RU2620122C2 - Способ получения полиимидного композитного пленочного покрытия, армированного наноструктурированным карбидом кремния (варианты) - Google Patents
Способ получения полиимидного композитного пленочного покрытия, армированного наноструктурированным карбидом кремния (варианты) Download PDFInfo
- Publication number
- RU2620122C2 RU2620122C2 RU2015140252A RU2015140252A RU2620122C2 RU 2620122 C2 RU2620122 C2 RU 2620122C2 RU 2015140252 A RU2015140252 A RU 2015140252A RU 2015140252 A RU2015140252 A RU 2015140252A RU 2620122 C2 RU2620122 C2 RU 2620122C2
- Authority
- RU
- Russia
- Prior art keywords
- silicon carbide
- trifluoromethyl
- tetracarboxylic
- hours
- ultrasound
- Prior art date
Links
- HBMJWWWQQXIZIP-UHFFFAOYSA-N silicon carbide Chemical compound [Si+]#[C-] HBMJWWWQQXIZIP-UHFFFAOYSA-N 0.000 title claims abstract description 85
- 229910010271 silicon carbide Inorganic materials 0.000 title claims abstract description 64
- 229920001721 polyimide Polymers 0.000 title claims abstract description 29
- 239000004642 Polyimide Substances 0.000 title claims abstract description 28
- 239000002131 composite material Substances 0.000 title claims abstract description 28
- 239000007888 film coating Substances 0.000 title claims abstract description 18
- 238000009501 film coating Methods 0.000 title claims abstract description 18
- 238000004519 manufacturing process Methods 0.000 title abstract description 16
- 238000000034 method Methods 0.000 claims abstract description 35
- 238000006243 chemical reaction Methods 0.000 claims abstract description 34
- 238000002604 ultrasonography Methods 0.000 claims abstract description 34
- 239000011261 inert gas Substances 0.000 claims abstract description 26
- 238000001816 cooling Methods 0.000 claims abstract description 16
- 239000000725 suspension Substances 0.000 claims abstract description 15
- 238000010438 heat treatment Methods 0.000 claims abstract description 14
- 239000000758 substrate Substances 0.000 claims abstract description 13
- 150000004985 diamines Chemical class 0.000 claims abstract description 12
- 239000003960 organic solvent Substances 0.000 claims abstract description 11
- GTDPSWPPOUPBNX-UHFFFAOYSA-N ac1mqpva Chemical compound CC12C(=O)OC(=O)C1(C)C1(C)C2(C)C(=O)OC1=O GTDPSWPPOUPBNX-UHFFFAOYSA-N 0.000 claims abstract description 10
- 238000003756 stirring Methods 0.000 claims abstract description 9
- 239000005046 Chlorosilane Substances 0.000 claims abstract description 6
- KOPOQZFJUQMUML-UHFFFAOYSA-N chlorosilane Chemical compound Cl[SiH3] KOPOQZFJUQMUML-UHFFFAOYSA-N 0.000 claims abstract description 6
- 239000006185 dispersion Substances 0.000 claims abstract description 6
- 230000003014 reinforcing effect Effects 0.000 claims abstract description 3
- 125000002023 trifluoromethyl group Chemical group FC(F)(F)* 0.000 claims description 29
- 125000000951 phenoxy group Chemical group [H]C1=C([H])C([H])=C(O*)C([H])=C1[H] 0.000 claims description 26
- 239000002253 acid Substances 0.000 claims description 21
- ZMXDDKWLCZADIW-UHFFFAOYSA-N N,N-Dimethylformamide Chemical compound CN(C)C=O ZMXDDKWLCZADIW-UHFFFAOYSA-N 0.000 claims description 20
- 150000004984 aromatic diamines Chemical class 0.000 claims description 17
- 125000003118 aryl group Chemical group 0.000 claims description 17
- 150000001412 amines Chemical class 0.000 claims description 16
- 125000001997 phenyl group Chemical group [H]C1=C([H])C([H])=C(*)C([H])=C1[H] 0.000 claims description 13
- 150000001875 compounds Chemical class 0.000 claims description 12
- 125000006159 dianhydride group Chemical group 0.000 claims description 12
- HLBLWEWZXPIGSM-UHFFFAOYSA-N 4-Aminophenyl ether Chemical compound C1=CC(N)=CC=C1OC1=CC=C(N)C=C1 HLBLWEWZXPIGSM-UHFFFAOYSA-N 0.000 claims description 10
- SECXISVLQFMRJM-UHFFFAOYSA-N N-Methylpyrrolidone Chemical compound CN1CCCC1=O SECXISVLQFMRJM-UHFFFAOYSA-N 0.000 claims description 9
- IJOOHPMOJXWVHK-UHFFFAOYSA-N chlorotrimethylsilane Chemical compound C[Si](C)(C)Cl IJOOHPMOJXWVHK-UHFFFAOYSA-N 0.000 claims description 8
- 150000007513 acids Chemical class 0.000 claims description 7
- 238000009833 condensation Methods 0.000 claims description 7
- 230000005494 condensation Effects 0.000 claims description 7
- -1 hexafluoroisopropylidene Chemical group 0.000 claims description 7
- FXHOOIRPVKKKFG-UHFFFAOYSA-N N,N-Dimethylacetamide Chemical compound CN(C)C(C)=O FXHOOIRPVKKKFG-UHFFFAOYSA-N 0.000 claims description 6
- 238000006482 condensation reaction Methods 0.000 claims description 6
- 238000012986 modification Methods 0.000 claims description 6
- 230000004048 modification Effects 0.000 claims description 6
- 229920000642 polymer Polymers 0.000 claims description 6
- 239000007858 starting material Substances 0.000 claims description 6
- BWAPJIHJXDYDPW-UHFFFAOYSA-N 2,5-dimethyl-p-phenylenediamine Chemical compound CC1=CC(N)=C(C)C=C1N BWAPJIHJXDYDPW-UHFFFAOYSA-N 0.000 claims description 5
- FWOLORXQTIGHFX-UHFFFAOYSA-N 4-(4-amino-2,3,5,6-tetrafluorophenyl)-2,3,5,6-tetrafluoroaniline Chemical group FC1=C(F)C(N)=C(F)C(F)=C1C1=C(F)C(F)=C(N)C(F)=C1F FWOLORXQTIGHFX-UHFFFAOYSA-N 0.000 claims description 5
- 238000001035 drying Methods 0.000 claims description 5
- 238000002156 mixing Methods 0.000 claims description 5
- 239000003495 polar organic solvent Substances 0.000 claims description 5
- WZCQRUWWHSTZEM-UHFFFAOYSA-N 1,3-phenylenediamine Chemical compound NC1=CC=CC(N)=C1 WZCQRUWWHSTZEM-UHFFFAOYSA-N 0.000 claims description 4
- CBCKQZAAMUWICA-UHFFFAOYSA-N 1,4-phenylenediamine Chemical compound NC1=CC=C(N)C=C1 CBCKQZAAMUWICA-UHFFFAOYSA-N 0.000 claims description 4
- NAWFMMPMNRLVRU-UHFFFAOYSA-N 1-n,1-n,4-n,4-n-tetrafluorobenzene-1,4-diamine Chemical compound FN(F)C1=CC=C(N(F)F)C=C1 NAWFMMPMNRLVRU-UHFFFAOYSA-N 0.000 claims description 4
- FXGQUGCFZKMIJW-UHFFFAOYSA-N 2,4,5,6-tetrafluorobenzene-1,3-diamine Chemical compound NC1=C(F)C(N)=C(F)C(F)=C1F FXGQUGCFZKMIJW-UHFFFAOYSA-N 0.000 claims description 4
- ZQQOGBKIFPCFMJ-UHFFFAOYSA-N 2-(trifluoromethyl)benzene-1,4-diamine Chemical compound NC1=CC=C(N)C(C(F)(F)F)=C1 ZQQOGBKIFPCFMJ-UHFFFAOYSA-N 0.000 claims description 4
- OBCSAIDCZQSFQH-UHFFFAOYSA-N 2-methyl-1,4-phenylenediamine Chemical compound CC1=CC(N)=CC=C1N OBCSAIDCZQSFQH-UHFFFAOYSA-N 0.000 claims description 4
- CDVZKYLSVNAIHH-UHFFFAOYSA-N 3,6-bis(trifluoromethyl)benzene-1,2,4,5-tetracarboxylic acid Chemical compound OC(=O)C1=C(C(O)=O)C(C(F)(F)F)=C(C(O)=O)C(C(O)=O)=C1C(F)(F)F CDVZKYLSVNAIHH-UHFFFAOYSA-N 0.000 claims description 4
- NJCOLSAFYMXOGO-UHFFFAOYSA-N 3-(trifluoromethyl)benzene-1,2,4,5-tetracarboxylic acid Chemical compound OC(=O)C1=CC(C(O)=O)=C(C(O)=O)C(C(F)(F)F)=C1C(O)=O NJCOLSAFYMXOGO-UHFFFAOYSA-N 0.000 claims description 4
- UNIBAJHMJGXVHL-UHFFFAOYSA-N 3-phenylbenzene-1,2,4,5-tetracarboxylic acid Chemical compound OC(=O)C1=CC(C(O)=O)=C(C(O)=O)C(C=2C=CC=CC=2)=C1C(O)=O UNIBAJHMJGXVHL-UHFFFAOYSA-N 0.000 claims description 4
- BLRPTPMANUNPDV-UHFFFAOYSA-N Silane Chemical compound [SiH4] BLRPTPMANUNPDV-UHFFFAOYSA-N 0.000 claims description 4
- 239000012965 benzophenone Substances 0.000 claims description 4
- 239000003795 chemical substances by application Substances 0.000 claims description 4
- MNKYQPOFRKPUAE-UHFFFAOYSA-N chloro(triphenyl)silane Chemical compound C=1C=CC=CC=1[Si](C=1C=CC=CC=1)(Cl)C1=CC=CC=C1 MNKYQPOFRKPUAE-UHFFFAOYSA-N 0.000 claims description 4
- OLAPPGSPBNVTRF-UHFFFAOYSA-N naphthalene-1,4,5,8-tetracarboxylic acid Chemical compound C1=CC(C(O)=O)=C2C(C(=O)O)=CC=C(C(O)=O)C2=C1C(O)=O OLAPPGSPBNVTRF-UHFFFAOYSA-N 0.000 claims description 4
- DOBFTMLCEYUAQC-UHFFFAOYSA-N naphthalene-2,3,6,7-tetracarboxylic acid Chemical compound OC(=O)C1=C(C(O)=O)C=C2C=C(C(O)=O)C(C(=O)O)=CC2=C1 DOBFTMLCEYUAQC-UHFFFAOYSA-N 0.000 claims description 4
- FVDOBFPYBSDRKH-UHFFFAOYSA-N perylene-3,4,9,10-tetracarboxylic acid Chemical compound C=12C3=CC=C(C(O)=O)C2=C(C(O)=O)C=CC=1C1=CC=C(C(O)=O)C2=C1C3=CC=C2C(=O)O FVDOBFPYBSDRKH-UHFFFAOYSA-N 0.000 claims description 4
- 229910000077 silane Inorganic materials 0.000 claims description 4
- 239000005051 trimethylchlorosilane Substances 0.000 claims description 4
- FXFTWEVIIHVHDS-UHFFFAOYSA-N 2-fluorobenzene-1,4-diamine Chemical compound NC1=CC=C(N)C(F)=C1 FXFTWEVIIHVHDS-UHFFFAOYSA-N 0.000 claims description 3
- KWYZNESIGBQHJK-UHFFFAOYSA-N chloro-dimethyl-phenylsilane Chemical compound C[Si](C)(Cl)C1=CC=CC=C1 KWYZNESIGBQHJK-UHFFFAOYSA-N 0.000 claims description 3
- KQSABULTKYLFEV-UHFFFAOYSA-N naphthalene-1,5-diamine Chemical compound C1=CC=C2C(N)=CC=CC2=C1N KQSABULTKYLFEV-UHFFFAOYSA-N 0.000 claims description 3
- 229910052710 silicon Inorganic materials 0.000 claims 2
- 239000010703 silicon Substances 0.000 claims 2
- 230000005540 biological transmission Effects 0.000 claims 1
- 239000002114 nanocomposite Substances 0.000 abstract description 17
- 239000011159 matrix material Substances 0.000 abstract description 15
- 239000000463 material Substances 0.000 abstract description 9
- 238000005516 engineering process Methods 0.000 abstract description 4
- 230000000694 effects Effects 0.000 abstract description 2
- 238000004870 electrical engineering Methods 0.000 abstract description 2
- 238000004377 microelectronic Methods 0.000 abstract description 2
- 239000000126 substance Substances 0.000 abstract description 2
- 238000002360 preparation method Methods 0.000 abstract 1
- 239000002105 nanoparticle Substances 0.000 description 16
- 238000009210 therapy by ultrasound Methods 0.000 description 10
- XLYOFNOQVPJJNP-UHFFFAOYSA-N water Substances O XLYOFNOQVPJJNP-UHFFFAOYSA-N 0.000 description 8
- LFQSCWFLJHTTHZ-UHFFFAOYSA-N Ethanol Chemical compound CCO LFQSCWFLJHTTHZ-UHFFFAOYSA-N 0.000 description 7
- 239000011541 reaction mixture Substances 0.000 description 6
- 238000002329 infrared spectrum Methods 0.000 description 5
- 239000000843 powder Substances 0.000 description 5
- VQVIHDPBMFABCQ-UHFFFAOYSA-N 5-(1,3-dioxo-2-benzofuran-5-carbonyl)-2-benzofuran-1,3-dione Chemical compound C1=C2C(=O)OC(=O)C2=CC(C(C=2C=C3C(=O)OC(=O)C3=CC=2)=O)=C1 VQVIHDPBMFABCQ-UHFFFAOYSA-N 0.000 description 4
- RZNMURFCVUZQMV-UHFFFAOYSA-N NCCCC1=C(C=CC=C1)[Si](OC)(OC)OC Chemical compound NCCCC1=C(C=CC=C1)[Si](OC)(OC)OC RZNMURFCVUZQMV-UHFFFAOYSA-N 0.000 description 4
- 238000010907 mechanical stirring Methods 0.000 description 4
- 238000010992 reflux Methods 0.000 description 4
- 238000002411 thermogravimetry Methods 0.000 description 4
- 238000010792 warming Methods 0.000 description 4
- 239000011230 binding agent Substances 0.000 description 3
- 238000000576 coating method Methods 0.000 description 3
- 238000000227 grinding Methods 0.000 description 3
- 230000005855 radiation Effects 0.000 description 3
- 239000012744 reinforcing agent Substances 0.000 description 3
- 239000011347 resin Substances 0.000 description 3
- 229920005989 resin Polymers 0.000 description 3
- 239000002904 solvent Substances 0.000 description 3
- XKRFYHLGVUSROY-UHFFFAOYSA-N Argon Chemical compound [Ar] XKRFYHLGVUSROY-UHFFFAOYSA-N 0.000 description 2
- YCKRFDGAMUMZLT-UHFFFAOYSA-N Fluorine atom Chemical compound [F] YCKRFDGAMUMZLT-UHFFFAOYSA-N 0.000 description 2
- 238000004566 IR spectroscopy Methods 0.000 description 2
- VYPSYNLAJGMNEJ-UHFFFAOYSA-N Silicium dioxide Chemical compound O=[Si]=O VYPSYNLAJGMNEJ-UHFFFAOYSA-N 0.000 description 2
- 230000015572 biosynthetic process Effects 0.000 description 2
- 235000010290 biphenyl Nutrition 0.000 description 2
- 239000004305 biphenyl Substances 0.000 description 2
- 125000006267 biphenyl group Chemical group 0.000 description 2
- 210000003298 dental enamel Anatomy 0.000 description 2
- 239000000945 filler Substances 0.000 description 2
- 239000012467 final product Substances 0.000 description 2
- 239000011737 fluorine Substances 0.000 description 2
- 229910052731 fluorine Inorganic materials 0.000 description 2
- 239000011521 glass Substances 0.000 description 2
- 239000000178 monomer Substances 0.000 description 2
- ZUOUZKKEUPVFJK-UHFFFAOYSA-N phenylbenzene Natural products C1=CC=CC=C1C1=CC=CC=C1 ZUOUZKKEUPVFJK-UHFFFAOYSA-N 0.000 description 2
- 239000002798 polar solvent Substances 0.000 description 2
- 238000006116 polymerization reaction Methods 0.000 description 2
- 239000000047 product Substances 0.000 description 2
- 239000002966 varnish Substances 0.000 description 2
- VLDPXPPHXDGHEW-UHFFFAOYSA-N 1-chloro-2-dichlorophosphoryloxybenzene Chemical compound ClC1=CC=CC=C1OP(Cl)(Cl)=O VLDPXPPHXDGHEW-UHFFFAOYSA-N 0.000 description 1
- APXJLYIVOFARRM-UHFFFAOYSA-N 4-[2-(3,4-dicarboxyphenyl)-1,1,1,3,3,3-hexafluoropropan-2-yl]phthalic acid Chemical compound C1=C(C(O)=O)C(C(=O)O)=CC=C1C(C(F)(F)F)(C(F)(F)F)C1=CC=C(C(O)=O)C(C(O)=O)=C1 APXJLYIVOFARRM-UHFFFAOYSA-N 0.000 description 1
- LACZRKUWKHQVKS-UHFFFAOYSA-N 4-[4-[4-amino-2-(trifluoromethyl)phenoxy]phenoxy]-3-(trifluoromethyl)aniline Chemical compound FC(F)(F)C1=CC(N)=CC=C1OC(C=C1)=CC=C1OC1=CC=C(N)C=C1C(F)(F)F LACZRKUWKHQVKS-UHFFFAOYSA-N 0.000 description 1
- XXYNZSATHOXXBJ-UHFFFAOYSA-N 4-hydroxyisoindole-1,3-dione Chemical compound OC1=CC=CC2=C1C(=O)NC2=O XXYNZSATHOXXBJ-UHFFFAOYSA-N 0.000 description 1
- 125000006519 CCH3 Chemical group 0.000 description 1
- OKTJSMMVPCPJKN-UHFFFAOYSA-N Carbon Chemical compound [C] OKTJSMMVPCPJKN-UHFFFAOYSA-N 0.000 description 1
- 229920000049 Carbon (fiber) Polymers 0.000 description 1
- 239000004593 Epoxy Substances 0.000 description 1
- 239000004952 Polyamide Substances 0.000 description 1
- 150000008064 anhydrides Chemical class 0.000 description 1
- 229910052786 argon Inorganic materials 0.000 description 1
- 239000004917 carbon fiber Substances 0.000 description 1
- 239000003153 chemical reaction reagent Substances 0.000 description 1
- 238000004132 cross linking Methods 0.000 description 1
- 229920005565 cyclic polymer Polymers 0.000 description 1
- 238000000354 decomposition reaction Methods 0.000 description 1
- SXZIXHOMFPUIRK-UHFFFAOYSA-N diphenylmethanimine Chemical compound C=1C=CC=CC=1C(=N)C1=CC=CC=C1 SXZIXHOMFPUIRK-UHFFFAOYSA-N 0.000 description 1
- 238000009826 distribution Methods 0.000 description 1
- 238000000921 elemental analysis Methods 0.000 description 1
- 125000003700 epoxy group Chemical group 0.000 description 1
- 229910002804 graphite Inorganic materials 0.000 description 1
- 239000010439 graphite Substances 0.000 description 1
- 125000000623 heterocyclic group Chemical group 0.000 description 1
- 239000011256 inorganic filler Substances 0.000 description 1
- 229910003475 inorganic filler Inorganic materials 0.000 description 1
- 229910052751 metal Inorganic materials 0.000 description 1
- 239000002184 metal Substances 0.000 description 1
- 239000000203 mixture Substances 0.000 description 1
- CWQXQMHSOZUFJS-UHFFFAOYSA-N molybdenum disulfide Chemical compound S=[Mo]=S CWQXQMHSOZUFJS-UHFFFAOYSA-N 0.000 description 1
- 239000011858 nanopowder Substances 0.000 description 1
- 150000002894 organic compounds Chemical class 0.000 description 1
- 230000003647 oxidation Effects 0.000 description 1
- 238000007254 oxidation reaction Methods 0.000 description 1
- 239000002245 particle Substances 0.000 description 1
- 230000000704 physical effect Effects 0.000 description 1
- 229920005575 poly(amic acid) Polymers 0.000 description 1
- 229920002647 polyamide Polymers 0.000 description 1
- 229920000647 polyepoxide Polymers 0.000 description 1
- 239000009719 polyimide resin Substances 0.000 description 1
- UGQZLDXDWSPAOM-UHFFFAOYSA-N pyrrolo[3,4-f]isoindole-1,3,5,7-tetrone Chemical compound C1=C2C(=O)NC(=O)C2=CC2=C1C(=O)NC2=O UGQZLDXDWSPAOM-UHFFFAOYSA-N 0.000 description 1
- FZHAPNGMFPVSLP-UHFFFAOYSA-N silanamine Chemical group [SiH3]N FZHAPNGMFPVSLP-UHFFFAOYSA-N 0.000 description 1
- 150000004760 silicates Chemical class 0.000 description 1
- 235000012239 silicon dioxide Nutrition 0.000 description 1
- 239000000377 silicon dioxide Substances 0.000 description 1
- 238000001291 vacuum drying Methods 0.000 description 1
Classifications
-
- C—CHEMISTRY; METALLURGY
- C09—DYES; PAINTS; POLISHES; NATURAL RESINS; ADHESIVES; COMPOSITIONS NOT OTHERWISE PROVIDED FOR; APPLICATIONS OF MATERIALS NOT OTHERWISE PROVIDED FOR
- C09D—COATING COMPOSITIONS, e.g. PAINTS, VARNISHES OR LACQUERS; FILLING PASTES; CHEMICAL PAINT OR INK REMOVERS; INKS; CORRECTING FLUIDS; WOODSTAINS; PASTES OR SOLIDS FOR COLOURING OR PRINTING; USE OF MATERIALS THEREFOR
- C09D133/00—Coating compositions based on homopolymers or copolymers of compounds having one or more unsaturated aliphatic radicals, each having only one carbon-to-carbon double bond, and at least one being terminated by only one carboxyl radical, or of salts, anhydrides, esters, amides, imides, or nitriles thereof; Coating compositions based on derivatives of such polymers
- C09D133/24—Homopolymers or copolymers of amides or imides
-
- B—PERFORMING OPERATIONS; TRANSPORTING
- B82—NANOTECHNOLOGY
- B82B—NANOSTRUCTURES FORMED BY MANIPULATION OF INDIVIDUAL ATOMS, MOLECULES, OR LIMITED COLLECTIONS OF ATOMS OR MOLECULES AS DISCRETE UNITS; MANUFACTURE OR TREATMENT THEREOF
- B82B3/00—Manufacture or treatment of nanostructures by manipulation of individual atoms or molecules, or limited collections of atoms or molecules as discrete units
-
- C—CHEMISTRY; METALLURGY
- C08—ORGANIC MACROMOLECULAR COMPOUNDS; THEIR PREPARATION OR CHEMICAL WORKING-UP; COMPOSITIONS BASED THEREON
- C08J—WORKING-UP; GENERAL PROCESSES OF COMPOUNDING; AFTER-TREATMENT NOT COVERED BY SUBCLASSES C08B, C08C, C08F, C08G or C08H
- C08J5/00—Manufacture of articles or shaped materials containing macromolecular substances
- C08J5/04—Reinforcing macromolecular compounds with loose or coherent fibrous material
-
- C—CHEMISTRY; METALLURGY
- C08—ORGANIC MACROMOLECULAR COMPOUNDS; THEIR PREPARATION OR CHEMICAL WORKING-UP; COMPOSITIONS BASED THEREON
- C08K—Use of inorganic or non-macromolecular organic substances as compounding ingredients
- C08K3/00—Use of inorganic substances as compounding ingredients
- C08K3/34—Silicon-containing compounds
Landscapes
- Chemical & Material Sciences (AREA)
- Engineering & Computer Science (AREA)
- Organic Chemistry (AREA)
- Crystallography & Structural Chemistry (AREA)
- Materials Engineering (AREA)
- Manufacturing & Machinery (AREA)
- Nanotechnology (AREA)
- Health & Medical Sciences (AREA)
- Chemical Kinetics & Catalysis (AREA)
- Medicinal Chemistry (AREA)
- Polymers & Plastics (AREA)
- Wood Science & Technology (AREA)
- Life Sciences & Earth Sciences (AREA)
- Macromolecular Compounds Obtained By Forming Nitrogen-Containing Linkages In General (AREA)
Abstract
Изобретение относится к области получения композитных материалов с применением нанотехнологии, а именно касается технологии получения нанокомпозитов на основе наноструктурированного карбида кремния с полиимидной матрицей, которые могут быть применены в различных областях техники, в частности при изготовлении конструкционных материалов, используемых в авиационной и космической отрасли, в ракетостроении, электротехнике, в кабельной промышленности и микроэлектронике. Сущность изобретения заключается в получении композиционного пленочного покрытия на основе полиимидной матрицы, армированной наноструктурированным карбидом кремния, при использовании в качестве армирующего элемента наноструктурированного немодифицированного или модифицированного карбида кремния, вводимого в состав в количестве 0,2-10 мас.% от веса получаемого композита. Карбид кремния вводится в виде его суспензии в сухом полярном органическом растворителе. Модифицированный карбид кремния получают обработкой суспензии карбида кремния при 100-150°С хлорсиланом. Суспензию карбида кремния перемешивают с помощью ультразвука в токе инертного газа с диамином, после чего охлаждают до 1-15°С и к образовавшейся реакционной массе добавляют при перемешивании эквимолярное по отношению к диамину количество диангидрида. Реакционную массу подвергают ультразвуковому перемешиванию, полученную дисперсию наносят на подложку и сушат при ступенчатом нагреве по определенной схеме с последующим охлаждением. Техническим результатом является снижение энергоемкости и длительности процесса. 2 н. и 5 з.п. ф-лы, 1 табл., 4 пр.
Description
Предлагаемое изобретение относится к области получения композитных материалов с применением нанотехнологии, а именно касается технологии получения нанокомпозитов на основе наноструктурированного карбида кремния с полиимидной матрицей, которые могут быть применены в различных областях техники, в частности при изготовлении конструкционных материалов, используемых в авиационной и космической отрасли, в ракетостроении, электротехнике, в кабельной промышленности и микроэлектронике.
Известно, что конструкционные материалы, изготовленные на основе карбида кремния и полиимидов, обладают повышенной стойкостью к радиации, к окислению в агрессивных средах, к коротковолновому и рентгеновскому излучению, а также обладают высокими механическими и теплофизическими характеристиками, а именно термостойкостью и высокой эластичностью [Polyimides composites based on asymmetric dianhydrides / International sample symposium, may, 18-21, Baltimore, MD92009]. Поэтому такие материалы применяются, в частности, в кабельной промышленности при изготовлении электроизоляционных лаков и эмалей, наносимых в виде покрытий на различные изделия и провода, которые используются в разных областях техники. Одним из основных направлений применения рассматриваемых конструкционных материалов является использование их для изготовления различных деталей (уплотнений, вкладышей, подшипников) для авиационных и ракетных двигателей.
Рассматриваемые конструкционные материалы относятся к так называемым гибридным материалам, которые содержат органическое связующее - полиимидную матрицу и наполнитель (армирующий агент) - карбид кремния. Известно, что карбид кремния в качестве наполнителя широко используется в составах различных термостойких композиционных материалов, например, выполненных из стекла [Жабреев В.А. и др. Институт химии силикатов. Труды 18 Совещания по термоустойчивым покрытиям, Изд. Тульского государственного педагогического университета, 2001, с. 85-89]. Наибольшее внимание в последние годы уделялось применению именно наноструктурированного карбида кремния, который обладает уникальными физическими свойствами, такими как превосходная химическая сопротивляемость, термостойкость, высокая подвижность электронов, отличная теплопроводность, выдающиеся механические свойства. Известно, что наноструктурированный карбид кремния используется для получения высокоэффективных композитов, которые применяются в электронике.
В качестве связующего (матрицы) в композиционных материалах может применяться широкий круг органических соединений: различные смолы, например, метилвинилсилоксановая смола, кремнийорганические смолы, эпоксидные смолы [RU 2039070, C09D 5/18, 1996; RU 2217456, C09D 5/18, 2002], полиамидоимидиновые производные, содержащие неорганические наполнители, такие как диоксид кремния, сульфид молибдена, графит [WO 2004011793, С04В 28/06, 2004], полиимиды, содержащие наноструктурированный карбид кремния [CN 102850563A, С04В 28/06, 2012].
Полиимиды, применяемые в качестве органического связующего в композиционных материалах, представляют собой циклоцепные полимеры из чередующихся ароматических и гетероциклических циклов (полигетероарилены). В настоящее время полиимидные смолы применяются в качестве матриц для создания армированных композитов на основе легких углеродных волокон, в качестве замены металлических деталей в аэрокосмической промышленности и деталей корпуса летательных аппаратов, в связи с их выдающейся термической и механической стойкостью.
Известен полиимидный композиционный материала на основе наноструктурированного карбида кремния с полиимидной матрицей, полученной конденсацией ароматического диамина (4,4'-диаминодифенилового эфира) и диангидрида ароматической поликарбоновой кислоты (3,3',4,4'-бензофенонтетракарбонового диангидрида). [CN 102850563A, С04В 28/06, 2012]. Данный способ по своей технической сущности наиболее близок к заявляемому изобретению и поэтому выбран в качестве его прототипа. Цитированный патент защищает способ получения полиимидной композитной пленки, армированной наноструктурированным карбидом кремния, который осуществляется следующим образом. На первом этапе процесса исходный наноструктурированный карбид кремния подвергают предварительной модификации 3-аминопропилтриметоксифенилсиланом, после чего проводят реакцию полимеризации исходных мономеров - 4,4'-диаминодифенилового эфира и 3,3',4,4'-бензофенонтетракарбонового диангидрида и затем получают конечный продукт. Для модификации исходный нанопорошок карбида кремния (0,01 г) сначала суспендируют в 100 мл безводного этанола при помощи ультразвука в течение 30-60 мин. После этого образовавшуюся суспензию нагревают до кипения и к ней прикапывают 3-аминопропилтриметоксифенилсилан (0,1-1 мл), а затем кипятят в течение 4-5 часов. Полученную таким образом реакционную массу центрифугируют при центробежной скорости 7000-8000 об/мин, затем промывают этанолом и сушат при 70-75°С, до образования наноструктурированного карбида кремния, модифицированного 3-аминопропилтриметоксифенилсиланом. Далее проводят реакцию полимеризации 4,4'-диаминодифенилового эфира и 3,3',4,4'-бензофенонтетракарбонового диангидрида, которые являются исходными мономерами для образования полиимидной составляющей (матрицы). Для проведения реакции между этими соединениями исходный диаминодифениловый эфир (0,02 моль) растворяют при перемешивании в полярном растворителе (N,N-диметилформамиде, N,N-диметилацетамиде или N-метилпирролидоне) в течение 30 минут, а затем к нему добавляют 3,3',4,4'-бензофенонтетракарбоновый диангидрид (0,02 моль) и перемешивают в течение 5 часов с получением раствора полиамидокислоты. На последнем этапе в полученный раствор, содержащий 100 г полиамидокислоты, добавляют модифицированный аминосиланом наноструктурированный карбид кремния (0,1-5 мг). Затем реакционную массу подвергают ультразвуковой обработке в течение 30 минут, перемешивают в течение 6-8 часов, после чего повторно подвергают ультразвуковой обработке в течение 30 мин и получают раствор «прекомпозита» - полиамидокислоты, содержащей модифицированный карбид кремния. Затем раствор «прекомпозита» выливают на стеклянную пластину, которую помещают в вакуумную печь, и используя ступенчатый нагрев (60°С, 100°С, 200°С, 300°С), доводят температуру до 300°С и выдерживают при этой температуре в течение двух часов, получая конечный продукт - полиимидную композитную пленку, армированную модифицированными наночастицами карбида кремния. К недостаткам известного вышеописанного способа можно отнести: многостадийность и длительность проведения всего процесса, использование в одном процессе нескольких видов растворителей, в том числе огнеопасного сухого этанола и высокую энергоемкость процесса. Эти недостатки делают процесс мало технологичным и промышленно не применимым. Кроме того, известное изобретение обладает узкой направленностью и направлено на получение композитного материала только одного типа.
С целью создания большого спектра композитных материалов из полиимида и наноструктурированного карбида кремния, включающих как ранее известные, так и новые материалы, а так же для удешевления и создания более технологичного процесса предлагаются 2 варианта осуществления нового способа получения нанокомпозитов с модифицированным или не модифицированным наноструктурированным карбидом кремния на основе полиимидной матрицы, объединенные одной технической идеей.
Согласно варианту 1 предлагается Способ получения полиимидного композитного пленочного покрытия, армированного наноструктурированным карбидом кремния, осуществляемый реакцией конденсации диангидридов ароматических поликарбоновых кислот и ароматических диаминов в токе инертного газа в среде полярного органического растворителя в присутствии наноструктурированного карбида кремния, предварительно суспендированного в сухом органическом растворителе под воздействием ультразвука, и последующей обработкой образовавшегося полимерного соединения ультразвуком, нанесением его в виде пленочного покрытия на подложку, сушкой при ступенчатом нагреве и охлаждением полученного пленочного покрытия, при этом суспендирование армирующего агента - не модифицированного наноструктурированного карбида кремния и реакцию конденсации диангидридов ароматических поликарбоновых кислот и ароматических диаминов проводят в одноименном сухом органическом растворителе, выбранном из группы: N-метилпирролидон, NN-диметилформамид, NN-диметилацетамид, при чем суспендирование не модифицированного наноструктурированного карбида кремния проводят в токе инертного газа при ультразвуковом перемешивании до образования суспензии, содержащей 0,2-10 масс. % карбида кремния от веса получаемого композита, которая перемешивается под воздействием ультразвука в токе инертного газа с органическим диамином, охлаждается до 1-15°С и к образовавшейся реакционной массе порционно добавляется при перемешивании эквимолярное по отношению к ароматическому диамину количество диангидрида ароматической поликарбоновой кислоты, после чего образовавшаяся реакционная масса подвергается воздействию ультразвука при 30-40°С, затем перемешивается при 20-25°С в течение 3-8 часов, повторно подвергается воздействию ультразвука, причем ультразвуковое перемешивание на всех, включающих его стадиях процесса, проводится под воздействием ультразвука с частотой 20 кГц в течение 15-30 минут, а после проведения конденсации полученная дисперсия наносится в виде пленочного покрытия на подложку и сушится при ступенчатом нагреве по следующей схеме: от 70°С до 90°С в течение 3-8 часов, от 120°С - до 180°С в течение 0,5-2 часов, от 190°С до 230°С в течение 0,5-2 часов, от 240°С до 280°С в течение 0,5-2 часов, от 290°С до 300°С в течение 0,5-2 часов, от 340°С до 400°С в течение 0,1-1 часа, с последующим вакуумным охлаждением или охлаждением в токе инертного газа.
Согласно варианту 2 предлагается Способ получения полиимидного композитного пленочного покрытия, армированного наноструктурированным карбидом кремния, осуществляемый реакцией конденсации диангидридов ароматических поликарбоновых кислот и ароматических диаминов в токе инертного газа в среде полярного органического растворителя в присутствии модифицированного наноструктурированного карбида кремния, предварительно полученного суспендированием наноструктурированного карбида кремния под воздействием ультразвука в сухом органическом растворителе и модификацией его органическим силаном, и последующей обработкой образовавшееся полимерного соединения ультразвуком, нанесением его в виде пленочного покрытия на подложку, сушкой при ступенчатом нагреве и охлаждением полученного пленочного покрытия, при этом суспендирование армирующего агента - модифицированного наноструктурированного карбида кремния и реакцию конденсации диангидридов ароматических поликарбоновых кислот и ароматических диаминов проводят в одноименном сухом органическом растворителе, выбранном из группы: N-метилпирролидон, NN-диметилформамид, NN-диметилацетамид, при чем в качестве армирующего элемента используют модифицированный наноструктурированный карбид кремния, предварительно получаемый из не модифицированного карбида кремния, суспендированного под воздействием ультразвука в сухом органическом растворителе, который в виде суспензии, содержащей 0,2-10 масс. % карбида кремния от веса получаемого композита при 100-150°С перемешивается с органическим хлорсиланом, вводимым в количестве, соответствующем весовому соотношению силана к карбиду кремния, равному 1:(0,05-5), после чего суспендированный модифицированный карбид кремния перемешивается с органическим диамином под воздействием ультразвука в токе инертного газа, охлаждается до 1-15°С, к образовавшейся реакционной массе порционно при перемешивании добавляется эквимолярное по отношению к ароматическому диамину количество диангидрида ароматической поликарбоновой кислоты и образовавшаяся реакционная масса подвергается воздействию ультразвука при 30-40°С, затем перемешивается при 20-25°С в течение 3-8 часов, повторно подвергается воздействию ультразвука, при этом ультразвуковое перемешивание на всех, включающих его стадиях процесса, проводится под воздействием ультразвука с частотой 20 кГц в течение 15-30 минут, затем полученная дисперсия наносится в виде пленочного покрытия на подложку и сушится при ступенчатом нагреве по следующей схеме: от 70°С до 90°С в течение 3-8 часов, от 120°С - до 180°С в течение 0,5-2 часов, от 190°С до 230°С в течение 0,5-2 часов, от 240°С до 280°С в течение 0,5-2 часов, от 290°С до 300°С в течение 0,5-2 часов, от 340°С до 400°С в течение 0,1-1 час, с последующим вакуумным охлаждением или охлаждением в токе инертного газа.
В качестве исходных диангидридов в обеих вариантах используются диангидриды следующих ароматических поликарбоновых кислот: 3-фенилбензол-1,2,4,5-тетракарбоновой, 1,4-дифторпиромеллитовой, 1-трифторметил-2,3,5,6-бензолтетракарбоновой, 1,4-бис(трифторметил)-2,3,5,6-бензолтетракарбоновой, пиромеллитовой, 3,3'4,4'-бензофенонтетракарбоновой, перилен-3,4,9,10-тетракарбоновой, нафталин-1,4,5,8-тетракарбоновой, 4,4'-(гексафторизопропилиден)дифталевой, дифенил-2,2',3,3'-тетракарбоновой, дифенил-3,3',4,4'-тетракарбоновой, нафталин-2,3,6,7-тетракарбоновой, дифенилоксид-3,3',4,4'-тетракарбоновой. В качестве исходных соединений в обеих вариантах используются ароматические диамины, выбранные из группы следующих соединений: 1,4-диаминобензол, 4,4'-оксидианилин, 1,4-диамино-2,5-диметилбензол, 4,4'-сульфодианилин, [4-{3-[4-амино-2-(трифторметил)фенокси]фенокси}-3-(трифторметил)фенил]амин, 1,4-диамино-2-метилбензол, 1,3-диаминобензол, 4,4'-диамино-2,2',3,3',5,5',6,6'-октафторбифенил, 1,4-диамино-2-фторбензол, тетрафтор-мета-фенилендиамин, 1,4-диамино-2-(трифторметил)бензол, тетрафтор-пара-фенилендиамин, 1,5-диаминонафталин, [4-{4-[4-амино-3-(трифторметил)фенокси]фенокси}-2-(трифторметил)фенил]амин, [4-{4-[4-амино-2-(трифторметил)фенокси]фенокси}-3-(трифторметил)фенил]амин, [4-{4-[4-амино-2-(трифторметил)фенокси]-2,3,5,6-тетрафторфенокси}-3-(трифторметил)фенил]амин.
В качестве агента, модифицирующего карбид кремния, используются органические хлорсиланы, выбранные, предпочтительно, из следующей группы соединений: триметилхлорсилан, диметилфенилхлорсилан, трифенилхлорсилан.
В основе предлагаемого способа (оба варианта) лежит реакция конденсации диангидрида с диамином в присутствии наноструктурированного карбида кремния с модифицированной и немодифицированной поверхностью:
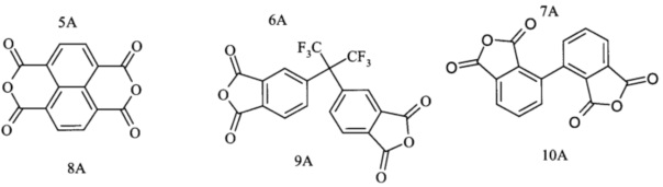
В отличие от прототипа, который рассмотрен для получения композита на основе полимера, полученного из 4,4'-диаминодифенилового эфира и 3,3',4,4'-бензофенонтетракарбонового диангидрида, предлагаемый способ применяется для получения довольно большого количества композитов с различной матрицей. Это обеспечивается за счет использования широкой группы исходных соединений, а именно диангидридов различных ароматических поликарбоновых кислот, и ароматических диаминов, структурные формулы которых приводятся ниже. Используются диангидриды следующих ароматических поликарбоновых кислот: 3-фенилбензол-1,2,4,5-тетракарбоновой (1А), 1,4-дифторпиромеллитовой (2А), 1-трифторметил-2,3,5,6-бензолтетракарбоновой (3А), 1,4-бис(трифторметил)-2,3,5,6-бензолтетракарбоновой (4А), пиромеллитовой (5А), 3,3'4,4'-бензофенонтетракарбоновой (6А), перилен-3,4,9,10-тетракарбоновой (7А), нафталин-1,4,5,8-тетракарбоновой (8А), 4,4'-(гексафторизопропилиден)дифталевой (9А), дифенил-2,2',3,3'-тетракарбоновой (10А), дифенил-3,3',4,4'-тетракарбоновой (11А), нафталин-2,3,6,7-тетракарбоновой (12А), дифенилоксид-3,3',4,4'-тетракарбоновой (13А) кислот.
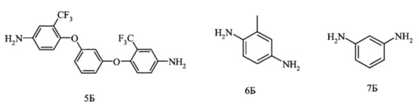
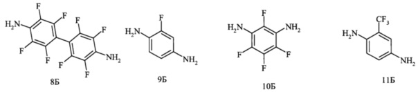
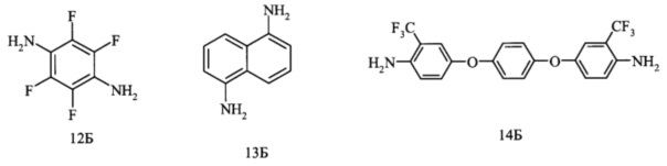
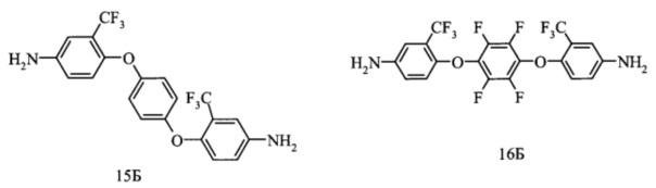
А в качестве второго компонента реакции конденсации используются следующие ароматические диамины, имеющие ниже приведенные структурные формулы: 1,4-диаминобензол (1Б), 4,4'-оксидианилин (2Б), 1,4-диамино-2,5-диметилбензол (3Б), 4,4'-сульфодианилин (4Б), [4-{3-[4-амино-2-(трифторметил)фенокси]фенокси}-3-(трифторметил)фенил]амин (5Б), 1,4-диамино-2-метилбензол (6Б), 1,3-диаминобензол (7Б), 4,4'-диамино-2,2',3,3',5,5',6,6'-октафторбифенил (8Б), 1,4-диамино-2-фторбензол (9Б), тетрафтор-мета-фенилендиамин (10Б), 1,4-диамино-2-(трифторметил)бензол (11Б), тетрафтор-пара-фенилендиамин (12Б), 1,5-диаминонафталин (13Б), [4-{4-[4-амино-3-(трифторметил)фенокси]фенокси}-2-(трифторметил)фенил]амин (14Б), [4-{4-[4-амино-2-(трифторметил)фенокси]фенокси}-3-(трифторметил)фенил]амин (15Б), [4-{4-[4-амино-2-(трифторметил)фенокси]-2,3,5,6-тетрафторфенокси}-3-(трифторметил)фенил]амин (16Б).
Структурные формулы используемых диангидридов ароматических поликарбоновых кислот
Структурные формулы используемых ароматических диаминов
В Варианте 2 предлагаемого способа одним из основных существенных признаков является применение более доступных модифицирующих реагентов - органических хлорсиланов, выбранных из следующей группы соединений: триметилхлорсилан, диметилфенилхлорсилан, трифенилхлорсилан. В прототипе в качестве модифицирующего агента используется коммерчески менее доступное соединение - 3-аминопропилтриметоксифенилсилан. Предлагаемые модифицирующие агенты создают различную модификацию поверхности карбида кремния, пригодную для добавления в различные по своей структуре полиимидные матрицы.
Существенным признаком предлагаемого способа на стадии модификации наноструктурированного карбида кремния является использование того же органического полярного растворителя (N-метил-2-пирролидона, N,N-диметилформамида, N,N-диметилацетамида), в котором ведется последующий процесс получения конечного нанокомпозита. Это позволяет существенно упростить процесс производства и свести к минимуму применение огнеопасных регентов, например, сухого этанола, как в прототипе, что в дальнейшем сказывается на себестоимости конечного нанокомпозитного материала.
Оба предлагаемых варианта существенно отличается от способа-прототипа также последовательностью введения основных исходных компонентов: карбида кремния, диамина и диангидрида.
Необходимым условием распределения наноструктурированного карбида кремния с модифицированной и/или не модифицированной поверхностью по всему объему нанокомпозита является прибавление сначала диамина к суспензии наноструктурированного карбида кремния в сухом полярном органическом растворители (N-метил-2-пирролидоне, N,N-диметилформамиде или N,N-диметилацетамиде). Это позволяет обеспечить более полную сшивку наночастиц карбида кремния и впоследствии образующейся полиимидной матрицы по всему объему полимера. Диангидрид вводится порционно после перемешивания карбида кремния с диамином под воздействием ультразвука при охлаждения реакционной массы до 1-15°С.
Экспериментальные исследования показали, наибольшего эффекта удается достигнуть при ультразвуковом воздействии в течение 15-30 минут с использованием ультразвуковой мешалки с частотой 20 кГц, что позволяет быстро диспергировать карбид кремния до наноразмеров.
Существенно на процесс оказывают температурные и временные режимы на каждой стадии процесса. Существенным признаком процесса является проведение стадии сушки на конечном этапе, когда происходит превращение «прекомпозита» в конечный нанокомпозит, осуществляемой при специально подобранном температурном режиме:
от 70°С до 90°С в течение 3-8 часов, от 120°С - до 180°С в течение 0,5-2 часов, от 190°С до 230°С в течение 0,5-2 часов, от 240°С до 280°С в течение 0,5-2 часов, от 290°С до 300°С в течение 0,5-2 часов, от 340°С до 400°С в течение 0,1-1 час, с последующим вакуумным охлаждением или охлаждением в токе инертного газа.
Такие режимы подобраны экспериментально при исследовании кинетики данного процесса методом ИК-спектроскопии (см. Таблицу 1).
Новый способ получения нанокомпозитов на основе наноструктурированного карбида кремния с модифицированной и немодифицированной поверхностью и полиимидной матрицы достаточно эффективен по сравнению с известным способом-прототипом, поскольку получаемые данным способом нанокомпозиты имеют высокую степень имидизации, которая не меньше, а в некоторых случаях и больше, чем в известном способе (по данным ИК-спектроскопии степень имидизации от 100 до 120%).
Дополнительные исследования показали, что получаемые новым способом композиты имеют температуру начала разложения более 500°С на воздухе, а облучение их электронами с энергией 2 МэВ дозой 10000 Мрад не приводит к существенным изменениям свойств, что говорит о их высокой термостойкости, радиационной стойкости. Благодаря таким свойствам, получаемые композиты могут применяться в кабельной промышленности при изготовлении электроизоляционных лаков и эмалей, обладающих высокой термостойкостью и эластичностью. Также благодаря наличию высоких диэлектрических свойств они могут применяться для изготовления покрытий проводов и электрических изделий, а также могут входить в состав деталей авиационных и ракетных двигателей при изготовлении уплотнений, вкладышей, подшипников.
Ниже изобретение иллюстрируется следующими примерами.
Пример 1.
В четырехгорлую колбу объемом 500 мл, снабженную ультразвуковой мешалкой с частотой 20 кГц., обратным холодильником, трубкой для ввода инертного газа и термометром, загружают 2,46 г порошка наноструктурированного не модифицированного карбида кремния (SiC) в 200 мл сухого N-метил-2-пирролидона, (предварительно полученного измельчением агрегатов карбида кремния до частиц размером не более 0,1 м) 20 г 4,4'-диаминодифенилоксида (0,10 моль) и перемешивают при помощи ультразвука в течение 15 минут с использованием ультразвуковой мешалки с частотой 20 кГц.
Все операции проводят в токе инертного газа. Затем реакционную массу охлаждают до 10°С с помощью водяной бани и порциями, при механическом перемешивании, добавляют 22,00 г пиромеллитового диангидрида (0,10 моль). Реакционную массу подвергают ультразвуковой обработке в течение 15 минут, при этом ее охлаждают на водяной бане, чтобы не дать разогреться реакционной смеси выше 30°С. Затем перемешивают механической мешалкой при комнатной температуре в течение 6 часов. После этого реакционную массу вновь подвергают ультразвуковой обработке в течение 30 мин. На завершающем этапе реакционную массу, имеющую комнатную температуру, равномерно распределяют по термостойкой подложке и помещают в вакуумный сушильный шкаф с программируемым режимом нагрева, в котором на начальном этапе установлена температура 70°С. Используют следующий температурный режим для получения конечного нанокомпозита:
70°С - выдержка 8 часов; 120°С - выдержка 2 часа; 200°С - выдержка 1 час; 240°С - выдержка 2 часа; 300°С - выдержка 0,5 часа; 340°С - выдержка 1 час.
Затем медленно в течение 3-х часов охлаждают в токе инертного газа (аргона) и получают нанокомпозиционную пленку на основе полиимидной матрицы, армированную немодифицированными наночастицами карбида кремния.
Получают поли-оксидифенилен-пиромеллитимид, армированный не модифицированными наночастицами карбида кремния (или поли-(4,4'-оксидифенилен)пиромеллитимид армированный немодифицированными наночастицами карбида кремния).
Толщина пленки 200 мкм.
Содержание карбида кремния 6%.
Характеристические полосы ИК-спектров: 1775 см-1 (С=O νas), 1713 см-1 (С=O νs), 1495 см-1 (С=С (Ar) ν), 1366 см-1 (C-N ν), 1228 см-1 (С-О-С νas), 721 см-1 (С=O δ).
Данные термогравиметрического анализа: Tg=370°C, Td10%=585°С
Пример 2.
В четырехгорлую колбу объемом 500 мл, снабженную ультразвуковой мешалкой с частотой 20 кГц., обратным холодильником, трубкой для ввода инертного газа и термометром загружают 0,39 г порошка наноструктурированного не модифицированного SiC (полученного из предварительно механически измельченных агрегатов до размера наночастиц не более 0,1 м) в 200 мл сухого N,N-диметилформамида, 10,17 г 4,4'-диаминооктафторбифенила (0,03 моль) и перемешивают при помощи ультразвука в течение 20 минут. Все операции проводят в токе инертного газа. Затем реакционную массу охлаждают до 10°С с помощью водяной бани и порциями, при механическом перемешивании, добавляют 10,00 г 3,3',4,4'-бензофенонтетракарбонового диангидрида (0,03 моль). Реакционную массу подвергают ультразвуковой обработке в течение 30 минут, при этом ее охлаждают на водяной бане, чтобы не дать разогреться реакционной смеси выше 30°С. Затем перемешивают механической мешалкой при комнатной температуре в течение 4 часов. После этого реакционную массу вновь подвергают ультразвуковой обработке в течение 20 мин. На завершающем этапе реакционную массу равномерно распределяют по термостойкой подложке и помещают в вакуумный сушильный шкаф с программируемым режимом нагрева, в котором на начальном этапе установлена температура 90°С. Используют следующий температурный режим для получения конечного нанокомпозита:
90°С - выдержка 4 часа; 160°С - выдержка 1 час; 190°С - выдержка 2 час;
240°С - выдержка 2 часа; 290°С - выдержка 2 часа; 400°С - выдержка 0,1 часа.
с последующим вакуумным охлаждением или охлаждением в токе инертного газа.
Затем медленно в течение 3-х часов охлаждают под вакуумом и получают нанокомпозиционную пленку на основе фторсодержащей полиимидной матрицы, армированную немодифицированными наночастицами карбида кремния.
Получают поли-октафтордифенилен-бензофенонимид, армированный немодифицированными наночастицами карбида кремния (или поли-(4,4'-октафтордифенилен)бензофенонимид армированный немодифицированными наночастицами карбида кремния.)
Толщина пленки 180 мкм.
Содержание карбида кремния 2%.
Характеристические полосы ИК-спектров: 1775 см-1 (С=O νas), 1713 см-1 (С=O νs), 1495 см-1 (С=С (Ar) ν), 1366 см-1 (C-N ν), 1260 см-1 (C-F ν), 721 см-1 (С=O δ).
Данные термогравиметрического анализа: Tg=314°C, Td10%=532°С
Пример 3.
В четырехгорлую колбу объемом 500 мл, снабженную ультразвуковой мешалкой с частотой 20 кГц., обратным холодильником, трубкой для ввода инертного газа и термометром загружают 1,65 г порошка наноструктурированного немодифицированного SiC (полученного предварительным механическим измельчением агрегатов до размера наночастиц не более 0,1 м) в 200 мл сухого N,N-диметилацетамида. Порошок диспергируют в растворителе при помощи ультразвука до образования устойчивой суспензии, после чего нагревают до 110°С и прибавляют 0,39 мл триметилхлорсилана (0,33 г), после чего выдерживают при 110°С 3 часа, затем к полученной реакционной смеси, охлажденной до комнатной температуры, добавляют 13,17 г 1,4-диамино-2,5-диметилбензола (0,09 моль) и перемешивают под воздействием ультразвука в течение 15 минут. Все операции проводят в токе инертного газа. Затем реакционную массу охлаждают до 10°С с помощью водяной бани и порциями, при механическом перемешивании, добавляют 30,00 г 4,4'-оксидифталевого ангидрида (0,09 моль). Реакционную массу подвергают ультразвуковой обработке в течение 30 минут, при этом ее охлаждают на водяной бане, чтобы не дать разогреться реакционной смеси выше 40°С. Затем перемешивают механической мешалкой при комнатной температуре в течение 8 часов. После этого реакционную массу вновь подвергают ультразвуковой обработке в течение 20 мин. На завершающем этапе реакционную массу равномерно распределяют по термостойкой подложке и помещают в вакуумный сушильный шкаф с программируемым режимом нагрева, в котором на начальном этапе установлена температура 70°С. Используют следующий температурный режим для получения конечного нанокомпозита:
70°С - выдержка 8 часов; 180°С - выдержка 0,5 часа; 230°С - выдержка 0,5 часа; 280°С - выдержка 0,5 часа; 300°С - выдержка 0,5 часа; 340°С - выдержка 1 час.
Затем медленно в течение 3-х часов охлаждают под вакуумом и получают нанокомпозиционную пленку на основе полиимидной матрицы, армированную модифицированными наночастицами карбида кремния. Получают поли-диаминодиметилдифенилен-оксидифталимид, армированный модифицированными наночастицами карбида кремния (или поли-(1,4-диамино-2,5-диметилдифенилен)оксидифталимид, армированный модифицированными наночастицами карбида кремния.)
Толщина пленки 250 мкм.
Содержание карбида кремния 4%.
Характеристические полосы ИК-спектров: 1775 см-1 (С=O νas), 1713 см-1 (С=O νs), 1495 см-1 (С=С (Ar) ν), 1378 см-1 (С-СН3 δ), 1366 см-1 (C-N ν), 1228 см-1 (С-О-С νas), 721 см-1 (С=O δ).
Данные термогравиметрического анализа: Tg=295°C, Td10%=498°C
Пример 4.
В четырехгорлую колбу объемом 500 мл, снабженную ультразвуковой мешалкой, функционирующей с частотой 20 кГц., обратным холодильником, трубкой для ввода инертного газа и термометром загружают 0,15 г порошка наноструктурированного немодифицированного карбида кремния, 200 мл сухого N,N-диметилформамида. Наноструктурированный карбид кремния получают предварительным механическим измельчением исходных агрегатов до размера наночастиц не более 0,1 м. Порошок диспергируют в растворителе при помощи ультразвука с частотой 20 кгц до образования устойчивой дисперсии, после чего нагревают до 100°С и прибавляют 0,5 г трифенилхлорсилана, после чего выдерживают при 100°С 2 часа, затем к полученной реакционной смеси, охлажденной до комнатной температуры добавляют 38,55 г 1,4-бис(4-амино-2-трифторметилфенокси)бензола (0,09 моль) и перемешивают при помощи ультразвука в течение 20 минут. Все операции проводят в токе инертного газа. Затем реакционную массу охлаждают до 5°С с помощью водяной бани и порциями, при механическом перемешивании, добавляют 40,00 г 2,2-бис(3,4-дикарбоксифенил)гексафторпропанового диангидрида (0,09 моль). Реакционную массу подвергают ультразвуковой обработке в течение 15 минут, при этом ее охлаждают на водяной бане, чтобы не дать разогреться реакционной смеси выше 35°С. Затем перемешивают механической мешалкой при комнатной температуре в течение 5 часов. После этого реакционную массу вновь подвергают ультразвуковой обработке в течение 30 мин. На завершающем этапе реакционную массу равномерно распределяют по термостойкой подложке и помещают в вакуумный сушильный шкаф с программируемым режимом нагрева, в котором на начальном этапе установлена температура 90°С. Используют следующий температурный режим для получения конечного нанокомпозита: 90°С - выдержка 3 часа; 120°С - выдержка 2 часа; 200°С - выдержка 1 час; 250°С - выдержка 2 часа; 300°С - выдержка 0,5 часа; 350°С - выдержка 0,25 часа.
Затем медленно в течение 3-х часов охлаждают под вакуумом и получают нанокомпозиционную пленку на основе фторсодержащей полиимидной матрицы, армированную модифицированными наночастицами карбида кремния.
Название: поли-бисаминотрифторметилфеноксифенилен-бис-дикарбоксифенилгексафторпропилимид армированный модифицированными наночастицами карбида кремния или поли-(1,4-бис(4-амино-2-трифторметилфенокси)фенилен)2,2-бис(3,4-дикарбоксифенил)гексафторпропилимид армированный модифицированными наночастицами карбида кремния.
Толщина пленки 150 мкм.
Содержание карбида кремния 0,2%.
Характеристические полосы ИК-спектров: 1782 см-1 (С=O νas), 1725 см-1 (С=O νs), 1489 см-1 (С=С (Ar) ν), 1376 см-1 (C-N ν), 1319 см-1 (C-CF3 ν), 1239 см-1 (С-О-С νas), 743 см-1 (С=O δ).
Данные термогравиметрического анализа: Tg=229°C, Td10%=539°C
Аналогично при этих же условиях получают композиты с полиимидными матрицами, приведенными в Таблице 1, где приводятся - характеристические полосы ИК-спектров и данные элементного анализа некоторых, полученных по предложенной методике.
Claims (7)
1. Способ получения полиимидного композитного пленочного покрытия, армированного наноструктурированным карбидом кремния, осуществляемый реакцией конденсации диангидридов ароматических поликарбоновых кислот и ароматических диаминов в токе инертного газа в среде полярного органического растворителя в присутствии наноструктурированного карбида кремния, предварительно суспендированного в сухом органическом растворителе под воздействием ультразвука, и последующей обработкой образовавшегося полимерного соединения ультразвуком, нанесением его в виде пленочного покрытия на подложку, сушкой при ступенчатом нагреве и охлаждением полученного пленочного покрытия, отличающийся тем, что суспендирование немодифицированного наноструктурированного карбида кремния и реакцию конденсации диангидридов ароматических поликарбоновых кислот и ароматических диаминов проводят в одноименном сухом органическом растворителе, выбранном из группы: N-метилпирролидон, N,N-диметилформамид, N,N-диметилацетамид, причем суспендирование проводят в токе инертного газа при ультразвуковом перемешивании до образования суспензии, содержащей 0,2-10 мас.% карбида кремния от веса получаемого композита, которая перемешивается под воздействием ультразвука в токе инертного газа с диамином, охлаждается до 1-15°С и к образовавшейся реакционной массе порционно добавляется при перемешивании эквимолярное по отношению к диамину количество диангидрида, после чего образовавшаяся реакционная масса подвергается воздействию ультразвука при 30-40°С, затем перемешивается при 20-25°С в течение 3-8 ч, повторно подвергается воздействию ультразвука, при этом ультразвуковое перемешивание на всех включающих его стадиях процесса проводится под воздействием ультразвука с частотой 20 кГц в течение 15-30 мин и после проведения конденсации полученная дисперсия наносится в виде пленочного покрытия на подложку и сушится при ступенчатом нагреве по следующей схеме: от 70 до 90°С в течение 3-8 ч, от 120 до 180°С в течение 0,5-2 ч, от 190 до 230°С в течение 0,5-2 ч, от 240 до 280°С в течение 0,5-2 ч, от 290 до 300°С в течение 0,5-2 ч, от 340 до 400°С в течение 0,1-1 ч, с последующим вакуумным охлаждением или охлаждением в токе инертного газа.
2. Способ по п.1, отличающийся тем, что в качестве исходных соединений используются диангидриды следующих ароматических поликарбоновых кислот: 3-фенилбензол-1,2,4,5-тетракарбоновой, 1,4-дифторпиромеллитовой, 1-трифторметил-2,3,5,6-бензолтетракарбоновой, 1,4-бис(трифторметил)-2,3,5,6-бензолтетракарбоновой, пиромеллитовой, 3,3',4,4'-бензофенонтетракарбоновой, перилен-3,4,9,10-тетракарбоновой, нафталин-1,4,5,8-тетракарбоновой, 4,4'-(гексафторизопропилиден)дифталевой, дифенил-2,2',3,3'-тетракарбоновой, дифенил-3,3',4,4'-тетракарбоновой, нафталин-2,3,6,7-тетракарбоновой, дифенилоксид-3,3',4,4'-тетракарбоновой.
3. Способ по п.1, отличающийся тем, что в качестве исходных соединений используются ароматические диамины, выбранные из группы следующих соединений: 1,4-диаминобензол, 4,4'-оксидианилин, 1,4-диамино-2,5-диметилбензол, 4,4'-сульфодианилин, [4-{3-[4-амино-2-(трифторметил)фенокси]фенокси}-3-(трифторметил)фенил]амин, 1,4-диамино-2-метилбензол, 1,3-диаминобензол, 4,4'-диамино-2,2',3,3',5,5',6,6'-октафторбифенил, 1,4-диамино-2-фторбензол, тетрафтор-мета-фенилендиамин, 1,4-диамино-2-(трифторметил)бензол, тетрафтор-пара-фенилендиамин, 1,5-диаминонафталин, [4-{4-[4-амино-3-(трифторметил)фенокси]фенокси}-2-(трифторметил)фенил]амин, [4-{4-[4-амино-2-(трифторметил)фенокси]фенокси}-3-(трифторметил)фенил]-амин, [4-{4-[4-амино-2-(трифторметил)фенокси]-2,3,5,6-тетрафторфенокси}-3-(трифторметил)фенил]амин.
4. Способ получения полиимидного композитного пленочного покрытия, армированного наноструктурированным карбидом кремния, осуществляемый реакцией конденсации диангидридов ароматических поликарбоновых кислот и ароматических диаминов в токе инертного газа в среде полярного органического растворителя в присутствии модифицированного наноструктурированного карбида кремния, предварительно полученного суспендированием наноструктурированного карбида кремния под воздействием ультразвука в сухом органическом растворителе и модификацией его органическим силаном и последующей обработкой образовавшегося полимерного соединения ультразвуком, нанесением его в виде пленочного покрытия на подложку, сушкой при ступенчатом нагреве и охлаждением полученного пленочного покрытия, отличающийся тем, что суспендирование модифицированного наноструктурированного карбида кремния и реакцию конденсации диангидридов ароматических поликарбоновых кислот и ароматических диаминов проводят в одноименном сухом органическом растворителе, выбранном из группы: N-метилпирролидон, N,N-диметилформамид, N,N-диметилацетамид, причем в качестве армирующего элемента используют модифицированный наноструктурированный карбид кремния, предварительно получаемый из немодифицированного карбида кремния, суспендированного под воздействием ультразвука в сухом органическом растворителе, который в виде суспензии, содержащей 0,2-10 мас.% карбида кремния от веса получаемого композита, при 100-150°С перемешивается с органическим хлорсиланом, вводимым в количестве, соответствующем весовому соотношению силана к карбиду кремния, равному 1:(0,05-5), после чего суспендированный модифицированный карбид кремния перемешивается с органическим диамином под воздействием ультразвука в токе инертного газа, охлаждается до 1-15°С и к образовавшейся реакционной массе порционно при перемешивании добавляется эквимолярное по отношению к органическому диамину количество диангидрида ароматической поликарбоновой кислоты и образовавшаяся реакционная масса подвергается воздействию ультразвука при 30-40°С, затем перемешивается при 20-25°С в течение 3-8 ч, повторно подвергается воздействию ультразвука, при этом ультразвуковое перемешивание на всех включающих его стадиях процесса проводится под воздействием ультразвука с частотой 20 кГц в течение 15-30 мин, затем полученная дисперсия наносится в виде пленочного покрытия на подложку и сушится при ступенчатом нагреве по следующей схеме: от 70 до 90°С в течение 3-8 ч, от 120 до 180°С в течение 0,5-2 ч, от 190 до 230°С в течение 0,5-2 ч, от 240 до 280°С в течение 0,5-2 ч, от 290 до 300°С в течение 0,5-2 ч, от 340 до 400°С в течение 0,1-1 ч, с последующим вакуумным охлаждением или охлаждением в токе инертного газа.
5. Способ по п.4, отличающийся тем, что в качестве исходных соединений используются диангидриды следующих ароматических поликарбоновых кислот: 3-фенилбензол-1,2,4,5-тетракарбоновой, 1,4-дифторпиромеллитовой, 1-трифторметил-2,3,5,6-бензолтетракарбоновой, 1,4-бис(трифторметил)-2,3,5,6-бензолтетракарбоновой, пиромеллитовой, 3,3',4,4'-бензофенонтетракарбоновой, перилен-3,4,9,10-тетракарбоновой, нафталин-1,4,5,8-тетракарбоновой, 4,4'-(гексафторизопропилиден)дифталевой, дифенил-2,2',3,3'-тетракарбоновой, дифенил-3,3',4,4'-тетракарбоновой, нафталин-2,3,6,7-тетракарбоновой, дифенилоксид-3,3',4,4'-тетракарбоновой.
6. Способ по п.4, отличающийся тем, что в качестве исходных соединений используются ароматические диамины, выбранные из группы следующих соединений: 1,4-диаминобензол, 4,4'-оксидианилин, 1,4-диамино-2,5-диметилбензол, 4,4'-сульфодианилин, [4-{3-[4-амино-2-(трифторметил)фенокси]фенокси}-3-(трифторметил)фенил]амин, 1,4-диамино-2-метилбензол, 1,3-диаминобензол, 4,4'-диамино-2,2',3,3',5,5',6,6'-октафторбифенил, 1,4-диамино-2-фторбензол, тетрафтор-мета-фенилендиамин, 1,4-диамино-2-(трифторметил)бензол, тетрафтор-пара-фенилендиамин, 1,5-диаминонафталин, [4-{4-[4-амино-3-(трифторметил)фенокси]фенокси}-2-(трифторметил)фенил]амин, [4-{4-[4-амино-2-(трифторметил)фенокси]фенокси}-3-(трифторметил)фенил]-амин, [4-{4-[4-амино-2-(трифторметил)фенокси]-2,3,5,6-тетрафторфенокси}-3-(трифторметил)фенил]амин.
7. Способ по п.4, отличающийся тем, что в качестве агента, модифицирующего карбид кремния, используются органические хлорсиланы, выбранные предпочтительно из следующей группы соединений: триметилхлорсилан, диметилфенилхлорсилан, трифенилхлорсилан.
Priority Applications (1)
| Application Number | Priority Date | Filing Date | Title |
|---|---|---|---|
| RU2015140252A RU2620122C2 (ru) | 2015-09-22 | 2015-09-22 | Способ получения полиимидного композитного пленочного покрытия, армированного наноструктурированным карбидом кремния (варианты) |
Applications Claiming Priority (1)
| Application Number | Priority Date | Filing Date | Title |
|---|---|---|---|
| RU2015140252A RU2620122C2 (ru) | 2015-09-22 | 2015-09-22 | Способ получения полиимидного композитного пленочного покрытия, армированного наноструктурированным карбидом кремния (варианты) |
Publications (2)
| Publication Number | Publication Date |
|---|---|
| RU2015140252A RU2015140252A (ru) | 2017-03-28 |
| RU2620122C2 true RU2620122C2 (ru) | 2017-05-23 |
Family
ID=58505166
Family Applications (1)
| Application Number | Title | Priority Date | Filing Date |
|---|---|---|---|
| RU2015140252A RU2620122C2 (ru) | 2015-09-22 | 2015-09-22 | Способ получения полиимидного композитного пленочного покрытия, армированного наноструктурированным карбидом кремния (варианты) |
Country Status (1)
| Country | Link |
|---|---|
| RU (1) | RU2620122C2 (ru) |
Cited By (4)
| Publication number | Priority date | Publication date | Assignee | Title |
|---|---|---|---|---|
| RU2656045C2 (ru) * | 2016-11-23 | 2018-05-30 | Федеральное государственное унитарное предприятие "Институт химических реактивов и особо чистых химических веществ Национального исследовательского центра "Курчатовский институт" | Способ получения полиимидного композитного материала, армированного наноструктурированным карбидом бора (варианты) |
| RU2673292C1 (ru) * | 2017-08-02 | 2018-11-23 | Общество с ограниченной ответственностью "ПолиКомпозиты" | Способ получения полиимидного композиционного материала, наполненного наноструктурированным карбидом кремния с модифицированной поверхностью |
| RU2713164C1 (ru) * | 2019-01-09 | 2020-02-04 | Федеральное государственное бюджетное учреждение науки Новосибирский институт органической химии им. Н.Н. Ворожцова Сибирского отделения Российской академии наук (НИОХ СО РАН) | Полифторароматические полиимидные матрицы для нелинейно-оптических полимерных материалов, нелинейно-оптические полимерные материалы и способы их получения |
| WO2020219852A1 (en) * | 2019-04-26 | 2020-10-29 | Designer Molecules, Inc. | Phenolic functionalized polyimides and compositions thereof |
Families Citing this family (2)
| Publication number | Priority date | Publication date | Assignee | Title |
|---|---|---|---|---|
| CN119317034B (zh) * | 2024-12-17 | 2025-05-13 | 江西联茂电子科技有限公司 | 一种高耐热性覆铜板及其制备工艺 |
| CN121227149B (zh) * | 2025-12-02 | 2026-01-30 | 东胜化学(上海)有限公司 | 耐候性能优异的丙烯酸树脂复合物及其制备方法 |
Citations (5)
| Publication number | Priority date | Publication date | Assignee | Title |
|---|---|---|---|---|
| RU2021296C1 (ru) * | 1992-12-24 | 1994-10-15 | Научно-исследовательский физико-химический институт им.Л.Я.Карпова | Способ изготовления полиимидного антиадгезионного покрытия |
| RU1624979C (ru) * | 1988-07-22 | 1994-12-15 | Волгоградский Политехнический Институт | Способ получения полиамидокислотного лака с повышенной адгезией |
| RU2169713C2 (ru) * | 1996-03-29 | 2001-06-27 | Галилео Корпорейшн | Способ формирования удаляемого полиимидного покрытия для оптического волокна |
| RU2464290C2 (ru) * | 2007-12-18 | 2012-10-20 | Е.И. Дюпон Де Немур Энд Компани | Способ покрытия электротехнической стали |
| CN102850563A (zh) * | 2012-09-26 | 2013-01-02 | 哈尔滨工业大学 | 氨基硅烷化改性碳化硅纳米颗粒增强聚酰亚胺复合薄膜的方法 |
-
2015
- 2015-09-22 RU RU2015140252A patent/RU2620122C2/ru active
Patent Citations (5)
| Publication number | Priority date | Publication date | Assignee | Title |
|---|---|---|---|---|
| RU1624979C (ru) * | 1988-07-22 | 1994-12-15 | Волгоградский Политехнический Институт | Способ получения полиамидокислотного лака с повышенной адгезией |
| RU2021296C1 (ru) * | 1992-12-24 | 1994-10-15 | Научно-исследовательский физико-химический институт им.Л.Я.Карпова | Способ изготовления полиимидного антиадгезионного покрытия |
| RU2169713C2 (ru) * | 1996-03-29 | 2001-06-27 | Галилео Корпорейшн | Способ формирования удаляемого полиимидного покрытия для оптического волокна |
| RU2464290C2 (ru) * | 2007-12-18 | 2012-10-20 | Е.И. Дюпон Де Немур Энд Компани | Способ покрытия электротехнической стали |
| CN102850563A (zh) * | 2012-09-26 | 2013-01-02 | 哈尔滨工业大学 | 氨基硅烷化改性碳化硅纳米颗粒增强聚酰亚胺复合薄膜的方法 |
Cited By (4)
| Publication number | Priority date | Publication date | Assignee | Title |
|---|---|---|---|---|
| RU2656045C2 (ru) * | 2016-11-23 | 2018-05-30 | Федеральное государственное унитарное предприятие "Институт химических реактивов и особо чистых химических веществ Национального исследовательского центра "Курчатовский институт" | Способ получения полиимидного композитного материала, армированного наноструктурированным карбидом бора (варианты) |
| RU2673292C1 (ru) * | 2017-08-02 | 2018-11-23 | Общество с ограниченной ответственностью "ПолиКомпозиты" | Способ получения полиимидного композиционного материала, наполненного наноструктурированным карбидом кремния с модифицированной поверхностью |
| RU2713164C1 (ru) * | 2019-01-09 | 2020-02-04 | Федеральное государственное бюджетное учреждение науки Новосибирский институт органической химии им. Н.Н. Ворожцова Сибирского отделения Российской академии наук (НИОХ СО РАН) | Полифторароматические полиимидные матрицы для нелинейно-оптических полимерных материалов, нелинейно-оптические полимерные материалы и способы их получения |
| WO2020219852A1 (en) * | 2019-04-26 | 2020-10-29 | Designer Molecules, Inc. | Phenolic functionalized polyimides and compositions thereof |
Also Published As
| Publication number | Publication date |
|---|---|
| RU2015140252A (ru) | 2017-03-28 |
Similar Documents
| Publication | Publication Date | Title |
|---|---|---|
| RU2620122C2 (ru) | Способ получения полиимидного композитного пленочного покрытия, армированного наноструктурированным карбидом кремния (варианты) | |
| Qiu et al. | Low dielectric constant polyimide mixtures fabricated by polyimide matrix and polyimide microsphere fillers | |
| JP4338731B2 (ja) | 高熱分解法で製造され、表面変性された酸化アルミニウム | |
| CN106661273B (zh) | 表面改性复合二氧化硅粒子及包含该表面改性复合二氧化硅粒子的聚酰亚胺薄膜 | |
| Liu et al. | Preparation and dielectric properties of polyimide/silica nanocomposite films prepared from sol–gel and blending process | |
| JP5903527B2 (ja) | ポリイミド樹脂から製造されたポリイミドフィルム及びこれを含む表示素子用基板 | |
| JP3370403B2 (ja) | 顔料入りポリイミド成型物品の製造方法 | |
| CN109689745B (zh) | 具有绝缘性能的高散热石墨烯-聚酰亚胺复合膜及其制备方法 | |
| Zha et al. | Tailored ultralow dielectric permittivity in high-performance fluorinated polyimide films by adjusting nanoporous characterisitics | |
| JP6780259B2 (ja) | ポリイミド前駆体組成物、及びポリイミド前駆体組成物の製造方法 | |
| JP7799601B2 (ja) | ポリイミドフィルムおよびその製造方法 | |
| Mekuria et al. | Surface modification of nano-silica by diisocyanates and their application in polyimide matrix for enhanced mechanical, thermal and water proof properties | |
| CN104169330A (zh) | 黑色聚酰亚胺膜 | |
| CN104629365B (zh) | 一种制备碳纤维与聚酰亚胺复合材料的方法 | |
| JP7801442B2 (ja) | ポリアミック酸組成物及びその製造方法 | |
| CN104788676A (zh) | 低介电常数聚酰亚胺/多层氧化石墨烯复合薄膜的制备方法 | |
| Zhang et al. | Trisilanolphenyl-POSS nano-hybrid poly (biphenyl dianhydride-p-phenylenediamine) polyimide composite films: miscibility and structure-property relationship | |
| KR102019928B1 (ko) | 절연성능을 갖는 고방열 그래핀-폴리이미드 복합필름 및 이의 제조방법 | |
| TWI736867B (zh) | 聚醯亞胺清漆及其製備方法、聚醯亞胺塗層製品及其製備方法、電線以及電子裝置 | |
| CN105860112A (zh) | 一种黑色聚酰亚胺/聚丙烯腈共混薄膜及其制备方法 | |
| RU2644906C2 (ru) | Способ получения полиимидного композитного волокна на углеродной основе, армированного наноструктурированным карбидом кремния | |
| CN116179075B (zh) | 一种poss改性聚酰亚胺绝缘漆、制备方法及应用 | |
| RU2673292C1 (ru) | Способ получения полиимидного композиционного материала, наполненного наноструктурированным карбидом кремния с модифицированной поверхностью | |
| CN101831075B (zh) | 改性聚酰亚胺膜 | |
| Akhter et al. | Preparation and characterization of novel polyimide‐silica hybrids |
Legal Events
| Date | Code | Title | Description |
|---|---|---|---|
| PD4A | Correction of name of patent owner | ||
| QB4A | Licence on use of patent |
Free format text: LICENCE FORMERLY AGREED ON 20180609 Effective date: 20180609 |













