RU2199378C2 - Способ предотвращения и замедления образования отложений в мембранных процессах - Google Patents
Способ предотвращения и замедления образования отложений в мембранных процессах Download PDFInfo
- Publication number
- RU2199378C2 RU2199378C2 RU99112581/12A RU99112581A RU2199378C2 RU 2199378 C2 RU2199378 C2 RU 2199378C2 RU 99112581/12 A RU99112581/12 A RU 99112581/12A RU 99112581 A RU99112581 A RU 99112581A RU 2199378 C2 RU2199378 C2 RU 2199378C2
- Authority
- RU
- Russia
- Prior art keywords
- membranes
- polyaspartic acids
- acids
- acid
- polyaspartic
- Prior art date
Links
- 239000012528 membrane Substances 0.000 title claims abstract description 65
- 238000000034 method Methods 0.000 title claims abstract description 51
- 230000008569 process Effects 0.000 title claims abstract description 29
- 230000002265 prevention Effects 0.000 title abstract description 3
- 230000005764 inhibitory process Effects 0.000 title description 3
- 229920000805 Polyaspartic acid Polymers 0.000 claims abstract description 44
- 239000003995 emulsifying agent Substances 0.000 claims abstract description 22
- 239000000203 mixture Substances 0.000 claims abstract description 22
- 239000002253 acid Substances 0.000 claims abstract description 8
- 239000004952 Polyamide Substances 0.000 claims abstract description 6
- 229940045714 alkyl sulfonate alkylating agent Drugs 0.000 claims abstract description 6
- 125000004432 carbon atom Chemical group C* 0.000 claims abstract description 6
- 229920002647 polyamide Polymers 0.000 claims abstract description 6
- 150000008052 alkyl sulfonates Chemical class 0.000 claims abstract description 5
- 239000007864 aqueous solution Substances 0.000 claims abstract description 5
- 239000003112 inhibitor Substances 0.000 claims abstract description 5
- IAYPIBMASNFSPL-UHFFFAOYSA-N Ethylene oxide Chemical compound C1CO1 IAYPIBMASNFSPL-UHFFFAOYSA-N 0.000 claims abstract description 3
- 229920006395 saturated elastomer Polymers 0.000 claims abstract description 3
- 229920000570 polyether Polymers 0.000 claims abstract 2
- 159000000000 sodium salts Chemical class 0.000 claims abstract 2
- 230000015572 biosynthetic process Effects 0.000 claims description 21
- QGZKDVFQNNGYKY-UHFFFAOYSA-N Ammonia Chemical compound N QGZKDVFQNNGYKY-UHFFFAOYSA-N 0.000 claims description 12
- XLYOFNOQVPJJNP-UHFFFAOYSA-N water Substances O XLYOFNOQVPJJNP-UHFFFAOYSA-N 0.000 claims description 11
- 150000003839 salts Chemical class 0.000 claims description 10
- 229920000058 polyacrylate Polymers 0.000 claims description 8
- 238000001223 reverse osmosis Methods 0.000 claims description 8
- ABLZXFCXXLZCGV-UHFFFAOYSA-N Phosphorous acid Chemical class OP(O)=O ABLZXFCXXLZCGV-UHFFFAOYSA-N 0.000 claims description 7
- 238000001728 nano-filtration Methods 0.000 claims description 7
- OFOBLEOULBTSOW-UHFFFAOYSA-N Propanedioic acid Natural products OC(=O)CC(O)=O OFOBLEOULBTSOW-UHFFFAOYSA-N 0.000 claims description 6
- 229910021529 ammonia Inorganic materials 0.000 claims description 6
- VZCYOOQTPOCHFL-UPHRSURJSA-N maleic acid Chemical compound OC(=O)\C=C/C(O)=O VZCYOOQTPOCHFL-UPHRSURJSA-N 0.000 claims description 6
- 239000011976 maleic acid Substances 0.000 claims description 6
- 108010064470 polyaspartate Proteins 0.000 claims description 6
- 238000000926 separation method Methods 0.000 claims description 6
- VZCYOOQTPOCHFL-UHFFFAOYSA-N trans-butenedioic acid Natural products OC(=O)C=CC(O)=O VZCYOOQTPOCHFL-UHFFFAOYSA-N 0.000 claims description 6
- CKLJMWTZIZZHCS-REOHCLBHSA-N L-aspartic acid Chemical compound OC(=O)[C@@H](N)CC(O)=O CKLJMWTZIZZHCS-REOHCLBHSA-N 0.000 claims description 5
- 235000003704 aspartic acid Nutrition 0.000 claims description 5
- 239000004615 ingredient Substances 0.000 claims description 5
- 239000002455 scale inhibitor Substances 0.000 claims description 5
- 238000000108 ultra-filtration Methods 0.000 claims description 5
- 150000003863 ammonium salts Chemical class 0.000 claims description 4
- OQFSQFPPLPISGP-UHFFFAOYSA-N beta-carboxyaspartic acid Natural products OC(=O)C(N)C(C(O)=O)C(O)=O OQFSQFPPLPISGP-UHFFFAOYSA-N 0.000 claims description 4
- 238000009833 condensation Methods 0.000 claims description 4
- 230000005494 condensation Effects 0.000 claims description 4
- 230000007062 hydrolysis Effects 0.000 claims description 4
- 238000006460 hydrolysis reaction Methods 0.000 claims description 4
- DCXYFEDJOCDNAF-UHFFFAOYSA-N Asparagine Natural products OC(=O)C(N)CC(N)=O DCXYFEDJOCDNAF-UHFFFAOYSA-N 0.000 claims description 3
- DCXYFEDJOCDNAF-REOHCLBHSA-N L-asparagine Chemical compound OC(=O)[C@@H](N)CC(N)=O DCXYFEDJOCDNAF-REOHCLBHSA-N 0.000 claims description 3
- 229960001230 asparagine Drugs 0.000 claims description 3
- 235000009582 asparagine Nutrition 0.000 claims description 3
- FPYJFEHAWHCUMM-UHFFFAOYSA-N maleic anhydride Chemical compound O=C1OC(=O)C=C1 FPYJFEHAWHCUMM-UHFFFAOYSA-N 0.000 claims description 3
- 239000003377 acid catalyst Substances 0.000 claims description 2
- 238000005227 gel permeation chromatography Methods 0.000 claims description 2
- 150000001510 aspartic acids Chemical class 0.000 claims 1
- 239000000126 substance Substances 0.000 abstract description 10
- 150000007513 acids Chemical class 0.000 abstract description 5
- 230000000694 effects Effects 0.000 abstract description 2
- 230000003204 osmotic effect Effects 0.000 abstract 1
- 239000000243 solution Substances 0.000 description 22
- 239000004094 surface-active agent Substances 0.000 description 15
- OSGAYBCDTDRGGQ-UHFFFAOYSA-L calcium sulfate Chemical compound [Ca+2].[O-]S([O-])(=O)=O OSGAYBCDTDRGGQ-UHFFFAOYSA-L 0.000 description 9
- -1 for example Chemical class 0.000 description 8
- 239000012466 permeate Substances 0.000 description 8
- FAPWRFPIFSIZLT-UHFFFAOYSA-M Sodium chloride Chemical compound [Na+].[Cl-] FAPWRFPIFSIZLT-UHFFFAOYSA-M 0.000 description 7
- 239000000047 product Substances 0.000 description 7
- VTYYLEPIZMXCLO-UHFFFAOYSA-L Calcium carbonate Chemical compound [Ca+2].[O-]C([O-])=O VTYYLEPIZMXCLO-UHFFFAOYSA-L 0.000 description 6
- 150000003457 sulfones Chemical class 0.000 description 6
- 239000001506 calcium phosphate Substances 0.000 description 5
- 229910000389 calcium phosphate Inorganic materials 0.000 description 5
- 235000011010 calcium phosphates Nutrition 0.000 description 5
- 238000004140 cleaning Methods 0.000 description 5
- 238000002474 experimental method Methods 0.000 description 5
- 238000004519 manufacturing process Methods 0.000 description 5
- 230000035515 penetration Effects 0.000 description 5
- QORWJWZARLRLPR-UHFFFAOYSA-H tricalcium bis(phosphate) Chemical compound [Ca+2].[Ca+2].[Ca+2].[O-]P([O-])([O-])=O.[O-]P([O-])([O-])=O QORWJWZARLRLPR-UHFFFAOYSA-H 0.000 description 5
- UIIMBOGNXHQVGW-UHFFFAOYSA-M Sodium bicarbonate Chemical compound [Na+].OC([O-])=O UIIMBOGNXHQVGW-UHFFFAOYSA-M 0.000 description 4
- GWEVSGVZZGPLCZ-UHFFFAOYSA-N Titan oxide Chemical compound O=[Ti]=O GWEVSGVZZGPLCZ-UHFFFAOYSA-N 0.000 description 4
- MCMNRKCIXSYSNV-UHFFFAOYSA-N Zirconium dioxide Chemical compound O=[Zr]=O MCMNRKCIXSYSNV-UHFFFAOYSA-N 0.000 description 4
- 229960005261 aspartic acid Drugs 0.000 description 4
- 238000005516 engineering process Methods 0.000 description 4
- 238000001556 precipitation Methods 0.000 description 4
- 238000002360 preparation method Methods 0.000 description 4
- 239000011780 sodium chloride Substances 0.000 description 4
- LYCAIKOWRPUZTN-UHFFFAOYSA-N Ethylene glycol Chemical compound OCCO LYCAIKOWRPUZTN-UHFFFAOYSA-N 0.000 description 3
- QAOWNCQODCNURD-UHFFFAOYSA-L Sulfate Chemical compound [O-]S([O-])(=O)=O QAOWNCQODCNURD-UHFFFAOYSA-L 0.000 description 3
- 229910000019 calcium carbonate Inorganic materials 0.000 description 3
- 239000008139 complexing agent Substances 0.000 description 3
- 239000012141 concentrate Substances 0.000 description 3
- 238000010612 desalination reaction Methods 0.000 description 3
- 230000004907 flux Effects 0.000 description 3
- 230000035699 permeability Effects 0.000 description 3
- 239000002244 precipitate Substances 0.000 description 3
- 238000004065 wastewater treatment Methods 0.000 description 3
- 0 CC(CC(NC)=O)C(*)=O Chemical compound CC(CC(NC)=O)C(*)=O 0.000 description 2
- OYPRJOBELJOOCE-UHFFFAOYSA-N Calcium Chemical compound [Ca] OYPRJOBELJOOCE-UHFFFAOYSA-N 0.000 description 2
- XEEYBQQBJWHFJM-UHFFFAOYSA-N Iron Chemical compound [Fe] XEEYBQQBJWHFJM-UHFFFAOYSA-N 0.000 description 2
- 239000002033 PVDF binder Substances 0.000 description 2
- NBIIXXVUZAFLBC-UHFFFAOYSA-N Phosphoric acid Chemical compound OP(O)(O)=O NBIIXXVUZAFLBC-UHFFFAOYSA-N 0.000 description 2
- CDBYLPFSWZWCQE-UHFFFAOYSA-L Sodium Carbonate Chemical compound [Na+].[Na+].[O-]C([O-])=O CDBYLPFSWZWCQE-UHFFFAOYSA-L 0.000 description 2
- QAOWNCQODCNURD-UHFFFAOYSA-N Sulfuric acid Chemical compound OS(O)(=O)=O QAOWNCQODCNURD-UHFFFAOYSA-N 0.000 description 2
- 150000001298 alcohols Chemical class 0.000 description 2
- 238000005904 alkaline hydrolysis reaction Methods 0.000 description 2
- PNEYBMLMFCGWSK-UHFFFAOYSA-N aluminium oxide Inorganic materials [O-2].[O-2].[O-2].[Al+3].[Al+3] PNEYBMLMFCGWSK-UHFFFAOYSA-N 0.000 description 2
- 150000001412 amines Chemical class 0.000 description 2
- 229910052791 calcium Inorganic materials 0.000 description 2
- 239000011575 calcium Substances 0.000 description 2
- 238000006243 chemical reaction Methods 0.000 description 2
- 238000002425 crystallisation Methods 0.000 description 2
- 230000008025 crystallization Effects 0.000 description 2
- 239000003651 drinking water Substances 0.000 description 2
- 235000020188 drinking water Nutrition 0.000 description 2
- 238000001914 filtration Methods 0.000 description 2
- 238000010438 heat treatment Methods 0.000 description 2
- 229910001385 heavy metal Inorganic materials 0.000 description 2
- XLYOFNOQVPJJNP-UHFFFAOYSA-M hydroxide Chemical compound [OH-] XLYOFNOQVPJJNP-UHFFFAOYSA-M 0.000 description 2
- 229910010272 inorganic material Inorganic materials 0.000 description 2
- 239000011147 inorganic material Substances 0.000 description 2
- 229940098895 maleic acid Drugs 0.000 description 2
- 230000007257 malfunction Effects 0.000 description 2
- 229920002492 poly(sulfone) Polymers 0.000 description 2
- 229920002401 polyacrylamide Polymers 0.000 description 2
- 229920002981 polyvinylidene fluoride Polymers 0.000 description 2
- 239000013535 sea water Substances 0.000 description 2
- 235000017557 sodium bicarbonate Nutrition 0.000 description 2
- 229910000030 sodium bicarbonate Inorganic materials 0.000 description 2
- PUZPDOWCWNUUKD-UHFFFAOYSA-M sodium fluoride Chemical compound [F-].[Na+] PUZPDOWCWNUUKD-UHFFFAOYSA-M 0.000 description 2
- 238000003797 solvolysis reaction Methods 0.000 description 2
- 239000011550 stock solution Substances 0.000 description 2
- 238000003860 storage Methods 0.000 description 2
- KZNICNPSHKQLFF-UHFFFAOYSA-N succinimide Chemical compound O=C1CCC(=O)N1 KZNICNPSHKQLFF-UHFFFAOYSA-N 0.000 description 2
- 239000004408 titanium dioxide Substances 0.000 description 2
- BJEPYKJPYRNKOW-REOHCLBHSA-N (S)-malic acid Chemical compound OC(=O)[C@@H](O)CC(O)=O BJEPYKJPYRNKOW-REOHCLBHSA-N 0.000 description 1
- GPXCJKUXBIGASD-UHFFFAOYSA-N 1-phosphonobutane-1,2,4-tricarboxylic acid Chemical compound OC(=O)CCC(C(O)=O)C(C(O)=O)P(O)(O)=O GPXCJKUXBIGASD-UHFFFAOYSA-N 0.000 description 1
- GLULCKCBVYGUDD-UHFFFAOYSA-N 2-phosphonobutane-1,1,1-tricarboxylic acid Chemical compound CCC(P(O)(O)=O)C(C(O)=O)(C(O)=O)C(O)=O GLULCKCBVYGUDD-UHFFFAOYSA-N 0.000 description 1
- QTBSBXVTEAMEQO-UHFFFAOYSA-M Acetate Chemical compound CC([O-])=O QTBSBXVTEAMEQO-UHFFFAOYSA-M 0.000 description 1
- UXVMQQNJUSDDNG-UHFFFAOYSA-L Calcium chloride Chemical compound [Cl-].[Cl-].[Ca+2] UXVMQQNJUSDDNG-UHFFFAOYSA-L 0.000 description 1
- BVKZGUZCCUSVTD-UHFFFAOYSA-L Carbonate Chemical compound [O-]C([O-])=O BVKZGUZCCUSVTD-UHFFFAOYSA-L 0.000 description 1
- 229920008347 Cellulose acetate propionate Polymers 0.000 description 1
- CKLJMWTZIZZHCS-UHFFFAOYSA-N D-OH-Asp Natural products OC(=O)C(N)CC(O)=O CKLJMWTZIZZHCS-UHFFFAOYSA-N 0.000 description 1
- KCXVZYZYPLLWCC-UHFFFAOYSA-N EDTA Chemical compound OC(=O)CN(CC(O)=O)CCN(CC(O)=O)CC(O)=O KCXVZYZYPLLWCC-UHFFFAOYSA-N 0.000 description 1
- KRHYYFGTRYWZRS-UHFFFAOYSA-M Fluoride anion Chemical compound [F-] KRHYYFGTRYWZRS-UHFFFAOYSA-M 0.000 description 1
- PEDCQBHIVMGVHV-UHFFFAOYSA-N Glycerine Chemical compound OCC(O)CO PEDCQBHIVMGVHV-UHFFFAOYSA-N 0.000 description 1
- 238000004566 IR spectroscopy Methods 0.000 description 1
- CKLJMWTZIZZHCS-UWTATZPHSA-N L-Aspartic acid Natural products OC(=O)[C@H](N)CC(O)=O CKLJMWTZIZZHCS-UWTATZPHSA-N 0.000 description 1
- FYYHWMGAXLPEAU-UHFFFAOYSA-N Magnesium Chemical compound [Mg] FYYHWMGAXLPEAU-UHFFFAOYSA-N 0.000 description 1
- 238000005481 NMR spectroscopy Methods 0.000 description 1
- 229910019142 PO4 Inorganic materials 0.000 description 1
- 239000004642 Polyimide Substances 0.000 description 1
- 229920000388 Polyphosphate Polymers 0.000 description 1
- PMZURENOXWZQFD-UHFFFAOYSA-L Sodium Sulfate Chemical compound [Na+].[Na+].[O-]S([O-])(=O)=O PMZURENOXWZQFD-UHFFFAOYSA-L 0.000 description 1
- 229920002125 Sokalan® Polymers 0.000 description 1
- PJANXHGTPQOBST-VAWYXSNFSA-N Stilbene Natural products C=1C=CC=CC=1/C=C/C1=CC=CC=C1 PJANXHGTPQOBST-VAWYXSNFSA-N 0.000 description 1
- 238000009825 accumulation Methods 0.000 description 1
- 230000009471 action Effects 0.000 description 1
- 239000013543 active substance Substances 0.000 description 1
- 230000002411 adverse Effects 0.000 description 1
- 229910052784 alkaline earth metal Inorganic materials 0.000 description 1
- 150000001336 alkenes Chemical group 0.000 description 1
- BJEPYKJPYRNKOW-UHFFFAOYSA-N alpha-hydroxysuccinic acid Natural products OC(=O)C(O)CC(O)=O BJEPYKJPYRNKOW-UHFFFAOYSA-N 0.000 description 1
- 229910000147 aluminium phosphate Inorganic materials 0.000 description 1
- 150000001414 amino alcohols Chemical class 0.000 description 1
- 238000004458 analytical method Methods 0.000 description 1
- 125000000129 anionic group Chemical group 0.000 description 1
- 239000003945 anionic surfactant Substances 0.000 description 1
- 230000008901 benefit Effects 0.000 description 1
- 239000001110 calcium chloride Substances 0.000 description 1
- 229910001628 calcium chloride Inorganic materials 0.000 description 1
- WUKWITHWXAAZEY-UHFFFAOYSA-L calcium difluoride Chemical compound [F-].[F-].[Ca+2] WUKWITHWXAAZEY-UHFFFAOYSA-L 0.000 description 1
- 229910001634 calcium fluoride Inorganic materials 0.000 description 1
- 239000000920 calcium hydroxide Substances 0.000 description 1
- 235000011116 calcium hydroxide Nutrition 0.000 description 1
- 125000002091 cationic group Chemical group 0.000 description 1
- 239000003093 cationic surfactant Substances 0.000 description 1
- 229920002678 cellulose Polymers 0.000 description 1
- 229920002301 cellulose acetate Polymers 0.000 description 1
- 239000000919 ceramic Substances 0.000 description 1
- VQWFNAGFNGABOH-UHFFFAOYSA-K chromium(iii) hydroxide Chemical class [OH-].[OH-].[OH-].[Cr+3] VQWFNAGFNGABOH-UHFFFAOYSA-K 0.000 description 1
- 230000000536 complexating effect Effects 0.000 description 1
- 239000002131 composite material Substances 0.000 description 1
- 150000001875 compounds Chemical class 0.000 description 1
- 229920001577 copolymer Polymers 0.000 description 1
- 230000003247 decreasing effect Effects 0.000 description 1
- 230000008021 deposition Effects 0.000 description 1
- 238000011026 diafiltration Methods 0.000 description 1
- 238000000502 dialysis Methods 0.000 description 1
- 239000002270 dispersing agent Substances 0.000 description 1
- 239000010840 domestic wastewater Substances 0.000 description 1
- 239000000975 dye Substances 0.000 description 1
- 239000003792 electrolyte Substances 0.000 description 1
- 230000007613 environmental effect Effects 0.000 description 1
- 150000002169 ethanolamines Chemical class 0.000 description 1
- 150000002170 ethers Chemical class 0.000 description 1
- 239000012527 feed solution Substances 0.000 description 1
- 235000011087 fumaric acid Nutrition 0.000 description 1
- 150000002238 fumaric acids Chemical class 0.000 description 1
- 238000004817 gas chromatography Methods 0.000 description 1
- 235000011187 glycerol Nutrition 0.000 description 1
- 239000010440 gypsum Substances 0.000 description 1
- 229910052602 gypsum Inorganic materials 0.000 description 1
- 238000004128 high performance liquid chromatography Methods 0.000 description 1
- 239000011346 highly viscous material Substances 0.000 description 1
- 239000010842 industrial wastewater Substances 0.000 description 1
- 230000004941 influx Effects 0.000 description 1
- 230000002401 inhibitory effect Effects 0.000 description 1
- 229910052816 inorganic phosphate Inorganic materials 0.000 description 1
- 238000009434 installation Methods 0.000 description 1
- 230000002452 interceptive effect Effects 0.000 description 1
- 239000002563 ionic surfactant Substances 0.000 description 1
- 150000002500 ions Chemical class 0.000 description 1
- 229910052742 iron Inorganic materials 0.000 description 1
- 229910052749 magnesium Inorganic materials 0.000 description 1
- 239000011777 magnesium Substances 0.000 description 1
- 230000014759 maintenance of location Effects 0.000 description 1
- 150000002689 maleic acids Chemical class 0.000 description 1
- 235000011090 malic acid Nutrition 0.000 description 1
- 239000001630 malic acid Substances 0.000 description 1
- 238000004949 mass spectrometry Methods 0.000 description 1
- 239000000463 material Substances 0.000 description 1
- 150000004692 metal hydroxides Chemical class 0.000 description 1
- 239000007769 metal material Substances 0.000 description 1
- 239000012452 mother liquor Substances 0.000 description 1
- 239000010841 municipal wastewater Substances 0.000 description 1
- 238000006386 neutralization reaction Methods 0.000 description 1
- MGFYIUFZLHCRTH-UHFFFAOYSA-N nitrilotriacetic acid Chemical compound OC(=O)CN(CC(O)=O)CC(O)=O MGFYIUFZLHCRTH-UHFFFAOYSA-N 0.000 description 1
- 239000002736 nonionic surfactant Substances 0.000 description 1
- 239000003921 oil Substances 0.000 description 1
- 239000011368 organic material Substances 0.000 description 1
- 229920000620 organic polymer Polymers 0.000 description 1
- 239000003960 organic solvent Substances 0.000 description 1
- 239000002245 particle Substances 0.000 description 1
- 230000010412 perfusion Effects 0.000 description 1
- NBIIXXVUZAFLBC-UHFFFAOYSA-K phosphate Chemical compound [O-]P([O-])([O-])=O NBIIXXVUZAFLBC-UHFFFAOYSA-K 0.000 description 1
- 239000010452 phosphate Substances 0.000 description 1
- 235000021317 phosphate Nutrition 0.000 description 1
- 150000003009 phosphonic acids Chemical class 0.000 description 1
- 229920001308 poly(aminoacid) Polymers 0.000 description 1
- 229920001643 poly(ether ketone) Polymers 0.000 description 1
- 229920001467 poly(styrenesulfonates) Polymers 0.000 description 1
- 239000004584 polyacrylic acid Substances 0.000 description 1
- 229920000768 polyamine Polymers 0.000 description 1
- 229920000728 polyester Polymers 0.000 description 1
- 229920000151 polyglycol Polymers 0.000 description 1
- 239000010695 polyglycol Substances 0.000 description 1
- 229920001721 polyimide Polymers 0.000 description 1
- 239000001205 polyphosphate Substances 0.000 description 1
- 235000011176 polyphosphates Nutrition 0.000 description 1
- 239000011970 polystyrene sulfonate Substances 0.000 description 1
- 238000002203 pretreatment Methods 0.000 description 1
- 238000000746 purification Methods 0.000 description 1
- 230000008929 regeneration Effects 0.000 description 1
- 238000011069 regeneration method Methods 0.000 description 1
- 239000013049 sediment Substances 0.000 description 1
- 238000004062 sedimentation Methods 0.000 description 1
- 239000010802 sludge Substances 0.000 description 1
- 229910000029 sodium carbonate Inorganic materials 0.000 description 1
- 239000011775 sodium fluoride Substances 0.000 description 1
- 235000013024 sodium fluoride Nutrition 0.000 description 1
- 229910052938 sodium sulfate Inorganic materials 0.000 description 1
- 235000011152 sodium sulphate Nutrition 0.000 description 1
- 239000007787 solid Substances 0.000 description 1
- 239000002904 solvent Substances 0.000 description 1
- 125000006850 spacer group Chemical group 0.000 description 1
- PJANXHGTPQOBST-UHFFFAOYSA-N stilbene Chemical compound C=1C=CC=CC=1C=CC1=CC=CC=C1 PJANXHGTPQOBST-UHFFFAOYSA-N 0.000 description 1
- 235000021286 stilbenes Nutrition 0.000 description 1
- 229960002317 succinimide Drugs 0.000 description 1
- 125000000020 sulfo group Chemical group O=S(=O)([*])O[H] 0.000 description 1
- 150000003460 sulfonic acids Chemical class 0.000 description 1
- 150000003467 sulfuric acid derivatives Chemical class 0.000 description 1
- 229910021653 sulphate ion Inorganic materials 0.000 description 1
- 238000003786 synthesis reaction Methods 0.000 description 1
- 239000010409 thin film Substances 0.000 description 1
- 230000002110 toxicologic effect Effects 0.000 description 1
- 231100000723 toxicological property Toxicity 0.000 description 1
- 239000002699 waste material Substances 0.000 description 1
- 239000002351 wastewater Substances 0.000 description 1
- 239000003643 water by type Substances 0.000 description 1
Images
Classifications
-
- B—PERFORMING OPERATIONS; TRANSPORTING
- B01—PHYSICAL OR CHEMICAL PROCESSES OR APPARATUS IN GENERAL
- B01D—SEPARATION
- B01D61/00—Processes of separation using semi-permeable membranes, e.g. dialysis, osmosis or ultrafiltration; Apparatus, accessories or auxiliary operations specially adapted therefor
- B01D61/02—Reverse osmosis; Hyperfiltration ; Nanofiltration
- B01D61/04—Feed pretreatment
-
- B—PERFORMING OPERATIONS; TRANSPORTING
- B01—PHYSICAL OR CHEMICAL PROCESSES OR APPARATUS IN GENERAL
- B01D—SEPARATION
- B01D61/00—Processes of separation using semi-permeable membranes, e.g. dialysis, osmosis or ultrafiltration; Apparatus, accessories or auxiliary operations specially adapted therefor
- B01D61/02—Reverse osmosis; Hyperfiltration ; Nanofiltration
- B01D61/025—Reverse osmosis; Hyperfiltration
-
- B—PERFORMING OPERATIONS; TRANSPORTING
- B01—PHYSICAL OR CHEMICAL PROCESSES OR APPARATUS IN GENERAL
- B01D—SEPARATION
- B01D61/00—Processes of separation using semi-permeable membranes, e.g. dialysis, osmosis or ultrafiltration; Apparatus, accessories or auxiliary operations specially adapted therefor
- B01D61/02—Reverse osmosis; Hyperfiltration ; Nanofiltration
- B01D61/027—Nanofiltration
-
- B—PERFORMING OPERATIONS; TRANSPORTING
- B01—PHYSICAL OR CHEMICAL PROCESSES OR APPARATUS IN GENERAL
- B01D—SEPARATION
- B01D61/00—Processes of separation using semi-permeable membranes, e.g. dialysis, osmosis or ultrafiltration; Apparatus, accessories or auxiliary operations specially adapted therefor
- B01D61/14—Ultrafiltration; Microfiltration
- B01D61/145—Ultrafiltration
-
- B—PERFORMING OPERATIONS; TRANSPORTING
- B01—PHYSICAL OR CHEMICAL PROCESSES OR APPARATUS IN GENERAL
- B01D—SEPARATION
- B01D65/00—Accessories or auxiliary operations, in general, for separation processes or apparatus using semi-permeable membranes
- B01D65/08—Prevention of membrane fouling or of concentration polarisation
-
- C—CHEMISTRY; METALLURGY
- C02—TREATMENT OF WATER, WASTE WATER, SEWAGE, OR SLUDGE
- C02F—TREATMENT OF WATER, WASTE WATER, SEWAGE, OR SLUDGE
- C02F5/00—Softening water; Preventing scale; Adding scale preventatives or scale removers to water, e.g. adding sequestering agents
- C02F5/08—Treatment of water with complexing chemicals or other solubilising agents for softening, scale prevention or scale removal, e.g. adding sequestering agents
- C02F5/10—Treatment of water with complexing chemicals or other solubilising agents for softening, scale prevention or scale removal, e.g. adding sequestering agents using organic substances
- C02F5/12—Treatment of water with complexing chemicals or other solubilising agents for softening, scale prevention or scale removal, e.g. adding sequestering agents using organic substances containing nitrogen
-
- B—PERFORMING OPERATIONS; TRANSPORTING
- B01—PHYSICAL OR CHEMICAL PROCESSES OR APPARATUS IN GENERAL
- B01D—SEPARATION
- B01D2311/00—Details relating to membrane separation process operations and control
- B01D2311/04—Specific process operations in the feed stream; Feed pretreatment
-
- B—PERFORMING OPERATIONS; TRANSPORTING
- B01—PHYSICAL OR CHEMICAL PROCESSES OR APPARATUS IN GENERAL
- B01D—SEPARATION
- B01D2321/00—Details relating to membrane cleaning, regeneration, sterilization or to the prevention of fouling
- B01D2321/16—Use of chemical agents
- B01D2321/168—Use of other chemical agents
-
- Y—GENERAL TAGGING OF NEW TECHNOLOGICAL DEVELOPMENTS; GENERAL TAGGING OF CROSS-SECTIONAL TECHNOLOGIES SPANNING OVER SEVERAL SECTIONS OF THE IPC; TECHNICAL SUBJECTS COVERED BY FORMER USPC CROSS-REFERENCE ART COLLECTIONS [XRACs] AND DIGESTS
- Y02—TECHNOLOGIES OR APPLICATIONS FOR MITIGATION OR ADAPTATION AGAINST CLIMATE CHANGE
- Y02A—TECHNOLOGIES FOR ADAPTATION TO CLIMATE CHANGE
- Y02A20/00—Water conservation; Efficient water supply; Efficient water use
- Y02A20/124—Water desalination
- Y02A20/131—Reverse-osmosis
Landscapes
- Chemical & Material Sciences (AREA)
- Engineering & Computer Science (AREA)
- Water Supply & Treatment (AREA)
- Chemical Kinetics & Catalysis (AREA)
- Nanotechnology (AREA)
- Environmental & Geological Engineering (AREA)
- Life Sciences & Earth Sciences (AREA)
- Hydrology & Water Resources (AREA)
- General Chemical & Material Sciences (AREA)
- Organic Chemistry (AREA)
- Separation Using Semi-Permeable Membranes (AREA)
- Organic Low-Molecular-Weight Compounds And Preparation Thereof (AREA)
- Polysaccharides And Polysaccharide Derivatives (AREA)
- Medicines Containing Plant Substances (AREA)
- Compounds Of Unknown Constitution (AREA)
- Laminated Bodies (AREA)
- Paints Or Removers (AREA)
Abstract
Изобретение относится к процессу осуществления мембранных процессов и предназначено для предотвращения и замедления образования отложений на мембранах. В качестве ингибитора образования отложений применяют смеси полиаспарагиновых кислот с эмульгаторами, выбранными из группы, включающей алкилсульфонаты и алкоксилаты. Полиаспарагиновые кислоты применяют в количестве от 1 до 50000 ч/млн, считая на исходный водный раствор. Полиаспарагиновые кислоты имеют среднюю массу от 500 до 50000. Их применяют в виде натриевых солей. В качестве эмульгаторов используют линейные алкилсульфонаты с 12-17 атомами углерода и простые полиэфиры на основе ненасыщенных и/или насыщенных алканолов с 10-20 атомами углерода и 6-60 звеньями этиленоксида. Полиаспарагиновые кислоты и эмульгаторы используют в весовом соотношении до 1:99. В качестве мембран используют нанофильтрующие и ультрафильтрующие мембраны или обратноосмотические мембраны с селективным разделительным слоем из полиамида. Мембранные процессы осуществляют при рН от 4,5 до 11. 11 з.п. ф-лы, 2 ил., 3 табл.
Description
Изобретение касается применения полиаспарагиновых кислот и их смесей с поверхностно-активными веществами и эмульгаторами для предотвращения или замедления образования отложений из-за органических и неорганических компонентов в исходном растворе в мембранных процессах.
При разделении псевдоожиженных систем мембранная техника играет важную роль. В настоящее время к освоенным технологическим процессам относятся получение питьевой воды из морской воды с помощью обратного осмоса, а также регенерация продуктов путем ультра- и нанофильтрации.
В мембранных процессах, как правило, повышается концентрация разбавленных растворов и отделяются органические растворители, вода или солевые растворы. При этом ценные или вредные вещества получают в более концентрированных и, при необходимости, с меньшим содержанием солей растворах, благодаря чему последующее хранение, транспортировка, удаление отходов и дальнейшая переработка становятся более экономичными. В случае переработки сточных вод целью мембранной очистки является получение большей части объема в виде пермеата в незагрязненном или лишь незначительно загрязненном виде, например, для повторного использования. Обогащенный концентрат может быть с незначительными затратами переработан с целью выделения еще оставшихся ценных веществ или в этой концентрированной форме утилизован с наименьшими затратами, например, путем сжигания.
Область применения мембранных способов охватывает различные процессы. Соответственно, различными являются и мембраны, и их технические модели, модули. Обычные мембраны изготавливают, например, из органических материалов, таких как полисульфон, ацетат целлюлозы, полиамид или поливинилиденфторид, или из неорганических материалов, таких как диоксид титана, диоксид циркония или окись алюминия; их изготавливают в виде капиллярных, трубчатых или плоскокамерных мембран.
Технически важные процессы мембранного разделения в подавляющем большинстве случаев осуществляют в виде фильтраций в сквозном токе. Большие напряжения сдвига в пограничном слое, возникающие благодаря высоким скоростям потока и специальным конструкциям модулей, должны сводить к минимуму или предотвращать засорение мембран. Однако, в общем, в технических мембранных процессах при повышении концентрации потоков исходных растворов все-таки констатируют падение проницающей способности вследствие засорения, накопления вещества на мембране.
Образование на мембранах осадка, отложений неорганических солей вследствие превышения предела их растворимости является частным случаем неполадок. В качестве неорганических солей здесь следует в первую очередь назвать обуславливающие жесткость воды карбонаты, гидроксиды, фосфаты, сульфаты и фториды кальция и магния. При переработке сточных вод дополнительную проблему представляют гидроксиды тяжелых металлов, такие, например, как гидроксиды железа и хрома. Образования отложений всегда следует ожидать, когда в процессе, таком, например, как обогащение сточных вод, получение чистой и питьевой воды, получают высокие выходы пермеата. Но это явление, естественно, может также возникать при обессоливании и повышении концентрации растворов продуктов. Рассматриваемыми в данном изобретении мембранными процессами являются ультра- и нанофильтрация, обратный осмос, диализ и перфузия.
Засорение и образование отложений как частный случай неполадок приводят к тому, что проницающая способность мембранной установки в конце концов падает до нерентабельно низкой величины. Поэтому время от времени следует останавливать поток исходного раствора и очищать мембрану. Однако такая операция очистки имеет несколько недостатков: во-первых, очистка означает простой оборудования. Следовательно, непрерывное функционирование можно поддерживать только путем предварительного создания параллельного мембранного оборудования. Далее, в зависимости от вида отложений необходимо использование химических средств для очистки, которые часто содержат биологически плохо расщепляемые поверхностно-активные и комплексообразующие вещества, и их следует удалять специально. Наконец, при очистке удаляются, в общем, не все отложения, отчего мембраны при их повторном использовании редко достигают своей первоначальной проницающей способности.
Если в каком-либо процессе следует ожидать образования отложений, то для его предотвращения можно принять меры по предварительной обработке, например, путем использования ионообменников, которые известны из области смягчения воды. Кроме того, целенаправленное внесение частиц твердого вещества в методе введения затравки и при использовании технологии псевдоожиженного слоя в определенных модульных системах делает возможным физический контроль засорения мембраны (Chem. - Ing. - Tech. 59 (1987) 187). Осаждения гидроксидов часто можно избежать путем установления подходящей величины рН. Далее, нет недостатка в экспериментах по добавлению к обрабатываемому потоку исходного раствора комплексообразователей, таких как нитрилотриуксусная кислота или этилендиаминтетрауксусная кислота. При небесспорных отрицательных экологических и токсикологических свойствах комплексообразователи следует добавлять в эквимолярных количествах. В противоположность комплексообразователям диспергаторы, так называемые пороговые ингибиторы, можно активно применять для предотвращения или замедления засорения и образования отложений в мембранных процессах в количествах ниже стехиометрических.
В работе, описанной в Desalination 54, 263-76 (1985) и цитированной по Chem. Abstracts, 104, 56 102, исследуется ингибирующее действие полифосфатов, фосфонатов, полистиролсульфонатов, полиакриламидов и полиакрилатов относительно образования отложений. В патенте США 5 256 303 описываются результаты изучения ингибирования кристаллизации и осаждения сульфата кальция в потоках исходного раствора, которые направляют через мембранную систему. При этом в качестве ингибиторов образования отложений используют N-замещенные полиакриламиды и фосфонобутан-1, 2,4-трикарбоновую кислоту. В европейском патенте ЕР 0 705 794 описывается метод предотвращения кристаллизации сульфатов в водных системах. При этом используют одну или несколько полиаминокислот и один или несколько неорганических фосфатов, удаление которых, однако, потребует затрат, в противном случае воды водосборных колодцев зацветают. В патенте США 5 286 810 описывается получение высокомолекулярных сополимеров полиаспарагиновой кислоты, которые также можно применять в качестве ингибиторов образования осадка в различных областях техники и санитарии; без конкретных деталей упоминаются также обратноосмотические мембраны. В патенте США 5 525 257 описываются смеси из полиаспарагиновых кислот и их производных с другими поликарбоновыми кислотами и их применение при обработке воды. В качестве поликарбоновых кислот упоминаются полиакрилаты, полималеинаты и полисульфонаты; в патенте также упоминается обратный осмос без конкретных данных. Согласно патенту США 5 466 760 в качестве ингибиторов осаждения солей используют сополимеры полисукцинимида из малеиновой кислоты, аммиака и полиамина. В заявке на европейский патент ЕР-В 530 358 (соответствует патенту США 5 373 086) описывается специальный состав полиаспарагиновой кислоты, который получают путем нагревания порошкообразной L-аспарагиновой кислоты, по меньшей мере, до 188oС и конденсации, дальнейшего нагревания, по крайней мере, до 216oС до, по меньшей мере, 80%-ного образования полисукцинимида и последующего гидролиза полисукцинимида до получения свыше 50% β-формы и молекулярной массы от 1000 до 5000 (средняя масса) для ингибирования осаждения карбоната или фосфата кальция. Эта специальная полиаспарагиновая кислота может быть использована в широкой области техники, начиная от очистки бытовых сточных вод и до нефтедобычи; наряду с этим, без более подробных данных упоминается также обратный осмос.
Подводя итоги, можно сказать, что в соответствии с существующим до настоящего времени уровнем техники в мембранных процессах для ингибирования образования отложений применяли фосфонаты и полиакрилаты. В многочисленных публикациях полиаспарагиновые кислоты приводятся в качестве пригодных ингибиторов образования отложений. Однако до настоящего времени отсутствуют данные, которые подтверждали бы возможность применения полиаспарагиновых кислот в мембранных процессах. При этом специалисту известно, что эффективное ингибирование образования отложений всегда зависит от суммы факторов, следовательно, от всех участвующих компонентов и имеющихся условий. Именно в мембранных процессах имеется много химических и физических мешающих факторов, которые не позволяют ожидать, что изученный с хорошим результатом в другой области применения ингибитор образования отложений будет также высокоэффективным и в мембранных процессах.
Неожиданно было найдено, что при применении полиаспарагиновых кислот и их смесей с поверхностно-активными веществами и эмульгаторами может быть достигнуто в различных мембранных процессах предотвращение или замедление образования отложений из-за труднорастворимых органических и неорганических компонентов. Применение биологически расщепляемых полиаспарагиновых кислот имеет преимущество, так как они могут заменить нерасщепляемые или трудно расщепляемые фосфонаты и полиакрилаты, увеличивают возможность использования мембранных установок и уменьшают количество остановок для очистки.
Поэтому изобретение касается способа осуществления мембранных процессов для очистки водных растворов, содержащих неорганические и органические ингредиенты, с предотвращением или замедлением образования отложений на мембранах путем добавления ингибитора образования отложений, отличающегося тем, что в качестве такого ингибитора применяют полиаспарагиновые кислоты и их смеси с поверхностно-активными веществами, эмульгаторами или несколькими из них, причем полиаспарагиновые кислоты применяют в количестве 1-50 000 ч/млн, считая на исходный водный раствор.
Согласно другому варианту осуществления изобретение касается применения полиаспарагиновых кислот и их смесей с поверхностно-активными веществами и эмульгаторами в присутствии полиакрилатов или фосфонатов, таких как, например, фосфонобутантрикарбоновая кислота, или нескольких из них, так как путем добавки полиаспарагиновых кислот улучшается биологическая расщепляемость таких смесей.
Применяемые согласно изобретению полиаспарагиновые кислоты можно получать различными способами. Так, можно осуществлять получение из малеинового ангидрида, воды и аммиака и/или из образующихся из них производных продуктов, таких как, например, амммониевая соль малеиновой кислоты, малеинамидокислота, аспарагиновая кислота, аспарагин и иминодиянтарная кислота. Можно также получать их аммониевые соли. Смеси, в которых одновременно содержатся все упомянутые ранее компоненты, также могут применяться для получения полиаспарагиновых кислот. Получение из указанных выше компонентов может также происходить термически в присутствии кислотных катализаторов, таких как, например, фосфорная кислота, фосфоновые кислоты, сульфокислоты или серная кислота, которые способствуют образованию пептидных связей.
Образующиеся сначала в результате конденсации полиаспарагиновые кислоты или полисукцинимиды, как правило, подвергают сольволизу или гидролизу, предпочтительно щелочному гидролизу, при необходимости, в присутствии аминов, таких как, например, этаноламины, или спиртов, таких как, например, этиленгликоль или пропантриол. Образованные таким образом полиаспарагиновые кислоты используют для предотвращения или замедления образования отложений предпочтительно в виде их солей. Примеры получения полиаспарагиновых кислот, предназначенных для применения согласно изобретению, содержатся в следующих литературных источниках: согласно J. Org. Chem. 26, 1084 (1961) полиаспарагиновую кислоту получают термической конденсацией аспарагиновой кислоты. Согласно патенту США 4 839 461 малеиновую кислоту и аммиак подвергают взаимодействию при 120-150oС. По патенту США 5 288 783 малеиновую и фумаровую кислоты вводят в реакцию с аммиаком при 170-350oС. Согласно патенту США 5 493 004 полиаспарагиновые кислоты образуются при реакции малеинового ангидрида с аммиаком в трубчатом реакторе. Получаемый в результате этой реакции продукт, при необходимости, можно далее полимеризовать в реакторе для высоковязких веществ. Для всех способов получения общим является то, что образующиеся сначала полисукцинимиды затем подвергают сольволизу или гидролизу, предпочтительно щелочному гидролизу. Но для получения производных можно использовать и амины, аминоспирты и спирты.
Полиаспарагиновые кислоты, предназначенные для применения согласно изобретению, в зависимости от способа получения могут содержать в различных количествах следующие структурные единицы (звенья):
а) звено аспарагиновой кислоты
б) звено сукцинимида
в) звено яблочной кислоты
г) олефиновые звенья
д) звенья иминодиянтарной кислоты
Во всех представленных структурных звеньях R означает ОН, ONa, OLi, OK, ONH4, NH2, ОН3NСН2СН2ОН, ОН2N(СН2СН2ОН)2, ОНМ(СН2СН2ОН)3 или ОСН2СН2ОН. Применяемые согласно изобретению полиаспарагиновые кислоты могут иметь молекулярную массу, считая на среднюю массу Mw, по данным гельпроникающей хроматографии, 500-50000, предпочтительно 1000-20000 и особенно предпочтительно 1500-10000.
а) звено аспарагиновой кислоты
б) звено сукцинимида
в) звено яблочной кислоты
г) олефиновые звенья
д) звенья иминодиянтарной кислоты
Во всех представленных структурных звеньях R означает ОН, ONa, OLi, OK, ONH4, NH2, ОН3NСН2СН2ОН, ОН2N(СН2СН2ОН)2, ОНМ(СН2СН2ОН)3 или ОСН2СН2ОН. Применяемые согласно изобретению полиаспарагиновые кислоты могут иметь молекулярную массу, считая на среднюю массу Mw, по данным гельпроникающей хроматографии, 500-50000, предпочтительно 1000-20000 и особенно предпочтительно 1500-10000.
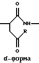
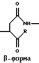
Качественное и количественное определение структурных звеньев осуществляют с помощью ЯМР-спектроскопии, ИК-спектроскопии с преобразованием Фурье, масс-спектроскопии, высокоэффективной жидкостной хроматографии, газовой хроматографии и элементарного анализа. Пептидные связи могут быть в α- и β-форме. В общем, полиаспарагиновые кислоты содержат смесь α/β-форм, причем содержание β-формы больше, чем содержание α-формы.
Согласно изобретению полиаспарагиновые кислоты можно применять в комбинации с поверхностно-активным веществом, особенно с эмульгатором. Пригодными являются анионные, катионные, неионные и амфолитические поверхностно-активные вещества (эмульгаторы). В качестве примеров следует упомянуть анионные алкилсульфонаты и неионные простые полигликолевые эфиры (алкоксилаты). Предпочтительным является применение линейных алкилсульфонатов с 12-17 атомами углерода и ненасыщенных и/или насыщенных алифатических спиртов с 10-20 атомами углерода, которые этерифицированы 6-60 звеньями этиленоксида.
Смеси из полиаспарагиновых кислот и, при необходимости, поверхностно-активных веществ, в особенности эмульгаторов, составляют таким образом, чтобы они выполняли задачу предотвращения и замедления образования отложений. Если преобладает образование отложений из-за неорганических и органических солей щелочноземельных и тяжелых металлов, то, в основном, применяют полиаспарагиновые кислоты. Если преобладает образование отложений из-за наличия неполярных органических веществ, активно используют поверхностно-активные вещества (эмульгаторы). В зависимости от засорения и образования отложений в мембранном процессе можно определить количественные соотношения полиаспарагиновых кислот и поверхностно-активных веществ и/или эмульгаторов. Поэтому весовое соотношение полиаспарагиновых кислот и поверхностно-активных веществ и/или эмульгаторов может составлять от 100:0 до 1:99, предпочтительно от 100:0 до 10:90, особенно предпочтительно от 100:0 до 50:50.
Полиаспарагиновые кислоты можно применять как сами по себе, так и в виде смесей с поверхностно-активными веществами (эмульгаторами) в комбинации с полиакрилатами и фосфонатами. При этом биологическая расщепляемость образующихся в результате смесей биологически активных веществ по сравнению с биологической расщепляемостью полиакрилатов и фосфонатов повышается без уменьшения препятствующего образованию отложений действия.
Полиаспарагиновые кислоты и их смеси с поверхностно-активными веществами (эмульгаторами) применяются в мембранных процессах при значениях рН от 3 до 12,5, предпочтительно от 4,5 до 11, особенно предпочтительно от 6 до 10. Если величина рН в мембранном процессе не определяется введенным потоком исходного раствора, для ее регулирования можно использовать любые кислоты и основания, предпочтительно такие, которые не образуют труднорастворимых солей с другими ингредиентами исходного раствора. Разумеется, кислоты и основания не должны оказывать вредного воздействия на ингредиенты потока исходного раствора, на металлические материалы и мембрану.
Полиаспарагиновые кислоты и их смеси с поверхностно-активными веществами, особенно с эмульгаторами, применяют в мембранных процессах при температуре от 10 до 90oС, предпочтительно от 15 до 70oС, особенно предпочтительно от 20 до 50oС.
Применяемые в мембранных процессах мембраны могут состоять из неорганических материалов, таких, например, как керамика, диоксид титана, диоксид циркония или оксид алюминия, или из органических полимеров, таких, например, как сложные эфиры целлюлозы (ацетат, ацетобутират, ацетопропионат целлюлозы), полиамиды, полиимиды, сложные полиэфиры, сульфон и кетон простого полиэфира, полисульфон или поливинилиденфторид. В предпочтительном варианте применяют способ согласно изобретению на нанофильтрующих и ультрафильтрующих мембранах из названных материалов. В другом предпочтительном варианте применяют способ согласно изобретению на обратноосмотических мембранах с селективным разделительным слоем из полиамида. В особенно предпочтительном варианте селективный разделительный слой для мембран всех упомянутых способов состоит из полиамида. Все мембраны, используемые в способе согласно изобретению, являются асимметричными или типа тонкопленочного композита.
Полиаспарагиновые кислоты и их смеси с поверхностно-активными веществами, в особенности с эмульгаторами, можно применять в мембранных процессах для предотвращения и замедления образования отложений на мембранах, на которые поступают водные и содержащие растворитель водные потоки исходного раствора. В общем, потоки исходного раствора должны быть такими, чтобы биологические вещества сначала находились в растворенном состоянии, и благодаря этому они могут проявлять свою активность. Также для оптимального воздействия соединение/соли, вызывающие образование отложений/засорение, сначала должны быть в растворенном состоянии и только в ходе мембранного процесса превышать предел растворимости. Примерами исходных растворов, которые можно обрабатывать согласно изобретению, являются морская вода, фильтрационная вода из хранилищ, промышленные и коммунальные сточные воды, потоки продуктов, способных образовывать отложения.
Полиаспарагиновые кислоты и их смеси с поверхностно-активными веществами (эмульгаторами) следует добавлять в поток исходного раствора, который должен быть обработан на мембранной установке, в количестве 1-50 000 ч/млн, предпочтительно 5-5000 ч/млн, особенно предпочтительно 10-500 ч/млн, еще более предпочтительно 50-500 ч/млн.
Примеры
Пример 1
Лабораторный 20-пластинчатый модуль оснащают по 1 пластине (=2 плоским мембранам) ультрафильтрующей, нанофильтрующей и обратноосмотической мембран фирмы Desalination Systems, США. Сначала при температуре 25oС и давлении на входе в модуль 20 бар определяют произодительность проницания полностью обессоленной воды. Затем в исходный раствор добавляют полиарилсульфон (мол. масса около 6000) в двух концентрациях. Наблюдают за действием на производительность проницания.
Пример 1
Лабораторный 20-пластинчатый модуль оснащают по 1 пластине (=2 плоским мембранам) ультрафильтрующей, нанофильтрующей и обратноосмотической мембран фирмы Desalination Systems, США. Сначала при температуре 25oС и давлении на входе в модуль 20 бар определяют произодительность проницания полностью обессоленной воды. Затем в исходный раствор добавляют полиарилсульфон (мол. масса около 6000) в двух концентрациях. Наблюдают за действием на производительность проницания.
Результаты приведены в табл.1.
Пример 2
а) Повышают концентрацию 200 л раствора, приготовленного из полностью обессоленной воды и 2.0 г/л дигидрата сульфата кальция, с помощью нанофильтрующей мембраны (удержание сульфата >95%) в виде модуля спиралевидной конструкции (2,5"•40", 47 mil спейсер) сначала на 50% (условия: температура 25oС, давление на выходе из модуля 30 бар, объем натекающего на модуль потока 1,25 м3/ч). Затем в циркуляционном режиме, то есть при возврате концентрата и пермеата в сборник, несколько раз измеряют производительность проницания.
а) Повышают концентрацию 200 л раствора, приготовленного из полностью обессоленной воды и 2.0 г/л дигидрата сульфата кальция, с помощью нанофильтрующей мембраны (удержание сульфата >95%) в виде модуля спиралевидной конструкции (2,5"•40", 47 mil спейсер) сначала на 50% (условия: температура 25oС, давление на выходе из модуля 30 бар, объем натекающего на модуль потока 1,25 м3/ч). Затем в циркуляционном режиме, то есть при возврате концентрата и пермеата в сборник, несколько раз измеряют производительность проницания.
б) Опыт а) повторяют с добавлением 50 ч/млн полиарилсульфона (мол. масса 6000).
в) Опыт а) повторяют с добавлением 50 ч/млн полиарилсульфона (мол. масса 6000) и 1% хлорида натрия. Приблизительно через 3 часа в циркуляционном режиме дополнительно повышают концентрацию таким образом, чтобы концентрация дигидрата сульфата кальция в исходном растворе составляла около 14 г/л.
Результат
Без добавления полиарилсульфона поток пермеата ослабевает из-за выкристаллизовывающегося дигидрата сульфата кальция (растворимость в воде при 25oС составляет 2,9 г/л). С полиарилсульфоном происходит 4,5-кратное пересыщение без потери производительности проницания. Добавленные электролиты не мешают.
Без добавления полиарилсульфона поток пермеата ослабевает из-за выкристаллизовывающегося дигидрата сульфата кальция (растворимость в воде при 25oС составляет 2,9 г/л). С полиарилсульфоном происходит 4,5-кратное пересыщение без потери производительности проницания. Добавленные электролиты не мешают.
Результаты примера 2
Плотности потока пермеата в л/м2•сутки в зависимости от времени в условиях примеров 2а, 2б или 2в и достигаемые концентрации сульфата кальция приведены в табл. 2.
Плотности потока пермеата в л/м2•сутки в зависимости от времени в условиях примеров 2а, 2б или 2в и достигаемые концентрации сульфата кальция приведены в табл. 2.
Фиг.1 представляет графическое изображение таблицы.
Пример 3
При синтезе содержащего сульфогруппы стильбенового осветлителя используют псевдоожиженный фосфатом кальция гидрокарбонат натрия. Раствор продукта с фосфатом и карбонатом кальция, хлоридом натрия и осветлителем в качестве важных ингредиентов освобождают от синтетической соли (хлорид натрия) с помощью нанофильтрующих трубчатых мембран (1,2 м модуль, 1/2") и концентрируют до приблизительно 55% объема (приток на модуль 1 м3/ч, температура 55oС, давление на входе 25 бар). Содержание кальция в конечном концентрате повышается с 70 мг/л до 140 мг/л. Предел растворимости фосфата кальция в 20 мг/л явно превышен. Путем добавления 100 ч/млн полиарилсульфона достигают такой же производительности проницания, как при обработке раствора продукта, не содержащего фосфата кальция, то есть без применения псевдоожиженного гидрокарбоната натрия (плотности потока пермеата: 2300 л/(м2•сутки) при диафильтрации; 1000 л/(м2•сутки) при повышении концентрации). После эксперимента промывкой водой достигается первоначальная производительность проницания.
При синтезе содержащего сульфогруппы стильбенового осветлителя используют псевдоожиженный фосфатом кальция гидрокарбонат натрия. Раствор продукта с фосфатом и карбонатом кальция, хлоридом натрия и осветлителем в качестве важных ингредиентов освобождают от синтетической соли (хлорид натрия) с помощью нанофильтрующих трубчатых мембран (1,2 м модуль, 1/2") и концентрируют до приблизительно 55% объема (приток на модуль 1 м3/ч, температура 55oС, давление на входе 25 бар). Содержание кальция в конечном концентрате повышается с 70 мг/л до 140 мг/л. Предел растворимости фосфата кальция в 20 мг/л явно превышен. Путем добавления 100 ч/млн полиарилсульфона достигают такой же производительности проницания, как при обработке раствора продукта, не содержащего фосфата кальция, то есть без применения псевдоожиженного гидрокарбоната натрия (плотности потока пермеата: 2300 л/(м2•сутки) при диафильтрации; 1000 л/(м2•сутки) при повышении концентрации). После эксперимента промывкой водой достигается первоначальная производительность проницания.
Пример 4
Если к 500 мл раствора, содержащего 1 ммоль карбоната натрия, 1 ммоль сульфата натрия и 1 ммоль фторида натрия, прибавляют 500 мл раствора, содержащего 3 ммоля хлорида кальция, то образуется раствор, который является 4,5-кратно пересыщенным относительно фторида кальция и 7-кратно пересыщенным относительно карбоната кальция и из которого при рН>8 быстро образуется объемный осадок, а при рН 5 с замедлением образуется мелкокристаллический осадок. При добавлении 50 ч/млн полиарилсульфона (мол. масса 6000) образования осадков не происходит.
Если к 500 мл раствора, содержащего 1 ммоль карбоната натрия, 1 ммоль сульфата натрия и 1 ммоль фторида натрия, прибавляют 500 мл раствора, содержащего 3 ммоля хлорида кальция, то образуется раствор, который является 4,5-кратно пересыщенным относительно фторида кальция и 7-кратно пересыщенным относительно карбоната кальция и из которого при рН>8 быстро образуется объемный осадок, а при рН 5 с замедлением образуется мелкокристаллический осадок. При добавлении 50 ч/млн полиарилсульфона (мол. масса 6000) образования осадков не происходит.
Пример 5
Сернокислый маточный раствор производства красителей перед мембранотехнической обработкой нейтрализуют путем добавления известкового молока. После отделения образующегося при нейтрализации шлама повышают концентрацию насыщенного относительно гипса раствора с помощью нанофильтрующих мембран в виде модуля спиралевидной конструкции (2,5"•40", 47 mil, давление на входе в модуль 30 бар, температура 25oС, объем натекающего на модуль потока 1250 л/ч). Сравнивают следующие экспериментальные данные:
а) поток пермеата измеряют во время повышения концентрации на 20% от начального объема и в последующем циркуляционном режиме;
б) к исходному раствору добавляют 50 ч/млн смеси из полиарилсульфона и полиакриловой кислоты (3:1).
Сернокислый маточный раствор производства красителей перед мембранотехнической обработкой нейтрализуют путем добавления известкового молока. После отделения образующегося при нейтрализации шлама повышают концентрацию насыщенного относительно гипса раствора с помощью нанофильтрующих мембран в виде модуля спиралевидной конструкции (2,5"•40", 47 mil, давление на входе в модуль 30 бар, температура 25oС, объем натекающего на модуль потока 1250 л/ч). Сравнивают следующие экспериментальные данные:
а) поток пермеата измеряют во время повышения концентрации на 20% от начального объема и в последующем циркуляционном режиме;
б) к исходному раствору добавляют 50 ч/млн смеси из полиарилсульфона и полиакриловой кислоты (3:1).
Результат
Производительность проницания в опыте 5б во время фаз повышения концентрации и циркуляции значительно выше, чем без добавления.
Производительность проницания в опыте 5б во время фаз повышения концентрации и циркуляции значительно выше, чем без добавления.
Результаты примера 5
Плотности потока пермеата в л/м2•сутки в зависимости от времени в условиях примера 5а или 5б и достигаемые концентрации сульфата кальция приведены в табл.3.
Плотности потока пермеата в л/м2•сутки в зависимости от времени в условиях примера 5а или 5б и достигаемые концентрации сульфата кальция приведены в табл.3.
Фиг.2 представляет графическое изображение таблицы.
Claims (12)
1. Способ осуществления мембранных процессов для обработки водных растворов с неорганическими и органическими ингредиентами с предотвращением или замедлением образования отложений на мембранах путем добавления ингибитора отложений, отличающийся тем, что в качестве ингибитора применяют смеси полиаспарагиновых кислот с эмульгаторами, выбранными из группы, включающей алкилсульфонаты и алкоксилаты, причем полиаспарагиновые кислоты применяют в количестве от 1 до 50000 ч/млн, считая на исходный водный раствор.
2. Способ по п.1, отличающийся тем, что смеси полиаспарагиновых кислот с указанными эмульгаторами, применяют в присутствии полиакрилатов или фосфонатов или их смеси.
3. Способ по п.1, отличающийся тем, что применяют полиаспарагиновые кислоты, которые имеют среднюю массу Mw от 500 до 50000, предпочтительно от 1000 до 20000, особенно предпочтительно от 1500 до 10000, определенную путем гельпроникающей хроматографии.
4. Способ по п.1, отличающийся тем, что применяют полиаспарагиновые кислоты, которые получают из малеинового ангидрида и аммиака в присутствии воды или из их производных продуктов, таких, как, например, аммониевая соль малеиновой кислоты, малеинамидокислота, аспарагиновая кислота и аспарагин, а также из аммониевых солей малеиновой, малеинамидо-, аспарагиновой кислот, аспарагина и иминодиянтарной кислоты или их смесей путем термической конденсации, при необходимости в присутствии кислотных катализаторов, в полисукцинимиды и последующего сольволиза или гидролиза, например, в соли полиаспарагиновой кислоты.
5. Способ по п.4, отличающийся тем, что полиаспарагиновые кислоты применяют в виде натриевых солей.
6. Способ по п. 1, отличающийся тем, что в качестве эмульгаторов используют линейные алкилсульфонаты с 12-17 атомами углерода и простые полиэфиры на основе ненасыщенных и/или насыщенных алканолов с 10-20 атомами углерода и 6-60 звеньями этиленоксида.
7. Способ по п.1, отличающийся тем, что мембранные процессы осуществляют при рН от 3 до 12,5.
8. Способ по п.1, отличающийся тем, что применяют полиаспарагиновые кислоты и эмульгаторы в весовом соотношении до 1:99.
9. Способ по п.1, отличающийся тем, что в качестве мембран используют нанофильтрующие и ультрафильтрующие мембраны.
10. Способ по п.1, отличающийся тем, что используют обратноосмотические мембраны с селективным разделительным слоем из полиамида.
11. Способ по п.1, отличающийся тем, что мембранные процессы осуществляют при рН от 4,5 до 11.
12. Способ по п.1, отличающийся тем, что мембранные процессы осуществляют при рН от 6 до 10.
Applications Claiming Priority (2)
| Application Number | Priority Date | Filing Date | Title |
|---|---|---|---|
| DE19647293A DE19647293C1 (de) | 1996-11-15 | 1996-11-15 | Verhinderung und Verzögerung der Belagsbildung in Membranprozessen |
| DE19647293.8 | 1996-11-15 |
Publications (2)
| Publication Number | Publication Date |
|---|---|
| RU99112581A RU99112581A (ru) | 2001-05-10 |
| RU2199378C2 true RU2199378C2 (ru) | 2003-02-27 |
Family
ID=7811784
Family Applications (1)
| Application Number | Title | Priority Date | Filing Date |
|---|---|---|---|
| RU99112581/12A RU2199378C2 (ru) | 1996-11-15 | 1997-11-03 | Способ предотвращения и замедления образования отложений в мембранных процессах |
Country Status (15)
| Country | Link |
|---|---|
| US (1) | US6187195B1 (ru) |
| EP (1) | EP0946269B1 (ru) |
| JP (1) | JP2001510393A (ru) |
| KR (1) | KR20000053257A (ru) |
| AT (1) | ATE217802T1 (ru) |
| AU (1) | AU730677B2 (ru) |
| BR (1) | BR9713358A (ru) |
| CA (1) | CA2271490A1 (ru) |
| DE (2) | DE19647293C1 (ru) |
| DK (1) | DK0946269T3 (ru) |
| ES (1) | ES2175489T3 (ru) |
| IL (1) | IL129735A0 (ru) |
| NO (1) | NO992131D0 (ru) |
| RU (1) | RU2199378C2 (ru) |
| WO (1) | WO1998022205A1 (ru) |
Cited By (1)
| Publication number | Priority date | Publication date | Assignee | Title |
|---|---|---|---|---|
| RU2669281C2 (ru) * | 2014-03-06 | 2018-10-09 | Соленис Текнолоджиз Кеймэн, Л.П. | Композиция и способ борьбы с отложениями в регулируемых испарительных системах |
Families Citing this family (16)
| Publication number | Priority date | Publication date | Assignee | Title |
|---|---|---|---|---|
| SK283696B6 (sk) * | 1998-01-28 | 2003-12-02 | Aware Chemicals L.L.C. | Spôsob úpravy obehovej vody z lakovacieho zariadenia a prostriedky na použitie v tomto spôsobe |
| AT407227B (de) | 1998-06-26 | 2001-01-25 | Aware Chemicals Llc | Verfahren zum reinigen von lackführenden teilen einer lackieranlage, insbesondere von lackleitungen |
| WO2000004986A1 (en) | 1998-07-21 | 2000-02-03 | Toray Industries, Inc. | Method for inhibiting growth of bacteria or sterilizing around separating membrane |
| DE19937300A1 (de) * | 1999-08-06 | 2001-02-22 | Henkel Ecolab Gmbh & Co Ohg | Biofilmvermeidung |
| DE10054000A1 (de) * | 2000-11-01 | 2002-05-08 | Henkel Aware Technologies Gmbh | Verfahren zum Aufbereiten von Umlaufwasser aus einer Lackieranlage und Mittel hierfür |
| US6503400B2 (en) | 2000-12-15 | 2003-01-07 | Ashland Inc. | Phosphate stabilizing compositions |
| CN101044091B (zh) * | 2004-10-22 | 2011-05-25 | 阿克佐诺贝尔股份有限公司 | 从盐水中结晶二价阴离子的可溶性盐的方法 |
| US8206592B2 (en) * | 2005-12-15 | 2012-06-26 | Siemens Industry, Inc. | Treating acidic water |
| JP4899565B2 (ja) * | 2006-03-23 | 2012-03-21 | 栗田工業株式会社 | 水処理装置及び水処理方法 |
| ES2345173T3 (es) | 2007-12-20 | 2010-09-16 | Lanxess Deutschland Gmbh | Tratamiento de vias de comunicacion. |
| US8980101B2 (en) * | 2008-09-04 | 2015-03-17 | Nalco Company | Method for inhibiting scale formation and deposition in membrane systems via the use of an AA-AMPS copolymer |
| DE102009002144A1 (de) * | 2009-04-02 | 2010-10-07 | Henkel Ag & Co. Kgaa | Umkehrosmoseverfahren zur Aufbereitung von Spülwaser enthaltend polyvalente Metall-Kationen |
| JP2012200696A (ja) * | 2011-03-28 | 2012-10-22 | Panasonic Corp | 脱塩方法および脱塩装置 |
| US20140197103A1 (en) * | 2012-11-20 | 2014-07-17 | Lance Energy Services, LLC | Functionalized Ceramic Membranes for the Separation of Organics from Raw Water and Methods of Filtration Using Functionalized Ceramic Membranes |
| US10286363B2 (en) * | 2012-11-20 | 2019-05-14 | Lance Energy Services, LLC | Functionalized ceramic membranes for the separation of organics from raw water and methods of filtration using functionalized ceramic membranes |
| CN114053885B (zh) * | 2020-07-30 | 2024-06-25 | 万华化学集团股份有限公司 | 一种耐高压聚酰胺膜及其制备方法 |
Citations (2)
| Publication number | Priority date | Publication date | Assignee | Title |
|---|---|---|---|---|
| US4839461A (en) * | 1986-08-07 | 1989-06-13 | Bayer Aktiengesellschaft | Polyaspartic acid from maleic acid and ammonia |
| US5525257A (en) * | 1994-07-12 | 1996-06-11 | Bayer Ag | Composition for water treatment containing polyaspartic acidora derivative thereof and a polcarboxylic acid and methods of using the composition |
Family Cites Families (16)
| Publication number | Priority date | Publication date | Assignee | Title |
|---|---|---|---|---|
| US4534881A (en) | 1983-12-19 | 1985-08-13 | University Of South Alabama | Inhibition of inorganic or biological CaCO3 deposition by poly amino acid derivatives |
| US5373086A (en) * | 1991-03-19 | 1994-12-13 | Donlar Corporation | Polyaspartic acid having more than 50% β form and less that 50% α form |
| US5152902A (en) * | 1991-03-19 | 1992-10-06 | Donlar Corporation | Polyaspartic acid as a calcium carbonate and a calcium phosphate inhibitor |
| US5288783A (en) * | 1992-05-14 | 1994-02-22 | Srchem Incorporated | Preparation of salt of polyaspartic acid by high temperature reaction |
| US5256303A (en) * | 1992-07-20 | 1993-10-26 | Nalco Chemical Company | Method for inhibiting scale formation and/or dispersing iron in reverse osmosis systems |
| US5286810A (en) * | 1992-08-07 | 1994-02-15 | Srchem Incorporated | Salt of polymer from maleic acid, polyamind and ammonia |
| US5466760A (en) * | 1992-08-07 | 1995-11-14 | Srchem, Inc. | Copolymers of polyaspartic acid |
| US5408028A (en) * | 1992-12-22 | 1995-04-18 | Bayer Ag | Copolymers of polyaspartic acid and polycarboxylic acids and polyamines |
| DE4308426A1 (de) * | 1993-03-17 | 1994-09-22 | Basf Ag | Polycokondensate auf Basis von Asparaginsäure, Verfahren zu ihrer Herstellung und ihre Verwendung |
| DE4408478A1 (de) * | 1994-03-14 | 1995-09-21 | Bayer Ag | Mittel zur Wasserbehandlung |
| US5493004A (en) | 1994-04-08 | 1996-02-20 | Bayer Ag | Process for the preparation of polysuccinimide |
| DE4429976A1 (de) * | 1994-08-24 | 1996-02-29 | Bayer Ag | Sulfonsäuregruppen enthaltende Polyasparaginsäurederivate, ihre Verwendung und Herstellung |
| BR9503967A (pt) * | 1994-09-12 | 1996-09-24 | Rohm & Haas | Processo de inibição da formação de incrustação |
| US5547612A (en) * | 1995-02-17 | 1996-08-20 | National Starch And Chemical Investment Holding Corporation | Compositions of water soluble polymers containing allyloxybenzenesulfonic acid monomer and methallyl sulfonic acid monomer and methods for use in aqueous systems |
| US5876623A (en) * | 1996-09-20 | 1999-03-02 | Nalco Chemical Company | Biodegradable aspartic acid polymers for preventing scale formation in boilers |
| US5888401A (en) * | 1996-09-16 | 1999-03-30 | Union Camp Corporation | Method and apparatus for reducing membrane fouling |
-
1996
- 1996-11-15 DE DE19647293A patent/DE19647293C1/de not_active Expired - Fee Related
-
1997
- 1997-11-03 AT AT97948867T patent/ATE217802T1/de not_active IP Right Cessation
- 1997-11-03 KR KR1019990704236A patent/KR20000053257A/ko not_active Withdrawn
- 1997-11-03 WO PCT/EP1997/006065 patent/WO1998022205A1/de not_active Ceased
- 1997-11-03 AU AU72992/98A patent/AU730677B2/en not_active Ceased
- 1997-11-03 CA CA002271490A patent/CA2271490A1/en not_active Abandoned
- 1997-11-03 US US09/297,901 patent/US6187195B1/en not_active Expired - Fee Related
- 1997-11-03 EP EP97948867A patent/EP0946269B1/de not_active Expired - Lifetime
- 1997-11-03 RU RU99112581/12A patent/RU2199378C2/ru not_active IP Right Cessation
- 1997-11-03 JP JP52312398A patent/JP2001510393A/ja not_active Withdrawn
- 1997-11-03 DE DE59707340T patent/DE59707340D1/de not_active Expired - Fee Related
- 1997-11-03 DK DK97948867T patent/DK0946269T3/da active
- 1997-11-03 ES ES97948867T patent/ES2175489T3/es not_active Expired - Lifetime
- 1997-11-03 IL IL12973597A patent/IL129735A0/xx not_active IP Right Cessation
- 1997-11-03 BR BR9713358-2A patent/BR9713358A/pt unknown
-
1999
- 1999-05-03 NO NO992131A patent/NO992131D0/no not_active Application Discontinuation
Patent Citations (2)
| Publication number | Priority date | Publication date | Assignee | Title |
|---|---|---|---|---|
| US4839461A (en) * | 1986-08-07 | 1989-06-13 | Bayer Aktiengesellschaft | Polyaspartic acid from maleic acid and ammonia |
| US5525257A (en) * | 1994-07-12 | 1996-06-11 | Bayer Ag | Composition for water treatment containing polyaspartic acidora derivative thereof and a polcarboxylic acid and methods of using the composition |
Non-Patent Citations (1)
| Title |
|---|
| КАРЕЛИН Ф.Н. Обессоливание воды обратным осмосом. - М.: Стройиздат, 1988, с. 70-85, 118-122. * |
Cited By (1)
| Publication number | Priority date | Publication date | Assignee | Title |
|---|---|---|---|---|
| RU2669281C2 (ru) * | 2014-03-06 | 2018-10-09 | Соленис Текнолоджиз Кеймэн, Л.П. | Композиция и способ борьбы с отложениями в регулируемых испарительных системах |
Also Published As
| Publication number | Publication date |
|---|---|
| KR20000053257A (ko) | 2000-08-25 |
| NO992131L (no) | 1999-05-03 |
| JP2001510393A (ja) | 2001-07-31 |
| ES2175489T3 (es) | 2002-11-16 |
| CA2271490A1 (en) | 1998-05-28 |
| NO992131D0 (no) | 1999-05-03 |
| AU730677B2 (en) | 2001-03-08 |
| DE19647293C1 (de) | 1998-06-10 |
| EP0946269B1 (de) | 2002-05-22 |
| DK0946269T3 (da) | 2002-09-09 |
| DE59707340D1 (de) | 2002-06-27 |
| ATE217802T1 (de) | 2002-06-15 |
| BR9713358A (pt) | 2000-02-01 |
| US6187195B1 (en) | 2001-02-13 |
| WO1998022205A1 (de) | 1998-05-28 |
| IL129735A0 (en) | 2000-02-29 |
| AU7299298A (en) | 1998-06-10 |
| EP0946269A1 (de) | 1999-10-06 |
Similar Documents
| Publication | Publication Date | Title |
|---|---|---|
| RU2199378C2 (ru) | Способ предотвращения и замедления образования отложений в мембранных процессах | |
| US4496470A (en) | Cleaning composition | |
| EP1140705B1 (en) | Method and apparatus for microfiltration | |
| JP3909793B2 (ja) | 高濃度の塩類を含有する有機性廃水の処理方法及びその装置 | |
| US5256303A (en) | Method for inhibiting scale formation and/or dispersing iron in reverse osmosis systems | |
| US4806259A (en) | Membrane cleaning compositions containing phosphorous compounds | |
| US20030127391A1 (en) | Method for treatment of circulating cooling water | |
| US20060273038A1 (en) | Chemical cleaning for membranes | |
| WO1995027683A1 (en) | Microfiltration enhanced reverse osmosis for water treatment | |
| WO1982002379A1 (en) | Cleaning composition | |
| EP2331471A1 (en) | Method for inhibiting scale formation and deposition in membrane systems via the use of an aa - amps copolymer | |
| US4895658A (en) | Membrane cleaning compositions containing acrylic polymer | |
| JP4798644B2 (ja) | 逆浸透膜を用いる脱塩方法 | |
| WO2007038121A2 (en) | Low water recovery rate desalination system and method | |
| US20080087603A1 (en) | Fluid Purification Methods and Devices | |
| JP3800450B2 (ja) | 高濃度の塩類を含有する有機性廃水の処理方法及び装置 | |
| AU2003248687A1 (en) | Methods for reducing boron concentration in high salinity liquid | |
| JP3800449B2 (ja) | 高濃度の塩類を含有する有機性廃水の処理方法及び装置 | |
| US20050056589A1 (en) | Treatment of semi-permeable filtration membranes | |
| CN110981061A (zh) | 一种金属加工废水的处理方法及装置 | |
| JP2003053390A (ja) | 浄水製造システム | |
| JPH10128075A (ja) | 逆浸透膜装置および逆浸透膜を用いた処理方法 | |
| MXPA99004516A (en) | Inhibition and delay of deposit formation in membrane processes | |
| RU2049074C1 (ru) | Способ очистки сточных вод от красителей и поверхностно-активных веществ | |
| Curcio et al. | Membranes for desalination |
Legal Events
| Date | Code | Title | Description |
|---|---|---|---|
| MM4A | The patent is invalid due to non-payment of fees |
Effective date: 20031104 |









