KR20180098439A - 신규한 페닐피페라진 아릴 유레아 화합물 및 이를 포함하는 약학적 조성물 - Google Patents

신규한 페닐피페라진 아릴 유레아 화합물 및 이를 포함하는 약학적 조성물 Download PDF

Info

Publication number
KR20180098439A
KR20180098439A KR1020170024794A KR20170024794A KR20180098439A KR 20180098439 A KR20180098439 A KR 20180098439A KR 1020170024794 A KR1020170024794 A KR 1020170024794A KR 20170024794 A KR20170024794 A KR 20170024794A KR 20180098439 A KR20180098439 A KR 20180098439A
Authority
KR
South Korea
Prior art keywords
compound
carbon atoms
group
hcl
halogen
Prior art date
Legal status (The legal status is an assumption and is not a legal conclusion. Google has not performed a legal analysis and makes no representation as to the accuracy of the status listed.)
Granted
Application number
KR1020170024794A
Other languages
English (en)
Other versions
KR101978979B1 (ko
Inventor
천승훈
김경만
용카이 차오
신찬영
Original Assignee
전남대학교산학협력단
Priority date (The priority date is an assumption and is not a legal conclusion. Google has not performed a legal analysis and makes no representation as to the accuracy of the date listed.)
Filing date
Publication date
Application filed by 전남대학교산학협력단 filed Critical 전남대학교산학협력단
Priority to KR1020170024794A priority Critical patent/KR101978979B1/ko
Priority to US16/488,533 priority patent/US12319659B2/en
Priority to JP2019567773A priority patent/JP7017797B2/ja
Priority to EP18757064.3A priority patent/EP3587398A1/en
Priority to PCT/CN2018/076341 priority patent/WO2018153297A1/zh
Priority to PCT/KR2018/002256 priority patent/WO2018155954A1/ko
Publication of KR20180098439A publication Critical patent/KR20180098439A/ko
Application granted granted Critical
Publication of KR101978979B1 publication Critical patent/KR101978979B1/ko
Active legal-status Critical Current
Anticipated expiration legal-status Critical

Links

Images

Classifications

    • CCHEMISTRY; METALLURGY
    • C07ORGANIC CHEMISTRY
    • C07DHETEROCYCLIC COMPOUNDS
    • C07D241/00Heterocyclic compounds containing 1,4-diazine or hydrogenated 1,4-diazine rings
    • C07D241/02Heterocyclic compounds containing 1,4-diazine or hydrogenated 1,4-diazine rings not condensed with other rings
    • C07D241/04Heterocyclic compounds containing 1,4-diazine or hydrogenated 1,4-diazine rings not condensed with other rings having no double bonds between ring members or between ring members and non-ring members
    • AHUMAN NECESSITIES
    • A61MEDICAL OR VETERINARY SCIENCE; HYGIENE
    • A61KPREPARATIONS FOR MEDICAL, DENTAL OR TOILETRY PURPOSES
    • A61K31/00Medicinal preparations containing organic active ingredients
    • A61K31/13Amines
    • A61K31/155Amidines (), e.g. guanidine (H2N—C(=NH)—NH2), isourea (N=C(OH)—NH2), isothiourea (—N=C(SH)—NH2)
    • AHUMAN NECESSITIES
    • A61MEDICAL OR VETERINARY SCIENCE; HYGIENE
    • A61KPREPARATIONS FOR MEDICAL, DENTAL OR TOILETRY PURPOSES
    • A61K31/00Medicinal preparations containing organic active ingredients
    • A61K31/33Heterocyclic compounds
    • A61K31/395Heterocyclic compounds having nitrogen as a ring hetero atom, e.g. guanethidine or rifamycins
    • A61K31/435Heterocyclic compounds having nitrogen as a ring hetero atom, e.g. guanethidine or rifamycins having six-membered rings with one nitrogen as the only ring hetero atom
    • A61K31/47Quinolines; Isoquinolines
    • A61K31/472Non-condensed isoquinolines, e.g. papaverine
    • A61K31/4725Non-condensed isoquinolines, e.g. papaverine containing further heterocyclic rings
    • AHUMAN NECESSITIES
    • A61MEDICAL OR VETERINARY SCIENCE; HYGIENE
    • A61KPREPARATIONS FOR MEDICAL, DENTAL OR TOILETRY PURPOSES
    • A61K31/00Medicinal preparations containing organic active ingredients
    • A61K31/33Heterocyclic compounds
    • A61K31/395Heterocyclic compounds having nitrogen as a ring hetero atom, e.g. guanethidine or rifamycins
    • A61K31/495Heterocyclic compounds having nitrogen as a ring hetero atom, e.g. guanethidine or rifamycins having six-membered rings with two or more nitrogen atoms as the only ring heteroatoms, e.g. piperazine or tetrazines
    • A61K31/496Non-condensed piperazines containing further heterocyclic rings, e.g. rifampin, thiothixene or sparfloxacin

Landscapes

  • Health & Medical Sciences (AREA)
  • Chemical & Material Sciences (AREA)
  • Organic Chemistry (AREA)
  • Medicinal Chemistry (AREA)
  • Pharmacology & Pharmacy (AREA)
  • Epidemiology (AREA)
  • Life Sciences & Earth Sciences (AREA)
  • Animal Behavior & Ethology (AREA)
  • General Health & Medical Sciences (AREA)
  • Public Health (AREA)
  • Veterinary Medicine (AREA)
  • Pharmaceuticals Containing Other Organic And Inorganic Compounds (AREA)

Abstract

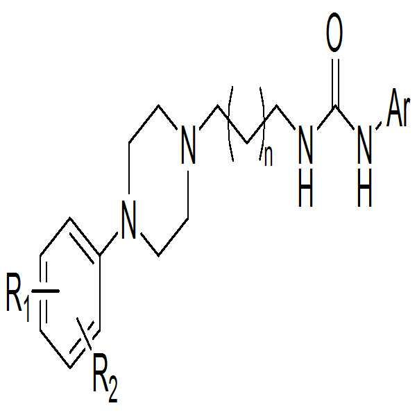
본 발명은 하기 화학식 1의 화합물 또는 이의 약제학적으로 허용 가능한 염에 관한 것이다:
[화학식 1]
Figure pat00012

상기 화학식 1에서, R1 및 R2은 서로 독립적으로 수소, 할로겐, 탄소수 1 내지 4인 알킬기, 할로겐으로 치환된 탄소수 1 내지 4인 알킬기 또는 탄소수 1 내지 4인 알콕시기이고; Ar는 치환 또는 비치환된 탄소수 5 내지 10인 아릴기, 또는 탄소수 5 내지 10인 헤테로아릴기이고; n은 1 또는 2의 정수인 것이다.

Description

신규한 페닐피페라진 아릴 유레아 화합물 및 이를 포함하는 약학적 조성물{Novel phenylpiperazine aryl urea compounds and pharmaceutical composition comprising the same}
본 발명은 신규한 페닐피페라진 아릴 유레아 유도체 화합물에 관한 것이다.
도파민 신경계의 기능 장애는 다양한 신경정신적 질환을 야기하는데, 예를 들면 사회공포증, 뚜렛증상(Tourette's syndrome), 파킨슨 질환, 과대행동장애, 조현증, 양극성 장애, 그리고 약물 또는 알코올의존성 등이다.
파킨슨병(Parkinson's disease)은 뇌의 흑질(substantia nigra)에 분포하는 도파민의 신경세포가 점차 소실되어 발생하며 안정떨림, 경직, 운동완만(운동느림) 및 자세 불안정성이 특징적으로 나타나는 신경계의 만성 진행성 퇴행성 질환이다. 파킨슨병 환자는 60세 이상에서 인구의 약 1% 정도로 추정된다.
조현증(schizophrenia)은 사고 체계와 감정 반응의 전반적인 장애로 인해 통합적인 정상 사고를 하지 못하는 일종의 만성 정신 장애의 하나이다. 국내에서는 2010년까지 정신분열이라고 불렸다. 조현증은 뇌의 변연계에서 도파민의 과다 분비 혹은 도파민 수용체의 증가로 인하여 도파민 활동이 과잉 상태가 되어 증상이 나타나게 되며, 대표적인 증상으로는 망상, 환청, 혼란된 사고 등이 있다.
약물 남용은 불법약물이나 신경안정제 같은 합법약물을 의학적 지도감독 없이 사용하는 행위를 말한다. 약물남용을 의학적으로 정의하면 특정 물질을 규칙적으로 그리고 과다하게 사용함으로써 개인의 건강이 손상되고, 대인관계가 위협을 받으며, 그 과정에서 사회 자체가 마비되는 상태로 간주된다. 약물 남용의 경우 뇌의 중격의지핵에서의 도파민 양이 증가하게 되는데, 중격의지핵에서의 도파민 증가는 자연 보상 시에 비해 약물 남용 시에 훨씬 급격하게 나타나며 그 증가량도 많다.
양극성 장애는 기분장애의 일종으로서, 흔히 '조울증'이라고 많이 부른다. 질병 특성상 기분이 비정상적으로 고양되는 것과 관련된 다양한 증상을 일으키는 조증(Manic Episode)과 우울증(Depressive Episode)이 독립적으로 또는 혼합되어 나타나기도 한다. 양극성 장애는 도파민의 과다 분비에 의해 일어난다.
파킨슨병을 치료하기 위한 요법으로 L-Dopa가 현재 일반적으로 사용되고 있다. 파킨슨병의 진행을 더디게 하고 임상증상의 경감을 보이지만, 장기간 복용 시 불수의적인 운동, 구토 등의 부작용이 따른다. 조현증, 약물 남용, 양극성 장애에 대한 치료는 도파민의 증가로 인해 나타나는 질환이므로 기본적으로 도파민 차단제가 사용되고 있다. 그러나 과도한 도파민의 억제가 기초대사, 체온 조절, 혈관운동 등을 조절하는 망상활성계를 억제하여 항콜린성 작용과 교감신경 차단과 같은 부작용을 야기한다. 따라서, 기존의 약물들을 대체할 수 있는 새로운 약물의 개발이 필요한 실정이다.
한국등록특허 1698067호
본 발명은 신규한 페닐피페라진 아릴 유레아 화합물 및 이를 포함하는 약학적 조성물을 제공하는 것을 목적으로 한다.
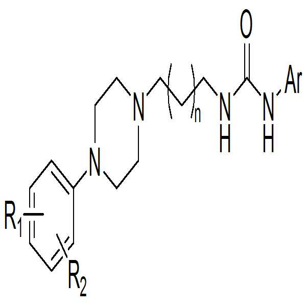
1. 하기 화학식 1의 화합물 또는 이의 약제학적으로 허용 가능한 염:
[화학식 1]
Figure pat00001
상기 화학식 1에서, R1 및 R2은 서로 독립적으로 수소, 할로겐, 탄소수 1 내지 4인 알킬기, 할로겐으로 치환된 탄소수 1 내지 4인 알킬기 또는 탄소수 1 내지 4인 알콕시기이고; Ar는 치환 또는 비치환된 탄소수 5 내지 10인 아릴기, 또는 탄소수 5 내지 10인 헤테로아릴기이고; n은 1 또는 2의 정수인 것이다.
2. 위 1에 있어서, 상기 할로겐은 F 또는 Cl인, 화합물 또는 이의 약제학적으로 허용 가능한 염.
3. 위 1에 있어서, 상기 아릴기 또는 헤테로아릴기는 2개의 방향족 고리를 갖는 것인, 화합물 또는 이의 약제학적으로 허용 가능한 염.
4. 위 3에 있어서, 상기 헤테로아릴기는 1개 이상의 헤테로원자 N 또는 S를 포함하는 것인, 화합물 또는 이의 약제학적으로 허용 가능한 염.
5. 위 1에 있어서, 상기 Ar은 퀴놀리닐 또는 벤조티아졸릴인, 화합물 또는 이의 약제학적으로 허용 가능한 염.
6. 하기 화학식 1의 Ar이 결합된 Ar-NH2 화합물과 카르보닐디이미다졸 또는 포스젠을 반응시키는 단계; 및 상기 반응 생성물과 하기 화학식 2로 표시되는 화합물을 반응시켜 하기 화학식 1으로 표시되는 화합물을 얻는 단계를 포함하는 하기 화학식 1으로 표시되는 화합물 또는 이의 약제학적으로 허용 가능한 염을 제조하는 방법:
[화학식 1]
Figure pat00002
[화학식 2]
Figure pat00003
(상기 화학식 1 및 2에서, R1, R2, Ar 및 n은 각각 청구항 1에서 정의한 바와 같다.).
7. 위 1 내지 5 중 어느 하나의 화합물 또는 이의 약제학적으로 허용가능한 염을 포함하는 파킨슨 질환, 약물남용, 조현증 및 양극성 장애로 이루어진 군으로부터 선택되는 적어도 하나의 예방 또는 치료용 약학적 조성물.
본 발명에 따른 페닐피페라진 아릴 유레아 화합물은 신규한 물질이고, 도파민 D3 수용체에 대한 효능제(agonist)로 작용하여, 파킨슨 질환, 약물 남용, 조현증 또는 양극성 장애 등을 예방 또는 치료할 수 있다.
도 1은 화합물 5e 및 화합물 5e의 염의 로타로드 실험 결과를 나타낸 것이다.
이하, 본 발명의 구체적인 실시형태를 설명하기로 한다. 그러나 이는 예시에 불과하며 본 발명은 이에 제한되지 않는다.
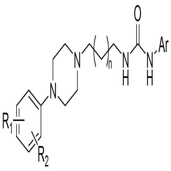
본 발명은 하기 화학식 1의 화합물 또는 이의 약제학적으로 허용 가능한 염을 제공한다:
[화학식 1]
Figure pat00004
상기 화학식 1에서, R1 및 R2은 서로 독립적으로 수소, 할로겐, 탄소수 1 내지 4인 알킬기, 할로겐으로 치환된 탄소수 1 내지 4인 알킬기 또는 탄소수 1 내지 4인 알콕시기이고; Ar는 치환 또는 비치환된 탄소수 5 내지 10인 아릴기, 또는 탄소수 5 내지 10인 헤테로아릴기이고; n은 1 또는 2의 정수인 것이다. 상기 화학식 1로 표시되는 화합물은 페닐피페라진 아릴 유레아 화합무리다.
상기 화학식 1로 표시되는 화합물은 약제학적으로 허용 가능한 염을 형성할 수 있다. 본 명세서에서, "약제학적으로 허용 가능한 염"은 화합물의 무기 및 유기산 부가염과 같이, 본 발명이 속하는 기술분야에서 통상적으로 사용되는 것으로 특별히 제한되는 것은 아니다. 예를 들어, 염산, 황산, 질산, 인산, 아질산, 아인산, 과염소산 또는 브롬산과 같은 무기산의 부가염일 수 있고, 초산, 메탄설폰산, p-톨루엔설폰산, 푸마린산, 말레산, 말론산, 프탈산, 숙신산, 젖산, 구연산, 시트르산, 글루콘산, 타르타르산, 살리실산, 말한, 옥살산, 벤조산, 엠본산, 아스파르트산 또는 글루탐산과 같은 유기산의 부가염일 수 있다.
본 명세서에서 "할로겐"은 다른 언급이 없으면, 불소(F), 염소(Cl), 브롬(Br) 또는 요오드(I)를 의미한다.
본 명세서에서 "알킬기"는 직쇄 또는 분지형의 포화 탄화수소기를 의미한다. 달리 정의되지 않는 경우 탄소수 1 내지 10인 알킬기일 수 있고, 바람직하게는 탄소수 1 내지 4인 알킬기일 수 있다. 알킬기는 예를 들면, 메틸, 에틸, n-프로필, 이소프로필, n-부틸, 이소부틸, sec-부틸, tert-부틸, n-펜틸, 2-펜틸, 2-메틸부틸, 3-메틸부틸, 1,2-디메틸프로필, 1,1-디메틸프로필, 2,2-디메틸프로필, 1-에틸프로필, n-헥실, 2-헥실, 2-메틸펜틸, 3-메틸펜틸, 4-메틸펜틸, 1,2-디메틸부틸, 1,3-디메틸부틸, 2,3-디메틸부틸, 1,1-디메틸부틸, 2,2-디메틸부틸, 3,3-디메틸부틸, 1,1,2-트리메틸프로필, 1,2,2-트리메틸프로필, 1-에틸부틸, 2-에틸부틸, 1-에틸-2-메틸프로필, n-헵틸, 1-메틸헥실, 2-메틸헥실, 1-에틸펜틸, 2-에틸펜틸, 1-프로필부틸, 1-에틸-2-메틸프로필, n-옥틸, n-노닐, n-데실, 이소데실, 2-프로필헵틸 등을 포함한다.
본 명세서에서 "할로겐으로 치환된 탄소수 1 내지 4인 알킬기"는 탄소수 1 내지 4인 알킬기에서 수소 원자 1개 이상이 할로겐으로 치환된 것을 말한다. 예를 들면, 플루오로메틸, 디플루오로메틸, 트리플루오로메틸, 클로로메틸, 디클로로메틸, 트리클로로메틸, 1-플루오로에틸, 2-플루오로에틸, 1,1-디플루오로에틸, 1,2-디플루오로에틸, 2,2-디플루오로에틸, 1,1,2-트리플루오로에틸, 1,2,2-트리플루오로에틸, 2,2,2-트리플루오로에틸, 1,1,2,2-테트라플루오로에틸, 1,2,2,2-테트라플루오로에틸, 1,1,2,2,2-펜타플루오로에틸, 1-클로로에틸, 2-클로로에틸, 1,1-디클로로에틸, 1,2-디클로로에틸, 2,2-디클로로에틸, 1,1,2-트리클로로에틸, 1,2,2-트리클로로에틸, 2,2,2-트리클로로에틸, 1,1,2,2-테트라클로로에틸, 1,2,2,2-테트라클로로에틸, 1,1,2,2,2-펜타클로로에틸, 1-플루오로프로필, 2-플루오로프로필, 3-플루오로프로필, 1,1-디플루오로프로필, 1,2-디플루오로프로필, 1,3-디플루오로프로필, 2,2-디플루오로프로필, 2,3-디플루오로프로필, 3,3-디플루오로프로필, 1,1,2-트리플루오로프로필, 1,2,2-트리플루오로프로필, 1,2,3-트리플루오로프로필, 2,2,3-트리플루오로프로필, 2,3,3-트리플루오로프로필, 3,3,3-트리플루오로프로필, 1,1,2,2-테트라플루오로프로필, 1,1,2,3-테트라플루오로프로필, 1,2,2,3-테트라플루오로프로필, 1,2,3,3-테트라플루오로프로필, 2,2,3,3-테트라플루오로프로필, 2,3,3,3-테트라플루오로프로필, 1-클로로프로필, 2-클로로프로필, 3-클로로프로필, 1,1-디클로로프로필, 1,2-디클로로프로필, 1,3-디클로로프로필, 2,2-디클로로프로필, 2,3-디클로로프로필, 3,3-디클로로프로필, 1,1,2-트리클로로프로필, 1,2,2-트리클로로프로필, 1,2,3-트리클로로프로필, 2,2,3-트리클로로프로필, 2,3,3-트리클로로프로필, 3,3,3-트리클로로프로필, 1,1,2,2-테트라클로로프로필, 1,1,2,3-테트라클로로프로필, 1,2,2,3-테트라클로로프로필, 1,2,3,3-테트라클로로프로필, 2,2,3,3-테트라클로로프로필, 2,3,3,3-테트라클로로프로필 등이 있다. 또한 2개 이상의 할로겐으로 치환될 경우, 서로 다른 할로겐으로 치환될 수 있다.
본 명세서에서 "알콕시기"는 산소 원자를 통해 결합되는 알킬기를 의미한다. 달리 정의되지 않는 경우 탄소수 1 내지 10인 알콕시일 수 있고, 바람직하게는 탄소수 1 내지 4인 알콕시기일 수 있다. 알콕시기는 예를 들어, 메톡시, 에톡시, n-프로폭시, 1-메틸에톡시, 부톡시, 1-메틸프로폭시, 2-메틸프로폭시, 1,1-디메틸에톡시, n-펜톡시, 1-메틸부톡시, 2-메틸부톡시, 3-메틸부톡시, 1,1-디메틸프로폭시, 1,2-디메틸프로폭시, 2,2-디메틸프로폭시, 1 에틸프로폭시, 헥속시, 1-메틸펜톡시, 2-메틸펜톡시, 3-메틸펜톡시, 4-메틸펜톡시, 1,1-디메틸부톡시, 1,2-디메틸부톡시, 1,3-디메틸부톡시, 2,2-디메틸부톡시, 2,3-디메틸부톡시, 3,3-디메틸부톡시, 1-에틸부톡시, 2-에틸부톡시, 1,1,2-트리메틸프로폭시, 1,2,2-트리메틸프로폭시, 1-에틸-1-메틸프로폭시 또는 1-에틸-2-메틸프로폭시 등을 포함한다.
본 명세서에서 "아릴기"는 모노사이클릭 또는 폴리사이클릭 방향족 탄화수소기를 의미한다. 달리 정의되지 않는 경우 탄소수 5 내지 18인 아릴기일 수 있고, 바람직하게는 탄소수 5 내지 10인 아릴기일 수 있다. 아릴기는 예를 들어, 페닐, 나프틸, 안트라세닐, 페난트레닐, 나프타세닐, 크리세닐 또는 피레닐 등을 포함한다.
본 명세서에서 "헤테로아릴기"는 상기 정의된 아릴기의 탄소 원자가 1개 이상의 헤테로 원자로 치환되어 있는 것을 의미한다. 상기 헤테로 원자는 O, N 또는 S일 수 있다. 달리 정의되지 않는 경우 탄소수 5 내지 18인 헤테로아릴기일 수 있고, 바람직하게는 탄소수 5 내지 10인 헤테로아릴기일 수 있다. 헤테로아릴기는 예를 들어, 푸릴, 티에닐, 옥사졸릴, 이속사졸릴, 티아졸릴, 이소티아졸릴, 벤조푸라닐, 벤조티아졸릴, 벤조이미다졸릴, 피리딜, 퀴놀리닐, 아크리디닐, 피리다지닐, 피리미디닐, 피라지닐, 피롤릴, 이미다졸릴, 피라졸릴, 인돌릴, 퓨리닐, 인다졸릴, 벤조트리아졸릴, 1,2,3-트리아졸릴, 1,3,4-트리아졸릴 또는 카르바졸릴 등을 포함한다.
본 발명의 Ar은 치환 또는 비치환된 탄소수 5 내지 10인 아릴기, 또는 탄소수 5 내지 10인 헤테로아릴기이다. 상기 탄소수 5 내지 10인 아릴기는 아릴기로 치환될 수 있다. 바람직하게는 상기 아릴기는 페닐기일 수 있다.
본 발명에 있어서, 상기 R1 및 R2은 서로 독립적으로 수소, 할로겐, 탄소수 1 내지 4인 알킬기, 할로겐으로 치환된 탄소수 1 내지 4인 알킬기 또는 탄소수 1 내지 4인 알콕시기이다. 바람직하게 상기 R1 및 R2은 서로 독립적으로 수소, 할로겐 또는 할로겐으로 치환된 탄소수 1 내지 4인 알킬기일 수 있다. 더 바람직하게 상기 R1은 할로겐 또는 할로겐으로 치환된 탄소수 1 내지 4인 알킬기이고, R2는 수소, 할로겐 또는 할로겐으로 치환된 탄소수 1 내지 4인 알킬기일 수 있다. 상기 R1이 할로겐 또는 할로겐으로 치환된 탄소수 1 내지 4인 알킬기인 경우, D3 수용체 선택성이 우수하다.
본 발명의 일 구현예에 있어서, 상기 R1 및 R2의 할로겐은 서로 독립적으로 F 또는 Cl일 수 있다.
본 발명의 일 구현예에 있어서, 상기 아릴기 또는 헤테로아릴기는 2개의 방향족 고리를 가질 수 있다. 2개의 방향족 고리를 가지는 아릴기 또는 헤테로아릴기는 예를 들면, 나프틸, 벤조푸라닐, 벤조티아졸릴, 벤조이미다졸릴, 퀴놀리닐, 인돌릴, 인다졸릴, 벤조트리아졸릴 등이 있다.
본 발명의 일 구현예에 있어서, 상기 2개의 방향족 고리는 갖는 헤테로아릴기는 1개 이상의 헤테로원자 N 또는 S를 포함할 수 있다. 예를 들면, 벤조티아졸릴, 벤조이미다졸릴, 퀴놀리닐, 인돌릴, 인다졸릴, 벤조트리아졸릴 등이 있다.
본 발명의 일 구현예에 있어서, 상기 Ar은 퀴놀리닐 또는 벤조티아졸릴일 수 있다. 상기 Ar이 퀴놀리닐 또는 벤조티아졸릴일 경우, D3 수용체 선택성이 우수하다.
본 발명에 있어서, 상기 n은 1 또는 2이다. 상기 n이 1 또는 2일 경우, D3 수용체 선택성이 우수하다.
본 발명의 일 구현예에 있어서, 본 발명에 따른 상기 화학식 1로 표시되는 화합물을 좀 더 구체적으로 예시하면 하기와 같다.
1-(4-(4-(2-플루오로페닐)피페라진-1-일)부틸)-3-(퀴놀린-3-일)유레아 (화합물 5a);
1-(4-(4-(2,3-디클로로페닐)피페라진-1-일)부틸)-3-(퀴놀린-3-일)유레아 (화합물 5b);
1-(4-(4-(2,4-디클로로페닐)피페라진-1-일)부틸)-3-(퀴놀린-3-일)유레아 (화합물 5c);
1-(4-(4-(3-트리플루오로페닐)피페라진-1-일)부틸)-3-(퀴놀린-3-일)유레아 (화합물 5d);
1-(4-(4-(4-클로로페닐)피페라진-1-일)부틸)-3-(퀴놀린-3-일)유레아 (화합물 5e);
1-(4-(4-(3-클로로페닐)피페라진-1-일)부틸)-3-(퀴놀린-3-일)유레아 (화합물 5f);
1-(4-(4-(2-클로로페닐)피페라진-1-일)부틸)-3-(퀴놀린-3-일)유레아 (화합물 5g);
1-(4-(4-(2,3-디플루오로페닐)피페라진-1-일)부틸)-3-(퀴놀린-3-일)유레아 (화합물 5h);
1-(4-(4-(2,4-디플루오로페닐)피페라진-1-일)부틸)-3-(퀴놀린-3-일)유레아 (화합물 5i);
1-(4-(4-(2,6-디플루오로페닐)피페라진-1-일)부틸)-3-(퀴놀린-3-일)유레아 (화합물 5j);
1-(4-(4-(4-클로로-2-플루오로페닐)피페라진-1-일)부틸)-3-(퀴놀린-3-일)유레아 (화합물 5k);
1-(4-(4-(2-플루오로-5-(트리플루오로메틸)페닐)피페라진-1-일)부틸)-3-(퀴놀린-3-일)유레아 (화합물 5l);
1-(벤조티아졸-2-일)-3-(4-(4-(2,3-디클로로페닐)피페라진-1-일)부틸)유레아 (화합물 6b);
1-(벤조티아졸-2-일)-3-(4-(4-(2,4-디클로로페닐)피페라진-1-일)부틸)유레아 (화합물 6c);
1-(벤조티아졸-2-일)-3-(4-(4-(3-(트리플루오로메틸)페닐)피페라진-1-일)부틸)유레아 (화합물 6d);
1-(벤조티아졸-2-일)-3-(4-(4-(4-클로로페닐)피페라진-1-일)부틸)유레아 (화합물 6e);
N-(4-(4-(2,3-디클로로페닐)피페라진-1-일)부틸)-1H-인돌-2-카르복사미드 (화합물 17b);
N-(4-(4-(2,4-디클로로페닐)피페라진-1-일)부틸)-1H-인돌-2-카르복사미드 (화합물 17c).
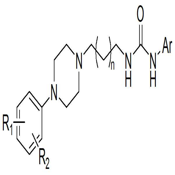
본 발명은 하기 화학식 1의 Ar이 결합된 Ar-NH2 화합물과 카르보닐디이미다졸 또는 포스젠을 반응시키는 단계; 및 상기 반응 생성물과 하기 화학식 2로 표시되는 화합물을 반응시켜 하기 화학식 1으로 표시되는 화합물을 얻는 단계를 포함하는 하기 화학식 1으로 표시되는 화합물 또는 이의 약제학적으로 허용 가능한 염을 제조하는 방법을 제공한다:
[화학식 1]
Figure pat00005
[화학식 2]
Figure pat00006
(상기 화학식 1 및 2에서, R1, R2, Ar 및 n은 각각 청구항 1에서 정의한 바와 같다.).
본 발명의 일 구현예에 있어서, 상기 화학식 1의 Ar이 결합된 Ar-NH2 화합물과 카르보닐디이미다졸 또는 포스젠을 반응시키는 단계는 상기 Ar-NH2 화합물을 용매에 용해하는 단계; 카르보닐디이미다졸 또는 포스젠을 용매에 용해하는 단계; 및 상기 Ar-NH2 용액 및 상기 카르보닐디이미다졸 용액을 반응시키는 단계를 포함할 수 있다.
상기 반응에 사용 가능한 용매는 특별히 제한되지는 않으나, 상기 화합물들을 용해할 수 있는 용매일 수 있다. 구체적으로 상기 용매는 디클로로메탄, 클로로포름, 디메틸설폭사이드(DMSO), 다이에틸렌 글라이콜 모노메틸에테르(diethylene glycol monomethyl ether), N,N-디메틸포름아마이드, 테트라하이드로퓨란, 아세토니트릴, 메탄올, 에탄올, 프로판올, 부탄올 또는 톨루엔 등일 수 있고, 또는 2개 이상의 용매를 혼합하여 사용할 수 있다.
상기 Ar-NH2 용액 및 상기 카르보닐디이미다졸 용액을 반응시키는 단계는 구체적으로 어느 하나의 용액을 다른 하나의 용액에 드롭방식(dropwise)으로 첨가한 후 교반하는 단계를 포함할 수 있다. 상기 혼합물의 반응이 완료된 후에는 상기 혼합물로부터 반응 생성물을 분리하는 단계를 더 포함할 수 있다.
상기 화학식 1의 Ar이 결합된 Ar-NH2 화합물과 카르보닐디이미다졸 또는 포스젠을 반응시키는 단계에서의 반응 온도는 0 내지 100℃일 수 있으며, 바람직하게는 0℃내지 상온일 수 있다.
본 발명의 일 구현예에 있어서, 상기 반응 생성물과 상기 화학식 2로 표시되는 화합물을 반응시켜 상기 화학식 1으로 표시되는 화합물을 얻는 단계는 구체적으로 상기 반응 생성물, 용매, 상기 화학식 2로 표시되는 화합물 및 N,N-디이소프로필에틸아민(N,N-Diisopropylethylamine, DIEA) 또는 2,2,6,6-테트라메틸피페리딘(2,2,6,6-tetramethylpiperidine)을 반응시키는 것일 수 있다.
상기 반응 생성물과 하기 화학식 2로 표시되는 화합물을 반응시키는 것은 구체적으로 환류하여 반응시키는 것일 수 있다. 상기 반응시키는 단계에서의 반응 온도는 0 내지 100℃일 수 있으며, 바람직하게는 0℃내지 상온일 수 있다. 상기 혼합물의 반응이 완료된 후에는 혼합물로부터 상기 화학식 1로 표시되는 화합물 또는 이의 약제학적으로 허용 가능한 염을 분리하는 단계를 포함할 수 있다.
본 발명의 일 구현예에 있어서, 본 발명의 화학식 1의 일부 화합물(화합물 5a 내지 5l(5a~5l), 6a~6l, 7a~7l, 8a~8l, 9a~9l, 10a~10l, 11a~11l 및 12a~12l)은 하기 반응식 1과 같이 제조될 수 있다.
[반응식 1]
Figure pat00007
상기 반응식 1과 같이, 상기 화합물 1a 내지 1l 각각을 화합물 2와 반응시켜 각각 화합물 3a 내지 3l을 제조할 수 있다. 상기 반응에서의 염기(K2CO3), 촉매(NaI) 및 용매(아세토니트릴)의 종류를 특별히 한정하는 것은 아니다.
이후, 상기 화합물 3a 내지 3l 각각에 환원제(하이드라진, hydrazine)를 첨가하여 각각 화합물 4a 내지 4l을 제조할 수 있다. 상기 반응에서의 환원제(하이드라진) 및 용매(에탄올)의 종류를 특별히 한정하는 것은 아니다.
이후, 상기 화학식 1의 Ar이 결합된 Ar-NH2 화합물과 카르보닐디이미다졸 또는 포스젠을 반응시킨 후, 상기 반응 생성물과 상기 화합물 4a 내지 4l 각각을 반응시켜 각각 화합물 5a 내지 5l(5a~5l), 6a~6l, 7a~7l, 8a~8l, 9a~9l, 10a~10l, 11a~11l 및 12a~12l를 제조할 수 있다.
상기 화학식 1의 Ar이 결합된 Ar-NH2 화합물과 카르보닐디이미다졸 또는 포스젠을 반응시키는 것은 구체적으로 상기 Ar-NH2 화합물을 용매에 용해하는 단계; 카르보닐디이미다졸 또는 포스젠을 용매에 용해하는 단계; 및 상기 Ar-NH2 용액 및 상기 카르보닐디이미다졸 용액을 반응시키는 단계를 포함할 수 있다. 상기 반응에 사용 가능한 용매는 특별히 제한되지는 않으나, 상기 화합물들을 용해할 수 있는 용매일 수 있다. 상기 Ar-NH2 용액 및 상기 카르보닐디이미다졸 용액을 반응시키는 단계는 구체적으로 어느 하나의 용액을 다른 하나의 용액에 드롭방식(dropwise)으로 첨가한 후 교반하는 단계를 포함할 수 있다. 상기 혼합물의 반응이 완료된 후에는 상기 혼합물로부터 반응 생성물을 분리하는 단계를 더 포함할 수 있다.
상기 반응 생성물과 상기 화합물 4a 내지 4l 각각을 반응시키는 것은 구체적으로 상기 반응 생성물, 용매, 상기 화합물 4a 내지 4l 중 어느 하나 및 N,N-디이소프로필에틸아민(N,N-Diisopropylethylamine, DIEA) 또는 2,2,6,6-테트라메틸피페리딘(2,2,6,6-tetramethylpiperidine)을 반응시키는 것일 수 있다. 상기 반응 생성물과 상기 화합물 4a 내지 4l 각각을 반응시키는 것은 구체적으로 환류하여 반응시키는 것일 수 있다. 상기 혼합물의 반응이 완료된 후에는 혼합물로부터 각각 화합물 5a 내지 5l(5a~5l), 6a~6l, 7a~7l, 8a~8l, 9a~9l, 10a~10l, 11a~11l 또는 12a~12l 을 분리하는 단계를 포함할 수 있다.
상기 반응식 1의 각 반응 단계에서는 트리메틸아민(TMA), 트리에틸아민(TEA), 디이소프로필에틸아민, 피리딘 등의 유기염기; 또는 탄산나트륨(Na2CO3 )), 탄산칼륨(K2CO3) 수소화나트륨(NaH) 등의 무기염기를 반응액에 첨가하거나 또는 비첨가하여 수행될 수 있다. 반응에 사용되는 용매는 디클로로메탄, 클로로포름, 디메틸설폭사이드(DMSO), 다이에틸렌 글라이콜 모노메틸에테르(DGME), N,N-디메틸포름아마이드, 테트라하이드로퓨란, 아세토니트릴, 메탄올, 에탄올, 프로판올, 부탄올 또는 톨루엔 등일 수 있다. 상기 반응은 환류하는 과정을 포함할 수 있다. 반응 온도는 0 내지 150℃일 수 있으며, 바람직하게는 0℃ 내지 상온일 수 있다. 상기 반응은 NaI, KI 등의 촉매가 첨가되거나 또는 비첨가되어 수행될 수 있다.
본 발명은 본 발명의 화합물 또는 이의 약제학적으로 허용가능한 염을 포함하는 파킨슨 질환, 약물남용, 조현증 및 양극성 장애로 이루어진 군으로부터 선택되는 적어도 하나의 예방 또는 치료용 약학적 조성물을 제공한다.
본 발명의 화합물은 도파민 D3 수용체에 대한 높은 선택성을 보이고, D3 수용체 효능제(agonist)로 작용하여 파킨슨 질환, 약물 남용, 조현증 또는 양극성 장애 등을 예방 또는 치료할 수 있다.
도파민 수용체는 5가지의 아형이 존재하는데 모두 G단백질 연결 수용체(G protein coupled receptor)에 속하며, D2 유사군(D2, D3 및 D4 수용체)과 D1 유사군(D1 및 D5 수용체)로 세분된다. 이 중 D1 유사군 수용체들은 아데닐레이트 사이클라아제를 자극하고, D2 유사군 수용체들은 이를 억제한다. 이들 수용체들은 조직에 따라 다르게 분포한다. 운동 기능을 조절하는 뇌 부위(basal ganglia)에 고밀도로 발현되는 D2 수용체와 달리 D3 수용체는 인간의 감정이나 정서의 조절에 중요한 역할을 수행하는 변연계 등에 주로 발현되어 있다. 파킨슨 질환, 약물 남용, 조현증 또는 양극성 장애에 대한 치료제로 D2 수용체와 D3 수용체에 대한 선택성이 낮은 약물을 사용 시, 원하는 치료효과와 동시에 운동기능에 대한 부작용이 관찰되는데, 전자는 D3 수용체의 차단에 의해서 발현되고 후자는 D2 수용체의 차단에 의해서 야기된다. 따라서, D3 수용체에 선택적으로 작용하는 약물은 기존 치료제의 부작용을 개선할 것으로 사료된다.
파킨슨병(Parkinson's disease)은 뇌의 흑질(substantia nigra)에 분포하는 도파민의 신경세포가 점차 소실되어 발생하며 안정떨림, 경직, 운동완만(운동느림) 및 자세 불안정성이 특징적으로 나타나는 신경계의 만성 진행성 퇴행성 질환이다.
조현증(schizophrenia)은 뇌의 변연계에서 도파민의 과다 분비 혹은 도파민 수용체의 증가로 인하여 도파민 활동이 과잉 상태가 되어 증상이 나타나게 되며, 대표적인 증상으로는 망상, 환청, 혼란된 사고 등이 있다. 도파민 수용체 중에서 D2 수용체와 D3 수용체는 현재 사용되는 조현증 치료제의 주요 타겟이다.
약물 남용의 경우 뇌의 중격의지핵에서의 도파민 양이 증가하게 되는데, 중격의지핵에서의 도파민 증가는 자연 보상 시에 비해 약물 남용 시에 훨씬 급격하게 나타나며 그 증가량도 많다.
양극성 장애는 기분장애의 일종으로서 흔히 '조울증'이라고 많이 부르며, 도파민의 과다 분비는 양극성 장애의 하나의 원인이 될 수 있다.
도파민 신경계의 기능 장애는 다양한 신경정신적 질환을 야기한다. 최근 도파민 D3 수용체 효능제(agonist)는 파킨슨 질환, 약물 남용, 조현증 및 양극성 장애에 대한 치료 효과를 가진다고 보고된 바 있다.
하기 약어들은 달리 명시되지 않는 경우 후술되는 의미를 가지며, 본 명세서에서 사용되고 정의되지 않은 임의의 다른 약어들은 그의 표준적 의미를 갖는다:
6-OHDA: 6-하이드록시도파민(6-hydroxhdopamine)
CDI: 카보닐디이미다졸(carbonyldiimidazole)
D2R: 도파민 2 수용체(dopamine 2 receptor)
D3R: 도파민 3 수용체(dopamine 3 receptor)
DCM: 디클로로메탄(dichloromethane)
DGME: 다이에틸렌 글라이콜 모노메틸에테르(diethylene glycol monomethyl ether)
DIEA: N,N-디이소프로필에틸아민(N,N-Diisopropylethylamine)
DMSO: 디메틸설폭사이드(dimethyl sulfoxide)
EtOAc: 에틸아세테이트(ethyl acetate)
EtOH: 에탄올(Ethanol)
MeCN: 아세토니트릴(CH3CN, acetonitrile)
RT: 상온(Room temperature)
TEA: 트리에틸아민(triethylamine)
TMA: 트리메틸아민(trimethylamine)
THF: 테트라하이드로퓨란(tetrahydrofuran)
TLC: 박층 크로마토그래피(Thin layer chromatography)
이하, 본 발명의 이해를 돕기 위하여 바람직한 실시예를 제시하나, 이들 실시예는 본 발명을 예시하는 것일 뿐 첨부된 특허청구범위를 제한하는 것이 아니며, 본 발명의 범주 및 기술사상 범위 내에서 실시예에 대한 다양한 변경 및 수정이 가능함은 당업자에게 있어서 명백한 것이며, 이러한 변형 및 수정이 첨부된 특허청구범위에 속하는 것도 당연한 것이다.
실시예
실시예 1. 1-(4-(4-(2- 플로로페닐 )피페라진-1-일)부틸)-3-(퀴놀린-3-일) 유레아 (화합물 5a)의 합성
1.5 mL의 디클로로메탄(CH2Cl2)에 3-아미노퀴놀린 화합물을 용해하여 3-아미노퀴놀린 용액을 제조하고, 1.5 mL의 디클로로메탄에 CDI를 용해하여 CDI 용액을 제조하였다. CDI 용액에 3-아미노퀴놀린 용액을 한 방울씩(dropwise) 첨가하였다. 첨가한 후, 혼합물을 상온에서 하룻밤 동안 교반하였다. 그 다음 진공 상태에서 용매를 제거한 후, 3 mL의 아세토니트릴(acetonitrile), 화합물 4a(n=2) 및 DIEA(N,N-Diisopropylethylamine)를 차례대로 첨가하였다. 첨가 후, 반응 용액을 24시간 동안 환류시켰다. 시작 물질(starting material)이 소비되자마자, 반응 용액을 감압 상태에서 농축시켰다. 그 다음, 남은 물질을 에틸아세테이트(EtOAC, ethyl acetate)와 1 M 시트르산 수용액 사이에서 분획하였고, 에틸아세테이트(350 mL)로 추출하였다. 혼합된 유기층을 브라인(brine)으로 세척하고, MgSO4 상에서 건조하고 진공에서 농축하였다. 반응 생성물(crude product)을 기울기 용리(gradient elution, CH2Cl2/EtOAc 1:2 → CH2Cl2/MeOH 30:1)를 이용한 플래쉬 컬럼 크로마토그래피(flash column chromatography)로 정제하여, 무색 고체의 목표 화합물인 화합물 5a를 얻었다.
1HNMR(300 MHz, CD3OD): δ 8.66 (d, J = 2.4 Hz, 1H), 8.47 (d, J = 2.4 Hz, 1H), 7.91 (d, J = 8.3 Hz, 1H), 7.75 (dd, J = 8.2, 1.3 Hz, 1H), 7.52 (dddd, J = 16.2, 14.7, 6.9, 1.4 Hz, 2H), 7.12-6.85 (m, 4H), 3.37-3.23 (m, 3H), 3.20-3.03 (m, 4H), 2.84-2.64 (m, 4H), 2.61-2.42 (m, 2H), 1.62 (dd,J = 10.0, 5.7 Hz, 4H).
실시예 2. 1-(4-(4-(2,3- 디클로로페닐 )피페라진-1-일)부틸)-3-(퀴놀린-3-일)유레아 (화합물 5b)의 합성
화합물 4a 대신 화합물 4b(n=2)를 사용한 것을 제외하고 실시예 1와 동일한 방법으로 화합물 5b를 합성하였다.
1HNMR(300 MHz, CDCl3): δ 8.68 (d, J = 2.5 Hz, 1H), 8.54 (d, J = 2.2 Hz, 1H), 7.98 (d, J = 8.1 Hz, 1H), 7.83 (s, 1H), 7.74 (d, J = 8.0 Hz, 1H), 7.62-7.40 (m, 2H), 7.22-7.05 (m, 2H), 6.91 (dd, J = 7.6, 2.0 Hz, 1H), 4.88 (s, 1H), 3.33 (t, J = 6.4 Hz, 2H), 3.10 (s, 4H), 2.75 (s, 4H), 2.60-2.46 (m, 2H), 1.62 (d,J = 7.3 Hz, 4H).
실시예 3. 1-(4-(4-(2,4- 디클로로페닐 )피페라진-1-일)부틸)-3-(퀴놀린-3-일)유레아 (화합물 5c)의 합성
화합물 4a 대신 화합물 4c(n=2)를 사용한 것을 제외하고 실시예 1와 동일한 방법으로 화합물 5c를 합성하였다.
1HNMR(300 MHz, CDCl3): δ 8.64 (d, J = 2.6 Hz, 1H), 8.47 (d, J = 2.3 Hz, 1H), 8.33 (s, 1H), 7.93 (d, J = 8.3 Hz, 1H), 7.67 (dd, J = 8.1, 1.2 Hz, 1H), 7.58-7.39 (m, 2H), 7.33 (d, J = 2.4 Hz, 1H), 7.14 (dd, J = 8.6, 2.4 Hz, 1H), 6.86 (d, J = 8.7 Hz, 1H), 3.29 (s, 2H), 2.97 (s, 4H), 2.55 (s, 4H), 2.36 (s, 2H), 1.53 (s, 4H).
실시예 4. 1-(4-(4-(4- 클로로페닐 )피페라진-1-일)부틸)-3-(퀴놀린-3-일) 유레아 (화합물 5e)의 합성
화합물 4a 대신 화합물 4e(n=2)를 사용한 것을 제외하고 실시예 1와 동일한 방법으로 화합물 5e를 합성하였다.
1HNMR(300 MHz, DMSO-d 6): δ 8.90 (s, 1H), 8.76 (d, J = 2.6 Hz, 1H), 8.44 (d, J = 2.5 Hz, 1H), 7.95-7.74 (m, 2H), 7.61-7.41 (m, 2H), 7.28-7.10 (m, 2H), 6.92 (d, J = 9.1 Hz, 2H), 6.42 (t, J = 5.6 Hz, 1H), 3.23-3.03 (m, 6H), 2.50 (dt, J = 3.6, 1.8 Hz, 4H), 2.35 (t, J = 5.9 Hz, 2H), 1.50 (s, 4H).
1HNMR(300 MHz, CDCl3): δ 8.65 (d, J = 2.6 Hz, 1H), 8.50 (d, J = 2.2 Hz, 1H), 7.97 (d, J = 8.3 Hz, 1H), 7.80-7.67 (m, 2H), 7.52 (dddd, J = 22.3, 8.1, 6.9, 1.4 Hz, 2H), 7.23-7.13 (m, 2H), 6.85-6.72 (m, 2H), 4.88 (s, 1H), 3.32 (d, J = 6.1 Hz, 2H), 3.22-3.02 (m, 4H), 2.67-2.49 (m, 4H), 2.40 (d, J = 6.8 Hz, 2H), 1.58 (d, J = 3.3, 187).
실시예 5. 1-(4-(4-(3- 클로로페닐 )피페라진-1-일)부틸)-3-(퀴놀린-3-일) 유레아 (화합물 5f)의 합성
화합물 4a 대신 화합물 4f(n=2)를 사용한 것을 제외하고 실시예 1와 동일한 방법으로 화합물 5f를 합성하였다.
1HNMR(300 MHz, CDCl3): δ 8.65 (d, J = 2.5 Hz, 1H), 8.50 (d, J = 1.6 Hz, 2H), 7.94 (d, J = 8.3 Hz, 1H), 7.74-7.63 (m, 1H), 7.58-7.39 (m, 2H), 7.14 (t, J = 8.3 Hz, 1H), 6.81 (dd, J = 5.0, 2.8 Hz, 2H), 6.71 (dd, J = 9.2, 1.5 Hz, 1H), 3.29 (d, J = 6.2 Hz, 2H), 3.21-3.03 (m, 4H), 2.63-2.46 (m, 4H), 2.36 (t, J = 7.0 Hz, 2H), 1.52 (s, 4H).
실시예 6. 1-(4-(4-(2- 클로로페닐 )피페라진-1-일)부틸)-3-(퀴놀린-3-일) 유레아 (화합물 5g)의 합성
화합물 4a 대신 화합물 4g(n=2)를 사용한 것을 제외하고 실시예 1와 동일한 방법으로 화합물 5g를 합성하였다.
1HNMR(600 MHz, CDCl3): δ 8.66 (d, J = 2.5 Hz, 1H), 8.53 (d, J = 2.4 Hz, 1H), 8.34 (s, 1H), 7.95 (d, J = 8.4 Hz, 1H), 7.70 (dd, J = 8.2, 1.0 Hz, 1H), 7.53 (ddd, J = 8.4, 6.9, 1.4 Hz, 1H), 7.50-7.41 (m, 1H), 7.34 (dd, J = 7.8, 1.2 Hz, 1H), 7.23-7.15 (m, 1H), 6.96 (dd, J = 12.0, 4.5 Hz, 2H), 3.30 (t, J = 6.6 Hz, 2H), 3.07 (s, 4H), 2.67 (s, 3H), 2.50-2.38 (m, 2H), 1.66-1.57 (m, 2H), 1.55 (dd, J = 13.4, 6.7 Hz, 2H).
실시예 7. 1-(4-(4-(2,3- 디플로로페닐 )피페라진-1-일)부틸)-3-(퀴놀린-3-일)유레아 (화합물 5h)의 합성
화합물 4a 대신 화합물 4h(n=2)를 사용한 것을 제외하고 실시예 1와 동일한 방법으로 화합물 5h를 합성하였다.
1HNMR(500 MHz, CDCl3:CD3OD8:1) δ 8.57 (d, J = 2.4 Hz, 1H), 8.50 (d, J = 2.5 Hz, 1H), 7.89 (d, J = 8.3 Hz, 1H), 7.76-7.69 (m, 1H), 7.55-7.47 (m, 1H), 7.47-7.40 (m, 1H), 6.99-6.86 (m, 1H), 6.79-6.68 (m, 1H), 6.64 (t, J = 7.8 Hz, 1H), 3.26 (d, J = 6.5 Hz, 2H), 3.16-3.02 (m, 4H), 2.65 (d, J = 4.3 Hz, 4H), 2.49-2.34 (m, 2H), 1.63-1.46 (m, 4H).
실시예 8. 1-(4-(4-(2,4- 디플로로페닐 )피페라진-1-일)부틸)-3-(퀴놀린-3-일)유레아 (화합물 5i)의 합성
화합물 4a 대신 화합물 4i(n=2)를 사용한 것을 제외하고 실시예 1와 동일한 방법으로 화합물 5i를 합성하였다.
1HNMR(300 MHz, CDCl3:CD3OD1:1) δ 8.68 (d, J = 2.5 Hz, 1H), 8.52 (d, J = 2.4 Hz, 1H), 7.95 (d, J = 8.3 Hz, 1H), 7.83-7.74 (m, 1H), 7.67-7.47 (m, 2H), 7.06-6.91 (m, 1H), 6.84 (ddd, J = 12.5, 7.0, 2.8 Hz, 2H), 3.38-3.27 (m, 2H), 3.20-3.01 (m, 4H), 2.71 (s, 4H), 2.51 (t, J = 7.2 Hz, 2H), 1.75-1.51 (m, 4H).
실시예 9. 1-(4-(4-(2,6- 디플로로페닐 )피페라진-1-일)부틸)-3-(퀴놀린-3-일)유레아 (화합물 5j)의 합성
화합물 4a 대신 화합물 4j(n=2)를 사용한 것을 제외하고 실시예 1와 동일한 방법으로 화합물 5j를 합성하였다.
1HNMR(300 MHz, CDCl3) δ 8.66 (d, J = 2.5 Hz, 1H), 8.51 (d, J = 2.2 Hz, 1H), 8.46 (s, 1H), 7.94 (d, J = 8.3 Hz, 1H), 7.68 (dd, J = 8.1, 1.3 Hz, 1H), 7.58-7.38 (m, 2H), 6.90-6.67 (m, 3H), 3.29 (t, J = 6.2 Hz, 2H), 3.10-2.92 (m, 4H), 2.62 (s, 4H), 2.40 (t, J = 6.9 Hz, 2H), 1.55 (d, J = 3.8 Hz, 4H).
실시예 10. 1-(4-(4-(4- 클로로 -2- 플로로페닐 )피페라진-1-일)부틸)-3-(퀴놀린-3-일)유레아 (화합물 5k)의 합성
화합물 4a 대신 화합물 4k(n=2)를 사용한 것을 제외하고 실시예 1와 동일한 방법으로 화합물 5k를 합성하였다.
1HNMR(300 MHz, CDCl3:CD3OD) δ 8.64 (d, J = 2.1 Hz, 1H), 8.47 (d, J = 2.4 Hz, 1H), 7.90 (d, J = 8.3 Hz, 1H), 7.79-7.70 (m, 1H), 7.60-7.44 (m, 3H), 7.02 (dt, J = 4.4, 2.1 Hz, 2H), 6.89 (t, J = 8.8 Hz, 1H), 3.38-3.22 (m, 4H), 3.16-3.02 (m, 4H), 2.71 (s, 4H), 2.51 (t, J = 7.2 Hz, 2H), 2.08-1.94 (m, 187), 1.68-1.53 (m, 187).
실시예 11. 1-(4-(4-(3- 트리플로로메틸 )페닐)피페라진-1-일)부틸)-3-(퀴놀린-3-일)유레아 (화합물 5d)의 합성
화합물 4a 대신 화합물 4d(n=2)를 사용한 것을 제외하고 실시예 1와 동일한 방법으로 화합물 5d를 합성하였다.
1HNMR(300 MHz, CDCl3) δ 8.66 (d, J = 2.4 Hz, 1H), 8.49 (d, J = 2.3 Hz, 1H), 8.09 (s, 1H), 7.95 (d, J = 8.2 Hz, 1H), 7.70 (d, J = 8.0 Hz, 1H), 7.60-7.42 (m, 2H), 7.33 (t, J = 8.1 Hz, 1H), 7.07 (d, J = 6.9 Hz, 2H), 7.00 (d, J = 8.2 Hz, 1H), 3.30 (s, 2H), 3.25-3.11 (m, 4H), 2.66-2.51 (m, 4H), 2.39 (s, 2H), 1.56 (s, 4H).
실시예 12. 1-(4-(4-(2- 플로로 -5-( 트리플로로메틸 )페닐)피페라진-1-일)부틸)-3-(퀴놀린-3-일)유레아 (화합물 5l)의 합성
화합물 4a 대신 화합물 4l(n=2)를 사용한 것을 제외하고 실시예 1와 동일한 방법으로 화합물 5l를 합성하였다.
1HNMR(300 MHz, CDCl3) δ 8.65 (d, J = 2.1 Hz, 1H), 8.52 (d, J = 2.2 Hz, 1H), 8.04 (s, 1H), 7.97 (d, J = 8.1 Hz, 1H), 7.72 (dd, J = 8.1, 1.3 Hz, 1H), 7.59-7.42 (m, 2H), 7.19 (d, J = 4.3 Hz, 1H), 7.15-7.03 (m, 2H), 3.32 (t, J = 6.2 Hz, 2H), 3.22-2.99 (m, 4H), 2.73-2.58 (m, 4H), 2.45 (t, J = 7.1 Hz, 2H), 1.69-1.47 (m, 4H).
실시예 13. 1-( 벤조티아졸 -2-일)-3-(4-(4-(2,3- 디클로로페닐 )피페라진-1-일)부틸)유레아 (화합물 6b)의 합성
화합물 3-아미노퀴놀린 대신 화합물 2-아미노벤조티아졸을 사용하고, 화합물 4a 대신 화합물 4b(n=2)를 사용한 것을 제외하고 실시예 1와 동일한 방법으로 화합물 6b를 합성하였다.
1HNMR(300 MHz, CDCl3) δ 7.79-7.68 (m, 2H), 7.45-7.34 (m, 1H), 7.30-7.19 (m, 2H), 7.19-7.02 (m, 2H), 6.93 (dd, J = 7.2, 2.4 Hz, 1H), 3.44 (s, 2H), 3.07 (s, 4H), 2.67 (s, 4H), 2.50 (s, 2H), 1.69 (d, J = 3.2 Hz, 4H).
실시예 14. 1-( 벤조티아졸 -2-일)-3-(4-(4-(2,4- 디클로로페닐 )피페라진-1-일)부틸)유레아 (화합물 6c)의 합성
화합물 3-아미노퀴놀린 대신 화합물 2-아미노벤조티아졸을 사용하고, 화합물 4a 대신 화합물 4c(n=2)를 사용한 것을 제외하고 실시예 1와 동일한 방법으로 화합물 6c를 합성하였다.
1HNMR(300 MHz, CDCl3) δ 7.73 (dd, J = 8.0, 1.3 Hz, 2H), 7.45-7.36 (m, 1H), 7.34 (d, J = 2.4 Hz, 1H), 7.30-7.21 (m, 2H), 7.16 (dd, J = 8.6, 2.5 Hz, 1H), 6.92 (d, J = 8.6 Hz, 1H), 3.42 (d, J = 6.2 Hz, 2H), 3.03 (s, 4H), 2.64 (s, 4H), 2.48 (t, J = 6.9 Hz, 2H), 1.81-1.53 (m, 4H).
실시예 15. 1-( 벤조티아졸 -2-일)-3-(4-(4-(4- 클로로페닐 )피페라진-1-일)부틸)유레아 (화합물 6e)의 합성
화합물 3-아미노퀴놀린 대신 화합물 2-아미노벤조티아졸을 사용하고, 화합물 4a 대신 화합물 4e(n=2)를 사용한 것을 제외하고 실시예 1와 동일한 방법으로 화합물 6e를 합성하였다.
1HNMR(300 MHz, DMSO-d 6) δ 10.64 (s, 1H), 7.86 (dd, J = 7.9, 0.7 Hz, 1H), 7.61 (d, J = 7.6 Hz, 1H), 7.42-7.29 (m, 1H), 7.28-7.13 (m, 3H), 6.99-6.84 (m, 2H), 6.79 (s, 1H), 3.18 (d, J = 5.7 Hz, 2H), 3.12-3.01 (m, 4H), 2.53-2.44 (m, 6H), 2.33 (s, 2H), 1.49 (s, 4H).
실시예 16. 1-( 벤조티아졸 -2-일)-3-(4-(4-(3-( 트리플로로메틸 )페닐)피페라진-1-일)부틸)유레아 (화합물 6d)의 합성
화합물 3-아미노퀴놀린 대신 화합물 2-아미노벤조티아졸을 사용하고, 화합물 4a 대신 화합물 4d(n=2)를 사용한 것을 제외하고 실시예 1와 동일한 방법으로 화합물 6d를 합성하였다.
1HNMR(300 MHz, CDCl3) δ 7.73 (dd, J = 8.0, 3.7 Hz, 2H), 7.46-7.22 (m, 3H), 7.14-6.96 (m, 3H), 3.44 (s, 2H), 3.35-3.19 (m, 4H), 2.76-2.58 (m, 4H), 2.51 (d, J = 7.0 Hz, 2H), 1.69 (d, J = 3.4 Hz, 4H).
실시예 17. N -(4-(4-(2,3- 디클로로페닐 )피페라진-1-일)부틸)-1H-인돌-2- 카르복사미드 (화합물 17b)의 합성
아세토니트릴(MeCN)에 용해된 메틸레이트(화합물 16) 용액에 트리메틸아민과 피페라진(화합물 3b)을 첨가하였다. 첨가 후, 반응 용액을 하룻밤 동안 환류시키고, TLC를 실시하여 모니터링 하였다. 반응이 완료되자마자, 용매를 감압 상태에서 제거하였다. 그 다음, 남은 물질을 디클로로메탄(CH2Cl2)와 물(H2O) 사이에서 분획하였고, 디클로로메탄(340 mL)로 추출하였다. 혼합된 유기층을 브라인(brine)으로 세척하고, MgSO4 상에서 건조하고 진공에서 농축하였다. 반응 생성물(crude product)을 플래쉬 컬럼 크로마토그래피(CH2Cl2/EtOAc5:1)로 정제하여, 무색 고체인 표준 화합물 17b(수율 53%)를 얻었다.
화합물 17의 제조 과정을 하기 반응식 2에 나타냈다.
[반응식 2]
Figure pat00008
1HNMR(600 MHz, CDCl3): δ 7.72-7.62 (m, 1H), 7.45 (dd, J = 8.3, 0.8 Hz, 1H), 7.27 (ddd, J = 8.2, 7.0, 1.1 Hz, 1H), 7.23-7.09 (m, 3H), 7.02 (s, 1H), 6.96 (dd, J = 7.6, 2.0 Hz, 1H), 3.48 (t, J = 6.3 Hz, 2H), 3.10 (s, 4H), 2.72 (s, 4H), 2.52 (d, J = 7.0 Hz, 2H), 1.78-1.60 (m, 4H).
13CNMR(151 MHz, CDCl3): δ 162.22, 150.62, 136.31, 133.84, 130.63, 127.38, 127.33, 127.26, 124.68, 124.08, 121.65, 120.18, 118.45, 111.79, 103.05, 57.83, 53.02, 50.60, 39.03, 27.06, 23.61.
실시예 18. N -(4-(4-(2,4- 디클로로페닐 )피페라진-1-일)부틸)-1H-인돌-2- 카르복사미드 (화합물 17c)의 합성
화합물 3b 대신 화합물 3c을 사용한 것을 제외하고 실시예 17과 동일한 방법으로 화합물 6d를 합성하였다. 화합물 17c의 제조 과정을 상기 반응식 2에 나타냈다.
실험예 1. D 2 수용체(D 2 R) 및 D 3 수용체(D 3 R)에 대한 결합력 측정
D2 수용체(D2R) 또는 D3 수용체(D3R)를 발현하는 HEK-293 세포를 준비하고, D2R와 D3R에 모두 결합하는 [3H]-설피리드(sulpiride)를 세포에 처리하였다. [3H]-설피리드의 농도는 D2R 발현하는 세포에는 2.2 nM, D3R 발현하는 세포에는 7.2 nM로 처리하였다. 다른 실험군에는 [3H]-설피리드(sulpiride)와 실시예 1 내지 16에서 합성한 각각의 화합물(100 nM) 또는 그의 염산염을 함께 처리하였다.
1시간 후 세포를 무혈청배지(Serum-free media)로 5분씩 3번 세척하였고, 1% SDS를 가하여 세포를 녹여 남아있는 방사능(radioactivity)을 액체섬광계수기(liquid scintillation counter)로 측정하였다. [3H]-설피리드 만을 처리한 실험군(대조군)과 [3H]-설피리드와 실시예 1 내지 16에서 합성한 각각의 화합물 또는 그의 염산염을 함께 처리한 실험군(처리군)의 [3H]-설피리드 결합력([3H]-sulpiride binding counting)을 비교하여 표 3에 나타내었다. 표 3의 대체율(displacement, %)은 각 수용체에 대한 대조군과 처리군에서 얻은 [3H]-설피리드 결합력을 비교하여 [3H]-설피리드 결합력의 감소 정도(%)를 나타낸 것이다.
대체율(displacement) 값이 클수록 실시예 1 내지 16에서 합성한 화합물 또는 그의 염산염이 해당 수용체에 더 잘 결합함을 나타낸다. D2R와 D3R 간의 대체율 값의 차이가 클수록 D2R와 D3R 간의 선택성이 크다는 것을 의미한다.
대조군 [3H]-설피리드에 비교하여 D3R에 대한 결합력이 우수한 화합물 상위 10개는 5dHCl, 5i·HCl, 5a, 5h·HCl, 5g·HCl, 5a·HCl, 5g, 5e, 5k·HCl, 5k 순으로 나타났다. 대조군 [3H]-설피리드에 비교하여 D2R에 대한 결합력이 우수한 화합물 상위 10개는 5d·HCl, 6b·HCl, 6c, 6e, 6b, 6e·HCl, 5g·HCl, 5a, 5g, 5h·HCl 순으로 나타났다.
D2R와 D3R 간의 대체율 값의 차이가 크게 나타난 화합물 상위 10개는 5i·HCl, 5k·HCl, 5a·HCl, 5f·HCl, 5k, 5h, 5e, 5h·HCl. 5f, 5j 순으로 나타났다.
화합물명 D3R 대체율 (%) D2R 대체율 (%)
5a 88.4 ± 0.6 31.5 ± 9.2
5a·HCl 86.6 ± 0.5 8.0 ± 9.7
5b·HCl 26.6 ± 1.5 4.8 ± 4.3
5c 39.7 ± 5.0 -0.9 ± 6.3
5c·HCl 58.2 ± 7.8 -0.8 ± 1.6
5d 11.4 ± 0.2 -6.7 ± 4.2
5d·HCl 92.4 ± 0.3 84.1 ± 1.8
5e 80.0 ± 2.7 10.2 ± 6.7
5e·HCl 75.0 ± 1.1 15.2 ± 1.6
5f 73.4 ± 7.4 7.9 ± 5.2
5f·HCl 76.8 ± 4.2 -1.4 ± 14.8
5g 81.0 ± 3.4 26.2 ± 6.3
5g·HCl 87.8 ± 1.3 31.9 ± 5.1
5h 76.4 ± 2.8 5.6 ± 8.5
5h·HCl 88.1 ± 1.9 19.5 ± 8.8
5i 66.9 ± 1.1 7.6 ± 6.1
5i·HCl 88.8 ± 0.7 -5.0 ± 17.8
5j 70.1 ± 4.3 5.6 ± 8.5
5j·HCl 32.0 ± 3.1 -16.6 ± 6.8
5k 79.5 ± 2.7 6.3 ± 11.2
5k·HCl 79.5 ± 3.3 -1.9 ± 8.5
6b 61.5 ± 1.6 35.5 ± 3.4
6b·HCl 63.8 ± 1.6 52.1 ± 2.0
6c 40.6 ± 7.6 40.8 ± 5.6
6c·HCl 36.6 ± 1.6 19.0 ± 1.4
6d 44.0 ± 1.2 14.5 ± 3.9
6d·HCl 50.0 ± 6.8 12.6 ± 2.5
6e 49.0 ± 0.9 36.8 ± 6.5
6e·HCl 19.5 ± 3.6 33.4 ± 5.9
실험예 2. D 3 R 및 D 2 R의 저해상수 측정
D2 수용체(D2R) 또는 D3 수용체(D3R)를 발현하는 HEK-293 세포를 준비하고, D2R와 D3R에 모두 결합하는 [3H]-설피리드(sulpiride)를 세포에 처리하였다. [3H]-설피리드의 농도는 D2R 발현하는 세포에는 2.2 nM, D3R 발현하는 세포에는 7.2 nM로 처리하였다. 다른 실험군에는 [3H]-설피리드(sulpiride)와 실시예 1 내지 18에서 합성한 각각의 화합물(1 nM, 10 nM, 100 nM, 1 μM, 10 μM 및 100 μM) 을 함께 처리하였다.
1시간 후 세포를 무혈청배지(Serum-free media)로 5분씩 3번 세척하였고, 1% SDS를 가하여 세포를 녹여 남아있는 방사능(radioactivity)을 액체섬광계수기(liquid scintillation counter)로 측정하였다. [3H]-설피리드 만을 처리한 실험군(대조군)과 [3H]-설피리드와 실시예 1 내지 18에서 합성한 각각의 화합물을 함께 처리한 실험군(처리군)의 [3H]-설피리드 결합력([3H]-sulpiride binding counting)을 측정하였고, 대조군과 비교하여 [3H]-설피리드 결합력을 50% 억제하는 화학물의 농도를 IC50(half maximal inhibitory concentration)라 정의하였다.
저해상수 Ki(inhibitory constant)는 Ki = IC50/(1+[C]/Kd)의 식으로부터 계산하였다. 여기서 [C]는 [3H]-설피리드의 농도이고 Kd는 [3H]-설피리드에 대한 해리상수이다(D2R의 경우 2.2 nM, D3R의 경우 7.2 nM).
Ki 값이 작을수록 화합물이 수용체에 더 잘 결합함을 의미하고, D2R와 D3R 간의 Ki 값의 차이가 클수록 D2R와 D3R 간의 선택성이 크다는 것을 의미한다.
D3R에 대한 Ki값을 비교하였을 때, 결합력이 우수한 화합물 상위 10개는 5h·HCl, 5h, 5a·HCl, 5i, 5f, 5j, 5i·HCl, 5j·HCl, 5e, 5k·HCl 순으로 나타났다. D2R에 대한 Ki값을 비교하였을 때, 결합력이 우수한 화합물 상위 10개는 6d·HCl, 17b·HCl, 6d, 5g, 5a·HCl, 5h·HCl, 5c, 5i·HCl, 5i, 5k·HCl 순으로 나타났다.
D2R와 D3R 간의 Ki 값의 차이가 크게 나타난 화합물 상위 10개는 5e, 5e·HCl, 17c·HCl, 5k, 5f, 5j, 5h, 5j·HCl, 5k·HCl, 5i 순으로 나타났다.
화합물명 KiD3R (nM) KiD2R (nM) D2R / D3R
5a·HCl 1.28 372.4 365.4
5c 30.5 612.5 20
5e 7.4 >79629.6 >10409
5e·HCl 14.3 53097.6 3713
5f 2.3 4426.6 1924
5g 18.8 353.2 18.8
5h 1.09 1346.1 1235
5h·HCl 0.75 524.9 700
5i 1.28 666.9 521
5i·HCl 4.4 639.8 145.4
5j 2.5 1746.1 698.4
5j·HCl 6.87 1244.7 181.2
5k 21.4 5943.9 277.8
5k·HCl 14.0 1004.8 71.8
6d 52.6 252.4 4.8
6d·HCl 29.0 177.8 6.1
17b 6207 NDa -
17b·HCl 15.6 202.3 13
17c 497.6 NDa -
17c·HCl 407.2 >23889 >58.7
NDa : not determined.
실험예 3. 6-OHDA로 유도한 파킨슨병 동물모델의 제조
10 주령의 ICR 생쥐 (25-30 g)을 사용하여 파킨슨병 동물모델을 제작하였다. 졸레틸(zoletil, 30 mg/kg)과 럼푼(rompun, 10 mg/kg)을 복강주사하여 마취하였고, 뇌정위 수술(stereotaxic surgery)을 통해 6-OHDA를 선조체(striatum)로 주사하였다. 생리 식염수(normal saline)을 사용하여 0.02% 아스코르브산(ascorbic acid)에 녹여진 2 μg/μL 농도의 6-OHDA 2 μL를 오른쪽 선조체에 주입하였다. 주사한 선조체의 좌표는 AP +0.3M, ML +2.2, DV -5.0 이다.
실험예 4. 동물모델을 이용한 로타로드 실험(rotarod test)
로타로드 실험은 실험예 3의 동물모델을 이용하여 운동 협응(motor coordination)을 측정하기 위한 동물 행동실험으로서, 시험 약물의 효과를 측정하기 위해 실시하였다. 실험예 3의 동물모델 만들고 2주일 후에, 동물모델에 시험 약물을 3일 동안 10 mg/kg 농도로 복강 주사 후 로타로드 실험을 실시하였다. 양성 대조군으로는 10 mg/kg 아포모르핀(apomorphine, Sigma Chemical Co., St. Louis, MO)을 사용하였다.
5분 동안 로타로드를 시행하여 떨어진 횟수(number)를 측정하고, 시험 시작부터 떨어질 때까지 걸린 시간(sec)을 측정하였다. 시험 약물로는 실험예 2에서 D2R와 D3R 간의 Ki 값의 차이가 가장 큰 화합물 5e와 화합물 5e의 HCl염을 사용하였다. 전달체(vehicle)로는 생리 식염수에 녹여진 0.02% 아스코르스산 2 μL를 사용하였다.
로타로드 실험 결과, 6-OHDA에 의한 운동 기능 손상(motor function damage)에 대하여 화합물 5e의 HCl염과 양성 대조군의 결과를 비교해보았다 (도 1). 로타로드 실험 시작부터 떨어질 때까지의 시간(latency)이 화합물 5e의 HCl염과 양성 대조군에서 유사하게 나타났다. 양성 대조군인 아포모르핀은 다수의 도파민 수용체의 아형(subtypes)에 대해서 비선택적인 반면, 화합물 5e와 화합물 5e의 HCl염은 D3 도파민 수용체에 대하여 선택적이기 때문에, 부작용 등의 부분에서 장점을 지닐 것이다.
실시예 1 내지 18에서 합성된 화합물의 R1 및 R2은 서로 독립적으로 수소, 할로겐 또는 할로겐으로 치환된 탄소수 1 내지 4인 알킬기이나, 본 발명에 따른 화합물의 R1 및 R2는 서로 독립적으로 탄소수 1 내지 4인 알킬기 또는 탄소수 1 내지 4인 알콕시기일 수 있다. 탄소수 탄소수 1 내지 4인 알킬기 또는 탄소수 1 내지 4인 알콕시기는 실시예 1 내지 18에서 합성된 화합물의 R1 또는 R2와 생물학적동등체(bioisostere)로 판단되어지기 때문에, 약물 개발에서 통상적으로 수소, 할로겐 또는 할로겐으로 치환된 탄소수 1 내지 4인 알킬기와 유사한 효과를 지닌 것으로 여겨진다.
실시예 1 내지 18에서 합성된 화합물의 Ar은 탄소수 5 내지 10인 헤테로아릴기이나, 본 발명에 따른 화합물 Ar은 치환 또는 비치환된 탄소수 5 내지 10인 아릴기일 수 있다. 치환 또는 비치환된 탄소수 5 내지 10인 아릴기는 실시예 1 내지 18에서 합성된 Ar와 생물학적동등체(bioisostere)로 판단되어지기 이기 때문에, 약물 개발에서 통상적으로 탄소수 5 내지 10인 헤테로아릴기와 유사한 효과를 지닌 것으로 여겨진다.

Claims (7)

  1. 하기 화학식 1의 화합물 또는 이의 약제학적으로 허용 가능한 염:
    [화학식 1]
    Figure pat00009

    상기 화학식 1에서,
    R1 및 R2은 서로 독립적으로 수소, 할로겐, 탄소수 1 내지 4인 알킬기, 할로겐으로 치환된 탄소수 1 내지 4인 알킬기 또는 탄소수 1 내지 4인 알콕시기이고;
    Ar는 치환 또는 비치환된 탄소수 5 내지 10인 아릴기, 또는 탄소수 5 내지 10인 헤테로아릴기이고;
    n은 1 또는 2의 정수인 것이다.
  2. 청구항 1에 있어서, 상기 R1 및 R2의 할로겐은 서로 독립적으로 F 또는 Cl인, 화합물 또는 이의 약제학적으로 허용 가능한 염.
  3. 청구항 1에 있어서, 상기 아릴기 또는 헤테로아릴기는 2개의 방향족 고리를 갖는 것인, 화합물 또는 이의 약제학적으로 허용 가능한 염.
  4. 청구항 3에 있어서, 상기 헤테로아릴기는 1개 이상의 헤테로원자 N 또는 S를 포함하는 것인, 화합물 또는 이의 약제학적으로 허용 가능한 염.
  5. 청구항 1에 있어서, 상기 Ar은 퀴놀리닐 또는 벤조티아졸릴인, 화합물 또는 이의 약제학적으로 허용 가능한 염.
  6. 하기 화학식 1의 Ar이 결합된 Ar-NH2 화합물과 카르보닐디이미다졸 또는 포스젠을 반응시키는 단계; 및
    상기 반응 생성물과 하기 화학식 2로 표시되는 화합물을 반응시켜 하기 화학식 1으로 표시되는 화합물을 얻는 단계를 포함하는 하기 화학식 1으로 표시되는 화합물 또는 이의 약제학적으로 허용 가능한 염을 제조하는 방법:
    [화학식 1]
    Figure pat00010

    [화학식 2]
    Figure pat00011

    (상기 화학식 1 및 2에서,
    R1, R2, Ar 및 n은 각각 청구항 1에서 정의한 바와 같다.).
  7. 청구항 1 내지 5 중 어느 한 항의 화합물 또는 이의 약제학적으로 허용가능한 염을 포함하는 파킨슨 질환, 약물남용, 조현증 및 양극성 장애로 이루어진 군으로부터 선택되는 적어도 하나의 예방 또는 치료용 약학적 조성물.
KR1020170024794A 2017-02-24 2017-02-24 신규한 페닐피페라진 아릴 유레아 화합물 및 이를 포함하는 약학적 조성물 Active KR101978979B1 (ko)

Priority Applications (6)

Application Number Priority Date Filing Date Title
KR1020170024794A KR101978979B1 (ko) 2017-02-24 2017-02-24 신규한 페닐피페라진 아릴 유레아 화합물 및 이를 포함하는 약학적 조성물
US16/488,533 US12319659B2 (en) 2017-02-24 2018-02-11 Selective ligand for dopamine D3 receptor, preparation method therefor, and pharmaceutical application thereof
JP2019567773A JP7017797B2 (ja) 2017-02-24 2018-02-11 新規なドーパミンd3受容体選択的リガンド及びびその調製方法並びに医薬使用
EP18757064.3A EP3587398A1 (en) 2017-02-24 2018-02-11 Novel selective ligand for dopamine d3 receptor, preparation method therefor, and pharmaceutical application thereof
PCT/CN2018/076341 WO2018153297A1 (zh) 2017-02-24 2018-02-11 新型多巴胺d3受体选择性配体及其制备方法和医药应用
PCT/KR2018/002256 WO2018155954A1 (ko) 2017-02-24 2018-02-23 신규한 페닐피페라진 아릴 유레아 화합물 및 이를 포함하는 약학적 조성물

Applications Claiming Priority (1)

Application Number Priority Date Filing Date Title
KR1020170024794A KR101978979B1 (ko) 2017-02-24 2017-02-24 신규한 페닐피페라진 아릴 유레아 화합물 및 이를 포함하는 약학적 조성물

Publications (2)

Publication Number Publication Date
KR20180098439A true KR20180098439A (ko) 2018-09-04
KR101978979B1 KR101978979B1 (ko) 2019-05-16

Family

ID=63253930

Family Applications (1)

Application Number Title Priority Date Filing Date
KR1020170024794A Active KR101978979B1 (ko) 2017-02-24 2017-02-24 신규한 페닐피페라진 아릴 유레아 화합물 및 이를 포함하는 약학적 조성물

Country Status (2)

Country Link
KR (1) KR101978979B1 (ko)
WO (1) WO2018155954A1 (ko)

Cited By (2)

* Cited by examiner, † Cited by third party
Publication number Priority date Publication date Assignee Title
WO2021241876A1 (ko) * 2020-05-29 2021-12-02 재단법인 대구경북첨단의료산업진흥재단 카복사미드 유도체 및 이를 유효성분으로 함유하는 정신질환의 예방 또는 치료용 약학적 조성물
KR20210147874A (ko) * 2020-05-29 2021-12-07 재단법인 대구경북첨단의료산업진흥재단 카복사미드 유도체 및 이를 유효성분으로 함유하는 정신질환의 예방 또는 치료용 약학적 조성물

Citations (2)

* Cited by examiner, † Cited by third party
Publication number Priority date Publication date Assignee Title
KR20070047763A (ko) * 2004-07-20 2007-05-07 시에나 바이오테크 에스.피.에이. 알파7 니코틴성 아세틸콜린 수용체의 조절제 및 그의치료적 용도
KR101698067B1 (ko) 2014-12-18 2017-01-19 연세대학교 산학협력단 파킨슨 질환에서 중간엽 줄기세포에서 유래된 갈렉틴-1의 cme 억제를 통한 알파시뉴클레인의 유입억제 효과

Family Cites Families (3)

* Cited by examiner, † Cited by third party
Publication number Priority date Publication date Assignee Title
JPH09278737A (ja) * 1996-02-16 1997-10-28 Tanabe Seiyaku Co Ltd フェノール誘導体及びその製法
WO2004099179A1 (en) * 2003-05-07 2004-11-18 Actelion Pharmaceuticals Ltd Piperazine-alkyl-ureido derivatives
RU2709207C2 (ru) * 2015-08-04 2019-12-17 Чонг Кун Данг Фармасьютикал Корп. 1,3,4-оксадиазольные производные соединения в качестве ингибитора гистондеацетилазы 6 и фармацевтическая композиция, содержащая их

Patent Citations (2)

* Cited by examiner, † Cited by third party
Publication number Priority date Publication date Assignee Title
KR20070047763A (ko) * 2004-07-20 2007-05-07 시에나 바이오테크 에스.피.에이. 알파7 니코틴성 아세틸콜린 수용체의 조절제 및 그의치료적 용도
KR101698067B1 (ko) 2014-12-18 2017-01-19 연세대학교 산학협력단 파킨슨 질환에서 중간엽 줄기세포에서 유래된 갈렉틴-1의 cme 억제를 통한 알파시뉴클레인의 유입억제 효과

Non-Patent Citations (2)

* Cited by examiner, † Cited by third party
Title
RN 1371183-94-6 (Entered STN: 30 April 2012).* *
RN 899926-41-1 (Entered STN: 09 August 2006).* *

Cited By (2)

* Cited by examiner, † Cited by third party
Publication number Priority date Publication date Assignee Title
WO2021241876A1 (ko) * 2020-05-29 2021-12-02 재단법인 대구경북첨단의료산업진흥재단 카복사미드 유도체 및 이를 유효성분으로 함유하는 정신질환의 예방 또는 치료용 약학적 조성물
KR20210147874A (ko) * 2020-05-29 2021-12-07 재단법인 대구경북첨단의료산업진흥재단 카복사미드 유도체 및 이를 유효성분으로 함유하는 정신질환의 예방 또는 치료용 약학적 조성물

Also Published As

Publication number Publication date
KR101978979B1 (ko) 2019-05-16
WO2018155954A1 (ko) 2018-08-30

Similar Documents

Publication Publication Date Title
KR102866499B1 (ko) Tead 전사인자의 신규한 소분자 저해제
TWI458723B (zh) 1,2-雙取代雜環化合物
AU2016315881B2 (en) Small molecule inhibitors of DYRK1A and uses thereof
US11987588B2 (en) Modulators of the beta-3 adrenergic receptor useful for the treatment or prevention of heart failure and disorders related thereto
TWI748491B (zh) 作為組蛋白去乙醯酶6抑制劑之1,3,4-㗁二唑高鄰苯二甲醯亞胺衍生化合物及包含彼之醫藥組合物
CA2934517C (en) Fused heterocyclic compounds as ion channel modulators
WO2005004818A2 (en) Heterocyclic compounds and their use as anticancer agents
PH12014501504B1 (en) THIENO[3,2-d]PYRIMIDINE DERIVATIVES HAVING INHIBITORY ACTIVITY FOR PROTEIN KINASES
WO2006050843A1 (en) Aminoquinazolines compounds
US20220242861A1 (en) Imidazopyridinyl compounds and use thereof for treatment of proliferative disorders
CA3082764A1 (en) 2-substituted amino-naphth[1,2-d]imidazol-5-one compounds or pharmaceutically acceptable salts thereof cross reference to related applications
EP3194374B1 (en) Triazole compounds as t-type calcium channel blockers
KR20190086445A (ko) Dyrk1 억제제로서의 벤조사이아졸 유도체
KR101978979B1 (ko) 신규한 페닐피페라진 아릴 유레아 화합물 및 이를 포함하는 약학적 조성물
CA2611711A1 (en) Piperazine-piperidine antagonists and agonists of the 5-ht1a receptor
RS57071B1 (sr) Jedinjenja fluorofenil pirazola
KR20160018686A (ko) 이환식 함질소 방향족 헤테로고리 아미드 화합물
JP2018087173A (ja) 悪性脳腫瘍治療薬
WO2017187324A1 (en) Substituted fused pyrimidinone compounds
CA2581741A1 (en) Histamine-3 receptor antagonists
KR102114389B1 (ko) 신규 소듐채널 저해 화합물, 이의 제조방법, 및 이를 포함하는 소듐채널 관련 질환의 예방 또는 치료용 약학적 조성물
JP5886853B2 (ja) ピリダジン誘導体、及びマイクロrnaウイルス感染を治療するための医薬としてのこれらの使用。
KR102855784B1 (ko) 세포보호효과를 지니는 신규 N-Phenyl cinnamic amide 유도체의 약학적 조성물 및 제조방법
JP2015124211A (ja) キナゾリノン誘導体
CN110105286A (zh) 一种含有脲素骨架的取代杂环类化合物及其制备方法和用途

Legal Events

Date Code Title Description
A201 Request for examination
PA0109 Patent application

Patent event code: PA01091R01D

Comment text: Patent Application

Patent event date: 20170224

PA0201 Request for examination
E902 Notification of reason for refusal
PE0902 Notice of grounds for rejection

Comment text: Notification of reason for refusal

Patent event date: 20180612

Patent event code: PE09021S01D

PG1501 Laying open of application
E90F Notification of reason for final refusal
PE0902 Notice of grounds for rejection

Comment text: Final Notice of Reason for Refusal

Patent event date: 20181203

Patent event code: PE09021S02D

E701 Decision to grant or registration of patent right
PE0701 Decision of registration

Patent event code: PE07011S01D

Comment text: Decision to Grant Registration

Patent event date: 20190410

GRNT Written decision to grant
PR0701 Registration of establishment

Comment text: Registration of Establishment

Patent event date: 20190510

Patent event code: PR07011E01D

PR1002 Payment of registration fee

Payment date: 20190510

End annual number: 3

Start annual number: 1

PG1601 Publication of registration
PR1001 Payment of annual fee

Payment date: 20220426

Start annual number: 4

End annual number: 4