridin-3-yl]oxypyridine Chemical compound CSC1=C(C=CC=C1)C=1C(=NC=CC=1)OC=1C=NC(=CC=1)C(F)(F)F JDTOHHYOPDZDNB-UHFFFAOYSA-N 0.000 description 3
- GHCLDKDXLNHJDZ-UHFFFAOYSA-N 3-(2-nitrophenyl)-2-[6-(trifluoromethyl)pyridin-3-yl]oxypyridine Chemical compound [N+](=O)([O-])C1=C(C=CC=C1)C=1C(=NC=CC=1)OC=1C=NC(=CC=1)C(F)(F)F GHCLDKDXLNHJDZ-UHFFFAOYSA-N 0.000 description 3
- LBFTXJXJRLWTAW-UHFFFAOYSA-N 3-(3,4-dihydro-2H-chromen-8-yl)-2-[6-(trifluoromethyl)pyridin-3-yl]oxypyridine Chemical compound O1CCCC2=CC=CC(=C12)C=1C(=NC=CC=1)OC=1C=NC(=CC=1)C(F)(F)F LBFTXJXJRLWTAW-UHFFFAOYSA-N 0.000 description 3
- YDDXLMPXMDIZNI-UHFFFAOYSA-N 3-(3-fluoro-2-methoxyphenyl)-2-[6-(trifluoromethyl)pyridin-3-yl]oxypyridine Chemical compound FC=1C(=C(C=CC=1)C=1C(=NC=CC=1)OC=1C=NC(=CC=1)C(F)(F)F)OC YDDXLMPXMDIZNI-UHFFFAOYSA-N 0.000 description 3
- JXTFMYBKKDFVPY-UHFFFAOYSA-N 3-(3-methoxyphenyl)-2-[6-(trifluoromethyl)pyridin-3-yl]oxypyridine Chemical compound COC=1C=C(C=CC=1)C=1C(=NC=CC=1)OC=1C=NC(=CC=1)C(F)(F)F JXTFMYBKKDFVPY-UHFFFAOYSA-N 0.000 description 3
- MCULISUCAPCNBB-UHFFFAOYSA-N 3-(4,5-difluoro-2-methoxyphenyl)-2-[6-(difluoromethyl)pyridin-3-yl]oxypyridine Chemical compound FC1=CC(=C(C=C1F)C=1C(=NC=CC=1)OC=1C=NC(=CC=1)C(F)F)OC MCULISUCAPCNBB-UHFFFAOYSA-N 0.000 description 3
- PZAIECDPMGAWRT-UHFFFAOYSA-N 3-(4-chloro-2-methylpyrazol-3-yl)-2-[4-(trifluoromethyl)phenoxy]pyridine Chemical compound ClC=1C=NN(C=1C=1C(=NC=CC=1)OC1=CC=C(C=C1)C(F)(F)F)C PZAIECDPMGAWRT-UHFFFAOYSA-N 0.000 description 3
- WDHRGLDIVPFSQN-UHFFFAOYSA-N 3-(4-methoxypyridin-3-yl)-2-(6-phenylmethoxypyridin-3-yl)oxypyridine Chemical compound C(C1=CC=CC=C1)OC1=CC=C(C=N1)OC1=NC=CC=C1C=1C=NC=CC=1OC WDHRGLDIVPFSQN-UHFFFAOYSA-N 0.000 description 3
- KMFQBHCTVQLFGE-UHFFFAOYSA-N 3-(4-methoxypyridin-3-yl)-2-[4-(trifluoromethylsulfanyl)phenoxy]pyridine Chemical compound COC1=C(C=NC=C1)C=1C(=NC=CC=1)OC1=CC=C(C=C1)SC(F)(F)F KMFQBHCTVQLFGE-UHFFFAOYSA-N 0.000 description 3
- QZZUJHQLSOTAGV-UHFFFAOYSA-N 3-(5-chloro-1,3-dimethylpyrazol-4-yl)-2-[4-(trifluoromethyl)phenoxy]pyridine Chemical compound ClC1=C(C(=NN1C)C)C=1C(=NC=CC=1)OC1=CC=C(C=C1)C(F)(F)F QZZUJHQLSOTAGV-UHFFFAOYSA-N 0.000 description 3
- USDAUDMETJZDGU-UHFFFAOYSA-N 3-(5-chloro-2-methoxyphenyl)-2-[6-(trifluoromethyl)pyridin-3-yl]oxypyridine Chemical compound ClC=1C=CC(=C(C=1)C=1C(=NC=CC=1)OC=1C=NC(=CC=1)C(F)(F)F)OC USDAUDMETJZDGU-UHFFFAOYSA-N 0.000 description 3
- GGXRPVHQVYTSJE-UHFFFAOYSA-N 3-(5-fluoro-2,3-dihydro-1-benzofuran-7-yl)-2-[6-(trifluoromethyl)pyridin-3-yl]oxypyridine Chemical compound FC=1C=C(C2=C(CCO2)C=1)C=1C(=NC=CC=1)OC=1C=NC(=CC=1)C(F)(F)F GGXRPVHQVYTSJE-UHFFFAOYSA-N 0.000 description 3
- YYJBVOLAYAXVNG-UHFFFAOYSA-N 3-(5-fluoro-2-methoxyphenyl)-2-[6-(trifluoromethyl)pyridin-3-yl]oxypyridine Chemical compound FC=1C=CC(=C(C=1)C=1C(=NC=CC=1)OC=1C=NC(=CC=1)C(F)(F)F)OC YYJBVOLAYAXVNG-UHFFFAOYSA-N 0.000 description 3
- VVCDKMYMVREPDE-UHFFFAOYSA-N 3-(5-methoxy-1-methylpyrazol-4-yl)-2-[4-(trifluoromethyl)phenoxy]pyridine Chemical compound COC1=C(C=NN1C)C=1C(=NC=CC=1)OC1=CC=C(C=C1)C(F)(F)F VVCDKMYMVREPDE-UHFFFAOYSA-N 0.000 description 3
- SOWBZBFNFHEUQA-UHFFFAOYSA-N 3-[2-(cyclobutylmethoxy)phenyl]-2-[6-(trifluoromethyl)pyridin-3-yl]oxypyridine Chemical compound C1(CCC1)COC1=C(C=CC=C1)C=1C(=NC=CC=1)OC=1C=NC(=CC=1)C(F)(F)F SOWBZBFNFHEUQA-UHFFFAOYSA-N 0.000 description 3
- YTAYWWGNSSCMNR-UHFFFAOYSA-N 3-[2-(cyclopropylmethoxy)phenyl]-2-[6-(trifluoromethyl)pyridin-3-yl]oxypyridine Chemical compound C1(CC1)COC1=C(C=CC=C1)C=1C(=NC=CC=1)OC=1C=NC(=CC=1)C(F)(F)F YTAYWWGNSSCMNR-UHFFFAOYSA-N 0.000 description 3
- NLTTZCAWIQMBLI-UHFFFAOYSA-N 3-[2-(methoxymethyl)phenyl]-2-[6-(trifluoromethyl)pyridin-3-yl]oxypyridine Chemical compound COCC1=C(C=CC=C1)C=1C(=NC=CC=1)OC=1C=NC(=CC=1)C(F)(F)F NLTTZCAWIQMBLI-UHFFFAOYSA-N 0.000 description 3
- MKWAFVSSWFOCCW-UHFFFAOYSA-N 3-[2-(oxan-4-yloxy)phenyl]-2-[6-(trifluoromethyl)pyridin-3-yl]oxypyridine Chemical compound O1CCC(CC1)OC1=C(C=CC=C1)C=1C(=NC=CC=1)OC=1C=NC(=CC=1)C(F)(F)F MKWAFVSSWFOCCW-UHFFFAOYSA-N 0.000 description 3
- HTEGAEKRLRDVRB-UHFFFAOYSA-N 3-[2-[6-(1,1-difluoroethyl)pyridin-3-yl]oxypyridin-3-yl]-2,6-dimethoxypyridine Chemical compound FC(C)(F)C1=CC=C(C=N1)OC1=NC=CC=C1C=1C(=NC(=CC=1)OC)OC HTEGAEKRLRDVRB-UHFFFAOYSA-N 0.000 description 3
- HIZHHOMARYAVBD-UHFFFAOYSA-N 3-[2-[6-(1,1-difluoroethyl)pyridin-3-yl]oxypyridin-3-yl]-5-fluoro-4-methoxypyridine Chemical compound FC(C)(F)C1=CC=C(C=N1)OC1=NC=CC=C1C=1C=NC=C(C=1OC)F HIZHHOMARYAVBD-UHFFFAOYSA-N 0.000 description 3
- NIICNCBVXVWIOW-UHFFFAOYSA-N 3-[2-[6-(1,1-difluoroethyl)pyridin-3-yl]oxypyridin-3-yl]-5-fluoro-4-methylpyridine Chemical compound FC(C)(F)C1=CC=C(C=N1)OC1=NC=CC=C1C=1C=NC=C(C=1C)F NIICNCBVXVWIOW-UHFFFAOYSA-N 0.000 description 3
- LMZCLIXHIVPBDC-UHFFFAOYSA-N 3-[2-[6-(difluoromethyl)pyridin-3-yl]oxypyridin-3-yl]-2,6-dimethoxypyridine Chemical compound FC(C1=CC=C(C=N1)OC1=NC=CC=C1C=1C(=NC(=CC=1)OC)OC)F LMZCLIXHIVPBDC-UHFFFAOYSA-N 0.000 description 3
- SPNVMJDDZUOTOS-UHFFFAOYSA-N 3-[2-[6-(trifluoromethyl)pyridin-3-yl]oxypyridin-3-yl]pyrazolo[1,5-a]pyridine Chemical compound FC(C1=CC=C(C=N1)OC1=NC=CC=C1C=1C=NN2C=1C=CC=C2)(F)F SPNVMJDDZUOTOS-UHFFFAOYSA-N 0.000 description 3
- KYJBVDFJCRYBFU-UHFFFAOYSA-N 3-[3-(2,3-dihydro-1-benzofuran-7-yl)pyridin-2-yl]oxy-5,6,7,8-tetrahydroquinoline Chemical compound O1CCC2=C1C(=CC=C2)C=1C(=NC=CC=1)OC=1C=NC=2CCCCC=2C=1 KYJBVDFJCRYBFU-UHFFFAOYSA-N 0.000 description 3
- DNPFUKMIOORJCQ-UHFFFAOYSA-N 3-[3-(2,3-dihydro-1-benzofuran-7-yl)pyridin-2-yl]oxy-6,7-dihydro-5H-cyclopenta[b]pyridine Chemical compound O1CCC2=C1C(=CC=C2)C=1C(=NC=CC=1)OC=1C=C2C(=NC=1)CCC2 DNPFUKMIOORJCQ-UHFFFAOYSA-N 0.000 description 3
- SPGMQXFVKWREJQ-UHFFFAOYSA-N 3-[3-(2-methoxyphenyl)pyridin-2-yl]oxy-5,6-dihydroquinoline Chemical compound COC1=C(C=CC=C1)C=1C(=NC=CC=1)OC=1C=NC=2C=CCCC=2C=1 SPGMQXFVKWREJQ-UHFFFAOYSA-N 0.000 description 3
- IVNVNYZJACCEEE-UHFFFAOYSA-N 3-[3-(2-methoxyphenyl)pyridin-2-yl]oxy-N,N-dimethyl-5,6,7,8-tetrahydroquinolin-8-amine Chemical compound COC1=C(C=CC=C1)C=1C(=NC=CC=1)OC=1C=NC=2C(CCCC=2C=1)N(C)C IVNVNYZJACCEEE-UHFFFAOYSA-N 0.000 description 3
- UCIHXGSTURAVSI-UHFFFAOYSA-N 3-[3-(2-methoxypyridin-3-yl)pyridin-2-yl]oxy-5,6,7,8-tetrahydroquinoline Chemical compound COC1=NC=CC=C1C=1C(=NC=CC=1)OC=1C=NC=2CCCCC=2C=1 UCIHXGSTURAVSI-UHFFFAOYSA-N 0.000 description 3
- CSYXVSHUQMEDJB-UHFFFAOYSA-N 3-bromo-2-imidazol-1-ylpyridine Chemical compound BrC1=CC=CN=C1N1C=NC=C1 CSYXVSHUQMEDJB-UHFFFAOYSA-N 0.000 description 3
- NXYKFPFGSBLYPR-UHFFFAOYSA-N 3-bromo-2-pyrazol-1-ylpyridine Chemical compound BrC1=CC=CN=C1N1N=CC=C1 NXYKFPFGSBLYPR-UHFFFAOYSA-N 0.000 description 3
- VMEHRFMNTODKGK-UHFFFAOYSA-N 3-bromo-5-chloro-4-methoxypyridine Chemical compound COC1=C(Cl)C=NC=C1Br VMEHRFMNTODKGK-UHFFFAOYSA-N 0.000 description 3
- PNHVWFNXLOFGEC-UHFFFAOYSA-N 3-bromo-7-[2-[6-(trifluoromethyl)pyridin-3-yl]oxypyridin-3-yl]pyrazolo[1,5-a]pyridine Chemical compound BrC=1C=NN2C=1C=CC=C2C=1C(=NC=CC=1)OC=1C=NC(=CC=1)C(F)(F)F PNHVWFNXLOFGEC-UHFFFAOYSA-N 0.000 description 3
- YXTBJSVBJGKNAQ-UHFFFAOYSA-N 3-chloro-2-cyclopropyl-5-[3-(2-methoxypyridin-3-yl)pyridin-2-yl]oxypyridine Chemical compound ClC=1C=C(C=NC=1C1CC1)OC1=NC=CC=C1C=1C(=NC=CC=1)OC YXTBJSVBJGKNAQ-UHFFFAOYSA-N 0.000 description 3
- FQADMUNXWYGXQO-UHFFFAOYSA-N 3-chloro-2-cyclopropyl-5-[3-(4-methoxypyridin-3-yl)pyridin-2-yl]oxypyridine Chemical compound ClC=1C=C(C=NC=1C1CC1)OC1=NC=CC=C1C=1C=NC=CC=1OC FQADMUNXWYGXQO-UHFFFAOYSA-N 0.000 description 3
- SYIBJGVSXMLRTF-UHFFFAOYSA-N 3-chloro-4-methoxy-5-[2-[4-(trifluoromethyl)phenoxy]pyridin-3-yl]pyridine Chemical compound ClC=1C(=C(C=NC=1)C=1C(=NC=CC=1)OC1=CC=C(C=C1)C(F)(F)F)OC SYIBJGVSXMLRTF-UHFFFAOYSA-N 0.000 description 3
- ACQNBAHNLCJBGY-UHFFFAOYSA-N 3-chloro-7-[2-[6-(trifluoromethyl)pyridin-3-yl]oxypyridin-3-yl]pyrazolo[1,5-a]pyridine Chemical compound ClC=1C=NN2C=1C=CC=C2C=1C(=NC=CC=1)OC=1C=NC(=CC=1)C(F)(F)F ACQNBAHNLCJBGY-UHFFFAOYSA-N 0.000 description 3
- LHWMXQJWFXPWNE-UHFFFAOYSA-N 3-methoxy-4-[2-[4-(trifluoromethyl)phenoxy]pyridin-3-yl]pyridine Chemical compound COC=1C=NC=CC=1C=1C(=NC=CC=1)OC1=CC=C(C=C1)C(F)(F)F LHWMXQJWFXPWNE-UHFFFAOYSA-N 0.000 description 3
- SCWBXPHWLGJILN-UHFFFAOYSA-N 3-methoxy-4-[2-[6-(trifluoromethyl)pyridin-3-yl]oxypyridin-3-yl]pyridine Chemical compound COC=1C=NC=CC=1C=1C(=NC=CC=1)OC=1C=NC(=CC=1)C(F)(F)F SCWBXPHWLGJILN-UHFFFAOYSA-N 0.000 description 3
- DKBAMWDNMLNWIC-UHFFFAOYSA-N 3-methyl-4-[2-[4-(trifluoromethyl)phenoxy]pyridin-3-yl]pyridine Chemical compound CC=1C=NC=CC=1C=1C(=NC=CC=1)OC1=CC=C(C=C1)C(F)(F)F DKBAMWDNMLNWIC-UHFFFAOYSA-N 0.000 description 3
- PXICTYVPHXAMTR-UHFFFAOYSA-N 3-methyl-7-[2-[6-(trifluoromethyl)pyridin-3-yl]oxypyridin-3-yl]pyrazolo[1,5-a]pyridine Chemical compound CC=1C=NN2C=1C=CC=C2C=1C(=NC=CC=1)OC=1C=NC(=CC=1)C(F)(F)F PXICTYVPHXAMTR-UHFFFAOYSA-N 0.000 description 3
- LZXLKUNGBMGPNC-UHFFFAOYSA-N 4-[2,2-difluoro-2-[5-[3-(2-methoxyphenyl)pyridin-2-yl]oxypyridin-2-yl]ethyl]morpholine Chemical compound FC(CN1CCOCC1)(C1=NC=C(C=C1)OC1=NC=CC=C1C1=C(C=CC=C1)OC)F LZXLKUNGBMGPNC-UHFFFAOYSA-N 0.000 description 3
- FORPCOYWENBGGS-UHFFFAOYSA-N 4-[2-[6-(1,1-difluoroethyl)pyridin-3-yl]oxypyridin-3-yl]-1,3-benzoxazole Chemical compound FC(C)(F)C1=CC=C(C=N1)OC1=NC=CC=C1C1=CC=CC2=C1N=CO2 FORPCOYWENBGGS-UHFFFAOYSA-N 0.000 description 3
- RPZSVFUVBSOZEK-UHFFFAOYSA-N 4-[2-[6-(1,1-difluoroethyl)pyridin-3-yl]oxypyridin-3-yl]-3,5-dimethyl-1,2-oxazole Chemical compound FC(C)(F)C1=CC=C(C=N1)OC1=NC=CC=C1C=1C(=NOC=1C)C RPZSVFUVBSOZEK-UHFFFAOYSA-N 0.000 description 3
- CUMSGLOXIXCSPD-UHFFFAOYSA-N 4-[2-[6-(1,1-difluoroethyl)pyridin-3-yl]oxypyridin-3-yl]-3,5-dimethyl-1,2-thiazole Chemical compound FC(C)(F)C1=CC=C(C=N1)OC1=NC=CC=C1C=1C(=NSC=1C)C CUMSGLOXIXCSPD-UHFFFAOYSA-N 0.000 description 3
- YVCMNMCWUHHZIE-UHFFFAOYSA-N 4-[2-[6-(1,1-difluoroethyl)pyridin-3-yl]oxypyridin-3-yl]isoquinoline Chemical compound FC(C)(F)C1=CC=C(C=N1)OC1=NC=CC=C1C1=CN=CC2=CC=CC=C12 YVCMNMCWUHHZIE-UHFFFAOYSA-N 0.000 description 3
- BVPQYXIEAULTQN-UHFFFAOYSA-N 4-[2-[6-(1,1-difluoroethyl)pyridin-3-yl]oxypyridin-3-yl]quinoline Chemical compound FC(C)(F)C1=CC=C(C=N1)OC1=NC=CC=C1C1=CC=NC2=CC=CC=C12 BVPQYXIEAULTQN-UHFFFAOYSA-N 0.000 description 3
- SOSFCAFYZFWCEI-UHFFFAOYSA-N 4-chloro-3-fluoro-5-[2-[4-(trifluoromethyl)phenoxy]pyridin-3-yl]pyridine Chemical compound ClC1=C(C=NC=C1F)C=1C(=NC=CC=1)OC1=CC=C(C=C1)C(F)(F)F SOSFCAFYZFWCEI-UHFFFAOYSA-N 0.000 description 3
- VPMJKGUDNAMMMX-UHFFFAOYSA-N 4-chloro-5-[2-[6-(1,1-difluoroethyl)pyridin-3-yl]oxypyridin-3-yl]-3-methyl-1,2-oxazole Chemical compound ClC=1C(=NOC=1C=1C(=NC=CC=1)OC=1C=NC(=CC=1)C(C)(F)F)C VPMJKGUDNAMMMX-UHFFFAOYSA-N 0.000 description 3
- ACIAGRHNNRNAFP-UHFFFAOYSA-N 4-iodo-5-methoxy-1-methylpyrazole Chemical compound IC=1C=NN(C=1OC)C ACIAGRHNNRNAFP-UHFFFAOYSA-N 0.000 description 3
- FSNPUFCLYWGLNC-UHFFFAOYSA-N 5-[2-[4-(trifluoromethyl)phenoxy]pyridin-3-yl]-[1,2,4]triazolo[1,5-a]pyridine Chemical compound FC(C1=CC=C(OC2=NC=CC=C2C2=CC=CC=3N2N=CN=3)C=C1)(F)F FSNPUFCLYWGLNC-UHFFFAOYSA-N 0.000 description 3
- YWMSCOPKRMTZPS-UHFFFAOYSA-N 5-[2-[4-(trifluoromethyl)phenoxy]pyridin-3-yl]imidazo[1,2-a]pyrazine Chemical compound FC(C1=CC=C(OC2=NC=CC=C2C2=CN=CC=3N2C=CN=3)C=C1)(F)F YWMSCOPKRMTZPS-UHFFFAOYSA-N 0.000 description 3
- YVTOBCYQOXWLBR-UHFFFAOYSA-N 5-[2-[4-(trifluoromethyl)phenoxy]pyridin-3-yl]quinoxaline Chemical compound FC(C1=CC=C(OC2=NC=CC=C2C2=C3N=CC=NC3=CC=C2)C=C1)(F)F YVTOBCYQOXWLBR-UHFFFAOYSA-N 0.000 description 3
- SFYDDPFDXRSLNM-UHFFFAOYSA-N 5-[2-[6-(1,1-difluoro-2-methoxyethyl)pyridin-3-yl]oxypyridin-3-yl]-7-fluoroquinoxaline Chemical compound FC(COC)(F)C1=CC=C(C=N1)OC1=NC=CC=C1C1=C2N=CC=NC2=CC(=C1)F SFYDDPFDXRSLNM-UHFFFAOYSA-N 0.000 description 3
- GDSYBMKMTIKRTQ-UHFFFAOYSA-N 5-[2-[6-(1,1-difluoro-2-methoxyethyl)pyridin-3-yl]oxypyridin-3-yl]quinoxaline Chemical compound FC(COC)(F)C1=CC=C(C=N1)OC1=NC=CC=C1C1=C2N=CC=NC2=CC=C1 GDSYBMKMTIKRTQ-UHFFFAOYSA-N 0.000 description 3
- UCACVIKSDRDSBS-UHFFFAOYSA-N 5-[2-[6-(1,1-difluoroethyl)pyridin-3-yl]oxypyridin-3-yl]-3-methyl-1,2-oxazole Chemical compound FC(C)(F)C1=CC=C(C=N1)OC1=NC=CC=C1C1=CC(=NO1)C UCACVIKSDRDSBS-UHFFFAOYSA-N 0.000 description 3
- VWKYGZUCPUFRLR-UHFFFAOYSA-N 5-[2-[6-(trifluoromethyl)pyridin-3-yl]oxypyridin-3-yl]isoquinoline Chemical compound FC(C1=CC=C(C=N1)OC1=NC=CC=C1C1=C2C=CN=CC2=CC=C1)(F)F VWKYGZUCPUFRLR-UHFFFAOYSA-N 0.000 description 3
- IKNYZBNGBWIIQA-UHFFFAOYSA-N 5-[2-[6-(trifluoromethyl)pyridin-3-yl]oxypyridin-3-yl]quinoline Chemical compound FC(C1=CC=C(C=N1)OC1=NC=CC=C1C1=C2C=CC=NC2=CC=C1)(F)F IKNYZBNGBWIIQA-UHFFFAOYSA-N 0.000 description 3
- GIFJRYLMWCEQOO-UHFFFAOYSA-N 5-[3-(2-methoxyphenyl)pyridin-2-yl]oxy-2-(1,1,2,2,2-pentafluoroethyl)pyrimidine Chemical compound COC1=C(C=CC=C1)C=1C(=NC=CC=1)OC=1C=NC(=NC=1)C(C(F)(F)F)(F)F GIFJRYLMWCEQOO-UHFFFAOYSA-N 0.000 description 3
- YZGCLSPZYPCRRK-UHFFFAOYSA-N 5-[3-(2-methoxyphenyl)pyridin-2-yl]oxy-2-(trifluoromethyl)pyrimidine Chemical compound COC1=C(C=CC=C1)C=1C(=NC=CC=1)OC=1C=NC(=NC=1)C(F)(F)F YZGCLSPZYPCRRK-UHFFFAOYSA-N 0.000 description 3
- JCCPTWHSMGUHNI-UHFFFAOYSA-N 5-[3-(2-methoxyphenyl)pyridin-2-yl]oxy-N-methyl-N-propylpyrimidin-2-amine Chemical compound COC1=C(C=CC=C1)C=1C(=NC=CC=1)OC=1C=NC(=NC=1)N(CCC)C JCCPTWHSMGUHNI-UHFFFAOYSA-N 0.000 description 3
- BKWDLTGNIOTNHW-UHFFFAOYSA-N 5-[3-(2-methoxypyridin-3-yl)pyridin-2-yl]oxy-N-methyl-N-propylpyrimidin-2-amine Chemical compound COC1=NC=CC=C1C=1C(=NC=CC=1)OC=1C=NC(=NC=1)N(CCC)C BKWDLTGNIOTNHW-UHFFFAOYSA-N 0.000 description 3
- VSOQEYGIQSLAEY-UHFFFAOYSA-N 5-[3-(4-fluoro-2-methoxyphenyl)pyridin-2-yl]oxy-2-propylsulfanylpyrimidine Chemical compound C(CC)SC1=NC=C(C=N1)OC1=NC=CC=C1C1=C(C=C(C=C1)F)OC VSOQEYGIQSLAEY-UHFFFAOYSA-N 0.000 description 3
- MTNAAFKPWGRXKP-UHFFFAOYSA-N 5-[3-(4-fluoro-2-methoxyphenyl)pyridin-2-yl]oxy-3-methyl-2-(trifluoromethyl)pyridine Chemical compound FC1=CC(=C(C=C1)C=1C(=NC=CC=1)OC=1C=C(C(=NC=1)C(F)(F)F)C)OC MTNAAFKPWGRXKP-UHFFFAOYSA-N 0.000 description 3
- KQDJTCPFLONOLL-UHFFFAOYSA-N 5-[3-(4-fluoro-2-methoxyphenyl)pyridin-2-yl]oxy-N-(2-methoxyethyl)-N-methylpyrimidin-2-amine Chemical compound FC1=CC(=C(C=C1)C=1C(=NC=CC=1)OC=1C=NC(=NC=1)N(C)CCOC)OC KQDJTCPFLONOLL-UHFFFAOYSA-N 0.000 description 3
- ZQLQUNRCZKFTRR-UHFFFAOYSA-N 5-[3-(5-chloro-2-methoxypyridin-3-yl)pyridin-2-yl]oxy-2-(trifluoromethyl)pyrimidine Chemical compound ClC=1C=C(C(=NC=1)OC)C=1C(=NC=CC=1)OC=1C=NC(=NC=1)C(F)(F)F ZQLQUNRCZKFTRR-UHFFFAOYSA-N 0.000 description 3
- IVVOIIYQZRYYFC-UHFFFAOYSA-N 5-chloro-3-(4-methoxypyridin-3-yl)-2-[4-(trifluoromethyl)phenoxy]pyridine Chemical compound ClC=1C=C(C(=NC=1)OC1=CC=C(C=C1)C(F)(F)F)C=1C=NC=CC=1OC IVVOIIYQZRYYFC-UHFFFAOYSA-N 0.000 description 3
- BNJFSGLJBAEDQZ-UHFFFAOYSA-N 5-fluoro-2-methoxy-3-[2-[6-(trifluoromethyl)pyridin-3-yl]oxypyridin-3-yl]pyridine Chemical compound FC=1C=C(C(=NC=1)OC)C=1C(=NC=CC=1)OC=1C=NC(=CC=1)C(F)(F)F BNJFSGLJBAEDQZ-UHFFFAOYSA-N 0.000 description 3
- LKKNAAKLPFYMHY-UHFFFAOYSA-N 5-methyl-7-[2-[6-(trifluoromethyl)pyridin-3-yl]oxypyridin-3-yl]pyrazolo[1,5-a]pyrimidine Chemical compound CC1=NC=2N(C(=C1)C=1C(=NC=CC=1)OC=1C=NC(=CC=1)C(F)(F)F)N=CC=2 LKKNAAKLPFYMHY-UHFFFAOYSA-N 0.000 description 3
- FYYGUNHYUQTJTB-UHFFFAOYSA-N 6-methyl-7-[2-[4-(trifluoromethyl)phenoxy]pyridin-3-yl]-2,3-dihydropyrazolo[5,1-b][1,3]oxazole Chemical compound CC1=NN2C(OCC2)=C1C=1C(=NC=CC=1)OC1=CC=C(C=C1)C(F)(F)F FYYGUNHYUQTJTB-UHFFFAOYSA-N 0.000 description 3
- WBWBVBSFYGMEBR-UHFFFAOYSA-N 7-[2-[6-(1,1-difluoroethyl)pyridin-3-yl]oxypyridin-3-yl]-1,3-benzoxazole Chemical compound FC(C)(F)C1=CC=C(C=N1)OC1=NC=CC=C1C1=CC=CC=2N=COC=21 WBWBVBSFYGMEBR-UHFFFAOYSA-N 0.000 description 3
- LQTFGYITMDTHQA-UHFFFAOYSA-N 7-[2-[6-(trifluoromethyl)pyridin-3-yl]oxypyridin-3-yl]-1H-indole Chemical compound FC(C1=CC=C(C=N1)OC1=NC=CC=C1C=1C=CC=C2C=CNC=12)(F)F LQTFGYITMDTHQA-UHFFFAOYSA-N 0.000 description 3
- ZGSUGSGLGTVCHF-UHFFFAOYSA-N 7-[2-[6-(trifluoromethyl)pyridin-3-yl]oxypyridin-3-yl]-2,3-dihydroinden-1-one Chemical compound FC(C1=CC=C(C=N1)OC1=NC=CC=C1C=1C=CC=C2CCC(C=12)=O)(F)F ZGSUGSGLGTVCHF-UHFFFAOYSA-N 0.000 description 3
- TWNIXJBVWIJXLL-UHFFFAOYSA-N 7-[2-[6-(trifluoromethyl)pyridin-3-yl]oxypyridin-3-yl]pyrazolo[1,5-a]pyridine-3-carbonitrile Chemical compound FC(C1=CC=C(C=N1)OC1=NC=CC=C1C1=CC=CC=2N1N=CC=2C#N)(F)F TWNIXJBVWIJXLL-UHFFFAOYSA-N 0.000 description 3
- YMTDRJZBYRHXTD-UHFFFAOYSA-N 7-bromo-5-fluoro-2,3-dihydro-1-benzofuran Chemical compound BrC1=CC(F)=CC2=C1OCC2 YMTDRJZBYRHXTD-UHFFFAOYSA-N 0.000 description 3
- FLKNFQLTVUQRJH-UHFFFAOYSA-N 8-[2-[4-(trifluoromethyl)phenoxy]pyridin-3-yl]imidazo[1,2-a]pyridine Chemical compound FC(C1=CC=C(OC2=NC=CC=C2C=2C=3N(C=CC=2)C=CN=3)C=C1)(F)F FLKNFQLTVUQRJH-UHFFFAOYSA-N 0.000 description 3
- CQHPMYFBCXTVBM-UHFFFAOYSA-N 8-[2-[6-(1,1-difluoro-2-methoxyethyl)pyridin-3-yl]oxypyridin-3-yl]quinoline Chemical compound FC(COC)(F)C1=CC=C(C=N1)OC1=NC=CC=C1C=1C=CC=C2C=CC=NC=12 CQHPMYFBCXTVBM-UHFFFAOYSA-N 0.000 description 3
- RTFVROOYEXHFMH-UHFFFAOYSA-N 8-[2-[6-(1,1-difluoroethyl)pyridin-3-yl]oxypyridin-3-yl]pyrido[3,4-b]pyrazine Chemical compound FC(C)(F)C1=CC=C(C=N1)OC1=NC=CC=C1C1=CN=CC2=NC=CN=C21 RTFVROOYEXHFMH-UHFFFAOYSA-N 0.000 description 3
- YJOORJDFGHETSS-UHFFFAOYSA-N 8-bromo-3,4-dihydro-2h-chromene Chemical compound C1CCOC2=C1C=CC=C2Br YJOORJDFGHETSS-UHFFFAOYSA-N 0.000 description 3
- GCCVNNZARPFXES-UHFFFAOYSA-N 8-bromoimidazo[1,2-a]pyridine Chemical compound BrC1=CC=CN2C=CN=C12 GCCVNNZARPFXES-UHFFFAOYSA-N 0.000 description 3
- QTBSBXVTEAMEQO-UHFFFAOYSA-M Acetate Chemical compound CC([O-])=O QTBSBXVTEAMEQO-UHFFFAOYSA-M 0.000 description 3
- SYJZEJPJEIECHN-UHFFFAOYSA-N CC(C)(C)P(C(C)(C)C)C(C=C1)=CC=C1N(C)C.CC(C)(C)P(C(C)(C)C)C(C=C1)=CC=C1N(C)C.Cl.Cl Chemical compound CC(C)(C)P(C(C)(C)C)C(C=C1)=CC=C1N(C)C.CC(C)(C)P(C(C)(C)C)C(C=C1)=CC=C1N(C)C.Cl.Cl SYJZEJPJEIECHN-UHFFFAOYSA-N 0.000 description 3
- QIBIXDYDQLRFSK-UHFFFAOYSA-N CC1=C(C=NC=C1)C=1C(=NC=CC=1)OC1=CC=C(C=C1)C(F)(F)F Chemical compound CC1=C(C=NC=C1)C=1C(=NC=CC=1)OC1=CC=C(C=C1)C(F)(F)F QIBIXDYDQLRFSK-UHFFFAOYSA-N 0.000 description 3
- MRULLLKKMZJONR-UHFFFAOYSA-N CC1=C(C=NC=C1)C=1C(=NC=CC=1)OC=1C=NC(=CC=1)C(F)(F)F Chemical compound CC1=C(C=NC=C1)C=1C(=NC=CC=1)OC=1C=NC(=CC=1)C(F)(F)F MRULLLKKMZJONR-UHFFFAOYSA-N 0.000 description 3
- LTMCRAFOZNZZML-UHFFFAOYSA-N COC1=C(C=CC=C1)C=1C(=NC=CC=1)OC1=CC=C(C=C1)C(F)(F)F Chemical compound COC1=C(C=CC=C1)C=1C(=NC=CC=1)OC1=CC=C(C=C1)C(F)(F)F LTMCRAFOZNZZML-UHFFFAOYSA-N 0.000 description 3
- FNYYDNSCHWUFQA-UHFFFAOYSA-N COC1=C(C=CC=C1)C=1C(=NC=CC=1)OC=1C=C(C(=NC=1)C(F)(F)F)C Chemical compound COC1=C(C=CC=C1)C=1C(=NC=CC=1)OC=1C=C(C(=NC=1)C(F)(F)F)C FNYYDNSCHWUFQA-UHFFFAOYSA-N 0.000 description 3
- GDBULVBAVLXWPL-UHFFFAOYSA-N COC1=C(C=NC=C1)C=1C(=NC=CC=1)OC1=CC=C(C=C1)C(F)(F)F Chemical compound COC1=C(C=NC=C1)C=1C(=NC=CC=1)OC1=CC=C(C=C1)C(F)(F)F GDBULVBAVLXWPL-UHFFFAOYSA-N 0.000 description 3
- KXIQGHZKTXMYLC-UHFFFAOYSA-N COC1=C(C=NC=C1)C=1C(=NC=CC=1)OC1=CC=C(C=C1)OC(F)(F)F Chemical compound COC1=C(C=NC=C1)C=1C(=NC=CC=1)OC1=CC=C(C=C1)OC(F)(F)F KXIQGHZKTXMYLC-UHFFFAOYSA-N 0.000 description 3
- BQEHQMFEWKMZSE-UHFFFAOYSA-N COC1=C(C=NC=C1)C=1C(=NC=CC=1)OC=1C=NC(=CC=1)C(F)(F)F Chemical compound COC1=C(C=NC=C1)C=1C(=NC=CC=1)OC=1C=NC(=CC=1)C(F)(F)F BQEHQMFEWKMZSE-UHFFFAOYSA-N 0.000 description 3
- ZAHGBCDYILVWLO-UHFFFAOYSA-N COC1=NC=CC=C1C=1C(=NC=CC=1)OC=1C=NC(=CC=1)C(F)(F)F Chemical compound COC1=NC=CC=C1C=1C(=NC=CC=1)OC=1C=NC(=CC=1)C(F)(F)F ZAHGBCDYILVWLO-UHFFFAOYSA-N 0.000 description 3
- VCNNSMIDHXUIFM-UHFFFAOYSA-N COC1=NC=CN=C1C=1C(=NC=CC=1)OC1=CC=C(C=C1)C(F)(F)F Chemical compound COC1=NC=CN=C1C=1C(=NC=CC=1)OC1=CC=C(C=C1)C(F)(F)F VCNNSMIDHXUIFM-UHFFFAOYSA-N 0.000 description 3
- WEPCFFOWXMMKDC-UHFFFAOYSA-N COC1=NC=NC=C1C=1C(=NC=CC=1)OC1=CC=C(C=C1)C(F)(F)F Chemical compound COC1=NC=NC=C1C=1C(=NC=CC=1)OC1=CC=C(C=C1)C(F)(F)F WEPCFFOWXMMKDC-UHFFFAOYSA-N 0.000 description 3
- RYTABUBMHYRFMC-UHFFFAOYSA-N ClC1=CC=C(OC2=NC=CC=C2C=2C=NC=CC=2OC)C=C1 Chemical compound ClC1=CC=C(OC2=NC=CC=C2C=2C=NC=CC=2OC)C=C1 RYTABUBMHYRFMC-UHFFFAOYSA-N 0.000 description 3
- OXVSFEDTXLCHOH-UHFFFAOYSA-N ClC=1C(=C(C=NC=1)C=1C(=NC=CC=1)OC=1C=NC(=CC=1)C(C)(F)F)OC Chemical compound ClC=1C(=C(C=NC=1)C=1C(=NC=CC=1)OC=1C=NC(=CC=1)C(C)(F)F)OC OXVSFEDTXLCHOH-UHFFFAOYSA-N 0.000 description 3
- VJUDELPWIRXGEV-UHFFFAOYSA-N ClC=1C=C(C(=NC=1)OC)C=1C(=NC=CC=1)OC=1C=NC(=CC=1)C(F)(F)F Chemical compound ClC=1C=C(C(=NC=1)OC)C=1C(=NC=CC=1)OC=1C=NC(=CC=1)C(F)(F)F VJUDELPWIRXGEV-UHFFFAOYSA-N 0.000 description 3
- 101100481408 Danio rerio tie2 gene Proteins 0.000 description 3
- HXPSFGGPKRQPIE-UHFFFAOYSA-N FC(C)(F)C1=CC=C(C=N1)OC1=NC=CC=C1C1=C(C=C(C=C1)F)OC Chemical compound FC(C)(F)C1=CC=C(C=N1)OC1=NC=CC=C1C1=C(C=C(C=C1)F)OC HXPSFGGPKRQPIE-UHFFFAOYSA-N 0.000 description 3
- LGGXEZNLGJKXPV-UHFFFAOYSA-N FC(C)(F)C1=CC=C(C=N1)OC1=NC=CC=C1C1=C(C=CC(=C1)F)OC Chemical compound FC(C)(F)C1=CC=C(C=N1)OC1=NC=CC=C1C1=C(C=CC(=C1)F)OC LGGXEZNLGJKXPV-UHFFFAOYSA-N 0.000 description 3
- CDSVJQUXTBQHTO-UHFFFAOYSA-N FC(C)(F)C1=CC=C(C=N1)OC1=NC=CC=C1C1=C(C=CC(=C1)OC)OC Chemical compound FC(C)(F)C1=CC=C(C=N1)OC1=NC=CC=C1C1=C(C=CC(=C1)OC)OC CDSVJQUXTBQHTO-UHFFFAOYSA-N 0.000 description 3
- UJPNTIJQLWGUNC-UHFFFAOYSA-N FC(C)(F)C1=CC=C(C=N1)OC1=NC=CC=C1C1=C(C=CC=C1)OC Chemical compound FC(C)(F)C1=CC=C(C=N1)OC1=NC=CC=C1C1=C(C=CC=C1)OC UJPNTIJQLWGUNC-UHFFFAOYSA-N 0.000 description 3
- FDIDPLVROXINHK-UHFFFAOYSA-N FC(C)(F)C1=CC=C(C=N1)OC1=NC=CC=C1C1=C2N=CC=NC2=CC=C1 Chemical compound FC(C)(F)C1=CC=C(C=N1)OC1=NC=CC=C1C1=C2N=CC=NC2=CC=C1 FDIDPLVROXINHK-UHFFFAOYSA-N 0.000 description 3
- JNNSVQVOBNVNHL-UHFFFAOYSA-N FC(C)(F)C1=CC=C(C=N1)OC1=NC=CC=C1C1=NC(=CC=C1OC)OC Chemical compound FC(C)(F)C1=CC=C(C=N1)OC1=NC=CC=C1C1=NC(=CC=C1OC)OC JNNSVQVOBNVNHL-UHFFFAOYSA-N 0.000 description 3
- BQCBDBSABUOWOA-UHFFFAOYSA-N FC(C)(F)C1=CC=C(C=N1)OC1=NC=CC=C1C=1C(=NC=CC=1)OC Chemical compound FC(C)(F)C1=CC=C(C=N1)OC1=NC=CC=C1C=1C(=NC=CC=1)OC BQCBDBSABUOWOA-UHFFFAOYSA-N 0.000 description 3
- BYHZHDQSXJYWHT-UHFFFAOYSA-N FC(C)(F)C1=CC=C(C=N1)OC1=NC=CC=C1C=1C=NC=CC=1OC Chemical compound FC(C)(F)C1=CC=C(C=N1)OC1=NC=CC=C1C=1C=NC=CC=1OC BYHZHDQSXJYWHT-UHFFFAOYSA-N 0.000 description 3
- JDZXQERTITVYIU-UHFFFAOYSA-N FC(C1=CC=C(C=N1)OC1=NC=CC=C1C1=C(C=C(C=C1)F)OC)F Chemical compound FC(C1=CC=C(C=N1)OC1=NC=CC=C1C1=C(C=C(C=C1)F)OC)F JDZXQERTITVYIU-UHFFFAOYSA-N 0.000 description 3
- OHAKQJKLEJQBMA-UHFFFAOYSA-N FC(C1=CC=C(C=N1)OC1=NC=CC=C1C1=C(C=CC=C1)OC)F Chemical compound FC(C1=CC=C(C=N1)OC1=NC=CC=C1C1=C(C=CC=C1)OC)F OHAKQJKLEJQBMA-UHFFFAOYSA-N 0.000 description 3
- HQSQKVMTSXRFGM-UHFFFAOYSA-N FC(C1=CC=C(C=N1)OC1=NC=CC=C1C1=CC=CC=2N1N=CC=2)(F)F Chemical compound FC(C1=CC=C(C=N1)OC1=NC=CC=C1C1=CC=CC=2N1N=CC=2)(F)F HQSQKVMTSXRFGM-UHFFFAOYSA-N 0.000 description 3
- MKSBZROLIRAXQK-UHFFFAOYSA-N FC(C1=CC=C(OC2=NC=CC=C2C2=CC=CC=3N2N=CC=3)C=C1)(F)F Chemical compound FC(C1=CC=C(OC2=NC=CC=C2C2=CC=CC=3N2N=CC=3)C=C1)(F)F MKSBZROLIRAXQK-UHFFFAOYSA-N 0.000 description 3
- BTJGBHVXLJHRCO-UHFFFAOYSA-N FC(C1=CC=C(OC2=NC=CC=C2C2=CN=CC3=NC=CN=C32)C=C1)(F)F Chemical compound FC(C1=CC=C(OC2=NC=CC=C2C2=CN=CC3=NC=CN=C32)C=C1)(F)F BTJGBHVXLJHRCO-UHFFFAOYSA-N 0.000 description 3
- XEDRYAWUDYOFRK-UHFFFAOYSA-N FC(C1=NC=C(C=C1C)OC1=NC=CC=C1C1=C(C=C(C=C1)F)OC)F Chemical compound FC(C1=NC=C(C=C1C)OC1=NC=CC=C1C1=C(C=C(C=C1)F)OC)F XEDRYAWUDYOFRK-UHFFFAOYSA-N 0.000 description 3
- ZOWXGCYJNDVAHJ-UHFFFAOYSA-N FC(C1=NC=C(C=C1C)OC1=NC=CC=C1C1=C(C=CC=C1)OC)F Chemical compound FC(C1=NC=C(C=C1C)OC1=NC=CC=C1C1=C(C=CC=C1)OC)F ZOWXGCYJNDVAHJ-UHFFFAOYSA-N 0.000 description 3
- QKTFMPFEDSWZNN-UHFFFAOYSA-N FC(COC)(F)C1=CC=C(C=N1)OC1=NC=CC=C1C1=C(C=C(C=C1)F)OC Chemical compound FC(COC)(F)C1=CC=C(C=N1)OC1=NC=CC=C1C1=C(C=C(C=C1)F)OC QKTFMPFEDSWZNN-UHFFFAOYSA-N 0.000 description 3
- XLBWYDORUWKKIL-UHFFFAOYSA-N FC(COC)(F)C1=CC=C(C=N1)OC1=NC=CC=C1C1=C(C=CC=C1)OC Chemical compound FC(COC)(F)C1=CC=C(C=N1)OC1=NC=CC=C1C1=C(C=CC=C1)OC XLBWYDORUWKKIL-UHFFFAOYSA-N 0.000 description 3
- PJGFOWLLWCBCEA-UHFFFAOYSA-N FC1=CC(=C(C=C1)C=1C(=NC=CC=1)OC=1C=NC(=CC=1)C(F)(F)F)OC Chemical compound FC1=CC(=C(C=C1)C=1C(=NC=CC=1)OC=1C=NC(=CC=1)C(F)(F)F)OC PJGFOWLLWCBCEA-UHFFFAOYSA-N 0.000 description 3
- QUZDIZIECFGWMW-UHFFFAOYSA-N FC1=CC(=C(C=C1)C=1C(=NC=CC=1)OC=1C=NC(=NC=1)C(F)(F)F)OC Chemical compound FC1=CC(=C(C=C1)C=1C(=NC=CC=1)OC=1C=NC(=NC=1)C(F)(F)F)OC QUZDIZIECFGWMW-UHFFFAOYSA-N 0.000 description 3
- IVOVPOFMKSXKQO-UHFFFAOYSA-N FC1=CC(=C(C=C1)C=1C(=NC=CC=1)OC=1C=NC(=NC=1)N(C)C)OC Chemical compound FC1=CC(=C(C=C1)C=1C(=NC=CC=1)OC=1C=NC(=NC=1)N(C)C)OC IVOVPOFMKSXKQO-UHFFFAOYSA-N 0.000 description 3
- PXHJLLJHWGVQQP-UHFFFAOYSA-N FC=1C(=C(C=NC=1)C=1C(=NC=CC=1)OC1=CC=C(C=C1)C(F)(F)F)OC Chemical compound FC=1C(=C(C=NC=1)C=1C(=NC=CC=1)OC1=CC=C(C=C1)C(F)(F)F)OC PXHJLLJHWGVQQP-UHFFFAOYSA-N 0.000 description 3
- PMFJQQDKRBGHHZ-UHFFFAOYSA-N FC=1C=C(C(=NC=1)OC)C=1C(=NC=CC=1)OC=1C=NC(=C(C=1)C)C(F)(F)F Chemical compound FC=1C=C(C(=NC=1)OC)C=1C(=NC=CC=1)OC=1C=NC(=C(C=1)C)C(F)(F)F PMFJQQDKRBGHHZ-UHFFFAOYSA-N 0.000 description 3
- CWWMIBRVSNVILY-UHFFFAOYSA-N FC=1C=C(C(=NC=1)OC1=CC=C(C=C1)C(F)(F)F)C=1C=NC=CC=1OC Chemical compound FC=1C=C(C(=NC=1)OC1=CC=C(C=C1)C(F)(F)F)C=1C=NC=CC=1OC CWWMIBRVSNVILY-UHFFFAOYSA-N 0.000 description 3
- FYYHWMGAXLPEAU-UHFFFAOYSA-N Magnesium Chemical compound [Mg] FYYHWMGAXLPEAU-UHFFFAOYSA-N 0.000 description 3
- 239000012359 Methanesulfonyl chloride Substances 0.000 description 3
- 101100481410 Mus musculus Tek gene Proteins 0.000 description 3
- PCHCWDAEACIKTC-UHFFFAOYSA-N N,N-dimethyl-2-[2-[6-(trifluoromethyl)pyridin-3-yl]oxypyridin-3-yl]aniline Chemical compound CN(C1=C(C=CC=C1)C=1C(=NC=CC=1)OC=1C=NC(=CC=1)C(F)(F)F)C PCHCWDAEACIKTC-UHFFFAOYSA-N 0.000 description 3
- SFDKJUQNYCHCBF-UHFFFAOYSA-N N-ethyl-5-[3-(4-fluoro-2-methoxyphenyl)pyridin-2-yl]oxy-N-methylpyrimidin-2-amine Chemical compound C(C)N(C1=NC=C(C=N1)OC1=NC=CC=C1C1=C(C=C(C=C1)F)OC)C SFDKJUQNYCHCBF-UHFFFAOYSA-N 0.000 description 3
- 101100030361 Neurospora crassa (strain ATCC 24698 / 74-OR23-1A / CBS 708.71 / DSM 1257 / FGSC 987) pph-3 gene Proteins 0.000 description 3
- FVEKQZYPZABSAG-UHFFFAOYSA-N O1CCC2=C1C(=CC=C2)C=1C(=NC=CC=1)OC=1C=NC(=CC=1)C(F)(F)F Chemical compound O1CCC2=C1C(=CC=C2)C=1C(=NC=CC=1)OC=1C=NC(=CC=1)C(F)(F)F FVEKQZYPZABSAG-UHFFFAOYSA-N 0.000 description 3
- UQHHTLLKWUOQDI-UHFFFAOYSA-N O1CCC2=C1C(=CC=C2)C=1C(=NC=CC=1)OC=1C=NC(=CC=1)CC Chemical compound O1CCC2=C1C(=CC=C2)C=1C(=NC=CC=1)OC=1C=NC(=CC=1)CC UQHHTLLKWUOQDI-UHFFFAOYSA-N 0.000 description 3
- 229910002666 PdCl2 Inorganic materials 0.000 description 3
- 102000004861 Phosphoric Diester Hydrolases Human genes 0.000 description 3
- 108090001050 Phosphoric Diester Hydrolases Proteins 0.000 description 3
- RWRDLPDLKQPQOW-UHFFFAOYSA-N Pyrrolidine Chemical compound C1CCNC1 RWRDLPDLKQPQOW-UHFFFAOYSA-N 0.000 description 3
- 241000223238 Trichophyton Species 0.000 description 3
- 125000004414 alkyl thio group Chemical group 0.000 description 3
- 235000019445 benzyl alcohol Nutrition 0.000 description 3
- MUALRAIOVNYAIW-UHFFFAOYSA-N binap Chemical group C1=CC=CC=C1P(C=1C(=C2C=CC=CC2=CC=1)C=1C2=CC=CC=C2C=CC=1P(C=1C=CC=CC=1)C=1C=CC=CC=1)C1=CC=CC=C1 MUALRAIOVNYAIW-UHFFFAOYSA-N 0.000 description 3
- YNHIGQDRGKUECZ-UHFFFAOYSA-L bis(triphenylphosphine)palladium(ii) dichloride Chemical compound [Cl-].[Cl-].[Pd+2].C1=CC=CC=C1P(C=1C=CC=CC=1)C1=CC=CC=C1.C1=CC=CC=C1P(C=1C=CC=CC=1)C1=CC=CC=C1 YNHIGQDRGKUECZ-UHFFFAOYSA-L 0.000 description 3
- 238000009835 boiling Methods 0.000 description 3
- 150000001721 carbon Chemical group 0.000 description 3
- 238000006880 cross-coupling reaction Methods 0.000 description 3
- 201000010099 disease Diseases 0.000 description 3
- 208000037265 diseases, disorders, signs and symptoms Diseases 0.000 description 3
- LIWAQLJGPBVORC-UHFFFAOYSA-N ethylmethylamine Chemical compound CCNC LIWAQLJGPBVORC-UHFFFAOYSA-N 0.000 description 3
- 238000009472 formulation Methods 0.000 description 3
- 125000004051 hexyl group Chemical group [H]C([H])([H])C([H])([H])C([H])([H])C([H])([H])C([H])([H])C([H])([H])* 0.000 description 3
- 125000005956 isoquinolyl group Chemical group 0.000 description 3
- 239000006210 lotion Substances 0.000 description 3
- 239000011777 magnesium Substances 0.000 description 3
- 229910052749 magnesium Inorganic materials 0.000 description 3
- 229940091250 magnesium supplement Drugs 0.000 description 3
- UKVIEHSSVKSQBA-UHFFFAOYSA-N methane;palladium Chemical compound C.[Pd] UKVIEHSSVKSQBA-UHFFFAOYSA-N 0.000 description 3
- QARBMVPHQWIHKH-UHFFFAOYSA-N methanesulfonyl chloride Chemical compound CS(Cl)(=O)=O QARBMVPHQWIHKH-UHFFFAOYSA-N 0.000 description 3
- 125000004433 nitrogen atom Chemical group N* 0.000 description 3
- 239000002674 ointment Substances 0.000 description 3
- PIBWKRNGBLPSSY-UHFFFAOYSA-L palladium(II) chloride Chemical compound Cl[Pd]Cl PIBWKRNGBLPSSY-UHFFFAOYSA-L 0.000 description 3
- YJVFFLUZDVXJQI-UHFFFAOYSA-L palladium(ii) acetate Chemical compound [Pd+2].CC([O-])=O.CC([O-])=O YJVFFLUZDVXJQI-UHFFFAOYSA-L 0.000 description 3
- 230000035699 permeability Effects 0.000 description 3
- AQSJGOWTSHOLKH-UHFFFAOYSA-N phosphite(3-) Chemical class [O-]P([O-])[O-] AQSJGOWTSHOLKH-UHFFFAOYSA-N 0.000 description 3
- 229920000642 polymer Polymers 0.000 description 3
- 239000011698 potassium fluoride Substances 0.000 description 3
- 235000003270 potassium fluoride Nutrition 0.000 description 3
- 239000002244 precipitate Substances 0.000 description 3
- UMJSCPRVCHMLSP-UHFFFAOYSA-N pyridine Natural products COC1=CC=CN=C1 UMJSCPRVCHMLSP-UHFFFAOYSA-N 0.000 description 3
- 125000005493 quinolyl group Chemical group 0.000 description 3
- 210000003491 skin Anatomy 0.000 description 3
- 235000010288 sodium nitrite Nutrition 0.000 description 3
- 235000010265 sodium sulphite Nutrition 0.000 description 3
- 239000012453 solvate Substances 0.000 description 3
- CZDYPVPMEAXLPK-UHFFFAOYSA-N tetramethylsilane Chemical compound C[Si](C)(C)C CZDYPVPMEAXLPK-UHFFFAOYSA-N 0.000 description 3
- ADGHSWFUZUADDH-UHFFFAOYSA-N (2,6-dimethoxypyridin-3-yl)boronic acid Chemical compound COC1=CC=C(B(O)O)C(OC)=N1 ADGHSWFUZUADDH-UHFFFAOYSA-N 0.000 description 2
- ZKAOVABYLXQUTI-UHFFFAOYSA-N (2-acetylphenyl)boronic acid Chemical compound CC(=O)C1=CC=CC=C1B(O)O ZKAOVABYLXQUTI-UHFFFAOYSA-N 0.000 description 2
- PLVCYMZAEQRYHJ-UHFFFAOYSA-N (2-bromophenyl)boronic acid Chemical compound OB(O)C1=CC=CC=C1Br PLVCYMZAEQRYHJ-UHFFFAOYSA-N 0.000 description 2
- RRCMGJCFMJBHQC-UHFFFAOYSA-N (2-chlorophenyl)boronic acid Chemical compound OB(O)C1=CC=CC=C1Cl RRCMGJCFMJBHQC-UHFFFAOYSA-N 0.000 description 2
- DGFCTCGCMKEILT-UHFFFAOYSA-N (2-ethoxyphenyl)boronic acid Chemical compound CCOC1=CC=CC=C1B(O)O DGFCTCGCMKEILT-UHFFFAOYSA-N 0.000 description 2
- QSSPYZOSTJDTTL-UHFFFAOYSA-N (2-ethylphenyl)boronic acid Chemical compound CCC1=CC=CC=C1B(O)O QSSPYZOSTJDTTL-UHFFFAOYSA-N 0.000 description 2
- XOVMDVZAWWQSDC-UHFFFAOYSA-N (2-fluoro-6-methoxyphenyl)boronic acid Chemical compound COC1=CC=CC(F)=C1B(O)O XOVMDVZAWWQSDC-UHFFFAOYSA-N 0.000 description 2
- QCSLIRFWJPOENV-UHFFFAOYSA-N (2-fluorophenyl)boronic acid Chemical compound OB(O)C1=CC=CC=C1F QCSLIRFWJPOENV-UHFFFAOYSA-N 0.000 description 2
- DGUWACLYDSWXRZ-UHFFFAOYSA-N (2-formylphenyl)boronic acid Chemical compound OB(O)C1=CC=CC=C1C=O DGUWACLYDSWXRZ-UHFFFAOYSA-N 0.000 description 2
- YDMRDHQUQIVWBE-UHFFFAOYSA-N (2-hydroxyphenyl)boronic acid Chemical compound OB(O)C1=CC=CC=C1O YDMRDHQUQIVWBE-UHFFFAOYSA-N 0.000 description 2
- WIIYALHHVMIETQ-UHFFFAOYSA-N (2-methoxy-5-methylpyridin-3-yl)boronic acid Chemical compound COC1=NC=C(C)C=C1B(O)O WIIYALHHVMIETQ-UHFFFAOYSA-N 0.000 description 2
- FPYWLOGLINZGBB-UHFFFAOYSA-N (2-methoxy-6-methylpyridin-3-yl)boronic acid Chemical compound COC1=NC(C)=CC=C1B(O)O FPYWLOGLINZGBB-UHFFFAOYSA-N 0.000 description 2
- ODAXNYMENLFYMY-UHFFFAOYSA-N (2-methoxycarbonylphenyl)boronic acid Chemical compound COC(=O)C1=CC=CC=C1B(O)O ODAXNYMENLFYMY-UHFFFAOYSA-N 0.000 description 2
- TWKMYNQPIICYNV-UHFFFAOYSA-N (2-methylpyridin-3-yl)boronic acid Chemical compound CC1=NC=CC=C1B(O)O TWKMYNQPIICYNV-UHFFFAOYSA-N 0.000 description 2
- SFUIGUOONHIVLG-UHFFFAOYSA-N (2-nitrophenyl)boronic acid Chemical compound OB(O)C1=CC=CC=C1[N+]([O-])=O SFUIGUOONHIVLG-UHFFFAOYSA-N 0.000 description 2
- MQHLMHIZUIDKOO-OKZBNKHCSA-N (2R,6S)-2,6-dimethyl-4-[(2S)-2-methyl-3-[4-(2-methylbutan-2-yl)phenyl]propyl]morpholine Chemical compound C1=CC(C(C)(C)CC)=CC=C1C[C@H](C)CN1C[C@@H](C)O[C@@H](C)C1 MQHLMHIZUIDKOO-OKZBNKHCSA-N 0.000 description 2
- DIIFZCPZIRQDIJ-UHFFFAOYSA-N (3,5-dimethyl-1,2-oxazol-4-yl)boronic acid Chemical compound CC1=NOC(C)=C1B(O)O DIIFZCPZIRQDIJ-UHFFFAOYSA-N 0.000 description 2
- ABTBKKHOMBEJGL-UHFFFAOYSA-N (3-fluoro-2-methoxyphenyl)boronic acid Chemical compound COC1=C(F)C=CC=C1B(O)O ABTBKKHOMBEJGL-UHFFFAOYSA-N 0.000 description 2
- QUHSESYLMZVXCN-UHFFFAOYSA-N (3-fluoropyridin-4-yl)boronic acid Chemical compound OB(O)C1=CC=NC=C1F QUHSESYLMZVXCN-UHFFFAOYSA-N 0.000 description 2
- REONQWGHSQHTAC-UHFFFAOYSA-N (5-methylpyridin-3-yl)boronic acid Chemical compound CC1=CN=CC(B(O)O)=C1 REONQWGHSQHTAC-UHFFFAOYSA-N 0.000 description 2
- 125000006002 1,1-difluoroethyl group Chemical group 0.000 description 2
- UWYZHKAOTLEWKK-UHFFFAOYSA-N 1,2,3,4-tetrahydroisoquinoline Chemical compound C1=CC=C2CNCCC2=C1 UWYZHKAOTLEWKK-UHFFFAOYSA-N 0.000 description 2
- LBUJPTNKIBCYBY-UHFFFAOYSA-N 1,2,3,4-tetrahydroquinoline Chemical compound C1=CC=C2CCCNC2=C1 LBUJPTNKIBCYBY-UHFFFAOYSA-N 0.000 description 2
- CSNIZNHTOVFARY-UHFFFAOYSA-N 1,2-benzothiazole Chemical compound C1=CC=C2C=NSC2=C1 CSNIZNHTOVFARY-UHFFFAOYSA-N 0.000 description 2
- KTZQTRPPVKQPFO-UHFFFAOYSA-N 1,2-benzoxazole Chemical compound C1=CC=C2C=NOC2=C1 KTZQTRPPVKQPFO-UHFFFAOYSA-N 0.000 description 2
- BCMCBBGGLRIHSE-UHFFFAOYSA-N 1,3-benzoxazole Chemical compound C1=CC=C2OC=NC2=C1 BCMCBBGGLRIHSE-UHFFFAOYSA-N 0.000 description 2
- RMYPQIOCZSWSDG-UHFFFAOYSA-N 1-bromo-2-(difluoromethyl)benzene Chemical compound FC(F)C1=CC=CC=C1Br RMYPQIOCZSWSDG-UHFFFAOYSA-N 0.000 description 2
- YWWZASFPWWPUBN-UHFFFAOYSA-N 1-bromoisoquinoline Chemical compound C1=CC=C2C(Br)=NC=CC2=C1 YWWZASFPWWPUBN-UHFFFAOYSA-N 0.000 description 2
- HYZJCKYKOHLVJF-UHFFFAOYSA-N 1H-benzimidazole Chemical compound C1=CC=C2NC=NC2=C1 HYZJCKYKOHLVJF-UHFFFAOYSA-N 0.000 description 2
- YBYIRNPNPLQARY-UHFFFAOYSA-N 1H-indene Chemical compound C1=CC=C2CC=CC2=C1 YBYIRNPNPLQARY-UHFFFAOYSA-N 0.000 description 2
- JVVRJMXHNUAPHW-UHFFFAOYSA-N 1h-pyrazol-5-amine Chemical compound NC=1C=CNN=1 JVVRJMXHNUAPHW-UHFFFAOYSA-N 0.000 description 2
- AMFYRKOUWBAGHV-UHFFFAOYSA-N 1h-pyrazolo[4,3-b]pyridine Chemical compound C1=CN=C2C=NNC2=C1 AMFYRKOUWBAGHV-UHFFFAOYSA-N 0.000 description 2
- MVXVYAKCVDQRLW-UHFFFAOYSA-N 1h-pyrrolo[2,3-b]pyridine Chemical compound C1=CN=C2NC=CC2=C1 MVXVYAKCVDQRLW-UHFFFAOYSA-N 0.000 description 2
- 125000004793 2,2,2-trifluoroethoxy group Chemical group FC(CO*)(F)F 0.000 description 2
- GQHTUMJGOHRCHB-UHFFFAOYSA-N 2,3,4,6,7,8,9,10-octahydropyrimido[1,2-a]azepine Chemical compound C1CCCCN2CCCN=C21 GQHTUMJGOHRCHB-UHFFFAOYSA-N 0.000 description 2
- LIMXEVCFAUTBCK-UHFFFAOYSA-N 2,5-dibromo-3-methylpyridine Chemical compound CC1=CC(Br)=CN=C1Br LIMXEVCFAUTBCK-UHFFFAOYSA-N 0.000 description 2
- XNWFRZJHXBZDAG-UHFFFAOYSA-N 2-METHOXYETHANOL Chemical compound COCCO XNWFRZJHXBZDAG-UHFFFAOYSA-N 0.000 description 2
- NVYMOVCPYONOSF-UHFFFAOYSA-N 2-aminopyrimidin-5-ol Chemical compound NC1=NC=C(O)C=N1 NVYMOVCPYONOSF-UHFFFAOYSA-N 0.000 description 2
- XMCFWNOIAZLZSG-UHFFFAOYSA-N 2-bromo-3,6-dimethoxypyridine Chemical compound COC1=CC=C(OC)C(Br)=N1 XMCFWNOIAZLZSG-UHFFFAOYSA-N 0.000 description 2
- XOTABKNMXIIQMF-UHFFFAOYSA-N 2-bromo-3-methoxypyrazine Chemical compound COC1=NC=CN=C1Br XOTABKNMXIIQMF-UHFFFAOYSA-N 0.000 description 2
- IELGUZKHALDFOO-UHFFFAOYSA-N 2-bromo-6-fluorobenzonitrile Chemical compound FC1=CC=CC(Br)=C1C#N IELGUZKHALDFOO-UHFFFAOYSA-N 0.000 description 2
- 125000000069 2-butynyl group Chemical group [H]C([H])([H])C#CC([H])([H])* 0.000 description 2
- OHWSWGXNZDSHLM-UHFFFAOYSA-N 2-chloro-3-iodopyridine Chemical compound ClC1=NC=CC=C1I OHWSWGXNZDSHLM-UHFFFAOYSA-N 0.000 description 2
- VNZWHFSETGESMT-UHFFFAOYSA-N 2-cyclopropyl-5-[3-(2-methoxypyridin-3-yl)pyridin-2-yl]oxypyridine Chemical compound C1(CC1)C1=CC=C(C=N1)OC1=NC=CC=C1C=1C(=NC=CC=1)OC VNZWHFSETGESMT-UHFFFAOYSA-N 0.000 description 2
- ICHJZVWEZBJLFE-UHFFFAOYSA-N 2-cyclopropyl-5-[3-(4-fluoro-2-methoxyphenyl)pyridin-2-yl]oxypyridine Chemical compound C1(CC1)C1=CC=C(C=N1)OC1=NC=CC=C1C1=C(C=C(C=C1)F)OC ICHJZVWEZBJLFE-UHFFFAOYSA-N 0.000 description 2
- QXCIMSFEUCOOBZ-UHFFFAOYSA-N 2-ethyl-5-[3-(2-methoxypyridin-3-yl)pyridin-2-yl]oxypyridine Chemical compound C(C)C1=CC=C(C=N1)OC1=NC=CC=C1C=1C(=NC=CC=1)OC QXCIMSFEUCOOBZ-UHFFFAOYSA-N 0.000 description 2
- BMIBJCFFZPYJHF-UHFFFAOYSA-N 2-methoxy-5-methyl-3-(4,4,5,5-tetramethyl-1,3,2-dioxaborolan-2-yl)pyridine Chemical compound COC1=NC=C(C)C=C1B1OC(C)(C)C(C)(C)O1 BMIBJCFFZPYJHF-UHFFFAOYSA-N 0.000 description 2
- 125000003903 2-propenyl group Chemical group [H]C([*])([H])C([H])=C([H])[H] 0.000 description 2
- 125000001494 2-propynyl group Chemical group [H]C#CC([H])([H])* 0.000 description 2
- 125000004105 2-pyridyl group Chemical group N1=C([*])C([H])=C([H])C([H])=C1[H] 0.000 description 2
- CGRRLZRKSOVAEY-UHFFFAOYSA-N 3-(2-chlorophenyl)-2-[6-(trifluoromethyl)pyridin-3-yl]oxypyridine Chemical compound ClC1=C(C=CC=C1)C=1C(=NC=CC=1)OC=1C=NC(=CC=1)C(F)(F)F CGRRLZRKSOVAEY-UHFFFAOYSA-N 0.000 description 2
- DNYBANBGZGKBQA-UHFFFAOYSA-N 3-(2-cyclopropylphenyl)-2-[6-(trifluoromethyl)pyridin-3-yl]oxypyridine Chemical compound C1(CC1)C1=C(C=CC=C1)C=1C(=NC=CC=1)OC=1C=NC(=CC=1)C(F)(F)F DNYBANBGZGKBQA-UHFFFAOYSA-N 0.000 description 2
- LDTICUGLTDGMSL-UHFFFAOYSA-N 3-(2-ethoxyphenyl)-2-[6-(trifluoromethyl)pyridin-3-yl]oxypyridine Chemical compound C(C)OC1=C(C=CC=C1)C=1C(=NC=CC=1)OC=1C=NC(=CC=1)C(F)(F)F LDTICUGLTDGMSL-UHFFFAOYSA-N 0.000 description 2
- RQNMLCWTXYIQPP-UHFFFAOYSA-N 3-(2-fluorophenyl)-2-[6-(trifluoromethyl)pyridin-3-yl]oxypyridine Chemical compound FC1=C(C=CC=C1)C=1C(=NC=CC=1)OC=1C=NC(=CC=1)C(F)(F)F RQNMLCWTXYIQPP-UHFFFAOYSA-N 0.000 description 2
- AYEPLQFBNXHNQD-UHFFFAOYSA-N 3-[2-(trifluoromethoxy)phenyl]-2-[6-(trifluoromethyl)pyridin-3-yl]oxypyridine Chemical compound FC(OC1=C(C=CC=C1)C=1C(=NC=CC=1)OC=1C=NC(=CC=1)C(F)(F)F)(F)F AYEPLQFBNXHNQD-UHFFFAOYSA-N 0.000 description 2
- MQPDFYKTAZWYQL-UHFFFAOYSA-N 3-bromo-2,4-dimethoxypyridine Chemical compound COC1=CC=NC(OC)=C1Br MQPDFYKTAZWYQL-UHFFFAOYSA-N 0.000 description 2
- RBCARPJOEUEZLS-UHFFFAOYSA-N 3-bromopyridin-2-amine Chemical compound NC1=NC=CC=C1Br RBCARPJOEUEZLS-UHFFFAOYSA-N 0.000 description 2
- KPUMJXZSQAPSHR-UHFFFAOYSA-N 3-fluoro-4-methyl-5-[2-[4-(trifluoromethyl)phenoxy]pyridin-3-yl]pyridine Chemical compound FC=1C(=C(C=NC=1)C=1C(=NC=CC=1)OC1=CC=C(C=C1)C(F)(F)F)C KPUMJXZSQAPSHR-UHFFFAOYSA-N 0.000 description 2
- 125000003349 3-pyridyl group Chemical group N1=C([H])C([*])=C([H])C([H])=C1[H] 0.000 description 2
- BNHAYQSUBZKWAG-UHFFFAOYSA-N 4-(difluoromethoxy)phenol Chemical compound OC1=CC=C(OC(F)F)C=C1 BNHAYQSUBZKWAG-UHFFFAOYSA-N 0.000 description 2
- XHJLGVIUMCBMHL-UHFFFAOYSA-N 4-(pentafluoro-$l^{6}-sulfanyl)phenol Chemical compound OC1=CC=C(S(F)(F)(F)(F)F)C=C1 XHJLGVIUMCBMHL-UHFFFAOYSA-N 0.000 description 2
- WDRJNKMAZMEYOF-UHFFFAOYSA-N 4-(trifluoromethoxy)phenol Chemical compound OC1=CC=C(OC(F)(F)F)C=C1 WDRJNKMAZMEYOF-UHFFFAOYSA-N 0.000 description 2
- YYCPTWHVKSATQK-UHFFFAOYSA-N 4-(trifluoromethylsulfanyl)phenol Chemical compound OC1=CC=C(SC(F)(F)F)C=C1 YYCPTWHVKSATQK-UHFFFAOYSA-N 0.000 description 2
- GAMYYCRTACQSBR-UHFFFAOYSA-N 4-azabenzimidazole Chemical compound C1=CC=C2NC=NC2=N1 GAMYYCRTACQSBR-UHFFFAOYSA-N 0.000 description 2
- WFIQVHAZXAORPG-UHFFFAOYSA-N 4-bromo-1,3-benzoxazole Chemical compound BrC1=CC=CC2=C1N=CO2 WFIQVHAZXAORPG-UHFFFAOYSA-N 0.000 description 2
- RUZMWDKSPLIZSY-UHFFFAOYSA-N 4-bromo-1,5-naphthyridine Chemical compound C1=CN=C2C(Br)=CC=NC2=C1 RUZMWDKSPLIZSY-UHFFFAOYSA-N 0.000 description 2
- GYUAOSJIGMDMNJ-UHFFFAOYSA-N 4-bromo-3-methylpyridine Chemical compound CC1=CN=CC=C1Br GYUAOSJIGMDMNJ-UHFFFAOYSA-N 0.000 description 2
- SCRBSGZBTHKAHU-UHFFFAOYSA-N 4-bromoisoquinoline Chemical compound C1=CC=C2C(Br)=CN=CC2=C1 SCRBSGZBTHKAHU-UHFFFAOYSA-N 0.000 description 2
- GZFGOTFRPZRKDS-UHFFFAOYSA-N 4-bromophenol Chemical compound OC1=CC=C(Br)C=C1 GZFGOTFRPZRKDS-UHFFFAOYSA-N 0.000 description 2
- SUXIPCHEUMEUSV-UHFFFAOYSA-N 4-bromoquinoline Chemical compound C1=CC=C2C(Br)=CC=NC2=C1 SUXIPCHEUMEUSV-UHFFFAOYSA-N 0.000 description 2
- WXNZTHHGJRFXKQ-UHFFFAOYSA-N 4-chlorophenol Chemical compound OC1=CC=C(Cl)C=C1 WXNZTHHGJRFXKQ-UHFFFAOYSA-N 0.000 description 2
- 229960000549 4-dimethylaminophenol Drugs 0.000 description 2
- RHMPLDJJXGPMEX-UHFFFAOYSA-N 4-fluorophenol Chemical compound OC1=CC=C(F)C=C1 RHMPLDJJXGPMEX-UHFFFAOYSA-N 0.000 description 2
- VNOIGNRRWFGLBD-UHFFFAOYSA-N 5-bromoimidazo[1,2-a]pyrazine Chemical compound BrC1=CN=CC2=NC=CN12 VNOIGNRRWFGLBD-UHFFFAOYSA-N 0.000 description 2
- CMFSWSZEHYPECE-UHFFFAOYSA-N 5-bromopyridine-3,4-diamine Chemical compound NC1=CN=CC(Br)=C1N CMFSWSZEHYPECE-UHFFFAOYSA-N 0.000 description 2
- CHODTZCXWXCALP-UHFFFAOYSA-N 5-bromoquinoline Chemical compound C1=CC=C2C(Br)=CC=CC2=N1 CHODTZCXWXCALP-UHFFFAOYSA-N 0.000 description 2
- NPEGIDGEXZBAEU-UHFFFAOYSA-N 5-fluoro-2-methoxy-3-[2-[4-(trifluoromethyl)phenoxy]pyridin-3-yl]pyridine Chemical compound FC=1C=C(C(=NC=1)OC)C=1C(=NC=CC=1)OC1=CC=C(C=C1)C(F)(F)F NPEGIDGEXZBAEU-UHFFFAOYSA-N 0.000 description 2
- HUCADZJNOMQGEE-UHFFFAOYSA-N 5-iodo-4-methoxypyrimidine Chemical compound COC1=NC=NC=C1I HUCADZJNOMQGEE-UHFFFAOYSA-N 0.000 description 2
- VKPWAEVWZUALPZ-UHFFFAOYSA-N 6-phenylmethoxypyridin-3-ol Chemical compound N1=CC(O)=CC=C1OCC1=CC=CC=C1 VKPWAEVWZUALPZ-UHFFFAOYSA-N 0.000 description 2
- IGYSQBXPJOGYML-UHFFFAOYSA-N 7-bromo-1,3-benzoxazole Chemical compound BrC1=CC=CC2=C1OC=N2 IGYSQBXPJOGYML-UHFFFAOYSA-N 0.000 description 2
- RDSVSEFWZUWZHW-UHFFFAOYSA-N 7-bromo-1h-indole Chemical compound BrC1=CC=CC2=C1NC=C2 RDSVSEFWZUWZHW-UHFFFAOYSA-N 0.000 description 2
- ZWEODBMKCBWTTQ-UHFFFAOYSA-N 7-bromo-2,3-dihydroinden-1-one Chemical compound BrC1=CC=CC2=C1C(=O)CC2 ZWEODBMKCBWTTQ-UHFFFAOYSA-N 0.000 description 2
- PRMYUYUXAQHDGL-UHFFFAOYSA-N 8-[2-[4-(trifluoromethyl)phenoxy]pyridin-3-yl]-1,6-naphthyridine Chemical compound FC(C1=CC=C(OC2=NC=CC=C2C=2C=NC=C3C=CC=NC=23)C=C1)(F)F PRMYUYUXAQHDGL-UHFFFAOYSA-N 0.000 description 2
- DLVJTRFREOKPPA-UHFFFAOYSA-N 8-[2-[6-(trifluoromethyl)pyridin-3-yl]oxypyridin-3-yl]isoquinoline Chemical compound FC(C1=CC=C(C=N1)OC1=NC=CC=C1C=1C=CC=C2C=CN=CC=12)(F)F DLVJTRFREOKPPA-UHFFFAOYSA-N 0.000 description 2
- OLJUECZNOCPGLZ-UHFFFAOYSA-N 8-[2-[6-(trifluoromethyl)pyridin-3-yl]oxypyridin-3-yl]quinoline Chemical compound FC(C1=CC=C(C=N1)OC1=NC=CC=C1C=1C=CC=C2C=CC=NC=12)(F)F OLJUECZNOCPGLZ-UHFFFAOYSA-N 0.000 description 2
- PQBNZTONCGWKCZ-UHFFFAOYSA-N 8-bromo-1,6-naphthyridine Chemical compound C1=CN=C2C(Br)=CN=CC2=C1 PQBNZTONCGWKCZ-UHFFFAOYSA-N 0.000 description 2
- 101100459319 Arabidopsis thaliana VIII-2 gene Proteins 0.000 description 2
- KWOLCQGAYHNVTF-UHFFFAOYSA-N C(C)C1=C(C=CC=C1)C=1C(=NC=CC=1)OC=1C=NC(=CC=1)C(F)(F)F Chemical compound C(C)C1=C(C=CC=C1)C=1C(=NC=CC=1)OC=1C=NC(=CC=1)C(F)(F)F KWOLCQGAYHNVTF-UHFFFAOYSA-N 0.000 description 2
- CGVFRZMQURRQIE-UHFFFAOYSA-N COC1=CC=C(CN(C(CC=2SC=CC=2)=O)C2=CC(=C(C(=C2)OC)OC)OC)C=C1 Chemical compound COC1=CC=C(CN(C(CC=2SC=CC=2)=O)C2=CC(=C(C(=C2)OC)OC)OC)C=C1 CGVFRZMQURRQIE-UHFFFAOYSA-N 0.000 description 2
- VEXZGXHMUGYJMC-UHFFFAOYSA-M Chloride anion Chemical compound [Cl-] VEXZGXHMUGYJMC-UHFFFAOYSA-M 0.000 description 2
- RYGMFSIKBFXOCR-UHFFFAOYSA-N Copper Chemical compound [Cu] RYGMFSIKBFXOCR-UHFFFAOYSA-N 0.000 description 2
- 206010012504 Dermatophytosis Diseases 0.000 description 2
- 206010013710 Drug interaction Diseases 0.000 description 2
- WJHMQVYXDMOAME-UHFFFAOYSA-N FC(C1=CC=C(C=N1)OC1=NC=CC=C1C1=C2N=CC=NC2=CC=C1)(F)F Chemical compound FC(C1=CC=C(C=N1)OC1=NC=CC=C1C1=C2N=CC=NC2=CC=C1)(F)F WJHMQVYXDMOAME-UHFFFAOYSA-N 0.000 description 2
- CXWBTJIKFAQXAT-UHFFFAOYSA-N FC(C1=CC=C(OC2=NC=CC=C2C2=CC=NC3=CC=CN=C23)C=C1)(F)F Chemical compound FC(C1=CC=C(OC2=NC=CC=C2C2=CC=NC3=CC=CN=C23)C=C1)(F)F CXWBTJIKFAQXAT-UHFFFAOYSA-N 0.000 description 2
- 239000007818 Grignard reagent Substances 0.000 description 2
- 241000282412 Homo Species 0.000 description 2
- WHXSMMKQMYFTQS-UHFFFAOYSA-N Lithium Chemical compound [Li] WHXSMMKQMYFTQS-UHFFFAOYSA-N 0.000 description 2
- 241001460074 Microsporum distortum Species 0.000 description 2
- UFWIBTONFRDIAS-UHFFFAOYSA-N Naphthalene Chemical compound C1=CC=CC2=CC=CC=C21 UFWIBTONFRDIAS-UHFFFAOYSA-N 0.000 description 2
- URLKBWYHVLBVBO-UHFFFAOYSA-N Para-Xylene Chemical group CC1=CC=C(C)C=C1 URLKBWYHVLBVBO-UHFFFAOYSA-N 0.000 description 2
- ISWSIDIOOBJBQZ-UHFFFAOYSA-N Phenol Chemical compound OC1=CC=CC=C1 ISWSIDIOOBJBQZ-UHFFFAOYSA-N 0.000 description 2
- 108091000080 Phosphotransferase Proteins 0.000 description 2
- 102000001253 Protein Kinase Human genes 0.000 description 2
- KYQCOXFCLRTKLS-UHFFFAOYSA-N Pyrazine Chemical compound C1=CN=CC=N1 KYQCOXFCLRTKLS-UHFFFAOYSA-N 0.000 description 2
- KAESVJOAVNADME-UHFFFAOYSA-N Pyrrole Chemical compound C=1C=CNC=1 KAESVJOAVNADME-UHFFFAOYSA-N 0.000 description 2
- YTPLMLYBLZKORZ-UHFFFAOYSA-N Thiophene Chemical compound C=1C=CSC=1 YTPLMLYBLZKORZ-UHFFFAOYSA-N 0.000 description 2
- 208000007712 Tinea Versicolor Diseases 0.000 description 2
- 206010056131 Tinea versicolour Diseases 0.000 description 2
- HCHKCACWOHOZIP-UHFFFAOYSA-N Zinc Chemical compound [Zn] HCHKCACWOHOZIP-UHFFFAOYSA-N 0.000 description 2
- AFHOBSCDNXGFMO-UHFFFAOYSA-N [2-(hydroxymethyl)phenyl]boronic acid Chemical compound OCC1=CC=CC=C1B(O)O AFHOBSCDNXGFMO-UHFFFAOYSA-N 0.000 description 2
- AIJCNTOYZPKURP-UHFFFAOYSA-N [2-(trifluoromethoxy)phenyl]boronic acid Chemical compound OB(O)C1=CC=CC=C1OC(F)(F)F AIJCNTOYZPKURP-UHFFFAOYSA-N 0.000 description 2
- JLCHNBRGUPQWKF-UHFFFAOYSA-J [OH-].[C+4].[OH-].[OH-].[OH-] Chemical compound [OH-].[C+4].[OH-].[OH-].[OH-] JLCHNBRGUPQWKF-UHFFFAOYSA-J 0.000 description 2
- WETWJCDKMRHUPV-UHFFFAOYSA-N acetyl chloride Chemical compound CC(Cl)=O WETWJCDKMRHUPV-UHFFFAOYSA-N 0.000 description 2
- 239000012346 acetyl chloride Substances 0.000 description 2
- YRKCREAYFQTBPV-UHFFFAOYSA-N acetylacetone Chemical compound CC(=O)CC(C)=O YRKCREAYFQTBPV-UHFFFAOYSA-N 0.000 description 2
- 239000002253 acid Substances 0.000 description 2
- 125000000304 alkynyl group Chemical group 0.000 description 2
- 125000005336 allyloxy group Chemical group 0.000 description 2
- 229960003204 amorolfine Drugs 0.000 description 2
- 230000002160 anti-trichophyton Effects 0.000 description 2
- 125000003710 aryl alkyl group Chemical group 0.000 description 2
- 125000003118 aryl group Chemical group 0.000 description 2
- WPYMKLBDIGXBTP-UHFFFAOYSA-N benzoic acid Chemical class OC(=O)C1=CC=CC=C1 WPYMKLBDIGXBTP-UHFFFAOYSA-N 0.000 description 2
- 125000001797 benzyl group Chemical group [H]C1=C([H])C([H])=C(C([H])=C1[H])C([H])([H])* 0.000 description 2
- SIPUZPBQZHNSDW-UHFFFAOYSA-N bis(2-methylpropyl)aluminum Chemical compound CC(C)C[Al]CC(C)C SIPUZPBQZHNSDW-UHFFFAOYSA-N 0.000 description 2
- ZADPBFCGQRWHPN-UHFFFAOYSA-N boronic acid Chemical compound OBO ZADPBFCGQRWHPN-UHFFFAOYSA-N 0.000 description 2
- 125000005620 boronic acid group Chemical class 0.000 description 2
- 239000002775 capsule Substances 0.000 description 2
- OGEBRHQLRGFBNV-RZDIXWSQSA-N chembl2036808 Chemical compound C12=NC(NCCCC)=NC=C2C(C=2C=CC(F)=CC=2)=NN1C[C@H]1CC[C@H](N)CC1 OGEBRHQLRGFBNV-RZDIXWSQSA-N 0.000 description 2
- 229910052802 copper Inorganic materials 0.000 description 2
- 239000010949 copper Substances 0.000 description 2
- 239000006071 cream Substances 0.000 description 2
- NXQGGXCHGDYOHB-UHFFFAOYSA-L cyclopenta-1,4-dien-1-yl(diphenyl)phosphane;dichloropalladium;iron(2+) Chemical compound [Fe+2].Cl[Pd]Cl.[CH-]1C=CC(P(C=2C=CC=CC=2)C=2C=CC=CC=2)=C1.[CH-]1C=CC(P(C=2C=CC=CC=2)C=2C=CC=CC=2)=C1 NXQGGXCHGDYOHB-UHFFFAOYSA-L 0.000 description 2
- 125000004786 difluoromethoxy group Chemical group [H]C(F)(F)O* 0.000 description 2
- 125000001028 difluoromethyl group Chemical group [H]C(F)(F)* 0.000 description 2
- 125000001301 ethoxy group Chemical group [H]C([H])([H])C([H])([H])O* 0.000 description 2
- DBOFMRQAMAZKQY-UHFFFAOYSA-N ethyl 2,2,3,3,3-pentafluoropropanoate Chemical compound CCOC(=O)C(F)(F)C(F)(F)F DBOFMRQAMAZKQY-UHFFFAOYSA-N 0.000 description 2
- 108700039708 galantide Proteins 0.000 description 2
- 229940015043 glyoxal Drugs 0.000 description 2
- 239000008187 granular material Substances 0.000 description 2
- 150000004795 grignard reagents Chemical class 0.000 description 2
- 125000001188 haloalkyl group Chemical group 0.000 description 2
- 125000005842 heteroatom Chemical group 0.000 description 2
- VHHHONWQHHHLTI-UHFFFAOYSA-N hexachloroethane Chemical compound ClC(Cl)(Cl)C(Cl)(Cl)Cl VHHHONWQHHHLTI-UHFFFAOYSA-N 0.000 description 2
- 230000007062 hydrolysis Effects 0.000 description 2
- 238000006460 hydrolysis reaction Methods 0.000 description 2
- 125000005945 imidazopyridyl group Chemical group 0.000 description 2
- PQNFLJBBNBOBRQ-UHFFFAOYSA-N indane Chemical compound C1=CC=C2CCCC2=C1 PQNFLJBBNBOBRQ-UHFFFAOYSA-N 0.000 description 2
- PZOUSPYUWWUPPK-UHFFFAOYSA-N indole Natural products CC1=CC=CC2=C1C=CN2 PZOUSPYUWWUPPK-UHFFFAOYSA-N 0.000 description 2
- RKJUIXBNRJVNHR-UHFFFAOYSA-N indolenine Natural products C1=CC=C2CC=NC2=C1 RKJUIXBNRJVNHR-UHFFFAOYSA-N 0.000 description 2
- 125000002510 isobutoxy group Chemical group [H]C([H])([H])C([H])(C([H])([H])[H])C([H])([H])O* 0.000 description 2
- 125000000959 isobutyl group Chemical group [H]C([H])([H])C([H])(C([H])([H])[H])C([H])([H])* 0.000 description 2
- 125000001972 isopentyl group Chemical group [H]C([H])([H])C([H])(C([H])([H])[H])C([H])([H])C([H])([H])* 0.000 description 2
- 125000003253 isopropoxy group Chemical group [H]C([H])([H])C([H])(O*)C([H])([H])[H] 0.000 description 2
- 125000001449 isopropyl group Chemical group [H]C([H])([H])C([H])(*)C([H])([H])[H] 0.000 description 2
- XKEYHBLSCGBBGU-UHFFFAOYSA-N isoquinolin-5-ylboronic acid Chemical compound N1=CC=C2C(B(O)O)=CC=CC2=C1 XKEYHBLSCGBBGU-UHFFFAOYSA-N 0.000 description 2
- RKCMKNFWHLIGSF-UHFFFAOYSA-N isoquinolin-8-ylboronic acid Chemical compound C1=NC=C2C(B(O)O)=CC=CC2=C1 RKCMKNFWHLIGSF-UHFFFAOYSA-N 0.000 description 2
- 229910052744 lithium Inorganic materials 0.000 description 2
- 229940050906 magnesium chloride hexahydrate Drugs 0.000 description 2
- DHRRIBDTHFBPNG-UHFFFAOYSA-L magnesium dichloride hexahydrate Chemical compound O.O.O.O.O.O.[Mg+2].[Cl-].[Cl-] DHRRIBDTHFBPNG-UHFFFAOYSA-L 0.000 description 2
- IUYHWZFSGMZEOG-UHFFFAOYSA-M magnesium;propane;chloride Chemical compound [Mg+2].[Cl-].C[CH-]C IUYHWZFSGMZEOG-UHFFFAOYSA-M 0.000 description 2
- 229910052751 metal Inorganic materials 0.000 description 2
- 239000002184 metal Substances 0.000 description 2
- 125000005394 methallyl group Chemical group 0.000 description 2
- 125000006606 n-butoxy group Chemical group 0.000 description 2
- 125000004108 n-butyl group Chemical group [H]C([H])([H])C([H])([H])C([H])([H])C([H])([H])* 0.000 description 2
- 125000004676 n-butylcarbonyl group Chemical group [H]C([H])([H])C([H])([H])C([H])([H])C([H])([H])C(*)=O 0.000 description 2
- GVWISOJSERXQBM-UHFFFAOYSA-N n-methylpropan-1-amine Chemical compound CCCNC GVWISOJSERXQBM-UHFFFAOYSA-N 0.000 description 2
- 125000003506 n-propoxy group Chemical group [H]C([H])([H])C([H])([H])C([H])([H])O* 0.000 description 2
- 125000004123 n-propyl group Chemical group [H]C([H])([H])C([H])([H])C([H])([H])* 0.000 description 2
- 125000001624 naphthyl group Chemical group 0.000 description 2
- LQNUZADURLCDLV-UHFFFAOYSA-N nitrobenzene Chemical compound [O-][N+](=O)C1=CC=CC=C1 LQNUZADURLCDLV-UHFFFAOYSA-N 0.000 description 2
- 230000003287 optical effect Effects 0.000 description 2
- 125000004430 oxygen atom Chemical group O* 0.000 description 2
- 150000002940 palladium Chemical class 0.000 description 2
- HKHNXIOLZFIEIG-UHFFFAOYSA-N pentafluoro-[4-[3-(4-methoxypyridin-3-yl)pyridin-2-yl]oxyphenyl]-lambda6-sulfane Chemical compound COC1=C(C=NC=C1)C=1C(=NC=CC=1)OC1=CC=C(C=C1)S(F)(F)(F)(F)F HKHNXIOLZFIEIG-UHFFFAOYSA-N 0.000 description 2
- 102000020233 phosphotransferase Human genes 0.000 description 2
- IVDFJHOHABJVEH-UHFFFAOYSA-N pinacol Chemical compound CC(C)(O)C(C)(C)O IVDFJHOHABJVEH-UHFFFAOYSA-N 0.000 description 2
- 201000000508 pityriasis versicolor Diseases 0.000 description 2
- SCVFZCLFOSHCOH-UHFFFAOYSA-M potassium acetate Chemical compound [K+].CC([O-])=O SCVFZCLFOSHCOH-UHFFFAOYSA-M 0.000 description 2
- VVWRJUBEIPHGQF-MDZDMXLPSA-N propan-2-yl (ne)-n-propan-2-yloxycarbonyliminocarbamate Chemical compound CC(C)OC(=O)\N=N\C(=O)OC(C)C VVWRJUBEIPHGQF-MDZDMXLPSA-N 0.000 description 2
- SUVIGLJNEAMWEG-UHFFFAOYSA-N propane-1-thiol Chemical compound CCCS SUVIGLJNEAMWEG-UHFFFAOYSA-N 0.000 description 2
- YORCIIVHUBAYBQ-UHFFFAOYSA-N propargyl bromide Chemical compound BrCC#C YORCIIVHUBAYBQ-UHFFFAOYSA-N 0.000 description 2
- 229940043274 prophylactic drug Drugs 0.000 description 2
- 230000000069 prophylactic effect Effects 0.000 description 2
- 108060006633 protein kinase Proteins 0.000 description 2
- XYPAUEHJYVNCFT-UHFFFAOYSA-N pyrazolo[1,5-a]pyridin-7-ylboronic acid Chemical compound OB(O)C1=CC=CC2=CC=NN12 XYPAUEHJYVNCFT-UHFFFAOYSA-N 0.000 description 2
- DVUBDHRTVYLIPA-UHFFFAOYSA-N pyrazolo[1,5-a]pyridine Chemical compound C1=CC=CN2N=CC=C21 DVUBDHRTVYLIPA-UHFFFAOYSA-N 0.000 description 2
- 125000006085 pyrrolopyridyl group Chemical group 0.000 description 2
- JWVCLYRUEFBMGU-UHFFFAOYSA-N quinazoline Chemical compound N1=CN=CC2=CC=CC=C21 JWVCLYRUEFBMGU-UHFFFAOYSA-N 0.000 description 2
- 125000002294 quinazolinyl group Chemical group N1=C(N=CC2=CC=CC=C12)* 0.000 description 2
- FSYKKLYZXJSNPZ-UHFFFAOYSA-N sarcosine Chemical compound C[NH2+]CC([O-])=O FSYKKLYZXJSNPZ-UHFFFAOYSA-N 0.000 description 2
- 125000005920 sec-butoxy group Chemical group 0.000 description 2
- 125000002914 sec-butyl group Chemical group [H]C([H])([H])C([H])([H])C([H])(*)C([H])([H])[H] 0.000 description 2
- 239000012279 sodium borohydride Substances 0.000 description 2
- 229910000033 sodium borohydride Inorganic materials 0.000 description 2
- 125000004434 sulfur atom Chemical group 0.000 description 2
- 239000003826 tablet Substances 0.000 description 2
- 125000004213 tert-butoxy group Chemical group [H]C([H])([H])C(O*)(C([H])([H])[H])C([H])([H])[H] 0.000 description 2
- 229940126585 therapeutic drug Drugs 0.000 description 2
- 230000000699 topical effect Effects 0.000 description 2
- VZCYOOQTPOCHFL-UHFFFAOYSA-N trans-butenedioic acid Natural products OC(=O)C=CC(O)=O VZCYOOQTPOCHFL-UHFFFAOYSA-N 0.000 description 2
- OVCXRBARSPBVMC-UHFFFAOYSA-N triazolopyridine Chemical compound C=1N2C(C(C)C)=NN=C2C=CC=1C=1OC=NC=1C1=CC=C(F)C=C1 OVCXRBARSPBVMC-UHFFFAOYSA-N 0.000 description 2
- 125000000876 trifluoromethoxy group Chemical group FC(F)(F)O* 0.000 description 2
- 125000002023 trifluoromethyl group Chemical group FC(F)(F)* 0.000 description 2
- GETQZCLCWQTVFV-UHFFFAOYSA-N trimethylamine Chemical compound CN(C)C GETQZCLCWQTVFV-UHFFFAOYSA-N 0.000 description 2
- YWWDBCBWQNCYNR-UHFFFAOYSA-N trimethylphosphine Chemical compound CP(C)C YWWDBCBWQNCYNR-UHFFFAOYSA-N 0.000 description 2
- HVLLSGMXQDNUAL-UHFFFAOYSA-N triphenyl phosphite Chemical compound C=1C=CC=CC=1OP(OC=1C=CC=CC=1)OC1=CC=CC=C1 HVLLSGMXQDNUAL-UHFFFAOYSA-N 0.000 description 2
- BWHDROKFUHTORW-UHFFFAOYSA-N tritert-butylphosphane Chemical compound CC(C)(C)P(C(C)(C)C)C(C)(C)C BWHDROKFUHTORW-UHFFFAOYSA-N 0.000 description 2
- 238000005406 washing Methods 0.000 description 2
- CXNIUSPIQKWYAI-UHFFFAOYSA-N xantphos Chemical compound C=12OC3=C(P(C=4C=CC=CC=4)C=4C=CC=CC=4)C=CC=C3C(C)(C)C2=CC=CC=1P(C=1C=CC=CC=1)C1=CC=CC=C1 CXNIUSPIQKWYAI-UHFFFAOYSA-N 0.000 description 2
- 239000011701 zinc Substances 0.000 description 2
- 229910052725 zinc Inorganic materials 0.000 description 2
- VNDYJBBGRKZCSX-UHFFFAOYSA-L zinc bromide Chemical compound Br[Zn]Br VNDYJBBGRKZCSX-UHFFFAOYSA-L 0.000 description 2
- 239000011592 zinc chloride Substances 0.000 description 2
- 235000005074 zinc chloride Nutrition 0.000 description 2
- VCGRFBXVSFAGGA-UHFFFAOYSA-N (1,1-dioxo-1,4-thiazinan-4-yl)-[6-[[3-(4-fluorophenyl)-5-methyl-1,2-oxazol-4-yl]methoxy]pyridin-3-yl]methanone Chemical compound CC=1ON=C(C=2C=CC(F)=CC=2)C=1COC(N=C1)=CC=C1C(=O)N1CCS(=O)(=O)CC1 VCGRFBXVSFAGGA-UHFFFAOYSA-N 0.000 description 1
- SZYXKFKWFYUOGZ-UHFFFAOYSA-N (2,3-difluorophenyl)boronic acid Chemical compound OB(O)C1=CC=CC(F)=C1F SZYXKFKWFYUOGZ-UHFFFAOYSA-N 0.000 description 1
- QQLRSCZSKQTFGY-UHFFFAOYSA-N (2,4-difluorophenyl)boronic acid Chemical compound OB(O)C1=CC=C(F)C=C1F QQLRSCZSKQTFGY-UHFFFAOYSA-N 0.000 description 1
- KTOJGSDLJNUAEP-UHFFFAOYSA-N (2,5-difluorophenyl)boronic acid Chemical compound OB(O)C1=CC(F)=CC=C1F KTOJGSDLJNUAEP-UHFFFAOYSA-N 0.000 description 1
- QOZLFNQLIKOGDR-UHFFFAOYSA-N (2,5-dimethoxyphenyl)boronic acid Chemical compound COC1=CC=C(OC)C(B(O)O)=C1 QOZLFNQLIKOGDR-UHFFFAOYSA-N 0.000 description 1
- DBZAICSEFBVFHL-UHFFFAOYSA-N (2,6-difluorophenyl)boronic acid Chemical compound OB(O)C1=C(F)C=CC=C1F DBZAICSEFBVFHL-UHFFFAOYSA-N 0.000 description 1
- IPTZOWYBCLEBOE-UHFFFAOYSA-N (2-fluoro-5-methoxyphenyl)boronic acid Chemical compound COC1=CC=C(F)C(B(O)O)=C1 IPTZOWYBCLEBOE-UHFFFAOYSA-N 0.000 description 1
- MGNBKNBEZGLHNF-UHFFFAOYSA-N (2-methylpyrazol-3-yl)boronic acid Chemical compound CN1N=CC=C1B(O)O MGNBKNBEZGLHNF-UHFFFAOYSA-N 0.000 description 1
- QXBWTYBCNFKURT-UHFFFAOYSA-N (2-methylsulfanylphenyl)boronic acid Chemical compound CSC1=CC=CC=C1B(O)O QXBWTYBCNFKURT-UHFFFAOYSA-N 0.000 description 1
- MAYZWDRUFKUGGP-VIFPVBQESA-N (3s)-1-[5-tert-butyl-3-[(1-methyltetrazol-5-yl)methyl]triazolo[4,5-d]pyrimidin-7-yl]pyrrolidin-3-ol Chemical compound CN1N=NN=C1CN1C2=NC(C(C)(C)C)=NC(N3C[C@@H](O)CC3)=C2N=N1 MAYZWDRUFKUGGP-VIFPVBQESA-N 0.000 description 1
- ISQCHQGYKNHYGP-UHFFFAOYSA-N (4,5-difluoro-2-methoxyphenyl)boronic acid Chemical compound COC1=CC(F)=C(F)C=C1B(O)O ISQCHQGYKNHYGP-UHFFFAOYSA-N 0.000 description 1
- LUJMSRVFSBMEOY-UHFFFAOYSA-N (4-fluoro-3-methoxyphenyl)boronic acid Chemical compound COC1=CC(B(O)O)=CC=C1F LUJMSRVFSBMEOY-UHFFFAOYSA-N 0.000 description 1
- YUTPAZKVEOJQCY-UHFFFAOYSA-N (4-methoxypyridin-3-yl)boronic acid Chemical compound COC1=CC=NC=C1B(O)O YUTPAZKVEOJQCY-UHFFFAOYSA-N 0.000 description 1
- SQHSJJGGWYIFCD-UHFFFAOYSA-N (e)-1-diazonio-1-dimethoxyphosphorylprop-1-en-2-olate Chemical compound COP(=O)(OC)C(\[N+]#N)=C(\C)[O-] SQHSJJGGWYIFCD-UHFFFAOYSA-N 0.000 description 1
- UKGJZDSUJSPAJL-YPUOHESYSA-N (e)-n-[(1r)-1-[3,5-difluoro-4-(methanesulfonamido)phenyl]ethyl]-3-[2-propyl-6-(trifluoromethyl)pyridin-3-yl]prop-2-enamide Chemical compound CCCC1=NC(C(F)(F)F)=CC=C1\C=C\C(=O)N[C@H](C)C1=CC(F)=C(NS(C)(=O)=O)C(F)=C1 UKGJZDSUJSPAJL-YPUOHESYSA-N 0.000 description 1
- ZGYIXVSQHOKQRZ-COIATFDQSA-N (e)-n-[4-[3-chloro-4-(pyridin-2-ylmethoxy)anilino]-3-cyano-7-[(3s)-oxolan-3-yl]oxyquinolin-6-yl]-4-(dimethylamino)but-2-enamide Chemical compound N#CC1=CN=C2C=C(O[C@@H]3COCC3)C(NC(=O)/C=C/CN(C)C)=CC2=C1NC(C=C1Cl)=CC=C1OCC1=CC=CC=N1 ZGYIXVSQHOKQRZ-COIATFDQSA-N 0.000 description 1
- MOWXJLUYGFNTAL-DEOSSOPVSA-N (s)-[2-chloro-4-fluoro-5-(7-morpholin-4-ylquinazolin-4-yl)phenyl]-(6-methoxypyridazin-3-yl)methanol Chemical compound N1=NC(OC)=CC=C1[C@@H](O)C1=CC(C=2C3=CC=C(C=C3N=CN=2)N2CCOCC2)=C(F)C=C1Cl MOWXJLUYGFNTAL-DEOSSOPVSA-N 0.000 description 1
- JYEUMXHLPRZUAT-UHFFFAOYSA-N 1,2,3-triazine Chemical compound C1=CN=NN=C1 JYEUMXHLPRZUAT-UHFFFAOYSA-N 0.000 description 1
- PAAZPARNPHGIKF-UHFFFAOYSA-N 1,2-dibromoethane Chemical compound BrCCBr PAAZPARNPHGIKF-UHFFFAOYSA-N 0.000 description 1
- KEIFWROAQVVDBN-UHFFFAOYSA-N 1,2-dihydronaphthalene Chemical compound C1=CC=C2C=CCCC2=C1 KEIFWROAQVVDBN-UHFFFAOYSA-N 0.000 description 1
- FTNJQNQLEGKTGD-UHFFFAOYSA-N 1,3-benzodioxole Chemical compound C1=CC=C2OCOC2=C1 FTNJQNQLEGKTGD-UHFFFAOYSA-N 0.000 description 1
- 125000005871 1,3-benzodioxolyl group Chemical group 0.000 description 1
- OTOSIXGMLYKKOW-UHFFFAOYSA-M 1,3-bis(2,4,6-trimethylphenyl)imidazol-1-ium;chloride Chemical compound [Cl-].CC1=CC(C)=CC(C)=C1N1C=[N+](C=2C(=CC(C)=CC=2C)C)C=C1 OTOSIXGMLYKKOW-UHFFFAOYSA-M 0.000 description 1
- UYBWIEGTWASWSR-UHFFFAOYSA-N 1,3-diaminopropan-2-ol Chemical compound NCC(O)CN UYBWIEGTWASWSR-UHFFFAOYSA-N 0.000 description 1
- 125000005877 1,4-benzodioxanyl group Chemical group 0.000 description 1
- ULTHEAFYOOPTTB-UHFFFAOYSA-N 1,4-dibromobutane Chemical compound BrCCCCBr ULTHEAFYOOPTTB-UHFFFAOYSA-N 0.000 description 1
- FLBAYUMRQUHISI-UHFFFAOYSA-N 1,8-naphthyridine Chemical compound N1=CC=CC2=CC=CN=C21 FLBAYUMRQUHISI-UHFFFAOYSA-N 0.000 description 1
- APWRZPQBPCAXFP-UHFFFAOYSA-N 1-(1-oxo-2H-isoquinolin-5-yl)-5-(trifluoromethyl)-N-[2-(trifluoromethyl)pyridin-4-yl]pyrazole-4-carboxamide Chemical compound O=C1NC=CC2=C(C=CC=C12)N1N=CC(=C1C(F)(F)F)C(=O)NC1=CC(=NC=C1)C(F)(F)F APWRZPQBPCAXFP-UHFFFAOYSA-N 0.000 description 1
- LMDZBCPBFSXMTL-UHFFFAOYSA-N 1-Ethyl-3-(3-dimethylaminopropyl)carbodiimide Substances CCN=C=NCCCN(C)C LMDZBCPBFSXMTL-UHFFFAOYSA-N 0.000 description 1
- ASOKPJOREAFHNY-UHFFFAOYSA-N 1-Hydroxybenzotriazole Chemical compound C1=CC=C2N(O)N=NC2=C1 ASOKPJOREAFHNY-UHFFFAOYSA-N 0.000 description 1
- ABDDQTDRAHXHOC-QMMMGPOBSA-N 1-[(7s)-5,7-dihydro-4h-thieno[2,3-c]pyran-7-yl]-n-methylmethanamine Chemical compound CNC[C@@H]1OCCC2=C1SC=C2 ABDDQTDRAHXHOC-QMMMGPOBSA-N 0.000 description 1
- YZUPZGFPHUVJKC-UHFFFAOYSA-N 1-bromo-2-methoxyethane Chemical compound COCCBr YZUPZGFPHUVJKC-UHFFFAOYSA-N 0.000 description 1
- 125000004973 1-butenyl group Chemical group C(=CCC)* 0.000 description 1
- 125000004972 1-butynyl group Chemical group [H]C([H])([H])C([H])([H])C#C* 0.000 description 1
- 125000006039 1-hexenyl group Chemical group 0.000 description 1
- 125000006019 1-methyl-1-propenyl group Chemical group 0.000 description 1
- NVZFYPVTUXTHGY-UHFFFAOYSA-N 1-methyl-3-[2-[6-(trifluoromethyl)pyridin-3-yl]oxypyridin-3-yl]pyrazolo[3,4-b]pyridine Chemical compound CN1N=C(C=2C1=NC=CC=2)C=1C(=NC=CC=1)OC=1C=NC(=CC=1)C(F)(F)F NVZFYPVTUXTHGY-UHFFFAOYSA-N 0.000 description 1
- 125000001637 1-naphthyl group Chemical group [H]C1=C([H])C([H])=C2C(*)=C([H])C([H])=C([H])C2=C1[H] 0.000 description 1
- 125000006023 1-pentenyl group Chemical group 0.000 description 1
- 125000004343 1-phenylethyl group Chemical group [H]C1=C([H])C([H])=C(C([H])=C1[H])C([H])(*)C([H])([H])[H] 0.000 description 1
- 125000006017 1-propenyl group Chemical group 0.000 description 1
- 125000000530 1-propynyl group Chemical group [H]C([H])([H])C#C* 0.000 description 1
- 125000004214 1-pyrrolidinyl group Chemical group [H]C1([H])N(*)C([H])([H])C([H])([H])C1([H])[H] 0.000 description 1
- BAXOFTOLAUCFNW-UHFFFAOYSA-N 1H-indazole Chemical compound C1=CC=C2C=NNC2=C1 BAXOFTOLAUCFNW-UHFFFAOYSA-N 0.000 description 1
- ZKAMEFMDQNTDFK-UHFFFAOYSA-N 1h-imidazo[4,5-b]pyrazine Chemical compound C1=CN=C2NC=NC2=N1 ZKAMEFMDQNTDFK-UHFFFAOYSA-N 0.000 description 1
- XWIYUCRMWCHYJR-UHFFFAOYSA-N 1h-pyrrolo[3,2-b]pyridine Chemical compound C1=CC=C2NC=CC2=N1 XWIYUCRMWCHYJR-UHFFFAOYSA-N 0.000 description 1
- HMIJPQDNAWNRAS-UHFFFAOYSA-N 2,2-difluoro-2-[5-[3-(4-fluoro-2-methoxyphenyl)pyridin-2-yl]oxypyridin-2-yl]ethanol Chemical compound FC(CO)(C1=NC=C(C=C1)OC1=NC=CC=C1C1=C(C=C(C=C1)F)OC)F HMIJPQDNAWNRAS-UHFFFAOYSA-N 0.000 description 1
- XSXMRADFEREEBH-UHFFFAOYSA-N 2,2-difluoro-N-methoxy-2-[5-[3-(2-methoxyphenyl)pyridin-2-yl]oxypyridin-2-yl]-N-methylethanamine Chemical compound FC(CN(OC)C)(C1=NC=C(C=C1)OC1=NC=CC=C1C1=C(C=CC=C1)OC)F XSXMRADFEREEBH-UHFFFAOYSA-N 0.000 description 1
- KXNZAKSRXGURQO-UHFFFAOYSA-N 2-(1,1-difluoro-2-methoxyethyl)-5-[3-(2,3-dihydro-1-benzofuran-7-yl)pyridin-2-yl]oxypyridine Chemical compound FC(COC)(F)C1=CC=C(C=N1)OC1=NC=CC=C1C1=CC=CC=2CCOC=21 KXNZAKSRXGURQO-UHFFFAOYSA-N 0.000 description 1
- ZEMZPXWZVTUONV-UHFFFAOYSA-N 2-(2-dicyclohexylphosphanylphenyl)-n,n-dimethylaniline Chemical group CN(C)C1=CC=CC=C1C1=CC=CC=C1P(C1CCCCC1)C1CCCCC1 ZEMZPXWZVTUONV-UHFFFAOYSA-N 0.000 description 1
- PVVRRUUMHFWFQV-UHFFFAOYSA-N 2-(methylamino)acetonitrile Chemical compound CNCC#N PVVRRUUMHFWFQV-UHFFFAOYSA-N 0.000 description 1
- VHVPQPYKVGDNFY-DFMJLFEVSA-N 2-[(2r)-butan-2-yl]-4-[4-[4-[4-[[(2r,4s)-2-(2,4-dichlorophenyl)-2-(1,2,4-triazol-1-ylmethyl)-1,3-dioxolan-4-yl]methoxy]phenyl]piperazin-1-yl]phenyl]-1,2,4-triazol-3-one Chemical compound O=C1N([C@H](C)CC)N=CN1C1=CC=C(N2CCN(CC2)C=2C=CC(OC[C@@H]3O[C@](CN4N=CN=C4)(OC3)C=3C(=CC(Cl)=CC=3)Cl)=CC=2)C=C1 VHVPQPYKVGDNFY-DFMJLFEVSA-N 0.000 description 1
- FRCKFZRUIWJHNR-UHFFFAOYSA-N 2-[1,1-difluoro-2-(2-methoxyethoxy)ethyl]-5-[3-(4-fluoro-2-methoxyphenyl)pyridin-2-yl]oxypyridine Chemical compound FC(COCCOC)(F)C1=CC=C(C=N1)OC1=NC=CC=C1C1=C(C=C(C=C1)F)OC FRCKFZRUIWJHNR-UHFFFAOYSA-N 0.000 description 1
- 125000004174 2-benzimidazolyl group Chemical group [H]N1C(*)=NC2=C([H])C([H])=C([H])C([H])=C12 0.000 description 1
- 125000004974 2-butenyl group Chemical group C(C=CC)* 0.000 description 1
- QSKPIOLLBIHNAC-UHFFFAOYSA-N 2-chloro-acetaldehyde Chemical compound ClCC=O QSKPIOLLBIHNAC-UHFFFAOYSA-N 0.000 description 1
- APOYTRAZFJURPB-UHFFFAOYSA-N 2-methoxy-n-(2-methoxyethyl)-n-(trifluoro-$l^{4}-sulfanyl)ethanamine Chemical compound COCCN(S(F)(F)F)CCOC APOYTRAZFJURPB-UHFFFAOYSA-N 0.000 description 1
- KOHBEDRJXKOYHL-UHFFFAOYSA-N 2-methoxy-n-methylethanamine Chemical compound CNCCOC KOHBEDRJXKOYHL-UHFFFAOYSA-N 0.000 description 1
- 125000004204 2-methoxyphenyl group Chemical group [H]C1=C([H])C(*)=C(OC([H])([H])[H])C([H])=C1[H] 0.000 description 1
- 125000006020 2-methyl-1-propenyl group Chemical group 0.000 description 1
- 125000006024 2-pentenyl group Chemical group 0.000 description 1
- 125000000094 2-phenylethyl group Chemical group [H]C1=C([H])C([H])=C(C([H])=C1[H])C([H])([H])C([H])([H])* 0.000 description 1
- WMPPDTMATNBGJN-UHFFFAOYSA-N 2-phenylethylbromide Chemical compound BrCCC1=CC=CC=C1 WMPPDTMATNBGJN-UHFFFAOYSA-N 0.000 description 1
- 125000004485 2-pyrrolidinyl group Chemical group [H]N1C([H])([H])C([H])([H])C([H])([H])C1([H])* 0.000 description 1
- 125000000389 2-pyrrolyl group Chemical group [H]N1C([*])=C([H])C([H])=C1[H] 0.000 description 1
- 125000000175 2-thienyl group Chemical group S1C([*])=C([H])C([H])=C1[H] 0.000 description 1
- VHMICKWLTGFITH-UHFFFAOYSA-N 2H-isoindole Chemical compound C1=CC=CC2=CNC=C21 VHMICKWLTGFITH-UHFFFAOYSA-N 0.000 description 1
- HCDMJFOHIXMBOV-UHFFFAOYSA-N 3-(2,6-difluoro-3,5-dimethoxyphenyl)-1-ethyl-8-(morpholin-4-ylmethyl)-4,7-dihydropyrrolo[4,5]pyrido[1,2-d]pyrimidin-2-one Chemical compound C=1C2=C3N(CC)C(=O)N(C=4C(=C(OC)C=C(OC)C=4F)F)CC3=CN=C2NC=1CN1CCOCC1 HCDMJFOHIXMBOV-UHFFFAOYSA-N 0.000 description 1
- BYHQTRFJOGIQAO-GOSISDBHSA-N 3-(4-bromophenyl)-8-[(2R)-2-hydroxypropyl]-1-[(3-methoxyphenyl)methyl]-1,3,8-triazaspiro[4.5]decan-2-one Chemical compound C[C@H](CN1CCC2(CC1)CN(C(=O)N2CC3=CC(=CC=C3)OC)C4=CC=C(C=C4)Br)O BYHQTRFJOGIQAO-GOSISDBHSA-N 0.000 description 1
- ZPBZNBRPBJENJG-UHFFFAOYSA-N 3-(5-chloro-2-methoxyphenyl)-2-[6-(1,1-difluoro-2-methoxyethyl)pyridin-3-yl]oxypyridine Chemical compound ClC=1C=CC(=C(C=1)C=1C(=NC=CC=1)OC=1C=NC(=CC=1)C(COC)(F)F)OC ZPBZNBRPBJENJG-UHFFFAOYSA-N 0.000 description 1
- FNHPUOJKUXFUKN-UHFFFAOYSA-N 3-(bromomethyl)pyridine;hydron;bromide Chemical compound Br.BrCC1=CC=CN=C1 FNHPUOJKUXFUKN-UHFFFAOYSA-N 0.000 description 1
- FPQQSJJWHUJYPU-UHFFFAOYSA-N 3-(dimethylamino)propyliminomethylidene-ethylazanium;chloride Chemical compound Cl.CCN=C=NCCCN(C)C FPQQSJJWHUJYPU-UHFFFAOYSA-N 0.000 description 1
- YGYGASJNJTYNOL-CQSZACIVSA-N 3-[(4r)-2,2-dimethyl-1,1-dioxothian-4-yl]-5-(4-fluorophenyl)-1h-indole-7-carboxamide Chemical compound C1CS(=O)(=O)C(C)(C)C[C@@H]1C1=CNC2=C(C(N)=O)C=C(C=3C=CC(F)=CC=3)C=C12 YGYGASJNJTYNOL-CQSZACIVSA-N 0.000 description 1
- WNEODWDFDXWOLU-QHCPKHFHSA-N 3-[3-(hydroxymethyl)-4-[1-methyl-5-[[5-[(2s)-2-methyl-4-(oxetan-3-yl)piperazin-1-yl]pyridin-2-yl]amino]-6-oxopyridin-3-yl]pyridin-2-yl]-7,7-dimethyl-1,2,6,8-tetrahydrocyclopenta[3,4]pyrrolo[3,5-b]pyrazin-4-one Chemical compound C([C@@H](N(CC1)C=2C=NC(NC=3C(N(C)C=C(C=3)C=3C(=C(N4C(C5=CC=6CC(C)(C)CC=6N5CC4)=O)N=CC=3)CO)=O)=CC=2)C)N1C1COC1 WNEODWDFDXWOLU-QHCPKHFHSA-N 0.000 description 1
- SRVXSISGYBMIHR-UHFFFAOYSA-N 3-[3-[3-(2-amino-2-oxoethyl)phenyl]-5-chlorophenyl]-3-(5-methyl-1,3-thiazol-2-yl)propanoic acid Chemical compound S1C(C)=CN=C1C(CC(O)=O)C1=CC(Cl)=CC(C=2C=C(CC(N)=O)C=CC=2)=C1 SRVXSISGYBMIHR-UHFFFAOYSA-N 0.000 description 1
- VCINLTLIJKUOQC-UHFFFAOYSA-N 3-bromo-5-fluorobenzene-1,2-diamine Chemical compound NC1=CC(F)=CC(Br)=C1N VCINLTLIJKUOQC-UHFFFAOYSA-N 0.000 description 1
- 125000004975 3-butenyl group Chemical group C(CC=C)* 0.000 description 1
- 125000000474 3-butynyl group Chemical group [H]C#CC([H])([H])C([H])([H])* 0.000 description 1
- MGICLQDHWLHDLI-UHFFFAOYSA-N 3-chloro-7-[2-[6-(1,1-difluoroethyl)pyridin-3-yl]oxypyridin-3-yl]pyrazolo[1,5-a]pyridine Chemical compound ClC=1C=NN2C=1C=CC=C2C=1C(=NC=CC=1)OC=1C=NC(=CC=1)C(C)(F)F MGICLQDHWLHDLI-UHFFFAOYSA-N 0.000 description 1
- NHQDETIJWKXCTC-UHFFFAOYSA-N 3-chloroperbenzoic acid Chemical compound OOC(=O)C1=CC=CC(Cl)=C1 NHQDETIJWKXCTC-UHFFFAOYSA-N 0.000 description 1
- 125000003682 3-furyl group Chemical group O1C([H])=C([*])C([H])=C1[H] 0.000 description 1
- 125000001331 3-methylbutoxy group Chemical group [H]C([H])([H])C([H])(C([H])([H])[H])C([H])([H])C([H])([H])O* 0.000 description 1
- 125000004681 3-methylbutylcarbonyl group Chemical group CC(CCC(=O)*)C 0.000 description 1
- 125000004715 3-methylbutylthio group Chemical group CC(CCS*)C 0.000 description 1
- 125000006201 3-phenylpropyl group Chemical group [H]C1=C([H])C([H])=C(C([H])=C1[H])C([H])([H])C([H])([H])C([H])([H])* 0.000 description 1
- 125000004575 3-pyrrolidinyl group Chemical group [H]N1C([H])([H])C([H])([H])C([H])(*)C1([H])[H] 0.000 description 1
- VJPPLCNBDLZIFG-ZDUSSCGKSA-N 4-[(3S)-3-(but-2-ynoylamino)piperidin-1-yl]-5-fluoro-2,3-dimethyl-1H-indole-7-carboxamide Chemical compound C(C#CC)(=O)N[C@@H]1CN(CCC1)C1=C2C(=C(NC2=C(C=C1F)C(=O)N)C)C VJPPLCNBDLZIFG-ZDUSSCGKSA-N 0.000 description 1
- YFCIFWOJYYFDQP-PTWZRHHISA-N 4-[3-amino-6-[(1S,3S,4S)-3-fluoro-4-hydroxycyclohexyl]pyrazin-2-yl]-N-[(1S)-1-(3-bromo-5-fluorophenyl)-2-(methylamino)ethyl]-2-fluorobenzamide Chemical compound CNC[C@@H](NC(=O)c1ccc(cc1F)-c1nc(cnc1N)[C@H]1CC[C@H](O)[C@@H](F)C1)c1cc(F)cc(Br)c1 YFCIFWOJYYFDQP-PTWZRHHISA-N 0.000 description 1
- XYWIPYBIIRTJMM-IBGZPJMESA-N 4-[[(2S)-2-[4-[5-chloro-2-[4-(trifluoromethyl)triazol-1-yl]phenyl]-5-methoxy-2-oxopyridin-1-yl]butanoyl]amino]-2-fluorobenzamide Chemical compound CC[C@H](N1C=C(OC)C(=CC1=O)C1=C(C=CC(Cl)=C1)N1C=C(N=N1)C(F)(F)F)C(=O)NC1=CC(F)=C(C=C1)C(N)=O XYWIPYBIIRTJMM-IBGZPJMESA-N 0.000 description 1
- KVCQTKNUUQOELD-UHFFFAOYSA-N 4-amino-n-[1-(3-chloro-2-fluoroanilino)-6-methylisoquinolin-5-yl]thieno[3,2-d]pyrimidine-7-carboxamide Chemical compound N=1C=CC2=C(NC(=O)C=3C4=NC=NC(N)=C4SC=3)C(C)=CC=C2C=1NC1=CC=CC(Cl)=C1F KVCQTKNUUQOELD-UHFFFAOYSA-N 0.000 description 1
- LSZYHXNOLVSZHH-UHFFFAOYSA-N 4-bromo-2,2-difluoro-1,3-benzodioxole Chemical compound C1=CC(Br)=C2OC(F)(F)OC2=C1 LSZYHXNOLVSZHH-UHFFFAOYSA-N 0.000 description 1
- QHADCLCBIAHOHO-UHFFFAOYSA-N 4-bromo-3-methylpyridine;hydrobromide Chemical compound Br.CC1=CN=CC=C1Br QHADCLCBIAHOHO-UHFFFAOYSA-N 0.000 description 1
- RACKOVAPLUVOJA-UHFFFAOYSA-N 4-ethynyl-1-methylpyrazole Chemical compound CN1C=C(C#C)C=N1 RACKOVAPLUVOJA-UHFFFAOYSA-N 0.000 description 1
- MTPDJOOTUZTBDY-UHFFFAOYSA-N 4-methoxypyridine;hydrate Chemical compound O.COC1=CC=NC=C1 MTPDJOOTUZTBDY-UHFFFAOYSA-N 0.000 description 1
- 125000000339 4-pyridyl group Chemical group N1=C([H])C([H])=C([*])C([H])=C1[H] 0.000 description 1
- 125000004487 4-tetrahydropyranyl group Chemical group [H]C1([H])OC([H])([H])C([H])([H])C([H])(*)C1([H])[H] 0.000 description 1
- IRPVABHDSJVBNZ-RTHVDDQRSA-N 5-[1-(cyclopropylmethyl)-5-[(1R,5S)-3-(oxetan-3-yl)-3-azabicyclo[3.1.0]hexan-6-yl]pyrazol-3-yl]-3-(trifluoromethyl)pyridin-2-amine Chemical compound C1=C(C(F)(F)F)C(N)=NC=C1C1=NN(CC2CC2)C(C2[C@@H]3CN(C[C@@H]32)C2COC2)=C1 IRPVABHDSJVBNZ-RTHVDDQRSA-N 0.000 description 1
- NOYZUQAJMVVXRJ-UHFFFAOYSA-N 5-[2-[6-(trifluoromethyl)pyridin-3-yl]oxypyridin-3-yl]-[1,2,4]triazolo[1,5-a]pyridine Chemical compound FC(C1=CC=C(C=N1)OC1=NC=CC=C1C1=CC=CC=2N1N=CN=2)(F)F NOYZUQAJMVVXRJ-UHFFFAOYSA-N 0.000 description 1
- UBAPTCKJURBEGX-UHFFFAOYSA-N 5-[3-(4-fluoro-2-methoxyphenyl)pyridin-2-yl]oxy-2-[2-(1-methylpyrazol-4-yl)ethyl]pyrimidine Chemical compound FC1=CC(=C(C=C1)C=1C(=NC=CC=1)OC=1C=NC(=NC=1)CCC=1C=NN(C=1)C)OC UBAPTCKJURBEGX-UHFFFAOYSA-N 0.000 description 1
- PBKTZRIBVCEISU-UHFFFAOYSA-N 5-[3-(4-fluoro-2-methoxyphenyl)pyridin-2-yl]oxy-2-[2-(1-methylpyrazol-4-yl)ethynyl]pyrimidine Chemical compound FC1=CC(=C(C=C1)C=1C(=NC=CC=1)OC=1C=NC(=NC=1)C#CC=1C=NN(C=1)C)OC PBKTZRIBVCEISU-UHFFFAOYSA-N 0.000 description 1
- UNGKWGWNRPZZLT-UHFFFAOYSA-N 5-[3-(4-fluoro-2-methoxyphenyl)pyridin-2-yl]oxy-N-methyl-N-(1,3-oxazol-4-ylmethyl)pyrimidin-2-amine Chemical compound FC1=CC(=C(C=C1)C=1C(=NC=CC=1)OC=1C=NC(=NC=1)N(CC=1N=COC=1)C)OC UNGKWGWNRPZZLT-UHFFFAOYSA-N 0.000 description 1
- YIXDPRPHEIOZGC-UHFFFAOYSA-N 5-[3-(4-fluoro-2-methoxyphenyl)pyridin-2-yl]oxy-N-methyl-N-(1,3-thiazol-2-ylmethyl)pyrimidin-2-amine Chemical compound FC1=CC(=C(C=C1)C=1C(=NC=CC=1)OC=1C=NC(=NC=1)N(CC=1SC=CN=1)C)OC YIXDPRPHEIOZGC-UHFFFAOYSA-N 0.000 description 1
- 125000004539 5-benzimidazolyl group Chemical group N1=CNC2=C1C=CC(=C2)* 0.000 description 1
- DDUSLFAWARYAPR-UHFFFAOYSA-N 5-chloro-1,3-dimethylpyrazole Chemical compound CC=1C=C(Cl)N(C)N=1 DDUSLFAWARYAPR-UHFFFAOYSA-N 0.000 description 1
- HQBVPKRARNRSQY-UHFFFAOYSA-N 5-methoxy-1-methylpyrazole Chemical compound COC1=CC=NN1C HQBVPKRARNRSQY-UHFFFAOYSA-N 0.000 description 1
- CWDWFSXUQODZGW-UHFFFAOYSA-N 5-thiazolyl Chemical group [C]1=CN=CS1 CWDWFSXUQODZGW-UHFFFAOYSA-N 0.000 description 1
- GQCSTRNZEZKDMR-UHFFFAOYSA-N 7-[2-[6-(1,1-difluoro-2-methoxyethyl)pyridin-3-yl]oxypyridin-3-yl]pyrazolo[1,5-a]pyridine Chemical compound FC(COC)(F)C1=CC=C(C=N1)OC1=NC=CC=C1C1=CC=CC=2N1N=CC=2 GQCSTRNZEZKDMR-UHFFFAOYSA-N 0.000 description 1
- KDCGOANMDULRCW-UHFFFAOYSA-N 7H-purine Chemical compound N1=CNC2=NC=NC2=C1 KDCGOANMDULRCW-UHFFFAOYSA-N 0.000 description 1
- CYJRNFFLTBEQSQ-UHFFFAOYSA-N 8-(3-methyl-1-benzothiophen-5-yl)-N-(4-methylsulfonylpyridin-3-yl)quinoxalin-6-amine Chemical compound CS(=O)(=O)C1=C(C=NC=C1)NC=1C=C2N=CC=NC2=C(C=1)C=1C=CC2=C(C(=CS2)C)C=1 CYJRNFFLTBEQSQ-UHFFFAOYSA-N 0.000 description 1
- ZRPZPNYZFSJUPA-UHFFFAOYSA-N ARS-1620 Chemical compound Oc1cccc(F)c1-c1c(Cl)cc2c(ncnc2c1F)N1CCN(CC1)C(=O)C=C ZRPZPNYZFSJUPA-UHFFFAOYSA-N 0.000 description 1
- VHUUQVKOLVNVRT-UHFFFAOYSA-N Ammonium hydroxide Chemical compound [NH4+].[OH-] VHUUQVKOLVNVRT-UHFFFAOYSA-N 0.000 description 1
- 102000003989 Aurora kinases Human genes 0.000 description 1
- 108090000433 Aurora kinases Proteins 0.000 description 1
- 208000020925 Bipolar disease Diseases 0.000 description 1
- 241000222122 Candida albicans Species 0.000 description 1
- 206010007134 Candida infections Diseases 0.000 description 1
- OKTJSMMVPCPJKN-UHFFFAOYSA-N Carbon Chemical compound [C] OKTJSMMVPCPJKN-UHFFFAOYSA-N 0.000 description 1
- 241000700199 Cavia porcellus Species 0.000 description 1
- 241000282693 Cercopithecidae Species 0.000 description 1
- VYZAMTAEIAYCRO-UHFFFAOYSA-N Chromium Chemical group [Cr] VYZAMTAEIAYCRO-UHFFFAOYSA-N 0.000 description 1
- KRKNYBCHXYNGOX-UHFFFAOYSA-K Citrate Chemical compound [O-]C(=O)CC(O)(CC([O-])=O)C([O-])=O KRKNYBCHXYNGOX-UHFFFAOYSA-K 0.000 description 1
- 238000006646 Dess-Martin oxidation reaction Methods 0.000 description 1
- FEWJPZIEWOKRBE-JCYAYHJZSA-N Dextrotartaric acid Chemical compound OC(=O)[C@H](O)[C@@H](O)C(O)=O FEWJPZIEWOKRBE-JCYAYHJZSA-N 0.000 description 1
- LCGLNKUTAGEVQW-UHFFFAOYSA-N Dimethyl ether Chemical compound COC LCGLNKUTAGEVQW-UHFFFAOYSA-N 0.000 description 1
- IAZDPXIOMUYVGZ-WFGJKAKNSA-N Dimethyl sulfoxide Chemical compound [2H]C([2H])([2H])S(=O)C([2H])([2H])[2H] IAZDPXIOMUYVGZ-WFGJKAKNSA-N 0.000 description 1
- 208000030453 Drug-Related Side Effects and Adverse reaction Diseases 0.000 description 1
- RVVJKOABTGGRDP-UHFFFAOYSA-N FC(C)(F)C1=CC=C(C=N1)OC1=NC=CC=C1C1=CC=CC=2N1N=CC=2 Chemical compound FC(C)(F)C1=CC=C(C=N1)OC1=NC=CC=C1C1=CC=CC=2N1N=CC=2 RVVJKOABTGGRDP-UHFFFAOYSA-N 0.000 description 1
- BMOAIIPLGXTDOU-UHFFFAOYSA-N FC(COC)(F)C1=CC=C(C=N1)OC1=NC=CC=C1C1=C(C=CC(=C1)F)OC Chemical compound FC(COC)(F)C1=CC=C(C=N1)OC1=NC=CC=C1C1=C(C=CC(=C1)F)OC BMOAIIPLGXTDOU-UHFFFAOYSA-N 0.000 description 1
- GISRWBROCYNDME-PELMWDNLSA-N F[C@H]1[C@H]([C@H](NC1=O)COC1=NC=CC2=CC(=C(C=C12)OC)C(=O)N)C Chemical compound F[C@H]1[C@H]([C@H](NC1=O)COC1=NC=CC2=CC(=C(C=C12)OC)C(=O)N)C GISRWBROCYNDME-PELMWDNLSA-N 0.000 description 1
- 241000282326 Felis catus Species 0.000 description 1
- VZCYOOQTPOCHFL-OWOJBTEDSA-N Fumaric acid Chemical compound OC(=O)\C=C\C(O)=O VZCYOOQTPOCHFL-OWOJBTEDSA-N 0.000 description 1
- 206010017523 Fungaemia Diseases 0.000 description 1
- 208000018522 Gastrointestinal disease Diseases 0.000 description 1
- 239000007821 HATU Substances 0.000 description 1
- 229910004039 HBF4 Inorganic materials 0.000 description 1
- CPELXLSAUQHCOX-UHFFFAOYSA-N Hydrogen bromide Chemical compound Br CPELXLSAUQHCOX-UHFFFAOYSA-N 0.000 description 1
- JVTAAEKCZFNVCJ-UHFFFAOYSA-M Lactate Chemical compound CC(O)C([O-])=O JVTAAEKCZFNVCJ-UHFFFAOYSA-M 0.000 description 1
- WLLGXSLBOPFWQV-UHFFFAOYSA-N MGK 264 Chemical compound C1=CC2CC1C1C2C(=O)N(CC(CC)CCCC)C1=O WLLGXSLBOPFWQV-UHFFFAOYSA-N 0.000 description 1
- OFOBLEOULBTSOW-UHFFFAOYSA-L Malonate Chemical compound [O-]C(=O)CC([O-])=O OFOBLEOULBTSOW-UHFFFAOYSA-L 0.000 description 1
- 206010027236 Meningitis fungal Diseases 0.000 description 1
- 241001465754 Metazoa Species 0.000 description 1
- AFVFQIVMOAPDHO-UHFFFAOYSA-N Methanesulfonic acid Chemical compound CS(O)(=O)=O AFVFQIVMOAPDHO-UHFFFAOYSA-N 0.000 description 1
- WRQNANDWMGAFTP-UHFFFAOYSA-N Methylacetoacetic acid Chemical compound COC(=O)CC(C)=O WRQNANDWMGAFTP-UHFFFAOYSA-N 0.000 description 1
- 241000243190 Microsporidia Species 0.000 description 1
- AYCPARAPKDAOEN-LJQANCHMSA-N N-[(1S)-2-(dimethylamino)-1-phenylethyl]-6,6-dimethyl-3-[(2-methyl-4-thieno[3,2-d]pyrimidinyl)amino]-1,4-dihydropyrrolo[3,4-c]pyrazole-5-carboxamide Chemical compound C1([C@H](NC(=O)N2C(C=3NN=C(NC=4C=5SC=CC=5N=C(C)N=4)C=3C2)(C)C)CN(C)C)=CC=CC=C1 AYCPARAPKDAOEN-LJQANCHMSA-N 0.000 description 1
- IKMHVXGMJOUQBY-UHFFFAOYSA-N N-[2,2-difluoro-2-[5-[3-(2-methoxyphenyl)pyridin-2-yl]oxypyridin-2-yl]ethyl]-N-methylacetamide Chemical compound FC(CN(C(C)=O)C)(C1=NC=C(C=C1)OC1=NC=CC=C1C1=C(C=CC=C1)OC)F IKMHVXGMJOUQBY-UHFFFAOYSA-N 0.000 description 1
- BHTPOJAQPNBWMK-UHFFFAOYSA-N N-ethyl-2,2-difluoro-2-[5-[3-(2-methoxyphenyl)pyridin-2-yl]oxypyridin-2-yl]-N-methylethanamine Chemical compound C(C)N(CC(C1=NC=C(C=C1)OC1=NC=CC=C1C1=C(C=CC=C1)OC)(F)F)C BHTPOJAQPNBWMK-UHFFFAOYSA-N 0.000 description 1
- KCTZOTUQSGYWLV-UHFFFAOYSA-N N1C=NC=C2N=CC=C21 Chemical compound N1C=NC=C2N=CC=C21 KCTZOTUQSGYWLV-UHFFFAOYSA-N 0.000 description 1
- 229910002651 NO3 Inorganic materials 0.000 description 1
- 206010028980 Neoplasm Diseases 0.000 description 1
- NHNBFGGVMKEFGY-UHFFFAOYSA-N Nitrate Chemical compound [O-][N+]([O-])=O NHNBFGGVMKEFGY-UHFFFAOYSA-N 0.000 description 1
- GRYLNZFGIOXLOG-UHFFFAOYSA-N Nitric acid Chemical compound O[N+]([O-])=O GRYLNZFGIOXLOG-UHFFFAOYSA-N 0.000 description 1
- IDRGFNPZDVBSSE-UHFFFAOYSA-N OCCN1CCN(CC1)c1ccc(Nc2ncc3cccc(-c4cccc(NC(=O)C=C)c4)c3n2)c(F)c1F Chemical compound OCCN1CCN(CC1)c1ccc(Nc2ncc3cccc(-c4cccc(NC(=O)C=C)c4)c3n2)c(F)c1F IDRGFNPZDVBSSE-UHFFFAOYSA-N 0.000 description 1
- 208000008589 Obesity Diseases 0.000 description 1
- 208000021384 Obsessive-Compulsive disease Diseases 0.000 description 1
- 208000010195 Onychomycosis Diseases 0.000 description 1
- 235000019502 Orange oil Nutrition 0.000 description 1
- 241000283973 Oryctolagus cuniculus Species 0.000 description 1
- MUBZPKHOEPUJKR-UHFFFAOYSA-N Oxalic acid Chemical compound OC(=O)C(O)=O MUBZPKHOEPUJKR-UHFFFAOYSA-N 0.000 description 1
- ZCQWOFVYLHDMMC-UHFFFAOYSA-N Oxazole Chemical compound C1=COC=N1 ZCQWOFVYLHDMMC-UHFFFAOYSA-N 0.000 description 1
- 229910019142 PO4 Inorganic materials 0.000 description 1
- PCNDJXKNXGMECE-UHFFFAOYSA-N Phenazine Natural products C1=CC=CC2=NC3=CC=CC=C3N=C21 PCNDJXKNXGMECE-UHFFFAOYSA-N 0.000 description 1
- CZPWVGJYEJSRLH-UHFFFAOYSA-N Pyrimidine Chemical compound C1=CN=CN=C1 CZPWVGJYEJSRLH-UHFFFAOYSA-N 0.000 description 1
- 206010057190 Respiratory tract infections Diseases 0.000 description 1
- 108010077895 Sarcosine Proteins 0.000 description 1
- UIIMBOGNXHQVGW-DEQYMQKBSA-M Sodium bicarbonate-14C Chemical class [Na+].O[14C]([O-])=O UIIMBOGNXHQVGW-DEQYMQKBSA-M 0.000 description 1
- QAOWNCQODCNURD-UHFFFAOYSA-L Sulfate Chemical compound [O-]S([O-])(=O)=O QAOWNCQODCNURD-UHFFFAOYSA-L 0.000 description 1
- FZWLAAWBMGSTSO-UHFFFAOYSA-N Thiazole Chemical compound C1=CSC=N1 FZWLAAWBMGSTSO-UHFFFAOYSA-N 0.000 description 1
- 239000007875 V-40 Substances 0.000 description 1
- LXRZVMYMQHNYJB-UNXOBOICSA-N [(1R,2S,4R)-4-[[5-[4-[(1R)-7-chloro-1,2,3,4-tetrahydroisoquinolin-1-yl]-5-methylthiophene-2-carbonyl]pyrimidin-4-yl]amino]-2-hydroxycyclopentyl]methyl sulfamate Chemical compound CC1=C(C=C(S1)C(=O)C1=C(N[C@H]2C[C@H](O)[C@@H](COS(N)(=O)=O)C2)N=CN=C1)[C@@H]1NCCC2=C1C=C(Cl)C=C2 LXRZVMYMQHNYJB-UNXOBOICSA-N 0.000 description 1
- KXKVLQRXCPHEJC-UHFFFAOYSA-N acetic acid trimethyl ester Natural products COC(C)=O KXKVLQRXCPHEJC-UHFFFAOYSA-N 0.000 description 1
- 238000007259 addition reaction Methods 0.000 description 1
- 239000000443 aerosol Substances 0.000 description 1
- 229910052783 alkali metal Inorganic materials 0.000 description 1
- 229910052784 alkaline earth metal Inorganic materials 0.000 description 1
- 125000003302 alkenyloxy group Chemical group 0.000 description 1
- 125000004453 alkoxycarbonyl group Chemical group 0.000 description 1
- 125000005133 alkynyloxy group Chemical group 0.000 description 1
- HSFWRNGVRCDJHI-UHFFFAOYSA-N alpha-acetylene Natural products C#C HSFWRNGVRCDJHI-UHFFFAOYSA-N 0.000 description 1
- 150000001412 amines Chemical class 0.000 description 1
- QGZKDVFQNNGYKY-UHFFFAOYSA-N ammonia Natural products N QGZKDVFQNNGYKY-UHFFFAOYSA-N 0.000 description 1
- 235000011114 ammonium hydroxide Nutrition 0.000 description 1
- 230000033115 angiogenesis Effects 0.000 description 1
- 239000012300 argon atmosphere Substances 0.000 description 1
- 150000001502 aryl halides Chemical class 0.000 description 1
- RFRXIWQYSOIBDI-UHFFFAOYSA-N benzarone Chemical compound CCC=1OC2=CC=CC=C2C=1C(=O)C1=CC=C(O)C=C1 RFRXIWQYSOIBDI-UHFFFAOYSA-N 0.000 description 1
- 229940077388 benzenesulfonate Drugs 0.000 description 1
- SRSXLGNVWSONIS-UHFFFAOYSA-M benzenesulfonate Chemical compound [O-]S(=O)(=O)C1=CC=CC=C1 SRSXLGNVWSONIS-UHFFFAOYSA-M 0.000 description 1
- 125000004604 benzisothiazolyl group Chemical group S1N=C(C2=C1C=CC=C2)* 0.000 description 1
- 125000004603 benzisoxazolyl group Chemical group O1N=C(C2=C1C=CC=C2)* 0.000 description 1
- BNBQRQQYDMDJAH-UHFFFAOYSA-N benzodioxan Chemical compound C1=CC=C2OCCOC2=C1 BNBQRQQYDMDJAH-UHFFFAOYSA-N 0.000 description 1
- 125000004244 benzofuran-2-yl group Chemical group [H]C1=C(*)OC2=C([H])C([H])=C([H])C([H])=C12 0.000 description 1
- 125000004532 benzofuran-3-yl group Chemical group O1C=C(C2=C1C=CC=C2)* 0.000 description 1
- 125000004533 benzofuran-5-yl group Chemical group O1C=CC2=C1C=CC(=C2)* 0.000 description 1
- 125000000499 benzofuranyl group Chemical group O1C(=CC2=C1C=CC=C2)* 0.000 description 1
- 125000004190 benzothiazol-2-yl group Chemical group [H]C1=C([H])C([H])=C2N=C(*)SC2=C1[H] 0.000 description 1
- 125000004540 benzothiazol-5-yl group Chemical group S1C=NC2=C1C=CC(=C2)* 0.000 description 1
- 125000004541 benzoxazolyl group Chemical group O1C(=NC2=C1C=CC=C2)* 0.000 description 1
- AGEZXYOZHKGVCM-UHFFFAOYSA-N benzyl bromide Chemical compound BrCC1=CC=CC=C1 AGEZXYOZHKGVCM-UHFFFAOYSA-N 0.000 description 1
- 239000011230 binding agent Substances 0.000 description 1
- KZIBQYUFIVUOHY-UHFFFAOYSA-N bis(2-methylpropyl)alumane toluene Chemical compound Cc1ccccc1.[H][Al](CC(C)C)CC(C)C KZIBQYUFIVUOHY-UHFFFAOYSA-N 0.000 description 1
- 150000001642 boronic acid derivatives Chemical class 0.000 description 1
- 239000012267 brine Substances 0.000 description 1
- RDHPKYGYEGBMSE-UHFFFAOYSA-N bromoethane Chemical compound CCBr RDHPKYGYEGBMSE-UHFFFAOYSA-N 0.000 description 1
- FLHFTXCMKFVKRP-UHFFFAOYSA-N bromomethylcyclobutane Chemical compound BrCC1CCC1 FLHFTXCMKFVKRP-UHFFFAOYSA-N 0.000 description 1
- AEILLAXRDHDKDY-UHFFFAOYSA-N bromomethylcyclopropane Chemical compound BrCC1CC1 AEILLAXRDHDKDY-UHFFFAOYSA-N 0.000 description 1
- 239000000872 buffer Substances 0.000 description 1
- 239000006227 byproduct Substances 0.000 description 1
- 159000000007 calcium salts Chemical class 0.000 description 1
- 201000011510 cancer Diseases 0.000 description 1
- 201000003984 candidiasis Diseases 0.000 description 1
- 125000002837 carbocyclic group Chemical group 0.000 description 1
- 229910002091 carbon monoxide Inorganic materials 0.000 description 1
- 150000001734 carboxylic acid salts Chemical class 0.000 description 1
- DGLFSNZWRYADFC-UHFFFAOYSA-N chembl2334586 Chemical compound C1CCC2=CN=C(N)N=C2C2=C1NC1=CC=C(C#CC(C)(O)C)C=C12 DGLFSNZWRYADFC-UHFFFAOYSA-N 0.000 description 1
- VZWXIQHBIQLMPN-UHFFFAOYSA-N chromane Chemical compound C1=CC=C2CCCOC2=C1 VZWXIQHBIQLMPN-UHFFFAOYSA-N 0.000 description 1
- 238000004587 chromatography analysis Methods 0.000 description 1
- QZHPTGXQGDFGEN-UHFFFAOYSA-N chromene Chemical compound C1=CC=C2C=C[CH]OC2=C1 QZHPTGXQGDFGEN-UHFFFAOYSA-N 0.000 description 1
- 229910052804 chromium Inorganic materials 0.000 description 1
- 239000011651 chromium Chemical group 0.000 description 1
- WCZVZNOTHYJIEI-UHFFFAOYSA-N cinnoline Chemical compound N1=NC=CC2=CC=CC=C21 WCZVZNOTHYJIEI-UHFFFAOYSA-N 0.000 description 1
- 229940001468 citrate Drugs 0.000 description 1
- 230000007012 clinical effect Effects 0.000 description 1
- 238000009833 condensation Methods 0.000 description 1
- 230000005494 condensation Effects 0.000 description 1
- 238000006482 condensation reaction Methods 0.000 description 1
- DOBRDRYODQBAMW-UHFFFAOYSA-N copper(i) cyanide Chemical compound [Cu+].N#[C-] DOBRDRYODQBAMW-UHFFFAOYSA-N 0.000 description 1
- 238000002425 crystallisation Methods 0.000 description 1
- 230000008025 crystallization Effects 0.000 description 1
- 208000005035 cutaneous candidiasis Diseases 0.000 description 1
- 125000001995 cyclobutyl group Chemical group [H]C1([H])C([H])([H])C([H])(*)C1([H])[H] 0.000 description 1
- 125000000582 cycloheptyl group Chemical group [H]C1([H])C([H])([H])C([H])([H])C([H])([H])C([H])(*)C([H])([H])C1([H])[H] 0.000 description 1
- 125000000113 cyclohexyl group Chemical group [H]C1([H])C([H])([H])C([H])([H])C([H])(*)C([H])([H])C1([H])[H] 0.000 description 1
- 125000001511 cyclopentyl group Chemical group [H]C1([H])C([H])([H])C([H])([H])C([H])(*)C1([H])[H] 0.000 description 1
- WLVKDFJTYKELLQ-UHFFFAOYSA-N cyclopropylboronic acid Chemical compound OB(O)C1CC1 WLVKDFJTYKELLQ-UHFFFAOYSA-N 0.000 description 1
- 238000006297 dehydration reaction Methods 0.000 description 1
- 239000003405 delayed action preparation Substances 0.000 description 1
- NKLCNNUWBJBICK-UHFFFAOYSA-N dess–martin periodinane Chemical compound C1=CC=C2I(OC(=O)C)(OC(C)=O)(OC(C)=O)OC(=O)C2=C1 NKLCNNUWBJBICK-UHFFFAOYSA-N 0.000 description 1
- WMKGGPCROCCUDY-PHEQNACWSA-N dibenzylideneacetone Chemical compound C=1C=CC=CC=1\C=C\C(=O)\C=C\C1=CC=CC=C1 WMKGGPCROCCUDY-PHEQNACWSA-N 0.000 description 1
- HQWPLXHWEZZGKY-UHFFFAOYSA-N diethylzinc Chemical compound CC[Zn]CC HQWPLXHWEZZGKY-UHFFFAOYSA-N 0.000 description 1
- 125000005046 dihydronaphthyl group Chemical group 0.000 description 1
- NZZFYRREKKOMAT-UHFFFAOYSA-N diiodomethane Chemical compound ICI NZZFYRREKKOMAT-UHFFFAOYSA-N 0.000 description 1
- 125000005594 diketone group Chemical group 0.000 description 1
- 239000003085 diluting agent Substances 0.000 description 1
- XHFGWHUWQXTGAT-UHFFFAOYSA-N dimethylamine hydrochloride Natural products CNC(C)C XHFGWHUWQXTGAT-UHFFFAOYSA-N 0.000 description 1
- IQDGSYLLQPDQDV-UHFFFAOYSA-N dimethylazanium;chloride Chemical compound Cl.CNC IQDGSYLLQPDQDV-UHFFFAOYSA-N 0.000 description 1
- 239000007884 disintegrant Substances 0.000 description 1
- 238000004821 distillation Methods 0.000 description 1
- CNXMDTWQWLGCPE-UHFFFAOYSA-N ditert-butyl-(2-phenylphenyl)phosphane Chemical group CC(C)(C)P(C(C)(C)C)C1=CC=CC=C1C1=CC=CC=C1 CNXMDTWQWLGCPE-UHFFFAOYSA-N 0.000 description 1
- SACNIGZYDTUHKB-UHFFFAOYSA-N ditert-butyl-[2-[2,4,6-tri(propan-2-yl)phenyl]phenyl]phosphane Chemical group CC(C)C1=CC(C(C)C)=CC(C(C)C)=C1C1=CC=CC=C1P(C(C)(C)C)C(C)(C)C SACNIGZYDTUHKB-UHFFFAOYSA-N 0.000 description 1
- 239000008298 dragée Substances 0.000 description 1
- 238000000132 electrospray ionisation Methods 0.000 description 1
- 239000003480 eluent Substances 0.000 description 1
- 239000003995 emulsifying agent Substances 0.000 description 1
- 230000001804 emulsifying effect Effects 0.000 description 1
- 239000000839 emulsion Substances 0.000 description 1
- 238000005516 engineering process Methods 0.000 description 1
- 210000002615 epidermis Anatomy 0.000 description 1
- 230000008029 eradication Effects 0.000 description 1
- 125000003754 ethoxycarbonyl group Chemical group C(=O)(OCC)* 0.000 description 1
- 125000005448 ethoxyethyl group Chemical group [H]C([H])([H])C([H])([H])OC([H])([H])C([H])([H])* 0.000 description 1
- 125000005745 ethoxymethyl group Chemical group [H]C([H])([H])C([H])([H])OC([H])([H])* 0.000 description 1
- ZANNOFHADGWOLI-UHFFFAOYSA-N ethyl 2-hydroxyacetate Chemical compound CCOC(=O)CO ZANNOFHADGWOLI-UHFFFAOYSA-N 0.000 description 1
- 125000004672 ethylcarbonyl group Chemical group [H]C([H])([H])C([H])([H])C(*)=O 0.000 description 1
- 125000004705 ethylthio group Chemical group C(C)S* 0.000 description 1
- 238000001704 evaporation Methods 0.000 description 1
- 230000005713 exacerbation Effects 0.000 description 1
- 238000000605 extraction Methods 0.000 description 1
- 239000007941 film coated tablet Substances 0.000 description 1
- 210000004904 fingernail bed Anatomy 0.000 description 1
- 239000000796 flavoring agent Substances 0.000 description 1
- 239000012530 fluid Substances 0.000 description 1
- RIKMMFOAQPJVMX-UHFFFAOYSA-N fomepizole Chemical compound CC=1C=NNC=1 RIKMMFOAQPJVMX-UHFFFAOYSA-N 0.000 description 1
- 235000013355 food flavoring agent Nutrition 0.000 description 1
- 235000003599 food sweetener Nutrition 0.000 description 1
- 125000000524 functional group Chemical group 0.000 description 1
- 230000002538 fungal effect Effects 0.000 description 1
- 201000010056 fungal meningitis Diseases 0.000 description 1
- 239000000499 gel Substances 0.000 description 1
- 210000004209 hair Anatomy 0.000 description 1
- 229910052736 halogen Inorganic materials 0.000 description 1
- 230000026030 halogenation Effects 0.000 description 1
- 238000005658 halogenation reaction Methods 0.000 description 1
- 150000002367 halogens Chemical class 0.000 description 1
- JYVHOGDBFNJNMR-UHFFFAOYSA-N hexane;hydrate Chemical compound O.CCCCCC JYVHOGDBFNJNMR-UHFFFAOYSA-N 0.000 description 1
- USZLCYNVCCDPLQ-UHFFFAOYSA-N hydron;n-methoxymethanamine;chloride Chemical compound Cl.CNOC USZLCYNVCCDPLQ-UHFFFAOYSA-N 0.000 description 1
- NPZTUJOABDZTLV-UHFFFAOYSA-N hydroxybenzotriazole Substances O=C1C=CC=C2NNN=C12 NPZTUJOABDZTLV-UHFFFAOYSA-N 0.000 description 1
- 239000005457 ice water Substances 0.000 description 1
- 150000004693 imidazolium salts Chemical class 0.000 description 1
- 125000003392 indanyl group Chemical group C1(CCC2=CC=CC=C12)* 0.000 description 1
- 125000004245 indazol-3-yl group Chemical group [H]N1N=C(*)C2=C([H])C([H])=C([H])C([H])=C12 0.000 description 1
- 125000000593 indol-1-yl group Chemical group [H]C1=C([H])C([H])=C2N([*])C([H])=C([H])C2=C1[H] 0.000 description 1
- 125000002249 indol-2-yl group Chemical group [H]C1=C([H])C([H])=C2N([H])C([*])=C([H])C2=C1[H] 0.000 description 1
- 125000000814 indol-3-yl group Chemical group [H]C1=C([H])C([H])=C2N([H])C([H])=C([*])C2=C1[H] 0.000 description 1
- 125000004531 indol-5-yl group Chemical group [H]N1C([H])=C([H])C2=C([H])C(*)=C([H])C([H])=C12 0.000 description 1
- 125000001041 indolyl group Chemical group 0.000 description 1
- 239000003999 initiator Substances 0.000 description 1
- 239000007924 injection Substances 0.000 description 1
- 238000002347 injection Methods 0.000 description 1
- 239000011630 iodine Substances 0.000 description 1
- OWFXIOWLTKNBAP-UHFFFAOYSA-N isoamyl nitrite Chemical compound CC(C)CCON=O OWFXIOWLTKNBAP-UHFFFAOYSA-N 0.000 description 1
- GWVMLCQWXVFZCN-UHFFFAOYSA-N isoindoline Chemical compound C1=CC=C2CNCC2=C1 GWVMLCQWXVFZCN-UHFFFAOYSA-N 0.000 description 1
- 238000002955 isolation Methods 0.000 description 1
- JMMWKPVZQRWMSS-UHFFFAOYSA-N isopropanol acetate Natural products CC(C)OC(C)=O JMMWKPVZQRWMSS-UHFFFAOYSA-N 0.000 description 1
- 125000000555 isopropenyl group Chemical group [H]\C([H])=C(\*)C([H])([H])[H] 0.000 description 1
- 229940011051 isopropyl acetate Drugs 0.000 description 1
- 125000005928 isopropyloxycarbonyl group Chemical group [H]C([H])([H])C([H])(OC(*)=O)C([H])([H])[H] 0.000 description 1
- 125000004254 isoquinolin-1-yl group Chemical group [H]C1=C([H])C2=C([H])C([H])=C([H])C([H])=C2C(*)=N1 0.000 description 1
- 125000004552 isoquinolin-4-yl group Chemical group C1=NC=C(C2=CC=CC=C12)* 0.000 description 1
- ZLTPDFXIESTBQG-UHFFFAOYSA-N isothiazole Chemical compound C=1C=NSC=1 ZLTPDFXIESTBQG-UHFFFAOYSA-N 0.000 description 1
- GWYFCOCPABKNJV-UHFFFAOYSA-N isovaleric acid Chemical compound CC(C)CC(O)=O GWYFCOCPABKNJV-UHFFFAOYSA-N 0.000 description 1
- CTAPFRYPJLPFDF-UHFFFAOYSA-N isoxazole Chemical compound C=1C=NOC=1 CTAPFRYPJLPFDF-UHFFFAOYSA-N 0.000 description 1
- 229960004130 itraconazole Drugs 0.000 description 1
- 235000015110 jellies Nutrition 0.000 description 1
- 229940001447 lactate Drugs 0.000 description 1
- 239000010410 layer Substances 0.000 description 1
- 239000012280 lithium aluminium hydride Substances 0.000 description 1
- DLEDOFVPSDKWEF-UHFFFAOYSA-N lithium butane Chemical compound [Li+].CCC[CH2-] DLEDOFVPSDKWEF-UHFFFAOYSA-N 0.000 description 1
- 229910003002 lithium salt Inorganic materials 0.000 description 1
- 159000000002 lithium salts Chemical class 0.000 description 1
- UBJFKNSINUCEAL-UHFFFAOYSA-N lithium;2-methylpropane Chemical compound [Li+].C[C-](C)C UBJFKNSINUCEAL-UHFFFAOYSA-N 0.000 description 1
- WGOPGODQLGJZGL-UHFFFAOYSA-N lithium;butane Chemical compound [Li+].CC[CH-]C WGOPGODQLGJZGL-UHFFFAOYSA-N 0.000 description 1
- DBTNVRCCIDISMV-UHFFFAOYSA-L lithium;magnesium;propane;dichloride Chemical compound [Li+].[Mg+2].[Cl-].[Cl-].C[CH-]C DBTNVRCCIDISMV-UHFFFAOYSA-L 0.000 description 1
- 208000019423 liver disease Diseases 0.000 description 1
- 159000000003 magnesium salts Chemical class 0.000 description 1
- 229910052943 magnesium sulfate Inorganic materials 0.000 description 1
- 235000019341 magnesium sulphate Nutrition 0.000 description 1
- 229940049920 malate Drugs 0.000 description 1
- VZCYOOQTPOCHFL-UPHRSURJSA-N maleic acid Chemical compound OC(=O)\C=C/C(O)=O VZCYOOQTPOCHFL-UPHRSURJSA-N 0.000 description 1
- BJEPYKJPYRNKOW-UHFFFAOYSA-N malic acid Chemical compound OC(=O)C(O)CC(O)=O BJEPYKJPYRNKOW-UHFFFAOYSA-N 0.000 description 1
- 238000001819 mass spectrum Methods 0.000 description 1
- 239000000463 material Substances 0.000 description 1
- 238000005259 measurement Methods 0.000 description 1
- LULAYUGMBFYYEX-UHFFFAOYSA-N metachloroperbenzoic acid Natural products OC(=O)C1=CC=CC(Cl)=C1 LULAYUGMBFYYEX-UHFFFAOYSA-N 0.000 description 1
- 125000001160 methoxycarbonyl group Chemical group [H]C([H])([H])OC(*)=O 0.000 description 1
- 125000004184 methoxymethyl group Chemical group [H]C([H])([H])OC([H])([H])* 0.000 description 1
- XMJHPCRAQCTCFT-UHFFFAOYSA-N methyl chloroformate Chemical compound COC(Cl)=O XMJHPCRAQCTCFT-UHFFFAOYSA-N 0.000 description 1
- NQMRYBIKMRVZLB-UHFFFAOYSA-N methylamine hydrochloride Chemical compound [Cl-].[NH3+]C NQMRYBIKMRVZLB-UHFFFAOYSA-N 0.000 description 1
- 125000004674 methylcarbonyl group Chemical group CC(=O)* 0.000 description 1
- 125000002816 methylsulfanyl group Chemical group [H]C([H])([H])S[*] 0.000 description 1
- 239000002808 molecular sieve Substances 0.000 description 1
- 229910000402 monopotassium phosphate Inorganic materials 0.000 description 1
- 235000019796 monopotassium phosphate Nutrition 0.000 description 1
- 125000004573 morpholin-4-yl group Chemical group N1(CCOCC1)* 0.000 description 1
- 125000004708 n-butylthio group Chemical group C(CCC)S* 0.000 description 1
- 125000001298 n-hexoxy group Chemical group [H]C([H])([H])C([H])([H])C([H])([H])C([H])([H])C([H])([H])C([H])([H])O* 0.000 description 1
- 125000001280 n-hexyl group Chemical group C(CCCCC)* 0.000 description 1
- 125000004718 n-hexylthio group Chemical group C(CCCCC)S* 0.000 description 1
- VCVSKQNPBCXRAM-UHFFFAOYSA-N n-methyl-1-(1,3-oxazol-4-yl)methanamine Chemical compound CNCC1=COC=N1 VCVSKQNPBCXRAM-UHFFFAOYSA-N 0.000 description 1
- MNHGOWYUJYMPGV-UHFFFAOYSA-N n-methyl-1-(1,3-thiazol-2-yl)methanamine Chemical compound CNCC1=NC=CS1 MNHGOWYUJYMPGV-UHFFFAOYSA-N 0.000 description 1
- 125000003935 n-pentoxy group Chemical group [H]C([H])([H])C([H])([H])C([H])([H])C([H])([H])C([H])([H])O* 0.000 description 1
- 125000000740 n-pentyl group Chemical group [H]C([H])([H])C([H])([H])C([H])([H])C([H])([H])C([H])([H])* 0.000 description 1
- 125000004712 n-pentylthio group Chemical group C(CCCC)S* 0.000 description 1
- 125000006252 n-propylcarbonyl group Chemical group [H]C([H])([H])C([H])([H])C([H])([H])C(*)=O 0.000 description 1
- 125000004706 n-propylthio group Chemical group C(CC)S* 0.000 description 1
- 125000005484 neopentoxy group Chemical group 0.000 description 1
- 125000001971 neopentyl group Chemical group [H]C([*])([H])C(C([H])([H])[H])(C([H])([H])[H])C([H])([H])[H] 0.000 description 1
- 125000005933 neopentyloxycarbonyl group Chemical group 0.000 description 1
- 229910017604 nitric acid Inorganic materials 0.000 description 1
- 235000020824 obesity Nutrition 0.000 description 1
- 239000000668 oral spray Substances 0.000 description 1
- 239000006191 orally-disintegrating tablet Substances 0.000 description 1
- 239000010502 orange oil Substances 0.000 description 1
- WCPAKWJPBJAGKN-UHFFFAOYSA-N oxadiazole Chemical compound C1=CON=N1 WCPAKWJPBJAGKN-UHFFFAOYSA-N 0.000 description 1
- LMYJGUNNJIDROI-UHFFFAOYSA-N oxan-4-ol Chemical compound OC1CCOCC1 LMYJGUNNJIDROI-UHFFFAOYSA-N 0.000 description 1
- 238000007254 oxidation reaction Methods 0.000 description 1
- NXJCBFBQEVOTOW-UHFFFAOYSA-L palladium(2+);dihydroxide Chemical compound O[Pd]O NXJCBFBQEVOTOW-UHFFFAOYSA-L 0.000 description 1
- UQPUONNXJVWHRM-UHFFFAOYSA-N palladium;triphenylphosphane Chemical compound [Pd].C1=CC=CC=C1P(C=1C=CC=CC=1)C1=CC=CC=C1 UQPUONNXJVWHRM-UHFFFAOYSA-N 0.000 description 1
- 230000035515 penetration Effects 0.000 description 1
- 239000008194 pharmaceutical composition Substances 0.000 description 1
- NBIIXXVUZAFLBC-UHFFFAOYSA-K phosphate Chemical compound [O-]P([O-])([O-])=O NBIIXXVUZAFLBC-UHFFFAOYSA-K 0.000 description 1
- 239000010452 phosphate Substances 0.000 description 1
- PJNZPQUBCPKICU-UHFFFAOYSA-N phosphoric acid;potassium Chemical compound [K].OP(O)(O)=O PJNZPQUBCPKICU-UHFFFAOYSA-N 0.000 description 1
- UXCDUFKZSUBXGM-UHFFFAOYSA-N phosphoric tribromide Chemical compound BrP(Br)(Br)=O UXCDUFKZSUBXGM-UHFFFAOYSA-N 0.000 description 1
- 125000004193 piperazinyl group Chemical group 0.000 description 1
- 125000000587 piperidin-1-yl group Chemical group [H]C1([H])N(*)C([H])([H])C([H])([H])C([H])([H])C1([H])[H] 0.000 description 1
- 125000004482 piperidin-4-yl group Chemical group N1CCC(CC1)* 0.000 description 1
- 125000003386 piperidinyl group Chemical group 0.000 description 1
- LZMJNVRJMFMYQS-UHFFFAOYSA-N poseltinib Chemical compound C1CN(C)CCN1C(C=C1)=CC=C1NC1=NC(OC=2C=C(NC(=O)C=C)C=CC=2)=C(OC=C2)C2=N1 LZMJNVRJMFMYQS-UHFFFAOYSA-N 0.000 description 1
- 235000011056 potassium acetate Nutrition 0.000 description 1
- XAEFZNCEHLXOMS-UHFFFAOYSA-M potassium benzoate Chemical compound [K+].[O-]C(=O)C1=CC=CC=C1 XAEFZNCEHLXOMS-UHFFFAOYSA-M 0.000 description 1
- GNSKLFRGEWLPPA-UHFFFAOYSA-M potassium dihydrogen phosphate Chemical class [K+].OP(O)([O-])=O GNSKLFRGEWLPPA-UHFFFAOYSA-M 0.000 description 1
- LJCNRYVRMXRIQR-OLXYHTOASA-L potassium sodium L-tartrate Chemical compound [Na+].[K+].[O-]C(=O)[C@H](O)[C@@H](O)C([O-])=O LJCNRYVRMXRIQR-OLXYHTOASA-L 0.000 description 1
- 239000003755 preservative agent Substances 0.000 description 1
- 230000002335 preservative effect Effects 0.000 description 1
- 230000002265 prevention Effects 0.000 description 1
- 125000002924 primary amino group Chemical group [H]N([H])* 0.000 description 1
- VVWRJUBEIPHGQF-UHFFFAOYSA-N propan-2-yl n-propan-2-yloxycarbonyliminocarbamate Chemical compound CC(C)OC(=O)N=NC(=O)OC(C)C VVWRJUBEIPHGQF-UHFFFAOYSA-N 0.000 description 1
- 238000000425 proton nuclear magnetic resonance spectrum Methods 0.000 description 1
- 238000000746 purification Methods 0.000 description 1
- 125000004307 pyrazin-2-yl group Chemical group [H]C1=C([H])N=C(*)C([H])=N1 0.000 description 1
- 125000002206 pyridazin-3-yl group Chemical group [H]C1=C([H])C([H])=C(*)N=N1 0.000 description 1
- PBMFSQRYOILNGV-UHFFFAOYSA-N pyridazine Chemical compound C1=CC=NN=C1 PBMFSQRYOILNGV-UHFFFAOYSA-N 0.000 description 1
- YEYHFKBVNARCNE-UHFFFAOYSA-N pyrido[2,3-b]pyrazine Chemical compound N1=CC=NC2=CC=CN=C21 YEYHFKBVNARCNE-UHFFFAOYSA-N 0.000 description 1
- 125000004528 pyrimidin-5-yl group Chemical group N1=CN=CC(=C1)* 0.000 description 1
- 125000004546 quinazolin-4-yl group Chemical group N1=CN=C(C2=CC=CC=C12)* 0.000 description 1
- 125000004547 quinazolin-6-yl group Chemical group N1=CN=CC2=CC(=CC=C12)* 0.000 description 1
- 125000004549 quinolin-4-yl group Chemical group N1=CC=C(C2=CC=CC=C12)* 0.000 description 1
- 125000004550 quinolin-6-yl group Chemical group N1=CC=CC2=CC(=CC=C12)* 0.000 description 1
- 125000004553 quinoxalin-5-yl group Chemical group N1=CC=NC2=C(C=CC=C12)* 0.000 description 1
- XSCHRSMBECNVNS-UHFFFAOYSA-N quinoxaline Chemical compound N1=CC=NC2=CC=CC=C21 XSCHRSMBECNVNS-UHFFFAOYSA-N 0.000 description 1
- 238000006722 reduction reaction Methods 0.000 description 1
- 238000011160 research Methods 0.000 description 1
- 208000023504 respiratory system disease Diseases 0.000 description 1
- YGSDEFSMJLZEOE-UHFFFAOYSA-M salicylate Chemical compound OC1=CC=CC=C1C([O-])=O YGSDEFSMJLZEOE-UHFFFAOYSA-M 0.000 description 1
- 229960001860 salicylate Drugs 0.000 description 1
- 229940043230 sarcosine Drugs 0.000 description 1
- 210000004761 scalp Anatomy 0.000 description 1
- 201000000980 schizophrenia Diseases 0.000 description 1
- 125000005930 sec-butyloxycarbonyl group Chemical group [H]C([H])([H])C([H])([H])C([H])(OC(*)=O)C([H])([H])[H] 0.000 description 1
- XIIOFHFUYBLOLW-UHFFFAOYSA-N selpercatinib Chemical compound OC(COC=1C=C(C=2N(C=1)N=CC=2C#N)C=1C=NC(=CC=1)N1CC2N(C(C1)C2)CC=1C=NC(=CC=1)OC)(C)C XIIOFHFUYBLOLW-UHFFFAOYSA-N 0.000 description 1
- 238000000926 separation method Methods 0.000 description 1
- XGVXKJKTISMIOW-ZDUSSCGKSA-N simurosertib Chemical compound N1N=CC(C=2SC=3C(=O)NC(=NC=3C=2)[C@H]2N3CCC(CC3)C2)=C1C XGVXKJKTISMIOW-ZDUSSCGKSA-N 0.000 description 1
- URGAHOPLAPQHLN-UHFFFAOYSA-N sodium aluminosilicate Chemical compound [Na+].[Al+3].[O-][Si]([O-])=O.[O-][Si]([O-])=O URGAHOPLAPQHLN-UHFFFAOYSA-N 0.000 description 1
- 235000011006 sodium potassium tartrate Nutrition 0.000 description 1
- 159000000000 sodium salts Chemical class 0.000 description 1
- 229910052938 sodium sulfate Inorganic materials 0.000 description 1
- 235000011152 sodium sulphate Nutrition 0.000 description 1
- VNFWTIYUKDMAOP-UHFFFAOYSA-N sphos Chemical group COC1=CC=CC(OC)=C1C1=CC=CC=C1P(C1CCCCC1)C1CCCCC1 VNFWTIYUKDMAOP-UHFFFAOYSA-N 0.000 description 1
- 239000003381 stabilizer Substances 0.000 description 1
- 239000007858 starting material Substances 0.000 description 1
- 238000003756 stirring Methods 0.000 description 1
- 210000000434 stratum corneum Anatomy 0.000 description 1
- 238000006467 substitution reaction Methods 0.000 description 1
- 229940086735 succinate Drugs 0.000 description 1
- KDYFGRWQOYBRFD-UHFFFAOYSA-L succinate(2-) Chemical compound [O-]C(=O)CCC([O-])=O KDYFGRWQOYBRFD-UHFFFAOYSA-L 0.000 description 1
- 239000007940 sugar coated tablet Substances 0.000 description 1
- 150000003871 sulfonates Chemical class 0.000 description 1
- QAOWNCQODCNURD-UHFFFAOYSA-N sulfuric acid Substances OS(O)(=O)=O QAOWNCQODCNURD-UHFFFAOYSA-N 0.000 description 1
- 239000000829 suppository Substances 0.000 description 1
- 239000000725 suspension Substances 0.000 description 1
- 239000003765 sweetening agent Substances 0.000 description 1
- 239000006188 syrup Substances 0.000 description 1
- 235000020357 syrup Nutrition 0.000 description 1
- 230000009885 systemic effect Effects 0.000 description 1
- 206010052366 systemic mycosis Diseases 0.000 description 1
- 229940095064 tartrate Drugs 0.000 description 1
- DOMXUEMWDBAQBQ-WEVVVXLNSA-N terbinafine Chemical compound C1=CC=C2C(CN(C\C=C\C#CC(C)(C)C)C)=CC=CC2=C1 DOMXUEMWDBAQBQ-WEVVVXLNSA-N 0.000 description 1
- 229960002722 terbinafine Drugs 0.000 description 1
- 125000001981 tert-butyldimethylsilyl group Chemical group [H]C([H])([H])[Si]([H])(C([H])([H])[H])[*]C(C([H])([H])[H])(C([H])([H])[H])C([H])([H])[H] 0.000 description 1
- 125000005931 tert-butyloxycarbonyl group Chemical group [H]C([H])([H])C(OC(*)=O)(C([H])([H])[H])C([H])([H])[H] 0.000 description 1
- 125000001973 tert-pentyl group Chemical group [H]C([H])([H])C([H])([H])C(*)(C([H])([H])[H])C([H])([H])[H] 0.000 description 1
- 125000005934 tert-pentyloxycarbonyl group Chemical group 0.000 description 1
- YJBKVPRVZAQTPY-UHFFFAOYSA-J tetrachlorostannane;dihydrate Chemical compound O.O.Cl[Sn](Cl)(Cl)Cl YJBKVPRVZAQTPY-UHFFFAOYSA-J 0.000 description 1
- 125000003718 tetrahydrofuranyl group Chemical group 0.000 description 1
- 125000001712 tetrahydronaphthyl group Chemical group C1(CCCC2=CC=CC=C12)* 0.000 description 1
- 125000001412 tetrahydropyranyl group Chemical group 0.000 description 1
- CXWXQJXEFPUFDZ-UHFFFAOYSA-N tetralin Chemical compound C1=CC=C2CCCCC2=C1 CXWXQJXEFPUFDZ-UHFFFAOYSA-N 0.000 description 1
- 150000003536 tetrazoles Chemical class 0.000 description 1
- 125000003831 tetrazolyl group Chemical group 0.000 description 1
- VLLMWSRANPNYQX-UHFFFAOYSA-N thiadiazole Chemical compound C1=CSN=N1.C1=CSN=N1 VLLMWSRANPNYQX-UHFFFAOYSA-N 0.000 description 1
- 239000002562 thickening agent Substances 0.000 description 1
- 229930192474 thiophene Natural products 0.000 description 1
- 201000003875 tinea corporis Diseases 0.000 description 1
- 238000011200 topical administration Methods 0.000 description 1
- 150000003852 triazoles Chemical class 0.000 description 1
- XTTGYFREQJCEML-UHFFFAOYSA-N tributyl phosphite Chemical compound CCCCOP(OCCCC)OCCCC XTTGYFREQJCEML-UHFFFAOYSA-N 0.000 description 1
- IMFACGCPASFAPR-UHFFFAOYSA-N tributylamine Chemical compound CCCCN(CCCC)CCCC IMFACGCPASFAPR-UHFFFAOYSA-N 0.000 description 1
- DBGVGMSCBYYSLD-UHFFFAOYSA-N tributylstannane Chemical compound CCCC[SnH](CCCC)CCCC DBGVGMSCBYYSLD-UHFFFAOYSA-N 0.000 description 1
- FICPQAZLPKLOLH-UHFFFAOYSA-N tricyclohexyl phosphite Chemical compound C1CCCCC1OP(OC1CCCCC1)OC1CCCCC1 FICPQAZLPKLOLH-UHFFFAOYSA-N 0.000 description 1
- WLPUWLXVBWGYMZ-UHFFFAOYSA-N tricyclohexylphosphine Chemical compound C1CCCCC1P(C1CCCCC1)C1CCCCC1 WLPUWLXVBWGYMZ-UHFFFAOYSA-N 0.000 description 1
- BDZBKCUKTQZUTL-UHFFFAOYSA-N triethyl phosphite Chemical compound CCOP(OCC)OCC BDZBKCUKTQZUTL-UHFFFAOYSA-N 0.000 description 1
- 125000005034 trifluormethylthio group Chemical group FC(S*)(F)F 0.000 description 1
- MWKJTNBSKNUMFN-UHFFFAOYSA-N trifluoromethyltrimethylsilane Chemical compound C[Si](C)(C)C(F)(F)F MWKJTNBSKNUMFN-UHFFFAOYSA-N 0.000 description 1
- 125000001889 triflyl group Chemical group FC(F)(F)S(*)(=O)=O 0.000 description 1
- RKBCYCFRFCNLTO-UHFFFAOYSA-N triisopropylamine Chemical compound CC(C)N(C(C)C)C(C)C RKBCYCFRFCNLTO-UHFFFAOYSA-N 0.000 description 1
- CYTQBVOFDCPGCX-UHFFFAOYSA-N trimethyl phosphite Chemical compound COP(OC)OC CYTQBVOFDCPGCX-UHFFFAOYSA-N 0.000 description 1
- YFTHZRPMJXBUME-UHFFFAOYSA-N tripropylamine Chemical compound CCCN(CCC)CCC YFTHZRPMJXBUME-UHFFFAOYSA-N 0.000 description 1
- COIOYMYWGDAQPM-UHFFFAOYSA-N tris(2-methylphenyl)phosphane Chemical compound CC1=CC=CC=C1P(C=1C(=CC=CC=1)C)C1=CC=CC=C1C COIOYMYWGDAQPM-UHFFFAOYSA-N 0.000 description 1
- 208000001072 type 2 diabetes mellitus Diseases 0.000 description 1
- 210000001635 urinary tract Anatomy 0.000 description 1
- 239000002966 varnish Substances 0.000 description 1
- 229920002554 vinyl polymer Polymers 0.000 description 1
- UGOMMVLRQDMAQQ-UHFFFAOYSA-N xphos Chemical group CC(C)C1=CC(C(C)C)=CC(C(C)C)=C1C1=CC=CC=C1P(C1CCCCC1)C1CCCCC1 UGOMMVLRQDMAQQ-UHFFFAOYSA-N 0.000 description 1
- 150000003751 zinc Chemical class 0.000 description 1
- 229940102001 zinc bromide Drugs 0.000 description 1
- APPDFGHVJHZDKS-UHFFFAOYSA-M zinc;ethyl propanoate;bromide Chemical compound Br[Zn+].CCOC(=O)C[CH2-] APPDFGHVJHZDKS-UHFFFAOYSA-M 0.000 description 1
Classifications
-
- A—HUMAN NECESSITIES
- A61—MEDICAL OR VETERINARY SCIENCE; HYGIENE
- A61K—PREPARATIONS FOR MEDICAL, DENTAL OR TOILETRY PURPOSES
- A61K31/00—Medicinal preparations containing organic active ingredients
- A61K31/33—Heterocyclic compounds
- A61K31/395—Heterocyclic compounds having nitrogen as a ring hetero atom, e.g. guanethidine or rifamycins
- A61K31/435—Heterocyclic compounds having nitrogen as a ring hetero atom, e.g. guanethidine or rifamycins having six-membered rings with one nitrogen as the only ring hetero atom
- A61K31/44—Non condensed pyridines; Hydrogenated derivatives thereof
- A61K31/4425—Pyridinium derivatives, e.g. pralidoxime, pyridostigmine
-
- C—CHEMISTRY; METALLURGY
- C07—ORGANIC CHEMISTRY
- C07D—HETEROCYCLIC COMPOUNDS
- C07D213/00—Heterocyclic compounds containing six-membered rings, not condensed with other rings, with one nitrogen atom as the only ring hetero atom and three or more double bonds between ring members or between ring members and non-ring members
- C07D213/02—Heterocyclic compounds containing six-membered rings, not condensed with other rings, with one nitrogen atom as the only ring hetero atom and three or more double bonds between ring members or between ring members and non-ring members having three double bonds between ring members or between ring members and non-ring members
- C07D213/04—Heterocyclic compounds containing six-membered rings, not condensed with other rings, with one nitrogen atom as the only ring hetero atom and three or more double bonds between ring members or between ring members and non-ring members having three double bonds between ring members or between ring members and non-ring members having no bond between the ring nitrogen atom and a non-ring member or having only hydrogen or carbon atoms directly attached to the ring nitrogen atom
- C07D213/60—Heterocyclic compounds containing six-membered rings, not condensed with other rings, with one nitrogen atom as the only ring hetero atom and three or more double bonds between ring members or between ring members and non-ring members having three double bonds between ring members or between ring members and non-ring members having no bond between the ring nitrogen atom and a non-ring member or having only hydrogen or carbon atoms directly attached to the ring nitrogen atom with hetero atoms or with carbon atoms having three bonds to hetero atoms with at the most one bond to halogen, e.g. ester or nitrile radicals, directly attached to ring carbon atoms
- C07D213/62—Oxygen or sulfur atoms
- C07D213/63—One oxygen atom
- C07D213/64—One oxygen atom attached in position 2 or 6
- C07D213/643—2-Phenoxypyridines; Derivatives thereof
-
- A—HUMAN NECESSITIES
- A61—MEDICAL OR VETERINARY SCIENCE; HYGIENE
- A61K—PREPARATIONS FOR MEDICAL, DENTAL OR TOILETRY PURPOSES
- A61K31/00—Medicinal preparations containing organic active ingredients
- A61K31/33—Heterocyclic compounds
- A61K31/395—Heterocyclic compounds having nitrogen as a ring hetero atom, e.g. guanethidine or rifamycins
- A61K31/435—Heterocyclic compounds having nitrogen as a ring hetero atom, e.g. guanethidine or rifamycins having six-membered rings with one nitrogen as the only ring hetero atom
- A61K31/4353—Heterocyclic compounds having nitrogen as a ring hetero atom, e.g. guanethidine or rifamycins having six-membered rings with one nitrogen as the only ring hetero atom ortho- or peri-condensed with heterocyclic ring systems
- A61K31/437—Heterocyclic compounds having nitrogen as a ring hetero atom, e.g. guanethidine or rifamycins having six-membered rings with one nitrogen as the only ring hetero atom ortho- or peri-condensed with heterocyclic ring systems the heterocyclic ring system containing a five-membered ring having nitrogen as a ring hetero atom, e.g. indolizine, beta-carboline
-
- A—HUMAN NECESSITIES
- A61—MEDICAL OR VETERINARY SCIENCE; HYGIENE
- A61K—PREPARATIONS FOR MEDICAL, DENTAL OR TOILETRY PURPOSES
- A61K31/00—Medicinal preparations containing organic active ingredients
- A61K31/33—Heterocyclic compounds
- A61K31/395—Heterocyclic compounds having nitrogen as a ring hetero atom, e.g. guanethidine or rifamycins
- A61K31/435—Heterocyclic compounds having nitrogen as a ring hetero atom, e.g. guanethidine or rifamycins having six-membered rings with one nitrogen as the only ring hetero atom
- A61K31/44—Non condensed pyridines; Hydrogenated derivatives thereof
- A61K31/4427—Non condensed pyridines; Hydrogenated derivatives thereof containing further heterocyclic ring systems
- A61K31/444—Non condensed pyridines; Hydrogenated derivatives thereof containing further heterocyclic ring systems containing a six-membered ring with nitrogen as a ring heteroatom, e.g. amrinone
-
- A—HUMAN NECESSITIES
- A61—MEDICAL OR VETERINARY SCIENCE; HYGIENE
- A61K—PREPARATIONS FOR MEDICAL, DENTAL OR TOILETRY PURPOSES
- A61K31/00—Medicinal preparations containing organic active ingredients
- A61K31/33—Heterocyclic compounds
- A61K31/395—Heterocyclic compounds having nitrogen as a ring hetero atom, e.g. guanethidine or rifamycins
- A61K31/435—Heterocyclic compounds having nitrogen as a ring hetero atom, e.g. guanethidine or rifamycins having six-membered rings with one nitrogen as the only ring hetero atom
- A61K31/47—Quinolines; Isoquinolines
- A61K31/4709—Non-condensed quinolines and containing further heterocyclic rings
-
- A—HUMAN NECESSITIES
- A61—MEDICAL OR VETERINARY SCIENCE; HYGIENE
- A61K—PREPARATIONS FOR MEDICAL, DENTAL OR TOILETRY PURPOSES
- A61K31/00—Medicinal preparations containing organic active ingredients
- A61K31/33—Heterocyclic compounds
- A61K31/395—Heterocyclic compounds having nitrogen as a ring hetero atom, e.g. guanethidine or rifamycins
- A61K31/435—Heterocyclic compounds having nitrogen as a ring hetero atom, e.g. guanethidine or rifamycins having six-membered rings with one nitrogen as the only ring hetero atom
- A61K31/47—Quinolines; Isoquinolines
- A61K31/472—Non-condensed isoquinolines, e.g. papaverine
- A61K31/4725—Non-condensed isoquinolines, e.g. papaverine containing further heterocyclic rings
-
- A—HUMAN NECESSITIES
- A61—MEDICAL OR VETERINARY SCIENCE; HYGIENE
- A61K—PREPARATIONS FOR MEDICAL, DENTAL OR TOILETRY PURPOSES
- A61K31/00—Medicinal preparations containing organic active ingredients
- A61K31/33—Heterocyclic compounds
- A61K31/395—Heterocyclic compounds having nitrogen as a ring hetero atom, e.g. guanethidine or rifamycins
- A61K31/495—Heterocyclic compounds having nitrogen as a ring hetero atom, e.g. guanethidine or rifamycins having six-membered rings with two or more nitrogen atoms as the only ring heteroatoms, e.g. piperazine or tetrazines
- A61K31/498—Pyrazines or piperazines ortho- and peri-condensed with carbocyclic ring systems, e.g. quinoxaline, phenazine
-
- A—HUMAN NECESSITIES
- A61—MEDICAL OR VETERINARY SCIENCE; HYGIENE
- A61K—PREPARATIONS FOR MEDICAL, DENTAL OR TOILETRY PURPOSES
- A61K31/00—Medicinal preparations containing organic active ingredients
- A61K31/33—Heterocyclic compounds
- A61K31/395—Heterocyclic compounds having nitrogen as a ring hetero atom, e.g. guanethidine or rifamycins
- A61K31/495—Heterocyclic compounds having nitrogen as a ring hetero atom, e.g. guanethidine or rifamycins having six-membered rings with two or more nitrogen atoms as the only ring heteroatoms, e.g. piperazine or tetrazines
- A61K31/4985—Pyrazines or piperazines ortho- or peri-condensed with heterocyclic ring systems
-
- A—HUMAN NECESSITIES
- A61—MEDICAL OR VETERINARY SCIENCE; HYGIENE
- A61K—PREPARATIONS FOR MEDICAL, DENTAL OR TOILETRY PURPOSES
- A61K31/00—Medicinal preparations containing organic active ingredients
- A61K31/33—Heterocyclic compounds
- A61K31/395—Heterocyclic compounds having nitrogen as a ring hetero atom, e.g. guanethidine or rifamycins
- A61K31/495—Heterocyclic compounds having nitrogen as a ring hetero atom, e.g. guanethidine or rifamycins having six-membered rings with two or more nitrogen atoms as the only ring heteroatoms, e.g. piperazine or tetrazines
- A61K31/505—Pyrimidines; Hydrogenated pyrimidines, e.g. trimethoprim
- A61K31/506—Pyrimidines; Hydrogenated pyrimidines, e.g. trimethoprim not condensed and containing further heterocyclic rings
-
- A—HUMAN NECESSITIES
- A61—MEDICAL OR VETERINARY SCIENCE; HYGIENE
- A61K—PREPARATIONS FOR MEDICAL, DENTAL OR TOILETRY PURPOSES
- A61K31/00—Medicinal preparations containing organic active ingredients
- A61K31/33—Heterocyclic compounds
- A61K31/395—Heterocyclic compounds having nitrogen as a ring hetero atom, e.g. guanethidine or rifamycins
- A61K31/535—Heterocyclic compounds having nitrogen as a ring hetero atom, e.g. guanethidine or rifamycins having six-membered rings with at least one nitrogen and one oxygen as the ring hetero atoms, e.g. 1,2-oxazines
-
- A—HUMAN NECESSITIES
- A61—MEDICAL OR VETERINARY SCIENCE; HYGIENE
- A61K—PREPARATIONS FOR MEDICAL, DENTAL OR TOILETRY PURPOSES
- A61K31/00—Medicinal preparations containing organic active ingredients
- A61K31/33—Heterocyclic compounds
- A61K31/395—Heterocyclic compounds having nitrogen as a ring hetero atom, e.g. guanethidine or rifamycins
- A61K31/535—Heterocyclic compounds having nitrogen as a ring hetero atom, e.g. guanethidine or rifamycins having six-membered rings with at least one nitrogen and one oxygen as the ring hetero atoms, e.g. 1,2-oxazines
- A61K31/5355—Non-condensed oxazines and containing further heterocyclic rings
-
- A—HUMAN NECESSITIES
- A61—MEDICAL OR VETERINARY SCIENCE; HYGIENE
- A61P—SPECIFIC THERAPEUTIC ACTIVITY OF CHEMICAL COMPOUNDS OR MEDICINAL PREPARATIONS
- A61P31/00—Antiinfectives, i.e. antibiotics, antiseptics, chemotherapeutics
- A61P31/10—Antimycotics
-
- C—CHEMISTRY; METALLURGY
- C07—ORGANIC CHEMISTRY
- C07D—HETEROCYCLIC COMPOUNDS
- C07D213/00—Heterocyclic compounds containing six-membered rings, not condensed with other rings, with one nitrogen atom as the only ring hetero atom and three or more double bonds between ring members or between ring members and non-ring members
- C07D213/02—Heterocyclic compounds containing six-membered rings, not condensed with other rings, with one nitrogen atom as the only ring hetero atom and three or more double bonds between ring members or between ring members and non-ring members having three double bonds between ring members or between ring members and non-ring members
- C07D213/04—Heterocyclic compounds containing six-membered rings, not condensed with other rings, with one nitrogen atom as the only ring hetero atom and three or more double bonds between ring members or between ring members and non-ring members having three double bonds between ring members or between ring members and non-ring members having no bond between the ring nitrogen atom and a non-ring member or having only hydrogen or carbon atoms directly attached to the ring nitrogen atom
- C07D213/60—Heterocyclic compounds containing six-membered rings, not condensed with other rings, with one nitrogen atom as the only ring hetero atom and three or more double bonds between ring members or between ring members and non-ring members having three double bonds between ring members or between ring members and non-ring members having no bond between the ring nitrogen atom and a non-ring member or having only hydrogen or carbon atoms directly attached to the ring nitrogen atom with hetero atoms or with carbon atoms having three bonds to hetero atoms with at the most one bond to halogen, e.g. ester or nitrile radicals, directly attached to ring carbon atoms
- C07D213/62—Oxygen or sulfur atoms
- C07D213/63—One oxygen atom
- C07D213/64—One oxygen atom attached in position 2 or 6
-
- C—CHEMISTRY; METALLURGY
- C07—ORGANIC CHEMISTRY
- C07D—HETEROCYCLIC COMPOUNDS
- C07D213/00—Heterocyclic compounds containing six-membered rings, not condensed with other rings, with one nitrogen atom as the only ring hetero atom and three or more double bonds between ring members or between ring members and non-ring members
- C07D213/02—Heterocyclic compounds containing six-membered rings, not condensed with other rings, with one nitrogen atom as the only ring hetero atom and three or more double bonds between ring members or between ring members and non-ring members having three double bonds between ring members or between ring members and non-ring members
- C07D213/04—Heterocyclic compounds containing six-membered rings, not condensed with other rings, with one nitrogen atom as the only ring hetero atom and three or more double bonds between ring members or between ring members and non-ring members having three double bonds between ring members or between ring members and non-ring members having no bond between the ring nitrogen atom and a non-ring member or having only hydrogen or carbon atoms directly attached to the ring nitrogen atom
- C07D213/60—Heterocyclic compounds containing six-membered rings, not condensed with other rings, with one nitrogen atom as the only ring hetero atom and three or more double bonds between ring members or between ring members and non-ring members having three double bonds between ring members or between ring members and non-ring members having no bond between the ring nitrogen atom and a non-ring member or having only hydrogen or carbon atoms directly attached to the ring nitrogen atom with hetero atoms or with carbon atoms having three bonds to hetero atoms with at the most one bond to halogen, e.g. ester or nitrile radicals, directly attached to ring carbon atoms
- C07D213/62—Oxygen or sulfur atoms
- C07D213/63—One oxygen atom
- C07D213/65—One oxygen atom attached in position 3 or 5
-
- C—CHEMISTRY; METALLURGY
- C07—ORGANIC CHEMISTRY
- C07D—HETEROCYCLIC COMPOUNDS
- C07D213/00—Heterocyclic compounds containing six-membered rings, not condensed with other rings, with one nitrogen atom as the only ring hetero atom and three or more double bonds between ring members or between ring members and non-ring members
- C07D213/02—Heterocyclic compounds containing six-membered rings, not condensed with other rings, with one nitrogen atom as the only ring hetero atom and three or more double bonds between ring members or between ring members and non-ring members having three double bonds between ring members or between ring members and non-ring members
- C07D213/04—Heterocyclic compounds containing six-membered rings, not condensed with other rings, with one nitrogen atom as the only ring hetero atom and three or more double bonds between ring members or between ring members and non-ring members having three double bonds between ring members or between ring members and non-ring members having no bond between the ring nitrogen atom and a non-ring member or having only hydrogen or carbon atoms directly attached to the ring nitrogen atom
- C07D213/60—Heterocyclic compounds containing six-membered rings, not condensed with other rings, with one nitrogen atom as the only ring hetero atom and three or more double bonds between ring members or between ring members and non-ring members having three double bonds between ring members or between ring members and non-ring members having no bond between the ring nitrogen atom and a non-ring member or having only hydrogen or carbon atoms directly attached to the ring nitrogen atom with hetero atoms or with carbon atoms having three bonds to hetero atoms with at the most one bond to halogen, e.g. ester or nitrile radicals, directly attached to ring carbon atoms
- C07D213/62—Oxygen or sulfur atoms
- C07D213/63—One oxygen atom
- C07D213/68—One oxygen atom attached in position 4
-
- C—CHEMISTRY; METALLURGY
- C07—ORGANIC CHEMISTRY
- C07D—HETEROCYCLIC COMPOUNDS
- C07D213/00—Heterocyclic compounds containing six-membered rings, not condensed with other rings, with one nitrogen atom as the only ring hetero atom and three or more double bonds between ring members or between ring members and non-ring members
- C07D213/02—Heterocyclic compounds containing six-membered rings, not condensed with other rings, with one nitrogen atom as the only ring hetero atom and three or more double bonds between ring members or between ring members and non-ring members having three double bonds between ring members or between ring members and non-ring members
- C07D213/04—Heterocyclic compounds containing six-membered rings, not condensed with other rings, with one nitrogen atom as the only ring hetero atom and three or more double bonds between ring members or between ring members and non-ring members having three double bonds between ring members or between ring members and non-ring members having no bond between the ring nitrogen atom and a non-ring member or having only hydrogen or carbon atoms directly attached to the ring nitrogen atom
- C07D213/60—Heterocyclic compounds containing six-membered rings, not condensed with other rings, with one nitrogen atom as the only ring hetero atom and three or more double bonds between ring members or between ring members and non-ring members having three double bonds between ring members or between ring members and non-ring members having no bond between the ring nitrogen atom and a non-ring member or having only hydrogen or carbon atoms directly attached to the ring nitrogen atom with hetero atoms or with carbon atoms having three bonds to hetero atoms with at the most one bond to halogen, e.g. ester or nitrile radicals, directly attached to ring carbon atoms
- C07D213/72—Nitrogen atoms
- C07D213/76—Nitrogen atoms to which a second hetero atom is attached
-
- C—CHEMISTRY; METALLURGY
- C07—ORGANIC CHEMISTRY
- C07D—HETEROCYCLIC COMPOUNDS
- C07D239/00—Heterocyclic compounds containing 1,3-diazine or hydrogenated 1,3-diazine rings
- C07D239/02—Heterocyclic compounds containing 1,3-diazine or hydrogenated 1,3-diazine rings not condensed with other rings
- C07D239/24—Heterocyclic compounds containing 1,3-diazine or hydrogenated 1,3-diazine rings not condensed with other rings having three or more double bonds between ring members or between ring members and non-ring members
- C07D239/28—Heterocyclic compounds containing 1,3-diazine or hydrogenated 1,3-diazine rings not condensed with other rings having three or more double bonds between ring members or between ring members and non-ring members with hetero atoms or with carbon atoms having three bonds to hetero atoms with at the most one bond to halogen, directly attached to ring carbon atoms
- C07D239/32—One oxygen, sulfur or nitrogen atom
- C07D239/34—One oxygen atom
-
- C—CHEMISTRY; METALLURGY
- C07—ORGANIC CHEMISTRY
- C07D—HETEROCYCLIC COMPOUNDS
- C07D241/00—Heterocyclic compounds containing 1,4-diazine or hydrogenated 1,4-diazine rings
- C07D241/02—Heterocyclic compounds containing 1,4-diazine or hydrogenated 1,4-diazine rings not condensed with other rings
- C07D241/10—Heterocyclic compounds containing 1,4-diazine or hydrogenated 1,4-diazine rings not condensed with other rings having three double bonds between ring members or between ring members and non-ring members
- C07D241/14—Heterocyclic compounds containing 1,4-diazine or hydrogenated 1,4-diazine rings not condensed with other rings having three double bonds between ring members or between ring members and non-ring members with hetero atoms or with carbon atoms having three bonds to hetero atoms with at the most one bond to halogen, e.g. ester or nitrile radicals, directly attached to ring carbon atoms
- C07D241/18—Oxygen or sulfur atoms
-
- C—CHEMISTRY; METALLURGY
- C07—ORGANIC CHEMISTRY
- C07D—HETEROCYCLIC COMPOUNDS
- C07D401/00—Heterocyclic compounds containing two or more hetero rings, having nitrogen atoms as the only ring hetero atoms, at least one ring being a six-membered ring with only one nitrogen atom
- C07D401/02—Heterocyclic compounds containing two or more hetero rings, having nitrogen atoms as the only ring hetero atoms, at least one ring being a six-membered ring with only one nitrogen atom containing two hetero rings
- C07D401/04—Heterocyclic compounds containing two or more hetero rings, having nitrogen atoms as the only ring hetero atoms, at least one ring being a six-membered ring with only one nitrogen atom containing two hetero rings directly linked by a ring-member-to-ring-member bond
-
- C—CHEMISTRY; METALLURGY
- C07—ORGANIC CHEMISTRY
- C07D—HETEROCYCLIC COMPOUNDS
- C07D401/00—Heterocyclic compounds containing two or more hetero rings, having nitrogen atoms as the only ring hetero atoms, at least one ring being a six-membered ring with only one nitrogen atom
- C07D401/02—Heterocyclic compounds containing two or more hetero rings, having nitrogen atoms as the only ring hetero atoms, at least one ring being a six-membered ring with only one nitrogen atom containing two hetero rings
- C07D401/12—Heterocyclic compounds containing two or more hetero rings, having nitrogen atoms as the only ring hetero atoms, at least one ring being a six-membered ring with only one nitrogen atom containing two hetero rings linked by a chain containing hetero atoms as chain links
-
- C—CHEMISTRY; METALLURGY
- C07—ORGANIC CHEMISTRY
- C07D—HETEROCYCLIC COMPOUNDS
- C07D401/00—Heterocyclic compounds containing two or more hetero rings, having nitrogen atoms as the only ring hetero atoms, at least one ring being a six-membered ring with only one nitrogen atom
- C07D401/14—Heterocyclic compounds containing two or more hetero rings, having nitrogen atoms as the only ring hetero atoms, at least one ring being a six-membered ring with only one nitrogen atom containing three or more hetero rings
-
- C—CHEMISTRY; METALLURGY
- C07—ORGANIC CHEMISTRY
- C07D—HETEROCYCLIC COMPOUNDS
- C07D405/00—Heterocyclic compounds containing both one or more hetero rings having oxygen atoms as the only ring hetero atoms, and one or more rings having nitrogen as the only ring hetero atom
- C07D405/14—Heterocyclic compounds containing both one or more hetero rings having oxygen atoms as the only ring hetero atoms, and one or more rings having nitrogen as the only ring hetero atom containing three or more hetero rings
-
- C—CHEMISTRY; METALLURGY
- C07—ORGANIC CHEMISTRY
- C07D—HETEROCYCLIC COMPOUNDS
- C07D413/00—Heterocyclic compounds containing two or more hetero rings, at least one ring having nitrogen and oxygen atoms as the only ring hetero atoms
- C07D413/14—Heterocyclic compounds containing two or more hetero rings, at least one ring having nitrogen and oxygen atoms as the only ring hetero atoms containing three or more hetero rings
-
- C—CHEMISTRY; METALLURGY
- C07—ORGANIC CHEMISTRY
- C07D—HETEROCYCLIC COMPOUNDS
- C07D417/00—Heterocyclic compounds containing two or more hetero rings, at least one ring having nitrogen and sulfur atoms as the only ring hetero atoms, not provided for by group C07D415/00
- C07D417/14—Heterocyclic compounds containing two or more hetero rings, at least one ring having nitrogen and sulfur atoms as the only ring hetero atoms, not provided for by group C07D415/00 containing three or more hetero rings
-
- C—CHEMISTRY; METALLURGY
- C07—ORGANIC CHEMISTRY
- C07D—HETEROCYCLIC COMPOUNDS
- C07D471/00—Heterocyclic compounds containing nitrogen atoms as the only ring hetero atoms in the condensed system, at least one ring being a six-membered ring with one nitrogen atom, not provided for by groups C07D451/00 - C07D463/00
- C07D471/02—Heterocyclic compounds containing nitrogen atoms as the only ring hetero atoms in the condensed system, at least one ring being a six-membered ring with one nitrogen atom, not provided for by groups C07D451/00 - C07D463/00 in which the condensed system contains two hetero rings
- C07D471/04—Ortho-condensed systems
-
- C—CHEMISTRY; METALLURGY
- C07—ORGANIC CHEMISTRY
- C07D—HETEROCYCLIC COMPOUNDS
- C07D487/00—Heterocyclic compounds containing nitrogen atoms as the only ring hetero atoms in the condensed system, not provided for by groups C07D451/00 - C07D477/00
- C07D487/02—Heterocyclic compounds containing nitrogen atoms as the only ring hetero atoms in the condensed system, not provided for by groups C07D451/00 - C07D477/00 in which the condensed system contains two hetero rings
- C07D487/04—Ortho-condensed systems
-
- C—CHEMISTRY; METALLURGY
- C07—ORGANIC CHEMISTRY
- C07D—HETEROCYCLIC COMPOUNDS
- C07D498/00—Heterocyclic compounds containing in the condensed system at least one hetero ring having nitrogen and oxygen atoms as the only ring hetero atoms
- C07D498/02—Heterocyclic compounds containing in the condensed system at least one hetero ring having nitrogen and oxygen atoms as the only ring hetero atoms in which the condensed system contains two hetero rings
- C07D498/04—Ortho-condensed systems
-
- C—CHEMISTRY; METALLURGY
- C07—ORGANIC CHEMISTRY
- C07F—ACYCLIC, CARBOCYCLIC OR HETEROCYCLIC COMPOUNDS CONTAINING ELEMENTS OTHER THAN CARBON, HYDROGEN, HALOGEN, OXYGEN, NITROGEN, SULFUR, SELENIUM OR TELLURIUM
- C07F7/00—Compounds containing elements of Groups 4 or 14 of the Periodic Table
- C07F7/02—Silicon compounds
- C07F7/08—Compounds having one or more C—Si linkages
- C07F7/0803—Compounds with Si-C or Si-Si linkages
- C07F7/081—Compounds with Si-C or Si-Si linkages comprising at least one atom selected from the elements N, O, halogen, S, Se or Te
- C07F7/0812—Compounds with Si-C or Si-Si linkages comprising at least one atom selected from the elements N, O, halogen, S, Se or Te comprising a heterocyclic ring
Landscapes
- Chemical & Material Sciences (AREA)
- Organic Chemistry (AREA)
- Health & Medical Sciences (AREA)
- Animal Behavior & Ethology (AREA)
- Veterinary Medicine (AREA)
- Public Health (AREA)
- Medicinal Chemistry (AREA)
- General Health & Medical Sciences (AREA)
- Pharmacology & Pharmacy (AREA)
- Life Sciences & Earth Sciences (AREA)
- Epidemiology (AREA)
- General Chemical & Material Sciences (AREA)
- Nuclear Medicine, Radiotherapy & Molecular Imaging (AREA)
- Chemical Kinetics & Catalysis (AREA)
- Oncology (AREA)
- Communicable Diseases (AREA)
- Pharmaceuticals Containing Other Organic And Inorganic Compounds (AREA)
- Plural Heterocyclic Compounds (AREA)
- Nitrogen Condensed Heterocyclic Rings (AREA)
- Pyridine Compounds (AREA)
- Nitrogen And Oxygen Or Sulfur-Condensed Heterocyclic Ring Systems (AREA)
- Agricultural Chemicals And Associated Chemicals (AREA)
- Organic Low-Molecular-Weight Compounds And Preparation Thereof (AREA)
- Hydrogenated Pyridines (AREA)
Abstract
Настоящее изобретение относится к соединению общей формулы (I) или его фармакологически приемлемой соли, где Q представляет собой O, X1 и X3 представляют собой CH, X2 представляет собой CR1 или N, Y представляет собой CH или N, Z представляет собой CR2b или N, R1 представляет собой атом водорода, атом галогена или C1-C6 алкильную группу, значения R2a и R2b указаны в п.1 или каждый из R2a и R2b представляет собой группу, представленную формулой (I-A), где L представляет собой одинарную связь, -(CH2)p-, -O(CH2)p-, -(CH2)pO-, -(CH2)pO(CH2)q-, -NRc(CH2)p- или -(CH2)pNRc, где каждый из двух атомов водорода (CH2)p и (CH2)q необязательно замещен атомом галогена, p равен 1 или 2, q равен 1 или 2, Rc представляет собой атом водорода или метильную группу, и кольцо B представляет собой фенил, имидазолил, триазолил, пиразолил, оксазолил, изоксазолил, тиазолил, оксадиазолил, пиридил или пиримидинил, соответственно, необязательно замещенный С1-С4 алкильной группой, при условии, что R2a и R2b одновременно не являются атомами водорода или, когда Z представляет собой CR2b, R2a и R2b могут образовывать -(СН2)r-, где r равен 3, 4 или 5, необязательно замещенный атомом галогена, гидроксильной группой или оксогруппой, и R3 представляет собой атом водорода, атом галогена, C1-C6 алкильную группу или C1-C6 галогеналкильную группу, кольцо А выбирают из группы, состоящей из формул, указанных в п.1, значения n, R4, R5a, R5b, R5c, X4, R6a и R6b также указаны в п.1, или соединения (I-227). Также изобретение относится к лекарственному и противогрибковому средству, терапевтическому агенту на основе соединения формулы (I), применению соединения формулы (I) или средств и агентов на его основе, а также к способу предотвращения или лечения грибковых инфекций, поверхностного микоза или дерматофитного микоза. Технический результат: получены новые гетероциклические соединения, обладающие превосходной противогрибковой активностью. 7 н. и 13 з.п. ф-лы, 80 табл., 439 пр.
Description
Область техники
[0001]
Настоящее изобретение относится к новому биарильному производному и лекарственному средству и противогрибковому средству, причем каждое содержит биарильное производное в качестве активного ингредиента.
Уровень техники
[0002]
Микоз включает поверхностный микоз, представленный различными стригущими лишаями, кожным кандидозом, отрубевидным лишаем и подобными, и глубокий микоз, представленный грибковым менингитом, грибковой респираторной инфекцией, фунгемией, микозом мочевыводящих путей и подобными.
Поверхностный микоз представляет собой микоз, при котором эпидермис, волосы, ногти и подобные заражены грибком, и стригущий лишай, вызванный грибком рода Трихофитон в качестве основного болезнетворного микроорганизма, обуславливает приблизительно 90% всех случаев, и кандидоз и отрубевидный лишай обуславливают оставшиеся 10%. Подсчитано, что количество пациентов внутри страны со стригущим лишаем составляет 21 миллионов для эпидермофитии стоп и 12 миллионов для лечения дерматофитного онихомикоза.
Дерматофитный онихомикоз представляет собой респираторное заболевание, и для лечения обычно применяют пероральные противогрибковые средства, такие как тербинафин, итраконазол и подобные. Поскольку данное лечение требует перорального введения лекарственного средства в течение, по меньшей мере, 3 месяцев, приверженность пациентов к лечению является низкой. Кроме того, недостаточный эффект ликвидации грибка в месте заражения также создает проблемы рецидива и обострения после лечения. Более того, лекарственное взаимодействие и побочные эффекты, такие как гепатопатия, заболевания желудочно-кишечного тракта и подобные, также создают проблемы, и лечение иногда ограничивается пожилыми людьми и пациентами с осложнениями или доклинической стадией болезни.
Следовательно, требуется противогрибковое средство с высокой эффективностью против дерматофитного онихомикоза при местном введении без системных побочных эффектов и лекарственного взаимодействия. Для проявления эффектов при местном введении, требуется, чтобы лекарственное средство в достаточной степени проникало в толстый роговой слой ногтевой пластинки и проявляло противогрибковую активность против грибка стригущего лишая в ногте и ногтевом ложе.
В качестве внешнего препарата для лечения дерматофитного онихомикоза, препарат в виде лака для ногтей аморолфина уже применяют клинически за границей. Тогда как аморолфин проявляет превосходную активность против трихофитона, он обладает низкой проникающей способностью в ноготь, и его клинический эффект не является достаточным.
[0003]
В качестве биарильного производного является известным следующее соединение. Патентный документ 1 описывает соединение, представленное формулой:
[0004]
[0005]
где каждый символ представляет собой, как определено в патентном документе 1, в качестве соединения, обладающего ингибирующей активностью относительно киназ, таких как Tie-2 и подобных.
Патентный документ 2 описывает соединение, представленное формулой:
[0006]
[0007]
где каждый символ представляет собой, как определено в патентном документе 2, в качестве соединения, ингибирующего активность относительно протеинкиназ, таких как Tie-2 и подобных.
Патентный документ 3 описывает соединение, представленное формулой:
[0008]
[0009]
где каждый символ представляет собой, как определено в патентном документе 3, в качестве соединения, обладающего активностью, ингибирующей аврора-киназу.
Патентный документ 4 описывает соединение, представленное формулой:
[0010]
[0011]
где каждый символ представляет собой, как определено в патентном документе 4, в качестве соединения, обладающего ингибирующей активностью относительно протеинкиназ, таких как Tie-2 и подобных.
Описывают, что приведенные выше соединения являются пригодными для лечения ангиогенеза и рака ингибированием различных киназ.
С другой стороны, патентный документ 5 описывает соединение, представленное формулой:
[0012]
[0013]
где каждый символ представляет собой, как определено в патентном документе 5, в качестве соединения, обладающего ингибирующей фосфодиэстеразу 10 активностью.
Патентный документ 6 описывает соединение, представленное формулой:
[0014]
[0015]
где каждый символ представляет собой, как определено в патентном документе 6, в качестве соединения, обладающего ингибирующей фосфодиэстеразу 10 активностью.
Описывают, что данные приведенные выше соединения являются пригодными для лечения ожирения, инсулиннезависимого сахарного диабета, шизофрении, биполярного расстройства, обсессивно-компульсивного расстройства и подобных ингибированием фосфодиэстеразы 10.
Однако данные документы предшествующего уровня техники конкретно не описывают соединение формулы (I) настоящего изобретения, и не описывают или указывают на то, что данное соединение обладает активностью против трихофитона и является пригодным для лечения заболеваний, вызванных грибком стригущего лишая.
Список документов
Патентные документы
[0016]
Патентный документ 1: WO 05/113494
Патентный документ 2: WO 07/100646
Патентный документ 3: WO 07/087276
Патентный документ 4: WO 08/057280
Патентный документ 5: WO 10/057126
Патентный документ 6: WO 10/077992
Сущность настоящего изобретения
Проблемы, которые решает настоящее изобретение
[0017]
Цель настоящего изобретения заключается в обеспечении нового соединения или его соли, которое показывает высокую эффективность против заболеваний, вызванных грибком стригущего лишая, поскольку оно обладает превосходной противогрибковой активностью в отношении грибка стригущего лишая, который представляет собой основной болезнетворный микроорганизм поверхностного микоза. Более того, настоящее изобретение направлено на обеспечение соединения или его соли, которое является пригодным в качестве местного терапевтического агента для лечения дерматофитного онихомикоза, благодаря его превосходной проницаемости в ногтях.
Способы решения проблем
[0018]
Авторы настоящего изобретения провели интенсивные исследования в попытке решить приведенные выше проблемы и обнаружили, что биарильное производное, представленное следующей формулой (I), обладает превосходной противогрибковой активностью в отношении грибка стригущего лишая, и завершили настоящее изобретение.
[0019]
Соответственно, настоящее изобретение относится к следующему.
(1) Биарильное производное, представленное формулой (I), или его соль:
[0020]
[0021]
где,
кольцо A представляет собой необязательно замещенный фенил или необязательно замещенный 5- или 6-членный гетероарил (указанное кольцо A необязательно дополнительно конденсировано, образуя необязательно замещенное конденсированное кольцо),
Q представляет собой CH2, CF2, S=O, SO2, C=O, NH, O или S,
каждый X1, X2 и X3 независимо представляет собой CH, CR1 или N,
Y представляет собой CH или N,
Z представляет собой CR2b или N,
R1 представляет собой атом водорода, атом галогена, C1-C6 алкильную группу, C1-C6 галогеналкильную группу, C1-C6 алкокси группу или C1-C6 галогеналкокси группу,
R2a и R2b независимо представляет собой атом водорода, атом галогена, гидроксильную группу, цианогруппу, формильную группу, необязательно замещенную C1-C6 алкильную группу, необязательно замещенную C1-C6 галогеналкильную группу, необязательно замещенную C1-C6 алкокси группу, необязательно замещенную C1-C6 галогеналкокси группу, необязательно замещенную C1-C4 алкокси-C1-C4 алкильную группу, необязательно замещенную C1-C4 алкокси-C1-C4 галогеналкильную группу, необязательно замещенную C1-C6 алкилкарбонильную группу, необязательно замещенную C1-C6 алкоксикарбонильную группу, необязательно замещенную C1-C6 алкилкарбонилокси группу, необязательно замещенную C3-C7 циклоалкильную группу, необязательно замещенную гетероциклоалкильную группу, необязательно замещенную гетероциклоалкилокси группу, необязательно замещенную C2-C6 алкенильную группу, необязательно замещенную C2-C6 алкенилокси группу, необязательно замещенную C2-C6 алкенил-C1-C6 алкильную группу, необязательно замещенную C2-C6 алкенил-C1-C6 алкокси группу, необязательно замещенную C2-C6 алкенилокси-C1-C4 алкильную группу, необязательно замещенную C2-C6 алкенилокси-C1-C4 алкокси группу, необязательно замещенную C2-C6 алкенилокси-C1-C4 галогеналкильную группу, необязательно замещенную C2-C6 алкенилокси-C1-C4 галогеналкокси группу, необязательно замещенную C2-C6 алкинильную группу, необязательно замещенную C2-C6 алкинилокси группу, необязательно замещенную C2-C6 алкинил-C1-C6 алкильную группу, необязательно замещенную C2-C6 алкинил-C1-C6 алкокси группу, необязательно замещенную C2-C6 алкинилокси-C1-C4 алкильную группу, необязательно замещенную C2-C6 алкинилокси-C1-C4 алкокси группу, необязательно замещенную C2-C6 алкинилокси-C1-C4 галогеналкильную группу, необязательно замещенную C2-C6 алкинилокси-C1-C4 галогеналкокси группу, -NRaRb {каждый Ra и Rb независимо представляет собой атом водорода или необязательно замещенную C1-C6 алкильную группу (при условии, что Ra и Rb не являются атомами водорода одновременно)}, необязательно замещенную C1-C6 алкилтио группу, необязательно замещенную C1-C6 галогеналкилтио группу, пентафторсульфанильную группу или группу, представленную формулой (I-A)
[0022]
[0023]
{где
L представляет собой простую связь, -(CH2)p-, -O(CH2)p-, -(CH2)pO-, -(CH2)pO(CH2)q-, -NRc(CH2)p-, -(CH2)pNRc- или -(CH2)pNRc(CH2)q-, где один или более атомов водорода (CH2)p и (CH2)q необязательно замещен атомом галогена, C1-C4 алкильной группой или C3-C7 циклоалкильной группой,
p равен 1, 2 или 3,
q равен 1, 2 или 3,
Rc представляет собой атом водорода или C1-C6 алкильную группу, и
кольцо B представляет собой необязательно замещенный карбоцикл, или необязательно замещенный гетероцикл}, или
когда Z представляет собой CR2b, R2a и R2b необязательно образуют, вместе с атомами углерода, соединенными с ними, необязательно замещенный карбоцикл или необязательно замещенный гетероцикл, и
R3 представляет собой атом водорода, атом галогена, необязательно замещенную C1-C6 алкильную группу, C1-C6 галогеналкильную группу, необязательно замещенную C1-C6 алкокси группу, C1-C6 галогеналкокси группу, необязательно замещенную C3-C7 циклоалкильную группу, необязательно замещенную C2-C6 алкенильную группу, необязательно замещенную C2-C6 алкинильную группу или необязательно замещенную аралкильную группу.
(1-A) Биарильное производное (1) или его соль, где, в приведенной выше формуле (I), Q представляет собой CH2, C=O, NH, O или S,
каждый X1, X2 и X3 независимо представляет собой CR1 или N,
каждый R2a и R2b независимо представляет собой атом водорода, атом галогена, гидроксильную группу, цианогруппу, формильную группу, необязательно замещенную C1-C6 алкильную группу, C1-C6 галогеналкильную группу, необязательно замещенную C1-C6 алкокси группу, C1-C6 галогеналкокси группу, C1-C4 алкокси-C1-C4 алкильную группу, C1-C4 алкокси-C1-C4 галогеналкильную группу, необязательно замещенную C1-C6 алкилкарбонильную группу, необязательно замещенную C1-C6 алкоксикарбонильную группу, необязательно замещенную C1-C6 алкилкарбонилокси группу, необязательно замещенную C3-C7 циклоалкильную группу, необязательно замещенную гетероциклоалкильную группу, необязательно замещенную C2-C6 алкенильную группу, необязательно замещенную C2-C6 алкенил-C1-C6 алкильную группу, необязательно замещенную C2-C6 алкенил-C1-C6 алкокси группу, необязательно замещенную C2-C6 алкинильную группу, необязательно замещенную C2-C6 алкинил-C1-C6 алкильную группу, необязательно замещенную C2-C6 алкинил-C1-C6 алкокси группу, -NRaRb {каждый Ra и Rb независимо представляет собой атом водорода или необязательно замещенную C1-C6 алкильную группу (при условии, что Ra и Rb одновременно не являются атомами водорода)}, необязательно замещенную C1-C6 алкилтио группу, пентафторсульфанильную группу или группу, представленную формулой (I-A) {где L представляет собой -(CH2)p-, -O(CH2)p-, -(CH2)pO-, -(CH2)pO(CH2)q-, -NRc(CH2)p-, -(CH2)pNRc- или -(CH2)pNRc(CH2)q-, где каждый (CH2)p и (CH2)q необязательно замещен атомом галогена, C1-C4 алкильной группой или C3-C7 циклоалкильной группой, и p, q, Rc и кольцо B представляют собой, как определено в (1)}, и
когда Z представляет собой CR2b, R2a и R2b необязательно образуют, вместе с атомами углерода, соединенными с ними, необязательно замещенный карбоцикл или необязательно замещенный гетероцикл.
[0024]
(2) Биарильное производное (1) или его соль, где, в приведенной выше формуле (I), Q представляет собой NH, O или S.
(3) Биарильное производное (2) или его соль, где, в приведенной выше формуле (I), Q представляет собой O.
(4) Биарильное производное по любому из (1)-(3) или его соль, где, в приведенной выше формуле (I), X1 и X3 представляют собой CH, X2 представляет собой CR1 или N, и R1 представляет собой атом водорода или атом галогена.
(4-A) Биарильное производное по любому из (1)-(3) или его соль, где, в приведенной выше формуле (I), X1 и X3 представляют собой CR1, X2 представляет собой CR1 или N, и R1 представляет собой атом водорода или атом галогена.
(5) Биарильное производное (4) или его соль, где, в приведенной выше формуле (I), X1 и X3 представляют собой CH, и X2 представляет собой CH или N.
(6) Биарильное производное по любому из (1)-(5) или его соль, где, в приведенной выше формуле (I), кольцо A представляет собой необязательно замещенный фенил или необязательно замещенный 6-членный гетероарил (указанное кольцо A необязательно дополнительно конденсировано, образуя необязательно замещенное конденсированное кольцо).
(7) Биарильное производное по любому из (1)-(6) или его соль, где, в приведенной выше формуле (I), кольцо A представляет собой кольцо, выбранное из группы, состоящей из следующих формул:
[0025]
[0026]
где n равен 1 или 2,
R4 представляет собой атом водорода, атом галогена, цианогруппу, гидроксильную группу, необязательно замещенную C1-C6 алкильную группу, C1-C6 галогеналкильную группу, необязательно замещенную C3-C7 циклоалкильную группу, гетероциклоалкильную группу, гетероциклоалкилокси группу, 5-членную гетероарильную группу, необязательно замещенную C1-C6 алкокси группу, C1-C6 галогеналкокси группу, C2-C6 алкенильную группу, C2-C6 алкенил-C1-C6 алкокси группу, C2-C6 алкинильную группу, C2-C6 алкинил-C1-C6 алкокси группу, C1-C6 алкилтио группу, -NRdRe (каждый Rd и Re независимо представляет собой атом водорода или C1-C6 алкильную группу), нитро группу, формильную группу, C1-C6 алкилкарбонильную группу, C1-C6 алкоксикарбонильную группу или C1-C6 алкилкарбонилокси группу, и
каждый R5a, R5b и R5c независимо представляет собой атом водорода, атом галогена, цианогруппу, C1-C6 алкильную группу, C1-C6 алкокси группу, C1-C6 галогеналкильную группу, C1-C6 галогеналкокси группу, C3-C7 циклоалкильную группу, C1-C6 алкилкарбонильную группу или C1-C6 алкоксикарбонильную группу.
(7-A) Биарильное производное по любому из (1)-(6) или его соль, где, в приведенной выше формуле (I), кольцо A представляет собой кольцо, выбранное из группы, состоящей из следующих формул:
[0027]
[0028]
где m равен 0, 1 или 2,
n равен 1 или 2,
R4 представляет собой атом водорода, атом галогена, цианогруппу, гидроксильную группу, необязательно замещенную C1-C6 алкильную группу, C1-C6 галогеналкильную группу, необязательно замещенную C3-C7 циклоалкильную группу, гетероциклоалкильную группу, 5-членную гетероарильную группу, необязательно замещенную C1-C6 алкокси группу, C1-C6 галогеналкокси группу, C2-C6 алкенильную группу, C2-C6 алкинильную группу, C1-C6 алкилтио группу, -NRdRe (каждый Rd и Re независимо представляет собой атом водорода или C1-C6 алкильную группу), нитро группу, формильную группу, C1-C6 алкилкарбонильную группу, C1-C6 алкоксикарбонильную группу или C1-C6 алкилкарбонилокси группу, и
каждый R5 независимо представляет собой атом водорода, атом галогена, цианогруппу, C1-C6 алкильную группу, C1-C6 алкокси группу, C1-C6 галогеналкильную группу, C1-C6 галогеналкокси группу, C3-C7 циклоалкильную группу, C1-C6 алкилкарбонильную группу или C1-C6 алкоксикарбонильную группу.
(8) Биарильное производное (7) или его соль, где, в приведенной выше формуле (I), кольцо A представляет собой кольцо, выбранное из группы, состоящей из следующих формул:
[0029]
[0030]
где n, R4, R5a, R5b и R5c представляют собой, как определено в (7).
(8-A) Биарильное производное (7-A) или его соль, где, в приведенной выше формуле (I), кольцо A представляет собой кольцо, выбранное из группы, состоящей из следующих формул:
[0031]
[0032]
где m, n, R4 и R5 представляют собой, как определено в (7-A).
(9) Биарильное производное (7) или (8) или его соль, где R4 представляет собой атом галогена, цианогруппу, C1-C6 алкильную группу, C1-C6 галогеналкильную группу, C3-C7 циклоалкильную группу, C1-C6 алкокси группу, C1-C6 галогеналкокси группу, винильную группу, этинильную группу или C1-C6 алкилтио группу.
(10) Биарильное производное (9) или его соль, где R4 представляет собой атом галогена, C1-C4 алкильную группу, C1-C4 галогеналкильную группу, циклопропильную группу, C1-C4 алкокси группу или C1-C4 галогеналкокси группу.
(11) Биарильное производное (1) или его соль, где, в приведенной выше формуле (I),
Q представляет собой O,
кольцо A представляет собой кольцо, выбранное из группы, состоящей из следующих формул:
[0033]
[0034]
где n равен 1 или 2,
R4 представляет собой атом галогена, цианогруппу, гидроксильную группу, необязательно замещенную C1-C6 алкильную группу, C1-C6 галогеналкильную группу, необязательно замещенную C3-C7 циклоалкильную группу, гетероциклоалкильную группу, 5-членную гетероарильную группу, необязательно замещенную C1-C6 алкокси группу, C1-C6 галогеналкокси группу, C2-C6 алкенильную группу, C2-C6 алкинильную группу, C1-C6 алкилтио группу, -NRdRe (каждый Rd и Re независимо представляет собой атом водорода или C1-C6 алкильную группу), нитро группу, формильную группу, C1-C6 алкилкарбонильную группу, C1-C6 алкоксикарбонильную группу или C1-C6 алкилкарбонилокси группу, и
каждый R5a, R5b и R5c независимо представляет собой атом водорода, атом галогена, цианогруппу, C1-C6 алкильную группу, C1-C6 алкокси группу, C1-C6 галогеналкильную группу, C1-C6 галогеналкокси группу, C3-C7 циклоалкильную группу, C1-C6 алкилкарбонильную группу или C1-C6 алкоксикарбонильную группу.
(11-A) Биарильное производное (1) или его соль, где, в приведенной выше формуле (I),
Q представляет собой O,
кольцо A представляет собой кольцо, выбранное из группы, состоящей из следующих формул:
[0035]
[0036]
где m равен 0, 1 или 2,
n равен 1 или 2,
R4 представляет собой атом галогена, цианогруппу, гидроксильную группу, необязательно замещенную C1-C6 алкильную группу, C1-C6 галогеналкильную группу, необязательно замещенную C3-C7 циклоалкильную группу, гетероциклоалкильную группу, 5-членную гетероарильную группу, необязательно замещенную C1-C6 алкокси группу, C1-C6 галогеналкокси группу, C2-C6 алкенильную группу, C2-C6 алкинильную группу, C1-C6 алкилтио группу, -NRdRe (Rd и Re каждый независимо представляет собой атом водорода или C1-C6 алкильную группу), нитро группу, формильную группу, C1-C6 алкилкарбонильную группу, C1-C6 алкоксикарбонильную группу или C1-C6 алкилкарбонилокси группу, и
каждый R5 независимо представляет собой атом водорода, атом галогена, цианогруппу, C1-C6 алкильную группу, C1-C6 алкокси группу, C1-C6 галогеналкильную группу, C1-C6 галогеналкокси группу, C3-C7 циклоалкильную группу, C1-C6 алкилкарбонильную группу или C1-C6 алкоксикарбонильную группу.
(12) Биарильное производное по любому из (1)-(5) или его соль, где, в приведенной выше формуле (I), кольцо A представляет собой 5-членный гетероарил (указанное кольцо A необязательно дополнительно конденсировано, образуя необязательно замещенное конденсированное кольцо).
(13) Биарильное производное (12) или его соль, где, в приведенной выше формуле (I), кольцо A представляет собой кольцо, выбранное из группы, состоящей из следующих формул:
[0037]
[0038]
где X4 представляет собой NRf (Rf представляет собой атом водорода или C1-C6 алкильную группу), O или S,
каждый R5a, R5b и R5c независимо представляет собой атом водорода, атом галогена, цианогруппу, C1-C6 алкильную группу, C1-C6 алкокси группу, C1-C6 галогеналкильную группу, C1-C6 галогеналкокси группу, C3-C7 циклоалкильную группу, C1-C6 алкилкарбонильную группу или C1-C6 алкоксикарбонильную группу, и
каждый R6a и R6b независимо представляет собой атом водорода, атом галогена, необязательно замещенную C1-C6 алкильную группу, C1-C6 галогеналкильную группу, необязательно замещенную C3-C7 циклоалкильную группу, необязательно замещенную C1-C6 алкокси группу, C1-C6 галогеналкокси группу или необязательно замещенную C1-C6 алкилтио группу.
(13-A) Биарильное производное (12) или его соль, где, в приведенной выше формуле (I), кольцо A представляет собой кольцо, выбранное из группы, состоящей из следующих формул:
[0039]
[0040]
где X4 представляет собой NRf (Rf представляет собой атом водорода или C1-C6 алкильную группу), O или S,
m равен 0, 1 или 2,
каждый R5 независимо представляет собой атом водорода, атом галогена, цианогруппу, C1-C6 алкильную группу, C1-C6 алкокси группу, C1-C6 галогеналкильную группу, C1-C6 галогеналкокси группу, C3-C7 циклоалкильную группу, C1-C6 алкилкарбонильную группу или C1-C6 алкоксикарбонильную группу, и
каждый R6 независимо представляет собой атом водорода, атом галогена, необязательно замещенную C1-C6 алкильную группу, C1-C6 галогеналкильную группу, необязательно замещенную C3-C7 циклоалкильную группу, необязательно замещенную C1-C6 алкокси группу, C1-C6 галогеналкокси группу или необязательно замещенную C1-C6 алкилтио группу).
(14) Биарильное производное по любому из (1)-(13) или его соль, где, в приведенной выше формуле (I), когда Z представляет собой CR2b, каждый R2a и R2b независимо представляет собой атом водорода, атом галогена, цианогруппу, необязательно замещенную C1-C6 алкильную группу, необязательно замещенную C1-C6 галогеналкильную группу, необязательно замещенную C1-C6 алкокси группу, необязательно замещенную C1-C6 галогеналкокси группу, необязательно замещенную C1-C4 алкокси-C1-C4 алкильную группу, необязательно замещенную C1-C4 алкокси-C1-C4 галогеналкильную группу, необязательно замещенную C1-C6 алкилкарбонильную группу, необязательно замещенную C1-C6 алкоксикарбонильную группу, необязательно замещенную C3-C7 циклоалкильную группу, необязательно замещенную гетероциклоалкильную группу, необязательно замещенную C2-C6 алкенил-C1-C6 алкокси группу, необязательно замещенную C2-C6 алкинил-C1-C6 алкокси группу, -NRaRb {каждый Ra и Rb независимо представляет собой атом водорода или необязательно замещенную C1-C6 алкильную группу (при условии, что Ra и Rb одновременно не являются атомами водорода)}, необязательно замещенную C1-C6 алкилтио группу, пентафторсульфанильную группу или группу, представленную формулой (I-A)
[0041]
[0042]
{где,
L представляет собой простую связь, -(CH2)p-, -O(CH2)p-, -(CH2)pO-, -NRc(CH2)p- или -(CH2)pNRc-, где один или более атомов водорода (CH2)p необязательно замещены атомом галогена,
p равен 1 или 2,
Rc представляет собой атом водорода или метильную группу, и
кольцо B представляет собой необязательно замещенный фенил или необязательно замещенный 5- или 6-членный гетероарил} или
R2a и R2b необязательно образуют, вместе с атомами углерода, соединенными с ними, необязательно замещенный карбоцикл.
(14-A) Биарильное производное (14) или его соль, где, в приведенной выше формуле (I), когда Z представляет собой CR2b, каждый R2a и R2b независимо представляет собой атом водорода, атом галогена, цианогруппу, необязательно замещенную C1-C6 алкильную группу, C1-C6 галогеналкильную группу, необязательно замещенную C1-C6 алкокси группу, C1-C6 галогеналкокси группу, C1-C4 алкокси-C1-C4 алкильную группу, C1-C4 алкокси-C1-C4 галогеналкильную группу, необязательно замещенную C1-C6 алкилкарбонильную группу, необязательно замещенную C1-C6 алкоксикарбонильную группу, необязательно замещенную C3-C7 циклоалкильную группу, необязательно замещенную гетероциклоалкильную группу, необязательно замещенную C2-C6 алкенил-C1-C6 алкокси группу, необязательно замещенную C2-C6 алкинил-C1-C6 алкокси группу, -NRaRb {каждый Ra и Rb независимо представляет собой атом водорода или необязательно замещенную C1-C6 алкильную группу (при условии, что Ra и Rb одновременно не являются атомами водорода)}, необязательно замещенную C1-C6 алкилтио группу, пентафторсульфанильную группу или группу, представленную формулой (I-A) {где L представляет собой -(CH2)p-, -O(CH2)p-, -(CH2)pO-, -NRc(CH2)p- или -(CH2)pNRc-, где (CH2)p необязательно замещен атомом галогена, и p, Rc и кольцо B представляют собой, как определено в (14)}, или
R2a и R2b необязательно образуют, вместе с атомами углерода, соединенными с ними, необязательно замещенный карбоцикл.
(15) Биарильное производное (14) или его соль, где, в приведенной выше формуле (I), когда Z представляет собой CR2b, каждый R2a и R2b независимо представляет собой атом водорода, C1-C4 алкильную группу, C1-C4 галогеналкильную группу, C1-C4 алкокси группу, C1-C4 галогеналкокси группу, C1-C4 алкокси-C1-C4 алкильную группу, C1-C4 алкокси-C1-C4 галогеналкильную группу или C3-C7 циклоалкильную группу (при условии, что R2a и R2b одновременно не являются атомами водорода).
(16) Биарильное производное по любому из (1)-(15) или его соль, где, в приведенной выше формуле (I), когда Z представляет собой CR2b, R2b представляет собой атом водорода или C1-C4 алкильную группу.
(17) Биарильное производное (1) или его соль, где соединение, представленное приведенной выше формулой (I), представляет собой любое из:
[0043]
[0044]
[0045]
[0046]
[0047]
(18) Лекарственное средство, содержащее биарильное производное по любому из (1)-(17) или его соль.
(19) Противогрибковое средство, содержащее биарильное производное по любому из (1)-(17) или его соль в качестве активного ингредиента.
(20) Терапевтический агент для лечения поверхностного микоза, содержащий биарильное производное по любому из (1)-(17) или его соль в качестве активного ингредиента.
(21) Терапевтический агент для лечения дерматофитного онихомикоза, содержащий биарильное производное по любому из (1)-(17) или его соль в качестве активного ингредиента.
(22) Применение биарильного производного по любому из (1)-(17) или его соли в получении противогрибкового средства, терапевтического агента для лечения поверхностного микоза или терапевтического агента для лечения дерматофитного онихомикоза.
(23) Биарильное производное по любому из (1)-(17) или его соль для применения в профилактике или лечении грибковых инфекций, поверхностного микоза или дерматофитного онихомикоза.
(24) Способ предотвращения или лечения грибковых инфекций, поверхностного микоза или дерматофитного онихомикоза у млекопитающего, включающий введение эффективного количества биарильного производного по любому из (1)-(17) или его соли млекопитающему.
Эффект настоящего изобретения
[0048]
Биарильное производное или его соль настоящего изобретения обладает превосходной противогрибковой активностью в отношении грибка стригущего лишая, который представляет собой основной болезнетворный микроорганизм поверхностного микоза, и является пригодным в качестве профилактического или терапевтического лекарственного средства для инфекций, вызванных грибком стригущего лишая, у млекопитающих, включая людей. Более того, поскольку биарильное производное или его соль настоящего изобретения также обладает превосходной ногтевой проницаемостью, оно является особенно пригодным в качестве местного терапевтического агента для лечения дерматофитного онихомикоза.
Описание вариантов осуществления
[0049]
Каждый заместитель в приведенной выше формуле (I) поясняют ниже.
Конкретные примеры ʺатома галогенаʺ включают атом фтор, атом хлора, атом брома или атом йода.
ʺC1-C6 алкильная группаʺ обозначает нормальную или разветвленную алкильную группу, содержащую 1-6 атомов углерода, и ее конкретные примеры включают метильную группу, этильную группу, н-пропильную группу, изопропильную группу, н-бутильную группу, изобутильную группу, трет-бутильную группу, втор-бутильную группу, н-пентильную группу, трет-пентильную группу, 3-метилбутильную группу (изопентильную группу), неопентильную группу, н-гексильную группу и подобные.
ʺC1-C4 алкильная группаʺ обозначает нормальную или разветвленную алкильную группу, содержащую 1-4 атомов углерода, и ее конкретные примеры включают метильную группу, этильную группу, н-пропильную группу, изопропильную группу, н-бутильную группу, изобутильную группу, трет-бутильную группу, втор-бутильную группу и подобные.
ʺC1-C6 галогеналкильная группаʺ обозначает алкильную группу, где один или более атомов водорода приведенной выше ʺC1-C6 алкильной группыʺ замещены атомом галогена, и ее конкретные примеры включают трифторметильную группу, дифторметильную группу, монофторметильную группу, 1,1-дифторэтильную группу, 2,2,2-трифторэтильную группу, 1,1,2-трифторэтильную группу, 1,1,2,2,2-пентафторэтильную группу, 2-бром-1,1-дифторэтильную группу и подобные.
ʺC1-C4 галогеналкильная группаʺ обозначает алкильную группу, где один или более атомов водорода приведенной выше ʺC1-C4 алкильной группыʺ замещены атомом галогена, и ее конкретные примеры включают трифторметильную группу, дифторметильную группу, монофторметильную группу, 1,1-дифторэтильную группу, 2,2,2-трифторэтильную группу, 1,1,2-трифторэтильную группу, 1,1,2,2,2-пентафторэтильную группу, 2-бром-1,1-дифторэтильную группу и подобные.
[0050]
ʺC1-C6 алкокси группаʺ обозначает алкокси группу, где алкильный фрагмент представляет собой, как определено в приведенной выше ʺC1-C6 алкильной группеʺ, и ее конкретные примеры включают метокси группу, этокси группу, н-пропокси группу, изопропокси группу, н-бутокси группу, изобутокси группу, трет-бутокси группу, втор-бутокси группу, н-пентилокси группу, трет-амилокси группу, 3-метилбутокси группу, неопентилокси группу, н-гексилокси группу и подобные.
ʺC1-C4 алкокси группаʺ обозначает алкокси группу, где алкильный фрагмент представляет собой, как определено в приведенной выше ʺC1-C4 алкильной группеʺ, и ее конкретные примеры включают метокси группу, этокси группу, н-пропокси группу, изопропокси группу, н-бутокси группу, изобутокси группу, трет-бутокси группу, втор-бутокси группу и подобные.
ʺC1-C6 галогеналкокси группаʺ обозначает галогеналкокси группу, где галогеналкильный фрагмент представляет собой, как определено в приведенной выше ʺC1-C6 галогеналкильной группеʺ, и ее конкретные примеры включают трифторметокси группу, дифторметокси группу, 2,2,2-трифторэтокси группу и подобные.
ʺC1-C4 галогеналкокси группаʺ обозначает галогеналкокси группу, где галогеналкильный фрагмент представляет собой, как определено в приведенной выше ʺC1-C4 галогеналкильной группеʺ, и ее конкретные примеры включают трифторметокси группу, дифторметокси группу, 2,2,2-трифторэтокси группу и подобные.
[0051]
ʺC1-C4 алкокси-C1-C4 алкильная группаʺ представляет собой приведенную выше ʺC1-C4 алкильную группуʺ, замещенную приведенной выше ʺC1-C4 алкокси группойʺ, и они могут быть присоединены по любым замещаемым положениям. Например, можно упомянуть метоксиметильную группу, этоксиметильную группу, метоксиэтильную группу, этоксиэтильную группу и подобные.
ʺC1-C4 алкокси-C1-C4 галогеналкильная группаʺ представляет собой приведенную выше ʺC1-C4 галогеналкильную группуʺ, замещенную приведенной выше ʺC1-C4 алкокси группойʺ, и они могут быть присоединены по любым замещаемым положениям. Например, можно упомянуть дифтор(метокси)метильную группу, дифтор(этокси)метильную группу, 1,1-дифтор-2-метоксиэтильную группу, 1,1-дифтор-2-этоксиэтил и подобные.
ʺC1-C6 алкилкарбонильная группаʺ обозначает алкилкарбонильную группу, где алкильный фрагмент представляет собой приведенную выше ʺC1-C6 алкильную группуʺ, и ее конкретные примеры включают метилкарбонильную группу, этилкарбонильную группу, н-пропилкарбонильную группу, изопропилкарбонильную группу, н-бутилкарбонильную группу, изобутилкарбонильную группу, трет-бутилкарбонильную группу, втор-бутилкарбонильную группу, н-пентилкарбонильную группу, трет-амилкарбонильную группу, 3-метилбутилкарбонильную группу, неопентилкарбонильную группу, н-гексилкарбонильную группу и подобные.
ʺC1-C6 алкоксикарбонильная группаʺ обозначает алкоксикарбонильную группу, где алкокси группа представляет собой приведенную выше ʺC1-C6 алкокси группуʺ, и ее конкретные примеры включают метоксикарбонильную группу, этоксикарбонильную группу, н-пропоксикарбонильную группу, изопропоксикарбонильную группу, н-бутоксикарбонильную группу, изобутоксикарбонильную группу, трет-бутоксикарбонильную группу, втор-бутоксикарбонильную группу, н-пентилоксикарбонильную группу, трет-пентилоксикарбонильную группу, 3-метилбутоксикарбонильную группу, неопентилоксикарбонильную группу, н-гексилоксикарбонильную группу и подобные.
ʺC1-C6 алкилкарбонилокси группаʺ обозначает алкилкарбонилокси группу, где алкилкарбонильная группа представляет собой приведенную выше ʺC1-C6 алкилкарбонильную группуʺ, и ее конкретные примеры включают метилкарбонилокси группу, этилкарбонилокси группу, н-пропилкарбонилокси группу, изопропилкарбонилокси группу и подобные.
ʺC3-C7 циклоалкильная группаʺ представляет собой моноциклическую насыщенную карбоциклическую группу, содержащую 3-7 атомов углерода. Ее конкретные примеры включают циклопропильную группу, циклобутильную группу, циклопентильную группу, циклогексильную группу, циклогептильную группу и подобные.
[0052]
ʺГетероциклоалкильная группаʺ представляет собой моноциклическую насыщенную гетероциклическую группу. Ее конкретные примеры включают пирролидинильную группу (например, 1-пирролидинильную группу, 2-пирролидинильную группу, 3-пирролидинильную группу), пиперидинильную группу (например, 1-пиперидинильную группу, 4-пиперидинильную группу), гомопиперидинильную группу (например, 1-гомопиперидинильную группу, 4-гомопиперидинильную группу), тетрагидрофуранильную группу (например, 2-тетрагидрофуранильную группу, 3-тетрагидрофуранильную группу), тетрагидропиранильную группу (например, 4-тетрагидропиранильную группу), пиперазинильную группу (например, 1-пиперазинильную группу), гомопиперазинильную группу (например, 1-гомопиперазинильную группу), морфолино группу и подобные. Подходящие примеры ʺгетероциклоалкильной группыʺ включают 5-7-членную моноциклическую насыщенную гетероциклическую группу, содержащую, помимо атома углерода, один или более (например, 1-4) гетероатомов, выбранных из атома азота, атома серы и атома кислорода.
ʺГетероциклоалкилокси группаʺ обозначает гетероциклоалкилокси группу, где гетероциклоалкильный фрагмент представляет собой приведенную выше ʺгетероциклоалкильную группуʺ, и ее конкретные примеры включают пирролидинилокси группу и тетрагидропиранилокси группу.
[0053]
ʺC2-C6 алкенильная группаʺ обозначает нормальную или разветвленную алкенильную группу, содержащую 2-6 атомов углерода и содержащую одну или более двойных связей, и ее конкретные примеры включают винильную группу, 1-пропенильную группу, изопропенильную группу, аллильную группу, 2-метилаллильную группу, 1-бутенильную группу, 2-бутенильную группу, 3-бутенильную группу, изобутенильную группу, 2-метил-1-пропенильную группу, 1-метил-1-пропенильную группу, 1-пентенильную группу, 2-пентенильную группу, 1-гексенильную группу, 2-метилбут-3-ен-1-ильную группу и подобные.
[0054]
ʺC2-C6 алкенилокси группаʺ обозначает алкенилокси группу, где алкенильная группа представляет собой приведенную выше ʺC2-C6 алкенильную группуʺ, и ее конкретные примеры включают винилокси группу, аллилокси группу, 1-бутенилокси группу, 2-бутенилокси группу, 3-бутенилокси группу и подобные.
[0055]
ʺC2-C6 алкенил-C1-C6 алкильная группаʺ представляет собой приведенную выше ʺC1-C6 алкильную группуʺ, замещенную приведенной выше ʺC2-C6 алкенильной группойʺ, и они могут быть присоединены по любым замещаемым положениям. Например, можно упомянуть аллильную группу, 2-метилаллильную группу, бут-3-ен-1-ильную группу, 2-метилбут-3-ен-1-ильную группу и подобные.
ʺC2-C6 алкенил-C1-C6 алкокси группаʺ представляет собой приведенную выше ʺC1-C6 алкокси группуʺ замещенную приведенной выше ʺC2-C6 алкенильной группойʺ, и они могут быть присоединены по любым замещаемым положениям. Например, можно упомянуть аллилокси группу, 2-метилаллилокси группу, бут-3-ен-1-илокси группу, 2-метилбут-3-ен-1-илокси группу и подобные.
[0056]
ʺC2-C6 алкенилокси-C1-C4 алкильная группаʺ представляет собой приведенную выше ʺC1-C4 алкильную группуʺ, замещенную приведенной выше ʺC2-C6 алкенилоксиʺ, и они могут быть присоединены по любым замещаемым положениям. Например, можно упомянуть аллилоксиметильную группу и подобные.
ʺC2-C6 алкенилокси-C1-C4 алкокси группаʺ представляет собой приведенную выше ʺC1-C4 алкокси группуʺ, замещенную приведенной выше ʺC2-C6 алкенилоксиʺ, и они могут быть присоединены по любым замещаемым положениям. Например, можно упомянуть аллилоксиметокси группу и подобные.
ʺC2-C6 алкенилокси-C1-C4 галогеналкильная группаʺ представляет собой приведенную выше ʺC1-C4 галогеналкильную группуʺ, замещенную приведенной выше ʺC2-C6 алкенилоксиʺ, и они могут быть присоединены по любым замещаемым положениям.
ʺC2-C6 алкенилокси-C1-C4 галогеналкокси группаʺ представляет собой приведенную выше ʺC1-C4 галогеналкокси группуʺ, замещенную приведенной выше ʺC2-C6 алкенилоксиʺ, и они могут быть присоединены по любым замещаемым положениям.
[0057]
ʺC2-C6 алкинильная группаʺ обозначает нормальную или разветвленную алкинильную группу, содержащую 2-6 атомов углерода и содержащую одну или более тройных связей, и ее конкретные примеры включают этинильную группу, 1-пропинильную группу, 2-пропинильную группу, 1-бутинильную группу, 2-бутинильную группу, 3-бутинильную группу, 3-метил-1-бутинильную группу, 1-пентинильную группу, 2-пентинильную группу, 3-метил-1-пентинильную группу, 4-метил-2-пентинильную группу, 1-гексинильную группу и подобные.
[0058]
ʺC2-C6 алкинилокси группаʺ обозначает алкинилокси группу, где алкинильная группа представляет собой приведенную выше ʺC2-C6 алкинильную группуʺ, и ее конкретные примеры включают 2-пропинилокси группу, 2-бутинилокси группу, 2-пентинилокси группу, 4-метил-2-пентинилокси группу и подобные.
[0059]
ʺC2-C6 алкинил-C1-C6 алкильная группаʺ представляет собой приведенную выше ʺC1-C6 алкильную группуʺ, замещенную приведенной выше ʺC2-C6 алкинильной группойʺ, и они могут быть присоединены по любым замещаемым положениям. Например, можно упомянуть 2-пропинильную группу, 2-бутинильную группу, 2-пентинильную группу, 4-метил-2-пентинильную группу и подобные.
ʺC2-C6 алкинил-C1-C6 алкокси группаʺ представляет собой приведенную выше ʺC1-C6 алкокси группуʺ, замещенную приведенной выше ʺC2-C6 алкинильной группойʺ, и они могут быть присоединены по любым замещаемым положениям. Например, можно упомянуть 2-пропинилокси группу, 2-бутинилокси группу, 2-пентинилокси группу, 4-метил-2-пентинилокси группу и подобные.
[0060]
ʺC2-C6 алкинилокси-C1-C4 алкильная группаʺ представляет собой приведенную выше ʺC1-C4 алкильную группуʺ, замещенную приведенной выше ʺC2-C6 алкинилоксиʺ, и они могут быть присоединены по любым замещаемым положениям.
ʺC2-C6 алкинилокси-C1-C4 алкокси группаʺ представляет собой приведенную выше ʺC1-C4 алкокси группуʺ, замещенную приведенной выше ʺC2-C6 алкинилоксиʺ, и они могут быть присоединены по любым замещаемым положениям.
ʺC2-C6 алкинилокси-C1-C4 галогеналкильная группаʺ представляет собой приведенную выше ʺC1-C4 галогеналкильную группуʺ, замещенную приведенной выше ʺC2-C6 алкинилоксиʺ, и они могут быть присоединены по любым замещаемым положениям. Ее конкретные примеры включают 1,1-дифтор-2-(проп-2-ин-1-илокси)этильную группу и подобные.
ʺC2-C6 алкинилокси-C1-C4 галогеналкокси группаʺ представляет собой приведенную выше ʺC1-C4 галогеналкокси группуʺ, замещенную приведенной выше ʺC2-C6 алкинилоксиʺ, и они могут быть присоединены по любым замещаемым положениям.
[0061]
ʺC1-C6 алкилтио группаʺ обозначает алкилтио группу, где алкильный фрагмент представляет собой, как определено в приведенной выше ʺC1-C6 алкильной группеʺ, и ее конкретные примеры включают метилтио группу, этилтио группу, н-пропилтио группу, изопропилтио группу, н-бутилтио группу, изобутилтио группу, трет-бутилтио группу, втор-бутилтио группу, н-пентилтио группу, трет-пентилтио группу, 3-метилбутилтио группу, неопентилтио группу, н-гексилтио группу и подобные.
ʺC1-C6 галогеналкилтио группаʺ обозначает алкилтио группу, где один или более атомов водорода приведенной выше ʺC1-C6 алкилтио группыʺ замещены атомом галогена, и ее конкретные примеры включают трифторметилтио группу и подобные.
[0062]
ʺКарбоциклʺ обозначает фенил или 5-7-членный моноциклический насыщенный или ненасыщенный карбоцикл. ʺГетероциклʺ обозначает ʺ5- или 6-членный гетероарилʺ или 5-7-членный моноциклический насыщенный или ненасыщенный гетероцикл. ʺ5- или 6-членный гетероарилʺ обозначает ʺ5-членный кольцевой гетероарилʺ или ʺ6-членный кольцевой гетероарилʺ.
[0063]
ʺ5-членный кольцевой гетероарилʺ представляет собой 5-членный моноциклический ароматический гетероцикл, содержащий, помимо атома углерода, один или более (например, 1-4) гетероатомов, выбранных из атома азота, атома серы и атома кислорода. Например, можно упомянуть пиррол, фуран, тиофен, имидазол, пиразол, оксазол, изоксазол, тиазол, изотиазол, тиадиазол, оксадиазол, триазол, тетразол и подобные.
Примеры ʺ5-членной кольцевой гетероарильнойʺ группы включают пирролильную группу (например, 2-пирролильную группу), фурильную группу (например, 3-фурильную группу), тиенильную группу (например, 2-тиенильную группу), имидазолильную группу (например, 4-имидазолильную группу), пиразолильную группу (например, 3-пиразолильную группу), оксазолильную группу (например, 2-оксазолильную группу), изоксазолильную группу (например, 3-изоксазолильную группу, 4-изоксазолильную группу, 5-изоксазолильную группу), тиазолильную группу (например, 2-тиазолильную группу, 5-тиазолильную группу), изотиазолильную группу (например, 3-изотиазолильную группу, 4-изотиазолильную группу), тиадиазолильную группу, оксадиазолильную группу, триазолильную группу (например, 1,2,3-триазол-2-ильную группу), тетразолильную группу и подобные.
[0064]
ʺ6-Членный кольцевой гетероарилʺ обозначает 6-членный моноциклический ароматический гетероцикл, содержащий, помимо атома углерода, один или более (например, 1-3) атомов азота. Например, можно упомянуть пиридин, пиридазин, пиримидин, пиразин, триазин и подобные.
Примеры ʺ6-членной кольцевой гетероарильнойʺ группы включают пиридильную группу (например, 2-пиридильную группу, 3-пиридильную группу, 4-пиридильную группу), пиридазинильную группу (например, 3-пиридазинильную группу), пиримидинильную группу (например, 5-пиримидинильную группу), пиразинильную группу (например, 2-пиразинильную группу) и подобные.
[0065]
Кольцо A может быть ʺдополнительно конденсировано, образуя необязательно замещенное конденсированное кольцоʺ. В настоящем изобретении, ʺдополнительно конденсированноеʺ обозначает то, что карбоцикл или гетероцикл дополнительно конденсирован по положению в кольце A, по которому возможна конденсация. Например, когда кольцо A представляет собой ʺфенилʺ, образуется ʺконденсированное кольцо, в котором конденсированы фенил и карбоциклʺ или ʺконденсированное кольцо, в котором конденсированы фенил и гетероциклʺ; когда кольцо A представляет собой ʺ5-членный кольцевой гетероарилʺ, образуется ʺконденсированное кольцо, в котором конденсированы 5-членный кольцевой гетероарил и карбоциклʺ или ʺконденсированное кольцо, в котором конденсированы 5-членный кольцевой гетероарил и гетероциклʺ; и когда кольцо A представляет собой ʺ6-членный кольцевой гетероарилʺ, образуется ʺконденсированное кольцо, в котором конденсированы 6-членный кольцевой гетероарил и карбоциклʺ или ʺконденсированное кольцо, в котором конденсированы 6-членный кольцевой гетероарил и гетероциклʺ.
[0066]
Примеры приведенного выше ʺконденсированного кольца, в котором конденсированы фенил и карбоциклʺ, включают индан, инден, нафталин, дигидронафталин, тетрагидронафталин и подобные.
Примеры группы ʺконденсированного кольца, в котором конденсированы фенил и карбоциклʺ, включают индан-4-ил, индан-5-ил, 1H-инден-4-ил, 1H-инден-5-ил, нафталин-1-ил, нафталин-2-ил, 5,6-дигидронафталин-1-ил, 7,8-дигидронафталин-1-ил, 5,6-дигидронафталин-2-ил, 5,6,7,8-тетрагидронафталин-1-ил, 5,6,7,8-тетрагидронафталин-2-ил и подобные.
Примеры приведенного выше ʺконденсированного кольца, в котором конденсированы фенил и гетероциклʺ, включают хинолин, тетрагидрохинолин, изохинолин, тетрагидроизохинолин, хиноксалин, хиназолин, циннолин, индол, индолин, изоиндол, изоиндолин, индазол, индазолин, бензофуран, дигидробензофуран, изобензофуран, 1,3-бензодиоксол, 1,4-бензодиоксан, бензотиофен, бензимидазол, бензотиазол, бензоксазол, бензизоксазол, бензизотиазол, хроман, хромен и подобные.
Примеры группы ʺконденсированного кольца, в котором конденсированы фенил и гетероциклʺ, включают хинолин-5-ил, хинолин-6-ил, хинолин-8-ил, изохинолин-5-ил, изохинолин-6-ил, хиноксалин-5-ил, хиноксалин-6-ил, хиназолин-5-ил, хиназолин-6-ил, индол-4-ил, индол-5-ил, бензофуран-4-ил, бензофуран-5-ил, дигидробензофуран-7-ил, бензо[d][1,3]диоксол-4-ил, 1,4-бензодиоксан-5-ил, бензотиофен-4-ил, бензотиофен-5-ил, бензимидазол-4-ил, бензимидазол-5-ил, бензотиазол-4-ил, бензотиазол-5-ил, бензоксазол-4-ил, бензоксазол-5-ил, бензоксазол-7-ил, хроман-8-ил и подобные.
Примеры приведенного выше ʺконденсированного кольца, в котором конденсированы 5-членный кольцевой гетероарил и карбоциклʺ, включают индол, бензофуран, бензотиофен, бензимидазол, бензотиазол, бензоксазол, индазол, бензизоксазол, бензизотиазол и подобные.
Примеры группы ʺконденсированного кольца, в котором конденсированы 5-членный кольцевой гетероарил и карбоциклʺ, включают индол-1-ил, индол-2-ил, индол-3-ил, бензофуран-2-ил, бензофуран-3-ил, бензотиофен-2-ил, бензотиофен-3-ил, бензимидазол-2-ил, бензоксазол-2-ил, бензотиазол-2-ил, индазол-3-ил, бензизоксазол-3-ил, бензизотиазол-3-ил и подобные.
[0067]
Примеры приведенного выше ʺконденсированного кольца, в котором конденсированы 5-членный кольцевой гетероарил и гетероциклʺ, включают пирролопиридин, пиразолопиридин, пиразолопиримидин, имидазопиридин, триазолопиридин, дигидропиразолооксазол и подобные.
Примеры группы ʺконденсированного кольца, в котором конденсированы 5-членный кольцевой гетероарил и гетероциклʺ, включают 1H-пирроло[2,3-b]пиридин-3-ил, 1H-пиразоло[3,4-b]пиридин-3-ил, пиразоло[1,5-a]пиридин-3-ил, 2,3-дигидропиразоло[5,1-b]оксазол-7-ил, [5,6,7,8]тетрагидропиразоло[5,1-b][1,3]оксазепин-3-ил и подобные.
Примеры приведенного выше ʺконденсированного кольца, в котором конденсированы 6-членный кольцевой гетероарил и карбоциклʺ, включают хинолин, изохинолин, хиназолин и подобные.
Примеры группы ʺконденсированного кольца, в котором конденсированы 6-членный кольцевой гетероарил и карбоциклʺ, включают хинолин-4-ил, изохинолин-1-ил, изохинолин-4-ил, хиназолин-4-ил и подобные.
Примеры приведенного выше ʺконденсированного кольца, в котором конденсированы 6-членный кольцевой гетероарил и гетероцикл ʺ, включают пиразолопиридин, пиразолопиримидин, имидазопиридин, имидазопиримидин, имидазопиразин, триазолопиридин, нафтиридин, пиридопиразин, азаиндазол и подобные.
Примеры группы ʺконденсированного кольца, в котором конденсированы 6-членный кольцевой гетероарил и гетероциклʺ, включают пиразоло[1,5-a]пиридин-7-ил, пиразоло[1,5-a]пиримидин-7-ил, имидазо[1,5-a]пиридин-8-ил, имидазо[1,2-c]пиримидин-8-ил, имидазо[1,2-a]пиразин-5-ил, [1,2,4]триазоло[1,5-a]пиридин-5-ил, 1,5-нафтиридин-4-ил, пиридо[3,4-b]пиразин-8-ил, азаиндазолил и подобные.
[0068]
ʺАралкильная группаʺ представляет собой приведенную выше ʺC1-C6 алкильную группуʺ, замещенную фенильной группой, 5-членную гетероарильную группу, 6-членную кольцевую гетероарильную группу или подобные, и они могут быть присоединены по любым замещаемым положениям. Например, можно упомянуть бензильную группу, фенэтильную группу, 1-фенилэтильную группу, 1-фенилпропильную группу, 3-фенилпропильную группу и подобные.
[0069]
Термин ʺзамещенныйʺ в настоящем описании обозначает, если не указано конкретно, что один или более атомов водорода замещены атомом, отличным от атома водорода или функциональной группой в указанных положениях.
[0070]
В формуле (I), заместитель ʺнеобязательно замещенного фенилаʺ и ʺнеобязательно замещенного 5- или 6-членного гетероарилаʺ для кольца A представляет собой заместитель, выбранный из группы, состоящей из атома галогена, цианогруппы, гидроксильной группы, необязательно замещенной C1-C6 алкильной группы (такой же как ʺнеобязательно замещенная C1-C6 алкильная группаʺ для R4), C1-C6 галогеналкильной группы, необязательно замещенной C3-C7 циклоалкильной группы (такой же как ʺнеобязательно замещенная C3-C7 циклоалкильная группаʺ для R4), гетероциклоалкильной группы, гетероциклоалкилокси группы, 5-членной гетероарильной группы, необязательно замещенной C1-C6 алкокси группы (такой же как ʺнеобязательно замещенная C1-C6 алкокси группаʺ для R4), C1-C6 галогеналкокси группы, C2-C6 алкенильной группы, C2-C6 алкенилокси группы, C2-C6 алкинильной группы, C2-C6 алкинилокси группы, C1-C6 алкилтио группы, -NRdRe (каждый Rd и Re независимо представляет собой атом водорода или C1-C6 алкильную группу), нитро группы, формильной группы, C1-C6 алкилкарбонильной группы, C1-C6 алкоксикарбонильной группы и C1-C6 алкилкарбонилокси группы. Один или более из них можно замещать по любому замещаемому положению.
В формуле (I), заместитель ʺнеобязательно замещенного конденсированного кольцаʺ для кольца A представляет собой заместитель, выбранный из группы, состоящей из оксо группы, атома галогена, цианогруппы, C1-C6 алкильной группы, C1-C6 алкокси группы, C1-C6 галогеналкильной группы, C1-C6 галогеналкокси группы, C3-C7 циклоалкильной группы, C1-C6 алкилкарбонильной группы, C1-C6 алкоксикарбонильной группы и C1-C6 алкилкарбонилокси группы. Одну или более из них можно заместить по любым замещаемым положениям.
[0071]
В формуле (I-A), заместитель ʺнеобязательно замещенного карбоциклаʺ и ʺнеобязательно замещенного гетероциклаʺ для кольца B представляет собой заместитель, выбранный из группы, состоящей из атома галогена, цианогруппы, C1-C6 алкильной группы, C1-C6 галогеналкильной группы, C1-C6 алкокси группы и C1-C6 галогеналкокси группы. Одну или более из них можно заместить по любым замещаемым положениям.
[0072]
В формуле (I), заместитель ʺнеобязательно замещенной C1-C6 алкильной группыʺ, ʺнеобязательно замещенной C1-C6 галогеналкильной группыʺ, ʺнеобязательно замещенной C1-C6 алкокси группыʺ и ʺнеобязательно замещенной C1-C6 галогеналкокси группыʺ для R2a и R2b представляет собой заместитель, выбранный из группы, состоящей из атома галогена, цианогруппы, гидроксильной группы, -ORg {Rg представляет собой C1-C6 алкильную группу, C1-C6 галогеналкильную группу, C1-C4 алкокси-C1-C4 алкильную группу, C2-C6 алкенил-C1-C6 алкильную группу, C2-C6 алкинил-C1-C6 алкильную группу, цианометильную группу, -CONRjRk (каждый Rj и Rk независимо представляет собой атом водорода или C1-C6 алкильную группу), C3-C7 циклоалкильную группу или C1-C6 алкилкарбонильную группу}, C1-C6 алкилкарбонильной группы, C1-C6 алкоксикарбонильной группы, C1-C6 алкилкарбонилокси группы, гетероциклоалкильной группы и -NRhRi {Rh представляет собой C1-C6 алкильную группу, Ri представляет собой атом водорода, C1-C6 алкильную группу, C1-C6 алкокси группу, цианометильную группу, C1-C6 алкилкарбонильную группу или C1-C6 алкоксикарбонильную группу}. Одну или более из них можно заместить по любым замещаемым положениям.
[0073]
В формуле (I), заместитель ʺнеобязательно замещенной C1-C4 алкокси-C1-C4 алкильной группыʺ, ʺнеобязательно замещенной C1-C4 алкокси-C1-C4 галогеналкильной группыʺ, ʺнеобязательно замещенной C1-C6 алкилкарбонильной группыʺ, ʺнеобязательно замещенной C1-C6 алкоксикарбонильной группыʺ, ʺнеобязательно замещенной C1-C6 алкилкарбонилокси группыʺ, ʺнеобязательно замещенной C3-C7 циклоалкильной группыʺ, ʺнеобязательно замещенной гетероциклоалкильной группыʺ, ʺнеобязательно замещенной гетероциклоалкилокси группыʺ, ʺнеобязательно замещенной C2-C6 алкенильной группыʺ, ʺнеобязательно замещенной C2-C6 алкенилокси группыʺ, ʺнеобязательно замещенной C2-C6 алкенил-C1-C6 алкильной группыʺ, ʺнеобязательно замещенной C2-C6 алкенил-C1-C6 алкокси группыʺ, ʺнеобязательно замещенной C2-C6 алкенилокси-C1-C4 алкильной группыʺ, ʺнеобязательно замещенной C2-C6 алкенилокси-C1-C4 алкокси группыʺ, ʺнеобязательно замещенной C2-C6 алкенилокси-C1-C4 галогеналкильной группыʺ, ʺнеобязательно замещенной C2-C6 алкенилокси-C1-C4 галогеналкокси группыʺ, ʺнеобязательно замещенной C2-C6 алкинильной группыʺ, ʺнеобязательно замещенной C2-C6 алкинилокси группыʺ, ʺнеобязательно замещенной C2-C6 алкинил-C1-C6 алкильной группыʺ, ʺнеобязательно замещенной C2-C6 алкинил-C1-C6 алкокси группыʺ, ʺнеобязательно замещенной C2-C6 алкинилокси-C1-C4 алкильной группыʺ, ʺнеобязательно замещенной C2-C6 алкинилокси-C1-C4 алкокси группыʺ, ʺнеобязательно замещенной C2-C6 алкинилокси-C1-C4 галогеналкильной группыʺ, ʺнеобязательно замещенной C2-C6 алкинилокси-C1-C4 галогеналкокси группыʺ, ʺнеобязательно замещенной C1-C6 алкилтио группыʺ и ʺнеобязательно замещенной C1-C6 галогеналкилтио группыʺ для R2a и R2b представляет собой заместитель, выбранный из группы, состоящей из атома галогена, цианогруппы, C1-C6 алкильной группы, C1-C6 галогеналкильной группы, C1-C6 алкокси группы, C1-C6 галогеналкокси группы и C1-C4 алкокси-C1-C4 алкильной группы. Одну или более из них можно заместить по любым замещаемым положениям.
[0074]
В формуле (I), заместитель ʺнеобязательно замещенной C1-C6 алкильной группыʺ для Ra и Rb представляет собой заместитель, выбранный из группы, состоящей из атома галогена, цианогруппы, C1-C6 алкокси группы, C1-C6 галогеналкокси группы, C1-C6 алкилкарбонильной группы, C1-C6 алкоксикарбонильной группы, C1-C6 алкилкарбонилокси группы, C3-C7 циклоалкильной группы, гетероциклоалкильной группы, гетероциклоалкилокси группы, C2-C6 алкенильной группы, C2-C6 алкенилокси группы, C2-C6 алкинильной группы и C2-C6 алкинилокси группы. Одну или более из них можно заместить по любым замещаемым положениям.
[0075]
В формуле (I), когда Z представляет собой CR2b, заместитель ʺнеобязательно замещенного карбоциклаʺ и ʺнеобязательно замещенного гетероциклаʺ, образованного R2a и R2b, вместе с атомами углерода, с которыми они соединены, представляет собой заместитель, выбранный из группы, состоящей из оксо группы, атома галогена, цианогруппы, гидроксильной группы, C1-C6 алкильной группы, C1-C6 галогеналкильной группы, C1-C6 алкокси группы, C1-C6 галогеналкокси группы, C1-C6 алкилкарбонильной группы, C1-C6 алкоксикарбонильной группы, C1-C6 алкилкарбонилокси группы и -NRjRk (каждый Rj и Rk независимо представляет собой атом водорода или C1-C6 алкильную группу). Одну или более из них можно заместить по любым замещаемым положениям.
[0076]
В формуле (I), заместитель ʺнеобязательно замещенной C1-C6 алкильной группыʺ, ʺнеобязательно замещенной C1-C6 алкокси группыʺ, ʺнеобязательно замещенной C3-C7 циклоалкильной группыʺ, ʺнеобязательно замещенной C2-C6 алкенильной группыʺ, ʺнеобязательно замещенной C2-C6 алкинильной группыʺ и ʺнеобязательно замещенной аралкильной группыʺ для R3 представляет собой заместитель, выбранный из группы, состоящей из атома галогена, цианогруппы, C1-C6 алкильной группы, C1-C6 галогеналкильной группы, C1-C6 алкокси группы и C1-C6 галогеналкокси группы. Одну или более из них можно заместить по любым замещаемым положениям.
[0077]
В формуле (I), заместитель ʺнеобязательно замещенной C1-C6 алкильной группыʺ и ʺнеобязательно замещенной C1-C6 алкокси группыʺ для R4 представляет собой заместитель, выбранный из группы, состоящей из атома галогена, цианогруппы, гидроксильной группы, C1-C6 алкокси группы, C1-C6 галогеналкокси группы, C2-C6 алкенильной группы, C2-C6 алкинильной группы, C3-C7 циклоалкильной группы и гетероциклоалкильной группы. Одну или более из них можно заместить по любым замещаемым положениям.
Заместитель ʺнеобязательно замещенной C3-C7 циклоалкильной группыʺ для R4 представляет собой заместитель, выбранный из группы, состоящей из атома галогена, цианогруппы, C1-C6 алкильной группы, C1-C6 галогеналкильной группы, C1-C6 алкокси группы и C1-C6 галогеналкокси группы. Одну или более из них можно заместить по любым замещаемым положениям.
[0078]
В формуле (I), заместитель ʺнеобязательно замещенной C1-C6 алкильной группыʺ, ʺнеобязательно замещенной C1-C6 алкокси группыʺ, ʺнеобязательно замещенной C3-C7 циклоалкильной группыʺ и ʺнеобязательно замещенной C1-C6 алкилтио группыʺ для R6, R6a и R6b представляет собой заместитель, выбранный из группы, состоящей из атома галогена, цианогруппы, C1-C6 алкильной группы, C1-C6 галогеналкильной группы, C1-C6 алкокси группы и C1-C6 галогеналкокси группы. Одну или более из них можно заместить по любым замещаемым положениям.
В приведенных выше определениях, количество заместителей предпочтительно составляет 1-5, более предпочтительно 1-3.
[0079]
Предпочтительный атом или заместитель для соединения формулы (I) или его фармакологически приемлемой соли настоящего изобретения описывают ниже.
Q предпочтительно представляет собой CH2, CO, NH, O или S, более предпочтительно NH, O или S, более предпочтительно NH или O, особенно предпочтительно O.
каждый X1, X2 и X3 независимо представляет собой CR1 или N, предпочтительно, X1 представляет собой CR1, и каждый X2 и X3 представляет собой CR1 или N, более предпочтительно, каждый X1 и X3 представляет собой CR1, и X2 представляет собой CR1 или N.
В другом варианте осуществления настоящего изобретения, каждый X1, X2 и X3 независимо представляет собой CH, CR1 или N, предпочтительно, X1 представляет собой CH, и каждый X2 и X3 независимо представляет собой CR1 или N, более предпочтительно, X1 и X3 представляют собой CH, и X2 представляет собой CR1 или N, более предпочтительно, X1 и X3 представляют собой CH, и X2 представляет собой CH или N.
Z предпочтительно представляет собой CR2b.
R1 предпочтительно представляет собой атом водорода, атом галогена, метильную группу или метокси группу, более предпочтительно, атом водорода или атом галогена, более предпочтительно, атом водорода.
[0080]
Предпочтительно, каждый R2a и R2b независимо представляет собой атом водорода, атом галогена, цианогруппу, необязательно замещенную C1-C6 алкильную группу, необязательно замещенную C1-C6 галогеналкильную группу, необязательно замещенную C1-C6 алкокси группу, необязательно замещенную C1-C6 галогеналкокси группу, необязательно замещенную C1-C4 алкокси-C1-C4 алкильную группу, необязательно замещенную C1-C4 алкокси-C1-C4 галогеналкильную группу, необязательно замещенную C1-C6 алкилкарбонильную группу, необязательно замещенную C1-C6 алкоксикарбонильную группу, необязательно замещенную C1-C6 алкилкарбонилокси группу, необязательно замещенную C3-C7 циклоалкильную группу, необязательно замещенную гетероциклоалкильную группу, необязательно замещенную C2-C6 алкенил-C1-C6 алкокси группу, необязательно замещенную C2-C6 алкинил-C1-C6 алкокси группу, -NRaRb {каждый Ra и Rb независимо представляет собой атом водорода или необязательно замещенную C1-C6 алкильную группу (при условии, что Ra и Rb одновременно не являются атомами водорода)}, необязательно замещенную C1-C6 алкилтио группу, пентафторсульфанильную группу или группу, представленную формулой (I-A)
[0081]
[0082]
{где
L представляет собой простую связь, -(CH2)p-, -O(CH2)p-, -(CH2)pO-, -NRc(CH2)p- или -(CH2)pNRc-, где один или более атомов водорода (CH2)p необязательно замещены атомом галогена,
p равен 1 или 2,
Rc представляет собой атом водорода или метильную группу, и
кольцо B представляет собой необязательно замещенный фенил или необязательно замещенный 5- или 6-членный гетероарил}, или
когда Z представляет собой CR2b, R2a и R2b необязательно образуют, вместе с атомами углерода, соединенными с ними, необязательно замещенный карбоцикл,
более предпочтительно, каждый R2a и R2b независимо представляет собой атом водорода, атом галогена, цианогруппу, C1-C6 алкильную группу, C1-C6 галогеналкильную группу, C1-C6 алкокси группу, C1-C6 галогеналкокси группу, C1-C4 алкокси-C1-C4 алкильную группу, C1-C4 алкокси-C1-C4 галогеналкильную группу, C1-C6 алкилкарбонильную группу, C1-C6 алкоксикарбонильную группу, C3-C7 циклоалкильную группу, C2-C6 алкенил-C1-C6 алкокси группу, C2-C6 алкинил-C1-C6 алкокси группу или группу, представленную формулой (I-A)
[0083]
[0084]
{где
L представляет собой простую связь, -(CH2)p-, -O(CH2)p- или -(CH2)pO-,
p равен 1 или 2, и
кольцо B представляет собой фенил, необязательно замещенный атомом галогена, C1-C4 алкильной группой, C1-C4 алкокси группой или цианогруппой, или 5- или 6-членный гетероарил, необязательно замещенный атомом галогена, C1-C4 алкильной группой, C1-C4 алкокси группой или цианогруппой} (R2a и R2b одновременно не являются атомами водорода),
более предпочтительно, каждый R2a и R2b независимо представляет собой атом водорода, C1-C4 алкильную группу, C1-C4 галогеналкильную группу, C1-C4 алкокси группу, C1-C4 галогеналкокси группу, C1-C4 алкокси-C1-C4 алкильную группу, C1-C4 алкокси-C1-C4 галогеналкильную группу или C3-C7 циклоалкильную группу (R2a и R2b одновременно не являются атомами водорода),
особенно предпочтительно, R2a представляет собой C1-C4 алкильную группу, C1-C4 галогеналкильную группу, C1-C4 алкокси группу, C1-C4 галогеналкокси группу, C1-C4 алкокси-C1-C4 алкильную группу, C1-C4 алкокси-C1-C4 галогеналкильную группу или циклопропильную группу, и R2b представляет собой атом водорода или C1-C4 алкильную группу.
[0085]
В другом варианте осуществления настоящего изобретения, каждый R2a и R2b предпочтительно независимо представляет собой атом водорода, атом галогена, цианогруппу, C1-C6 алкильную группу, C1-C6 алкильную группу, замещенную -ORg {Rg представляет собой C1-C6 алкильную группу, C1-C6 галогеналкильную группу, C1-C4 алкокси-C1-C4 алкильную группу, C2-C6 алкенил-C1-C6 алкильную группу, C2-C6 алкинил-C1-C6 алкильную группу, цианометильную группу, -CONRjRk (каждый Rj и Rk независимо представляет собой атом водорода или C1-C6 алкильную группу), C3-C7 циклоалкильную группу или C1-C6 алкилкарбонильную группу}, C1-C6 алкильную группу, замещенную C1-C6 алкоксикарбонильной группой, C1-C6 алкильную группу, замещенную цианогруппой, C1-C6 галогеналкильную группу, C1-C6 галогеналкильную группу, замещенную гетероциклоалкильной группой, C1-C6 галогеналкильную группу, замещенную -NRhRi {Rh представляет собой C1-C6 алкильную группу, и Ri представляет собой атом водорода, C1-C6 алкильную группу, C1-C6 алкокси группу, цианометильную группу, C1-C6 алкилкарбонильную группу или C1-C6 алкоксикарбонильную группу}, C1-C6 алкокси группу, C1-C6 алкокси группу, замещенную C1-C6 алкоксикарбонильной группой, C1-C6 галогеналкокси группу, C1-C4 алкокси-C1-C4 алкильную группу, C1-C4 алкокси-C1-C4 галогеналкильную группу, C1-C4 алкокси-C1-C4 галогеналкильную группу, замещенную C1-C4 алкокси, C1-C6 алкилкарбонильную группу, C1-C6 алкоксикарбонильную группу, C1-C6 алкилкарбонилокси группу, C3-C7 циклоалкильную группу, C3-C7 циклоалкильную группу, замещенную C1-C6 алкильной группой, C3-C7 циклоалкильную группу, замещенную C1-C4 алкокси-C1-C4 алкильной группой, гетероциклоалкильную группу, гетероциклоалкилокси группу, C2-C6 алкенильную группу, C2-C6 алкенилокси группу, C2-C6 алкенил-C1-C6 алкильную группу, C2-C6 алкенил-C1-C6 алкокси группу, C2-C6 алкенилокси-C1-C4 алкильную группу, C2-C6 алкенилокси-C1-C4 алкокси группу, C2-C6 алкенилокси-C1-C4 галогеналкильную группу, C2-C6 алкенилокси-C1-C4 галогеналкокси группу, C2-C6 алкинильную группу, C2-C6 алкинилокси группу, C2-C6 алкинил-C1-C6 алкильную группу, C2-C6 алкинил-C1-C6 алкокси группу, C2-C6 алкинилокси-C1-C4 алкильную группу, C2-C6 алкинилокси-C1-C4 алкокси группу, C2-C6 алкинилокси-C1-C4 галогеналкильную группу, C2-C6 алкинилокси-C1-C4 галогеналкокси группу, -NRaRb {каждый Ra и Rb независимо представляет собой атом водорода, C1-C6 алкильную группу, C1-C6 алкильную группу, замещенную цианогруппой, C1-C6 алкильную группу, замещенную C1-C4 алкокси группой, C1-C6 алкильную группу, замещенную C1-C6 алкоксикарбонильной группой, C1-C6 алкильную группу, замещенную C3-C7 циклоалкильной группой, или C1-C6 алкильную группу, замещенную C2-C6 алкенильной группой (при условии, что Ra и Rb одновременно не являются атомами водорода)}, C1-C6 алкилтио группу, C1-C6 галогеналкилтио группу, пентафторсульфанильную группу или группу, представленную формулой (I-A)
[0086]
[0087]
{где
L представляет собой простую связь, -(CH2)p-, -O(CH2)p-, -(CH2)pO-, -NRc(CH2)p- или -(CH2)pNRc-, где один или более атомов водорода (CH2)p необязательно замещены атомом галогена,
p равен 1 или 2,
Rc представляет собой атом водорода или метильную группу, и
кольцо B представляет собой фенил, пирролил, фурил, тиенил, имидазолил, триазолил, пиразолил, оксазолил, изоксазолил, тиазолил, изотиазолил, тиадиазолил, оксадиазолил, пиридил, пиридазинил, пиримидинил или пиразинил}, или
когда Z представляет собой CR2b, R2a и R2b могут быть соединены, образуя -(CH2)r- (r равен 3, 4, 5 или 6), необязательно замещенную атомом галогена, гидроксильной группой или оксо группой.
[0088]
Более предпочтительно, R2a представляет собой атом водорода, атом галогена, цианогруппу, C1-C6 алкильную группу, C1-C6 алкильную группу, замещенную -ORg {Rg представляет собой C1-C6 алкильную группу, C1-C6 галогеналкильную группу, C1-C4 алкокси-C1-C4 алкильную группу, C2-C6 алкенил-C1-C6 алкильную группу, C2-C6 алкинил-C1-C6 алкильную группу, цианометильную группу, -CONRjRk (каждый Rj и Rk независимо представляет собой атом водорода или C1-C6 алкильную группу), C3-C7 циклоалкильную группу или C1-C6 алкилкарбонильную группу}, C1-C6 алкильную группу, замещенную C1-C6 алкоксикарбонильной группой, C1-C6 алкильную группу, замещенную цианогруппой, C1-C6 галогеналкильную группу, C1-C6 галогеналкильную группу, замещенную гетероциклоалкильной группой, C1-C6 галогеналкильную группу, замещенную -NRhRi {Rh представляет собой C1-C6 алкильную группу, и Ri представляет собой атом водорода, C1-C6 алкильную группу или C1-C6 алкилкарбонильную группу}, C1-C6 алкокси группу, C1-C6 алкокси группу, замещенную C1-C6 алкоксикарбонильной группой, C1-C6 галогеналкокси группу, C1-C4 алкокси-C1-C4 алкильную группу, C1-C4 алкокси-C1-C4 галогеналкильную группу, C1-C4 алкокси-C1-C4 галогеналкильную группу, замещенную C1-C4 алкокси, C1-C6 алкилкарбонильную группу, C1-C6 алкоксикарбонильную группу, C1-C6 алкилкарбонилокси группу, C3-C7 циклоалкильную группу, C3-C7 циклоалкильную группу, замещенную C1-C6 алкильной группой, C3-C7 циклоалкильную группу, замещенную C1-C4 алкокси-C1-C4 алкильной группой, гетероциклоалкильную группу, гетероциклоалкилокси группу, C2-C6 алкенильную группу, C2-C6 алкенилокси группу, C2-C6 алкинильную группу, C2-C6 алкинилокси группу, C2-C6 алкинилокси-C1-C4 алкильную группу, -NRaRb {каждый Ra и Rb независимо представляет собой атом водорода, C1-C6 алкильную группу, C1-C6 алкильную группу, замещенную цианогруппой, C1-C6 алкильную группу, замещенную C1-C4 алкокси группой, C1-C6 алкильную группу, замещенную C1-C6 алкоксикарбонильной группой, C1-C6 алкильную группу, замещенную C3-C7 циклоалкильной группой, или C1-C6 алкильную группу, замещенную C2-C6 алкенильной группой (при условии, что Ra и Rb одновременно не являются атомами водорода)}, C1-C6 алкилтио группу, C1-C6 галогеналкилтио группу, пентафторсульфанильную группу или группу, представленную формулой (I-A)
[0089]
[0090]
{где
L представляет собой простую связь, -(CH2)p-, -O(CH2)p-, -(CH2)pO-, -NRc(CH2)p- или -(CH2)pNRc-, где один или более атомов водорода (CH2)p необязательно замещены атомом галогена,
p равен 1 или 2,
Rc представляет собой атом водорода или метильную группу, и
кольцо B представляет собой фенил, имидазолил, пиразолил, оксазолил, тиазолил или оксадиазолил}, и
R2b представляет собой атом водорода, атом галогена, цианогруппу, C1-C6 алкильную группу, C1-C6 галогеналкильную группу, C1-C6 алкокси группу, C1-C6 галогеналкокси группу или C3-C7 циклоалкильную группу, или
когда Z представляет собой CR2b, R2a и R2b могут быть соединены, образуя -(CH2)r- (r равен 3, 4, 5 или 6), необязательно замещенную атомом галогена, гидроксильной группой или оксо группой.
[0091]
Более предпочтительно, R2a представляет собой атом водорода, атом галогена, цианогруппу, C1-C6 алкильную группу, C1-C6 галогеналкильную группу, C1-C6 алкокси группу, C1-C6 галогеналкокси группу, C1-C4 алкокси-C1-C4 алкильную группу, C1-C4 алкокси-C1-C4 галогеналкильную группу, C1-C6 алкилкарбонильную группу, C1-C6 алкоксикарбонильную группу, C3-C7 циклоалкильную группу, -NRaRb {каждый Ra и Rb независимо представляет собой атом водорода, C1-C6 алкильную группу, C1-C6 алкильную группу, замещенную C1-C4 алкокси группой, или C1-C6 алкильную группу, замещенную C1-C6 алкоксикарбонильной группой (при условии, что Ra и Rb одновременно не являются атомами водорода)} или группу, представленную формулой (I-A)
[0092]
[0093]
{где
L представляет собой простую связь, -(CH2)p-, -O(CH2)p- или -(CH2)pO-, где один или более атомов водорода (CH2)p необязательно замещены атомом галогена,
p равен 1 или 2, и
кольцо B представляет собой фенил или пиразолил}, и
R2b представляет собой атом водорода, атом галогена или метильную группу, или
когда Z представляет собой CR2b, R2a и R2b могут быть соединены, образуя -(CH2)r- (r равен 3 или 4).
[0094]
R3 предпочтительно представляет собой атом водорода, атом фтора или метильную группу, более предпочтительно атом водорода.
[0095]
Кольцо A представляет собой необязательно замещенный фенил или необязательно замещенный 5- или 6-членный гетероарил (указанное кольцо A необязательно дополнительно конденсировано, образуя конденсированное кольцо),
предпочтительно, кольцо A представляет собой необязательно замещенное кольцо, выбранное из группы, состоящей из фенила, нафтила, пиридила, пиримидинила, пиразинила, пиразолила, тиазолила, изотиазолила, оксазолила, изоксазолила, хинолила, изохинолила, хиноксалинила, нафтиридинила, пиридопиразинила, индолила, пиразолопиридила, пиразолопиразинила, триазолопиридила, дигидробензофуранила, хроманила, 1,3-бензодиоксолила, 1,4-бензодиоксанила, азаиндазолила, пиразолопиримидинила, бензоксазолила, имидазопиридила и имидазопиримидинила.
Более предпочтительно, кольцо A представляет собой кольцо, выбранное из группы, состоящей из следующих формул:
[0096]
[0097]
где R4, R5a, R5b, R5c и n представляют собой, как определено в приведенном выше варианте осуществления (7),
более предпочтительно, кольцо A представляет собой кольцо, выбранное из группы, состоящей из следующих формул:
[0098]
[0099]
где R4, R5a, R5b, R5c и n представляют собой, как определено в приведенном выше варианте осуществления (7).
[0100]
В другом варианте осуществления настоящего изобретения, кольцо A представляет собой фенил (указанное кольцо A необязательно дополнительно конденсировано, образуя конденсированное кольцо),
предпочтительно, кольцо A представляет собой кольцо, выбранное из группы, состоящей из следующих формул:
[0101]
[0102]
где R4, R5a, R5b, R5c и n представляют собой, как определено в приведенном выше варианте осуществления (7), более предпочтительно, кольцо A представляет собой кольцо, выбранное из группы, состоящей из следующих формул:
[0103]
[0104]
где R4, R5a, R5b, R5c и n представляют собой, как определено в приведенном выше варианте осуществления (7).
В другом варианте осуществления настоящего изобретения, кольцо A представляет собой 6-членный кольцевой гетероарил (указанное кольцо A необязательно дополнительно конденсировано, образуя конденсированное кольцо),
предпочтительно, кольцо A представляет собой кольцо, выбранное из группы, состоящей из следующих формул:
[0105]
[0106]
где R4, R5a, R5b и R5c представляют собой, как определено в приведенном выше варианте осуществления (7),
более предпочтительно, кольцо A представляет собой кольцо, выбранное из группы, состоящей из следующих формул:
[0107]
[0108]
где R4, R5a, R5b и R5c представляют собой, как определено в приведенном выше варианте осуществления (7).
[0109]
В другом варианте осуществления настоящего изобретения, кольцо A представляет собой 5-членный кольцевой гетероарил (указанное кольцо A необязательно дополнительно конденсировано, образуя конденсированное кольцо),
предпочтительно, кольцо A представляет собой кольцо, выбранное из группы, состоящей из следующих формул:
[0110]
[0111]
где R5a, R5b, R5c, R6a, R6b и X4 представляют собой, как определено в приведенном выше варианте осуществления (13),
более предпочтительно, кольцо A представляет собой кольцо, представленное следующей формулой:
[0112]
[0113]
где R5a, R5b и R5c представляют собой, как определено в приведенном выше варианте осуществления (13).
[0114]
В другом варианте осуществления настоящего изобретения, более предпочтительно, кольцо A представляет собой кольцо, выбранное из группы, состоящей из следующих формул:
[0115]
[0116]
где R4, R5, m и n представляют собой, как определено в приведенном выше варианте осуществления (7-A),
более предпочтительно, кольцо A представляет собой кольцо, выбранное из группы, состоящей из следующих формул:
[0117]
[0118]
где R4, R5, m и n представляют собой, как определено в приведенном выше варианте осуществления (7-A).
[0119]
В другом варианте осуществления настоящего изобретения, кольцо A представляет собой фенил (указанное кольцо A необязательно дополнительно конденсировано, образуя конденсированное кольцо),
предпочтительно, кольцо A представляет собой кольцо, выбранное из группы, состоящей из следующих формул:
[0120]
[0121]
где R4, R5, m и n представляют собой, как определено в приведенном выше варианте осуществления (7-A),
более предпочтительно, кольцо A представляет собой кольцо, выбранное из группы, состоящей из следующих формул:
[0122]
[0123]
где R4, R5, m и n представляют собой, как определено в приведенном выше варианте осуществления (7-A).
В другом варианте осуществления настоящего изобретения, кольцо A представляет собой 6-членный кольцевой гетероарил (указанное кольцо A необязательно дополнительно конденсировано, образуя конденсированное кольцо),
предпочтительно, кольцо A представляет собой кольцо, выбранное из группы, состоящей из следующих формул:
[0124]
[0125]
где R4, R5 и m представляют собой, как определено в приведенном выше варианте осуществления (7-A),
более предпочтительно, кольцо A представляет собой кольцо, выбранное из группы, состоящей из следующих формул:
[0126]
[0127]
где R4, R5 и m представляют собой, как определено в приведенном выше варианте осуществления (7-A).
[0128]
В другом варианте осуществления настоящего изобретения, кольцо A представляет собой 5-членный кольцевой гетероарил (указанное кольцо A необязательно дополнительно конденсировано, образуя конденсированное кольцо),
предпочтительно, кольцо A представляет собой кольцо, выбранное из группы, состоящей из следующих формул:
[0129]
[0130]
где R5, R6, X4 и m представляют собой, как определено в приведенном выше варианте осуществления (13-A),
более предпочтительно, кольцо A представляет собой кольцо, представленное следующей формулой:
[0131]
[0132]
где R5 и m представляют собой, как определено в приведенном выше варианте осуществления (13-A).
[0133]
R4 предпочтительно представляет собой атом водорода, атом галогена, цианогруппу, C1-C6 алкильную группу, C1-C6 галогеналкильную группу, C3-C7 циклоалкильную группу, C1-C6 алкокси группу, C1-C6 галогеналкокси группу, винильную группу, этинильную группу, C1-C6 алкилтио группу, -NRdRe (каждый Rd и Re независимо представляет собой атом водорода или C1-C6 алкильную группу), C1-C6 алкилкарбонильную группу или C1-C6 алкоксикарбонильную группу,
более предпочтительно, атом галогена, цианогруппу, C1-C6 алкильную группу, C1-C6 галогеналкильную группу, C3-C7 циклоалкильную группу, C1-C6 алкокси группу, C1-C6 галогеналкокси группу, винильную группу, этинильную группу или C1-C6 алкилтио группу,
более предпочтительно, атом галогена, C1-C4 алкильную группу, C1-C4 галогеналкильную группу, циклопропильную группу, C1-C4 алкокси группу или C1-C4 галогеналкокси группу,
особенно предпочтительно, атом галогена, метильную группу, этильную группу или метокси группу.
[0134]
каждый R5, R5a, R5b и R5c предпочтительно представляет собой атом водорода, атом галогена, цианогруппу, C1-C4 алкильную группу, C1-C4 галогеналкильную группу или C3-C7 циклоалкильную группу,
более предпочтительно, атом водорода, атом галогена, C1-C4 алкильную группу или C1-C4 галогеналкильную группу.
[0135]
R6 каждый, R6a и R6b предпочтительно представляет собой атом водорода, атом галогена, C1-C6 алкильную группу, C1-C6 галогеналкильную группу, C1-C6 алкокси группу или C1-C6 галогеналкокси группу,
более предпочтительно, атом водорода, атом галогена, C1-C4 алкильную группу или C1-C4 галогеналкильную группу.
[0136]
X4 предпочтительно представляет собой NRf (Rf представляет собой атом водорода или C1-C4 алкильную группу) или O, более предпочтительно, NRf (Rf представляет собой атом водорода или метильную группу) или O.
[0137]
В другом варианте осуществления настоящего изобретения, кольцо A предпочтительно представляет собой кольцо, выбранное из группы, состоящей из фенила, пирролила, фурила, тиенила, имидазолила, пиразолила, оксазолила, изоксазолила, тиазолила, изотиазолила, тиадиазолила, оксадиазолила, пиридила, пиридазинила, пиримидинила, пиразинила, инданила, инденила, нафтила, дигидронафтила, тетрагидронафтила, хинолила, изохинолила, хиноксалинила, хиназолинила, индолила, бензофуранила, дигидробензофуранила, 1,3-бензодиоксолила, 1,4-бензодиоксанила, бензотиофенила, бензимидазолила, бензотиазолила, бензоксазолила, хроманила, индазолила, бензизоксазолила, бензизотиазолила, пирролопиридила, пиразолопиридила, дигидропиразолооксазолила, тетрагидропиразолооксазепинила, пиразолопиримидинила, имидазопиридила, имидазопиримидинила, имидазопиразинила, триазолопиридила, нафтиридинила, пиридопиразинила и азаиндазолила, каждый которых необязательно замещен одним или более заместителями, выбранными из группы, состоящей из атома галогена, цианогруппы, гидроксильной группы, C1-C6 алкильной группы, C1-C6 алкильной группы, замещенную C1-C6 алкокси группой, C1-C6 галогеналкильной группы, C3-C7 циклоалкильной группы, гетероциклоалкильной группы, гетероциклоалкилокси группы, пирролильной группы, фурильной группы, тиенильной группы, имидазолильной группы, пиразолильной группы, оксазолильной группы, изоксазолильной группы, тиазолильной группы, изотиазолильной группы, тиадиазолильной группы, оксадиазолильной группы, C1-C6 алкокси группы, C1-C6 алкокси группы, замещенную C3-C7 циклоалкильной группы, C1-C6 галогеналкокси группы, C2-C6 алкенильной группы, C2-C6 алкенилокси группы, C2-C6 алкинильной группы, C2-C6 алкинилокси группы, C1-C6 алкилтио группы, -NRdRe (каждый Rd и Re независимо представляет собой атом водорода или C1-C6 алкильную группу), нитро группы, формильной группы, C1-C6 алкилкарбонильной группы, C1-C6 алкоксикарбонильной группы и C1-C6 алкилкарбонилокси группы.
[0138]
Более предпочтительно, кольцо A предпочтительно представляет собой кольцо, выбранное из группы, состоящей из фенила, оксазолила, изоксазолила, тиазолила, изотиазолила, пиридила, пиридазинила, пиримидинила, пиразинила, хинолила, изохинолила, хиноксалинила, хиназолинила, индолила, дигидробензофуранила, хроманила, бензизоксазолила, пирролопиридила, пиразолопиридила, пиразолопиримидинила, имидазопиразинила, триазолопиридила, нафтиридинила и пиридопиразинила, каждый из которых необязательно замещен одним или более заместителями, выбранными из группы, состоящей из атома галогена, цианогруппы, гидроксильной группы, C1-C6 алкильной группы, C1-C6 алкильной группы, замещенной C1-C6 алкокси группой, C1-C6 галогеналкильной группы, C3-C7 циклоалкильной группы, гетероциклоалкильной группы, гетероциклоалкилокси группы, имидазолильной группы, пиразолильной группы, C1-C6 алкокси группы, C1-C6 алкокси группы, замещенной C3-C7 циклоалкильной группой, C1-C6 галогеналкокси группы, C2-C6 алкинилокси группы, C1-C6 алкилтио группы, -NRdRe (каждый Rd и Re независимо представляет собой атом водорода или C1-C6 алкильную группу), нитро группы, формильной группы, C1-C6 алкилкарбонильной группы, C1-C6 алкоксикарбонильной группы и C1-C6 алкилкарбонилокси группы.
[0139]
Более предпочтительно, кольцо A представляет собой кольцо, выбранное из группы, состоящей из фенила, пиридила, пиримидинила, пиразинила, хиноксалинила, дигидробензофуранила, пиразолопиридила, триазолопиридила, нафтиридинила и пиридопиразинила, каждый из которых необязательно замещен одним или более заместителями, выбранными из группы, состоящей из атома галогена, C1-C6 алкильной группы, C1-C6 галогеналкильной группы и C1-C6 алкокси группы.
[0140]
Предпочтительный вариант осуществления соединения (I) или его фармацевтически приемлемой соли настоящего изобретения представляет собой соединение, содержащее комбинацию предпочтительных атомов и групп приведенных выше Q, кольца A, X1, X2, X3, X4, Z, R1, R2a, R2b, R3, R4, R5 и R6. Например, следующие соединения являются предпочтительными.
(i) Соединение где, в формуле (I), Q представляет собой O;
X1 и X3 представляют собой CR1;
X2 представляет собой CR1 или N;
R1 представляет собой атом водорода или атом галогена;
Z представляет собой CR2b;
каждый R2a и R2b независимо выбран из группы, состоящей из атома водорода, атома галогена, цианогруппы, C1-C6 алкильной группы, C1-C6 галогеналкильной группы, C1-C6 алкокси группы, C1-C6 галогеналкокси группы, C1-C4 алкокси-C1-C4 алкильной группы, C1-C4 алкокси-C1-C4 галогеналкильной группы, C1-C6 алкилкарбонильной группы, C1-C6 алкоксикарбонильной группы, C3-C7 циклоалкильной группы, C2-C6 алкенил-C1-C6 алкокси группы, C2-C6 алкинил-C1-C6 алкокси группы и группы, представленной формулой (I-A)
[0141]
[0142]
{где
L представляет собой простую связь, -(CH2)p-, -O(CH2)p- или -(CH2)pO-,
p равен 1 или 2, и
кольцо B представляет собой фенил, необязательно замещенный атомом галогена, C1-C4 алкильной группой, C1-C4 алкокси группой или цианогруппой, или 5- или 6-членный гетероарил, необязательно замещенный атомом галогена, C1-C4 алкильной группой, C1-C4 алкокси группой или цианогруппой} (при условии, что R2a и R2b одновременно не являются атомами водорода);
R3 представляет собой атом водорода; и
кольцо A представляет собой кольцо, выбранное из группы, состоящей из следующих формул:
[0143]
[0144]
когда m равен 0, 1 или 2, n равен 1 или 2, R4 выбран из группы, состоящей из атома галогена, цианогруппы, C1-C6 алкильной группы, C1-C6 галогеналкильной группы, C3-C7 циклоалкильной группы, C1-C6 алкокси группы, C1-C6 галогеналкокси группы, винильной группы, этинильной группы и C1-C6 алкилтио группы, и R5 выбран из группы, состоящей из атома водорода, атома галогена, C1-C4 алкильной группы и C1-C4 галогеналкильной группы.
(ii) Соединение где, в приведенном выше соединении (i), кольцо A представляет собой кольцо, выбранное из группы, состоящей из следующих формул:
[0145]
[0146]
где m, n, R4 и R5 представляют собой, как определено в (i).
(iii) Соединение где, в приведенном выше соединении (i), R4 выбран из группы, состоящей из атома галогена, C1-C4 алкильной группы, C1-C4 галогеналкильной группы, циклопропильной группы, C1-C4 алкокси группы и C1-C4 галогеналкокси группы.
(iv) Соединение где, в приведенном выше соединении (i), каждый R2a и R2b независимо выбран из группы, состоящей из атома водорода, C1-C4 алкильной группы, C1-C4 галогеналкильной группы, C1-C4 алкокси группы, C1-C4 галогеналкокси группы, C1-C4 алкокси-C1-C4 алкильной группы, C1-C4 алкокси-C1-C4 галогеналкильной группы и C3-C7 циклоалкильной группы (при условии, что R2a и R2b одновременно не являются атомами водорода).
(v) Конкретно, соединения, выбранные из следующих, являются более предпочтительными.
[0147]
[0148]
[0149]
[0150]
[0151]
В другом варианте осуществления настоящего изобретения, предпочтительный вариант осуществления соединения (I) или его фармацевтически приемлемой соли настоящего изобретения представляет собой соединение, содержащее комбинацию предпочтительных атомов и групп приведенных выше Q, кольца A, X1, X2, X3, X4, Z, R1, R2a, R2b, R3, R4, R5, R5a, R5b, R5c, R6, R6a и R6b. Например, следующие соединения являются предпочтительными.
(i) Соединение где, в формуле (I), Q представляет собой O;
X1 представляет собой CH;
каждый X2 и X3 независимо представляет собой CR1 или N;
R1 представляет собой атом водорода или атом галогена;
Z представляет собой CR2b;
каждый R2a и R2b независимо выбран из группы, состоящей из атома водорода, атома галогена, цианогруппы, C1-C6 алкильной группы, C1-C6 галогеналкильной группы, C1-C6 алкокси группы, C1-C6 галогеналкокси группы, C1-C4 алкокси-C1-C4 алкильной группы, C1-C4 алкокси-C1-C4 галогеналкильной группы, C1-C6 алкилкарбонильной группы, C1-C6 алкоксикарбонильной группы, C3-C7 циклоалкильной группы, C2-C6 алкенил-C1-C6 алкокси группы, C2-C6 алкинил-C1-C6 алкокси группы и группы, представленной формулой (I-A)
[0152]
[0153]
{где
L представляет собой простую связь, -(CH2)p-, -O(CH2)p- или -(CH2)pO-,
p равен 1 или 2, и
кольцо B представляет собой фенил, необязательно замещенный атомом галогена, C1-C4 алкильной группой, C1-C4 алкокси группой или цианогруппой, или 5- или 6-членный гетероарил, необязательно замещенный атомом галогена, C1-C4 алкильной группой, C1-C4 алкокси группой или цианогруппой} (при условии, что R2a и R2b одновременно не являются атомами водорода);
R3 представляет собой атом водорода; и
кольцо A представляет собой кольцо, выбранное из группы, состоящей из следующих формул:
[0154]
[0155]
где n равен 1 или 2, R4 выбран из группы, состоящей из атома галогена, цианогруппы, C1-C6 алкильной группы, C1-C6 галогеналкильной группы, C3-C7 циклоалкильной группы, C1-C6 алкокси группы, C1-C6 галогеналкокси группы, винильной группы, этинильной группы и C1-C6 алкилтио группы, и каждый R5a, R5b и R5c независимо выбран из группы, состоящей из атома водорода, атома галогена, C1-C4 алкильной группы и C1-C4 галогеналкильной группы.
(ii) Соединение где, в приведенном выше соединении (i), кольцо A представляет собой кольцо, выбранное из группы, состоящей из следующих формул:
[0156]
[0157]
где n, R4, R5a, R5b и R5c представляют собой, как определено в (i).
[0158]
В другом варианте осуществления настоящего изобретения, предпочтительный вариант осуществления соединения (I) или его фармацевтически приемлемая соль настоящего изобретения представляет собой соединение, содержащее комбинацию предпочтительных атомов и групп приведенных выше Q, кольца A, X1, X2, X3, X4, Z, R1, R2a, R2b, R3, R4, R5, R5a, R5b, R5c, R6, R6a и R6b. Например, следующие соединения являются предпочтительными.
(i) Соединение где, в формуле (I), Q представляет собой O;
X1 представляет собой CH;
каждый X2 и X3 независимо представляет собой CR1 или N;
R1 представляет собой атом водорода или атом галогена;
Z представляет собой CR2b;
R2a выбран из группы, состоящей из атома водорода, атома галогена, цианогруппы, C1-C6 алкильной группы, C1-C6 галогеналкильной группы, C1-C6 алкокси группы, C1-C6 галогеналкокси группы, C1-C4 алкокси-C1-C4 алкильной группы, C1-C4 алкокси-C1-C4 галогеналкильной группы, C1-C6 алкилкарбонильной группы, C1-C6 алкоксикарбонильной группы, C3-C7 циклоалкильной группы, -NRaRb {каждый Ra и Rb независимо представляет собой атом водорода, C1-C6 алкильную группу, C1-C6 алкильную группу, замещенную C1-C4 алкокси группой, или C1-C6 алкильную группу, замещенную C1-C6 алкоксикарбонильной группой (при условии, что Ra и Rb одновременно не являются атомами водорода)}, и группу, представленную формулой (I-A)
[0159]
[0160]
{где
L представляет собой простую связь, -(CH2)p-, -O(CH2)p- или -(CH2)pO-, где один или более атомов водорода (CH2)p необязательно замещены атомом галогена,
p равен 1 или 2, и
кольцо B представляет собой фенил или пиразолил};
R2b выбран из группы, состоящей из атома водорода, атома галогена и C1-C6 алкильной группы;
R3 представляет собой атом водорода или атом галогена; и
кольцо A представляет собой кольцо, выбранное из группы, состоящей из фенила, пиридила, пиримидинила, пиразинила, хиноксалинила, дигидробензофуранила, пиразолопиридила, триазолопиридила, нафтиридинила и пиридопиразинила, каждый из которых необязательно замещен одним или более заместителями, выбранными из группы, состоящей из атома галогена, C1-C6 алкильной группы, C1-C6 галогеналкильной группы и C1-C6 алкокси группы.
[0161]
(ii) Соединение где, в формуле (I), Q представляет собой O;
X1 и X3 представляют собой CH;
X2 представляет собой CR1 или N;
R1 представляет собой атом водорода или атом галогена;
Z представляет собой CR2b;
R2a выбран из группы, состоящей из атома водорода, атома галогена, C1-C6 алкильной группы, C1-C6 галогеналкильной группы, C1-C6 алкокси группы, C1-C6 галогеналкокси группы, C1-C4 алкокси-C1-C4 алкильной группы, C1-C4 алкокси-C1-C4 галогеналкильной группы, C1-C6 алкилкарбонильной группы, C1-C6 алкоксикарбонильной группы, C3-C7 циклоалкильной группы и -NRaRb {каждый Ra и Rb независимо представляет собой атом водорода, C1-C6 алкильную группу, C1-C6 алкильную группу, замещенную C1-C4 алкокси группой, или C1-C6 алкильную группу, замещенную C1-C6 алкоксикарбонильной группой (при условии, что Ra и Rb одновременно не являются атомами водорода)};
R2b выбран из группы, состоящей из атома водорода, атома галогена и метильной группы; и
кольцо A представляет собой кольцо, выбранное из группы, состоящей из фенила, пиридила, пиримидинила, пиразинила, хиноксалинила, дигидробензофуранила, пиразолопиридила, триазолопиридила, нафтиридинила и пиридопиразинила, каждый из которых необязательно замещен одним или более заместителями, выбранными из группы, состоящей из атома галогена, C1-C6 алкильной группы, C1-C6 галогеналкильной группы и C1-C6 алкокси группы.
[0162]
(iii) Соединение где, в формуле (I), Q представляет собой O;
X1 и X3 представляют собой CH;
X2 представляет собой CH или N;
Z представляет собой CR2b;
R2a и R2b соединены, образуя -(CH2)r- (r равен 3, 4, 5 или 6), необязательно замещенную атомом галогена, гидроксильной группой или оксо группой, и
кольцо A представляет собой кольцо, выбранное из группы, состоящей из фенила, пиридила, пиримидинила, пиразинила, хиноксалинила, дигидробензофуранила, пиразолопиридила, триазолопиридила, нафтиридинила и пиридопиразинила, каждый из которых необязательно замещен одним или более заместителями, выбранными из группы, состоящей из атома галогена, C1-C6 алкильной группы, C1-C6 галогеналкильной группы и C1-C6 алкокси группы.
[0163]
Соль соединения (I) предпочтительно представляет собой фармакологически приемлемую соль. ʺФармакологически приемлемая сольʺ соединения (I) конкретно не ограничена при условии, что она представляет собой фармакологически приемлемую соль. Ее примеры включают соли неорганических кислот, такие как гидрохлорид, гидробромид, нитрат, сульфат, фосфат и подобные, соли органических карбоновых кислот, такие как ацетат, оксалат, фумарат, малеат, малонат, цитрат, сукцинат, лактат, тартрат, малат и подобные, соли ароматических карбоновых кислот, такие как салицилат, бензоат и подобные, органические сульфонаты, такие как метансульфонат, бензолсульфонат и подобные, соли щелочных металлов, такие как соль лития, соль натрия, соль калия и подобные, соли щелочноземельных металлов, такие как соль кальция и подобные, соль магния и подобные.
[0164]
Когда соединение, представленное формулой (I) настоящего изобретения, содержит асимметрический углерод, все из рацемата, диастереомеров и их отдельных оптически активных форм включены в настоящее изобретение. Когда присутствуют геометрические изомеры, все из (E) формы, (Z) формы и их смеси включены в настоящее изобретение.
[0165]
Когда соединение, представленное формулой (I) настоящего изобретения, включает сольваты, такие как гидрат и подобные, они также включены в настоящее изобретение.
[0166]
Соединение, представленное формулой (I), которое представляет собой биарильное производное настоящего изобретения, можно получить различными способами и можно получить, например, способом, показанным на схеме 1 или схеме 2.
Соединение, представленное формулой (I), можно получить способом, показанным следующей схемой 1 (стадия 1-1-стадия 1-4).
Схема 1:
[0167]
[0168]
где A, R2a, R3, Q, X1, X2, X3, Y и Z представляют собой, как определено в приведенной выше формуле (I); Xa представляет собой атом фтора, атом хлора или атом брома, Xb представляет собой атом хлора, атом брома или атом йода; и Xc представляет собой -B(OH)2 или -BPin (4,4,5,5-тетраметил-1,3,2-диоксаборолан-2-ил).
Соединение, представленное формулой (I), можно получить SN арильной реакцией соединения, представленного формулой (II), и соединения, представленного формулой (III), получая арилгалогенидное соединение (IV), с последующим перекрестным сочетанием Сузуки-Миаура с различными бороновыми кислотами или эфирами бороновых кислот (V), содержащих кольцо A. Кроме того, соединение (I) можно получить добавлением арилгалогенидного соединения (IV) к соединению бороновой кислоты (VIa) или соединению (VIb), и проведением реакции перекрестного сочетания Сузуки-Миаура с различными арилгалогенидами (VII), содержащими кольцо A. Каждая стадия описана подробно далее.
[0169]
<Стадия 1-1>
На стадии 1-1, соединение, представленное формулой (IV), получают реакцией соединения, представленного формулой (II), и соединения, представленного формулой (III), в присутствии основания. В качестве основания, которое будут применять, можно упомянуть карбонат калия, карбонат натрия, карбонат цезия, карбонат лития, фосфат трикалия, гидроксид калия, гидроксид натрия, гидроксид лития, трет-бутоксид калия, трет-бутоксид натрия, фторид калия, калия гексаметилдисилазан, гидрид натрия или подобные. Для гладкого протекания реакции, может совместно присутствовать добавка, и в качестве добавки можно добавлять йодид калия, йодид натрия, йодид тетрабутиламмония, бромид калия, бромид натрия, бромид тетрабутиламмония или подобные. Растворитель реакции конкретно не ограничен при условии, что он заметно не ингибирует реакцию, и N,N-диметилформамид, N,N-диметилацетамид, диметилсульфоксид, N-метилпирролидон, ацетон, ацетонитрил, метанол, этанол, тетрагидрофуран, 1,4-диоксан, 2-метоксиэтанол, их смешенный растворитель или подобные являются предпочтительными. Воду можно также добавлять в качестве растворителя реакции. Количество воды, которое будут добавлять, конкретно не ограничено и составляет, например, не более чем 10%(об/об) всего растворителя. Температура реакции конкретно не ограничена, и реакцию обычно проводят от комнатной температуры до 150°C, и продолжительность реакции предпочтительно составляет 1-24 часа. Кроме того, микроволны можно также применять для данной реакции.
На стадии 1-1, когда соединение, представленное формулой (II), представляет собой аминовое соединение (Q=NH), соединение, представленное формулой (IV), можно получить реакцией соединения, представленного формулой (II), с соединением, представленным формулой (III), в присутствии кислоты.
[0170]
<Стадия 1-2>
На стадии 1-2, соединение, представленное формулой (I), можно получить реакцией смеси соединения, представленного формулой (IV), и бороновой кислоты или эфира бороновой кислоты, представленного формулой (V), с палладиевым катализатором в присутствии основания. Данную реакцию предпочтительно проводят в атмосфере инертного газа, такого как аргон и подобные. В качестве основания, которое будут применять, можно упомянуть карбонат калия, карбонат натрия, карбонат цезия, карбонат лития, фосфат трикалия, гидроксид калия, гидроксид натрия, гидроксид лития, трет-бутоксид калия, гексаметилдисилазан калия, триэтиламин, диизопропилэтиламин, 1,8-диазабицикло[5,4,0]ундец-7-ен (DBU) или подобные. Для гладкого протекания реакции, может совместно присутствовать добавка. В качестве добавки можно упомянуть триалкилфосфины, такие как триметилфосфин, три-трет-бутилфосфин и подобные; трициклоалкилфосфины, такие как трициклогексилфосфин и подобные; триарилфосфины, такие как трифенилфосфин, тритолилфосфин и подобные; триалкилфосфиты, такие как триметилфосфит, триэтилфосфит, трибутилфосфит и подобные; трициклоалкилфосфиты, такие как трициклогексилфосфит и подобные; триарилфосфиты, такие как трифенилфосфит и подобные; имидазолиевые соли, такие как хлорид 1,3-бис(2,4,6-триметилфенил)имидазолия и подобные; дикетоны, такие как ацетилацетон, октафторацетилацетон и подобные; амины, такие как триметиламин, триэтиламин, трипропиламин, триизопропиламин, трибутиламин и подобные; 1,1'-бис(дифенилфосфино)ферроцен; 2,2'-бис(дифенилфосфино)-1,1'-бинафтил; 2-дициклогексилфосфино-2',6'-диметоксибифенил; 2-дициклогексилфосфино-2',4',6'-триизопропилбифенил; 2-(ди-трет-бутилфосфино)-2',4',6'-триизопропилбифенил; 2-дициклогексилфосфино-2'-(N,N-диметиламино)бифенил; 4,5-бис(дифенилфосфино)-9,9-диметилксантен; и 2-(ди-трет-бутилфосфино)бифенил. Их можно также применять в комбинации. Растворитель реакции конкретно не ограничен при условии, что он заметно не ингибирует реакцию, и можно упомянуть N,N-диметилформамид, N,N-диметилацетамид, диметилсульфоксид, N-метилпирролидон, ацетонитрил, метанол, этанол, 2-пропанол, н-бутиловый спирт, трет-амиловый спирт, тетрагидрофуран, 1,4-диоксан, диметоксиэтан, толуол, циклопентилметиловый эфир (CPME), воду или их смешенный растворитель и подобные. В качестве палладиевого катализатора можно упомянуть металлический палладий, такой как палладий на угле, палладиевая чернь и подобные; органические палладиевые соли, такие как тетракис(трифенилфосфин)палладий, дихлорбис(трифенилфосфин)палладий, ацетат палладия, хлорид-1,1'-бис(дифенилфосфино)ферроцен палладия, бис[ди-трет-бутил(4-диметиламинофенил)фосфин]дихлорпалладий и подобные; органические палладиевые комплексы на полимерной подложке, такие как бис(ацетато)трифенилфосфинпалладий (II) на полимере, ди(ацетато)дициклогексилфенилфосфинпалладий (II) на полимере и подобные, и подобные. Их можно применять в комбинации. Количество палладиевого катализатора, которое будут применять, обычно составляет 1-50 мол%, предпочтительно приблизительно 5-20 мол%, относительно соединения, представленного формулой (IV). Температура реакции конкретно не ограничена, и реакцию обычно проводят от комнатной температуры до 120°C, и продолжительность реакции предпочтительно составляет 1-24 часа. Данную реакцию можно также проводить при микроволновом облучении при приблизительно 120°C в течение продолжительности реакции 10 мин-2 часа.
[0171]
<Стадия 1-3A>
На стадии 1-3A, соединение бороновой кислоты, представленное формулой (VIa), можно получить реакцией обмена галогена на металл соединения, представленного формулой (IV), реагентом Гриньяра, органическим реагентом лития или цинковым реагентом, реакцией его с эфиром бороновой кислоты и проведением его гидролиза. Данную реакцию предпочтительно проводят в атмосфере инертного газа, такого как аргон и подобного. В качестве реагента Гриньяра можно упомянуть магний, бромид изопропилмагния, хлорид изопропилмагния, хлорид изопропилмагния-хлорид лития или подобные; в качестве органического реагента лития можно упомянуть нормальный бутиллитий, втор-бутиллитий, трет-бутиллитий и подобные; и в качестве цинкового реагента можно упомянуть активированный цинк, бромид цинка, хлорид цинка или подобные. Растворитель реакции конкретно не ограничен при условии, что он заметно не ингибирует реакцию, и тетрагидрофуран, диэтиловый эфир, 1,4-диоксан, диметоксиэтан или подобные является предпочтительным. Температура реакции конкретно не ограничена, и реакцию обычно проводят от -78°C до 100°C, и продолжительность реакции предпочтительно составляет 1-24 часа.
[0172]
<Стадия 1-3B>
На стадии 1-3B, соединение, представленное формулой (VIb), можно получить реакцией смеси соединения, представленного формулой (IV), и соединения эфира бороновой кислоты с палладиевым катализатором в присутствии основания. Данную реакцию предпочтительно проводят в атмосфере инертного газа, такого как аргон или подобного. В качестве основания, которое будут применять, можно упомянуть карбонат калия, карбонат натрия, карбонат цезия, карбонат лития, фосфат трикалия, гидроксид калия, гидроксид натрия, гидроксид лития, трет-бутоксид калия, гексаметилдисилазан калия, триэтиламин, диизопропилэтиламин, DBU или подобные. Для гладкого протекания реакции, может совместно присутствовать добавка, и трифенилфосфин или подобные можно добавлять в качестве добавки. Растворитель реакции конкретно не ограничен при условии, что он заметно не ингибирует реакцию, и можно упомянуть N,N-диметилформамид, N,N-диметилацетамид, диметилсульфоксид, N-метилпирролидон, ацетонитрил, метанол, этанол, 2-пропанол, н-бутиловый спирт, трет-амиловый спирт, тетрагидрофуран, 1,4-диоксан, диметоксиэтан, толуол, CPME, воду или их смешенный растворитель и подобные. В качестве палладиевого катализатора можно упомянуть тетракис(трифенилфосфин)палладий, дихлорбис(трифенилфосфин)палладий, ацетат палладия, хлорид-1,1'-бис(дифенилфосфино)ферроцен палладия, бис[ди-трет-бутил(4-диметиламинофенил)фосфин]дихлорпалладий или подобные. Количество палладиевого катализатора, которое будут добавлять, обычно составляет 1-50 моль%, предпочтительно приблизительно 5-20 моль%, относительно соединения, представленного формулой (IV). Температура реакции конкретно не ограничена, и реакцию обычно проводят от комнатной температуры до 120°C, и продолжительность реакции предпочтительно составляет 1-24 часа. Аналогично стадии 1-2, данную реакцию можно также проводить при микроволновом облучении при приблизительно 120°C в течение продолжительности реакции 10 мин-2 часа.
[0173]
<Стадия 1-4>
Стадию 1-4 можно проводить аналогично стадии 1-2. То есть, на стадии 1-4, соединение, представленное формулой (I), можно получить реакцией смеси соединения бороновой кислоты, представленного формулой (VIa), или соединения эфира бороновой кислоты, представленного формулой (VIb), и арилгалогенидного соединения, представленного формулой (VII), с палладиевым катализатором в присутствии основания.
[0174]
Приведенное выше соединение (I) можно также получить способом, показанным следующей схемой 2 (стадия 2-1-стадия 2-2).
Схема 2:
[0175]
[0176]
где A, R2a, R3, Q, X1, X2, X3, Y и Z представляют собой, как определено выше; Xa представляет собой атом фтора, атом хлора или атом брома, Xb представляет собой атом хлора, атом брома или атом йода; и Xc представляет собой -B(OH)2 или -BPin.
Соединение, представленное формулой (I), можно получить реакцией перекрестного сочетания Сузуки-Миаура соединения, представленного формулой (III), и различных бороновых кислот или эфиров бороновых кислот (V), содержащих кольцо A, получая соединение, представленное формулой (VIII), с последующей SN арильной реакцией соединения, представленного формулой (VIII), и соединения, представленного формулой (II). Стадию 2-1 можно также проводить обменом Xb и Xc в аналогичных условиях.
[0177]
<Стадия 2-1>
На стадии 2-1, соединение, представленное формулой (VIII), можно получить реакцией соединения, представленного формулой (III), и бороновой кислоты или эфира бороновой кислоты, представленного формулой (V), с палладиевым катализатором в присутствии основания. Данную реакцию предпочтительно проводят в атмосфере инертного газа, такого как аргон или подобного. В качестве основания, которое будут применять, можно упомянуть карбонат калия, карбонат натрия, карбонат цезия, карбонат лития, фосфат трикалия, гидроксид калия, гидроксид натрия, гидроксид лития, трет-бутоксид калия, гексаметилдисилазан калия, триэтиламин, диизопропилэтиламин, DBU или подобные. Для гладкого протекания реакции, может совместно присутствовать добавка, и трифенилфосфин и подобные можно добавлять в качестве добавки. Растворитель реакции конкретно не ограничен при условии, что он заметно не ингибирует реакцию, и можно упомянуть N,N-диметилформамид, N,N-диметилацетамид, диметилсульфоксид, N-метилпирролидон, ацетонитрил, метанол, этанол, 2-пропанол, н-бутиловый спирт, трет-амиловый спирт, тетрагидрофуран, 1,4-диоксан, диметоксиэтан, толуол, CPME, воду или их смешенный растворитель и подобные. В качестве палладиевого катализатора можно упомянуть тетракис(трифенилфосфин)палладий, дихлорбис(трифенилфосфин)палладий, ацетат палладия, хлорид-1,1'-бис(дифенилфосфино)ферроцен палладия, бис[ди-трет-бутил(4-диметиламинофенил)фосфин]дихлорпалладий или подобные. Количество палладиевого катализатора, которое будут добавлять, обычно составляет 1-50 моль%, предпочтительно 5-20 моль%, относительно соединения, представленного формулой (III). Температура реакции конкретно не ограничена, и реакцию обычно проводят от комнатной температуры до 120°C, и продолжительность реакции составляет предпочтительно 1-24 часа. Данную реакцию можно также проводить при микроволновом облучении при приблизительно 120°C в течение продолжительности реакции 10 мин-2 часа.
[0178]
<Стадия 2-2>
На стадии 2-2, соединение, представленное формулой (I), можно получить реакцией соединения, представленного формулой (VIII), и соединения, представленного формулой (II), в присутствии основания. В качестве основания, которое будут применять, можно упомянуть карбонат калия, карбонат натрия, карбонат цезия, карбонат лития, фосфат трикалия, гидроксид калия, гидроксид натрия, гидроксид лития, трет-бутоксид калия, трет-бутоксид натрия, фторид калия, гексаметилдисилазан калия, гидрид натрия или подобные. Для гладкого протекания реакции, может совместно присутствовать добавка, и в качестве добавки можно добавлять йодид калия, йодид натрия, йодид тетрабутиламмония, бромид калия, бромид натрия, бромид тетрабутиламмония или подобные. Растворитель реакции конкретно не ограничен при условии, что он заметно не ингибирует реакцию, и N,N-диметилформамид, N,N-диметилацетамид, диметилсульфоксид, N-метилпирролидон, ацетон, ацетонитрил, метанол, этанол, тетрагидрофуран, 1,4-диоксан, 2-метоксиэтанол или их смешенный растворитель и подобные являются предпочтительными. Кроме того, воду можно добавлять в качестве растворителя реакции. Количество воды, которое будут добавлять, конкретно не ограничено и, например, не более чем 10%(об/об) относительно всего растворителя является предпочтительным. Температура реакции конкретно не ограничена, и реакцию обычно проводят от комнатной температуры до 180°C, и продолжительность реакции предпочтительно составляет 1-24 часа. Данную реакцию можно также проводить, применяя микроволны.
На стадии 2-2, когда соединение, представленное формулой (II), представляет собой аминовое соединение (Q=NH), соединение, представленное формулой (I), можно получить реакцией соединения, представленного формулой (II), с соединением, представленным формулой (VIII), в присутствии кислоты.
[0179]
Таким образом полученное соединение формулы (I) или его соль можно превратить в другое соединение формулы (I) или его соль, например, воздействием на них известной реакцией, такой как реакция конденсации, реакция присоединения, реакция окисления, реакция восстановления, реакция замещения, галогенирование, реакция дегидратации, гидролиз и подобные, или их подходящей комбинацией.
Соединение настоящего изобретения, полученное приведенным выше способом, выделяют и очищают в виде свободного соединения, его соли, различных сольватов, таких как гидрат, сольват с этанолом и подобные, или кристаллического полиморфного вещества. Фармакологически приемлемую соль соединения настоящего изобретения можно получить общепринятой реакцией образования соли. Выделение и очистку проводят применением химической операции, такой как разделение экстракцией, кристаллизация, различные фракционные хроматографии и подобные. Кроме того, оптический изомер можно получить в виде стереоизомерно чистого изомера выбором подходящего исходного соединения или оптическим разделением рацемического соединения.
[0180]
Биарильное производное (I) или его соль настоящего изобретения обладает превосходной противогрибковой активностью в отношении грибка рода Трихофитон (например, род Трихофитон, род Микроспоридии и т.д.), который представляет собой основной болезнетворный микроорганизм поверхностного микоза. Следовательно, лекарственное средство, содержащее их в качестве активного ингредиента, является пригодным в качестве профилактического или терапевтического лекарственного средства для инфекций, вызванных грибком стригущего лишая, у животных, включая человека. Примеры инфекций, вызванных грибком стригущего лишая, включают дермофития стопы, дерматофитный онихомикоз, дерматофития туловища, дерматомикоз паховый и грибковое поражение волосистой части головы. Соединение настоящего изобретения обладает превосходным эффектом на дерматофитный онихомикоз, поскольку оно обладает превосходной ногтевой проницаемостью.
Лекарственное средство, содержащее биарильное производное (I) или его соль настоящего изобретения в качестве активного ингредиента, представляет собой соединение отдельно или в виде смеси соединения и фармакологически приемлемого жидкого или твердого носителя, например, вспомогательного вещества, связующего, разбавителя, экспандера, разрыхлителя, стабилизатора, консерванта, буфера, эмульгатора, ароматизатора, красителя, подсластителя, загустителя, корригирующего вещества, солюбилизирующих агентов или других добавок, которые можно получить способом, общепринятым в данной области техники.
[0181]
Лекарственное средство настоящего изобретения можно вводить перорально или парентерально в виде лекарственной формы, например, таблеток (включая таблетки с сахарным покрытием, таблетки с пленочным покрытием), порошков, гранул, капсул, пероральных жидкостей, растворов для инъекций, суппозиторией, препаратов с замедленным высвобождением, лосьонов, жидких мазей, мазей, пластырей, суспензий, эмульсий, трансдермальных пластырей, кожных жидкостей, кремов, аэрозолей и подобных, млекопитающему (например, человеку, обезьяне, корове, лошади, свинье, собаке, кошке, кролику, морской свинке, крысе, мыши и подобным). При необходимости, можно также добавлять другие лекарственные средства.
[0182]
Когда соединение настоящего изобретения вводят местно, лекарственная форма конкретно не ограничена при условии, что ее применяют в виде фармацевтической композиции для местного введения. Например, когда ее водят на кожу или ноготь, можно формулировать лекарственную форму, такую как жидкости, лосьоны, мази, крема, гели, пластыри (например, тейп, примочка), лак для ногтей и подобные. Для их формулирования, фармацевтически приемлемые основы, такие как водорастворимая основа, масляная основа, эмульгирующая основа и подобные, можно применять без любого конкретного ограничения, и их можно формулировать согласно способу, общепринятому в данной области техники. В приведенном выше препарате, активный ингредиент может быть в суспендированном состоянии.
Когда его вводят на кожу или ноготь в виде препарата для внешнего применения, содержание активного ингредиента составляет, например, 0,01-20% по весу, предпочтительно 0,5-15% по весу. Соединение настоящего изобретения в качестве активного ингредиента требуется вводить только в виде обычной дневной дозы от приблизительно 1 до приблизительно 100000 мкг/см2, предпочтительно от приблизительно 10 до приблизительно 10000 мкг/см2, которую можно вводить в виде одной или более частей.
Когда соединение настоящего изобретения вводят перорально, можно получить лекарственные формы, такие как таблетки, перорально распадающиеся таблетки, капсулы, гранулы, порошки, пероральные жидкости, сиропы, пероральное желе, пероральные спреи и подобные. Для их формулирования, каждый из них можно получить способом, общепринятым в данной области техники. Например, когда его перорально вводят взрослому пациенту, обычная единичная доза соединения настоящего изобретения в качестве активного ингредиента составляет приблизительно 0,1-100 мг/кг, которую можно вводить в виде одной или более частей.
Примеры
[0183]
Признаки настоящего изобретения более конкретно описывают далее со ссылкой на примеры и экспериментальные примеры. Материалы, применяемые количества, пропорции, содержание лечения, способы лечения и подобные, показанные в следующих примерах, можно подходящим образом изменять при условии, что они не отклоняются от сущности настоящего изобретения. Следовательно, объем настоящего изобретения не следует интерпретировать ограниченным конкретными примерами, показанными ниже. Для реакции при микроволновом облучении, применяли микроволновый синтезатор Initiator+ (изготовленный Biotage).
1H-ЯМР спектр, показанный ниже, регистрировали JNM-ECA400 спектрометром (400 МГц, полученным JEOL Ltd.) или AVANCEIII HD400 (400 МГц, полученным Bruker Biospin K.K.), применяя дейтерированный хлороформ (CDCl3) или дейтерированный диметилсульфоксид (DMSO-d6) в качестве растворителя, и тетраметилсилан (TMS) в качестве внутреннего стандарта. В результатах измерения химического сдвига, ppm показывает δ величину, и Гц показывает J величину константы связывания. В сокращениях, с обозначает синглет, д обозначает дуплет, т обозначает триплет, кв обозначает квартет, квин обозначает квинтет, секст обозначает секстет, сеп обозначает септет, м обозначает мультиплет, и уш обозначает уширенный. Масс спектр (ESI-MS) измеряли Exactive (полученным Thermo Fisher Scientific K.K.) и согласно способу ионизации электроспреем. Значения свойств соединения (I-1)-соединения (I-582) в соответствующих примерах показаны в таблицах 1-71.
[0184]
Сокращения в каждом примере обозначают следующее.
BINAP: 2,2'-бис(дифенилфосфино)-1,1'-бинафтил
Bn: бензил
Boc: трет-бутоксикарбонил
t-Bu: трет-бутил
mCPBA: мета-хлорпербензойная кислота
c-Pr: циклопропил
DAST: трифторид N,N-диэтиламиносеры
DCM: дихлорметан
dba: дибензилиденацетон
dppf: 1,1'-бис(дифенилфосфино)ферроцен
DIAD: диизопропил азодикарбоксилат
DIBAL: диизобутилалюмогидрид
DIPEA: N,N-диизопропилэтиламин
DMA: N,N-диметилацетамид
DMAP: N,N-диметил-4-аминопиридин
DMF: N,N-диметилформамид
DMP: периодинан Десс-Мартина
DMSO: диметилсульфоксид
EDCI: 1-этил-3-(3-диметиламинопропил)карбоксимид
HATU: гексафторфосфат 1-[бис(диметиламино)метилен]-1H-1,2,3-триазоло[4,5-b]пиридиний 3-оксида
HOBt: 1-гидроксибензотриазол
i: изо
IPA: изопропиловый спирт
LDA: диизопропиламид лития
n: нормальный
NBS: N-бромсукцинимид
NCS: N-хлорсукцинимид
NIS: N-йодсукцинимид
NMP: N-метил-2-пирролидон
p: пара
Ph: фенил
Pin: пинакол
Pr: пропил
TBAB: бромид тетра-н-бутиламмония
TBAF: фторид тетра-н-бутиламмония
TBAI: йодид тетра-н-бутиламмония
TBS: трет-бутилдиметилсилил
TEA: триэтиламин
Tf: трифторметансульфонил
TMS: тетраметилсилан
THF: тетрагидрофуран
Ts: п-толуолсульфонил
(A-taPhos)2PdCl2: бис(ди-трет-бутил(4-диметиламинофенил)фосфин)дихлорпалладий(II)
[0185]
Пример 1. Получение 3-(2-метоксифенил)-2-{[6-(трифторметил)пиридин-3-ил]окси}пиридина (I-1)
[0186]
[0187]
Стадия 1
Соединение (III-1) (2,12 г, 11,0 ммоль) и 6-(трифторметил)пиридин-3-ол (II-1) (1,80 г, 11,0 ммоль) растворяли в DMSO (13 мл), добавляли карбонат цезия (4,31 г, 13,2 ммоль), и смесь перемешивали при 120°C в течение 18 часов. Реакционную смесь охлаждали, добавляли воду, и смесь экстрагировали этилацетатом. Органический слой промывали последовательно водой и насыщенным соляным раствором, сушили над безводным сульфатом натрия и фильтровали. Растворитель упаривали при пониженном давлении, и остаток очищали колоночной хроматографией на силикагеле (н-гексан:этилацетат=95:5 → 90:10), получая соединение (IV-1) (выход 2,67 г, 76%) в виде бесцветного масла.
1H-ЯМР (400 МГц, CDCl3) δ: 7,01 (1H, дд, J=4,6, 7,8 Гц), 7,71 (1H, дд, J=2,3, 8,7 Гц), 7,76 (1H, д, J=8,2 Гц), 8,00 (1H, дд, J=1,8, 7,8 Гц), 8,07 (1H, дд, J=1,8, 5,0 Гц), 8,63 (1H, д, J=2,3 Гц).
ESI-MS m/z: 319, 321 [M+H]+.
Стадия 2
Соединение (IV-1) (40,0 0,125 ммоль), 2-метоксифенилбороновую кислоту (V-1) (24,6 мг, 0,162 ммоль), (A-taPhos)2PdCl2 (4,4 мг, 0,0062 ммоль) и карбонат цезия (81,0 мг, 0,249 ммоль) растворяли в 1,4-диоксане (1,0 мл) и воде (0,2 мл), и смесь перемешивали при микроволновом облучении при 120°C в течение 30 мин. Реакционную смесь охлаждали, добавляли воду, и смесь экстрагировали этилацетатом. Органический слой промывали насыщенным соляным раствором, сушили над безводным сульфатом натрия и фильтровали. Растворитель упаривали при пониженном давлении, и остаток очищали колоночной хроматографией на силикагеле (н-гексан:этилацетат=95:5 → 80:20), получая соединение (I-1) (выход 32,9 мг, 76%) в виде белого твердого остатка.
[0188]
Пример 2. Получение 3-(3-метоксифенил)-2-{[6-(трифторметил)пиридин-3-ил]окси}пиридина (I-2)
Способом получения, аналогичным способу для соединения (I-1), соединение (I-2) (выход 40,5 мг, 93%) получали в виде бледно-желтого масла из соединения (IV-1) (40,0 мг, 0,125 ммоль) и 3-метоксифенилбороновой кислоты (V-2) (24,8 мг, 0,163 ммоль).
[0189]
Пример 3. Получение 3-(2-фторфенил)-2-{[6-(трифторметил)пиридин-3-ил]окси}пиридина (I-3) Способом получения, аналогичным способу для соединения (I-1), соединение (I-3) (выход 39,2 мг, 94%) получали в виде бесцветного масла из соединения (IV-1) (40,0 мг, 0,125 ммоль) и 2-фторфенилбороновой кислоты (V-3) (22,8 мг, 0,163 ммоль).
[0190]
Пример 4. Получение 3-(2-хлорфенил)-2-{[6-(трифторметил)пиридин-3-ил]окси}пиридина (I-4) Способом получения, аналогичным способу для соединения (I-1), соединение (I-4) (выход 41,4 мг, 94%) получали в виде бесцветного масла из соединения (IV-1) (40,0 мг, 0,125 ммоль) и 2-хлорфенилбороновой кислоты (V-4) (22,8 мг, 0,163 ммоль).
[0191]
Пример 5. Получение 3-(2-бромфенил)-2-{[6-(трифторметил)пиридин-3-ил]окси}пиридина (I-5)[0192]
[0193]
Стадия 1
2-хлор-3-йодпиридин (III-2) (1,00 г, 4,18 ммоль) и соединение (II-1) (819 мг, 5,20 ммоль) растворяли в DMSO (8,4 мл), добавляли карбонат цезия (1,91 г, 5,85 ммоль), и смесь перемешивали при 120°C в течение 23 часов. Реакционную смесь охлаждали, добавляли воду, и смесь экстрагировали этилацетатом. Органический слой промывали последовательно водой и насыщенным соляным раствором, сушили над безводным сульфатом натрия и фильтровали. Растворитель упаривали при пониженном давлении, и остаток очищали колоночной хроматографией на силикагеле (н-гексан:этилацетат), получая соединение (IV-2) (выход 964 мг, 63%) в виде бесцветного масла.
Стадия 2
Способом получения, аналогичным способу для соединения (I-1), соединение (I-5) (выход 138 мг, 42%) получали в виде бесцветного масла из соединения (IV-2) (305 мг, 0,834 ммоль) и 2-бромфенилбороновой кислоты (V-5) (168 мг, 0,834 ммоль).
[0194]
Пример 6. Получение 3-(2,6-дифторфенил)-2-{[6-(трифторметил)пиридин-3-ил]окси}пиридина (I-6) Способом получения, аналогичным способу для соединения (I-1), соединение (I-6) (выход 4,5 мг, 14%) получали в виде бесцветного масла из соединения (IV-1) (30,0 мг, 0,0940 ммоль) и 2,6-дифторфенилбороновой кислоты (V-6) (22,3 мг, 0,141 ммоль).
[0195]
Пример 7. Получение 3-(2,5-дифторфенил)-2-{[6-(трифторметил)пиридин-3-ил]окси}пиридина (I-7) Способом получения, аналогичным способу для соединения (I-1), соединение (I-7) (выход 26,9 мг, 81%) получали в виде бесцветного масла из соединения (IV-1) (30,0 мг, 0,0940 ммоль) и 2,5-дифторфенилбороновой кислоты (V-7) (22,3 мг, 0,141 ммоль).
[0196]
Пример 8. Получение 3-(2,4-дифторфенил)-2-{[6-(трифторметил)пиридин-3-ил]окси}пиридина (I-8) Способом получения, аналогичным способу для соединения (I-1), соединение (I-8) (выход 30,6 мг, 92%) получали в виде бесцветного масла из соединения (IV-1) (30,0 мг, 0,0940 ммоль) и 2,4-дифторфенилбороновой кислоты (V-8) (22,3 мг, 0,141 ммоль).
[0197]
Пример 9. Получение 3-(2,3-дифторфенил)-2-{[6-(трифторметил)пиридин-3-ил]окси}пиридина (I-9) Способом получения, аналогичным способу для соединения (I-1), соединение (I-9) (выход 31,8 мг, 96%) получали в виде бесцветного масла из соединения (IV-1) (30,0 мг, 0,0940 ммоль) и 2,3-дифторфенилбороновой кислоты (V-9) (22,3 мг, 0,141 ммоль).
[0198]
Пример 10. Получение 3-(2-фтор-6-метоксифенил)-2-{[6-(трифторметил)пиридин-3-ил]окси}пиридина (I-10) Способом получения, аналогичным способу для соединения (I-1), соединение (I-10) (выход 28,0 мг, 82%) получали в виде бесцветного масла из соединения (IV-1) (30,0 мг, 0,0940 ммоль) и 2-фтор-6-метоксифенилбороновой кислоты (V-10) (23,4 мг, 0,141 ммоль).
[0199]
Пример 11. Получение 3-(5-фтор-2-метоксифенил)-2-{[6-(трифторметил)пиридин-3-ил]окси}пиридина (I-11) Способом получения, аналогичным способу для соединения (I-1), соединение (I-11) (выход 28,8 мг, 84%) получали в виде бесцветного масла из соединения (IV-1) (30,0 мг, 0,0940 ммоль) и 5-фтор-2-метоксифенилбороновой кислоты (V-11) (20,1 мг, 0,122 ммоль).
[0200]
Пример 12. Получение 3-(4-фтор-2-метоксифенил)-2-{[6-(трифторметил)пиридин-3-ил]окси}пиридина (I-12) Способом получения, аналогичным способу для соединения (I-1), соединение (I-12) (выход 33,4 мг, 98%) получали в виде бесцветного масла из соединения (IV-1) (30,0 мг, 0,0940 ммоль) и 4-фтор-2-метоксифенилбороновой кислоты (V-12) (23,4 мг, 0,141 ммоль).
[0201]
Пример 13. Получение 3-(3-фтор-2-метоксифенил)-2-{[6-(трифторметил)пиридин-3-ил]окси}пиридина (I-13) Способом получения, аналогичным способу для соединения (I-1), соединение (I-13) (выход 34,0 мг, 99%) получали в виде бесцветного масла из соединения (IV-1) (30,0 мг, 0,0940 ммоль) и 3-фтор-2-метоксифенилбороновой кислоты (V-13) (23,4 мг, 0,141 ммоль).
[0202]
Пример 14. Получение 3-[2-(метилтио)фенил]-2-{[6-(трифторметил)пиридин-3-ил]окси}пиридина (I-14) Способом получения, аналогичным способу для соединения (I-1), соединение (I-14) (выход 26,5 мг, 73%) получали в виде белого твердого остатка из соединения (IV-1) (30,0 мг, 0,0940 ммоль) и 2-метилтиофенилбороновой кислоты (V-14) (23,4 мг, 0,141 ммоль).
[0203]
Пример 15. Получение 3-(2-нитрофенил)-2-{[6-(трифторметил)пиридин-3-ил]окси}пиридина (I-15) Способом получения, аналогичным способу для соединения (I-1), соединение (I-15) (выход 470 мг, 83%) получали в виде белого твердого остатка из соединения (IV-1) (500 мг, 1,57 ммоль) и 2-нитрофенилбороновой кислоты (V-15) (394 мг, 2,34 ммоль).
[0204]
Пример 16. Получение 3-(2-этилфенил)-2-{[6-(трифторметил)пиридин-3-ил]окси}пиридина (I-16) Способом получения, аналогичным способу для соединения (I-1), соединение (I-16) (выход 29,8 мг, 92%) получали в виде бесцветного масла из соединения (IV-1) (30,0 мг, 0,0940 ммоль) и 2-этилфенилбороновой кислоты (V-16) (21,1 мг, 0,141 ммоль).
[0205]
Пример 17. Получение 3-(2-этоксифенил)-2-{[6-(трифторметил)пиридин-3-ил]окси}пиридина (I-17) Способом получения, аналогичным способу для соединения (I-1), соединение (I-17) (выход 37,4 мг, количественный) получали в виде бесцветного масла из соединения (IV-1) (30,0 мг, 0,0940 ммоль) и 2-этоксифенилбороновой кислоты (V-17) (23,4 мг, 0,141 ммоль).
[0206]
Пример 18. Получение 2-(2-{[6-(трифторметил)пиридин-3-ил]окси}пиридин-3-ил)фенола (I-18) Способом получения, аналогичным способу для соединения (I-1), соединение (I-18) (выход 190 мг, 91%) получали в виде оранжевого твердого остатка из соединения (IV-1) (200 мг, 0,627 ммоль) и 2-гидроксифенилбороновой кислоты (V-18) (130 мг, 0,941 ммоль).
[0207]
Пример 19. Получение 1-[2-(2-{[6-(трифторметил)пиридин-3-ил]окси}пиридин-3-ил)фенил]этанона (I-19) Способом получения, аналогичным способу для соединения (I-1), соединение (I-19) (выход 472 мг, 84%) получали в виде желтого масла из соединения (IV-1) (500 мг, 1,57 ммоль) и 2-ацетилфенилбороновой кислоты (V-19) (284 мг, 1,73 ммоль).
[0208]
Пример 20. Получение метил 2-(2-{[6-(трифторметил)пиридин-3-ил]окси}пиридин-3-ил)бензоата (I-20) Способом получения, аналогичным способу для соединения (I-1), соединение (I-20) (выход 414 мг, 71%) получали в виде бесцветного масла из соединения (IV-1) (500 мг, 1,57 ммоль) и 2-метоксикарбонилфенилбороновой кислоты (V-20) (367 мг, 2,04 ммоль).
[0209]
Пример 21. Получение 3-(2-трифторметоксифенил)-2-{[6-(трифторметил)пиридин-3-ил]окси}пиридина (I-21) Способом получения, аналогичным способу для соединения (I-1), соединение (I-21) (выход 34,1 мг, 91%) получали в виде бесцветного масла из соединения (IV-1) (30,0 мг, 0,0940 ммоль) и 2-трифторметоксифенилбороновой кислоты (V-21) (29,0 мг, 0,141 ммоль).
[0210]
Пример 22. Получение [2-(2-{[6-(трифторметил)пиридин-3-ил]окси}пиридин-3-ил)фенил]метанола (I-22) Соединение (IV-1) (162 мг, 0,509 ммоль), 2-гидроксиметилфенилбороновую кислоту (V-22) (113 мг, 0,764 ммоль), (A-taPhos)2PdCl2 (18,1 мг, 0,0255 ммоль) и карбонат цезия (332 мг, 1,02 ммоль) растворяли в 1,4-диоксане (2,5 мл) и воде (0,50 мл), и смесь перемешивали при комнатной температуре в течение 20 часов. Реакционную смесь охлаждали, добавляли воду, и смесь экстрагировали этилацетатом. Органический слой промывали насыщенным соляным раствором, сушили над безводным сульфатом натрия и фильтровали. Растворитель упаривали при пониженном давлении, и остаток очищали колоночной хроматографией на силикагеле (н-гексан:этилацетат), получая соединение (I-22) (выход 146 мг, 83%) в виде белого твердого остатка.
[0211]
Пример 23. Получение 3-(5-хлор-2-метоксифенил)-2-{[6-(трифторметил)пиридин-3-ил]окси}пиридина (I-23) Способом получения, аналогичным способу для соединения (I-1), соединение (I-23) (выход 191 мг, 80%) получали в виде бледно-желтого твердого остатка из соединения (IV-1) (200 мг, 0,627 ммоль) и 5-хлор-2-метоксифенилбороновой кислоты (V-23) (175 мг, 0,940 ммоль).
[0212]
Пример 24. Получение 2-метил-2'-{[6-(трифторметил)пиридин-3-ил]окси}-3,3'-бипиридина (I-24) Способом получения, аналогичным способу для соединения (I-1), соединение (I-24) (выход 23,5 мг, 75%) получали в виде белого твердого остатка из соединения (IV-1) (30,0 мг, 0,0944 ммоль) и 2-метилпиридин-3-бороновой кислоты (V-24) (18,3 мг, 0,141 ммоль).
[0213]
Пример 25. Получение 4'-метил-2-{[6-(трифторметил)пиридин-3-ил]окси}-3,3'-бипиридина (I-25) Способом получения, аналогичным способу для соединения (I-1), соединение (I-25) (выход 16,1 мг, 52%) получали в виде бесцветного масла из соединения (IV-1) (30,0 мг, 0,0943 ммоль) и 4-метилпиридин-3-бороновой кислоты (V-25) (17,3 мг, 0,113 ммоль).
[0214]
Пример 26. Получение 2-метокси-2'-{[6-(трифторметил)пиридин-3-ил]окси}-3,3'-бипиридина (I-26) Способом получения, аналогичным способу для соединения (I-1), соединение (I-26) (выход 43,0 мг, 99%) получали в виде белого твердого остатка из соединения (IV-1) (40,0 мг, 0,125 ммоль) и 2-метоксипиридин-3-бороновой кислоты (V-26) (24,9 мг, 0,163 ммоль).
[0215]
Пример 27. Получение 3'-метокси-2-{[6-(трифторметил)пиридин-3-ил]окси}-3,4'-бипиридина (I-27) Способом получения, аналогичным способу для соединения (I-1), соединение (I-27) (выход 7,1 мг, 16%) получали в виде бесцветного масла из соединения (IV-1) (40,0 мг, 0,125 ммоль) и 3-метоксипиридин-4-бороновой кислоты (V-27) (24,9 мг, 0,163 ммоль).
[0216]
Пример 28. Получение 4'-метокси-2-{[6-(трифторметил)пиридин-3-ил]окси}-3,3'-бипиридина (I-28) Способом получения, аналогичным способу для соединения (I-1), соединение (I-28) (выход 15,4 мг, 35%) получали в виде белого твердого остатка из соединения (IV-1) (40,0 мг, 0,125 ммоль) и 4-метоксипиридин-3-бороновой кислоты (V-28a) (24,9 мг, 0,163 ммоль).
[0217]
Пример 29. Получение 2-метокси-6-метил-2'-{[6-(трифторметил)пиридин-3-ил]окси}-3,3'-бипиридина (I-29) Способом получения, аналогичным способу для соединения (I-1), соединение (I-29) (выход 25,4 мг, 75%) получали в виде бесцветного масла из соединения (IV-1) (30,0 мг, 0,0940 ммоль) и 2-метокси-6-метилпиридин-3-бороновой кислоты (V-29) (20,4 мг, 0,122 ммоль).
[0218]
Пример 30. Получение 2-метокси-5-метил-2'-{[6-(трифторметил)пиридин-3-ил]окси}-3,3'-бипиридина (I-30) Способом получения, аналогичным способу для соединения (I-1), соединение (I-30) (выход 22,4 мг, 66%) получали в виде бледно-желтого масла из соединения (IV-1) (30,0 мг, 0,0940 ммоль) и 2-метокси-5-метилпиридин-3-бороновой кислоты (V-30) (20,4 мг, 0,122 ммоль).
[0219]
Пример 31. Получение 5-хлор-2-метокси-2'-{[6-(трифторметил)пиридин-3-ил]окси}-3,3'-бипиридина (I-31) Способом получения, аналогичным способу для соединения (I-1), соединение (I-31) (выход 24,2 мг, 67%) получали в виде бесцветного масла из соединения (IV-1) (30,0 мг, 0,0940 ммоль) и 5-хлор-2-метоксипиридин-3-бороновой кислоты (V-31) (19,4 мг, 0,103 ммоль).
[0220]
Пример 32. Получение 5-фтор-2-метокси-2'-{[6-(трифторметил)пиридин-3-ил]окси}-3,3'-бипиридина (I-32) Соединение (IV-1) (32,0 мг, 0,100 ммоль), 5-фтор-2-метоксипиридин-3-бороновую кислоту (V-32) (22,3 мг, 0,130 ммоль), (A-taPhos)2PdCl2 (3,6 мг, 0,0050 ммоль) и карбонат цезия (65,4 мг, 0,201 ммоль) растворяли в смеси 1,4-диоксан (0,8 мл)/вода (0,16 мл), и смесь перемешивали при 100°C в течение 4 часов. Реакционную смесь охлаждали, добавляли воду, и смесь экстрагировали этилацетатом. Органический слой промывали насыщенным соляным раствором, сушили над безводным сульфатом натрия и фильтровали. Растворитель упаривали при пониженном давлении, и остаток очищали колоночной хроматографией на силикагеле (NH силикагель, н-гексан:этилацетат=95:5 → 85:15), получая соединение (I-32) (выход 22,7 мг, 62%) в виде бесцветного масла.
[0221]
Пример 33. Получение 5-(2-{[6-(трифторметил)пиридин-3-ил]окси}пиридин-3-ил)изохинолина (I-33) Соединение (IV-1) (307 мг, 0,961 ммоль), 5-изохинолинбороновую кислоту (V-33) (258 мг, 1,44 ммоль), (A-taPhos)2PdCl2 (34,1 мг, 0,0481 ммоль) и карбонат цезия (626 мг, 1,92 ммоль) растворяли в 1,4-диоксане (4,0 мл) и воде (0,80 мл), и смесь перемешивали при 110°C в течение 14 часов. Реакционную смесь охлаждали, добавляли к реакционной смеси воду, и смесь экстрагировали этилацетатом. Органический слой промывали последовательно водой и насыщенным соляным раствором, сушили над безводным сульфатом натрия и фильтровали. Растворитель упаривали при пониженном давлении, и остаток очищали колоночной хроматографией на силикагеле (н-гексан:этилацетат), получая соединение (I-33) (выход 222 мг, 63%) в виде белого твердого остатка.
[0222]
Пример 34. Получение 8-(2-{[6-(трифторметил)пиридин-3-ил]окси}пиридин-3-ил)хинолина (I-34) Способом получения, аналогичным способу для соединения (I-33), соединение (I-34) (выход 182 мг, 79%) получали в виде белого твердого остатка из соединения (IV-1) (200 мг, 0,627 ммоль) и 8-хинолинбороновой кислоты (V-34) (163 мг, 0,941 ммоль).
[0223]
Пример 35. Получение 3-(2,3-дигидробензофуран-7-ил)-2-{[6-(трифторметил)пиридин-3-ил]окси}пиридина (I-35) Способом получения, аналогичным способу для соединения (I-1), соединение (I-35) (выход 37,2 мг, 83%) получали в виде белого твердого остатка из соединения (IV-1) (40,0 мг, 0,125 ммоль) и пинаколового эфира 2,3-дигидробензофуран-7-бороновой кислоты (V-35a) (40,0 мг, 0,163 ммоль).
[0224]
Пример 36. Получение 5-(2-{[6-(трифторметил)пиридин-3-ил]окси}пиридин-3-ил)хинолина (I-36)[0225]
[0226]
Стадия 1
К раствору магния (1,52 г, 62,5 ммоль) и хлорида лития (1,33 г, 31,3 ммоль) в THF (25 мл) медленно добавляли по каплям 0,99 моль/л толуольный раствор DIBAL (253 мкл, 0,250 ммоль), и смесь перемешивали в течение 5 мин. К реакционной смеси добавляли раствор соединения (IV-1) (7,98 г, 25,0 ммоль) в THF (10 мл), и смесь перемешивали при комнатной температуре в течение 30 мин. При охлаждении на льду добавляли триизопропилборат (11,5 мл, 50,0 ммоль), и смесь перемешивали при охлаждении на льду в течение 1 часа. К реакционной смеси добавляли 0,1 моль/л хлористоводородную кислоту, и смесь экстрагировали этилацетатом. Органический слой сушили над безводным сульфатом натрия и фильтровали. Растворитель упаривали при пониженном давлении, и остаток очищали колоночной хроматографией на силикагеле (н-гексан:этилацетат=90:10 → 0:100, затем этилацетат:метанол=90:10), получая соединение (VIa-1) (выход 3,94 г, 56%) в виде бледно-коричневого твердого остатка.
Стадия 2
5-бромхинолин (VII-1) (200 мг, 0,961 ммоль), соединение (VIa-1) (380 мг, 1,44 ммоль), (A-taPhos)2PdCl2 (34,1 мг, 0,0481 ммоль) и карбонат цезия (626 мг, 1,92 ммоль) растворяли в 1,4-диоксане (4,0 мл) и воде (0,8 мл), и смесь перемешивали при 110°C в течение 14 часов. Реакционную смесь охлаждали, добавляли воду, и смесь экстрагировали этилацетатом. Органический слой промывали насыщенным соляным раствором, сушили над безводным сульфатом натрия и фильтровали. Растворитель упаривали при пониженном давлении, и остаток очищали колоночной хроматографией на силикагеле (н-гексан:этилацетат=100:0 → 70:30), получая соединение (I-36) (выход 312 мг, 90%) в виде белого твердого остатка.
[0227]
Пример 37. Получение 5-(2-{[6-(трифторметил)пиридин-3-ил]окси}пиридин-3-ил)хиноксалина (I-37) Способом получения, аналогичным способу для соединения (I-36), соединение (I-37) (выход 18,4 мг, 47%) получали в виде бесцветного масла из 5-бромхиноксалина (VII-2) (29,7 мг, 0,137 ммоль) и соединения (VIa-1) (30,0 мг, 0,108 ммоль).
[0228]
Пример 38. Получение 3-(хроман-8-ил)-2-{[6-(трифторметил)пиридин-3-ил]окси}пиридина (I-38) Способом получения, аналогичным способу для соединения (I-36), соединение (I-38) (выход 6,2 мг, 16%) получали в виде бесцветного масла из 8-бромхромана (VII-3) (27,0 мг, 0,127 ммоль) и соединения (VIa-1) (30,0 мг, 0,106 ммоль).
8-Бромхроман можно получить согласно известному способу. Например, способ описан в Tetrahedron Lett. 1998; 39: 2219-2222.
[0229]
Пример 39. Получение 3-(2,2-дифторбензо[1,3]диоксол-4-ил)-2-{[6-(трифторметил)пиридин-3-ил]окси}пиридина (I-39) Способом получения, аналогичным способу для соединения (I-36), соединение (I-39) (выход 12,2 мг, 29%) получали в виде бесцветного масла из 4-бром-2,2-дифторбензо[1,3]диоксола (VII-4) (30,0 мг, 0,127 ммоль) и соединения (VIa-1) (30,0 мг, 0,106 ммоль).
[0230]
Пример 40. Получение 7-(2-{[6-(трифторметил)пиридин-3-ил]окси}пиридин-3-ил)-2,3-дигидро-1H-инден-1-она (I-40) Способом получения, аналогичным способу для соединения (I-36), соединение (I-40) (выход 185 мг, 53%) получали в виде желтого твердого остатка из 7-бром-1-инданона (VII-5) (324 мг, 1,14 ммоль) и соединения (VIa-1) (200 мг, 0,948 ммоль).
[0231]
Пример 41. Получение 3-(5-фтор-2,3-дигидробензофуран-7-ил)-2-{[6-(трифторметил)пиридин-3-ил]окси}пиридина (I-41) Способом получения, аналогичным способу для соединения (I-36), соединение (I-41) (выход 24,6 мг, 47%) получали в виде белого твердого остатка из соединения (VIa-1) (39,3 мг, 0,138 ммоль) и 7-бром-5-фтор-2,3-дигидробензофурана (VII-6) (30,0 мг, 0,138 ммоль).
7-Бром-5-фтор-2,3-дигидробензофуран можно получить согласно известному способу. Например, он описан в US5817690A.
[0232]
Пример 42. Получение 7-(2-{[6-(трифторметил)пиридин-3-ил]окси}пиридин-3-ил)-1H-индола (I-42) Способом получения, аналогичным способу для соединения (I-36), соединение (I-42) (выход 20,8 мг, 38%) получали в виде бесцветного масла из 7-броминдола (VII-7) (30,0 мг, 0,153 ммоль) и соединения (VIa-1) (65,0 мг, 0,230 ммоль).
[0233]
Пример 43. Получение 8-(2-{[6-(трифторметил)пиридин-3-ил]окси}пиридин-3-ил)изохинолина (I-43) Способом получения, аналогичным способу для соединения (I-33), соединение (I-43) (выход 118 мг, количественный) получали в виде белого твердого остатка из соединения (IV-1) (100 мг, 0,313 ммоль) и 8-изохинолинбороновой кислоты (V-36) (81,3 мг, 0,470 ммоль).
[0234]
Пример 44. Получение 7-(2-{[6-(трифторметил)пиридин-3-ил]окси}пиридин-3-ил)пиразоло[1,5-a]пиридина (I-44) Способом получения, аналогичным способу для соединения (I-36), соединение (I-44) (выход 39,6 мг, 79%) получали в виде белого твердого остатка из 7-бромпиразоло[1,5-a]пиридина (VII-8) (30,5 мг, 0,155 ммоль) и соединения (VIa-1) (40,0 мг, 0,141 ммоль).
[0235]
Пример 45. Получение 5-(2-{[6-(трифторметил)пиридин-3-ил]окси}пиридин-3-ил)-[1,2,4]триазоло[1,5-a]пиридина (I-45) Способом получения, аналогичным способу для соединения (I-36), соединение (I-45) (выход 7,1 мг, 19%) получали в виде белого твердого остатка из 5-бром-[1,2,4]триазоло[1,5-a]пиридина (VII-9) (27,2 мг, 0,137 ммоль) и соединения (VIa-1) (30,0 мг, 0,108 ммоль).
[0236]
Пример 46. Получение 3-(2-{[6-(трифторметил)пиридин-3-ил]окси}пиридин-3-ил)-1H-пиразоло[3,4-b]пиридина (I-46)[0237]
[0238]
Стадия 1
Соединение (M-1) (100 мг, 0,839 ммоль) растворяли в ацетонитриле (2,8 мл), добавляли NIS (208 мг, 0,923 ммоль), и смесь перемешивали при 75°C в течение 17 часов. Реакционную смесь охлаждали, добавляли этилацетат, и смесь последовательно промывали водой и насыщенным соляным раствором, сушили над безводным сульфатом натрия и фильтровали. Растворитель упаривали при пониженном давлении, получая соединение (M-2).
Стадия 2
Соединение (M-2) растворяли в THF (8,4 мл), последовательно добавляли TEA (234 мкл, 1,68 ммоль), (Boc)2O (289 мкл, 1,26 ммоль) и DMAP (10,3 мг, 0,0839 ммоль), и смесь перемешивали при комнатной температуре в течение 1 часа. Добавляли к реакционной смеси воду, и смесь экстрагировали этилацетатом. Органический слой промывали последовательно водой и насыщенным соляным раствором, сушили над безводным сульфатом натрия и фильтровали. Растворитель упаривали при пониженном давлении, и остаток очищали колоночной хроматографией на силикагеле (н-гексан:этилацетат), получая соединение (VII-10) (выход 151 мг, 52%) в виде белого твердого остатка.
Стадия 3
Способом получения, аналогичным способу для соединения (I-36), соединение (I-46) (выход 63,7 мг, 62%) получали в виде бесцветного масла из соединения (VII-10) (100 мг, 0,290 ммоль) и соединения (VIa-1) (99,6 мг, 0,377 ммоль).
[0239]
Пример 47. Получение 1-метил-3-(2-{[6-(трифторметил)пиридин-3-ил]окси}пиридин-3-ил)-1H-пиразоло[3,4-b]пиридина (I-47) Соединение (I-46) (29,6 мг, 0,0828 ммоль) растворяли в DMF (1,0 мл), добавляли при 0°C гидрид натрия (4,8 мг, 0,099 ммоль), и смесь перемешивали при 0°C в течение 15 мин. Затем, добавляли при 0°C метилйодид (6,2 мкл, 0,099 ммоль), и смесь нагревали до комнатной температуры и перемешивали в течение 13 часов. Добавляли к реакционной смеси воду, и смесь экстрагировали этилацетатом. Органический слой промывали последовательно водой и насыщенным соляным раствором, сушили над безводным сульфатом натрия и фильтровали. Растворитель упаривали при пониженном давлении, и остаток очищали колоночной хроматографией на силикагеле (н-гексан:этилацетат), получая соединение (I-47) (выход 17,2 мг, 56%) в виде бесцветного масла.
[0240]
Пример 48. Получение 5-метил-7-(2-{[6-(трифторметил)пиридин-3-ил]окси}пиридин-3-ил)пиразоло[1,5-a]пиримидина (I-48)[0241]
[0242]
Стадия 1
3-Аминопиразол (M-3) (1,00 г, 12,0 ммоль) растворяли в уксусной кислоте (6,0 мл), добавляли метилацетоацетат (1,30 мл, 12,0 ммоль), и смесь перемешивали при кипячении с обратным холодильником в течение 1 часа. Реакционную смесь охлаждали до комнатной температуры, и выпавший осадок собирали фильтрованием, и промывали последовательно водой и этанолом, получая соединение (M-4) (выход 910 мг, 51%) в виде белого твердого остатка.
Стадия 2
Соединение (M-4) (800 мг, 5,36 ммоль) растворяли в ацетонитриле (50 мл), добавляли карбонат калия (2,23 г, 16,1 ммоль) и оксибромид фосфора (4,62 г, 16,1 ммоль), и смесь перемешивали при кипячении с обратным холодильником в течение 4 часов. Смесь охлаждали до комнатной температуры, и растворитель упаривали при пониженном давлении. Добавляли хлороформ, и органический слой промывали насыщенным бикарбонатом натрия, и сушили над безводным сульфатом натрия. После фильтрования растворитель упаривали при пониженном давлении. Остаток очищали колоночной хроматографией на силикагеле (н-гексан:этилацетат), получая соединение (VII-11) (выход 833 мг, 73%) в виде бледно-желтого твердого остатка.
Стадия 3
Способом получения, аналогичным способу для соединения (I-36), соединение (I-48) (выход 63,3 мг, 36%) получали в виде белого твердого остатка из соединения (VII-11) (100 мг, 0,472 ммоль) и соединения (VIa-1) (201 мг, 0,707 ммоль).
[0243]
Пример 49. Получение 3-(2-{[6-(трифторметил)пиридин-3-ил]окси}пиридин-3-ил)пиразоло[1,5-a]пиридина (I-49)[0244]
[0245]
Стадия 1
Пиразоло[1,5-a]пиридин (M-5) (300 мг, 2,54 ммоль) растворяли в ацетонитриле (5,0 мл), добавляли NIS (628 мг, 2,79 ммоль), и смесь перемешивали при комнатной температуре в течение 1 часа. После фильтрования растворитель упаривали при пониженном давлении. Остаток очищали колоночной хроматографией на силикагеле (н-гексан:этилацетат), получая соединение (VII-12) (выход 556 мг, 90%) в виде бледно-желтого твердого остатка.
Стадия 2
Способом получения, аналогичным способу для соединения (I-36), соединение (I-49) (выход 2,9 мг, 8%) получали в виде бесцветного масла из соединения (VII-12) (33,7 мг, 0,138 ммоль) и соединения (VIa-1) (30,0 мг, 0,106 ммоль).
[0246]
Пример 50. Получение 1-(2-{[6-(трифторметил)пиридин-3-ил]окси}пиридин-3-ил)-1H-пирроло[2,3-b]пиридина (I-50) Соединение (IV-1) (100 мг, 0,313 ммоль), 7-азаиндол (48,1 мг, 0,407 ммоль), карбонат цезия (204 мг, 0,627 ммоль) и 1,10-фенантролин (11,3 мг, 0,0627 ммоль) растворяли в 1,4-диоксане (1,0 мл), добавляли йодид меди (I) (6,0 мг, 0,031 ммоль), и смесь перемешивали в атмосфере аргона при 120°C в течение 48 часа. Смесь охлаждали, разбавляли этилацетатом и фильтровали через целит (зарегистрированное торговое название). Растворитель упаривали при пониженном давлении. Остаток очищали колоночной хроматографией на силикагеле (н-гексан:этилацетат=70:30→ 40:60), получая соединение (I-50) (выход 16,6 мг, 15%) в виде бесцветного масла.
[0247]
Пример 51. Получение 3-хлор-7-(2-{[6-(трифторметил)пиридин-3-ил]окси}пиридин-3-ил)пиразоло[1,5-a]пиридина (I-51) Соединение (I-44) (40,0 мг, 0,112 ммоль) растворяли в DMF (0,55 мл), добавляли NCS (16,5 мг, 0,123 ммоль), и смесь перемешивали при комнатной температуре в течение 22 часов. Добавляли NCS (6,0 мг, 0,045 ммоль), и смесь дополнительно перемешивали в течение 16 часов. Затем, добавляли воду, и смесь экстрагировали этилацетатом, и органический слой промывали последовательно водой и насыщенным соляным раствором, сушили над безводным сульфатом натрия и фильтровали, и растворитель упаривали при пониженном давлении. Остаток очищали колоночной хроматографией на силикагеле (н-гексан:этилацетат=95:5→ 70:30), получая соединение (I-51) (выход 27,6 мг, 63%) в виде белого твердого остатка.
[0248]
Пример 52. Получение 3-бром-7-(2-{[6-(трифторметил)пиридин-3-ил]окси}пиридин-3-ил)пиразоло[1,5-a]пиридина (I-52) Соединение (I-44) (100 мг, 0,281 ммоль) растворяли в DMF (1,4 мл), добавляли NBS (54,9 мг, 0,309 ммоль), и смесь перемешивали при комнатной температуре в течение 17 часов. Добавляли воду, и смесь экстрагировали этилацетатом. Органический слой промывали последовательно водой и насыщенным соляным раствором, сушили над безводным сульфатом натрия и фильтровали, и растворитель упаривали при пониженном давлении. Остаток очищали колоночной хроматографией на силикагеле (н-гексан:этилацетат=95:5 → 70:30), получая соединение (I-52) (выход 116 мг, 95%) в виде бледно-зеленого твердого остатка.
[0249]
Пример 53. Получение 3-метил-7-(2-{[6-(трифторметил)пиридин-3-ил]окси}пиридин-3-ил)пиразоло[1,5-a]пиридина (I-53) Соединение (I-52) (50,0 мг, 0,115 ммоль), метилбороновую кислоту (21,0 мг, 0,351 ммоль), карбонат калия (47,6 мг, 0,345 ммоль) и Pd(PPh3)4 (6,6 мг, 5,7 мкмоль) растворяли в 1,4-диоксане (0,50 мл) и воде (0,10 мл), и смесь перемешивали при микроволновом облучении при 120°C в течение 30 мин. Добавляли метилбороновую кислоту (34,0 мг, 0,568 ммоль), и смесь дополнительно перемешивали при микроволновом облучении при 120°C в течение 30 мин. Смесь охлаждали, добавляли воду, и смесь экстрагировали этилацетатом. Органический слой промывали насыщенным соляным раствором, сушили над безводным сульфатом натрия и фильтровали, и растворитель упаривали при пониженном давлении. Остаток очищали колоночной хроматографией на силикагеле (н-гексан:этилацетат=95:5→ 80:20), получая соединение (I-53) (выход 9,2 мг, 21%) в виде бесцветного масла.
[0250]
Пример 54. Получение 7-(2-{[6-(трифторметил)пиридин-3-ил]окси}пиридин-3-ил)пиразоло[1,5-a]пиридин-3-карбонитрила (I-54) Соединение (I-52) (100 мг, 0,230 ммоль) растворяли в NMP (1,0 мл), добавляли цианид меди (45,3 мг, 0,506 ммоль), и смесь перемешивали при микроволновом облучении при 180°C в течение 2 часов. Смесь охлаждали, разбавляли этилацетатом и фильтровали через целит. Фильтрат промывали водой и насыщенным соляным раствором, сушили над безводным сульфатом натрия и фильтровали, и растворитель упаривали при пониженном давлении. Остаток очищали колоночной хроматографией на силикагеле (н-гексан:этилацетат=70:30→ 50:50), получая соединение (I-54) (выход 52,8 мг, 60%) в виде бледно-желтого твердого остатка.
[0251]
Пример 55. Получение 3-[2-(циклобутилметокси)фенил]-2-{[6-(трифторметил)пиридин-3-ил]окси}пиридина (I-55) Соединение (I-18) (30,0 мг, 0,0903 ммоль) растворяли в DMF (0,5 мл), последовательно добавляли 50-72% гидрид натрия (6,5 мг, 0,14 ммоль) и бромметилциклобутан (15,2 мкл, 0,135 ммоль), и смесь перемешивали при комнатной температуре в течение 4,5 часов. Добавляли воду, и смесь экстрагировали этилацетатом. Органический слой промывали последовательно водой и насыщенным соляным раствором, сушили над безводным сульфатом натрия и фильтровали. Растворитель упаривали при пониженном давлении, и остаток очищали колоночной хроматографией на силикагеле (н-гексан:этилацетат), получая соединение (I-55) (выход 16,7 мг, 46%) в виде бесцветного масла.
[0252]
Пример 56. Получение 3-[2-(2-пропин-1-илокси)фенил]-2-{[6-(трифторметил)пиридин-3-ил]окси}пиридина (I-56) Способом получения, аналогичным способу для соединения (I-55), соединение (I-56) (выход 27,4 мг, 82%) получали в виде бесцветного масла из соединения (I-18) (30,0 мг, 0,0903 ммоль) и пропаргилбромида (10,2 мкл, 0,135 ммоль).
[0253]
Пример 57. Получение 3-[2-(циклопропилметокси)фенил]-2-{[6-(трифторметил)пиридин-3-ил]окси}пиридина (I-57) Способом получения, аналогичным способу для соединения (I-55), соединение (I-57) (выход 22,0 мг, 63%) получали в виде бесцветного масла из соединения (I-18) (30,0 мг, 0,0903 ммоль) и бромметилциклопропана (13,1 мкл, 0,135 ммоль).
[0254]
Пример 58. Получение 3-{2-[(тетрагидро-2H-пиран-4-ил)окси]фенил}-2-{[6-(трифторметил)пиридин-3-ил]окси}пиридина (I-58) Соединение (I-18) (30,0 мг, 0,0903 ммоль), трифенилфосфин (28,3 мг, 0,108 ммоль), DIAD (27,0 мкл, 0,135 ммоль) и 4-гидрокситетрагидропиран (113 мг, 0,764 ммоль) растворяли в THF (0,5 мл), и смесь перемешивали при комнатной температуре в течение 23 часов. Растворитель упаривали при пониженном давлении, и остаток очищали колоночной хроматографией на силикагеле (н-гексан:этилацетат), получая соединение (I-58) (выход 11,7 мг, 31%) в виде белого твердого остатка.
[0255]
Пример 59. Получение 3-(2-циклопропилфенил)-2-{[6-(трифторметил)пиридин-3-ил]окси}пиридина (I-59) Способом получения, аналогичным способу для соединения (I-53), соединение (I-59) (выход 7,6 мг, 21%) получали в виде бесцветного масла из соединения (I-5) (40,0 мг, 0,101 ммоль) и циклопропилбороновой кислоты (15,8 мг, 0,152 ммоль).
[0256]
Пример 60. Получение 3-[2-(метоксиметил)фенил]-2-{[6-(трифторметил)пиридин-3-ил]окси}пиридина (I-60) Соединение (I-22) (40,0 мг, 0,116 ммоль) растворяли в DCM (0,40 мл) и последовательно добавляли при охлаждении на льду TEA (50,0 мкл, 0,358 ммоль) и метансульфонилхлорид (10,0 мкл, 0,129 ммоль), и смесь перемешивали при комнатной температуре в течение 30 мин. Добавляли метанол (1,0 мл) и метоксид натрия (25,0 мг, 0,463 ммоль), и смесь перемешивали при комнатной температуре в течение 12 часов. Добавляли к реакционной смеси воду, и смесь экстрагировали этилацетатом. Органический слой промывали последовательно водой и насыщенным соляным раствором, сушили над безводным сульфатом натрия и фильтровали. Растворитель упаривали при пониженном давлении, и остаток очищали колоночной хроматографией на силикагеле (н-гексан:этилацетат), получая соединение (I-60) (выход 13,4 мг, 32%) в виде бесцветного масла.
[0257]
Пример 61. Получение 2-(2-{[6-(трифторметил)пиридин-3-ил]окси}пиридин-3-ил)анилина (I-61) Соединение (I-15) (250 мг, 0,692 ммоль) растворяли в метаноле (4,0 мл) и этилацетате (2,0 мл), добавляли палладий на угле (25,0 мг, 10 вес/вес%), и смесь перемешивали в атмосфере водорода при комнатной температуре в течение 5 часов. Реакционную смесь фильтровали. Растворитель упаривали при пониженном давлении, и остаток очищали колоночной хроматографией на силикагеле (н-гексан:этилацетат), получая соединение (I-61) (выход 173 мг, 76%) в виде белого твердого остатка.
[0258]
Пример 62. Получение N,N-диметил-2-(2-{[6-(трифторметил)пиридин-3-ил]окси}пиридин-3-ил)анилина (I-62) Соединение (I-61) (30,0 мг, 0,0906 ммоль) растворяли в DMF (0,30 мл), добавляли 50% гидрид натрия (17,4 мг, 0,362 ммоль) и метилйодид (26 мкл, 0,0362 ммоль), и смесь перемешивали при комнатной температуре в течение 14,5 часов. Добавляли к реакционной смеси воду, и смесь экстрагировали этилацетатом. Органический слой промывали последовательно водой и насыщенным соляным раствором, сушили над безводным сульфатом натрия и фильтровали. Растворитель упаривали при пониженном давлении, и остаток очищали колоночной хроматографией на силикагеле (н-гексан:этилацетат), получая соединение (I-62) (выход 20,1 мг, 62%) в виде бесцветного масла.
[0259]
Пример 63. Получение 2-(2-{[6-(трифторметил)пиридин-3-ил]окси}пиридин-3-ил)бензальдегида (I-63) Способом получения, аналогичным способу для соединения (I-1), соединение (I-63) (выход 260 мг, 80%) получали в виде белого твердого остатка из соединения (IV-1) (300 мг, 0,940 ммоль) и 2-формилфенилбороновой кислоты (V-37) (367 мг, 2,04 ммоль).
[0260]
Пример 64. Получение 3-(2-этинилфенил)-2-{[6-(трифторметил)пиридин-3-ил]окси}пиридина (I-64) Соединение (I-63) (30,0 мг, 0,0870 ммоль) и карбонат калия (24,1 мг, 0,174 ммоль) растворяли в метаноле (0,87 мл), добавляли диметил (1-диазо-2-оксопропил)фосфонат (реагент Охира-Бестмана) (15,7 мкл, 0,105 ммоль), после чего смесь перемешивали при комнатной температуре в течение 16 часов. Добавляли к реакционной смеси воду, и смесь экстрагировали этилацетатом. Органический слой промывали последовательно водой и насыщенным соляным раствором, сушили над безводным сульфатом натрия и фильтровали. Растворитель упаривали при пониженном давлении, и остаток очищали колоночной хроматографией на силикагеле (н-гексан:этилацетат), получая соединение (I-64) (выход 18,4 мг, 63%) в виде бесцветного масла.
[0261]
Пример 65. Получение 3-(2-метоксифенил)-4-метил-2-{[6-(трифторметил)пиридин-3-ил]окси}пиридина (I-65)[0262]
[0263]
Стадия 1
Соединение (III-3) (200 мг, 0,969 ммоль) и соединение (II-1) (158 мг, 0,969 ммоль) растворяли в DMSO (3,0 мл), добавляли карбонат цезия (411 мг, 1,26 ммоль), и смесь перемешивали при 120°C в течение 16 часов. Реакционную смесь охлаждали, добавляли воду, и смесь экстрагировали этилацетатом. Органический слой промывали последовательно водой и насыщенным соляным раствором, сушили над безводным сульфатом натрия и фильтровали. Растворитель упаривали при пониженном давлении, и остаток очищали колоночной хроматографией на силикагеле (н-гексан:этилацетат), получая соединение (IV-3) (выход 79,4 мг, 25%) в виде белого твердого остатка.
Стадия 2
Соединение (IV-3) (35,6 мг, 0,107 ммоль), 2-метоксифенилбороновую кислоту (V-1) (24,5 мг, 0,161 ммоль), (A-taPhos)2PdCl2 (11,4 мг, 0,0161 ммоль) и карбонат цезия (105 мг, 0,322 ммоль) растворяли в 1,4-диоксане (1,0 мл) и воде (0,2 мл), и смесь перемешивали при микроволновом облучении при 120°C в течение 30 мин. Реакционную смесь охлаждали, добавляли воду, и смесь экстрагировали этилацетатом. Органический слой промывали насыщенным соляным раствором, сушили над безводным сульфатом натрия и фильтровали. Растворитель упаривали при пониженном давлении, и остаток очищали колоночной хроматографией на силикагеле (н-гексан:этилацетат), получая соединение (I-65) (выход 33,2 мг, 86%) в виде белого твердого остатка.
[0264]
Пример 66. Получение 3-(2-метоксифенил)-5-метил-2-{[6-(трифторметил)пиридин-3-ил]окси}пиридина (I-66)[0265]
[0266]
Стадия 1
Способом получения, аналогичным способу для соединения (IV-3), соединение (IV-4) (выход 33,3 мг, 10%) получали в виде бесцветного масла из соединения (II-1) (158 мг, 0,969 ммоль) и соединения (III-4) (200 мг, 0,969 ммоль).
Стадия 2
Способом получения, аналогичным способу для соединения (I-65), соединение (I-66) (выход 32,9 мг, 91%) получали в виде бесцветного масла из соединения (IV-4) (33,3 мг, 0,100 ммоль) и соединения (V-1) (22,8 мг, 0,150 ммоль).
[0267]
Пример 67Получение 3-(2-метоксифенил)-6-метил-2-{[6-(трифторметил)пиридин-3-ил]окси}пиридина (I-67)[0268]
[0269]
Стадия 1
Способом получения, аналогичным способу для соединения (IV-3), соединение (IV-5) (выход 137 мг, 43%) получали в виде белого твердого остатка из соединения (II-1) (158 мг, 0,969 ммоль) и соединения (III-5) (200 мг, 0,969 ммоль).
Стадия 2
Способом получения, аналогичным способу для соединения (I-65), соединение (I-67) (выход 30,2 мг, 75%) получали в виде бесцветного масла из соединения (IV-5) (37,2 мг, 0,112 ммоль) и соединения (V-1) (25,5 мг, 0,168 ммоль).
[0270]
Пример 68. Получение 3-(2-метоксифенил)-2-[(6-метилпиридин-3-ил)окси]пиридина (I-68)[0271]
[0272]
Стадия 1
Соединение (III-1) (5,46 г, 28,4 ммоль) и соединение (II-2) (3,25 г, 29,8 ммоль) растворяли в DMSO (20 мл), добавляли карбонат цезия (13,9 г, 42,5 ммоль), и смесь перемешивали при 130°C в течение 17 часов. Реакционную смесь охлаждали, добавляли воду, и смесь экстрагировали этилацетатом. Органический слой промывали последовательно водой и насыщенным соляным раствором, сушили над безводным сульфатом натрия и фильтровали. Растворитель упаривали при пониженном давлении, и остаток очищали колоночной хроматографией на силикагеле (н-гексан:этилацетат=90:10→ 40:60), получая соединение (IV-6) (выход 7,30 г, 97%) в виде желтого масла.
Стадия 2
Соединение (IV-6) (7,29 г, 27,5 ммоль), 2-метоксифенилбороновую кислоту (V-1) (4,39 г, 28,9 ммоль), (A-taPhos)2PdCl2 (195 мг, 0,275 ммоль) и карбонат цезия (26,9 г, 82,5 ммоль) растворяли в 1,4-диоксане (50 мл) и воде (5 мл), и смесь перемешивали при 120°C в течение 20 часов. Реакционную смесь охлаждали, добавляли воду, и смесь экстрагировали этилацетатом. Органический слой промывали насыщенным соляным раствором, сушили над безводным сульфатом натрия и фильтровали. Растворитель упаривали при пониженном давлении, и остаток очищали колоночной хроматографией на силикагеле (н-гексан:этилацетат=95:5 → 60:40), получая соединение (I-68) (выход 7,86 г, 98%) в виде оранжевого масла.
[0273]
Пример 69. Получение (5-{[3-(2-метоксифенил)пиридин-2-ил]окси}пиридин-2-ил)метилацетата (I-69) К раствору соединения (I-68) (7,86 г, 26,9 ммоль) в DCM (30 мл) добавляли mCPBA (8,07 г, 32,3 ммоль) при 0°C, и смесь перемешивали при комнатной температуре в течение 2,5 часов. К реакционной смеси добавляли насыщенный водный раствор бикарбоната натрия, и смесь экстрагировали хлороформом. Органический слой промывали насыщенным соляным раствором, сушили над безводным сульфатом натрия и фильтровали. Растворитель упаривали при пониженном давлении.
Остаток растворяли в уксусном ангидриде (25 мл), и смесь перемешивали при 60°C в течение 14 часов. Растворитель упаривали при пониженном давлении, и остаток разбавляли этилацетатом и промывали последовательно насыщенным водным раствором бикарбоната натрия и насыщенным соляным раствором. Органический слой сушили над безводным сульфатом натрия и фильтровали. Растворитель упаривали при пониженном давлении, и остаток очищали колоночной хроматографией на силикагеле (NH силикагель, н-гексан:этилацетат=98:2 → 0:100), получая соединение (I-69) (выход 6,59 г, 70%) в виде белого твердого остатка.
[0274]
Пример 70. Получение (5-{[3-(2-метоксифенил)пиридин-2-ил]окси}пиридин-2-ил)метанола (I-70) К раствору соединения (I-69) (6,59 г, 18,8 ммоль) в метаноле (50 мл) добавляли карбонат калия (0,520 г, 3,76 ммоль) при 0°C, и смесь перемешивали при комнатной температуре в течение 67 часа. Добавляли к реакционной смеси воду, и смесь экстрагировали хлороформом. Органический слой промывали насыщенным соляным раствором, сушили над безводным сульфатом натрия и фильтровали. Растворитель упаривали при пониженном давлении, и остаток очищали колоночной хроматографией на силикагеле (NH силикагель, н-гексан:этилацетат=98:2 → 0:100), получая соединение (I-70) (выход 5,80 г, количественный) в виде бесцветного масла.
[0275]
Пример 71. Получение 5-{[3-(2-метоксифенил)пиридин-2-ил]окси}пиколинальдегида (I-71) К раствору соединения (I-70) (500 мг, 1,62 ммоль) в DCM (8,0 мл) добавляли DMP (825 мг, 1,95 ммоль), и смесь перемешивали при комнатной температуре в течение 7 часов. Реакционную смесь разбавляли хлороформом, и добавляли водный раствор сульфита натрия и насыщенный водный раствор бикарбоната натрия. Органический слой отделяли, промывали насыщенным соляным раствором, сушили над безводным сульфатом натрия и фильтровали. Растворитель упаривали при пониженном давлении, и остаток очищали колоночной хроматографией на силикагеле (н-гексан:этилацетат=40:60 → 0:100), получая соединение (I-71) (выход 492 мг, 99%) в виде белого твердого остатка.
[0276]
Пример 72. Получение 2-{[6-(дифторметил)пиридин-3-ил]окси}-3-(2-метоксифенил)пиридина (I-72) К раствору соединения (I-71) (50,0 мг, 0,163 ммоль) в DCM (1,0 мл) добавляли DAST (72,0 мкл, 0,490 ммоль), и смесь перемешивали при комнатной температуре в течение 12 часов. Добавляли к реакционной смеси воду, и смесь экстрагировали хлороформом. Органический слой промывали насыщенным соляным раствором, сушили над безводным сульфатом натрия и фильтровали. Растворитель упаривали при пониженном давлении, и остаток очищали колоночной хроматографией на силикагеле (н-гексан:этилацетат=90:10 → 70:30), получая соединение (I-72) (выход 48,3 мг, 90%) в виде бесцветного масла.
[0277]
Пример 73. Получение 2-{[6-(дифторметил)пиридин-3-ил]окси}-3-(4-фтор-2-метоксифенил)пиридина (I-73)[0278]
[0279]
Стадия 1
К раствору соединения (III-1) (400 мг, 2,30 ммоль) и соединения (II-3) (487 мг, 2,53 ммоль) в DMSO (4,6 мл) добавляли карбонат цезия (1,50 г, 4,60 ммоль) и смесь перемешивали при 120°C в течение 19 часов. Реакционную смесь охлаждали, добавляли воду, и смесь экстрагировали этилацетатом. Органический слой промывали последовательно водой и насыщенным соляным раствором, и растворитель упаривали при пониженном давлении. Остаток очищали колоночной хроматографией на силикагеле (н-гексан:этилацетат), получая соединение (IV-7) (выход 372 мг, 49%) в виде белого твердого остатка.
Стадия 2
К раствору соединения (IV-7) (372 мг, 1,13 ммоль) и этил 2-бром-2,2-дифторацетата (145 мкл, 1,13 ммоль) в DMSO (3,8 мл) добавляли медь (165 мг, 2,59 ммоль), и смесь перемешивали при 80°C в течение 16 часов. Реакционную смесь охлаждали, разбавляли изопропилацетатом, добавляли насыщенный раствор дигидрофосфата калия, и смесь перемешивали в течение 10 мин. Реакционную смесь экстрагировали этилацетатом, органический слой промывали последовательно водой и насыщенным соляным раствором, и растворитель упаривали при пониженном давлении. Остаток очищали колоночной хроматографией на силикагеле (н-гексан:этилацетат), получая соединение (IV-8) (выход 172 мг, 40%) в виде бесцветного масла.
Стадия 3
К раствору соединения (IV-8) (2,00 г, 5,36 ммоль) в NMP (10,0 мл) добавляли гексагидрат хлорида магния (1,09 г, 5,36 ммоль), и смесь перемешивали при микроволновом облучении при 180°C в течение 15 мин. Реакционную смесь охлаждали, добавляли воду, и смесь экстрагировали этилацетатом. Органический слой промывали последовательно водой и насыщенным соляным раствором, сушили над безводным сульфатом натрия и фильтровали. Растворитель упаривали при пониженном давлении, и остаток очищали колоночной хроматографией на силикагеле (н-гексан:этилацетат=100:0 → 80:20), получая соединение (IV-9) (выход 946 мг, 59%) в виде белого твердого остатка.
Стадия 4
Способом получения, аналогичным способу для соединения (I-1), соединение (I-73) (выход 27,9 мг, 81%) получали в виде белого твердого остатка из соединения (IV-9) (30,0 мг, 0,100 ммоль) и 4-фтор-2-метоксифенилбороновой кислоты (V-12) (22,0 мг, 0,130 ммоль).
[0280]
Пример 74. Получение 2-{[6-(дифторметил)пиридин-3-ил]окси}-3-(2-фтор-5-метоксифенил)пиридина (I-74) Способом получения, аналогичным способу для соединения (I-1), соединение (I-74) (выход 33,7 мг, 98%) получали в виде белого твердого остатка из соединения (IV-9) (30,0 мг, 0,100 ммоль) и 2-фтор-5-метоксифенилбороновой кислоты (V-38) (22,0 мг, 0,130 ммоль).
[0281]
Пример 75. Получение 2-{[6-(дифторметил)пиридин-3-ил]окси}-3-(4-фтор-3-метоксифенил)пиридина (I-75) Способом получения, аналогичным способу для соединения (I-1), соединение (I-75) (выход 30,5 мг, 88%) получали в виде белого твердого остатка из соединения (IV-9) (30,0 мг, 0,100 ммоль) и 4-фтор-3-метоксифенилбороновой кислоты (V-39) (22,0 мг, 0,130 ммоль).
[0282]
Пример 76. Получение 3-(4,5-дифтор-2-метоксифенил)-2-{[6-(дифторметил)пиридин-3-ил]окси}пиридина (I-76) Способом получения, аналогичным способу для соединения (I-1), соединение (I-76) (выход 43,5 мг, 90%) получали в виде бесцветного масла из соединения (IV-9) (40,0 мг, 0,133 ммоль) и 4,5-дифтор-2-метоксифенилбороновой кислоты (V-40) (32,5 мг, 0,173 ммоль).
[0283]
Пример 77. Получение 3-(2,4-дифтор-5-метоксифенил)-2-{[6-(дифторметил)пиридин-3-ил]окси}пиридина (I-77) Способом получения, аналогичным способу для соединения (I-1), соединение (I-77) (выход 24,0 мг, 66%) получали в виде белого твердого остатка из соединения (IV-9) (30,0 мг, 0,100 ммоль) и 2,4-дифтор-5-метоксифенилбороновой кислоты (V-41) (24,3 мг, 0,130 ммоль).
[0284]
Пример 78. Получение 2'-{[6-(дифторметил)пиридин-3-ил]окси}-2,6-диметокси-3,3'-бипиридина (I-78) Способом получения, аналогичным способу для соединения (I-1), соединение (I-78) (выход 29,7 мг, 83%) получали в виде бесцветного масла из соединения (IV-9) (30,0 мг, 0,100 ммоль) и 2,6-диметоксипиридин-3-бороновой кислоты (V-42) (23,7 мг, 0,130 ммоль).
[0285]
Пример 79. Получение 2,2-дифтор-2-(5-{[3-(2-метоксифенил)пиридин-2-ил]окси}пиридин-2-ил)этанола (I-79)[0286]
[0287]
Стадия 1
Соединение (IV-8) (372 мг, 1,00 ммоль) растворяли в смеси метанола (2,5 мл) и THF (2,5 мл) и добавляли при охлаждении на льду боргидрид натрия (56,6 мг, 1,50 ммоль), и смесь перемешивали при комнатной температуре в течение 15 часов. Растворитель упаривали при пониженном давлении, и остаток очищали колоночной хроматографией на силикагеле (н-гексан:этилацетат), получая соединение (IV-10) (выход 273 мг, 83%) в виде бесцветного масла.
Стадия 2
Способом получения, аналогичным способу для соединения (I-1), соединение (I-79) (выход 24,4 мг, 74%) получали в виде бесцветного масла из соединения (IV-10) (142 мг, 0,448 ммоль) и 2-метоксифенилбороновой кислоты (V-1) (102 мг, 0,672 ммоль).
[0288]
Справочный пример 80. Получение 2,2-дифтор-2-(5-{[3-(2-метоксифенил)пиридин-2-ил]окси}пиридин-2-ил)этилтрифторметансульфоната (I-80) К раствору соединения (I-79) (244 мг, 0,681 ммоль) в DCM (3,4 мл) последовательно добавляли при охлаждении на льду пиридин (83,0 мкл, 1,02 ммоль) и ангидрид трифторметансульфокислоты (127 мкл, 0,749 ммоль), и смесь перемешивали при комнатной температуре в течение 5 часов. Добавляли к реакционной смеси воду, и смесь экстрагировали этилацетатом. Органический слой промывали последовательно водой и насыщенным соляным раствором, сушили над безводным сульфатом натрия и фильтровали. Растворитель упаривали при пониженном давлении, и остаток очищали колоночной хроматографией на силикагеле (н-гексан:этилацетат), получая соединение (I-80) (выход 220 мг, 66%) в виде бледно-желтого масла.
[0289]
Пример 81. Получение 2-{[6-(1,1-дифторэтил)пиридин-3-ил]окси}-3-(2-метоксифенил)пиридина (I-81) К раствору соединения (I-80) (50,0 мг, 0,102 ммоль) в THF (0,50 мл) добавляли при охлаждении на льду боргидрид натрия (38,6 мг, 1,02 ммоль), и смесь перемешивали при 70°C в течение 16 часов. Добавляли к реакционной смеси воду, и смесь экстрагировали хлороформом, и органический слой очищали колоночной хроматографией на силикагеле (н-гексан:этилацетат), получая соединение (I-81) (выход 6,2 мг, 18%) в виде бесцветного масла.
[0290]
Пример 82. Получение 2-{[6-(1,1-дифторэтил)пиридин-3-ил]окси}-3-(4-фтор-2-метоксифенил)пиридина (I-82)[0291]
[0292]
Стадия 1
Способом получения, аналогичным способу для соединения (I-80), соединение (IV-11) (выход 3,18 мг, 91%) получали в виде бледно-желтого масла из соединения (IV-10) (2,50 г, 7,55 ммоль) и ангидрида трифторметансульфокислоты (1,91 мл, 11,3 ммоль).
Стадия 2A
К раствору соединения (IV-11) (500 мг, 1,08 ммоль) в THF (3,6 мл) добавляли при охлаждении на льду 1 моль/л THF раствор литийалюмогидрида (5,40 мл, 5,40 ммоль), и смесь перемешивали при 60°C в течение 4,5 часов. К реакционной смеси добавляли насыщенный водный раствор сегнетовой соли, и смесь перемешивали в течение ночи. Добавляли к реакционной смеси воду, и смесь экстрагировали этилацетатом. Органический слой промывали последовательно водой и насыщенным соляным раствором, сушили над безводным сульфатом натрия и фильтровали. Растворитель упаривали при пониженном давлении, и остаток очищали колоночной хроматографией на силикагеле (н-гексан:этилацетат), получая соединение (IV-13) (выход 61,0 мг, 18%) в виде бесцветного масла.
Стадия 2B
Соединение (IV-11) (28,0 г, 60,4 ммоль) растворяли в ацетоне (121 мл), добавляли йодид натрия (45,3 г, 302 ммоль), и смесь перемешивали при комнатной температуре в течение 14 часов. Добавляли к реакционной смеси воду, и смесь экстрагировали этилацетатом. Органический слой промывали последовательно водой и насыщенным соляным раствором, сушили над безводным сульфатом натрия и фильтровали. Растворитель упаривали при пониженном давлении, получая соединение (IV-12) (выход 26,6 г, количественный) в виде белого твердого остатка.
Стадия 3
Соединение (IV-12) растворяли в THF (121 мл), добавляли гидрид трибутилолова (48,4 мл, 181 ммоль), и смесь перемешивали при 60°C в течение 2 часов. Добавляли к реакционной смеси воду, и смесь экстрагировали этилацетатом. Органический слой промывали последовательно водой и насыщенным соляным раствором, сушили над безводным сульфатом натрия и фильтровали. Растворитель упаривали при пониженном давлении, и остаток очищали колоночной хроматографией на силикагеле (н-гексан:этилацетат), получая соединение (IV-13) [выход 14,1 г, 74% (2 стадии)].
Стадия 4
Способом получения, аналогичным способу для соединения (I-1), соединение (I-82) (выход 28,8 мг, 88%) получали в виде бесцветного масла из соединения (IV-13) (30,0 мг, 0,0952 ммоль) и 4-фтор-2-метоксифенилбороновой кислоты (V-12) (24,3 мг, 0,143 ммоль).
[0293]
Пример 83. Получение 2-{[6-(1,1-дифторэтил)пиридин-3-ил]окси}-3-(5-фтор-2-метоксифенил)пиридина (I-83) Способом получения, аналогичным способу для соединения (I-1), соединение (I-83) (выход 32,5 мг, 95%) получали в виде белого твердого остатка из соединения (IV-13) (30,0 мг, 0,0952 ммоль) и 5-фтор-2-метоксифенилбороновой кислоты (V-11) (19,4 мг, 0,114 ммоль).
[0294]
Пример 84. Получение 2-{[6-(1,1-дифторэтил)пиридин-3-ил]окси}-3-(2,5-диметоксифенил)пиридина (I-84) Способом получения, аналогичным способу для соединения (I-1), соединение (I-84) (выход 39,5 мг, 84%) получали в виде бесцветного масла из соединения (IV-13) (40,0 мг, 0,127 ммоль) и 2,5-диметоксифенилбороновой кислоты (V-43) (30,0 мг, 0,165 ммоль).
[0295]
Пример 85. Получение 3-(2,4-дифтор-5-метоксифенил)-2-{[6-(1,1-дифторэтил)пиридин-3-ил]окси}пиридина (I-85) Способом получения, аналогичным способу для соединения (I-1), соединение (I-85) (выход 22,3 мг, 62%) получали в виде бесцветного масла из соединения (IV-13) (30,0 мг, 0,0952 ммоль) и 2,4-дифтор-5-метоксифенилбороновой кислоты (V-41) (21,5 мг, 0,114 ммоль).
[0296]
Пример 86. Получение 2-{[6-(1,1-дифторэтил)пиридин-3-ил]окси}-3-[2-(дифторметил)фенил]пиридина (I-86)[0297]
[0298]
Стадия 1
К раствору соединения (IV-13) (1,50 г, 4,76 ммоль) в THF (9,5 мл) добавляли 1,3 моль/л THF раствор iPrMgBr•LiCl (7,3 мл, 9,5 ммоль), и смесь перемешивали в течение 30 мин. Затем, при охлаждении на льду добавляли триизопропилборат (3,3 мл, 14 ммоль), и смесь перемешивали в течение 1 часа. Затем, добавляли 1 моль/л хлористоводородную кислоту (20 мл), и смесь перемешивали в течение 30 мин. Добавляли к реакционной смеси воду, и смесь экстрагировали этилацетатом. Органический слой промывали последовательно водой и насыщенным соляным раствором, сушили над безводным сульфатом натрия и фильтровали. Растворитель упаривали при пониженном давлении, получая соединение (VIa-2) (выход 1,20 г, 90%) в виде бледно-желтого твердого остатка.
Стадия 2
Способом получения, аналогичным способу для соединения (I-36), соединение (I-86) (выход 24,1 мг, 55%) получали в виде бесцветного масла из соединения (VIa-2) (33,8 мг, 0,121 ммоль) и 2-дифторметилбромбензола (VII-13) (30,0 мг, 0,145 ммоль).
[0299]
Пример 87. Получение 2-(2-{[6-(1,1-дифторэтил)пиридин-3-ил]окси}пиридин-3-ил)-6-фторбензонитрила (I-87) Соединение (VIa-2) (40,0 мг, 0,143 ммоль), 2-бром-6-фторбензонитрил (VII-14) (19,1 мг, 0,0955 ммоль), (A-taPhos)2PdCl2 (3,4 мг, 0,0048 ммоль) и карбонат цезия (62,1 мг, 0,191 ммоль) растворяли в н-бутаноле (0,50 мл), и смесь перемешивали при микроволновом облучении при 120°C в течение 30 мин. Добавляли к реакционной смеси воду, и смесь экстрагировали этилацетатом. Органический слой промывали последовательно водой и насыщенным соляным раствором, сушили над безводным сульфатом натрия и фильтровали. Растворитель упаривали при пониженном давлении, и остаток очищали колоночной хроматографией на силикагеле (н-гексан:этилацетат=100:0 → 50:50), получая соединение (I-87) (выход 19,4 мг, 57%) в виде бесцветного масла.
[0300]
Пример 88. Получение 2-{[6-(1,1-дифторэтил)пиридин-3-ил]окси}-2'-метокси-3,3'-бипиридина (I-88) Способом получения, аналогичным способу для соединения (I-1), соединение (I-88) (выход 16,4 мг, 50%) получали в виде бесцветного масла из соединения (IV-13) (30,0 мг, 0,0952 ммоль) и 2-метоксипиридин-3-бороновой кислоты (V-26) (21,8 мг, 0,143 ммоль).
[0301]
Пример 89. Получение 2-{[6-(1,1-дифторэтил)пиридин-3-ил]окси}-3'-метокси-3,4'-бипиридина (I-89) Способом получения, аналогичным способу для соединения (I-1), соединение (I-89) (выход 9,3 мг, 17%) получали в виде белого твердого остатка из соединения (IV-13) (50,5 мг, 0,159 ммоль) и пинаколового эфира 3-метоксипиридин-4-бороновой кислоты (V-27a) (29,1 мг, 0,124 ммоль).
[0302]
Пример 90. Получение 2-{[6-(1,1-дифторэтил)пиридин-3-ил]окси}-4'-метокси-3,3'-бипиридина (I-90) Способом получения, аналогичным способу для соединения (I-1), соединение (I-90) (выход 22,3 мг, 68%) получали в виде белого твердого остатка из соединения (IV-13) (30,0 мг, 0,0952 ммоль) и моногидрата 4-метоксипиридин-3-бороновой кислоты (V-28) (17,5 мг, 0,102 ммоль).
[0303]
Пример 91. Получение 2-{[6-(1,1-дифторэтил)пиридин-3-ил]окси}-4'-метил-3,3'-бипиридина (I-91) Способом получения, аналогичным способу для соединения (I-1), соединение (I-91) (выход 15,4 мг, 44%) получали в виде белого твердого остатка из соединения (IV-13) (30,0 мг, 0,0952 ммоль) и 4-метилпиридин-3-бороновой кислоты (V-25) (17,5 мг, 0,129 ммоль).
[0304]
Пример 92. Получение 2-{[6-(1,1-дифторэтил)пиридин-3-ил]окси}-3'-фтор-3,4'-бипиридина (I-92) Способом получения, аналогичным способу для соединения (I-1), соединение (I-92) (выход 15,2 мг, 48%) получали в виде бесцветного масла из соединения (IV-13) (30,0 мг, 0,0952 ммоль) и 3-фторпиридин-4-бороновой кислоты (V-44) (20,1 мг, 0,143 ммоль).
[0305]
Пример 93. Получение 2-{[6-(1,1-дифторэтил)пиридин-3-ил]окси}-5'-метил-3,3'-бипиридина (I-93) Способом получения, аналогичным способу для соединения (I-1), соединение (I-93) (выход 46,7 мг, 75%) получали в виде бесцветного масла из соединения (IV-13) (60,0 мг, 0,190 ммоль) и 5-метилпиридин-3-бороновой кислоты (V-45) (20,1 мг, 0,143 ммоль).
[0306]
Пример 94. Получение 2'-{[6-(1,1-дифторэтил)пиридин-3-ил]окси}-2,6-диметокси-3,3'-бипиридина (I-94) Способом получения, аналогичным способу для соединения (I-1), соединение (I-94) (выход 29,6 мг, 83%) получали в виде бесцветного масла из соединения (IV-13) (30,0 мг, 0,0952 ммоль) и 2,6-диметоксипиридин-3-бороновой кислоты (V-42) (20,8 мг, 0,114 ммоль).
[0307]
Пример 95. Получение 2'-{[6-(1,1-дифторэтил)пиридин-3-ил]окси}-6-метокси-2,3'-бипиридина (I-95) Способом получения, аналогичным способу для соединения (I-1), соединение (I-95) (выход 21,3 мг, 49%) получали в виде бесцветного масла из соединения (IV-13) (40,0 мг, 0,127 ммоль) и пинаколового эфира 6-метоксипиридин-2-бороновой кислоты (V-46a) (38,8 мг, 0,165 ммоль).
[0308]
Пример 96. Получение 2'-{[6-(1,1-дифторэтил)пиридин-3-ил]окси}-3,6-диметокси-2,3'-бипиридина (I-96) Способом получения, аналогичным способу для соединения (I-36), соединение (I-96) (выход 36,8 мг, 69%) получали в виде бесцветного масла из соединения (VIa-2) (40,0 мг, 0,143 ммоль) и 2-бром-3,6-диметоксипиридина (VII-15) (40,5 мг, 0,186 ммоль).
[0309]
Пример 97. Получение 4'-хлор-2-{[6-(1,1-дифторэтил)пиридин-3-ил]окси}-5'-фтор-3,3'-бипиридина (I-97)[0310]
[0311]
Стадия 1
К раствору LDA (2,0 моль/л THF раствор, 8,9 мл, 18 ммоль) в THF (45 мл), который охлаждали до -78°C, добавляли по каплям раствор соединения (VII-16) (2,60 г, 14,8 ммоль) в THF (12 мл), и смесь перемешивали при -78°C в течение 45 мин. К реакционной смеси добавляли по каплям раствор гексахлорэтана (3,85 г, 16,3 ммоль) в THF (12 мл), и смесь перемешивали при -78°C в течение 30 минут, нагревали до комнатной температуры и перемешивали в течение 1 часа. Реакцию прерывали добавлением насыщенного водного раствора хлорида аммония, и смесь экстрагировали этилацетатом. Органический слой промывали последовательно насыщенным водным раствором хлорида аммония и насыщенным соляным раствором, и сушили над безводным сульфатом натрия. Растворитель упаривали при пониженном давлении, и остаток очищали колоночной хроматографией на силикагеле (н-гексан:этилацетат=97:3 → 85:15), получая соединение (VII-17) (выход 2,18 г, 70%) в виде бледно-желтого твердого остатка.
Стадия 2
Соединение (VII-17) (100 мг, 0,475 ммоль), соединение (VIa-2) (146 мг, 0,523 ммоль), (A-taPhos)2PdCl2 (16,8 мг, 0,0240 ммоль) и карбонат цезия (310 мг, 0,950 ммоль) растворяли в смеси 1,4-диоксана (1,5 мл) и воды (0,30 мл), и смесь перемешивали при микроволновом облучении при 70°C в течение 10 мин. Добавляли к реакционной смеси воду, и смесь экстрагировали хлороформом. Растворитель упаривали при пониженном давлении, и остаток очищали колоночной хроматографией на силикагеле (NH силикагель, н-гексан:этилацетат=97:3 → 75:25), получая соединение (I-97) (выход 138 мг, 79%) в виде бесцветного масла.
[0312]
Пример 98. Получение 2-{[6-(1,1-дифторэтил)пиридин-3-ил]окси}-5'-фтор-4'-метокси-3,3'-бипиридина (I-98) Соединение (I-97) (40,0 мг, 0,109 ммоль) растворяли в метаноле (0,50 мл), добавляли метоксид натрия (8,9 мг, 0,16 ммоль), и смесь перемешивали при 70°C в течение 16 часов. Добавляли к реакционной смеси воду, и смесь экстрагировали хлороформом. Растворитель упаривали при пониженном давлении, и остаток очищали колоночной хроматографией на силикагеле (н-гексан:этилацетат=95:5 → 50:50), получая соединение (I-98) (выход 1,8 мг, 5%) в виде бесцветного масла.
[0313]
Пример 99. Получение 2-{[6-(1,1-дифторэтил)пиридин-3-ил]окси}-5'-фтор-4'-метил-3,3'-бипиридина (I-99) Способом получения, аналогичным способу для соединения (I-53), соединение (I-99) (выход 9,3 мг, 13%) получали в виде бесцветного масла из соединения (I-97) (76,5 мг, 0,209 ммоль) и метилбороновой кислоты (62,6 мг, 1,05 ммоль).
[0314]
Пример 100. Получение 5'-хлор-2-{[6-(1,1-дифторэтил)пиридин-3-ил]окси}-4'-метокси-3,3'-бипиридина (I-100)[0315]
[0316]
Стадия 1
К THF (9,0 мл) последовательно добавляли по каплям LDA (2,0 моль/л THF раствор, 7,2 мл, 14 ммоль) и соединение (VII-18) (6,0 моль/л THF раствор, 2,0 мл, 12 ммоль) при -78°C, и смесь перемешивали в течение 45 мин. Добавляли по каплям при -78°C гексахлорэтан (6,6 моль/л THF раствор, 2,0 мл, 13,2 ммоль), и смесь перемешивали в течение 30 мин, нагревали до комнатной температуры и перемешивали в течение 1 часа. Добавляли насыщенный водный раствор хлорида аммония, и смесь экстрагировали этилацетатом. Органический слой промывали последовательно насыщенным водным раствором хлорида аммония и насыщенным соляным раствором, и сушили над безводным сульфатом натрия. Растворитель упаривали при пониженном давлении, и остаток очищали колоночной хроматографией на силикагеле (н-гексан:этилацетат), получая соединение (VII-19) (выход 2,30 г, 85%) в виде желтого твердого остатка.
Стадия 2
Соединение (VII-19) (1,00 г, 4,41 ммоль) растворяли в THF (10 мл), добавляли метоксид натрия (28% метанольный раствор, 1,30 мл, 31,6 ммоль), и смесь перемешивали при 70°C в течение 1 часа. Добавляли воду, смесь экстрагировали этилацетатом, и органический слой сушили над безводным сульфатом натрия. Растворитель упаривали при пониженном давлении, получая соединение (VII-20) (выход 950 мг, 97%) в виде бледно-коричневого твердого остатка.
Стадия 3
Способом получения, аналогичным способу для соединения (I-36), соединение (I-100) (выход 2,45 г, 53%) получали в виде белого твердого остатка из соединения (VII-20) (2,70 г, 12,1 ммоль) и соединения (VIa-2) (4,08 г, 14,6 ммоль).
[0317]
Пример 101. Получение 4-(2-{[6-(1,1-дифторэтил)пиридин-3-ил]окси}пиридин-3-ил)-3,5-диметилизотиазола (I-101)[0318]
[0319]
Стадия 1
Соединение (M-6) растворяли в концентрированной серной кислоте (5,0 мл) и воде (50 мл), добавляли нитрит натрия (4,08 г, 59,1 ммоль), растворенный в воде (20 мл), и смесь перемешивали при 0°C в течение 30 мин. Кроме того, добавляли йодид калия (26,2 г, 158 ммоль), растворенный в воде (30 мл), и смесь перемешивали при комнатной температуре в течение 3 часов. К реакционной смеси добавляли карбонат натрия, смесь экстрагировали этилацетатом, и органический слой сушили над безводным сульфатом натрия. Растворитель упаривали при пониженном давлении, и остаток очищали колоночной хроматографией на силикагеле (н-гексан:этилацетат), получая соединение (M-7) (выход 3,50 г, 40%).
Стадия 2
Соединение (M-7) (400 мг, 1,78 ммоль), метилбороновую кислоту (1,06 г, 17,8 ммоль), (A-taPhos)2PdCl2 (62,9 мг, 0,0888 ммоль) и карбонат цезия (2,90 г, 8,89 ммоль) растворяли в 1,4-диоксане (1,0 мл) и воде (0,1 мл), и смесь перемешивали при микроволновом облучении при 120°C в течение 30 мин. Реакционную смесь охлаждали, добавляли воду, и смесь экстрагировали этилацетатом. Органический слой сушили над безводным сульфатом натрия и фильтровали. Растворитель упаривали при пониженном давлении, и остаток очищали колоночной хроматографией на силикагеле (н-гексан:этилацетат), получая соединение (M-8).
Стадия 3
Соединение (M-8) (201 мг, 1,78 ммоль) растворяли в концентрированной азотной кислоте (2,0 мл), добавляли йод (673 мг, 2,65 ммоль), и смесь перемешивали при 80°C в течение 3 часов. Реакционную смесь нейтрализовали 4 моль/л водным раствором гидроксида натрия, и смесь экстрагировали этилацетатом. Органический слой сушили над сульфатом натрия. Растворитель упаривали при пониженном давлении, и остаток очищали колоночной хроматографией на силикагеле (н-гексан), получая соединение (VII-21) [выход 85,0 мг, 20% (2 стадии)].
Стадия 4
Способом получения, аналогичным способу для соединения (I-36), соединение (I-101) (выход 32,0 мг, 52%) получали в виде белого твердого остатка из соединения (VII-21) (51,2 мг, 0,214 ммоль) и соединения (VIa-2) (50,0 мг, 0,179 ммоль).
[0320]
Пример 102. Получение 4-(2-{[6-(1,1-дифторэтил)пиридин-3-ил]окси}пиридин-3-ил)-3,5-диметилизоксазола (I-102) Способом получения, аналогичным способу для соединения (I-1), соединение (I-102) (выход 12,7 мг, 40%) получали в виде белого твердого остатка из соединения (IV-13) (30,0 мг, 0,0952 ммоль) и 3,5-диметилизоксазол-4-бороновой кислоты (V-47) (16,1 мг, 0,114 ммоль).
[0321]
Пример 103. Получение 5-(2-{[6-(1,1-дифторэтил)пиридин-3-ил]окси}пиридин-3-ил)-3-метилизоксазола (I-103)[0322]
[0323]
Стадия 1
К раствору соединения (IV-13) (230 мг, 0,730 ммоль) в TEA (4,0 мл) последовательно добавляли TBS ацетилен (307 мг, 2,19 ммоль), йодид меди (13,9 мг, 0,0730 ммоль) и PdCl2(dppf) (26,7 мг, 0,0360 ммоль), и смесь перемешивали в атмосфере аргона при 60°C в течение 2 часов. Реакционную смесь фильтровали и промывали этилацетатом. Растворитель упаривали при пониженном давлении, и остаток очищали колоночной хроматографией на силикагеле (н-гексан:этилацетат=97:3 → 75:25), получая соединение (M-9) (выход 225 мг, 82%) в виде коричневого масла.
1H-ЯМР (400 МГц, CDCl3) δ: 0,80 (9H, с),1,85 (3H, т, J=18,5 Гц), 6,84 (1H, дд, J=5,0, 8,2 Гц), 7,45 (1H, дд, J=2,7, 8,7 Гц), 7,51 (1H, д, J=0,6, 8,7 Гц), 7,65 (1H, дд, J=2,0, 7,5 Гц), 7,86 (1H, дд, J=2,0, 5,0 Гц), 8,33-8,36 (1H, м).
ESI-MS m/z: 333 [M+H]+.
Стадия 2
Соединение (M-9) (209 мг, 0,558 ммоль) растворяли в THF (3,0 мл), добавляли TBAF (0,67 мл, 0,670 ммоль), и смесь перемешивали при комнатной температуре в течение 15 часов. Растворитель упаривали при пониженном давлении, и остаток фильтровали через силикагель и промывали этилацетатом. Растворитель упаривали при пониженном давлении, получая соединение (M-10) (выход 139 мг, 96%) в виде коричневого твердого остатка.
1H-ЯМР (400 МГц, CDCl3) δ: 2,05 (3H, т, J=18,4 Гц), 3,42 (1H, с),7,06 (1H, дд, J=5,0, 7,8 Гц), 7,64 (1H, дд, J=2,7, 8,8 Гц), 7,72 (1H, д, J=0,6, 8,8 Гц), 7,89 (1H, дд, J=1,9, 7,4 Гц), 8,10 (1H, дд, J=1,9, 5,0 Гц), 8,52-8,56 (1H, м).
ESI-MS m/z: 261 [M+H]+.
Стадия 3
Альдоксим (59 мкл, 0,96 ммоль) растворяли в DMF (1,0 мл), добавляли NCS (154 мг, 1,15 ммоль), и смесь перемешивали при комнатной температуре в течение 21 часа. Добавляли воду, и смесь экстрагировали этилацетатом. Органический слой промывали последовательно водой и насыщенным соляным раствором и сушили над безводным сульфатом натрия. После фильтрования, растворитель упаривали при пониженном давлении, получая хлорид альдоксима, и добавляли этанол (1,0 мл), получая этанольный раствор.
Соединение (M-10) (50,0 мг, 0,192 ммоль) растворяли в этаноле (0,5 мл), последовательно добавляли TEA (0,13 мл, 0,961 ммоль) и этанольный раствор хлорида альдоксима (1,0 мл, 0,96 ммоль), и смесь перемешивали при комнатной температуре в течение 2 дней. Добавляли воду, и смесь экстрагировали этилацетатом. Органический слой промывали водой и сушили над безводным сульфатом натрия. Растворитель упаривали при пониженном давлении, и остаток очищали колоночной хроматографией на силикагеле (н-гексан:этилацетат=97:3 → 75:25), получая соединение (I-103) (выход 46,9 мг, 77%) в виде белого твердого остатка.
[0324]
Пример 104. Получение 4-хлор-5-(2-{[6-(1,1-дифторэтил)пиридин-3-ил]окси}пиридин-3-ил)-3-метилизоксазола (I-104) Соединение (I-103) (20,0 мг, 0,0630 ммоль) растворяли в DMF (0,50 мл), добавляли NCS (10,1 мг, 0,0756 ммоль), и смесь перемешивали при 70°C в течение 24 часов. Добавляли воду и экстрагировали хлороформом. Органический слой промывали водой и сушили над безводным сульфатом натрия. Растворитель упаривали при пониженном давлении, и остаток очищали колоночной хроматографией на силикагеле (н-гексан:этилацетат=97:3 → 80:20), получая соединение (I-104) (выход 10,8 мг, 49%) в виде бесцветного масла.
[0325]
Пример 105. Получение 2-{[6-(1,1-дифторэтил)пиридин-3-ил]окси}-2'-(пирролидин-1-ил)-3,3'-бипиридина (I-105)[0326]
[0327]
Стадия 1
К раствору соединения (III-1) (500 мг, 2,60 ммоль) в DMF (15 мл) добавляли пирролидин (2,0 мл, 24,4 ммоль) и добавляли гидрид натрия (120 мг, 5,20 ммоль), и смесь перемешивали при 120°C в течение 4 часов. Реакционную смесь охлаждали, добавляли воду, и смесь экстрагировали хлороформом. Органический слой промывали последовательно водой и насыщенным соляным раствором, сушили над безводным сульфатом натрия и фильтровали. Растворитель упаривали при пониженном давлении, и остаток очищали колоночной хроматографией на силикагеле (н-гексан:этилацетат=90:10 → 75:25), получая соединение (VII-22) (выход 430 мг, 73%) в виде бесцветного масла.
Стадия 2
Способом получения, аналогичным способу для соединения (I-36), соединение (I-105) (выход 22,4 мг, 13%) получали в виде бесцветного масла из соединения (VII-22) (100 мг, 0,440 ммоль) и соединения (VIa-2) (185 мг, 0,661 ммоль).
[0328]
Пример 106. Получение 2-{[6-(1,1-дифторэтил)пиридин-3-ил]окси}-2'-(1H-имидазол-1-ил)-3,3'-бипиридина (I-106)Стадия 1
Способом получения, аналогичным способу для соединения (VII-22), 3-бром-2-(1H-имидазол-1-ил)пиридин (VII-23) (выход 466 мг, 80%) получали в виде бесцветного масла из соединения (III-1) (500 мг, 2,60 ммоль) и имидазола (2,00 г, 29,4 ммоль).
Стадия 2
Соединение (VIa-2) (60,0 мг, 0,214 ммоль), соединение (VII-23) (32,0 мг, 0,143 ммоль), Pd(PPh3)4 (16,5 мг, 0,0143 ммоль) и фосфат трикалия (60,6 мг, 0,286 ммоль) растворяли в н-бутаноле (0,50 мл), и смесь перемешивали при микроволновом облучении при 120°C в течение 30 мин. Добавляли к реакционной смеси воду, и смесь экстрагировали хлороформом. Органический слой промывали последовательно водой и насыщенным соляным раствором, сушили над безводным сульфатом натрия и фильтровали. Растворитель упаривали при пониженном давлении, и остаток очищали колоночной хроматографией на силикагеле (н-гексан:этилацетат=25:75 → 0:100), получая соединение (I-106) (выход 4,8 мг, 9%) в виде бесцветного масла.
[0329]
Пример 107. Получение 2-{[6-(1,1-дифторэтил)пиридин-3-ил]окси}-2'-(1H-пиразол-1-ил)-3,3'-бипиридина (I-107)Стадия 1
Способом получения, аналогичным способу для соединения (VII-22), 3-бром-2-(1H-пиразол-1-ил)пиридин (VII-24) (выход 507 мг, 87%) получали в виде бесцветного масла из соединения (III-1) (500 мг, 2,60 ммоль) и пиразола (2,00 г, 29,4 ммоль).
Стадия 2
Способом получения, аналогичным способу для соединения (I-106), соединение (I-107) (выход 4,3 мг, 8%) получали в виде бесцветного масла из соединения (VIa-2) (60,0 мг, 0,214 ммоль) и соединения (VII-24) (19,1 мг, 0,0955 ммоль).
[0330]
Пример 108. Получение 4-(2-{[6-(1,1-дифторэтил)пиридин-3-ил]окси}пиридин-3-ил)хинолина (I-108) Способом получения, аналогичным способу для соединения (I-36), соединение (I-108) (выход 12,8 мг, 49%) получали в виде бесцветного масла из 4-бромхинолина (VII-25) (22,3 мг, 0,107 ммоль) и соединения (VIa-2) (20,0 мг, 0,0714 ммоль).
[0331]
Пример 109. Получение 4-(2-{[6-(1,1-дифторэтил)пиридин-3-ил]окси}пиридин-3-ил)изохинолина (I-109) Способом получения, аналогичным способу для соединения (I-36), соединение (I-109) (выход 19,5 мг, 56%) получали в виде желтого масла из 4-бромизохинолина (VII-26) (24,7 мг, 0,143 ммоль) и соединения (VIa-2) (30,0 мг, 0,0952 ммоль).
[0332]
Пример 110. Получение 5-(2-{[6-(1,1-дифторэтил)пиридин-3-ил]окси}пиридин-3-ил)хиноксалина (I-110) Способом получения, аналогичным способу для соединения (I-36), соединение (I-110) (выход 21,4 мг, 41%) получали в виде белого твердого остатка из 5-бромхиноксалина (VII-2) (90,0 мг, 0,429 ммоль) и соединения (VIa-2) (40,0 мг, 0,143 ммоль).
[0333]
Пример 111. Получение 8-(2-{[6-(1,1-дифторэтил)пиридин-3-ил]окси}пиридин-3-ил)пиридо[3,4-b]пиразина (I-111)[0334]
[0335]
Стадия 1
3-бромпиридин-4,5-диамин (M-11) (1,0 г, 5,32 ммоль) растворяли в этаноле (21 мл), добавляли уксусную кислоту (300 мкл, 5,3 ммоль) и глиоксаль (4,9 мл, 43 ммоль), и смесь перемешивали при 100°C в течение 14 часов. Реакционную смесь концентрировали, и остаток очищали колоночной хроматографией на силикагеле (н-гексан:этилацетат), получая соединение (VII-27) (выход 721 мг, 65%) в виде белого твердого остатка.
Стадия 2
Способом получения, аналогичным способу для соединения (I-36), соединение (I-111) (выход 17,8 мг, 46%) получали в виде бледно-желтого твердого остатка из 8-бромпиридо[3,4-b]пиразина (VII-27) (27,1 мг, 0,129 ммоль) и соединения (VIa-2) (30,0 мг, 0,107 ммоль).
[0336]
Пример 112. Получение 1-(2-{[6-(1,1-дифторэтил)пиридин-3-ил]окси}пиридин-3-ил)изохинолина (I-112) Способом получения, аналогичным способу для соединения (I-36), соединение (I-112) (выход 16,7 мг, 64%) получали в виде белого твердого остатка из 1-бромизохинолина (VII-28) (22,3 мг, 0,107 ммоль) и соединения (VIa-2) (20,0 мг, 0,0714 ммоль).
[0337]
Пример 113. Получение 4-(2-{[6-(1,1-дифторэтил)пиридин-3-ил]окси}пиридин-3-ил)бензо[d]оксазола (I-113) Способом получения, аналогичным способу для соединения (I-36), соединение (I-113) (выход 5,6 мг, 18%) получали в виде белого твердого остатка из 4-бромбензо[d]оксазола (VII-29) (26,5 мг, 0,134 ммоль) и соединения (VIa-2) (25,0 мг, 0,0890 ммоль).
[0338]
Пример 114. Получение 7-(2-{[6-(1,1-дифторэтил)пиридин-3-ил]окси}пиридин-3-ил)бензо[d]оксазола (I-114) Способом получения, аналогичным способу для соединения (I-36), соединение (I-114) (выход 3,2 мг, 10%) получали в виде желтого масла из 7-бромбензо[d]оксазола (VII-30) (26,5 мг, 0,134 ммоль) и соединения (VIa-2) (25,0 мг, 0,0890 ммоль).
[0339]
Пример 115. Получение 7-(2-{[6-(1,1-дифторэтил)пиридин-3-ил]окси}пиридин-3-ил)пиразоло[1,5-a]пиридина (I-115) Способом получения, аналогичным способу для соединения (I-36), соединение (I-115) (выход 800 мг, 32%) получали в виде белого твердого остатка из 7-бромпиразоло[1,5-a]пиридина (VII-8) (1,26 г, 6,41 ммоль) и соединения (VIa-2) (2,00 г, 7,12 ммоль).
[0340]
Пример 116. Получение 3-хлор-7-(2-{[6-(1,1-дифторэтил)пиридин-3-ил]окси}пиридин-3-ил)пиразоло[1,5-a]пиридина (I-116) Соединение (I-115) (30,0 мг, 0,0851 ммоль) растворяли в DMF (280 мкл), добавляли NCS (12,5 мг, 0,0937 ммоль), и смесь перемешивали при комнатной температуре в течение 3 часов. Добавляли воду, и смесь экстрагировали хлороформом, и органический слой сушили над безводным сульфатом натрия. Растворитель упаривали при пониженном давлении, и остаток очищали колоночной хроматографией на силикагеле (н-гексан:этилацетат), получая соединение (I-116) (выход 23,7 мг, 72%) в виде белого твердого остатка.
[0341]
Пример 117. Получение 5-{[3-(2-метоксифенил)пиридин-2-ил]окси}-3-метил-2-(трифторметил)пиридина (I-117)[0342]
[0343]
Стадия 1
К раствору 2,5-дибром-3-метилпиридина (M-12) (5,02 г, 20,0 ммоль) в ацетонитриле (50 мл) добавляли йодид натрия (12,0 г, 80,0 ммоль) и ацетилхлорид (2,85 мл, 40,0 ммоль), и смесь перемешивали при кипячении с обратным холодильником в течение 24 часов. Реакционную смесь охлаждали, добавляли воду и нейтрализовали (pH 8) насыщенным водным раствором бикарбоната натрия. Смесь экстрагировали этилацетатом, и органический слой сушили над безводным сульфатом натрия и фильтровали. Растворитель упаривали при пониженном давлении, и остаток очищали колоночной хроматографией на силикагеле (н-гексан:этилацетат=98:2 → 70:30), получая соединение (M-13) (выход 5,76 г, 97%) в виде красного масла.
Стадия 2
Смесь йодида меди (5,71 г, 30,0 ммоль) и фторида калия (3,49 г, 60,0 ммоль) перемешивали при пониженном давлении при 180°C до того, как она становилась зеленой. Смесь охлаждали до комнатной температуры, добавляли раствор соединения (M-13) (5,96 г, 20,0 ммоль) и триметилсилилтрифторметан (3,85 мл, 26,0 ммоль) в NMP (30 мл), и смесь перемешивали при 40°C в течение 18 часов. Реакционную смесь добавляли к водному раствору аммиака, и смесь экстрагировали диэтиловым эфиром. Органический слой сушили над безводным сульфатом натрия и фильтровали. Растворитель упаривали при пониженном давлении, и остаток очищали перегонкой, получая соединение (M-14) (выход 3,95 г, 82%) в виде масла.
Стадия 3
К раствору соединения (M-14) (3,95 г, 16,5 ммоль) в бензиловом спирте (10,2 мл, 99,0 ммоль) добавляли карбонат цезия (8,04 г, 24,7 ммоль), 1,10-фенантролин (297 мг, 1,65 ммоль) и йодид меди (157 мг, 0,823 ммоль), и смесь перемешивали при 120°C в течение 19 часов. Реакционную смесь охлаждали, разбавляли этилацетатом и фильтровали через целит. Растворитель упаривали при пониженном давлении, и остаток очищали колоночной хроматографией на силикагеле (н-гексан:этилацетат=99:1 → 70:30), получая соединение (M-15) (выход 3,84 г, 87%) в виде бледно-желтого масла.
Стадия 4
К раствору соединения (M-15) (3,84 г, 14,4 ммоль) в этилацетате (20 мл) добавляли гидроксид палладия на угле (115 мг), и смесь перемешивали в атмосфере водорода при 50°C в течение 5 часов. Реакционную смесь охлаждали и фильтровали через целит. Растворитель упаривали при пониженном давлении, и остаток очищали колоночной хроматографией на силикагеле (н-гексан:этилацетат=95:5 → 25:75), получая соединение (II-4) (выход 2,32 г, 91%) в виде белого твердого остатка.
Стадия 5
К раствору соединения (II-4) (2,30 г, 13,0 ммоль) и соединения (III-1) (2,38 г, 12,4 ммоль) в DMSO (8,0 мл) добавляли карбонат цезия (6,04 г, 18,6 ммоль), и смесь перемешивали при 130°C в течение 17 часов. Реакционную смесь охлаждали, добавляли воду, и смесь экстрагировали этилацетатом. Органический слой промывали последовательно водой и насыщенным соляным раствором, сушили над безводным сульфатом натрия и фильтровали. Растворитель упаривали при пониженном давлении, и остаток очищали колоночной хроматографией на силикагеле (н-гексан:этилацетат=99:1 → 80:20), получая соединение (IV-14) (выход 3,58 г, 87%) в виде бесцветного масла.
Стадия 6
Способом получения, аналогичным способу для соединения (I-1), соединение (I-117) (выход 28,2 мг, 87%) получали в виде бесцветного масла из соединения (IV-14) (30,0 мг, 0,0901 ммоль) и 2-метоксифенилбороновой кислоты (V-1) (17,8 мг, 0,117 ммоль).
[0344]
Пример 118. Получение 5-{[3-(4-фтор-2-метоксифенил)пиридин-2-ил]окси}-3-метил-2-(трифторметил)пиридина (I-118) Способом получения, аналогичным способу для соединения (I-1), соединение (I-118) (выход 28,6 мг, 84%) получали в виде бесцветного масла из соединения (IV-14) (30,0 мг, 0,0901 ммоль) и 4-фтор-2-метоксифенилбороновой кислоты (V-12) (19,9 мг, 0,117 ммоль).
[0345]
Пример 119. Получение 5-фтор-2-метокси-2'-{[5-метил-6-(трифторметил)пиридин-3-ил]окси}-3,3'-бипиридина (I-119) Способом получения, аналогичным способу для соединения (I-1), соединение (I-119) (выход 11,4 мг, 33%) получали в виде бесцветного масла из соединения (IV-14) (30,0 мг, 0,0901 ммоль) и 5-фтор-2-метоксипиридин-3-бороновой кислоты (V-32) (20,0 мг, 0,117 ммоль).
[0346]
Пример 120. Получение 2-(дифторметил)-5-{[3-(2-метоксифенил)пиридин-2-ил]окси}-3-метилпиридина (I-120)[0347]
[0348]
Стадия 1
К раствору соединения (III-1) (4,80 г, 24,9 ммоль) и соединения (II-5) (4,92 г, 26,2 ммоль) в DMSO (24,9 мл) добавляли карбонат цезия (12,2 г, 37,4 ммоль), и смесь перемешивали при 120°C в течение 16 часов. Реакционную смесь охлаждали до комнатной температуры, добавляли воду (100 мл), и смесь перемешивали при охлаждении на льду в течение 1 часа. Выпавший осадок собирали фильтрованием, промывали водой (25 мл × 2) и сушили при пониженном давлении, получая соединение (IV-15) (выход 8,40 г, 98%) в виде бледно-коричневого твердого остатка.
Стадия 2
К раствору соединения (IV-15) (3,85 г, 11,2 ммоль) и этил 2-бром-2,2-дифторацетата (1,58 мл, 12,3 ммоль) в DMSO (12 мл) добавляли медь (порошок, <75 мкм, 99,9%, 1,64 г, 25,7 ммоль), и смесь перемешивали при 80°C в течение 2 часов. Реакционную смесь охлаждали на льду, разбавляли этилацетатом (60 мл), добавляли насыщенный водный раствор дигидрофосфата калия, и смесь перемешивали в течение 30 мин. Реакционную смесь фильтровали через целит, и органический слой отделяли. Органический слой промывали последовательно водой и насыщенным соляным раствором, сушили над безводным сульфатом натрия и фильтровали. Растворитель упаривали при пониженном давлении, и остаток очищали колоночной хроматографией на силикагеле (н-гексан:этилацетат=95:5 → 70:30), получая соединение (IV-16) (выход 2,53 г, 58%) в виде бесцветного масла.
Стадия 3
К раствору соединения (IV-16) (2,00 г, 5,17 ммоль) в NMP (10,0 мл) добавляли гексагидрат хлорида магния (1,05 г, 5,17 ммоль), и смесь перемешивали при микроволновом облучении при 180°C в течение 15 мин. Реакционную смесь охлаждали, добавляли воду, и смесь экстрагировали этилацетатом. Органический слой промывали последовательно водой и насыщенным соляным раствором, сушили над безводным сульфатом натрия и фильтровали. Растворитель упаривали при пониженном давлении, и остаток очищали колоночной хроматографией на силикагеле (н-гексан:этилацетат=100:0 → 80:20), получая соединение (IV-17) (выход 1,03 г, 63%) в виде белого твердого остатка.
Стадия 4
Способом получения, аналогичным способу для соединения (I-1), соединение (I-120) (выход 29,8 мг, 91%) получали в виде белого твердого остатка из соединения (IV-17) (30,0 мг, 0,0952 ммоль) и 2-метоксифенилбороновой кислоты (V-1) (18,8 мг, 0,124 ммоль).
[0349]
Пример 121. Получение 2-(дифторметил)-5-{[3-(4-фтор-2-метоксифенил)пиридин-2-ил]окси}-3-метилпиридина (I-121) Способом получения, аналогичным способу для соединения (I-1), соединение (I-121) (выход 673 мг, 86%) получали в виде белого твердого остатка из соединения (IV-17) (683 мг, 2,17 ммоль) и 4-фтор-2-метоксифенилбороновой кислоты (V-12) (479 мг, 2,82 ммоль).
[0350]
Пример 122. Получение 2-(дифторметил)-5-{[3-(5-фтор-2-метоксифенил)пиридин-2-ил]окси}-3-метилпиридина (I-122) Способом получения, аналогичным способу для соединения (I-1), соединение (I-122) (выход 30,0 мг, 87%) получали в виде бесцветного масла из соединения (IV-17) (30,0 мг, 0,0952 ммоль) и 5-фтор-2-метоксифенилбороновой кислоты (V-11) (21,0 мг, 0,124 ммоль).
[0351]
Пример 123. Получение 2'-{[6-(дифторметил)-5-метилпиридин-3-ил]окси}-2,6-диметокси-3,3'-бипиридина (I-123) Способом получения, аналогичным способу для соединения (I-1), соединение (I-123) (выход 32,3 мг, 91%) получали в виде бесцветного масла из соединения (IV-17) (30,0 мг, 0,0952 ммоль) и 2,6-диметоксипиридин-3-бороновой кислоты (V-42) (22,7 мг, 0,124 ммоль).
[0352]
Пример 124. Получение 2-[(6-этилпиридин-3-ил)окси]-3-(2-метоксифенил)пиридина (I-124)[0353]
[0354]
Стадия 1
Соединение (II-3) (5,00 г, 28,7 ммоль) растворяли в DMF (30 мл), добавляли при охлаждении на льду карбонат калия (7,94 г, 57,5 ммоль), бензилбромид (4,1 мл, 35 ммоль) и TBAI (531 мг, 1,44 ммоль), и смесь нагревали до комнатной температуры и перемешивали в течение 1 часа. Добавляли к реакционной смеси воду, и смесь экстрагировали этилацетатом. Органический слой промывали последовательно водой и насыщенным соляным раствором, сушили над безводным сульфатом натрия и фильтровали. Растворитель упаривали при пониженном давлении. Остаток очищали колоночной хроматографией на силикагеле (н-гексан:этилацетат=97:3 → 80:20), получая соединение (M-16) (выход 6,97 г, 92%) в виде белого твердого остатка.
Стадия 2
Соединение (M-16) (1,00 г, 3,79 ммоль) растворяли в THF (8,0 мл), последовательно добавляли PdCl2(dppf)•DCM (77,0 мг, 0,0950 ммоль) и диэтилцинк (1,0 моль/л THF раствор, 5,7 мл, 5,7 ммоль), и смесь перемешивали при 70°C в течение 4 часов. К реакционной смеси добавляли насыщенный водный раствор бикарбоната натрия, и смесь экстрагировали этилацетатом. Органический слой промывали последовательно насыщенным водным раствором бикарбоната натрия и насыщенным соляным раствором, сушили над безводным сульфатом натрия и фильтровали. Растворитель упаривали при пониженном давлении, и остаток очищали колоночной хроматографией на силикагеле (NH силикагель, н-гексан:этилацетат=97:3 → 70:30), получая соединение (M-17) (выход 338 мг, 42%) в виде бесцветного масла.
Стадия 3
Соединение (M-17) (338 мг, 1,59 ммоль) растворяли в смеси THF (3,0 мл)/метанол (3,0 мл), добавляли 20% гидроксид палладия на угле (33,8 мг), и смесь перемешивали в атмосфере водорода при комнатной температуре в течение 1 часа. Смесь фильтровали через целит, и растворитель упаривали при пониженном давлении, получая соединение (II-6) (выход 176 мг, 90%) в виде белого твердого остатка.
Стадия 4
Способом получения, аналогичным способу для соединения (IV-1), соединение (IV-18) (выход 344 мг, 86%) получали в виде бесцветного масла из соединения (II-6) (176 мг, 3,24 ммоль) и соединения (III-1) (330 мг, 1,72 ммоль).
Стадия 5
Способом получения, аналогичным способу для соединения (I-1), соединение (I-124) (выход 40,4 мг, 92%) получали в виде бесцветного масла из соединения (IV-18) (40,0 мг, 0,164 ммоль) и 2-метоксифенилбороновой кислоты (V-1) (32,7 мг, 0,215 ммоль).
[0355]
Пример 125. Получение 3-(2,3-дигидробензофуран-7-ил)-2-[(6-этилпиридин-3-ил)окси]пиридина (I-125) Способом получения, аналогичным способу для соединения (I-1), соединение (I-125) (выход 34,0 мг, 75%) получали в виде бесцветного масла из соединения (IV-18) (40,0 мг, 0,164 ммоль) и 2,3-дигидробензофуран-7-бороновой кислоты (V-35) (35,2 мг, 0,215 ммоль).
[0356]
Пример 126. Получение 2-[(6-этилпиридин-3-ил)окси]-2'-метокси-3,3'-бипиридина (I-126) Способом получения, аналогичным способу для соединения (I-1), соединение (I-126) (выход 39,9 мг, 91%) получали в виде бесцветного масла из соединения (IV-18) (40,0 мг, 0,164 ммоль) и 2-метоксипиридин-3-бороновой кислоты (V-26) (32,9 мг, 0,215 ммоль).
[0357]
Пример 127. Получение 2-[(6-этилпиридин-3-ил)окси]-4'-метокси-3,3'-бипиридина (I-127) Соединение (IV-18) (40,0 мг, 0,164 ммоль), моногидрат 4-метоксипиридин-3-бороновой кислоты (V-28) (36,7 мг, 0,215 ммоль), (A-taPhos)2PdCl2 (5,9 мг, 7,2 мкмоль) и TEA (73 мкл, 0,717 ммоль) растворяли в н-бутаноле (0,60 мл), и смесь перемешивали при микроволновом облучении при 120°C в течение 30 мин. Добавляли к реакционной смеси воду, и смесь экстрагировали хлороформом. Растворитель упаривали при пониженном давлении из органического слоя, и остаток очищали колоночной хроматографией на силикагеле (NH силикагель, н-гексан:этилацетат=97:3 → 70:30), получая соединение (I-127) (выход 24,5 мг, 56%) в виде бесцветного масла.
[0358]
Пример 128. Получение 2-[(6-циклопропилпиридин-3-ил)окси]-3-(2-метоксифенил)пиридина (I-128)[0359]
[0360]
Стадия 1
Соединение (M-16) (2,50 г, 9,47 ммоль) растворяли в THF (12 мл), последовательно добавляли c-PrZnBr (0,5 моль/л THF раствор, 28 мл, 14 ммоль) и Pd(PPh)4 (219 мг, 0,189 ммоль), и смесь перемешивали при 70°C в течение 2 часов. К реакционной смеси добавляли насыщенный водный раствор бикарбоната натрия, и смесь экстрагировали этилацетатом. Органический слой промывали последовательно насыщенным водным раствором бикарбоната натрия и насыщенным соляным раствором, сушили над безводным сульфатом натрия и фильтровали. Растворитель упаривали при пониженном давлении, и остаток очищали колоночной хроматографией на силикагеле (н-гексан:этилацетат=97:3 → 85:15), получая соединение (M-18) (выход 1,70 г, 80%) в виде бесцветного масла.
Стадия 2
Способом получения, аналогичным способу для соединения (II-6), соединение (II-7) (выход 686 мг, 67%) получали в виде белого твердого остатка из соединения (M-18) (1,70 г, 7,55 ммоль).
Стадия 3
Способом получения, аналогичным способу для соединения (IV-1), соединение (IV-19) (выход 580 мг, 90%) получали в виде белого твердого остатка из соединения (II-7) (300 мг, 2,22 ммоль) и соединения (III-1) (513 мг, 2,66 ммоль).
Стадия 4
Способом получения, аналогичным способу для соединения (I-1), соединение (I-128) (выход 41,5 мг, 95%) получали в виде белого твердого остатка из соединения (IV-19) (40,0 мг, 0,137 ммоль) и 2-метоксифенилбороновой кислоты (V-1) (25,1 мг, 0,165 ммоль).
[0361]
Пример 129. Получение 2-[(6-циклопропилпиридин-3-ил)окси]-3-(4-фтор-2-метоксифенил)пиридина (I-129) Способом получения, аналогичным способу для соединения (I-1), соединение (I-129) (выход 16,3 мг, 35%) получали в виде бесцветного масла из соединения (IV-19) (40,0 мг, 0,137 ммоль) и 4-фтор-2-метоксифенилбороновой кислоты (V-12) (28,0 мг, 0,165 ммоль).
[0362]
Пример 130. Получение 2-[(6-циклопропилпиридин-3-ил)окси]-2'-метокси-3,3'-бипиридина (I-130) Способом получения, аналогичным способу для соединения (I-1), соединение (I-130) (выход 27,2 мг, 62%) получали в виде бесцветного масла из соединения (IV-19) (40,0 мг, 0,137 ммоль) и 2-метоксипиридин-3-бороновой кислоты (V-26) (25,2 мг, 0,165 ммоль).
[0363]
Пример 131. Получение 2-[(5-хлор-6-циклопропилпиридин-3-ил)окси]-2'-метокси-3,3'-бипиридина (I-131)[0364]
[0365]
Стадия 1
Способом получения, аналогичным способу для соединения (IV-1), соединение (IV-20) (выход 314 мг, 82%) получали в виде бесцветного масла из соединения (II-8) (200 мг, 1,18 ммоль) и соединения (III-1) (272 мг, 1,42 ммоль).
Стадия 2
Способом получения, аналогичным способу для соединения (I-1), соединение (I-131) (выход 25,3 мг, 58%) получали в виде бесцветного масла из соединения (IV-20) (40,0 мг, 0,123 ммоль) и 2-метоксипиридин-3-бороновой кислоты (V-26) (22,6 мг, 0,148 ммоль).
[0366]
Пример 132. Получение 2-[(5-хлор-6-циклопропилпиридин-3-ил)окси]-4'-метокси-3,3'-бипиридина (I-132)[0367]
[0368]
Способом получения, аналогичным способу для соединения (I-127), соединение (I-132) (выход 11,1 мг, 20%) получали в виде бледно-желтого масла из соединения (IV-20) (50,0 мг, 0,154 ммоль) и моногидрата 4-метоксипиридин-3-бороновой кислоты (V-28) (28,2 мг, 0,184 ммоль).
[0369]
Пример 133. Получение 2-[(6-циклопропилпиридин-3-ил)окси]-4'-метокси-3,3'-бипиридина (I-133) Соединение (I-133) (выход 13,2 мг, 27%) получали в виде бледно-желтого масла в виде побочного продукта приведенного выше соединения (I-132).
[0370]
Пример 134. Получение 3-{[3-(2-метоксифенил)пиридин-2-ил]окси}-5,6,7,8-тетрагидрохинолина (I-134)[0371]
[0372]
Стадия 1
Соединение (M-19) (160 мг, 0,754 ммоль), 1,10-фенантролин (27,2 мг, 0,151 ммоль) и карбонат цезия (492 мг, 1,51 ммоль) растворяли в бензиловом спирте (1,0 мл, 9,6 ммоль), добавляли йодид меди (I) (14,37 мг, 0,075 ммоль), и смесь перемешивали в атмосфере аргона при 120°C в течение 24 часов. Реакционную смесь охлаждали, разбавляли этилацетатом и фильтровали через целит. Растворитель упаривали при пониженном давлении, и остаток очищали колоночной хроматографией на силикагеле (н-гексан:этилацетат=0:100→ 85:15), получая соединение (M-20) (выход 155 мг, 86%).
Соединение (M-19) можно получить согласно известному способу. Данный способ описан, например, в J. Am. Chem. Soc. 2011; 133: 12285-12292.
Стадия 2
Соединение (M-20) (140 мг, 0,585 ммоль) растворяли в этаноле (1,4 мл), добавляли 10% Pd/C (28,0 мг, 20 вес/вес%), и смесь перемешивали в атмосфере водорода при комнатной температуре в течение 2 часов. Реакционную смесь разбавляли этанолом и фильтровали через целит. Растворитель упаривали при пониженном давлении, и остаток сушили при пониженном давлении, получая соединение (II-9) (выход 82,0 мг, 94%).
Стадия 3
Соединение (III-1) (700 мг, 3,64 ммоль), 2-метоксифенилбороновую кислоту (V-1) (553 мг, 3,64 ммоль), (A-taPhos)2PdCl2 (129 мг, 0,182 ммоль) и карбонат цезия (2,37 г, 7,28 ммоль) растворяли в 1,4-диоксане и воде (5:1, 12 мл), и смесь перемешивали при 70°C в течение 4 часов. Реакционную смесь охлаждали и экстрагировали этилацетатом. Органический слой промывали последовательно водой и насыщенным соляным раствором, сушили над безводным сульфатом натрия и фильтровали. Растворитель упаривали при пониженном давлении, и остаток очищали колоночной хроматографией на силикагеле (н-гексан:этилацетат), получая соединение (VIII-1) (выход 629 мг, 79%) в виде бесцветного масла.
Стадия 4A
Соединение (VIII-1) (45,0 мг, 0,205 ммоль) и соединение (II-9) (30,1 мг, 0,202 ммоль) растворяли в NMP (1 мл), добавляли карбонат цезия (79,0 мг, 0,242 ммоль), и смесь перемешивали при микроволновом облучении при 180°C в течение 20 мин. Добавляли к реакционной смеси воду, и смесь экстрагировали этилацетатом, и органический слой промывали последовательно водой и насыщенным соляным раствором. Органический слой сушили над безводным сульфатом натрия и фильтровали, и растворитель упаривали при пониженном давлении. Остаток очищали колоночной хроматографией на силикагеле (н-гексан:этилацетат=60:40 → 85:15), получая соединение (I-134) (выход 34,5 мг, 51%) в виде коричневого масла.
Стадия 4B
Способом получения, аналогичным способу для соединения (IV-1), соединение (IV-21) (выход 4,18 г, 91%) получали из соединения (II-9) (2,24 г, 15,0 ммоль) и соединения (III-1) (2,89 г, 15,0 ммоль).
[0373]
Пример 135. Получение 3-{[2'-метокси-(3,3'-бипиридин)-2-ил]окси}-5,6,7,8-тетрагидрохинолина (I-135)[0374]
[0375]
Стадия 1
Способом получения, аналогичным способу для соединения (VIII-1), соединение (VIII-2) (865 мг, выход 75%) получали в виде белого твердого остатка из соединения (III-1) (1,00 г, 5,20 ммоль) и 2-метоксипиридин-3-бороновой кислоты (V-26) (795 мг, 5,20 ммоль).
Стадия 2
Способом получения, аналогичным способу для соединения (I-134), соединение (I-135) (выход 30,4 мг, 45%) получали в виде белого твердого остатка из соединения (VIII-2) (45,0 мг, 0,204 ммоль) и соединения (II-9) (30,1 мг, 0,202 ммоль).
[0376]
Пример 136. Получение 3-{[3-(2-метоксифенил)пиридин-2-ил]окси}-6,7,8,9-тетрагидро-5H-циклопента[b]пиридина (I-136)[0377]
[0378]
Стадия 1
Соединение (M-21) (2,00 г, 12,5 ммоль) растворяли в хлороформе (25,0 мл), добавляли 4Å молекулярные сита (400 мг, порошок), добавляли соединение (M-22) (3,10 г, 18,8 ммоль) при 0°C, и смесь перемешивали при 0°C в течение 5 мин. После перемешивания при 45°C в течение 40 мин, смесь охлаждали до комнатной температуры. Растворитель упаривали при пониженном давлении, и остаток очищали колоночной хроматографией на силикагеле (н-гексан:этилацетат), получая соединение (M-23) (выход 1,90 г, 67%).
Стадия 2
Соединение (M-23) (1,70 г, 7,52 ммоль), карбонат цезия (4,90 г, 15,0 ммоль) и 1,10-фенантролин (0,271 г, 1,50 ммоль) растворяли в бензиловом спирте (7,82 мл, 75 ммоль), добавляли йодид меди (I) (0,143 г, 0,752 ммоль), и смесь перемешивали при 120°C в течение 24 часов. Реакционную смесь охлаждали, разбавляли этилацетатом, фильтровали через целит и промывали этилацетатом. Растворитель упаривали при пониженном давлении из фильтрата и промывочного раствора, и остаток очищали колоночной хроматографией на силикагеле (н-гексан:этилацетат), получая соединение (M-24) (выход 1,11 г, 58%).
Стадия 3
Соединение (M-24) (1,06 г, 4,18 ммоль) растворяли в этаноле (10 мл), добавляли 10% Pd/C (0,212 г, 20 вес/вес%), и смесь перемешивали в атмосфере водорода при комнатной температуре в течение 2 часов. Реакционную смесь разбавляли этанолом, фильтровали через целит и промывали этилацетатом. Растворитель упаривали при пониженном давлении из фильтрата и промывочного раствора, и остаток сушили при пониженном давлении, получая соединение (II-10) (выход 0,665 г, 97%) в виде белого твердого остатка.
Стадия 4
Способом получения, аналогичным способу для соединения (IV-1), соединение (IV-22) (выход 1,15 г, 90%) получали из соединения (II-10) (650 мг, 3,98 ммоль).
Стадия 5
Способом получения, аналогичным способу для соединения (I-1), соединение (I-136) (выход 38,7 мг, 89%) получали в виде бесцветного масла из соединения (IV-22) (40,0 мг, 0,125 ммоль) и 2-метоксифенилбороновой кислоты (V-1) (25,4 мг, 0,163 ммоль).
[0379]
Пример 137. Получение 3-{[3-(2,3-дигидробензофуран-7-ил)пиридин-2-ил]окси}-5,6,7,8-тетрагидрохинолина (I-137) Способом получения, аналогичным способу для соединения (I-1), соединение (I-137) (выход 33,6 мг, 99%) получали в виде бесцветного масла из соединения (IV-21) (30,0 мг, 0,098 ммоль) и соединения (V-35) (21,0 мг, 0,128 ммоль).
[0380]
Пример 138. Получение 3-{[3-(2,3-дигидробензофуран-7-ил)пиридин-2-ил]окси}-6,7-дигидро-5H-циклопента[b]пиридина (I-138)[0381]
[0382]
Стадия 1
Способом получения, аналогичным способу для соединения (M-24), соединение (M-26) (выход 1,97 г, 87%) получали в виде белого твердого остатка из соединения (M-25) (2,00 г, 10,1 ммоль).
Стадия 2
Способом получения, аналогичным способу для соединения (II-10), соединение (II-11) (выход 1,04 г, 98%) получали в виде белого твердого остатка из соединения (M-26) (1,77 г, 7,86 ммоль).
Стадия 3
Способом получения, аналогичным способу для соединения (IV-1), соединение (IV-23) (выход 1,64 г, 95%) получали из соединения (II-11) (800 мг, 5,92 ммоль) и соединения (III-1) (1,14 г, 5,92 ммоль).
Стадия 4
Способом получения, аналогичным способу для соединения (I-1), соединение (I-138) (выход 223 мг, 98%) получали в виде белого твердого остатка из соединения (IV-23) (200 мг, 0,687 ммоль) и соединения (V-35) (146 мг, 0,893 ммоль).
[0383]Получение 8,8-дифтор-3-{[3-(2-метоксифенил)пиридин-2-ил]окси}-5,6,7,8-тетрагидрохинолина (I-142)[0384]
[0385]
Пример 139. Получение 3-{[3-(2-метоксифенил)пиридин-2-ил]окси}-5,6,7,8-тетрагидрохинолин-8-илацетата (I-139) Соединение (I-134) (300 мг, 0,903 ммоль) растворяли в DCM (3,0 мл), добавляли при охлаждении на льду mCPBA (271 мг, 1,08 ммоль), и смесь перемешивали при комнатной температуре в течение ночи. Реакционную смесь охлаждали, добавляли водный раствор сульфита натрия и насыщенный водный раствор бикарбоната натрия, и смесь экстрагировали хлороформом и промывали насыщенным соляным раствором. Органический слой сушили над безводным сульфатом натрия и фильтровали, и растворитель упаривали при пониженном давлении, получая неочищенное N-оксидное соединение. Неочищенное N-оксидное соединение растворяли в уксусном ангидриде (1,0 мл, 10,6 ммоль), и смесь перемешивали при 60°C в течение 11 часа. Реакционную смесь охлаждали, разбавляли этилацетатом и промывали последовательно насыщенным водным раствором бикарбоната натрия и насыщенным соляным раствором. Органический слой сушили над безводным сульфатом натрия и фильтровали, и растворитель упаривали при пониженном давлении. Остаток очищали колоночной хроматографией на силикагеле (н-гексан:этилацетат=70:30 → 30:70), получая соединение (I-139) (выход 317 мг, 90%) в виде белого твердого остатка.
[0386]
Пример 140. Получение 3-{[3-(2-метоксифенил)пиридин-2-ил]окси}-5,6,7,8-тетрагидрохинолин-8-ола (I-140) Соединение (I-139) (295 мг, 0,756 ммоль) растворяли в метаноле (3 мл), добавляли карбонат калия (313 мг, 2,23 ммоль), и смесь перемешивали при комнатной температуре в течение 2 часов. Растворитель упаривали при пониженном давлении, и добавляли этилацетат и воду. Органический слой отделяли, промывали насыщенным соляным раствором, сушили над безводным сульфатом натрия и фильтровали. Растворитель упаривали при пониженном давлении, и остаток очищали колоночной хроматографией на силикагеле (н-гексан:этилацетат=70:30 → 20:80), получая соединение (I-140) (выход 184 мг, 70%) в виде белого твердого остатка.
[0387]
Пример 141. Получение 3-{[3-(2-метоксифенил)пиридин-2-ил]окси}-6,7-дигидрохинолин-8(5H)-она (I-141) Соединение (I-140) (111 мг, 0,319 ммоль) растворяли в DCM (2,0 мл), добавляли DMP (176 мг, 0,414 ммоль), и смесь перемешивали при комнатной температуре в течение 7 часов. Реакционную смесь разбавляли хлороформом, и добавляли водный раствор сульфита натрия и насыщенный водный раствор бикарбоната натрия. Органический слой отделяли, промывали насыщенным соляным раствором, сушили над безводным сульфатом натрия и фильтровали. Растворитель упаривали при пониженном давлении, и остаток очищали колоночной хроматографией на силикагеле (н-гексан:этилацетат=50:50 → 10:90), получая соединение (I-141) (выход 103 мг, 93%) в виде бледно-желтого твердого остатка.
[0388]
Пример 142. Получение 8,8-дифтор-3-{[3-(2-метоксифенил)пиридин-2-ил]окси}-5,6,7,8-тетрагидрохинолина (I-142) Соединение (I-141) (30,0 мг, 0,0866 ммоль) растворяли в DCM (1,0 мл), добавляли Deoxo-Fluor (зарегистрированное торговое название) (76,0 мкл, 0,371 ммоль), и смесь перемешивали при комнатной температуре в течение 4 дней. К реакционной смеси медленно добавляли воду, и смесь экстрагировали хлороформом. Органический слой промывали насыщенным соляным раствором, сушили над безводным сульфатом натрия и фильтровали. Растворитель упаривали при пониженном давлении, и остаток очищали колоночной хроматографией на силикагеле (н-гексан:этилацетат=90:10 → 20:80), получая соединение (I-142) (выход 3,9 мг, 12%) в виде белого твердого остатка.
[0389]
Примеры 143 и 144. Получение 3-{[3-(2-метоксифенил)пиридин-2-ил]окси}-N,N-диметил-5,6,7,8-тетрагидрохинолин-8-амина (I-143)Получение 3-{[3-(2-метоксифенил)пиридин-2-ил]окси}-5,6-дигидрохинолина (I-144) Соединение (I-140) (30,0 мг, 0,086 ммоль) и TEA (24,0 мкл, 0,172 ммоль) растворяли в THF (1,0 мл), добавляли при охлаждении на льду метансульфонилхлорид (8,7 мкл, 0,112 ммоль), и смесь перемешивали при комнатной температуре в течение 30 мин. Добавляли 50% водный раствор диметиламина (36,0 мкл), и смесь дополнительно перемешивали при комнатной температуре в течение 7 часов. Дополнительно добавляли 50% водный раствор диметиламина (36,0 мкл), и смесь перемешивали при комнатной температуре в течение 17 часов. Смесь экстрагировали этилацетатом, и органический слой промывали водой и насыщенным соляным раствором. Органический слой сушили над безводным сульфатом натрия и фильтровали, и растворитель упаривали при пониженном давлении. Остаток очищали колоночной хроматографией на силикагеле (хлороформ:метанол=100:0 → 20:80, NH силикагель, н-гексан:этилацетат=70:30 → 30:70), получая соединение (I-143) (выход 6,0 мг, 19%) и соединение (I-144) (выход 0,9 мг, 3%), каждый в виде бесцветного масла.
[0390]
Пример 145. Получение 2-{[6-(1,1-дифтор-2-метоксиэтил)пиридин-3-ил]окси}-3-(2-метоксифенил)пиридина (I-145) К раствору соединения (I-79) (30,0 мг, 0,0837 ммоль) в DMF (0,55 мл) последовательно добавляли при охлаждении на льду 60% гидрид натрия (4,4 мг, 0,092 ммоль) и метилйодид (5,8 мкл, 0,092 ммоль), и смесь перемешивали при комнатной температуре в течение 14 часов. Добавляли к реакционной смеси воду, и смесь экстрагировали этилацетатом. Органический слой промывали последовательно водой и насыщенным соляным раствором, сушили над безводным сульфатом натрия и фильтровали. Растворитель упаривали при пониженном давлении, и остаток очищали колоночной хроматографией на силикагеле (н-гексан:этилацетат), получая соединение (I-145) (выход 20,8 мг, 67%) в виде белого твердого остатка.
[0391]
Пример 146. Получение 2,2-дифтор-2-(5-{[3-(2-метоксифенил)пиридин-2-ил]окси}пиридин-2-ил)-N-метилэтанамина (I-146) Соединение (I-80) (500 мг, 1,02 ммоль) растворяли в DMF (3,3 мл), последовательно добавляли при комнатной температуре DIPEA (3,6 мл, 20 ммоль), карбонат цезия (1,65 г, 5,10 ммоль) и гидрохлорид метиламина (344 мг, 5,10 ммоль), и смесь нагревали до 60°C и перемешивали в течение 15 часов. Добавляли к реакционной смеси воду, и смесь экстрагировали этилацетатом. Органический слой промывали последовательно водой и насыщенным соляным раствором, сушили над безводным сульфатом натрия и фильтровали. Растворитель упаривали при пониженном давлении, и остаток очищали колоночной хроматографией на силикагеле (н-гексан:этилацетат), получая соединение (I-146) (выход 260 мг, 69%) в виде бесцветного масла.
[0392]
Пример 147. Получение 2,2-дифтор-2-(5-{[3-(2-метоксифенил)пиридин-2-ил]окси}пиридин-2-ил)-N,N-диметилэтанамина (I-147) Способом получения, аналогичным способу для соединения (I-146), соединение (I-147) (выход 31,1 мг, 79%) получали в виде бесцветного масла из соединения (I-80) (50,0 мг, 0,102 ммоль) и гидрохлорида диметиламина (63,0 мг, 1,02 ммоль).
[0393]
Пример 148. Получение 4-[2,2-дифтор-2-(5-{[3-(2-метоксифенил)пиридин-2-ил]окси}пиридин-2-ил)этил]морфолина (I-148) Способом получения, аналогичным способу для соединения (I-146), соединение (I-148) (выход 31,1 мг, 79%) получали в виде бесцветного масла из соединения (I-80) (50,0 мг, 0,102 ммоль) и морфолина (44 мкл, 0,51 ммоль).
[0394]
Пример 149. Получение N-этил-2,2-дифтор-2-(5-{[3-(2-метоксифенил)пиридин-2-ил]окси}пиридин-2-ил)-N-метилэтанамина (I-149) Соединение (I-80) (68,6 мг, 0,102 ммоль) растворяли в DMF (420 мкл), последовательно добавляли при комнатной температуре пиридин (17 мкл, 0,21 ммоль) и метилэтиламин (13 мкл, 0,15 ммоль), и смесь перемешивали при комнатной температуре в течение 15 часов. Добавляли к реакционной смеси воду, и смесь экстрагировали этилацетатом. Органический слой промывали последовательно водой и насыщенным соляным раствором, сушили над безводным сульфатом натрия и фильтровали. Растворитель упаривали при пониженном давлении, и остаток очищали колоночной хроматографией на силикагеле (н-гексан:этилацетат), получая соединение (I-149) (выход 1,2 мг, 2%) в виде бесцветного масла.
[0395]
Пример 150. Получение N-[2,2-дифтор-2-(5-{[3-(2-метоксифенил)пиридин-2-ил]окси}пиридин-2-ил)этил]-N,O-диметилгидроксиламина (I-150) Способом получения, аналогичным способу для соединения (I-146), соединение (I-150) (выход 41,0 мг, количественный) получали в виде бесцветного масла из соединения (I-80) (50,0 мг, 0,102 ммоль) и гидрохлорида N,O-диметилгидроксиламина (49,7 мг, 0,510 ммоль).
[0396]
Пример 151. Получение N-[2,2-дифтор-2-(5-{[3-(2-метоксифенил)пиридин-2-ил]окси}пиридин-2-ил)этил]-N-метилацетамида (I-151) Соединение (I-146) (30,0 мг, 0,0808 ммоль) растворяли в DCM (400 мкл), добавляли DIPEA (42 мкл, 0,24 ммоль) и ацетилхлорид (7,5 мкл, 0,11 ммоль), и смесь перемешивали при комнатной температуре в течение 15 часов. Добавляли к реакционной смеси воду, и смесь экстрагировали хлороформом. Экстракт очищали колоночной хроматографией на силикагеле (н-гексан:этилацетат), получая соединение (I-151) (выход 32,7 мг, 98%) в виде бесцветного масла.
[0397]
Пример 152. Получение метил [2,2-дифтор-2-(5-{[3-(2-метоксифенил)пиридин-2-ил]окси}пиридин-2-ил)этил](метил)карбамата (I-152) Способом получения, аналогичным способу для соединения (I-151), соединение (I-152) (выход 26,7 мг, 74%) получали в виде бесцветного масла из соединения (I-146) (30,0 мг, 0,0808 ммоль) и метилхлороформиата (8,1 мкл, 0,11 ммоль).
[0398]
Пример 153. Получение 2-({6-[1,1-дифтор-2-(4-метил-1H-пиразол-1-ил)этил]пиридин-3-ил}окси)-3-(2-метоксифенил)пиридина (I-153) Способом получения, аналогичным способу для соединения (I-146), соединение (I-153) (выход 18,2 мг, 70%) получали в виде бесцветного масла из соединения (I-80) (30,0 мг, 0,0612 ммоль) и 4-метил-1H-пиразола (50,2 мг, 0,612 ммоль).
[0399]
Пример 154. Получение 2,2-дифтор-2-(5-{[3-(4-фтор-2-метоксифенил)пиридин-2-ил]окси}пиридин-2-ил)этанола (I-154) Способом получения, аналогичным способу для соединения (I-1), соединение (I-154) (выход 272 мг, 92%) получали в виде бесцветного масла из соединения (IV-10) (260 мг, 0,785 ммоль) и 4-фтор-2-метоксифенилбороновой кислоты (V-12) (160 мг, 0,942 ммоль).
[0400]
Пример 155. Получение 2-{[6-(2-этокси-1,1-дифторэтил)пиридин-3-ил]окси}-3-(4-фтор-2-метоксифенил)пиридина (I-155) Способом получения, аналогичным способу для соединения (I-145), соединение (I-155) (выход 26,2 мг, 81%) получали в виде бесцветного масла из соединения (I-154) (30,0 мг, 0,080 ммоль) и этилбромида (7,1 мкл, 0,096 ммоль).
[0401]
Справочный пример 156. Получение 2,2-дифтор-2-(5-{[3-(4-фтор-2-метоксифенил)пиридин-2-ил]окси}пиридин-2-ил)этилтрифторметансульфоната (I-156) Способом получения, аналогичным способу для соединения (I-80), соединение (I-156) (выход 410 мг, 65%) получали в виде бледно-желтого масла из соединения (I-154) (682 мг, 1,81 ммоль) и ангидрида трифторметансульфокислоты (610 мкл, 3,6 ммоль).
[0402]
Пример 157. Получение 2-({6-[1,1-дифтор-2-(1H-пиразол-1-ил)этил]пиридин-3-ил}окси)-3-(4-фтор-2-метоксифенил)пиридина (I-157) Способом получения, аналогичным способу для соединения (I-146), соединение (I-157) (выход 9,3 мг, 36%) получали в виде бесцветного масла из соединения (I-156) (31,1 мг, 0,0612 ммоль) и 1H-пиразола (41,6 мг, 0,612 ммоль).
[0403]
Пример 158. Получение 2-({6-[1,1-дифтор-2-(1H-имидазол-1-ил)этил]пиридин-3-ил}окси)-3-(4-фтор-2-метоксифенил)пиридина (I-158) Способом получения, аналогичным способу для соединения (I-146), соединение (I-158) (выход 16,7 мг, 64%) получали в виде бесцветного масла из соединения (I-156) (31,1 мг, 0,0612 ммоль) и 1H-имидазола (41,6 мг, 0,612 ммоль).
[0404]
Пример 159. Получение 2-({6-[1,1-дифтор-2-(2-метоксиэтокси)этил]пиридин-3-ил}окси)-3-(4-фтор-2-метоксифенил)пиридина (I-159) Способом получения, аналогичным способу для соединения (I-145), соединение (I-159) (выход 15,0 мг, 45%) получали в виде бесцветного масла из соединения (I-154) (30,0 мг, 0,080 ммоль) и 1-бром-2-метоксиэтана (9,0 мкл, 0,096 ммоль).
[0405]
Пример 160. Получение 2-({6-[1,1-дифтор-2-(2-пропин-1-илокси)этил]пиридин-3-ил}окси)-3-(2-метоксифенил)пиридина (I-160) Способом получения, аналогичным способу для соединения (I-145), соединение (I-160) (выход 15,9 мг, 48%) получали в виде бесцветного масла из соединения (I-79) (30,0 мг, 0,0761 ммоль) и пропаргилбромида (6,3 мкл, 0,092 ммоль).
[0406]
Пример 161. Получение 2-{[6-(1,1-дифтор-2-метоксиэтил)пиридин-3-ил]окси}-3-(4-фтор-2-метоксифенил)пиридина (I-161)[0407]
[0408]
Стадия 1
Способом получения, аналогичным способу для соединения (I-145), соединение (IV-24) (выход 84,5 мг, 81%) получали в виде белого твердого остатка из соединения (IV-10) (100 мг, 0,302 ммоль) и метилйодида (21 мкл, 0,332 ммоль).
Стадия 2
Способом получения, аналогичным способу для соединения (I-1), соединение (I-161) (выход 25,1 мг, 82%) получали в виде белого твердого остатка из соединения (IV-24) (27,0 мг, 0,0782 ммоль) и 4-фтор-2-метоксифенилбороновой кислоты (V-12) (16,0 мг, 0,0939 ммоль).
[0409]
Пример 162. Получение 2-{[6-(1,1-дифтор-2-метоксиэтил)пиридин-3-ил]окси}-3-(5-фтор-2-метоксифенил)пиридина (I-162) Способом получения, аналогичным способу для соединения (I-1), соединение (I-162) (выход 19,5 мг, 64%) получали в виде бесцветного масла из соединения (IV-24) (27,0 мг, 0,0782 ммоль) и 5-фтор-2-метоксифенилбороновой кислоты (V-11) (16,0 мг, 0,0939 ммоль).
[0410]
Пример 163. Получение 3-(5-хлор-2-метоксифенил)-2-{[6-(1,1-дифтор-2-метоксиэтил)пиридин-3-ил]окси}пиридина (I-163) Способом получения, аналогичным способу для соединения (I-1), соединение (I-163) (выход 31,4 мг, 89%) получали в виде бесцветного масла из соединения (IV-24) (30,0 мг, 0,0869 ммоль) и 5-хлор-2-метоксифенилбороновой кислоты (V-23) (21,1 мг, 0,113 ммоль).
[0411]
Пример 164. Получение 2-(5-{[3-(2,4-дифтор-5-метоксифенил)пиридин-2-ил]окси}пиридин-2-ил)-2,2-дифторэтанола (I-164) Способом получения, аналогичным способу для соединения (I-1), соединение (I-164) (выход 246 мг, 86%) получали в виде бесцветного масла из соединения (IV-10) (400 мг, 1,21 ммоль) и 2,4-дифтор-5-метоксифенилбороновой кислоты (V-41) (204 мг, 1,07 ммоль).
[0412]
Пример 165. Получение 2-{[6-(1,1-дифтор-2-метоксиэтил)пиридин-3-ил]окси}-3-(2,4-дифтор-5-метоксифенил)пиридина (I-165) Способом получения, аналогичным способу для соединения (I-145), соединение (I-165) (выход 36,4 мг, 92%) получали в виде бесцветного масла из соединения (I-164) (38,0 мг, 0,0964 ммоль) и метилйодида (7,8 мкл, 0,13 ммоль).
[0413]
Пример 166. Получение 2-{[6-(1,1-дифтор-2-метоксиэтил)пиридин-3-ил]окси}3-(2,3-дигидробензофуран-7-ил)пиридина (I-166) Способом получения, аналогичным способу для соединения (I-1), соединение (I-166) (выход 19,4 мг, 65%) получали в виде бесцветного масла из соединения (IV-24) (27,0 мг, 0,0782 ммоль) и 2,3-дигидробензофуран-7-бороновой кислоты (V-35) (15,4 мг, 0,0939 ммоль).
[0414]
Пример 167. Получение 7-(2-{[6-(1,1-дифтор-2-метоксиэтил)пиридин-3-ил]окси}пиридин-3-ил)пиразоло[1,5-a]пиридина (I-167)[0415]
[0416]
Стадия 1
Соединение (IV-24) (150 мг, 0,435 ммоль) растворяли в THF (2,2 мл), добавляли iPrMgBr•LiCl (1,3 моль/л THF раствор, 400 мкл, 0,522 ммоль), и смесь перемешивали в течение 30 мин. Затем при охлаждении на льду добавляли триизопропилборат (300 мкл, 1,30 ммоль), и смесь перемешивали в течение 1 часа. Затем, добавляли 1 моль/л хлористоводородную кислоту (5 мл), и смесь перемешивали в течение 10 мин. Добавляли к реакционной смеси воду, и смесь экстрагировали этилацетатом. Органический слой промывали последовательно водой и насыщенным соляным раствором, сушили над безводным сульфатом натрия и фильтровали. Растворитель упаривали при пониженном давлении, получая соединение (VIa-3) (выход 48,3 мг, 36%) в виде белого твердого остатка.
Стадия 2
Способом получения, аналогичным способу для соединения (I-36), соединение (I-167) (выход 31,1 мг, 84%) получали в виде бесцветного масла из 7-бромпиразоло[1,5-a]пиридина (VII-8) (30,3 мг, 0,145 ммоль) и соединения (VIa-3) (30,0 мг, 0,0968 ммоль).
[0417]
Пример 168. Получение 5-(2-{[6-(1,1-дифтор-2-метоксиэтил)пиридин-3-ил]окси}пиридин-3-ил)хиноксалина (I-168) Способом получения, аналогичным способу для соединения (I-36), соединение (I-168) (выход 20,3 мг, 67%) получали в виде бесцветного масла из 5-бромхиноксалина (VII-2) (24,3 мг, 0,115 ммоль) и соединения (VIa-3) (24,0 мг, 0,0774 ммоль).
[0418]
Пример 169. Получение 8-(2-{[6-(1,1-дифтор-2-метоксиэтил)пиридин-3-ил]окси}пиридин-3-ил)хинолина (I-169) Способом получения, аналогичным способу для соединения (I-1), соединение (I-169) (выход 20,3 мг, 59%) получали в виде бесцветного масла из соединения (IV-24) (30,0 мг, 0,0869 ммоль) и 8-хинолинбороновой кислоты (V-34) (19,6 мг, 0,113 ммоль).
[0419]
Пример 170. Получение 5-(2-{[6-(1,1-дифтор-2-метоксиэтил)пиридин-3-ил]окси}пиридин-3-ил)-7-фторхиноксалина (I-170)[0420]
[0421]
Стадия 1
Способом получения, аналогичным способу для соединения (VII-27), соединение (VII-31) (выход 128 мг, 39%) получали в виде бесцветного масла из 3-бром-5-фторбензол-1,2-диамина (M-27) (300 мг, 1,46 ммоль) и глиоксаля (1,3 мл, 11 ммоль).
Стадия 2
Способом получения, аналогичным способу для соединения (I-36), соединение (I-170) (выход 11,4 мг, 29%) получали в виде бесцветного масла из соединения (VII-31) (32,9 мг, 0,145 ммоль) и соединения (VIa-3) (30,0 мг, 0,0968 ммоль).
[0422]
Пример 171. Получение 2-{[6-(бензилокси)пиридин-3-ил]окси}-3-(2-метоксифенил)пиридина (I-171)[0423]
[0424]
Стадия 1
Способом получения, аналогичным способу для соединения (IV-1), соединение (IV-25) (выход 1,23 г, 69%) получали из соединения (III-1) (956 мг, 4,97 ммоль) и 6-(бензилокси)пиридин-3-ола (II-12) (1,00 г, 4,97 ммоль).
Стадия 2
Способом получения, аналогичным способу для соединения (I-1), соединение (I-171) (выход 750 мг, 93%) получали в виде белого твердого остатка из соединения (IV-25) (751 мг, 2,10 ммоль) и 2-метоксифенилбороновой кислоты (V-1) (639 мг, 4,20 ммоль).
[0425]
Пример 172. Получение 5-{[3-(2-метоксифенил)пиридин-2-ил]окси}пиридин-2-ола (I-172) Соединение (I-171) (300 мг, 0,780 ммоль) растворяли в смеси этанол (5,0 мл)/этилацетат (5,0 мл)/THF (5,0 мл), добавляли 20% гидроксид палладия на угле (50,0 мг), и смесь перемешивали в атмосфере водорода при комнатной температуре в течение 3 часов. Реакционную смесь фильтровали через целит, и фильтрат концентрировали. Остаток очищали колоночной хроматографией на силикагеле (н-гексан:этилацетат), получая соединение (I-172) (выход 175 мг, 76%).
[0426]
Пример 173. Получение 3-(2-метоксифенил)-2-[(6-фенэтоксипиридин-3-ил)окси]пиридина (I-173) Соединение (I-172) (40,0 мг, 0,136 ммоль) растворяли в DMF (2 мл), добавляли карбонат калия (75,0 мг, 0,780 ммоль), и смесь перемешивали в течение 20 мин. Более того, добавляли (2-бромэтил)бензол, и смесь перемешивали при комнатной температуре в течение 20 часов. Добавляли воду, останавливая реакцию, и смесь экстрагировали этилацетатом. Органический слой промывали насыщенным соляным раствором, сушили над безводным сульфатом магния, и растворитель упаривали при пониженном давлении. Остаток очищали колоночной хроматографией на силикагеле (н-гексан:этилацетат), получая соединение (I-173) (выход 23,9 мг, 44%) в виде бесцветного масла.
[0427]
Пример 174. Получение 3-(2-метоксифенил)-2-{[6-(пиридин-3-илметокси)пиридин-3-ил]окси}пиридина (I-174) Способом получения, аналогичным способу для соединения (I-173), соединение (I-174) (выход 5,0 мг, 5%) получали в виде бесцветного масла из соединения (I-172) (74,0 мг, 0,251 ммоль) и гидробромида 3-(бромметил)пиридина (127 мг, 0,503 ммоль).
[0428]
Пример 175. Получение 3-(2-метоксифенил)-2-{[6-(феноксиметил)пиридин-3-ил]окси}пиридина (I-175) Соединение (I-70) (30,0 мг, 0,097 ммоль) растворяли в THF (0,5 мл), добавляли при охлаждении на льду TEA (50 мкл, 0,36 ммоль) и метансульфонилхлорид (10 мкл, 0,10 ммоль), и смесь перемешивали в течение 30 минут (реакционная смесь 1). Фенол (30,0 мг, 0,319 ммоль) растворяли в THF (0,5 мл), добавляли гидрид натрия (16,0 мг, 0,333 ммоль), и смесь перемешивали при комнатной температуре в течение 30 минут (реакционная смесь 2). К реакционной смеси 2 добавляли реакционную смесь 1, и смесь перемешивали при комнатной температуре в течение 18 часов. Добавляли к реакционной смеси воду, и смесь экстрагировали хлороформом. Органический слой сушили над сульфатом магния, и растворитель упаривали при пониженном давлении. Остаток очищали колоночной хроматографией на силикагеле (н-гексан:этилацетат), получая соединение (I-175) (выход 6,0 мг, 16%) в виде желтого масла.
[0429]
Пример 176. Получение 2-{[6-(бензилокси)пиридин-3-ил]окси}-2'-метокси-3,3'-бипиридина (I-176) Способом получения, аналогичным способу для соединения (I-1), соединение (I-176) (выход 685 мг, 80%) получали в виде белого твердого остатка из соединения (IV-25) (795 мг, 2,23 ммоль) и соединения (V-26) (443 мг, 2,89 ммоль).
[0430]
Пример 177. Получение 2-{[6-(бензилокси)пиридин-3-ил]окси}-4'-метокси-3,3'-бипиридина (I-177) Способом получения, аналогичным способу для соединения (I-1), соединение (I-177) (выход 230 мг, 47%) получали в виде бесцветного масла из соединения (IV-25) (455 мг, 1,27 ммоль) и соединения (V-28) (253 мг, 1,66 ммоль).
[0431]
Пример 178. Получение 5-{[3-(2-метоксифенил)пиридин-2-ил]окси}-2-(трифторметил)пиримидина (I-178)[0432]
[0433]
Стадия 1
К раствору 5-бром-2-трифторметилпиримидина (M-28) (1,00 г, 4,41 ммоль) в бензиловом спирте (4,58 мл, 44,1 ммоль) добавляли карбонат цезия (2,87 г, 8,81 ммоль), 1,10-фенантролин (159 мг, 0,881 ммоль) и йодид меди (I) (84,0 мг, 0,441 ммоль), и смесь перемешивали при 120°C в течение 20 часов. Реакционную смесь охлаждали, разбавляли этилацетатом и фильтровали через целит. Растворитель упаривали при пониженном давлении, и остаток очищали колоночной хроматографией на силикагеле (NH силикагель, н-гексан:этилацетат=95:5 → 80:20), получая соединение (M-29) (выход 863 мг, 77%) в виде бледно-желтого твердого остатка.
Стадия 2
К раствору соединения (M-29) (859 мг, 3,38 ммоль) в этаноле (10,0 мл) добавляли 10% палладий на угле (172 мг), и смесь перемешивали в атмосфере водорода при комнатной температуре в течение 3 часов. Смесь разбавляли этанолом и фильтровали через целит. Растворитель упаривали при пониженном давлении, получая соединение (II-13) (выход 510 мг, 92%) в виде бледно-серого твердого остатка.
Стадия 3
К раствору соединения (II-13) (400 мг, 2,44 ммоль) и соединения (III-1) (469 мг, 2,44 ммоль) в DMSO (5,0 мл) добавляли карбонат цезия (1,19 г, 3,66 ммоль), и смесь перемешивали при 120°C в течение 20 часов. Реакционную смесь охлаждали, добавляли воду, и смесь экстрагировали этилацетатом. Органический слой промывали последовательно водой и насыщенным соляным раствором, сушили над безводным сульфатом натрия и фильтровали. Растворитель упаривали при пониженном давлении, и остаток очищали колоночной хроматографией на силикагеле (н-гексан:этилацетат=95:5→ 85:15), получая соединение (IV-26) (выход 163 мг, 21%) в виде желтого масла.
Стадия 4
Способом получения, аналогичным способу для соединения (I-1), соединение (I-178) (выход 23,0 мг, 71%) получали в виде бесцветного масла из соединения (IV-26) (30,0 мг, 0,0937 ммоль) и 2-метоксифенилбороновой кислоты (V-1) (18,5 мг, 0,122 ммоль).
[0434]
Пример 179. Получение 5-{[3-(4-фтор-2-метоксифенил)пиридин-2-ил]окси}-2-(трифторметил)пиримидина (I-179) Способом получения, аналогичным способу для соединения (I-1), соединение (I-179) (выход 28,5 мг, 83%) получали в виде бесцветного масла из соединения (IV-26) (30,0 мг, 0,0937 ммоль) и 4-фтор-2-метоксифенилбороновой кислоты (V-12) (20,7 мг, 0,122 ммоль).
[0435]
Пример 180. Получение 5-хлор-2-метокси-2'-{[2-(трифторметил)пиримидин-5-ил]окси}-3,3'-бипиридина (I-180) Способом получения, аналогичным способу для соединения (I-1), соединение (I-180) (выход 21,6 мг, 60%) получали в виде бесцветного масла из соединения (IV-26) (30,0 мг, 0,0937 ммоль) и 5-хлор-2-метоксипиридин-3-бороновой кислоты (V-31) (19,3 мг, 0,103 ммоль).
[0436]
Пример 181. Получение 5-{[3-(2-метоксифенил)пиридин-2-ил]окси}-2-(пентафторэтил)пиримидина (I-181)[0437]
[0438]
Стадия 1
К раствору этил 2,2,3,3,3-пентафторпропаноата (S-1) (7,69 г, 40,0 ммоль) в п-ксилоле (30 мл) добавляли 1,3-диаминопропан-2-ол (S-2) (3,61 г, 40,0 ммоль), и смесь перемешивали при 160°C в течение 4 часов. Растворитель упаривали при пониженном давлении, получая соединение (S-3) (выход 10,1 г) в виде желтого масла.
Стадия 2
Раствор соединения (S-3) (8,72 г, 29,8 ммоль) в нитробензоле (40 мл) нагревали до 90°C, постепенно добавляли 28% метанольный раствор метоксида натрия (31,8 мл, 160 ммоль), и смесь перемешивали при упаривании метанола в течение 3 часов. Затем, смесь дополнительно перемешивали при 120°C в течение 1 часа. Реакционную смесь охлаждали, добавляли воду, и смесь экстрагировали этилацетатом. Водный слой промывали этилацетатом, и доводили до pH 4 6 моль/л хлористоводородной кислотой. Смесь экстрагировали этилацетатом, и органический слой промывали насыщенным соляным раствором, сушили над безводным сульфатом натрия и фильтровали. Растворитель упаривали при пониженном давлении, и остаток очищали колоночной хроматографией на силикагеле (н-гексан:этилацетат=90:10 → 30:70), получая соединение (II-14) [выход 1,19 г, 14% (2 стадии)] в виде желтого масла.
Стадия 3
К раствору соединения (II-14) (1,00 г, 4,67 ммоль) и соединения (III-1) (899 мг, 4,67 ммоль) в DMSO (10 мл) добавляли карбонат цезия (2,28 г, 7,01 ммоль), и смесь перемешивали при 120°C в течение 21 часа. Затем, смесь перемешивали при 140°C в течение 9 часов. Реакционную смесь охлаждали, добавляли воду, и смесь экстрагировали этилацетатом. Органический слой промывали последовательно водой и насыщенным соляным раствором, сушили над безводным сульфатом натрия и фильтровали. Растворитель упаривали при пониженном давлении, и остаток очищали колоночной хроматографией на силикагеле (н-гексан:этилацетат=95:5 → 85:15), получая соединение (IV-27) (выход 163 мг, 21%) в виде желтого масла.
Стадия 4
Способом получения, аналогичным способу для соединения (I-1), соединение (I-181) (выход 29,4 мг, 91%) получали в виде бесцветного масла из соединения (IV-27) (30,0 мг, 0,0811 ммоль) и 2-метоксифенилбороновой кислоты (V-1) (16,0 мг, 0,105 ммоль).
[0439]
Пример 182. Получение 5-{[3-(2-метоксифенил)пиридин-2-ил]окси}-N-метил-N-пропилпиримидин-2-амина (I-182)[0440]
[0441]
Стадия 1
Способом получения, аналогичным способу для соединения (IV-1), соединение (IV-28) (выход 1,23 г, 46%) получали из соединения (III-1) (2,32 г, 12,1 ммоль) и 2-аминопиримидин-5-ола (II-15) (1,12 г, 10,1 ммоль).
Стадия 2
Соединение (IV-28) (1,50 г, 5,62 ммоль) растворяли в DCM (5,0 мл), добавляли концентрированную хлористоводородную кислоту (5,0 мл, 58 ммоль) и хлорид цинка (II) (1,30 г, 9,55 ммоль), и смесь перемешивали при охлаждении на льду в течение 30 мин. Дополнительно добавляли нитрит натрия (659 мг, 9,55 ммоль), и смесь перемешивали в течение 3 часов. Добавляли ледяную воду, останавливая реакцию, и смесь экстрагировали хлороформом. Органический слой промывали насыщенным соляным раствором, сушили над безводным сульфатом магния, и растворитель упаривали при пониженном давлении. Остаток очищали колоночной хроматографией на силикагеле (н-гексан:этилацетат), получая соединение (IV-29) (выход 622 мг, 39%).
Стадия 3
Соединение (IV-29) (100 мг, 0,349 ммоль) растворяли в NMP (1 мл), добавляли N-метилпропан-1-амин (128 мг, 1,75 ммоль) и карбонат калия (241 мг, 1,75 ммоль), и смесь перемешивали при 80°C в течение 18 часов. Добавляли воду, останавливая реакцию, и смесь экстрагировали этилацетатом. Органический слой промывали насыщенным соляным раствором, сушили над безводным сульфатом магния, и растворитель упаривали при пониженном давлении. Остаток очищали колоночной хроматографией на силикагеле (н-гексан:этилацетат), получая соединение (IV-30) (выход 105 мг, 93%).
Стадия 4
Способом получения, аналогичным способу для соединения (I-1), соединение (I-182) (выход 28,5 мг, количественный) получали в виде бесцветного масла из соединения (IV-30) (26,0 мг, 0,0800 ммоль) и соединения (V-1) (18,3 мг, 0,121 ммоль).
[0442]
Пример 183. Получение 5-{[2'-метокси-(3,3'-бипиридин)-2-ил]окси}-N-метил-N-пропилпиримидин-2-амина (I-183) Способом получения, аналогичным способу для соединения (I-1), соединение (I-183) (выход 25,8 мг, 91%) получали в виде бесцветного масла из соединения (IV-30) (26,0 мг, 0,0800 ммоль) и соединения (V-26) (18,5 мг, 0,121 ммоль).
[0443]
Пример 184. Получение N-этил-5-{[3-(4-фтор-2-метоксифенил)пиридин-2-ил]окси}-N-метилпиримидин-2-амина (I-184)[0444]
[0445]
Стадия 1
Способом получения, аналогичным способу для соединения (IV-30), соединение (IV-31) (выход 69,0 мг, 80%) получали из соединения (IV-29) (80,0 мг, 0,279 ммоль) и N-этилметиламина (83,0 мг, 1,40 ммоль).
Стадия 2
Способом получения, аналогичным способу для соединения (I-1), соединение (I-184) (выход 20,7 мг, 95%) получали в виде бесцветного масла из соединения (IV-31) (19,0 мг, 0,0615 ммоль) и соединения (V-12) (15,7 мг, 0,0922 ммоль).
[0446]
Пример 185. Получение 5-{[3-(4-фтор-2-метоксифенил)пиридин-2-ил]окси}-N,N-диметилпиримидин-2-амина (I-185) Способом получения, аналогичным способу для соединения (IV-30), соединение (I-185) (выход 17,6 мг, 88%) получали в виде белого твердого остатка из соединения (I-191) (25,0 мг, 0,0591 ммоль) и диметиламина (53,3 мг, 0,591 ммоль).
[0447]
Пример 186. Получение 2-(пропилтио)-5-{[3-(4-фтор-2-метоксифенил)пиридин-2-ил]окси}пиримидина (I-186)[0448]
[0449]
Стадия 1
Пропан-1-тиол (137 мг, 1,80 ммоль) растворяли в THF (1 мл), добавляли гидрид натрия (72,0 мг, 1,80 ммоль), и смесь перемешивали при комнатной температуре в течение 20 мин. Кроме того, добавляли соединение (IV-29) (172 мг, 0,600 ммоль), и смесь перемешивали при 80°C в течение 3 часов. Добавляли воду, останавливая реакцию, и смесь экстрагировали этилацетатом. Органический слой промывали насыщенным соляным раствором, сушили над безводным сульфатом магния, и растворитель упаривали при пониженном давлении. Остаток очищали колоночной хроматографией на силикагеле (н-гексан:этилацетат), получая соединение (IV-33) (выход 58,0 мг, 30%).
Стадия 2
Способом получения, аналогичным способу для соединения (I-1), соединение (I-186) (выход 17,8 мг, 63%) получали из соединения (IV-33) (25,0 мг, 0,0766 ммоль) и соединения (V-12) (19,5 мг, 0,115 ммоль).
[0450]
Пример 187. Получение 2-этокси-5-{[3-(4-фтор-2-метоксифенил)пиридин-2-ил]окси}пиримидина (I-187)[0451]
[0452]
Стадия 1
Соединение (IV-29) (100 мг, 0,349 ммоль) растворяли в THF (1,0 мл), добавляли 50% гидрид натрия (16,8 мг, 0,419 ммоль), и смесь перемешивали в течение 10 мин. Более того, добавляли этанол (24,4 мкл, 0,419 ммоль), и смесь перемешивали при 80°C в течение 4 часов. Добавляли воду, останавливая реакцию, и смесь экстрагировали этилацетатом. Органический слой промывали насыщенным соляным раствором, сушили над безводным сульфатом магнияa, и растворитель упаривали при пониженном давлении. Остаток очищали колоночной хроматографией на силикагеле (н-гексан:этилацетат), получая соединение (IV-34) (выход 48,0 мг, 46%).
Стадия 2
Способом получения, аналогичным способу для соединения (I-1), соединение (I-187) (выход 18,7 мг, 95%) получали в виде бесцветного масла из соединения (IV-34) (17,0 мг, 0,0570 ммоль) и соединения (V-12) (14,6 мг, 0,0861 ммоль).
[0453]
Пример 188. Получение 5-{[3-(4-фтор-2-метоксифенил)пиридин-2-ил]окси}-N-(2-метоксиэтил)-N-метилпиримидин-2-амина (I-188)[0454]
[0455]
Стадия 1
Способом получения, аналогичным способу для соединения (IV-30), соединение (IV-35) (выход 122 мг, количественный) получали из соединения (IV-29) (100 мг, 0,349 ммоль) и 2-метокси-N-метилэтанамина (200 мкл, 1,85 ммоль).
Стадия 2
Способом получения, аналогичным способу для соединения (I-1), соединение (I-188) (выход 25,2 мг, количественный) получали в виде бесцветного масла из соединения (IV-35) (20,0 мг, 0,0590 ммоль) и соединения (V-12) (15,0 мг, 0,0884 ммоль).
[0456]
Пример 189. Получение 2-[(5-{[3-(4-фтор-2-метоксифенил)пиридин-2-ил]окси}пиримидин-2-ил)(метил)амино]ацетонитрила (I-189)[0457]
[0458]
Стадия 1
Соединение (IV-29) (100 мг, 0,349 ммоль) растворяли в DMA (1,0 мл), добавляли N,N-диизопропилэтиламин (0,2 мл, 1,15 ммоль), добавляли 2-(метиламино)ацетонитрил (200 мг, 2,96 ммоль), и смесь перемешивали при 100°C в течение ночи. Добавляли воду, останавливая реакцию, и смесь экстрагировали хлороформом. Органический слой промывали насыщенным соляным раствором, сушили над безводным сульфатом магния, и растворитель упаривали при пониженном давлении. Остаток очищали колоночной хроматографией на силикагеле (н-гексан:этилацетат), получая соединение (IV-36) (выход 73,0 мг, 65%).
Стадия 2
Способом получения, аналогичным способу для соединения (I-1), соединение (I-189) (выход 18,1 мг, 79%) получали в виде бесцветного масла из соединения (IV-36) (20,0 мг, 0,0625 ммоль) и соединения (V-12) (16,5 мг, 0,0938 ммоль).
[0459]
Справочный пример 190. Получение 5-{[3-(4-фтор-2-метоксифенил)пиридин-2-ил]окси}пиримидин-2-амина (I-190) Способом получения, аналогичным способу для соединения (I-1), соединение (I-190) (выход 2,40 г, 82%) получали из соединения (IV-28) (2,50 г, 9,36 ммоль) и соединения (V-12) (2,39 г, 14,0 ммоль).
[0460]
Пример 191. Получение 5-{[3-(4-фтор-2-метоксифенил)пиридин-2-ил]окси}-2-йодпиримидина (I-191) Соединение (I-190) (3,50 г, 11,2 ммоль) растворяли в THF (9,6 мл), последовательно добавляли изоамилнитрит (0,39 мл, 2,90 ммоль), дийодметан (0,78 мл, 9,65 ммоль) и йодид меди (92,0 мг, 0,483 ммоль), и смесь перемешивали при 60°C в течение 1 часа. Реакционную смесь охлаждали, фильтровали через целит, и растворитель упаривали при пониженном давлении. Остаток очищали колоночной хроматографией на амино силикагеле (н-гексан:этилацетат=95:5 → 60:40), получая соединение (I-191) (выход 3,00 г, 63%) в виде бледно-желтого масла.
[0461]
Пример 192. Получение метил 2-[(5-{[3-(4-фтор-2-метоксифенил)пиридин-2-ил]окси}пиримидин-2-ил)(метил)амино]ацетата (I-192) Способом получения, аналогичным способу для соединения (IV-30), соединение (I-192) (выход 22,0 мг, 47%) получали в виде бесцветного масла из соединения (I-191) (50 мг, 0,118 ммоль) и метилового эфира саркозина (82,0 мг, 0,590 ммоль).
[0462]
Пример 193. Получение 5-{[3-(4-фтор-2-метоксифенил)пиридин-2-ил]окси}-N-метил-N-(оксазол-4-илметил)пиримидин-2-амина (I-193) Способом получения, аналогичным способу для соединения (IV-30), соединение (I-193) (выход 24,6 мг, 85%) получали в виде бесцветного масла из соединения (I-191) (30,0 мг, 0,071 ммоль) и N-метил-1-(оксазол-4-ил)метанамина (30,0 мг, 0,268 ммоль).
[0463]
Пример 194. Получение 5-{[3-(4-фтор-2-метоксифенил)пиридин-2-ил]окси}-N-метил-N-(тиазол-2-илметил)пиримидин-2-амина (I-194) Соединение (I-191) (30,0 мг, 0,071 ммоль) растворяли в смеси 1,4-диоксан (0,6 мл)/DMA (0,6 мл), добавляли N-метил-1-(тиазол-2-ил)метанамин (20,0 мг, 0,156 ммоль) и DIPEA (50 мкл, 0,29 ммоль), и смесь перемешивали при 120°C в течение 2 часов. Реакционную смесь охлаждали, добавляли воду, и смесь экстрагировали этилацетатом. Органический слой сушили над безводным сульфатом магния, и растворитель упаривали при пониженном давлении. Остаток очищали колоночной хроматографией на силикагеле (н-гексан:этилацетат), получая соединение (I-194) (выход 3,3 мг, 11%) в виде бесцветного масла.
[0464]
Пример 195. Получение этил 3-(5-{[3-(4-фтор-2-метоксифенил)пиридин-2-ил]окси}пиримидин-2-ил)пропионата (I-195) Соединение (I-191) (300 мг, 0,709 ммоль) растворяли в THF растворе (0,5 моль/л, 12 мл, 6,0 ммоль) бромида 3-этокси-3-оксопропилцинка, добавляли тетракис(трифенилфосфин)палладий (82,0 мг, 0,071 ммоль), и смесь перемешивали при комнатной температуре в течение 18 часов. Растворитель упаривали при пониженном давлении, и остаток нейтрализовали хлористоводородной кислотой, и смесь экстрагировали этилацетатом. Органический слой сушили над безводным сульфатом магния, и растворитель упаривали при пониженном давлении. Остаток очищали колоночной хроматографией на силикагеле (н-гексан:этилацетат), получая соединение (I-195) (выход 200 мг, 71%) в виде желтого масла.
[0465]
Пример 196. Получение этил 2-[(5-{[3-(4-фтор-2-метоксифенил)пиридин-2-ил]окси}пиримидин-2-ил)окси]ацетата (I-196)[0466]
[0467]
Стадия 1
Гидрид натрия (400 мг, 8,33 ммоль) суспендировали в толуоле (10 мл), добавляли этил 2-гидроксиацетат (0,70 мл, 7,40 ммоль), и смесь перемешивали при комнатной температуре в течение 30 мин. К реакционной смеси добавляли (M-30) (1,00 г, 4,53 ммоль), и смесь перемешивали при 60°C в течение 18 часов. Реакционную смесь охлаждали, добавляли насыщенный раствор хлорида аммония, и смесь экстрагировали этилацетатом. Органический слой сушили над безводным сульфатом магния, и растворитель упаривали при пониженном давлении. Остаток очищали колоночной хроматографией на силикагеле (н-гексан:этилацетат), получая соединение (M-31) (выход 650 мг, 50%) в виде бесцветного масла.
Стадия 2
Соединение (M-31) (650 мг, 2,26 ммоль) растворяли в этаноле (10 мл), добавляли 10% Pd/C (300 мг), и смесь перемешивали в атмосфере водорода (3 атм) в течение 16 часов. После фильтрования реакционной смеси через целит, растворитель упаривали при пониженном давлении, получая соединение (II-16) (440 мг, выход 98%) в виде бесцветного масла.
Стадия 3
Способом получения, аналогичным способу для соединения (IV-1), соединение (IV-37) (выход 180 мг, 23%) получали в виде бесцветного масла из соединения (III-1) (450 мг, 2,34 ммоль) и соединения (II-16) (440 мг, 2,22 ммоль).
Стадия 4
Способом получения, аналогичным способу для соединения (I-1), соединение (I-196) (выход 23,6 мг, 70%) получали в виде бесцветного масла из соединения (IV-37) (30,0 мг, 0,0847 ммоль) и соединения (V-12) (20,0 мг, 0,118 ммоль).
[0468]
Справочный пример 197. Получение 5-{[3-(4-фтор-2-метоксифенил)пиридин-2-ил]окси}-2-[(1-метил-1H-пиразол-4-ил)этинил]пиримидина (I-197) Соединение (I-191) (100 мг, 0,236 ммоль) растворяли в THF (5,0 мл), добавляли 1-метил-4-этинилпиразол (75,2 мг, 0,709 ммоль), PdCl2(PPh3)2 (16,6 мг, 0,0236 ммоль), йодид меди (9,0 мг, 0,047 ммоль) и TEA (66 мкл, 0,47 ммоль), и смесь перемешивали при комнатной температуре в течение ночи. Добавляли к реакционной смеси воду, и смесь экстрагировали этилацетатом. Органический слой промывали последовательно водой и насыщенным соляным раствором, сушили над безводным сульфатом натрия и фильтровали. Растворитель упаривали при пониженном давлении, и остаток очищали колоночной хроматографией на силикагеле (н-гексан:этилацетат), получая соединение (I-197) (выход 26,1 мг, 28%) в виде желтого твердого остатка.
[0469]
Пример 198. Получение 5-{[3-(4-фтор-2-метоксифенил)пиридин-2-ил]окси}-2-[2-(1-метил-1H-пиразол-4-ил)этил]пиримидина (I-198) Соединение (I-197) (15,0 мг, 0,0374 ммоль) растворяли в этаноле (2,0 мл), добавляли 10% Pd/C (5,0 мг), и смесь перемешивали в атмосфере водорода (3 атм) в течение 16 часов. Реакционную смесь фильтровали через целит, растворитель упаривали при пониженном давлении, и остаток очищали колоночной хроматографией на силикагеле (н-гексан:этилацетат), получая соединение (I-198) (выход 6,5 мг, 43%) в виде бесцветного масла.
[0470]
Пример 199. Получение 2-(4-хлорфенокси)-3-(2-метоксифенил)пиридина (I-199)[0471]
[0472]
Стадия 1
Соединение (III-1) (647 мг, 3,36 ммоль) и 4-хлорфенол (II-17) (431 мг, 3,36 ммоль) растворяли в DMF (10 мл), добавляли карбонат калия (557 мг, 4,03 ммоль), и смесь перемешивали при 90°C в течение 29 часов. Реакционную смесь охлаждали, добавляли воду, и смесь экстрагировали этилацетатом. Органический слой промывали последовательно водой и насыщенным соляным раствором, сушили над безводным сульфатом натрия и фильтровали. Растворитель упаривали при пониженном давлении, и остаток очищали колоночной хроматографией на силикагеле (NH силикагель, н-гексан:этилацетат=100:0 → 85:15), получая соединение (IV-38) (выход 107 мг, 11%) в виде бледно-желтого твердого остатка.
1H-ЯМР (400 МГц, CDCl3) δ: 6,91 (1H, дд, J=5,0, 7,8 Гц), 7,08-7,14 (2H, м), 7,34-7,41 (2H, м), 7,94 (1H, дд, J=1,8, 7,8 Гц), 8,06 (1H, дд, J=1,8, 5,0 Гц).
ESI-MS m/z: 284, 286, 288 [M+H]+.
Стадия 2
Способом получения, аналогичным способу для соединения (I-1), соединение (I-199) (выход 47,3 мг, 86%) получали в виде белого твердого остатка из соединения (IV-38) (50,0 мг, 0,176 ммоль) и 2-метоксифенилбороновой кислоты (V-1) (34,7 мг, 0,228 ммоль).
[0473]
Пример 200. Получение 2-(4-хлорфенокси)-3-(3-метоксифенил)пиридина (I-200) Способом получения, аналогичным способу для соединения (I-1), соединение (I-200) (выход 49,5 мг, 90%) получали в виде бесцветного масла из соединения (IV-38) (50,0 мг, 0,176 ммоль) и 3-метоксифенилбороновой кислоты (V-2) (34,7 мг, 0,228 ммоль).
[0474]
Пример 201. Получение 3-(2-метоксифенил)-2-[4-(трифторметил)фенокси]пиридина (I-201)[0475]
[0476]
Стадия 1
Способом получения, аналогичным способу для соединения (IV-1), соединение (IV-39) (выход 6,8 г, 35%) получали в виде белого твердого остатка из 4-трифторметилфенола (II-18) (10,0 г, 61,7 ммоль) и соединения (III-1) (14,3 г, 74,0 ммоль).
Стадия 2
Способом получения, аналогичным способу для соединения (I-1), соединение (I-201) (выход 19,9 мг, 61%) получали в виде бесцветного масла из соединения (IV-39) (30,0 мг, 0,0943 ммоль) и 2-метоксифенилбороновой кислоты (V-1) (17,2 мг, 0,113 ммоль).
[0477]
Пример 202. Получение 2-метокси-2'-[4-(трифторметил)фенокси]-3,3'-бипиридина (I-202) Способом получения, аналогичным способу для соединения (I-1), соединение (I-202) (выход 21,1 мг, 65%) получали в виде бесцветного масла из соединения (IV-39) (30,0 мг, 0,0943 ммоль) и 2-метоксипиридин-3-бороновой кислоты (V-26) (17,3 мг, 0,113 ммоль).
[0478]
Пример 203. Получение 2,4-диметокси-2'-[4-(трифторметил)фенокси]-3,3'-бипиридина (I-203)[0479]
[0480]
Стадия 1
К раствору соединения (IV-39) (1,50 г, 4,72 ммоль) в THF (9,4 мл) добавляли 1,3 моль/л THF раствор iPrMgBr•LiCl (7,3 мл, 9,4 ммоль), и смесь перемешивали в течение 30 мин. Затем при охлаждении на льду добавляли триизопропилборат (3,3 мл, 14 ммоль), и смесь перемешивали в течение 1 часа. Затем, добавляли 1 моль/л хлористоводородную кислоту (20 мл), и смесь перемешивали в течение 30 мин. Добавляли к реакционной смеси воду, и смесь экстрагировали этилацетатом. Органический слой промывали последовательно водой и насыщенным соляным раствором, сушили над безводным сульфатом натрия и фильтровали. Растворитель упаривали при пониженном давлении, получая соединение (VIa-4) (выход 1,20 г, 90%) в виде бледно-желтого твердого остатка.
Стадия 2
Способом получения, аналогичным способу для соединения (I-36), соединение (I-203) (выход 34,3 мг, 86%) получали в виде бесцветного масла из соединения (VIa-4) (30,0 мг, 0,105 ммоль) и 3-бром-2,4-диметоксипиридина (VII-32) (27,7 мг, 0,127 ммоль).
[0481]
Пример 204. Получение 3'-метокси-2-[4-(трифторметил)фенокси]-3,4'-бипиридина (I-204) Способом получения, аналогичным способу для соединения (I-1), соединение (I-204) (выход 31,3 мг, 48%) получали в виде бесцветного масла из соединения (IV-39) (50,5 мг, 0,159 ммоль) и 3-метоксипиридин-4-бороновой кислоты (V-27) (29,1 мг, 0,190 ммоль).
[0482]
Пример 205. Получение 3'-метил-2-[4-(трифторметил)фенокси]-3,4'-бипиридина (I-205) К гидробромиду 4-бром-3-метилпиридина (24,6 мг, 0,118 ммоль) добавляли 1,0 моль/л водным раствором гидроксида натрия, и смесь экстрагировали хлороформом. Органический слой сушили над безводным сульфатом натрия и фильтровали. Растворитель упаривали при пониженном давлении, получая 4-бром-3-метилпиридин (VII-33) в виде бесцветного масла.
Остаток растворяли в н-бутаноле (0,6 мл), (A-taPhos)2PdCl2 (4,2 мг, 0,0059 ммоль), добавляли карбонат цезия (76,8 мг, 0,236 ммоль) и соединение (VIa-4) (50,0 мг, 0,079 ммоль), и смесь перемешивали при микроволновом облучении при 120°C в течение 30 мин. Добавляли к реакционной смеси воду, и смесь экстрагировали хлороформом. Органический слой сушили над безводным сульфатом натрия и фильтровали. Растворитель упаривали при пониженном давлении, и остаток очищали колоночной хроматографией на силикагеле (н-гексан:этилацетат), получая соединение (I-205) (выход 30,2 мг, 78%) в виде бесцветного масла.
[0483]
Пример 206. Получение 4'-метил-2-[4-(трифторметил)фенокси]-3,3'-бипиридина (I-206) Способом получения, аналогичным способу для соединения (I-1), соединение (I-206) (выход 24,0 мг, 77%) получали в виде белого твердого остатка из соединения (IV-39) (30,0 мг, 0,0943 ммоль) и 4-метилпиридин-3-бороновой кислоты (V-25) (19,5 мг, 0,139 ммоль).
[0484]
Пример 207. Получение 4'-хлор-5'-фтор-2-[4-(трифторметил)фенокси]-3,3'-бипиридина (I-207) Способом получения, аналогичным способу для соединения (I-36), соединение (I-207) (выход 259 мг, 74%) получали в виде бесцветного масла из соединения (VIa-4) (296 мг, 1,05 ммоль) и соединения (VII-17) (200 мг, 0,950 ммоль).
[0485]
Пример 208. Получение 5'-фтор-4'-метил-2-[4-(трифторметил)фенокси]-3,3'-бипиридина (I-208) Способом получения, аналогичным способу для соединения (I-53), соединение (I-208) (выход 31,5 мг, 67%) получали в виде бесцветного масла из соединения (I-207) (50,0 мг, 0,136 ммоль) и метилбороновой кислоты (48,7 мг, 0,814 ммоль).
[0486]
Пример 209. Получение 5-фтор-2-метокси-2'-[4-(трифторметил)фенокси]-3,3'-бипиридина (I-209) Способом получения, аналогичным способу для соединения (I-1), соединение (I-209) (выход 13,4 мг, 39%) получали в виде бесцветного масла из соединения (IV-39) (30,0 мг, 0,0943 ммоль) и 5-фтор-2-метоксипиридин-3-бороновой кислоты (V-32) (19,4 мг, 0,113 ммоль).
[0487]
Пример 210. Получение 4'-метокси-2-[4-(трифторметил)фенокси]-3,3'-бипиридина (I-210) Соединение (IV-39) (2,50 г, 7,86 ммоль), соединение (V-28) (1,44 г, 9,43 ммоль), (A-taPhos)2PdCl2 (278 мг, 0,393 ммоль) и TEA (1,3 мл, 9,43 ммоль) растворяли в н-бутаноле (15 мл), и смесь перемешивали при микроволновом облучении при 120°C в течение 30 мин. Добавляли к реакционной смеси воду, и смесь экстрагировали этилацетатом. Органический слой промывали последовательно водой и насыщенным соляным раствором, сушили над безводным сульфатом натрия и фильтровали. Растворитель упаривали при пониженном давлении, и остаток очищали колоночной хроматографией на силикагеле (н-гексан:этилацетат), получая соединение (I-210) (выход 1,42 г, 52%) в виде белого твердого остатка.
[0488]
Пример 211. Получение 5'-хлор-4'-метокси-2-[4-(трифторметил)фенокси]-3,3'-бипиридина (I-211) Способом получения, аналогичным способу для соединения (I-36), соединение (I-211) (выход 31,3 мг, 48%) получали в виде бесцветного масла из соединения (VIa-4) (52,9 мг, 0,187 ммоль) и соединения (VII-20) (37,8 мг, 0,170 ммоль).
[0489]
Пример 212. Получение 5'-фтор-4'-метокси-2-[4-(трифторметил)фенокси]-3,3'-бипиридина (I-212)[0490]
[0491]
Стадия 1
Способом получения, аналогичным способу для соединения (VII-20), соединение (VII-34) (выход 93,0 мг, 32%) получали в виде бесцветного масла из соединения (VII-17) (300 мг, 1,43 ммоль) и метоксида натрия (28% метанольный раствор, 0,520 мл, 2,14 ммоль).
Стадия 2
Способом получения, аналогичным способу для соединения (I-36), соединение (I-212) (выход 18,7 мг, 24%) получали в виде бледно-желтого масла из соединения (VIa-4) (74,2 мг, 0,262 ммоль) и соединения (VII-34) (45,0 мг, 0,218 ммоль).
[0492]
Пример 213. Получение 6-метокси-2'-[4-(трифторметил)фенокси]-2,3'-бипиридина (I-213) Способом получения, аналогичным способу для соединения (I-1), соединение (I-213) (выход 17,5 мг, 54%) получали в виде бесцветного масла из соединения (IV-39) (30,0 мг, 0,0943 ммоль) и 6-метоксипиридин-2-бороновой кислоты (V-46) (21,3 мг, 0,139 ммоль).
[0493]
Справочный пример 214. Получение 4'-метокси-5-нитро-2-[4-(трифторметил)фенокси]-3,3'-бипиридина (I-214)[0494]
[0495]
Стадия 1
Способом получения, аналогичным способу для соединения (IV-1), соединение (IV-40) (выход 770 мг, 50%) получали в виде бледно-желтого твердого остатка из соединения (III-6) (1,00 г, 4,21 ммоль) и соединения (II-18) (819 мг, 5,05 ммоль).
Стадия 2
Способом получения, аналогичным способу для соединения (I-127), соединение (I-214) (выход 208 мг, 48%) получали в виде бледно-желтого твердого остатка из соединения (IV-40) (400 мг, 1,10 ммоль) и моногидрата 4-метоксипиридин-3-бороновой кислоты (V-28) (219 мг, 1,43 ммоль).
[0496]
Справочный пример 215. Получение 4'-метокси-2-[4-(трифторметил)фенокси]-3,3'-бипиридин-5-амина (I-215) Соединение (I-214) (189 мг, 0,483 ммоль) растворяли в метаноле (1,6 мл) и этилацетате (0,8 мл), добавляли дигидрат хлорида олова (436 мг, 1,93 ммоль), и смесь перемешивали при комнатной температуре в течение 18 часов. Реакционную смесь концентрировали, разбавляли этилацетатом и промывали последовательно насыщенным водным раствором бикарбоната натрия и насыщенным соляным раствором. Органический слой сушили над безводным сульфатом натрия и фильтровали. При пониженном давлении, растворитель упаривали, и остаток очищали колоночной хроматографией на силикагеле (NH силикагель, н-гексан:этилацетат=60:40 → 10:90), получая соединение (I-215) (выход 163 мг, 93%) в виде бледно-желтого твердого остатка.
[0497]
Пример 216. Получение 5-фтор-4'-метокси-2-[4-(трифторметил)фенокси]-3,3'-бипиридина (I-216) К соединению (I-215) (140 мг, 0,387 ммоль) добавляли водный HBF4 раствор (1,6 мл, 0,387 ммоль), добавляли при 0°C нитрит натрия (29,4 мг, 0,426 ммоль), растворенный в воде (1,0 мл), и смесь перемешивали в течение 1 часа. Осадок собирали фильтрованием, промывали водой и н-гексаном, и сушили при комнатной температуре при пониженном давлении, получая коричневый твердый остаток. К данному твердому остатку добавляли толуол (3,3 мл), и смесь перемешивали при 120°C в течение 2 часов. Реакционную смесь концентрировали, разбавляли этилацетатом и промывали последовательно насыщенным водным раствором бикарбоната натрия и насыщенным соляным раствором. Органический слой сушили над безводным сульфатом натрия и фильтровали. При пониженном давлении, растворитель упаривали, и остаток очищали колоночной хроматографией на силикагеле (силикагель: элюент н-гексан:этилацетат=70:30 → 40:60), получая соединение (I-216) (выход 35,0 мг, 25%) в виде желтого масла.
[0498]
Пример 217. Получение 5-хлор-4'-метокси-2-[4-(трифторметил)фенокси]-3,3'-бипиридина (I-217)[0499]
[0500]
Стадия 1
Способом получения, аналогичным способу для соединения (IV-1), соединение (IV-41) (выход 543 мг, 47%) получали в виде бесцветного масла из соединения (III-7) (500 мг, 2,20 ммоль) и соединения (II-18) (429 мг, 2,64 ммоль).
Стадия 2
Способом получения, аналогичным способу для соединения (I-127), соединение (I-217) (выход 26,0 мг, 23%) получали в виде белого твердого остатка из соединения (IV-41) (100 мг, 0,284 ммоль) и моногидрата 4-метоксипиридин-3-бороновой кислоты (V-28) (65,1 мг, 0,425 ммоль).
[0501]
Пример 218. Получение 2-метокси-3-{2-[4-(трифторметил)фенокси]пиридин-3-ил}пиразина (I-218)[0502]
[0503]
Способом получения, аналогичным способу для соединения (I-36), соединение (I-218) (выход 11,2 мг, 30%) получали в виде белого твердого остатка из соединения (VIa-4) (30,0 мг, 0,105 ммоль) и 2-бром-3-метоксипиразина (VII-35) (24,0 мг, 0,127 ммоль).
[0504]
Пример 219. Получение 4-метокси-5-{2-[4-(трифторметил)фенокси]пиридин-3-ил}пиримидина (I-219)[0505]
[0506]
Стадия 1
Соединение (VII-36) (9,90 г, 41,2 ммоль) растворяли в метаноле (140 мл), добавляли 28% метанольный раствор метоксида натрия (24 мл, 120 ммоль), и смесь перемешивали при 60°C в течение 15 часов. Реакционную смесь охлаждали, добавляли воду, и смесь экстрагировали этилацетатом. Органический слой промывали насыщенным соляным раствором, сушили над безводным сульфатом натрия и фильтровали. Растворитель упаривали при пониженном давлении, получая соединение (VII-37) (выход 7,72 г, 79%) в виде бледно-желтого твердого остатка.
Стадия 2
Способом получения, аналогичным способу для соединения (I-36), соединение (I-219) (выход 16,0 мг, 44%) получали в виде белого твердого остатка из соединения (VIa-4) (30,0 мг, 0,105 ммоль) и соединения (VII-37) (29,9 мг, 0,127 ммоль).
[0507]
Пример 220. Получение 3-(5-хлор-1,3-диметил-1H-пиразол-4-ил)-2-[4-(трифторметил)фенокси]пиридина (I-220) Соединение (IV-39) (100 мг, 0,314 ммоль), 5-хлор-1,3-диметил-1H-пиразол (41,0 мг, 0,314 ммоль), Pd(OAc)2 (1,4 мг, 0,0063 ммоль) и ацетат калия (61,7 мг, 0,629 ммоль) растворяли в DMA (1,0 мл), и смесь перемешивали при микроволновом облучении при 160°C в течение 45 мин. Добавляли к реакционной смеси воду, и смесь экстрагировали этилацетатом. Органический слой промывали последовательно водой и насыщенным соляным раствором, сушили над безводным сульфатом натрия и фильтровали. Растворитель упаривали при пониженном давлении, и остаток очищали колоночной хроматографией на силикагеле (н-гексан:этилацетат), получая соединение (I-220) (выход 3,0 мг, 3%) в виде бесцветного масла.
[0508]
Пример 221. Получение 3-(1-метил-1H-пиразол-5-ил)-2-[4-(трифторметил)фенокси]пиридина (I-221) Способом получения, аналогичным способу для соединения (I-1), соединение (I-221) (выход 440 мг, 44%) получали в виде бесцветного масла из соединения (IV-39) (1,00 г, 3,14 ммоль) и 1-метил-1H-пиразол-5-бороновой кислоты (V-48) (475 мг, 3,77 ммоль).
[0509]
Пример 222. Получение 3-(4-хлор-1-метил-1H-пиразол-5-ил)-2-[4-(трифторметил)фенокси]пиридина (I-222) Соединение (I-221) (40,0 мг, 0,125 ммоль) растворяли в DMF (1,0 мл), добавляли NCS (20,1 мг, 0,150 ммоль), и смесь перемешивали при 80°C в течение 3 часов. Затем, добавляли воду, и смесь экстрагировали этилацетатом. Органический слой сушили над безводным сульфатом натрия и фильтровали. Растворитель упаривали при пониженном давлении. Остаток очищали колоночной хроматографией на силикагеле (н-гексан:этилацетат), получая соединение (I-222) (выход 32,0 мг, 72%) в виде бесцветного масла.
[0510]
Пример 223. Получение 3-(5-метокси-1-метил-1H-пиразол-4-ил)-2-[4-(трифторметил)фенокси]пиридина (I-223)Стадия 1
5-Метокси-1-метил-1H-пиразол (343 мг, 3,06 ммоль) растворяли в ацетонитриле (5,0 мл), добавляли NIS (757 мг, 3,36 ммоль), и смесь перемешивали при 70°C в течение 1 часа. Добавляли насыщенный водный раствор бикарбоната натрия, и смесь экстрагировали этилацетатом, и органический слой сушили над безводным сульфатом натрия. Растворитель упаривали при пониженном давлении, и остаток очищали колоночной хроматографией на силикагеле (н-гексан:этилацетат), получая 4-йод-5-метокси-1-метил-1H-пиразол (VII-38) (выход 225 мг, 31%).
Стадия 2
Соединение (VIa-4) (212 мг, 0,890 ммоль), соединение (VII-38) (210 мг, 0,742 ммоль), (A-taPhos)2PdCl2 (26,3 мг, 0,037 ммоль) и карбонат цезия (484 мг, 1,48 ммоль) растворяли в н-бутаноле (1,0 мл) и воде (0,10 мл), и смесь перемешивали при микроволновом облучении при 120°C в течение 30 мин. Добавляли к реакционной смеси воду, и смесь экстрагировали этилацетатом. Органический слой промывали последовательно водой и насыщенным соляным раствором, сушили над безводным сульфатом натрия и фильтровали. Растворитель упаривали при пониженном давлении, и остаток очищали колоночной хроматографией на силикагеле (н-гексан:этилацетат), получая соединение (I-223) (выход 35,0 мг, 14%) в виде белого твердого остатка.
[0511]
Пример 224. Получение 5-{2-[4-(трифторметил)фенокси]пиридин-3-ил}хиноксалина (I-224) Способом получения, аналогичным способу для соединения (I-36), соединение (I-224) (выход 35,0 мг, 27%) получали в виде белого твердого остатка из соединения (VIa-4) (100 мг, 0,353 ммоль) и 5-бромхиноксалина (VII-2) (73,9 мг, 0,353 ммоль).
[0512]
Пример 225. Получение 8-{2-[4-(трифторметил)фенокси]пиридин-3-ил}-1,6-нафтиридина (I-225) Способом получения, аналогичным способу для соединения (I-36), соединение (I-225) (выход 15,4 мг, 44%) получали в виде белого твердого остатка из соединения (VIa-4) (30,0 мг, 0,106 ммоль) и 8-бром-1,6-нафтиридина (VII-39) (26,9 мг, 0,129 ммоль).
[0513]
Пример 226. Получение 4-{2-[4-(трифторметил)фенокси]пиридин-3-ил}-1,5-нафтиридина (I-226) Способом получения, аналогичным способу для соединения (I-36), соединение (I-226) (выход 7,7 мг, 20%) получали в виде бесцветного масла из соединения (VIa-4) (30,3 мг, 0,107 ммоль) и 4-бром-1,5-нафтиридина (VII-40) (26,9 мг, 0,129 ммоль).
[0514]
Пример 227. Получение 8-{2-[4-(трифторметил)фенокси]пиридин-3-ил}пиридо[3,4-b]пиразина (I-227) Способом получения, аналогичным способу для соединения (I-36), соединение (I-227) (выход 5,6 мг, 22%) получали в виде желтого твердого остатка из соединения (VIa-4) (30,0 мг, 0,106 ммоль) и 8-бромпиридо[3,4-b]пиразина (VII-27) (27,1 мг, 0,129 ммоль).
[0515]
Пример 228. Получение 7-{2-[4-(трифторметил)фенокси]пиридин-3-ил}пиразоло[1,5-a]пиридина (I-228) Способом получения, аналогичным способу для соединения (I-1), соединение (I-228) (выход 6,5 мг, 20%) получали в виде бесцветного масла из соединения (IV-39) (28,6 мг, 0,0899 ммоль) и пиразоло[1,5-a]пиридин-7-бороновой кислоты (V-49) (29,2 мг, 0,180 ммоль).
[0516]
Пример 229. Получение 8-{2-[4-(трифторметил)фенокси]пиридин-3-ил}имидазо[1,2-a]пиридина (I-229)Стадия 1
2-Амино-3-бромпиридин (VII-41) (5,00 г, 28,9 ммоль) растворяли в этаноле (100 мл), добавляли бикарбонат натрия (3,64 г, 43,3 ммоль) и 2-хлорацетальдегид (7,1 мл, 43 ммоль), и смесь перемешивали при кипячении с обратным холодильником в течение 4 часов. Смесь охлаждали, и растворитель упаривали при пониженном давлении. Добавляли воду, и смесь экстрагировали этилацетатом. Органический слой промывали насыщенным соляным раствором, сушили над безводным сульфатом натрия и фильтровали. Растворитель упаривали при пониженном давлении. Остаток очищали колоночной хроматографией на силикагеле (н-гексан:этилацетат=70:30→ 40:60), получая 8-бромимидазо[1,2-a]пиридин (VII-42) (выход 5,71 г, количественный).
Стадия 2
Способом получения, аналогичным способу для соединения (I-36), соединение (I-229) (выход 12,2 мг, 17%) получали в виде бесцветного масла из соединения (VIa-4) (58,2 мг, 0,206 ммоль) и соединения (VII-42) (48,6 мг, 0,247 ммоль).
[0517]
Пример 230. Получение 5-{2-[4-(трифторметил)фенокси]пиридин-3-ил}[1,2,4]триазоло[1,5-a]пиридина (I-230) Способом получения, аналогичным способу для соединения (I-36), соединение (I-230) (выход 2,0 мг, 3%) получали в виде белого твердого остатка из соединения (VIa-4) (60,0 мг, 0,212 ммоль) и 5-бром[1,2,4]триазоло[1,5-a]пиридина (VII-9) (54,6 мг, 0,276 ммоль).
[0518]
Пример 231. Получение 5-{2-[4-(трифторметил)фенокси]пиридин-3-ил}имидазо[1,2-a]пиразина (I-231)[0519]
[0520]
Способом получения, аналогичным способу для соединения (I-1), соединение (I-231) (выход 11,8 мг, 30%) получали в виде белого твердого остатка из соединения (VIa-4) (40,0 мг, 0,141 ммоль) и 5-бромимидазо[1,2-a]пиразина (VII-43) (28,0 мг, 0,141 ммоль).
[0521]
Пример 232. Получение 6-метил-7-{2-[4-(трифторметил)фенокси]пиридин-3-ил}-2,3-дигидропиразоло[5,1-b]оксазола (I-232)[0522]
[0523]
Стадия 1
Соединение (M-32) (1,00 г, 10,2 ммоль) и карбонат калия (2,82 г, 20,4 ммоль) растворяли в ацетонитриле (20 мл), добавляли TBAB (657 мг, 2,04 ммоль) и 1,2-дибромэтан (2,87 г, 15,3 ммоль), и смесь перемешивали при 50°C в течение 14 часов. Затем, добавляли воду, и смесь экстрагировали этилацетатом. Органический слой сушили над безводным сульфатом натрия и фильтровали. Растворитель упаривали при пониженном давлении, получая неочищенное соединение (M-33).
Стадия 2
Соединение (M-33) растворяли в ацетонитриле (20 мл), добавляли NIS (2,29 г, 10,2 ммоль), и смесь перемешивали при 70°C в течение 1 часа. Затем, добавляли насыщенный водный раствор бикарбоната натрия, и смесь экстрагировали этилацетатом. Органический слой сушили над безводным сульфатом натрия и фильтровали, и растворитель упаривали при пониженном давлении. Остаток очищали колоночной хроматографией на силикагеле (н-гексан:этилацетат), получая соединение (VII-44) [выход 332 мг, 13% (2 стадии)].
Стадия 3
Способом получения, аналогичным способу для соединения (I-1), соединение (I-232) (выход 12,8 мг, 20%) получали в виде белого твердого остатка из соединения (VIa-4) (50,0 мг, 0,177 ммоль) и соединения (VII-44) (53,0 мг, 0,212 ммоль).
[0524]
Пример 233. Получение 2-метил-3-{2-[4-(трифторметил)фенокси]пиридин-3-ил}-5,6,7,8-тетрагидропиразоло[5,1-b][1,3]оксазепина (I-233)[0525]
[0526]
Стадия 1
Соединение (M-32) (1,00 г, 10,2 ммоль) и карбонат калия (4,23 г, 30,6 ммоль) растворяли в ацетонитриле (30 мл), добавляли 1,4-дибромбутан (2,64 г, 12,2 ммоль), и смесь перемешивали при 50°C в течение 12 часов. Затем, добавляли воду, и смесь экстрагировали этилацетатом. Органический слой сушили над безводным сульфатом натрия и фильтровали, и растворитель упаривали при пониженном давлении. Остаток очищали колоночной хроматографией на силикагеле (н-гексан:этилацетат), получая соединение (M-34).
Стадия 2
Соединение (M-34) растворяли в ацетонитриле (30 мл), добавляли NIS (3,22 г, 14,3 ммоль), и смесь перемешивали при 70°C в течение 30 мин. Затем, насыщенный водный раствор бикарбоната натрия добавляли, и смесь экстрагировали этилацетатом. Органический слой сушили над безводным сульфатом натрия и фильтровали, и растворитель упаривали при пониженном давлении. Остаток очищали колоночной хроматографией на силикагеле (н-гексан:этилацетат), получая соединение (VII-45) [выход 825 мг, 29% (2 стадии)].
Стадия 3
Способом получения, аналогичным способу для соединения (I-36), соединение (I-233) (выход 10,1 мг, 14%) получали в виде бесцветного масла из соединения (VIa-4) (61,1 мг, 0,216 ммоль) и соединения (VII-45) (50,0 мг, 0,180 ммоль).
[0527]
Пример 234. Получение 2-(4-бромфенокси)-4'-метокси-3,3'-бипиридина (I-234)[0528]
[0529]
Стадия 1
Способом получения, аналогичным способу для соединения (VIII-1), бипиридильное соединение (VIII-3) (выход 1,48 г, 50%) получали из соединения (III-8) (2,55 г, 14,5 ммоль) и соединения (V-28) (3,32 г, 21,7 ммоль).
Стадия 2
Соединение (VIII-3) (25,0 мг, 0,122 ммоль) и 4-бромфенол (II-19) (63,5 мг, 0,367 ммоль) растворяли в NMP (0,50 мл), добавляли карбонат цезия (120 мг, 0,367 ммоль), и смесь перемешивали при микроволновом облучении при 180°C в течение 30 мин. Реакционную смесь охлаждали, добавляли 1 моль/л водный раствор гидроксида натрия, и смесь экстрагировали этилацетатом. Органический слой промывали насыщенным соляным раствором, сушили над безводным сульфатом натрия и фильтровали. Растворитель упаривали при пониженном давлении, и остаток очищали колоночной хроматографией на силикагеле (н-гексан:этилацетат), получая соединение (I-234) (выход 13,2 мг, 30%) в виде бесцветного масла.
[0530]
Пример 235. Получение 2-(4-хлорфенокси)-4'-метокси-3,3'-бипиридина (I-235) Способом получения, аналогичным способу для соединения (I-1), соединение (I-235) (выход 23,3 мг, 43%) получали в виде бесцветного масла из соединения (IV-38) (50,0 мг, 0,176 ммоль) и соединения (V-28) (32,3 мг, 0,211 ммоль).
[0531]
Пример 236. Получение 2-(4-фторфенокси)-4'-метокси-3,3'-бипиридина (I-236) Способом получения, аналогичным способу для соединения (I-234), соединение (I-236) (выход 24,0 мг, 55%) получали в виде белого твердого остатка из соединения (VIII-3) (30,0 мг, 0,147 ммоль) и 4-фторфенола (II-20) (63,5 мг, 0,367 ммоль).
[0532]
Пример 237. Получение 4'-метокси-2-[4-(трифторметокси)фенокси]-3,3'-бипиридина (I-237)[0533]
[0534]
Стадия 1
Способом получения, аналогичным способу для соединения (IV-1), соединение (IV-42) (выход 328 мг, 50%) получали в виде белого твердого остатка из соединения (III-1) (455 мг, 2,36 ммоль) и 4-(трифторметокси)фенола (II-21) (350 мг, 1,97 ммоль).
Стадия 2
Способом получения, аналогичным способу для соединения (I-1), соединение (I-237) (выход 21,0 мг, 39%) получали в виде бесцветного масла из соединения (IV-42) (50,0 мг, 0,150 ммоль) и соединения (V-28) (34,4 мг, 0,224 ммоль).
[0535]
Пример 238. Получение 2-[4-(дифторметокси)фенокси]-4'-метокси-3,3'-бипиридина (I-238)[0536]
[0537]
Стадия 1
Способом получения, аналогичным способу для соединения (IV-1), соединение (IV-43) (выход 3,12 г, 79%) получали из соединения (III-1) (3,12 г, 12,5 ммоль) и 4-(дифторметокси)фенола (II-22) (2,00 г, 12,5 ммоль).
Стадия 2
Способом получения, аналогичным способу для соединения (I-1), соединение (I-238) (выход 7,3 мг, 6%) получали в виде бесцветного масла из соединения (IV-43) (112 мг, 0,354 ммоль) и соединения (V-28) (81,0 мг, 0,531 ммоль).
[0538]
Пример 239. Получение 4'-метокси-2-{4-[(трифторметил)тио]фенокси}-3,3'-бипиридина (I-239)[0539]
[0540]
Стадия 1
Способом получения, аналогичным способу для соединения (IV-1), соединение (IV-44) (выход 1,10 г, 61%) получали в виде бесцветного масла из соединения (III-1) (1,00 г, 5,20 ммоль) и 4-(трифторметилтио)фенола (II-23) (1,51 г, 7,79 ммоль).
Стадия 2
Способом получения, аналогичным способу для соединения (I-1), соединение (I-239) (выход 28,0 мг, 52%) получали в виде бесцветного масла из соединения (IV-44) (50,0 мг, 0,143 ммоль) и соединения (V-28) (36,6 мг, 0,214 ммоль).
[0541]
Пример 240. Получение 4'-метокси-2-[4-(пентафторсульфанил)фенокси]-3,3'-бипиридина (I-240)[0542]
[0543]
Стадия 1
Способом получения, аналогичным способу для соединения (IV-1), соединение (IV-45) (выход 309 мг, 60%) получали в виде белого твердого остатка из соединения (III-1) (315 мг, 1,64 ммоль) и 4-(пентафторсульфанил)фенола (II-24) (300 мг, 1,36 ммоль).
Стадия 2
Способом получения, аналогичным способу для соединения (I-1), соединение (I-240) (выход 15,1 мг, 28%) получали в виде бесцветного масла из соединения (IV-45) (50,0 мг, 0,133 ммоль) и соединения (V-28) (34,1 мг, 0,199 ммоль).
[0544]
Пример 241. Получение 4'-метокси-2-[4-(метилтио)фенокси]-3,3'-бипиридина (I-241)[0545]
[0546]
Способом получения, аналогичным способу для соединения (I-234), соединение (I-241) (выход 24,0 мг, 55%) получали в виде белого твердого остатка из соединения (VIII-3) (30,0 мг, 0,147 ммоль) и 4-(метилтио)фенола (II-25) (63,5 мг, 0,367 ммоль).
[0547]
Пример 242. Получение 4'-метокси-2-(4-метоксифенокси)-3,3'-бипиридина (I-242)[0548]
[0549]
Стадия 1
Способом получения, аналогичным способу для соединения (IV-1), соединение (IV-46) (выход 827 мг, 60%) получали в виде белого твердого остатка из соединения (III-1) (1,00 г, 5,20 ммоль) и гидрохинона (II-26) (1,14 г, 10,4 ммоль).
Стадия 2
Соединение (IV-46) (100 мг, 0,376 ммоль) растворяли в DMF (1,9 мл), последовательно добавляли гидрид натрия (36,1 мг, 0,752 ммоль) и метилйодид (35,2 мкл, 0,564 ммоль), и смесь перемешивали при комнатной температуре в течение 1 часа. Добавляли воду, и смесь экстрагировали этилацетатом. Органический слой промывали последовательно водой и насыщенным соляным раствором, сушили над безводным сульфатом натрия и фильтровали. Растворитель упаривали при пониженном давлении, и остаток очищали колоночной хроматографией на силикагеле (н-гексан:этилацетат), получая соединение (IV-47) (выход 102 мг, 97%) в виде белого твердого остатка.
Стадия 3
Способом получения, аналогичным способу для соединения (I-1), соединение (I-242) (выход 20,2 мг, 37%) получали в виде белого твердого остатка из соединения (IV-47) (50,0 мг, 0,179 ммоль) и соединения (V-28) (54,8 мг, 0,358 ммоль).
[0550]
Пример 243. Получение 4-{[4'-метокси-(3,3'-бипиридин)-2-ил]окси}бензонитрила (I-243)[0551]
[0552]
Стадия 1
Способом получения, аналогичным способу для соединения (IV-1), соединение (IV-48) (выход 213 мг, 68%) получали из соединения (III-1) (200 мг, 1,14 ммоль) и 4-гидроксибензонитрила (II-27) (149 мг, 1,25 ммоль).
Стадия 2
Способом получения, аналогичным способу для соединения (I-1), соединение (I-243) (выход 9,9 мг, 30%) получали в виде белого твердого остатка из соединения (IV-48) (30,0 мг, 0,109 ммоль) и соединения (V-28) (25,0 мг, 0,164 ммоль).
[0553]
Пример 244. Получение 1-(4-{[4'-метокси-(3,3'-бипиридин)-2-ил]окси}фенил)этанона (I-244)[0554]
[0555]
Стадия 1
Способом получения, аналогичным способу для соединения (IV-1), соединение (IV-49) (выход 4,23 г, 85%) получали в виде белого твердого остатка из соединения (III-1) (3,00 г, 17,0 ммоль) и 4-гидроксиацетофенона (II-28) (2,79 г, 20,5 ммоль).
Стадия 2
Способом получения, аналогичным способу для соединения (I-1), соединение (I-244) (выход 10,1 мг, 18%) получали в виде белого твердого остатка из соединения (IV-49) (50,0 мг, 0,171 ммоль) и соединения (V-28) (39,3 мг, 0,257 ммоль).
[0556]
Пример 245. Получение этил 4-{[4'-метокси-(3,3'-бипиридин)-2-ил]окси}бензоата (I-245)[0557]
[0558]
Стадия 1
Способом получения, аналогичным способу для соединения (IV-1), соединение (IV-50) (выход 11,8 г, 71%) получали в виде белого твердого остатка из соединения (III-1) (10,0 г, 52,0 ммоль) и этил 4-гидроксибензоата (II-29) (10,4 г, 62,6 ммоль).
Стадия 2
Соединение (IV-50) (300 мг, 0,931 ммоль), соединение (V-28) (214 мг, 0,140 ммоль) и (A-taPhos)2PdCl2 (33,0 мг, 0,0470 ммоль) растворяли в 1,4-диоксане (2,5 мл), добавляли 3,7 моль/л водный раствор фторида цезия (0,50 мл, 1,86 ммоль), и смесь перемешивали при микроволновом облучении при 120°C в течение 30 мин. Добавляли к реакционной смеси воду, и смесь экстрагировали этилацетатом. Органический слой промывали последовательно водой и насыщенным соляным раствором, сушили над безводным сульфатом натрия и фильтровали. Растворитель упаривали при пониженном давлении, и остаток очищали колоночной хроматографией на силикагеле (NH силикагель, н-гексан:этилацетат=95:5 → 50:50), получая соединение (I-245) (выход 101 мг, 31%) в виде белого твердого остатка.
[0559]
Пример 246. Получение 4-{[4'-метокси-(3,3'-бипиридин)-2-ил]окси}бензальдегида (I-246)[0560]
[0561]
Стадия 1
Способом получения, аналогичным способу для соединения (IV-1), соединение (IV-51) (выход 1,13 г, 23%) получали в виде белого твердого остатка из соединения (III-1) (5,00 г, 26,0 ммоль) и 4-гидроксибензальдегида (II-30) (2,11 г, 17,3 ммоль).
Стадия 2
Способом получения, аналогичным способу для соединения (I-1), соединение (I-246) (выход 493 мг, 45%) получали в виде желтого масла из соединения (IV-51) (1,00 г, 3,60 ммоль) и соединения (V-28) (715 мг, 4,18 ммоль).
[0562] Получение 4'-метокси-2-[4-(2,2,2-трифторэтил)фенокси]-3,3'-бипиридина (I-249)[0563]
[0564]
Пример 247. Получение 2,2,2-трифтор-1-(4-{[4'-метокси-(3,3'-бипиридин)-2-ил]окси}фенил)этанола (I-247) К раствору соединения (I-246) (200 мг, 0,653 ммоль) в THF (2,0 мл) последовательно добавляли при охлаждении на льду триметилсилилтрифторметан (115 мкл, 0,778 ммоль) и TBAF (65 мкл, 0,065 ммоль), и смесь нагревали до комнатной температуры и перемешивали в течение 6 часов. Реакционную смесь охлаждали на льду, последовательно добавляли триметилсилилтрифторметан (30 мкл, 0,203 ммоль) и 1,0 моль/л THF раствор TBAF (0,65 мл, 0,59 ммоль), и смесь нагревали до комнатной температуры и перемешивали в течение 17 часов. Добавляли 1 моль/л хлористоводородную кислоту (2,0 мл), и смесь перемешивали при комнатной температуре в течение 1 часа. К реакционной смеси добавляли насыщенный водный раствор бикарбоната натрия, и смесь экстрагировали этилацетатом. Органический слой промывали насыщенным соляным раствором, сушили над безводным сульфатом натрия и фильтровали. Растворитель упаривали при пониженном давлении, и остаток очищали колоночной хроматографией на силикагеле (NH силикагель, н-гексан:этилацетат=50:50 → 0:100), получая соединение (I-247) (выход 167 мг, 68%) в виде белого твердого остатка.
[0565]
Справочный пример 248. Получение 2,2,2-трифтор-1-(4-{[4'-метокси-(3,3'-бипиридин)-2-ил]окси}фенил)этил 4-метилбензолсульфоната (I-248) К раствору соединения (I-247) (100 мг, 0,266 ммоль), DMAP (1,6 мг, 0,013 ммоль) и TEA (74 мкл, 0,53 ммоль) в DCM (3,0 мл) добавляли при охлаждении на льду TsCl (55,7 мг, 0,292 ммоль), и смесь перемешивали при комнатной температуре в течение 5 дней. Добавляли к реакционной смеси воду, и смесь экстрагировали этилацетатом. Органический слой сушили над безводным сульфатом натрия и фильтровали. Растворитель упаривали при пониженном давлении, и остаток очищали колоночной хроматографией на силикагеле (NH силикагель, н-гексан:этилацетат=40:60 → 0:100), получая соединение (I-248) (выход 78,1 мг, 55%) в виде белого твердого остатка.
[0566]
Пример 249. Получение 4'-метокси-2-[4-(2,2,2-трифторэтил)фенокси]-3,3'-бипиридина (I-249) Соединение (I-248) (70,0 мг, 0,132 ммоль) растворяли в этаноле (3,0 мл), добавляли гидроксид палладия на угле (Pd 20%) (14,0 мг), и смесь перемешивали в атмосфере водорода 0,3 МПа при комнатной температуре в течение 2 часов. Реакционную смесь фильтровали через целит. Растворитель упаривали при пониженном давлении, и остаток очищали колоночной хроматографией на силикагеле (NH силикагель, н-гексан:этилацетат=95:5 → 20:80), получая соединение (I-249) (выход 30,9 мг, 65%) в виде бесцветного масла.
[0567]
Пример 250. Получение (4-{[4'-метокси-(3,3'-бипиридин)-2-ил]окси}фенил)метанола (I-250)Стадия 1
Способом получения, аналогичным способу для соединения (IV-1), соединение (IV-52) (выход 682 мг, 60%) получали в виде желтого масла из соединения (III-1) (412 мг, 2,14 ммоль) и 4-гидроксиметилфенола (II-31) (500 мг, 1,79 ммоль).
Стадия 2
Способом получения, аналогичным способу для соединения (I-1), соединение (I-250) (выход 98,0 мг, 45%) получали в виде бесцветного масла из соединения (IV-52) (200 мг, 0,714 ммоль) и соединения (V-28) (164 мг, 1,07 ммоль).
[0568]
Пример 251. Получение 4'-метокси-2-[4-(метоксиметил)фенокси]-3,3'-бипиридина (I-251)[0569]
[0570]
Соединение (I-250) (30,0 мг, 0,097 ммоль) растворяли в DMF (1,0 мл), добавляли 50% гидрид натрия (9,3 мг, 0,19 ммоль), и смесь перемешивали при комнатной температуре в течение 5 мин. К реакционной смеси добавляли метилйодид (12 мкл, 0,19 ммоль), и смесь перемешивали при комнатной температуре в течение 1 часа. Добавляли к реакционной смеси воду, и смесь экстрагировали хлороформом. Органический слой сушили над безводным сульфатом натрия, и растворитель упаривали при пониженном давлении. Остаток очищали колоночной хроматографией на силикагеле (н-гексан:этилацетат=0:100 → 33:67), получая соединение (I-251) (выход 3,2 мг, 10%) в виде бесцветного масла.
[0571]
Пример 252. Получение 4'-метокси-2-(p-толилокси)-3,3'-бипиридина (I-252)[0572]
[0573]
Стадия 1
Способом получения, аналогичным способу для соединения (IV-1), соединение (IV-53) (выход 1,09 г, 78%) получали в виде желтого масла из соединения (III-1) (1,00 г, 5,25 ммоль) и п-крезола (II-32) (0,62 мл, 5,8 ммоль).
Стадия 2
Способом получения, аналогичным способу для соединения (I-1), соединение (I-252) (выход 34,8 мг, 63%) получали в виде бесцветного масла из соединения (IV-53) (50,0 мг, 0,189 ммоль) и соединения (V-28) (43,4 мг, 0,284 ммоль).
[0574]
Пример 253. Получение 2-(4-этилфенокси)-4'-метокси-3,3'-бипиридина (I-253)[0575]
[0576]
Стадия 1
Способом получения, аналогичным способу для соединения (IV-1), соединение (IV-54) (выход 1,14 г, 82%) получали в виде белого твердого остатка из соединения (III-1) (1,00 г, 5,25 ммоль) и 4-этилфенола (II-33) (698 мг, 5,78 ммоль).
Стадия 2
Способом получения, аналогичным способу для соединения (I-1), соединение (I-253) (выход 10,5 мг, 19%) получали в виде белого твердого остатка из соединения (IV-54) (50,0 мг, 0,180 ммоль) и соединения (V-28) (41,2 мг, 0,270 ммоль).
[0577]
Пример 254. Получение 4'-метокси-2-(4-пропилфенокси)-3,3'-бипиридина (I-254)[0578]
[0579]
Стадия 1
Способом получения, аналогичным способу для соединения (IV-1), соединение (IV-55) (выход 601 мг, 79%) получали в виде бесцветного масла из соединения (III-1) (500 мг, 2,60 ммоль) и 4-пропилфенола (II-34) (425 мг, 3,12 ммоль).
Стадия 2
Способом получения, аналогичным способу для соединения (I-1), соединение (I-254) (выход 34,4 мг, 63%) получали в виде бесцветного масла из соединения (IV-55) (50,0 мг, 0,171 ммоль) и соединения (V-28) (43,9 мг, 0,257 ммоль).
[0580]
Пример 255. Получение 2-(4-изопропилфенокси)-4'-метокси-3,3'-бипиридина (I-255)[0581]
[0582]
Стадия 1
Способом получения, аналогичным способу для соединения (IV-1), соединение (IV-56) (выход 1,93 г, 90%) получали в виде белого твердого остатка из 4-изопропилфенола (II-35) (1,00 г, 7,34 ммоль) и соединения (III-1) (1,41 г, 7,34 ммоль).
Стадия 2
Способом получения, аналогичным способу для соединения (I-1), соединение (I-255) (выход 23,8 мг, 43%) получали в виде бесцветного масла из соединения (IV-56) (50,0 мг, 0,171 ммоль) и соединения (V-28) (43,9 мг, 0,257 ммоль).
[0583]
Пример 256. Получение 2-[4-(втор-бутил)фенокси]-4'-метокси-3,3'-бипиридина (I-256)[0584]
[0585]
Стадия 1
Способом получения, аналогичным способу для соединения (IV-1), соединение (IV-57) (выход 720 мг, 91%) получали в виде бесцветного масла из соединения (III-1) (500 мг, 2,60 ммоль) и 4-втор-бутилфенола (II-36) (468 мг, 3,12 ммоль).
Стадия 2
Способом получения, аналогичным способу для соединения (I-1), соединение (I-256) (выход 21,2 мг, 39%) получали в виде бесцветного масла из соединения (IV-57) (50,0 мг, 0,163 ммоль) и соединения (V-28) (41,9 мг, 0,245 ммоль).
[0586]
Пример 257. Получение 2-(4-{[4'-метокси-(3,3'-бипиридин)-2-ил]окси}фенил)этанола (I-257)[0587]
[0588]
Стадия 1
Способом получения, аналогичным способу для соединения (IV-1), соединение (IV-58) (выход 3,29 г, 98%) получали в виде белого твердого остатка из соединения (III-1) (2,01 г, 11,4 ммоль) и 4-(2-гидроксиэтил)фенола (II-37) (1,74 г, 12,6 ммоль).
Стадия 2
Способом получения, аналогичным способу для соединения (I-1), соединение (I-257) (выход 330 мг, 75%) получали в виде бесцветного масла из соединения (IV-58) (400 мг, 1,36 ммоль) и соединения (V-28) (312 мг, 2,04 ммоль).
[0589]
Пример 258. Получение 4'-метокси-2-(4-винилфенокси)-3,3'-бипиридина (I-258)[0590]
[0591]
Соединение (I-257) (22,0 мг, 0,0680 ммоль) растворяли в DCM (1,0 мл), последовательно добавляли TEA (29 мкл, 0,205 ммоль) и метансульфонилхлорид (8,0 мкл, 0,10 ммоль), и смесь перемешивали при комнатной температуре в течение 30 мин. Добавляли к реакционной смеси воду, и смесь экстрагировали этилацетатом. Органический слой промывали последовательно водой и насыщенным соляным раствором, сушили над безводным сульфатом натрия и фильтровали. Растворитель упаривали при пониженном давлении, получая мезилированный продукт.
Полученный мезилированный продукт растворяли в этаноле (0,50 мл), добавляли карбонат цезия (44,5 мг, 0,136 ммоль), и смесь перемешивали при комнатной температуре в течение 19 часов. Добавляли к реакционной смеси воду, и смесь экстрагировали хлороформом, и растворитель упаривали при пониженном давлении. Остаток очищали колоночной хроматографией на силикагеле (н-гексан:этилацетат), получая соединение (I-258) [выход 5,8 мг, 28% (2 стадии)] в виде белого твердого остатка.
[0592]
Справочный пример 259. Получение 4'-метокси-2-{4-[(триметилсилил)этинил]фенокси}-3,3'-бипиридина (I-259)[0593]
[0594]
Соединение (I-234) (300 мг, 0,840 ммоль), йодид меди (16,0 мг, 0,0840 ммоль) и PdCl2(dppf) (34,3 мг, 0,0420 ммоль) суспендировали в TEA (3,0 мл), добавляли триметилсилилацетилен (0,24 мл, 1,7 ммоль), и смесь перемешивали при микроволновом облучении при 100°C в течение 30 мин. Затем, смесь перемешивали при микроволновом облучении при 120°C в течение 30 мин. Реакционную смесь фильтровали через целит, и растворитель упаривали при пониженном давлении. Остаток очищали колоночной хроматографией на силикагеле (NH силикагель, н-гексан:этилацетат=95:5 → 60:40), получая соединение (I-259) (выход 297 мг, 94%) в виде оранжевого твердого остатка.
[0595]
Пример 260. Получение 2-(4-этинилфенокси)-4'-метокси-3,3'-бипиридина (I-260)[0596]
[0597]
Соединение (I-259) (285 мг, 0,761 ммоль) растворяли в THF (2,0 мл), добавляли TBAF (1,0 моль/л THF раствор, 1,9 мл, 1,9 ммоль), и смесь перемешивали при комнатной температуре в течение 1 часа. Затем, смесь перемешивали при микроволновом облучении при 120°C в течение 30 мин. Добавляли к реакционной смеси воду, и смесь экстрагировали этилацетатом. Органический слой промывали последовательно водой и насыщенным соляным раствором, сушили над безводным сульфатом натрия и фильтровали. Растворитель упаривали при пониженном давлении, и остаток очищали колоночной хроматографией на силикагеле (н-гексан:этилацетат=3:97 → 50:50), получая соединение (I-260) (выход 67,8 мг, 30%) в виде белого твердого остатка.
[0598]
Пример 261. Получение 2-(4-циклопропилфенокси)-4'-метокси-3,3'-бипиридина (I-261)[0599]
[0600]
Стадия 1
Способом получения, аналогичным способу для соединения (IV-1), соединение (IV-59) (выход 14,8 г, 87%) получали из соединения (III-1) (9,62 г, 50,0 ммоль) и 4-йодфенола (II-38) (10,0 г, 45,5 ммоль).
Стадия 2
Соединение (IV-59) (500 мг, 1,33 ммоль) растворяли в THF (2,0 мл), последовательно добавляли бромид циклопропилцинка (0,5 моль/л THF раствор, 2,9 мл, 1,5 ммоль) и тетракис(трифенилфосфин)палладий (77,0 мг, 0,0660 ммоль), и смесь перемешивали при комнатной температуре в течение 3,5 часов. К реакционной смеси добавляли насыщенный водный раствор бикарбоната натрия, и смесь экстрагировали этилацетатом. Органический слой промывали последовательно насыщенным водным раствором бикарбоната натрия и насыщенным соляным раствором, сушили над безводным сульфатом натрия и фильтровали. Растворитель упаривали при пониженном давлении, и остаток очищали колоночной хроматографией на силикагеле (н-гексан:этилацетат=97:3 → 80:20), получая соединение (IV-60) (выход 172 мг, 45%) в виде бесцветного масла.
Стадия 3
Способом получения, аналогичным способу для соединения (I-1), соединение (I-261) (выход 14,4 мг, 33%) получали в виде бесцветного масла из соединения (IV-60) (40,0 мг, 0,138 ммоль) и соединения (V-28) (31,6 мг, 0,207 ммоль).
[0601]
Пример 262. Получение 2-(3,4-диметилфенокси)-4'-метокси-3,3'-бипиридина (I-262)[0602]
[0603]
Стадия 1
Способом получения, аналогичным способу для соединения (IV-1), соединение (IV-61) (выход 960 мг, 42%) получали в виде бесцветного масла из соединения (III-1) (1,57 г, 8,18 ммоль) и 3,4-диметилфенола (II-39) (1,00 г, 8,18 ммоль).
Стадия 2
Способом получения, аналогичным способу для соединения (I-1), соединение (I-262) (выход 12,3 мг, 11%) получали в виде бесцветного масла из соединения (IV-61) (100 мг, 0,360 ммоль) и соединения (V-28) (82,6 мг, 0,540 ммоль).
[0604]
Пример 263. Получение 2-(4-этил-3-метилфенокси)-4'-метокси-3,3'-бипиридина (I-263)[0605]
[0606]
Стадия 1
Способом получения, аналогичным способу для соединения (IV-1), соединение (IV-62) (выход 3,12 г, 94%) получали в виде белого твердого остатка из соединения (III-1) (1,97 г, 10,3 ммоль) и 4-йод-3-метилфенола (II-40) (2,00 г, 8,55 ммоль).
Стадия 2
Соединение (IV-62) (515 мг, 1,32 ммоль) растворяли в THF (3,0 мл), последовательно добавляли PdCl2(dppf)•DCM (53,9 мг, 0,0660 ммоль) и диэтилцинк (1,0 моль/л THF раствор, 1,4 мл, 1,39 ммоль), и смесь перемешивали при комнатной температуре в течение 2,5 часов. К реакционной смеси добавляли насыщенный водный раствор бикарбоната натрия, и смесь экстрагировали этилацетатом. Органический слой промывали последовательно насыщенным водным раствором бикарбоната натрия и насыщенным соляным раствором, сушили над безводным сульфатом натрия и фильтровали. Растворитель упаривали при пониженном давлении, и остаток очищали колоночной хроматографией на силикагеле (н-гексан:этилацетат=97:3 → 85:15), получая соединение (IV-63) (выход 309 мг, 80%) в виде бесцветного масла.
Стадия 3
Способом получения, аналогичным способу для соединения (I-1), соединение (I-263) (выход 13,8 мг, 25%) получали в виде бесцветного масла из соединения (IV-63) (50,0 мг, 0,171 ммоль) и соединения (V-28) (39,3 мг, 0,257 ммоль).
[0607]
Пример 264. Получение 2-(3-этил-4-метилфенокси)-4'-метокси-3,3'-бипиридина (I-264)[0608]
[0609]
Стадия 1
3-Бром-4-метилфенол (II-41) (500 мг, 2,67 ммоль) растворяли в DMF (3,0 мл), последовательно добавляли при охлаждении на льду карбонат калия (739 мг, 5,35 ммоль), бензилбромид (0,38 мл, 3,2 ммоль) и TBAI (49,4 мг, 0,134 ммоль), и смесь перемешивали при комнатной температуре в течение 1 часа. Добавляли к реакционной смеси воду, и смесь экстрагировали этилацетатом. Органический слой промывали последовательно водой и насыщенным соляным раствором, сушили над безводным сульфатом натрия и фильтровали. Растворитель упаривали при пониженном давлении, и остаток очищали колоночной хроматографией на силикагеле (н-гексан:этилацетат=97:3 → 85:15), получая бензилокси соединение (M-35) (выход 635 мг, 88%) в виде бледно-желтого масла.
[0610]
Стадия 2
Способом получения, аналогичным способу для соединения (IV-63), 4-(бензилокси)-2-этил-1-метилбензол (M-36) (выход 290 мг, 89%) получали в виде бесцветного масла из бензилокси соединения (M-35) (400 мг, 1,44 ммоль) и диэтилцинка (1,0 моль/л THF раствор, 2,2 мл, 2,2 ммоль).
Стадия 3
4-(Бензилокси)-2-этил-1-метилбензол (M-36) (290 мг, 1,28 ммоль) растворяли в THF (2,0 мл) и метаноле (2,0 мл), добавляли 20% гидроксид палладия на угле (29,0 мг), и смесь перемешивали в атмосфере водорода (1 атм) при комнатной температуре в течение 17 часов. Твердый реагент фильтрованием через целит, и растворитель упаривали при пониженном давлении, получая соединение (II-42) (выход 175 мг, количественный) в виде бледно-оранжевого масла.
Стадия 4
Способом получения, аналогичным способу для соединения (IV-1), соединение (IV-64) (выход 320 мг, 85%) получали в виде бесцветного масла из соединения (III-1) (297 мг, 1,54 ммоль) и соединения (II-42) (175 мг, 1,29 ммоль).
Стадия 5
Способом получения, аналогичным способу для соединения (I-1), соединение (I-264) (выход 36,7 мг, 67%) получали в виде бесцветного масла из соединения (IV-64) (50,0 мг, 0,171 ммоль) и соединения (V-28) (43,9 мг, 0,257 ммоль).
[0611]
Пример 265. Получение 2-(3-этилфенокси)-4'-метокси-3,3'-бипиридина (I-265)[0612]
[0613]
Стадия 1
Способом получения, аналогичным способу для соединения (IV-1), соединение (IV-65) (выход 1,22 г, 84%) получали в виде бесцветного масла из соединения (III-1) (1,00 г, 5,20 ммоль) и 3-этилфенола (II-43) (0,75 мл, 6,2 ммоль).
Стадия 2
Способом получения, аналогичным способу для соединения (I-1), соединение (I-265) (выход 271 мг, 57%) получали в виде белого твердого остатка из соединения (IV-65) (100 мг, 0,360 ммоль) и соединения (V-28) (82,0 мг, 0,539 ммоль).
[0614]
Пример 266. Получение 2-[(2,3-дигидро-1H-инден-5-ил)окси]-4'-метокси-3,3'-бипиридина (I-266)[0615]
[0616]
Стадия 1
Способом получения, аналогичным способу для соединения (IV-1), соединение (IV-66) (выход 198 мг, 66%) получали из соединения (II-44) (209 мг, 1,56 ммоль) и соединения (III-1) (200 мг, 1,04 ммоль).
Стадия 2
Способом получения, аналогичным способу для соединения (I-1), соединение (I-266) (выход 59 мг, количественный) получали в виде бесцветного масла из соединения (IV-66) (50,0 мг, 0,172 ммоль) и соединения (V-28) (39,0 мг, 0,258 ммоль).
[0617]
Пример 267. Получение 4'-метокси-2-[(5,6,7,8-тетрагидронафталин-2-ил)окси]-3,3'-бипиридина (I-267)[0618]
[0619]
Стадия 1
Способом получения, аналогичным способу для соединения (IV-1), соединение (IV-67) (выход 6,15 г, 97%) получали в виде бледно-желтого масла из соединения (III-1) (4,00 г, 20,8 ммоль) и 5,6,7,8-тетрагидронафталин-2-ола (II-45) (3,23 г, 21,8 ммоль).
Стадия 2
Способом получения, аналогичным способу для соединения (I-1), соединение (I-267) (выход 27,5 мг, 50%) получали в виде бесцветного масла из соединения (IV-67) (50,0 мг, 0,164 ммоль) и соединения (V-28) (30,2 мг, 0,197 ммоль).
[0620]
Пример 268. Получение 3-(2-метоксифенил)-2-[(5,6,7,8-тетрагидронафталин-2-ил)окси]пиридина (I-268)[0621]
[0622]
Соединение (VIII-1) (50,0 мг, 0,228 ммоль) и 5,6,7,8-тетрагидронафталин-2-ол (II-45) (38,0 мг, 0,254 ммоль) растворяли в NMP (1 мл), добавляли карбонат цезия (90,0 мг, 0,276 ммоль), и смесь перемешивали при 180°C в течение 4 часов. Реакционную смесь охлаждали, добавляли воду, и смесь экстрагировали этилацетатом. Органический слой промывали водой, сушили над безводным сульфатом натрия и фильтровали. Растворитель упаривали при пониженном давлении, и остаток очищали колоночной хроматографией на силикагеле (н-гексан:этилацетат=20:1), получая соединение (I-268) (выход 17,0 мг, 23%) в виде масла.
[0623]
Пример 269. Получение 2-метокси-2'-[(5,6,7,8-тетрагидронафталин-2-ил)окси]-3,3'-бипиридина (I-269)[0624]
[0625]
Способом получения, аналогичным способу для соединения (I-268), соединение (I-269) (выход 40,0 мг, 53%) получали в виде масла из соединения (VIII-2) (50,0 мг, 0,227 ммоль) и соединения (II-45) (38,0 мг, 0,254 ммоль).
[0626]
Пример 270. Получение 2-[(2,3-дигидро-1H-инден-5-ил)окси]-2'-метокси-3,3'-бипиридина (I-270)[0627]
[0628]
Способом получения, аналогичным способу для соединения (I-1), соединение (I-270) (выход 99 мг, 90%) получали в виде белого твердого остатка из соединения (IV-66) (100 мг, 0,345 ммоль) и соединения (V-26) (79,1 мг, 0,518 ммоль).
[0629]
Пример 271. Получение 4-метокси-5-{2-[(5,6,7,8-тетрагидронафталин-2-ил)окси]пиридин-3-ил}пиримидина (I-271)[0630]
[0631]
Стадия 1
Способом получения, аналогичным способу для соединения (VIa-4), соединение (V-50) (выход 180 мг, 14%) получали в виде бледно-желтого твердого остатка из соединения (VII-37) (2,00 г, 8,47 ммоль).
Стадия 2
Способом получения, аналогичным способу для соединения (I-1), соединение (I-271) (выход 5,4 мг, 16%) получали в виде бесцветного масла из соединения (IV-67) (30,0 мг, 0,0960 mol) и соединения (V-50) (17,8 мг, 0,115 ммоль).
[0632]
Пример 272. Получение 6-{[2'-метокси-(3,3'-бипиридин)-2-ил]окси}-3,4-дигидронафталин-1(2H)-она (I-272)[0633]
[0634]
Стадия 1
Соединение (III-1) (300 мг, 1,56 ммоль), соединение (II-46) (279 мг, 1,72 ммоль), триc(дибензилиденацетон)дипалладий (143 мг, 0,156 ммоль), xantphos (271 мг, 0,468 ммоль) и карбонат цезия (1,52 г, 4,68 ммоль) растворяли в 1,4-диоксане (5,0 мл), и смесь перемешивали при 90°C в течение 16 часов. Реакционную смесь фильтровали, и фильтрат разбавляли этилацетатом, и промывали последовательно насыщенным водным раствором бикарбоната натрия и насыщенным соляным раствором. Органический слой сушили над безводным сульфатом натрия и фильтровали, и растворитель упаривали при пониженном давлении. Остаток очищали колоночной хроматографией на силикагеле (н-гексан:этилацетат), получая соединение (IV-68) (выход 222 мг, 52%) в виде бледного желто-белого остатка.
Стадия 2
Способом получения, аналогичным способу для соединения (I-1), соединение (I-272) (выход 20 мг, 32%) получали в виде белого твердого остатка из соединения (IV-68) (50,0 мг, 0,183 ммоль) и соединения (V-26) (41,8 мг, 0,275 ммоль).
[0635]
Пример 273. Получение 7-{[3-(2-метоксифенил)пиридин-2-ил]окси}-3,4-дигидронафталин-1(2H)-она (I-273)[0636]
[0637]
Стадия 1
Способом получения, аналогичным способу для соединения (IV-1), соединение (IV-69) (выход 150 мг, 45%) получали из соединения (III-1) (200 мг, 1,04 ммоль) и соединения (II-47) (253 мг, 1,56 ммоль).
Стадия 2
Способом получения, аналогичным способу для соединения (I-1), соединение (I-273) (выход 40 мг, 74%) получали в виде бесцветного масла из соединения (IV-69) (50,0 мг, 0,157 ммоль) и соединения (V-1) (36,0 мг, 0,236 ммоль).
[0638]
Пример 274. Получение 2-[4-(2-этоксиэтил)фенокси]-4'-метокси-3,3'-бипиридина (I-274)[0639]
[0640]
Стадия 1
Способом получения, аналогичным способу для соединения (IV-24), соединение (IV-70) (выход 52,9 мг, 97%) получали из соединения (IV-58) (50,0 мг, 0,170 ммоль) и йодэтана (41 мкл, 0,51 ммоль).
Стадия 2
Способом получения, аналогичным способу для соединения (I-1), соединение (I-274) (выход 23,8 мг, 43%) получали в виде бесцветного масла из соединения (IV-70) (52,9 мг, 0,164 ммоль) и соединения (V-28) (37,7 мг, 0,246 ммоль).
[0641]
Пример 275. Получение 4'-метокси-2-[4-(1-метокси-2-метилпропан-2-ил)фенокси]-3,3'-бипиридина (I-275)[0642]
[0643]
Стадия 1
Способом получения, аналогичным способу для соединения (IV-1), соединение (IV-71) (выход 330 мг, 20%) получали в виде бесцветного масла из соединения (III-1) (1,00 г, 5,20 ммоль) и соединения (II-48) (1,04 г, 6,24 ммоль).
Стадия 2
Соединение (IV-71) (330 мг, 1,02 ммоль) растворяли в DMF (5,0 мл), добавляли 50% гидрид натрия (148 мг, 3,08 ммоль) при охлаждении на льду, и смесь перемешивали при охлаждении на льду в течение 15 мин. К реакционной смеси добавляли метилйодид (0,19 мл, 3,1 ммоль) при охлаждении на льду, и смесь перемешивали при комнатной температуре в течение 2,5 часа. Добавляли к реакционной смеси воду, и смесь экстрагировали этилацетатом. Органический слой промывали последовательно водой и насыщенным соляным раствором, сушили над безводным сульфатом натрия и фильтровали. Растворитель упаривали при пониженном давлении, и остаток очищали колоночной хроматографией на силикагеле (н-гексан:этилацетат=0:100 → 100:0), получая соединение (IV-72) (выход 86,2 мг, 24%).
Стадия 3
К раствору соединения (IV-72) (86,0 мг, 0,246 ммоль) в THF (4,0 мл) и метаноле (4,0 мл) добавляли боргидрид натрия (60,9 мг, 1,61 ммоль), и смесь перемешивали при комнатной температуре в течение 1 часа. После завершения реакции, растворитель упаривали при пониженном давлении. Остаток очищали колоночной хроматографией на силикагеле (н-гексан:этилацетат=0:100 → 50:50), получая спиртовое соединение (IV-73) (выход 61,5 мг, 78%) в виде бесцветного масла.
Стадия 4
Способом получения, аналогичным способу для соединения (IV-24), соединение (IV-74) (выход 46,4 мг, 73%) получали из спиртового соединения (IV-73) (61,0 мг, 0,189 ммоль) и метилйодида (18 мкл, 0,28 ммоль).
Стадия 5
Способом получения, аналогичным способу для соединения (I-1), соединение (I-275) (выход 10,0 мг, 40%) получали в виде белого твердого остатка из соединения (IV-74) (23,0 мг, 0,0684 ммоль) и соединения (V-28) (15,8 мг, 0,103 ммоль).
[0644]
Пример 276. Получение 4'-метокси-2-{4-[1-(метоксиметил)циклопропил]фенокси}-3,3'-бипиридина (I-276)[0645]
[0646]
Стадия 1
Соединение (II-48) (3,00 г, 18,1 ммоль) растворяли в DMF (18 мл), последовательно добавляли карбонат калия (5,00 г, 36,2 ммоль), бензилбромид (3,2 мл, 27,2 ммоль) и TBAI (669 мг, 1,81 ммоль), и смесь перемешивали при комнатной температуре в течение 1 часа. Добавляли к реакционной смеси воду, и смесь экстрагировали этилацетатом. Органический слой промывали последовательно водой и насыщенным соляным раствором, сушили над безводным сульфатом натрия и фильтровали. Растворитель упаривали при пониженном давлении, и остаток очищали колоночной хроматографией на силикагеле (NH силикагель, н-гексан:этилацетат=97:3 → 85:15), получая соединение (M-37) (выход 3,01 г, 65%) в виде бесцветного масла.
Стадия 2
Соединение (M-37) (930 мг, 3,63 ммоль) растворяли в толуоле (12 мл), последовательно добавляли карбонат калия (778 мг, 5,63 ммоль), гидрат параформальдегида (172 мг, 5,45 ммоль) и TBAI (67,2 мг, 0,182 ммоль), и смесь перемешивали при 80°C в течение 18,5 часа. Добавляли к реакционной смеси воду, и смесь экстрагировали этилацетатом. Органический слой промывали последовательно водой и насыщенным соляным раствором, сушили над безводным сульфатом натрия и фильтровали. Растворитель упаривали при пониженном давлении, и остаток очищали колоночной хроматографией на силикагеле (н-гексан:этилацетат=97:3 → 80:20), получая соединение (M-38) (выход 294 мг, 30%) в виде бесцветного масла.
Стадия 3
Триметилсульфониййодид (315 мг, 1,43 ммоль) растворяли в DMSO (1,0 мл), добавляли KOтрет-Bu (185 мг, 1,65 ммоль), и смесь перемешивали при комнатной температуре в течение 1 часа. К реакционной смеси добавляли раствор соединения (M-38) (294 мг, 1,10 ммоль) в DMSO (3,0 мл), и смесь перемешивали при комнатной температуре в течение 17 часов. Добавляли к реакционной смеси воду, и смесь экстрагировали этилацетатом. Органический слой промывали последовательно водой и насыщенным соляным раствором, сушили над безводным сульфатом натрия и фильтровали. Растворитель упаривали при пониженном давлении, и остаток очищали колоночной хроматографией на силикагеле (н-гексан:этилацетат=97:3 → 80:20), получая циклопропильное соединение (M-39) (выход 184 мг, 59%) в виде бесцветного масла.
Стадия 4
Циклопропильное соединение (M-39) (184 мг, 0,652 ммоль) растворяли в этаноле (6,5 мл), добавляли палладий на угле (36,8 мг), и смесь перемешивали в атмосфере водорода (1 атм) при комнатной температуре в течение 17 часов. Твердый реагент удаляли фильтрованием, и растворитель упаривали при пониженном давлении, получая соединение (II-49) (выход 130 мг, количественный) в виде белого твердого остатка.
Стадия 5
Способом получения, аналогичным способу для соединения (IV-1), соединение (IV-75) (выход 227 мг, количественный) получали в виде бесцветного масла из соединения (III-1) (188 мг, 0,978 ммоль) и соединения (II-49) (125 мг, 0,652 ммоль).
Стадия 6
Соединение (IV-75) (227 мг, 1,61 ммоль) растворяли в THF (4,0 мл) и этаноле (3,0 мл), добавляли при охлаждении на льду боргидрид лития (3,0 моль/л THF раствор, 0,33 мл, 0,98 ммоль), и смесь перемешивали при комнатной температуре в течение 18 часов. Затем, дополнительно добавляли при охлаждении на льду боргидрид лития (3,0 моль/л THF раствор, 0,33 мл, 0,98 ммоль), и смесь перемешивали при комнатной температуре в течение 3 часов. К реакционной смеси добавляли насыщенный водный раствор хлорида аммония, и смесь экстрагировали этилацетатом. Органический слой промывали последовательно насыщенным водным раствором хлорида аммония и насыщенным соляным раствором, сушили над безводным сульфатом натрия и фильтровали. Растворитель упаривали при пониженном давлении, и остаток очищали колоночной хроматографией на силикагеле (н-гексан:этилацетат=90:10 → 50:50), получая соединение (IV-76) (выход 139 мг, 67%) в виде бесцветного масла.
Стадия 7
Способом получения, аналогичным способу для соединения (IV-24), соединение (IV-77) (выход 90,9 мг, 68%) получали в виде белого твердого остатка из соединения (IV-76) (128 мг, 0,400 ммоль) и метилйодида (32 мкл, 0,52 ммоль).
Стадия 8
Способом получения, аналогичным способу для соединения (I-1), соединение (I-276) (выход 21,4 мг, 66%) получали в виде белого твердого остатка из соединения (IV-77) (30,0 мг, 0,0898 ммоль) и соединения (V-28) (20,6 мг, 0,135 ммоль).
[0647]
Пример 277. Получение 2-[4-(бензилокси)фенокси]-2'-метокси-3,3'-бипиридина (I-277) Способом получения, аналогичным способу для соединения (I-268), соединение (I-277) (выход 24,0 мг, 23%) получали в виде твердого остатка из соединения (VIII-2) (60,0 мг, 0,272 ммоль) и 4-(бензилокси)фенола (II-50) (59,0 мг, 0,298 ммоль).
[0648]
Пример 278. Получение 4-{[4'-метокси-(3,3'-бипиридин)-2-ил]окси}фенэтилпропионата (I-278) Соединение (I-257) (40,1 мг, 0,124 ммоль) растворяли в DMF (0,62 мл), добавляли TEA (21 мкл, 0,15 ммоль) и пропионилхлорид (13,8 мг, 0,149 ммоль), и смесь перемешивали при комнатной температуре в течение 30 мин. Добавляли к реакционной смеси воду, и смесь экстрагировали этилацетатом. Органический слой сушили над безводным сульфатом натрия и фильтровали, и растворитель упаривали при пониженном давлении. Остаток очищали колоночной хроматографией на силикагеле (н-гексан:этилацетат), получая соединение (I-278) (выход 29,1 мг, 62%) в виде бесцветного масла.
[0649]
Пример 279. Получение метил 3-(4-{[4'-метокси-(3,3'-бипиридин)-2-ил]окси}фенил)пропионата (I-279)[0650]
[0651]
Стадия 1
Способом получения, аналогичным способу для соединения (IV-1), соединение (IV-78) (выход 2,14 г, 61%) получали в виде бесцветного масла из соединения (III-1) (2,00 г, 10,4 ммоль) и метил 3-(4-гидроксифенил)пропионата (II-51) (2,81 г, 15,6 ммоль).
Стадия 2
Способом получения, аналогичным способу для соединения (I-1), соединение (I-279) (выход 14,9 мг, 27%) получали в виде белого твердого остатка из соединения (IV-78) (50,0 мг, 0,149 ммоль) и соединения (V-28) (34,3 мг, 0,224 ммоль).
[0652]
Пример 280. Получение 2-(4-этилфенокси)-2'-метокси-3,3'-бипиридина (I-280) Способом получения, аналогичным способу для соединения (I-1), соединение (I-280) (выход 15,3 мг, 58%) получали в виде белого твердого остатка из соединения (IV-54) (20,0 мг, 0,0856 ммоль) и 2-метокси-3-пиридинбороновой кислоты (V-26) (19,6 мг, 0,128 ммоль).
[0653]
Пример 281. Получение 2-(4-этилфенокси)-3'-метокси-3,4'-бипиридина (I-281) Способом получения, аналогичным способу для соединения (I-1), соединение (I-281) (выход 13,5 мг, 31%) получали в виде бледно-желтого твердого остатка из соединения (IV-54) (40,0 мг, 0,144 ммоль) и пинаколового эфира 3-метокси-4-пиридинбороновой кислоты (V-27a) (44,0 мг, 0,187 ммоль).
[0654]
Пример 282. Получение 5-[2-(4-этилфенокси)пиридин-3-ил]-4-метоксипиримидина (I-282)[0655]
[0656]
Стадия 1
Соединение (IV-54) (1,00 г, 3,60 ммоль) растворяли в THF (3,0 мл), добавляли iPrMgCl•LiCl (1,3 моль/л THF раствор, 5,5 мл, 7,19 ммоль), и смесь перемешивали при комнатной температуре в течение 30 мин. Затем, добавляли B(OiPr)3 (2,5 мл, 11 ммоль), и смесь перемешивали при комнатной температуре в течение 1 часа. К реакционной смеси добавляли 1 моль/л хлористоводородную кислоту (7,0 мл), и смесь экстрагировали этилацетатом. Органический слой промывали насыщенным соляным раствором и сушили над безводным сульфатом натрия. Растворитель упаривали при пониженном давлении, получая соединение (VIa-5) (выход 851 мг, 97%) в виде белого твердого остатка.
Стадия 2
Способом получения, аналогичным способу для соединения (I-36), соединение (I-282) (выход 27,1 мг, 54%) получали в виде бесцветного масла из 5-йод-4-метоксипиримидина (VII-37) (50,5 мг, 0,214 ммоль) и соединения (VIa-5) (40,0 мг, 0,165 ммоль).
[0657]
Пример 283. Получение 2-(4-этилфенокси)-5'-фтор-4'-метокси-3,3'-бипиридина (I-283) Суспензию соединения (VII-34) (45,0 мг, 0,218 ммоль), соединения (VIa-5) (63,7 мг, 0,262 ммоль), (A-taPhos)2PdCl2 (7,7 мг, 11 мкмоль) и карбоната цезия (142 мг, 0,437 ммоль) в 1,4-диоксане (0,60 мл)/воде (0,12 мл) перемешивали при 70°C в течение 20 мин. Добавляли к реакционной смеси воду, и смесь экстрагировали хлороформом. Растворитель упаривали при пониженном давлении, и остаток очищали колоночной хроматографией на силикагеле (н-гексан:этилацетат=97:3 → 70:30), получая соединение (I-283) (выход 9,4 мг, 13%) в виде бесцветного масла.
[0658]
Пример 284. Получение 5'-хлор-2-(4-этилфенокси)-4'-метокси-3,3'-бипиридина (I-284) Способом получения, аналогичным способу для соединения (I-283), соединение (I-284) (выход 27,2 мг, 36%) получали в виде бесцветного масла из соединения (VII-20) (50,0 мг, 0,225 ммоль) и соединения (VIa-5) (65,6 мг, 0,270 ммоль).
[0659]
Пример 285. Получение 5'-бром-2-(4-этилфенокси)-4'-метокси-3,3'-бипиридина (I-285)[0660]
[0661]
Стадия 1
4-Пиридинол (M-40) (20,0 г, 210 ммоль) суспендировали в тетрахлориде углерода (400 мл), добавляли NBS (77,0 г, 431 ммоль), и смесь перемешивали при затемнении при комнатной температуре в течение 24 часов. Растворитель упаривали при пониженном давлении, и остаток суспендировали в ацетоне (400 мл)/метаноле (120 мл), и смесь перемешивали при комнатной температуре в течение 30 мин. Выпавший осадок собирали фильтрованием и суспендировали в ацетонитриле (1,0 л), и суспензию перемешивали при комнатной температуре в течение 1 часа. Твердый остаток собирали фильтрованием и сушили при пониженном давлении, получая соединение (M-41) (выход 46,0 г, 86%) в виде белого твердого остатка.
Стадия 2
Соединение (M-41) (10,0 г, 39,5 ммоль) суспендировали в ацетонитриле (50 мл), добавляли при комнатной температуре DIPEA (15 мл, 87 ммоль), добавляли при охлаждении на льду фосфорилхлорид (7,4 мл, 79 ммоль), и смесь перемешивали при кипячении с обратным холодильником в течение 17 часов. Смесь охлаждали, и реакционную смесь добавляли по каплям к ледяной воде, и нейтрализовали карбонатом натрия (11,6 г, 138 ммоль). Затем, смесь экстрагировали этилацетатом, и органический слой промывали насыщенным соляным раствором и сушили над безводным сульфатом натрия. Растворитель упаривали при пониженном давлении, получая хлорное соединение (выход 10,6 г, 99%) в виде коричневого твердого остатка. Хлорное соединение (10,6 г, 39,1 ммоль) растворяли в THF (70 мл), добавляли метоксид натрия (28% метанольный раствор, 14 мл, 59 ммоль), и смесь перемешивали при 60°C в течение 30 мин. Смесь охлаждали, добавляли к реакционной смеси воду, и смесь экстрагировали этилацетатом. Органический слой промывали последовательно водой и насыщенным соляным раствором, и сушили над безводным сульфатом натрия. Растворитель упаривали при пониженном давлении, получая соединение (VII-46) (выход 9,21 г, 88%) в виде желтого твердого остатка.
Стадия 3
Способом получения, аналогичным способу для соединения (I-283), соединение (I-285) (выход 60,4 мг, 38%) получали в виде бесцветного масла из соединения (VII-46) (132 мг, 0,494 ммоль) и соединения (VIa-5) (100 мг, 0,411 ммоль).
[0662]
Пример 286. Получение 2-(4-этилфенокси)-4'-метокси-5'-метил-3,3'-бипиридина (I-286) Способом получения, аналогичным способу для соединения (I-53), соединение (I-286) (выход 17,3 мг, 52%) получали в виде бесцветного масла из соединения (I-285) (40,0 мг, 0,104 ммоль) и метилбороновой кислоты (31,1 мг, 0,519 ммоль).
[0663]
Пример 287. Получение 2'-(4-этилфенокси)-4-метокси-(3,3'-бипиридин)-5-карбальдегида (I-287)[0664]
[0665]
Стадия 1
Соединение (VII-46) (100 мг, 0,369 ммоль) растворяли в THF (0,75 мл), добавляли iPrMgCl•LiCl (1,3 моль/л THF раствор, 0,30 мл, 0,39 ммоль), и смесь перемешивали при комнатной температуре в течение 30 мин. Затем, добавляли DMF (86 мкл, 1,1 ммоль), и смесь перемешивали при комнатной температуре в течение 30 мин. К реакционной смеси добавляли насыщенный водный раствор хлорида аммония, и смесь экстрагировали хлороформом. Органический слой промывали насыщенным водным раствором хлорида аммония и сушили над безводным сульфатом натрия. Растворитель упаривали при пониженном давлении, и остаток очищали колоночной хроматографией на силикагеле (н-гексан:этилацетат=95:5 → 50:50), получая соединение (VII-47) (выход 59,8 мг, 74%) в виде белого твердого остатка.
Стадия 2
Способом получения, аналогичным способу для соединения (I-283), соединение (I-287) (выход 22,3 мг, 24%) получали в виде бледно-желтого масла из соединения (VII-47) (59,6 мг, 0,276 ммоль) и соединения (VIa-5) (101 мг, 0,414 ммоль).
[0666]
Пример 288. Получение 5'-(дифторметил)-2-(4-этилфенокси)-4'-метокси-3,3'-бипиридина (I-288) Соединение (I-287) (20,0 мг, 0,0600 ммоль) растворяли в DCM (1,0 мл), добавляли Deoxo-Fluor (зарегистрированное торговое название) (22 мкл, 0,12 ммоль), и смесь перемешивали при комнатной температуре в течение 1 часа. Добавляли к реакционной смеси воду, и смесь экстрагировали хлороформом. Растворитель упаривали при пониженном давлении, и остаток очищали колоночной хроматографией на силикагеле (н-гексан:этилацетат=95:5 → 50:50), получая соединение (I-288) (выход 18,4 мг, 86%) в виде бесцветного масла.
[0667]
Пример 289. Получение 2-(4-этилфенокси)-4'-метил-3,3'-бипиридина (I-289) Способом получения, аналогичным способу для соединения (I-1), соединение (I-289) (выход 1,9 мг, 7%) получали в виде бесцветного масла из соединения (IV-54) (50,0 мг, 0,180 ммоль) и 4-метилпиридин-3-бороновой кислоты (V-25) (36,9 мг, 0,270 ммоль).
[0668]
Пример 290. Получение 4'-хлор-2-(4-этилфенокси)-3,3'-бипиридина (I-290) Способом получения, аналогичным способу для соединения (I-283), соединение (I-290) (выход 95,9 мг, 55%) получали в виде бесцветного масла из 3-бром-4-хлорпиридина (VII-48) (109 мг, 0,566 ммоль) и соединения (VIa-5) (165 мг, 0,680 ммоль).
[0669]
Пример 291. Получение 4'-этил-2-(4-этилфенокси)-3,3'-бипиридина (I-291) Способом получения, аналогичным способу для соединения (IV-63), соединение (I-291) (выход 32,6 мг, 83%) получали в виде бесцветного масла из соединения (I-290) (40,0 мг, 0,129 ммоль) и диэтилцинка (1,0 моль/л THF раствор, 0,19 мл, 0,19 ммоль).
[0670]
Пример 292. Получение 7-[2-(4-этилфенокси)пиридин-3-ил]пиразоло[1,5-a]пиридина (I-292) Способом получения, аналогичным способу для соединения (I-1), соединение (I-292) (выход 12,9 мг, 23%) получали в виде белого твердого остатка из соединения (IV-54) (50,0 мг, 0,180 ммоль) и пиразоло[1,5-a]пиридин-7-бороновой кислоты (V-49) (58,3 мг, 0,360 ммоль).
[0671]
Пример 293. Получение 7-[2-(4-этилфенокси)пиридин-3-ил]-6-метилимидазо[1,2-a]пиридина (I-293)[0672]
[0673]
Стадия 1
Соединение (VII-49) (200 мг, 1,07 ммоль) растворяли в этаноле (5,0 мл), добавляли бикарбонат натрия (135 мг, 1,60 ммоль) и 2-хлорацетальдегид (0,27 мл, 1,6 ммоль), и смесь перемешивали при кипячении с обратным холодильником в течение 4 часов. Смесь охлаждали, и растворитель упаривали при пониженном давлении. Добавляли воду, и смесь экстрагировали этилацетатом. Органический слой промывали насыщенным соляным раствором, сушили над безводным сульфатом натрия и фильтровали. Растворитель упаривали при пониженном давлении. Остаток очищали колоночной хроматографией на силикагеле (н-гексан:этилацетат=50:50 → 0:100), получая соединение (VII-50) (выход 213 мг, 94%) в виде бледно-коричневого твердого остатка.
Стадия 2
Способом получения, аналогичным способу для соединения (I-36), соединение (I-293) (выход 30,6 мг, 57%) получали в виде бесцветного масла из соединения (VII-50) (41,7 мг, 0,197 ммоль) и соединения (VIa-5) (40,0 мг, 0,165 ммоль).
[0674]
Пример 294. Получение 2-[4-(дифторметил)фенокси]-4'-метокси-3,3'-бипиридина (I-294)[0675]
[0676]
Стадия 1
К раствору соединения (IV-51) (500 мг, 1,80 ммоль) в DCM (15 мл) добавляли DAST (0,71 мл, 5,4 ммоль), и смесь перемешивали при комнатной температуре в течение 18 часов. Добавляли к реакционной смеси воду, и смесь экстрагировали хлороформом. Органический слой промывали насыщенным соляным раствором и сушили над безводным сульфатом магния, и растворитель упаривали при пониженном давлении. Остаток очищали колоночной хроматографией на силикагеле (н-гексан:этилацетат), получая соединение (IV-79) (выход 408 мг, 76%).
Стадия 2
Способом получения, аналогичным способу для соединения (I-1), соединение (I-294) (выход 27,2 мг, 50%) получали в виде белого твердого остатка из соединения (IV-79) (50,0 мг, 0,167 ммоль) и соединения (V-28) (38,2 мг, 0,250 ммоль).
[0677]
Пример 295. Получение 2-[4-(дифторметил)-3-метилфенокси]-4'-метокси-3,3'-бипиридина (I-295)[0678]
[0679]
Стадия 1
Способом получения, аналогичным способу для соединения (IV-1), соединение (IV-80) (выход 965 мг, 15%) получали в виде белого твердого остатка из соединения (III-1) (6,35 г, 33,0 ммоль) и 4-гидрокси-2-метилбензальдегида (II-52) (3,00 г, 22,0 ммоль).
Стадия 2
Способом получения, аналогичным способу для соединения (IV-79), соединение (IV-81) (выход 655 мг, 69%) получали в виде белого твердого остатка из соединения (IV-80) (771 мг, 2,64 ммоль) и DAST (1,1 мл, 7,9 ммоль).
Стадия 3
Способом получения, аналогичным способу для соединения (I-210), соединение (I-295) (выход 25,0 мг, 77%) получали в виде белого твердого остатка из соединения (IV-81) (30,0 мг, 0,167 ммоль) и соединения (V-28) (21,9 мг, 0,143 ммоль).
[0680]
Пример 296. Получение 2-[4-(дифторметил)-3-этилфенокси]-4'-метокси-3,3'-бипиридина (I-296)[0681]
[0682]
Стадия 1
К раствору соединения (III-1) (281 мг, 1,60 ммоль) и 2-этил-4-гидроксибензальдегида (II-53) (200 мг, 1,33 ммоль) в NMP (3,0 мл) добавляли карбонат цезия (651 мг, 2,00 ммоль), и смесь перемешивали при микроволновом облучении при 140°C в течение 30 мин. Реакционную смесь охлаждали, добавляли воду, и смесь экстрагировали этилацетатом. Органический слой промывали последовательно водой и насыщенным соляным раствором, сушили над безводным сульфатом натрия и фильтровали. Растворитель упаривали при пониженном давлении, и остаток очищали колоночной хроматографией на силикагеле (н-гексан:этилацетат=97:3 → 70:30), получая соединение (IV-82) (выход 299 мг, 73%) в виде бесцветного масла.
Стадия 2
Способом получения, аналогичным способу для соединения (IV-79), соединение (IV-83) (выход 66,6 мг, 58%) получали в виде бесцветного масла из соединения (IV-82) (108 мг, 0,353 ммоль) и Deoxo-Fluor (зарегистрированное торговое название) (0,20 мл, 1,1 ммоль).
Стадия 3
Способом получения, аналогичным способу для соединения (I-210), соединение (I-296) (выход 10,1 мг, 17%) получали в виде белого твердого остатка из соединения (IV-83) (55,1 мг, 0,168 ммоль) и соединения (V-28) (43,1 мг, 0,252 ммоль).
[0683]
Пример 297. Получение 2-[4-(1,1-дифторэтил)фенокси]-4'-метокси-3,3'-бипиридина (I-297)[0684]
[0685]
Стадия 1
Суспензию соединения (IV-59) (5,46 г, 14,5 ммоль), этил 2-бром-2,2-дифторацетата (2,95 г, 14,5 ммоль), меди (порошок, <75 мкм, 99,9%, 2,12 г, 33,4 ммоль) в DMSO (70 мл) перемешивали при 80°C в течение 2 часов. Реакционную смесь охлаждали, добавляли насыщенный водный раствор гидрофосфата калия, и смесь экстрагировали этилацетатом. Органический слой промывали насыщенным соляным раствором, сушили над безводным сульфатом натрия и фильтровали. Растворитель упаривали при пониженном давлении, и остаток очищали колоночной хроматографией на силикагеле (н-гексан:этилацетат), получая соединение (IV-84).
Стадия 2
Соединение (IV-84) растворяли в метаноле (40 мл), добавляли при охлаждении на льду боргидрид натрия (549 мг, 14,5 ммоль), и смесь перемешивали при комнатной температуре в течение 1 часа. Реакционную смесь охлаждали, добавляли воду, и смесь экстрагировали этилацетатом. Органический слой промывали насыщенным соляным раствором, сушили над безводным сульфатом натрия и фильтровали. Растворитель упаривали при пониженном давлении, и остаток очищали колоночной хроматографией на силикагеле (н-гексан:этилацетат), получая соединение (IV-85) [выход 1,17 г, 24% (2 стадии)].
Стадия 3
Соединение (IV-85) (1,15 г, 3,48 ммоль) и пиридин (1,7 мл, 21 ммоль) растворяли в DCM (5,0 мл), добавляли при охлаждении на льду ангидрид трифторметансульфокислоты (1,8 мл, 10 ммоль), и смесь перемешивали при комнатной температуре в течение 12 часов. Добавляли к реакционной смеси воду, и смесь экстрагировали этилацетатом. Органический слой сушили над безводным сульфатом натрия и фильтровали. Растворитель упаривали при пониженном давлении, и остаток очищали колоночной хроматографией на силикагеле (н-гексан:этилацетат), получая соединение (IV-86) (выход 1,25 г, 78%).
Стадия 4
Соединение (IV-86) (1,18 г, 2,55 ммоль) растворяли в ацетоне (12 мл), добавляли йодид натрия (1,91 г, 12,8 ммоль), и смесь перемешивали при комнатной температуре в течение 3 часов. Добавляли к реакционной смеси воду, и смесь экстрагировали этилацетатом. Органический слой сушили над безводным сульфатом натрия и фильтровали. Растворитель упаривали при пониженном давлении, и остаток очищали колоночной хроматографией на силикагеле (н-гексан:этилацетат), получая соединение (IV-87) (выход 1,05 г, 93%).
Стадия 5
Соединение (IV-87) (1,00 г, 2,27 ммоль) растворяли в THF (2,5 мл), добавляли гидрид трибутилолова (3,0 мл, 11 ммоль), и смесь перемешивали при 60°C в течение 3 часов. Добавляли к реакционной смеси воду, и смесь экстрагировали этилацетатом. Органический слой сушили над безводным сульфатом натрия и фильтровали. Растворитель упаривали при пониженном давлении, и остаток очищали колоночной хроматографией на силикагеле (н-гексан:этилацетат), получая соединение (IV-88) (выход 75 мг, 11%) в виде бесцветного масла.
Стадия 6
Соединение (IV-88) (22,0 мг, 0,0700 ммоль), соединение (V-28) (16,1 мг, 0,105 ммоль), (A-taPhos)2PdCl2 (2,5 мг, 0,004 ммоль) и карбонат цезия (45,6 мг, 0,140 ммоль) суспендировали в смеси н-бутанол (1,0 мл)/вода (0,1 мл), и смесь перемешивали при микроволновом облучении при 120°C в течение 20 мин. Добавляли к реакционной смеси воду, и смесь экстрагировали этилацетатом. Органический слой сушили над безводным сульфатом натрия и фильтровали. Растворитель упаривали при пониженном давлении, и остаток очищали колоночной хроматографией на силикагеле (н-гексан:этилацетат), получая соединение (I-297) (выход 17,0 мг, 71%) в виде белого твердого остатка.
[0686]
Пример 298. Получение 2-[4-(1,1-дифторэтил)фенокси]-2'-метокси-3,3'-бипиридина (I-298) Способом получения, аналогичным способу для соединения (I-1), соединение (I-298) (выход 37,0 мг, 85%) получали в виде бесцветного масла из соединения (IV-88) (40,0 мг, 0,127 ммоль) и 2-метоксипиридин-3-бороновой кислоты (V-26) (29,2 мг, 0,191 ммоль).
[0687]
Пример 299Получение 2-[4-(1,1-дифторэтил)фенокси]-4'-метил-3,3'-бипиридина (I-299) Способом получения, аналогичным способу для соединения (I-1), соединение (I-299) (выход 13,7 мг, 33%) получали в виде бесцветного масла из соединения (IV-88) (40,0 мг, 0,127 ммоль) и 4-метилпиридин-3-бороновой кислоты (V-25) (26,2 мг, 0,191 ммоль).
[0688]
Пример 300. Получение 5'-хлор-2-[4-(1,1-дифторэтил)фенокси]-4'-метокси-3,3'-бипиридина (I-300)[0689]
[0690]
Стадия 1
К раствору соединения (IV-88) (600 мг, 1,90 ммоль) в THF (4,0 мл) добавляли iPrMgBr•LiCl (1,3 моль/л THF раствор, 2,00 мл, 2,60 ммоль), и смесь перемешивали при комнатной температуре в течение 30 мин. Затем, при охлаждении на льду, добавляли триизопропилборат (1,32 мл, 5,69 ммоль), и смесь перемешивали в течение 10 мин. Добавляли 1 моль/л хлористоводородную кислоту, и смесь экстрагировали этилацетатом. Органический слой промывали последовательно водой и насыщенным соляным раствором, сушили над безводным сульфатом натрия и фильтровали. Растворитель упаривали при пониженном давлении, получая соединение (VIa-6) (выход 352 мг, 66%).
Стадия 2
Способом получения, аналогичным способу для соединения (I-36), соединение (I-300) (выход 24,5 мг, 36%) получали в виде бесцветного масла из соединения (VIa-6) (40,0 мг, 0,180 ммоль) и соединения (VII-20) (60,2 мг, 0,216 ммоль).
[0691]
Пример 301. Получение 2-[4-(1,1-дифторэтил)фенокси]-5'-фтор-4'-метокси-3,3'-бипиридина (I-301) Способом получения, аналогичным способу для соединения (I-36), соединение (I-301) (выход 45,8 мг, 52%) получали в виде бесцветного масла из соединения (VIa-6) (50,0 мг, 0,243 ммоль) и соединения (VII-34) (74,5 мг, 0,267 ммоль).
[0692]
Пример 302. Получение 2-[4-(1,1-дифторэтил)-2-фторфенокси]-4'-метокси-3,3'-бипиридина (I-302)[0693]
[0694]
Стадия 1
Соединение (III-8) (200 мг, 1,14 ммоль) и соединение (II-54) (193 мг, 1,25 ммоль) растворяли в NMP (2,0 мл), добавляли карбонат цезия (555 мг, 1,71 ммоль), и смесь перемешивали при микроволновом облучении при 120°C в течение 30 мин. Реакционную смесь охлаждали, добавляли воду, и смесь экстрагировали этилацетатом, сушили над безводным сульфатом натрия и фильтровали. Растворитель упаривали при пониженном давлении, и остаток очищали колоночной хроматографией на силикагеле (н-гексан:этилацетат), получая соединение (IV-89) (выход 192 мг, 55%).
Стадия 2
Соединение (IV-89) (168 мг, 0,542 ммоль) растворяли в THF (1,0 мл), добавляли Deoxo-Fluor (зарегистрированное торговое название) (1,50 мл, 8,13 ммоль), и смесь перемешивали при 70°C в течение 36 часов. Добавляли к реакционной смеси воду, и смесь экстрагировали этилацетатом. Органический слой сушили над безводным сульфатом натрия и фильтровали. Растворитель упаривали при пониженном давлении, и остаток очищали колоночной хроматографией на силикагеле (н-гексан:этилацетат), получая соединение (IV-90) (выход 99 мг, 55%).
Стадия 3
Способом получения, аналогичным способу для соединения (I-1), соединение (I-302) (выход 36,1 мг, 74%) получали в виде белого твердого остатка из соединения (IV-90) (45,0 мг, 0,135 ммоль) и моногидрата 4-метоксипиридин-3-бороновой кислоты (V-28) (31,1 мг, 0,203 ммоль).
[0695]
Пример 303. Получение 2-[4-(1,1-дифторэтил)-2-фторфенокси]-4'-метил-3,3'-бипиридина (I-303) Способом получения, аналогичным способу для соединения (I-1), соединение (I-303) (выход 25,2 мг, 54%) получали в виде бесцветного масла из соединения (IV-90) (45,0 мг, 0,135 ммоль) и 4-метилпиридин-3-бороновой кислоты (V-25) (27,8 мг, 0,203 ммоль).
[0696]
Пример 304. Получение 2-[4-(1,1-дифторэтил)-3-фторфенокси]-4'-метокси-3,3'-бипиридина (I-304)[0697]
[0698]
Стадия 1
Способом получения, аналогичным способу для соединения (IV-89), соединение (IV-91) (выход 330 мг, 71%) получали из соединения (III-8) (394 мг, 2,24 ммоль) и соединения (II-55) (230 мг, 1,49 ммоль).
Стадия 2
Способом получения, аналогичным способу для соединения (IV-90), соединение (IV-92) (выход 98 мг, 57%) получали из соединения (IV-91) (160 мг, 0,516 ммоль) и Deoxo-Fluor (зарегистрированное торговое название) (0,951 мл, 5,16 ммоль).
Стадия 3
Способом получения, аналогичным способу для соединения (I-1), соединение (I-304) (выход 36,1 мг, 74%) получали в виде белого твердого остатка из соединения (IV-92) (45,0 мг, 0,135 ммоль) и моногидрата 4-метоксипиридин-3-бороновой кислоты (V-28) (31,1 мг, 0,203 ммоль).
[0699]
Пример 305. Получение 2-[4-(1,1-дифторэтил)-3-фторфенокси]-4'-метил-3,3'-бипиридина (I-305) Способом получения, аналогичным способу для соединения (I-1), соединение (I-305) (выход 27,1 мг, 58%) получали в виде бесцветного масла из соединения (IV-92) (45,0 мг, 0,135 ммоль) и 4-метилпиридин-3-бороновой кислоты (V-25) (27,8 мг, 0,203 ммоль).
[0700]
Пример 306. Получение 4'-метил-2-[4-(1,1,2-трифторэтил)фенокси]-3,3'-бипиридина (I-306)[0701]
[0702]
Стадия 1
Соединение (IV-85) (300 мг, 0,909 ммоль) растворяли в DCM (3,0 мл), добавляли DAST (180 мкл, 1,36 ммоль), и смесь перемешивали при комнатной температуре в течение 3 часов. Добавляли к реакционной смеси воду, и смесь экстрагировали этилацетатом. Органический слой сушили над безводным сульфатом натрия и фильтровали. Растворитель упаривали при пониженном давлении, и остаток очищали колоночной хроматографией на силикагеле (н-гексан:этилацетат), получая соединение (IV-93) (выход 112 мг, 37%).
Стадия 2
Способом получения, аналогичным способу для соединения (I-1), соединение (I-306) (выход 19,3 мг, 37%) получали в виде бесцветного масла из соединения (IV-93) (50,0 мг, 0,151 ммоль) и 4-метилпиридин-3-бороновой кислоты (V-25) (30,9 мг, 0,226 ммоль).
[0703]
Пример 307. Получение 7-{2-[4-(1,1-дифторэтил)фенокси]пиридин-3-ил}пиразоло[1,5-a]пиридина (I-307) Способом получения, аналогичным способу для соединения (I-36), соединение (I-307) (выход 11,2 мг, 15%) получали в виде бесцветного масла из соединения (VIa-6) (60,0 мг, 0,215 ммоль) и 7-йодпиразоло[1,5-a]пиридина (VII-51) (63,0 мг, 0,258 ммоль).
[0704]
Пример 308. Получение 5-{2-[4-(1,1-дифторэтил)фенокси]пиридин-3-ил}хиноксалина (I-308) Способом получения, аналогичным способу для соединения (I-36), соединение (I-308) (выход 9,6 мг, 12%) получали в виде желтого масла из соединения (VIa-6) (60,0 мг, 0,215 ммоль) и 5-бромхиноксалина (VII-2) (53,9 мг, 0,258 ммоль).
[0705]
Пример 309. Получение 2-(2-метоксифенил)-3-{[6-(трифторметил)пиридин-3-ил]окси}пиразина (I-309)[0706]
[0707]
Стадия 1
Способом получения, аналогичным способу для соединения (IV-1), соединение (IV-94) (выход 846 мг, 78%) получали в виде белого твердого остатка из соединения (III-9) (500 мг, 3,36 ммоль) и 6-(трифторметил)пиридин-3-ола (II-1) (547 мг, 3,36 ммоль).
Стадия 2
Способом получения, аналогичным способу для соединения (I-1), соединение (I-309) (выход 62,0 мг, 98%) получали в виде белого твердого остатка из соединения (IV-94) (50,0 мг, 0,181 ммоль) и 2-метоксифенилбороновой кислоты (V-1) (35,8 мг, 0,236 ммоль).
[0708]
Пример 310. Получение 5-(2-метоксифенил)-4-{[6-(трифторметил)пиридин-3-ил]окси}пиримидина (I-310)[0709]
[0710]
Стадия 1
Способом получения, аналогичным способу для соединения (IV-1), соединение (IV-95) (выход 7,40 г, 79%) получали в виде белого твердого остатка из соединения (III-10) (6,18 г, 25,7 ммоль) и 6-(трифторметил)пиридин-3-ола (II-1) (5,00 г, 30,8 ммоль).
Стадия 2
Способом получения, аналогичным способу для соединения (I-1), соединение (I-310) (выход 78,7 мг, 83%) получали в виде бесцветного масла из соединения (IV-95) (100 мг, 0,0272 ммоль) и 2-метоксифенилбороновой кислоты (V-1) (49,7 мг, 0,327 ммоль).
[0711]
Пример 311. Получение 4-(2-метоксифенил)-3-{[6-(трифторметил)пиридин-3-ил]окси}пиридазина (I-311)[0712]
[0713]
Стадия 1
К раствору 4,5-дихлорпиридазинона (M-43) (100 мг, 0,606 ммоль) в THF (3,5 мл) добавляли в атмосфере аргона 1,0 моль/л 2- бромид метоксифенилмагния (1,50 мл, 1,50 ммоль), и смесь кипятили с обратным холодильником в течение 3 часов. К реакционной смеси добавляли раствор хлорида аммония, и смесь экстрагировали этилацетатом. Органический слой сушили над сульфатом магния, и растворитель упаривали при пониженном давлении. Остаток очищали колоночной хроматографией на силикагеле (н-гексан:этилацетат), получая соединение (M-44) (выход 130 мг, 91%) в виде белого твердого остатка.
Стадия 2
Соединение (M-44) (130 мг, 0,549 ммоль) растворяли в DMF (1,0 мл), последовательно добавляли 1,0 моль/л гидроксид натрия (1,4 мл, 1,40 ммоль) и 10% Pd/C (10,0 мг, 7,7% по весу), и смесь перемешивали в атмосфере водорода (3 атм) в течение 18 часов. Реакционную смесь фильтровали через целит, добавляли хлористоводородную кислоту, и смесь экстрагировали этилацетатом. Органический слой сушили над сульфатом магния, и растворитель упаривали при пониженном давлении. Остаток очищали колоночной хроматографией на силикагеле (н-гексан:этилацетат), получая соединение (M-45) (выход 60,0 мг, 54%) в виде белого твердого остатка.
Стадия 3
Соединение (M-45) (60,0 мг, 0,297 ммоль) растворяли в оксихлорид фосфора (1,0 мл, 1,5 ммоль), и смесь кипятили с обратным холодильником в течение 1 часа. К реакционной смеси последовательно добавляли лед и бикарбонат натрия, и смесь экстрагировали этилацетатом. Органический слой сушили над сульфатом магния, и растворитель упаривали при пониженном давлении, получая соединение (VIII-4) (выход 65,0 мг, 99%) в виде желтого масла.
Стадия 4
Соединение (VIII-4) (30,0 мг, 0,136 ммоль) и 6-трифторметилпиридин-3-ол (II-1) (25,0 мг, 0,153 ммоль) растворяли в N,N-диметилацетамиде (0,5 мл), добавляли карбонат цезия (70,0 мг, 0,215 ммоль), и смесь перемешивали при микроволновом облучении при 120°C в течение 30 мин. Добавляли к реакционной смеси воду, и смесь экстрагировали этилацетатом. Органический слой сушили над сульфатом магния, и растворитель упаривали при пониженном давлении. Остаток очищали колоночной хроматографией на силикагеле (н-гексан:этилацетат), получая соединение (I-311) (выход 14,0 мг, 30%) в виде желтого масла.
[0714]
Пример 312. Получение 4-{[6-(1,1-дифторэтил)пиридин-3-ил]окси}-5-(2-метоксифенил)пиримидина (I-312)[0715]
[0716]
Стадия 1
Соединение (II-56) (5,00 г, 28,7 ммоль), медь (порошок, <75 мкм, 99,9%, 7,58 г, 37,4 ммоль) и этил 2-бром-2,2-дифторацетат (4,16 г, 66,1 ммоль) растворяли в DMSO (70 мл), и смесь перемешивали при 70°C в течение 2 часов. Реакционную смесь охлаждали, добавляли насыщенный водный раствор гидрофосфата калия, и смесь экстрагировали этилацетатом. Органический слой промывали насыщенным соляным раствором, сушили над безводным сульфатом натрия и фильтровали. Растворитель упаривали при пониженном давлении, и остаток очищали колоночной хроматографией на силикагеле (н-гексан:этилацетат), получая соединение (II-57) (выход 1,30 г, 21%).
Стадия 2
Способом получения, аналогичным способу для соединения (IV-1), соединение (IV-96) (выход 6,90 г, 78%) получали из соединения (II-57) (5,05 г, 26,1 ммоль) и соединения (III-11) (5,15 г, 23,7 ммоль).
Стадия 3
Соединение (IV-96) (16,4 г, 43,8 ммоль) растворяли в метаноле (80 мл), добавляли боргидрид натрия (6,63 г, 175 ммоль), и смесь перемешивали при комнатной температуре в течение 10 мин. Реакционную смесь охлаждали, добавляли воду, и смесь экстрагировали этилацетатом. Органический слой промывали насыщенным соляным раствором, сушили над безводным сульфатом натрия и фильтровали. Растворитель упаривали при пониженном давлении, и остаток очищали колоночной хроматографией на силикагеле (н-гексан:этилацетат), получая соединение (IV-97) (выход 6,30 г, 43%).
Стадия 4
Способом получения, аналогичным способу для соединения (I-80), соединение (IV-98) (выход 7,40 г, 84%) получали из соединения (IV-97) (6,30 г, 19,0 ммоль) и ангидрида трифторметансульфокислоты (9,61 мл, 56,9 ммоль).
Стадия 5
Способом получения, аналогичным способу для соединения (IV-12), соединение (IV-99) (выход 6,70 г, 96%) получали из соединения (IV-98) (7,30 г, 15,7 ммоль) и йодида натрия (11,8 г, 79,0 ммоль).
Стадия 6
Способом получения, аналогичным способу для соединения (I-82), стадия 3, соединение (IV-100) (выход 3,00 г, 63%) получали из соединения (IV-99) (6,70 г, 15,2 ммоль) и гидрида трибутилолова (13,2 г, 45,5 ммоль).
Стадия 7
Способом получения, аналогичным способу для соединения (I-1), соединение (I-312) (выход 45,0 мг, 92%) получали в виде белого твердого остатка из соединения (IV-100) (45,0 мг, 0,142 ммоль) и 2-метоксифенилбороновой кислоты (V-1) (32,4 мг, 0,214 ммоль).
[0717]
Пример 313. Получение 3-(2-метоксифенил)-N-[6-(трифторметил)пиридин-3-ил]пиридин-2-амина (I-313)[0718]
[0719]
Стадия 1
Соединение (III-1) (500 мг, 2,60 ммоль) и 6-(трифторметил)пиридин-3-амин (IIb-1) (463 мг, 2,86 ммоль) растворяли в IPA (5,0 мл), добавляли моногидрат п-толуолсульфокислоты (494 мг, 2,60 ммоль), и смесь перемешивали при микроволновом облучении при 160°C в течение 2 часов. Реакционную смесь охлаждали, разбавляли этилацетатом, и промывали последовательно насыщенным водным раствором бикарбоната натрия и насыщенным соляным раствором. Органический слой сушили над безводным сульфатом натрия и фильтровали. Растворитель упаривали при пониженном давлении, и остаток очищали колоночной хроматографией на силикагеле (н-гексан:этилацетат=100:0 → 80:20), получая соединение (IV-101) (выход 188 мг, 23%) в виде белого твердого остатка.
1H-ЯМР (400 МГц, CDCl3) δ: 6,80 (1H, дд, J=5,0, 7,8 Гц), 7,25 (1H, уш с),7,65 (1H, д, J=8,2 Гц), 7,83 (1H, дд, J=1,8, 7,8 Гц), 8,22 (1H, дд, J=1,8, 5,0 Гц), 8,53 (1H, дд, J=2,7, 8,7 Гц), 8,78 (1H, д, J=1,8 Гц).
ESI-MS m/z: 318, 320 [M+H]+.
Стадия 2
Способом получения, аналогичным способу для соединения (I-1), соединение (I-313) (выход 32,4 мг, 75%) получали в виде бледно-желтого твердого остатка из соединения (IV-101) (40,0 мг, 0,126 ммоль) и соединения (V-1) (24,8 мг, 0,163 ммоль).
[0720]
Пример 314. Получение 2-(4-хлорфенокси)-3-(нафталин-1-ил)пиразина (I-314)[0721]
[0722]
Стадия 1
2,3-Дихлорпиразин (III-9) (500 мг, 3,36 ммоль) и 4-хлорфенол (II-17) (431 мг, 3,36 ммоль) растворяли в DMF (10 мл), добавляли карбонат калия (557 мг, 4,03 ммоль), и смесь перемешивали при 90°C в течение 15 часов. Реакционную смесь охлаждали, добавляли воду, и смесь экстрагировали этилацетатом. Органический слой промывали последовательно водой и насыщенным соляным раствором, и растворитель упаривали при пониженном давлении. Остаток очищали колоночной хроматографией на силикагеле (н-гексан:этилацетат=100:0 → 85:15), получая соединение (IV-102) (выход 809 мг, количественный) в виде белого твердого остатка.
Стадия 2
Способом получения, аналогичным способу для соединения (I-1), соединение (I-314) (выход 33,0 мг, 48%) получали в виде твердого остатка из соединения (IV-102) (50,0 мг, 0,207 ммоль) и 1-нафтилбороновой кислоты (V-51) (47,0 мг, 0,273 ммоль).
[0723]
Пример 315. Получение 2-(2-метоксифенил)-3-[(5,6,7,8-тетрагидронафталин-2-ил)окси]пиразина (I-315)[0724]
[0725]
Стадия 1
Способом получения, аналогичным способу для соединения (IV-102), соединение (IV-103) (выход 846 мг, 97%) получали в виде бесцветного масла из соединения (III-9) (500 мг, 3,36 ммоль) и 5,6,7,8-тетрагидронафталин-2-ола (II-45) (497 мг, 3,36 ммоль).
Стадия 2
Способом получения, аналогичным способу для соединения (I-1), соединение (I-315) (выход 27,4 мг, 43%) получали в виде бесцветного масла из соединения (IV-103) (50,0 мг, 0,192 ммоль) и 2-метоксифенилбороновой кислоты (V-1) (37,9 мг, 0,249 ммоль).
[0726]
Пример 316. Получение 2-(2-метоксипиридин-3-ил)-3-[(5,6,7,8-тетрагидронафталин-2-ил)окси]пиразина (I-316) Способом получения, аналогичным способу для соединения (I-1), соединение (I-316) (выход 53,8 мг, 84%) получали в виде бесцветного масла из соединения (IV-103) (50,0 мг, 0,192 ммоль) и 2-метоксипиридин-3-бороновой кислоты (V-26) (38,1 мг, 0,249 ммоль).
[0727]
Пример 317. Получение 2-(4-метоксипиридин-3-ил)-3-[(5,6,7,8-тетрагидронафталин-2-ил)окси]пиразина (I-317) Способом получения, аналогичным способу для соединения (I-1), соединение (I-317) (выход 12,9 мг, 20%) получали в виде бесцветного масла из соединения (IV-103) (50,0 мг, 0,192 ммоль) и 4-метоксипиридин-3-бороновой кислоты (V-28a) (38,1 мг, 0,249 ммоль).
[0728]
Пример 318. Получение 2-[4-(бензилокси)фенокси]-3-(2-метоксипиридин-3-ил)пиразина (I-318)[0729]
[0730]
Стадия 1
2,3-Дихлорпиразин (III-9) (925 мг, 6,21 ммоль), 2-метоксипиридин-3-бороновую кислоту (V-26) (1,23 г, 8,07 ммоль), (A-taPhos)2PdCl2 (221 мг, 0,312 ммоль) и карбонат цезия (4,05 г, 12,4 ммоль) растворяли в 1,4-диоксане (30 мл) и воде (6 мл), и смесь перемешивали при 90°C в течение 1,5 часов. Реакционную смесь охлаждали, добавляли воду, и смесь экстрагировали этилацетатом. Органический слой промывали последовательно водой и насыщенным соляным раствором, и фильтровали, и растворитель упаривали при пониженном давлении. Остаток очищали колоночной хроматографией на силикагеле (н-гексан:этилацетат=10:1), получая соединение (VIII-5) (844 мг, выход 61%) в виде масла.
Стадия 2
Соединение (VIII-5) (65,0 мг, 0,293 ммоль) и 4-бензилоксифенол (II-50) (64,0 мг, 0,323 ммоль) растворяли в NMP (1,0 мл), добавляли карбонат цезия (115 мг, 0,383 ммоль), и смесь перемешивали при 180°C в течение 5 часов. Реакционную смесь охлаждали, добавляли воду, и смесь экстрагировали этилацетатом. Органический слой промывали последовательно водой и насыщенным соляным раствором, сушили над безводным сульфатом натрия и фильтровали. Растворитель упаривали при пониженном давлении, и остаток очищали колоночной хроматографией на силикагеле (н-гексан:этилацетат=5:1), получая соединение (I-318) (выход 18,0 мг, 16%) в виде твердого остатка.
[0731]
Пример 319. Получение 4-(4-хлорфенокси)-5-(2-метоксифенил)пиримидина (I-319)[0732]
[0733]
Стадия 1
Способом получения, аналогичным способу для соединения (IV-1), соединение (IV-104) (выход 360 мг, 65%) получали в виде белого твердого остатка из соединения (III-10) (400 мг, 1,66 ммоль) и 4-хлорфенола (II-17) (257 мг, 2,00 ммоль).
Стадия 2
Способом получения, аналогичным способу для соединения (I-1), соединение (I-319) (выход 50,3 мг, количественный) получали в виде бесцветного масла из соединения (IV-104) (48,9 мг, 0,147 ммоль) и 2-метоксифенилбороновой кислоты (V-1) (26,8 мг, 0,175 ммоль).
[0734]
Пример 320. Получение 4-(4-изопропилфенокси)-5-(2-метоксифенил)пиримидина (I-320)[0735]
[0736]
Стадия 1
Способом получения, аналогичным способу для соединения (IV-1), соединение (IV-105) (выход 312 мг, 55%) получали в виде бесцветного масла из соединения (III-10) (400 мг, 1,66 ммоль) и 4-изопропилфенола (II-35) (272 мг, 2,00 ммоль).
Стадия 2
Способом получения, аналогичным способу для соединения (I-1), соединение (I-320) (выход 51,3 мг, количественный) получали в виде бесцветного масла из соединения (IV-105) (50,0 мг, 0,147 ммоль) и 2-метоксифенилбороновой кислоты (V-1) (26,8 мг, 0,175 ммоль).
[0737]
Пример 321. Получение 5-(2-метоксифенил)-4-[4-(трифторметил)фенокси]пиримидина (I-321)[0738]
[0739]
Стадия 1
Способом получения, аналогичным способу для соединения (IV-1), соединение (IV-106) (выход 1,20 г, 79%) получали в виде белого твердого остатка из соединения (III-10) (1,00 г, 4,16 ммоль) и 4-(трифторметил)фенола (II-18) (909 мг, 4,99 ммоль).
Стадия 2
Способом получения, аналогичным способу для соединения (I-1), соединение (I-321) (выход 36,0 мг, количественный) получали в виде бесцветного масла из соединения (IV-106) (30,0 мг, 0,0838 ммоль) и 2-метоксифенилбороновой кислоты (V-1) (18,7 мг, 0,123 ммоль).
[0740]
Пример 322. Получение 4-[4-(дифторметил)фенокси]-5-(2-метоксифенил)пиримидина (I-322)[0741]
[0742]
Стадия 1
Соединение (III-10) (1,80 г, 7,49 ммоль) и соединение (II-30) (0,914 г, 7,49 ммоль) растворяли в DMSO (3,0 мл), добавляли карбонат цезия (407 мг, 1,25 ммоль), и смесь перемешивали при микроволновом облучении при 80°C в течение 30 мин. Смесь экстрагировали этилацетатом и водой, и органический слой промывали последовательно водой и насыщенным соляным раствором, сушили над безводным сульфатом натрия и фильтровали. Растворитель упаривали при пониженном давлении, и остаток очищали колоночной хроматографией на силикагеле (н-гексан:этилацетат), получая соединение (IV-107) (выход 1,35 г, 55%) в виде желтого твердого остатка.
Стадия 2
Соединение (IV-107) (1,30 г, 3,99 ммоль) растворяли в DCM (10 мл), добавляли DAST (1,58 мл, 12,0 ммоль), и смесь перемешивали при комнатной температуре в течение 15 часов. Добавляли к реакционной смеси воду, и смесь экстрагировали хлороформом. Органический слой сушили над безводным сульфатом натрия и фильтровали. Растворитель упаривали при пониженном давлении, и остаток очищали колоночной хроматографией на силикагеле (н-гексан:этилацетат), получая соединение (IV-108) (выход 1,21 г, 87%).
Стадия 3
Способом получения, аналогичным способу для соединения (I-1), соединение (I-322) (выход 21,0 мг, 56%) получали в виде бесцветного масла из соединения (IV-108) (40,0 мг, 0,115 ммоль) и 2-метоксифенилбороновой кислоты (V-1) (26,2 мг, 0,172 ммоль).
[0743]
Пример 323. Получение 4-[4-(дифторметил)-3-метилфенокси]-5-(2-метоксифенил)пиримидина (I-323)[0744]
[0745]
Стадия 1
Способом получения, аналогичным способу для соединения (IV-107), соединение (IV-109) (выход 1,29 г, 69%) получали из соединения (III-10) (1,32 г, 5,49 ммоль) и соединения (II-52) (0,897 г, 6,59 ммоль).
Стадия 2
Способом получения, аналогичным способу для соединения (IV-108), соединение (IV-110) (выход 580 мг, 44%) получали из соединения (IV-109) (1,25 г, 3,68 ммоль) и DAST (2,43 мл, 18,4 ммоль).
Стадия 3
Способом получения, аналогичным способу для соединения (I-1), соединение (I-323) (выход 16,5 мг, 58%) получали в виде белого твердого остатка из соединения (IV-110) (30,0 мг, 0,0830 ммоль) и 2-метоксифенилбороновой кислоты (V-1) (18,9 мг, 0,124 ммоль).
[0746]
Пример 324. Получение 4-{[6-(дифторметил)-5-метилпиридин-3-ил]окси}-5-(2,3-дигидробензофуран-7-ил)пиримидина (I-324)[0747]
[0748]
Стадия 1
Способом получения, аналогичным способу для соединения (II-57), соединение (II-58) (выход 1,18 г, 48%) получали в виде бесцветного масла из соединения (II-5) (2,00 г, 10,6 ммоль) и этил 2-бром-2,2-дифторацетата (2,59 г, 12,7 ммоль).
Стадия 2
Способом получения, аналогичным способу для соединения (IV-1), соединение (IV-111) (выход 670 мг, 34%) получали в виде бесцветного масла из соединения (II-58) (1,18 г, 5,10 ммоль) и соединения (III-11) (987 мг, 5,10 ммоль).
Стадия 3
Способом получения, аналогичным способу для соединения (IV-17), соединение (IV-112) (выход 120 мг, 74%) получали в виде белого твердого остатка из соединения (IV-111) (200 мг, 0,515 ммоль) и гексагидрата хлорида магния (241 мг, 1,19 ммоль).
Стадия 4
Способом получения, аналогичным способу для соединения (I-1), соединение (I-324) (выход 20,1 мг, 59%) получали в виде бесцветного масла из соединения (IV-112) (30,0 мг, 0,0949 ммоль) и 2,3-дигидробензофуран-7-бороновой кислоты (V-35) (32,4 мг, 0,214 ммоль).
[0749]
Пример 325. Получение 5-(2,4-дифтор-5-метоксифенил)-4-{[6-(дифторметил)-5-метилпиридин-3-ил]окси}пиримидина (I-325) Способом получения, аналогичным способу для соединения (I-1), соединение (I-325) (выход 20,1 мг, 56%) получали в виде бесцветного масла из соединения (IV-112) (30,0 мг, 0,0949 ммоль) и 2,4-дифтор-5-метоксифенилбороновой кислоты (V-41) (26,8 мг, 1,42 ммоль).
[0750]
Пример 326. Получение 7-{4-[(2,3-дигидро-1H-инден-5-ил)окси]пиримидин-5-ил}пиразоло[1,5-a]пиридина (I-326)[0751]
[0752]
Стадия 1
Способом получения, аналогичным способу для соединения (IV-1), соединение (IV-113) (выход 157 мг, 56%) получали в виде белого твердого остатка из соединения (III-10) (200 мг, 0,832 ммоль) и 2,3-дигидро-1H-инден-5-ола (II-44) (134 мг, 0,998 ммоль).
Стадия 2
Способом получения, аналогичным способу для соединения (VIa-2), соединение (VIa-7) (выход 80,8 мг, 90%) получали в виде желтого твердого остатка из соединения (IV-113) (119 мг, 0,352 ммоль), 1,3 моль/л THF раствора iPrMgBr•LiCl (0,325 мл, 4,22 ммоль) и триизопропилбората (245 мкл, 1,06 ммоль).
Стадия 3
Способом получения, аналогичным способу для соединения (I-36), соединение (I-326) (выход 36,0 мг, количественный) получали в виде бесцветного масла из соединения (VIa-7) (50,0 мг, 0,195 ммоль) и 7-йодпиразоло[1,5-a]пиридина (VII-51) (39,7 мг, 0,163 ммоль).
[0753]
Пример 327. Получение 5-(2,3-дигидробензофуран-7-ил)-4-{[6-(трифторметил)пиридин-3-ил]окси}пиримидина (I-327) Способом получения, аналогичным способу для соединения (I-1), соединение (I-327) (выход 10,2 мг, 35%) получали в виде бесцветного масла из соединения (IV-95) (30,0 мг, 0,0817 ммоль) и 2,3-дигидробензофуран-7-бороновой кислоты (V-35) (16,1 мг, 0,0981 ммоль).
[0754]
Пример 328. Получение 5-(4,5-дифтор-2-метоксифенил)-4-{[6-(трифторметил)пиридин-3-ил]окси}пиримидина (I-328) Способом получения, аналогичным способу для соединения (I-1), соединение (I-328) (выход 8,5 мг, 27%) получали в виде бесцветного масла из соединения (IV-95) (30,0 мг, 0,0817 ммоль) и 4,5-дифтор-2-метоксифенилбороновой кислоты (V-40) (18,4 мг, 0,0981 ммоль).
[0755]
Пример 329. Получение 5-(2,4-дифтор-5-метоксифенил)-4-{[6-(трифторметил)пиридин-3-ил]окси}пиримидина (I-329) Способом получения, аналогичным способу для соединения (I-1), соединение (I-329) (выход 35,1 мг, 84%) получали в виде бесцветного масла из соединения (IV-95) (40,0 мг, 0,109 ммоль) и 2,4-дифтор-5-метоксифенилбороновой кислоты (V-41) (26,6 мг, 0,142 ммоль).
[0756]
Пример 330Получение 5-(2-метоксипиридин-3-ил)-4-[4-(трифторметил)фенокси]пиримидина (I-330) Способом получения, аналогичным способу для соединения (I-1), соединение (I-330) (выход 26,5 мг, 90%) получали в виде бесцветного масла из соединения (IV-106) (30,0 мг, 0,0838 ммоль) и 2-метоксипиридин-3-бороновой кислоты (V-26) (18,8 мг, 0,123 ммоль).
[0757]
Пример 331. Получение 5-(5-хлор-4-метоксипиридин-3-ил)-4-[4-(трифторметил)фенокси]пиримидина (I-331)[0758]
[0759]
Стадия 1
Способом получения, аналогичным способу для соединения (VIa-2), соединение (VIa-8) (выход 107 мг, 69%) получали в виде бледно-желтого твердого остатка из соединения (IV-106) (200 мг, 0,515 ммоль), 1,3 моль/л THF раствора iPrMgBr•LiCl (504 мкл, 0,655 ммоль) и триизопропилбората (380 мкл, 1,64 ммоль).
Стадия 2
Способом получения, аналогичным способу для соединения (I-36), соединение (I-331) (выход 6,3 мг, 7%) получали в виде бесцветного масла из соединения (VIa-8) (50,0 мг, 0,225 ммоль) и 3-бром-5-хлор-4-метоксипиридина (VII-20) (77,0 мг, 0,270 ммоль).
[0760]
Пример 332. Получение 7-{4-[4-(трифторметил)фенокси]пиримидин-5-ил}пиразоло[1,5-a]пиридина (I-332) Способом получения, аналогичным способу для соединения (I-36), соединение (I-332) (выход 1,30 г, 23%) получали в виде белого твердого остатка из соединения (VIa-8) (4,45 г, 15,7 ммоль) и 7-йодпиразоло[1,5-a]пиридина (VII-51) (3,82 г, 15,7 ммоль).
[0761]
Пример 333. Получение 7-{4-[4-(1,1-дифторэтил)фенокси]пиримидин-5-ил}пиразоло[1,5-a]пиридина (I-333)[0762]
[0763]
Стадия 1
Способом получения, аналогичным способу для соединения (IV-1), соединение (IV-114) (выход 15,5 г, 80%) получали из соединения (III-11) (10,0 г, 51,7 ммоль) и 4-йодфенола (II-38) (13,7 г, 62,0 ммоль).
Стадия 2
Соединение (IV-114) (15,0 г, 39,7 ммоль), этил 2-бром-2,2-дифторацетат (8,61 г, 39,7 ммоль) и медь (порошок, <75 мкм, 99,9%, 5,75 г, 91,0 ммоль) растворяли в DMSO (50 мл), и смесь перемешивали при 70°C в течение 12 часов. Реакционную смесь охлаждали, добавляли насыщенный водный раствор гидрофосфата калия, и смесь экстрагировали хлороформом. Органический слой промывали насыщенным соляным раствором, сушили над безводным сульфатом натрия и фильтровали. Растворитель упаривали при пониженном давлении, и остаток очищали колоночной хроматографией на силикагеле (н-гексан:этилацетат), получая соединение (IV-115).
Стадия 3
Соединение (IV-115) растворяли в THF (10 мл), добавляли при охлаждении на льду боргидрид натрия (1,21 г, 31,9 ммоль), и смесь перемешивали при комнатной температуре в течение 1 часа. Реакционную смесь охлаждали, добавляли воду, и смесь экстрагировали этилацетатом. Органический слой промывали насыщенным соляным раствором, сушили над безводным сульфатом натрия и фильтровали. Растворитель упаривали при пониженном давлении, и остаток очищали колоночной хроматографией на силикагеле (н-гексан:этилацетат), получая соединение (IV-116) [выход 905 мг, 23% (2 стадии)].
Стадия 4
Соединение (IV-116) (900 мг, 2,72 ммоль) и пиридин (1,76 мл, 21,7 ммоль) растворяли в DCM (5,0 мл), добавляли при охлаждении на льду ангидрид трифторметансульфокислоты (1,84 мл, 10,9 ммоль), и смесь перемешивали при комнатной температуре в течение 3 часов. Добавляли к реакционной смеси воду, и смесь экстрагировали этилацетатом. Органический слой сушили над безводным сульфатом натрия и фильтровали. Растворитель упаривали при пониженном давлении, и остаток очищали колоночной хроматографией на силикагеле (н-гексан:этилацетат), получая соединение (IV-117) (выход 682 мг, 54%).
Стадия 5
Соединение (IV-117) (682 мг, 1,47 ммоль) растворяли в ацетоне (3,0 мл), добавляли йодид натрия (1,10 г, 7,36 ммоль), и смесь перемешивали при комнатной температуре в течение 4 часов. Добавляли к реакционной смеси воду, и смесь экстрагировали этилацетатом. Органический слой сушили над безводным сульфатом натрия и фильтровали. Растворитель упаривали при пониженном давлении, и остаток очищали колоночной хроматографией на силикагеле (н-гексан:этилацетат), получая соединение (IV-118) (выход 440 мг, 68%).
Стадия 6
Соединение (IV-118) (435 мг, 0,986 ммоль) растворяли в THF (0,40 мл), добавляли гидрид трибутилолова (1,32 мл, 4,93 ммоль), и смесь перемешивали при 70°C в течение 2 часов. Добавляли к реакционной смеси воду, и смесь экстрагировали этилацетатом. Органический слой сушили над безводным сульфатом натрия и фильтровали. Растворитель упаривали при пониженном давлении, и остаток очищали колоночной хроматографией на силикагеле (н-гексан:этилацетат), получая соединение (IV-119) (выход 265 мг, 85%) в виде бесцветного масла.
Стадия 7
Способом получения, аналогичным способу для соединения (I-1), соединение (I-333) (выход 13,0 мг, 23%) получали в виде бесцветного масла из соединения (IV-119) (50,0 мг, 0,159 ммоль) и пиразоло[1,5-a]пиридин-7-бороновой кислоты (V-49) (51,4 мг, 0,317 ммоль).
[0764]
Пример 334. Получение 4-{[6-(1,1-дифторэтил)пиридин-3-ил]окси}-5-(2,4-дифтор-5-метоксифенил)пиримидина (I-334) Способом получения, аналогичным способу для соединения (I-1), соединение (I-334) (выход 41,2 мг, 86%) получали в виде белого твердого остатка из соединения (IV-100) (40,0 мг, 0,127 ммоль) и 2,4-дифтор-5-метоксифенилбороновой кислоты (V-41) (30,9 мг, 0,165 ммоль).
[0765]
Пример 335. Получение 4-{[6-(1,1-дифторэтил)пиридин-3-ил]окси}-5-(2,3-дигидробензофуран-7-ил)пиримидина (I-335) Способом получения, аналогичным способу для соединения (I-1), соединение (I-335) (выход 39,1 мг, 77%) получали в виде белого твердого остатка из соединения (IV-100) (45,0 мг, 0,142 ммоль) и 2,3-дигидробензофуран-7-бороновой кислоты (V-35) (35,0 мг, 0,214 ммоль).
[0766]
Пример 336. Получение 4-{[6-(1,1-дифторэтил)пиридин-3-ил]окси}-5-(4,5-дифтор-2-метоксифенил)пиримидина (I-336) Способом получения, аналогичным способу для соединения (I-1), соединение (I-336) (выход 37,1 мг, 77%) получали в виде белого твердого остатка из соединения (IV-100) (40,0 мг, 0,127 ммоль) и 4,5-дифтор-2-метоксифенилбороновой кислоты (V-40) (30,9 мг, 0,165 ммоль).
[0767]
Справочный пример 337Получение 5-{[3-(2-метоксифенил)пиридин-2-ил]окси}-пиримидин-2-амина (I-337) Способом получения, аналогичным способу для соединения (I-1), соединение (I-337) (выход 452 мг, 82%) получали в виде белого твердого остатка из соединения (IV-28) (500 мг, 1,87 ммоль) и 2-метоксифенилбороновой кислоты (V-1) (341 мг, 2,25 ммоль).
[0768]
Пример 338. Получение 2-хлор-5-{[3-(2-метоксифенил)пиридин-2-ил]окси}пиримидина (I-338) Способом получения, аналогичным способу для соединения (IV-29), соединение (I-338) (выход 55,0 мг, 38%) получали в виде белого твердого остатка из соединения (I-337) (136 мг, 0,462 ммоль), хлорида цинка (II) (107 мг, 0,786 ммоль) и нитрита натрия (54,2 мг, 0,786 ммоль).
[0769]
Пример 339. Получение N-бензил-5-{[3-(2-метоксифенил)пиридин-2-ил]окси}-N-метилпиримидин-2-амина (I-339) Соединение (I-338) (23,0 мг, 0,0733 ммоль) растворяли в DMF (1 мл), добавляли N-метил-1-фенилметанамин (26,7 мг, 0,220 ммоль) и карбонат калия (50,7 мг, 0,367 ммоль), и смесь перемешивали при 100°C в течение 18 часов. Добавляли воду, останавливая реакцию, и смесь экстрагировали этилацетатом. Органический слой промывали насыщенным соляным раствором и сушили над безводным сульфатом магния, и растворитель упаривали при пониженном давлении. Остаток очищали колоночной хроматографией на силикагеле (н-гексан:этилацетат), получая соединение (I-339) (выход 15,6 мг, 53%) в виде бесцветного масла.
[0770]
Пример 340. Получение 5-{[3-(2,3-дигидробензофуран-7-ил)пиридин-2-ил]окси}-N-этил-N-метилпиримидин-2-амина (I-340) Способом получения, аналогичным способу для соединения (I-1), соединение (I-340) (выход 21,3 мг, 99%) получали в виде бесцветного масла из соединения (IV-31) (19,0 мг, 0,0615 ммоль) и 2,3-дигидробензофуран-7-бороновой кислоты (V-35) (15,1 мг, 0,0922 ммоль).
[0771]
Пример 341. Получение 2-[4-(трифторметил)фенокси]-3-(1,3,5-триметил-1H-пиразол-4-ил)пиридина (I-341) Способом получения, аналогичным способу для соединения (I-1), соединение (I-341) (выход 10,1 мг, 31%) получали в виде белого твердого остатка из соединения (IV-39) (30,0 мг, 0,0943 ммоль) и пинаколового эфира 1,3,5-триметил-1H-пиразол-4-бороновой кислоты (V-52) (26,7 мг, 0,113 ммоль).
[0772]
Пример 342. Получение 2,4-диметил-5-{2-[4-(трифторметил)фенокси]пиридин-3-ил}тиазола (I-342) Способом получения, аналогичным способу для соединения (I-1), соединение (I-342) (выход 25,5 мг, 77%) получали в виде бесцветного масла из соединения (IV-39) (30,0 мг, 0,0943 ммоль) и пинаколового эфира 2,4-диметилтиазол-5-бороновой кислоты (V-53) (27,1 мг, 0,113 ммоль).
[0773]
Пример 343. Получение 5-(2-{[6-(1,1-дифтор-2-метоксиэтил)пиридин-3-ил]окси}пиридин-3-ил)-[1,2,4]триазоло[1,5-a]пиридина (I-343) Способом получения, аналогичным способу для соединения (I-36), соединение (I-343) (выход 21,5 мг, 58%) получали в виде бесцветного масла из 5-бром[1,2,4]триазоло[1,5-a]пиридина (VII-9) (28,7 мг, 0,145 ммоль) и соединения (VIa-3) (30,0 мг, 0,0968 ммоль).
[0774]
Пример 344. Получение этил 2-[(5-{[3-(2-метоксифенил)пиридин-2-ил]окси}пиридин-2-ил)(метил)амино]ацетата (I-344)[0775]
[0776]
Стадия 1
Способом получения, аналогичным способу для соединения (I-47), соединение (M-47) (выход 1,19 г, 22%) получали из 5-бромпиридин-2-амина (M-46) (5,00 г, 28,9 ммоль) и метилйодида (1,8 мл, 29 ммоль).
Стадия 2
Соединение (M-47) (1,19 г, 6,36 ммоль) растворяли в DMF (21 мл), добавляли гидрид натрия (229 мг, 9,54 ммоль), и смесь перемешивали при охлаждении на льду в течение 20 мин. Добавляли при охлаждении на льду этилбромацетат (1,4 мл, 13 ммоль), и смесь нагревали до комнатной температуры и перемешивали в течение 1 часа. Смесь нагревали до 70°C и перемешивали в течение 16 часов. Добавляли воду, и смесь экстрагировали этилацетатом. Органический слой промывали последовательно водой и насыщенным соляным раствором, и органический слой сушили над безводным сульфатом натрия. Растворитель упаривали при пониженном давлении, и остаток очищали колоночной хроматографией на силикагеле (н-гексан:этилацетат), получая соединение (M-48) (выход 644 мг, 37%).
Стадия 3
Соединение (M-48) (640 мг, 2,34 ммоль) растворяли в DMF (8,0 мл), последовательно добавляли бис(пинаколато)дибор (714 мг, 2,81 ммоль), ацетат калия (689 мг, 7,02 ммоль) и ацетат палладия (26,3 мг, 0,117 ммоль), и смесь перемешивали при 80°C в течение 16 часов. Полученный в результате твердый остаток удаляли фильтрованием, добавляли воду, и смесь экстрагировали этилацетатом. Органический слой промывали последовательно водой и насыщенным соляным раствором, сушили над безводным сульфатом натрия и фильтровали. Растворитель упаривали при пониженном давлении. Остаток растворяли в THF (12 мл) и воде (12 мл), добавляли перборат натрия (1,30 г, 8,42 ммоль), и смесь перемешивали при комнатной температуре в течение 13 часов. Реакцию прерывали добавлением насыщенного водного раствора хлорида аммония, и смесь экстрагировали этилацетатом. Органический слой промывали последовательно насыщенным водным раствором хлорида аммония и насыщенным соляным раствором и сушили над безводным сульфатом натрия. Растворитель упаривали при пониженном давлении, и остаток очищали колоночной хроматографией на силикагеле (н-гексан:этилацетат=95:5 → 50:50), получая соединение (II-59) (выход 357 мг, 73%).
Стадия 4
Способом получения, аналогичным способу для соединения (IV-1), соединение (IV-120) (выход 82,0 мг, 13%) получали из соединения (III-1) (489 мг, 2,54 ммоль) и соединения (II-59) (356 мг, 1,69 ммоль).
Стадия 5
Способом получения, аналогичным способу для соединения (I-1), соединение (I-344) (выход 18,5 мг, 65%) получали в виде бледно-желтого твердого остатка из соединения (IV-120) (26,7 мг, 0,0729 ммоль) и 2-метоксифенилбороновой кислоты (V-1) (14,5 мг, 0,0948 ммоль).
[0777]
Пример 345. Получение 2-[(2,3-дигидро-1H-инден-5-ил)окси]-3-(2-метоксифенил)пиридина (I-345) Способом получения, аналогичным способу для соединения (I-1), соединение (I-345) (выход 115 мг, количественный) получали в виде бесцветного масла из соединения (IV-66) (100 мг, 0,345 ммоль) и 2-метоксифенилбороновой кислоты (V-1) (79,0 мг, 0,518 ммоль).
[0778]
Пример 346. Получение 2-{[6-(трифторметил)пиридин-3-ил]окси}-3-(1,3,5-триметил-1H-пиразол-4-ил)пиридина (I-346) Способом получения, аналогичным способу для соединения (I-1), соединение (I-346) (выход 21,2 мг, 39%) получали в виде бесцветного масла из соединения (IV-1) (50,0 мг, 0,157 ммоль) и пинаколового эфира 1,3,5-триметил-1H-пиразол-4-бороновой кислоты (V-52) (48,1 мг, 0,204 ммоль).
[0779]
Пример 347. Получение 2,2-дифтор-2-(5-{[2'-метокси-(3,3'-бипиридин)-2-ил]окси}пиридин-2-ил)этанола (I-347) Способом получения, аналогичным способу для соединения (I-1), соединение (I-347) (выход 182 мг, 95%) получали в виде бесцветного масла из соединения (IV-10) (176 мг, 0,555 ммоль) и 2-метоксипиридин-3-бороновой кислоты (V-26) (127 мг, 0,833 ммоль).
[0780]
Пример 348. Получение 2-{[6-(1,1-дифтор-2-метоксиэтил)пиридин-3-ил]окси}-2'-метокси-3,3'-бипиридина (I-348) Способом получения, аналогичным способу для соединения (I-145), соединение (I-348) (выход 15,5 мг, 50%) получали в виде бесцветного масла из соединения (I-347) (30,0 мг, 0,834 ммоль) и метилйодида (5,7 мкл, 0,092 ммоль).
[0781]
Пример 349. Получение 2-{[6-(1,1-дифтор-2-метоксиэтил)пиридин-3-ил]окси}-4'-метокси-3,3'-бипиридина (I-349) Способом получения, аналогичным способу для соединения (I-1), соединение (I-349) (выход 32,5 мг, 60%) получали в виде бесцветного масла из соединения (IV-24) (50,0 мг, 0,145 ммоль) и 4-метоксипиридин-3-бороновой кислоты (V-28a) (26,6 мг, 0,174 ммоль).
[0782]
Пример 350. Получение 2-({6-[1,1-дифтор-2-(1H-пиразол-1-ил)этил]пиридин-3-ил}окси)-3-(2-метоксифенил)пиридина (I-350) Способом получения, аналогичным способу для соединения (I-146), соединение (I-350) (выход 35,6 мг, 85%) получали в виде бесцветного масла из соединения (I-80) (50,0 мг, 0,102 ммоль) и 1H-пиразола (69,4 мг, 1,02 ммоль).
[0783]
Пример 351. Получение 2-({6-[1,1-дифтор-2-(1H-имидазол-1-ил)этил]пиридин-3-ил}окси)-3-(2-метоксифенил)пиридина (I-351) Способом получения, аналогичным способу для соединения (I-146), соединение (I-351) (выход 33,1 мг, 79%) получали в виде бесцветного масла из соединения (I-80) (50,0 мг, 0,102 ммоль) и 1H-имидазола (69,4 мг, 1,02 ммоль).
[0784]
Справочный пример 352. Получение 5-{[2'-метокси-(3,3'-бипиридин)-2-ил]окси}пиримидин-2-амина (I-352) Способом получения, аналогичным способу для соединения (I-1), соединение (I-352) (выход 560 мг, количественный) получали в виде белого твердого остатка из соединения (IV-28) (500 мг, 1,87 ммоль) и 2-метоксипиридин-3-бороновой кислоты (V-26) (372 мг, 2,43 ммоль).
[0785]
Пример 353. Получение 2-[(2-йодпиримидин-5-ил)окси]-2'-метокси-3,3'-бипиридина (I-353) Способом получения, аналогичным способу для соединения (I-191), соединение (I-353) (выход 263 мг, 67%) получали в виде бледно-желтого масла из соединения (I-352) (285 мг, 0,965 ммоль), изоамилнитрита (0,39 мл, 2,90 ммоль) и дийодметана (0,78 мл, 9,65 ммоль).
[0786]
Пример 354. Получение метил 2-[(5-{[2'-метокси-(3,3'-бипиридин)-2-ил]окси}пиримидин-2-ил)(метил)амино]ацетата (I-354) Соединение (I-353) (50,0 мг, 0,123 ммоль) растворяли в DMA (1,0 мл), последовательно добавляли DIPEA (100 мкл, 0,581 ммоль) и метиловый эфир саркозина (30,0 мг, 0,215 ммоль), и смесь перемешивали при 100°C в течение ночи. Добавляли к реакционной смеси воду, и смесь экстрагировали хлороформом. Органический слой промывали последовательно водой и насыщенным соляным раствором и сушили над безводным сульфатом натрия, и растворитель упаривали при пониженном давлении. Остаток очищали колоночной хроматографией на силикагеле (н-гексан:этилацетат), получая соединение (I-354) (выход 35,0 мг, 75%) в виде бесцветного масла.
[0787]
Пример 355. Получение 5'-хлор-2-[4-(дифторметил)фенокси]-4'-метокси-3,3'-бипиридина (I-355)[0788]
[0789]
Стадия 1
Способом получения, аналогичным способу для соединения (VIa-6), соединение (VIa-9) (выход 442 мг, количественный) получали в виде бледно-желтого твердого остатка из соединения (IV-79) (500 мг, 1,67 ммоль), iPrMgBr•LiCl (1,3 моль/л THF раствор, 2,56 мл, 1,16 ммоль) и триизопропилбората (1,16 мл, 5,00 ммоль).
Стадия 2
Способом получения, аналогичным способу для соединения (I-36), соединение (I-355) (выход 41,6 мг, 51%) получали в виде бесцветного масла из соединения (VIa-9) (71,5 мг, 0,270 ммоль) и соединения (VII-20) (50,0 мг, 0,225 ммоль).
[0790]
Пример 356. Получение 2-[4-(дифторметил)фенокси]-5'-фтор-4'-метокси-3,3'-бипиридина (I-356) Способом получения, аналогичным способу для соединения (I-36), соединение (I-356) (выход 54,1 мг, 80%) получали в виде бесцветного масла из соединения (VIa-9) (61,7 мг, 0,233 ммоль) и соединения (VII-34) (40,0 мг, 0,194 ммоль).
[0791]
Пример 357. Получение 4-(4-хлорфенокси)-5-(4-метоксипиридин-3-ил)пиримидина (I-357) Способом получения, аналогичным способу для соединения (I-1), соединение (I-357) (выход 36,1 мг, 78%) получали в виде бесцветного масла из соединения (IV-104) (48,9 мг, 0,147 ммоль) и 4-метоксипиридин-3-бороновой кислоты (V-28a) (44,9 мг, 0,294 ммоль).
[0792]
Пример 358. Получение 7-{4-[4-(дифторметил)фенокси]пиримидин-5-ил}пиразоло[1,5-a]пиридина (I-358) Способом получения, аналогичным способу для соединения (I-1), соединение (I-358) (выход 46,0 мг, 95%) получали в виде белого твердого остатка из соединения (IV-108) (50,0 мг, 0,144 ммоль) и пиразоло[1,5-a]пиридин-7-бороновой кислоты (V-49) (58,2 мг, 0,359 ммоль).
[0793]
Пример 359. Получение 4-{[6-(1,1-дифторэтил)пиридин-3-ил]окси}-5-(4-фтор-2-метоксифенил)пиримидина (I-359) Способом получения, аналогичным способу для соединения (I-1), соединение (I-359) (выход 21,5 мг, 42%) получали в виде бесцветного масла из соединения (IV-100) (45,0 мг, 0,142 ммоль) и 4-фтор-2-метоксифенилбороновой кислоты (V-12) (36,3 мг, 0,214 ммоль).
[0794]
Пример 360. Получение 4-{[6-(1,1-дифторэтил)пиридин-3-ил]окси}-5-(5-фтор-2-метоксифенил)пиримидина (I-360) Способом получения, аналогичным способу для соединения (I-1), соединение (I-360) (выход 48,8 мг, 95%) получали в виде белого твердого остатка из соединения (IV-100) (45,0 мг, 0,142 ммоль) и 5-фтор-2-метоксифенилбороновой кислоты (V-11) (36,3 мг, 0,214 ммоль).
[0795]
Пример 361. Получение 4-{[6-(1,1-дифтор-2-метоксиэтил)пиридин-3-ил]окси}-5-(2-метоксипиридин-3-ил)пиримидина (I-361)[0796]
[0797]
Стадия 1
Соединение (M-16) (14,1 г, 53,4 ммоль) и этилбромдифторацетат (10 мл, 80 ммоль) растворяли в DMSO (76 мл), добавляли медь (порошок, <75 мкм, 99,9%, 7,80 г, 123 ммоль), и смесь перемешивали при 90°C в течение 13 часов. Реакционную смесь охлаждали, и разбавляли изопропилацетатом, добавляли насыщенный раствор дигидрофосфата калия, и смесь перемешивали в течение 30 мин. Реакционную смесь экстрагировали этилацетатом, органический слой промывали последовательно водой и насыщенным соляным раствором, и растворитель упаривали при пониженном давлении. Остаток очищали колоночной хроматографией на силикагеле (н-гексан:этилацетат), получая соединение (M-49) (выход 12,3 г, 75%) в виде бесцветного масла.
Стадия 2
Соединение (M-49) (12,3 г, 40,0 ммоль) растворяли в метаноле (80 мл), добавляли при охлаждении на льду боргидрид натрия (4,64 г, 120 ммоль), и смесь перемешивали при комнатной температуре в течение 2 часов. К реакционной смеси добавляли насыщенный водный раствор хлорида аммония, и смесь перемешивали в течение 1 часа и экстрагировали этилацетатом. Органический слой промывали последовательно водой и насыщенным соляным раствором, и растворитель упаривали при пониженном давлении. Остаток очищали колоночной хроматографией на силикагеле (н-гексан:этилацетат), получая соединение (M-50) (выход 10,8 г, 99%) в виде бесцветного масла.
Стадия 3
Соединение (M-50) (10,8 г, 40,0 ммоль) растворяли в DMF (133 мл), последовательно добавляли при охлаждении на льду 50% гидрид натрия (2,11 г, 44,0 ммоль) и метилйодид (2,8 мл, 44 ммоль), и смесь перемешивали при комнатной температуре в течение 2 часов. Добавляли к реакционной смеси воду, и смесь экстрагировали этилацетатом. Органический слой промывали последовательно водой и насыщенным соляным раствором, и растворитель упаривали при пониженном давлении. Остаток очищали колоночной хроматографией на силикагеле (н-гексан:этилацетат), получая соединение (M-51) (выход 11,2 г, количественный) в виде бесцветного масла.
Стадия 4
Соединение (M-51) (11,2 г, 40,1 ммоль) растворяли в метаноле (134 мл), добавляли 20% гидроксид палладия на угле (1,12 г, 10 вес/вес%), и смесь перемешивали в атмосфере водорода при комнатной температуре в течение 16 часов. Смесь фильтровали через целит, и растворитель упаривали при пониженном давлении, и остаток очищали колоночной хроматографией на силикагеле (н-гексан:этилацетат), получая соединение (II-60) (выход 11,2 г, количественный) в виде бесцветного масла.
Стадия 5
Способом получения, аналогичным способу для соединения (IV-1), соединение (IV-121) (выход 134 мг, 17%) получали в виде белого твердого остатка из соединения (III-10) (500 мг, 2,08 ммоль) и соединения (II-60) (375 мг, 1,98 ммоль).
Стадия 6
Способом получения, аналогичным способу для соединения (I-1), соединение (I-361) (выход 10,6 мг, 37%) получали в виде бесцветного масла из соединения (IV-121) (30,0 мг, 0,0763 ммоль) и 2-метоксипиридин-3-бороновой кислоты (V-26) (14,0 мг, 0,0915 ммоль).
[0798]
Пример 362. Получение 5-(пиразоло[1,5-a]пиридин-7-ил)-N-[4-(трифторметил)фенил]пиримидин-4-амина (I-362)[0799]
[0800]
Стадия 1
Соединение (III-11) (120 мг, 0,620 ммоль) и соединение (IIb-2) (150 мг, 0,931 ммоль) растворяли в NMP (2,0 мл), добавляли моногидрат п-толуолсульфокислоты (118 мг, 0,620 ммоль), и смесь перемешивали при 60°C в течение 2 часов. Реакционную смесь охлаждали, добавляли воду, и смесь экстрагировали этилацетатом. Органический слой сушили над безводным сульфатом натрия и фильтровали. Растворитель упаривали при пониженном давлении, и остаток очищали колоночной хроматографией на силикагеле (н-гексан:этилацетат), получая соединение (IV-122) (выход 100 мг, 51%).
Стадия 2
Способом получения, аналогичным способу для соединения (I-1), соединение (I-362) (выход 49,0 мг, 73%) получали в виде белого твердого остатка из соединения (IV-122) (60,0 мг, 0,189 ммоль) и пиразоло[1,5-a]пиридин-7-бороновой кислоты (V-49) (61,1 мг, 0,377 ммоль).
[0801]
Пример 363. Получение 5-(2,4-дифтор-5-метоксифенил)-4-{[6-(дифторметил)пиридин-3-ил]окси}пиримидина (I-363)[0802]
[0803]
Стадия 1
Способом получения, аналогичным способу для соединения (IV-1), соединение (IV-123) (выход 6,10 г, 69%) получали в виде бледно-желтого твердого остатка из соединения (II-57) (5,00 г, 23,0 ммоль) и соединения (III-10) (5,03 г, 20,9 ммоль).
Стадия 2
Способом получения, аналогичным способу для соединения (IV-17), соединение (IV-124) (выход 301 мг, 36%) получали в виде белого твердого остатка из соединения (IV-123) (1,00 г, 2,37 ммоль) и гексагидрата хлорида магния (241 мг, 1,19 ммоль).
Стадия 3
Способом получения, аналогичным способу для соединения (I-1), соединение (I-363) (выход 33,9 мг, 81%) получали в виде бесцветного масла из соединения (IV-124) (40,0 мг, 0,115 ммоль) и 2,4-дифтор-5-метоксифенилбороновой кислоты (V-41) (25,8 мг, 0,138 ммоль).
[0804]
Пример 365. Получение 5-{[3-(2-метоксифенил)пиридин-2-ил]окси}-N,N-диметилпиримидин-2-амина (I-365)[0805]
[0806]
Стадия 1
Способом получения, аналогичным способу для соединения (IV-1), соединение (IV-125) (выход 262 мг, 95%) получали в виде бледно-коричневого масла из соединения (III-1) (200 мг, 1,04 ммоль) и 2-аминопиридин-5-ола (II-61) (137 мг, 1,25 ммоль).
Стадия 2
Способом получения, аналогичным способу для соединения (I-1), соединение (I-364) (выход 210 мг, 73%) получали в виде белого твердого остатка из соединения (IV-125) (260 мг, 0,977 ммоль) и 2-метоксифенилбороновой кислоты (V-1) (223 мг, 1,47 ммоль).
Стадия 3
Соединение (I-364) (20,0 мг, 0,0628 ммоль) растворяли в ацетонитриле (1,0 мл), добавляли при охлаждении на льду формалин (56 мкл, 0,68 ммоль) и натрия триацетоксиборгидрид (43,4 мг, 0,205 ммоль), и смесь перемешивали при комнатной температуре в течение 3 часов. Добавляли к реакционной смеси воду, и смесь экстрагировали хлороформом. Органический слой сушили над безводным сульфатом натрия и фильтровали, и растворитель упаривали при пониженном давлении. Остаток очищали колоночной хроматографией на силикагеле (н-гексан:этилацетат), получая соединение (I-365) (выход 7,0 мг, 32%) в виде желтого твердого остатка.
[0807]
Пример 366. Получение 2-[(6-хлорпиридин-3-ил)окси]-[3-(4-фтор-2-метоксифенил)пиридина (I-366)[0808]
[0809]
Стадия 1
Соединение (IV-125) (500 мг, 1,88 ммоль) растворяли в DCM (4,0 мл), добавляли 6 моль/л хлористоводородную кислоту (407 мкл, 24,4 ммоль), и добавляли при охлаждении на льду хлорид цинка (II) (512 мг, 3,76 ммоль). Смесь перемешивали при охлаждении на льду в течение 30 мин. Дополнительно добавляли нитрит натрия (259 мг, 3,76 ммоль), и смесь перемешивали при комнатной температуре в течение 41 часов. Реакционную смесь выливали в ледяную воду, и смесь экстрагировали хлороформом. Органический слой сушили над безводным сульфатом магния и фильтровали, и растворитель упаривали при пониженном давлении. Остаток очищали колоночной хроматографией на силикагеле, получая соединение (IV-126) (выход 250 мг, 47%).
Стадия 2
Способом получения, аналогичным способу для соединения (I-1), соединение (I-366) (выход 115 мг, 86%) получали в виде масла из соединения (IV-126) (115 мг, 0,403 ммоль) и 4-фтор-2-метоксифенилбороновой кислоты (V-12) (75,0 мг, 0,444 ммоль).
[0810]
Пример 367. Получение N-этил-5-{[3-(4-фтор-2-метоксифенил)пиридин-2-ил]окси}-N-метилпиридин-2-амина (I-367)[0811]
[0812]
Соединение (I-366) (50,0 мг, 0,151 ммоль) растворяли в толуоле, добавляли N-метилэтанамин (17,9 мг, 0,302 ммоль), трет-бутоксид натрия (29,1 мг, 0,302 ммоль), BINAP (9,4 мг, 0,0015 ммоль) и Pd2(dba)3 (6,9 мг, 0,0076 ммоль), и смесь перемешивали при 100°C в течение 18 часов. Добавляли к реакционной смеси воду, и смесь экстрагировали этилацетатом. Органический слой промывали последовательно водой и насыщенным соляным раствором, сушили над безводным сульфатом магния и фильтровали. Растворитель упаривали при пониженном давлении, и остаток очищали колоночной хроматографией на силикагеле, получая соединение (I-367) (выход 33,9 мг, 64%) в виде масла.
[0813]
Пример 368. Получение 5-{[3-(4-фтор-2-метоксифенил)пиридин-2-ил]окси}-N-метил-N-пропилпиридин-2-амина (I-368) Способом получения, аналогичным способу для соединения (I-367), соединение (I-368) (выход 22,6 мг, 51%) получали в виде масла из соединения (I-366) (39,7 мг, 0,120 ммоль) и N-метил-N-пропиламина (24,1 мкл, 17,6 ммоль).
[0814]
Пример 369. Получение 5-{[3-(4-фтор-2-метоксифенил)пиридин-2-ил]окси}-N,N,3-триметилпиримидин-2-амина (I-369)[0815]
[0816]
Стадия 1
Соединение (M-52) (1,00 г, 3,99 ммоль) растворяли в водном растворе диметиламина (6,0 мл), и смесь перемешивали при микроволновом облучении при 150°C в течение 1 часа. Добавляли к реакционной смеси воду, и смесь экстрагировали этилацетатом. Органический слой промывали последовательно водой и насыщенным соляным раствором, сушили над безводным сульфатом натрия и фильтровали. Растворитель упаривали при пониженном давлении, и остаток очищали колоночной хроматографией на силикагеле (н-гексан:этилацетат=100:0 → 80:20), получая соединение (M-53) (выход 843 мг, 98%) в виде бесцветного масла.
Стадия 2
Соединение (M-53) (842 мг, 3,91 ммоль) растворяли в бензиловом спирте (4,1 мл), последовательно добавляли йодид меди (74,5 мг, 0,391 ммоль), 1,10-фенантролин (141 мг, 0,782 ммоль) и карбонат цезия (2,55 г, 7,82 ммоль), и смесь перемешивали при 120°C в течение 23 часов. Реакционную смесь фильтровали через целит. Растворитель упаривали при пониженном давлении, и остаток очищали колоночной хроматографией на силикагеле (н-гексан:этилацетат=95:5 → 80:20), получая соединение (M-54).
Стадия 3
Соединение (M-54) растворяли в этаноле (30 мл), добавляли 10% Pd/C (350 мг), и смесь перемешивали в атмосфере водорода при комнатной температуре в течение 12 часов. Реакционную смесь фильтровали. Растворитель упаривали при пониженном давлении, и остаток очищали колоночной хроматографией на силикагеле (NH силикагель, н-гексан:этилацетат=80:20 → 10:90), получая соединение (II-62) [выход 344 мг, 58% (2 стадии)] в виде белого твердого остатка.
Стадия 4
Соединение (II-62) (344 мг, 2,26 ммоль) и соединение (III-1) (652 мг, 3,39 ммоль) растворяли в DMSO (4,5 мл), добавляли карбонат цезия (1,47 г, 4,52 ммоль), и смесь перемешивали при 120°C в течение 4 часов. Реакционную смесь охлаждали до комнатной температуры, добавляли воду, и смесь экстрагировали этилацетатом. Органический слой промывали последовательно водой и насыщенным соляным раствором, сушили над безводным сульфатом натрия и фильтровали. Растворитель упаривали при пониженном давлении, и остаток очищали колоночной хроматографией на силикагеле (н-гексан:этилацетат=97:3 → 75:25), получая соединение (IV-127) (выход 708 мг, количественный) в виде бесцветного масла.
Стадия 5
Способом получения, аналогичным способу для соединения (I-1), соединение (I-369) (выход 43,8 мг, 77%) получали в виде бесцветного масла из соединения (IV-127) (50,0 мг, 0,162 ммоль) и 4-фтор-2-метоксифенилбороновой кислоты (V-12) (35,9 мг, 0,211 ммоль).
[0817]
Пример 370. Получение 2-{[6-(дифторметокси)пиридин-3-ил]окси}-3-(2-метоксифенил)пиридина (I-370)[0818]
[0819]
Стадия 1
Соединение (M-55) (1,00 г, 5,75 ммоль) растворяли в ацетонитриле (100 мл), добавляли гидрид натрия (303 мг, 6,33 ммоль), и смесь перемешивали при комнатной температуре в течение 15 мин. Дополнительно добавляли 2,2-дифтор-2-(фторсульфонил)уксусную кислоту (1,13 г, 6,33 ммоль), и смесь перемешивали при комнатной температуре в течение 15 мин. Добавляли к реакционной смеси воду, ацетонитрил упаривали при пониженном давлении, и смесь экстрагировали этилацетатом. Органический слой промывали последовательно водой и насыщенным соляным раствором, сушили над безводным сульфатом натрия и фильтровали. Растворитель упаривали при пониженном давлении, и остаток очищали колоночной хроматографией на силикагеле (н-гексан:этилацетат=100:0 → 90:10), получая соединение (M-56) (выход 810 мг, 63%) в виде бесцветного масла.
Стадия 2
Соединение (M-56) (800 мг, 3,57 ммоль) растворяли в THF (5,0 мл), добавляли i-PrMgCl•LiCl (1,3 моль/л THF раствор, 4,0 мл, 5,2 ммоль), и смесь перемешивали при комнатной температуре в течение 1 часа. К реакционной смеси добавляли триизопропил борат (1,5 мл, 6,5 ммоль), и смесь перемешивали при комнатной температуре в течение 2 часов. К реакционной смеси добавляли 1 моль/л водный раствор гидроксида натрия (5,0 мл) и пероксид водорода (5,0 мл), и смесь перемешивали при комнатной температуре в течение 2 часов. К реакционной смеси добавляли 2 моль/л хлористоводородную кислоту, и смесь экстрагировали этилацетатом. Органический слой промывали последовательно водой и насыщенным соляным раствором, сушили над безводным сульфатом натрия и фильтровали. Растворитель упаривали при пониженном давлении, и остаток очищали колоночной хроматографией на силикагеле (н-гексан:этилацетат=100:0 → 70:30), получая соединение (II-63) (выход 216 мг, 38%) в виде бесцветного масла.
Стадия 3
Способом получения, аналогичным способу для соединения (IV-1), соединение (IV-128) (выход 70,2 мг, 18%) получали в виде бесцветного масла из соединения (II-63) (200 мг, 1,24 ммоль) и соединения (III-1) (239 мг, 1,24 ммоль).
Стадия 4
Способом получения, аналогичным способу для соединения (I-1), соединение (I-370) (выход 5,1 мг, 23%) получали в виде бесцветного масла из соединения (IV-128) (20,0 мг, 0,0631 ммоль) и 2-метоксифенилбороновой кислоты (V-1) (14,4 мг, 0,0946 ммоль).
[0820]
Пример 371. Получение N-[(5-{[3-(2-метоксифенил)пиридин-2-ил]окси}пиридин-2-ил)метил]анилина (I-371)[0821]
[0822]
Соединение (I-70) (30 мг, 0,097 ммоль) растворяли в DCM (0,60 мл), добавляли при охлаждении на льду TEA (50 мкл, 0,39 ммоль) и метансульфонилхлорид (10 мкл, 0,13 ммоль), и смесь перемешивали в течение 30 мин. Добавляли анилин (20 мкл, 0,22 ммоль), и смесь перемешивали при комнатной температуре в течение 3 дней. Реакционную смесь очищали колоночной хроматографией на силикагеле (NH силикагель, н-гексан:этилацетат=100:0 → 50:50), получая соединение (I-371) (выход 11,1 мг, 30%) в виде бесцветного масла.
[0823]
Пример 374. Получение 6-метокси-2'-{[6-(трифторметил)пиридин-3-ил]окси}-2,3'-бипиридина (I-374)[0824]
[0825]
Стадия 1
Способом получения, аналогичным способу для соединения (I-36), соединение (I-372) (выход 198 мг, 62%) получали в виде белого твердого остатка из соединения (VII-52) (200 мг, 0,757 ммоль) и соединения (VIa-1) (279 мг, 0,984 ммоль).
Стадия 2
Соединение (I-372) (182 мг, 0,429 ммоль) растворяли в метаноле (2,0 мл) и THF (8,0 мл), добавляли 20% Pd(OH)2/C (18,2 мг), и смесь перемешивали в атмосфере водорода, применяя баллон, при комнатной температуре в течение 16 часов. Смесь фильтровали через целит, и промывали этилацетатом. Растворитель упаривали при пониженном давлении, и остаток очищали колоночной хроматографией на силикагеле (NH силикагель, хлороформ:метанол=100:0 → 95:5), получая соединение (I-373) (выход 143 мг, количественный) в виде белого твердого остатка.
Стадия 3
Соединение (I-373) (27,7 мг, 0,0831 ммоль) растворяли в DMF (1,0 мл), последовательно добавляли карбонат калия (10,3 мг, 0,166 ммоль) и метилйодид (7,8 мкл, 0,13 ммоль), и смесь перемешивали при комнатной температуре в течение 13 часов. Добавляли к реакционной смеси воду, и смесь экстрагировали этилацетатом. Органический слой промывали последовательно водой и насыщенным соляным раствором, сушили над безводным сульфатом натрия и фильтровали. Растворитель упаривали при пониженном давлении, и остаток очищали колоночной хроматографией на силикагеле (NH силикагель, н-гексан:этилацетат=95:5 → 40:40), получая соединение (I-374) (выход 9,1 мг, 32%) в виде бесцветного масла.
[0826]
Пример 375. Получение 2-хлор-7-(2-{[6-(трифторметил)пиридин-3-ил]окси}пиридин-3-ил)пиразоло[1,5-a]пиридина (I-375)[0827]
[0828]
Стадия 1
К раствору соединения (M-56) (200 мг, 1,31 ммоль) в THF (2,6 мл) добавляли н-бутиллитий (1,6 моль/л н-гексановый раствор, 0,98 мл, 1,6 ммоль) при -78°C, и смесь перемешивали при -78°C в течение 30 мин. К реакционной смеси добавляли 1,2-дийодэтан (443 мг, 1,57 ммоль) при -78°C, и смесь перемешивали при -78°C в течение 30 мин. Затем, смесь постепенно нагревали до комнатной температуры, добавляли к реакционной смеси насыщенный водный раствор хлорида аммония, и смесь экстрагировали этилацетатом. Органический слой промывали последовательно насыщенным водным раствором хлорида аммония и насыщенным соляным раствором, сушили над безводным сульфатом натрия и фильтровали. Растворитель упаривали при пониженном давлении, и остаток очищали колоночной хроматографией на силикагеле (н-гексан:этилацетат=97:3 → 80:20), получая соединение (VII-53) (выход 258 мг, 71%) в виде бежевого твердого остатка.
Стадия 2
Способом получения, аналогичным способу для соединения (I-36), соединение (I-375) (выход 12,6 мг, 18%) получали в виде белого твердого остатка из соединения (VII-53) (50,0 мг, 0,180 ммоль) и соединения (VIa-1) (56,1 мг, 0,198 ммоль).
[0829]
Пример 377. Получение 4-бром-3-метил-5-(2-{[6-(трифторметил)пиридин-3-ил]окси}пиридин-3-ил)изотиазола (I-377)[0830]
[0831]
Стадия 1
Способом получения, аналогичным способу для соединения (I-36), соединение (I-376) (выход 7,7 мг, 13%) получали в виде белого твердого остатка из 5-бром-3-метилизотиазола (VII-54) (47,0 мг, 0,264 ммоль) и соединения (VIa-1) (50,0 мг, 0,176 ммоль).
Стадия 2
Соединение (I-376) (30,0 мг, 0,0890 ммоль) растворяли в уксусной кислоте (1,0 мл), добавляли бром (5,5 мкл, 0,11 ммоль), и смесь перемешивали при 100°C в течение 3 часов. Реакционную смесь охлаждали до комнатной температуры, добавляли насыщенный водный раствор бикарбоната натрия, и смесь экстрагировали этилацетатом. Органический слой сушили над безводным сульфатом натрия и фильтровали. Растворитель упаривали при пониженном давлении, и остаток очищали колоночной хроматографией на силикагеле (н-гексан:этилацетат), получая соединение (I-377) (выход 13,0 мг, 35%) в виде белого твердого остатка.
[0832]
Пример 378. Получение 5-{[3-(4-фтор-2-метоксифенил)пиридин-2-ил]окси}-2-(проп-1-ен-2-ил)пиримидина (I-378)[0833]
[0834]
Соединение (I-191) (100 мг, 0,236 ммоль), пинаколовый эфир изопропенилбороновой кислоты (67 мкл, 0,35 ммоль), (A-taPhos)2PdCl2 (8,4 мг, 0,012 ммоль) и карбонат цезия (154 мг, 0,472 ммоль) растворяли в 1,4-диоксане (1,0 мл) и воде (0,20 мл), и смесь перемешивали при микроволновом облучении при 120°C в течение 30 мин. Последовательно добавляли к реакционной смеси пинаколовый эфир изопропенилбороновой кислоты (44 мкл, 0,24 ммоль) и карбонат цезия (76,9 мг, 0,236 ммоль), и смесь перемешивали при микроволновом облучении при 120°C в течение 30 мин. Добавляли к реакционной смеси воду, и смесь экстрагировали этилацетатом. Органический слой промывали последовательно водой и насыщенным соляным раствором, сушили над безводным сульфатом натрия и фильтровали. Растворитель упаривали при пониженном давлении, и остаток очищали колоночной хроматографией на силикагеле (NH силикагель, н-гексан:этилацетат=95:5 → 70:30), получая соединение (I-378) (выход 61,4 мг, 77%) в виде бледно-желтого масла.
[0835]
Пример 379. Получение 5-{[3-(4-фтор-2-метоксифенил)пиридин-2-ил]окси}-2-(1-метилциклопропил)пиримидина (I-379)[0836]
[0837]
Йодид триметилоксосульфония (76,4 мг, 0,347 ммоль) растворяли в THF (0,40 мл) и DMSO (0,60 мл), добавляли трет-бутоксид калия (38,9 мг, 0,347 ммоль), и смесь перемешивали при комнатной температуре в течение 30 мин. Затем, к реакционной смеси добавляли раствор соединения (I-378) (77,9 мг, 0,231 ммоль) в THF (0,60 мл), и смесь перемешивали при комнатной температуре в течение 1 часа. Затем, смесь нагревали до 60°C и перемешивали в течение 3 часов. Реакционную смесь охлаждали до комнатной температуры, добавляли воду, и смесь экстрагировали этилацетатом. Органический слой промывали последовательно водой и насыщенным соляным раствором, сушили над безводным сульфатом натрия и фильтровали. Растворитель упаривали при пониженном давлении, и остаток очищали колоночной хроматографией на силикагеле (н-гексан:этилацетат=100:0 → 85:15), получая соединение (I-379) (выход 28,7 мг, 35%) в виде белого твердого остатка.
[0838]
Пример 380. Получение 2-(бензилокси)-5-{[3-(2-метоксифенил)пиридин-2-ил]окси}пиримидина (I-380) Бензиловый спирт (63,0 мкл, 0,606 ммоль) растворяли в DMF (1,0 мл), добавляли 60% гидрид натрия (24,2 мг, 0,606 ммоль), и смесь перемешивали при комнатной температуре в течение 30 мин. Добавляли соединение (I-338) (19,0 мг, 0,061 ммоль), и смесь перемешивали при 100°C в течение 18 часов. Реакционную смесь охлаждали, добавляли воду, и смесь экстрагировали этилацетатом. Органический слой промывали последовательно водой и насыщенным соляным раствором, сушили над безводным сульфатом магния и фильтровали. Растворитель упаривали при пониженном давлении, и остаток очищали колоночной хроматографией на силикагеле, получая соединение (I-380) (выход 13,2 мг, 57%) в виде масла.
[0839]
Пример 381. Получение N-бензил-5-{[2'-метокси-(3,3'-бипиридин)-2-ил]окси}-N-метилпиримидин-2-амина (I-381)[0840]
[0841]
Стадия 1
5-Бром-2-хлорпиримидин (M-57) (5,00 г, 25,8 ммоль) растворяли в IPA (10 мл), добавляли DIPEA (10 мл) и бензилметиламин (4,50 мл, 34,9 ммоль), и смесь перемешивали при 100°C в течение 2 часов. Реакцию раствор концентрировали при пониженном давлении, и остаток очищали колоночной хроматографией на силикагеле (н-гексан:этилацетат=100:0 → 90:10), получая N-бензил-5-бром-N-метилпиримидин-2-амин (M-58) (выход 7,15 г, 99%) в виде белого твердого остатка.
Стадия 2
Способом получения, аналогичным способу для соединения (M-53), соединение (M-59) (выход 980 мг, 89%) получали в виде желтого масла из соединения (M-58) (1,00 г, 3,60 ммоль).
Стадия 3
Способом получения, аналогичным способу для соединения (M-54), соединение (II-64) (выход 340 мг, 49%) получали в виде белого твердого остатка из соединения (M-59) (980 мг, 3,21 ммоль).
Стадия 4
Способом получения, аналогичным способу для соединения (IV-1), соединение (IV-129) (выход 580 мг, 99%) получали в виде желтого масла из соединения (III-1) (310 мг, 1,61 ммоль) и соединения (II-64) (340 мг, 1,58 ммоль).
Стадия 5
Способом получения, аналогичным способу для соединения (I-1), соединение (I-381) (выход 600 мг, 96%) получали в виде бесцветного масла из соединения (IV-129) (580 мг, 1,56 ммоль) и 2-метоксипиридин-3-бороновой кислоты (V-26) (300 мг, 1,96 ммоль).
[0842]
Пример 384. Получение N-бутил-5-{[4'-метокси-(3,3'-бипиридин)-2-ил]окси}-N-метилпиримидин-2-амина (I-384)[0843]
[0844]
Стадия 1
Способом получения, аналогичным способу для соединения (I-1), соединение (I-382) (выход 626 мг, 57%) получали в виде белого твердого остатка из соединения (IV-28) (1,00 г, 3,74 ммоль) и моногидрата 4-метоксипиридин-3-бороновой кислоты (V-28) (858 мг, 5,61 ммоль).
Стадия 2
Способом получения, аналогичным способу для соединения (I-191), соединение (I-383) (выход 396 мг, 46%) получали из соединения (I-382) (626 мг, 2,12 ммоль).
Стадия 3
Способом получения, аналогичным способу для соединения (IV-30), соединение (I-384) (выход 41,2 мг, 46%) получали в виде бесцветного масла из соединения (I-383) (100 мг, 0,246 ммоль) и N-метилбутиламина (0,29 мл, 2,5 ммоль).
[0845]
Пример 386. Получение этил 2-[(5-{[3-(4-фтор-2-метоксифенил)пиридин-2-ил]окси}пиримидин-2-ил)(метил)амино]ацетата (I-386)[0846]
[0847]
Стадия 1
Соединение (I-192) (100 мг, 0,251 ммоль) растворяли в THF (1,5 мл) и метаноле (1,5 мл), добавляли 4 моль/л водный раствор гидроксида натрия (0,75 мл), и смесь перемешивали при комнатной температуре в течение ночи. Добавляли 1 моль/л хлористоводородную кислоту, и смесь промывали этилацетатом. Водный слой нейтрализовали 4 моль/л водным раствором гидроксида натрия и экстрагировали хлороформом. Органический слой сушили над безводным сульфатом натрия. Растворитель упаривали при пониженном давлении, получая соединение (I-385) (выход 93,0 мг, 96%) в виде белого твердого остатка.
Стадия 2
Соединение (I-385) (30,0 мг, 0,0780 ммоль) растворяли в этаноле (1,0 мл), добавляли тионилхлорид (0,20 мл), и смесь кипятили с обратным холодильником в течение ночи. Реакционную смесь охлаждали, и растворитель упаривали при пониженном давлении. Остаток нейтрализовали насыщенным водным раствором бикарбоната натрия и экстрагировали хлороформом. Органический слой сушили над безводным сульфатом натрия. Растворитель упаривали при пониженном давлении, получая соединение (I-386) (выход 18,0 мг, 57%) в виде бесцветного масла.
[0848]
Пример 387. Получение метил 2-[(5-{[3-(2-метоксифенил)пиридин-2-ил]окси}пиримидин-2-ил)(метил)амино]ацетата (I-387)[0849]
[0850]
Стадия 1
Соединение (M-57) (30,0 г, 155 ммоль) и метиловый эфир саркозина (27,6 г, 310 ммоль) растворяли в DMF (155 мл), добавляли TEA (43 мл, 310 ммоль), и смесь кипятили с обратным холодильником при 100°C в течение ночи. Реакционную смесь охлаждали, добавляли воду, останавливая реакцию, и смесь экстрагировали этилацетатом. Органический слой промывали насыщенным соляным раствором, и сушили над безводным сульфатом магния, и растворитель упаривали при пониженном давлении. Остаток очищали колоночной хроматографией на силикагеле (н-гексан:этилацетат), получая соединение (M-60) (выход 36,6 г, 91%) в виде бесцветного масла.
Стадия 2
Соединение (M-60) (36,6 г, 141 ммоль) растворяли в DMF (140 мл), добавляли бис(пинаколато)дибор (39,4 г, 155 ммоль), карбонат цезия (91,9 г, 282 ммоль) и ацетат палладия (1,58 г, 7,05 ммоль), и смесь перемешивали при 80°C в течение ночи. Твердый остаток удаляли фильтрованием, добавляли к реакционной смеси воду, и смесь экстрагировали этилацетатом. Органический слой промывали последовательно водой и насыщенным соляным раствором, сушили над безводным сульфатом натрия и фильтровали. Растворитель упаривали при пониженном давлении. Остаток растворяли в THF (12 мл) и воде (12 мл), добавляли перборат натрия (23,0 г, 282 ммоль), и смесь перемешивали при комнатной температуре в течение 13 часов. Добавляли насыщенный водный раствор хлорида аммония, останавливая реакцию, и смесь экстрагировали этилацетатом. Органический слой промывали последовательно насыщенным водным раствором хлорида аммония и насыщенным соляным раствором, и органический слой сушили над безводным сульфатом натрия. Растворитель упаривали при пониженном давлении, и остаток очищали колоночной хроматографией на силикагеле (н-гексан:этилацетат), получая соединение (II-65) (выход 27,7 г, количественный) в виде белого твердого остатка.
Стадия 3
Способом получения, аналогичным способу для соединения (IV-1), соединение (IV-130) (выход 22,3 г, 45%) получали в виде белого твердого остатка из соединения (III-1) (26,9 г, 140 ммоль) и соединения (II-65) (27,7 г, 140 ммоль).
Стадия 4
Способом получения, аналогичным способу для соединения (I-1), соединение (I-387) (выход 43,9 мг, количественный) получали в виде бесцветного масла из соединения (IV-130) (40,0 мг, 0,113 ммоль) и 2-метоксифенилбороновой кислоты (V-1) (25,8 мг, 0,170 ммоль).
[0851]
Пример 388. Получение 2-[4-(1-этокси-2-метилпропан-2-ил)фенокси]-2'-метокси-3,3'-бипиридина (I-388)[0852]
[0853]
Стадия 1
Способом получения, аналогичным способу для соединения (I-145), соединение (IV-131) (выход 83,5 мг, 38%) получали в виде бесцветного масла из соединения (IV-73) (200 мг, 0,621 ммоль) и этилбромида (70 мкл, 0,93 ммоль).
Стадия 2
Способом получения, аналогичным способу для соединения (I-1), соединение (I-388) (выход 27,3 мг, 94%) получали в виде белого твердого остатка из соединения (IV-131) (27,7 мг, 0,0771 ммоль) и 2-метоксипиридин-3-бороновой кислоты (V-26) (17,7 мг, 0,116 ммоль).
[0854]
Пример 390. Получение 2-(4-этинилфенокси)-2'-метокси-3,3'-бипиридина (I-390)[0855]
[0856]
Стадия 1
Способом получения, аналогичным способу для соединения (I-1), соединение (I-389) (выход 1,45 г, 88%) получали в виде бледно-желтого твердого остатка из соединения (IV-51) (1,50 г, 5,39 ммоль) и 2-метоксипиридин-3-бороновой кислоты (V-26) (1,07 г, 7,01 ммоль).
Стадия 2
Соединение (I-389) (1,00 г, 3,26 ммоль) растворяли в метаноле (10 мл), последовательно добавляли карбонат калия (901 мг, 6,52 ммоль) и реагент Охира-Бестмана (0,73 мл, 4,9 ммоль), и смесь перемешивали при комнатной температуре в течение 2 часов. Добавляли к реакционной смеси воду, и смесь экстрагировали хлороформом. Органический слой промывали водой, сушили над безводным сульфатом натрия и фильтровали. Растворитель упаривали при пониженном давлении, и остаток очищали колоночной хроматографией на силикагеле (н-гексан:этилацетат=97:3 → 75:25), получая соединение (I-390) (выход 727 мг, 74%) в виде бледно-желтого масла.
[0857]
Пример 392. Получение 2-(4-этил-3-фторфенокси)-4'-метокси-3,3'-бипиридина (I-392)[0858]
[0859]
Стадия 1
Соединение (III-8) (571 мг, 3,24 ммоль) и 2-фтор-4-гидроксиацетофенон (II-66) (500 мг, 3,24 ммоль) растворяли в NMP (5,0 мл), добавляли карбонат цезия (1,27 г, 3,89 ммоль), и смесь перемешивали при 120°C в течение 6 часов. Реакционную смесь охлаждали, добавляли воду, и смесь экстрагировали хлороформом. Органический слой сушили над безводным сульфатом натрия, и растворитель упаривали при пониженном давлении. Остаток очищали колоночной хроматографией на силикагеле (н-гексан:этилацетат=0:100 → 80:20), получая соединение (IV-132) (выход 715 мг, 71%) в виде бесцветного масла.
Стадия 2
К раствору соединения (IV-132) (500 мг, 1,61 ммоль) в THF (4,0 мл) и метаноле (4,0 мл) добавляли боргидрид натрия (60,9 мг, 1,61 ммоль), и смесь перемешивали при комнатной температуре в течение 1 часа. После завершения реакции, растворитель упаривали при пониженном давлении. Остаток очищали колоночной хроматографией на силикагеле (н-гексан:этилацетат=0:100 → 50:50), получая соединение (IV-133) (выход 488 мг, 97%) в виде белого твердого остатка.
Стадия 3
Способом получения, аналогичным способу для соединения (I-127), соединение (I-391) (выход 249 мг, 57%) получали в виде бесцветного масла из соединения (IV-133) (400 мг, 1,28 ммоль) и моногидрата 4-метоксипиридин-3-бороновой кислоты (V-28) (294 мг, 1,92 ммоль).
Стадия 4
Соединение (I-391) (30,0 мг, 0,0881 ммоль) растворяли в TFA (1,0 мл), добавляли триэтилсилан (1,0 мл, 6,3 ммоль), и смесь перемешивали при 50°C в течение ночи. Реакционную смесь охлаждали, и растворитель упаривали при пониженном давлении. Остаток очищали колоночной хроматографией на силикагеле (н-гексан:этилацетат=0:100 → 30:70), получая соединение (I-392) (выход 14,6 мг, 51%) в виде бесцветного масла.
[0860]
Пример 394. Получение 2-(4-этил-2-фторфенокси)-4'-метокси-3,3'-бипиридина (I-394)[0861]
[0862]
Стадия 1
Соединение (III-8) (500 мг, 2,84 ммоль), 3-фтор-4-гидроксиацетофенон (II-67) (876 мг, 5,68 ммоль) и карбонат цезия (1,85 г, 5,68 ммоль) растворяли в NMP (5 мл), и смесь перемешивали при микроволновом облучении при 120°C в течение 30 мин. Реакционную смесь охлаждали, добавляли 1 моль/л водный раствор гидроксида натрия, и смесь экстрагировали этилацетатом/н-гексаном. Органический слой сушили над безводным сульфатом натрия и фильтровали. Растворитель упаривали при пониженном давлении, и остаток очищали колоночной хроматографией на силикагеле (н-гексан:этилацетат), получая соединение (IV-134) (выход 465 мг, 53%).
Стадия 2
Способом получения, аналогичным способу для соединения (IV-133), соединение (IV-135) (выход 438 мг, 95%) получали из соединения (IV-134) (460 мг, 1,48 ммоль).
Стадия 3
Способом получения, аналогичным способу для соединения (I-127), соединение (I-393) (выход 271 мг, 57%) получали в виде белого твердого остатка из соединения (IV-135) (438 мг, 1,40 ммоль) и моногидрата 4-метоксипиридин-3-бороновой кислоты (V-28) (322 мг, 2,11 ммоль).
Стадия 4
Соединение (I-393) (50,0 мг, 0,147 ммоль) растворяли в TFA (10 мл), добавляли триэтилсилан (51,2 мг, 0,441 ммоль), и смесь перемешивали при 60°C в течение 1 часа. Затем, растворитель реакции упаривали при пониженном давлении, добавляли насыщенный водный раствор бикарбоната натрия и этилацетат, и смесь распределяли. Органический слой сушили над безводным сульфатом натрия и фильтровали. Растворитель упаривали при пониженном давлении, и остаток очищали колоночной хроматографией на силикагеле (н-гексан:этилацетат), получая соединение (I-394) (выход 14,6 мг, 31%) в виде бесцветного масла.
[0863]
Пример 396. Получение 2-[4-(2-этоксиэтил)фенокси]-2'-метокси-3,3'-бипиридина (I-396)[0864]
[0865]
Стадия 1
Способом получения, аналогичным способу для соединения (I-1), соединение (I-395) (выход 944 мг, 86%) получали в виде оранжевого масла из соединения (IV-58) (1,00 г, 3,40 ммоль) и 2-метоксипиридин-3-бороновой кислоты (V-26) (676 мг, 4,42 ммоль).
Стадия 2
Способом получения, аналогичным способу для соединения (I-145), соединение (I-396) (выход 9,8 мг, 37%) получали в виде бесцветного масла из соединения (I-395) (30,0 мг, 0,0931 ммоль) и этилбромида (10 мкл, 0,14 ммоль).
[0866]
Пример 397. Получение 4-{[2'-метокси-(3,3'-бипиридин)-2-ил]окси}фенэтилацетата (I-397) Соединение (I-395) (30,0 мг, 0,0931 ммоль) растворяли в DMF (1,0 мл), добавляли ацетилхлорид (8,0 мкл, 0,112 ммоль) и DIPEA (24 мкл, 0,140 ммоль), и смесь перемешивали при комнатной температуре в течение 2 часов. Затем, добавляли к реакционной смеси при охлаждении на льду гидрид натрия (5,4 мг, 0,112 ммоль), и смесь перемешивали при комнатной температуре в течение 24 часов. Добавляли к реакционной смеси воду, и смесь экстрагировали этилацетатом. Органический слой промывали последовательно водой и насыщенным соляным раствором, сушили над безводным сульфатом натрия и фильтровали. Растворитель упаривали при пониженном давлении, и остаток очищали колоночной хроматографией на силикагеле (н-гексан:этилацетат), получая соединение (I-397) (выход 4,9 мг, 15%) в виде белого твердого остатка.
[0867]
Пример 398. Получение 4-{[2'-метокси-(3,3'-бипиридин)-2-ил]окси}фенэтилдиметилкарбамата (I-398) Способом получения, аналогичным способу для соединения (I-397), соединение (I-398) (выход 20,5 мг, 56%) получали в виде бесцветного масла из соединения (I-395) (30,0 мг, 0,0931 ммоль) и диметилкарбамоилхлорида (10 мкл, 0,11 ммоль).
[0868]
Пример 400. Получение 2-{4-[2-(1H-пиразол-1-ил)этил]фенокси}-2'-метокси-3,3'-бипиридина (I-400)[0869]
[0870]
Стадия 1
Соединение (I-395) (100 мг, 0,310 ммоль) растворяли в DCM (1,5 мл), добавляли TEA (0,13 мл, 0,93 ммоль) и метансульфонилхлорид (36 мкл, 0,47 ммоль), и смесь перемешивали при комнатной температуре в течение 10 мин. Затем, добавляли к реакционной смеси воду, и смесь экстрагировали этилацетатом. Органический слой промывали последовательно водой и насыщенным соляным раствором, сушили над безводным сульфатом натрия и фильтровали. Растворитель упаривали при пониженном давлении, получая соединение (I-399) (выход 120 мг, 97%).
Стадия 2
Соединение (I-399) (40,0 мг, 0,0999 ммоль) растворяли в DMF (0,50 мл), добавляли пиразол (10,2 мг, 0,150 ммоль) и карбонат цезия (65,1 мг, 0,200 ммоль), и смесь перемешивали при комнатной температуре в течение 19 часов. Затем, добавляли к реакционной смеси воду, и смесь экстрагировали этилацетатом. Органический слой промывали последовательно водой и насыщенным соляным раствором, сушили над безводным сульфатом натрия и фильтровали. Растворитель упаривали при пониженном давлении, и остаток очищали колоночной хроматографией на силикагеле (NH силикагель, н-гексан:этилацетат=97:3 → 60:40), получая соединение (I-400) (выход 21,4 мг, 58%) в виде бесцветного масла.
[0871]
Пример 401. Получение 2-метокси-2'-{4-[2-(4-метил-1H-пиразол-1-ил)этил]фенокси}-3,3'-бипиридина (I-401) Способом получения, аналогичным способу для соединения (I-400), соединение (I-401) (выход 13,1 мг, 34%) получали в виде бесцветного масла из соединения (I-399) (40,0 мг, 0,0999 ммоль) и 4-метилпиразола (12,3 мг, 0,150 ммоль).
[0872]
Пример 404. Получение 2-{4-[2-(1-этил-1H-пиразол-4-ил)этил]фенокси}-2'-метокси-3,3'-бипиридина (I-404)[0873]
[0874]
Стадия 1
Соединение (I-390) (118 мг, 0,390 ммоль) растворяли в DMF (1,0 мл), последовательно добавляли соединение (M-61) (138 мг, 0,468 ммоль), Pd(PPh3)4 (13,7 мг, 0,0195 ммоль), йодид меди (7,4 мг, 0,039 ммоль) и TEA (1,0 мл), и смесь перемешивали при комнатной температуре в течение 13 часов. К реакционной смеси добавляли насыщенный водный раствор хлорида аммония, и смесь экстрагировали хлороформом. Органический слой промывали последовательно насыщенным водным раствором хлорида аммония и насыщенным соляным раствором. Растворитель упаривали при пониженном давлении, и остаток очищали колоночной хроматографией на силикагеле (н-гексан:этилацетат=97:3 → 60:40), получая соединение (I-402) (выход 54,8 мг, 38%) в виде белого твердого остатка.
Стадия 2
Соединение (I-402) (50,2 мг, 0,135 ммоль) растворяли в метаноле (2,0 мл) и этилацетате (1,0 мл), добавляли 20% Pd(OH)2/C (10,0 мг), и смесь перемешивали в атмосфере водорода, применяя баллон, при комнатной температуре в течение 13 часов. Реакционную смесь фильтровали и растворитель упаривали при пониженном давлении. Остаток очищали колоночной хроматографией на силикагеле (NH силикагель, н-гексан:этилацетат=80:20 → 0:100), получая соединение (I-403) (выход 33,8 мг, 67%) в виде бесцветного масла.
Стадия 3
Способом получения, аналогичным способу для соединения (I-145), соединение (I-404) (выход 12,9 мг, 60%) получали в виде бесцветного масла из соединения (I-403) (19,9 мг, 0,0534 ммоль) и этилбромида (6,0 мкл, 0,080 ммоль).
[0875]
Пример 407. Получение 2-[4-(бут-3-ин-1-ил)фенокси]-2'-метокси-3,3'-бипиридина (I-407)[0876]
[0877]
Стадия 1
К раствору соединения (IV-78) (1,50 г, 4,46 ммоль) в THF (15 мл) добавляли боргидрид лития (3 моль/л THF раствор, 1,5 мл, 4,5 ммоль) при охлаждении на льду, и смесь перемешивали при комнатной температуре в течение 10 часа. К реакционной смеси добавляли насыщенный водный раствор хлорида аммония, и смесь экстрагировали этилацетатом. Органический слой промывали последовательно насыщенным водным раствором хлорида аммония и насыщенным соляным раствором, сушили над безводным сульфатом натрия и фильтровали. Растворитель упаривали при пониженном давлении, и остаток очищали колоночной хроматографией на силикагеле (н-гексан:этилацетат=95:5 → 40:60), получая соединение (IV-136) (выход 1,40 г, количественный) в виде бесцветного масла.
Стадия 2
Способом получения, аналогичным способу для соединения (I-1), соединение (I-405) (выход 495 мг, 91%) получали в виде желтого твердого остатка из соединения (IV-136) (500 мг, 1,62 ммоль) и 2-метоксипиридин-3-бороновой кислоты (V-26) (323 мг, 2,11 ммоль).
Стадия 3
Соединение (I-405) (420 мг, 1,25 ммоль) растворяли в DCM (3,0 мл), добавляли DMP (797 мг, 1,88 ммоль), и смесь перемешивали при комнатной температуре в течение 1 часа. Затем, добавляли к реакционной смеси водный насыщенный раствор тиосульфата натрия, и смесь экстрагировали этилацетатом. Органический слой промывали последовательно насыщенным водным раствором тиосульфата натрия и насыщенным соляным раствором, сушили над безводным сульфатом натрия и фильтровали. Растворитель упаривали при пониженном давлении, и остаток очищали колоночной хроматографией на силикагеле (н-гексан:этилацетат=97:3 → 60:40), получая соединение (I-406) (выход 193 мг, 46%) в виде бесцветного масла.
Стадия 4
Соединение (I-406) (152 мг, 0,453 ммоль) растворяли в метаноле (2,0 мл), последовательно добавляли карбонат калия (125 мг, 0,906 ммоль) и реагент Охира-Бестмана (0,10 мл, 0,680 ммоль), и смесь перемешивали при комнатной температуре в течение 4,5 часов. Добавляли к реакционной смеси воду, и смесь экстрагировали хлороформом. Органический слой промывали водой, сушили над безводным сульфатом натрия и фильтровали. Растворитель упаривали при пониженном давлении, и остаток очищали колоночной хроматографией на силикагеле (н-гексан:этилацетат), получая соединение (I-407) (выход 142 мг, 95%) в виде белого твердого остатка.
[0878]
Пример 408. Получение 5-(4-{[2'-метокси-(3,3'-бипиридин)-2-ил]окси}фенэтил)-3-метилизоксазола (I-408)[0879]
[0880]
Стадия 1
Соединение (M-62) (50 мкл, 0,81 ммоль) растворяли в DMF (2,0 мл), добавляли NCS (130 мг, 0,976 ммоль), и смесь перемешивали при комнатной температуре в течение 17 часов. Добавляли воду, и смесь экстрагировали этилацетатом. Органический слой промывали последовательно водой и насыщенным соляным раствором, сушили над безводным сульфатом натрия и фильтровали. Растворитель упаривали при пониженном давлении, получая соединение (M-63). Добавляли к нему этанол (1,0 мл), получая этанольный раствор.
Стадия 2
Соединение (I-407) (50,0 мг, 0,151 ммоль) растворяли в этаноле (1,0 мл), последовательно добавляли TEA (63 мкл, 0,45 ммоль) и соединение (M-63) в этанольном растворе (1,0 мл, 0,81 ммоль), и смесь перемешивали при комнатной температуре в течение 20 часов. Добавляли к реакционной смеси воду, и смесь экстрагировали хлороформом. Органический слой промывали водой, растворитель упаривали при пониженном давлении, и остаток очищали колоночной хроматографией на силикагеле (NH силикагель, н-гексан:этилацетат=97:3 → 70:30), получая соединение (I-408) (выход 21,8 мг, 37%) в виде бесцветного масла.
[0881]
Пример 409. Получение метил 3-(4-{[2'-метокси-(3,3'-бипиридин)-2-ил]окси}фенил)пропионата (I-409) Способом получения, аналогичным способу для соединения (I-1), соединение (I-409) (выход 47,4 мг, 87%) получали в виде белого твердого остатка из соединения (IV-78) (50,0 мг, 0,149 ммоль) и 2-метоксипиридин-3-бороновой кислоты (V-26) (34,3 мг, 0,224 ммоль).
[0882]
Пример 411. Получение 5-(4-{[2'-метокси-(3,3'-бипиридин)-2-ил]окси}фенэтил)-3-метил-1,2,4-оксадиазола (I-411)[0883]
[0884]
Стадия 1
Соединение (I-409) (2,60 г, 7,14 ммоль) растворяли в метаноле (12 мл) и THF (12 мл), добавляли 2 моль/л водный раствор гидроксида натрия (7,2 мл, 14 ммоль), и смесь перемешивали при комнатной температуре в течение 30 мин. К реакционной смеси добавляли 2 моль/л хлористоводородную кислоту (10 мл), и смесь экстрагировали этилацетатом. Органический слой промывали насыщенным соляным раствором, сушили над безводным сульфатом натрия и фильтровали. Растворитель упаривали при пониженном давлении, получая соединение (I-410) (выход 2,50 г, количественный) в виде белого твердого остатка.
Стадия 2
Соединение (I-410) (50,0 мг, 0,143 ммоль) растворяли в DMF (1,0 мл), добавляли DIPEA (0,10 мл, 0,57 ммоль) и HATU (81,4 мг, 0,22 ммоль), и смесь перемешивали при комнатной температуре в течение 10 мин. Затем, добавляли к реакционной смеси N'-гидроксиацетимидамид (21,2 мг, 0,286 ммоль), и смесь перемешивали при комнатной температуре в течение 19 часов. Добавляли к реакционной смеси воду, и смесь экстрагировали этилацетатом. Органический слой промывали последовательно водой и насыщенным соляным раствором, сушили над безводным сульфатом натрия и фильтровали. Растворитель упаривали при пониженном давлении, остаток растворяли в DMF (1,0 мл), и смесь перемешивали при 140°C в течение 14 часов. Добавляли к реакционной смеси воду, и смесь экстрагировали этилацетатом. Органический слой промывали последовательно водой и насыщенным соляным раствором, сушили над безводным сульфатом натрия и фильтровали. Растворитель упаривали при пониженном давлении, и остаток очищали колоночной хроматографией на силикагеле (н-гексан:этилацетат=95:5 → 60:40), получая соединение (I-411) (выход 17,8 мг, 32%) в виде бесцветного масла.
[0885]
Пример 412. Получение 7-{2-[4-(2-этоксиэтил)фенокси]пиридин-3-ил}пиразоло[1,5-a]пиридина (I-412)[0886]
[0887]
Стадия 1
Способом получения, аналогичным способу для соединения (I-145), соединение (IV-137) (выход 286 мг, 87%) получали в виде бесцветного масла из соединения (IV-58) (300 мг, 1,02 ммоль) и этилбромида (0,11 мл, 1,5 ммоль).
Стадия 2
Способом получения, аналогичным способу для соединения (I-1), соединение (I-412) (выход 3,0 мг, 9%) получали в виде белого твердого остатка из соединения (IV-137) (30,0 мг, 0,0931 ммоль) и пиразоло[1,5-a]пиридин-7-бороновой кислоты (V-49) (30,1 мг, 0,186 ммоль).
[0888]
Пример 413. Получение 7-{2-[4-(1,1-дифтор-2-метоксиэтил)фенокси]пиридин-3-ил}пиразоло[1,5-a]пиридина (I-413)[0889]
[0890]
Стадия 1
Способом получения, аналогичным способу для соединения (I-145), соединение (IV-138) (выход 410 мг, 79%) получали из соединения (IV-85) (500 мг, 1,52 ммоль) и метилйодида (190 мкл, 3,0 ммоль).
Стадия 2
Способом получения, аналогичным способу для соединения (VIa-2), соединение (VIa-10) (выход 188 мг, количественный) получали в виде желтого твердого остатка из соединения (IV-138) (209 мг, 0,607 ммоль), 1,3 моль/л THF раствора iPrMgBr•LiCl (700 мкл, 0,910 ммоль) и триизопропилбората (423 мкл, 1,82 ммоль).
Стадия 3
Способом получения, аналогичным способу для соединения (I-36), соединение (I-413) (выход 28,0 мг, 38%) получали в виде бесцветного масла из соединения (VIa-10) (60,0 мг, 0,194 ммоль) и 7-йодпиразоло[1,5-a]пиридина (VII-51) (61,6 мг, 0,252 ммоль).
[0891]
Пример 414. Получение этил 4-{[4'-хлор-(3,3'-бипиридин)-2-ил]окси}бензоата (I-414)[0892]
[0893]
Стадия 1
Суспензию соединения (IV-50) (1,50 г, 4,66 ммоль), бис(пинаколато)дибора (2,36 г, 9,26 ммоль), PdCl2(dppf)•DCM (190 мг, 0,233 ммоль) и ацетата калия (1,37 г, 14,0 ммоль) в 1,4-диоксане (15 мл) перемешивали при 100°C в течение 18 часов. Реакционную смесь охлаждали до комнатной температуры, добавляли воду, и смесь экстрагировали этилацетатом. Органический слой промывали последовательно водой и насыщенным соляным раствором, сушили над безводным сульфатом натрия и фильтровали. Растворитель упаривали при пониженном давлении, и остаток очищали колоночной хроматографией на силикагеле (н-гексан:этилацетат=97:3 → 70:30), получая соединение (VIb-1) (выход 749 мг, 44%) в виде бледно-желтого масла.
Стадия 2
Способом получения, аналогичным способу для соединения (I-36), соединение (I-414) (выход 127 мг, 73%) получали в виде бесцветного масла из соединения (VII-48) (141 мг, 0,733 ммоль) и соединения (VIb-1) (300 мг, 0,488 ммоль).
[0894]
Пример 415. Получение этил 4-{[4'-этокси-(3,3'-бипиридин)-2-ил]окси}бензоата (I-415)[0895]
[0896]
Стадия 1
К раствору соединения (VII-48) (300 мг, 1,56 ммоль) в THF (5,0 мл) добавляли этоксид натрия (20% этанольный раствор, 1,8 мл, 4,6 ммоль), и смесь перемешивали при 55°C в течение 6 часов. Реакционную смесь охлаждали до комнатной температуры, добавляли воду, и смесь экстрагировали этилацетатом. Органический слой промывали последовательно водой и насыщенным соляным раствором, сушили над безводным сульфатом натрия и фильтровали. Растворитель упаривали при пониженном давлении, и остаток очищали колоночной хроматографией на силикагеле (NH силикагель, н-гексан:этилацетат=95:5 → 50:50), получая соединение (VII-55) (выход 264 мг, 84%) в виде желтого масла.
Стадия 2
Соединение (VIb-1) (300 мг, 0,488 ммоль), соединение (VII-55) (148 мг, 0,732 ммоль), (A-taPhos)2PdCl2 (17,3 мг, 0,0244 ммоль) и фторид цезия (148 мг, 0,974 ммоль) растворяли в 1,4-диоксане (1,5 мл) и воде (0,30 мл), и смесь перемешивали при микроволновом облучении при 120°C в течение 30 мин. Добавляли к реакционной смеси воду, и смесь экстрагировали этилацетатом. Органический слой промывали последовательно водой и насыщенным соляным раствором, сушили над безводным сульфатом натрия и фильтровали. Растворитель упаривали при пониженном давлении, и остаток очищали колоночной хроматографией на силикагеле (н-гексан:этилацетат), получая соединение (I-415) (выход 162 мг, 91%) в виде бесцветного масла.
[0897]
Пример 416. Получение этил 4-{[4'-этил-(3,3'-бипиридин)-2-ил]окси}бензоата (I-416) К раствору соединения (I-414) (39,1 мг, 0,110 ммоль) в THF (0,50 мл) добавляли PdCl2(dppf)•DCM (9,0 мг, 0,011 ммоль) и диэтилцинк (1,0 моль/л THF раствор, 0,17 мл, 0,17 ммоль), и смесь перемешивали при 70°C в течение 1 часа. К реакционной смеси добавляли насыщенный водный раствор бикарбоната натрия, и смесь экстрагировали этилацетатом. Органический слой промывали последовательно насыщенным водным раствором бикарбоната натрия и насыщенным соляным раствором, сушили над безводным сульфатом натрия и фильтровали. Растворитель упаривали при пониженном давлении, и остаток очищали колоночной хроматографией на силикагеле (н-гексан:этилацетат), получая соединение (I-416) (выход 24,2 мг, 63%) в виде бесцветного масла.
[0898]
Пример 418. Получение изопропил 4-{[4'-метокси-(3,3'-бипиридин)-2-ил]окси}бензоата (I-418)[0899]
[0900]
Стадия 1
Соединение (I-245) (343 мг, 0,979 ммоль) растворяли в этаноле (2,0 мл) и THF (2,0 мл), добавляли 4 моль/л водный раствор гидроксида натрия (0,49 мл, 1,96 ммоль), и смесь перемешивали при комнатной температуре в течение 16 часов. К реакционной смеси добавляли 5 моль/л хлористоводородную кислоту (0,50 мл), и смесь экстрагировали этилацетатом. Органический слой промывали насыщенным соляным раствором, сушили над безводным сульфатом натрия и фильтровали. Растворитель упаривали при пониженном давлении, и остаток очищали колоночной хроматографией на силикагеле (н-гексан:этилацетат), получая соединение (I-417) (выход 250 мг, 79%) в виде белого твердого остатка.
Стадия 2
К раствору соединения (I-417) (23,0 мг, 0,0710 ммоль) в DMF (0,90 мл) последовательно добавляли изопропиловый спирт (55 мкл, 0,71 ммоль), TEA (50 мкл, 0,36 ммоль), EDCI•HCl (20,5 мг, 0,107 ммоль) и HOBt•H2O (10,9 мг, 0,0710 ммоль), и смесь перемешивали при 30°C в течение 19 часов. Добавляли к реакционной смеси воду, и смесь экстрагировали хлороформом. Органический слой промывали водой, сушили над безводным сульфатом натрия и фильтровали. Растворитель упаривали при пониженном давлении, и остаток очищали колоночной хроматографией на силикагеле (NH силикагель, н-гексан:этилацетат=95:5 → 50:50), получая соединение (I-418) (выход 1,7 мг, 7%) в виде бесцветного масла.
[0901]
Пример 419. Получение этил 4-{[4'-метил-(3,3'-бипиридин)-2-ил]окси}бензоата (I-419) Способом получения, аналогичным способу для соединения (I-1), соединение (I-419) (выход 11,3 мг, 22%) получали в виде бесцветного масла из соединения (IV-50) (50,0 мг, 0,155 ммоль) и 4-метилпиридин-3-бороновой кислоты (V-25) (31,9 мг, 0,233 ммоль).
[0902]
Пример 421. Получение 5-(4-{[4'-метил-(3,3'-бипиридин)-2-ил]окси}фенил)-3-метил-1,2,4-оксадиазола (I-421)[0903]
[0904]
Стадия 1
Способом получения, аналогичным способу для соединения (I-417), соединение (I-420) (выход 200 мг, 74%) получали в виде белого твердого остатка из соединения (I-419) (297 мг, 0,888 ммоль).
Стадия 2
Способом получения, аналогичным способу для соединения (I-411), соединение (I-421) (выход 2,5 мг, 7%) получали в виде белого твердого остатка из соединения (I-420) (30,0 мг, 0,0979 ммоль) и N'-гидроксиацетимидамида (14,5 мг, 0,196 ммоль).
[0905]
Пример 422. Получение 1-(4-{[4'-метил-(3,3'-бипиридин)-2-ил]окси}фенил)этанона (I-422) Способом получения, аналогичным способу для соединения (I-127), соединение (I-422) (выход 747 мг, 72%) получали в виде желтого твердого остатка из соединения (IV-49) (1,00 г, 3,42 ммоль) и 4-метилпиридин-3-бороновой кислоты (V-25) (703 мг, 5,13 ммоль).
[0906]
Пример 423. Получение 2-метил-5-(4-{[4'-метил-(3,3'-бипиридин)-2-ил]окси}фенил)оксазола (I-423)[0907]
[0908]
К раствору ацетата талия (56,4 мг, 0,148 ммоль) в ацетонитриле (0,50 мл) добавляли трифторметансульфокислоту (39 мкл, 0,44 ммоль), и смесь перемешивали при комнатной температуре в течение 15 мин. К реакционной смеси добавляли раствор соединения (I-422) (30,0 мг, 0,0986 ммоль) в ацетонитриле (1,0 мл) при 80°C, и смесь перемешивали в течение 2 часов. Добавляли к реакционной смеси воду, и смесь экстрагировали этилацетатом. Органический слой промывали последовательно водой и насыщенным соляным раствором, сушили над безводным сульфатом натрия и фильтровали. Растворитель упаривали при пониженном давлении, и остаток очищали колоночной хроматографией на силикагеле (н-гексан:этилацетат), получая соединение (I-423) (выход 9,7 мг, 29%) в виде белого твердого остатка.
[0909]
Пример 424. Получение 1-(4-{[4'-метил-(3,3'-бипиридин)-2-ил]окси}фенил)бутан-1,3-диона (I-424)[0910]
[0911]
К раствору соединения (I-422) (100 мг, 0,329 ммоль) в THF (1,5 мл) добавляли гидрид натрия (65,7 мг, 1,64 ммоль) при охлаждении на льду, и смесь перемешивали при комнатной температуре в течение 15 мин. К реакционной смеси добавляли этилацетат (0,13 мл, 1,3 ммоль) при 45°C, и смесь перемешивали при 45°C в течение 1 часа. Добавляли к реакционной смеси воду, и смесь экстрагировали этилацетатом. Органический слой промывали последовательно водой и насыщенным соляным раствором, сушили над безводным сульфатом натрия и фильтровали. Растворитель упаривали при пониженном давлении, и остаток очищали колоночной хроматографией на силикагеле (н-гексан:этилацетат=80:20 → 20:80), получая соединение (I-424) (выход 50,7 мг, 45%) в виде белого твердого остатка.
[0912]
Пример 425. Получение 3-метил-5-(4-{[4'-метил-(3,3'-бипиридин)-2-ил]окси}фенил)изоксазола (I-425)[0913]
[0914]
К суспензии гидрохлорида гидроксиламина (44,0 мг, 0,630 ммоль) в IPA (0,50 мл) добавляли TEA (9,0 мкл, 0,065 ммоль), и смесь перемешивали при комнатной температуре в течение 15 мин. К реакционной смеси добавляли TFA (10 мкл, 0,13 ммоль), и смесь перемешивали при комнатной температуре в течение 15 мин. К реакционной смеси добавляли соединение (I-424) (20,0 мг, 0,0577 ммоль), и смесь перемешивали при 60°C в течение 2 часов. Добавляли к реакционной смеси воду, и смесь экстрагировали этилацетатом. Органический слой промывали последовательно водой и насыщенным соляным раствором, сушили над безводным сульфатом натрия и фильтровали. Растворитель упаривали при пониженном давлении, и остаток очищали колоночной хроматографией на силикагеле (NH силикагель, н-гексан:этилацетат=95:5 → 50:50), получая соединение (I-425) (выход 13,1 мг, 66%) в виде белого твердого остатка.
[0915]
Пример 426. Получение 2-(4-йодфенокси)-4'-метил-3,3'-бипиридина (I-426)[0916]
[0917]
Стадия 1
Способом получения, аналогичным способу для соединения (I-127), соединение (VIII-6) (выход 1,90 г, 59%) получали в виде желтого масла из соединения (III-8) (3,00 г, 17,0 ммоль) и 4-метилпиридин-3-бороновой кислоты (V-25) (3,96 г, 25,6 ммоль).
Стадия 2
Способом получения, аналогичным способу для соединения (IV-1), соединение (I-426) (выход 2,86 г, 73%) получали в виде белого твердого остатка из соединения (VIII-6) (1,90 г, 10,1 ммоль) и 4-йодфенола (II-38) (2,67 г, 12,1 ммоль).
[0918]
Пример 428. Получение 5-метил-2-(4-{[4'-метил-(3,3'-бипиридин)-2-ил]окси}фенил)тиазола (I-428)[0919]
[0920]
Стадия 1
Соединение (I-426) (1,70 г, 4,38 ммоль), бис(пинаколато)дибор (358 мг, 0,438 ммоль), PdCl2(dppf)•DCM (358 мг, 0,438 ммоль) и ацетат калия (1,29 г, 13,1 ммоль) растворяли в 1,4-диоксане (10 мл), и смесь перемешивали при микроволновом облучении при 120°C в течение 30 мин. Реакционную смесь охлаждали, добавляли воду, и смесь экстрагировали этилацетатом. Органический слой промывали последовательно водой и насыщенным соляным раствором, сушили над безводным сульфатом натрия и фильтровали. Растворитель упаривали при пониженном давлении, и остаток очищали колоночной хроматографией на силикагеле (н-гексан:этилацетат), получая соединение (I-427) (выход 1,64 г, 96%) в виде коричневого твердого остатка.
Стадия 2
Суспензию соединения (I-427) (50,0 мг, 0,129 ммоль), 2-бром-5-метилтиазола (34,4 мг, 0,193 ммоль), (A-taPhos)2PdCl2 (4,6 мг, 6,5 мкмоль) и карбоната цезия (83,9 мг, 0,258 ммоль) в 1,4-диоксане (1,0 мл) перемешивали при микроволновом облучении при 120°C в течение 30 мин. Добавляли к реакционной смеси воду, и смесь экстрагировали этилацетатом. Органический слой промывали последовательно водой и насыщенным соляным раствором, сушили над безводным сульфатом натрия и фильтровали. Растворитель упаривали при пониженном давлении, и остаток очищали колоночной хроматографией на силикагеле (н-гексан:этилацетат=50:50 → 0:100), получая соединение (I-428) (выход 7,8 мг, 17%) в виде бесцветного масла.
[0921]
Пример 429. Получение 4'-метил-2-[4-(пиримидин-2-ил)фенокси]-3,3'-бипиридина (I-429) Способом получения, аналогичным способу для соединения (I-428), соединение (I-429) (выход 3,8 мг, 9%) получали в виде бесцветного масла из соединения (I-427) (50,0 мг, 0,129 ммоль) и 2-бромпиримидина (30,7 мг, 0,193 ммоль).
[0922]
Пример 430. Получение 4'-метил-2-[4-(пиридин-4-ил)фенокси]-3,3'-бипиридина (I-430) Соединение (I-427) (50,0 мг, 0,129 ммоль), 4-йодпиридин (39,6 мг, 0,193 ммоль), (A-taPhos)2PdCl2 (4,6 мг, 0,0064 ммоль) и фторид цезия (58,7 мг, 0,386 ммоль) растворяли в 1,4-диоксане (0,50 мл) и воде (0,050 мл), и смесь перемешивали при микроволновом облучении при 120°C в течение 30 мин. Реакционную смесь охлаждали, добавляли воду, и смесь экстрагировали этилацетатом. Органический слой промывали насыщенным соляным раствором, сушили над безводным сульфатом натрия и фильтровали. Растворитель упаривали при пониженном давлении, и остаток очищали колоночной хроматографией на силикагеле (н-гексан:этилацетат), получая соединение (I-430) (выход 13,8 мг, 32%) в виде бесцветного масла.
[0923]
Пример 431. Получение 4'-метил-2-[4-(пиридин-2-ил)фенокси]-3,3'-бипиридина (I-431) Способом получения, аналогичным способу для соединения (I-430), соединение (I-431) (выход 5,1 мг, 12%) получали в виде бесцветного масла из соединения (I-427) (50,0 мг, 0,129 ммоль) и 2-бромпиридина (30,5 мг, 0,193 ммоль).
[0924]
Пример 432. Получение 4'-метил-2-[4-(4-метил-1H-пиразол-1-ил)фенокси]-3,3'-бипиридина (I-432)[0925]
[0926]
К раствору соединения (I-426) (30,0 мг, 0,0773 ммоль) в толуоле (1,0 мл) последовательно добавляли 4-метилпиразол (12,9 мг, 0,157 ммоль), йодид меди (1,5 мг, 0,0079 ммоль), (1S,2S)-N,N'-диметилциклогексан-1,2-диамин (2,2 мг, 0,015 ммоль) и карбонат калия (32,0 мг, 0,232 ммоль), и смесь перемешивали при микроволновом облучении при 150°C в течение 30 мин. Затем, последовательно добавляли к реакционной смеси 4-метилпиразол (12,9 мг, 0,157 ммоль) и йодид меди (1,5 мг, 0,0079 ммоль), и смесь перемешивали при микроволновом облучении при 160°C в течение 30 мин. Добавляли к реакционной смеси воду, и смесь экстрагировали хлороформом. Органический слой промывали водой, растворитель упаривали при пониженном давлении, и остаток очищали колоночной хроматографией на силикагеле (NH силикагель, н-гексан:этилацетат=95:5 → 60:40), получая соединение (I-432) (выход 3,4 мг, 13%) в виде белого твердого остатка.
[0927]
Пример 433. Получение 2-[4-(1H-пиразол-1-ил)фенокси]-4'-метил-3,3'-бипиридина (I-433)[0928]
[0929]
Способом получения, аналогичным способу для соединения (I-432), соединение (I-433) (выход 2,0 мг, 5%) получали в виде бесцветного масла из соединения (I-426) (50,0 мг, 0,129 ммоль) и пиразола (17,5 мг, 0,257 ммоль).
[0930]
Пример 434. Получение 2,2-дифтор-2-(4-{[2'-метокси-(3,3'-бипиридин)-2-ил]окси}фенил)этанола (I-434)[0931]
[0932]
Способом получения, аналогичным способу для соединения (I-1), соединение (I-434) (выход 136 мг, 84%) получали в виде бесцветного масла из соединения (IV-85) (150 мг, 0,454 ммоль) и 2-метоксипиридин-3-бороновой кислоты (V-26) (83,0 мг, 0,545 ммоль).
[0933]
Пример 435. Получение 2-метокси-2'-{[4-(трифторметил)фенил]тио}-3,3'-бипиридина (I-435)[0934]
[0935]
Стадия 1
Способом получения, аналогичным способу для соединения (IV-1), соединение (IV-139) (выход 325 мг, 86%) получали в виде белого твердого остатка из 4-трифторметилтиофенола (IIc-1) (184 мкл, 1,36 ммоль) и соединения (III-8) (200 мг, 1,14 ммоль).
Стадия 2
Способом получения, аналогичным способу для соединения (I-1), соединение (I-435) (выход 33,1 мг, 76%) получали в виде бесцветного масла из соединения (IV-139) (40,0 мг, 0,120 ммоль) и 2-метоксипиридин-3-бороновой кислоты (V-26) (27,5 мг, 0,180 ммоль).
[0936]
Пример 436. Получение 3-(2-метоксифенил)-2-{[4-(трифторметил)фенил]тио}пиридина (I-436) Способом получения, аналогичным способу для соединения (I-1), соединение (I-436) (выход 116 мг, 77%) получали в виде белого твердого остатка из соединения (IV-138) (40,0 мг, 0,120 ммоль) и 2-метоксифенилбороновой кислоты (V-1) (94,1 мг, 0,619 ммоль).
[0937]
Пример 439. Получение 3-(2-метоксифенил)-2-[4-(трифторметил)бензил]пиридина (I-439)[0938]
[0939]
Стадия 1
3-Бромпиколиновую кислоту (M-64) (2,02 г, 10,0 ммоль) растворяли в DCM (20,0 мл), добавляли DIPEA (5,19 мл, 30,0 ммоль), HATU (4,56 г, 12,0 ммоль) и гидрохлорид N,O-диметилгидроксиламина (1,17 г, 12,0 ммоль), и смесь перемешивали при комнатной температуре в течение 20 часов. Добавляли к реакционной смеси воду, и смесь экстрагировали хлороформом. Органический слой промывали последовательно водой и насыщенным соляным раствором, сушили над безводным сульфатом натрия и фильтровали. Растворитель упаривали при пониженном давлении. Остаток очищали колоночной хроматографией на силикагеле (NH силикагель, н-гексан:этилацетат=80:20 → 20:80), получая соединение (M-65) (выход 1,91 г, 78%) в виде белого твердого остатка.
Стадия 2
Соединение (M-65) (1,00 г, 4,08 ммоль), 2-метоксифенилбороновую кислоту (V-1) (806 мг, 5,30 ммоль), (A-taPhos)2PdCl2 (144 мг, 0,204 ммоль) и карбонат цезия (2,66 г, 8,16 ммоль) растворяли в 1,4-диоксане (10 мл) и воде (1 мл), и смесь перемешивали при микроволновом облучении при 120°C в течение 30 мин. Добавляли к реакционной смеси воду, и смесь экстрагировали этилацетатом. Органический слой промывали последовательно водой и насыщенным соляным раствором, сушили над безводным сульфатом натрия и фильтровали. Растворитель упаривали при пониженном давлении, и остаток очищали колоночной хроматографией на силикагеле (NH силикагель, н-гексан:этилацетат=80:20 → 30:70), получая соединение (M-66) (выход 947 мг, 85%) в виде белого твердого остатка.
Стадия 3
К раствору (2,5 мл) 4-трифторметилбромбензола (563 мг, 2,50 ммоль) в THF добавляли магниевый порошок (60,0 мг, 2,47 ммоль) и йод (1 кристаллик), и смесь перемешивали при комнатной температуре в течение 2 часов. Реакционную смесь охлаждали на льду, добавляли раствор соединения (M-66) (610 мг, 2,24 ммоль) в THF (6,5 мл), и смесь перемешивали при комнатной температуре в течение 3 часов. К реакционной смеси добавляли насыщенный водный раствор хлорида аммония, и смесь перемешивали в течение 30 мин и экстрагировали этилацетатом. Органический слой промывали последовательно водой и насыщенным соляным раствором, сушили над безводным сульфатом натрия и фильтровали. Растворитель упаривали при пониженном давлении, и остаток очищали колоночной хроматографией на силикагеле (н-гексан:этилацетат=100:0 → 70:30), получая соединение (I-437) (выход 447 мг, 56%) в виде белого твердого остатка.
Стадия 4
К раствору соединения (I-437) (215 мг, 0,602 ммоль) в метаноле (4,0 мл) добавляли при охлаждении на льду боргидрид натрия (46,0 мг, 1,22 ммоль), и смесь перемешивали при комнатной температуре в течение 1,5 часа. Добавляли к реакционной смеси воду, и смесь экстрагировали этилацетатом. Органический слой промывали последовательно водой и насыщенным соляным раствором, сушили над безводным сульфатом натрия и фильтровали. Растворитель упаривали при пониженном давлении, и остаток очищали колоночной хроматографией на силикагеле (н-гексан:этилацетат= 90:10 → 50:50), получая соединение (I-438) (выход 217 мг, количественный) в виде бесцветного масла.
Стадия 5
Соединение (I-438) (50,0 мг, 0,139 ммоль) растворяли в DCM (0,70 мл), добавляли при охлаждении на льду TEA (29,1 мкл, 0,209 ммоль) и метансульфонилхлорид (14,0 мкл, 0,181 ммоль), и смесь перемешивали в течение 30 мин. Реакционную смесь охлаждали на льду, добавляли воду, и смесь экстрагировали хлороформом. Органический слой сушили над безводным сульфатом натрия и фильтровали, и растворитель упаривали при пониженном давлении. Остаток растворяли в метаноле (1,0 мл), добавляли 10% Pd/C (15 мг), и смесь перемешивали в атмосфере водорода, применяя баллон, при комнатной температуре в течение 18 часов. Смесь фильтровали через целит, и промывали метанолом. Растворитель упаривали при пониженном давлении, и остаток очищали колоночной хроматографией на силикагеле (первый раз: силикагель, н-гексан:этилацетат=95:5 → 60:40, второй раз: NH силикагель, н-гексан:этилацетат=100:0 → 80:20), получая соединение (I-439) (выход 8,8 мг, 18%) в виде бесцветного масла.
[0940]
Способом получения, аналогичным способу для соединения (I-1) (реакция перекрестного сочетания Сузуки-Миаура), получали соединение (I-440)-соединение (I-502), соединение (I-576) и соединение (I-577). Структура и значение характеристик каждого соединения показаны в таблице 54-таблице 61 и таблице 71.
Способом получения, аналогичным способу для соединения (I-127) (реакция перекрестного сочетания Сузуки-Миаура), получали соединение (I-503)-соединение (I-507). Структура и значение характеристик каждого соединения показаны в таблице 61 и таблице 62.
Способом получения, аналогичным способу для соединения (I-36) (реакция перекрестного сочетания Сузуки-Миаура), получали соединение (I-508)-соединение (I-515). Структура и значение характеристик каждого соединения показаны в таблице 62 и таблице 63.
[0941]
Тем же способом, как для соединения (I-1), арилгалогенидное соединение (IV) получали SN арильной реакцией (стадия 1), и соединение (I-516)-соединение (I-527) получали реакцией перекрестного сочетания Сузуки-Миаура (стадия 2). Структура и значение характеристик каждого соединения показаны в таблице 63 и таблице 64.
[0942]
Тем же способом, как для соединения (I-318), соединение, представленное формулой (VIII), получали реакцией перекрестного сочетания Сузуки-Миаура (Стадия 1), и соединение (I-528)-соединение (I-532) получали SN арильной реакцией с соединением, представленным формулой (II). Структура и значение характеристик каждого соединения показаны в таблице 65.
[0943]
Тем же способом, как для соединения (I-331), арилгалогенидное соединение (IV) приводило к соединению бороновой кислоты (VIa) или соединению эфира бороновой кислоты (VIb) (стадия 1), и соединение (I-533)-соединение (I-537) получали реакцией перекрестного сочетания Сузуки-Миаура с арилгалогенидом (VII) (стадия 2). Структура и значение характеристик каждого соединения показаны в таблице 65 и таблице 66.
[0944]
Способом получения, аналогичным способу для соединения (I-175), получали соединение (I-538). Структура и значение характеристик каждого соединения показаны в таблице 66.
Способом получения, аналогичным способу для соединения (I-173), получали соединение (I-539). Структура и значение характеристик каждого соединения показаны в таблице 66.
Способом получения, аналогичным способу для соединения (I-145), получали соединение (I-540)-соединение (I-547). Структура и значение характеристик каждого соединения показаны в таблице 66 и таблице 67.
Способом получения, аналогичным способу для соединения (I-146), получали соединение (I-548) и соединение (I-549). Структура и значение характеристик каждого соединения показаны в таблице 67.
Способом получения, аналогичным способу для соединения (IV-30), соединение (I-550)-соединение (I-554) и соединение (I-578) получали из галогенового соединения (I) SN арильной реакцией. Структура и значение характеристик каждого соединения показаны в таблице 67, таблице 68 и таблице 71.
[0945]
Способом получения, аналогичным способу для соединения (I-182), соединение (I-555)-соединение (I-565) получали из различных галогеновых соединений (IV) аминированием (стадия 1) и реакцией перекрестного сочетания Сузуки-Миаура (стадия 2). Структура и значение характеристик каждого соединения показаны в таблице 68 и таблице 69.
[0946]
Способом получения, аналогичным способу для соединения (I-186), получали соединение (I-566). Структура и значение характеристик соединения показаны в таблице 69.
Способом получения, аналогичным способу для соединения (I-386), получали соединение (I-567). Структура и значение характеристик соединения показаны в таблице 69.
Способом получения, аналогичным способу для соединения (I-222), соединение (I-568) получали заменой NCS (реагент реакции) на NBS. Структура и значение характеристик соединения показаны в таблице 70.
[0947]
Способом получения, аналогичным способу для соединения (I-198), соединение (I-569)-соединение (I-573), соединение (I-579) и соединение (I-580) получали реакцией кросс-сочетания по Соногашира(стадия 1), с последующей реакцией каталитического гидрирования (стадия 2). Структура и значение характеристик каждого соединения показаны в таблице 70 и таблице 71.
Способом получения, аналогичным способу для соединения (I-326), соединение (I-574) получали из соединения (III-10) SN арильной реакцией (стадия 1), борилированием (стадия 2), с последующей реакцией перекрестного сочетания Сузуки-Миаура (стадия 3). Структура и значение характеристик соединения показаны в таблице 70.
Способом получения, аналогичным способу для соединения (I-178), соединение (I-575) получали в 4 стадии из 5-бром-2-трет-бутилпиримидина. Структура и значение характеристик соединения показаны в таблице 70.
Способом получения, аналогичным способу для соединения (I-400), получали соединение (I-581). Структура и значение характеристик соединения показаны в таблице 71.
Способом получения, аналогичным способу для соединения (I-52), соединение (I-52) получали заменой NCS (реагент реакции) SelectFluor (зарегистрированное торговое название). Структура и значение характеристик соединения показаны в таблице 71.
[0948]
[Таблица 1]
| соединение | структурная формула | ЯМР | MS |
| I-1 | 1H-ЯМР (400 МГц, CDCl3) δ: 3,71 (3H, с),6,97 (1H, д, J=8,2 Гц), 7,07 (1H, дт, J=0,9, 7,3 Гц), 7,20 (1H, дд, J=5,0, 7,3 Гц), 7,32 (1H, дд, J=1,8, 7,3 Гц), 7,40 (1H, ддд, J=1,8, 7,3, 8,2 Гц), 7,61 (1H, дд, J=2,7, 8,7 Гц), 7,68 (1H, д, J=8,2 Гц), 7,75 (1H, дд, J=1,8, 7,3 Гц), 8,17 (1H, дд, J=2,3, 5,0 Гц), 8,51 (1H, д, J=2,7 Гц). | ESI-MS m/z: 347 [M+H]+. | |
| I-2 | 1H-ЯМР (400 МГц, CDCl3) δ: 3,85 (3H, с),6,96 (1H, дд, J=1,8, 7,8 Гц), 7,15 (1H, дд, J=1,8, 2,3 Гц), 7,17-7,24 (2H, м), 7,39 (1H, дд, J=7,8, 8,2 Гц), 7,65 (1H, дд, J=2,3, 8,7 Гц), 7,71 (1H, д, J=8,2 Гц), 7,84 (1H, дд, J=1,8, 7,3 Гц), 8,14 (1H, дд, J=2,3, 5,0 Гц), 8,57 (1H, д, J=2,3 Гц). | ESI-MS m/z: 347 [M+H]+. | |
| I-3 | 1H-ЯМР (400 МГц, CDCl3) δ: 7,14-7,30 (3H, м), 7,38-7,48 (2H, м), 7,66 (1H, дд, J=2,3, 8,7 Гц), 7,71 (1H, д, J=8,7 Гц), 7,80 (1H, дд, J=1,8, 7,3 Гц), 8,19 (1H, дд, J=2,3, 5,0 Гц), 8,58 (1H, д, J=2,3 Гц). | ESI-MS m/z: 335 [M+H]+. | |
| I-4 | 1H-ЯМР (400 МГц, CDCl3) δ: 7,21 (1H, дд, J=5,0, 7,3 Гц), 7,34-7,42 (3H, м), 7,47-7,54 (1H, м), 7,65 (1H, дд, J=2,3, 8,2 Гц), 7,68-7,75 (2H, м), 8,20 (1H, дд, J=1,8, 5,0 Гц), 8,55 (1H, д, J=2,7 Гц). | ESI-MS m/z: 351, 353 [M+H]+. | |
| I-5 | 1H-ЯМР (400 МГц, CDCl3) δ: 7,21 (1H, дд, J=5,0, 7,3 Гц), 7,26-7,32 (1H, м), 7,37 (1H, дд, J=1,8, 7,8 Гц), 7,41-7,48 (2H, м), 7,65-7,71 (3H, м), 8,21 (1H, дд, J=1,8, 5,0 Гц), 8,57 (1H, д, J=1,8 Гц). | ESI-MS m/z: 394 [M+H]+. | |
| I-6 | 1H-ЯМР (400 МГц, CDCl3) δ: 7,00-7,09 (2H, м), 7,22 (1H, дд, J=5,0, 7,8 Гц), 7,35-7,44 (1H, м), 7,65 (1H, дд, J=2,3, 8,7 Гц), 7,71 (1H, д, J=8,7 Гц), 7,81 (1H, дд, J=1,8, 8,7 Гц), 8,22 (1H, дд, J=1,8, 5,1 Гц), 8,55 (1H, д, J=2,3 Гц). | ESI-MS m/z: 353 [M+H]+. | |
| I-7 | 1H-ЯМР (400 МГц, CDCl3) δ: 7,06-7,27 (4H, м), 7,66 (1H, дд, J=2,3, 8,7 Гц), 7,72 (1H, д, J=8,7 Гц), 7,78 (1H, дд, J=1,8, 8,2 Гц), 8,20 (1H, дд, J=1,8, 5,1 Гц), 8,56 (1H, д, J=2,3 Гц). | ESI-MS m/z: 353 [M+H]+. | |
| I-8 | 1H-ЯМР (400 МГц, CDCl3) δ: 6,90-7,15 (2H, м), 7,20 (1H, дд, J=5,1, 8,3 Гц), 7,41 (1H, дт, J=6,4, 8,3 Гц), 7,65 (1H, дд, J=2,3, 8,3 Гц), 7,71 (1H, д, J=8,3 Гц), 7,76 (1H, дд, J=1,4, 7,3 Гц), 8,19 (1H, дд, J=1,8, 5,0 Гц), 8,55 (1H, д, J=2,3 Гц). | ESI-MS m/z: 353 [M+H]+. |
[0949]
[Таблица 2]
| соединение | структурная формула | ЯМР | MS |
| I-9 | 1H-ЯМР (400 МГц, CDCl3) δ: 7,19-7,30 (4H, м), 7,66 (1H, дд, J=2,3, 8,7 Гц), 7,72 (1H, д, J=8,7 Гц), 7,79 (1H, дд, J=1,8, 7,3 Гц), 8,21 (1H, дд, J=1,8, 5,1 Гц), 8,57 (1H, д, J=2,3 Гц). | ESI-MS m/z: 353 [M+H]+. | |
| I-10 | 1H-ЯМР (400 МГц, CDCl3) δ: 3,75 (3H, с), 6,77-6,85 (2H, м), 7,20 (1H, дд, J=4,5, 7,3 Гц), 7,34 (1H, дд, J=6,9, 8,2 Гц), 7,61 (1H, дд, J=2,7, 8,3 Гц), 7,64 (1H, д, J=8,2 Гц), 7,72 (1H, дд, J=1,8, 7,3 Гц), 8,19 (1H, дд, J=1,8, 4,6 Гц), 8,51 (1H, д, J=2,3 Гц). | ESI-MS m/z: 365 [M+H]+. | |
| I-11 | 1H-ЯМР (400 МГц, CDCl3) δ: 3,69 (3H, с),6,89 (1H, дд, J=4,1, 8,7 Гц), 7,04-7,12 (2H, м), 7,20 (1H, дд, J=5,0, 7,3 Гц), 7,62 (1H, дд, J=1,8, 7,8 Гц), 7,70 (1H, д, J=8,2 Гц), 7,74 (1H, дд, J=1,8, 7,3 Гц), 8,18 (1H, дд, J=2,3, 5,0 Гц), 8,52 (1H, д, J=2,3 Гц). | ESI-MS m/z: 365 [M+H]+. | |
| I-12 | 1H-ЯМР (400 МГц, CDCl3) δ: 3,70 (3H, с),6,69 (1H, дд, J=2,3, 10,9 Гц), 6,77 (1H, дд, J=2,3, 8,3 Гц), 7,19 (1H, дд, J=5,1, 7,1 Гц), 7,14-7,28 (1H, м), 7,61 (1H, дд, J=2,8, 8,2 Гц), 7,70 (1H, д, J=7,7 Гц), 7,72 (1H, дд, J=1,8, 7,4 Гц), 8,17 (1H, дд, J=1,8, 4,6 Гц), 8,50 (1H, д, J=2,3 Гц). | ESI-MS m/z: 365 [M+H]+. | |
| I-13 | 1H-ЯМР (400 МГц, CDCl3) δ: 3,82 (3H, д, J=2,3 Гц), 7,18-7,23 (4H, м), 7,63 (1H, дд, J=2,8, 8,2 Гц), 7,70 (1H, д, J=7,2 Гц), 7,75 (1H, дд, J=2,3, 7,3 Гц), 8,18 (1H, дд, J=1,9, 4,6 Гц), 8,54 (1H, д, J=2,3 Гц). | ESI-MS m/z: 365 [M+H]+. | |
| I-14 | 1H-ЯМР (400 МГц, CDCl3) δ: 2,39 (3H, с),7,20 (1H, дд, J=5,0, 7,3 Гц), 7,24-7,28 (2H, м), 7,34 (1H, д, J=8,2 Гц), 7,38-7,44 (1H, м), 7,64-7,68 (2H, м), 7,71 (1H, дд, J=1,8, 7,3 Гц), 8,19 (1H, дд, J=1,8, 5,0 Гц), 8,55-8,57 (1H, м). | ESI-MS m/z: 363 [M+H]+. | |
| I-15 | 1H-ЯМР (400 МГц, CDCl3) δ: 7,23-7,26 (1H, м), 7,48-7,52 (1H, м), 7,58-7,64 (2H, м), 7,71 (1H, д, J=8,7 Гц), 7,75 (1H, д, J=7,3 Гц), 7,80 (1H, дд, J=1,8, 7,3 Гц), 8,09 (1H, д, J=8,2 Гц), 8,17 (1H, дд, J=1,8, 5,0 Гц), 8,49 (1H, д, J=2,3 Гц). | ESI-MS m/z: 362 [M+H]+. | |
| I-16 | 1H-ЯМР (400 МГц, CDCl3) δ: 1,13 (3H, т, J=7,6 Гц), 2,50-2,63 (2H, м), 7,18-7,23 (2H, м), 7,27-7,31 (1H, м), 7,34-7,41 (2H, м), 7,58 (1H, дд, J=1,8, 8,2 Гц), 7,66-7,70 (2H, м), 8,17 (1H, дд, J=1,8, 5,0 Гц), 8,49 (1H, д, J=2,7 Гц). | ESI-MS m/z: 345 [M+H]+. |
[0950]
[Таблица 3]
| соединение | структурная формула | ЯМР | MS |
| I-17 | 1H-ЯМР (400 МГц, CDCl3) δ: 1,22 (3H, т, J=6,9 Гц), 4,00 (2H, кв, J=6,9 Гц), 6,96 (1H, д, J=8,2 Гц), 7,04 (1H, дд, J=7,3, 8,2 Гц), 7,19 (1H, дд, J=4,6, 7,3 Гц), 7,31 (1H, дд, J=1,8, 7,3 Гц), 7,35-7,40 (1H, м), 7,62 (1H, дд, J=2,3, 8,7 Гц), 7,68 (1H, д, J=8,7 Гц), 7,76 (1H, дд, J=2,3, 7,3 Гц), 8,16 (1H, дд, J=1,8, 4,8 Гц), 8,52 (1H, д, J=2,3 Гц). | ESI-MS m/z: 361 [M+H]+. | |
| I-18 | 1H-ЯМР (400 МГц, CDCl3) δ: 5,56 (1H, с),6,96 (1H, д, J=7,8 Гц), 7,03-7,08 (1H, м), 7,22-7,26 (1H, м), 7,31 (1H, д, J=7,8 Гц), 7,64 (1H, дд, J=1,8, 8,4 Гц), 7,68 (2H, д, J=8,4 Гц), 7,82 (1H, дд, J=2,3, 7,3 Гц), 8,20 (1H, дд, J=1,8, 5,0 Гц), 8,53 (1H, д, J=2,3 Гц). | ESI-MS m/z: 333 [M+H]+. | |
| I-19 | 1H-ЯМР (400 МГц, CDCl3) δ: 2,42 (3H, с),7,21 (1H, дд, J=5,0, 7,3 Гц), 7,34-7,40 (1H, м), 7,49-7,54 (1H, м), 7,59-7,65 (2H, м), 7,69 (1H, д, J=9,6 Гц), 7,72 (1H, дд, J=1,8, 7,3 Гц), 7,76-7,80 (1H, м), 8,13 (1H, дд, J=1,8, 5,0 Гц), 8,47 (1H, д, J=2,3 Гц). | ESI-MS m/z: 359 [M+H]+. | |
| I-20 | 1H-ЯМР (400 МГц, CDCl3) δ: 3,38 (3H, с),7,21 (1H, дд, J=5,0, 7,3 Гц), 7,38 (1H, дд, J=1,0, 7,6 Гц), 7,50 (1H, ддд, J=1,3, 7,6, 9,0 Гц), 7,61-7,73 (4H, м), 8,02 (1H, дд, J=1,3, 7,6 Гц), 8,16 (1H, дд, J=2,3, 5,0 Гц), 8,49 (1H, д, J=2,3 Гц). | ESI-MS m/z: 375 [M+H]+. | |
| I-21 | 1H-ЯМР (400 МГц, CDCl3) δ: 7,21 (1H, дд, J=4,8, 7,3 Гц), 7,35-7,51 (4H, м), 7,62 (1H, дд, J=2,3, 8,7 Гц), 7,71 (1H, д, J=8,7 Гц), 7,74 (1H, дд, J=1,8, 7,3 Гц), 8,20 (1H, дд, J=1,8, 4,8 Гц), 8,52 (1H, д, J=2,3 Гц). | ESI-MS m/z: 401 [M+H]+. | |
| I-22 | 1H-ЯМР (400 МГц, CDCl3) δ: 1,64 (1H, т, J=5,5 Гц), 4,62 (2H, т, J=5,5 Гц), 7,21 (1H, дд, J=5,5, 6,7 Гц), 7,28-7,32 (1H, м), 7,38-7,43 (1H, м), 7,45-7,50 (1H, м), 7,59-7,63 (2H, м), 7,69 (1H, д, J=8,7 Гц), 7,74 (1H, дд, J=2,3, 7,3 Гц), 8,18 (1H, дд, J=1,3, 5,0 Гц), 8,50 (1H, д, J=2,3 Гц). | ESI-MS m/z: 347 [M+H]+. | |
| I-23 | 1H-ЯМР (400 МГц, CDCl3) δ: 3,68 (3H, с),6,88(1H, д, J=8,2 Гц), 7,17 (1H, дд, J=5,1, 7,8 Гц), 7,28-7,36 (2H, м), 7,61 (1H, дд, J=2,3, 8,2 Гц), 7,77-7,89 (2H, м), 8,15 (1H, дд, J=1,8, 5,1 Гц), 8,50 (1H, д, J=2,8 Гц). | ESI-MS m/z: 381, 383 [M+H]+. | |
| I-24 | 1H-ЯМР (400 МГц, CDCl3) δ: 2,51 (3H, с),7,20-7,28 (2H, м), 7,58 (1H, дд, J=1,8, 7,3 Гц), 7,62 (1H, дд, J=2,3, 8,7 Гц), 7,68 (1H, дд, J=5,0, 7,3 Гц), 7,71 (1H, д, J=9,2 Гц), 8,21 (1H, дд, J=1,8, 5,1 Гц), 8,52 (1H, д, J=2,8 Гц), 8,58 (1H, дд, J=1,8, 5,0 Гц). | ESI-MS m/z: 332 [M+H]+. |
[0951]
[Таблица 4]
| соединение | структурная формула | ЯМР | MS |
| I-25 | 1H-ЯМР (400 МГц, CDCl3) δ: 2,30 (3H, с),7,21-7,30 (2H, м), 7,62 (1H, дд, J=2,3, 8,7 Гц), 7,66-7,75 (2H, м), 8,22 (1H, дд, J=1,8, 5,0 Гц), 8,44-8,60 (3H, м). | ESI-MS m/z: 332 [M+H]+. | |
| I-26 | 1H-ЯМР (400 МГц, CDCl3) δ: 3,87 (3H, с),7,02 (1H, дд, J=5,0, 7,3 Гц), 7,21 (1H, дд, J=5,0, 7,3 Гц), 7,59-7,68 (2H, м), 7,71 (1H, д, J=8,7 Гц), 7,77 (1H, дд, J=1,8, 7,3 Гц), 8,19 (1H, дд, J=2,3, 5,0 Гц), 8,24 (1H, дд, J=1,8, 5,0 Гц), 8,53 (1H, д, J=2,7 Гц). | ESI-MS m/z: 348 [M+H]+. | |
| I-27 | 1H-ЯМР (400 МГц, CDCl3) δ: 3,85 (3H, с),7,23 (1H, дд, J=4,6, 7,3 Гц), 7,28 (1H, д, J=4,6 Гц), 7,63 (1H, дд, J=2,3, 8,2 Гц), 7,72 (1H, д, J=8,7 Гц), 7,77 (1H, дд, J=1,8, 7,3 Гц), 8,22 (1H, дд, J=1,8, 5,0 Гц), 8,38 (1H, д, J=5,0 Гц), 8,40 (1H, с),8,53 (1H, д, J=2,7 Гц). | ESI-MS m/z: 348 [M+H]+. | |
| I-28 | 1H-ЯМР (400 МГц, CDCl3) δ: 3,80 (3H, с),6,91 (1H, д, J=5,5 Гц), 7,23 (1H, дд, J=4,6, 7,3 Гц), 7,62 (1H, дд, J=2,3, 8,2 Гц), 7,71 (1H, д, J=8,2 Гц), 7,76 (1H, дд, J=1,8, 7,3 Гц), 8,21 (1H, дд, J=1,8, 4,6 Гц), 8,45 (1H, с),8,52 (1H, д, J=2,3 Гц), 8,56 (1H, д, J=6,0 Гц). | ESI-MS m/z: 348 [M+H]+. | |
| I-29 | 1H-ЯМР (400 МГц, CDCl3) δ: 2,51 (3H, с),3,84 (3H, с),6,85 (1H, д, J=7,3 Гц), 7,19 (1H, дд, J=5,0, 7,3 Гц), 7,52 (1H, д, J=7,3 Гц), 7,62 (1H, дд, J=1,8, 8,7 Гц), 7,70 (1H, д, J=8,7 Гц), 7,76 (1H, дд, J=2,3, 7,3 Гц), 8,16 (1H, дд, J=1,8, 5,0 Гц), 8,53 (1H, д, J=2,7 Гц). | ESI-MS m/z: 362 [M+H]+. | |
| I-30 | 1H-ЯМР (400 МГц, CDCl3) δ: 2,32 (3H, с),3,83 (3H, с),7,20 (1H, дд, J=5,0, 7,3 Гц), 7,46 (1H, д, J=2,3 Гц), 7,63 (1H, дд, J=2,3, 8,7 Гц), 7,71 (1H, д, J=8,7 Гц), 7,75 (1H, дд, J=1,8, 7,3 Гц), 8,03 (1H, дд, J=0,9, 2,3 Гц), 8,18 (1H, дд, J=2,3, 5,0 Гц), 8,53 (1H, д, J=2,7 Гц). | ESI-MS m/z: 362 [M+H]+. | |
| I-31 | 1H-ЯМР (400 МГц, CDCl3) δ: 3,86 (3H, с),7,22 (1H, дд, J=5,0, 7,3 Гц), 7,62-7,67 (2H, м), 7,73 (1H, д, J=8,2 Гц), 7,76 (1H, дд, J=1,8, 7,3 Гц), 8,17 (1H, д, J=2,7 Гц), 8,20 (1H, дд, J=1,8, 5,0 Гц), 8,54 (1H, д, J=2,7 Гц). | ESI-MS m/z: 382, 384 [M+H]+. | |
| I-32 | 1H-ЯМР (400 МГц, CDCl3) δ: 3,85 (3H, с),7,22 (1H, дд, J=5,0, 7,8 Гц), 7,47 (1H, дд, J=2,7, 7,8 Гц), 7,63 (1H, дд, J=2,3, 8,7 Гц), 7,72 (1H, д, J=8,7 Гц), 7,78 (1H, дд, J=1,8, 7,3 Гц), 8,07 (1H, д, J=2,7 Гц), 8,20 (1H, дд, J=2,3, 5,0 Гц), 8,54 (1H, д, J=2,7 Гц). | ESI-MS m/z: 366 [M+H]+. |
[0952]
[Таблица 5]
| соединение | структурная формула | ЯМР | MS |
| I-33 | 1H-ЯМР (400 МГц, CDCl3) δ: 7,30 (1H, дд, J=5,0, 7,3 Гц), 7,47-7,50 (1H, м), 7,55-7,59 (1H, м), 7,67 (1H, д, J=8,7 Гц), 7,72 (1H, д, J=7,3 Гц), 7,73-7,77 (1H, м), 7,83 (1H, дд, J=1,8, 7,3 Гц), 8,09 (1H, дд, J=1,4, 7,3 Гц), 8,29 (1H, дд, J=1,8, 5,0 Гц), 8,47 (1H, д, J=2,3 Гц), 8,54 (1H, д, J=6,0 Гц), 9,35 (1H, с). | ESI-MS m/z: 368 [M+H]+. | |
| I-34 | 1H-ЯМР (400 МГц, CDCl3) δ: 7,29 (1H, дд, J=5,0, 7,3 Гц), 7,40 (1H, дд, J=4,1, 8,2 Гц), 7,62-7,70 (3H, м), 7,80 (1H, дд, J=1,4, 7,3 Гц), 7,88-7,94 (2H, м), 8,20 (1H, дд, J=1,8, 8,2 Гц), 8,26 (1H, дд, J=1,8, 5,0 Гц), 8,50-8,53 (1H, м), 8,81 (1H, дд, J=1,8, 4,1 Гц). | ESI-MS m/z: 368 [M+H]+. | |
| I-35 | 1H-ЯМР (400 МГц, CDCl3) δ: 3,27 (2H, т, J=8,7 Гц), 4,51 (2H, т, J=8,7 Гц), 6,96 (1H, д, J=7,3 Гц), 7,19 (1H, дд, J=4,6, 7,3 Гц), 7,22-7,29 (2H, м), 7,65 (1H, дд, J=2,3, 8,2 Гц), 7,69 (1H, д, J=8,2 Гц), 7,88 (1H, дд, J=1,8, 7,3 Гц), 8,29 (1H, дд, J=1,8, 5,0 Гц), 8,57 (1H, д, J=2,3 Гц). | ESI-MS m/z: 359 [M+H]+. | |
| I-36 | 1H-ЯМР (400 МГц, CDCl3) δ: 7,30 (1H, дд, J=5,0, 7,3 Гц), 7,42 (1H, дд, J=4,1, 8,7 Гц), 7,54-7,59 (2H, м), 7,66 (1H, д, J=8,2 Гц), 7,80-7,85 (2H, м), 8,01-8,05 (1H, м), 8,21 (1H, д, J=8,7 Гц), 8,29 (1H, дд, J=1,8, 5,0 Гц), 8,46 (1H, д, J=2,3 Гц), 8,97 (1H, дд, J=1,4, 4,1 Гц). | ESI-MS m/z: 368 [M+H]+. | |
| I-37 | 1H-ЯМР (400 МГц, CDCl3) δ: 7,29 (1H, дд, J=5,0, 7,3 Гц), 7,60-7,69 (2H, м), 7,85-7,92 (3H, м), 8,21 (1H, дд, J=1,8, 8,2 Гц), 8,27 (1H, дд, J=1,8, 5,0 Гц), 8,51 (1H, д, J=2,3 Гц), 8,75 (1H, д, J=1,8 Гц), 8,85 (1H, д, J=1,8 Гц), | ESI-MS m/z: 369 [M+H]+. | |
| I-38 | 1H-ЯМР (400 МГц, CDCl3) δ: 1,94 (2H, м), 3,35 (2H, т, J=6,8 Гц), 3,99 (2H, т, J=5,1 Гц), 6,94 (1H, т, J=7,4 Гц), 7,09-7,15 (2H, м), 7,19 (1H, дд, J=5,1, 7,8 Гц), 7,61 (1H, дд, J=2,8, 7,8 Гц), 7,68-7,82 (2H, м), 8,16 (1H, дд, J=1,8, 5,0 Гц), 8,52 (1H, д, J=2,3 Гц). | ESI-MS m/z: 373 [M+H]+. | |
| I-39 | 1H-ЯМР (400 МГц, CDCl3) δ: 7,13 (1H, дд, J=1,4, 7,4 Гц), 7,17-7,28 (3H, м), 7,69-7,78 (2H, м), 7,89 (1H, дд, J=1,8, 7,3 Гц), 8,21 (1H, дд, J=1,8, 5,1 Гц), 8,61 (1H, д, J=2,3 Гц). | ESI-MS m/z: 397 [M+H]+. | |
| I-40 | 1H-ЯМР (400 МГц, CDCl3) δ: 2,61-2,66 (2H, м), 3,14-3,21 (2H, м), 7,18 (1H, дд, J=5,0, 7,3 Гц), 7,29 (1H, д, J=7,3 Гц), 7,53-7,57 (1H, м), 7,64-7,71 (3H, м), 7,76 (1H, дд, J=2,7, 8,7 Гц), 8,17 (1H, дд, J=1,8, 5,0 Гц), 8,49 (1H, д, J=2,7 Гц). | ESI-MS m/z: 371 [M+H]+. |
[0953]
[Таблица 6]
| соединение | структурная формула | ЯМР | MS |
| I-41 | 1H-ЯМР (400 МГц, CDCl3) δ: 3,27 (2H, т, J=8,7 Гц), 4,54 (2H, т, J=8,7 Гц), 6,94-7,03 (2H, м), 7,19 (1H, дд, J=7,3, 7,8 Гц), 7,67 (1H, дд, J=2,7, 8,7 Гц), 7,72 (1H, д, J=8,7 Гц), 7,88 (1H, дд, J=1,8, 7,8 Гц), 8,15 (1H, дд, J=1,8, 5,0 Гц), 8,57 (1H, д, J=2,3 Гц). | ESI-MS m/z: 377 [M+H]+. | |
| I-42 | 1H-ЯМР (400 МГц, CDCl3) δ: 6,64 (1H, дд, J=1,8, 3,2 Гц), 7,20-7,31 (4H, м), 7,56 (1H, дд, J=1,8, 8,3 Гц), 7,65 (1H, д, J=8,2 Гц), 7,72 (1H, д, J=7,3 Гц), 7,96 (1H, дд, J=1,8, 7,3 Гц), 8,22 (1H, дд, J=2,3, 4,6 Гц), 8,33 (1H, уш с),8,48 (1H, д, J=2,7 Гц). | ESI-MS m/z: 356 [M+H]+. | |
| I-43 | 1H-ЯМР (400 МГц, CDCl3) δ: 7,32 (1H, дд, J=5,0, 7,3 Гц), 7,58-7,62 (2H, м), 7,67 (1H, д, J=8,7 Гц), 7,75 (1H, д, J=5,5 Гц), 7,80 (1H, дд, J=7,3, 7,3 Гц), 7,86 (1H, дд, J=1,8, 7,3 Гц), 7,93 (1H, д, J=8,2 Гц), 8,30 (1H, дд, J=1,8, 5,0 Гц), 8,46 (1H, д, J=2,3 Гц), 8,59 (1H, д, J=6,0 Гц), 9,14 (1H, с). | ESI-MS m/z: 368 [M+H]+. | |
| I-44 | 1H-ЯМР (400 МГц, CDCl3) δ: 6,62 (1H, д, J=2,3 Гц), 6,91 (1H, дд, J=1,4, 6,9 Гц), 7,23 (1H, дд, J=6,9, 9,2 Гц), 7,28 (1H, дд, J=5,0, 7,8 Гц), 7,61-7,74 (3H, м), 7,91 (1H, д, J=2,3 Гц), 8,02 (1H, дд, J=1,8, 7,3 Гц), 8,29 (1H, дд, J=1,8, 4,6 Гц), 8,55 (1H, д, J=2,3 Гц). | ESI-MS m/z: 357 [M+H]+. | |
| I-45 | 1H-ЯМР (400 МГц, CDCl3) δ: 7,22(1H, дд, J=1,3, 7,3 Гц), 7,31(1H, дд, J=4,6, 7,3 Гц), 7,64-7,72 (3H, м), 7,87 (1H, дд, J=1,3, 9,1 Гц), 8,05 (1H, дд, J=1,8, 7,3 Гц), 8,31-8,34 (2H, м), 8,78 (1H, с). | ESI-MS m/z: 358 [M+H]+. | |
| I-46 | 1H-ЯМР (400 МГц, DMSO-d6) δ: 7,26 (1H, дд, J=4,6, 8,2 Гц), 7,41 (1H, дд, J=5,0, 7,3 Гц), 8,01 (1H, д, J=7,8 Гц), 8,05 (1H, дд, J=2,3, 8,7 Гц), 8,26 (1H, дд, J=1,8, 4,6 Гц), 8,31 (1H, дд, J=1,8, 7,3 Гц), 8,46-8,49 (1H, м), 8,57 (1H, дд, J=1,4, 4,6Hz), 8,79 (1H, д, J=2,3 Гц). | ESI-MS m/z: 358 [M+H]+. | |
| I-47 | 1H-ЯМР (400 МГц, CDCl3) δ: 4,27 (3H, с),7,18 (1H, дд, J=4,6, 8,2 Гц), 7,26-7,31 (1H, м), 7,68-7,71 (1H, м), 7,74 (1H, д, J=8,7 Гц), 8,22-8,29 (3H, м), 8,59-8,63 (2H, м). | ESI-MS m/z: 372 [M+H]+. | |
| I-48 | 1H-ЯМР (400 МГц, CDCl3) δ: 2,69 (3H, с),6,65 (1H, д, J=2,3 Гц), 6,87 (1H, с),7,30 (1H, дд, J=5,0, 7,4 Гц), 7,71 (2H, д, J=1,6 Гц), 8,03 (1H, д, J=2,3 Гц), 8,10 (1H, дд, J=1,9, 7,5 Гц), 8,32 (1H, дд, J=1,9, 5,0 Гц), 8,54-8,60 (1H, м). | ESI-MS m/z: 372 [M+H]+. |
[0954]
[Таблица 7]
| соединение | структурная формула | ЯМР | MS |
| I-49 | 1H-ЯМР (400 МГц, DMSO-d6) δ: 7,00 (1H, дд, J=1,4, 6,9 Гц), 7,33-7,39 (2H, м), 7,92 (1H, д, J=9,0 Гц), 7,99 (2H, уш с),8,10 (1H, дд, J=1,8, 4,9 Гц), 8,16 (1H, дд, J=1,8, 7,4 Гц), 8,44 (1H, с),8,73-8,79 (2H, м). | ESI-MS m/z: 357 [M+H]+. | |
| I-50 | 1H-ЯМР (400 МГц, CDCl3) δ: 6,69 (1H, д, J=3,7 Гц), 7,17 (1H, дд, J=4,6, 7,8 Гц), 7,32 (1H, дд, J=5,0, 7,8 Гц), 7,57 (1H, д, J=3,7 Гц), 7,66-7,72 (2H, м), 8,00 (1H, дд, J=1,4, 7,8 Гц), 8,17 (1H, дд, J=1,8, 7,8 Гц), 8,19 (1H, дд, J=1,8, 4,6 Гц), 8,33 (1H, дд, J=1,8, 4,6 Гц), 8,59 (1H, с). | ESI-MS m/z: 357 [M+H]+. | |
| I-51 | 1H-ЯМР (400 МГц, CDCl3) δ: 6,96 (1H, дд, J=1,3, 6,9 Гц), 7,28 (1H, дд, J=4,9, 7,4 Гц), 7,32 (1H, дд, J=6,9, 8,9 Гц), 7,65 (1H, дд, J=1,3, 8,9 Гц), 7,67-7,70 (2H, м), 7,86 (1H, с),7,98 (1H, дд, J=1,9, 7,4 Гц), 8,30 (1H, дд, J=1,9, 5,0 Гц), 8,51-8,57 (1H, м). | ESI-MS m/z: 391, 393 [M+H]+. | |
| I-52 | 1H-ЯМР (400 МГц, CDCl3) δ: 6,97 (1H, дд, J=1,2, 6,9 Гц), 7,28 (1H, дд, J=5,0, 7,4 Гц), 7,33 (1H, дд, J=6,9, 8,9 Гц), 7,63 (1H, дд, J=1,3, 8,9 Гц), 7,66-7,72 (2H, м), 7,89 (1H, с),7,98 (1H, дд, J=1,9, 7,4 Гц), 8,30 (1H, дд, J=1,9, 5,0 Гц), 8,51-8,57 (1H, м). | ESI-MS m/z: 435, 437 [M+H]+. | |
| I-53 | 1H-ЯМР (400 МГц, CDCl3) δ: 2,34 (3H, с),6,85 (1H, дд, J=1,2, 6,8 Гц), 7,17, (1H, дд, J=6,8, 8,9 Гц), 7,27 (1H, дд, J=4,9, 7,4 Гц), 7,54 (1H, дд, J=1,3, 8,9 Гц), 7,64-7,75 (3H, м), 7,99 (1H, дд, J=1,9, 7,4 Гц), 8,28 (1H, дд, J=1,9, 5,0 Гц), 8,54 (1H, д, J=2,4 Гц). | ESI-MS m/z: 371 [M+H]+. | |
| I-54 | 1H-ЯМР (400 МГц, CDCl3) δ: 7,19 (1H, дд, J=1,3, 7,1 Гц), 7,31 (1H, дд, J=5,0, 7,4 Гц), 7,60 (1H, дд, J=7,0, 8,9 Гц), 7,66 (1H, ддд, J=0,5, 2,5, 8,6 Гц), 7,71 (1H, дд, J=0,6, 8,6 Гц), 7,89 (1H, дд, J=1,3, 8,9 Гц), 7,98 (1H, дд, J=1,9, 7,4 Гц), 8,20 (1H, с),8,33 (1H, дд, J=1,9, 5,0 Гц), 8,54 (1H, д, J=2,4 Гц). | ESI-MS m/z: 382 [M+H]+. | |
| I-55 | 1H-ЯМР (400 МГц, CDCl3) δ: 1,62-1,79 (4H, м), 1,90-2,00 (2H, м), 2,53-2,64 (1H, м), 3,91 (2H, д, J=6,4 Гц), 6,98 (1H, д, J=8,2 Гц), 7,04 (1H, т, J=7,8 Гц), 7,15-7,20 (1H, м), 7,30-7,40 (2H, м), 7,60 (1H, дд, J=2,3, 8,7 Гц), 7,67 (1H, д, J=8,7 Гц), 7,78 (1H, дд, J=1,8, 7,3 Гц), 8,15 (1H, дд, J=1,8, 5,0 Гц), 8,50 (1H, д, J=2,3 Гц). | ESI-MS m/z: 401 [M+H]+. | |
| I-56 | 1H-ЯМР (400 МГц, CDCl3) δ: 2,40 (1H, т, J=2,3 Гц), 4,64 (2H, д, J=2,3 Гц), 7,07-7,14 (2H, м), 7,20 (1H, дд, J=5,0, 7,3 Гц), 7,34 (1H, дд, J=1,8, 7,8 Гц), 7,39-7,44 (1H, м), 7,64 (1H, дд, J=2,3, 8,7 Гц), 7,68 (1H, д, J=8,7 Гц), 7,76 (1H, дд, J=1,8, 7,3 Гц), 8,18 (1H, дд, J=1,8, 5,0 Гц), 8,55 (1H, д, J=2,3 Гц). | ESI-MS m/z: 371 [M+H]+. |
[0955]
[Таблица 8]
| соединение | структурная формула | ЯМР | MS |
| I-57 | 1H-ЯМР (400 МГц, CDCl3) δ: 0,12-0,19 (2H, м), 0,45-0,51 (2H, м), 1,00-1,10 (1H, м), 3,77 (2H, д, J=6,9 Гц), 6,95 (1H, д, J=8,2 Гц), 7,02-7,07 (1H, м), 7,19 (1H, дд, J=5,0, 7,3 Гц), 7,30-7,38 (2H, м), 7,62-7,69 (2H, м), 7,77 (1H, дд, J=1,8, 7,3 Гц), 8,17 (1H, дд, J=1,8, 5,0 Гц), 8,55 (1H, д, J=2,3 Гц). | ESI-MS m/z: 387 [M+H]+. | |
| I-58 | 1H-ЯМР (400 МГц, CDCl3) δ: 1,54-1,63 (2H, м), 1,85-1,93 (2H, м), 3,43-3,50 (2H, м), 3,69-3,76 (2H, м), 4,44-4,50 (1H, м), 7,00 (1H, д, J=8,9 Гц), 7,19 (1H, дд, J=5,0, 7,3 Гц), 7,30-7,39 (2H, м), 7,62 (1H, дд, J=2,3, 8,7 Гц), 7,68 (2H, д, J=8,7Hz), 7,76 (1H, дд, J=1,8, 7,3 Гц), 8,16 (1H, дд, J=1,8, 5,0 Гц), 8,50 (1H, д, J=2,3 Гц). | ESI-MS m/z: 417 [M+H]+. | |
| I-59 | 1H-ЯМР (400 МГц, CDCl3) δ: 0,64-0,70 (2H, м), 0,77-0,85 (2H, м), 1,71-1,79 (1H, м), 6,57 (1H, д, J=4,6 Гц), 6,98 (1H, д, J=7,3 Гц), 7,19-7,28 (2H, м), 7,31-7,36 (1H, м), 7,60 (1H, дд, J=2,7, 8,7 Гц), 7,68 (1H, д, J=8,7 Гц), 7,76 (1H, дд, J=1,8, 7,3 Гц), 8,18 (1H, дд, J=1,8, 4,6 Гц), 8,51 (1H, д, J=2,7 Гц). | ESI-MS m/z: 357 [M+H]+. | |
| I-60 | 1H-ЯМР (CDCl3) δ: 3,26 (3H, с),4,36 (2H, с),7,20 (1H, дд, J=5,0, 7,3 Гц), 7,30 (1H, дд, J=1,4, 7,3 Гц), 7,39 (1H, дт, J=1,4, 7,3 Гц), 7,44 (1H, дт, J=1,4, 7,3 Гц), 7,55 (1H, д, J=7,3 Гц), 7,60 (1H, дд, J=2,3, 7,3 Гц), 7,68 (1H, д, J=7,3 Гц), 7,73 (1H, дд, J=2,3, 7,3 Гц), 8,18 (1H, дд, J=2,3, 5,0 Гц), 8,50 (1H, д, J=2,3 Гц). | ESI-MS m/z: 361 [M+H]+. | |
| I-61 | 1H-ЯМР (400 МГц, CDCl3) δ: 3,68-3,74 (2H, уш с),6,82 (1H, д, J=7,8 Гц), 6,84-6,89 (1H, м), 7,15-7,18 (1H, м), 7,20-7,26 (2H, м), 7,63 (1H, дд, J=2,3, 8,7 Гц), 7,69 (1H, д, J=8,7 Гц), 7,81 (1H, дд, J=1,8, 7,3 Гц), 8,19 (1H, дд, J=2,3, 5,0 Гц), 8,55 (1H, д, J=2,3 Гц). | ESI-MS m/z: 332 [M+H]+. | |
| I-62 | 1H-ЯМР (400 МГц, CDCl3) δ: 3,24 (3H, с),3,51 (3H, с),6,06 (1H, т, J=6,9 Гц), 6,82 (1H, дд, J=3,2, 8,7 Гц), 7,15 (1H, дд, J=2,3, 6,9 Гц), 7,20 (1H, дд, J=1,8, 6,9 Гц), 7,22-7,26 (1H, м), 7,33 (1H, д, J=9,2 Гц), 7,36-7,39 (1H, м), 7,41-7,48 (2H, м), 7,97 (1H, д, J=3,2 Гц). | ESI-MS m/z: 360 [M+H]+. | |
| I-63 | 1H-ЯМР (400 МГц, CDCl3) δ: 7,24 (1H, дд, J=5,0, 7,4 Гц), 7,44 (1H, д, J=7,3 Гц), 7,76 (1H, дд, J=1,8, 7,3 Гц), 7,53-7,80 (5H, м), 7,99 (1H, д, J=7,3 Гц), 8,20 (1H, дд, J=1,8, 5,1 Гц), 8,49 (1H, д, J=2,3 Гц), 10,0 (1H, с). | ESI-MS m/z: 345 [M+H]+. | |
| I-64 | 1H-ЯМР (400 МГц, CDCl3) δ: 3,02 (1H, с),7,20 (1H, дд, J=5,1, 7,3 Гц), 7,36-7,50 (3H, м), 7,60-7,72 (3H, м), 7,79 (1H, дд, J=1,8, 7,3 Гц), 8,18 (1H, дд, J=1,8, 5,1 Гц), 8,58 (1H, д, J=2,3 Гц). | ESI-MS m/z: 341 [M+H]+. |
[0956]
[Таблица 9]
| соединение | структурная формула | ЯМР | MS |
| I-65 | 1H-ЯМР (400 МГц, CDCl3) δ: 2,17 (3H, с),3,71 (3H, с),6,96 (1H, д, J=8,2 Гц), 7,02-7,08 (2H, м), 7,18 (1H, дд, J=1,8, 7,3 Гц), 7,35-7,41 (1H, м), 7,48-7,52 (1H, м), 7,62 (1H, д, J=8,2 Гц), 8,05 (1H, д, J= 5,0 Гц), 8,41 (1H, д, J=2,7 Гц). | ESI-MS m/z: 361 [M+H]+. | |
| I-66 | 1H-ЯМР (400 МГц, CDCl3) δ: 2,37 (3H, с),3,67 (3H, с),6,94 (1H, д, J=8,7 Гц), 7,05 (1H, т, J=7,3 Гц), 7,26-7,30 (1H, м), 7,36-7,41 (1H, м), 7,54-7,58 (2H, м), 7,66 (1H, д, J=8,7 Гц), 7,99 (1H, уш д), 8,48 (1H, д, J=2,3 Гц). | ESI-MS m/z: 361 [M+H]+. | |
| I-67 | 1H-ЯМР (400 МГц, CDCl3) δ: 2,45 (3H, с),3,66 (3H, с),6,93 (1H, д, J=8,2 Гц), 7,01-7,08 (2H, м), 7,26-7,29 (1H, м), 7,34-7,39 (1H, м), 7,48-7,52 (1H, дд, J=2,3, 8,7Hz), 7,64 (2H, д, J=7,3 Гц), 8,50 (1H, д, J= 2,3 Гц). | ESI-MS m/z: 361 [M+H]+. | |
| I-68 | 1H-ЯМР (400 МГц, CDCl3) δ: 2,54 (3H, с),3,78 (3H, с),6,99 (1H, д, J=8,2 Гц), 7,02-7,11 (2H, м), 7,15 (1H, д, J=8,2 Гц), 7,30-7,41 (3H, м), 7,69 (1H, дд, J=2,3, 7,3 Гц), 8,13 (1H, дд, J=2,3, 4,8 Гц), 8,31 (1H, д, J=2,7 Гц). | ESI-MS m/z: 293 [M+H]+. | |
| I-69 | 1H-ЯМР (400 МГц, CDCl3) δ: 2,15 (3H, с),3,76 (3H, с),5,20 (2H, с),6,98 (1H, д, J=8,2 Гц), 7,06 (1H, дт, J=0,9, 7,5 Гц), 7,13 (1H, дд, J=5,0, 7,3 Гц), 7,32-7,42 (3H, м), 7,48 (1H, дд, J=2,8, 8,7 Гц), 7,72 (1H, дд, J=1,8, 7,3 Гц), 8,14 (1H, дд, J=1,8, 5,0 Гц), 8,41 (1H, д, J=2,7 Гц). | ESI-MS m/z: 351 [M+H]+. | |
| I-70 | 1H-ЯМР (400 МГц, CDCl3) δ: 3,48 (1H, т, J=5,0 Гц), 3,77 (3H, с),4,75 (2H, д, J=5,0 Гц), 6,99 (1H, д, J=8,2 Гц), 7,07 (1H, т, J=7,3 Гц), 7,13 (1H, дд, J=5,0, 7,3 Гц), 7,24-7,28 (1H, м), 7,34 (1H, дд, J=1,8, 7,8 Гц), 7,40 (1H, дт, J=1,8, 7,3 Гц), 7,48 (1H, дд, J=2,6, 8,2 Гц), 7,72 (1H, дд, J=1,8, 7,3 Гц), 8,14 (1H, дд, J=1,8, 5,0 Гц), 8,39 (1H, д, J=2,7 Гц). | ESI-MS m/z: 309 [M+H]+. | |
| I-71 | 1H-ЯМР (400 МГц, CDCl3) δ: 3,68 (3H, с),6,96 (1H, д, J=8,2 Гц), 7,07 (1H, дт, J=0,9, 7,3 Гц), 7,23 (1H, дд, J=4,6, 7,3 Гц), 7,32 (1H, дд, J=1,8, 7,3 Гц), 7,36-7,44 (1H, м), 7,57-7,64 (1H, м), 7,78 (1H, дд, J=1,8, 7,3 Гц), 8,00 (1H, д, J=8,7 Гц), 8,20 (1H, дд, J=1,8, 5,0 Гц), 8,56 (1H, д, J=2,7 Гц), 10,04 (1H, д, J=0,9 Гц). | ESI-MS m/z: 307 [M+H]+. | |
| I-72 | 1H-ЯМР (400 МГц, CDCl3) δ: 3,73 (3H, с),6,65 (1H, т, J=55,4 Гц), 6,98 (1H, д, J=8,2 Гц), 7,07 (1H, дт, J=0,9, 7,3 Гц), 7,18 (1H, дд, J=4,6, 7,3 Гц), 7,33 (1H, дд, J=1,8, 7,3 Гц), 7,40 (1H, дт, J=1,8, 8,2 Гц), 7,59 (1H, дд, J=2,3, 8,7 Гц), 7,65 (1H, д, J=8,7 Гц), 7,74 (1H, дд, J=1,8, 7,3 Гц), 8,17 (1H, дд, J=1,8, 5,0 Гц), 8,45 (1H, д, J=2,3 Гц). | ESI-MS m/z: 329 [M+H]+. |
[0957]
[Таблица 10]
| соединение | структурная формула | ЯМР | MS |
| I-73 | 1H-ЯМР (400 МГц, CDCl3) δ: 3,72 (3H, с),6,45 (1H, т, J=55,4 Гц), 6,70 (1H, дд, J=2,3, 11,0 Гц), 6,77 (1H, дт, J=2,7, 8,2 Гц), 7,17 (1H, дд, J=5,0, 7,3 Гц), 7,27 (1H, дд, J=6,4, 8,2 Гц), 7,58 (1H, дд, J=2,3, 8,2 Гц), 7,65 (1H, д, J=8,2 Гц), 7,70 (1H, дд, J=2,3, 7,3 Гц), 8,16 (1H, дд, J=2,3, 5,0 Гц), 8,44 (1H, д, J=2,7 Гц). | ESI-MS m/z: 347 [M+H]+. | |
| I-74 | 1H-ЯМР (400 МГц, CDCl3) δ: 3,83 (3H, с),6,65 (1H, т, J=55,4 Гц), 6,86-7,00 (2H, м), 7,09 (1H, т, J=9,2 Гц), 7,19 (1H, дд, J=4,6, 7,3 Гц), 7,64 (1H, дд, J=2,3, 8,2 Гц), 7,67 (1H, д, J=8,2 Гц), 7,78 (1H, дд, J=1,8, 7,3 Гц), 8,18 (1H, дд, J=1,8, 5,0 Гц), 8,49 (1H, д, J=2,3 Гц). | ESI-MS m/z: 347 [M+H]+. | |
| I-75 | 1H-ЯМР (400 МГц, CDCl3) δ: 3,93 (3H, с),6,66 (1H, т, J=55,4 Гц), 7,11-7,25 (4H, м), 7,63 (1H, дд, J=2,3, 8,2 Гц), 7,69 (1H, д, J=8,2 Гц), 7,80 (1H, дд, J=1,8, 7,3 Гц), 8,14 (1H, дд, J=1,8, 5,0 Гц), 8,50 (1H, д, J=2,3 Гц). | ESI-MS m/z: 347 [M+H]+. | |
| I-76 | 1H-ЯМР (400 МГц, CDCl3) δ: 3,70 (3H, с),6,65 (1H, т, J=55,6 Гц), 6,79 (1H, дд, J=6,6, 12,0 Гц), 7,13-7,21 (2H, м), 7,59 (1H, дд, J=2,5, 8,5 Гц), 7,66 (1H, д, J=8,6 Гц), 7,70 (1H, дд, J=1,9, 7,4 Гц), 8,17 (1H, дд, J=1,9, 4,9 Гц), 8,44 (1H, д, J=2,2 Гц). | ESI-MS m/z: 365 [M+H]+. | |
| I-77 | 1H-ЯМР (400 МГц, CDCl3) δ: 3,91 (3H, с),6,66 (1H, т, J=55,4 Гц), 6,94-7,06 (2H, м), 7,20 (1H, дд, J=5,0, 7,3 Гц), 7,63 (1H, дд, J=2,8, 8,7 Гц), 7,68 (1H, д, J=8,7 Гц), 7,77 (1H, дд, J=1,8, 7,3 Гц), 8,19 (1H, дд, J=1,8, 5,0 Гц), 8,49 (1H, д, J=2,3 Гц). | ESI-MS m/z: 365 [M+H]+. | |
| I-78 | 1H-ЯМР (400 МГц, CDCl3) δ: 3,87 (3H, с),3,96 (3H, с),6,43 (1H, д, J=7,8 Гц), 6,65 (1H, т, J=55,4 Гц), 7,16 (1H, дд, J=5,0, 7,3 Гц), 7,55-7,63 (2H, м), 7,66 (1H, д, J=8,7 Гц), 7,75 (1H, дд, J=1,8, 7,3 Гц), 8,13 (1H, дд, J=2,3, 5,0 Гц), 8,46 (1H, д, J=2,3 Гц). | ESI-MS m/z: 360 [M+H]+. | |
| I-79 | 1H-ЯМР (400 МГц, CDCl3) δ: 3,71 (3H, с),3,74 (1H, т, J=6,8 Гц), 4,12-4,22 (2H, м), 6,96 (1H, д, J=7,8 Гц), 7,05 (1H, дт, J=0,9, 7,3 Гц), 7,17 (1H, дд, J=5,0, 7,4 Гц), 7,31 (1H, дд, J=1,8, 7,8Hz), 7,38 (1H, дт, J=1,8, 7,8 Гц), 7,58 (1H, дд, J=2,3, 8,3 Гц), 7,70 (1H, д, J=8,2 Гц), 7,74 (1H, дд, J=1,8, 7,3 Гц), 8,14 (1H, дд, J=1,8, 5,0 Гц), 8,39 (1H, д, J=2,3 Гц). | ESI-MS m/z: 359 [M+H]+. | |
| I-80 | 1H-ЯМР (400 МГц, CDCl3) δ: 3,69 (3H, с),5,11 (2H, т, J=12,3 Гц), 6,96 (1H, д, J=8,3 Гц), 7,05 (1H, д, J=7,4 Гц), 7,19 (1H, дд, J=1,8, 7,3 Гц), 7,31 (1H, дд, J=1,8, 7,3 Гц), 7,37-3,41 (1H, м), 7,61 (1H, дд, J=2,7, 8,7 Гц), 7,71-7,76 (2H, м), 8,17 (1H, д, J= 3,2Hz), 8,41 (1H, д, J=2,3 Гц). | - |
[0958]
[Таблица 11]
| соединение | структурная формула | ЯМР | MS |
| I-81 | 1H-ЯМР (400 МГц, CDCl3) δ: 2,02 (3H, т, J=18,8 Гц), 3,73 (3H, с),6,97 (1H, д, J=8,2 Гц), 7,06 (1H, дт, J=0,9, 7,4 Гц), 7,16 (1H, дд, J=5,0, 7,3 Гц), 7,32 (1H, дд, J=1,8, 7,3 Гц), 7,39 (1H, дт, J=1,9, 7,3 Гц), 7,54 (1H, дд, J=2,3, 7,3 Гц), 7,65 (1H, д, J=8,7 Гц), 7,73 (1H, дд, J=1,8, 7,3 Гц), 8,16 (1H, дд, J=2,3, 5,1 Гц), 8,43 (1H, д, J=2,3 Гц). | ESI-MS m/z: 343 [M+H]+. | |
| I-82 | 1H-ЯМР (400 МГц, CDCl3) δ: 2,02 (3H, т, J=18,3 Гц), 3,72 (3H, с),6,70 (1H, дд, J=2,3, 8,6 Гц), 6,76 (1H, дт, J=2,3, 8,3 Гц), 7,16 (1H, дд, J=5,1, 7,8 Гц), 7,27 (1H, дд, J=6,8, 8,7 Гц), 7,53 (1H, дд, J=2,7, 8,7 Гц), 7,65 (1H, д, J=8,7 Гц), 7,70 (1H, дд, J=2,3, 7,8 Гц), 8,16 (1H, дд, J=1,8, 5,1 Гц), 8,42 (1H, д, J=2,3 Гц). | ESI-MS m/z: 361 [M+H]+. | |
| I-83 | 1H-ЯМР (400 МГц, CDCl3) δ: 2,02 (3H, т, J=18,7 Гц), 3,71 (3H, с),6,89 (1H, дд, J=4,6, 9,6 Гц), 7,02-7,10 (2H, м), 7,16 (1H, дд, J=5,0, 7,3 Гц), 7,54 (1H, дд, J=2,7, 8,7 Гц), 7,66 (1H, д, J=8,7 Гц), 7,72 (1H, дд, J=1,8, 7,3 Гц), 8,17 (1H, дд, J=1,8, 5,0 Гц), 8,44 (1H, д, J=2,3 Гц). | ESI-MS m/z: 361 [M+H]+. | |
| I-84 | 1H-ЯМР (400 МГц, CDCl3) δ: 2,02 (3H, т, J=18,6 Гц), 3,68 (3H, с),3,81 (3H, с),6,88-6,94 (3H, м), 7,16 (1H, дд, J=4,9, 7,4 Гц), 7,55 (1H, дд, J=2,6, 8,6 Гц), 7,65 (1H, дд, J=0,6, 8,6 Гц), 7,73 (1H, дд, J=1,9, 7,4 Гц), 8,16 (1H, дд, J=1,9, 4,9 Гц), 8,44 (1H, дд, J=0,6, 2,6 Гц). | ESI-MS m/z: 373 [M+H]+. | |
| I-85 | 1H-ЯМР (400 МГц, CDCl3) δ: 2,03 (3H, т, J=18,8 Гц), 3,91 (3H, с),6,97 (1H, дд, J=9,2, 11,0 Гц), 7,02 (1H, дд, J=6,9, 9,2 Гц), 7,18 (1H, дд, J=5,0, 7,3 Гц), 7,58 (1H, дд, J=2,7, 8,7 Гц), 7,68 (1H, д, J=8,7 Гц), 7,76 (1H, дд, J=1,8, 7,3 Гц), 8,18 (1H, дд, J=1,8, 5,0 Гц), 8,46 (1H, д, J=2,3 Гц). | ESI-MS m/z: 379 [M+H]+. | |
| I-86 | 1H-ЯМР (400 МГц, CDCl3) δ: 2,01 (3H, т, J=18,6 Гц), 6,60 (1H, т, J=55,0 Гц), 7,19 (1H, дд, J=5,0, 7,3 Гц), 7,30 (1H, м), 7,52-7,58 (3H, м), 7,66 (1H, дд, J=0,5, 8,6 Гц), 7,69 (1H, дд, J=1,8, 4,9 Гц), 7,77 (1H, дд, J=2,6, 6,4 Гц), 8,21 (1H, дд, J=1,9, 5,0 Гц), 8,42 (1H, д, J=2,7 Гц). | ESI-MS m/z: 363 [M+H]+. | |
| I-87 | 1H-ЯМР (400 МГц, CDCl3) δ: 2,04 (3H, т, J=18,6 Гц), 7,22 (1H, дд, J=4,9, 7,4 Гц), 7,29 (1H, дт, J=1,0, 8,5 Гц), 7,37 (1H, дд, J=0,5, 7,8 Гц), 7,68-7,74 (3H, м), 7,78 (1H, дд, J=1,9, 7,4 Гц), 8,23 (1H, дд, J=1,9, 4,9 Гц), 8,50-8,51 (1H, м). | ESI-MS m/z: 356 [M+H]+. | |
| I-88 | 1H-ЯМР (400 МГц, CDCl3) δ: 2,03 (3H, т, J=18,8 Гц), 3,89 (3H, с),7,01 (1H, дд, J=5,0, 7,3 Гц), 7,17 (1H, дд, J=4,6, 7,3 Гц), 7,56 (1H, дд, J=2,7, 8,7 Гц), 7,64 (1H, дд, J=1,8, 7,3 Гц), 7,67 (1H, д, J=8,7 Гц), 7,75 (1H, дд, J=1,8, 7,4 Гц), 8,17 (1H, дд, J=1,8, 5,0 Гц), 8,23 (1H, дд, J=1,8, 5,0 Гц), 8,45 (1H, д, J=2,3 Гц). | ESI-MS m/z: 344 [M+H]+. |
[0959]
[Таблица 12]
| соединение | структурная формула | ЯМР | MS |
| I-89 | 1H-ЯМР (400 МГц, CDCl3) δ: 2,03 (3H, т, J=18,6 Гц), 3,86 (3H, с),7,19 (1H, дд, J=5,0, 7,3 Гц), 7,29 (1H, д, J=8,3 Гц), 7,56 (1H, дд, J=2,7, 8,7 Гц), 7,67 (1H, дд, J=0,6, 8,7 Гц), 7,75 (1H, дд, J=1,8, 7,3 Гц), 8,21 (1H, дд, J=1,8, 5,0 Гц), 8,36 (1H, д, J=5,0 Гц), 8,39 (1H, с),8,44 (1H, дд, J=0,6, 2,7 Гц). | ESI-MS m/z: 344 [M+H]+. | |
| I-90 | 1H-ЯМР (400 МГц, CDCl3) δ: 2,02 (3H, т, J=18,6 Гц), 3,81 (3H, с),6,90 (1H, д, J=5,7 Гц), 7,19 (1H, дд, J=5,0, 7,3 Гц), 7,54 (1H, дд, J=2,7, 8,7 Гц), 7,66 (1H, дд, J=0,6, 8,7 Гц), 7,74 (1H, дд, J=1,9, 7,3 Гц), 8,19 (1H, дд, J=1,8, 5,0 Гц), 8,43 (1H, дд, J=0,6, 2,7 Гц), 8,45 (1H, с), 8,55 (1H, д, J=5,7 Гц). | ESI-MS m/z: 344 [M+H]+. | |
| I-91 | 1H-ЯМР (400 МГц, CDCl3) δ: 2,02 (3H, т, J=18,6 Гц), 2,30 (3H, с),7,21 (1H, дд, J=5,0, 7,3 Гц), 7,23 (1H, д, J=5,0 Гц), 7,54 (1H, дд, J=2,7, 8,7 Гц), 7,66 (1H, дд, J=0,7, 8,7 Гц), 7,67 (1H, дд, J=1,8, 7,3 Гц), 8,21 (1H, дд, J=1,8, 5,0 Гц), 8,42 (1H, дд, J=0,6, 2,7 Гц), 8,47 (1H, с),8,51 (1H, д, J=5,0 Гц). | ESI-MS m/z: 328 [M+H]+. | |
| I-92 | 1H-ЯМР (400 МГц, CDCl3) δ: 2,04 (3H, т, J=18,6 Гц), 7,23 (1H, дд, J=4,9, 7,4 Гц), 7,45 (1H, дд, J=5,0, 6,0 Гц), 7,60 (1H, дд, J=2,6, 8,6 Гц), 7,71 (1H, дд, J=0,6, 8,6 Гц), 7,82 (1H, ддд, J=0,8, 1,9, 7,4 Гц), 8,24 (1H, дд, J=1,9, 4,9 Гц), 8,49 (1H, д, J=2,2 Гц), 8,54 (1H, д, J=4,6 Гц), 8,59 (1H, д, J=1,6 Гц). | ESI-MS m/z: 332 [M+H]+. | |
| I-93 | 1H-ЯМР (400 МГц, CDCl3) δ: 2,04 (3H, т, J=18,6 Гц), 2,42 (3H, с),7,21 (1H, дд, J=4,9, 7,4 Гц), 7,60 (1H, дд, J=2,6, 8,6 Гц), 7,69-7,71 (1H, м), 7,76-7,78 (1H, м), 7,81 (1H, дд, J=1,9, 7,4 Гц), 8,17 (1H, дд, J=1,9, 4,9 Гц), 8,48-8,49 (2H, м), 8,68 (1H, д, J=1,9 Гц). | ESI-MS m/z: 328 [M+H]+. | |
| I-94 | 1H-ЯМР (400 МГц, CDCl3) δ: 2,02 (3H, т, J=18,8 Гц), 3,88 (3H, с),3,96 (3H, с),6,42 (1H, д, J=8,7 Гц), 7,14 (1H, дд, J=5,0, 7,3 Гц), 7,55 (1H, дд, J=2,7, 8,7 Гц), 7,58 (1H, д, J=8,7 Гц), 7,66 (1H, д, J=8,7 Гц), 7,74 (1H, дд, J=1,8, 7,3 Гц), 8,12 (1H, дд, J=1,8, 5,0 Гц), 8,47 (1H, д, J=2,7 Гц). | ESI-MS m/z: 374 [M+H]+. | |
| I-95 | 1H-ЯМР (400 МГц, CDCl3) δ: 2,05 (3H, т, J=18,6 Гц), 4,01 (3H, с),6,76 (1H, дд, J=1,5, 7,4 Гц), 7,23 (1H, дд, J=4,8, 7,6 Гц), 7,61 (1H, дд, J=2,6, 8,6 Гц), 7,64-7,72 (3H, м), 8,15 (1H, дд, J=2,0, 4,8 Гц), 8,51-8,53 (2H, м). | ESI-MS m/z: 344 [M+H]+. | |
| I-96 | 1H-ЯМР (400 МГц, CDCl3) δ: 2,03 (3H, т, J=18,6 Гц), 3,70 (3H, с),3,89 (3H, с),6,78 (1H, д, J=8,9 Гц), 7,21 (1H, дд, J=4,9, 7,4 Гц), 7,32 (1H, д, J=8,9 Гц), 7,57 (1H, дд, J=2,6, 8,6 Гц), 7,66 (1H, дд, J=0,6, 8,6 Гц), 7,94 (1H, дд, J=2,0, 7,4 Гц), 8,20 (1H, дд, J=2,0, 4,9 Гц), 8,47 (1H, дд, J=0,6, 2,6 Гц). | ESI-MS m/z: 374 [M+H]+. |
[0960]
[Таблица 13]
| соединение | структурная формула | ЯМР | MS |
| I-97 | 1H-ЯМР (400 МГц, CDCl3) δ: 2,03 (3H, т, J=18,6 Гц), 7,23 (1H, дд, J=5,0, 7,4 Гц), 7,59 (1H, дд, J=2,6, 8,6 Гц), 7,68-7,70 (1H, м), 7,74 (1H, дд, J=1,9, 7,4 Гц), 8,26 (1H, дд, J=1,9, 5,0 Гц), 8,45 (1H, с),8,47-8,48 (1H, м), 8,57 (1H, br с). | ESI-MS m/z: 366, 368 [M+H]+. | |
| I-98 | 1H-ЯМР (400 МГц, CDCl3) δ: 2,03 (3H, т, J=19,0 Гц), 4,06 (3H, д, J=4,6 Гц), 7,19 (1H, дд, J=4,9, 7,4 Гц), 7,56 (1H, дд, J=2,6, 8,6 Гц), 7,68-7,73 (2H, м), 8,21 (1H, дд, J=1,9, 4,9 Гц), 8,29 (1H, уш с),8,45-8,46 (2H, м). | ESI-MS m/z: 362 [M+H]+. | |
| I-99 | 1H-ЯМР (400 МГц, CDCl3) δ: 2,03 (3H, т, J=18,6 Гц), 2,25 (3H, д, J=2,0 Гц), 7,22 (1H, дд, J=5,0, 7,4 Гц), 7,55 (1H, дд, J=2,7, 8,6 Гц), 7,68-7,73 (2H, м), 8,23 (1H, дд, J=1,9, 5,0 Гц), 8,32 (1H, с),8,43-8,44 (2H, м). | ESI-MS m/z: 346 [M+H]+. | |
| I-100 | 1H-ЯМР (400 МГц, CDCl3) δ: 2,03 (3H, т, J=18,6 Гц), 3,82 (3H, с),7,21 (1H, дд, J=4,9, 7,4 Гц), 7,57 (1H, дд, J=2,6, 8,6 Гц), 7,68-7,70 (1H, м), 7,76 (1H, дд, J=1,9, 7,4 Гц), 8,22 (1H, дд, J=1,9, 4,9 Гц), 8,45-8,46 (2H, м), 8,59 (1H, с). | ESI-MS m/z: 378, 380 [M+H]+. | |
| I-101 | 1H-ЯМР (400 МГц, CDCl3) δ: 2,03 (3H, т, J=18,6 Гц), 2,37 (3H, с),2,43 (3H, с),7,21 (1H, дд, J=4,9, 7,4 Гц), 7,54 (1H, дд, J=2,6, 8,6 Гц), 7,62 (1H, дд, J=2,0, 7,4 Гц), 7,68 (1H, дд, J=0,6, 8,6 Гц), 8,21 (1H, дд, J=1,9, 4,9 Гц), 8,42 (1H, дд, J=0,6, 2,6 Гц). | ESI-MS m/z: 348 [M+H]+. | |
| I-102 | 1H-ЯМР (400 МГц, CDCl3) δ: 2,03 (3H, т, J=18,7 Гц), 2,27 (3H, с),2,41 (3H, с),7,18 (1H, дд, J=5,0, 7,3 Гц), 7,56 (1H, дд, J=5,0, 7,3 Гц), 7,62 (1H, дд, J=1,8, 7,3 Гц), 7,76 (1H, дд, J=0,5, 8,6 Гц), 8,17 (1H, дд, J=1,8, 5,0 Гц), 8,45 (1H, дд, J=0,5, 2,7 Гц). | ESI-MS m/z: 332 [M+H]+. | |
| I-103 | 1H-ЯМР (400 МГц, CDCl3) δ: 2,06 (3H, т, J=18,6 Гц), 2,39 (3H, с),6,76 (1H, с),7,22 (1H, дд, J=4,9, 7,7 Гц), 7,65 (1H, дд, J=2,6, 8,6 Гц), 7,75 (1H, дд, J=0,6, 8,7 Гц), 8,16 (1H, дд, J=1,9, 5,0 Гц), 8,39 (1H, дд, J=1,9, 7,7 Гц), 8,54-8,57 (1H, м). | ESI-MS m/z: 318 [M+H]+. | |
| I-104 | 1H-ЯМР (400 МГц, CDCl3) δ: 2,05 (3H, т, J=18,6 Гц), 2,38 (3H, с),7,23 (1H, дд, J=4,9, 7,8 Гц), 7,65 (1H, дд, J=2,6, 8,5 Гц), 7,70-7,75 (1H, м), 8,06 (1H, дд, J=1,9, 7,8 Гц), 8,26 (1H, дд, J=1,9, 4,9 Гц), 8,53-8,57 (1H, м). | ESI-MS m/z: 352, 354 [M+H]+. |
[0961]
[Таблица 14]
| соединение | структурная формула | ЯМР | MS |
| I-105 | 1H-ЯМР (400 МГц, CDCl3) δ: 1,79-1,83 (4H, м), 2,02 (3H, т, J=18,6 Гц), 3,17-3,20 (4H, м), 6,70 (1H, дд, J=4,9, 7,3 Гц), 7,14 (1H, дд, J=4,9, 7,4 Гц), 7,42 (1H, дд, J=1,9, 7,4 Гц), 7,56 (1H, дд, J=2,6, 8,6 Гц), 7,67 (1H, дд, J=0,6, 8,6 Гц), 7,71 (1H, дд, J=1,9, 7,4 Гц), 8,12 (1H, дд, J=1,9, 4,9 Гц), 8,22 (1H, дд, J=1,9, 4,8 Гц), 8,43 (1H, д, J=2,1 Гц). | ESI-MS m/z: 383 [M+H]+. | |
| I-106 | 1H-ЯМР (400 МГц, CDCl3) δ: 2,00 (3H, т, J=18,6 Гц), 7,05-7,10 (3H, м), 7,21 (1H, дд, J=5,0, 7,4 Гц), 7,48 (1H, дд, J=4,8, 7,6 Гц), 7,60 (1H, дд, J=0,5, 8,6 Гц), 7,72 (1H, т, J=1,0 Гц), 7,80 (1H, дд, J=1,9, 7,4 Гц), 7,89 (1H, дд, J=1,8, 7,6 Гц), 8,11 (1H, дд, J=0,5, 2,6 Гц), 8,17 (1H, дд, J=1,9, 4,9 Гц), 8,63 (1H, дд, J=1,8, 4,8 Гц). | ESI-MS m/z: 380 [M+H]+. | |
| I-107 | 1H-ЯМР (400 МГц, CDCl3) δ: 1,98 (3H, т, J=18,6 Гц), 6,37 (1H, дд, J=1,7, 2,6 Гц), 7,17-7,22 (2H, м), 7,40 (1H, дд, J=4,8, 7,6 Гц), 7,48-7,50 (1H, м), 7,55 (1H, дд, J=0,6, 8,6 Гц), 7,77 (1H, дд, J=1,9, 7,3 Гц), 7,84 (1H, дд, J=1,8, 7,6 Гц), 8,06-8,07 (1H, м), 8,11 (1H, дд, J=1,9, 5,0 Гц), 8,29 (1H, дд, J=0,7, 2,6 Гц), 8,55 (1H, дд, J=1,8, 4,8 Гц). | ESI-MS m/z: 380 [M+H]+. | |
| I-108 | 1H-ЯМР (400 МГц, CDCl3) δ: 2,00 (3H, т, J=18,6 Гц), 7,28 (1H, дд, J=4,9, 7,3 Гц), 7,46 (1H, д, J=4,4 Гц), 7,51 (1H, дд, J=2,7, 8,6 Гц), 7,54-7,59 (1H, м), 7,62-7,66 (1H, м), 7,70-7,74 (1H, м), 7,76 (1H, ддд, J=1,5, 7,8, 8,6 Гц), 7,81 (1H, дд, J=1,9, 7,3 Гц), 8,20-8,25 (1H, м), 8,31 (1H, дд, J=1,9, 4,9 Гц), 8,37-8,40 (1H, м), 9,03 (1H, д, J=4,4 Гц). | ESI-MS m/z: 364 [M+H]+. | |
| I-109 | 1H-ЯМР (400 МГц, CDCl3) δ: 1,92 (3H, т, J=18,6 Гц), 7,26-7,29 (1H, м), 7,51 (1H, дд, J=2,7, 8,6 Гц), 7,61-7,73 (4H, м), 7,84 (1H, дд, J=1,9, 7,4 Гц), 8,06-8,10 (1H, м), 8,29 (1H, дд, J=1,9, 5,0 Гц), 8,36-8,39 (1H, м), 8,57 (1H, уш с),9,20-9,53 (1H, м). | ESI-MS m/z: 364 [M+H]+. | |
| I-110 | 1H-ЯМР (400 МГц, CDCl3) δ: 2,05 (3H, т, J=18,8 Гц), 7,22-7,30 (2H, м), 7,57 (1H, дд, J=2,3, 8,7 Гц), 7,63 (1H, дд, J=0,9, 8,7 Гц), 7,83-7,91 (3H, м), 8,20 (1H, дд, J=2,3, 4,6 Гц), 8,42 (1H, дд, J=1,8, 5,0 Гц), 8,77 (1H, д, J=1,8 Гц), 8,85 (1H, д, J=1,8 Гц). | ESI-MS m/z: 365 [M+H]+. | |
| I-111 | 1H-ЯМР (400 МГц, CDCl3) δ: 2,01 (3H, т, J=18,8 Гц), 7,29 (1H, дд, J=5,0, 7,3 Гц), 7,57 (1H, дд, J=2,7, 8,7 Гц), 7,65 (1H, дд, J=0,6, 8,7 Гц), 7,91 (1H, дд, J=1,8, 7,3 Гц), 8,30 (1H, дд, J=1,8, 5,0 Гц), 8,43 (1H, дд, J=0,6, 2,7 Гц), 8,95 (1H, с),8,96 (1H, д, J=1,8 Гц), 8,97 (1H, д, J=1,8 Гц), 9,64 (1H, с). | ESI-MS m/z: 366 [M+H]+. | |
| I-112 | 1H-ЯМР (400 МГц, CDCl3) δ: 1,99 (3H, т, J=18,7 Гц), 7,29 (1H, дд, J=5,0, 7,3 Гц), 7,52 (1H, дд, J=2,7, 8,7 Гц), 7,56-7,63 (2H, м), 7,70-7,76 (2H, м), 7,83-7,87 (1H, м), 7,92 (1H, br д, J=8,3 Гц), 7,97 (1H, дд, J=2,0, 7,3 Гц), 8,31 (1H, дд, J=1,9, 5,0 Гц), 8,35-8,38 (1H, м), 8,65 (1H, д, J=5,8 Гц). | ESI-MS m/z: 364 [M+H]+. |
[0962]
[Таблица 15]
| соединение | структурная формула | ЯМР | MS |
| I-113 | 1H-ЯМР (400 МГц, CDCl3) δ: 2,03 (3H, т, J=18,6 Гц), 7,24 (1H, дд, J=2,0, 4,5 Гц), 7,50 (1H, т, J=7,9 Гц), 7,62-7,68 (4H, м), 8,08 (1H, дд, J=1,9, 7,4 Гц), 8,11 (1H, с),8,21 (1H, дд, J=1,9, 4,9 Гц), 8,51 (1H, д, J=1,8 Гц). | ESI-MS m/z: 354 [M+H]+. | |
| I-114 | 1H-ЯМР (400 МГц, CDCl3) δ: 2,04 (3H, т, J=18,6 Гц), 7,24 (1H, дд, J=2,6, 7,5 Гц), 7,50 (1H, т, J=7,8 Гц), 7,59-7,63 (2H, м), 7,69 (1H, д, J=8,6 Гц), 7,86 (1H, дд, J=1,1, 8,0 Гц), 7,98 (1H, дд, J=1,9, 7,4 Гц), 8,11 (1H, с),8,23 (1H, дд, J=1,9, 4,9 Гц), 8,51 (1H, д, J=2,0 Гц). | ESI-MS m/z: 354 [M+H]+. | |
| I-115 | 1H-ЯМР (400 МГц, CDCl3) δ: 2,01 (3H, т, J=18,6 Гц), 6,61 (1H, д, J=2,3 Гц), 6,91 (1H, дд, J=1,2, 6,9 Гц), 7,21-7,26 (2H, м), 7,62-7,66 (3H, м), 7,92 (1H, д, J=2,3 Гц), 8,01 (1H, дд, J=1,9, 7,4 Гц), 8,29 (1H, дд, J=1,9, 5,0 Гц), 8,46 (1H, с). | ESI-MS m/z: 353 [M+H]+. | |
| I-116 | 1H-ЯМР (400 МГц, CDCl3) δ: 2,02 (3H, т, J=18,3 Гц), 6,96 (1H, дд, J=1,2, 6,8 Гц), 7,25 (1H, дд, J=5,0, 7,3 Гц), 7,30 (1H, дд, J=6,9, 8,7 Гц), 7,60-7,66 (3H, м), 7,87 (1H, с),7,97 (1H, дд, J=1,8, 7,3 Гц), 8,28 (1H, дд, J=1,8, 5,0 Гц), 8,45 (1H, д, J=2,7 Гц). | ESI-MS m/z: 387, 389 [M+H]+. | |
| I-117 | 1H-ЯМР (400 МГц, CDCl3) δ: 2,48 (3H, д, J=1,8 Гц), 3,72 (3H, с),6,97 (1H, д, J=8,2 Гц), 7,07 (1H, дт, J=0,9, 7,3 Гц), 7,19 (1H, дд, J=5,0, 7,8 Гц), 7,32 (1H, дд, J=1,8, 7,3 Гц), 7,36-7,44 (2H, м), 7,75 (1H, дд, J=1,8, 7,3 Гц), 8,18 (1H, дд, J=1,8, 5,0 Гц), 8,30 (1H, д, J=2,3 Гц). | ESI-MS m/z: 361 [M+H]+. | |
| I-118 | 1H-ЯМР (400 МГц, CDCl3) δ: 2,49 (3H, д, J=1,8 Гц), 3,71 (3H, с),6,70 (1H, дд, J=2,3, 10,5 Гц), 6,77 (1H, дт, J=2,3, 8,2 Гц), 7,19 (1H, дд, J=5,0, 7,3 Гц), 7,26 (1H, т, J=7,3 Гц), 7,40 (1H, д, J=2,3 Гц), 7,71 (1H, дд, J=1,8, 7,3 Гц), 8,17 (1H, дд, J=2,3, 5,0 Гц), 8,30 (1H, д, J=2,3 Гц). | ESI-MS m/z: 379 [M+H]+. | |
| I-119 | 1H-ЯМР (400 МГц, CDCl3) δ: 2,51 (3H, с),3,86 (3H, с),7,21 (1H, дд, J=5,0, 7,3 Гц), 7,43 (1H, с),7,47 (1H, дд, J=2,7, 8,2 Гц), 7,78 (1H, дд, J=1,8, 7,8 Гц), 8,07 (1H, д, J=2,7 Гц), 8,20 (1H, дд, J=1,8, 5,0 Гц), 8,33 (1H, д, J=2,3 Гц). | ESI-MS m/z: 380 [M+H]+. | |
| I-120 | 1H-ЯМР (400 МГц, CDCl3) δ: 2,50 (3H, т, J=1,8 Гц), 3,73 (3H, с),6,68 (1H, т, J=54,5 Гц), 6,97 (1H, д, J=8,2 Гц), 7,06 (1H, дт, J=0,9, 7,3 Гц), 7,17 (1H, дд, J=4,6, 7,3 Гц), 7,32 (1H, дд, J=1,8, 7,3 Гц), 7,35 (1H, д, J=2,3 Гц), 7,39 (1H, ддд, J=1,8, 7,3, 8,2 Гц), 7,74 (1H, дд, J=1,8, 7,3 Гц), 8,17 (1H, дд, J=1,8, 5,0 Гц), 8,24 (1H, д, J=2,3 Гц). | ESI-MS m/z: 343 [M+H]+. |
[0963]
[Таблица 16]
| соединение | структурная формула | ЯМР | MS |
| I-121 | 1H-ЯМР (400 МГц, CDCl3) δ: 2,51 (3H, с),3,72 (3H, с),6,69 (1H, т, J=54,5 Гц), 6,70 (1H, дд, J=2,3, 11,0 Гц), 6,77 (1H, дт, J=2,8, 8,2 Гц), 7,17 (1H, дд, J=5,0, 7,3 Гц), 7,23-7,30 (1H, м), 7,35 (1H, д, J=2,3 Гц), 7,70 (1H, дд, J=1,8, 7,3 Гц), 8,17 (1H, дд, J=1,8, 5,0 Гц), 8,23 (1H, д, J=2,3 Гц). | ESI-MS m/z: 361 [M+H]+. | |
| I-122 | 1H-ЯМР (400 МГц, CDCl3) δ: 2,51 (3H, т, J=1,8 Гц), 3,71 (3H, с),6,69 (1H, т, J=54,5 Гц), 6,85-6,94 (1H, м), 7,02-7,12 (2H, м), 7,17 (1H, дд, J=5,0, 7,3 Гц), 7,36 (1H, д, J=2,3 Гц), 7,72 (1H, дд, J=1,8, 7,3 Гц), 8,18 (1H, дд, J=1,8, 5,0 Гц), 8,24 (1H, д, J=2,3 Гц). | ESI-MS m/z: 361 [M+H]+. | |
| I-123 | 1H-ЯМР (400 МГц, CDCl3) δ: 2,51 (3H, с),3,87 (3H, с),3,96 (3H, с),6,42 (1H, д, J=8,2 Гц), 6,69 (1H, т, J=54,5 Гц), 7,15 (1H, дд, J=4,6, 7,3 Гц), 7,36 (1H, д, J=2,3 Гц), 7,57 (1H, д, J=7,8 Гц), 7,75 (1H, дд, J=2,3, 7,8 Гц), 8,14 (1H, дд, J=1,8, 5,0 Гц), 8,25 (1H, д, J=2,3 Гц). | ESI-MS m/z: 374 [M+H]+. | |
| I-124 | 1H-ЯМР (400 МГц, CDCl3) δ: 1,31 (3H, т, J=7,6 Гц), 2,82 (2H, т, J=7,6 Гц), 3,78 (3H, с),6,97-6,99 (1H, м), 7,04-7,08 (1H, м), 7,10 (1H, дд, J=4,9, 7,3 Гц), 7,16 (1H, д, J=8,5 Гц), 7,34 (1H, дд, J=1,7, 7,5 Гц), 7,36-7,41 (2H, м), 7,70 (1H, дд, J=2,0, 7,3 Гц), 8,13 (1H, дд, J=2,0, 4,9 Гц), 8,34 (1H, д, J=2,5 Гц). | ESI-MS m/z: 307 [M+H]+. | |
| I-125 | 1H-ЯМР (400 МГц, CDCl3) δ: 1,31 (3H, т, J=7,6 Гц), 2,83 (2H, т, J=7,6 Гц), 3,28 (2H, т, J=8,7 Гц), 4,57 (2H, т, J=8,7 Гц), 6,94 (1H, дд, J=7,5, 7,5 Гц), 7,09 (1H, дд, J=4,9, 7,4 Гц), 7,17 (1H, д, J=8,4 Гц), 7,22-7,24 (1H, м), 7,29-7,31 (1H, м), 7,43 (1H, дд, J=2,8, 8,4 Гц), 7,84 (1H, дд, J=2,0, 7,4 Гц), 8,11 (1H, дд, J=2,0, 4,9 Гц), 8,39 (1H, д, J=2,6 Гц). | ESI-MS m/z: 319 [M+H]+. | |
| I-126 | 1H-ЯМР (400 МГц, CDCl3) δ: 1,31 (3H, т, J=7,6 Гц), 2,83 (2H, т, J=7,6 Гц), 3,93 (3H, с),7,00 (1H, дд, J=5,0, 7,3 Гц), 7,11 (1H, дд, J=4,9, 7,4 Гц), 7,18 (1H, д, J=8,4 Гц), 7,39 (1H, дд, J=2,8, 8,4 Гц), 7,67 (1H, дд, J=1,9, 7,3 Гц), 7,72 (1H, дд, J=1,9, 7,4 Гц), 8,15 (1H, дд, J=1,9, 4,9 Гц), 8,22 (1H, дд, J=1,9, 5,0 Гц), 8,34 (1H, д, J=2,8 Гц). | ESI-MS m/z: 308 [M+H]+. | |
| I-127 | 1H-ЯМР (400 МГц, CDCl3) δ: 1,31 (3H, т, J=7,6 Гц), 2,83 (2H, т, J=7,6 Гц), 3,85 (3H, с),6,91 (1H, д, J=5,9 Гц), 7,13 (1H, дд, J=5,0, 7,4 Гц), 7,18 (1H, д, J=8,4 Гц), 7,38 (1H, дд, J=2,8, 8,4 Гц), 7,70 (1H, дд, J=1,9, 7,4 Гц), 8,18 (1H, дд, J=1,9, 7,4 Гц), 8,33 (1H, д, J=2,8 Гц), 8,46 (1H, с),8,54 (1H, д, J=5,8 Гц). | ESI-MS m/z: 308 [M+H]+. | |
| I-128 | 1H-ЯМР (400 МГц, CDCl3) δ: 0,93-1,00 (4H, м), 2,00-2,06 (1H, м), 3,78 (3H, с),6,97-7,00 (1H, м), 7,03-7,12 (3H, м), 7,31-7,34 (2H, м), 7,36-7,40 (1H, м), 7,68 (1H, дд, J=1,9, 7,3 Гц), 8,12 (1H, дд, J=1,9, 4,9 Гц), 8,26 (1H, д, J=2,4 Гц). | ESI-MS m/z: 319 [M+H]+. |
[0964]
[Таблица 17]
| соединение | структурная формула | ЯМР | MS |
| I-129 | 1H-ЯМР (400 МГц, CDCl3) δ: 0,93-0,99 (4H, м), 2,00-2,06 (1H, м), 3,76 (3H, с),6,70 (1H, дд, J=2,4, 10,9 Гц), 6,73-6,78 (1H, м), 7,08 (1H, дд, J=4,9, 7,3 Гц), 7,11-7,13 (1H, м), 7,27-7,32 (2H, м), 7,65 (1H, дд, J=1,9, 7,3 Гц), 8,12 (1H, дд, J=1,9, 4,9 Гц), 8,24 (1H, д, J=2,6 Гц). | ESI-MS m/z: 337 [M+H]+. | |
| I-130 | 1H-ЯМР (400 МГц, CDCl3) δ: 0,94-0,99 (4H, м), 2,00-2,07 (1H, м), 3,93 (3H, с),7,00 (1H, дд, J=5,0, 7,3 Гц), 7,10 (1H, дд, J=4,9, 7,4 Гц), 7,12-7,14 (1H, м), 7,32 (1H, дд, J=2,7, 8,5 Гц), 7,67 (1H, дд, J=1,9, 7,3 Гц), 7,71 (1H, дд, J=2,0, 7,4 Гц), 8,14 (1H, дд, J=2,0, 4,9 Гц), 8,22 (1H, дд, J=1,9, 5,0 Гц), 8,26-8,27 (1H, м). | ESI-MS m/z: 320 [M+H]+. | |
| I-131 | 1H-ЯМР (400 МГц, CDCl3) δ: 0,98-1,09 (4H, м), 2,44-2,51 (1H, м), 3,92 (3H, с),7,00 (1H, дд, J=5,0, 7,3 Гц), 7,14 (1H, дд, J=4,9, 7,4 Гц), 7,44 (1H, д, J=2,4 Гц), 7,64 (1H, дд, J=1,9, 7,2 Гц), 7,72 (1H, дд, J=1,9, 7,4 Гц), 8,16 (1H, дд, J=1,9, 4,9 Гц), 8,18 (1H, д, J=2,4 Гц), 8,22 (1H, дд, J=1,9, 5,0 Гц). | ESI-MS m/z: 354, 356 [M+H]+. | |
| I-132 | 1H-ЯМР (400 МГц, CDCl3) δ: 0,98-1,09 (4H, м), 2,44-2,51 (1H, м), 3,84 (3H, с),6,90 (1H, д, J=5,8 Гц), 7,15 (1H, дд, J=4,9, 7,4 Гц), 7,44 (1H, д, J=2,4 Гц), 7,70 (1H, дд, J=2,0, 7,4 Гц), 8,16 (1H, д, J=2,4 Гц), 8,18 (1H, дд, J=2,0, 5,0 Гц), 8,44 (1H, с),8,54 (1H, д, J=5,8 Гц). | ESI-MS m/z: 354, 356 [M+H]+. | |
| I-133 | 1H-ЯМР (400 МГц, CDCl3) δ: 0,94-0,99 (4H, м), 2,01-2,07 (1H, м), 3,85 (3H, с),6,90 (1H, д, J=5,8 Гц), 7,10-7,14 (2H, м), 7,32 (1H, дд, J=2,7, 8,5 Гц), 7,69 (1H, дд, J=2,0, 7,4 Гц), 8,16 (1H, дд, J=2,0, 5,0 Гц), 8,25 (1H, д, J=2,7 Гц), 8,46 (1H, с),8,54 (1H, д, J=5,8 Гц). | ESI-MS m/z: 320 [M+H]+. | |
| I-134 | 1H-ЯМР (400 МГц, CDCl3) δ: 1,74-1,95 (4H, м), 2,76 (2H, т, J=6,4 Гц), 2,90 (2H, т, J=6,4 Гц), 3,78 (3H, с),6,98 (1H, д, J=8,2 Гц), 7,02-7,12 (2H, м), 7,14 (1H, д, J=2,3 Гц), 7,33 (1H, дд, J=1,8, 7,8 Гц), 7,37 (1H, ддд, J=1,8, 7,8, 8,2 Гц), 7,69 (1H, дд, J=1,8, 7,3 Гц), 8,14 (1H, дд, J=1,8, 5,0 Гц), 8,19 (1H, д, J=2,7 Гц). | ESI-MS m/z: 333 [M+H]+. | |
| I-135 | 1H-ЯМР (400 МГц, CDCl3) δ: 1,75-1,94 (4H, м), 2,78 (2H, т, J=6,4 Гц), 2,91 (2H, т, J=6,4 Гц), 3,93 (3H, с),7,00 (1H, дд, J=5,0, 7,3 Гц), 7,10 (1H, дд, J=5,0, 7,3 Гц), 7,15 (1H, д, J=2,7 Гц), 7,67 (1H, дд, J=1,8, 7,3 Гц), 7,72 (1H, дд, J=1,8, 7,3 Гц), 8,16 (1H, дд, J=1,8, 5,0 Гц), 8,19 (1H, д, J=2,7 Гц), 8,21 (1H, дд, J=1,8, 5,0 Гц). | ESI-MS m/z: 334 [M+H]+. | |
| I-136 | 1H-ЯМР (400 МГц, CDCl3) δ: 1,60-1,75 (4H, м), 1,80-1,92 (2H, м), 2,70-2,79 (2H, м), 2,97-3,07 (2H, м), 3,77 (3H, с),6,98 (1H, д, J=8,2 Гц), 7,05 (1H, дт, J=0,9, 7,3 Гц), 7,10 (1H, дд, J=5,0, 7,3 Гц), 7,17 (1H, д, J=2,3 Гц), 7,33 (1H, дд, J=1,8, 7,3 Гц), 7,38 (1H, ддд, J=1,8, 7,3, 8,2 Гц), 7,70 (1H, дд, J=2,3, 7,3 Гц), 8,11 (1H, д, J=2,3 Гц), 8,15 (1H, дд, J=2,3, 5,0 Гц). | ESI-MS m/z: 347 [M+H]+. |
[0965]
[Таблица 18]
| соединение | структурная формула | ЯМР | MS |
| I-137 | 1H-ЯМР (400 МГц, CDCl3) δ: 1,74-1,96 (4H, м), 2,78 (2H, т, J=6,0 Гц), 2,91 (2H, т, J=6,0 Гц), 3,28 (2H, т, J=8,7 Гц), 4,58 (2H, т, J=8,7 Гц), 6,94 (1H, т, J=7,3 Гц), 7,09 (1H, дд, J=4,6, 7,3 Гц), 7,19 (1H, д, J=2,3 Гц), 7,23 (1H, дд, J=1,4, 7,3 Гц), 7,31 (1H, д, J=7,8 Гц), 7,84 (1H, дд, J=1,8, 7,3 Гц), 8,12 (1H, дд, J=1,8, 5,0 Гц), 8,24 (1H, д, J=2,7 Гц). | ESI-MS m/z: 345 [M+H]+. | |
| I-138 | 1H-ЯМР (400 МГц, CDCl3) δ: 2,11-2,23 (2H, м), 2,90-3,03 (4H, м), 3,28 (2H, т, J=8,7 Гц), 4,58 (2H, т, J=8,7 Гц), 6,94 (1H, т, J=7,3 Гц), 7,09 (1H, дд, J=5,0, 7,3 Гц), 7,23 (1H, дд, J=0,9, 7,3 Гц), 7,29-7,35 (2H, м), 7,84 (1H, дд, J=1,8, 7,3 Гц), 8,11 (1H, дд, J=1,8, 5,0 Гц), 8,20 (1H, д, J=2,3 Гц). | ESI-MS m/z: 331 [M+H]+. | |
| I-139 | 1H-ЯМР (400 МГц, CDCl3) δ: 1,74-2,24 (7H, м), 2,69-2,94 (2H, м), 3,76 (3H, с),5,96 (1H, т, J=4,1 Гц), 6,97 (1H, д, J=8,2 Гц), 7,05 (1H, дт, J=0,9, 7,3 Гц), 7,13 (1H, дд, J=5,0, 7,3 Гц), 7,23 (1H, д, J=2,7 Гц), 7,32 (1H, дд, J=1,8, 7,8 Гц), 7,38 (1H, ддд, J=1,4, 7,3, 8,2 Гц), 7,72 (1H, дд, J=1,8, 7,3 Гц), 8,15 (1H, дд, J=1,8, 5,0 Гц), 8,31 (1H, д, J=2,7 Гц). | ESI-MS m/z: 391 [M+H]+. | |
| I-140 | 1H-ЯМР (400 МГц, CDCl3) δ: 1,71-1,88 (2H, м), 1,96-2,06 (1H, м), 2,20-2,34 (1H, м), 2,72-2,90 (2H, м), 3,70-3,83 (4H, м), 4,66-4,75 (1H, м), 6,98 (1H, д, J=8,2 Гц), 7,06 (1H, ддд, J=0,9, 7,3, 7,8 Гц), 7,12 (1H, дд, J=5,0, 7,3 Гц), 7,20 (1H, д, J=2,3 Гц), 7,33 (1H, дд, J=1,8, 7,3 Гц), 7,39 (1H, ддд, J=1,4, 7,8, 8,2 Гц), 7,71 (1H, дд, J=1,8, 7,3 Гц), 8,15 (1H, дд, J=1,8, 5,0 Гц), 8,24 (1H, д, J=2,3 Гц). | ESI-MS m/z: 349 [M+H]+. | |
| I-141 | 1H-ЯМР (400 МГц, CDCl3) δ: 2,19 (2H, квин, J=6,4 Гц), 2,78 (2H, т, J=6,0 Гц), 3,01 (2H, т, J=6,0 Гц), 3,69 (3H, с),6,96 (1H, д, J=8,2 Гц), 7,06 (1H, дт, J=0,9, 7,3 Гц), 7,21 (1H, дд, J=4,6, 7,3 Гц), 7,31 (1H, дд, J=1,4, 7,3 Гц), 7,36-7,43 (2H, м), 7,76 (1H, дд, J=1,8, 7,3 Гц), 8,19 (1H, дд, J=1,8, 5,0 Гц), 8,47 (1H, д, J=2,7 Гц). | ESI-MS m/z: 347 [M+H]+. | |
| I-142 | 1H-ЯМР (400 МГц, CDCl3) δ: 1,96-2,10 (2H, м), 2,28-2,48 (2H, м), 2,81-2,90 (2H, м), 3,74 (3H, с),6,97 (1H, д, J=8,2 Гц), 7,06 (1H, дт, J=0,9, 7,8 Гц), 7,17 (1H, дд, J=5,0, 7,3 Гц), 7,28 (1H, с),7,32 (1H, дд, J=1,8, 7,3 Гц), 7,39 (1H, ддд, J=1,8, 7,8, 8,2 Гц), 7,73 (1H, дд, J=1,8, 7,3 Гц), 8,16 (1H, дд, J=1,8, 5,0 Гц), 8,41 (1H, д, J=2,3 Гц). | ESI-MS m/z: 369 [M+H]+. | |
| I-143 | 1H-ЯМР (400 МГц, CDCl3) δ: 1,64-1,78 (1H, м), 1,82-2,10 (3H, м), 2,36 (6H, с),2,64-2,90 (2H, м), 3,76 (3H, с),3,85 (1H, дд, J=5,0, 8,2 Гц), 6,97 (1H, д, J=8,2 Гц), 7,05 (1H, дт, J=0,9, 7,3 Гц), 7,11 (1H, дд, J=5,0, 7,3 Гц), 7,16 (1H, д, J=2,7 Гц), 7,33 (1H, дд, J=1,4, 7,3 Гц), 7,37 (1H, дт, J=1,4, 7,3 Гц), 7,77 (1H, дд, J=2,3, 7,3 Гц), 8,15 (1H, дд, J=1,8, 5,0 Гц), 8,31 (1H, д, J=2,7 Гц). | ESI-MS m/z: 376 [M+H]+. | |
| I-144 | 1H-ЯМР (400 МГц, CDCl3) δ: 2,30-2,40 (2H, м), 2,85 (2H, т, J=8,2 Гц), 3,77 (3H, с),6,21-6,29 (1H, м), 6,58-6,66 (1H, м), 6,98 (1H, д, J=8,2 Гц), 7,06 (1H, дт, J=0,9, 7,3 Гц), 7,11 (1H, дд, J=5,0, 7,3 Гц), 7,19 (1H, д, J=1,8 Гц), 7,33 (1H, дд, J=1,4, 7,3 Гц), 7,39 (1H, ддд, J=1,8, 7,3, 8,2 Гц), 7,70 (1H, дд, J=2,3, 7,3 Гц), 8,13-8,30 (2H, м). | ESI-MS m/z: 331 [M+H]+. |
[0966]
[Таблица 19]
| соединение | структурная формула | ЯМР | MS |
| I-145 | 1H-ЯМР (400 МГц, CDCl3) δ: 3,45 (3H, с),3,72 (3H, с),4,07 (2H, т, J=13,3 Гц), 6,96 (1H, д, J=8,2 Гц), 7,06 (1H, т, J=7,4 Гц), 7,17 (1H, дд, J=4,5, 7,4 Гц), 7,31 (1H, дд, J=1,8, 7,4 Гц), 7,39 (1H, дт, J=1,8, 7,8 Гц), 7,55 (1H, дд, J=2,7, 8,7 Гц), 7,67 (1H, д, J=8,7 Гц), 7,74 (1H, дд, J=1,8, 7,3 Гц), 8,16 (1H, дд, J=2,4, 4,6 Гц), 8,45 (1H, д, J=2,3 Гц). | ESI-MS m/z: 373 [M+H]+. | |
| I-146 | 1H-ЯМР (400 МГц, CDCl3) δ: 2,50 (3H, с),3,40 (2H, т, J=14,7 Гц), 3,71 (3H, с),6,96 (1H, д, J=8,3 Гц), 7,04 (1H, дт, J=0,9, 7,3 Гц), 7,15 (1H, дд, J=4,6, 7,3 Гц), 7,31 (1H, дд, J=1,8, 7,3 Гц), 7,36-7,40 (1H, м), 7,55 (1H, дд, J=2,3, 8,3 Гц), 7,67 (1H, д, J=8,7 Гц), 7,73 (1H, дд, J=1,8, 7,3 Гц), 8,14 (1H, дд, J=1,8, 5,0 Гц), 8,44 (1H, д, J=2,3 Гц). | ESI-MS m/z: 372 [M+H]+. | |
| I-147 | 1H-ЯМР (400 МГц, CDCl3) δ: 2,35 (6H, т, J=7,3 Гц), 3,17 (2H, т, J=14,7 Гц), 3,72 (3H, с),6,96 (1H, д, J=8,3 Гц), 7,05 (1H, дт, J=0,9, 7,3 Гц), 7,17 (1H, дд, J=5,0, 7,3 Гц), 7,31 (1H, дд, J=1,8, 7,3 Гц), 7,40 (1H, дд, J=1,8, 7,3 Гц), 7,54 (1H, дд, J=2,7, 8,7 Гц), 7,67 (1H, д, J=8,7 Гц), 7,74 (1H, дд, J=1,8, 7,3 Гц), 8,15 (1H, дд, J=1,8, 5,0 Гц), 8,44 (1H, д, J=2,7 Гц). | ESI-MS m/z: 386 [M+H]+. | |
| I-148 | 1H-ЯМР (400 МГц, CDCl3) δ: 2,61 (4H, т, J=4,6 Гц), 3,21 (2H, т, J=14,7 Гц), 3,61 (4H, т, J=4,6 Гц), 3,71 (3H, с),6,97 (1H, д, J=8,2 Гц), 7,06 (1H, дт, J=0,9, 7,3 Гц), 7,17 (1H, дд, J=4,6, 7,3 Гц), 7,32 (1H, дд, J=1,8, 7,3 Гц), 7,39 (1H, дт, J=1,8, 7,8 Гц), 7,55 (1H, дд, J=2,8, 8,7 Гц), 7,64 (1H, д, J=8,7 Гц), 7,73 (1H, дд, J=2,3, 7,8 Гц), 8,16 (1H, дд, J=1,8, 5,0 Гц), 8,45 (1H, д, J=2,3 Гц). | ESI-MS m/z: 428 [M+H]+. | |
| I-149 | 1H-ЯМР (400 МГц, CDCl3) δ: 0,97 (3H, т, J=7,3 Гц), 2,38 (3H, с),2,55 (2H, кв, J=7,3 Гц), 3,20 (2H, т, J=14,6 Гц), 3,73 (3H, с),6,97 (1H, д, J=8,7 Гц), 7,06 (1H, дт, J=1,8, 7,3 Гц), 7,17 (1H, дд, J=5,0, 7,3 Гц), 7,32 (1H, дд, J=1,9, 7,3 Гц), 7,37-7,41 (1H, м), 7,53 (1H, дд, J=2,3, 8,7 Гц), 7,66 (1H, д, J=8,3 Гц), 7,73 (1H, дд, J=1,8, 7,3 Гц), 8,15 (1H, дд, J=1,8, 4,8 Гц), 8,44 (1H, д, J=2,7 Гц). | ESI-MS m/z: 400 [M+H]+. | |
| I-150 | 1H-ЯМР (400 МГц, CDCl3) δ: 2,65 (3H, с),3,37 (3H, с),3,55 (2H, т, J=13,7 Гц), 3,71 (3H, с),6,96 (1H, д, J=8,2 Гц), 7,05 (1H, дт, J=0,9, 7,3 Гц), 7,16 (1H, дд, J=4,6, 7,3 Гц), 7,32 (1H, дд, J=1,8, 7,3 Гц), 7,36-7,43 (1H, м), 7,55 (1H, дд, J=2,8, 8,7 Гц), 7,67 (1H, д, J=8,7 Гц), 7,73 (1H, дд, J=1,8, 7,3 Гц), 8,15 (1H, дд, J=1,8, 5,0 Гц), 8,45 (1H, д, J=2,3 Гц). | ESI-MS m/z: 402 [M+H]+. | |
| I-151 | 1H-ЯМР (400 МГц, CDCl3) δ: 2,12 (1,5H, с),2,13 (1,5H, с),2,99 (1,5H, с),3,17 (1,5H, с),3,71 (1,5H, с),3,72 (1,5H, с),4,12-4,22 (2H, м), 6,94-7,00 (1H, м), 7,04-7,08 (1H, м), 7,15-7,21 (1H, м), 7,29-7,33 (1H, м), 7,36-7,44 (1H, м), 7,53-7,60 (1H, м), 7,64-7,69 (1H, м), 7,72-7,78 (1H, м), 8,16 (1H, дд, J=1,8, 5,0 Гц), 8,44 (0,5H, д, J=2,3 Гц), 8,46 (0,5H, д, J=2,3 Гц). | ESI-MS m/z: 414 [M+H]+. | |
| I-152 | 1H-ЯМР (400 МГц, CDCl3) δ: 3,02 (3H, с),3,59 (1,5H, с),3,71 (1,5H, с),3,71 (1,5H, с),3,72 (1,5H, с),4,04-4,21 (2H, м), 6,97 (1H, д, J=8,2 Гц), 7,05 (1H, дт, J=0,9, 7,3 Гц), 7,16 (1H, дд, J=5,0, 7,3 Гц), 7,31 (1H, дд, J=1,8, 8,3 Гц), 7,39 (1H, дт, J=1,8, 8,3 Гц), 7,55 (1H, д, J=2,7, 8,7 Гц), 7,60-7,67 (1H, м), 7,73 (1H, дд, J=1,8, 7,3 Гц), 8,13 (1H, д, J=5,1 Гц), 8,45 (1H, br с). | ESI-MS m/z: 430 [M+H]+. |
[0967]
[Таблица 20]
| соединение | структурная формула | ЯМР | MS |
| I-153 | 1H-ЯМР (400 МГц, CDCl3) δ: 2,03 (3H, с),3,70 (3H, с),4,91 (2H, т, J=13,7 Гц), 6,97 (1H, д, J=8,3 Гц), 7,06 (1H, дт, J=0,9, 7,3 Гц), 7,18 (1H, дд, J=5,0, 7,3 Гц), 7,25 (1H, с),7,31 (1H, с),7,32 (1H, дд, J=1,8, 7,3 Гц), 7,39 (1H, дт, J=1,9, 7,3 Гц), 7,52 (1H, дд, J=2,8, 8,7 Гц), 7,57 (1H, дд, J=1,9, 8,7 Гц), 7,74 (1H, дд, J=1,8, 7,4 Гц), 8,16 (1H, дд, J=1,8, 5,0 Гц), 8,48 (1H, д, J=2,3 Гц). | ESI-MS m/z: 423 [M+H]+. | |
| I-154 | 1H-ЯМР (400 МГц, CDCl3) δ: 3,71 (3H, с),3,76 (1H, т, J=6,9 Гц), 4,16 (2H, м), 6,69 (1H, дд, J=2,3, 10,9 Гц), 6,75 (1H, дт, J=2,3, 8,3 Гц), 7,16 (1H, дд, J=5,0, 7,3 Гц), 7,25 (1H, дд, J=6,9, 8,3 Гц), 7,58 (1H, дд, J=2,7, 8,7 Гц), 7,68-7,72 (2H, м), 8,13 (1H, дд, J=1,8, 5,1 Гц), 8,38 (1H, д, J=2,3 Гц). | ESI-MS m/z: 377 [M+H]+. | |
| I-155 | 1H-ЯМР (400 МГц, CDCl3) δ: 1,17 (3H, т, J=7,3 Гц), 3,62 (2H, кв, J=7,3 Гц), 3,71 (3H, с),4,10 (2H, т, J=13,3 Гц), 6,69 (1H, дд, J=2,3, 10,5 Гц), 6,76 (1H, дт, J=2,3, 8,3 Гц), 7,17 (1H, дд, J=5,0, 7,3 Гц), 7,26 (1H, дд, J=6,8, 8,3 Гц), 7,54 (1H, дд, J=2,8, 8,7 Гц), 7,68 (1H, д, J=8,3 Гц), 7,69 (1H, дд, J=1,8, 7,3 Гц), 8,16 (1H, дд, J=1,8, 5,0 Гц), 8,44 (1H, д, J=2,3 Гц). | ESI-MS m/z: 405 [M+H]+. | |
| I-156 | 1H-ЯМР (400 МГц, CDCl3) δ: 3,69 (3H, с),5,11 (2H, т, J=12,3 Гц), 6,69 (1H, дд, J=2,3, 10,9 Гц), 6,76 (1H, дт, J=2,3, 8,3 Гц), 7,19 (1H, дд, J=5,1, 7,3 Гц), 7,24-7,28 (1H, м), 7,61 (1H, дд, J=2,3, 8,7 Гц), 7,71 (1H, дд, J=1,8, 7,3 Гц), 7,74 (1H, д, J=8,7 Гц), 8,17 (1H, дд, J=1,8, 5,0 Гц), 8,42 (1H, д, J=2,3 Гц). | - | |
| I-157 | 1H-ЯМР (400 МГц, CDCl3) δ: 3,62 (3H, с),4,94 (2H, т, J=13,3 Гц), 6,18 (1H, т, J=2,3 Гц), 6,62 (1H, дд, J=2,3, 11,0 Гц), 6,70 (1H, дт, J=2,3, 8,2 Гц), 7,11 (1H, дд, J=4,6, 7,3 Гц), 7,19 (1H, дд, J=6,4, 8,2 Гц), 7,37-7,53 (4H, м), 7,64 (1H, дд, J=2,3, 7,4 Гц), 8,10 (1H, дд, J=1,8, 5,0 Гц), 8,41 (1H, д, J=2,3 Гц). | ESI-MS m/z: 427 [M+H]+. | |
| I-158 | 1H-ЯМР (400 МГц, CDCl3) δ: 3,62 (3H, с),4,73 (2H, т, J=13,3 Гц), 6,63 (1H, дд, J=2,3, 11,0 Гц), 6,69 (1H, дт, J=2,3, 8,3 Гц),6,84 (1H, уш с),6,90-6,92 (1H, м), 7,11 (1H, дд, J=5,0, 7,3 Гц), 7,17-7,20 (1H, м), 7,45-7,51 (2H, м), 7,63 (1H, дд, J=2,3, 7,3 Гц), 7,91 (1H, уш с),8,09 (1H, дд, J=1,8, 5,0 Гц), 8,40 (1H, д, J=2,3 Гц). | ESI-MS m/z: 427 [M+H]+. | |
| I-159 | 1H-ЯМР (400 МГц, CDCl3) δ: 3,34 (3H, с),3,49-3,53 (2H, м), 3,71 (3H, с),3,71-3,76 (2H, м), 4,18 (2H, т, J=13,3 Гц), 6,69 (1H, дд, J=2,3, 10,5 Гц), 6,76 (1H, дт, J=2,3, 8,3 Гц), 7,16 (1H, дд, J=5,0, 7,3 Гц), 7,24-7,29 (1H, м), 7,54 (1H, дд, J=2,7, 8,7 Гц), 7,68 (1H, д, J=8,2 Гц), 7,70 (1H, дд, J=2,3, 7,4 Гц), 8,16 (1H, дд, J=1,8, 5,0 Гц), 8,44 (1H, д, J=2,3 Гц). | ESI-MS m/z: 435 [M+H]+. | |
| I-160 | 1H-ЯМР (400 МГц, CDCl3) δ: 2,47 (1H, т, J=2,3 Гц), 3,71 (3H, с),4,22 (2H, т, J=13,3 Гц), 4,26 (2H, д, J=2,3 Гц), 6,96 (1H, д, J=8,3 Гц), 7,06 (1H, дт, J=0,9, 7,3 Гц), 7,18 (1H, дд, J=5,0, 8,3 Гц), 7,32 (1H, дд, J=1,8, 7,3 Гц), 7,39 (1H, дт, J=1,8, 8,2 Гц), 7,56 (1H, дд, J=2,7, 8,7 Гц), 7,68 (1H, д, J=8,3 Гц), 7,74 (1H, дд, J=1,8, 7,3 Гц), 8,16 (1H, дд, J=1,8, 5,0 Гц), 8,45 (1H, д, J=2,3 Гц). | ESI-MS m/z: 397 [M+H]+. |
[0968]
[Таблица 21]
| соединение | структурная формула | ЯМР | MS |
| I-161 | 1H-ЯМР (400 МГц, CDCl3) δ: 3,44 (3H, с),3,71 (3H, с),4,07 (2H, т, J=13,3 Гц), 6,69 (1H, дд, J=2,3, 10,5 Гц), 6,76 (1H, дт, J=2,3, 8,3 Гц), 7,17 (1H, дд, J=5,0, 7,3 Гц), 7,26 (1H, дд, J=6,2, 8,7 Гц), 7,54 (1H, дд, J=2,7, 8,7 Гц), 7,68 (1H, д, J=7,3 Гц), 7,70 (1H, дд, J=1,8, 5,3 Гц), 8,16 (1H, дд, J=1,8, 4,6 Гц), 8,44 (1H, д, J=2,3 Гц). | ESI-MS m/z: 391 [M+H]+. | |
| I-162 | 1H-ЯМР (400 МГц, CDCl3) δ: 3,44 (3H, с),3,69 (3H, с),4,09 (2H, т, J=13,3 Гц), 6,88 (1H, дд, J=4,6, 8,6 Гц), 7,05-7,13 (2H, м), 7,17 (1H, дд, J=4,6, 7,3 Гц), 7,56 (1H, дд, J=1,8, 8,7 Гц), 7,69 (1H, д, J=8,7 Гц), 7,72 (1H, дд, J=1,8, 7,3 Гц), 8,16 (1H, дд, J=1,8, 5,1 Гц), 8,46 (1H, д, J=2,3 Гц). | ESI-MS m/z: 391 [M+H]+. | |
| I-163 | 1H-ЯМР (400 МГц, CDCl3) δ: 3,45 (3H, с),3,71 (3H, с),4,08 (2H, т, J=13,3 Гц), 6,89 (1H, д, J=8,7 Гц), 7,18 (1H, дд, J=4,6, 7,3 Гц), 7,30 (1H, д, J=2,7 Гц), 7,34 (1H, дд, J=2,7, 8,7 Гц), 7,57 (1H, дд, J=2,7, 8,7 Гц), 7,67-7,74 (2H, м), 8,17 (1H, дд, J=2,3, 5,0 Гц), 8,46 (1H, д, J=2,3 Гц). | ESI-MS m/z: 407, 409 [M+H]+. | |
| I-164 | 1H-ЯМР (400 МГц, CDCl3) δ: 3,33 (1H, т, J=6,9 Гц), 3,91 (3H, с),4,20-4,29 (2H, м), 6,95-7,03 (2H, м), 7,20 (1H, дд, J=5,0, 7,3 Гц), 7,64 (1H, дд, J=2,7, 8,7 Гц), 7,75-7,78 (2H, м), 8,19 (1H, дд, J=1,8, 5,0 Гц), 8,44 (1H, д, J=2,7 Гц). | - | |
| I-165 | 1H-ЯМР (400 МГц, CDCl3) δ: 3,45 (3H, с),3,90 (3H, с),4,08 (2H, т, J=13,3 Гц), 6,94-7,05 (2H, м), 7,19 (1H, дд, J=4,6, 7,3 Гц), 7,60 (1H, дд, J=2,7, 8,7 Гц), 7,71 (1H, д, J=8,7 Гц), 7,76 (1H, дд, J=1,8, 7,3 Гц), 8,19 (1H, дд, J=1,8, 5,0 Гц), 8,49 (1H, д, J=2,7 Гц). | ESI-MS m/z: 409 [M+H]+. | |
| I-166 | 1H-ЯМР (400 МГц, CDCl3) δ: 3,26 (2H, т, J=8,7 Гц), 3,42 (3H, с),4,09 (2H, т, J=13,3 Гц), 4,52 (2H, т, J=8,7 Гц), 6,94 (1H, т, J=7,3 Гц), 7,16 (1H, дд, J=5,0, 7,3 Гц), 7,21-7,30 (2H, м), 7,60 (1H, дд, J=2,3, 8,7 Гц), 7,69 (1H, д, J=8,7 Гц), 7,87 (1H, дд, J=1,8, 7,3 Гц), 8,15 (1H, дд, J=1,8, 5,0 Гц), 8,50 (1H, д, J=2,3 Гц). | ESI-MS m/z: 385 [M+H]+. | |
| I-167 | 1H-ЯМР (400 МГц, CDCl3) δ: 3,43 (3H, с),4,05 (2H, т, J=13,3 Гц), 6,61 (1H, д, J=2,3 Гц), 6,91 (1H, дд, J=0,9, 6,7 Гц), 7,19-7,28 (2H, м), 7,60-7,71 (3H, м), 7,91 (1H, д, J=2,3 Гц), 8,01 (1H, дд, J=1,8, 7,3 Гц), 8,28 (1H, дд, J=1,8, 5,1 Гц), 8,48 (1H, д, J=2,3 Гц). | ESI-MS m/z: 383 [M+H]+. | |
| I-168 | 1H-ЯМР (400 МГц, CDCl3) δ: 3,43 (3H, с),4,05 (2H, т, J=13,3 Гц), 7,26 (1H, дд, J=5,0, 7,3 Гц), 7,58 (1H, дд, J=2,3, 8,7 Гц), 7,67 (1H, д, J=8,7 Гц), 7,84-7,90 (2H, м), 8,20 (1H, дд, J=2,3, 7,8 Гц), 8,27 (1H, дд, J=1,8, 5,0 Гц), 8,44 (1H, д, J=2,7 Гц), 8,69 (1H, д, J=1,8 Гц), 8,76 (1H, д, J=1,4 Гц), 8,85 (1H, д, J=1,8 Гц). | ESI-MS m/z: 395 [M+H]+. |
[0969]
[Таблица 22]
| соединение | структурная формула | ЯМР | MS |
| I-169 | 1H-ЯМР (400 МГц, CDCl3) δ: 3,43 (3H, с),4,04 (2H, т, J=13,3 Гц), 7,24-7,28 (1H, м), 7,40 (1H, дд, J=4,1, 8,2 Гц), 7,60-7,67 (3H, м), 7,80 (1H, дд, J=1,4, 6,7 Гц), 7,88-7,92 (2H, м), 8,20 (1H, дд, J=1,8, 8,2 Гц), 8,25 (1H, дд, J=1,8, 5,0 Гц), 8,44 (1H, д, J=1,8 Гц), 8,83 (1H, д, J=1,8, 4,1 Гц). | ESI-MS m/z: 394 [M+H]+. | |
| I-170 | 1H-ЯМР (400 МГц, CDCl3) δ: 3,43 (3H, с),4,05 (2H, т, J=13,3 Гц), 7,28 (1H, дд, J=5,0, 7,3 Гц), 7,58 (1H, дд, J=2,7, 8,7 Гц), 7,65-7,74 (2H, м), 7,88 (1H, дд, J=1,8, 7,3 Гц), 8,22 (1H, дд, J=5,5, 9,2 Гц), 8,29 (1H, дд, J=1,8, 5,0 Гц), 8,44 (1H, д, J=2,3 Гц), 8,80 (1H, д, J=1,8 Гц), 8,85 (1H, д, J=1,8 Гц). | ESI-MS m/z: 413 [M+H]+. | |
| I-171 | 1H-ЯМР (400 МГц, CDCl3) δ: 3,81 (3H, с),5,35 (2H, с),6,82 (1H, д, J=9,2 Гц), 7,00 (1H, д, J=5,0 Гц), 7,04-7,09 (2H, м), 7,30-7,47 (8H, м), 7,68 (1H, дд, J=1,8, 6,9 Гц), 7,99 (1H, д, J=2,7 Гц), 8,12 (1H, дд, J=1,8, 4,6 Гц). | ESI-MS m/z: 385 [M+H]+. | |
| I-172 | 1H-ЯМР (400 МГц, CDCl3) δ: 3,80 (3H, с),6,58 (1H, д, J=10,1 Гц), 7,00 (1H, д, J=8,3 Гц), 7,04-7,11 (2H, м), 7,25 (1H, д, J=2,7 Гц), 7,36-7,42 (2H, м), 7,67 (1H, дд, J=2,3, 7,3 Гц), 8,13 (1H, дд, J=1,8, 5,0 Гц). | ESI-MS m/z: 295 [M+H]+. | |
| I-173 | 1H-ЯМР (400 МГц, CDCl3) δ: 3,08 (2H, т, J=6,9 Гц), 3,80 (3H, с),4,49 (2H, т, J=7,3 Гц), 6,73 (1H, д, J=9,2 Гц), 6,99 (1H, д, J=8,2 Гц), 7,04-7,08 (2H, м), 7,21-7,24 (1H, м), 7,28-7,41 (7H, м), 7,67 (1H, дд, J=1,8, 7,3 Гц), 7,95 (1H, д, J=2,7 Гц), 8,11 (1H, дд, J=2,3, 5,0 Гц). | ESI-MS m/z: 399 [M+H]+. | |
| I-174 | 1H-ЯМР (400 МГц, CDCl3) δ: 3,80 (3H, с),5,38 (2H, с),6,81 (1H, д, J=8,4 Гц), 7,00 (1H, д, J=8,4 Гц), 7,04-7,10 (2H, м), 7,33-7,44 (4H, м), 7,69 (1H, дд, J=1,9, 7,3 Гц), 7,79 (1H, д, J=7,4 Гц), 7,98 (1H, д, J=2,4 Гц), 8,12 (1H, дд, J=1,9, 5,0 Гц), 8,56 (1H, с),8,71 (1H, с). | ESI-MS m/z: 386 [M+H]+. | |
| I-175 | 1H-ЯМР (400 МГц, CDCl3) δ: 3,76 (3H, с),5,20 (2H, с),6,95-7,00 (3H, м), 7,06 (1H, т, J=7,3 Гц), 7,13 (1H, дд, J=4,6, 7,3 Гц), 7,28-7,55 (7H, м), 7,72 (1H, дд, J=2,3, 7,3 Гц), 8,15 (1H, дд, J=2,3, 5,0 Гц), 8,42 (1H, д, J=2,3 Гц). | ESI-MS m/z: 385 [M+H]+. | |
| I-176 | 1H-ЯМР (400 МГц, CDCl3) δ: 3,95 (3H, с),5,36 (2H, с),6,84 (1H, д, J=8,7 Гц), 7,01 (1H, т, J=6,1 Гц), 7,10 (1H, т, J=6,2 Гц), 7,30-7,47 (6H, м), 7,67-7,72 (2H, м), 8,00 (1H, д, J=2,8 Гц), 8,15 (1H, дд, J=1,9, 5,1 Гц), 8,23 (1H, дд, J=1,8, 5,0 Гц). | ESI-MS m/z: 386 [M+H]+. |
[0970]
[Таблица 23]
| соединение | структурная формула | ЯМР | MS |
| I-177 | 1H-ЯМР (400 МГц, CDCl3) δ: 3,87 (3H, с),5,36 (2H, с),6,83 (1H, д, J=8,8 Гц), 6,92 (1H, д, J=5,8 Гц), 7,11 (1H, т, J=6,1 Гц), 7,30-7,52 (6H, м), 7,68 (1H, дд, J=2,7, 7,4 Гц), 7,98 (1H, д, J=2,8 Гц), 8,17 (1H, дд, J=1,6, 4,9 Гц), 8,47 (1H, с),8,54 (1H, д, J=5,6 Гц). | ESI-MS m/z: 386 [M+H]+. | |
| I-178 | 1H-ЯМР (400 МГц, CDCl3) δ: 3,72 (3H, с),6,98 (1H, д, J=8,2 Гц), 7,09 (1H, дт, J=0,9, 7,3 Гц), 7,20-7,29 (1H, м), 7,32 (1H, дд, J=1,8, 7,3 Гц), 7,42 (1H, дт, J=1,8, 8,2 Гц), 7,78 (1H, дд, J=1,8, 7,3 Гц), 8,17 (1H, дд, J=1,8, 4,6 Гц), 8,72 (2H, с). | ESI-MS m/z: 348 [M+H]+. | |
| I-179 | 1H-ЯМР (400 МГц, CDCl3) δ: 3,72 (3H, с),6,71 (1H, дд, J=2,3, 10,5 Гц), 6,79 (1H, дт, J=2,3, 8,2 Гц), 7,22-7,31 (2H, м), 7,75 (1H, дд, J=1,8, 7,3 Гц), 8,17 (1H, дд, J=1,8, 4,6 Гц), 8,73 (2H, с). | ESI-MS m/z: 366 [M+H]+. | |
| I-180 | 1H-ЯМР (400 МГц, CDCl3) δ: 3,87 (3H, с),7,23-7,29 (1H, м), 7,64 (1H, д, J=2,7 Гц), 7,78 (1H, дд, J=1,8, 7,3 Гц), 8,16-8,23 (2H, м), 8,76 (2H, с). | ESI-MS m/z: 383, 385 [M+H]+. | |
| I-181 | 1H-ЯМР (400 МГц, CDCl3) δ: 3,70 (3H, с),6,98 (1H, д, J=8,2 Гц), 7,08 (1H, дт, J=0,9, 7,3 Гц), 7,23-7,29 (1H, м), 7,32 (1H, дд, J=1,8, 7,3 Гц), 7,42 (1H, дт, J=1,8, 8,2 Гц), 7,78 (1H, дд, J=1,8, 7,3 Гц), 8,18 (1H, дд, J=1,8, 4,6 Гц), 8,75 (2H, с). | ESI-MS m/z: 398 [M+H]+. | |
| I-182 | 1H-ЯМР (400 МГц, CDCl3) δ: 0,93 (3H, т, J=7,3 Гц), 1,53-1,69 (2H, м), 3,14 (3H, с),3,56 (2H, т, J=7,8 Гц), 3,83 (3H, с),7,00 (1H, д, J=8,2 Гц), 7,05-7,08 (2H, м), 7,34 (1H, дд, J=1,8, 7,8 Гц), 7,38-7,42 (1H, м), 7,66 (1H, дд, J=1,8, 7,3 Гц), 8,10 (1H, дд, J=1,8, 4,6 Гц), 8,18 (2H, с). | ESI-MS m/z: 351 [M+H]+. | |
| I-183 | 1H-ЯМР (400 МГц, CDCl3) δ: 0,93 (3H, т, J=7,3 Гц), 1,59-1,60 (2H, м), 3,14 (3H, с),3,57 (2H, т, J=7,3 Гц), 3,97 (3H, с),7,00-7,03 (1H, м), 7,06-7,09 (1H, м), 7,66-7,69 (2H, м), 8,12 (1H, дд, J=1,8, 5,0 Гц), 8,18 (2H, с),8,23 (1H, дд, J=1,8, 5,0 Гц). | ESI-MS m/z: 352 [M+H]+. | |
| I-184 | 1H-ЯМР (400 МГц, CDCl3) δ: 1,18 (3H, т, J=6,8 Гц), 3,13 (3H, с),3,67 (2H, кв, J=6,8 Гц), 3,81 (3H, с),6,71-6,79 (2H, м), 7,04-7,08 (1H, м), 7,26-7,30 (1H, м), 7,62 (1H, дд, J=1,8, 7,3 Гц), 8,10 (1H, дд, J=1,8, 5,0 Гц), 8,17 (2H, с). | ESI-MS m/z: 355 [M+H]+. |
[0971]
[Таблица 24]
| соединение | структурная формула | ЯМР | MS |
| I-185 | 1H-ЯМР (400 МГц, CDCl3) δ: 3,19 (6H, с),3,81 (3H, с),6,71-6,80 (2H, м), 7,04-7,07 (1H, м), 7,28-7,30 (1H, м), 7,62 (1H, дд, J=1,8, 7,3 Гц), 8,10 (1H, дд, J=1,8, 5,0 Гц), 8,18 (2H, с). | ESI-MS m/z: 341 [M+H]+. | |
| I-186 | 1H-ЯМР (400 МГц, CDCl3) δ: 1,06 (3H, т, J=7,3 Гц), 1,78 (2H, секст, J=7,3 Гц), 3,13 (2H, т, J=7,3 Гц), 3,77 (3H, с),6,70-6,80 (2H, м), 7,14 (1H, дд, J=5,0, 7,3 Гц), 7,27 (1H, дд, J=6,4, 8,2 Гц), 7,67 (1H, дд, J=1,8, 7,3 Гц), 8,12 (1H, дд, J=1,8, 5,0 Гц), 8,39 (2H, с). | ESI-MS m/z: 372 [M+H]+. | |
| I-187 | 1H-ЯМР (400 МГц, CDCl3) δ: 1,44 (3H, т, J=6,9 Гц), 3,79 (3H, с),4,41 (2H, кв, J=6,9 Гц), 6,71-6,80 (2H, м), 7,10-7,14 (1H, м), 7,28-7,30 (1H, м), 7,66 (1H, дд, J=1,8, 7,3 Гц), 8,10 (1H, дд, J=1,8, 5,0 Гц), 8,35 (2H, с). | ESI-MS m/z: 342 [M+H]+. | |
| I-188 | 1H-ЯМР (400 МГц, CDCl3) δ: 3,21 (3H, с),3,36 (3H, с),3,61 (2H, т, J=6,0 Гц), 3,80-3,82 (5H, м), 6,71-6,79 (2H, м), 7,06 (1H, дд, J=5,0, 7,3 Гц), 7,28 (1H, дд, J=6,7, 8,7 Гц), 7,62 (1H, дд, J=1,8, 7,3 Гц), 8,10 (1H, дд, J=1,8, 5,0 Гц), 8,17 (2H, с). | ESI-MS m/z: 385 [M+H]+. | |
| I-189 | 1H-ЯМР (400 МГц, CDCl3) δ: 3,28 (3H, с),3,81 (3H, с),4,59 (2H, с),6,72-6,80 (2H, м), 7,10 (1H, дд, J=5,0, 7,3 Гц), 7,28 (1H, дд, J=6,4, 8,2 Гц), 7,65 (1H, дд, J=1,8, 7,3 Гц), 8,10 (1H, дд, J=1,8, 5,0 Гц), 8,23 (2H, с). | ESI-MS m/z: 366 [M+H]+. | |
| I-190 | 1H-ЯМР (400 МГц, CDCl3) δ: 3,80 (3H, с),4,93 (2H, уш с),6,72-6,79 (2H, м), 7,07-7,10 (1H, м), 7,26-7,29 (1H, м), 7,64 (1H, д, J=7,3 Гц), 8,10 (1H, д, J=4,8 Гц), 8,16 (2H, с). | ESI-MS m/z: 313 [M+H]+. | |
| I-191 | 1H-ЯМР (400 МГц, CDCl3) δ: 3,73 (3H, с),6,71 (1H, дд, J=2,3, 11,0 Гц), 6,75-6,81 (1H, м), 7,20 (1H, дд, J=4,6, 7,3 Гц), 7,25 (1H, дд, J=6,4, 8,3 Гц), 7,70 (1H, дд, J=1,8, 7,3 Гц), 8,13 (1H, дд, J=1,8, 5,0 Гц), 8,36 (2H, с). | ESI-MS m/z: 424 [M+H]+. | |
| I-192 | 1H-ЯМР (400 МГц, CDCl3) δ: 3,25 (3H, с),3,74 (3H, с),3,80 (3H, с),4,38 (2H, с),6,71-6,79 (2H, м), 7,07 (1H, дд, J=5,0, 7,3 Гц), 7,26-7,29 (1H, м), 7,62 (1H, дд, J=1,8, 7,3 Гц), 8,09 (1H, дд, J=1,8, 5,0 Гц), 8,19 (2H, с). | ESI-MS m/z: 399 [M+H]+. |
[0972]
[Таблица 25]
| соединение | структурная формула | ЯМР | MS |
| I-193 | 1H-ЯМР (400 МГц, CDCl3) δ: 3,23 (3H, с),3,81 (3H, с),4,80 (2H, с),6,72 (1H, дд, J=2,3, 11,0 Гц), 6,77 (1H, дт, J=2,3, 8,2 Гц), 7,06 (1H, дд, J=5,0, 7,3 Гц), 7,28 (1H, дд, J=6,9, 8,2 Гц), 7,57 (1H, с),7,62 (1H, дд, J=1,8, 7,3 Гц), 7,84 (1H, с),8,09 (1H, дд, J=1,8, 5,0 Гц), 8,20 (2H, с). | ESI-MS m/z: 408 [M+H]+. | |
| I-194 | 1H-ЯМР (400 МГц, CDCl3) δ: 3,26 (3H, с),3,81 (3H, с),5,16 (2H, с),6,74 (1H, дд, J=2,3, 11,0 Гц), 6,77 (1H, дт, J=2,3, 8,2 Гц), 7,08 (1H, дд, J=5,0, 7,3 Гц), 7,25 (1H, д, J=3,2 Гц), 7,28 (1H, дд, J=6,9, 8,2 Гц), 7,63 (1H, дд, J=1,8, 7,3 Гц), 7,73 (1H, д, J=3,2 Гц), 8,11 (1H, дд, J=1,8, 5,0 Гц), 8,24 (2H, с). | ESI-MS m/z: 424 [M+H]+. | |
| I-195 | 1H-ЯМР (400 МГц, CDCl3) δ: 1,24 (3H, т, J=7,3 Гц), 2,88 (2H, т, J=7,3 Гц), 3,31 (2H, т, J=7,3 Гц), 3,76 (3H, с),4,15 (2H, кв, J=7,3 Гц), 6,71 (1H, дд, J=2,3, 11,0 Гц), 6,77 (1H, дт, J=2,3, 8,2 Гц), 7,15 (1H, дд, J=5,0, 7,3 Гц), 7,27 (1H, дд, J=6,9, 8,2 Гц), 7,68 (1H, дд, J=1,8, 7,3 Гц), 8,12 (1H, дд, J=1,8, 5,0 Гц), 8,50 (2H, с). | ESI-MS m/z: 398 [M+H]+. | |
| I-196 | 1H-ЯМР (400 МГц, CDCl3) δ: 1,27 (3H, т, J=7,3 Гц), 3,78 (3H, с),4,23 (2H, кв, J=7,3 Гц), 4,92 (2H, с),6,72 (1H, дд, J=2,3, 11,0 Гц), 6,77 (1H, дт, J=2,3, 8,2 Гц), 7,12 (1H, дд, J=5,0, 7,3 Гц), 7,27 (1H, дд, J=6,9, 8,2 Гц), 7,66 (1H, дд, J=1,8, 7,3 Гц), 8,10 (1H, дд, J=1,8, 5,0 Гц), 8,35 (2H, с). | ESI-MS m/z: 400 [M+H]+. | |
| I-197 | 1H-ЯМР (400 МГц, CDCl3) δ: 3,74 (3H, с),3,93 (3H, с),6,72 (1H, д, J=11,0 Гц), 6,75-6,81 (1H, м), 7,25-7,29 (1H, м), 7,27 (1H, т, J=6,9 Гц), 7,67 (1H, с),7,71 (1H, д, J=7,3 Гц), 7,75 (1H, с),8,15-8,16 (1H, м), 8,56 (2H, с). | ESI-MS m/z: 402 [M+H]+. | |
| I-198 | 1H-ЯМР (400 МГц, CDCl3) δ: 2,99-3,03 (2H, м), 3,20-3,23 (2H, м), 3,76 (3H, с),3,84 (3H, с),6,72 (1H, дд, J=2,3, 11,0 Гц), 6,78 (1H, дт, J=2,3, 8,2 Гц), 7,14-7,17 (2H, м), 7,28-7,31 (2H, м), 7,69 (1H, дд, J=1,8, 7,3 Гц), 8,13 (1H, дд, J=1,8, 5,0 Гц), 8,51 (2H, с). | ESI-MS m/z: 406 [M+H]+. | |
| I-199 | 1H-ЯМР (400 МГц, CDCl3) δ: 3,75 (3H, с),6,97 (1H, д, J=8,2 Гц), 7,01-7,07 (3H, м), 7,09 (1H, дд, J=5,0, 7,3 Гц), 7,27-7,34 (3H, м), 7,38 (1H, ддд, J=1,8, 7,3, 8,2 Гц), 7,69 (1H, дд, J=1,8, 7,3 Гц), 8,16 (1H, дд, J=1,8, 5,0 Гц). | ESI-MS m/z: 312, 314 [M+H]+. | |
| I-200 | 1H-ЯМР (400 МГц, CDCl3) δ: 3,84 (3H, с),6,93 (1H, ддд, J=0,9, 2,3, 8,2 Гц), 7,04-7,09 (2H, м), 7,11 (1H, дд, J=5,0, 7,8 Гц), 7,18 (1H, дд, J=1,8, 2,3 Гц), 7,19-7,23 (1H, м), 7,30-7,40 (3H, м), 7,77 (1H, дд, J=1,8, 7,3 Гц), 8,14 (1H, дд, J=1,8, 4,6 Гц). | ESI-MS m/z: 312, 314 [M+H]+. |
[0973]
[Таблица 26]
| соединение | структурная формула | ЯМР | MS |
| I-201 | 1H-ЯМР (400 МГц, CDCl3) δ: 3,71 (3H, с),6,96 (1H, д, J=7,4 Гц), 7,03-7,07 (1H, м), 7,10-7,16 (1H, м), 7,18 (2H, д, J=8,7 Гц), 7,32 (1H, дд, J=1,8, 7,3 Гц), 7,34-7,40 (1H, м), 7,60 (2H, д, J=8,7 Гц), 7,73 (1H, дд, J=1,8, 7,3 Гц), 8,18 (1H, дд, J=1,8, 5,0 Гц). | ESI-MS m/z: 346 [M+H]+. | |
| I-202 | 1H-ЯМР (400 МГц, CDCl3) δ: 3,87 (3H, с),6,99 (1H, дд, J=5,0, 7,3 Гц), 7,16 (1H, дд, J=5,0, 7,4 Гц), 7,19 (2H, д, J=7,5 Гц), 7,62 (2H, д, J=7,5 Гц), 7,64 (1H, д, J=2,0, 7,4 Гц), 7,75 (1H, д, J=2,0, 7,4 Гц), 8,14-8,23 (2H, м). | ESI-MS m/z: 347 [M+H]+. | |
| I-203 | 1H-ЯМР (400 МГц, CDCl3) δ: 3,76 (3H, с),3,86 (3H, с),6,61 (1H, д, J=6,0 Гц), 7,13-7,16 (3H, м), 7,59 (2H, д, J=8,7 Гц), 7,70 (1H, дд, J=1,8, 7,3 Гц), 8,12 (1H, д, J=5,0 Гц), 8,20 (1H, дд, J=1,8, 5,0 Гц). | ESI-MS m/z: 377 [M+H]+. | |
| I-204 | 1H-ЯМР (400 МГц, CDCl3) δ: 3,84 (3H, с),7,18 (1H, дд, J=4,9, 7,4 Гц), 7,18-7,20 (2H, м), 7,28 (1H, д, J=4,7 Гц), 7,62-7,64 (2H, м), 7,75 (1H, дд, J=1,9, 7,3 Гц), 8,24 (1H, дд, J=1,9, 4,9 Гц), 8,35 (1H, д, J=4,7 Гц), 8,38 (1H, с). | ESI-MS m/z: 347 [M+H]+. | |
| I-205 | 1H-ЯМР (400 МГц, CDCl3) δ: 2,28 (3H, с),7,17-7,20 (4H, м), 7,62-7,65 (3H, м), 8,24 (1H, дд, J=1,9, 4,9 Гц), 8,51 (1H, д, J=4,9 Гц), 8,55 (1H, с). | ESI-MS m/z: 331 [M+H]+. | |
| I-206 | 1H-ЯМР (400 МГц, CDCl3) δ: 2,30 (3H, с),7,15-7,25 (4H, м), 7,61-7,63 (2H, д, J=8,5 Гц), 7,57 (1H, дд, J=1,9, 7,4 Гц), 8,24 (1H, дд, J=1,9, 4,9 Гц), 8,46 (1H, с),8,50 (1H, д, J=5,0 Гц). | ESI-MS m/z: 331 [M+H]+. | |
| I-207 | 1H-ЯМР (400 МГц, CDCl3) δ: 7,20-7,25 (3H, м), 7,63-7,65 (2H, м), 7,73 (1H, дд, J=1,9, 7,4 Гц), 8,28 (1H, дд, J=1,9, 5,0 Гц), 8,45 (1H, с),8,55 (1H, с). | ESI-MS m/z: 369, 371 [M+H]+. | |
| I-208 | 1H-ЯМР (400 МГц, CDCl3) δ: 2,25 (3H, д, J=1,9 Гц), 7,16-7,23 (3H, м), 7,63-7,65 (2H, м), 7,75 (1H, дд, J=2,0, 7,4 Гц), 8,25 (1H, дд, J=2,0, 5,0 Гц), 8,31 (1H, с),8,43 (1H, с). | ESI-MS m/z: 349 [M+H]+. |
[0974]
[Таблица 27]
| соединение | структурная формула | ЯМР | MS |
| I-209 | 1H-ЯМР (400 МГц, CDCl3) δ: 3,86 (3H, с),7,17 (1H, дд, J=5,0, 7,3 Гц), 7,20 (2H, д, J=8,7 Гц), 7,47 (1H, дд, J=2,7, 7,8 Гц), 7,63 (2H, д, J=8,3 Гц), 7,76 (1H, дд, J=2,3, 7,3 Гц), 8,05 (1H, д, J=2,8 Гц), 8,22 (1H, дд, J=1,8, 5,0 Гц). | ESI-MS m/z: 365 [M+H]+. | |
| I-210 | 1H-ЯМР (400 МГц, CDCl3) δ: 3,87 (3H, с),6,99 (1H, дд, J=5,0, 7,3 Гц), 7,16 (1H, дд, J=5,0, 7,3 Гц), 7,16-7,21 (2H, м), 7,60-7,64 (2H, м), 7,65 (1H, дд, J=1,9, 7,3 Гц), 7,75 (1H, дд, J=1,8, 7,3 Гц), 8,19-8,23 (2H, м). | ESI-MS m/z: 347 [M+H]+. | |
| I-211 | 1H-ЯМР (400 МГц, CDCl3) δ: 3,81 (3H, с),7,17-7,22 (3H, м), 7,63-7,65 (2H, м), 7,75 (1H, дд, J=2,0, 7,4 Гц), 8,25 (1H, дд, J=2,0, 5,0 Гц), 8,44 (1H, с),8,58 (1H, с). | ESI-MS m/z: 381, 383 [M+H]+. | |
| I-212 | 1H-ЯМР (400 МГц, CDCl3) δ: 4,04 (3H, д, J=4,6 Гц), 7,16-7,21 (3H, м), 7,62-7,65 (2H, м), 7,70 (1H, дд, J=1,9, 8,6 Гц), 8,23 (1H, дд, J=1,9, 5,0 Гц), 8,29 (1H, с),8,43 (1H, д, J=4,5 Гц). | ESI-MS m/z: 365 [M+H]+. | |
| I-213 | 1H-ЯМР (400 МГц, CDCl3) δ: 4,00 (3H, с),6,74 (1H, дд, J=1,0, 8,0 Гц), 7,20-7,28 (3H, м), 7,63-7,70 (4H, м), 8,19 (1H, дд, J=1,9, 4,8 Гц), 8,52 (1H, дд, J=1,9, 7,5 Гц). | ESI-MS m/z: 347 [M+H]+. | |
| I-214 | 1H-ЯМР (400 МГц, CDCl3) δ: 3,89 (3H, с),6,97 (1H, д, J=5,8 Гц), 7,22-7,24 (2H, м), 7,69-7,71 (2H, м), 8,53 (2H, м), 8,61 (1H, д, J=5,8 Гц), 9,06 (1H, д, J=2,8 Гц). | ESI-MS m/z: 392 [M+H]+. | |
| I-215 | 1H-ЯМР (400 МГц, CDCl3) δ: 3,68 (5H, с),6,83 (1H, д, J=5,8 Гц), 7,06-7,08 (2H, м), 7,11 (1H, д, J=3,0 Гц), 7,54-7,56 (2H, м), 7,76 (1H, д, J=3,0 Гц), 8,39 (1H, с),8,49 (1H, д, J=5,8 Гц). | ESI-MS m/z: 362 [M+H]+. | |
| I-216 | 1H-ЯМР (400 МГц, CDCl3) δ: 3,79 (3H, с),6,90 (1H, д, J=5,8 Гц), 7,14-7,16 (2H, м), 7,53 (1H, дд, J=3,0, 7,8 Гц), 7,60-7,63 (2H, м), 8,07 (1H, д, J=3,0 Гц), 8,46 (1H, с),8,55 (1H, д, J=5,8 Гц). | ESI-MS m/z: 365 [M+H]+. |
[0975]
[Таблица 28]
| соединение | структурная формула | ЯМР | MS |
| I-217 | 1H-ЯМР (400 МГц, CDCl3) δ: 3,81 (3H, с),6,90 (1H, д, J=5,8 Гц), 7,16-7,18 (2H, м), 7,62-7,64 (2H, м), 7,72 (1H, д, J=2,6 Гц), 8,15 (1H, д, J=2,6 Гц), 8,45 (1H, с),8,55 (1H, д, J=5,8 Гц). | ESI-MS m/z: 381, 383 [M+H]+. | |
| I-218 | 1H-ЯМР (400 МГц, CDCl3) δ: 3,88 (3H, с),7,20-7,31 (3H, м), 7,64 (2H, д, J=8,7 Гц), 7,93 (1H, дд, J=1,8, 7,3 Гц), 8,15 (1H, д, J=2,7 Гц), 8,25-8,30 (2H, м). | ESI-MS m/z: 348 [M+H]+. | |
| I-219 | 1H-ЯМР (400 МГц, CDCl3) δ: 3,96 (3H, с),7,19 (1H, дд, J=2,7, 7,3 Гц), 7,20 (2H, д, J=8,3 Гц), 7,64 (2H, д, J=8,3 Гц), 7,77 (1H, дд, J=1,8, 7,3 Гц), 8,24 (1H, дд, J=1,8, 5,0 Гц), 8,53 (1H, с),8,82 (1H, с). | ESI-MS m/z: 348 [M+H]+. | |
| I-220 | 1H-ЯМР (400 МГц, CDCl3) δ: 2,25 (3H, с),3,85 (3H, с),7,14 (1H, дд, J=4,9, 7,4 Гц), 7,20-7,22 (2H, м), 7,62-7,64 (2H, м), 7,67 (1H, дд, J=2,0, 7,4 Гц), 8,18 (1H, дд, J=2,0, 4,9 Гц). | ESI-MS m/z: 368, 370 [M+H]+. | |
| I-221 | 1H-ЯМР (400 МГц, CDCl3) δ: 3,89 (3H, с),6,38 (1H, д, J=1,9 Гц), 7,17 (1H, дд, J=5,0, 7,4 Гц), 7,21-7,23 (2H, м), 7,56 (1H, д, J=1,9 Гц), 7,64-7,66 (2H, м), 7,75 (1H, дд, J=1,9, 7,4 Гц), 8,24 (1H, дд, J=1,9, 4,9 Гц). | ESI-MS m/z: 320 [M+H]+. | |
| I-222 | 1H-ЯМР (400 МГц, CDCl3) δ: 3,85 (3H, с),7,23 (1H, дд, J=4,9, 7,4 Гц), 7,22-7,24 (2H, м), 7,54 (1H, с),7,64-7,67 (2H, м), 7,79 (1H, дд, J=2,0, 7,4 Гц), 8,30 (1H, дд, J=2,0, 4,9 Гц). | ESI-MS m/z: 354, 356 [M+H]+. | |
| I-223 | 1H-ЯМР (400 МГц, CDCl3) δ: 3,76 (3H, с),3,83 (3H, с),7,12 (1H, дд, J=4,8, 7,5 Гц), 7,23-7,25 (2H, м), 7,64-7,66 (2H, м), 7,72 (1H, с),7,97 (1H, дд, J=1,9, 7,5 Гц), 8,07 (1H, дд, J=1,9, 4,8 Гц). | ESI-MS m/z: 350 [M+H]+. | |
| I-224 | 1H-ЯМР (400 МГц, CDCl3) δ: 7,18-7,20 (2H, м), 7,25 (1H, дд, J=4,9, 7,4 Гц), 7,56-7,58 (2H, м), 7,85-7,88 (3H, м), 8,17-8,21 (1H, м), 8,30 (1H, дд, J=1,9, 4,9 Гц), 8,77 (1H, д, J=1,8 Гц), 8,85 (1H, д, J=1,8 Гц). | ESI-MS m/z: 368 [M+H]+. |
[0976]
[Таблица 29]
| соединение | структурная формула | ЯМР | MS |
| I-225 | 1H-ЯМР (400 МГц, CDCl3) δ: 7,20-7,23 (2H, м), 7,26 (1H, дд, J=5,0, 7,3 Гц), 7,54 (1H, дд, J=4,2, 8,3 Гц), 7,57-7,59 (2H, м), 7,92 (1H, дд, J=1,9, 7,3 Гц), 8,31 (1H, дд, J=1,9, 5,0 Гц), 8,35 (1H, дд, J=1,8, 8,3 Гц), 8,86 (1H, с),9,03 (1H, дд, J=1,8, 4,3 Гц), 9,33 (1H, с). | ESI-MS m/z: 368 [M+H]+. | |
| I-226 | 1H-ЯМР (400 МГц, CDCl3) δ: 7,21-7,23 (2H, м), 7,26 (1H, дд, J=5,0, 7,3 Гц), 7,58-7,59 (2H, м), 7,65 (1H, дд, J=4,1, 8,5 Гц), 7,74 (1H, д, J=4,3 Гц), 7,93 (1H, дд, J=1,9, 7,3 Гц), 8,32 (1H, дд, J=1,9, 4,9 Гц), 8,46 (1H, дд, J=1,8, 8,5 Гц), 8,92 (1H, дд, J=1,8, 4,2 Гц), 9,07 (1H, д, J=4,3 Гц). | ESI-MS m/z: 368 [M+H]+. | |
| I-227 | 1H-ЯМР (400 МГц, CDCl3) δ: 7,19-7,22 (2H, м), 7,26 (1H, дд, J=5,0, 7,4 Гц), 7,59-7,61 (2H, м), 7,91 (1H, дд, J=1,8, 7,4 Гц), 8,31 (1H, дд, J=1,8, 5,0 Гц), 8,96 (2H, д, J=6,8 Гц), 8,96-8,98 (1H, м), 9,63 (1H, с). | ESI-MS m/z: 369 [M+H]+. | |
| I-228 | 1H-ЯМР (400 МГц, CDCl3) δ: 6,61 (1H, д, J=2,3 Гц), 6,91 (1H, дд, J=1,3, 6,8 Гц), 7,18-7,25 (4H, м), 7,58-7,60 (2H, м), 7,62 (1H, дд, J=1,4, 8,7 Гц), 7,93 (1H, д, J=2,3 Гц), 8,02 (1H, дд, J=1,8, 7,3 Гц), 8,30 (1H, дд, J=1,8, 5,0 Гц). | ESI-MS m/z: 356 [M+H]+. | |
| I-229 | 1H-ЯМР (400 МГц, CDCl3) δ: 6,89 (1H, т, J=6,9 Гц), 7,21-7,27 (3H, м), 7,46 (1H, дд, J=1,2, 7,0 Гц), 7,61 (2H, д, J=8,4 Гц), 7,66-7,68 (2H, м), 8,17 (1H, дд, J=1,2, 6,8 Гц), 8,23 (1H, дд, J=1,9, 4,9 Гц), 8,31 (1H, дд, J=1,9, 7,3 Гц). | ESI-MS m/z: 356 [M+H]+. | |
| I-230 | 1H-ЯМР (400 МГц, CDCl3) δ: 7,21-7,27 (4H, м), 7,62-7,67 (3H, м), 7,85 (1H, дд, J=1,0, 9,0 Гц), 8,05 (1H, дд, J=1,9, 7,4 Гц), 8,33-8,35 (2H, м). | ESI-MS m/z: 357 [M+H]+. | |
| I-231 | 1H-ЯМР (400 МГц, CDCl3) δ: 7,19-7,21 (2H, м), 7,30 (1H, дд, J=5,0, 7,4 Гц), 7,57-7,58 (1H, м), 7,63-7,65 (2H, м), 7,88 (1H, д, J=1,1 Гц), 7,95-7,99 (2H, м), 8,39 (1H, дд, J=1,9, 5,0 Гц), 9,18 (1H, д, J=0,4 Гц). | ESI-MS m/z: 357 [M+H]+. | |
| I-232 | 1H-ЯМР (400 МГц, CDCl3) δ: 2,31 (3H, с),4,29 (2H, д, J=8,3 Гц), 5,03 (2H, т, J=8,3 Гц), 7,09 (1H, дд, J=4,9, 7,4 Гц), 7,22-7,24 (2H, м), 7,62-7,65 (2H, м), 7,68 (1H, дд, J=1,9, 7,4 Гц), 8,08 (1H, д, J=1,9, 4,9 Гц). | ESI-MS m/z: 362 [M+H]+. |
[0977]
[Таблица 30]
| соединение | структурная формула | ЯМР | MS |
| I-233 | 1H-ЯМР (400 МГц, CDCl3) δ: 1,24-1,32 (4H, м), 2,22 (3H, с),3,96-3,98 (2H, м), 4,18-4,21 (2H, м), 7,11 (1H, дд, J=4,9, 7,4 Гц), 7,19-7,21 (2H, м), 7,62-7,64 (3H, м), 8,11 (1H, дд, J=2,0, 4,9 Гц). | ESI-MS m/z: 390 [M+H]+. | |
| I-234 | 1H-ЯМР (400 МГц, CDCl3) δ: 3,82 (3H, с),6,90 (1H, д, J=5,8 Гц), 6,96-7,00 (2H, м), 7,12 (1H, дд, J=4,9, 7,3 Гц), 7,45-7,48 (2H, м), 7,70 (1H, дд, J=2,0, 7,4 Гц), 8,20 (1H, дд, J=2,0, 4,9 Гц), 8,45 (1H, с),8,53 (1H, д, J=5,8 Гц). | ESI-MS m/z: 357, 359 [M+H]+. | |
| I-235 | 1H-ЯМР (400 МГц, CDCl3) δ: 3,82 (3H, с),6,89 (1H, д, J=5,8 Гц), 7,00-7,04 (2H, м), 7,12 (1H, дд, J=5,0, 7,3 Гц), 7,30-7,34 (2H, м), 7,69 (1H, дд, J=1,9, 7,3 Гц), 8,19 (1H, дд, J=1,9, 5,0 Гц), 8,45 (1H, с),8,52 (1H, д, J=5,8 Гц). | ESI-MS m/z: 313, 315 [M+H]+. | |
| I-236 | 1H-ЯМР (400 МГц, CDCl3) δ: 3,84 (3H, с),6,90 (1H, д, J=5,8 Гц), 7,04-7,06 (4H, м), 7,10 (1H, дд, J=5,0, 7,3 Гц), 7,68 (1H, дд, J=2,0, 7,4 Гц), 8,18 (1H, дд, J=2,0, 5,0 Гц), 8,46 (1H, с),8,53 (1H, д, J=5,8 Гц). | ESI-MS m/z: 297 [M+H]+. | |
| I-237 | 1H-ЯМР (400 МГц, CDCl3) δ: 3,82 (3H, с),6,89 (1H, д, J=5,5 Гц), 7,09-7,16 (3H, м), 7,19-7,24 (2H, м), 7,71 (1H, д, J=7,3 Гц), 8,21 (1H, дд, J=2,0, 4,9 Гц), 8,45 (1H, с),8,53 (1H, д, J=5,0 Гц). | ESI-MS m/z: 363 [M+H]+. | |
| I-238 | 1H-ЯМР (400 МГц, CDCl3) δ: 3,84 (3H, с),6,48 (1H, т, J=73,7 Гц), 6,91 (1H, д, J=6,0 Гц), 7,06-7,16 (4H, м), 7,70 (1H, дд, J=1,8, 7,3 Гц), 8,20 (1H, дд, J=1,8, 4,6 Гц), 8,46 (1H, с),8,46 (1H, с),8,53 (1H, д, J=5,5 Гц). | ESI-MS m/z: 345 [M+H]+. | |
| I-239 | 1H-ЯМР (400 МГц, CDCl3) δ: 3,76 (3H, с),6,87 (1H, д, J=5,8 Гц), 7,12-7,14 (2H, м), 7,19 (1H, дд, J=4,9, 7,4 Гц), 7,62-7,64 (2H, м), 7,74 (1H, дд, J=2,0, 7,4 Гц), 8,24 (1H, дд, J=2,0, 4,9 Гц), 8,44 (1H, с),8,53 (1H, д, J=5,8 Гц). | ESI-MS m/z: 379 [M+H]+. | |
| I-240 | 1H-ЯМР (400 МГц, CDCl3) δ: 3,78 (3H, с),6,89 (1H, д, J=5,8 Гц), 7,14-7,16 (2H, м), 7,20 (1H, дд, J=4,9, 7,4 Гц), 7,72-7,77 (3H, м), 8,24 (1H, дд, J=2,0, 7,4 Гц), 8,44 (1H, с),8,53 (1H, д, J=5,8 Гц). | ESI-MS m/z: 405 [M+H]+. |
[0978]
[Таблица 31]
| соединение | структурная формула | ЯМР | MS |
| I-241 | 1H-ЯМР (400 МГц, CDCl3) δ: 2,47 (3H, с),3,83 (3H, с),6,90 (1H, д, J=5,8 Гц), 7,01-7,04 (2H, м), 7,10 (1H, дд, J=5,0, 7,3 Гц), 7,27-7,31 (2H, м), 7,69 (1H, дд, J=2,0, 7,4 Гц), 8,20 (1H, дд, J=2,0, 5,0 Гц), 8,45 (1H, с),8,52 (1H, д, J=5,9 Гц). | ESI-MS m/z: 325 [M+H]+. | |
| I-242 | 1H-ЯМР (400 МГц, CDCl3) δ: 3,80 (3H, с),3,86 (3H, с),6,84-6,91 (3H, м), 7,00-7,03 (2H, м), 7,06 (1H, дд, J=4,8, 7,3 Гц), 7,66 (1H, дд, J=1,9, 7,3 Гц), 8,18 (1H, дд, J=1,9, 4,8 Гц), 8,46 (1H, с),8,52 (1H, д, J=5,7 Гц). | ESI-MS m/z: 309 [M+H]+. | |
| I-243 | 1H-ЯМР (400 МГц, CDCl3) δ: 3,76 (3H, с),6,89 (1H, д, J=5,8 Гц), 7,16-7,19 (2H, м), 7,21 (1H, дд, J=4,9, 7,4 Гц), 7,64-7,67 (2H, м), 7,76 (1H, дд, J=1,9, 7,4 Гц), 8,24 (1H, дд, J=1,9, 4,9 Гц), 8,44 (1H, с),8,54 (1H, д, J=5,1 Гц). | ESI-MS m/z: 304 [M+H]+. | |
| I-244 | 1H-ЯМР (400 МГц, CDCl3) δ: 2,59 (3H, с),3,77 (3H, с),6,89 (1H, д, J=5,8 Гц), 7,13-7,17 (2H, м), 7,18 (1H, дд, J=4,9, 7,4 Гц), 7,74 (1H, дд, J=2,0, 7,4 Гц), 7,97-8,00 (2H, м), 8,24 (1H, дд, J=2,0, 4,9 Гц), 8,45 (1H, с),8,53 (1H, д, J=5,8 Гц). | ESI-MS m/z: 321 [M+H]+. | |
| I-245 | 1H-ЯМР (400 МГц, CDCl3) δ: 1,38 (3H, т, J=7,1 Гц), 3,77 (3H, с),4,36 (2H, кв, J=7,1 Гц), 6,88 (1H, д, J=5,8 Гц), 7,10-7,14 (2H, м), 7,17 (1H, дд, J=4,9, 7,4 Гц), 7,73 (1H, дд, J=2,0, 7,4 Гц), 8,04-8,09 (2H, м), 8,24 (1H, дд, J=2,0, 4,9 Гц), 8,45 (1H, с),8,53 (1H, д, J=5,8 Гц). | ESI-MS m/z: 351 [M+H]+. | |
| I-246 | 1H-ЯМР (400 МГц, CDCl3) δ: 3,75 (3H, с),6,88 (1H, д, J=5,8 Гц), 7,19-7,24 (3H, м), 7,76 (1H, дд, J=1,9, 7,4 Гц), 7,88-7,91 (2H, м), 8,26 (1H, дд, J=1,9, 4,9 Гц), 8,45 (1H, с),8,53 (1H, д, J=5,8 Гц), 9,96 (1H, с). | ESI-MS m/z: 307 [M+H]+. | |
| I-247 | 1H-ЯМР (400 МГц, CDCl3) δ: 3,65 (1H, уш с),3,80 (3H, с),4,95 (1H, кв, J=6,8 Гц), 6,88 (1H, д, J=5,8 Гц), 7,09-7,12 (2H, м), 7,14 (1H, дд, J=5,0, 7,4 Гц), 7,44-7,46 (2H, м), 7,71 (1H, дд, J=2,0, 7,4 Гц), 8,21 (1H, дд, J=2,0, 5,0 Гц), 8,42 (1H, с),8,49 (1H, д, J=5,8 Гц). | ESI-MS m/z: 377 [M+H]+. | |
| I-248 | 1H-ЯМР (400 МГц, CDCl3) δ: 2,39 (3H, с),3,75 (3H, с),5,66 (1H, кв, J=6,3 Гц), 6,87 (1H, д, J=5,8 Гц), 7,01-7,04 (2H, м), 7,17 (1H, дд, J=4,9, 7,4 Гц), 7,25-7,27 (2H, м), 7,31-7,33 (2H, м), 7,66-7,69 (2H, м), 7,73 (1H, дд, J=2,0, 7,4 Гц), 8,24 (1H, дд, J=2,0, 5,0 Гц), 8,43 (1H, с),8,52 (1H, д, J=5,8 Гц). | ESI-MS m/z: 531 [M+H]+. |
[0979]
[Таблица 32]
| соединение | структурная формула | ЯМР | MS |
| I-249 | 1H-ЯМР (400 МГц, CDCl3) δ: 3,35 (2H, кв, J=10,8 Гц), 3,81 (3H, с),6,88 (1H, д, J=5,8 Гц), 7,05-7,09 (2H, м), 7,12 (1H, дд, J=5,0, 7,4 Гц), 7,27-7,29 (2H, м), 7,70 (1H, дд, J=2,0, 7,4 Гц), 8,21 (1H, дд, J=2,0, 5,0 Гц), 8,45 (1H, с),8,52 (1H, д, J=5,8 Гц). | ESI-MS m/z: 361 [M+H]+. | |
| I-250 | 1H-ЯМР (400 МГц, CDCl3) δ: 3,84 (3H, с),4,68 (2H, с),6,90 (1H, д, J=5,8 Гц), 7,06-7,11 (3H, м), 7,35-7,38 (2H, м), 7,69 (1H, дд, J=1,9, 7,3 Гц), 8,19 (1H, дд, J=1,9, 5,0 Гц), 8,46 (1H, с),8,51 (1H, д, J=5,8 Гц). | ESI-MS m/z: 309 [M+H]+. | |
| I-251 | 1H-ЯМР (400 МГц, CDCl3) δ: 3,38 (3H, с),3,82 (3H, с),4,44 (2H, с),6,89 (1H, д, J=5,8 Гц), 7,05-7,11 (3H, м), 7,31-7,36 (2H, м), 7,68 (1H, дд, J=2,0, 7,3 Гц), 8,19 (1H, дд, J=2,0, 4,9 Гц), 8,45-8,57 (2H, м). | ESI-MS m/z: 323 [M+H]+. | |
| I-252 | 1H-ЯМР (400 МГц, CDCl3) δ: 2,33 (3H, с),3,85 (3H, с),6,90 (1H, д, J=6,0 Гц), 6,95-7,00 (2H, м), 7,07 (1H, дд, J=5,0, 7,3 Гц), 7,14-7,19 (2H, м), 7,66 (1H, дд, J=1,8, 7,3 Гц), 8,19 (1H, дд, J=1,8, 5,0 Гц), 8,46 (1H, с),8,52 (1H, д, J=6,0 Гц). | ESI-MS m/z: 293 [M+H]+. | |
| I-253 | 1H-ЯМР (400 МГц, CDCl3) δ: 1,23 (3H, т, J=7,6 Гц), 2,64 (2H, кв, J=7,6 Гц), 3,84 (3H, с),6,89 (1H, д, J=5,8 Гц), 6,98-7,01 (2H, м), 7,07 (1H, дд, J=5,0, 7,3 Гц), 7,17-7,20 (2H, м), 7,67 (1H, дд, J=2,0, 7,3 Гц), 8,19 (1H, дд, J=2,0, 5,0 Гц), 8,46 (1H, с),8,51 (1H, д, J=5,8 Гц). | ESI-MS m/z: 307 [M+H]+. | |
| I-254 | 1H-ЯМР (400 МГц, CDCl3) δ: 0,95 (3H, т, J=7,3 Гц), 1,63 (2H, секст, J=7,3 Гц), 2,57 (2H, т, J=7,3 Гц), 3,84 (3H, с),6,89 (1H, д, J=5,8 Гц), 6,98-7,01 (2H, м), 7,07 (1H, дд, J=5,0, 7,3 Гц), 7,16-7,20 (2H, м), 7,67 (1H, дд, J=2,0, 7,3 Гц), 8,19 (1H, дд, J=2,0, 5,0 Гц), 8,46 (1H, с),8,51 (1H, д, J=5,8 Гц). | ESI-MS m/z: 321 [M+H]+. | |
| I-255 | 1H-ЯМР (400 МГц, CDCl3) δ: 1,24 (6H, д, J=6,9 Гц), 2,90 (1H, септ, J=6,9 Гц), 3,84 (3H, с),6,89 (1H, д, J=5,8 Гц), 6,98-7,01 (2H, м), 7,08 (1H, дд, J=5,0, 7,3 Гц), 7,19-7,23 (2H, м), 7,67 (1H, дд, J=2,0, 7,3 Гц), 8,20 (1H, дд, J=2,0, 5,0 Гц), 8,46 (1H, с),8,51 (1H, д, J=5,8 Гц). | ESI-MS m/z: 321 [M+H]+. | |
| I-256 | 1H-ЯМР(400 МГц, CDCl3)δ: 0,83 (3H, т, J=7,4 Гц), 1,22 (3H, д, J=7,3 Гц), 1,55-1,60 (2H, м), 2,59 (1H, секст, J=7,3 Гц), 3,84 (3H, с),6,88 (1H, д, J=5,8 Гц), 6,97-7,01 (2H, м), 7,09 (1H, дд, J=5,0, 7,3 Гц), 7,14-7,17 (2H, м), 7,67 (1H, дд, J=2,0, 7,3 Гц), 8,20 (1H, дд, J=2,0, 5,0 Гц), 8,46 (1H, с),8,51 (1H, д, J=5,8 Гц). | ESI-MS m/z: 335 [M+H]+. |
[0980]
[Таблица 33]
| соединение | структурная формула | ЯМР | MS |
| I-257 | 1H-ЯМР (400 МГц, CDCl3) δ: 2,86 (2H, т, J=6,4 Гц), 3,84 (3H, с),3,86 (2H, т, J=6,4 Гц), 6,89 (1H, д, J=6,1 Гц), 7,01-7,05 (2H, м), 7,09 (1H, дд, J=5,0, 7,3 Гц), 7,21-7,26 (2H, м), 7,68 (1H, дд, J=1,8, 7,3 Гц), 8,19 (1H, дд, J=1,8, 5,0 Гц), 8,45 (1H, с),8,51 (1H, д, J=6,1 Гц). | ESI-MS m/z: 323 [M+H]+. | |
| I-258 | 1H-ЯМР (400 МГц, CDCl3) δ: 3,83 (1H, с),5,20 (1H, дд, J=0,9, 10,9 Гц), 5,67 (1H, дд, J=0,9, 17,6 Гц), 6,70 (1H, дд, J=10,9, 17,6 Гц), 6,89 (1H, д, J=5,8 Гц), 7,02-7,06 (2H, м), 7,10 (1H, дд, J=5,0, 7,3 Гц), 7,39-7,42 (2H, м), 7,69 (1H, дд, J=2,0, 7,3 Гц), 8,20 (1H, дд, J=2,0, 5,0 Гц), 8,46 (1H, с),8,52 (1H, д, J=5,8 Гц). | ESI-MS m/z: 305 [M+H]+. | |
| I-259 | 1H-ЯМР (400 МГц, CDCl3) δ: 0,24 (9H, с),3,78 (3H, с),6,88 (1H, д, J=5,8 Гц), 6,99-7,03 (2H, м), 7,14 (1H, дд, J=4,9, 7,4 Гц), 7,43-7,47 (2H, м), 7,70 (1H, дд, J=1,9, 7,4 Гц),8,21 (1H, дд, J=1,9, 4,9 Гц), 8,44 (1H, с),8,52 (1H, д, J=5,8 Гц). | ESI-MS m/z: 375 [M+H]+. | |
| I-260 | 1H-ЯМР (400 МГц, CDCl3) δ: 3,03 (1H, с),3,79 (3H, с),6,88 (1H, д, J=5,8 Гц), 7,02-7,06 (2H, м), 7,14 (1H, дд, 4,9, 7,4 Гц), 7,46-7,51 (2H, м), 7,71 (1H, дд, J=1,9, 7,4 Гц), 8,22 (1H, дд, J=1,9, 4,9 Гц), 8,44 (1H, с),8,52 (1H, д, J=5,8 Гц). | ESI-MS m/z: 303 [M+H]+. | |
| I-261 | 1H-ЯМР (400 МГц, CDCl3) δ: 0,64-0,68 (2H, м), 0,88-0,95 (2H, м), 1,85-1,92 (1H, м), 3,84 (3H, с),6,88 (1H, д, J=5,8 Гц), 6,95-7,00 (2H, м), 7,05-7,08 (3H, м), 7,67 (1H, дд, J=2,0, 7,3 Гц), 8,19 (1H, дд, J=2,0, 5,0 Гц), 8,46 (1H, с),8,51 (1H, д, J=5,8 Гц). | ESI-MS m/z: 319 [M+H]+. | |
| I-262 | 1H-ЯМР (400 МГц, CDCl3) δ: 2,23 (3H, с),2,24 (3H, с),3,86 (3H, с),6,82 (1H, дд, J=2,5, 8,0 Гц), 6,87 (1H, д, J=2,3 Гц), 6,89 (1H, д, J=5,5 Гц), 7,06 (1H, дд, J=5,0, 7,3 Гц), 7,12 (1H, д, J=7,3 Гц), 7,66 (1H, дд, J=1,8, 7,3 Гц), 8,19 (1H, дд, J=1,8, 5,0 Гц), 8,47 (1H, с),8,51 (1H, с). | ESI-MS m/z: 307 [M+H]+. | |
| I-263 | 1H-ЯМР (400 МГц, CDCl3) δ: 1,20 (3H, т, J=7,6 Гц), 2,27 (3H, с),2,59 (2H, кв, J=7,6 Гц), 3,85 (3H, с),6,85-6,89 (3H, м), 7,06 (1H, дд, J=5,0, 7,3 Гц), 7,12-7,15 (1H, м), 7,66 (1H, дд, J=1,9, 7,3 Гц), 8,20 (1H, дд, J=1,9, 5,0 Гц), 8,46 (1H, с),8,51 (1H, д, J=5,8 Гц). | ESI-MS m/z: 321 [M+H]+. | |
| I-264 | 1H-ЯМР (400 МГц, CDCl3) δ: 1,19 (3H, т, J=7,5 Гц), 2,26 (3H, с),2,60 (2H, кв, J=7,5 Гц), 3,86 (3H, с),6,82 (1H, дд, J=2,5, 8,1 Гц), 6,88-6,90 (2H, м), 7,06 (1H, дд, J=4,9, 7,3 Гц), 7,12 (1H, д, J=8,1 Гц), 7,66 (1H, дд, J=1,9, 7,3 Гц), 8,18 (1H, дд, J=1,9, 4,9 Гц), 8,47 (1H, с),8,51 (1H, д, J=5,8 Гц). | ESI-MS m/z: 321 [M+H]+. |
[0981]
[Таблица 34]
| соединение | структурная формула | ЯМР | MS |
| I-265 | 1H-ЯМР (400 МГц, CDCl3) δ: 1,23 (3H, т, J=6,4 Гц), 2,64 (2H, кв, J=6,4 Гц), 3,84 (3H, с),6,88-6,91 (3H, м), 6,98-7,00 (1H, м), 7,08 (1H, дд, J=4,9, 7,4 Гц), 7,23-7,27 (1H, м), 7,68 (1H, дд, J=2,0, 7,4 Гц), 8,20 (1H, дд, J=2,0, 4,9 Гц), 8,47 (1H, с),8,51 (1H, д, J=5,8 Гц). | ESI-MS m/z: 307 [M+H]+. | |
| I-266 | 1H-ЯМР (400 МГц, CDCl3) δ: 2,08 (2H, квин, J=7,3 Гц), 2,85-2,93 (4H, м), 3,86 (3H, с),6,84 (1H, дд, J=2,3, 8,2 Гц), 6,89 (1H, д, J=5,5 Гц), 6,94 (1H, д, J=2,3 Гц), 7,06 (1H, дд, J=4,6, 7,3 Гц), 7,19 (1H, д, J=7,8 Гц), 7,66 (1H, дд, J=1,8, 7,3 Гц), 8,20 (1H, дд, J=1,8, 5,0 Гц), 8,47 (1H, с),8,52 (1H, д, J=5,5 Гц). | ESI-MS m/z: 319 [M+H]+. | |
| I-267 | 1H-ЯМР (400 МГц, CDCl3) δ: 1,77 (4H, кв, J=3,3 Гц), 2,74 (4H, т, J=3,3 Гц), 3,85 (3H, с),6,78-6,82 (2H, м), 6,89 (1H, д, J=5,8 Гц), 7,04-7,08 (1H, м), 7,66 (2H, дд, J=2,0, 7,3 Гц), 8,18 (1H, дд, J=2,0, 5,0 Гц), 8,46 (1H, с),8,51 (1H, д, J=5,8 Гц). | ESI-MS m/z: 333 [M+H]+. | |
| I-268 | 1H-ЯМР (400 МГц, CDCl3) δ: 1,70-1,84 (4H, м), 2,67-2,80 (4H, м), 3,79 (3H, с),6,74-6,88 (2H, м), 6,97 (1H, д, J=8,7 Гц), 7,00-7,10 (3H, м), 7,30-7,38 (2H, м), 7,66 (1H, дд, J=1,8, 7,3 Гц), 8,15 (1H, дд, J=1,8, 5,0 Гц). | ESI-MS m/z: 332 [M+H]+. | |
| I-269 | 1H-ЯМР (400 МГц, CDCl3) δ: 1,70-1,86 (4H, м), 2,65-2,83 (4H, м), 3,94 (3H, с),6,75-6,84 (2H, м), 6,94-7,00 (1H, м), 7,00-7,10 (2H, м), 7,60-7,75 (2H, м), 8,10-8,21 (2H, м). | ESI-MS m/z: 333 [M+H]+. | |
| I-270 | 1H-ЯМР (400 МГц, CDCl3) δ: 2,08 (2H, квин, J=7,3 Гц), 2,84-2,92 (4H, м), 3,95 (3H, с),6,85 (1H, дд, J=2,3, 8,2 Гц), 6,94-7,00 (3H, м), 7,05 (1H, дд, J=5,0, 7,3 Гц), 7,19 (1H, д, J=7,7 Гц), 7,67-7,72 (2H, м), 8,15-8,21 (1H, м). | ESI-MS m/z: 319 [M+H]+. | |
| I-271 | 1H-ЯМР (400 МГц, CDCl3) δ: 1,71-1,82 (4H, м), 2,74 (4H, м), 4,01 (3H, с),6,78-6,83 (2H, м), 7,05-7,07 (1H, м), 7,07 (1H, дд, J=5,0, 7,3 Гц), 7,70 (1H, дд, J=1,8, 7,3 Гц), 8,20 (1H, дд, J=2,3, 5,0 Гц), 8,55 (1H, с),8,80 (1H, с). | ESI-MS m/z: 334 [M+H]+. | |
| I-272 | 1H-ЯМР (400 МГц, CDCl3) δ: 2,13 (2H, quint., J=6,0 Гц), 2,63 (2H, т, J=6,0 Гц), 2,94 (2H, т, J=6,0 Гц), 3,86 (3H, с),6,94-7,02 (3H, м), 7,14-7,19 (1H, м), 7,64 (1H, дд, J=1,8, 7,3 Гц), 7,76 (1H, дд, J=1,8, 7,3 Гц), 8,06 (1H, д, J=8,7 Гц), 8,20 (1H, дд, J=1,8, 5,0 Гц), 8,23 (1H, дд, J=1,8, 5,0 Гц). | ESI-MS m/z: 347 [M+H]+. |
[0982]
[Таблица 35]
| соединение | структурная формула | ЯМР | MS |
| I-273 | 1H-ЯМР (400 МГц, CDCl3) δ: 2,08-2,16 (2H, м), 2,62 (2H, т, J=6,0 Гц), 2,92 (2H, т, J=6,0 Гц), 3,70 (3H, с),6,93-7,07 (4H, м), 7,16 (1H, дд, J=5,0, 7,3 Гц), 7,31 (1H, д, J=7,8 Гц), 7,37 (1H, т, J=8,2 Гц), 7,74 (1H, дд, J=1,8, 7,8 Гц), 8,04 (1H, д, J=8,7 Гц), 8,21 (1H, дд, J=1,8, 5,0 Гц). | ESI-MS m/z: 346 [M+H]+. | |
| I-274 | 1H-ЯМР (400 МГц, CDCl3) δ: 1,20 (3H, т, J=7,0 Гц), 2,88 (2H, т, J=7,3 Гц), 3,51 (2H, кв, J=7,0 Гц), 3,63 (2H, т, 7,3 Гц), 3,84 (3H, с),6,89 (1H, д, J=5,8 Гц), 6,98-7,02 (2H, м), 7,08 (1H, дд, J=5,0, 7,3 Гц), 7,20-7,23 (2H, м), 7,67 (1H, дд, J=1,9, 7,3 Гц), 8,19 (1H, дд, J=1,9, 5,0 Гц), 8,46 (1H, с),8,51 (1H, д, J=5,8 Гц). | ESI-MS m/z: 351 [M+H]+. | |
| I-275 | 1H-ЯМР (400 МГц, CDCl3) δ: 1,32 (6H, с),3,31 (3H, с),3,37 (2H, с),3,84 (3H, с),6,88 (1H, д, J=6,0 Гц), 7,00-7,04 (2H, м), 7,09 (1H, дд, J=5,0, 7,3 Гц), 7,34-7,38 (2H, м), 7,68 (1H, дд, J=2,3, 7,3 Гц), 8,20 (1H, дд, J=2,3, 5,0 Гц), 8,45 (1H, с),8,51 (1H, д, J=6,0 Гц). | ESI-MS m/z: 365 [M+H]+. | |
| I-276 | 1H-ЯМР (400 МГц, CDCl3) δ: 0,83-0,89 (4H, м), 3,30 (3H, с),3,45 (2H, с),3,83 (3H, с),6,88 (1H, д, J=5,5 Гц), 6,98-7,02 (2H, м), 7,09 (1H, дд, J=5,0, 7,3 Гц), 7,30-7,34 (2H, м), 7,68 (1H, дд, J=1,8, 7,3 Гц), 8,20 (1H, дд, J=1,8, 5,0 Гц), 8,45 (1H, с),8,51 (1H, д, J=5,5 Гц). | ESI-MS m/z: 363 [M+H]+. | |
| I-277 | 1H-ЯМР (400 МГц, CDCl3) δ: 3,94 (3H, с),5,04 (2H, с),6,91-7,10 (6H, м), 7,28-7,48 (5H, м), 7,64-7,72 (2H, м), 8,16 (1H, дд, J=1,8, 5,0 Гц), 8,20 (1H, дд, J=1,8, 5,0 Гц). | ESI-MS m/z: 385 [M+H]+. | |
| I-278 | 1H-ЯМР (400 МГц, CDCl3) δ: 1,13 (3H, т, J=7,3 Гц), 2,32 (2H, кв, J=7,3 Гц), 2,93 (2H, т, J=6,8 Гц), 3,84 (3H, с),4,28 (2H, т, J=6,8 Гц), 6,91 (1H, д, J=4,6 Гц), 7,00-7,03 (2H, д, J=8,7 Гц), 7,09 (1H, дд, J=5,0, 7,3 Гц), 7,20-7,24 (2H, д, J=8,3 Гц), 7,68 (1H, дд, J=1,8, 7,3 Гц), 8,19 (1H, дд, J=1,8, 5,0 Гц), 8,40-8,60 (2H, м). | ESI-MS m/z: 379 [M+H]+. | |
| I-279 | 1H-ЯМР (400 МГц, CDCl3) δ: 2,63 (2H, т, J=7,3 Гц), 2,94 (2H, т, J=7,3 Гц), 3,68 (3H, с),3,84 (3H, с),6,89 (1H, д, J=6,0 Гц), 6,99-7,03 (2H, м), 7,09 (1H, дд, J=4,6, 7,3 Гц), 7,18-7,22 (2H, м), 7,68 (1H, дд, J=1,8, 7,3 Гц), 8,19 (1H, дд, J=1,8, 4,6 Гц), 8,46 (1H, с),8,52 (1H, д, J=6,0 Гц). | ESI-MS m/z: 365 [M+H]+. | |
| I-280 | 1H-ЯМР (400 МГц, CDCl3) δ: 1,24 (3H, т, J=7,6 Гц), 2,64 (2H, кв, J=7,6 Гц), 3,93 (3H, с),6,96-7,03 (3H, м), 7,06 (1H, дд, J=4,9, 7,3 Гц), 7,17-7,21 (2H, м), 7,67-7,72 (2H, м), 8,17 (1H, дд, J=1,9, 7,3 Гц), 8,19 (1H, дд, J=1,9, 4,9 Гц). | ESI-MS m/z: 307 [M+H]+. |
[0983]
[Таблица 36]
| соединение | структурная формула | ЯМР | MS |
| I-281 | 1H-ЯМР (400 МГц, CDCl3) δ: 1,24 (3H, т, J=7,6 Гц), 2,64 (2H, кв, J=7,6 Гц), 3,90 (3H, с),6,99-7,02 (2H, м), 7,07 (1H, дд, J=5,0, 7,4 Гц), 7,18-7,21 (2H, м), 7,31 (1H, дд, J=0,4, 4,8 Гц), 7,69 (1H, дд, J=2,0, 7,4 Гц), 8,20 (1H, дд, J=2,0, 5,0 Гц), 8,33 (1H, д, J=4,8 Гц), 8,38 (1H, с). | ESI-MS m/z: 307 [M+H]+. | |
| I-282 | 1H-ЯМР (400 МГц, CDCl3) δ: 1,24 (3H, т, J=7,6 Гц), 2,65 (2H, кв, J=7,6 Гц), 4,00 (3H, с),6,99-7,02 (2H, м), 7,08 (1H, дд, J=5,0, 7,4 Гц), 7,19-7,21 (2H, м), 7,70 (1H, дд, J=2,0, 7,4 Гц), 8,21 (1H, дд, J=2,0, 5,0 Гц), 8,54 (1H, с),8,80 (1H, с). | ESI-MS m/z: 308 [M+H]+. | |
| I-283 | 1H-ЯМР (400 МГц, CDCl3) δ: 1,24 (3H, т, J=7,6 Гц), 2,65 (2H, кв, J=7,6 Гц), 4,07 (3H, д, J=4,4 Гц), 6,99-7,01 (2H, м), 7,08 (1H, дд, J=5,0, 7,4 Гц), 7,19-7,21 (2H, м), 7,64 (1H, дд, J=2,0, 7,4 Гц), 8,20 (1H, дд, J=2,0, 5,0 Гц), 8,29 (1H, с),8,41 (1H, д, J=4,3 Гц). | ESI-MS m/z: 325 [M+H]+. | |
| I-284 | 1H-ЯМР (400 МГц, CDCl3) δ: 1,24 (3H, т, J=7,6 Гц), 2,65 (2H, кв, J=7,6 Гц), 3,83 (3H, с),6,99-7,02 (2H, м), 7,10 (1H, дд, J=5,0, 7,3 Гц), 7,19-7,21 (2H, м), 7,69 (1H, дд, J=2,0, 7,3 Гц), 8,22 (1H, дд, J=2,0, 5,0 Гц), 8,45 (1H, с),8,55 (1H, с). | ESI-MS m/z: 341, 343 [M+H]+. | |
| I-285 | 1H-ЯМР (400 МГц, CDCl3) δ: 1,23 (3H, т, J=7,6 Гц), 2,65 (2H, кв, J=7,6 Гц), 3,75 (3H, с),6,99-7,02 (2H, м), 7,10 (1H, дд, J=5,0, 7,3 Гц), 7,19-7,21 (2H, м), 7,71 (1H, дд, J=2,0, 7,3 Гц), 8,22 (1H, дд, J=2,0, 5,0 Гц), 8,49 (1H, с),8,68 (1H, с). | ESI-MS m/z: 385, 387 [M+H]+. | |
| I-286 | 1H-ЯМР (400 МГц, CDCl3) δ: 1,23 (3H, т, J=7,6 Гц), 2,31 (3H, с),2,64 (2H, кв, J=7,6 Гц), 3,62 (3H, с),7,00-7,02 (2H, м), 7,08 (1H, дд, J=5,0, 7,3 Гц), 7,18-7,20 (2H, м), 7,70 (1H, дд, J=2,0, 7,3 Гц), 8,20 (1H, дд, J=2,0, 5,0 Гц), 8,38 (1H, с),8,41 (1H, с). | ESI-MS m/z: 321 [M+H]+. | |
| I-287 | 1H-ЯМР (400 МГц, CDCl3) δ: 1,24 (3H, т, J=7,6 Гц), 2,65 (2H, кв, J=7,6 Гц), 3,80 (3H, с),6,99-7,02 (2H, м), 7,13 (1H, дд, J=5,0, 7,3 Гц), 7,20-7,22 (2H, м), 7,73 (1H, дд, J=2,0, 7,3 Гц), 8,25 (1H, дд, J=2,0, 5,0 Гц), 8,71 (1H, с),8,97 (1H, с),10,48 (1H, с). | ESI-MS m/z: 335 [M+H]+. | |
| I-288 | 1H-ЯМР (400 МГц, CDCl3) δ: 1,24 (3H, т, J=7,6 Гц), 2,65 (2H, кв, J=7,6 Гц), 3,65 (3H, с),7,02 (1H, т, J=64,3 Гц), 6,99-7,02 (2H, м), 7,12 (1H, дд, J=5,0, 7,3 Гц), 7,20-7,22 (2H, м), 7,74 (1H, дд, J=2,0, 7,3 Гц), 8,24 (1H, дд, J=2,0, 5,0 Гц), 8,68 (1H, с),8,76 (1H, с). | ESI-MS m/z: 357 [M+H]+. |
[0984]
[Таблица 37]
| соединение | структурная формула | ЯМР | MS |
| I-289 | 1H-ЯМР (400 МГц, CDCl3) δ: 1,23 (3H, т, J=7,6 Гц), 2,32 (3H, с),2,64 (2H, кв, J=6,4 Гц), 6,97-6,99 (2H, м), 7,10 (1H, дд, J=5,0, 7,3 Гц), 7,17-7,22 (3H, м), 7,60 (1H, дд, J=2,0, 7,3 Гц), 8,21 (1H, дд, J=2,0, 5,0 Гц), 8,46 (1H, с),8,48 (1H, д, J=5,0 Гц). | ESI-MS m/z: 291 [M+H]+. | |
| I-290 | 1H-ЯМР (400 МГц, CDCl3) δ: 1,23 (3H, т, J=7,6 Гц), 2,64 (2H, кв, J=7,6 Гц), 7,01-7,04 (2H, м), 7,10 (1H, дд, J=5,0, 7,3 Гц), 7,19-7,21 (2H, м), 7,44 (1H, д, J=5,3 Гц), 7,66 (1H, дд, J=1,9, 7,3 Гц), 8,24 (1H, дд, J=1,9, 5,0 Гц), 8,52 (1H, д, J=5,3 Гц), 8,62 (1H, с). | ESI-MS m/z: 311, 313 [M+H]+. | |
| I-291 | 1H-ЯМР (400 МГц, CDCl3) δ: 1,17 (3H, т, J=7,6 Гц), 1,23 (3H, т, J=7,6 Гц), 2,61-2,66 (4H, м), 6,95-6,98 (2H, м), 7,08 (1H, дд, J=5,0, 7,3 Гц), 7,17-7,19 (2H, м), 7,25-7,26 (1H, м), 7,59 (1H, дд, J=2,0, 7,3 Гц), 8,21 (1H, дд, J=2,0, 5,0 Гц), 8,44 (1H, с),8,53 (1H, д, J=5,2 Гц). | ESI-MS m/z: 305 [M+H]+. | |
| I-292 | 1H-ЯМР (400 МГц, CDCl3) δ: 1,22 (3H, т, J=7,6 Гц), 2,61 (2H, кв, J=7,6 Гц), 6,60 (1H, д, J=2,3 Гц), 6,95 (1H, дд, J=1,4, 6,8 Гц), 7,00-7,05 (2H, м), 7,12-7,16 (3H, м), 7,20 (1H, дд, J=6,8, 8,7 Гц), 7,61 (1H, дд, J=1,4, 8,7 Гц), 7,96 (1H, д, J=2,3 Гц), 8,00 (1H, дд, J=1,8, 7,3 Гц), 8,27 (1H, д, J=2,3, 5,0 Гц). | ESI-MS m/z: 316 [M+H]+. | |
| I-293 | 1H-ЯМР (400 МГц, CDCl3) δ: 1,22 (3H, т, J=7,6 Гц), 2,25 (3H, д, J=0,9 Гц), 2,63 (2H, кв, J=7,6 Гц), 6,97-7,01 (2H, м), 7,09 (1H, дд, J=5,0, 7,3 Гц), 7,17-7,23 (2H, м), 7,53-7,54 (2H, м), 7,61-7,64 (2H, м), 8,01 (1H, т, J=1,0 Гц), 8,21 (1H, дд, J=2,0, 5,0 Гц). | ESI-MS m/z: 330 [M+H]+. | |
| I-294 | 1H-ЯМР (400 МГц, CDCl3) δ: 3,80 (3H, с),6,64 (1H, т, J=56,8 Гц), 6,89 (1H, д, J=6,0 Гц), 7,17 (3H, м), 7,49-7,52 (2H, м), 7,73 (1H, дд, J=1,8, 7,3 Гц), 8,22 (1H, дд, J=1,8, 5,0 Гц), 8,46 (1H, с),8,54 (1H, д, J=5,5 Гц). | ESI-MS m/z: 329 [M+H]+. | |
| I-295 | 1H-ЯМР (400 МГц, CDCl3) δ: 2,41 (3H, с),3,81 (3H, с),6,73 (1H, т, J=55,4 Гц), 6,89 (1H, д, J=6,0 Гц), 6,94-6,99 (2H, м), 7,14 (1H, дд, J=5,0, 7,3 Гц), 7,49 (1H, д, J=8,2 Гц), 7,71 (1H, дд, J=1,8, 7,3 Гц), 8,22 (1H, дд, J=1,8, 5,0 Гц), 8,45 (1H, с),8,52 (1H, д, J=6,0 Гц). | ESI-MS m/z: 343 [M+H]+. | |
| I-296 | 1H-ЯМР (400 МГц, CDCl3) δ: 1,24 (3H, т, J=7,5 Гц), 2,75 (2H, кв, J=7,5 Гц), 3,81 (3H, с),6,77 (1H, т, J=55,7 Гц), 6,89 (1H, д, J=5,8 Гц), 6,97-7,01 (2H, м), 7,14 (1H, дд, J=4,9, 7,4 Гц), 7,50-7,54 (1H, м), 7,72 (1H, дд, J=1,9, 7,4 Гц), 8,22 (1H, дд, J=1,9, 4,9 Гц), 8,46 (1H, с),8,53 (1H, д, J=5,8 Гц). | ESI-MS m/z: 357 [M+H]+. |
[0985]
[Таблица 38]
| соединение | структурная формула | ЯМР | MS |
| I-297 | 1H-ЯМР (400 МГц, CDCl3) δ: 1,92 (3H, т, J=18,1 Гц), 3,80 (3H, с),6,89 (1H, д, J=5,8 Гц), 7,11-7,14 (2H, м), 7,14 (1H, дд, J=4,9, 7,4 Гц), 7,48-7,52 (2H, м), 7,72 (1H, дд, J=2,0, 7,4 Гц), 8,22 (1H, дд, J=2,0, 5,0 Гц), 8,45 (1H, с),8,53 (1H, д, J=5,8 Гц). | ESI-MS m/z: 343 [M+H]+. | |
| I-298 | 1H-ЯМР (400 МГц, CDCl3) δ: 1,92 (3H, т, J=18,1 Гц), 3,89 (3H, с),6,98 (1H, дд, J=5,0, 7,3 Гц), 7,13 (1H, дд, J=5,0, 7,4 Гц), 7,13-7,15 (2H, м), 7,49-7,51 (2H, м), 7,65 (1H, дд, J=2,0, 7,3 Гц), 7,73 (1H, дд, J=2,0, 7,4 Гц), 8,19 (1H, дд, J=2,0, 3,9 Гц), 8,20 (1H, дд, J=2,0, 4,0 Гц). | ESI-MS m/z: 343 [M+H]+. | |
| I-299 | 1H-ЯМР (400 МГц, CDCl3) δ: 1,92 (3H, т, J=18,1 Гц), 2,31 (3H, с),7,10-7,13 (2H, д, J=8,8 Гц), 7,16 (1H, дд, J=5,0, 7,3 Гц), 7,22 (1H, д, J=5,0 Гц), 7,49-7,52 (2H, д, J=8,8 Гц), 7,64 (1H, дд, J=2,0, 7,3 Гц), 8,23 (1H, дд, J=1,9, 5,0 Гц), 8,46 (1H, с),8,50 (1H, д, J=5,0 Гц). | ESI-MS m/z: 327 [M+H]+. | |
| I-300 | 1H-ЯМР (400 МГц, CDCl3) δ: 1,92 (3H, т, J=18,1 Гц), 3,82 (3H, с),7,11-7,18 (3H, м), 7,52 (2H, д, J=8,9 Гц), 7,74 (1H, дд, J=2,0, 7,4 Гц), 8,25 (1H, дд, J=2,0, 4,9 Гц), 8,44 (1H, с),8,57 (1H, с). | ESI-MS m/z: 377, 379 [M+H]+. | |
| I-301 | 1H-ЯМР (400 МГц, CDCl3) δ: 1,93 (3H, т, J=18,1 Гц), 4,04 (3H, д, J=4,6 Гц), 7,12-7,17 (3H, м), 7,52 (2H, д, J=8,9 Гц), 7,69 (1H, дд, J=1,9, 7,4 Гц), 8,22 (1H, дд, J=1,9, 4,9 Гц), 8,28 (1H, с),8,43 (1H, д, J=4,4 Гц). | ESI-MS m/z: 361 [M+H]+. | |
| I-302 | 1H-ЯМР (400 МГц, CDCl3) δ: 1,99 (3H, дт, J=1,1, 18,5 Гц), 3,79 (3H, с),6,87-6,93 (3H, м), 7,19 (1H, дд, J=4,9, 7,4 Гц), 7,51 (1H, т, J=8,4 Гц), 7,74 (1H, дд, J=1,9, 7,4 Гц), 8,24 (1H, дд, J=2,0, 4,9 Гц), 8,43 (1H, с),8,53 (1H, д, J=5,8 Гц). | ESI-MS m/z: 361 [M+H]+. | |
| I-303 | 1H-ЯМР (400 МГц, CDCl3) δ: 1,98 (3H, дт, J=1,1, 18,6 Гц), 2,29 (3H, с),6,87-6,90 (1H, м), 6,90-6,92 (1H, м), 7,20 (1H, дд, J=4,9, 7,4 Гц), 7,22-7,24 (1H, м), 7,51 (1H, т, J=8,3 Гц), 7,67 (1H, дд, J=1,9, 7,3 Гц), 8,26 (1H, дд, J=2,0, 4,9 Гц), 8,44 (1H, с),8,50 (1H, д, J=5,0 Гц). | ESI-MS m/z: 345 [M+H]+. | |
| I-304 | 1H-ЯМР (400 МГц, CDCl3) δ: 1,92 (3H, т, J=18,1 Гц), 3,87 (3H, с),6,92 (1H, д, J=5,8 Гц), 7,13 (1H, дд, J=5,0, 7,3 Гц), 7,19-7,23 (1H, м), 7,26-7,34 (2H, м), 7,71 (1H, дд, J=1,9, 7,3 Гц), 8,15 (1H, дд, J=1,9, 5,0 Гц), 8,49 (1H, с),8,54 (1H, д, J=5,8 Гц). | ESI-MS m/z: 361 [M+H]+. |
[0986]
[Таблица 39]
| соединение | структурная формула | ЯМР | MS |
| I-305 | 1H-ЯМР (400 МГц, CDCl3) δ: 1,92 (3H, т, J=18,1 Гц), 2,33 (3H, с),7,16 (1H, дд, J=5,0, 7,3 Гц), 7,17-7,25 (1H, м), 7,23 (1H, тд, J=0,6, 5,1 Гц), 7,27-7,34 (2H, м), 7,64 (1H, дд, J=1,9, 7,3 Гц), 8,18 (1H, дд, J=1,9, 5,0 Гц), 8,48 (1H, с),8,51 (1H, д, J=5,0 Гц). | ESI-MS m/z: 345 [M+H]+. | |
| I-306 | 1H-ЯМР (400 МГц, CDCl3) δ: 2,31 (3H, с),4,62 (2H, тд, J=12,2, 46,6 Гц), 7,17-7,22 (2H, м), 7,17-7,19 (2H, м), 7,52-7,54 (2H, м), 7,66 (1H, дд, J=1,9, 7,4 Гц), 8,24 (1H, дд, J=2,0, 5,0 Гц), 8,46 (1H, с),8,50 (1H, д, J=5,0 Гц). | ESI-MS m/z: 345 [M+H]+. | |
| I-307 | 1H-ЯМР (400 МГц, CDCl3) δ: 1,90 (3H, т, J=18,1 Гц), 6,61 (1H, д, J=2,3 Гц), 6,92 (1H, дд, J=1,2, 6,9 Гц), 7,17-7,19 (2H, д, J=8,9 Гц), 7,18-7,22 (2H, м), 7,46-7,49 (2H, м), 7,61 (1H, дд, J=1,3, 8,9 Гц), 7,94 (1H, д, J=2,3 Гц), 8,02 (1H, дд, J=2,0, 7,4 Гц), 8,30 (1H, дд, J=2,0, 5,0 Гц). | ESI-MS m/z: 352 [M+H]+. | |
| I-308 | 1H-ЯМР (400 МГц, CDCl3) δ: 1,90 (3H, т, J=18,1 Гц), 7,12-7,15 (2H, м), 7,21 (1H, дд, J=5,0, 7,3 Гц), 7,45-7,47 (2H, м), 7,85 (1H, дд, J=2,0, 7,3 Гц), 7,87 (1H, д, J=1,3 Гц), 7,88 (1H, с),8,16-8,20 (1H, м), 8,29 (1H, дд, J=1,9, 4,9 Гц), 8,79 (1H, д, J=1,8 Гц), 8,85 (1H, д, J=1,8 Гц). | ESI-MS m/z: 364 [M+H]+. | |
| I-309 | 1H-ЯМР (400 МГц, CDCl3) δ: 3,74 (3H, с),7,00 (1H, д, J=7,8 Гц), 7,14 (1H, дт, J=0,9, 7,8 Гц), 7,48 (1H, ддд, J=1,8, 7,3, 7,8 Гц), 7,53 (1H, дд, J=1,8, 7,8 Гц), 7,66 (1H, дд, J=2,7, 8,7 Гц), 7,74 (1H, д, J=8,2 Гц), 8,10 (1H, д, J=2,7 Гц), 8,49 (1H, д, J=2,3 Гц), 8,56 (1H, д, J=2,7 Гц). | ESI-MS m/z: 348 [M+H]+. | |
| I-310 | 1H-ЯМР (400 МГц, CDCl3) δ: 3,82 (3H, с),7,03 (1H, д, J=8,3 Гц), 7,09 (1H, дд, J=1,0, 8,4 Гц), 7,36 (1H, дд, J=1,7, 7,5 Гц), 7,46 (1H, дт, J=0,9, 7,5 Гц), 7,69 (1H, дд, J=2,5, 8,5 Гц), 7,75 (1H, д, J=2,5 Гц), 8,56 (1H, д, J=2,6 Гц), 8,65 (1H, с),8,74 (1H, с). | ESI-MS m/z: 348 [M+H]+. | |
| I-311 | 1H-ЯМР (CDCl3) δ: 3,78 (3H, с),7,02 (1H, д, J=8,2 Гц), 7,11 (1H, т, J=7,3 Гц), 7,36 (1H, дд, J=1,8, 7,3 Гц), 7,48 (1H, дт, J=1,8, 7,3 Гц), 7,54 (1H, д, J=4,6 Гц), 7,72-7,77 (2H, м), 8,57 (1H, д, J=1,8 Гц), 9,05 (1H, д, J=4,6 Гц). | ESI-MS m/z: 348 [M+H]+. | |
| I-312 | 1H-ЯМР (400 МГц, CDCl3) δ: 2,04 (3H, т, J=18,9 Гц), 3,83 (3H, с),7,03 (1H, дд, J=0,7, 8,4 Гц), 7,10 (1H, дт, J=1,0, 7,5 Гц), 7,37 (1H, дд, J=1,7, 7,5 Гц), 7,43-7,48 (1H, м), 7,60 (1H, дд, J=2,6, 8,6 Гц), 7,72 (1H, дд, J=0,6, 8,6 Гц), 8,48 (1H, дд, J=0,5, 2,6 Гц), 8,63 (1H, с),8,73 (1H, с). | ESI-MS m/z: 344 [M+H]+. |
[0987]
[Таблица 40]
| соединение | структурная формула | ЯМР | MS |
| I-313 | 1H-ЯМР (400 МГц, CDCl3) δ: 3,84 (3H, с),6,72 (1H, уш с),6,98 (1H, дд, J=4,6, 7,3 Гц), 7,09 (1H, д, J=8,2 Гц), 7,14 (1H, т, J=7,8 Гц), 7,28 (1H, дд, J=1,8, 7,8 Гц), 7,42-7,62 (3H, м), 8,30 (1H, дд, J=1,8, 5,0 Гц), 8,41-8,49 (2H, м). | ESI-MS m/z: 346 [M+H]+. | |
| I-314 | 1H-ЯМР (400 МГц, CDCl3) δ: 7,00-7,05 (2H, м), 7,27-7,37 (2H, м), 7,45-7,55 (2H, м), 7,60 (1H, т, J=7,3 Гц), 7,71 (1H, д, J=6,9 Гц), 7,76 (1H, дд, J=0,8, 7,3 Гц), 7,93 (1H, дд, J=2,3, 6,9 Гц), 7,98 (1H, д, J=8,2 Гц), 8,17 (1H, д, J=2,7 Гц), 8,48 (1H, д, J=2,7 Гц). | ESI-MS m/z: 333, 335 [M+H]+ | |
| I-315 | 1H-ЯМР (400 МГц, CDCl3) δ: 1,73-1,84 (4H, м), 2,69-2,81 (4H, м), 3,82 (3H, с),6,79-6,87 (2H, м), 7,00 (1H, д, J=8,2 Гц), 7,04-7,14 (2H, м), 7,43 (1H, дт, J=1,8, 7,3 Гц), 7,50 (1H, дд, J=1,8, 7,8 Гц), 8,07 (1H, д, J=2,7 Гц), 8,32 (1H, д, J=2,7 Гц). | ESI-MS m/z: 333 [M+H]+. | |
| I-316 | 1H-ЯМР (400 МГц, CDCl3) δ: 1,74-1,85 (4H, м), 2,71-2,81 (4H, м), 3,96 (3H, с),6,82 (1H, д, J=2,3 Гц), 6,85 (1H, дд, J=2,7, 8,2 Гц), 7,05 (1H, дд, J=5,0, 6,9 Гц), 7,09 (1H, д, J=8,2 Гц), 7,83 (1H, дд, J=1,8, 7,3 Гц), 8,10 (1H, д, J=2,7 Гц), 8,27 (1H, дд, J=1,8, 5,0 Гц), 8,32 (1H, д, J=2,7 Гц). | ESI-MS m/z: 334 [M+H]+. | |
| I-317 | 1H-ЯМР (400 МГц, CDCl3) δ: 1,74-1,86 (4H, м), 2,71-2,81 (4H, м), 3,88 (3H, с),6,80 (1H, д, J=2,3 Гц), 6,83 (1H, дд, J=2,7, 8,2 Гц), 6,92 (1H, д, J=5,5 Гц), 7,09 (1H, д, J=7,8 Гц), 8,12 (1H, д, J=2,7 Гц), 8,35 (1H, д, J=2,7 Гц), 8,58 (1H, д, J=6,0 Гц), 8,62 (1H, с). | ESI-MS m/z: 334 [M+H]+. | |
| I-318 | 1H-ЯМР (400 МГц, CDCl3) δ: 3,97 (3H, с),5,06 (2H, с),6,97-7,10 (5H, м), 7,31-7,47 (5H, м), 7,84 (1H, дд, J=1,8, 7,3 Гц), 8,09 (1H, д, J=2,7 Гц), 8,28 (1H, дд, J=1,8, 5,0 Гц), 8,33 (1H, д, J=2,7 Гц). | ESI-MS m/z: 386 [M+H]+. | |
| I-319 | 1H-ЯМР (400 МГц, CDCl3) δ: 3,82 (3H, с),7,01-7,09 (4H, м), 7,33-7,46 (4H, м), 8,57 (1H, с),8,72 (1H, с). | ESI-MS m/z: 313, 315 [M+H]+. | |
| I-320 | 1H-ЯМР (400 МГц, CDCl3) δ: 1,25 (6H, д, J=6,9 Гц), 2,94 (1H, септ, J=6,8 Гц), 3,82 (3H, с),6,94-7,09 (4H, м), 7,25 (2H, д, J=8,2 Гц), 7,30-7,42 (2H, м), 8,55 (1H, с),8,72 (1H, с). | ESI-MS m/z: 321 [M+H]+. |
[0988]
[Таблица 41]
| соединение | структурная формула | ЯМР | MS |
| I-321 | 1H-ЯМР (400 МГц, CDCl3) δ: 3,81 (3H, с),7,01 (1H, д, J=8,3 Гц), 7,09 (1H, дт, J=1,0, 7,3 Гц), 7,25 (2H, д, J=8,3 Гц), 7,36 (1H, дд, J=1,8, 7,3 Гц), 7,44 (1H, дт, J=1,8, 7,3 Гц), 7,67 (2H, д, J=8,3 Гц), 8,61 (1H, с),8,74 (1H, с). | ESI-MS m/z: 347 [M+H]+. | |
| I-322 | 1H-ЯМР (400 МГц, CDCl3) δ: 3,82 (3H, с),6,66 (1H, т, J=56,5 Гц), 7,02 (1H, д, J=8,3 Гц), 7,09 (1H, дт, J=1,0, 7,5 Гц), 7,21-7,23 (2H, м), 7,37 (1H, дд, J=1,7, 7,5 Гц), 7,41-7,46 (1H, м), 7,55-7,57 (2H, м), 8,60 (1H, с),8,73 (1H, с). | ESI-MS m/z: 329 [M+H]+. | |
| I-323 | 1H-ЯМР (400 МГц, CDCl3) δ: 2,44 (3H, с),3,82 (3H, с),6,75 (1H, т, J=55,4 Гц), 6,99-7,05 (3H, м), 7,08 (1H, дт, J=1,0, 7,5 Гц), 7,36 (1H, дд, J=1,7, 7,5 Гц), 7,40-7,46 (1H, м), 7,55 (1H, д, J=8,4 Гц), 8,59 (1H, с),8,75 (1H, с). | ESI-MS m/z: 343 [M+H]+. | |
| I-324 | 1H-ЯМР (400 МГц, CDCl3) δ: 2,55 (3H, с),3,31 (2H, т, J=8,7 Гц), 4,61 (2H, т, J=8,7 Гц), 6,72 (1H, т, J=54,5 Гц), 6,98 (1H, т, J=7,5 Гц), 7,28-7,31 (2H, м), 7,46 (1H, д, J=2,3 Гц), 8,33 (1H, д, J=2,3 Гц), 8,71 (1H, с),8,77 (1H, с). | ESI-MS m/z: 356 [M+H]+. | |
| I-325 | 1H-ЯМР (400 МГц, CDCl3) δ: 2,56 (3H, с),3,93 (3H, с),6,72 (1H, т, J=54,5 Гц), 7,00-7,05 (2H, м), 7,45 (1H, д, J=2,3 Гц), 8,32 (1H, д, J=2,3 Гц), 8,66 (1H, с),8,77 (1H, с). | ESI-MS m/z: 380 [M+H]+. | |
| I-326 | 1H-ЯМР (400 МГц, CDCl3) δ: 2,09 (2H, квинт, J=7,6 Гц), 2,85-2,94 (4H, м), 6,64 (1H, д, J=2,3 Гц), 6,89-6,93 (1H, м), 6,96 (1H, дд, J=1,2, 6,9 Гц), 6,99-7,03 (1H, м), 7,19-7,24 (2H, м), 7,66 (1H, дд, J=1,2, 9,0 Гц), 7,98 (1H, д, J=2,3 Гц), 8,87 (2H, br с). | ESI-MS m/z: 329 [M+H]+. | |
| I-327 | 1H-ЯМР (400 МГц, CDCl3) δ: 3,31 (2H, д, J=8,7 Гц), 4,60 (2H, д, J=8,7 Гц), 6,99 (1H, т, J=7,4 Гц), 7,28-7,32 (2H, м), 7,72 (1H, дд, J=2,3, 8,6 Гц), 7,77 (1H, д, J=8,6 Гц), 8,61 (1H, д, J=2,3 Гц), 8,71 (1H, с),8,78 (1H, с). | ESI-MS m/z: 360 [M+H]+. | |
| I-328 | 1H-ЯМР (400 МГц, CDCl3) δ: 3,79 (3H, с),6,86 (1H, дд, J=6,5, 12,0 Гц), 7,23 (1H, дд, J=8,6, 10,2 Гц), 7,68 (1H, дд, J=2,5, 8,6 Гц), 7,77 (1H, д, J=8,6 Гц), 8,56 (1H, д, J=2,5 Гц), 8,62 (1H, с),8,75 (1H, с). | ESI-MS m/z: 384 [M+H]+. |
[0989]
[Таблица 42]
| соединение | структурная формула | ЯМР | MS |
| I-329 | 1H-ЯМР (400 МГц, CDCl3) δ: 3,94 (3H, с),7,01-7,06 (2H, м), 7,72 (1H, дд, J=2,4, 8,5 Гц), 7,79 (1H, д, J=8,5 Гц), 8,60 (1H, д, J=2,4 Гц), 8,68 (1H, с),8,78 (1H, с). | ESI-MS m/z: 384 [M+H]+. | |
| I-330 | 1H-ЯМР (400 МГц, CDCl3) δ: 3,96 (3H, с),7,04 (1H, дд, J=5,0, 7,3 Гц), 7,25 (2H, д, J=8,3 Гц), 7,68-7,71 (3H, м), 8,27 (1H, дд, J=2,3, 5,0 Гц), 8,64 (1H, с),8,75 (1H, с). | ESI-MS m/z: 348 [M+H]+. | |
| I-331 | 1H-ЯМР (400 МГц, CDCl3) δ: 3,92 (3H, с),7,23-7,28 (2H, м), 7,70-7,72 (2H, м), 8,48 (1H, с),8,64 (2H, м), 8,81 (1H, с). | ESI-MS m/z: 382, 384 [M+H]+. | |
| I-332 | 1H-ЯМР (400 МГц, CDCl3) δ: 6,65 (1H, д, J=2,2 Гц), 6,95 (1H, дд, J=1,2, 6,8 Гц), 7,24 (1H, дд, J=6,8, 8,3 Гц), 7,30 (2H, д, J=8,3 Гц), 7,66 (2H, д, J=8,3 Гц), 7,70 (1H, д, J=1,3 Гц), 7,96 (1H, д, J=2,3 Гц), 8,87 (1H, с),8,88 (1H, с). | ESI-MS m/z: 357 [M+H]+. | |
| I-333 | 1H-ЯМР (400 МГц, CDCl3) δ:1,92 (3H, т, J=18,1 Гц), 6,65 (1H, д, J=2,3 Гц), 6,96 (1H, дд, J=1,2, 6,8 Гц), 7,21-7,24 (2H, м), 7,24 (1H, д, J=8,9 Гц), 7,53-7,55 (2H, м), 7,68 (1H, дд, J=1,3, 8,9 Гц), 7,97 (1H, д, J=2,3 Гц), 8,87 (1H, с),8,88 (1H, с). | ESI-MS m/z: 353 [M+H]+. | |
| I-334 | 1H-ЯМР (400 МГц, CDCl3) δ: 2,05 (3H, т, J=18,6 Гц), 3,94 (3H, с),7,01-7,06 (2H,m), 7,64 (1H, дд, J=2,6, 8,6 Гц), 7,75 (1H, дд, J=0,6, 8,6 Гц), 8,51 (1H, дд, J=0,5, 2,6 Гц), 8,66 (1H, с),8,77 (1H, с). | ESI-MS m/z: 380 [M+H]+. | |
| I-335 | 1H-ЯМР (400 МГц, CDCl3) δ: 2,05 (3H, т, J=18,6 Гц), 3,31 (2H, т, J=8,7 Гц), 4,61 (2H, т, J=8,8 Гц), 6,99 (1H, т, J=7,6 Гц), 7,27-7,32 (2H, м), 7,65 (1H, дд, J=2,6, 8,6 Гц), 7,73 (1H, дд, J=0,6, 8,6 Гц), 8,52 (1H, дд, J=0,6, 2,6 Гц), 8,71 (1H, с),8,77 (1H, с). | ESI-MS m/z: 356 [M+H]+. | |
| I-336 | 1H-ЯМР (400 МГц, CDCl3) δ: 2,05 (3H, т, J=18,6 Гц), 3,80 (3H, с),6,85 (1H, дд, J=6,6, 11,9 Гц), 7,23 (1H, дд, J=8,7, 10,2 Гц), 7,60 (1H, дд, J=2,6, 8,6 Гц), 7,74 (1H, дд, J=0,6, 8,6 Гц), 8,47 (1H, дд, J=0,6, 2,6 Гц), 8,60 (1H, с),8,74 (1H, с). | ESI-MS m/z: 380 [M+H]+. |
[0990]
[Таблица 43]
| соединение | структурная формула | ЯМР | MS |
| I-337 | 1H-ЯМР (400 МГц, DMSO-d6) δ: 3,78 (3H, с),6,58 (2H, с),7,05 (1H, т, J=7,3 Гц), 7,12 (1H, д, J=7,9 Гц), 7,17-7,20 (1H, м), 7,36 (1H, дд, J=1,8, 7,3 Гц), 7,40 (1H, т, J=8,2 Гц), 7,73 (1H, дд, J=1,8, 7,3 Гц), 8,06 (2H, с),8,08 (1H, дд, J=1,8, 4,5 Гц). | ESI-MS m/z: 295 [M+H]+. | |
| I-338 | 1H-ЯМР (400 МГц, CDCl3) δ: 3,75 (3H, с),6,99 (1H, д, J=8,2 Гц), 7,06-7,10 (1H, м), 7,21 (1H, дд, J=5,0, 7,3 Гц), 7,32 (1H, дд, J=1,8, 7,3 Гц), 7,40-7,45 (1H, м), 7,74 (1H, дд, J=1,8, 7,3 Гц), 8,14 (1H, дд, J=1,8, 5,0 Гц), 8,50 (2H, с). | ESI-MS m/z: 314, 316 [M+H]+. | |
| I-339 | 1H-ЯМР (400 МГц, CDCl3) δ: 3,13 (3H, с),3,82 (3H, с),4,90 (2H, с),7,00 (1H, д, J=8,3 Гц), 7,04-7,09 (2H, м), 7,24-7,35 (6H, м), 7,40 (1H, т, J=7,6 Гц), 7,66 (1H, дд, J=1,3, 7,3 Гц), 8,11 (1H, д, J=3,5 Гц), 8,22 (2H, с). | ESI-MS m/z: 399 [M+H]+. | |
| I-340 | 1H-ЯМР (400 МГц, CDCl3) δ: 1,18 (3H, т, J=6,8 Гц), 3,14 (3H, с),3,30 (2H, т, J=8,7 Гц), 3,68 (2H, кв, J=6,9 Гц), 4,60 (2H, т, J=8,7 Гц), 6,96 (1H, т, J=7,8 Гц), 7,05-7,08 (1H, м), 7,23-7,32 (2H, м), 7,79 (1H, д, J=7,3 Гц), 8,09 (1H, д, J=4,6 Гц), 8,23 (2H, с). | ESI-MS m/z: 349 [M+H]+. | |
| I-341 | 1H-ЯМР (400 МГц, CDCl3) δ: 2,20 (3H, с),2,21 (3H, с),3,78 (3H, с),7,13 (1H, дд, J=5,0, 7,3 Гц), 7,18 (2H, д, J=8,7 Гц), 7,59 (1H, дд, J=1,8, 7,3 Гц), 7,82 (2H, д, J=8,7 Гц), 8,14 (1H, дд, J=1,8, 5,0 Гц). | ESI-MS m/z: 348 [M+H]+. | |
| I-342 | 1H-ЯМР (400 МГц, CDCl3) δ: 2,42 (3H, с),2,70 (3H, с),7,14 (1H, дд, J=5,0, 7,3 Гц), 7,23 (2H, д, J=8,4 Гц), 7,65 (2H, д, J=8,7 Гц), 7,76 (1H, дд, J=1,8, 7,3 Гц), 8,17 (1H, дд, J=1,8, 4,6 Гц). | ESI-MS m/z: 351 [M+H]+. | |
| I-343 | 1H-ЯМР (400 МГц, CDCl3) δ: 3,44 (3H, с),4,07 (2H, т, J=13,3 Гц), 7,22 (1H, дд, J=0,9, 7,3 Гц), 7,27 (1H, дд, J=5,0, 7,3 Гц), 7,62-7,74 (3H, м), 7,86 (1H, дд, J=0,9, 8,7 Гц), 8,04 (1H, дд, J=1,8, 7,3 Гц), 8,32 (1H, дд, J=1,8, 5,0 Гц), 8,33 (1H, с),8,51 (1H, д, J=2,7 Гц). | ESI-MS m/z: 384 [M+H]+. | |
| I-344 | 1H-ЯМР (400 МГц, CDCl3) δ: 1,25 (3H, т, J=7,3 Гц), 3,10 (3H, с),3,81 (3H, с),4,18 (2H, кв, J= 7,3 Гц), 4,32 (3H, с),6,56 (1H, д, J= 9,2 Гц), 6,98-7,08 (3H, м), 7,30-7,40 (3H, м), 7,65 (1H, дд, J=1,8, 7,3 Гц), 7,96 (1H, д, J=2,8 Гц), 8,10 (1H, дд, J=1,8, 5,0 Гц). | ESI-MS m/z: 394 [M+H]+. |
[0991]
[Таблица 44]
| соединение | структурная формула | ЯМР | MS |
| I-345 | 1H-ЯМР (400 МГц, CDCl3) δ: 2,08 (2H, квин, J=7,3 Гц), 2,83-2,91 (4H, м), 3,80 (3H, с),6,85 (1H, дд, J=2,3, 8,2 Гц), 6,94-7,06 (4H, м), 7,18 (1H, д, J=8,2 Гц), 7,32-7,39 (2H, м), 7,67 (1H, дд, J=1,9, 7,3 Гц), 8,15 (1H, дд, J=2,3, 5,0 Гц). | ESI-MS m/z: 318 [M+H]+. | |
| I-346 | 1H-ЯМР (400 МГц, CDCl3) δ: 2,21 (6H, с),3,80 (3H, с),7,18 (1H, дд, J=4,6, 7,3 Гц), 7,58-7,66 (2H, м), 7,71 (1H, д, J=8,7 Гц), 8,12 (1H, дд, J=1,8, 5,0 Гц), 8,53 (1H, д, J=2,3 Гц). | ESI-MS m/z: 349 [M+H]+. | |
| I-347 | 1H-ЯМР (400 МГц, CDCl3) δ: 3,85 (1H, т, J=7,3 Гц), 3,87 (3H, с),4,20 (2H, дт, J=7,3, 12,8 Гц), 7,01 (1H, дд, J=5,0, 7,3 Гц), 7,18 (1H, дд, J=5,0, 7,3 Гц), 7,60 (1H, дд, J=2,3, 8,7 Гц), 7,65 (1H, дд, J=2,3, 7,4 Гц), 7,72 (1H, д, J=8,7 Гц), 7,76 (1H, дд, J=1,8, 7,3 Гц), 8,16 (1H, дд, J=1,8, 5,1 Гц), 8,22 (1H, дд, J=1,8, 5,1 Гц), 8,41 (1H, д, J=2,8 Гц). | ESI-MS m/z: 360 [M+H]+. | |
| I-348 | 1H-ЯМР (400 МГц, CDCl3) δ: 3,45 (3H, с),3,88 (3H, с),4,07 (2H, т, J=13,3 Гц), 7,01 (1H, дд, J=5,1, 6,9 Гц), 7,18 (1H, дд, J=5,1, 7,3 Гц), 7,57 (1H, дд, J=2,3, 8,7 Гц), 7,65 (1H, дд, J=1,8, 7,3 Гц), 7,70 (1H, д, J=8,7 Гц), 7,76 (1H, дд, J=1,8, 7,3 Гц), 8,18 (1H, дд, J=1,8, 5,1 Гц), 8,22 (1H, дд, J=1,8, 5,1 Гц), 8,47 (1H, д, J=2,3 Гц). | ESI-MS m/z: 374 [M+H]+. | |
| I-349 | 1H-ЯМР (400 МГц, CDCl3) δ: 3,45 (3H, с),3,80 (3H, с),4,08 (2H, т, J=13,3 Гц), 6,90 (1H, д, J=6,0 Гц), 7,20 (1H, дд, J=5,0, 7,3 Гц), 7,56 (1H, дд, J=2,7, 8,7 Гц), 7,70 (1H, д, J=9,2 Гц), 7,75 (1H, дд, J=2,7, 7,3 Гц), 8,20 (1H, дд, J=1,8, 5,0 Гц), 8,42-8,48 (2H, м), 8,53 (1H, д, J=5,5 Гц). | ESI-MS m/z: 374 [M+H]+. | |
| I-350 | 1H-ЯМР (400 МГц, CDCl3) δ: 3,70 (3H, с),5,00 (2H, т, J=13,7 Гц), 6,24 (1H, т, J=2,3 Гц), 6,96 (1H, д, J=2,3 Гц), 7,00 (1H, дт, J=0,9, 7,3 Гц), 7,18 (1H, дд, J=5,0, 7,3 Гц), 7,31 (1H, дд, J=1,8, 7,3 Гц), 7,39 (1H, дт, J=1,8, 8,3 Гц), 7,44 (1H, д, J=2,3 Гц), 7,49-7,53 (2H, м), 7,56 (1H, д, J=8,7 Гц), 7,74 (1H, дд, J=2,3, 7,3 Гц), 8,17 (1H, дд, J=1,8, 5,0 Гц), 8,48 (1H, д, J=2,3 Гц). | ESI-MS m/z: 409 [M+H]+. | |
| I-351 | 1H-ЯМР (400 МГц, CDCl3) δ: 3,68 (3H, с),4,79 (2H, т, J=13,3 Гц), 6,90 (1H, с),6,95-7,01 (2H, м), 7,06 (1H, дт, J=0,9, 7,3 Гц), 7,19 (1H, дд, J=5,0, 7,3 Гц), 7,31 (1H, дд, J=1,8, 7,3 Гц), 7,39 (1H, дт, J=1,8, 8,3 Гц), 7,45 (1H, с),7,52 (1H, дд, J=2,3, 8,7 Гц), 7,56 (1H, д, J=8,3 Гц), 7,74 (1H, дд, J=1,8, 7,3 Гц), 8,17 (1H, дд, J=1,8, 5,0 Гц), 8,48 (1H, д, J=2,3 Гц). | ESI-MS m/z: 409 [M+H]+. | |
| I-352 | 1H-ЯМР (400 МГц, DMSO-d6) δ: 3,88 (3H, с),6,61 (2H, с),7,10-7,13 (1H, м), 7,20-7,23 (1H, м), 7,84 (2H, дт, J=1,8, 7,8 Гц), 8,09 (2H, с),8,11 (1H, дд, J=1,8, 4,6 Гц), 8,23 (1H, дд, J=2,2, 5,0 Гц). | ESI-MS m/z: 296 [M+H]+. |
[0992]
[Таблица 45]
| соединение | структурная формула | ЯМР | MS |
| I-353 | 1H-ЯМР (400 МГц, CDCl3) δ: 3,89 (3H, с),7,03 (1H, дд, J=5,0, 6,9 Гц), 7,21 (1H, дд, J=5,0, 7,3 Гц), 7,64 (1H, дд, J=1,8, 7,3 Гц), 7,76 (1H, дд, J=2,0, 7,3 Гц), 8,15 (1H, дд, J=1,8, 5,0 Гц), 8,25 (1H, дд, J=1,8, 5,0 Гц), 8,39 (2H, с). | ESI-MS m/z: 407 [M+H]+ | |
| I-354 | 1H-ЯМР (400 МГц, CDCl3) δ: 3,26 (3H, с),3,74 (3H, с),3,96 (3H, с),4,38 (2H, с),7,01 (1H, дд, J=5,0, 7,3 Гц), 7,09 (1H, дд, J=5,0, 7,3 Гц), 7,65-7,70 (2H, м), 8,11 (1H, дд, J=1,8, 5,0 Гц), 8,21 (2H, с),8,23 (1H, дд, J=1,8, 5,0 Гц). | ESI-MS m/z: 382 [M+H]+. | |
| I-355 | 1H-ЯМР (400 МГц, CDCl3) δ: 3,82 (3H, с),6,65 (1H, т, J=56,6 Гц), 7,15-7,20 (3H, м), 7,52-7,54 (2H, м), 7,74 (1H, дд, J=1,9, 7,4 Гц), 8,24 (1H, дд, J=1,9, 4,9 Гц), 8,44 (1H, с),8,57 (1H, с). | ESI-MS m/z: 363, 365 [M+H]+. | |
| I-356 | 1H-ЯМР (400 МГц, CDCl3) δ: 4,05 (3H, д, J=4,6 Гц), 6,65 (1H, т, J=56,8 Гц), 7,14-7,19 (3H, м), 7,52-7,54 (2H, м), 7,69 (1H, дд, J=1,9, 7,4 Гц), 8,22 (1H, дд, J=1,9, 4,9 Гц), 8,29 (1H, с),8,43 (1H, д, J=4,4 Гц). | ESI-MS m/z: 347 [M+H]+. | |
| I-357 | 1H-ЯМР (400 МГц, CDCl3) δ: 3,96 (3H, с),6,95 (1H, д, J=5,9 Гц), 7,06 (2H, д, J=8,4 Гц), 7,39 (2H, д, J=8,4 Гц), 8,49 (1H, с),8,56-8,59 (2H, м), 8,76 (1H, с). | ESI-MS m/z: 314, 316 [M+H]+. | |
| I-358 | 1H-ЯМР (400 МГц, CDCl3) δ: 6,65 (1H, с),6,65 (1H, т, J=58,1 Гц), 6,96 (1H, дд, J=1,2, 6,8 Гц), 7,21-7,29 (3H, м), 7,53-7,56 (2H, м), 7,68 (1H, дд, J=1,3, 8,9 Гц), 7,97 (1H, д, J=2,3 Гц), 8,86 (1H, с), 8,87 (1H, с). | ESI-MS m/z: 339 [M+H]+. | |
| I-359 | 1H-ЯМР (400 МГц, CDCl3) δ: 2,05 (3H, т, J=18,5 Гц), 3,82 (3H, с),6,76 (1H, дд, J=2,4, 10,7 Гц), 6,81 (1H, дт, J=2,4, 8,3 Гц), 7,32 (1H, дд, J=6,5, 8,4 Гц), 7,60 (1H, дд, J=2,6, 8,6 Гц), 7,73 (1H, дд, J=0,6, 8,6 Гц), 8,47 (1H, дд, J=0,6, 2,6 Гц), 8,60 (1H, с), 8,73 (1H, с). | ESI-MS m/z: 362 [M+H]+. | |
| I-360 | 1H-ЯМР (400 МГц, CDCl3) δ: 2,05 (3H, т, J=18,6 Гц), 3,80 (3H, с),6,96 (1H, дд, J=4,3, 9,0 Гц), 7,10-7,17 (2H, м), 7,61 (1H, дд, J=2,6, 8,6 Гц), 7,73 (1H, дд, J=0,6, 8,6 Гц), 8,47 (1H, дд, J=0,6, 2,6 Гц), 8,63 (1H, с),8,74 (1H, с). | ESI-MS m/z: 362 [M+H]+. |
[0993]
[Таблица 46]
| соединение | структурная формула | ЯМР | MS |
| I-361 | 1H-ЯМР (400 МГц, CDCl3) δ: 3,46 (3H, с),3,97 (3H, с),4,09 (2H, т, J=13,2 Гц), 7,04-7,07 (1H, дд, J=5,0, 7,3 Гц), 7,63 (1H, дд, J=2,7, 8,7 Гц), 7,69 (1H, дд, J=1,8, 7,3 Гц), 7,77 (1H, д, J=8,7 Гц), 8,28 (1H, дд, J=1,8, 5,0 Гц), 8,51 (1H, дд, J=2,3 Гц), 8,66 (1H, с),8,75 (1H, с). | ESI-MS m/z: 375 [M+H]+. | |
| I-362 | 1H-ЯМР (400 МГц, CDCl3) δ: 6,78 (1H, д, J=2,4 Гц), 6,96 (1H, дд, J=1,2, 6,9 Гц), 7,32 (1H, дд, J=7,0, 8,9 Гц), 7,55 (4H, с),7,76 (1H, дд, J=1,2, 8,9 Гц), 8,15 (1H, д, J=2,4 Гц), 8,22 (1H, уш с),8,59 (1H, с),8,89 (1H, с). | ESI-MS m/z: 356 [M+H]+. | |
| I-363 | 1H-ЯМР (400 МГц, CDCl3) δ: 3,94 (3H, с),6,68 (1H, т, J=55,5 Гц), 7,00-7,07 (2H, м), 7,69 (1H, дд, J=2,4, 8,6 Гц), 7,74 (1H, д, J=8,5 Гц), 8,53 (1H, д, J=2,4 Гц), 8,67 (1H, с),8,77 (1H, с). | ESI-MS m/z: 366 [M+H]+. | |
| I-365 | 1H-ЯМР (400 МГц, CDCl3) δ: 3,07 (6H, с),3,83 (3H, с),6,53 (1H, д, J=9,2 Гц), 6,99-7,08 (3H, м), 7,26-7,40 (3H, м), 7,65 (1H, дд, J=1,4, 7,3 Гц), 8,01 (1H, д, J=1,8 Гц), 8,12 (1H, дд, J=1,8, 4,6 Гц). | ESI-MS m/z: 322 [M+H]+. | |
| I-366 | 1H-ЯМР (400 МГц, CDCl3) δ: 3,74 (3H, с),6,71 (1H, дд, J=2,3, 10,5 Гц), 6,77 (1H, дт, J=2,3, 10,3 Гц), 7,13-7,16 (1H, м), 7,25-7,28 (1H, м), 7,32 (1H, д, J=8,7 Гц), 7,45 (1H, дд, J=2,7, 8,2 Гц), 7,68 (1H, дд, J=1,8, 7,3 Гц), 8,14 (1H, дд, J=1,8, 4,6 Гц), 8,20 (1H, д, J=3,2 Гц). | ESI-MS m/z: 331 [M+H]+. | |
| I-367 | 1H-ЯМР (400 МГц, CDCl3) δ: 1,15 (3H, т, J=7,9 Гц), 3,02 (3H, с),3,56 (2H, кв, J=7,3 Гц), 3,81 (3H, с),6,70-6,78 (2H, м), 7,00-7,04 (1H, м), 7,24-7,31 (2H, м), 7,61 (1H, дд, J=1,8, 7,3 Гц), 7,98 (1H, д, J=3,2 Гц), 8,12 (1H, дд, J=1,8, 5,0 Гц). | ESI-MS m/z: 354 [M+H]+. | |
| I-368 | 1H-ЯМР (400 МГц, CDCl3) δ: 0,92 (3H, т, J=7,3 Гц), 1,61 (2H, секст, J=7,8 Гц), 3,03 (3H, с),3,43 (2H, т, J=7,8 Гц), 3,81 (1H, с),6,48 (1H, д, J=9,2 Гц), 6,70-6,78 (2H, м), 7,00-7,04 (1H, м), 7,23-7,31 (2H, м), 7,61 (1H, дд, J=1,8, 7,4 Гц), 7,97 (1H, д, J=2,3 Гц), 8,12 (1H, дд, J=1,8, 5,0 Гц). | ESI-MS m/z: 368 [M+H]+. | |
| I-369 | 1H-ЯМР (400 МГц, CDCl3) δ: 2,89 (3H, с),2,81 (6H, с),3,78 (3H, с),6,68-6,78 (2H, м), 7,06 (1H, дд, J=5,0, 7,3 Гц), 7,19 (1H, д, J=2,3 Гц), 7,26-7,30 (1H, м), 7,64 (1H, дд, J=1,8, 7,3 Гц), 7,95 (1H, д, J=2,7 Гц), 8,14 (1H, дд, J=1,8, 5,0 Гц). | ESI-MS m/z: 354 [M+H]+. |
[0994]
[Таблица 47]
| соединение | структурная формула | ЯМР | MS |
| I-370 | 1H-ЯМР (400 МГц, CDCl3) δ: 3,78 (3H, с),6,91 (1H, дд, J=0,5, 8,8 Гц), 6,99 (1H, дд, J=0,8, 8,3 Гц), 7,07 (1H, дт, J=1,0, 7,5 Гц), 7,12 (1H, дд, J=4,9, 7,4 Гц), 7,33 (1H, дд, J=1,7, 7,5 Гц), 7,39 (1H, дт, J=1,9, 7,6 Гц), 7,40 (1H, т, J=73,2 Гц), 7,52 (1H, дд, J=2,9, 8,8 Гц), 7,70 (1H, дд, J=1,9, 7,3 Гц), 8,00 (1H, д, J=2,8 Гц), 8,12 (1H, дд, J=1,9, 4,9 Гц). | ESI-MS m/z: 345 [M+H]+. | |
| I-371 | 1H-ЯМР (400 МГц, CDCl3) δ: 3,76 (3H, с),4,45 (2H, с),4,75 (1H, уш с),6,68 (2H, д, J=8,2 Гц), 6,72 (1H, т, J=7,3 Гц), 6,98 (1H, д, J=8,2 Гц), 7,06 (1H, т, J=7,3 Гц), 7,12 (1H, дд, J=5,0, 7,3 Гц), 7,18 (2H, т, J=7,3 Гц), 7,31-7,44(4H, м), 7,71 (1H, дд, J=1,8, 7,3 Гц), 8,14 (1H, дд, J=1,8, 5,0 Гц), 8,40 (1H, д, J=2,7 Гц). | ESI-MS m/z: 384 [M+H]+. | |
| I-374 | 1H-ЯМР (400 МГц, CDCl3) δ: 4,00 (3H, с),6,74-6,80 (1H, м), 7,26 (1H, дд, J=5,0, 7,3 Гц), 7,64-7,70 (3H, м), 7,74 (1H, д, J=7,3 Гц), 8,26 (1H, дд, J=1,8, 5,0 Гц), 8,52 (1H, дд, J=1,8, 7,3 Гц), 8,62 (1H, д, J=2,4 Гц). | ESI-MS m/z: 348 [M+H]+. | |
| I-375 | 1H-ЯМР (400 МГц, CDCl3) δ: 6,96 (1H, д, J=6,4 Гц), 7,26-7,34 (2H, м), 7,63-7,68 (3H, м), 7,85 (1H, с),7,97-7,99 (1H, м), 8,29-8,32 (1H, м), 8,54 (1H, с). | ESI-MS m/z: 391, 393 [M+H]+. | |
| I-377 | 1H-ЯМР (400 МГц, CDCl3) δ: 2,60 (3H, с),7,25 (1H, дд, J=4,9, 7,5 Гц), 7,70-7,77 (2H, м), 8,05 (1H, дд, J=1,9, 7,5 Гц), 8,23 (1H, дд, J=1,9, 4,9 Гц), 8,63 (1H, д, J=2,2 Гц). | ESI-MS m/z: 416, 418 [M+H]+. | |
| I-378 | 1H-ЯМР (400 МГц, CDCl3) δ: 2,26 (3H, с),3,37 (3H, с),5,49-5,51 (1H, м), 6,35 (1H, уш с),6,72 (1H, дд, J=2,3, 10,0 Гц), 6,78 (1H, ддд, J=2,7, 8,2, 8,2 Гц), 7,16 (1H, дд, J=4,6, 7,3 Гц), 7,26-7,31 (1H, м), 7,69 (1H, дд, J=1,8, 7,3 Гц), 8,12 (1H, дд, J=1,8, 4,6 Гц), 8,55 (2H, м). | ESI-MS m/z: 338 [M+H]+. | |
| I-379 | 1H-ЯМР (400 МГц, CDCl3) δ: 0,88-0,92 (2H, м), 1,24-1,28 (1H, м), 1,35-1,37 (2H, м), 3,77 (3H, с),6,72 (1H, дд, J=2,3, 11,0 Гц), 6,77 (1H, ддд, J=2,3, 8,2, 8,2 Гц), 7,13 (1H, дд, J=4,6, 7,3 Гц), 7,26-7,30 (1H, м), 7,67 (1H, дд, J=1,8, 7,3 Гц), 8,11 (1H, дд, J=1,8, 4,6 Гц), 8,43 (2H, с). | ESI-MS m/z: 352 [M+H]+. | |
| I-380 | 1H-ЯМР (400 МГц, CDCl3) δ: 3,79 (3H, с), 5,43 (2H, с),7,01 (1H, д, J=8,3 Гц), 7,08 (1H, дт, J=0,9, 7,3), 7,13 (1H, м), 7,29-7,43 (5H, м), 7,49 (2H, д, J=6,9 Гц), 7,70 (1H, дд, J=2,3, 7,3 Гц), 8,11 (1H, дд, J=1,8, 5,0 Гц), 8,38 (2H, с). | ESI-MS m/z: 386 [M+H]+. |
[0995]
[Таблица 48]
| соединение | структурная формула | ЯМР | MS |
| I-381 | 1H-ЯМР (400 МГц, CDCl3) δ: 3,14 (3H, с), 3,97 (3H, с),4,91 (2H, с),7,01 (1H, дд, J=5,0, 6,9 Гц), 7,09 (1H, дд, J=5,0, 6,9 Гц), 7,23-7,34 (5H, м), 7,66-7,70 (2H, м), 8,13 (1H, дд, J=1,8, 5,0 Гц), 8,22 (2H, с),8,23 (1H, дд, J=1,8, 5,0 Гц). | ESI-MS m/z: 400 [M+H]+. | |
| I-384 | 1H-ЯМР (400 МГц, CDCl3) δ: 0,95 (3H, т, J=7,3 Гц), 1,31-1,40 (2H, м), 1,56-1,64 (2H, м), 3,14 (3H, с),3,60 (2H, J= 7,3 Гц), 3,89 (3H, с),6,92 (1H, д, J=5,9 Гц), 7,10 (1H, дд, J=5,0, 7,3 Гц), 7,66 (1H, дд, J=2,3, 7,3 Гц), 8,14-8,17 (3H, м), 8,46 (1H, с),8,55 (1H, д, J=5,5 Гц). | ESI-MS m/z: 366 [M+H]+. | |
| I-386 | 1H-ЯМР (400 МГц, CDCl3) δ: 1,26 (3H, т, J=7,3 Гц), 3,25 (3H, с),3,80 (3H, с),4,20 (2H, кв, J=7,3 Гц), 4,36 (2H, с),6,70-6,79 (2H, м), 7,06 (1H, дд, J=5,0, 7,3 Гц), 7,27 (1H, дд, J=6,4, 8,2 Гц), 7,62 (1H, дд, J=1,8, 7,3 Гц), 8,09 (1H, дд, J=1,8, 5,0 Гц), 8,19 (2H, с). | ESI-MS m/z: 413 [M+H]+. | |
| I-387 | 1H-ЯМР (400 МГц, CDCl3) δ: 3,25 (3H, с),3,73 (3H, с),3,81 (3H, с), 4,38 (2H, с),7,00 (1H, д, J=8,2 Гц), 7,05-7,09 (2H, м), 7,32-7,34 (1H, м), 7,37-7,42 (1H, м), 7,66 (1H, дд, J=1,8, 7,3 Гц), 8,08-8,10 (1H, м), 8,20 (2H, с). | ESI-MS m/z: 381 [M+H]+. | |
| I-388 | 1H-ЯМР (400 МГц, CDCl3) δ: 1,14 (3H, т, J=6,8 Гц), 1,32 (6H, с),3,39 (2H, с),3,44 (2H, кв, J=6,8 Гц), 3,93 (3H, с),6,95-7,09 (4H, м), 7,36-7,40 (2H, м), 7,68 (1H, дд, J=1,8, 7,3 Гц), 7,72 (1H, дд, J=1,8, 7,3 Гц), 8,17-8,20 (2H, м). | ESI-MS m/z: 379 [M+H]+. | |
| I-390 | 1H-ЯМР (400 МГц, CDCl3) δ: 3,03 (1H, с),3,88 (3H, с),6,98 (1H, дд, J=5,0, 7,3 Гц), 7,03-7,06 (2H, м), 7,13 (1H, дд, J=5,0, 7,3 Гц), 7,47-7,52 (2H, м), 7,64 (1H, дд, J=1,8, 7,3 Гц), 7,73 (1H, дд, J=1,8, 7,3 Гц), 8,18-8,22 (2H, м). | ESI-MS m/z: 303 [M+H]+. | |
| I-392 | 1H-ЯМР (400 МГц, CDCl3) δ: 1,24 (3H, т, J=7,6 Гц), 2,64 (2H, кв, J=7,6 Гц), 3,88 (3H, с),6,91 (1H, д, J=5,8 Гц), 6,95-7,09 (4H, м), 7,68 (1H, дд, J=2,0, 7,3 Гц), 8,15 (1H, дд, J=1,9, 5,0 Гц), 8,50 (1H, с),8,52 (1H, д, J=5,8 Гц). | ESI-MS m/z: 325 [M+H]+. | |
| I-394 | 1H-ЯМР (400 МГц, CDCl3) δ: 1,22 (3H, т, J=7,6 Гц), 2,64 (2H, кв, J=7,6 Гц), 3,83 (3H, с),6,77-6,82 (1H, м), 6,80 (1H, с),6,89 (1H, д, J=5,8 Гц), 7,12 (1H, дд, J=4,9, 7,3 Гц), 7,17 (1H, т, J=8,5 Гц), 7,69 (1H, дд, J=1,9, 7,3 Гц), 8,21 (1H, дд, J=1,9, 4,9 Гц), 8,44 (1H, с),8,52 (1H, д, J=5,8 Гц). | ESI-MS m/z: 325 [M+H]+. |
[0996]
[Таблица 49]
| соединение | структурная формула | ЯМР | MS |
| I-396 | 1H-ЯМР (400 МГц, CDCl3) δ: 1,21 (3H, т, J=6,8 Гц), 2,88 (2H, т, J=7,3 Гц), 3,51 (2H, кв, J=6,8 Гц), 3,63 (2H, т, J=7,3 Гц), 3,93 (3H, с),6,99 (1H, дд, J=5,0. 7,3 Гц), 6,99-7,04 (2H, м), 7,07 (1H, дд, J=5,0, 7,3 Гц), 7,20-7,24 (2H, м), 7,67 (1H, дд, J=1,8, 7,3 Гц), 7,71 (1H, дд, J=1,8, 7,3 Гц), 8,16 (1H, дд, J=1,8, 5,0 Гц), 8,19 (1H, дд, J=1,8, 5,0 Гц). | ESI-MS m/z: 351 [M+H]+. | |
| I-397 | 1H-ЯМР (400 МГц, CDCl3) δ: 2,04 (3H, с),2,93 (2H, т, J=7,3 Гц), 3,92 (3H, с),4,28 (2H, т, J=7,3 Гц), 6,98 (1H, дд, J=5,0. 7,3 Гц), 7,02-7,05 (2H, м), 7,08 (1H, дд, J=5,0, 7,3 Гц), 7,20-7,24 (2H, м), 7,67 (1H, дд, J=1,8, 7,3 Гц), 7,72 (1H, дд, J=1,8, 7,3 Гц), 8,17 (1H, дд, J=1,8, 5,0 Гц), 8,20 (1H, дд, J=1,8, 5,0 Гц). | ESI-MS m/z: 365 [M+H]+. | |
| I-398 | 1H-ЯМР (400 МГц, CDCl3) δ: 2,86-2,95 (8H, м), 3,92 (3H, с),4,27 (2H, т, J= 7,3 Гц), 6,98 (1H, дд, J=5,0, 7,3 Гц), 7,01-7,05 (2H, м), 7,08 (1H, дд, J=5,0, 7,3 Гц), 7,21-7,24 (2H, м), 7,67 (1H, дд, J=1,8, 7,3 Гц), 7,71 (1H, дд, J=1,8, 7,3 Гц), 8,17 (1H, дд, J=1,8, 5,0 Гц), 8,19 (1H, дд, J=1,8, 5,0 Гц). | ESI-MS m/z: 394 [M+H]+. | |
| I-400 | 1H-ЯМР (400 МГц, CDCl3) δ: 3,15 (2H, т, J=7,3 Гц), 3,91 (3H, с),4,34 (2H, т, J=7,3 Гц), 6,18 (1H, дд, J=1,8, 1,8 Гц), 6,96-7,02 (3H, м), 7,06-7,10 (3H, м), 7,21 (1H, д, J=1,8 Гц), 7,53 (1H, д, J=1,8 Гц), 7,66 (1H, дд, J=1,8, 7,3 Гц), 7,71 (1H, дд, J=1,8, 7,3 Гц), 8,16 (1H, дд, J=1,8, 5,0 Гц), 8,20 (1H, дд, J=1,8, 5,0 Гц). | ESI-MS m/z: 373 [M+H]+. | |
| I-401 | 1H-ЯМР (400 МГц, CDCl3) δ: 2,03 (3H, с),3,12 (2H, т, J=7,3 Гц), 3,92 (3H, с),4,26 (2H, т, J=7,3 Гц), 6,97-7,03 (4H, м), 7,06-7,12 (3H, м), 7,32 (1H, с),7,67 (1H, дд, J=1,8, 7,3 Гц), 7,71 (1H, дд, J=1,8, 7,3 Гц), 8,16 (1H, дд, J=1,8, 5,0 Гц), 8,20 (1H, дд, J=1,8, 5,0 Гц). | ESI-MS m/z: 387 [M+H]+. | |
| I-404 | 1H-ЯМР (400 МГц, CDCl3) δ: 1,45 (3H, т, J=7,3 Гц), 2,74-2,79 (2H, м), 2,82-2,88 (2H, м), 3,94 (3H, с),4,11 (2H, кв, J=7,3 Гц), 6,99 (1H, дд, J=5,0, 7,3 Гц), 6,99-7,04 (2H, м), 7,07 (1H, дд, J=5,0, 7,3 Гц), 7,11 (1H, с),7,15-7,19 (2H, м), 7,33 (1H, с),7,68 (1H, дд, J=1,8, 7,3 Гц), 7,71 (1H, дд, J=1,8, 7,3 Гц), 8,17 (1H, дд, J=1,8, 5,0 Гц), 8,20 (1H, дд, J=1,8, 5,0 Гц). | ESI-MS m/z: 401 [M+H]+ | |
| I-407 | 1H-ЯМР (400 МГц, CDCl3) δ: 1,98 (1H, т, J=2,7 Гц), 2,46-2,51 (2H, дт, J= 2,7, 7,3 Гц), 2,84 (2H, т, J=7,3 Гц), 3,93 (3H, с),6,98 (1H, дд, J=5,0, 7,3 Гц), 7,01-7,05 (2H, м), 7,08 (1H, дд, J=5,0, 7,3 Гц), 7,20-7,25 (2H, м), 7,67 (1H, дд, J=1,8, 7,3 Гц), 7,71 (1H, дд, J=1,8, 7,3 Гц), 8,17 (1H, дд, J=1,8, 5,0 Гц), 8,20 (1H, дд, J=1,8, 5,0 Гц). | ESI-MS m/z: 331 [M+H]+. | |
| I-408 | 1H-ЯМР (400 МГц, CDCl3) δ: 2,25 (3H, с),2,97-3,04 (4H, м), 3,92 (3H, с),5,78 (1H, с),6,98 (1H, дд, J=5,0, 7,3 Гц), 7,01-7,05 (2H, м), 7,08 (1H, дд, J=5,0, 7,3 Гц), 7,16-7,19 (2H, м), 7,67 (1H, дд, J=1,8, 7,3 Гц), 7,71 (1H, дд, J=1,8, 7,3 Гц), 8,17 (1H, дд, J=1,8, 5,0 Гц), 8,20 (1H, дд, J=1,8, 5,0 Гц). | ESI-MS m/z: 388 [M+H]+. |
[0997]
[Таблица 50]
| соединение | структурная формула | ЯМР | MS |
| I-409 | 1H-ЯМР (400 МГц, CDCl3) δ: 2,65 (2H, т, J=7,3 Гц), 2,94 (2H, т, J=7,3 Гц), 3,68 (3H, с),3,92 (3H, с),6,98 (1H, дд, J=5,0, 7,3 Гц), 7,00-7,04 (2H, м), 7,08 (1H, дд, J=5,0, 7,3 Гц), 7,18-7,23 (2H, м), 7,68 (1H, дд, J=1,8, 7,3 Гц), 7,71 (1H, дд, J=1,8, 7,3 Гц), 8,17 (1H, дд, J=1,8, 5,0 Гц), 8,19 (1H, дд, J=1,8, 5,0 Гц). | ESI-MS m/z: 365 [M+H]+. | |
| I-411 | 1H-ЯМР (400 МГц, CDCl3) δ: 2,38 (3H, с),3,11-3,19 (4H, с),3,92 (3H, с),6,98 (1H, дд, J=5,0, 7,3 Гц), 7,02-7,05 (2H, м), 7,08 (1H, дд, J=5,0, 7,3 Гц), 7,19-7,23 (2H, м), 7,67 (1H, дд, J=1,8, 7,3 Гц), 7,71 (1H, дд, J=1,8, 7,3 Гц), 8,17 (1H, дд, J=1,8, 5,0 Гц), 8,20 (1H, дд, J=1,8, 5,0 Гц). | ESI-MS m/z: 389 [M+H]+. | |
| I-412 | 1H-ЯМР (400 МГц, CDCl3) δ: 1,19 (3H, т, J=7,3 Гц), 2,86 (2H, т, J=7,3 Гц), 3,50 (2H, кв, J=7,3 Гц), 3,61 (2H, т, J=7,3 Гц), 6,61 (1H, д, J=2,3 Гц), 6,93 (1H, дд, J=1,4, 6,9 Гц), 7,04-7,08 (2H, м), 7,15 (1H, дд, J=5,0, 7,3 Гц), 7,18-7,22 (3H, м), 7,60 (1H, дд, J=1,4, 8,3 Гц), 7,96 (1H, д, J=2,3 Гц), 8,00 (1H, дд, J=1,8, 7,3 Гц), 8,28 (1H, дд, J=1,8, 5,0 Гц). | ESI-MS m/z: 360 [M+H]+. | |
| I-413 | 1H-ЯМР (400 МГц, CDCl3) δ: 3,43 (3H, с),3,78 (2H, т, J=13,2 Гц), 6,61 (1H, д, J=2,3 Гц), 6,91 (1H, дд, J=1,2, 6,9 Гц), 7,18-7,22 (4H, м), 7,47-7,50 (2H, м), 7,61 (1H, дд, J=1,3, 8,9 Гц), 7,94 (1H, д, J=2,3 Гц), 8,02 (1H, дд, J=2,0, 7,4 Гц), 8,30 (1H, дд, J=2,0, 5,0 Гц). | ESI-MS m/z: 382 [M+H]+. | |
| I-414 | 1H-ЯМР (400 МГц, CDCl3) δ: 1,38 (3H, т, J=7,1 Гц), 4,35 (2H, кв, J=7,1 Гц), 7,14-7,20 (3H, м), 7,45-7,46 (1H, м), 7,71 (1H, дд, J=1,9, 7,4 Гц), 8,05-8,09 (2H, м), 8,26 (1H, дд, J=1,9, 4,9 Гц), 8,53 (1H, д, J=5,4 Гц), 8,61 (1H, с). | ESI-MS m/z: 355, 357 [M+H]+. | |
| I-415 | 1H-ЯМР (400 МГц, CDCl3) δ: 1,27 (3H, т, J=7,0 Гц), 1,38 (3H, т, J=7,1 Гц), 4,08 (2H, кв, J=7,0 Гц), 4,36 (2H, кв, J=7,1 Гц), 6,86 (1H, д, J=5,8 Гц), 7,12-7,18 (3H, м), 7,73 (1H, дд, J=1,9, 7,4 Гц), 8,03-8,07 (2H, м), 8,23 (1H, дд, J=1,9, 4,9 Гц), 8,43 (1H, с),8,49 (1H, д, J=5,8 Гц). | ESI-MS m/z: 365 [M+H]+. | |
| I-416 | 1H-ЯМР (400 МГц, CDCl3) δ: 1,16 (3H, т, J=7,6 Гц), 1,38 (3H, т, J=7,1 Гц), 2,59-2,64 (2H, м), 4,36 (2H, кв, J=7,1 Гц), 7,08-7,12 (2H, м), 7,17 (1H, дд, J=4,9, 7,3 Гц), 7,26-7,29 (1H, м), 7,65 (1H, дд, J=1,9, 7,3 Гц), 8,03-8,07 (2H, м), 8,24 (1H, дд, J=1,9, 4,9 Гц), 8,44 (1H, с),8,55 (1H, д, J=5,1 Гц). | ESI-MS m/z: 349 [M+H]+ | |
| I-418 | 1H-ЯМР (400 МГц, CDCl3) δ: 1,35 (6H, д, J=6,2 Гц), 3,78 (3H, с), 5,24 (1H, квинт, J=6,2 Гц), 6,89 (1H, д, J=5,7 Гц), 7,10-7,13 (2H, м), 7,17 (1H, дд, J=4,9, 7,4 Гц), 7,73 (1H, дд, J=1,9, 7,4 Гц), 8,03-8,06 (2H, м), 8,23 (1H, дд, J=1,9, 4,9 Гц), 8,45 (1H, с),8,52-8,55 (1H, м). | ESI-MS m/z: 365 [M+H]+. |
[0998]
[Таблица 51]
| соединение | структурная формула | ЯМР | MS |
| I-419 | 1H-ЯМР (400 МГц, CDCl3) δ: 1,38 (3H, т, J=7,1 Гц), 1,61 (3H, с),2,31 (H, т, J=6,0 Гц), 4,36 (2H, кв, J=7,1 Гц), 7,09-7,13 (2H, м), 7,18 (1H, дд, J=4,9, 7,3 Гц), 7,22 (1H, д, J=5,1 Гц), 7,66 (1H, дд, J=1,9, 7,3 Гц), 8,04-8,07 (2H, м), 8,24 (1H, дд, J=1,9, 4,9 Гц), 8,45 (1H, с),8,50 (1H, д, J=5,1 Гц). | ESI-MS m/z: 335 [M+H]+. | |
| I-421 | 1H-ЯМР (400 МГц, CDCl3) δ: 2,24 (3H, с),2,39 (3H, с),7,12-7,17 (3H, м), 7,61 (1H, дд, J=2,0, 7,4 Гц), 7,92-7,98 (2H, м), 8,03-8,07 (2H, м), 8,19 (1H, дд, J=2,0, 4,9 Гц), 8,41-8,50 (1H, м). | ESI-MS m/z: 345 [M+H]+ | |
| I-422 | 1H-ЯМР (CDCl3) δ: 2,33 (3H, с),2,61 (3H, с),7,15-7,18 (2H, м), 7,22 (1H, дд, J=4,9, 7,3 Гц), 7,25 (1H, д, J=5,1 Гц), 7,69 (1H, дд, J=1,9, 7,3 Гц), 7,99-8,02 (2H, м), 8,27 (1H, дд, J=1,9, 4,9 Гц), 8,48 (1H, с),8,53 (1H, д, J=5,1 Гц). | ESI-MS m/z: 305 [M+H]+. | |
| I-423 | 1H-ЯМР (400 МГц, CDCl3) δ: 2,35 (3H, с),2,54 (3H, с),7,12-7,19 (4H, м), 7,25 (1H, д, J=5,0 Гц), 7,61-7,64 (2H, м), 7,66 (1H, дд, J=2,0, 7,3 Гц), 8,26 (1H, дд, J=2,0, 5,0 Гц), 8,50 (1H, с),8,53 (1H, д, J=5,0 Гц). | ESI-MS m/z: 344 [M+H]+. | |
| I-424 | 1H-ЯМР (CDCl3) δ: 2,19 (3H, с),2,31 (3H, с),6,13 (1H, с),7,12-7,16 (2H, м), 7,19 (1H, дд, J=4,9, 7,4 Гц), 7,22-7,23 (1H, м), 7,66 (1H, дд, J=1,9, 7,4 Гц), 7,88-7,92 (2H, м), 8,25 (1H, дд, J=1,9, 4,9 Гц), 8,46 (1H, с), 8,50 (1H, д, J=5,0 Гц). | ESI-MS m/z: 347 [M+H]+. | |
| I-425 | 1H-ЯМР (400 МГц, CDCl3) δ: 2,35 (3H, с), 2,37 (3H, с), 6,33 (1H, с),7,16-7,21 (3H, м), 7,25 (1H, д, J=5,0 Гц), 7,68 (1H, дд, J=1,9, 7,3 Гц), 7,76-7,80 (2H, м), 8,26 (1H, дд, J=1,9, 4,9 Гц), 8,50 (1H, с),8,53 (1H, д, J=5,0 Гц). | ESI-MS m/z: 344 [M+H]+. | |
| I-426 | 1H-ЯМР (400 МГц, CDCl3) δ: 2,30 (3H, с),6,83-6,87 (2H, м), 7,14 (1H, дд, J=5,0, 7,3 Гц), 7,22 (1H, д, J=5,0 Гц), 7,63 (1H, дд, J=2,0, 7,3 Гц), 7,64-7,68 (2H, м), 8,21 (1H, дд, J=1,9, 4,9 Гц), 8,45 (1H, с),8,50 (1H, д, J=5,0 Гц). | ESI-MS m/z: 389 [M+H]+. | |
| I-428 | 1H-ЯМР (400 МГц, CDCl3) δ: 2,33 (3H, с),2,50 (3H, д, J=1,2 Гц), 7,12-7,17 (3H, м), 7,23 (1H, д, J=5,1 Гц), 7,47 (1H, м), 7,64 (1H, дд, J=2,0, 7,3 Гц), 7,87-7,91 (2H, м), 8,24 (1H, дд, J=1,9, 4,9 Гц), 8,47 (1H, с),8,50 (1H, д, J=5,0 Гц). | ESI-MS m/z: 360 [M+H]+. |
[0999]
[Таблица 52]
| соединение | структурная формула | ЯМР | MS |
| I-429 | 1H-ЯМР (400 МГц, CDCl3) δ: 2,34 (3H, с),7,15-7,20 (4H, м), 7,23 (1H, д, J=5,0 Гц), 7,65 (1H, дд, J=2,0, 7,3 Гц), 8,25 (1H, дд, J=1,9, 4,9 Гц), 8,45-8,51 (4H, м), 8,78 (1H, с),8,79 (1H, с). | ESI-MS m/z: 341 [M+H]+. | |
| I-430 | 1H-ЯМР (400 МГц, CDCl3) δ: 2,34 (3H, с),7,12-7,22 (3H, м), 7,24 (1H, д, J=5,0 Гц), 7,47-7,49 (2H, м), 7,63-7,67 (3H, м), 8,26 (1H, дд, J=2,0, 5,0 Гц), 8,49 (1H, с),8,51 (1H, д, J=5,0 Гц), 8,64-8,65 (2H, м). | ESI-MS m/z: 340 [M+H]+. | |
| I-431 | 1H-ЯМР (400 МГц, CDCl3) δ: 2,27 (3H, с),7,06-7,15 (4H, м), 7,16 (1H, д, J=4,9 Гц), 7,57 (1H, дд, J=2,0, 7,3 Гц), 7,61-7,69 (2H, м), 7,92-7,96 (2H, м), 8,18 (1H, дд, J=1,9, 4,9 Гц), 8,42 (1H, с),8,43 (1H, д, J=5,0 Гц), 8,59-8,61 (1H, м). | ESI-MS m/z: 340 [M+H]+. | |
| I-432 | 1H-ЯМР (400 МГц, CDCl3) δ: 2,08 (3H, с),2,26 (3H, с),7,06-7,09 (3H, м), 7,17 (1H, д, J=5,0 Гц), 7,44 (1H, с),7,55-7,58 (4H, м), 8,16 (1H, дд, J=1,9, 4,9 Гц), 8,41 (1H, с),8,44 (1H, д, J=5,0 Гц). | ESI-MS m/z: 343 [M+H]+. | |
| I-433 | 1H-ЯМР (400 МГц, CDCl3) δ: 2,27 (3H, с),6,39 (1H, дд, J=1,8, 2,4 Гц), 7,06-7,12 (3H, м), 7,17 (1H, д, J=5,0 Гц), 7,57 (1H, дд, J=2,0, 7,3 Гц), 7,60-7,64 (3H, м), 7,81 (1H, дд, J=0,5, 2,5 Гц), 8,16 (1H, дд, J=1,9, 4,9 Гц), 8,41 (1H, с),8,44 (1H, д, J=5,0 Гц). | ESI-MS m/z: 329 [M+H]+. | |
| I-434 | 1H-ЯМР (400 МГц, CDCl3) δ: 3,38 (1H, т, J=6,9 Гц), 3,83 (2H, дт, J=6,9, 13,7 Гц), 3,88 (3H, с),6,98 (1H, дд, J=5,0, 7,3 Гц), 7,12-7,15 (3H, м), 7,48-7,50 (2H, м), 7,65 (1H, дд, J=1,8, 7,3 Гц), 7,74 (1H, дд, J=1,8, 7,3 Гц), 8,14 (1H, дд, J=1,8, 5,0 Гц), 8,19 (1H, дд, J=1,8, 5,0 Гц). | ESI-MS m/z: 359 [M+H]+. | |
| I-435 | 1H-ЯМР (400 МГц, CDCl3) δ: 3,91 (3H, с),6,98 (1H, дд, J=5,0, 7,2 Гц), 7,22 (1H, дд, J=4,8, 7,6 Гц), 7,45-7,56 (6H, м), 8,24 (1H, дд, J=1,9, 5,0 Гц), 8,45 (1H, дд, J=1,8, 4,8 Гц). | ESI-MS m/z: 363 [M+H]+. | |
| I-436 | 1H-ЯМР (400 МГц, CDCl3) δ: 3,80 (3H, с),7,00 (1H, дд, J=0,7, 8,3 Гц), 7,08 (1H, дт, J=1,0, 7,5 Гц), 7,23 (1H, дд, J=4,8, 7,6 Гц), 7,26-7,30 (1H, м), 7,42-7,46 (1H, м), 7,49-7,51 (2H, м), 7,53-7,56 (2H, м), 7,58 (1H, дд, J=1,9, 7,6 Гц), 8,46 (1H, дд, J=1,8, 4,8 Гц). | ESI-MS m/z: 362 [M+H]+. |
[1000]
[Таблица 53]
| соединение | структурная формула | ЯМР | MS |
| I-437 | 1H-ЯМР (400 МГц, CDCl3) δ: 3,25 (3H, с),6,79 (1H, д, J=8,0 Гц), 7,08 (1H, дт, J=0,8, 7,5 Гц), 7,31-7,36 (2H, м), 7,53 (1H, дд, J=4,8, 7,8 Гц), 7,71-7,73 (2H, м), 7,83 (1H, дд, J=1,5, 7,8 Гц), 8,05-8,07 (2H, м), 8,61 (1H, дд, J=1,5, 4,7 Гц). | ESI-MS m/z: 358 [M+H]+. | |
| I-438 | 1H-ЯМР (400 МГц, CDCl3) δ: 3,12 (1,5H, с),3,84 (1,5H, с),5,69-5,73 (1H, м), 5,92-6,02 (1H, м), 6,47-6,48, (0,5H, м), 6,63-6,65 (0,5H, м), 6,78-6,85 (2,5H, м), 7,00-7,04 (1H, м), 7,18-7,20 (0,5H, м), 7,28-7,38 (4H, м), 7,50 (1H, м), 8,62 (1H, дд, J=1,3, 4,8 Гц). | ESI-MS m/z: 360 [M+H]+. | |
| I-439 | 1H-ЯМР (400 МГц, CDCl3) δ: 3,59 (3H, с),4,07 (2H, кв, J=12,8 Гц), 6,91 (1H, д, J=8,2 Гц), 6,96-7,05 (4H, м), 7,23 (1H, дд, J=4,9, 7,6 Гц), 7,35-7,40 (3H, м), 7,50 (1H, дд, J=1,8, 7,6 Гц), 8,57 (1H, дд, J=1,8, 4,9 Гц). | ESI-MS m/z: 344 [M+H]+. |
[1001]
[Таблица 54]
| соединение | исходное соединение выход | структурная формула | ЯМР | MS |
| I-440 | исходное соединение: IV-68 выход: 37% |
1H-ЯМР (400 МГц, CDCl3) δ: 1,09-2,05 (2H, м), 2,62 (2H, т, J=6,4 Гц), 2,92 (2H, т, J=6,0 Гц), 3,70 (3H, с),6,94-7,06 (4H, м), 7,16 (1H, дд, J=5,0, 7,3 Гц), 7,30 (1H, дд, J=1,8, 7,3 Гц), 7,34-7,39 (1H, м), 7,74 (1H, дд, J=1,8, 7,3 Гц), 8,04 (1H, с),8,21 (1H, дд, J=1,8, 5,0 Гц). | ESI-MS m/z: 346 [M+H]+. | |
| I-441 | исходное соединение: IV-1 выход: 28% |
1H-ЯМР (400 МГц, CDCl3) δ: 3,73 (3H, с),6,89 (1H, д, J=8,3 Гц), 7,12 (1H, д, J=8,3 Гц), 7,22 (1H, д, J=5,1, 7,3 Гц), 7,31 (1H, т, J=8,2 Гц), 7,60 (1H, дд, J=2,3, 8,7 Гц), 7,65-7,71 (2H, м), 8,20 (1H, дд, J=1,8, 5,0 Гц), 8,49 (1H, д, J=2,3 Гц). | ESI-MS m/z: 381, 383 [M+H]+. | |
| I-442 | исходное соединение: IV-42 выход: 37% |
1H-ЯМР (400 МГц, CDCl3) δ: 3,93 (3H, с),6,99 (1H, дд, J=5,0, 7,3 Гц), 7,10-7,15 (3H, м), 7,21-7,23 (2H, м), 7,65 (1H, дд, J=2,3, 7,3 Гц), 7,73 (1H, дд, J=2,3, 7,3 Гц), 8,18-8,22 (2H, м). | ESI-MS m/z: 363 [M+H]+. | |
| I-443 | исходное соединение: IV-79 выход: 82% |
1H-ЯМР (400 МГц, CDCl3) δ: 3,89 (3H, с),6,64 (1H, т, J=56,8 Гц), 7,00 (1H, т, J=6,2 Гц), 7,13-7,19 (3H, м), 7,52 (2H, д, J=8,7 Гц), 7,66 (1H, дд, J=1,8, 7,3 Гц), 7,74 (1H, дд, J=1,8, 7,3 Гц), 8,19-8,22 (2H, м). | ESI-MS m/z: 329 [M+H]+. | |
| I-444 | исходное соединение: IV-79 выход: 89% |
1H-ЯМР (400 МГц, CDCl3) δ: 3,73 (3H, с),6,63 (1H, т, J=56,8 Гц), 6,97 (1H, д, J=8,2 Гц), 7,05 (1H, т, J=7,3 Гц), 7,11-7,18 (3H, м), 7,33 (1H, дд, J=1,8, 7,8 Гц), 7,38 (1H, дт, J=1,8, 8,2 Гц), 7,50 (2H, д, J=8,7 Гц), 7,72 (1H, дд, J=1,8, 7,3 Гц), 8,18 (1H, дд, J=1,8, 5,0 Гц). | ESI-MS m/z: 328 [M+H]+. | |
| I-445 | исходное соединение: IV-43 выход: 85% |
1H-ЯМР (400 МГц, CDCl3) δ: 3,77 (3H, с),6,47 (1H, т, J=74,2 Гц), 6,98 (1H, д, J=8,2 Гц), 7,03-7,13 (6H, м), 7,33 (1H, дд, J=1,8, 7,3 Гц), 7,38 (1H, дт, J=1,8, 8,2 Гц), 7,70 (1H, дд, J=1,8, 7,3 Гц), 8,16 (1H, дд, J=1,8, 5,0 Гц). | ESI-MS m/z: 344 [M+H]+. | |
| I-446 | исходное соединение: IV-43 выход: 80% |
1H-ЯМР (400 МГц, CDCl3) δ: 3,92 (3H, с),6,48 (1H, т, J=74,2 Гц), 6,98-7,02 (1H, м), 7,08-7,15 (5H, м), 7,66 (1H, дд, J=1,8, 6,9 Гц), 7,72 (1H, дд, J=1,8, 7,3 Гц), 8,18 (1H, дд, J=2,3, 5,0 Гц), 8,21 (1H, дд, J=1,8, 5,0 Гц). | ESI-MS m/z: 345 [M+H]+. | |
| I-447 | исходное соединение: IV-56 выход: 76% |
1H-ЯМР (400 МГц, CDCl3) δ: 1,24 (6H, д, J=6,9 Гц), 2,90 (1H, д, J=6,9 Гц), 3,93 (3H, с),6,95-7,03 (3H, м), 7,06 (1H, дд, J=5,0, 7,3 Гц), 7,21 (2H, д, J=8,3 Гц), 7,67 (1H, дд, J=1,8, 7,3 Гц), 7,71 (1H, дд, J=1,8, 7,3 Гц), 8,18 (2H, дт, J=1,8, 5,0 Гц). | ESI-MS m/z: 321 [M+H]+. |
[1002]
[Таблица 55]
| соединение | исходное соединениевыход | структурная формула | ЯМР | MS |
| I-448 | исходное соединение: IV-14 выход: 64% |
1H-ЯМР (400 МГц, CDCl3) δ: 2,49 (3H, д, J=1,8 Гц), 3,27 (2H, т, J=8,7 Гц), 4,53 (2H, т, J=8,7 Гц), 6,95 (1H, т, J=7,3 Гц), 7,18 (1H, дд, J=5,0, 7,3 Гц), 7,24-7,26 (2H, м), 7,45 (1H, д, J=2,3 Гц), 7,88 (1H, дд, J=1,8, 7,3 Гц), 8,30 (1H, дд, J=1,8, 5,0 Гц), 8,36 (1H, д, J=2,3 Гц). | ESI-MS m/z: 373 [M+H]+. | |
| I-449 | исходное соединение: IV-30 выход: 94% |
1H-ЯМР (400 МГц, CDCl3) δ: 0,93 (3H, т, J=7,3 Гц), 1,63 (2H, секст, J=7,3 Гц), 3,14 (3H, с),3,29 (2H, т, J=8,7 Гц), 3,57 (2H, т, J=7,8 Гц), 4,60 (2H, т, J=8,7 Гц), 6,96 (1H, т, J=7,3 Гц), 7,05-7,08 (1H, м), 7,23-7,25 (1H, м), 7,30 (1H, д, J=6,8 Гц), 7,79 (1H, дд, J=1,8, 7,3 Гц), 8,09 (1H, дд, J=1,8, 5,0 Гц), 8,22 (2H, с). | ESI-MS m/z: 363 [M+H]+. | |
| I-450 | исходное соединение: IV-35 выход: количественный |
1H-ЯМР (400 МГц, CDCl3) δ: 3,22 (3H, с),3,29 (2H, т, J=8,7 Гц), 3,37 (3H, с),3,62 (2H, т, J=5,5 Гц), 3,82 (2H, т, J=5,5 Гц), 4,60 (2H, т, J=8,7 Гц), 6,96 (1H, т, J=7,3 Гц), 7,06 (1H, дд, J=5,0, 7,3 Гц), 7,24 (1H, дд, J=1,4, 7,3 Гц), 7,30 (1H, д, J=7,8 Гц), 7,90 (1H, дд, J=1,8, 7,3 Гц), 8,08 (1H, дд, J=1,8, 5,0 Гц), 8,23 (2H, с). | ESI-MS m/z: 379 [M+H]+. | |
| I-451 | исходное соединение: IV-24 выход: 60% |
1H-ЯМР (400 МГц, CDCl3) δ: 3,45 (3H, с),3,87 (3H, с),4,08 (2H, т, J=13,3 Гц), 7,19 (1H, дд, J=5,0, 7,3 Гц), 7,58 (1H, дд, J=2,3, 8,7 Гц), 7,64 (1H, д, J=2,7 Гц), 7,72 (1H, д, J=8,7 Гц), 7,75 (1H, дд, J=2,3, 7,3 Гц), 8,16 (1H, д, J=2,7 Гц), 8,19 (1H, дд, J=1,8, 5,0 Гц), 8,48 (1H, д, J=2,3 Гц). | ESI-MS m/z: 408, 410 [M+H]+. | |
| I-452 | исходное соединение: IV-30 выход: 72% |
1H-ЯМР (400 МГц, CDCl3) δ: 0,93 (3H, т, J=7,5 Гц), 1,60-1,70 (2H, м), 3,15 (3H, с),3,57 (2H, т, J=7,3 Гц), 3,95 (3H, с),7,08 (1H, дд, J=5,0, 7,3 Гц), 7,64 (1H, д, J=2,3 Гц), 7,67 (1H, дд, J=1,8, 7,3 Гц), 8,14 (1H, дд, J=1,8, 5,0 Гц), 8,16 (1H, д, J=2,3 Гц), 8,17 (2H, с). | ESI-MS m/z: 386, 388 [M+H]+. | |
| I-453 | исходное соединение: I-521 выход: 74% |
1H-ЯМР (400 МГц, CDCl3) δ: 2,21 (3H, с),3,77 (3H, с),5,24-5,27 (1H, м), 5,77-5,79 (1H, м), 6,99 (1H, д, J=8,7 Гц), 7,04-7,09 (1H, м), 7,12 (1H, дд, J=5,0, 7,3 Гц), 7,32-7,44 (3H, м), 7,50 (1H, д, J=8,7 Гц), 7,71 (1H, дд, J=1,8, 7,3 Гц), 8,15 (1H, дд, J=1,8, 5,0 Гц), 8,40 (1H, д, J=2,3 Гц). | ESI-MS m/z: 319 [M+H]+. | |
| I-454 | исходное соединение: IV-15 выход: 17% |
1H-ЯМР (400 МГц, CDCl3) δ: 2,38 (3H, с),3,74 (3H, с),6,70 (1H, д, J=11,0 Гц), 6,76 (1H, т, J=8,3 Гц), 7,13 (1H, дд, J=5,0, 7,3 Гц), 7,24-7,28 (1H, м), 7,32 (1H, д, J=2,3 Гц), 7,68 (1H, д, J=7,3 Гц), 8,04 (1H, с),8,14 (1H, д, J=1,8, 5,0 Гц). | ESI-MS m/z: 389, 391 [M+H]+. | |
| I-455 | исходное соединение: IV-81 выход: 85% |
1H-ЯМР (400 МГц, CDCl3) δ: 2,41 (3H, с),3,74 (3H, с),6,73 (1H, т, J=55,9 Гц), 6,95-7,01 (3H, м), 7,13 (1H, дд, J=2,3, 7,3 Гц), 7,49 (1H, д, J=8,2 Гц), 7,65 (1H, дд, J=1,8, 7,3 Гц), 7,46 (1H, д, J=8,2 Гц), 7,72 (1H, дд, J=1,8, 7,3 Гц), 8,15 (1H, дд, J=1,8, 5,0 Гц), 8,20 (1H, д, J=2,7 Гц). | ESI-MS m/z: 342 [M+H]+. |
[1003]
[Таблица 56]
| соединение | исходное соединение выход |
структурная формула | ЯМР | MS |
| I-456 | исходное соединение: IV-81 выход: 87% |
1H-ЯМР (400 МГц, CDCl3) δ: 2,41 (3H, с),3,90 (3H, с),6,73 (1H, т, J=55,9 Гц), 6,95-7,01 (3H, м), 7,13 (1H, дд, J=2,3, 7,3 Гц), 7,49 (1H, д, J=8,2 Гц), 7,65 (1H, дд, J=1,8, 7,3 Гц), 7,74 (1H, дд, J=1,8, 7,3 Гц), 8,19-8,22 (2H, м). | ESI-MS m/z: 343 [M+H]+. | |
| I-457 | исходное соединение: IV-81 выход: 42% |
1H-ЯМР (400 МГц, CDCl3) δ: 2,43 (3H, с),3,98 (3H, с),6,74 (1H, т, J=55,9 Гц), 6,96-7,02 (2H, м), 7,15 (1H, дд, J=5,0, 7,3 Гц), 7,51 (1H, д, J=8,2 Гц), 7,75 (1H, дд, J=1,8, 7,3 Гц), 8,24 (1H, дд, J=1,8, 5,0 Гц), 8,53 (1H, с),8,81 (1H, с). | ESI-MS m/z: 344 [M+H]+. | |
| I-458 | исходное соединение: IV-24 выход: 83% |
1H-ЯМР (400 МГц, CDCl3) δ: 3,45 (3H, с),3,83 (3H, с),4,08 (2H, т, J=13,3 Гц), 6,89-6,96 (2H, м), 7,08 (1H, т, J=9,2 Гц), 7,19 (1H, дд, J=5,0, 7,3 Гц), 7,61 (1H, дд, J=2,7, 8,7 Гц), 7,71 (1H, д, J=8,7 Гц), 7,78 (1H, дд, J=2,7, 8,2 Гц), 8,18 (1H, дд, J=1,8, 4,6 Гц), 8,50 (1H, д, J=2,3 Гц). | ESI-MS m/z: 391 [M+H]+. | |
| I-459 | исходное соединение: IV-53 выход: 95% |
1H-ЯМР (400 МГц, CDCl3) δ: 2,34 (3H, с),3,94 (3H, с),6,96-7,00 (3H, м), 7,06 (1H, дд, J=5,0, 7,3 Гц), 7,15-7,18 (2H, м), 7,68 (1H, дд, J=1,8, 7,3 Гц), 7,70 (1H, дд, J=1,8, 7,3 Гц), 8,16 (1H, дд, J=1,8, 5,0 Гц), 8,20 (1H, дд, J=1,8, 5,0 Гц). | ESI-MS m/z: 293 [M+H]+. | |
| I-460 | исходное соединение: IV-24 выход: 20% |
1H-ЯМР (400 МГц, CDCl3) δ: 3,45 (3H, с),3,86 (3H, с),3,95 (3H, с),4,07 (2H, т, J=13,3 Гц), 6,41 (1H, д, J=7,8 Гц), 7,15 (1H, дд, J=5,0, 7,3 Гц), 7,53-7,59 (2H, м), 7,69 (1H, д, J=8,2 Гц), 7,74 (1H, дд, J=2,3, 7,3 Гц), 8,13 (1H, дд, J=1,8, 5,0 Гц), 8,46 (1H, д, J=2,3 Гц). | ESI-MS m/z: 404 [M+H]+. | |
| I-461 | исходное соединение: IV-14 выход: 19% |
1H-ЯМР (400 МГц, CDCl3) δ: 2,46 (3H, с),6,61 (1H, д, J=2,3 Гц), 6,90 (1H, дд, J=1,4, 6,9 Гц), 7,22 (1H, дд, J=6,9, 9,2 Гц), 7,27 (1H, дд, J=5,0, 7,3 Гц), 7,48 (1H, д, J=7,3 Гц), 7,64 (1H, дд, J=1,4, 8,3 Гц), 7,91 (1H, д, J=2,3 Гц), 8,21 (1H, дд, J=1,8, 7,3 Гц), 8,30 (1H, дд, J=2,3, 5,0 Гц), 8,34 (1H, д, J=2,3 Гц). | ESI-MS m/z: 371 [M+H]+. | |
| I-462 | исходное соединение: IV-81 выход: 10% |
1H-ЯМР (400 МГц, CDCl3) δ: 2,42 (3H, с),6,74 (1H, т, J=55,9 Гц), 6,61 (1H, J=2,3 Гц), 6,93 (1H, дд, J=1,4, 6,9 Гц), 6,96-7,02 (2H, м), 7,15 (1H, дд, J=5,0, 7,3 Гц), 7,18-7,22 (1H, м), 7,51 (1H, д, J=8,2 Гц), 7,60 (1H, дд, J=1,4, 8,3 Гц), 7,75 (1H, дд, J=1,8, 7,3 Гц), 7,96 (1H, д, J=2,3 Гц), 8,24 (1H, дд, J=1,8, 5,0 Гц). | ESI-MS m/z: 352 [M+H]+. | |
| I-463 | исходное соединение: IV-1 выход: 33% |
1H-ЯМР (400 МГц, CDCl3) δ: 3,71 (6H, с),6,64 (2H, д, J=8,4 Гц), 7,19 (1H, дд, J=4,9, 7,4 Гц), 7,33 (1H, т, J=8,4 Гц), 7,55-7,58 (1H, м), 7,64-7,66 (1H, м), 7,70-7,74 (2H, м), 8,45 (1H, д, J=2,5 Гц). | ESI-MS m/z: 377 [M+H]+. |
[1004]
[Таблица 57]
| соединение | исходное соединение выход |
структурная формула | ЯМР | MS |
| I-464 | исходное соединение: IV-100 выход: 87% |
1H-ЯМР (400 МГц, CDCl3) δ: 2,05 (3H, т, J=18,6 Гц), 3,96 (3H, с),7,61 (1H, дд, J=2,6, 8,6 Гц), 7,69 (1H, д, J=2,6 Гц), 7,75 (1H, дд, J=0,5, 8,6 Гц), 8,22 (1H, д, J=2,6 Гц), 8,48 (1H, дд, J=0,5, 2,6 Гц), 8,65 (1H, с),8,76 (1H, с). | ESI-MS m/z: 379, 381 [M+H]+. | |
| I-465 | исходное соединение: IV-50 выход: 67% |
1H-ЯМР (400 МГц, CDCl3) δ: 1,39 (3H, т, J=7,1 Гц), 4,37 (2H, кв, J=7,1 Гц), 7,15-7,21 (3H, м), 7,39 (1H, ддд, J=0,8, 4,8, 7,9 Гц), 7,82 (1H, дд, J=1,9, 7,4 Гц), 7,97-8,00 (1H, м), 8,07-8,10 (2H, м), 8,22 (1H, дд, J=1,9, 4,9 Гц), 8,63 (1H, дд, J=1,6, 4,8 Гц), 8,86-8,87 (1H, м). | ESI-MS m/z: 321 [M+H]+. | |
| I-466 | исходное соединение: IV-14 выход: 8% |
1H-ЯМР (400 МГц, CDCl3) δ: 2,50 (3H, д, J=1,8 Гц), 3,81 (3H, с),6,91 (1H, д, J=6,0 Гц), 7,22 (1H, дд, J=5,0, 7,3 Гц), 7,41 (1H, д, J=2,7 Гц), 7,76 (1H, дд, J=2,3, 7,3 Гц), 8,21 (1H, дд, J=2,3, 5,0 Гц), 8,31 (1H, д, J=2,7 Гц), 8,45 (1H, м), 8,56 (1H, д, J=4,6 Гц). | ESI-MS m/z: 362 [M+H]+. | |
| I-467 | исходное соединение: IV-108 выход: 40% |
1H-ЯМР (400 МГц, CDCl3) δ: 3,90 (3H, с),6,67 (1H, т, J=56,5 Гц), 6,95 (1H, д, J=5,8 Гц), 7,20-7,23 (2H, м), 7,57-7,59 (2H, м), 8,51 (1H, с),8,59 (1H, д, J=5,8 Гц), 8,61 (1H, с),8,77 (1H, с). | ESI-MS m/z: 330 [M+H]+. | |
| I-468 | исходное соединение: IV-23 выход: 98% |
1H-ЯМР (400 МГц, CDCl3) δ: 2,16 (2H, квин, J=7,8 Гц), 2,93 (2H, т, J=7,8 Гц), 2,98 (2H, т, J=7,8 Гц), 3,79 (3H, с),6,99 (1H, д, J=8,2 Гц), 7,02-7,12 (2H, м), 7,28 (1H, д, J=2,3 Гц), 7,34 (1H, дд, J=1,8, 7,3 Гц), 7,38 (1H, дт, J=1,8, 7,8 Гц), 7,69 (1H, дд, J=1,8, 7,3 Гц), 8,11-8,27 (2H, м). | ESI-MS m/z: 319 [M+H]+. | |
| I-469 | исходное соединение: IV-26 выход: 93% |
1H-ЯМР (400 МГц, CDCl3) δ: 3,28 (2H, т, J=8,7 Гц), 4,51 (2H, т, J=8,7 Гц), 6,98 (1H, т, J=7,3 Гц), 7,21-7,30 (3H, м), 7,89 (1H, дд, J=1,8, 7,3 Гц), 8,14 (1H, дд, J=1,8, 4,6 Гц), 8,78 (2H, с). | ESI-MS m/z: 360 [M+H]+. | |
| I-470 | исходное соединение: IV-26 выход: 84% |
1H-ЯМР (400 МГц, CDCl3) δ: 3,70 (3H, с),6,91 (1H, дд, J=4,6, 9,2 Гц), 7,04-7,15 (2H, м), 7,23-7,29 (1H, м), 7,77 (1H, дд, J=1,8, 7,3 Гц), 8,18 (1H, дд, J=1,8, 5,0 Гц), 8,74 (2H, с). | ESI-MS m/z: 366 [M+H]+. | |
| I-471 | исходное соединение: IV-31 выход: 98% |
1H-ЯМР (400 МГц, CDCl3) δ: 1,18 (3H, т, J=6,9 Гц), 3,13 (3H, с),3,67 (2H, кв, J=7,3 Гц), 3,83 (3H, с),7,01 (1H, д, J=7,3 Гц), 7,05-7,09 (2H, м), 7,34 (1H, дд, J=1,9, 7,4 Гц), 7,40 (1H, т, J= 8,2 Гц), 7,66 (1H, дд, J=1,8, 7,3 Гц), 8,11 (1H, дд, J=1,8, 4,5 Гц), 8,18 (2H, с). | ESI-MS m/z: 337 [M+H]+. |
[1005]
[Таблица 58]
| соединение | исходное соединение выход | структурная формула | ЯМР | MS |
| I-472 | исходное соединение: IV-56 выход: 15% |
1H-ЯМР (400 МГц, CDCl3) δ: 1,24 (6H, д, J=6,8 Гц), 2,91 (1H, д, J=6,8 Гц), 4,00 (3H, с),7,00 (2H, д, J=8,7 Гц), 7,08 (1H, дд, J=5,0, 7,3 Гц), 7,22 (2H, д, J=8,3 Гц), 7,71 (1H, дд, J=1,8, 7,3 Гц), 8,21 (1H, дд, J=1,8, 5,0 Гц), 8,55 (1H, с),8,80 (1H, с). | ESI-MS m/z: 322 [M+H]+. | |
| I-473 | исходное соединение: IV-14 выход: 79% |
1H-ЯМР (400 МГц, CDCl3) δ: 2,50 (3H, с),3,88 (3H, с),7,02 (1H, дд, J=5,0, 7,3 Гц), 7,20 (1H, дд, J=5,0, 7,3 Гц), 7,42 (1H, д, J=2,3 Гц), 7,65 (1H, дд, J=1,8, 7,3 Гц), 7,77 (1H, дд, J=1,8, 7,3 Гц), 8,19 (1H, дд, J=1,8, 5,0 Гц), 8,23 (1H, дд, J=2,3, 5,0 Гц), 8,32 (1H, д, J=2,3 Гц). | ESI-MS m/z: 362 [M+H]+. | |
| I-474 | исходное соединение: IV-14 выход: 68% |
1H-ЯМР (400 МГц, CDCl3) δ: 2,46-2,53 (6H, м), 3,85 (3H, с),6,85 (1H, д, J=7,3 Гц), 7,19 (1H, дд, J=5,0, 7,3 Гц), 7,41 (1H, д, J=1,8 Гц), 7,52 (1H, д, J=7,3 Гц), 7,75 (1H, дд, J=1,8, 7,3 Гц), 8,17 (1H, дд, J=1,8, 5,0 Гц), 8,32 (1H, д, J=2,3 Гц). | ESI-MS m/z: 376 [M+H]+. | |
| I-475 | исходное соединение: IV-14 выход: 64% |
1H-ЯМР (400 МГц, CDCl3) δ: 2,32 (3H, с),2,50 (3H, д, J=1,8 Гц), 3,84 (3H, с),7,19 (1H, дд, J=5,0, 7,3 Гц), 7,42 (1H, д, J=2,3 Гц), 7,46 (1H, д, J=1,8 Гц), 7,75 (1H, дд, J=1,8, 7,3 Гц), 8,03 (1H, дд, J=0,9, 2,3 Гц), 8,18 (1H, дд, J=1,8, 5,0 Гц), 8,32 (1H, д, J=2,7 Гц). | ESI-MS m/z: 376 [M+H]+. | |
| I-476 | исходное соединение: IV-14 выход: 60% |
1H-ЯМР (400 МГц, CDCl3) δ: 2,51 (3H, д, J=1,8 Гц), 3,86 (3H, с),7,20 (1H, дд, J=5,0, 7,3 Гц), 7,42 (1H, д, J=1,8), 7,63 (1H, д, J=2,7 Гц), 7,75 (1H, дд, J=2,3, 7,8 Гц), 8,17 (1H, д, J=2,3 Гц), 8,20 (1H, дд, J=1,8, 5,0 Гц), 8,32 (1H, д, J=2,3 Гц). | ESI-MS m/z: 396, 398 [M+H]+. | |
| I-477 | исходное соединение: IV-30 выход: количественный |
1H-ЯМР (400 МГц, CDCl3) δ: 0,93 (3H, т, J=7,3 Гц), 1,60-1,69 (2H, м), 3,14 (3H, с),3,57 (2H, т, J=7,3 Гц), 3,81 (3H, с),6,71-6,79 (2H, м), 7,04-7,07 (1H, м), 7,28-7,30 (1H, м), 7,62 (1H, дд, J=1,8, 7,3 Гц), 8,10 (1H, дд, J=1,8, 5,0 Гц), 8,16 (2H, с). | ESI-MS m/z: 369 [M+H]+. | |
| I-478 | исходное соединение: IV-33 выход: 60% |
1H-ЯМР (400 МГц, CDCl3) δ: 1,06 (3H, т, J=7,3 Гц), 1,78 (2H, секст, J=7,3 Гц), 3,13 (2H, т, J=7,3 Гц), 3,93 (3H, с),7,02 (1H, дд, J=5,0, 7,3 Гц), 7,16 (1H, дд, J=5,0, 7,3 Гц), 7,65 (1H, дд, J=1,8, 7,3 Гц), 7,73 (1H, дд, J=1,8, 7,3 Гц), 8,13 (1H, дд, J=1,8, 4,5 Гц), 8,24 (1H, дд, J=1,8, 5,0 Гц), 8,41 (2H, с). | ESI-MS m/z: 355 [M+H]+. | |
| I-479 | исходное соединение: IV-74 выход: 36% |
1H-ЯМР (400 МГц, CDCl3) δ: 1,32 (6H, с),3,31 (3H, с),3,37 (2H, с),3,93 (3H, с),6,97 (1H, дд, J=5,0, 7,3 Гц), 7,00-7,09 (3H, м), 7,34-7,39 (2H, м), 7,68 (1H, дд, J=1,8, 7,3 Гц), 7,73 (1H, дд, J=1,8, 7,3 Гц), 8,17-8,20 (2H, м). | ESI-MS m/z: 365 [M+H]+ |
[1006]
[Таблица 59]
| соединение | исходное соединение выход |
структурная формула | ЯМР | MS |
| I-480 | исходное соединение: IV-24 выход: 51% |
1H-ЯМР (400 МГц, CDCl3) δ: 3,44 (3H, с),3,70 (3H, с),4,07 (2H, т, J=13,3 Гц), 6,75-6,83 (1H, м), 7,13-7,21 (1H, м), 7,26 (1H, д, J=5,0 Гц), 7,55 (1H, дд, J=2,8, 8,7 Гц), 7,66-7,73 (2H, м), 8,17 (1H, дд, J=2,8, 4,8 Гц), 8,45 (1H, д, J=2,3 Гц). | ESI-MS m/z: 409 [M+H]+. | |
| I-481 | исходное соединение: IV-24 выход: 69% |
1H-ЯМР (400 МГц, CDCl3) δ: 3,45 (3H, с),4,08 (2H, т, J=13,3 Гц), 7,05 (1H, дд, J=2,8, 9,7 Гц), 7,17-7,21 (1H, м), 7,27 (1H, д, J=5,0 Гц), 7,60 (1H, дд, J=2,3, 8,3 Гц), 7,71-7,76 (1H, м), 7,72 (1H, д, J=8,7 Гц), 8,19 (1H, дд, J=2,8, 5,1 Гц), 8,45 (1H, д, J=2,3 Гц). | ESI-MS m/z: 397 [M+H]+. | |
| I-482 | исходное соединение: IV-24 выход: 15% |
1H-ЯМР (400 МГц, CDCl3) δ: 3,45 (3H, с),3,76 (3H, с),4,07 (2H, т, J=13,3 Гц), 6,74-6,86 (2H, м), 7,18 (1H, дд, J=5,0, 7,3 Гц), 7,30-7,38 (1H, м), 7,56 (1H, дд, J=2,3, 8,2 Гц), 7,68 (1H, д, J=8,2 Гц), 7,75 (1H, дд, J=1,8, 7,3 Гц), 8,19 (1H, дд, J=1,8, 5,0 Гц), 8,46 (1H, д, J=2,7 Гц). | ESI-MS m/z: 391 [M+H]+. | |
| I-483 | исходное соединение: IV-105 выход: 96% |
1H-ЯМР (400 МГц, CDCl3) δ: 1,24 (6H, д, J=6,9 Гц), 2,93 (1H, септ, J=6,8 Гц), 3,98 (3H, с),6,99-7,02 (1H, м), 7,05 (2H, д, J=8,7 Гц), 7,26 (2H, д, J=8,5 Гц), 7,71 (1H, дд, J=1,8, 7,3 Гц), 8,24 (1H, дд, J=1,8, 5,1 Гц), 8,59 (1H, с),8,74 (1H, с). | ESI-MS m/z: 322 [M+H]+. | |
| I-484 | исходное соединение: IV-105 выход: 78% |
1H-ЯМР (400 МГц, CDCl3) δ: 1,26 (6H, д, J=6,8 Гц), 2,93 (1H, септ, J=6,8 Гц), 3,90 (3H, с),6,93 (1H, д, J=6,0 Гц), 7,03 (2H, д, J=8,7 Гц), 7,27 (2H, д, J=8,7 Гц), 8,49 (1H, с),8,51-8,57 (2H, м), 8,77 (1H, с). | ESI-MS m/z: 322 [M+H]+. | |
| I-485 | исходное соединение: IV-9 выход: 90% |
1H-ЯМР (400 МГц, CDCl3) δ: 3,71 (3H, с),6,65 (1H, т, J=55,4 Гц), 6,86-6,94 (1H, м), 7,02-7,13 (2H, м), 7,18 (1H, дд, J=5,0, 7,3 Гц), 7,60 (1H, дд, J=2,3, 8,2 Гц), 7,66 (1H, д, J=8,7 Гц), 7,73 (1H, дд, J=1,8, 7,3 Гц), 8,17 (1H, дд, J=1,8, 5,0 Гц), 8,45 (1H, д, J=2,3 Гц). | ESI-MS m/z: 347 [M+H]+. | |
| I-486 | исходное соединение: IV-9 выход: 82% |
1H-ЯМР (400 МГц, CDCl3) δ: 2,35 (3H, с),3,68 (3H, с),6,64 (1H, т, J=55,4 Гц), 6,86 (1H, д, J=8,2 Гц), 7,12 (1H, д, J=2,3 Гц), 7,14-7,21 (2H, м), 7,59 (1H, дд, J=2,3, 8,2 Гц), 7,64 (1H, д, J=8,2 Гц), 7,72 (1H, дд, J=2,3, 7,3 Гц), 8,15 (1H, дд, J=1,8, 4,6 Гц), 8,45 (1H, д, J=1,8 Гц). | ESI-MS m/z: 343 [M+H]+. | |
| I-487 | исходное соединение: IV-9 выход: 90% |
1H-ЯМР (400 МГц, CDCl3) δ: 3,27 (2H, т, J=8,7 Гц), 4,53 (2H, т, J=8,7 Гц), 6,65 (1H, т, J=55,4 Гц), 6,95 (1H, т, J=7,3 Гц), 7,17 (1H, дд, J=5,0, 7,3 Гц), 7,21-7,30 (2H, м), 7,60-7,69 (2H, м), 7,87 (1H, дд, J=1,8, 7,3 Гц), 8,13 (1H, дд, J=1,8, 4,6 Гц), 8,50 (1H, д, J=1,8 Гц). | ESI-MS m/z: 341 [M+H]+. |
[1007]
[Таблица 60]
| соединение | исходное соединение выход |
структурная формула | ЯМР | MS |
| I-488 | исходное соединение: IV-13 выход: 57% |
1H-ЯМР (400 МГц, CDCl3) δ: 1,99 (3H, т, J=18,8 Гц), 7,24 (1H, дд, J=4,5, 7,3 Гц), 7,40 (1H, дд, J=4,2, 8,3 Гц), 7,60-7,68 (2H, м), 7,79 (1H, дд, J=1,8, 7,3 Гц), 7,86-7,91 (3H, м), 8,19 (1H, дд, J=1,8, 8,7 Гц), 8,24 (1H, дд, J=1,8, 5,0 Гц), 8,43 (1H, уш с),8,83 (1H, дд, J=1,9, 4,6 Гц). | ESI-MS m/z: 364 [M+H]+. | |
| I-489 | исходное соединение: IV-13 выход: 45% |
1H-ЯМР (400 МГц, CDCl3) δ: 2,06 (3H, т, J=18,6 Гц), 2,50 (3H, с),3,87 (3H, с),6,84 (1H, д, J=7,3 Гц), 7,15 (1H, дд, J=5,0, 7,3 Гц), 7,50-7,57 (2H, м), 7,65 (1H, д, J=8,6 Гц), 7,74 (1H, дд, J=1,8, 7,3 Гц), 8,15 (1H, дд, J=1,8, 5,0 Гц), 8,46 (1H, д, J=3,2 Гц). | ESI-MS m/z: 358 [M+H]+. | |
| I-490 | исходное соединение: IV-110 выход: 93% |
1H-ЯМР (400 МГц, CDCl3) δ: 2,45 (3H, с),3,97 (3H, с),6,75 (1H, т, J=55,4 Гц), 7,00-7,06 (3H, м), 7,56 (1H, д, J=8,4 Гц), 7,70 (1H, дд, J=1,9, 7,3 Гц), 8,26 (1H, дд, J=1,9, 5,0 Гц), 8,63 (1H, с),8,75 (1H, с). | ESI-MS m/z: 344 [M+H]+. | |
| I-491 | исходное соединение: IV-110 выход: 95% |
1H-ЯМР (400 МГц, CDCl3) δ: 2,42 (3H, с),6,65 (1H, д, J=55,6 Гц), 6,73 (1H, т, J=55,4 Гц), 6,95 (1H, дд, J=1,2, 6,9 Гц), 7,04-7,10 (2H, м), 7,21-7,26 (1H, м), 7,53 (1H, д, J=8,4 Гц), 7,67 (1H, дд, J=1,4, 8,9 Гц), 7,97 (1H, д, J=2,3 Гц), 8,87 (1H, с),8,87 (1H, с). | ESI-MS m/z: 353 [M+H]+. | |
| I-492 | исходное соединение: IV-119 выход: 89% |
1H-ЯМР (400 МГц, CDCl3) δ:1,94 (3H, т, J=18,1 Hz) 3,97 (3H, с),7,02 (1H, дд, J=5,0, 7,3 Гц), 7,17-7,20 (2H, м), 7,55-7,59 (2H, м), 7,71 (1H, дд, J=1,9, 7,3 Гц), 8,27 (1H, дд, J=1,9, 5,0 Гц), 8,63 (1H, с),8,75 (1H, с). | ESI-MS m/z: 344 [M+H]+. | |
| I-493 | исходное соединение: IV-113 выход: 69% |
1H-ЯМР (400 МГц, CDCl3) δ: 2,11 (2H, квинт, J=7,7 Гц), 2,87-2,96 (4H, м), 3,99 (3H, с),6,84-6,90 (1H, м), 6,95-6,98 (1H, м), 7,02 (1H, дд, J=5,0, 7,2 Гц), 7,24 (1H, д, J=8,3 Гц), 7,72 (1H, дд, J=1,9, 7,2 Гц), 8,25 (1H, дд, J=1,9, 5,0 Гц), 8,59 (1H, уш с),8,75 (1H, с). | ESI-MS m/z: 320 [M+H]+. | |
| I-494 | исходное соединение: IV-106 выход: 50% |
1H-ЯМР (400 МГц, CDCl3) δ: 7,27-7,29 (2H, м), 7,45 (1H, дд, J=4,2, 8,3 Гц), 7,63-7,65 (2H, м), 7,68 (1H, дд, J=7,2, 8,2 Гц), 7,85 (1H, дд, J=1,5, 7,1 Гц), 7,95 (1H, дд, J=1,4, 8,2 Гц), 8,23 (1H, дд, J=1,8, 8,3 Гц), 8,77 (1H, с),8,84 (1H, с),8,90 (1H, дд, J=1,8, 4,2 Гц). | ESI-MS m/z: 368 [M+H]+. | |
| I-495 | исходное соединение: IV-95 выход: 40% |
1H-ЯМР (400 МГц, CDCl3) δ: 3,81 (3H, с),6,76 (1H, дд, J=2,3, 10,6 Гц), 6,82 (1H, дт, J=2,3, 8,4 Гц), 7,32 (1H, дд, J=6,5, 8,4 Гц), 7,67-7,70 (1H, м), 7,76 (1H, д, J=8,4 Гц), 8,56 (1H, д, J=2,4 Гц), 8,62 (1H, с),8,74 (1H, с). | ESI-MS m/z: 366 [M+H]+. |
[1008]
[Таблица 61]
| соединение | исходное соединение выход |
структурная формула | ЯМР | MS |
| I-496 | исходное соединение: IV-95 выход: 91% |
1H-ЯМР (400 МГц, CDCl3) δ: 3,80 (3H, с),6,96 (1H, дд, J=4,2, 8,9 Гц), 7,07-7,18 (2H, м), 7,68-7,71 (1H, м), 7,77 (1H, д, J=8,5 Гц), 8,57 (1H, д, J=2,4 Гц), 8,65 (1H, с),8,75 (1H, с). | ESI-MS m/z: 366 [M+H]+. | |
| I-497 | исходное соединение: IV-128 выход: 50% |
1H-ЯМР (400 МГц, CDCl3) δ: 3,77 (3H, с),6,72 (1H, дд, J=2,4, 10,8 Гц), 6,76 (1H, дт, J=2,4, 8,3 Гц), 6,91 (1H, дд, J=0,5, 8,8 Гц), 7,11 (1H, дд, J=4,9, 7,3 Гц), 7,27 (1H, дд, J=6,6, 8,4 Гц), 7,31 (1H, т, J=73,5 Гц), 7,51 (1H, дд, J=2,9, 8,8 Гц), 7,66 (1H, дд, J=1,9, 7,4 Гц), 7,99 (1H, д, J=2,9 Гц), 8,12 (1H, дд, J=1,9, 4,9 Гц). | ESI-MS m/z: 363 [M+H]+. | |
| I-498 | исходное соединение: IV-39 выход: 48% |
1H-ЯМР (400 МГц, CDCl3) δ: 7,21 (1H, дд, J=5,0, 7,4 Гц), 7,23-7,25 (2H, м), 7,45 (1H, дд, J=5,1, 6,0 Гц), 7,65-7,67 (2H, м), 7,79-7,82 (1H, м), 8,27 (1H, дд, J=2,0, 5,0 Гц), 8,52 (1H, д, J=4,5 Гц), 8,57 (1H, д, J=1,6 Гц). | ESI-MS m/z: 335 [M+H]+. | |
| I-499 | исходное соединение: IV-112 выход: 54% |
1H-ЯМР (400 МГц, CDCl3) δ: 2,55 (3H, с),3,81 (3H, с),6,71 (1H, т, J=54,5 Гц), 6,75 (1H, дд, J=2,4, 10,8 Гц), 6,81 (1H, дт, J=2,4, 8,2 Гц), 7,31 (1H, дд, J=6,5, 8,4 Гц), 7,41 (1H, д, J=2,3 Гц), 8,28 (1H, д, J=2,3 Гц), 8,59 (1H, с),8,73 (1H, с). | ESI-MS m/z: 362 [M+H]+. | |
| I-500 | исходное соединение: IV-112 выход: 40% |
1H-ЯМР (400 МГц, CDCl3) δ: 2,54 (3H, с),3,82 (3H, с),6,71 (1H, т, J=54,5 Гц), 7,03 (1H, д, J=8,3 Гц), 6,81 (1H, дт, J=1,0, 7,5 Гц), 7,36 (1H, дд, J=1,7, 7,5 Гц), 7,41 (1H, д, J=2,3 Гц), 7,43-7,47 (1H, м), 8,29 (1H, д, J=2,3 Гц), 8,63 (1H, с),8,74 (1H, с). | ESI-MS m/z: 344 [M+H]+. | |
| I-501 | исходное соединение: IV-54 выход: 72% |
1H-ЯМР (400 МГц, CDCl3) δ: 1,25 (3H, т, J=7,6 Гц), 2,28 (3H, с),2,40 (3H, с),2,66 (2H, кв, J=7,6 Гц), 6,98-7,01 (2H, м), 7,07 (1H, дд, J=5,0, 7,3 Гц), 7,20-7,23 (2H, м), 7,56 (1H, дд, J=2,0, 7,3 Гц), 8,18 (1H, дд, J=2,0, 5,0 Гц). | ESI-MS m/z: 295 [M+H]+. | |
| I-502 | исходное соединение: IV-93 выход: 21% |
1H-ЯМР (400 МГц, CDCl3) δ: 3,79 (3H, с),4,62 (2H, тд, J=12,3, 46,6 Гц), 6,89 (1H, д, J=5,8 Гц), 7,15-7,17 (1H, м), 7,16-7,18 (2H, м), 7,51-7,53 (2H, м), 7,73 (1H, дд, J=1,9, 7,4 Гц), 8,23 (1H, дд, J=1,9, 4,9 Гц), 8,45 (1H, с),8,53 (1H, д, J=4,8 Гц). | ESI-MS m/z: 361 [M+H]+. | |
| I-503 | исходное соединение: IV-131 выход: 79% |
1H-ЯМР (400 МГц, CDCl3) δ: 1,15 (3H, т, J=6,8 Гц), 1,32 (6H, с),3,39 (2H, с),3,44 (2H, кв, J=6,8 Гц), 3,84 (3H, с),6,88 (1H, д, J=5,5 Гц), 6,95-7,04 (2H, м), 7,09 (1H, дд, J=5,0, 7,3 Гц), 7,36-7,40 (2H, м), 7,68 (1H, дд, J=2,3, 7,3 Гц), 8,20 (1H, дд, J=2,3, 5,0 Гц), 8,46 (1H, с),8,51 (1H, д, J=5,8 Гц). | ESI-MS m/z: 379 [M+H]+. |
[1009]
[Таблица 62]
| соединение | исходное соединение выход | структурная формула | ЯМР | MS |
| I-504 | исходное соединение: IV-131 выход: 35% |
1H-ЯМР (400 МГц, CDCl3) δ: 1,15 (3H, т, J=6,8 Гц), 1,33 (6H, с),3,40 (2H, с),3,43 (2H, кв, J=6,8 Гц), 4,00 (3H, с),7,00-7,04 (2H, м), 7,10 (1H, дд, J=5,0, 7,3 Гц), 7,38-7,42 (2H, м), 7,72 (1H, дд, J=1,8, 7,3 Гц), 8,22 (1H, дд, J=1,8, 5,0 Гц), 8,54 (1H, с),8,80 (1H, с). | ESI-MS m/z: 380 [M+H]+. | |
| I-505 | исходное соединение: IV-77 выход: 59% |
1H-ЯМР (400 МГц, CDCl3) δ: 0,82-0,89 (4H, м), 3,30 (3H, с),3,45 (2H, с),3,93 (3H, с),6,97 (1H, дд, J=5,0, 7,3 Гц), 6,99-7,03 (2H, м), 7,07 (1H, дд, J=5,0, 7,3 Гц), 7,31-7,34 (2H, м), 7,67 (1H, дд, J=2,3, 7,3 Гц), 7,72 (1H, дд, J=1,8, 7,3 Гц), 8,16-8,20 (2H, м). | ESI-MS m/z: 363 [M+H]+. | |
| I-506 | исходное соединение: IV-81 выход: 31% |
1H-ЯМР (400 МГц, CDCl3) δ: 2,31 (3H, с),2,41 (3H, с),6,72 (1H, т, J=55,5 Гц), 6,94-6,98 (2H, м), 7,16 (1H, дд, J=5,0, 7,3 Гц), 7,22 (1H, д, J=5,0 Гц), 7,49 (1H, д, J=8,4 Гц), 7,64 (1H, дд, J=2,0, 7,32 Гц), 8,23 (1H, дд, J=1,9, 4,9 Гц), 8,46 (1H, с),8,50 (1H, д, J=5,0 Гц). | ESI-MS m/z: 327 [M+H]+. | |
| I-507 | исходное соединение: I-537 выход: 86% |
1H-ЯМР (400 МГц, CDCl3) δ: 2,31 (3H, с),3,60 (3H, с),4,62 (2H, тд, J=12,3, 46,6 Гц), 7,15-7,21 (2H, м), 7,52-7,54 (3H, м), 7,76 (1H, дд, J=1,9, 7,4 Гц), 8,23 (1H, дд, J=1,9, 4,9 Гц), 8,38-8,40 (2H, м). | ESI-MS m/z: 375 [M+H]+. | |
| I-508 | исходное соединение: VIa-9 выход: 6% |
1H-ЯМР (400 МГц, CDCl3) δ: 6,60 (1H, т, J=56,5 Гц), 7,17 (2H, д, J=8,5 Гц), 7,22 (1H, дд, J=5,0, 7,3 Гц), 7,46 (2H, д, J=8,4 Гц), 7,84 (1H, дд, J=2,0, 7,3 Гц), 7,87 (2H, д, J=5,0 Гц), 8,18 (1H, т, J=5,0 Гц), 8,28 (1H, дд, J=1,8, 5,0 Гц), 8,78 (1H, д, J=1,8 Гц), 8,84 (1H, д, J=1,8 Гц). | ESI-MS m/z: 350 [M+H]+. | |
| I-509 | исходное соединение: VIa-10 выход: 38% |
1H-ЯМР (400 МГц, CDCl3) δ: 3,43 (3H, с),3,77 (2H, т, J=13,2 Гц), 7,13-7,16 (2H, м), 7,22 (1H, дд, J=4,9, 7,3 Гц), 7,45-7,48 (2H, м), 7,84-7,89 (3H, м), 8,16-8,20 (1H, м), 8,28 (1H, дд, J=1,9, 4,9 Гц), 8,79 (1H, д, J=1,8 Гц), 8,84 (1H, д, J=1,8 Гц). | ESI-MS m/z: 394 [M+H]+. | |
| I-510 | исходное соединение: VIa-6 выход: 17% |
1H-ЯМР (400 МГц, CDCl3) δ: 1,90 (3H, т, J=18,1 Гц), 7,13-7,15 (2H, м), 7,24 (1H, дд, J=5,0, 7,3 Гц), 7,47-7,49 (2H, м), 7,89 (1H, дд, J=1,9, 7,4 Гц), 8,32 (1H, дд, J=1,9, 5,0 Гц), 8,95 (1H, с),8,97-8,99 (2H, м), 9,62 (1H, с). | ESI-MS m/z: 365 [M+H]+. | |
| I-511 | исходное соединение: VIa-1 выход: 22% |
1H-ЯМР (400 МГц, CDCl3) δ: 6,58 (1H, т, J=56,5 Гц), 7,21 (1H, дд, J=5,0, 7,3 Гц), 7,37 (1H, дд, J=2,7, 7,3 Гц), 7,53-7,58 (2H, м), 7,62 (1H, дд, J=2,7, 8,7 Гц), 7,69 (1H, д, J=8,7 Гц), 7,72 (1H, дд, J=1,8, 7,3 Гц), 7,77 (1H, дд, J=2,8, 5,8 Гц), 8,21 (1H, дд, J=1,8, 5,0 Гц), 8,51 (1H, д, J=2,6 Гц). | ESI-MS m/z: 367 [M+H]+. |
[1010]
[Таблица 63]
| соединение | исходное соединение выход | структурная формула | ЯМР | MS |
| I-512 | исходное соединение: VIa-10 выход: 24% |
1H-ЯМР (400 МГц, CDCl3) δ: 3,45 (3H, с),3,80 (2H, т, J=13,0 Гц), 4,04 (3H, д, J=4,5 Гц), 7,13-7,16 (3H, м), 7,53 (2H, д, J=8,7 Гц), 7,69 (1H, дд, J=1,9, 7,3 Гц), 8,22 (1H, дд, J=1,8, 5,0 Гц), 8,28 (1H, с),8,43 (1H, д, J=4,9 Гц). | ESI-MS m/z: 391 [M+H]+. | |
| I-513 | исходное соединение: VIa-2 выход: 11% |
1H-ЯМР (400 МГц, CDCl3) δ: 2,02 (3H, т, J=18,3 Гц), 3,91 (3H, с),7,19 (1H, дд, J=5,0, 7,3 Гц), 7,29 (1H, д, J=7,3 Гц), 7,60 (1H, дд, J=2,3, 8,7 Гц), 7,68 (1H, д, J=8,3 Гц), 7,71 (1H, дд, J=2,3, 7,3 Гц), 8,13 (1H, д, J=2,7 Гц), 8,21 (1H, дд, J=1,8, 5,0 Гц), 8,48 (1H, д, J=2,7 Гц). | ESI-MS m/z: 378, 380 [M+H]+. | |
| I-514 | исходное соединение: VIa-8 выход: 40% |
1H-ЯМР (400 МГц, CDCl3) δ: 7,25-7,27 (2H, м), 7,65-7,67 (2H, м), 7,92 (1H, с),7,93 (1H, д, J=1,3 Гц), 8,25 (1H, м), 8,76 (1H, с),8,83 (1H, д, J=1,8 Гц), 8,86 (1H, с),8,90 (1H, д, J=1,8 Гц). | ESI-MS m/z: 369 [M+H]+. | |
| I-515 | исходное соединение: VIa-5 выход: 71% |
1H-ЯМР (400 МГц, CDCl3) δ: 1,24 (3H, т, J=7,6 Гц), 2,65 (2H, кв, J=7,6 Гц), 3,95 (3H, с),7,01-7,05 (2H, м), 7,11 (1H, дд, J=5,0, 7,4 Гц), 7,18-7,22 (2H, м), 7,85 (1H, дд, J=2,0, 7,4 Гц), 8,13 (1H, д, J=2,8 Гц), 8,24 (1H, дд, J=2,0, 5,0 Гц), 8,25 (1H, д, J=2,8 Гц). | ESI-MS m/z: 308 [M+H]+. | |
| I-516 | исходное соединение: III-1 Стадия 1: 42% Стадия 2: 70% |
1H-ЯМР (400 МГц, CDCl3) δ: 3,23 (3H, с),3,24 (3H, с),3,94 (3H, с),6,84 (1H, дд, J=2,3, 7,8 Гц), 6,89 (1H, с),6,98 (1H, дд, J=5,0, 7,3 Гц), 7,05 (1H, дд, J=5,0, 7,3 Гц), 7,12 (1H, д, J=8,2 Гц), 7,67-7,72 (2H, м), 8,16 (1H, дд, J=1,8, 4,5 Гц), 8,19 (1H, дд, J=1,8, 5,0 Гц). | ESI-MS m/z: 307 [M+H]+. | |
| I-517 | исходное соединение: III-1 Стадия 1: 90% Стадия 2: 98% |
1H-ЯМР (400 МГц, CDCl3) δ: 2,34 (3H, с),3,93 (3H, с),6,88 (1H, дд, J=2,7, 8,7 Гц), 6,93-6,99 (2H, м), 7,08 (1H, дд, J=5,0, 8,3 Гц), 7,31 (1H, д, J=8,7 Гц), 7,64 (1H, дд, J=1,8, 8,7 Гц), 7,71 (1H, дд, J=1,8, 8,3 Гц), 8,16-8,20 (2H, м). | ESI-MS m/z: 327, 329 [M+H]+. | |
| I-518 | исходное соединение: III-2 Стадия 1: 58% Стадия 2: 30% |
1H-ЯМР (400 МГц, CDCl3) δ: 3,74 (3H, с),6,98 (1H, д, J=8,2 Гц), 7,04-7,09 (1H, м), 7,15 (1H, дд, J=5,0, 7,3 Гц), 7,32 (1H, дд, J=1,8, 7,3 Гц), 7,35-7,42 (2H, м), 7,46 (1H, д, J=8,2 Гц), 7,72 (1H, дд, J=1,8, 7,3 Гц), 8,15 (1H, дд, J=1,8, 5,0 Гц), 8,20 (1H, д, J=2,7 Гц). | ESI-MS m/z: 357, 359 [M+H]+. | |
| I-519 | исходное соединение: III-10 Стадия 1: 31% Стадия 2: 77% |
1H-ЯМР (400 МГц, CDCl3) δ: 3,82 (3H, с),7,00-7,04 (3H, м), 7,08 (1H, дт, J=1,0, 7,5 Гц), 7,36 (1H, дд, J=1,7, 7,5 Гц), 7,41-7,46 (1H, м), 7,50-7,54 (2H, м), 8,58 (1H, д, J=0,4 Гц), 8,72 (1H, д, J=0,2 Гц). | ESI-MS m/z: 357, 359 [M+H]+. |
[1011]
[Таблица 64]
| соединение | исходное соединение выход |
структурная формула | ЯМР | MS |
| I-520 | исходное соединение: III-10 Стадия 1: 31% Стадия 2: 55% |
1H-ЯМР (400 МГц, CDCl3) δ: 2,36 (3H, с),3,83 (3H, с),6,98-7,02 (3H, м), 7,07 (1H, дд, J=1,0, 7,5 Гц), 7,21 (2H, д, J=8,3 Гц), 7,37 (1H, дд, J=1,7, 7,5 Гц), 7,41 (1H, ддд, J=1,8, 7,5, 8,2 Гц), 8,55 (1H, с),8,72 (1H, с). | ESI-MS m/z: 293 [M+H]+. | |
| I-521 | исходное соединение: III-10 Стадия 1: 31% Стадия 2: 70% |
1H-ЯМР (400 МГц, CDCl3) δ: 2,36 (3H, с),3,82 (3H, с),6,73 (1H, дд, J=2,3, 10,8 Гц), 6,75 (1H, дт, J=2,4, 8,2 Гц), 6,98 (2H, д, J=8,4 Гц), 7,20 (2H, д, J=8,3 Гц), 7,32 (1H, дд, J=6,6. 8,4 Гц), 8,51 (1H, с),8,71 (1H, с). | ESI-MS m/z: 311 [M+H]+. | |
| I-522 | исходное соединение: III-1 Стадия 1: 79% Стадия 2: 89% |
1H-ЯМР (400 МГц, CDCl3) δ: 2,24 (3H, д, J=1,8 Гц), 3,92 (3H, с),6,78-6,79 (1H, м), 6,80-6,81 (1H, м), 6,99 (1H, дд, J=5,0, 7,3 Гц), 7,10 (1H, дд, J=4,9, 7,4 Гц), 7,12-7,17 (1H, м), 7,65 (1H, дд, J=1,9, 7,3 Гц), 7,71 (1H, дд, J=1,9, 7,4 Гц), 8,18 (1H, дд, J=2,0, 4,9 Гц), 8,20 (1H, дд, J=1,9, 5,0 Гц). | ESI-MS m/z: 311 [M+H]+. | |
| I-523 | исходное соединение: III-11 Стадия 1: 58% Стадия 2: 80% |
1H-ЯМР (400 МГц, CDCl3) δ: 3,45 (3H, с),3,81 (3H, с),3,81 (2H, т, J=13,2 Гц), 7,02 (1H, д, J=8,3 Гц), 7,07 (1H, дт, J=1,0, 7,3 Гц), 7,20 (2H, д, J=8,7 Гц), 7,35 (1H, дд, J=1,8, 7,3 Гц), 7,42 (1H, ддд, J=1,8, 7,3, 8,3 Гц), 7,56 (2H, д, J=8,7 Гц), 8,59 (1H, с),8,73 (1H, с). | ESI-MS m/z: 373 [M+H]+. | |
| I-524 | исходное соединение: III-11 Стадия 1: 58% Стадия 2: 85% |
1H-ЯМР (400 МГц, CDCl3) δ: 3,29 (2H, т, J=8,5 Гц), 3,45 (3H, с),3,82 (2H, т, J=13,3 Гц), 4,60 (2H, т, J=8,5 Гц), 6,96 (1H, т, J=7,6 Гц), 7,19-7,28 (3H, м), 7,32 (1H, д, J=7,3 Гц), 7,58 (2H, д, J=8,7 Гц), 8,70 (1H, с),8,75 (1H, с). | ESI-MS m/z: 385 [M+H]+. | |
| I-525 | исходное соединение: III-1 Стадия 1: 79% Стадия 2: 81% |
1H-ЯМР (400 МГц, CDCl3) δ: 3,79 (3H, с),5,04 (2H, с),6,90-7,10 (7H, м), 7,28-7,48 (7H, м), 7,66 (1H, дд, J=2,3, 7,3 Гц), 8,14 (1H, дд, J=2,3, 5,0 Гц). | ESI-MS m/z: 384 [M+H]+. | |
| I-526 | исходное соединение: III-10 Стадия 1: 17% Стадия 2: 64% |
1H-ЯМР (400 МГц, CDCl3) δ: 3,45 (3H, с),3,80 (3H, с),4,09 (2H, т, J=13,3 Гц), 6,94 (1H, д, J=8,7 Гц), 7,34 (1H, д, J=2,8 Гц), 7,40 (1H, дд, J=2,7, 8,7 Гц), 7,62 (1H, дд, J=2,8, 8,7 Гц), 7,76 (1H, д, J=8,7 Гц), 8,50 (1H, д, J=2,3 Гц), 8,61 (1H, с),8,74 (1H, с). | ESI-MS m/z: 408, 410 [M+H]+. | |
| I-527 | исходное соединение: III-10 Стадия 1: 65% Стадия 2: 94% |
1H-ЯМР (400 МГц, CDCl3) δ: 1,26 (3H, т, J=7,7 Гц), 2,68 (2H, кв, J=7,7 Гц), 3,98 (3H, с),7,00-7,06 (3H, м), 7,23-7,27 (2H, м), 7,72 (1H, дд, J=2,0, 7,2 Гц), 8,25 (1H, дд, J=2,0, 5,1 Гц), 8,59 (1H, с),8,74 (1H, с). | ESI-MS m/z: 308 [M+H]+. |
[1012]
[Таблица 65]
| соединение | исходное соединение выход |
структурная формула | ЯМР | MS |
| I-528 | исходное соединение: III-1 Стадия 1: 71% Стадия 2: 28% |
1H-ЯМР (400 МГц, CDCl3) δ: 3,84 (3H, с),5,05 (2H, с),6,92 (1H, дд, J=2,7, 8,2 Гц), 6,97-7,00 (2H, м), 7,04-7,10 (3H, м), 7,22-7,25 (2H, м), 7,30-7,44 (6H, м), 7,74 (1H, дд, J=1,4, 7,3 Гц), 8,12 (1H, дд, J=1,4, 5,0 Гц). | ESI-MS m/z: 384 [M+H]+. | |
| I-529 | исходное соединение: III-11 Стадия 1: 39% Стадия 2: 17% |
1H-ЯМР (400 МГц, CDCl3) δ: 3,96 (3H, с),7,05 (1H, дд, J=5,0, 7,3 Гц), 7,29 (1H, дд, J=2,8, 8,7 Гц), 7,48 (1H, д, J=2,8 Гц), 7,55 (1H, д, J=8,7 Гц), 7,69 (1H, дд, J=1,9, 7,3 Гц), 8,28 (1H, дд, J=1,9, 5,0 Гц), 8,64 (1H, с),8,75 (1H, с). | ESI-MS m/z: 382, 384 [M+H]+. | |
| I-530 | исходное соединение: III-11 Стадия 1: 39% Стадия 2: 26% |
1H-ЯМР (400 МГц, CDCl3) δ: 3,95 (3H, с),7,03-7,06 (3H, м), 7,64-7,69 (2H, м), 8,29 (1H, м), 8,67 (1H, м), 8,78 (1H, с). | ESI-MS m/z: 366 [M+H]+. | |
| I-531 | исходное соединение: III-8 Стадия 1: 59% Стадия 2: 82% |
1H-ЯМР (400 МГц, CDCl3) δ: 2,31 (3H, с),7,08-7,12 (2H, м), 7,16 (1H, дд, J=4,9, 7,3 Гц), 7,20-7,23 (3H, м), 7,64 (1H, дд, J=1,9, 7,3 Гц), 8,22 (1H, дд, J=1,9, 4,9 Гц), 8,46 (1H, с),8,50 (1H, д, J=5,0 Гц). | ESI-MS m/z: 347 [M+H]+. | |
| I-532 | исходное соединение: III-9 Стадия 1: 71% Стадия 2: 86% |
1H-ЯМР (400 МГц, CDCl3) δ: 3,82 (3H, с),5,05 (2H, с),6,95-7,08 (5H, м), 7,11 (1H, т, J=7,3 Гц), 7,29-7,47 (6H, м), 7,50 (1H, д, J=7,3 Гц), 8,06 (1H, д, J=2,7 Гц), 8,32 (1H, д, J=2,7 Гц). | ESI-MS m/z: 385 [M+H]+. | |
| I-533 | исходное соединение: IV-95 Стадия 1: 67% Стадия 2: 9% |
1H-ЯМР (400 МГц, CDCl3) δ: 3,31 (2H, т, J=8,5 Гц), 4,62 (2H, т, J=8,7 Гц), 7,01-7,06 (2H, м), 7,73 (1H, дд, J=2,3, 8,6 Гц), 7,78 (1H, д, J=8,4 Гц), 8,62 (1H, д, J=2,4 Гц), 8,72 (1H, с),8,80 (1H, с) | ESI-MS m/z: 378 [M+H]+. | |
| I-534 | исходное соединение: IV-93 Стадия 1: 92% Стадия 2: 23% |
1H-ЯМР (400 МГц, CDCl3) δ: 3,74 (3H, с),4,63 (2H, тд, J=12,2, 46,5 Гц), 7,16-7,21 (3H, м), 7,53-7,56 (2H, м), 7,77 (1H, дд, J=2,0, 7,4 Гц), 8,25 (1H, дд, J=2,0, 4,9 Гц), 8,47 (1H, с),8,70 (1H, с). | ESI-MS m/z: 439, 441 [M+H]+. | |
| I-535 | исходное соединение: IV-93 Стадия 1: 92% Стадия 2: 23% |
1H-ЯМР (400 МГц, CDCl3) δ: 4,04 (3H, д, J=4,6 Гц), 4,63 (2H, тд, J=12,2, 46,5 Гц), 7,15-7,20 (3H, м), 7,53-7,56 (2H, м), 7,70 (1H, дд, J=1,9, 7,4 Гц), 8,23 (1H, дд, J=2,0, 5,0 Гц), 8,28 (1H, с),8,45 (1H, д, J=6,3 Гц). | ESI-MS m/z: 379 [M+H]+. |
[1013]
[Таблица 66]
| соединение | исходное соединение выход |
структурная формула | ЯМР | MS |
| I-536 | исходное соединение: IV-110 Стадия 1: 61% Стадия 2: 35% |
1H-ЯМР (400 МГц, CDCl3) δ: 2,42 (3H, с),6,73 (1H, т, J=55,4 Гц), 7,00-7,07 (2H, м), 7,53 (1H, д, J=8,4 Гц), 7,91 (1H, д, J=2,0 Гц), 7,93 (1H, с),8,24 (1H, м), 8,73 (1H, с),8,84 (1H, д, J=1,8 Гц), 8,85 (1H, с),8,90 (1H, д, J=1,8 Гц). | ESI-MS m/z: 365 [M+H]+. | |
| I-537 | исходное соединение: IV-119 Стадия 1→2: 11% (2 стадии) |
1H-ЯМР (400 МГц, CDCl3) δ:1,92 (3H, т, J=18,1 Гц), 7,17-7,20 (2H, м), 7,52-7,55 (2H, м), 7,92 (1H, дд, J=7,1, 9,8 Гц), 7,93 (1H, с),8,22-8,26 (1H, м), 8,76 (1H, с),8,84 (1H, д, J=1,8 Гц), 8,85 (1H, с),8,90 (1H, д, J=1,8 Гц). | ESI-MS m/z: 365 [M+H]+. | |
| I-538 | исходное соединение: I-70 Стадия 1→2: 48% (2 стадии) |
1H-ЯМР (400 МГц, CDCl3) δ: 2,33 (3H, с),3,76 (3H, с),5,18 (2H, с),6,78-6,82 (3H, м), 6,98 (1H, д, J=8,2 Гц), 7,07 (1H, т, J=7,3 Гц), 7,13 (1H, дд, J=5,0, 7,3 Гц), 7,17 (1H, т, J=8,2 Гц), 7,34 (1H, дд, J=1,8, 7,3 Гц), 7,39 (1H, ддд, J=1,8, 7,3, 8,2 Гц), 7,48 (1H, дд, J=2,3, 8,2 Гц), 7,52 (1H, т, J=8,2 Гц), 7,72 (1H, дд, J=1,8, 7,3 Гц), 8,15 (1H, дд, J=1,8, 5,0 Гц), 8,41 (1H, д, J=2,7 Гц). | ESI-MS m/z: 399 [M+H]+. | |
| I-539 | исходное соединение: I-172 выход: 12% |
1H-ЯМР (400 МГц, CDCl3) δ: 1,88 (3H, т, J=2,3 Гц), 3,80 (3H, с),4,91 (2H, кв, J=2,3 Гц), 6,81 (1H, д, J=9,2 Гц), 6,99 (1H, д, J=8,2 Гц), 7,04-7,10 (2H, м), 7,33-7,42 (3H, м), 7,68 (1H, дд, J=1,8, 7,3 Гц), 7,97 (1H, д, J=2,8 Гц), 8,12 (1H, дд, J=1,8, 5,0 Гц). | ESI-MS m/z: 347 [M+H]+. | |
| I-540 | исходное соединение: I-79 выход: 50% |
1H-ЯМР (400 МГц, CDCl3) δ: 3,73 (3H, с),4,12 (2H, т, J=13,2 Гц), 4,62 (2H, с), 6,89 (1H, д, J=8,3 Гц), 7,06 (1H, т, J=4,6, 7,3 Гц), 7,17 (1H, дд, J=4,6, 7,3 Гц), 7,22-7,36 (6H, м), 7,40 (1H, т, J=7,3 Гц), 7,55 (1H, т, J=2,7, 8,7 Гц), 7,69 (1H, д, J=8,7 Гц), 7,73 (1H, т, J=1,8, 7,3 Гц), 8,16 (1H, дд, J=1,8, 5,0 Гц), 8,44 (1H, д, J=2,7 Гц). | ESI-MS m/z: 449 [M+H]+. | |
| I-541 | исходное соединение: I-347 выход: 50% |
1H-ЯМР (400 МГц, CDCl3) δ: 2,47 (1H, т, J=2,3 Гц), 3,88 (3H, с),4,19-4,28 (4H, м), 7,01 (1H, дд, J=5,0, 7,3 Гц), 7,18 (1H, дд, J=4,6, 7,3 Гц), 7,57 (1H, дд, J=2,7, 8,7 Гц), 7,65 (1H, дд, J=1,9, 7,3 Гц), 7,70 (1H, д, J=8,3 Гц), 7,76 (1H, дд, J=2,3, 7,3 Гц), 8,18 (1H, дд, J=1,8, 5,0 Гц), 8,22 (1H, дд, J=1,8, 5,1 Гц), 8,47 (1H, д, J=2,7 Гц). | ESI-MS m/z: 398 [M+H]+. | |
| I-542 | исходное соединение: I-434 выход: 39% |
1H-ЯМР (400 МГц, CDCl3) δ: 3,45 (3H, с),3,79 (2H, т, J=13,3 Гц), 3,88 (3H, с), 6,99 (1H, дд, J=5,0, 7,3 Гц), 7,10-7,20 (3H, м), 7,51 (2H, д, J=8,7 Гц), 7,64 (1H, дд, J=1,8, 7,3 Гц), 7,74 (1H, дд, J=2,3, 5,0 Гц), 8,18-8,21 (2H, м). | ESI-MS m/z: 373 [M+H]+. | |
| I-543 | исходное соединение: I-434 выход: 48% |
1H-ЯМР (400 МГц, CDCl3) δ: 2,47 (1H, т, J=2,3 Гц), 3,87 (3H, с),3,95 (2H, т, J=13,3 Гц), 4,25 (2H, д, J=2,3 Гц), 6,99 (1H, дд, J=5,0, 7,3 Гц), 7,12-7,19(3H, м), 7,52 (2H, д, J=8,7 Гц), 7,65 (1H, дд, J=1,8, 7,3 Гц), 7,74 (1H, дд, J=2,3, 7,3 Гц), 8,19-8,21 (2H, м). | ESI-MS m/z: 397 [M+H]+. |
[1014]
[Таблица 67]
| соединение | исходное соединение выход |
структурная формула | ЯМР | MS |
| I-544 | исходное соединение: I-434 выход: 39% |
1H-ЯМР (400 МГц, CDCl3) δ: 3,81 (2H, т, J=13,3 Гц), 3,95 (3H, с),4,62 (2H, с),6,96 (1H, дд, J=5,0, 7,3 Гц), 7,11-7,15 (3H, м), 7,25-7,34 (5H, м), 7,52 (2H, д, J=8,7 Гц), 7,65 (1H, дд, J=1,8, 7,3 Гц), 7,74 (1H, дд, J=2,3, 7,3 Гц), 8,19 (2H, дт, J=1,8, 5,0 Гц). | ESI-MS m/z: 449 [M+H]+. | |
| I-545 | исходное соединение: I-79 выход: 9% |
1H-ЯМР (400 МГц, CDCl3) δ: 1,42-1,48 (2H, м), 1,85-1,95 (2H, м), 2,13-2,20 (2H, м), 3,71 (3H, с),3,99-4,05 (3H, м), 6,97 (1H, д, J=8,2 Гц), 7,06 (1H, т, J=7,3 Гц), 7,17 (1H, дд, J=2,3, 5,0 Гц), 7,32 (1H, дд, J=2,3, 7,3 Гц), 7,37-7,41 (1H, м), 7,55 (1H, дд, J=2,7, 8,7 Гц), 7,68 (1H, д, J=8,7 Гц), 7,73 (1H, дд, J=1,8, 7,3 Гц), 8,17 (1H, дд, J=1,8, 5,0 Гц), 8,44 (1H, д, J=2,7 Гц). | ESI-MS m/z: 413 [M+H]+. | |
| I-546 | исходное соединение: I-154 выход: 81% |
1H-ЯМР (400 МГц, CDCl3) δ: 1,12 (6H, д, J=6,0 Гц), 3,68 (1H, септ, J=6,0 Гц), 3,71 (3H, с),4,08 (2H, д, J=13,3 Гц), 6,70 (1H, дд, J=2,3, 11,0 Гц), 6,77 (1H, дт, J=2,7, 8,3 Гц), 7,17 (1H, дд, J=5,0, 7,3 Гц), 7,26 (1H, дд, J=6,9, 8,3 Гц), 7,54 (1H, дд, J=2,7, 8,7 Гц), 7,67-7,78 (2H, м), 8,16 (1H, дд, J=2,3, 8,7 Гц), 8,44 (1H, д, J=2,3 Гц). | ESI-MS m/z: 419 [M+H]+. | |
| I-547 | исходное соединение: I-154 выход: количественный |
1H-ЯМР (400 МГц, CDCl3) δ: 0,84 (3H, т, J=7,3 Гц), 1,50-1,61 (2H, м), 3,50 (2H, т, J=6,9 Гц), 3,70 (3H, с),4,09 (2H, т, J=13,3 Гц), 6,69 (1H, дд, J=2,3, 10,6 Гц), 6,76 (1H, дт, J=2,3, 8,3 Гц), 7,16 (1H, дд, J=5,0, 7,3 Гц), 7,26 (1H, дд, J=5,0, 8,2 Гц), 7,54 (1H, дд, J=2,7, 8,3 Гц), 7,68 (1H, д, J=8,2 Гц), 7,70 (1H, дд, J=1,8, 7,3 Гц), 8,16 (1H, дд, J=1,8, 5,0 Гц), 8,44 (1H, д, J=2,3 Гц). | ESI-MS m/z: 419 [M+H]+. | |
| I-548 | исходное соединение: I-80 выход: 65% |
1H-ЯМР (400 МГц, CDCl3) δ: 0,76 (3H, т, J=7,3 Гц), 1,35-1,42 (2H, м), 2,34 (3H, с),2,41 (2H, т, J=8,7 Гц), 3,21 (2H, т, J=14,6 Гц), 3,72 (3H, с),6,97 (1H, д, J=8,3 Гц), 7,05 (1H, дт, J=0,9, 7,3 Гц), 7,15 (1H, дд, J=5,0, 7,3 Гц), 7,32 (1H, дд, J=1,8, 7,3 Гц), 7,36-7,41 (1H, м), 7,53 (1H, дд, J=2,7, 8,7 Гц), 7,65 (1H, д, J=8,7 Гц), 7,73 (1H, дд, J=1,8, 7,3 Гц), 8,14 (1H, дд, J=1,8, 5,0 Гц), 8,44 (1H, д, J=2,7 Гц). | ESI-MS m/z: 414 [M+H]+. | |
| I-549 | исходное соединение: I-156 выход: 65% |
1H-ЯМР (400 МГц, CDCl3) δ: 2,04 (3H, с),3,69 (3H, с),4,92 (2H, т, J=13,3 Гц), 6,69 (1H, дд, J=2,3, 11,0 Гц), 6,77 (1H, дт, J=2,3, 8,3 Гц), 7,17 (1H, дд, J=4,6, 7,3 Гц), 7,22 (1H, с),7,26 (1H, дд, J=6,4, 8,7 Гц), 7,29 (1H, с),7,51 (1H, дд, J=2,3, 8,3 Гц), 7,58 (1H, д, J=8,7 Гц), 7,71 (1H, дд, J=1,8, 7,3 Гц), 8,16 (1H, дд, J=1,8, 5,0 Гц), 8,47 (1H, д, J=2,3 Гц). | ESI-MS m/z: 441 [M+H]+. | |
| I-550 | исходное соединение: I-338 выход: количественный |
1H-ЯМР (400 МГц, CDCl3) δ: 3,18 (6H, с),3,83 (3H, с),7,01 (1H, д, J=8,2 Гц), 7,05-7,09 (2H, м), 7,34 (1H, дд, J=1,7, 7,4 Гц), 7,38-7,42 (1H, м), 7,65 (1H, дд, J=2,0, 7,3 Гц), 8,09 (1H, дд, J=1,9, 4,9 Гц), 8,19 (2H, с). | ESI-MS m/z: 323 [M+H]+. | |
| I-551 | исходное соединение: I-338 выход: 22% |
1H-ЯМР (400 МГц, CDCl3) δ: 2,18 (1H, т, J=2,3 Гц), 3,22 (3H, с),3,82 (3H, с),4,48 (2H, д, J=2,3 Гц), 7,01 (1H, д, J=8,2 Гц), 7,05-7,09 (2H, м), 7,34 (1H, дд, J=1,8, 7,8 Гц), 7,40 (1H, дт, J=1,8, 9,6 Гц), 7,66 (1H, дд, J=1,8, 7,3 Гц), 8,10 (1H, дд, J=1,8, 5,0 Гц), 8,24 (2H, с). | ESI-MS m/z: 347 [M+H]+. |
[1015]
[Таблица 68]
| соединение | исходное соединение выход | структурная формула | ЯМР | MS |
| I-552 | исходное соединение: I-191 выход: 16% |
1H-ЯМР (400 МГц, CDCl3) δ: 2,18 (1H, т, J=2,3 Гц), 3,23 (3H, с),3,81 (3H, с),4,48 (2H, д, J=2,3 Гц), 6,71-6,79 (2H, м), 7,07 (1H, дд, J=5,0, 7,3 Гц), 7,28 (1H, дд, J=6,4, 8,3 Гц), 7,63 (1H, дд, J=1,8, 7,3 Гц), 8,09 (1H, дд, J=1,8, 5,0 Гц), 8,22 (2H, с). | ESI-MS m/z: 365 [M+H]+. | |
| I-553 | исходное соединение: I-191 выход: 93% |
1H-ЯМР (400 МГц, CDCl3) δ: 3,12 (3H, с),3,81 (3H, с),4,26 (2H, тд, J=1,4, 5,5 Гц), 5,14-5,19 (2H, м), 5,83-5,92 (1H, м), 6,71-6,79 (2H, м), 7,05-7,08 (1H, м), 7,28-7,30 (1H, м), 7,62 (1H, дд, J=2,3, 7,3 Гц), 8,10 (1H, дд, J=1,8, 5,0 Гц), 8,18 (2H, с). | ESI-MS m/z: 367 [M+H]+. | |
| I-554 | исходное соединение: I-353 выход: 86% |
1H-ЯМР (400 МГц, CDCl3) δ: 0,95 (3H, т, J=7,3 Гц), 1,30-1,40 (2H, м), 1,56-1,64 (2H, м), 3,14 (3H, с),3,61 (2H, J= 7,3 Гц), 3,97 (3H, с),7,01 (1H, дд, J=5,0, 7,3 Гц), 7,08 (1H, дд, J=5,0, 7,3 Гц), 7,65-7,70 (2H, м), 8,13 (1H, дд, J=1,8, 5,0 Гц), 8,18 (2H, с),8,23 (1H, дд, J=1,8, 5,0 Гц). | ESI-MS m/z: 366 [M+H]+. | |
| I-555 | исходное соединение: IV-29 Стадия 1: 63% Стадия 2: 95% |
1H-ЯМР (400 МГц, CDCl3) δ: 3,77 (8H, с),3,82 (3H, с),7,01 (1H, д, J=9,2 Гц), 7,06-7,10 (2H, м), 7,34 (1H, дд, J=1,4, 7,4 Гц), 7,40 (1H, дт, J=1,8, 8,3 Гц), 7,67 (1H, дд, J=1,8, 6,8 Гц), 8,10 (1H, дд, J=1,8, 5,0 Гц), 8,21 (2H, с). | ESI-MS m/z: 365 [M+H]+. | |
| I-556 | исходное соединение: IV-29 Стадия 1: 78% Стадия 2: 81% |
1H-ЯМР (400 МГц, CDCl3) δ: 1,19 (6H, т, J=6,8 Гц), 3,60 (4H, кв, J=6,9 Гц), 3,83 (3H, с),7,00 (1H, д, J=8,2 Гц), 7,05-7,09 (2H, м), 7,34 (1H, дд, J=1,8, 7,8 Гц), 7,38-7,42 (1H, м), 7,66 (1H, дд, J=1,8, 7,3 Гц), 8,11 (1H, дд, J=1,8, 4,7 Гц), 8,17 (2H, с). | ESI-MS m/z: 351 [M+H]+. | |
| I-557 | исходное соединение: IV-29 Стадия 1: 78% Стадия 2: 87% |
1H-ЯМР (400 МГц, CDCl3) δ: 1,19 (6H, т, J=7,3 Гц), 3,61 (4H, кв, J=7,3 Гц), 3,81 (3H, с),6,71-6,79 (2H, м), 7,04-7,08 (1H, м), 7,26-7,30 (1H, м), 7,60 (1H, дд, J=1,8, 7,3 Гц), 8,11 (1H, дд, J=1,8, 4,6 Гц), 8,16 (2H, с). | ESI-MS m/z: 369 [M+H]+. | |
| I-558 | исходное соединение: IV-29 Стадия 1: 78% Стадия 2: 80% |
1H-ЯМР (400 МГц, CDCl3) δ: 1,20 (6H, т, J=6,9 Гц), 3,29 (2H, т, J=8,7 Гц), 3,61 (4H, кв, J=7,3 Гц), 4,60 (2H, т, J=8,7 Гц), 6,95 (1H, т, J=7,3 Гц), 7,06 (1H, м), 7,23-7,31 (2H, м), 7,79 (1H, дд, J=2,3, 7,3 Гц), 8,10 (1H, дд, J=1,8, 5,0 Гц), 8,22 (2H, с). | ESI-MS m/z: 363 [M+H]+. | |
| I-559 | исходное соединение: IV-29 Стадия 1: 83% Стадия 2: 89% |
1H-ЯМР (400 МГц, CDCl3) δ: 0,91 (6H, д, J=6,9 Гц), 2,06-2,13 (1H, м), 3,14 (3H, с),3,43 (2H, д, J=7,8 Гц), 3,83 (3H, с),7,00 (1H, д, J=8,3 Гц), 7,05-7,08 (2H, м), 7,34 (1H, дд, J=1,4, 7,3 Гц), 7,40 (1H, дт, J=1,8, 8,3), 7,66 (1H, дд, J=1,8, 7,3 Гц), 8,11 (1H, дд, J=1,8, 5,0 Гц), 8,17 (2H, с). | ESI-MS m/z: 365 [M+H]+. |
[1016]
[Таблица 69]
| соединение | исходное соединение выход | структурная формула | ЯМР | MS |
| I-560 | исходное соединение: IV-29 Стадия 1: 83% Стадия 2: 94% |
1H-ЯМР (400 МГц, CDCl3) δ: 0,92 (6H, д, J=6,9 Гц), 2,06-2,13 (1H, м), 3,14 (3H, с),3,43 (2H, д, J=7,3 Гц), 3,81 (3H, с),6,71-6,79 (2H, м), 7,04-7,07 (1H, м), 7,26-7,30 (1H, м), 7,62 (1H, дд, J=1,8, 6,9 Гц), 8,11 (1H, дд, J=1,8, 5,0 Гц), 8,16 (2H, с). | ESI-MS m/z: 383 [M+H]+. | |
| I-561 | исходное соединение: IV-29 Стадия 1: 83% Стадия 2: 98% |
1H-ЯМР (400 МГц, CDCl3) δ: 0,92 (6H, д, J=6,9 Гц), 2,07-2,14 (1H, м), 3,15 (3H, с),3,29 (2H, т, J=8,7 Гц), 3,43 (2H, д, J=7,8 Гц), 4,60 (2H, д, J=8,7 Гц), 6,95 (1H, т, J=7,8 Гц), 7,04-7,08 (1H, м), 7,23-7,31 (2H, м), 7,79 (1H, дд, J=1,8, 7,3 Гц), 8,09 (1H, дд, J=1,8, 5,1 Гц), 8,22 (2H, с). | ESI-MS m/z: 377 [M+H]+. | |
| I-562 | исходное соединение: IV-29 Стадия 1: 93% Стадия 2: 94% |
1H-ЯМР (400 МГц, CDCl3) δ: 0,28 (2H, кв, J=4,6 Гц), 0,48-0,53 (2H, м), 1,06-1,13 (1H, м), 3,21 (3H, с),3,52 (2H, д, J=6,9 Гц), 3,97 (3H, с),7,00-7,03 (1H, м), 7,07-7,10 (1H, м), 7,66-7,70 (2H, м), 8,12 (1H, дд, J=1,8, 5,0 Гц), 8,19 (2H, с),8,23 (1H, дд, J=1,8, 5,0 Гц). | ESI-MS m/z: 364 [M+H]+. | |
| I-563 | исходное соединение: IV-29 Стадия 1: 93% Стадия 2: 94% |
1H-ЯМР (400 МГц, CDCl3) δ: 0,27 (2H, кв, J=4,6 Гц), 0,48-0,52 (2H, м), 1,08-1,13 (1H, м), 3,21 (3H, с),3,52 (2H, д, J=6,9 Гц), 3,83 (3H, с),7,00 (1H, д, J=8,7 Гц), 7,05-7,09 (2H, м), 7,34 (1H, дд, J=1,9, 7,8 Гц), 7,40 (1H, дт, J=1,4, 8,3 Гц), 7,66 (1H, дд, J=1,8, 7,3 Гц), 8,10 (1H, дд, J=1,8, 5,0 Гц), 8,18 (2H, с). | ESI-MS m/z: 363 [M+H]+. | |
| I-564 | исходное соединение: IV-29 Стадия 1: 93% Стадия 2: 92% |
1H-ЯМР (400 МГц, CDCl3) δ: 0,27 (2H, кв, J=4,6 Гц), 0,48-0,52 (2H, м), 1,06-1,13 (1H, м), 3,21 (3H, с),3,52 (2H, д, J=6,4 Гц), 3,81 (3H, с),6,71-6,80 (2H, м), 7,05-7,08 (1H, м), 7,28-7,30 (1H, м), 7,62 (1H, дд, J=1,8, 7,3 Гц), 8,10 (1H, дд, J=1,8, 5,0 Гц), 8,17 (2H, с). | ESI-MS m/z: 381 [M+H]+. | |
| I-565 | исходное соединение: IV-29 Стадия 1: 93% Стадия 2: 95% |
1H-ЯМР (400 МГц, CDCl3) δ: 0,28 (2H, кв, J=5,0 Гц), 0,48-0,51 (2H, м), 1,07-1,12 (1H, м), 3,21 (3H, с),3,30 (2H, т, J=8,7 Гц), 3,53 (2H, д, J=6,9 Гц), 4,60 (2H, т, J=8,7 Гц), 6,95 (1H, т, J=7,3 Гц), 7,05-7,08 (1H, м), 7,24-7,31 (2H, м), 7,80 (1H, дд, J=1,8, 7,3 Гц), 8,09 (1H, дд, J=2,3, 5,1 Гц), 8,23 (2H, с). | ESI-MS m/z: 375 [M+H]+. | |
| I-566 | исходное соединение: IV-29 Стадия 1: 72% Стадия 2: 63% |
1H-ЯМР (400 МГц, CDCl3) δ: 1,41 (3H, т, J=7,3 Гц), 3,16 (2H, кв, J=7,3 Гц), 3,77 (3H, с),6,72 (1H, дд, J=2,3, 11,0 Гц), 6,78 (1H, дт, J=2,7, 8,2 Гц), 7,13-7,16 (1H, м), 7,25-7,30 (1H, м), 7,67 (1H, дд, J=1,8, 7,3 Гц), 8,12 (1H, дд, J=1,8, 4,5 Гц), 8,40 (2H, с). | ESI-MS m/z: 358 [M+H]+. | |
| I-567 | исходное соединение: I-385 выход: 49% |
1H-ЯМР (400 МГц, CDCl3) δ: 1,23 (6H, д, J=6,4 Гц), 3,24 (3H, с),3,80 (3H, с),4,32 (2H, с),4,60 (1H, септ, J=6,4 Гц), 6,71-6,79 (2H, м), 7,06 (1H, дд, J=5,0, 7,3 Гц), 7,27 (1H, дд, J=6,8, 8,3 Гц), 7,62 (1H, дд, J=1,8, 7,3 Гц), 8,08 (1H, дд, J=1,8, 5,0 Гц), 8,18 (2H, с). | ESI-MS m/z: 427 [M+H]+. |
[1017]
[Таблица 70]
| соединение | исходное соединение выход | структурная формула | ЯМР | MS |
| I-568 | исходное соединение: I-221 выход: 90% |
1H-ЯМР (400 МГц, CDCl3) δ: 3,86 (3H, с),7,21-7,24 (3H, м), 7,57 (1H, с),7,65 (2H, м), 7,78 (1H, дд, J=1,9, 7,4 Гц), 8,30 (1H, дд, J=1,9, 4,9 Гц). | ESI-MS m/z: 398, 400 [M+H]+. | |
| I-569 | исходное соединение: I-191 Стадия 1: 79% Стадия 2: 76% |
1H-ЯМР (400 МГц, CDCl3) δ: 3,14-3,19 (2H, м), 3,26-3,31 (2H, м), 3,75 (3H, с),6,72 (1H, дд, J=2,3, 11,0 Гц), 6,78 (1H, ддд, J=2,3, 8,3, 8,3 Гц), 7,16 (1H, дд, J=5,0, 7,3 Гц), 7,18-7,22 (1H, м), 7,25-7,32 (5H, м), 7,69 (1H, дд, J=1,8, 7,3 Гц), 8,13 (1H, дд, J=1,8, 5,0 Гц), 8,52 (2H, с). | ESI-MS m/z: 402 [M+H]+. | |
| I-570 | исходное соединение: I-353 Стадия 1: 45% Стадия 2: 78% |
1H-ЯМР (400 МГц, CDCl3) δ: 3,14-3,19 (2H, м), 3,27-3,32 (2H, м), 3,91 (3H, с),7,02 (1H, дд, J=5,0, 7,3 Гц), 7,16-7,22 (2H, м), 7,26-7,32 (4H, м), 7,67 (1H, дд, J=1,8, 7,3 Гц), 7,75 (1H, дд, J=1,8, 7,3 Гц), 8,15 (1H, дд, J=1,8, 5,0 Гц), 8,24 (1H, дд, J=1,8, 5,0 Гц), 8,46 (2H, с). | ESI-MS m/z: 385 [M+H]+. | |
| I-571 | исходное соединение: I-390 Стадия 1: 42% Стадия 2: 20% |
1H-ЯМР (400 МГц, CDCl3) δ: 2,72-2,79 (2H, м), 2,82-2,88 (2H, м), 3,84 (3H, с),3,93 (3H, с),6,97-7,03 (3H, м), 7,05-7,09 (2H, м), 7,15-7,20 (2H, м), 7,30 (1H, с),7,66-7,72 (2H, м), 8,17 (1H, дд, J=1,8, 5,0 Гц), 8,20 (1H, дд, J=1,8, 5,0 Гц). | ESI-MS m/z: 387 [M+H]+. | |
| I-572 | исходное соединение: I-390 Стадия 1: 72% Стадия 2: 86% (Pd(OH)2/C used instead of Pd/C) |
1H-ЯМР (400 МГц, CDCl3) δ: 2,94-2,99 (2H, м), 3,15-3,19 (2H, м), 3,92 (3H, с),6,99 (1H, дд, J=5,0. 7,3 Гц), 7,02-7,05 (2H, м), 7,08 (1H, дд, J=5,0, 7,3 Гц), 7,16-7,19 (2H, м), 7,59 (1H, с),7,67 (1H, дд, J=1,8, 7,3 Гц), 7,71 (1H, дд, J=1,8, 7,3 Гц), 8,17 (1H, дд, J=1,8, 5,0 Гц), 8,20 (1H, дд, J=1,8, 5,0 Гц), 8,65 (1H, с). | ESI-MS m/z: 390 [M+H]+. | |
| I-573 | исходное соединение: I-390 Стадия 1: 74% Стадия 2: 43% (Pd(OH)2/C used instead of Pd/C) |
1H-ЯМР (400 МГц, CDCl3) δ: 3,09-3,15 (2H, м), 3,32-3,36 (2H, м), 3,92 (3H, с),6,98 (1H, дд, J=5,0, 7,3 Гц), 7,01-7,05 (2H, м), 7,07 (1H, дд, J=5,0, 7,3 Гц), 7,18-7,24 (3H, м), 7,68 (1H, дд, J=1,8, 7,3 Гц), 7,69-7,72 (2H, с),8,17 (1H, дд, J=1,8, 5,0 Гц), 8,19 (1H, дд, J=1,8, 5,0 Гц). | ESI-MS m/z: 390 [M+H]+. | |
| I-574 | исходное соединение: III-10 Стадия 1: 65% Стадия 2: 90% Стадия 3: 15% |
1H-ЯМР (400 МГц, CDCl3) δ: 1,23 (3H, т, J=7,7 Гц), 2,65 (2H, кв, J=7,7 Гц), 6,64 (1H, д, J=2,2 Гц), 6,96 (1H, дд, J=1,2, 7,0 Гц), 7,05-7,10 (2H, м), 7,19-7,25 (3H, м), 7,66 (1H, дд, J=1,9, 9,0 Гц), 7,98 (1H, д, J=2,2 Гц), 8,84-8,88 (2H, м). | ESI-MS m/z: 317 [M+H]+. | |
| I-575 | исходное соединение: 5-Br-2-tBu-пиримидин Стадия 1: 98% Стадия 2: количественный Стадия 3: 7% Стадия 4: 64% |
1H-ЯМР (400 МГц, CDCl3) δ: 1,42 (9H, с),3,77 (3H, с),6,71 (1H, д, J=10,5 Гц), 6,77 (1H, ддд, J=1,8, 8,2, 10,5 Гц), 7,15 (1H, ддд, J=1,8, 5,0, 8,2 Гц), 7,28 (1H, т, J=7,3 Гц), 7,68 (1H, дд, J=1,8, 7,3 Гц), 8,13 (1H, дд, J=1,8, 5,0 Гц), 8,52 (2H, с). | ESI-MS m/z: 354 [M+H]+. |
[1018]
[Таблица 71]
| соединение | Исходное соединение выход | структурная формула | ЯМР | MS |
| I-576 | исходное соединение: IV-42 выход: 70% |
1H-ЯМР (400 МГц, CDCl3) δ: 3,74 (3H, с),6,96-6,98 (1H, м), 7,03-7,07 (1H, м), 7,09-7,13 (3H, м), 7,20 (2H, д, J=8,2 Гц), 7,32 (1H, дд, J=1,8, 7,3 Гц), 7,36-7,40 (1H, м), 7,71 (1H, дд, J=2,3, 7,3 Гц), 8,17 (1H, дд, J=1,8, 7,5 Гц). | ESI-MS m/z: 360 [M+H]+. | |
| I-577 | исходное соединение: IV-79 выход: 41% |
1H-ЯМР (400 МГц, CDCl3) δ: 6,60-6,61 (1H, м), 6,61 (1H, т, J=56,6 Гц), 6,91 (1H, дд, J=1,4, 6,9 Гц), 7,19-7,23 (4H, м), 7,47-7,50 (2H, м), 7,62 (1H, дд, J=1,4, 8,7 Гц), 7,94 (1H, д, J=2,3 Гц), 8,02 (1H, дд, J=2,3, 7,3 Гц), 8,30 (1H, дд, J=2,3, 5,0 Гц). | ESI-MS m/z: 338 [M+H]+. | |
| I-578 | исходное соединение: I-338 выход: 22% |
1H-ЯМР (400 МГц, CDCl3) δ: 3,82 (3H, с),4,63 (2H, д, J=6,0 Гц), 5,39 (1H, т, J=5,5 Гц), 7,00 (1H, д, J=8,2 Гц), 7,05-7,10 (2H, м), 7,29-7,43 (7H, м), 7,67 (1H, дд, J=1,8, 7,3 Гц), 8,11 (1H, дд, J=1,9, 4,6 Гц), 8,19 (2H, с). | ESI-MS m/z: 385 [M+H]+. | |
| I-579 | исходное соединение: I-191 Стадия 1: 60% Стадия 2: 67% |
1H-ЯМР (400 МГц, CDCl3) δ: 2,39 (3H, с),3,12-3,18 (2H, м), 3,21-3,26 (2H, м), 3,78 (3H, с),6,72 (1H, дд, J=2,3, 11,0 Гц), 6,76-6,81 (1H, м), 7,11-7,23 (5H, м), 7,26-7,31 (1H, м), 7,69 (1H, дд, J=1,8, 7,3 Гц), 8,13 (1H, дд, J=1,8, 5,0 Гц), 8,54 (2H, с). | ESI-MS m/z: 416 [M+H]+. | |
| I-580 | исходное соединение: I-191 Стадия 1: 71% Стадия 2: 77% |
1H-ЯМР (400 МГц, CDCl3) δ: 2,33 (3H, с),3,10-3,15 (2H, м), 3,25-3,29 (2H, м), 3,75 (3H, с),6,72 (1H, дд, J=2,3, 11,0 Гц), 6,76-6,81 (1H, м), 7,00-7,20 (5H, м), 7,26-7,30 (1H, м), 7,69 (1H, дд, J=1,8, 7,3 Гц), 8,13 (1H, дд, J=1,8, 5,0 Гц), 8,52 (2H, с). | ESI-MS m/z: 416 [M+H]+. | |
| I-581 | исходное соединение: I-399 выход: 38% |
1H-ЯМР (400 МГц, CDCl3) δ: 3,26 (2H, т, J=7,8 Гц), 3,91 (3H, с),4,67 (2H, т, J=7,8 Гц), 6,98 (1H, дд, J=5,0, 7,3 Гц), 7,01-7,04 (2H, м), 7,08 (1H, дд, J=5,0, 7,3 Гц), 7,16-7,19 (2H, м), 7,59 (2H, с),7,66 (1H, дд, J=1,8, 7,3 Гц), 7,71 (1H, дд, J=2,3, 7,3 Гц), 8,17 (1H, дд, J=2,3, 5,0 Гц), 8,20 (1H, дд, J=1,8, 5,0 Гц). | ESI-MS m/z: 374 [M+H]+. | |
| I-582 | исходное соединение: I-44 выход: 35% |
1H-ЯМР (400 МГц, CDCl3) δ: 6,89 (1H, дд, J=1,4, 6,9 Гц), 7,20 (1H, дд, J=6,9, 8,7 Гц), 7,28 (1H, дд, J=5,0, 7,8 Гц), 7,62 (1H, дд, J=1,4, 8,7 Гц), 7,68-7,69 (2H, м), 7,77 (1H, д, J=3,7 Гц), 7,99 (1H, дд, J=1,8, 7,3 Гц), 8,30 (1H, дд, J=1,8, 5,0 Гц), 8,54 (1H, с). | ESI-MS m/z: 375 [M+H]+. |
[1019]
Экспериментальный пример 1: тест на оценку противогрибковой активности
Минимальную ингибирующую концентрацию (MIC) для трихофитона ментагрофитес и трихофитона красного измеряли следующим способом со ссылкой на руководство M38-A2 Института клинических и лабораторных стандартов (CLSI).
Справочный документ для способа измерения: национальный комитет по клиническим лабораторным стандартам. Справочный способ для теста по определению чувствительности к противогрибковым лекарственным средствам способом разведения в жидкой питательной среде гифомицетов. Второе издание утвержденного стандарта M38-A2. Wayne, PA: национальный комитет по клиническим лабораторным стандартам, 2008.
[1020]
Раствор испытуемого соединения: испытуемое соединение растворяли в диметилсульфоксиде (DMSO) при концентрации 2,5 мг/мл, получая базовый раствор. Базовый раствор подходящим образом разбавляли DMSO, получая серию 2-кратного разбавления. В качестве контрольных соединений применяли тербинафин и аморолфин.
Испытуемые штаммы: применяли трихофитон ментагрофитес SM-110 и трихофитон красный KD-1130.
Получение грибковой культуры, которую будут инокулировать: приведенный выше испытуемый штамм суспендировали в соляном растворе, содержащем 0,05% Tween 80, и грибок рода трихофитон получали при концентрации грибка 1×106 клетки/мл, применяя гемоцитомер. Затем, применяя RPMI 1640 среду, буферизованную MOPS (pH 7,0) в качестве испытуемой среды, культуру грибка рода трихофитон разбавляли 250-кратно (4×103 клетки/мл), получая культуру грибка для инокулирования.
Измерение МИК рода грибка стригущего лишая: RPMI 1640 среду, буферизованную MOPS (pH 7,0), распределяли по 100 мкл в указанные лунки 96 луночного планшета с U образным дном. Затем, добавляли раствор испытуемого соединения (2 мкл), смесь достаточно перемешивали смесителем для планшетов. Культуру грибка (100 мкл) инокулировали, и смесь культивировали при 35°C в течение 4 дней (конечная концентрация грибка: 2×103 клетки/мл). После культивирования, минимальную концентрацию лекарственного средства лунки, в которой визуально наблюдали ингибирующее рост действие не меньше чем 80% по сравнению с контрольным ростом, брали в качестве минимальной ингибирующей концентрации (MIC: мкг/мл).
Результаты показаны в таблицах 72-79.
Сокращения в таблицах обозначают следующий грибок и соединения.
T. menta.: трихофитон ментагрофитес
T. rubrum: трихофитон красный
TBF: тербинафин
AMF: аморолфин
[1021]
[Таблица 72]
| соединение | MIC (T. menta.) |
MIC (T. rubrum) |
соединение | MIC (T. menta.) |
MIC (T. rubrum) |
|
| I-1 | A | A | I-42 | B | B | |
| I-2 | A | A | I-43 | B | B | |
| I-3 | A | A | I-44 | A | A | |
| I-4 | A | A | I-45 | C | B | |
| I-5 | B | A | I-47 | C | C | |
| I-6 | A | A | I-48 | C | B | |
| I-7 | A | A | I-49 | C | C | |
| I-8 | A | A | I-50 | B | B | |
| I-9 | B | A | I-51 | A | A | |
| I-10 | A | A | I-52 | B | A | |
| I-11 | A | A | I-53 | B | A | |
| I-12 | A | A | I-54 | B | B | |
| I-13 | A | A | I-55 | B | B | |
| I-14 | A | A | I-56 | B | B | |
| I-15 | B | B | I-57 | B | B | |
| I-16 | A | A | I-59 | B | B | |
| I-17 | B | B | I-60 | B | B | |
| I-19 | C | C | I-61 | C | C | |
| I-20 | C | B | I-62 | C | B | |
| I-21 | B | B | I-63 | B | B | |
| I-23 | A | A | I-64 | A | A | |
| I-24 | C | C | I-65 | B | A | |
| I-25 | B | B | I-66 | C | B | |
| I-26 | A | A | I-67 | B | B | |
| I-27 | B | B | I-68 | C | C | |
| I-28 | B | B | I-69 | C | C | |
| I-29 | A | A | I-71 | C | C | |
| I-30 | A | A | I-72 | B | B | |
| I-31 | A | A | I-73 | A | A | |
| I-32 | B | A | I-74 | A | A | |
| I-33 | C | C | I-75 | A | A | |
| I-34 | A | A | I-76 | A | A | |
| I-35 | A | A | I-77 | A | A | |
| I-36 | A | B | I-78 | A | A | |
| I-37 | B | B | I-79 | B | C | |
| I-38 | A | A | I-80 | B | B | |
| I-39 | A | B | I-81 | A | A | |
| I-40 | B | B | I-82 | A | A | |
| I-41 | A | A | I-83 | A | A | |
| I-84 | A | A |
[1022]
[Таблица 73]
| соединение | MIC (T. menta.) |
MIC (T. rubrum) |
соединение | MIC (T. menta.) |
MIC (T. rubrum) |
|
| I-85 | A | A | I-126 | B | B | |
| I-86 | B | B | I-127 | C | C | |
| I-87 | B | B | I-128 | A | A | |
| I-88 | A | A | I-129 | A | A | |
| I-89 | B | B | I-130 | B | B | |
| I-90 | B | B | I-131 | B | B | |
| I-91 | B | B | I-132 | B | C | |
| I-92 | B | B | I-133 | C | C | |
| I-93 | B | B | I-134 | A | A | |
| I-94 | A | A | I-135 | A | A | |
| I-95 | B | B | I-136 | A | A | |
| I-96 | A | A | I-137 | A | A | |
| I-97 | B | B | I-138 | A | A | |
| I-98 | B | B | I-139 | C | C | |
| I-99 | B | B | I-140 | B | B | |
| I-100 | A | A | I-141 | C | C | |
| I-101 | B | B | I-142 | A | A | |
| I-102 | B | B | I-143 | B | B | |
| I-104 | B | B | I-144 | A | A | |
| I-105 | C | C | I-145 | A | A | |
| I-106 | C | C | I-146 | B | C | |
| I-107 | C | C | I-147 | A | B | |
| I-108 | A | B | I-148 | B | B | |
| I-109 | A | A | I-149 | B | B | |
| I-110 | A | B | I-150 | A | A | |
| I-111 | B | B | I-151 | B | B | |
| I-112 | B | B | I-152 | B | B | |
| I-113 | A | B | I-153 | A | A | |
| I-114 | B | B | I-154 | B | B | |
| I-115 | A | A | I-155 | A | A | |
| I-116 | A | A | I-157 | A | A | |
| I-117 | A | A | I-158 | A | B | |
| I-118 | A | A | I-159 | A | B | |
| I-119 | A | A | I-160 | A | A | |
| I-120 | A | A | I-161 | A | A | |
| I-121 | A | A | I-162 | A | A | |
| I-122 | A | A | I-163 | A | A | |
| I-123 | A | A | I-165 | A | A | |
| I-124 | B | B | I-166 | A | A | |
| I-125 | A | B | I-167 | B | B |
[1023]
[Таблица 74]
| соединение | MIC (T. menta.) |
MIC (T. rubrum) |
соединение | MIC (T. menta.) |
MIC (T. rubrum) |
|
| I-168 | B | B | I-211 | A | A | |
| I-169 | B | B | I-212 | A | A | |
| I-170 | B | B | I-213 | A | A | |
| I-171 | A | A | I-216 | A | A | |
| I-173 | A | A | I-217 | C | C | |
| I-174 | A | A | I-218 | A | A | |
| I-175 | B | B | I-219 | A | A | |
| I-176 | A | A | I-220 | A | A | |
| I-177 | A | A | I-221 | B | B | |
| I-178 | A | A | I-222 | A | A | |
| I-179 | A | A | I-223 | B | B | |
| I-180 | A | A | I-224 | A | A | |
| I-181 | B | A | I-225 | A | A | |
| I-182 | A | A | I-226 | A | A | |
| I-183 | A | A | I-227 | A | A | |
| I-184 | A | A | I-228 | A | A | |
| I-185 | A | A | I-229 | B | C | |
| I-186 | A | A | I-230 | B | B | |
| I-187 | C | C | I-231 | C | C | |
| I-188 | A | A | I-232 | B | B | |
| I-189 | B | B | I-233 | B | B | |
| I-191 | B | B | I-234 | A | A | |
| I-192 | A | A | I-235 | B | B | |
| I-193 | A | A | I-236 | C | C | |
| I-194 | A | B | I-237 | A | A | |
| I-195 | B | B | I-238 | B | B | |
| I-196 | B | B | I-239 | B | B | |
| I-198 | B | B | I-240 | A | A | |
| I-199 | A | A | I-241 | A | A | |
| I-200 | A | A | I-242 | B | C | |
| I-201 | A | A | I-243 | B | B | |
| I-202 | A | A | I-244 | C | C | |
| I-203 | A | A | I-245 | A | A | |
| I-204 | A | A | I-246 | C | C | |
| I-205 | A | A | I-248 | C | C | |
| I-206 | A | A | I-249 | B | B | |
| I-207 | A | A | I-251 | C | C | |
| I-208 | A | A | I-252 | B | B | |
| I-209 | A | A | I-253 | A | A | |
| I-210 | A | A | I-254 | A | A |
[1024]
[Таблица 75]
| соединение | MIC (T. menta.) |
MIC (T. rubrum) |
соединение | MIC (T. menta.) |
MIC (T. rubrum) |
|
| I-255 | A | A | I-296 | A | A | |
| I-256 | A | A | I-297 | A | A | |
| I-258 | A | A | I-298 | A | A | |
| I-259 | B | B | I-299 | A | A | |
| I-260 | B | A | I-300 | A | A | |
| I-261 | A | A | I-301 | A | A | |
| I-262 | B | B | I-302 | A | A | |
| I-263 | A | A | I-303 | A | A | |
| I-264 | A | A | I-304 | A | A | |
| I-265 | B | B | I-305 | A | A | |
| I-266 | A | A | I-306 | A | A | |
| I-267 | A | A | I-307 | A | A | |
| I-268 | A | A | I-308 | A | A | |
| I-269 | A | A | I-309 | B | A | |
| I-270 | A | A | I-310 | A | A | |
| I-271 | A | A | I-311 | B | B | |
| I-272 | A | A | I-312 | A | A | |
| I-273 | A | A | I-313 | A | A | |
| I-274 | B | B | I-314 | B | A | |
| I-275 | B | B | I-315 | A | A | |
| I-276 | B | B | I-316 | A | A | |
| I-277 | A | A | I-317 | A | A | |
| I-278 | B | B | I-318 | A | A | |
| I-279 | B | B | I-319 | A | A | |
| I-280 | A | A | I-320 | A | A | |
| I-281 | A | A | I-321 | A | A | |
| I-282 | A | A | I-322 | A | A | |
| I-283 | A | A | I-323 | A | A | |
| I-284 | A | A | I-324 | A | A | |
| I-285 | A | A | I-325 | A | A | |
| I-286 | A | A | I-326 | A | A | |
| I-287 | B | B | I-327 | A | A | |
| I-288 | A | A | I-328 | A | A | |
| I-289 | A | A | I-329 | A | A | |
| I-290 | A | A | I-330 | A | A | |
| I-291 | A | A | I-331 | A | A | |
| I-292 | A | A | I-332 | A | A | |
| I-293 | C | C | I-333 | A | A | |
| I-294 | B | B | I-334 | A | A | |
| I-295 | A | A | I-335 | A | A |
[1025]
[Таблица 76]
| соединение | MIC (T. menta.) |
MIC (T. rubrum) |
соединение | MIC (T. menta.) |
MIC (T. rubrum) |
|
| I-336 | A | A | I-350 | A | A | |
| I-338 | B | B | I-351 | B | B | |
| I-339 | A | A | I-353 | C | B | |
| I-340 | A | A | I-354 | A | B | |
| I-341 | B | A | I-355 | A | A | |
| I-342 | B | B | I-356 | A | A | |
| I-343 | B | B | I-357 | B | C | |
| I-344 | A | A | I-358 | A | A | |
| I-345 | A | A | I-359 | A | A | |
| I-346 | C | C | I-360 | A | A | |
| I-347 | C | C | TBF | A | A | |
| I-348 | B | B | AMF | A | A | |
| I-349 | C | C |
MIC
A: ≤0,1 мкг/мл
B: 0,2-0,78 мкг/мл
C: 1,56-6,25 мкг/мл
[1026]
[Таблица 77]
| соединение | MIC (T. menta.) |
MIC (T. rubrum) |
соединение | MIC (T. menta.) |
MIC (T. rubrum) |
|
| I-361 | B | B | I-419 | A | A | |
| I-362 | A | A | I-421 | A | A | |
| I-363 | A | A | I-422 | B | B | |
| I-365 | A | B | I-423 | A | A | |
| I-366 | A | A | I-424 | B | A | |
| I-367 | A | A | I-425 | A | A | |
| I-368 | A | A | I-426 | A | A | |
| I-369 | A | A | I-428 | A | A | |
| I-370 | A | A | I-429 | A | A | |
| I-371 | A | A | I-430 | A | A | |
| I-374 | A | A | I-431 | A | A | |
| I-375 | A | A | I-432 | A | A | |
| I-377 | A | A | I-433 | A | A | |
| I-378 | A | A | I-434 | B | C | |
| I-379 | A | A | I-435 | B | B | |
| I-380 | A | A | I-436 | A | A | |
| I-381 | A | A | I-439 | B | B | |
| I-384 | A | A | I-440 | A | A | |
| I-386 | A | A | I-441 | A | A | |
| I-387 | A | A | I-442 | A | A | |
| I-388 | A | A | I-443 | A | A | |
| I-390 | A | A | I-444 | A | A | |
| I-392 | A | A | I-445 | A | A | |
| I-394 | A | A | I-446 | A | A | |
| I-396 | A | A | I-447 | A | A | |
| I-397 | A | A | I-448 | A | A | |
| I-398 | A | A | I-449 | A | A | |
| I-400 | A | A | I-450 | A | A | |
| I-401 | A | A | I-451 | A | A | |
| I-404 | A | A | I-452 | A | A | |
| I-407 | A | A | I-453 | A | A | |
| I-408 | A | A | I-454 | A | A | |
| I-409 | A | A | I-455 | A | A | |
| I-411 | A | A | I-456 | A | A | |
| I-412 | A | A | I-457 | A | A | |
| I-413 | A | A | I-458 | A | A | |
| I-414 | A | A | I-459 | A | A | |
| I-415 | A | A | I-460 | A | A | |
| I-416 | A | A | I-461 | A | A | |
| I-418 | A | A | I-462 | A | A |
[1027]
[Таблица 78]
| соединение | MIC (T. menta.) |
MIC (T. rubrum) |
соединение | MIC (T. menta.) |
MIC (T. rubrum) |
|
| I-463 | A | A | I-503 | A | A | |
| I-464 | A | A | I-504 | A | A | |
| I-465 | A | A | I-505 | A | A | |
| I-466 | B | B | I-506 | A | A | |
| I-467 | B | B | I-507 | A | A | |
| I-468 | A | A | I-508 | A | A | |
| I-469 | A | A | I-509 | A | A | |
| I-470 | A | A | I-510 | A | A | |
| I-471 | A | A | I-511 | A | A | |
| I-472 | A | A | I-512 | A | A | |
| I-473 | A | A | I-513 | A | A | |
| I-474 | A | A | I-514 | A | A | |
| I-475 | A | A | I-515 | A | A | |
| I-476 | A | A | I-516 | A | A | |
| I-477 | A | A | I-517 | A | A | |
| I-478 | A | A | I-518 | A | A | |
| I-479 | A | A | I-519 | A | A | |
| I-480 | A | A | I-520 | A | A | |
| I-481 | A | A | I-521 | A | A | |
| I-482 | A | A | I-522 | A | A | |
| I-483 | A | A | I-523 | A | A | |
| I-484 | A | A | I-524 | A | A | |
| I-485 | A | A | I-525 | A | A | |
| I-486 | A | A | I-526 | A | A | |
| I-487 | A | A | I-527 | A | A | |
| I-488 | A | A | I-528 | A | A | |
| I-489 | A | A | I-529 | A | A | |
| I-490 | A | A | I-530 | A | A | |
| I-491 | A | A | I-531 | A | A | |
| I-492 | A | A | I-532 | A | A | |
| I-493 | A | A | I-533 | A | A | |
| I-494 | A | A | I-534 | A | A | |
| I-495 | A | A | I-535 | A | A | |
| I-496 | A | A | I-536 | A | A | |
| I-497 | A | A | I-537 | A | A | |
| I-498 | A | A | I-538 | A | A | |
| I-499 | A | A | I-539 | A | A | |
| I-500 | A | A | I-540 | A | A | |
| I-501 | A | A | I-541 | A | A | |
| I-502 | A | A | I-542 | A | A |
[1028]
[Таблица 79]
| соединение | MIC (T. menta.) |
MIC (T. rubrum) |
| I-543 | A | A |
| I-544 | A | A |
| I-545 | A | A |
| I-546 | A | A |
| I-547 | A | A |
| I-548 | A | A |
| I-549 | A | A |
| I-550 | A | A |
| I-551 | A | A |
| I-552 | A | A |
| I-553 | A | A |
| I-554 | A | A |
| I-555 | B | A |
| I-556 | A | A |
| I-557 | A | A |
| I-558 | A | A |
| I-559 | A | A |
| I-560 | A | A |
| I-561 | A | A |
| I-562 | A | A |
| I-563 | A | A |
| I-564 | A | A |
| I-565 | A | A |
| I-566 | A | A |
| I-567 | A | A |
| I-568 | A | A |
| I-569 | A | A |
| I-570 | A | A |
| I-571 | A | B |
| I-572 | A | A |
| I-573 | A | A |
| I-574 | A | A |
| I-575 | A | A |
| I-576 | A | A |
| I-577 | A | A |
| I-578 | A | A |
| I-579 | A | A |
| I-580 | A | A |
| I-581 | A | A |
| I-582 | A | A |
[1029]
Экспериментальный пример 2: испытание на ногтевую проницаемость
Проницаемость через ноготь человека измеряли способом, показанным ниже, применяя диффузионную ячейку Франца.
Испытуемый препарат: испытуемое соединение растворяли в смеси пропиленгликоль:этанол (1:4) при концентрации 5%, получая испытуемый препарат. В качестве контрольных соединений применяли тербинафин и аморолфин.
(1) ноготь человека (толщина 300-500 мкм) фиксировали, применяя зажим для ногтя для диффузионной ячейки Франца, и устанавливали на диффузионную ячейку Франца.
(2) принимающую камеру диффузионной ячейки Франца заполняли фосфатным буфером и помещали в термостатическую камеру при 32°C.
(3) испытуемый препарат наносили на приведенный выше ноготь человека при 61 мкл/мм2, после чего принимающий раствор собирали в течение дней, и концентрацию испытуемого соединения в приемнике измеряли способом жидкостной хроматографии-масс-спектрометрии (LC/MS/MS). Общую степень проникновения лекарственного средства (мкг/см2) рассчитывали из измеренной концентрации лекарственного средства в приемнике. Общую степень проникновения лекарственного средства относительно времени после начала испытания наносили на график, и угол наклона при конечных 4 точках принимали за плотность потока (мкг/см2/день).
Результаты показаны в таблице 80.
Сокращения в таблице обозначают следующие соединения.
TBF: тербинафин
AMF: аморолфин
[1030]
[Таблица 80]
| соединение | ногтевая проницаемость (мкг/см2/день) |
соединение | ногтевая проницаемость (мкг/см2/день) |
|
| I-1 | B | I-252 | A | |
| I-12 | B | I-253 | B | |
| I-26 | B | I-261 | B | |
| I-28 | A | I-295 | B | |
| I-35 | B | I-297 | B | |
| I-44 | B | I-310 | B | |
| I-68 | B | I-311 | B | |
| I-73 | C | I-312 | B | |
| I-79 | B | I-324 | B | |
| I-81 | B | I-330 | C | |
| I-84 | B | I-335 | C | |
| I-90 | A | I-336 | C | |
| I-96 | B | I-343 | A | |
| I-100 | B | I-346 | B | |
| I-110 | B | I-348 | B | |
| I-115 | B | I-349 | A | |
| I-120 | B | I-350 | B | |
| I-121 | C | I-351 | B | |
| I-145 | B | I-354 | B | |
| I-161 | B | I-355 | B | |
| I-168 | B | I-356 | B | |
| I-179 | B | I-357 | A | |
| I-192 | B | I-358 | B | |
| I-206 | B | I-359 | B | |
| I-210 | B | I-360 | B | |
| I-216 | B | TBF | D | |
| I-219 | B | AMF | D | |
| I-237 | B |
ногтевая проницаемость
A: ≥0,1
B: 0,01-меньше чем 0,1
C: 0,001-меньше чем 0,01
D: <0,001
Промышленная применимость
[1031]
Биарильное производное (I) или его соль настоящего изобретения обладают превосходной противогрибковой активностью относительно болезнетворных микроорганизмов поверхностного микоза, и противогрибковое средство, содержащее их в качестве активного ингредиента, является пригодным для лечения или профилактики инфекций, вызванных грибком у млекопитающих, включая человека.
Данная заявка основана на патентной заявке No. 2015-185966, поданной в Японии (дата подачи: 18 сентября 2015), содержание которой включено в настоящее изобретение с помощью ссылки во всей своей полноте.
Claims (99)
1. Биарильное производное, представленное формулой (I), или его фармакологически приемлемая соль:
где Q представляет собой O,
X1 и X3 представляют собой CH,
X2 представляет собой CR1 или N,
Y представляет собой CH или N,
Z представляет собой CR2b или N,
R1 представляет собой атом водорода, атом галогена или C1-C6 алкильную группу,
каждый из R2a и R2b независимо представляет собой атом водорода, атом галогена, цианогруппу, C1-C6 алкильную группу,
C1-C6 алкильную группу, замещенную ORg, где Rg представляет собой C1-C6 алкильную группу, C1-C6 алкилкарбонильную группу или -CONRjRk, где каждый из Rj и Rk независимо представляет собой -C1-C6 алкильную группу,
C1-C6 алкильную группу, замещенную С1-С6 алкоксикарбонильной группой, С1-С6 галогеналкильную группу, С1-С6 галогеналкильную группу, замещенную гетероциклоалкильной группой, представляющей собой морфолин, С1-С6 галогеналкильную группу, замещенную -NRhRi, где Rh представляет собой С1-С6 алкильную группу и Ri представляет собой атом водорода, С1-С6 алкильную группу, С1-С6алкоксигруппу, С1-С6 алкилкарбонильную группу или С1-С6 алкоксикарбонильную группу,
С1-С6 алкоксигруппу, C1-C6 алкоксигруппу, замещенную С1-С6алкоксикарбонильной группой, С1-С6 галогеналкоксигруппу, С1-С4 алкокси-С1-С4 алкильную группу, С1-С4 алкокси-С1-С4 галогеналкильную группу, С1-С4 алкокси-С1-С4галогеналкильную группу, замещенную С1-С4 алкоксигруппой, С1-С6алкилкарбонильную группу, С1-С6 алкоксикарбонильную группу, С3-С7 циклоалкильную группу, С3-С7 циклоалкильную группу, замещенную С1-С6 алкильной группой, С3-С7 циклоалкильную группу, замещенную С1-С4алкокси-С1-С4 алкильной группой, гетероциклоалкильную группу, представляющую собой морфолин, С2-С6 алкенильную группу, С2-С6 алкенил-С1-С6 алкильную группу, С2-С6 алкинильную группу, C2-C6 алкинилоксигруппу, C2-C6 алкинилокси-С1-С4-галогеналкильную группу, С1-С6 алкилтиогруппу, С2-С6 галогеналкилтиогруппу, пентафторсульфанильную группу,
-NRaRb, где каждый Ra и Rb независимо представляет собой C1-C6 алкильную группу, C1-C6 алкильную группу, замещенную цианогруппой, С1-С6 алкильную группу, замещенную С1-С4 алкоксигруппой, С1-С6 алкильную группу, замещенную С1-С6 алкоксикарбонильной группой, С1-С6 алкильную группу, замещенную С3-С7 циклоалкильной группой, С1-С6 алкильную группу, замещенную С2-С6 алкенильной группой или С1-С6 алкильную группу, замещенную С2-С6 алкинильной группой,
группу, представленную формулой (I-A)
где L представляет собой одинарную связь, -(CH2)p-, -O(CH2)p-, -(CH2)pO-, -(CH2)pO(CH2)q-, -NRc(CH2)p- или -(CH2)pNRc, где каждый из двух атомов водорода (CH2)p и (CH2)q необязательно замещен атомом галогена,
p равен 1 или 2,
q равен 1 или 2,
Rc представляет собой атом водорода или метильную группу, и
кольцо B представляет собой фенил, имидазолил, триазолил, пиразолил, оксазолил, изоксазолил, тиазолил, оксадиазолил, пиридил или пиримидинил, соответственно, необязательно замещенный С1-С4 алкильной группой, при условии, что R2a и R2b одновременно не являются атомами водорода, или,
когда Z представляет собой CR2b, R2a и R2b могут образовывать –(СН2)r-, где r равен 3, 4 или 5, необязательно замещенный атомом галогена, гидроксильной группой или оксогруппой, и
R3 представляет собой атом водорода, атом галогена, C1-C6 алкильную группу или C1-C6 галогеналкильную группу,
кольцо А выбирают из группы, состоящей из следующих формул:
где n равен 1 или 2,
R4 представляет собой атом галогена, цианогруппу, гидроксильную группу, C1-C6 алкильную группу, C1-C6 галогеналкильную группу, C3-C7 циклоалкильную группу, гетероциклоалкильную группу, представляющую собой пирролидинил, гетероциклоалкилоксигруппу, представляющую собой тетрагидропиранилокси, 5-членную кольцевую гетероарильную группу, представляющую собой имидазол или пиразол, C1-C6 алкоксигруппу, C1-C6 галогеналкоксигруппу, C2-C6 алкинильную группу, C2-C6 алкинил-C1-C6 алкоксигруппу, C1-C6 алкилтиогруппу, нитрогруппу, формильную группу, С1-С6 алкилкарбонильную группу, С1-С6алкоксикарбонильную группу или -NRdRe, где каждый из Rd и Re независимо представляет собой атом водорода или C1-C6 алкильную группу, и
каждый из R5a, R5b и R5c независимо представляет собой атом водорода, атом галогена, C1-C6 алкильную группу, C1-C6 алкоксигруппу, C1-C6 галогеналкильную группу, C1-C6 алкилкарбонильную группу или C1-C6 алкоксикарбонильную группу, или
кольцо A представляет собой кольцо, выбранное из группы, состоящей из следующих формул:
где X4 представляет собой NRf, где Rf представляет собой C1-C6 алкильную группу, O или S,
каждый из R5a, R5b и R5c независимо представляет собой атом водорода и
каждый из R6a и R6b независимо представляет собой атом водорода, атом галогена, C1-C6 алкильную группу или C1-C6 алкоксигруппу,
или соединение (I-227), представленное следующей формулой, или его фармакологически приемлемая соль:
2. Биарильное производное по п.1 или его фармакологически приемлемая соль, где в приведенной выше формуле (I) R1 представляет собой атом водорода или атом галогена.
3. Биарильное производное по любому из пп.1, 2 или его фармакологически приемлемая соль, где в приведенной выше формуле (I) X2 представляет собой CH или N.
4. Биарильное производное по любому из пп.1-3 или его фармакологически приемлемая соль, где в приведенной выше формуле (I) кольцо A представляет собой кольцо, выбранное из группы, состоящей из следующих формул:
где n, R4, R5a, R5b и R5c имеют значения, определенные в п.1.
5. Биарильное производное по любому из пп.1-3 или его фармакологически приемлемая соль, где в приведенной выше формуле (I) кольцо A представляет собой кольцо, выбранное из группы, состоящей из следующих формул:
где R4, R5a, R5b, R5c и n имеют значения, определенные в п.1.
6. Биарильное производное по любому из пп.1-3 или его фармакологически приемлемая соль, где в приведенной выше формуле (I) кольцо A представляет собой кольцо, выбранное из группы, состоящей из следующих формул:
где R4, R5a, R5b, R5c и n имеют значения, определенные в п.1.
7. Биарильное производное по любому из пп.1-6 или его фармакологически приемлемая соль, где R4 представляет собой атом галогена, цианогруппу, C1-C6 алкильную группу, C1-C6 галогеналкильную группу, C3-C7 циклоалкильную группу, C1-C6 алкоксигруппу, C1-C6 галогеналкоксигруппу, этинильную группу или C1-C6 алкилтиогруппу.
8. Биарильное производное по любому из пп.1-7 или его фармакологически приемлемая соль, где R4 представляет собой атом галогена, C1-C4 алкильную группу, C1-C4 галогеналкильную группу, циклопропильную группу, C1-C4 алкоксигруппу или C1-C4 галогеналкоксигруппу.
9. Биарильное производное по любому из пп.1-8 или его фармакологически приемлемая соль, где в приведенной выше формуле (I):
R2a представляет собой атом водорода, атом галогена, цианогруппу, C1-C6 алкильную группу,
C1-C6 алкильную группу, замещенную -ORg, где Rg представляет собой C1-C6 алкильную группу, С1-С6 алкилкарбонильную группу или -CONRjRk, где каждый из Rj и Rk независимо представляет собой C1-C6 алкильную группу,
C1-C6 алкильную группу, замещенную C1-C6 алкоксикарбонильной группой, C1-C6 галогеналкильную группу, C1-C6 галогеналкильную группу, замещенную гетероциклоалкильной группой, представляющей собой морфолин,
C1-C6 галогеналкильную группу, замещенную -NRhRi, где Rh представляет собой C1-C6 алкильную группу и Ri представляет собой атом водорода, C1-C6 алкильную группу или C1-C6 алкилкарбонильную группу,
C1-C6 алкоксигруппу, C1-C6 алкоксигруппу, замещенную C1-C6 алкоксикарбонильной группой, C1-C6 галогеналкоксигруппу, C1-C4 алкокси-C1-C4 алкильную группу, C1-C4 алкокси-C1-C4 галогеналкильную группу, C1-C4 алкокси-C1-C4 галогеналкильную группу, замещенную C1-C4 алкоксигруппой, C1-C6 алкилкарбонильную группу, C1-C6 алкоксикарбонильную группу, C3-C7 циклоалкильную группу, C3-C7 циклоалкильную группу, замещенную C1-C6-алкильной группой, C3-C7-циклоалкильную группу, замещенную C1-C4-алкокси-C1-C4-алкильной группой, гетероциклоалкильную группу, представляющую собой морфолин, C2-C6-алкенильную группу, C2-C6-алкинильную группу, C2-C6 алкинилоксигруппу, С1-С6 алкилтиогруппу, С1-С6 галогеналкилтиогруппу, пентафторсульфанильную группу,
-NRaRb, где каждый из Ra и Rb независимо представляет собой C1-C6 алкильную группу, C1-C6 алкильную группу, замещенную цианогруппой, C1-C6 алкильную группу, замещенную C1-C4 алкоксигруппой, C1-C6 алкильную группу, замещенную C1-C6 алкоксикарбонильной группой или C1-C6 алкильную группу, замещенную C2-C6 алкенильной группой, или
группу, представленную формулой (I-A)
где L представляет собой одинарную связь, -(CH2)p-, -O(CH2)p-, -(CH2)pO-, -NRc(CH2)p- или -(CH2)pNRc-, где два атома водорода (CH2)p необязательно замещены атомом галогена,
p равен 1 или 2,
Rc представляет собой атом водорода или метильную группу, и
кольцо B представляет собой фенил, имидазолил, пиразолил, оксазолил, тиазолил или оксадиазолил, и
R2b представляет собой атом водорода, атом галогена, цианогруппу, C1-C6 алкильную группу, C1-C6 алкоксигруппу или C1-C6 галогеналкоксигруппу, при условии, что R2a и R2b одновременно не являются атомами водорода, или,
когда Z представляет собой CR2b, R2a и R2b могут образовывать -(CH2)r-, где r равен 3, 4 или 5), необязательно замещенный атомом галогена, гидроксильной группой или оксогруппой.
10. Биарильное производное по любому из пп.1-9 или его фармакологически приемлемая соль, где в приведенной выше формуле (I):
R2a представляет собой атом водорода, атом галогена, цианогруппу, C1-C6 алкильную группу, C1-C6 галогеналкильную группу, C1-C6 алкоксигруппу, C1-C6 галогеналкоксигруппу, C1-C4 алкокси-C1-C4-алкильную группу, C1-C4-алкокси-C1-C4-галогеналкильную группу, C1-C6-алкилкарбонильную группу, C1-C6-алкоксикарбонильную группу, C3-C7-циклоалкильную группу,
-NRaRb, где каждый из Ra и Rb независимо представляет собой C1-C6 алкильную группу, C1-C6 алкильную группу, замещенную C1-C4 алкоксигруппой или C1-C6 алкильную группу, замещенную C1-C6 алкоксикарбонильной группой, или
группу, представленную формулой (IA)
где L представляет собой одинарную связь, -(CH2)p-, -O(CH2)p- или -(CH2)pO-, где два атома водорода (CH2)p необязательно замещены атомом галогена,
p равен 1 или 2, и
кольцо B представляет собой фенил или пиразолил, и
R2b представляет собой атом водорода, атом галогена или метильную группу, при условии, что R2a и R2b одновременно не являются атомами водорода, или,
когда Z представляет собой CR2b, R2a и R2b образуют - (CH2)r-, где r равен 3 или 4.
11. Биарильное производное по любому из пп.1-8 или его фармакологически приемлемая соль, где в приведенной выше формуле (I), когда Z представляет собой CR2b, каждый R2a и R2b независимо представляет собой атом водорода, C1-C4 алкильную группу, C1-C4 галогеналкильную группу, C1-C4 алкоксигруппу, C1-C4 галогеналкоксигруппу, C1-C4 алкокси-C1-C4 алкильную группу, C1-C4 алкокси-C1-C4 галогеналкильную группу или C3-C7 циклоалкильную группу, при условии, что R2a и R2b одновременно не являются атомами водорода.
12. Биарильное производное по любому из пп. 9 и 11 или его фармакологически приемлемая соль, где в приведенной выше формуле (I), когда Z представляет собой CR2b, R2b представляет собой атом водорода или C1-C4 алкильную группу, при условии, что R2a и R2b одновременно не являются атомами водорода.
13. Биарильное производное по п.1 или его фармакологически приемлемая соль, где соединение, представленное приведенной выше формулой (I), представляет собой любое из:
14. Лекарственное средство, обладающее противогрибковой активностью, содержащее эффективное количество биарильного производного по любому из пп.1-13 или его фармакологически приемлемой соли.
15. Противогрибковое средство, содержащее эффективное количество биарильного производного по любому из пп.1-13 или его фармакологически приемлемой соли в качестве активного ингредиента и фармакологически приемлемый жидкий или твердый носитель.
16. Терапевтический агент для лечения поверхностного микоза, содержащий эффективное количество биарильного производного по любому из пп.1-13 или его фармакологически приемлемой соли в качестве активного ингредиента и фармакологически приемлемый жидкий или твердый носитель.
17. Терапевтический агент для лечения дерматофитного онихомикоза, содержащий эффективное количество биарильного производного по любому из пп.1-13 или его фармакологически приемлемой соли в качестве активного ингредиента и фармакологически приемлемый жидкий или твердый носитель.
18. Применение биарильного производного по любому из пп.1-13 или его фармакологически приемлемой соли в получении противогрибкового средства, терапевтического агента для лечения поверхностного микоза или терапевтического агента для лечения дерматофитного онихомикоза.
19. Биарильное производное по любому из пп.1-13 или его фармакологически приемлемая соль для применения в профилактике или лечении грибковых инфекций, поверхностного микоза или дерматофитного онихомикоза.
20. Способ предотвращения или лечения грибковых инфекций, поверхностного микоза или дерматофитного онихомикоза у млекопитающего, включающий введение эффективного количества биарильного производного по любому из пп.1-13 или его фармакологически приемлемой соли млекопитающему.
Applications Claiming Priority (3)
| Application Number | Priority Date | Filing Date | Title |
|---|---|---|---|
| JP2015185966 | 2015-09-18 | ||
| JP2015-185966 | 2015-09-18 | ||
| PCT/JP2016/077029 WO2017047602A1 (ja) | 2015-09-18 | 2016-09-14 | ビアリール誘導体及びそれを含有する医薬 |
Publications (3)
| Publication Number | Publication Date |
|---|---|
| RU2018114077A RU2018114077A (ru) | 2019-10-18 |
| RU2018114077A3 RU2018114077A3 (ru) | 2020-02-06 |
| RU2760373C2 true RU2760373C2 (ru) | 2021-11-24 |
Family
ID=58289324
Family Applications (1)
| Application Number | Title | Priority Date | Filing Date |
|---|---|---|---|
| RU2018114077A RU2760373C2 (ru) | 2015-09-18 | 2016-09-14 | Биарильное производное и содержащее его лекарственное средство |
Country Status (18)
| Country | Link |
|---|---|
| US (1) | US10647675B2 (ru) |
| EP (1) | EP3351533B1 (ru) |
| JP (2) | JP6469238B2 (ru) |
| KR (1) | KR20180052635A (ru) |
| CN (1) | CN108290838B (ru) |
| AR (1) | AR106047A1 (ru) |
| AU (1) | AU2016325143B2 (ru) |
| BR (1) | BR112018004447A2 (ru) |
| CA (1) | CA2997537C (ru) |
| ES (1) | ES3039645T3 (ru) |
| IL (1) | IL258160B (ru) |
| MX (1) | MX381444B (ru) |
| MY (1) | MY195201A (ru) |
| PH (1) | PH12018500434A1 (ru) |
| RU (1) | RU2760373C2 (ru) |
| SG (1) | SG11201801856XA (ru) |
| TW (1) | TWI730002B (ru) |
| WO (1) | WO2017047602A1 (ru) |
Families Citing this family (11)
| Publication number | Priority date | Publication date | Assignee | Title |
|---|---|---|---|---|
| RU2760373C2 (ru) * | 2015-09-18 | 2021-11-24 | Какен Фармасьютикал Ко., Лтд. | Биарильное производное и содержащее его лекарственное средство |
| CN108727404B (zh) * | 2017-04-14 | 2020-05-12 | 中国科学院上海药物研究所 | 噻吩并[3,2-d]嘧啶类化合物、其制备方法及用途 |
| TWI789448B (zh) | 2017-10-30 | 2023-01-11 | 日商科研製藥股份有限公司 | 灰指甲治療用之外用製劑 |
| EA202191473A1 (ru) * | 2018-11-30 | 2021-08-27 | Оцука Фармасьютикал Ко., Лтд. | Гетероциклические соединения для лечения эпилепсии |
| JP7804407B2 (ja) * | 2020-05-29 | 2026-01-22 | 大塚製薬株式会社 | 複素環化合物の医薬用途 |
| EP4161906A1 (en) * | 2020-06-04 | 2023-04-12 | Bayer Aktiengesellschaft | Heterocyclyl pyrimidines and triazines as novel fungicides |
| WO2023027162A1 (ja) * | 2021-08-27 | 2023-03-02 | 科研製薬株式会社 | 2-(4-エチルフェノキシ)-4'-メトキシ-3,3'-ビピリジンの結晶及びその製造方法 |
| WO2023146511A1 (en) * | 2022-01-25 | 2023-08-03 | Vivace Therapeutics, Inc. | Compounds and methods of use thereof |
| WO2023146512A1 (en) * | 2022-01-25 | 2023-08-03 | Vivace Therapeutics, Inc. | Compounds and methods of use thereof |
| EP4634158A2 (en) * | 2022-12-14 | 2025-10-22 | The Regents of University of California | Inhibitors of procaspase-6 activation and uses thereof |
| WO2024129896A1 (en) * | 2022-12-14 | 2024-06-20 | The Regents Of The University Of California | Inhibitors of procaspase-6 activation and uses thereof |
Citations (9)
| Publication number | Priority date | Publication date | Assignee | Title |
|---|---|---|---|---|
| WO1996029301A1 (en) * | 1995-03-21 | 1996-09-26 | Agrevo Uk Limited | Fungicidal compounds |
| WO1996036633A1 (en) * | 1995-05-17 | 1996-11-21 | E.I. Du Pont De Nemours And Company | Fungicidal cyclic amides |
| WO2004035564A1 (en) * | 2002-10-17 | 2004-04-29 | Syngenta Participations Ag | Pyridine derivatives useful as herbicides |
| WO2004052280A2 (en) * | 2002-12-10 | 2004-06-24 | Imclone Systems Incorporated | Anti-angiogenic compounds and their use in cancer treatment |
| WO2004080972A1 (en) * | 2003-03-12 | 2004-09-23 | Vertex Pharmaceuticals Incorporated | Pirazole modulators of atp-binding cassette transporters |
| WO2006124692A2 (en) * | 2005-05-18 | 2006-11-23 | Wyeth | 3-cyanoquinoline inhibitors of tpl2 kinase and methods of making and using the same |
| RU2380365C1 (ru) * | 2005-10-31 | 2010-01-27 | Эйсай Ар Энд Ди Менеджмент Ко., Лтд. | Гетероциклические замещенные производные пиримидина и содержащий их противогрибковый агент |
| WO2010126895A1 (en) * | 2009-04-28 | 2010-11-04 | Amgen Inc. | Inhibitors of pi3 kinase and / or mtor |
| WO2011099764A2 (en) * | 2010-02-09 | 2011-08-18 | Hanmi Holdings Co., Ltd. | Novel pyrimidine derivative for inhibiting the growth of cancer cells |
Family Cites Families (36)
| Publication number | Priority date | Publication date | Assignee | Title |
|---|---|---|---|---|
| ATE289751T1 (de) | 2000-06-23 | 2005-03-15 | Basf Ag | Erhöhung der wirkung von herbiziden, die die carotenoid-synthese hemmen |
| DE10038019A1 (de) * | 2000-08-04 | 2002-02-14 | Bayer Ag | Substituierte Triazolopyrid(az)ine |
| GB0305142D0 (en) | 2003-03-06 | 2003-04-09 | Eisai London Res Lab Ltd | Synthesis |
| WO2004078756A2 (en) | 2003-03-06 | 2004-09-16 | Eisai Co., Ltd. | Jnk inhibitors |
| EP1751136B1 (en) * | 2004-05-07 | 2014-07-02 | Amgen Inc. | Nitrogenated heterocyclic derivatives as protein kinase modulators and use for the treatment of angiogenesis and cancer |
| WO2006078621A2 (en) | 2005-01-19 | 2006-07-27 | Bristol-Myers Squibb Company | 2-phenoxy-n- (1, 3 , 4-thiadizol-2-yl) pyridin-3-amine derivatives and related compounds as p2y1 receptor inhibitors for the treatment of thromboembolic disorders |
| TWI385169B (zh) | 2005-10-31 | 2013-02-11 | Eisai R&D Man Co Ltd | 經雜環取代之吡啶衍生物及含有彼之抗真菌劑 |
| HRP20160039T1 (hr) | 2006-01-23 | 2016-02-12 | Amgen, Inc | Modulatori aurora kinaze i postupak uporabe |
| US7868177B2 (en) | 2006-02-24 | 2011-01-11 | Amgen Inc. | Multi-cyclic compounds and method of use |
| AU2007304365A1 (en) | 2006-10-04 | 2008-04-10 | F. Hoffmann-La Roche Ag | 3-pyridinecarboxamide and 2-pyrazinecarboxamide derivatives as HDL-cholesterol raising agents |
| US8236823B2 (en) * | 2006-10-27 | 2012-08-07 | Amgen Inc. | Multi-cyclic compounds and methods of use |
| WO2008135824A1 (en) | 2007-05-02 | 2008-11-13 | Pfizer Limited | Oxyalkylpyrazole compounds useful in therapy |
| MX2010008700A (es) | 2008-02-22 | 2010-08-30 | Hoffmann La Roche | Moduladores de beta-amiloide. |
| TW201030001A (en) | 2008-11-14 | 2010-08-16 | Amgen Inc | Pyridine and pyrimidine derivatives as phosphodiesterase 10 inhibitors |
| TWI396689B (zh) * | 2008-11-14 | 2013-05-21 | Amgen Inc | 作為磷酸二酯酶10抑制劑之吡衍生物 |
| WO2010077992A1 (en) | 2008-12-17 | 2010-07-08 | Amgen Inc. | Aminopyridine and carboxypyridine compounds as phosphodiesterase 10 inhibitors |
| BR112012003637A2 (pt) | 2009-08-17 | 2017-04-25 | Memorial Sloan Kettering Cancer Center | "compostos de ligação de proteína de choque térmico, composições, e métodos para preparar e usar os mesmos" |
| EP2563773A1 (en) * | 2010-04-29 | 2013-03-06 | Deciphera Pharmaceuticals, LLC | Pyridone amides and analogs exhibiting anti-cancer and anti-proliferative activites |
| WO2011161201A1 (en) | 2010-06-22 | 2011-12-29 | Kancera Ab | Bisarylsulfonamides useful as kinase inhibitors in the treatment of inflammation and cancer |
| WO2012019093A1 (en) | 2010-08-05 | 2012-02-09 | Human Biomolecular Research Institute | Synthetic compounds and methods to decrease nicotine self-administration |
| JP2013540145A (ja) | 2010-10-21 | 2013-10-31 | ウニベルシテート デス ザールランデス | コルチゾール依存性疾患の治療用の選択的cyp11b1阻害剤 |
| DK2835131T3 (en) | 2010-12-14 | 2017-12-04 | Electrophoretics Ltd | Casein kinase 1 delta inhibitors (CK1 delta) |
| KR20190011343A (ko) | 2011-06-10 | 2019-02-01 | 메르크 파텐트 게엠베하 | Btk 억제 활성을 갖는 피리미딘 및 피리딘 화합물의 조성물 및 제조방법 |
| EP2573073B1 (en) | 2011-09-26 | 2014-10-22 | Sanofi | Pyrazoloquinolinone derivatives, preparation thereof and therapeutic use thereof |
| US20140235616A1 (en) | 2011-09-26 | 2014-08-21 | Sanofi | Pyrazoloquinolinone derivatives, preparation thereof and therapeutic use thereof |
| WO2013058256A1 (ja) | 2011-10-17 | 2013-04-25 | 日本曹達株式会社 | 含窒素ヘテロ環化合物および農園芸用殺菌剤 |
| WO2013086397A1 (en) | 2011-12-08 | 2013-06-13 | Array Biopharma Inc. | Urea compounds as gka activators |
| CN105230625A (zh) * | 2011-12-14 | 2016-01-13 | 先正达参股股份有限公司 | 杀真菌组合物 |
| AU2012247956B2 (en) | 2011-12-14 | 2016-10-13 | Syngenta Participations Ag | Fungicidal compositions |
| BR112015000187A2 (pt) | 2012-07-06 | 2017-06-27 | Genentech Inc | benzamidas substituídas com n e métodos de uso das mesmas |
| WO2013171729A2 (en) | 2013-01-08 | 2013-11-21 | Glenmark Pharmaceuticals S.A. | Aryl and heteroaryl amide compounds as rorgamat modulator |
| AU2014235063B2 (en) | 2013-03-15 | 2017-05-04 | Purdue Pharma L.P. | Carboxamide derivatives and use thereof |
| WO2016007534A1 (en) | 2014-07-07 | 2016-01-14 | Genentech, Inc. | Therapeutic compounds and methods of use thereof |
| WO2016098793A1 (ja) | 2014-12-17 | 2016-06-23 | 塩野義製薬株式会社 | 環状グアニジル基を有するチアゾール誘導体 |
| DK3331863T3 (da) | 2015-08-03 | 2020-04-27 | Glenmark Pharmaceuticals Sa | Hidtil ukendte forbindelser som ror-gamma-modulatorer |
| RU2760373C2 (ru) * | 2015-09-18 | 2021-11-24 | Какен Фармасьютикал Ко., Лтд. | Биарильное производное и содержащее его лекарственное средство |
-
2016
- 2016-09-14 RU RU2018114077A patent/RU2760373C2/ru active
- 2016-09-14 EP EP16846473.3A patent/EP3351533B1/en active Active
- 2016-09-14 SG SG11201801856XA patent/SG11201801856XA/en unknown
- 2016-09-14 KR KR1020187007282A patent/KR20180052635A/ko not_active Ceased
- 2016-09-14 TW TW105129975A patent/TWI730002B/zh not_active IP Right Cessation
- 2016-09-14 CA CA2997537A patent/CA2997537C/en active Active
- 2016-09-14 MX MX2018003318A patent/MX381444B/es unknown
- 2016-09-14 WO PCT/JP2016/077029 patent/WO2017047602A1/ja not_active Ceased
- 2016-09-14 ES ES16846473T patent/ES3039645T3/es active Active
- 2016-09-14 CN CN201680054037.XA patent/CN108290838B/zh active Active
- 2016-09-14 US US15/759,125 patent/US10647675B2/en active Active
- 2016-09-14 BR BR112018004447-4A patent/BR112018004447A2/pt not_active Application Discontinuation
- 2016-09-14 MY MYPI2018700864A patent/MY195201A/en unknown
- 2016-09-14 JP JP2017539924A patent/JP6469238B2/ja active Active
- 2016-09-14 AU AU2016325143A patent/AU2016325143B2/en not_active Ceased
- 2016-09-16 AR ARP160102826A patent/AR106047A1/es unknown
-
2018
- 2018-02-28 PH PH12018500434A patent/PH12018500434A1/en unknown
- 2018-03-15 IL IL258160A patent/IL258160B/en unknown
-
2019
- 2019-01-15 JP JP2019004688A patent/JP6868650B2/ja not_active Expired - Fee Related
Patent Citations (9)
| Publication number | Priority date | Publication date | Assignee | Title |
|---|---|---|---|---|
| WO1996029301A1 (en) * | 1995-03-21 | 1996-09-26 | Agrevo Uk Limited | Fungicidal compounds |
| WO1996036633A1 (en) * | 1995-05-17 | 1996-11-21 | E.I. Du Pont De Nemours And Company | Fungicidal cyclic amides |
| WO2004035564A1 (en) * | 2002-10-17 | 2004-04-29 | Syngenta Participations Ag | Pyridine derivatives useful as herbicides |
| WO2004052280A2 (en) * | 2002-12-10 | 2004-06-24 | Imclone Systems Incorporated | Anti-angiogenic compounds and their use in cancer treatment |
| WO2004080972A1 (en) * | 2003-03-12 | 2004-09-23 | Vertex Pharmaceuticals Incorporated | Pirazole modulators of atp-binding cassette transporters |
| WO2006124692A2 (en) * | 2005-05-18 | 2006-11-23 | Wyeth | 3-cyanoquinoline inhibitors of tpl2 kinase and methods of making and using the same |
| RU2380365C1 (ru) * | 2005-10-31 | 2010-01-27 | Эйсай Ар Энд Ди Менеджмент Ко., Лтд. | Гетероциклические замещенные производные пиримидина и содержащий их противогрибковый агент |
| WO2010126895A1 (en) * | 2009-04-28 | 2010-11-04 | Amgen Inc. | Inhibitors of pi3 kinase and / or mtor |
| WO2011099764A2 (en) * | 2010-02-09 | 2011-08-18 | Hanmi Holdings Co., Ltd. | Novel pyrimidine derivative for inhibiting the growth of cancer cells |
Non-Patent Citations (4)
Also Published As
| Publication number | Publication date |
|---|---|
| US20190055199A1 (en) | 2019-02-21 |
| ES3039645T3 (en) | 2025-10-23 |
| BR112018004447A2 (pt) | 2018-09-25 |
| MX381444B (es) | 2025-03-12 |
| AU2016325143B2 (en) | 2020-08-13 |
| JPWO2017047602A1 (ja) | 2018-07-12 |
| TWI730002B (zh) | 2021-06-11 |
| RU2018114077A3 (ru) | 2020-02-06 |
| HK1256486A1 (zh) | 2019-09-27 |
| EP3351533C0 (en) | 2025-07-23 |
| CN108290838B (zh) | 2021-12-31 |
| WO2017047602A1 (ja) | 2017-03-23 |
| AU2016325143A1 (en) | 2018-05-10 |
| IL258160B (en) | 2022-01-01 |
| EP3351533B1 (en) | 2025-07-23 |
| IL258160A (en) | 2018-05-31 |
| JP6469238B2 (ja) | 2019-02-13 |
| AR106047A1 (es) | 2017-12-06 |
| JP6868650B2 (ja) | 2021-05-12 |
| MX2018003318A (es) | 2018-05-16 |
| SG11201801856XA (en) | 2018-04-27 |
| KR20180052635A (ko) | 2018-05-18 |
| MY195201A (en) | 2023-01-11 |
| CN108290838A (zh) | 2018-07-17 |
| EP3351533A1 (en) | 2018-07-25 |
| RU2018114077A (ru) | 2019-10-18 |
| TW201718545A (zh) | 2017-06-01 |
| EP3351533A4 (en) | 2019-03-06 |
| US10647675B2 (en) | 2020-05-12 |
| CA2997537C (en) | 2024-02-13 |
| CA2997537A1 (en) | 2017-03-23 |
| PH12018500434A1 (en) | 2018-09-03 |
| JP2019070023A (ja) | 2019-05-09 |
Similar Documents
| Publication | Publication Date | Title |
|---|---|---|
| RU2760373C2 (ru) | Биарильное производное и содержащее его лекарственное средство | |
| US11084831B1 (en) | Benzopiperazine compositions as BET bromodomain inhibitors | |
| US10611750B2 (en) | Tetrahydroquinoline compositions as bet bromodomain inhibitors | |
| US10597375B2 (en) | Halogen-substituted heterocyclic compound | |
| US9655897B2 (en) | Heterocyclyl pyrimidine analogues as TYK2 inhibitors | |
| US20230310428A1 (en) | Egfr inhibitor and preparation method and use thereof | |
| JP6469272B2 (ja) | ビアリール誘導体又はその塩からなる医薬 | |
| US20130310379A1 (en) | Modulators of methyl modifying enzymes, compositions and uses thereof | |
| US20240254119A1 (en) | COMPOUNDS AND COMPOSITIONS AS c-Kit KINASE INHIBITORS | |
| US20240343704A1 (en) | Halo-substituted amino pyridine compounds as inhibitors of the haematopoietic progenitor kinase 1 (hpk1) | |
| HK1256486B (en) | Biaryl derivative and medicine containing same |



















































































































































































































































































































































































































































































































































































































































































































































































































































