KR20160040468A - 폴리에스테르의 제조 방법 - Google Patents
폴리에스테르의 제조 방법 Download PDFInfo
- Publication number
- KR20160040468A KR20160040468A KR1020157036483A KR20157036483A KR20160040468A KR 20160040468 A KR20160040468 A KR 20160040468A KR 1020157036483 A KR1020157036483 A KR 1020157036483A KR 20157036483 A KR20157036483 A KR 20157036483A KR 20160040468 A KR20160040468 A KR 20160040468A
- Authority
- KR
- South Korea
- Prior art keywords
- group
- catalyst
- hydrogen
- polymerization
- ring
- Prior art date
- Legal status (The legal status is an assumption and is not a legal conclusion. Google has not performed a legal analysis and makes no representation as to the accuracy of the status listed.)
- Withdrawn
Links
- 238000000034 method Methods 0.000 title claims abstract description 63
- 229920000728 polyester Polymers 0.000 title claims description 40
- 239000003054 catalyst Substances 0.000 claims abstract description 90
- -1 poly (2-ethylhexyl) -benzonitrile Chemical compound 0.000 claims abstract description 70
- 230000008569 process Effects 0.000 claims abstract description 33
- 150000002148 esters Chemical class 0.000 claims abstract description 11
- 238000002360 preparation method Methods 0.000 claims abstract description 4
- 238000007151 ring opening polymerisation reaction Methods 0.000 claims description 45
- 150000002596 lactones Chemical group 0.000 claims description 41
- 229910052739 hydrogen Inorganic materials 0.000 claims description 36
- 239000001257 hydrogen Substances 0.000 claims description 36
- 238000006116 polymerization reaction Methods 0.000 claims description 34
- 125000004122 cyclic group Chemical group 0.000 claims description 32
- 229910052751 metal Inorganic materials 0.000 claims description 28
- 150000002431 hydrogen Chemical class 0.000 claims description 27
- 239000002184 metal Substances 0.000 claims description 27
- 125000003118 aryl group Chemical group 0.000 claims description 23
- 125000004429 atom Chemical group 0.000 claims description 20
- 239000003999 initiator Substances 0.000 claims description 20
- 229910052760 oxygen Inorganic materials 0.000 claims description 20
- IJGRMHOSHXDMSA-UHFFFAOYSA-N Atomic nitrogen Chemical group N#N IJGRMHOSHXDMSA-UHFFFAOYSA-N 0.000 claims description 16
- 125000005842 heteroatom Chemical group 0.000 claims description 16
- 125000001181 organosilyl group Chemical group [SiH3]* 0.000 claims description 14
- QVGXLLKOCUKJST-UHFFFAOYSA-N atomic oxygen Chemical group [O] QVGXLLKOCUKJST-UHFFFAOYSA-N 0.000 claims description 13
- 239000001301 oxygen Substances 0.000 claims description 13
- 229910052717 sulfur Inorganic materials 0.000 claims description 13
- 125000000217 alkyl group Chemical group 0.000 claims description 12
- 125000004432 carbon atom Chemical group C* 0.000 claims description 12
- 229910052757 nitrogen Inorganic materials 0.000 claims description 12
- 150000001412 amines Chemical class 0.000 claims description 11
- 125000001072 heteroaryl group Chemical group 0.000 claims description 10
- 125000000449 nitro group Chemical group [O-][N+](*)=O 0.000 claims description 10
- 229910052698 phosphorus Inorganic materials 0.000 claims description 10
- 125000006552 (C3-C8) cycloalkyl group Chemical group 0.000 claims description 9
- NINIDFKCEFEMDL-UHFFFAOYSA-N Sulfur Chemical group [S] NINIDFKCEFEMDL-UHFFFAOYSA-N 0.000 claims description 9
- 150000004703 alkoxides Chemical class 0.000 claims description 9
- 125000003545 alkoxy group Chemical group 0.000 claims description 9
- 125000004104 aryloxy group Chemical group 0.000 claims description 9
- 229910052791 calcium Inorganic materials 0.000 claims description 9
- AIXAANGOTKPUOY-UHFFFAOYSA-N carbachol Chemical group [Cl-].C[N+](C)(C)CCOC(N)=O AIXAANGOTKPUOY-UHFFFAOYSA-N 0.000 claims description 9
- 125000000000 cycloalkoxy group Chemical group 0.000 claims description 9
- 125000000623 heterocyclic group Chemical group 0.000 claims description 9
- 239000011593 sulfur Chemical group 0.000 claims description 9
- 229910052725 zinc Inorganic materials 0.000 claims description 9
- UFHFLCQGNIYNRP-UHFFFAOYSA-N Hydrogen Chemical compound [H][H] UFHFLCQGNIYNRP-UHFFFAOYSA-N 0.000 claims description 8
- 150000002739 metals Chemical class 0.000 claims description 8
- AZDRQVAHHNSJOQ-UHFFFAOYSA-N alumane Chemical compound [AlH3] AZDRQVAHHNSJOQ-UHFFFAOYSA-N 0.000 claims description 7
- 125000001495 ethyl group Chemical group [H]C([H])([H])C([H])([H])* 0.000 claims description 7
- 229910052749 magnesium Inorganic materials 0.000 claims description 7
- OAICVXFJPJFONN-UHFFFAOYSA-N Phosphorus Chemical group [P] OAICVXFJPJFONN-UHFFFAOYSA-N 0.000 claims description 6
- 239000011574 phosphorus Chemical group 0.000 claims description 6
- KXDHJXZQYSOELW-UHFFFAOYSA-M Carbamate Chemical compound NC([O-])=O KXDHJXZQYSOELW-UHFFFAOYSA-M 0.000 claims description 5
- BVKZGUZCCUSVTD-UHFFFAOYSA-L Carbonate Chemical compound [O-]C([O-])=O BVKZGUZCCUSVTD-UHFFFAOYSA-L 0.000 claims description 5
- 150000007942 carboxylates Chemical class 0.000 claims description 5
- 125000001424 substituent group Chemical group 0.000 claims description 5
- HNRMPXKDFBEGFZ-UHFFFAOYSA-N 2,2-dimethylbutane Chemical compound CCC(C)(C)C HNRMPXKDFBEGFZ-UHFFFAOYSA-N 0.000 claims description 4
- ZFFMLCVRJBZUDZ-UHFFFAOYSA-N 2,3-dimethylbutane Chemical compound CC(C)C(C)C ZFFMLCVRJBZUDZ-UHFFFAOYSA-N 0.000 claims description 4
- AFABGHUZZDYHJO-UHFFFAOYSA-N 2-Methylpentane Chemical compound CCCC(C)C AFABGHUZZDYHJO-UHFFFAOYSA-N 0.000 claims description 4
- PFEOZHBOMNWTJB-UHFFFAOYSA-N 3-methylpentane Chemical compound CCC(C)CC PFEOZHBOMNWTJB-UHFFFAOYSA-N 0.000 claims description 4
- 125000001931 aliphatic group Chemical group 0.000 claims description 4
- HHFAWKCIHAUFRX-UHFFFAOYSA-N ethoxide Chemical compound CC[O-] HHFAWKCIHAUFRX-UHFFFAOYSA-N 0.000 claims description 4
- 150000004820 halides Chemical class 0.000 claims description 4
- XLYOFNOQVPJJNP-UHFFFAOYSA-M hydroxide Chemical compound [OH-] XLYOFNOQVPJJNP-UHFFFAOYSA-M 0.000 claims description 4
- NBTOZLQBSIZIKS-UHFFFAOYSA-N methoxide Chemical compound [O-]C NBTOZLQBSIZIKS-UHFFFAOYSA-N 0.000 claims description 4
- 125000002496 methyl group Chemical group [H]C([H])([H])* 0.000 claims description 4
- 125000001436 propyl group Chemical group [H]C([*])([H])C([H])([H])C([H])([H])[H] 0.000 claims description 4
- XDTMQSROBMDMFD-UHFFFAOYSA-N Cyclohexane Chemical compound C1CCCCC1 XDTMQSROBMDMFD-UHFFFAOYSA-N 0.000 claims description 3
- 125000005073 adamantyl group Chemical group C12(CC3CC(CC(C1)C3)C2)* 0.000 claims description 3
- 229910052799 carbon Inorganic materials 0.000 claims description 3
- 125000002887 hydroxy group Chemical group [H]O* 0.000 claims description 3
- 125000000959 isobutyl group Chemical group [H]C([H])([H])C([H])(C([H])([H])[H])C([H])([H])* 0.000 claims description 3
- 125000001449 isopropyl group Chemical group [H]C([H])([H])C([H])(*)C([H])([H])[H] 0.000 claims description 3
- 125000005647 linker group Chemical group 0.000 claims description 3
- 125000004108 n-butyl group Chemical group [H]C([H])([H])C([H])([H])C([H])([H])C([H])([H])* 0.000 claims description 3
- 125000000999 tert-butyl group Chemical group [H]C([H])([H])C(*)(C([H])([H])[H])C([H])([H])[H] 0.000 claims description 3
- 150000001875 compounds Chemical class 0.000 claims description 2
- 150000002894 organic compounds Chemical class 0.000 claims description 2
- FKUPPRZPSYCDRS-UHFFFAOYSA-N Cyclopentadecanolide Chemical compound O=C1CCCCCCCCCCCCCCO1 FKUPPRZPSYCDRS-UHFFFAOYSA-N 0.000 description 55
- 229920000642 polymer Polymers 0.000 description 52
- 238000006243 chemical reaction Methods 0.000 description 33
- YXFVVABEGXRONW-UHFFFAOYSA-N Toluene Chemical compound CC1=CC=CC=C1 YXFVVABEGXRONW-UHFFFAOYSA-N 0.000 description 27
- 229940089513 pentadecalactone Drugs 0.000 description 26
- 238000002474 experimental method Methods 0.000 description 23
- 229920001577 copolymer Polymers 0.000 description 19
- 239000000178 monomer Substances 0.000 description 19
- OKKJLVBELUTLKV-UHFFFAOYSA-N Methanol Chemical compound OC OKKJLVBELUTLKV-UHFFFAOYSA-N 0.000 description 18
- WVDDGKGOMKODPV-UHFFFAOYSA-N Benzyl alcohol Chemical compound OCC1=CC=CC=C1 WVDDGKGOMKODPV-UHFFFAOYSA-N 0.000 description 17
- PAPBSGBWRJIAAV-UHFFFAOYSA-N ε-Caprolactone Chemical compound O=C1CCCCCO1 PAPBSGBWRJIAAV-UHFFFAOYSA-N 0.000 description 17
- YKVIWISPFDZYOW-UHFFFAOYSA-N 6-Decanolide Chemical compound CCCCC1CCCCC(=O)O1 YKVIWISPFDZYOW-UHFFFAOYSA-N 0.000 description 14
- 125000000547 substituted alkyl group Chemical group 0.000 description 14
- 239000000203 mixture Substances 0.000 description 13
- 125000003107 substituted aryl group Chemical group 0.000 description 13
- 238000002844 melting Methods 0.000 description 10
- 230000008018 melting Effects 0.000 description 10
- LFQSCWFLJHTTHZ-UHFFFAOYSA-N Ethanol Chemical compound CCO LFQSCWFLJHTTHZ-UHFFFAOYSA-N 0.000 description 9
- 239000012986 chain transfer agent Substances 0.000 description 8
- 238000007334 copolymerization reaction Methods 0.000 description 8
- 239000011575 calcium Substances 0.000 description 7
- 238000001938 differential scanning calorimetry curve Methods 0.000 description 7
- 238000004519 manufacturing process Methods 0.000 description 7
- 230000001404 mediated effect Effects 0.000 description 7
- 239000011701 zinc Substances 0.000 description 7
- RTZKZFJDLAIYFH-UHFFFAOYSA-N Diethyl ether Chemical compound CCOCC RTZKZFJDLAIYFH-UHFFFAOYSA-N 0.000 description 6
- 229910052782 aluminium Inorganic materials 0.000 description 6
- 230000015572 biosynthetic process Effects 0.000 description 6
- 229920001400 block copolymer Polymers 0.000 description 6
- 239000011777 magnesium Substances 0.000 description 6
- 239000002904 solvent Substances 0.000 description 6
- 229910052727 yttrium Inorganic materials 0.000 description 6
- OYPRJOBELJOOCE-UHFFFAOYSA-N Calcium Chemical compound [Ca] OYPRJOBELJOOCE-UHFFFAOYSA-N 0.000 description 5
- 108090000790 Enzymes Proteins 0.000 description 5
- 102000004190 Enzymes Human genes 0.000 description 5
- FYYHWMGAXLPEAU-UHFFFAOYSA-N Magnesium Chemical compound [Mg] FYYHWMGAXLPEAU-UHFFFAOYSA-N 0.000 description 5
- 238000005481 NMR spectroscopy Methods 0.000 description 5
- 238000004458 analytical method Methods 0.000 description 5
- 230000002255 enzymatic effect Effects 0.000 description 5
- 239000000463 material Substances 0.000 description 5
- 229920001610 polycaprolactone Polymers 0.000 description 5
- 239000004632 polycaprolactone Substances 0.000 description 5
- 230000035484 reaction time Effects 0.000 description 5
- 238000001542 size-exclusion chromatography Methods 0.000 description 5
- 238000003786 synthesis reaction Methods 0.000 description 5
- PBKONEOXTCPAFI-UHFFFAOYSA-N 1,2,4-trichlorobenzene Chemical compound ClC1=CC=C(Cl)C(Cl)=C1 PBKONEOXTCPAFI-UHFFFAOYSA-N 0.000 description 4
- IMNFDUFMRHMDMM-UHFFFAOYSA-N N-Heptane Chemical compound CCCCCCC IMNFDUFMRHMDMM-UHFFFAOYSA-N 0.000 description 4
- HCHKCACWOHOZIP-UHFFFAOYSA-N Zinc Chemical compound [Zn] HCHKCACWOHOZIP-UHFFFAOYSA-N 0.000 description 4
- XAGFODPZIPBFFR-UHFFFAOYSA-N aluminium Chemical compound [Al] XAGFODPZIPBFFR-UHFFFAOYSA-N 0.000 description 4
- 238000001816 cooling Methods 0.000 description 4
- 230000000694 effects Effects 0.000 description 4
- 239000011521 glass Substances 0.000 description 4
- 229920001519 homopolymer Polymers 0.000 description 4
- 150000002430 hydrocarbons Chemical class 0.000 description 4
- 239000003446 ligand Substances 0.000 description 4
- 229920002521 macromolecule Polymers 0.000 description 4
- 238000000425 proton nuclear magnetic resonance spectrum Methods 0.000 description 4
- 229920005604 random copolymer Polymers 0.000 description 4
- 239000011541 reaction mixture Substances 0.000 description 4
- 230000009257 reactivity Effects 0.000 description 4
- 238000001644 13C nuclear magnetic resonance spectroscopy Methods 0.000 description 3
- 108010031797 Candida antarctica lipase B Proteins 0.000 description 3
- YMWUJEATGCHHMB-UHFFFAOYSA-N Dichloromethane Chemical compound ClCCl YMWUJEATGCHHMB-UHFFFAOYSA-N 0.000 description 3
- 239000004698 Polyethylene Substances 0.000 description 3
- 230000002378 acidificating effect Effects 0.000 description 3
- 230000003197 catalytic effect Effects 0.000 description 3
- 239000003153 chemical reaction reagent Substances 0.000 description 3
- 238000000113 differential scanning calorimetry Methods 0.000 description 3
- 125000004051 hexyl group Chemical group [H]C([H])([H])C([H])([H])C([H])([H])C([H])([H])C([H])([H])C([H])([H])* 0.000 description 3
- 229930195733 hydrocarbon Natural products 0.000 description 3
- VLKZOEOYAKHREP-UHFFFAOYSA-N n-Hexane Chemical compound CCCCCC VLKZOEOYAKHREP-UHFFFAOYSA-N 0.000 description 3
- 239000012299 nitrogen atmosphere Substances 0.000 description 3
- 229920000573 polyethylene Polymers 0.000 description 3
- 239000000843 powder Substances 0.000 description 3
- 150000007944 thiolates Chemical class 0.000 description 3
- NVIPUOMWGQAOIT-UHFFFAOYSA-N (E)-7-Hexadecen-16-olide Natural products O=C1CCCCCC=CCCCCCCCCO1 NVIPUOMWGQAOIT-UHFFFAOYSA-N 0.000 description 2
- AGZBJJSLDGWKSU-UHFFFAOYSA-N 1-oxacyclohexadec-13-en-2-one Chemical compound O=C1CCCCCCCCCCC=CCCO1 AGZBJJSLDGWKSU-UHFFFAOYSA-N 0.000 description 2
- GHBSPIPJMLAMEP-UHFFFAOYSA-N 6-pentyloxan-2-one Chemical compound CCCCCC1CCCC(=O)O1 GHBSPIPJMLAMEP-UHFFFAOYSA-N 0.000 description 2
- 239000004215 Carbon black (E152) Substances 0.000 description 2
- 108090001060 Lipase Proteins 0.000 description 2
- 239000004367 Lipase Substances 0.000 description 2
- 102000004882 Lipase Human genes 0.000 description 2
- LRHPLDYGYMQRHN-UHFFFAOYSA-N N-Butanol Chemical compound CCCCO LRHPLDYGYMQRHN-UHFFFAOYSA-N 0.000 description 2
- URLKBWYHVLBVBO-UHFFFAOYSA-N Para-Xylene Chemical group CC1=CC=C(C)C=C1 URLKBWYHVLBVBO-UHFFFAOYSA-N 0.000 description 2
- 150000001338 aliphatic hydrocarbons Chemical class 0.000 description 2
- 150000001408 amides Chemical class 0.000 description 2
- 125000000129 anionic group Chemical group 0.000 description 2
- 150000004945 aromatic hydrocarbons Chemical class 0.000 description 2
- 239000012298 atmosphere Substances 0.000 description 2
- 230000004888 barrier function Effects 0.000 description 2
- 235000019445 benzyl alcohol Nutrition 0.000 description 2
- 229910052796 boron Inorganic materials 0.000 description 2
- QARVLSVVCXYDNA-UHFFFAOYSA-N bromobenzene Chemical compound BrC1=CC=CC=C1 QARVLSVVCXYDNA-UHFFFAOYSA-N 0.000 description 2
- 125000000484 butyl group Chemical group [H]C([*])([H])C([H])([H])C([H])([H])C([H])([H])[H] 0.000 description 2
- 238000001460 carbon-13 nuclear magnetic resonance spectrum Methods 0.000 description 2
- 239000003795 chemical substances by application Substances 0.000 description 2
- 238000010438 heat treatment Methods 0.000 description 2
- SPRIOUNJHPCKPV-UHFFFAOYSA-N hydridoaluminium Chemical compound [AlH] SPRIOUNJHPCKPV-UHFFFAOYSA-N 0.000 description 2
- 150000003949 imides Chemical class 0.000 description 2
- 230000000977 initiatory effect Effects 0.000 description 2
- 235000019421 lipase Nutrition 0.000 description 2
- 230000004048 modification Effects 0.000 description 2
- 238000012986 modification Methods 0.000 description 2
- 238000005580 one pot reaction Methods 0.000 description 2
- 239000013110 organic ligand Substances 0.000 description 2
- 239000003208 petroleum Substances 0.000 description 2
- 238000006068 polycondensation reaction Methods 0.000 description 2
- 241000894007 species Species 0.000 description 2
- 239000000126 substance Substances 0.000 description 2
- CZDYPVPMEAXLPK-UHFFFAOYSA-N tetramethylsilane Chemical compound C[Si](C)(C)C CZDYPVPMEAXLPK-UHFFFAOYSA-N 0.000 description 2
- 238000005809 transesterification reaction Methods 0.000 description 2
- 238000012546 transfer Methods 0.000 description 2
- XLYOFNOQVPJJNP-UHFFFAOYSA-N water Substances O XLYOFNOQVPJJNP-UHFFFAOYSA-N 0.000 description 2
- OALYTRUKMRCXNH-UHFFFAOYSA-N (R)- Dihydro-5-pentyl-2(3H)-furanone Natural products CCCCCC1CCC(=O)O1 OALYTRUKMRCXNH-UHFFFAOYSA-N 0.000 description 1
- AOLNDUQWRUPYGE-UHFFFAOYSA-N 1,4-dioxepan-5-one Chemical compound O=C1CCOCCO1 AOLNDUQWRUPYGE-UHFFFAOYSA-N 0.000 description 1
- QUPWPPWMSDSBKD-UHFFFAOYSA-N 1,6-dioxacycloheptadec-8-en-7-one Chemical compound O=C1OCCCCOCCCCCCCCC=C1 QUPWPPWMSDSBKD-UHFFFAOYSA-N 0.000 description 1
- MZLRFHKWWCSGHB-UHFFFAOYSA-N 1,8-dioxacycloheptadecan-9-one Chemical compound O=C1CCCCCCCCOCCCCCCO1 MZLRFHKWWCSGHB-UHFFFAOYSA-N 0.000 description 1
- QILMAYXCYBTEDM-UHFFFAOYSA-N 1-oxacycloheptadec-10-en-2-one Chemical compound O=C1CCCCCCCC=CCCCCCCO1 QILMAYXCYBTEDM-UHFFFAOYSA-N 0.000 description 1
- ZYXGECMFJMLZNA-UHFFFAOYSA-N 1-oxacyclohexadec-12-en-2-one Chemical compound O=C1CCCCCCCCCC=CCCCO1 ZYXGECMFJMLZNA-UHFFFAOYSA-N 0.000 description 1
- USYAGNRXEGBFEX-UHFFFAOYSA-N 1-oxacyclopentadec-6-en-2-one Chemical compound O=C1CCCC=CCCCCCCCCO1 USYAGNRXEGBFEX-UHFFFAOYSA-N 0.000 description 1
- 238000005160 1H NMR spectroscopy Methods 0.000 description 1
- MUHFZFOKQDJYON-UHFFFAOYSA-N 3-hexoxycyclotridecan-1-one Chemical compound CCCCCCOC1CCCCCCCCCCC(=O)C1 MUHFZFOKQDJYON-UHFFFAOYSA-N 0.000 description 1
- NYBXFCLDEATPCM-UHFFFAOYSA-N 3-methyloxetan-2-one Chemical compound CC1COC1=O NYBXFCLDEATPCM-UHFFFAOYSA-N 0.000 description 1
- NPHAVLULUWJQAS-UHFFFAOYSA-N 5,5-dimethyloxolan-2-one Chemical compound CC1(C)CCC(=O)O1 NPHAVLULUWJQAS-UHFFFAOYSA-N 0.000 description 1
- VNXMFQWTDCWMDQ-UHFFFAOYSA-N 5-methyloxepan-2-one Chemical compound CC1CCOC(=O)CC1 VNXMFQWTDCWMDQ-UHFFFAOYSA-N 0.000 description 1
- DQBIPBSPUYNBJO-UHFFFAOYSA-N 6-iminocyclohexa-2,4-dien-1-ol Chemical compound OC1C=CC=CC1=N DQBIPBSPUYNBJO-UHFFFAOYSA-N 0.000 description 1
- IVRMZWNICZWHMI-UHFFFAOYSA-N Azide Chemical compound [N-]=[N+]=[N-] IVRMZWNICZWHMI-UHFFFAOYSA-N 0.000 description 1
- FIPWRIJSWJWJAI-UHFFFAOYSA-N Butyl carbitol 6-propylpiperonyl ether Chemical compound C1=C(CCC)C(COCCOCCOCCCC)=CC2=C1OCO2 FIPWRIJSWJWJAI-UHFFFAOYSA-N 0.000 description 1
- XFXPMWWXUTWYJX-UHFFFAOYSA-N Cyanide Chemical compound N#[C-] XFXPMWWXUTWYJX-UHFFFAOYSA-N 0.000 description 1
- OTMSDBZUPAUEDD-UHFFFAOYSA-N Ethane Chemical compound CC OTMSDBZUPAUEDD-UHFFFAOYSA-N 0.000 description 1
- DGAQECJNVWCQMB-PUAWFVPOSA-M Ilexoside XXIX Chemical compound C[C@@H]1CC[C@@]2(CC[C@@]3(C(=CC[C@H]4[C@]3(CC[C@@H]5[C@@]4(CC[C@@H](C5(C)C)OS(=O)(=O)[O-])C)C)[C@@H]2[C@]1(C)O)C)C(=O)O[C@H]6[C@@H]([C@H]([C@@H]([C@H](O6)CO)O)O)O.[Na+] DGAQECJNVWCQMB-PUAWFVPOSA-M 0.000 description 1
- 238000012565 NMR experiment Methods 0.000 description 1
- FTXUQEKXCJSWMO-UHFFFAOYSA-N Nonanolactone Chemical compound O=C1CCCCCCCCO1 FTXUQEKXCJSWMO-UHFFFAOYSA-N 0.000 description 1
- 239000004952 Polyamide Substances 0.000 description 1
- ZMZDMBWJUHKJPS-UHFFFAOYSA-M Thiocyanate anion Chemical compound [S-]C#N ZMZDMBWJUHKJPS-UHFFFAOYSA-M 0.000 description 1
- 230000004913 activation Effects 0.000 description 1
- 150000001298 alcohols Chemical class 0.000 description 1
- 239000000956 alloy Substances 0.000 description 1
- 229910045601 alloy Inorganic materials 0.000 description 1
- HSFWRNGVRCDJHI-UHFFFAOYSA-N alpha-acetylene Natural products C#C HSFWRNGVRCDJHI-UHFFFAOYSA-N 0.000 description 1
- 150000001540 azides Chemical class 0.000 description 1
- GSCLMSFRWBPUSK-UHFFFAOYSA-N beta-Butyrolactone Chemical compound CC1CC(=O)O1 GSCLMSFRWBPUSK-UHFFFAOYSA-N 0.000 description 1
- 239000012620 biological material Substances 0.000 description 1
- 238000012661 block copolymerization Methods 0.000 description 1
- 210000000988 bone and bone Anatomy 0.000 description 1
- 150000001735 carboxylic acids Chemical class 0.000 description 1
- 125000002091 cationic group Chemical group 0.000 description 1
- 230000008859 change Effects 0.000 description 1
- 238000012512 characterization method Methods 0.000 description 1
- 239000007795 chemical reaction product Substances 0.000 description 1
- 229910052804 chromium Inorganic materials 0.000 description 1
- 210000001520 comb Anatomy 0.000 description 1
- 230000000052 comparative effect Effects 0.000 description 1
- 238000011109 contamination Methods 0.000 description 1
- 150000004696 coordination complex Chemical class 0.000 description 1
- 238000004132 cross linking Methods 0.000 description 1
- XLJMAIOERFSOGZ-UHFFFAOYSA-M cyanate Chemical compound [O-]C#N XLJMAIOERFSOGZ-UHFFFAOYSA-M 0.000 description 1
- 125000000113 cyclohexyl group Chemical group [H]C1([H])C([H])([H])C([H])([H])C([H])(*)C([H])([H])C1([H])[H] 0.000 description 1
- 230000009849 deactivation Effects 0.000 description 1
- 230000007423 decrease Effects 0.000 description 1
- 230000000593 degrading effect Effects 0.000 description 1
- MHDVGSVTJDSBDK-UHFFFAOYSA-N dibenzyl ether Chemical compound C=1C=CC=CC=1COCC1=CC=CC=C1 MHDVGSVTJDSBDK-UHFFFAOYSA-N 0.000 description 1
- 238000009826 distribution Methods 0.000 description 1
- 239000003814 drug Substances 0.000 description 1
- 229940079593 drug Drugs 0.000 description 1
- 238000012377 drug delivery Methods 0.000 description 1
- 239000003480 eluent Substances 0.000 description 1
- 125000004185 ester group Chemical group 0.000 description 1
- 230000032050 esterification Effects 0.000 description 1
- 238000005886 esterification reaction Methods 0.000 description 1
- 125000002534 ethynyl group Chemical group [H]C#C* 0.000 description 1
- 230000002349 favourable effect Effects 0.000 description 1
- 239000000835 fiber Substances 0.000 description 1
- 238000001914 filtration Methods 0.000 description 1
- 238000009472 formulation Methods 0.000 description 1
- 239000007789 gas Substances 0.000 description 1
- 125000003187 heptyl group Chemical group [H]C([*])([H])C([H])([H])C([H])([H])C([H])([H])C([H])([H])C([H])([H])C([H])([H])[H] 0.000 description 1
- BXWNKGSJHAJOGX-UHFFFAOYSA-N hexadecan-1-ol Chemical compound CCCCCCCCCCCCCCCCO BXWNKGSJHAJOGX-UHFFFAOYSA-N 0.000 description 1
- 229920006158 high molecular weight polymer Polymers 0.000 description 1
- 238000010237 hybrid technique Methods 0.000 description 1
- 150000004678 hydrides Chemical class 0.000 description 1
- ZMZDMBWJUHKJPS-UHFFFAOYSA-N hydrogen thiocyanate Natural products SC#N ZMZDMBWJUHKJPS-UHFFFAOYSA-N 0.000 description 1
- 230000006872 improvement Effects 0.000 description 1
- 238000003780 insertion Methods 0.000 description 1
- 230000037431 insertion Effects 0.000 description 1
- 238000002955 isolation Methods 0.000 description 1
- 150000002678 macrocyclic compounds Chemical class 0.000 description 1
- 150000007931 macrolactones Chemical class 0.000 description 1
- 229910052748 manganese Inorganic materials 0.000 description 1
- 238000001840 matrix-assisted laser desorption--ionisation time-of-flight mass spectrometry Methods 0.000 description 1
- 238000005259 measurement Methods 0.000 description 1
- 230000007246 mechanism Effects 0.000 description 1
- QSHDDOUJBYECFT-UHFFFAOYSA-N mercury Chemical compound [Hg] QSHDDOUJBYECFT-UHFFFAOYSA-N 0.000 description 1
- 229910052753 mercury Inorganic materials 0.000 description 1
- 230000000269 nucleophilic effect Effects 0.000 description 1
- 239000003921 oil Substances 0.000 description 1
- 125000004430 oxygen atom Chemical group O* 0.000 description 1
- 238000004806 packaging method and process Methods 0.000 description 1
- WXZMFSXDPGVJKK-UHFFFAOYSA-N pentaerythritol Chemical compound OCC(CO)(CO)CO WXZMFSXDPGVJKK-UHFFFAOYSA-N 0.000 description 1
- 125000001147 pentyl group Chemical group C(CCCC)* 0.000 description 1
- 230000035699 permeability Effects 0.000 description 1
- 229960005235 piperonyl butoxide Drugs 0.000 description 1
- 229920002647 polyamide Polymers 0.000 description 1
- 229920000515 polycarbonate Polymers 0.000 description 1
- 239000004417 polycarbonate Substances 0.000 description 1
- 229920000098 polyolefin Polymers 0.000 description 1
- 239000002244 precipitate Substances 0.000 description 1
- 238000001556 precipitation Methods 0.000 description 1
- 239000000047 product Substances 0.000 description 1
- 229960000380 propiolactone Drugs 0.000 description 1
- 230000001141 propulsive effect Effects 0.000 description 1
- 238000000746 purification Methods 0.000 description 1
- 230000002441 reversible effect Effects 0.000 description 1
- WBHHMMIMDMUBKC-XLNAKTSKSA-N ricinelaidic acid Chemical compound CCCCCC[C@@H](O)C\C=C\CCCCCCCC(O)=O WBHHMMIMDMUBKC-XLNAKTSKSA-N 0.000 description 1
- 229960003656 ricinoleic acid Drugs 0.000 description 1
- FEUQNCSVHBHROZ-UHFFFAOYSA-N ricinoleic acid Natural products CCCCCCC(O[Si](C)(C)C)CC=CCCCCCCCC(=O)OC FEUQNCSVHBHROZ-UHFFFAOYSA-N 0.000 description 1
- 229920006395 saturated elastomer Polymers 0.000 description 1
- 125000002914 sec-butyl group Chemical group [H]C([H])([H])C([H])([H])C([H])(*)C([H])([H])[H] 0.000 description 1
- 229910052710 silicon Inorganic materials 0.000 description 1
- 125000005374 siloxide group Chemical group 0.000 description 1
- 150000003384 small molecules Chemical class 0.000 description 1
- 239000011734 sodium Substances 0.000 description 1
- 229910052708 sodium Inorganic materials 0.000 description 1
- 230000003595 spectral effect Effects 0.000 description 1
- 238000001228 spectrum Methods 0.000 description 1
- 238000003756 stirring Methods 0.000 description 1
- 239000003760 tallow Substances 0.000 description 1
- 238000012360 testing method Methods 0.000 description 1
- 229910052719 titanium Inorganic materials 0.000 description 1
- 230000007704 transition Effects 0.000 description 1
- 230000007306 turnover Effects 0.000 description 1
- 229910052720 vanadium Inorganic materials 0.000 description 1
- 125000000391 vinyl group Chemical group [H]C([*])=C([H])[H] 0.000 description 1
- 229920002554 vinyl polymer Polymers 0.000 description 1
- 239000003039 volatile agent Substances 0.000 description 1
- 238000010626 work up procedure Methods 0.000 description 1
- CHJMFFKHPHCQIJ-UHFFFAOYSA-L zinc;octanoate Chemical compound [Zn+2].CCCCCCCC([O-])=O.CCCCCCCC([O-])=O CHJMFFKHPHCQIJ-UHFFFAOYSA-L 0.000 description 1
Images
Classifications
-
- C—CHEMISTRY; METALLURGY
- C08—ORGANIC MACROMOLECULAR COMPOUNDS; THEIR PREPARATION OR CHEMICAL WORKING-UP; COMPOSITIONS BASED THEREON
- C08G—MACROMOLECULAR COMPOUNDS OBTAINED OTHERWISE THAN BY REACTIONS ONLY INVOLVING UNSATURATED CARBON-TO-CARBON BONDS
- C08G63/00—Macromolecular compounds obtained by reactions forming a carboxylic ester link in the main chain of the macromolecule
- C08G63/78—Preparation processes
- C08G63/82—Preparation processes characterised by the catalyst used
- C08G63/823—Preparation processes characterised by the catalyst used for the preparation of polylactones or polylactides
-
- C—CHEMISTRY; METALLURGY
- C08—ORGANIC MACROMOLECULAR COMPOUNDS; THEIR PREPARATION OR CHEMICAL WORKING-UP; COMPOSITIONS BASED THEREON
- C08G—MACROMOLECULAR COMPOUNDS OBTAINED OTHERWISE THAN BY REACTIONS ONLY INVOLVING UNSATURATED CARBON-TO-CARBON BONDS
- C08G63/00—Macromolecular compounds obtained by reactions forming a carboxylic ester link in the main chain of the macromolecule
- C08G63/78—Preparation processes
- C08G63/82—Preparation processes characterised by the catalyst used
- C08G63/83—Alkali metals, alkaline earth metals, beryllium, magnesium, copper, silver, gold, zinc, cadmium, mercury, manganese, or compounds thereof
-
- C—CHEMISTRY; METALLURGY
- C08—ORGANIC MACROMOLECULAR COMPOUNDS; THEIR PREPARATION OR CHEMICAL WORKING-UP; COMPOSITIONS BASED THEREON
- C08G—MACROMOLECULAR COMPOUNDS OBTAINED OTHERWISE THAN BY REACTIONS ONLY INVOLVING UNSATURATED CARBON-TO-CARBON BONDS
- C08G63/00—Macromolecular compounds obtained by reactions forming a carboxylic ester link in the main chain of the macromolecule
- C08G63/02—Polyesters derived from hydroxycarboxylic acids or from polycarboxylic acids and polyhydroxy compounds
- C08G63/06—Polyesters derived from hydroxycarboxylic acids or from polycarboxylic acids and polyhydroxy compounds derived from hydroxycarboxylic acids
- C08G63/08—Lactones or lactides
-
- C—CHEMISTRY; METALLURGY
- C08—ORGANIC MACROMOLECULAR COMPOUNDS; THEIR PREPARATION OR CHEMICAL WORKING-UP; COMPOSITIONS BASED THEREON
- C08G—MACROMOLECULAR COMPOUNDS OBTAINED OTHERWISE THAN BY REACTIONS ONLY INVOLVING UNSATURATED CARBON-TO-CARBON BONDS
- C08G63/00—Macromolecular compounds obtained by reactions forming a carboxylic ester link in the main chain of the macromolecule
- C08G63/78—Preparation processes
- C08G63/82—Preparation processes characterised by the catalyst used
- C08G63/84—Boron, aluminium, gallium, indium, thallium, rare-earth metals, or compounds thereof
-
- C—CHEMISTRY; METALLURGY
- C08—ORGANIC MACROMOLECULAR COMPOUNDS; THEIR PREPARATION OR CHEMICAL WORKING-UP; COMPOSITIONS BASED THEREON
- C08G—MACROMOLECULAR COMPOUNDS OBTAINED OTHERWISE THAN BY REACTIONS ONLY INVOLVING UNSATURATED CARBON-TO-CARBON BONDS
- C08G2261/00—Macromolecular compounds obtained by reactions forming a carbon-to-carbon link in the main chain of the macromolecule
- C08G2261/10—Definition of the polymer structure
- C08G2261/13—Morphological aspects
-
- C—CHEMISTRY; METALLURGY
- C08—ORGANIC MACROMOLECULAR COMPOUNDS; THEIR PREPARATION OR CHEMICAL WORKING-UP; COMPOSITIONS BASED THEREON
- C08L—COMPOSITIONS OF MACROMOLECULAR COMPOUNDS
- C08L67/00—Compositions of polyesters obtained by reactions forming a carboxylic ester link in the main chain; Compositions of derivatives of such polymers
- C08L67/04—Polyesters derived from hydroxycarboxylic acids, e.g. lactones
Landscapes
- Chemical & Material Sciences (AREA)
- Health & Medical Sciences (AREA)
- Chemical Kinetics & Catalysis (AREA)
- Medicinal Chemistry (AREA)
- Polymers & Plastics (AREA)
- Organic Chemistry (AREA)
- Polyesters Or Polycarbonates (AREA)
- Exhaust-Gas Circulating Devices (AREA)
Abstract
본 발명은 12 - 40 개의 원자의 고리 크기를 갖는 제 1 시클릭 에스테르를 제공하고 제 1 시클릭 에스테르를 화학식 I 의 촉매와 접촉시킴으로써 제 1 시클릭 에스테르를 개환 중합에 적용하는 것을 포함하는, 폴리에스테르의 제조 방법에 관한 것이다.
Description
본 발명은 폴리에스테르 단독중합체 또는 폴리에스테르 공중합체의 제조 방법에 관한 것이다.
폴리에스테르는 예를 들어 생체적합성, 생분해성 및 약물 투과성을 포함하는 이의 특성으로 인해 관심을 받는 물질이다. 또한 이는 필름 적용물에서 사용되는 경우, 바람직한 장벽 특성, 특히 산소 장벽 특성을 나타낼 수 있다. 따라서, 폴리에스테르는 의료 및 식품 포장 적용물에 관해 큰 관심 대상이다. 이러한 목적의 경우 공학 구조를 갖는 재료가 바람직한데, 이는 중합 반응에 대해 높은 제어 수준에 관한 수요를 나타낸다. 또한, 맞는 특성에 따라, 특정 폴리에스테르는 다양한 적용물에서 폴리에틸렌에 대한 관심 받는 생분해성 대안을 형성할 수 있다.
예를 들어, 중축합을 사용하는 종래의 폴리에스테르 합성 전략은, 상기 재료의 제어된 합성을 지루한 공정으로 만들 수 있는 근본적인 문제를 야기한다. 예를 들어, 중축합에 의한 폴리에스테르의 제조는 화학량론 문제, 높은 전환률 및 반응 동안 형성되는 소형 분자의 제거에 대한 필요성을 동반할 수 있다. 상기 통상의 전략에 대한 적합한 대체물은 시클릭 에스테르, 특히 락톤의 개환 중합이다. 상기 중합은 시클릭 단량체가 사슬-성장 공정에 의해 "개방" 되어 중합체 사슬을 형성한다는 사실에 기반한다. 그러나, 개환 중합 반응은 또한, 특히 음이온성 또는 양이온성 개시제가 사용되는 경우 제어하기가 어려울 수 있다. 개환 중합 반응은 온화한 중합 조건 하에서 만족스러운 전환율을 가진 효소를 이용하여 수행될 수 있다는 것으로 알려져 있다. 예를 들어, 리파아제, 예컨대 캔디다 안타르티카 리파아제 B (Candida Antarctica Lipase B: CALB) 는 락톤의 개환 중합에서 매우 활성이고 비교적 큰 고리 크기를 갖는 락톤에 대해 예외적으로 높은 중합 비율을 나타낸다. 상기 공정에서의 락톤의 반응성은 소형 락톤의 높은 고리-응력에 의해서가 아니고, 큰 고리 락톤에 존재하는 트랜소이드 (transoid) 에스테르 결합 형태에 대한 리파아제의 선호에 의해 지배받는다. 마크로락톤은 따라서 CALB 에 의해 쉽게 중합될 수 있다. 예를 들어, 150000 g/mol 이하의 수 평균 분자량을 갖는 폴리-펜타데카락톤 (PPDL) 이 보고되었다 (Focarete et al., J. Polym. Sci. B: Polym. Phys. 2001, 39, 1721 및 De Geus et al., Polym. Chem. 2010, 1, 525).
그러나, 산출되는 폴리에스테르의 분자량 및 다분산 지수에 대한 제어는 제한될 수 있고, 더욱 중요하게는 효소를 이용한 개환 중합은 적용된 온도에 의해 강하게 제한되는데, 효소가 전형적으로 높은 반응 온도를 견디지 못할 것이기 때문이다. 또한, 락톤의 개환 중합에 사용될 수 있는 효소는 다소 비싸다.
효소적 개환 중합의 제한 관점에서, 적합한 대안적인 금속-매개된 개환 중합 공정을 찾으려는 시도가 있어 왔다. 이러한 공정은 특히 매력적인데, 이들이 친핵성 개시제를 사용함으로써 중합체 분자량, 분자량 분포, 공중합체 조성 및 토폴로지 및 말단-기에 대해 높은 수준의 제어를 가능하게 하기 때문이다. 락톤의 개환 중합 뒤의 추진력은 엔탈피의 음성 변화에 의한, 시클릭 에스테르로부터 폴리에스테르 사슬로의 전이에서의 또는, 열역학 관점에서의 고리-응력의 방출이라는 것에 통상 동의한다. 따라서, 고리-응력은 시클릭 에스테르의 고리 크기가 증가하면서 감소되므로 금속-매개된 개환 중합에서 반응성도 그러하다. 실험적으로, 이것은 촉매/개시제로서 아연 옥토에이트/부틸 알코올을 사용하는 다양한 크기 락톤의 개환 중합의 비교 연구에서 Duda 에 의해 제시되었다 (Duda et al., Macromolecules 2002, 35, 4266). 상대적인 중합 속도가 6-원 (β-발레로락톤) 및 7-원 (ε-카프로락톤) 락톤에 대해서는 각각 2500 및 330 인 것으로 밝혀진 반면, 12-17 원 락톤의 반응 속도는 오직 대략 1 이었다. 효소적 개환 중합에 대해 보고된 바와 유사한 전환율 및 분자량을 달성할 수 있는 락톤의 금속-매개된 개환 중합을 위한 적합한 촉매를 제공하고 추가로 분자량, 분자량 분포 및 말단-기의 제어와 관련하여 금속-매개된 개환 중합의 양호한 열-안정성 및 금속-매개된 개환 중합의 융통성을 수득하기 위한 열망이라는 관점에서, WO 2012/065711 호에는 6 내지 40 개의 탄소 원자의 고리 크기를 갖는 임의 치환 락톤을 제공하고; 상기 락톤을 촉매로서 하기 일반 화학식 (I) 에 따른 화합물을 사용하는 금속 매개된 개환 중합에 적용하는 것을 포함하는, 폴리에스테르의 제조 방법이 기재되어 있다:
[식 중,
M 은 Al, Ti, V, Cr, Mn 및 Co 로 이루어지는 군으로부터 선택되고;
X 및 X' 는 독립적으로 헤테로원자이고, 바람직하게는 X 및 X' 는 동일하고;
Y 및 Y' 는 O, N, S, P, C, Si, 및 B 로 이루어지는 군으로부터 독립적으로 선택되고, 바람직하게는 Y 및 Y' 는 동일하고;
Z 는 수소, 보로히드라이드, 알루미늄 히드라이드, 카르빌, 실릴, 히드록시드, 알콕시드, 아릴옥시드, 카르복실레이트, 카보네이트, 카바메이트, 아민, 티올레이트, 포스파이드, 및 할라이드로 이루어지는 군으로부터 선택되고;
L1 및 L2 는 각각 독립적으로 X 및 Y 를 함께 연결하고 X' 및 Y' 를 함께 연결하는 유기 리간드이고, 바람직하게는 L1 및 L2 는 동일하고;
L3 은 Y 및 Y' 를 함께 연결하는 임의의 유기 리간드임].
종래 기술의 관점에서, 하기: 큰 고리 크기 시클릭 에스테르, 특히 락톤의 개환 중합을 위한 추가의 방법; 잘 제어된 분자량 및 다분산도를 갖는 고 분자량 폴리에스테르의 제조를 가능하게 하는 시클릭 에스테르, 특히 락톤의 개환 중합을 위한 방법; 별 형상의 폴리에스테르 또는 코-폴리에스테르의 제조를 가능하게 하는 시클릭 에스테르, 특히 락톤의 개환 중합을 위한 방법; 생체적합성이고/거나 폴리에스테르 재료가 식품과 접촉하는 적용물에 사용될 수 있는 촉매를 사용하는 폴리에스테르의 제조를 가능하게 하는 시클릭 에스테르, 특히 락톤의 개환 중합을 위한 방법; 또는 촉매의 양이 최소로 감소되는, 시클릭 에스테르, 특히 락톤의 개환 중합을 위한 방법 중 하나 이상을 제공하기 위한 당업계의 필요성이 남아 있다.
본 발명자들은 이제 비교적 큰 고리 크기를 갖는, 시클릭 에스테르, 특히 락톤의 제어된 개환 중합을 허용하는 추가의 촉매계를 발견하였다. 본 발명은 12 - 40 개의 원자의 고리 크기를 갖는 제 1 시클릭 에스테르를 제공하고 제 1 시클릭 에스테르를 하기 화학식 I 의 촉매와 접촉시킴으로써 제 1 시클릭 에스테르를 개환 중합에 적용하는 것을 포함하는, 폴리에스테르의 제조 방법에 관한 것이다:
[식 중,
M 은 금속이고, 2 족 금속 및 12 족 금속으로 이루어지는 군으로부터 선택되고;
Z 는 수소, 보로히드라이드, 알루미늄 히드라이드, 카르빌, 실릴, 히드록시드, 알콕시드, 아릴옥시드, 카르복실레이트, 티오카르복실레이트, 디티오카르복실레이트, 카보네이트, 카바메이트, 구아니데이트, 아미드, 티올레이트, 포스파이드, 히드라조네이트, 이미드, 시아나이드, 시아네이트, 티오시아네이트, 아지드, 니트로, 실록사이드 및 할라이드로 이루어지는 군으로부터 선택되고;
X 는 O, N, S, 및 P 로 이루어지는 군으로부터 선택되고;
R1 은 유기 연결 잔기이고 하나 이상, 바람직하게는 둘 이상의 원자의 사슬 길이를 갖고;
R2 는 수소, C1-10 알킬, 실릴, C1-6 알콕시, C3-8 시클로알킬, C3-8 시클로알콕시, 아릴, 아릴옥시, C1-10 아민, C1-10 니트로, C1-10 시아노 할라이드 (F, Cl, Br, I), 및 산소, 황, 질소 및 인으로부터 선택되는 1 내지 4 개의 헤테로원자를 함유하는 5- 또는 6-원 헤테로사이클로 이루어지는 군으로부터 선택되는 유기 잔기이고;
R3 은 임의의 유기 잔기이고, R2 와 동일 또는 상이할 수 있고;
R4, R5, R6, R7 은 유기 잔기이고, 동일 또는 상이할 수 있고, 수소, C1-10 알킬, 실릴, C1-6 알콕시, C3-8 시클로알킬, C3-8 시클로알콕시, 아릴, 아릴옥시, C1-10 아민, C1-10 니트로, C1-10 시아노 할라이드 (F, Cl, Br, I), 및 산소, 황, 질소 및 인으로부터 선택되는 1 내지 4 개의 헤테로원자를 함유하는 5- 또는 6-원 헤테로사이클로 이루어지는 군으로부터 선택되고;
R8 은 수소, C1-10 알킬, 실릴, C1-6 알콕시, C3-8 시클로알킬, C3-8 시클로알콕시, 아릴, 아릴옥시, C1-10 아민, C1-10 니트로, C1-10 시아노 할라이드 (F, Cl, Br, I) 및 산소, 황, 질소 및 인으로부터 선택되는 1 내지 4 개의 헤테로원자를 함유하는 5- 또는 6-원 헤테로사이클로 이루어지는 군으로부터 선택되는 유기 잔기임].
도 1 은 본 발명에 따른 방법으로 제조된 2 개의 공중합체에 대한 DSC 플롯을 나타낸다.
도 2 는 본 발명에 따른 방법으로 제조된 CL/ PDL 무작위 공중합체의 DSC 플롯을 나타낸다.
도 2 는 본 발명에 따른 방법으로 제조된 CL/ PDL 무작위 공중합체의 DSC 플롯을 나타낸다.
상세한 설명
본 발명자들은 화학식 (I) 의 금속 착물 촉매가, 효소적 개환 중합에 의해 수득가능한 것보다 유사한 특성, 예컨대 다분산 지수 및 분자량을 갖는 중합체를 산출하는 방식으로, 비교적 큰 고리 크기를 갖는 시클릭 에스테르, 특히 락톤의 금속 매개된 개환 중합을 효과적으로 촉매화할 수 있다는 것을 발견하였다. 게다가, 중합 방법은 락톤의 효소적 개환 중합에 필적하는 또는 이보다 양호한, 양호한 중합 동역학을 갖는다는 것을 발견하였다. 금속 M 의 적합한 선택에 의해, 생체적합하게 승인되고 및/또는 사용하고자 하는 촉매의 총 양의 감소를 허용하고 및/또는 별-형상의 또는 다른 토폴로지 중합체가 수득되도록 허용하는 촉매계는 수득될 수 있다. 따라서, 본 방법을 이용함으로써 상기 언급된 목적 중 일부 또는 모두가 충족된다.
기 Z 와 관련하여서는 하기와 같다:
보로히드라이드는 BH4-xRx (식 중, x 는 0-3 의 정수이고, R 은 카르빌 또는 알콕시드임) 일 수 있고,
알루미늄 히드라이드는 AlH4-xRx (식 중, x 는 0-3 의 정수이고, R 은 카르빌 또는 알콕시드임) 일 수 있고,
카르빌은 임의의 탄화수소, -CR3, -Ar (아릴), -CR=CR2, -C≡CR 일 수 있고, 여기서 R 은 수소, 임의 치환 알킬, 임의 치환 아릴이고,
실릴은 -SiR3 (식 중, R 은 수소, 임의 치환 알킬, 임의 치환 아릴임) 일 수 있고,
알콕시드는 -OR 일 수 있고, 여기서 R 은 임의 치환 알킬이고,
카르복실레이트는 -OC(=O)R 일 수 있고, 여기서 R 은 수소, 임의 치환 알킬, 임의 치환 아릴이고,
티오카르복실레이트는 -SC(=O)R (식 중, R 은 수소, 임의 치환 알킬, 임의 치환 아릴임) 일 수 있고,
디티오카르복실레이트는 -SC(=S)R (식 중, R 은 수소, 임의 치환 알킬, 임의 치환 아릴임) 일 수 있고,
구아니디네이트는 (-N=C(Ra)N(Rb)Rc 또는 N(Rb)C(Ra)=NRc (식 중, Ra, Rb, Rc 은 수소, 임의 치환 알킬, 임의 치환 아릴임) 일 수 있고,
카르보네이트는 -OC(=O)OR (식 중, R 은 임의 치환 알킬, 임의 치환 아릴임) 일 수 있고,
카르바메이트는 -OC(=O)NR2 (식 중, R 은 임의 치환 알킬, 임의 치환 아릴임) 일 수 있고,
아미드는 -NR2 (식 중, R 은 수소, 임의 치환 알킬, 임의 치환 아릴임) 일 수 있고,
티올레이트는 -SR (식 중, R 은 수소, 임의 치환 알킬, 임의 치환 아릴임) 일 수 있고,
포스파이드는 -PR2 (식 중, R 은 수소, 임의 치환 알킬, 임의 치환 아릴임) 일 수 있고,
히드라조네이트는 (-N(Ra)N=C(Rb)Rc (식 중, Ra, Rb, Rc 은 수소, 임의 치환 알킬, 임의 치환 아릴임) 일 수 있고,
이미드는 (-N=C(Ra)Rb (식 중, Ra, Rb 는 수소, 임의 치환 알킬, 임의 치환 아릴임) 일 수 있음.
본원에서 사용된 용어 "카르빌" 은 알킬, 아릴, 비닐 및 아세틸렌을 포함하는 탄화수소의 모든 유형을 나타내는 것을 의미한다.
치환기 Z 는 특히 보로히드라이드 또는 알루미늄 히드라이드일 수 있다. 보로히드라이드 (예를 들어, BH4) 및 알루미늄 히드라이드 (예를 들어 AlH4) 는 히드라이드를 통해 결합하는 음이온성 종이다. 이는 M(μ-H)2AH2 (M = 상기 정의된 바와 같음, A = B 또는 Al) 로 설명될 수 있다.
바람직하게는 Z 는 1 내지 4 개의 탄소 원자를 갖는 카르빌 기, 예컨대 에틸 또는 메틸, 프로필 및 부틸이거나 Z 는 펜틸, 헥실, 헵틸, n-옥틸이거나, Z 는 1 내지 20 개의 탄소 원자를 함유하는 알콕시드 기, 예컨대 메톡시드, 에톡시드 또는 벤질옥시드이다. Z 가 이후 예를 들어 알코올에 의해 촉매를 활성화할 때 사용되는 1 내지 4 개의 탄소 원자를 갖는 카르빌 기인 경우, 각각의 유기 분자는 잔여물을 남기지 않는 기체 형태로 반응 혼합물로부터 배출된다. 예를 들어, Z 가 에틸인 경우, 알코올에 의한 촉매의 활성화시에, 에탄이 배출되고 촉매적 활성 금속 알콕시드가 형성된다.
금속 M 은 바람직하게는 알루미늄, 칼슘, 아연 및 마그네슘으로 이루어지는 군으로부터 선택되고, 바람직하게는 마그네슘, 칼슘 또는 아연이다. 본 발명자들은 이러한 금속을 기반으로 하는 촉매가 고분자량 중합체가 수득되는 것을 허용하고 비교적 쉽게 제조될 수 있음을 밝혀냈다. 이에 더해 칼슘, 마그네슘, 및 아연 금속은 생체적합성이다. 금속 칼슘, 아연, 및 마그네슘이 사용되는 경우 리빙 촉매계가 수득된다. 리빙 촉매계는 촉매가 불활성화되거나 또는 단량체가 반응 혼합물에 더이상 남지 않을 때까지 촉매가 개환 중합에서 활성으로 유지될 것을 의미한다. 촉매 불활성화는 예를 들어 산성 메탄올을 반응 혼합물에 첨가함으로써 수행될 수 있다. 2 족 또는 12 족 내의 다른 금속은 칼슘, 아연 및 마그네슘과 유사한 행동을 보일 수 있으나, 경제적 관점에서 덜 호의적일 수 있고, 및/또는 느린 중합 속도를 산출할 수 있고 및/또는 또한 에스테르교환 반응을 산출할 수 있다. 예를 들어, 본 발명자들은 금속으로서 알루미늄 기재의 촉매가 다소 적은 분자량 시클릭 올리고머가 제조되는 효과를 갖는 일부 에스테르교환 반응 (특히 백-바이팅 (back-biting)) 을 산출한다는 것을 발견하였다. 게다가, 임의의 블록형 공중합체는 천천히 좀더 무작위 유형의 공중합체로 변환될 것이다. 따라서, 그리고 엄격하게 말하면, 알루미늄 기재의 촉매는 리빙 촉매로서 고려될 수 없다. 이러한 촉매계는 그럼에도 불구하고 잘-제어된 촉매계로서 언급될 수 있다. 화학식 I 의 R1 은 바람직하게는, N, O, F, Cl 및 Br 로부터 선택되는 1 내지 10 개의 헤테로원자를 임의로 함유하는, 1 내지 30 개의 탄소 원자를 함유하는 직쇄 또는 분지형 지방족 사슬, 또는 시클릭 또는 방향족 잔기이다. R1 은 포화 잔기일 수 있다. 특히 바람직한 것은 1 내지 4, 또는 2 내지 4 개의 탄소 원자의 사슬 길이를 갖는 직쇄 또는 분지형 포화 지방족 사슬이다. R1 은 바람직하게는 헤테로원자를 함유하지 않는다. R1 은 -(C2H4)-, -(C3H6)-, -(C4H8)- 일 수 있다. R1 이 시클릭 잔기인 예는 시클로헥실이다.
방법의 바람직한 구현예에서 하기와 같다:
X 는 N 이고,
R5, R7 및 R8 은 수소이고/이거나
R4 및 R6 은 독립적으로 수소, 메틸, 에틸, 프로필, 이소프로필, n-부틸, i-부틸, s-부틸, t-부틸, n-펜틸, i-펜틸, 네오펜틸, n-헥실, 2,2-디메틸부탄, 2-메틸펜탄, 3-메틸펜탄, 2,3-디메틸부탄, 시클로헥산, 아다만틸, 메톡시드, 에톡시드, (n-/t-)부톡시드, 아릴옥시드 및 할라이드로부터 선택됨.
본 발명의 방법의 추가 바람직한 구현예에서 하기와 같다:
R1 은 -[CH2-CH2]- 연결 잔기이고, R2 및 R3 은 수소이고/이거나
R5, R7 및 R8 은 수소이고/이거나
R4 및 R6 은 tert-부틸이고/이거나
X 는 N 이고/이거나
Z 는 에틸 또는 N(Si-CH3)2 임.
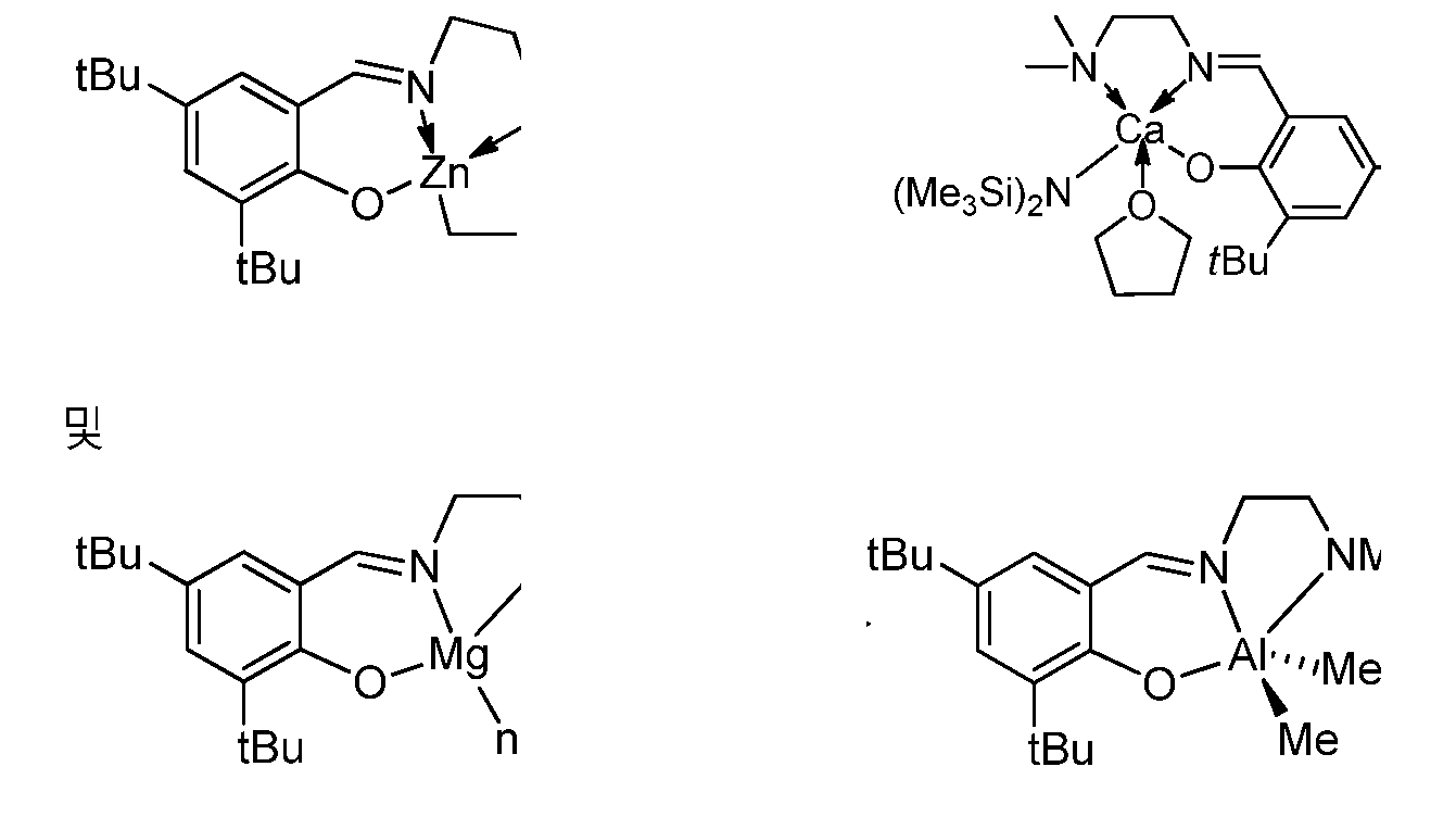
특정 구현예에서, 촉매는 하기로부터 선택된다.
개환 중합의 메카니즘 및 개시는 당업자에 익히 공지되어 있고, 예를 들어 "Handbook of Ring Opening Polymerization, 2009, Eds. Philippe Dubois, Olivier Coulembier, Jean-Marie Raquez, Wiley VCH, ISBN: 978 3 527 31953 4" 에 기재되어 있다.
촉매의 중요한 양상은 이러한 촉매가 리빙 (living)/잘-제어된 거동을 나타낸다는 것이다. 또한 이러한 촉매는 과량의 양성자성 사슬 이동제의 존재 하에 안정한데, 이는 활성의 손실 없이 그리고 분자량, PDI 및 중합체 마이크로구조 (무작위 및 블록 공중합체) 및 토폴로지 (선형, 별-형상 (공)중합체) 에 대한 완벽한 제어를 유지하면서 활성 부위마다 다수의 중합체 사슬의 생성을 허용하는 불멸 촉매계를 산출한다.
제 1 시클릭 에스테르는 12 내지 40 개의 원자, 바람직하게는 12 내지 24 개의 원자의 고리 크기를 갖는다. 바람직하게는 제 1 시클릭 에스테르는 락톤이다. 바람직하게는 에스테르의 산소 외에 고리를 형성하는 원자는 탄소 원자이다. 제 1 시클릭 에스테르는 예를 들어 11-운데카락톤, 12-도데카락톤, 13-트리데카락톤, 14-테트라데카락톤, 15-펜타데카락톤 (또는 ω-펜타데카락톤), 글로발라이드, 16-헥사데카락톤, 암브레톨라이드, 17-헵타데카락톤, 18-옥타데카락톤, 19-노나데카락톤일 수 있다. 특히 바람직한 제 2 시클릭 에스테르는 이들의 상업적 이용능 및/또는 제조의 용이성 및 양호한 반응성의 관점에서 펜타데카락톤, 18-옥타데카락톤, 12-펜타데센-15-올라이드 (글로발라이드로서 공지됨) 및 7-헥사데센-16-올라이드 (암브레톨라이드로서 공지됨) 이다. 바람직하게는 제 2 시클릭 에스테르는 고리 내에 오직 하나의 에스테르 관능기를 갖는다.
본원에서 사용되는 용어 고리-크기는 시클릭 에스테르 내에 고리를 형성하는 원자의 수를 말한다. 예를 들어 카프로락톤은 7 원 고리, 즉 7 개의 고리 크기를 갖는다. 카프로락톤의 고리는 6 개의 탄소 원자 및 1 개의 산소 원자로 이루어진다.
본 발명에 따른 방법은 바람직하게는 4 - 40 개의 원자의 제 2 고리 크기를 갖는 제 2 또는 추가의 시클릭 에스테르를 제공하는 것을 추가로 포함할 수 있으며, 이때 상기 제 1 및 제 2 시클릭 에스테르 모두를 상기 개환 중합에 적용한다. 다른 말로는, 방법은 시클릭 에스테르의 단독중합에 제한되지 않으나, 또한 제 2 또는 추가의 시클릭 에스테르를 반응에 첨가함으로써 공중합체를 제조하기 위해 사용될 수 있다.
제 2 (또는 추가의) 시클릭 에스테르는 4 - 11 개의 원자, 예컨대 4 - 8 개의 원자의 고리 크기를 갖는 시클릭 에스테르일 수 있다. 바람직하게는 제 2 또는 추가의 시클릭 에스테르는 고리 내에 단일 에스테르 기를 갖는 시클릭 에스테르인 락톤이다. 바람직하게는 에스테르의 산소 외에 고리를 형성하는 원자는 탄소 원자이다. 제 2 또는 추가의 시클릭 에스테르의 예에는 β-프로피오락톤, β-부티로락톤, 3-메틸옥세탄-2-온, γ-발레로락톤, 카프로락톤, ε-카프로락톤, ε-데카락톤, 5,5-디메틸-디히드로-푸란-2-온, (S)-Y-히드록시메틸-Y-부티로락톤, γ-옥타노익 락톤, γ-노나노익 락톤, δ-발레로락톤, δ-헥사락톤, δ-데카락톤, δ-운데카락톤, δ-도데카락톤, 글리콜라이드, 락타이드 (L, D, 메조), 헵타락톤, 옥타락톤, 노나락톤, 데카락톤이 포함된다. 바람직하게는 제 2 또는 추가의 시클릭 에스테르는 고리 내에 오직 하나의 에스테르 관능기를 갖는다.
제 2 (또는 추가의) 시클릭 에스테르는 또한 12 -40 개의 원자, 예컨대 12 내지 24 개의 원자의 고리 크기를 갖는 시클릭 에스테르일 수 있다. 제 2 또는 추가의 시클릭 에스테르는 바람직하게는 락톤이다. 바람직하게는 에스테르의 산소 외에 고리를 형성하는 원자는 탄소 원자이다. 제 2 또는 추가의 시클릭 에스테르는 예를 들어 11-운데카락톤, 12-도데카락톤, 13-트리데카락톤, 14-테트라데카락톤, 15-펜타데카락톤 (또는 ω-펜타데카락톤), 글로발라이드, 16-헥사데카락톤, 암브레톨라이드, 17-헵타데카락톤, 18-옥타데카락톤, 19-노나데카락톤일 수 있다. 바람직하게는 제 2 시클릭 에스테르는 고리 내에 오직 하나의 에스테르 관능기를 갖는다.
제 1 및/또는 제 2 및/또는 추가의 시클릭 에스테르는, 특히 이들이 락톤인 경우, 임의의 이성체 형태일 수 있고 개환 중합을 방해하지 않는 고리 상의 유기 치환기를 추가로 함유할 수 있다. 이러한 시클릭 에스테르의 예에는 4-메틸 카프로락톤, 1,5-디옥세판-2-온 (3 위치에 치환기), 리시놀레산의 락톤 ((코-1)-위치 상에 분지된 헥실을 가진 10-원 고리) 또는 이의 수소첨가된 형태, 13-헥실옥사시클로트리데칸-2-온 (α-위치 상에 헥실 분지를 가진 마크로사이클), 등이 포함된다.
제 1 및/또는 제 2 및/또는 추가의 시클릭 에스테르가 고리 내에 하나 이상의 불포화를 포함하는 것이 추가로 가능하다. 이러한 시클릭 에스테르의 예에는 5-테트라데센-14-올라이드, 11-펜타데센-15-올라이드, 12-펜타데센-15-올라이드 (또한 글로발라이드로서 공지됨), 7-헥사데센-16-올라이드 (또한 암브레톨라이드로서 공지됨), 9-헥사데센-16-올라이드가 포함된다.
제 1 및/또는 제 2 시클릭 에스테르는 고리 내에 하나 이상의 헤테로원자를 추가로 가질 수 있으며, 단 이것은 개환 중합을 방해하지 않는다. 이러한 시클릭 에스테르의 예에는 10-옥사헥사데카놀라이드, 11-옥사헥사데카놀라이드, 12-옥사헥사데카놀라이드, 및 12-옥사헥사데센-16-올라이드가 포함된다. 바람직하게는 그러나, 제 1 및/또는 제 2 및/또는 추가의 시클릭 에스테르는 고리 내에 헤테로원자를 함유하지 않는다.
제 2 및/또는 추가의 시클릭 에스테르가 개환 중합에 적용되는 방법의 구현예는 단일 단계 또는 "1 포트" 기술을 사용하여 또는 순차적 공급 중합 기술 또는 순차적 중합 기술을 사용하여 실시될 수 있다.
본원에 사용된 용어 "순차적 중합" 은 시클릭 에스테르의 순차적 개환 중합을 의미하는 것으로 이해되어야 한다. 이러한 중합 기술에서 하나의 시클릭 에스테르는 한번에 중합되고, 오로지 제 1 시클릭 에스테르가 실질적으로 중합체로 전환된 이후, 제 2 시클릭 에스테르가 반응에 첨가된다. 순차적 공급 중합 방법은 제 1 시클릭 에스테르의 개환 중합 이후 제 2 또는 추가의 시클릭 에스테르의 개환 중합에 의해, 또는 제 2 또는 추가의 시클릭 에스테르의 개환 중합 이후 제 1 시클릭 에스테르의 개환 중합에 의해 수행될 수 있다. 순차적 중합 기술은 모든 시클릭 에스테르가 첨가되거나 다르게는 동시에 반응 동안 존재하는 공중합 기술과 매우 상이하고, 상기 기술은 가능하게는 "1-포트", " 1 단계" 또는 "단일 공급" 중합 기술로 나타내어진다.
상기 방법은 상기 기술 중 임의의 것에 제한되지 않으며, 심지어 특정 전환율, 예를 들어 20% 내지 80% 에 도달한 다음, 제 2 또는 추가의 시클릭 에스테르의 첨가에 의해 연속될 때까지 제 1 시클릭 에스테르의 중합을 수반하는 하이브리드 기술을 수반할 수 있다.
바람직하게는 방법은 1 단계로 실시된다.
본 발명의 방법에서 시클릭 에스테르 및 촉매의 양 사이의 몰비는 바람직하게는 20:1 - 1000:1 범위, 바람직하게는 40:1 - 750:1 범위, 더 바람직하게는 50:1 - 500:1 범위이다.
임의로는 본 발명의 방법에 사용된 촉매는 바람직하게는 대략 등몰량으로 개시제와 함께 적용될 수 있다. 방법에 적합한 개시제는 양성자성 시약 예컨대 알코올, 물, 카르복시산 및 아민을 포함한다. 상기 개시제는 당업자에 익히 공지되어 있고, 이의 예는 예를 들어 본원에서 참조 인용되는 [Clark et al., Chem. Commun. 2010, 46, 273-275] 및 여기서 언급된 문헌에서 찾을 수 있다.
다관능성 개시제 (또는 사슬 이동제) 의 사용은 예를 들어 [Dong et al., Macromolecules 2001 , 34, 4691] 또는 [Dong et al., Polymer 2001 , 42, 6891] 또는 [Kumar et al, Macromolecules 2002, 35, 6835], 또는 [Zhao et al., Chem. Mater. 2003, 15, 2836] 또는 [Carnahan et al., J. Am. Chem. Soc. 2001 , 123, 2905] 에 개시되어 있다. 개환 중합이 개시제의 존재 하에 수행되는 구현예에서, 개시제와 촉매 사이의 몰비는, 개시제로서 사용된 시약이 또한 사슬 이동제로 사용되지 않는 한, 대략 1:1 이다.
개시제가 사슬 이동제로 또한 사용되는 경우, 시클릭 에스테르와 개시제 사이의 몰비는 본 발명의 방법에 따라 제조되는 폴리에스테르의 분자량을 조절하는 도구로서 사용될 수 있다. 그 결과 본 발명자들은 중합체의 분자량이 시클릭 에스테르 대 개시제 비율의 증가에 따라 거의 선형으로 증가함을 밝혀냈다.
개시제가 사슬 이동제로서 사용되는 구현예에서, 개시제는 활성 부위마다 하나 초과의 사슬을 생성하기 위해 촉매에 대해 과량으로 첨가된다. 적용된 촉매의 양은 촉매 효능의 증가로 인해 사슬 이동제의 존재 하에 감소될 수 있다. 존재하는 경우, 사슬 이동제의 몰량은 전형적으로 촉매의 몰 양의 1-1000 배 범위, 바람직하게는 촉매의 몰량의 10-100 배, 더 바람직하게는 10-50 배 범위일 것이다. 이러한 구현예에서, 단량체 대 촉매 비율은 1000:1 초과일 수 있고, 비교적 높은 값, 예를 들어 1000000 이하를 달성할 수 있다.
개환 중합 반응은, 촉매가 불활성 분위기 및 바람직하게는 (상당한 양의) 물의 부재 하에 더 양호하게 수행된다는 이유로, 바람직하게는 불활성 분위기, 예컨대 질소 분위기 하에 수행된다.
원하는 경우, 본 발명의 개환 중합은 용매, 예컨대 지방족 또는 방향족 탄화수소 (예를 들어, 헵탄, 톨루엔), 할로겐화 지방족 또는 방향족 탄화수소 (예를 들어 디클로로메탄, 브로모벤젠), 및 에테르 (예를 들어 디에틸 에테르) 의 존재 하에 수행될 수 있다. 용매는 시클릭 에스테르를 용해시키고/거나 중합 동역학 및 선택성을 증가시키는데 사용될 수 있다. 그러나 개환 중합은 또한 벌크 단량체에서 수행될 수 있다.
본 발명의 방법에 의해 제조된 폴리에스테르의 분자량은 넓은 한계 내에서 변화할 수 있고, 시클릭 에스테르 및 촉매 사이의 몰비 및 적용가능한 경우, 사슬 이동제 (또는 개시제) 의 양 및 유형을 선택함으로써 특이적 특성을 충족시키도록 조절될 수 있다.
유리하게는, 본 발명의 방법은 락톤의 효소적 개환 중합에 사용된 효소가 일반적으로 분해될 비교적 높은 공정 온도에서 수행된다. 전형적으로, 본 발명의 방법은 70-180 ℃ 범위, 예컨대 80-175 ℃ 범위, 또는 90-150 ℃ 범위의 온도에서 수행될 수 있다.
본 발명의 방법에서 사용된 촉매의 양은 비교적 낮으므로, 한 번 제조되면 공중합체 생성물로부터 촉매를 분리할 직접적인 필요가 없다. 그러나, 어떠한 이유로든 촉매를 분리할 필요가 존재해야 한다면, 이때 이는 예를 들어 적합한 용매 중의 중합체의 침전에 의해 이루어질 수 있다.
본 방법으로 수득된 폴리에스테르는 왁스성 물질이 바람직한 경우 비교적 낮은 것으로부터 또는 원하는 기계적 특성 또는 용융 점도를 수득하도록 하는 비교적 높은 값까지 임의의 원하는 분자량을 가질 수 있다. 바람직하게는 수 평균 분자량 (Mn) 은 2000 g/mol 이상이며, 실질적인 상한은 예를 들어 150000 g/mol 이다. 더 바람직한 Mn 은 30000 내지 100000 g/mol 또는 50000 내지 80000 gram/mol 이다.
본 방법의 추가의 양상은 비교적 낮은 다분산 지수를 나타내는 (이는 바람직하게는 3 이하임) 폴리에스테르의 제조를 허용한다는 점이다. 본원에서 정의된 다분산 지수 또는 PDI 는 중량 평균 분자량 및 수 평균 분자량의 비율 (Mw/Mn) 을 의미한다. 더 바람직하게는 PDI 는 1 - 3 또는 1 - 2 이다.
본 발명에 따른 방법에 의해 수득가능한 폴리에스테르는 선형 중합체, 별 유형 중합체, 예컨대 Y-유형 분지형 중합체, H-유형 분지형 중합체, 및 콤브 (comb) 유형 또는 브러쉬 유형 중합체일 수 있다.
Y-유형 분지형 중합체는 중앙 지점에서 서로 연결된 3 개의 분지를 갖는 중합체이다. 상기 유형의 중합체는 더 일반적인 용어 별 유형 중합체의 종이다.
H-유형 분지형 중합체는 중앙 연결 기 (또는 가교) 로부터 서로 연결된 4 개의 분지를 갖는 중합체이다. 상기 유형의 중합체는 더 일반적인 용어 별 유형 중합체의 종이다. 가교는 예를 들어 2 내지 6 개의 탄소 원자의 사슬 길이를 갖는 짧은 탄화수소 사슬일 수 있고, 이로부터 4 개의 분지가 연장된다.
콤브 또는 브러쉬 유형 중합체는 그로부터 다수의 분지 (콤브 또는 브러쉬의 이) 가 연장되는 백본 (콤브 또는 브러쉬의 베이스) 으로서 선형 분자 사슬을 갖는 중합체이다.
별 유형 중합체는 그로부터 다수의 분지가 연장되는 중심점을 갖는 중합체이다. 중심점은 단일 원자 또는 소형 탄화수소일 수 있다.
본 발명자들은 중합체의 유형을 조절하는데 있어서 이러한 유연성이 본 발명에 따른 방법의 강점인 것으로 여긴다. 중합체 유형은 적절한 개시제 (또는 사슬 전달제) 를 선택하여 조절될 수 있다. 예를 들어 펜타에리트리톨이 개시제로서 선택되는 경우 이때 4 개의 분지를 갖는 별-유형 중합체가 형성될 수 있다.
본 발명의 방법으로 수득되는 폴리에스테르는 이들의 각각의 특성, 예컨대 수 평균 분자량, 다분산 지수, 유형, 및 방법에서 사용되었던 제 1 및/또는 제 2 시클릭 에스테르의 각각의 양 등에 따라 광범위한 적용에서 사용될 수 있다.
폴리에스테르는 높은 기계적 강도를 가진 섬유의 제작을 위해 사용될 수 있다. 특히 고 분자량 및 비교적 낮은 다분산 지수를 가진 공중합체가 본 목적에 적합하다.
폴리에스테르는 추가로 생물의학 적용에 사용될 수 있다. 이와 관련하여 폴리에스테르의 분해력이 공단량체의 도입에 의해 조절될 수 있다는 것이 매우 유리하다. 예를 들어 비교적 작은 고리 크기를 갖는 락톤으로부터의 (공)중합체가 큰 고리 크기를 갖는 락톤보다 더욱 생분해가능하다는 것이 공지된다. 따라서, 공중합체의 조성 (즉, 제 1 및 제 2 락톤의 선택 및 양) 을 조정함으로써 원하는 생분해성이 수득될 수 있다. 공중합체가 좀더 무작위성일수록, 상기 생분해성이 좀더 균일할 것이다.
생물의학 적용의 예에는 스크류 (예컨대 뼈 용), 스캐폴딩 (scaffolding), 봉합선, 약물 전달 장치 등이 포함된다.
폴리에스테르는 기타 중합체 물질, 예컨대 예를 들어 폴리에스테르, 폴리카보네이트, 폴리아미드 및 폴리올레핀을 추가로 포함하는 중합체 조성물에서 추가로 사용될 수 있다.
본 발명은 이제 하기 실시예 및 도면에 의해 추가로 설명될 것이며, 이들은 어떠한 방식으로도 제한하는 것으로 의도되지 않는다.
실시예
모든 용매 및 시약은 달리 나타내지 않는 한 시판 공급처로부터 구입하였다. p-자일렌 (99.9 %) 를 나트륨으로 건조시키고, 질소 하에 분별 증류하고, 사용 전에 탈기시켰다. 헥사데칸올, 펜타데카락톤, ε-데카락톤, 암브레톨리드, ε-카프로락톤 및 β-부티로락톤을 사용 전에 질소 하에 CaH2 로부터 새로 증류하였다. 톨루엔을 정제 컬럼에 통과시키고, 사용 전에 탈기시켰다.
1H NMR 및 13C NMR 스펙트럼을 각각 1H 및 13C 에 대해 400 MHz 및 100.62 MHz 의 주파수에서 작동되는 Varian Mercury Vx 분광계를 사용하여 CDCl3 중에 실온에서 기록하였다. 1H NMR 실험의 경우, 스펙트럼 너비는 6402.0 Hz 이고, 취득 시간은 1.998 s 이고, 기록된 스캔의 수는 64 이다. 13C NMR 스펙트럼을 24154.6 Hz 의 스펙트럼 너비, 1.300 s 의 취득 시간 및 256 스캔으로 기록하였다. 화학적 이동을 테트라메틸실란 (TMS) 에 대해 ppm 으로 기록하고 TMS 를 참조로 측정하였다.
고온 크기 배제 크로마토그래피 (HT-SEC) 를 일련의 3 PLgel Olexis (300×7.5 mm, Polymer Laboratories) 컬럼을 갖는 Polymer Laboratories PLXT-20 Rapid GPC 중합체 분석 시스템 (회절 지수 검출기 및 점도 검출기) 을 사용하여 160 ℃ 에서 수행하였다. 1,2,4-트리클로로벤젠을 1 mL·min-1 의 흐름 속도로 용리액으로서 사용하였다. 분자량을 폴리에틸렌 표준 (Polymer Laboratories) 에 대해 계산하였다. Polymer Laboratories PL XT-220 로보틱 샘플 취급 시스템을 자동샘플러로 사용하였다.
용융 온도 (Tm) 를 TA Instruments 로부터의 DSC Q100 을 사용하여 시차 주사 열량계 (DSC) 에 의해 측정하였다. 측정은 -60 ℃ 로부터 130 ℃ 로 10 ℃·min-1 의 가열 및 냉각 속도로 수행하였다. 전이는 제 2 가열 및 냉각 곡선으로부터 추정되었다. 제 1 및 제 2 실행을 약 20 ℃ 로 냉각된 이후 기록하였다. 보고된 용융 온도는 제 2 실행에서 용융 피크에 해당한다.
단독-중합 조건
글로브 박스에 시클릭 에스테르 (락톤) 단량체, 촉매 및 등몰량의 알코올 (R-OH) 을 작은 유리 크림프 뚜껑 (crimp cap) 바이알 내에 두었다. 건조 톨루엔을 첨가하고 바이알의 뚜껑을 닫았다. 반응 혼합물을 글로브 박스로부터 제거하고 제시된 시간 동안 100 ℃ 에서 교반하였다. 모든 반응의 경우, 미정제 중합체의 분취액을 중합 종료시에 배출시키고 1H NMR 분광학에 의한 단량체 전환율을 측정하기 위해 CDCl3 에 용해하였다. 이후 반응을 혼합물의 냉각에 의해 중단시키고, 진공 하에 톨루엔의 제거, 및 과량의 메탄올 (~ 5 mL) 의 첨가로 중합체를 침전시켰다. 제조된 중합체를 단리하고, 진공 하에 실온에서 적어도 18 시간 동안 건조시키고, 특히 고온 크기-배제 크로마토그래피 (HT-SEC), 시차 주사 열량계 (DSC), 및 1H, 13C 핵 자기 공명 분광학 (NMR) 을 특징으로 한다.
공-중합 조건
글로브 박스에 제 1 및 제 2 시클릭 에스테르 (락톤), 촉매, 및 (촉매와) 등몰량의 알코올 (ROH) 을 동시에 작은 유리 크림프 뚜껑 바이알 내에 두었다. 바이알의 뚜껑을 닫고, 글로브 박스로부터 제거하고, 제시된 시간 (1 내지 18 h) 동안 100 ℃ 에서 교반하였다. 그 다음, 미정제 중합체의 분취액을 단량체 전환율을 측정하기 위해 바이알로부터 제거하였다. 공중합체를 이후 THF 에서 침전시키고, 진공 하에 18 h 동안 건조시키고, 특히 고온 크기-배제 크로마토그래피 (HT-SEC), 시차 주사 열량계 (DSC), 및 1H, 13C 핵 자기 공명 분광학 (NMR) 에 의해 특징분석하였다.
블록 공중합을 위한 공-중합 조건
제 1 시클릭 에스테르 (락톤) 단량체 및 톨루엔 (또는 직접적으로 벌크 조건에서) 을 글로브 박스 중의 비활성 질소 분위기 하에 유리 크림프 뚜껑 바이알 내로 옮겼다. 알코올 (예를 들어, BnOH) 의 양을 혼합물에 첨가하고, 이후 바이알의 뚜껑을 닫고, 반응을 미리 결정된 반응 시간 동안 100 ℃ 에서 실시하였다. 반응 시간 종료시, 분석을 위해 분취액을 취하였다. 분석에 기반하여, 제 2 시클릭 에스테르 (락톤) 단량체의 양을 그 다음 비활성 조건 하에 바이알에 첨가하고, 이 후 바이알을 다시 밀봉하고 100 ℃ 에서 미리 결정된 반응 시간 동안 추가로 반응시켰다. 상기 제 2 반응 시간의 종료 시 분취액을 제거하고, NMR 을 위해 CDCl3 에 용해하고, 혼합물을 산성 메탄올로 켄칭하고 침전된 중합체를 여과하고, 메탄올로 수 회 세척하고, 추가의 특징분석 전에 24 시간 동안 진공 하에서 건조시켰다.
촉매 제조
본 방법에서 사용되는 바와 같은 촉매를 당업계에 공지된 절차를 사용하여 제조할 수 있다. 이러한 방법의 예는 문헌 Cameron et al., J. Chem. Soc, Dalton Trans. 2002, 3, 415 및/또는 WO 2004/081020 및/또는 Troesch et al., Anorg. Allg. Chem 2004, 630, 2031-2034 및/또는 Chamberlain et al., J. Am. Chem. Soc. 2001 , 123, 3229 및/또는 Colesand et al., Eur. J. Inorg. Chem. 2004, 2662 및/또는 Darensbourg, D. J.; Choi, W.; Richers, C. P. Macromolecules 2007, 40, 3521 에서 찾을 수 있다.
촉매 1
제 1 촉매를 하기 도식 1 에 따라 제조하였다.
도식 1
톨루엔 (10 mL) 중의 ZnEt2 의 용액 (헥산 중의 1.1 M 용액 1.71 mL, 1.88 mmol) 을 톨루엔 (10 mL) 중의 (이미노 페놀레이트) 프로-리간드 {ONN}H (0.52 g, 1.71 mmol) 의 용액에 20 ℃ 에서 첨가하였다. 반응을 24 시간 동안 실온에서 실시하고 이후 휘발물질을 진공 하에서 제거하였다. 잔류물을 냉각 석유 에테르 (2 x 10 mL) 로 세척하고, 촉매 1 을 황색 분말 (0.56 mg, 83 %) 의 형태로 산출하였다.
촉매 2
제 2 촉매를 촉매 1 에 대한 것과 유사한 절차를 사용하고 하기 도식 2 에 따라 제조하였다.
도식 2
촉매 2 를 촉매 1 의 제조와 유사한 절차를 사용하여 제조하였다. AlMe3 의 용액 (헵탄 중의 1.5 M 용액 1.25 mL, 1.88 mmol) 을 톨루엔 (10 mL) 중의 프로-리간드 {ONN}H (0.56 g, 1.84 mmol) 와, 실온에서 24 시간 동안 반응시켜 워크-업 (work-up) 후 촉매 2 를 백색 분말 (0.57 g, 86%) 로서 산출하였다.
촉매 3
제 3 촉매를 하기 도식 3 에 따라 제조하였다.
도식 3
촉매 3 을 10 ml 의 THF 에 용해된 프로-리간드 {ONN}H (0.64 g, 2.10 mmol) 및 NaN(SiMe3)2 (0.77 g, 4.21 mmol) 를 용해함으로써 제조하였다. 실온에서 6 h 동안 교반 후, 혼합물을 THF (5 mL) 중의 Cal2 (0.62 g, 2.11 mmol) 에 첨가하였다. 이후 혼합물을 24 시간 동안 실온에서 교반하였다. 형성된 침전물을 여과에 의해 제거하고 THF (2 x 10 mL) 로 세척하였다. THF 상을 조합하고, THF (용매) 를 진공 하에서 제거하여 오렌지색 잔류물을 산출하고, 이것을 이후 석유 에테르 (5 x 2 mL) 로 세척하고 진공 하에 건조시켜, 촉매 3 을 황색 분말 (1.02 g, 85 %) 의 형태로 산출하였다.
실험 1 : 단독중합
표 1 은 본 발명자에 의해 수행하였던 단독중합 실험을 요약한다. 실험은 촉매 1, 촉매 2, 및 촉매 3 을 사용하여 실시하였고, 시클릭 에스테르 단량체는 펜타-데카락톤 (PDL), 암브레톨라이드 (Amb) 및 글로발라이드 (Glob) 였다. 알코올 ROH 는 BnOH 였다. 시클릭 에스테르 (단량체) 전환율을 락톤의 α-메틸렌 수소 상에 1H NMR 을 사용하여 측정하였다. TOF 는 전환 빈도 (Turn Over Frequency) 를 나타내고, 이것은 전환율 및 시간의 비이다. [mol/l]0 은 중합 반응 전의 단량체의 리터 당 몰의 농도를 의미한다. 용어 [Mon]/ [M]/ ROH 는 중합 반응 개시 전 단량체 대 촉매의 금속 대 알코올의 몰비를 의미한다.
표 1
촉매 1 및 촉매 2 를 이용한 추가의 실험을 단량체로서 PDL 을 사용하여 실시하였다. 상기 실험을 하기 표 2 에 요약한다. 중합은 본원에 기재된 바와 같이 실시하였다. 용어 [BnOH] 는 중합에 대해 사용되는 촉매의 몰 당 벤질 알코올의 몰 양을 의미한다.
표 2
표 2 로부터의 결과는 [BnOH] 가 증가할 때 중합체 (PPDL) 의 수득된 분자량이 감소하는 것을 보여준다. 이것은 촉매의 리빙 또는 적어도 잘-제어된 특성 및 벤질 알코올이 사슬 전달제로서 작용한다는 사실에 기인한다. 상기 결과는 추가로 촉매 금속 중심이 안정하고 리간드가 상기 조건 (과량의 자유 알코올) 하에서 대체되지 않는다는 것을 암시한다. 이에 구애됨 없이, 본 발명자는 이것이 중합 공정 동안 성장하는 중합체 (PPDL) 사슬과 자유 알코올 또는 히드록실 말단 중합체 사슬 사이에서 빠른 가역적인 교환에 의해 설명될 수 있다고 여긴다. 촉매계 (즉, 알코올과 함께 촉매) 의 상기 특성은 따라서 촉매의 양을 최소화하기 위해 사용될 수 있고, 금속 잔기에 의한 최종 중합체의 오염의 제한에 기여한다.
표 2 는 또한 수득된 중합체 (PPDL) 의 다분산 지수가 비교적 낮고 샘플 17 외에는 2 미만이라는 것을 보여준다. 표 2 는 알루미늄 기재 촉매 2 가 각각 4 시간 및 24 시간 후 수득된 중합체를 비교할 때 동일한 정도의 분자량 증가를 산출하지 않을 것이라는 것을 추가로 보여준다. 본 발명자는 상기 발견을 알루미늄 금속 중심에 의해 촉매화되는 에스테르교환 반응에 기인한다고 한다.
실험 2: PPL 및 CL 의 순차적 공급 공-중합
PDL 단량체 및 톨루엔을 글로브 박스에서 비활성 질소 분위기 하에 바이알 내로 옮겼다. 촉매 1 및 등몰량 (촉매에 대해) 의 BnOH 를 혼합물에 첨가하고, 그 다음 바이알의 뚜껑을 닫고 100 ℃ 에서 미리 결정된 반응 시간 동안 오일 배스에 두었다. 반응 기간 종료시, 분석을 위해 분취액을 취하고, 계산된 비율의 카프로락톤 (CL) 단량체를 첨가하고, 밀봉된 바이알을 이후 부가적인 미리 결정된 시간 동안 100℃ 에 두었다. 실험 2 에서 CL/ PDL 몰비는 2:1 였다. 마지막에, 분취액을 제거하고, NMR 을 위해 CDCl3 에 용해하고, 혼합물을 산성 메탄올에 의해 켄칭하고, 침전된 중합체를 여과하고, 메탄올로 수 회 세척하고, 특징분석 전 24 시간 동안 진공 하에서 건조시켰다.
실험 3: PDL 및 CL 의 순차적 공급 공-중합
실험 3 은 실험 2 와 유사하게 실시될 수 있으나, 촉매로서 촉매 3 이 사용되었다.
실험 2 및 3 에서 제조된 중합체의 DSC 플롯은 도 1 에 제시된다. 상부 곡선은 실험 2 에 상응하고 하부 곡선은 실험 3 에 상응한다. 두 DSC 곡선은 약 55℃ 의 용융 온도를 갖는 블록 폴리카프로락톤 (PCL) 및 약 94℃ 의 용융 온도를 갖는 PPDL 에 상응하는 2 가지 구별되는 상이한 용융 온도로의 2 가지 흡열 부분을 나타낸다. 본 발명자는 100 ℃ 에서 18 시간 후, 블록형 구조가 여전히 유지되었고 공중합체 백본 중의 단량체의 재분포가 일어나지 않았으므로, 촉매 1 또는 촉매 3 에 의해 촉매화된 CL 및 PDL 의 (순차적) 공중합이 에스테르교환 부 반응 없이 일어난다는 것을 발견하였다. 상기 발견을 확인하기 위해, 촉매 1 및 에스테르교환 촉매 (TBD /BnOH (1 % w/w)) 를 사용하여 제조된 블록 폴리(PDL-b-CL) 공중합체의 혼합물을 18 시간 동안 교반하고, 샘플을 설정 시간 간격 (2, 7 및 18 h) 에서 채취하고 DSC 에 의해 분석하였다. 블록형 공중합체 구조는 게다가 점차적으로 PCL 및 PPDL 의 융점 사이에 단일 융점을 가진 완전한 무작위 공중합체로 변환되었다.
순차적 공급에 의해 수득된 폴리(PDL-코-CL) 공중합체의 블록 특성은 1H NMR 스펙트럼 중의 2 개의 중복하는 삼중선의 존재에 의해 추가로 입증되며, 상기 삼중선 각각은 PCL 및 PPDL 블록 각각 내의 CL 및 PDL 단위의 α-메틸렌 기의 양자에 상응한다.
실험 4: CL 및 PDL 의 1 포트 공-중합
글로브 박스에, PDL, CL, 촉매 1, 및 (촉매에 대해) 등몰량의 BnOH 를 동시에 작은 유리 크림프 뚜껑 바이알 내에 두었다. 바이알의 뚜껑을 닫고, 글로브 박스로부터 제거하고, 제시된 시간 (1 내지 18 h) 동안 100 ℃ 에서 가열하였다. 모든 반응을 위해, 미정제 중합체의 분취액을 공중합 전환율을 측정하기 위해 제거하였다. 공중합체를 이후 THF 에서 침전시키고, 진공 하에 18 h 동안 건조시키고, 특히 크기-배제 크로마토그래피 (SEC), 시차 주사 열량계 (DSC), 및 1H, 13C 핵 자기 공명 분광학 (NMR) 에 의해 특징분석하였다.
도 2 는 3 개의 상이한 단량체 몰비의 CL/PDL 로 제조되는 3 개의 공중합체의 DSC 플롯을 나타낸다. 도 2 는 PDL (하부) 및 PCL (상부) 단독중합체의 DSC 플롯을 추가로 나타낸다. DSC 플롯은 블록 (또는 블록형) 공중합체보다는 무작위 공중합체의 형성에 대한 표시인 단일 용융 피크 만을 나타낸다. CL/PDL 비에 따라, 용융 피크는 PDL 단독중합체 또는 PCL 단독중합체의 용융 피크와 가까울 것이다. 1-포트 합성에 의해 수득되는 폴리(PDL-코-CL) 공중합체의 무작위 특성은 1H NMR 스펙트럼 내의 CL 및 PDL 단위 모두의 α-메틸렌 기의 양자에 상응하는 오직 1 개의 삼중선의 존재에 의해 추가로 입증된다.
실험 5: 펜타데카락톤과 ε-데카락톤 (eDL) 의 공-중합체
본 발명자들의 예상과는 반대로, 1-포트 합성을 사용하여 공중합되는 경우 PDL 및 eDL 이 블록형 공중합체를 산출하였음을 발견하였다. 이에 엄격하게 구애되지 않으면서, 본 발명자들은 상기 발견을 eDL 의 부틸 분지가 중합 동안 PDL 단위의 삽입에 부과하는 입체 장애로 인한 것이라고 생각한다. eDL 및 PDL 의 입체 장애 및 형태는 eDL 의 호의적인 중합을 야기하는 2 개의 단량체의 반응성의 차이의 영향을 갖는다. 실험은 실험 4 에서와 같이 유사한 실험 조건을 사용하는 촉매 1 을 사용하여 실시하였다. 반응을 100℃ 에서 실시하였고, 촉매 1 대 BnOH 의 비는 1 이었고, PDL 및 eDL 의 조합된 농도는 4.16 mol/l 였다.
표 3 은 실험을 요약한다. [M] 은 몰 등가의 단량체, 즉 시클릭 에스테르를 지칭하고, [Cat] 는 몰 등가의 촉매를 지칭하고, [BnOH] 는 몰 등가의 BnOH 를 지칭하고, [PDL] 은 몰 등가의 PDL 을 지칭하며, [eDL] 은 몰 등가의 eDL 을 지칭한다. Tr 은 반응 시간을 의미한다. 전환율은 1H NMR 스펙트럼으로부터 측정되고 백분율로 표현되었다. 수 평균 및 중량 평균 분자량은 폴리에틸렌 표준에 대항하여 TCB 중에서 HT-SEC 를 사용하여 측정되었다. PDI (다분산 지수) 는 Mw/Mn 의 비이다. 샘플 # 1-5 에 대한 실험은 100℃ 에서 벌크로 실시되었던 반면, 샘플 # 6-16 에 대한 실험은 100 ℃ 의 온도에서 용매 내에서 실시되었다.
표 3
샘플 #6 내지 #13 으로부터, eDL 이 약 2 시간 내에 완전히 전환되는 반면, 그 지점에서 PDL 은 오직 24% 로 전환되는 것이 관찰될 수 있다. 수득된 중합체는 DSC, NMR 및 MALDI-ToF-MS 와 같은 분석 기술로 확인되었던 벌크형 공-중합체인 것으로 발견되었다.
흥미롭게도 PDL 의 단독-중합은 3.5 시간 후에 약 95% 의 전환율에 도달하는 반면, eDL 로의 공중합 동안 상기 전환율은 오직 약 14 시간 후에 도달한다. 상기 결과는 본 실험 5 에 대해 상기 언급된 바와 같은 본 발명자들의 발견을 지지한다.
실험 6: PDL 과 ε-데카락톤 (eDL) 의 공-중합체
1-포트 합성을 사용하여 100 ℃ 에서 벌크로 공중합되는 PDL 및 eDL.
반응을 100℃ 에서 실시하였고, 촉매 3 대 BnOH 의 비는 1 이었고, eDI 의 양은 0.354 g 이었고, PDL 의 양은 0.500 g 이었고, 촉매 3 의 양은 0.0239 g 이었다.
표 4 는 실험을 요약한다:
표 4
샘플 #1 내지 #6 은 PDL 의 단독-중합을 나타낸다. 전환율은 이미 1 시간 후에 높은 수준 (91 %) 에 도달한다. 샘플 #2 - #6 은 PDL 전환율이 거의 100% 로 점차적으로 증가하고 분자량 및 다분산성이 다소 안정한 수준으로 남아있다는 것을 보여준다.
요약하면, 폴리에스테르의 제조 방법은 12 - 40 개의 원자의 고리 크기를 갖는 제 1 시클릭 에스테르를 제공하는 것 (바람직하게는 제 1 시클릭 에스테르가 락톤이고, 바람직하게는 펜타데카락톤, 암브레톨라이드, 글로발라이드, 및 18-옥타데카락톤으로 이루어지는 군으로부터 선택됨) 을 포함하고, 임의로 4 - 40 개의 원자, 바람직하게는 4 - 11 개의 원자의 제 2 고리 크기를 갖는 제 2 시클릭 에스테르를 제공하는 것을 추가로 포함하고, 제 1 시클릭 에스테르를 하기 화학식 I 의 촉매와 접촉시킴으로써 제 1 시클릭 에스테르 및 임의의 제 2 시클릭 에스테르를 개환 중합에 적용하는 것을 포함한다:
화학식 I
[식 중,
M 은 금속이고, 2 족 금속 및 12 족 금속으로 이루어지는 군으로부터 선택되고; 바람직하게는 금속 M 은 Ca, Zn 및 Mg 로 이루어지는 군으로부터 선택되고 바람직하게는 Ca 또는 Zn 이고;
Z 는 수소, 보로히드라이드, 알루미늄 히드라이드, 카르빌, 실릴, 히드록시드, 알콕시드, 아릴옥시드, 카르복실레이트, 티오카르복실레이트, 디티오카르복실레이트, 카보네이트, 카바메이트, 구아니데이트, 아미드, 티올레이트, 포스파이드, 히드라조네이트, 이미드, 시아나이드, 시아네이트, 티오시아네이트, 아지드, 니트로, 실록사이드 및 할라이드로 이루어지는 군으로부터 선택되고, 바람직하게는 Z 는 에틸 또는 N(Si-CH3)2 이고;
X 는 O, N, S 및 P 로 이루어지는 군으로부터 선택되고, 바람직하게는 X 는 N 이고;
R1 은 유기 연결 잔기이고 하나 이상, 바람직하게는 둘 이상의 원자의 사슬 길이를 갖고, 바람직하게는 R1 은 N, O, F, Cl 및 Br 로부터 선택되는 1 내지 10 개의 헤테로원자를 임의로 함유하는, 1 내지 30 개의 탄소 원자를 함유하는 직쇄 또는 분지형 지방족 사슬, 또는 시클릭 또는 방향족 잔기이고, 바람직하게는 R1 은 -[CH2-CH2]-연결 잔기이고;
R2 는 수소, C1-10 알킬, 실릴, C1-6 알콕시, C3-8 시클로알킬, C3-8 시클로알콕시, 아릴, 아릴옥시, C1-10 아민, C1-10 니트로, C1-10 시아노 할라이드 (F, Cl, Br, I), 및 산소, 황, 질소 및 인으로부터 선택되는 1 내지 4 개의 헤테로원자를 함유하는 5- 또는 6-원 헤테로사이클로 이루어지는 군으로부터 선택되는 유기 잔기이고;
R3 은 임의의 유기 잔기이고 R2 와 동일 또는 상이할 수 있고, 바람직하게는 R2 및 R3 은 수소이고;
R4, R5, R6, R7 은 유기 잔기이고, 동일 또는 상이할 수 있고, 수소, C1-10 알킬, 실릴, C1-6 알콕시, C3-8 시클로알킬, C3-8 시클로알콕시, 아릴, 아릴옥시, C1-10 아민, C1-10 니트로, C1-10 시아노 할라이드 (F, Cl, Br, I), 및 산소, 황, 질소 및 인으로부터 선택되는 1 내지 4 개의 헤테로원자를 함유하는 5- 또는 6-원 헤테로사이클로 이루어지는 군으로부터 선택되고; 바람직하게는 R4 및 R6 은 독립적으로 수소, 메틸, 에틸, 프로필, 이소프로필, n-부틸, i-부틸, s-부틸, t-부틸, n-펜틸, i-펜틸, 네오펜틸, n-헥실, 2,2-디메틸부탄, 2-메틸펜탄, 3-메틸펜탄, 2,3-디메틸부탄, 시클로헥산, 아다만틸, 메톡시드, 에톡시드, (n-/t-)부톡시드, 아릴옥시드, 및 할라이드로부터 선택되고, 바람직하게는 R5, R7 및 R8 은 수소이고;
R8 은 수소, C1-10 알킬, 실릴, C1-6 알콕시, C3-8 시클로알킬, C3-8 시클로알콕시, 아릴, 아릴옥시, C1-10 아민, C1-10 니트로, C1-10 시아노 할라이드 (F, Cl, Br, I) 및 산소, 황, 질소 및 인으로부터 선택되는 1 내지 4 개의 헤테로원자를 함유하는 5- 또는 6-원 헤테로사이클로 이루어지는 군으로부터 선택되는 유기 잔기이고, 바람직하게는 R4 및 R6 은 tert-부틸이고;
구체적으로 촉매는 하기로 이루어지는 군으로부터 선택됨:
상기 구현예 중 임의의 것에서, 하기 조건 중 하나 이상이 적용될 수 있다: 중합은 1 단계로 실시되고; 폴리에스테르는 무작위 코-폴리에스테르이고; 중합은 2 개 이상, 바람직하게는 3 개 이상의 히드록실 기를 갖는 유기 화합물로 이루어지는 개시제의 존재 하에 실시되고; 중합은 70 - 180℃ 의 범위, 바람직하게는 80 - 175 ℃ 의 범위, 더욱 바람직하게는 90 - 150℃ 의 범위의 온도에서 실시되고; 폴리에스테르는 선형 폴리에스테르, 별 유형 폴리에스테르 또는 콤브 (comb)-유형 폴리에스테르이다.
본원에서 용어 "단수 형태" 는 양의 제한을 나타내지 않고, 본원에서 달리 나타내거나 문맥에 의해 명백하게 모순되지 않는 한, 단수 및 복수 모두를 포함하는 것으로 이해된다. "또는" 은 명백하게 달리 나타내지 않는 한 "및/또는" 을 의미한다. 본원에 개시된 모든 범위는 종점을 포함하고, 종점은 독립적으로 서로 조합될 수 있다. "조합물" 은 배합물, 혼합물, 합금, 반응 생성물 등을 포괄한다. 또한, 용어 "제 1", "제 2" 등은 본원에서 임의의 순서, 양 또는 중요성을 나타내지 않고, 그보다는 한 요소를 다른 것과 구별하는데 사용된다.
특정 구현예가 기재되기는 하지만, 현재 예측하지 못하거나 예측할 수 없는 대안, 개질, 변형, 개선 및 실질적인 등가물이 출원인 또는 당업자에게 일어날 수 있다. 따라서, 제출된 바와 같은 및 이들이 보정될 수 있는 바와 같은 첨부된 청구항은 모든 상기 대안, 개질, 변형, 개선 및 실질적인 등가물을 수용하는 것으로 의도된다.
Claims (13)
12 - 40 개의 원자의 고리 크기를 갖는 제 1 시클릭 에스테르를 제공하는 것 및 제 1 시클릭 에스테르를 하기 화학식 I 의 촉매와 접촉시킴으로써 제 1 시클릭 에스테르를 개환 중합에 적용하는 것을 포함하는, 폴리에스테르의 제조 방법:
화학식 I
[식 중,
M 은 금속이고, 2 족 금속 및 12 족 금속으로 이루어지는 군으로부터 선택되고;
Z 는 수소, 보로히드라이드, 알루미늄 히드라이드, 카르빌, 실릴, 히드록시드, 알콕시드, 아릴옥시드, 카르복실레이트, 티오카르복실레이트, 디티오카르복실레이트, 카보네이트, 카바메이트, 구아니데이트, 아미드, 티올레이트, 포스파이드, 히드라조네이트, 이미드, 시아나이드, 시아네이트, 티오시아네이트, 아지드, 니트로, 실록사이드 및 할라이드로 이루어지는 군으로부터 선택되고;
X 는 O, N, S, 및 P 로 이루어지는 군으로부터 선택되고;
R1 은 유기 연결 잔기이고 하나 이상, 바람직하게는 둘 이상의 원자의 사슬 길이를 갖고,
R2 는 수소, C1-10 알킬, 실릴, C1-6 알콕시, C3-8 시클로알킬, C3-8 시클로알콕시, 아릴, 아릴옥시, C1-10 아민, C1-10 니트로, C1-10 시아노 할라이드 (F, Cl, Br, I), 및 산소, 황, 질소 및 인으로부터 선택되는 1 내지 4 개의 헤테로원자를 함유하는 5- 또는 6-원 헤테로사이클로 이루어지는 군으로부터 선택되는 유기 잔기이고;
R3 은 임의의 유기 잔기이고, R2 와 동일 또는 상이할 수 있고;
R4, R5, R6, R7 은 유기 잔기이고, 동일 또는 상이할 수 있고, 수소, C1-10 알킬, 실릴, C1-6 알콕시, C3-8 시클로알킬, C3-8 시클로알콕시, 아릴, 아릴옥시, C1-10 아민, C1-10 니트로, C1-10 시아노 할라이드 (F, Cl, Br, I), 및 산소, 황, 질소 및 인으로부터 선택되는 1 내지 4 개의 헤테로원자를 함유하는 5- 또는 6-원 헤테로사이클로 이루어지는 군으로부터 선택되고;
R8 은 수소, C1-10 알킬, 실릴, C1-6 알콕시, C3-8 시클로알킬, C3-8 시클로알콕시, 아릴, 아릴옥시, C1-10 아민, C1-10 니트로, C1-10 시아노 할라이드 (F, Cl, Br, I) 및 산소, 황, 질소 및 인으로부터 선택되는 1 내지 4 개의 헤테로원자를 함유하는 5- 또는 6-원 헤테로사이클로 이루어지는 군으로부터 선택되는 유기 잔기임].
화학식 I
[식 중,
M 은 금속이고, 2 족 금속 및 12 족 금속으로 이루어지는 군으로부터 선택되고;
Z 는 수소, 보로히드라이드, 알루미늄 히드라이드, 카르빌, 실릴, 히드록시드, 알콕시드, 아릴옥시드, 카르복실레이트, 티오카르복실레이트, 디티오카르복실레이트, 카보네이트, 카바메이트, 구아니데이트, 아미드, 티올레이트, 포스파이드, 히드라조네이트, 이미드, 시아나이드, 시아네이트, 티오시아네이트, 아지드, 니트로, 실록사이드 및 할라이드로 이루어지는 군으로부터 선택되고;
X 는 O, N, S, 및 P 로 이루어지는 군으로부터 선택되고;
R1 은 유기 연결 잔기이고 하나 이상, 바람직하게는 둘 이상의 원자의 사슬 길이를 갖고,
R2 는 수소, C1-10 알킬, 실릴, C1-6 알콕시, C3-8 시클로알킬, C3-8 시클로알콕시, 아릴, 아릴옥시, C1-10 아민, C1-10 니트로, C1-10 시아노 할라이드 (F, Cl, Br, I), 및 산소, 황, 질소 및 인으로부터 선택되는 1 내지 4 개의 헤테로원자를 함유하는 5- 또는 6-원 헤테로사이클로 이루어지는 군으로부터 선택되는 유기 잔기이고;
R3 은 임의의 유기 잔기이고, R2 와 동일 또는 상이할 수 있고;
R4, R5, R6, R7 은 유기 잔기이고, 동일 또는 상이할 수 있고, 수소, C1-10 알킬, 실릴, C1-6 알콕시, C3-8 시클로알킬, C3-8 시클로알콕시, 아릴, 아릴옥시, C1-10 아민, C1-10 니트로, C1-10 시아노 할라이드 (F, Cl, Br, I), 및 산소, 황, 질소 및 인으로부터 선택되는 1 내지 4 개의 헤테로원자를 함유하는 5- 또는 6-원 헤테로사이클로 이루어지는 군으로부터 선택되고;
R8 은 수소, C1-10 알킬, 실릴, C1-6 알콕시, C3-8 시클로알킬, C3-8 시클로알콕시, 아릴, 아릴옥시, C1-10 아민, C1-10 니트로, C1-10 시아노 할라이드 (F, Cl, Br, I) 및 산소, 황, 질소 및 인으로부터 선택되는 1 내지 4 개의 헤테로원자를 함유하는 5- 또는 6-원 헤테로사이클로 이루어지는 군으로부터 선택되는 유기 잔기임].
제 1 항에 있어서, 금속 M 이 Ca, Zn, 및 Mg 로 이루어지는 군으로부터 선택되고, 바람직하게는 Ca 또는 Zn 인 방법.
제 1 항 또는 제 2 항에 있어서, R1 이 N, O, F, Cl 및 Br 로부터 선택되는 1 내지 10 개의 헤테로원자를 임의로 함유하는, 1 내지 30 개의 탄소 원자를 함유하는, 직쇄 또는 분지형 지방족 사슬, 또는 시클릭 또는 방향족 잔기인 방법.
제 1 항 내지 제 3 항 중 어느 한 항에 있어서,
X 는 N 이고,
R5, R7 및 R8 은 수소이고/이거나
R4 및 R6 은 독립적으로 수소, 메틸, 에틸, 프로필, 이소프로필, n-부틸, i-부틸, s-부틸, t-부틸, n-펜틸, i-펜틸, 네오펜틸, n-헥실, 2,2-디메틸부탄, 2-메틸펜탄, 3-메틸펜탄, 2,3-디메틸부탄, 시클로헥산, 아다만틸, 메톡시드, 에톡시드, (n-/t-)부톡시드, 아릴옥시드 및 할라이드로부터 선택되는 방법.
X 는 N 이고,
R5, R7 및 R8 은 수소이고/이거나
R4 및 R6 은 독립적으로 수소, 메틸, 에틸, 프로필, 이소프로필, n-부틸, i-부틸, s-부틸, t-부틸, n-펜틸, i-펜틸, 네오펜틸, n-헥실, 2,2-디메틸부탄, 2-메틸펜탄, 3-메틸펜탄, 2,3-디메틸부탄, 시클로헥산, 아다만틸, 메톡시드, 에톡시드, (n-/t-)부톡시드, 아릴옥시드 및 할라이드로부터 선택되는 방법.
제 1 항 내지 제 4 항 중 어느 한 항에 있어서,
R1 은 -[CH2-CH2]- 연결 잔기이고, R2 및 R3 은 수소이고/이거나
R5, R7 및 R8 은 수소이고/이거나
R4 및 R6 은 tert-부틸이고/이거나
X 는 N 이고/이거나
Z 는 에틸 또는 N(Si-CH3)2 인 방법.
R1 은 -[CH2-CH2]- 연결 잔기이고, R2 및 R3 은 수소이고/이거나
R5, R7 및 R8 은 수소이고/이거나
R4 및 R6 은 tert-부틸이고/이거나
X 는 N 이고/이거나
Z 는 에틸 또는 N(Si-CH3)2 인 방법.
제 1 항 내지 제 6 항 중 어느 한 항에 있어서, 제 1 시클릭 에스테르가 락톤이고, 바람직하게는 펜타데카락톤, 암브레톨라이드, 글로발라이드, 및 18-옥타데카락톤으로 이루어지는 군으로부터 선택되는 방법.
제 1 항 내지 제 7 항 중 어느 한 항에 있어서, 4 - 40 개의, 바람직하게는 4 - 11 개의 원자의 제 2 고리 크기를 갖는 제 2 시클릭 에스테르를 제공하고, 제 1 및 제 2 시클릭 에스테르 모두를 상기 개환 중합에 적용하는 것을 추가로 포함하는 방법.
제 8 항에 있어서, 중합이 1 단계로 실시되는 방법.
제 8 항 또는 제 9 항에 있어서, 폴리에스테르가 무작위 코-폴리에스테르인 방법.
제 1 항 내지 제 9 항 중 어느 한 항에 있어서, 중합이 2 개 이상의, 바람직하게는 3 개 이상의 히드록실 기를 갖는 유기 화합물로 이루어지는 개시제의 존재 하에 실시되는 방법.
제 1 항 내지 제 10 항 중 어느 한 항에 있어서, 중합이 70 - 180℃ 의 범위, 바람직하게는 80 - 175 ℃ 의 범위, 더욱 바람직하게는 90 - 150℃ 의 범위의 온도에서 실시되는 방법.
제 1 항 내지 제 11 항 중 어느 한 항에 있어서, 폴리에스테르가 선형 폴리에스테르, 별 유형 폴리에스테르, 또는 콤브 (comb)-유형 폴리에스테르인 방법.
Applications Claiming Priority (3)
| Application Number | Priority Date | Filing Date | Title |
|---|---|---|---|
| EP13002690.9 | 2013-05-23 | ||
| EP13002690 | 2013-05-23 | ||
| PCT/IB2014/061561 WO2014188340A1 (en) | 2013-05-23 | 2014-05-20 | Method for preparing a polyester |
Publications (1)
| Publication Number | Publication Date |
|---|---|
| KR20160040468A true KR20160040468A (ko) | 2016-04-14 |
Family
ID=48470701
Family Applications (1)
| Application Number | Title | Priority Date | Filing Date |
|---|---|---|---|
| KR1020157036483A Withdrawn KR20160040468A (ko) | 2013-05-23 | 2014-05-20 | 폴리에스테르의 제조 방법 |
Country Status (7)
| Country | Link |
|---|---|
| US (1) | US20160096919A1 (ko) |
| EP (1) | EP2999731A1 (ko) |
| JP (1) | JP2016521772A (ko) |
| KR (1) | KR20160040468A (ko) |
| CN (1) | CN105263984A (ko) |
| BR (1) | BR112015028887A2 (ko) |
| WO (1) | WO2014188340A1 (ko) |
Families Citing this family (8)
| Publication number | Priority date | Publication date | Assignee | Title |
|---|---|---|---|---|
| BR112015030625A2 (pt) | 2013-06-20 | 2017-07-25 | Saudi Basic Ind Corp | poliésteres do tipo pe |
| CN105061501B (zh) * | 2015-08-07 | 2018-08-10 | 江苏红太阳新材料有限公司 | 催化环酯聚合的金属配合物及其在催化环酯聚合中的用途 |
| JP6713534B2 (ja) * | 2016-07-05 | 2020-06-24 | 日東化成株式会社 | ポリエステル重合用触媒、ポリエステル樹脂の製造方法 |
| CN110092892B (zh) * | 2019-04-25 | 2021-04-27 | 南京工业大学 | 一种聚酯的制备方法 |
| US11279798B2 (en) | 2020-03-17 | 2022-03-22 | International Business Machines Corporation | Polymer technology for use in flow reactors |
| EP4177290A1 (en) * | 2021-11-05 | 2023-05-10 | Artificial Nature S.L. | A triblock copolymer, a process for obtaining thereof and uses thereof |
| CN114456199B (zh) * | 2022-01-23 | 2024-09-24 | 华东理工大学 | 一类不对称多齿单酚氧基金属卤化物及其制备方法和应用 |
| CN114507246B (zh) * | 2022-01-23 | 2024-09-24 | 华东理工大学 | 一类苯并咪唑取代氨基酚氧基锌卤化物及其制备方法和应用 |
Family Cites Families (7)
| Publication number | Priority date | Publication date | Assignee | Title |
|---|---|---|---|---|
| JP3159285B2 (ja) * | 1994-03-17 | 2001-04-23 | ダイセル化学工業株式会社 | 分岐ポリラクトンおよび分岐ポリラクトン組成物 |
| GB0305927D0 (en) | 2003-03-14 | 2003-04-23 | Ic Innovations Ltd | Compound |
| WO2006085484A1 (ja) * | 2005-02-10 | 2006-08-17 | Daicel Chemical Industries, Ltd. | ラクトン化合物の開環重合法および開環重合用活性炭触媒 |
| MY180887A (en) * | 2010-11-18 | 2020-12-11 | Saudi Basic Ind Corp | Process for preparing a polyester |
| WO2012065745A1 (en) * | 2010-11-18 | 2012-05-24 | Stichting Dutch Polymer Institute | Process for preparing copolyesters, copolyesters and their medical uses |
| CN102617369B (zh) * | 2012-02-17 | 2014-10-15 | 华东理工大学 | 类salan单酚类配体金属络合物及其制备方法与应用 |
| CN102924293B (zh) * | 2012-11-06 | 2016-01-06 | 济南大学 | 四齿胺基苯胺基配体、配体的铝化合物及其制备方法和应用 |
-
2014
- 2014-05-20 KR KR1020157036483A patent/KR20160040468A/ko not_active Withdrawn
- 2014-05-20 EP EP14731372.0A patent/EP2999731A1/en not_active Withdrawn
- 2014-05-20 BR BR112015028887A patent/BR112015028887A2/pt not_active IP Right Cessation
- 2014-05-20 US US14/890,772 patent/US20160096919A1/en not_active Abandoned
- 2014-05-20 WO PCT/IB2014/061561 patent/WO2014188340A1/en not_active Ceased
- 2014-05-20 CN CN201480029571.6A patent/CN105263984A/zh active Pending
- 2014-05-20 JP JP2016514512A patent/JP2016521772A/ja active Pending
Also Published As
| Publication number | Publication date |
|---|---|
| JP2016521772A (ja) | 2016-07-25 |
| EP2999731A1 (en) | 2016-03-30 |
| BR112015028887A2 (pt) | 2017-07-25 |
| CN105263984A (zh) | 2016-01-20 |
| US20160096919A1 (en) | 2016-04-07 |
| WO2014188340A1 (en) | 2014-11-27 |
Similar Documents
| Publication | Publication Date | Title |
|---|---|---|
| KR20160040468A (ko) | 폴리에스테르의 제조 방법 | |
| JP5943491B2 (ja) | ポリエステルを調製するプロセス | |
| US20160083510A1 (en) | Block copolymer and process for preparing the same | |
| US10364319B2 (en) | Ring-opening polymerization methods and recyclable biorenewable polyesters | |
| US7671140B2 (en) | Ring-opening polymerization of cyclic esters, polyesters formed thereby, and articles comprising the polyesters | |
| EP2976375B1 (en) | Process for preparing a copolymer | |
| Kricheldorf et al. | Macrocycles, 8. Multiblock copoly (ether‐esters) of poly (THF) and ϵ‐caprolactone via macrocyclic polymerization | |
| US20090198038A1 (en) | Novel Catalysts for the Polymerisation of Carbonyl-Containing or Cyclic Monomers | |
| JP6100970B2 (ja) | 新規の重合触媒を使用するplaの製造方法 | |
| Huang et al. | Access to Polyhydroxyalkanoates with Diverse Syndiotacticity via Polymerization by Spiro‐Salen Complexes and Insights into the Stereocontrol Mechanism | |
| JP2013227457A (ja) | 環状エステルの開環重合触媒及び環状エステルの開環重合方法 | |
| Wolf et al. | Poly (glycolide) multi-arm star polymers: Improved solubility via limited arm length | |
| EP3478742B1 (en) | Block copolymers of cyclic esters and processes for preparing same | |
| KR100847183B1 (ko) | 아연 유도체의 시클릭 에스테르 중합 촉매로서의 용도 | |
| CN113861234A (zh) | 一种络合物催化剂及其制备方法和在制备聚碳酸酯中的应用 | |
| CN102791764A (zh) | 聚交酯树脂、制备该聚交酯树脂的方法以及包含该聚交酯树脂的聚交酯树脂组合物 | |
| Gou et al. | Kinetics and mechanism studies on scandium calix [6] arene complex initiating ring-opening polymerization of 2, 2-dimethyltrimethylene carbonate | |
| CN119060314A (zh) | 一种β-丁内酯的聚合方法 |
Legal Events
| Date | Code | Title | Description |
|---|---|---|---|
| PA0105 | International application |
Patent event date: 20151223 Patent event code: PA01051R01D Comment text: International Patent Application |
|
| PG1501 | Laying open of application | ||
| PC1203 | Withdrawal of no request for examination | ||
| WITN | Application deemed withdrawn, e.g. because no request for examination was filed or no examination fee was paid |

















