JP7587201B2 - 特定のウレタン(メタ)アクリレートを含むハードコート層形成用硬化性組成物 - Google Patents
特定のウレタン(メタ)アクリレートを含むハードコート層形成用硬化性組成物 Download PDFInfo
- Publication number
- JP7587201B2 JP7587201B2 JP2020154006A JP2020154006A JP7587201B2 JP 7587201 B2 JP7587201 B2 JP 7587201B2 JP 2020154006 A JP2020154006 A JP 2020154006A JP 2020154006 A JP2020154006 A JP 2020154006A JP 7587201 B2 JP7587201 B2 JP 7587201B2
- Authority
- JP
- Japan
- Prior art keywords
- curable composition
- hard coat
- group
- film
- coat layer
- Prior art date
- Legal status (The legal status is an assumption and is not a legal conclusion. Google has not performed a legal analysis and makes no representation as to the accuracy of the status listed.)
- Active
Links
- 239000000203 mixture Substances 0.000 title claims description 84
- NIXOWILDQLNWCW-UHFFFAOYSA-M Acrylate Chemical compound [O-]C(=O)C=C NIXOWILDQLNWCW-UHFFFAOYSA-M 0.000 title claims description 21
- JOYRKODLDBILNP-UHFFFAOYSA-N Ethyl urethane Chemical compound CCOC(N)=O JOYRKODLDBILNP-UHFFFAOYSA-N 0.000 title claims description 15
- 238000000576 coating method Methods 0.000 claims description 44
- 239000011248 coating agent Substances 0.000 claims description 43
- -1 acrylate compound Chemical class 0.000 claims description 37
- 239000010702 perfluoropolyether Substances 0.000 claims description 26
- 239000002904 solvent Substances 0.000 claims description 25
- 239000002245 particle Substances 0.000 claims description 23
- 239000000758 substrate Substances 0.000 claims description 21
- 125000002887 hydroxy group Chemical group [H]O* 0.000 claims description 18
- 229910044991 metal oxide Inorganic materials 0.000 claims description 17
- 150000004706 metal oxides Chemical class 0.000 claims description 17
- 238000000034 method Methods 0.000 claims description 16
- XOLBLPGZBRYERU-UHFFFAOYSA-N tin dioxide Chemical compound O=[Sn]=O XOLBLPGZBRYERU-UHFFFAOYSA-N 0.000 claims description 16
- 239000002216 antistatic agent Substances 0.000 claims description 15
- 229910001887 tin oxide Inorganic materials 0.000 claims description 14
- 238000004519 manufacturing process Methods 0.000 claims description 12
- 230000001678 irradiating effect Effects 0.000 claims description 10
- 239000012948 isocyanate Substances 0.000 claims description 10
- LJCFOYOSGPHIOO-UHFFFAOYSA-N antimony pentoxide Chemical compound O=[Sb](=O)O[Sb](=O)=O LJCFOYOSGPHIOO-UHFFFAOYSA-N 0.000 claims description 9
- 239000003505 polymerization initiator Substances 0.000 claims description 9
- LFQSCWFLJHTTHZ-UHFFFAOYSA-N Ethanol Chemical compound CCO LFQSCWFLJHTTHZ-UHFFFAOYSA-N 0.000 claims description 6
- 238000010438 heat treatment Methods 0.000 claims description 6
- HCHKCACWOHOZIP-UHFFFAOYSA-N Zinc Chemical compound [Zn] HCHKCACWOHOZIP-UHFFFAOYSA-N 0.000 claims description 4
- 229910052738 indium Inorganic materials 0.000 claims description 4
- APFVFJFRJDLVQX-UHFFFAOYSA-N indium atom Chemical compound [In] APFVFJFRJDLVQX-UHFFFAOYSA-N 0.000 claims description 4
- 229910052725 zinc Inorganic materials 0.000 claims description 4
- 239000011701 zinc Substances 0.000 claims description 4
- ATJFFYVFTNAWJD-UHFFFAOYSA-N Tin Chemical compound [Sn] ATJFFYVFTNAWJD-UHFFFAOYSA-N 0.000 claims description 3
- 239000007795 chemical reaction product Substances 0.000 claims description 3
- 229910052718 tin Inorganic materials 0.000 claims description 3
- 125000004432 carbon atom Chemical group C* 0.000 claims description 2
- 125000001183 hydrocarbyl group Chemical group 0.000 claims 1
- 239000000178 monomer Substances 0.000 claims 1
- 239000010408 film Substances 0.000 description 90
- ZWEHNKRNPOVVGH-UHFFFAOYSA-N 2-Butanone Chemical compound CCC(C)=O ZWEHNKRNPOVVGH-UHFFFAOYSA-N 0.000 description 42
- OKKJLVBELUTLKV-UHFFFAOYSA-N Methanol Chemical compound OC OKKJLVBELUTLKV-UHFFFAOYSA-N 0.000 description 24
- UHESRSKEBRADOO-UHFFFAOYSA-N ethyl carbamate;prop-2-enoic acid Chemical compound OC(=O)C=C.CCOC(N)=O UHESRSKEBRADOO-UHFFFAOYSA-N 0.000 description 19
- 150000001875 compounds Chemical class 0.000 description 15
- IQPQWNKOIGAROB-UHFFFAOYSA-N isocyanate group Chemical group [N-]=C=O IQPQWNKOIGAROB-UHFFFAOYSA-N 0.000 description 12
- 239000005056 polyisocyanate Substances 0.000 description 12
- 229920001228 polyisocyanate Polymers 0.000 description 12
- 239000003607 modifier Substances 0.000 description 11
- XLOMVQKBTHCTTD-UHFFFAOYSA-N Zinc monoxide Chemical compound [Zn]=O XLOMVQKBTHCTTD-UHFFFAOYSA-N 0.000 description 10
- 239000007787 solid Substances 0.000 description 9
- 239000000126 substance Substances 0.000 description 8
- 239000011164 primary particle Substances 0.000 description 7
- KFZMGEQAYNKOFK-UHFFFAOYSA-N Isopropanol Chemical compound CC(C)O KFZMGEQAYNKOFK-UHFFFAOYSA-N 0.000 description 6
- WYURNTSHIVDZCO-UHFFFAOYSA-N Tetrahydrofuran Chemical compound C1CCOC1 WYURNTSHIVDZCO-UHFFFAOYSA-N 0.000 description 6
- 230000000052 comparative effect Effects 0.000 description 6
- 238000001035 drying Methods 0.000 description 6
- 238000012360 testing method Methods 0.000 description 6
- ZMXDDKWLCZADIW-UHFFFAOYSA-N N,N-Dimethylformamide Chemical compound CN(C)C=O ZMXDDKWLCZADIW-UHFFFAOYSA-N 0.000 description 5
- 125000003647 acryloyl group Chemical group O=C([*])C([H])=C([H])[H] 0.000 description 5
- 238000005227 gel permeation chromatography Methods 0.000 description 5
- 239000000463 material Substances 0.000 description 5
- 229920005989 resin Polymers 0.000 description 5
- 239000011347 resin Substances 0.000 description 5
- 239000011787 zinc oxide Substances 0.000 description 5
- 229920002284 Cellulose triacetate Polymers 0.000 description 4
- IAZDPXIOMUYVGZ-UHFFFAOYSA-N Dimethylsulphoxide Chemical compound CS(C)=O IAZDPXIOMUYVGZ-UHFFFAOYSA-N 0.000 description 4
- SECXISVLQFMRJM-UHFFFAOYSA-N N-Methylpyrrolidone Chemical compound CN1CCCC1=O SECXISVLQFMRJM-UHFFFAOYSA-N 0.000 description 4
- 239000004433 Thermoplastic polyurethane Substances 0.000 description 4
- NNLVGZFZQQXQNW-ADJNRHBOSA-N [(2r,3r,4s,5r,6s)-4,5-diacetyloxy-3-[(2s,3r,4s,5r,6r)-3,4,5-triacetyloxy-6-(acetyloxymethyl)oxan-2-yl]oxy-6-[(2r,3r,4s,5r,6s)-4,5,6-triacetyloxy-2-(acetyloxymethyl)oxan-3-yl]oxyoxan-2-yl]methyl acetate Chemical compound O([C@@H]1O[C@@H]([C@H]([C@H](OC(C)=O)[C@H]1OC(C)=O)O[C@H]1[C@@H]([C@@H](OC(C)=O)[C@H](OC(C)=O)[C@@H](COC(C)=O)O1)OC(C)=O)COC(=O)C)[C@@H]1[C@@H](COC(C)=O)O[C@@H](OC(C)=O)[C@H](OC(C)=O)[C@H]1OC(C)=O NNLVGZFZQQXQNW-ADJNRHBOSA-N 0.000 description 4
- 238000000862 absorption spectrum Methods 0.000 description 4
- RTZKZFJDLAIYFH-UHFFFAOYSA-N ether Substances CCOCC RTZKZFJDLAIYFH-UHFFFAOYSA-N 0.000 description 4
- 229920000139 polyethylene terephthalate Polymers 0.000 description 4
- 239000005020 polyethylene terephthalate Substances 0.000 description 4
- 229920002803 thermoplastic polyurethane Polymers 0.000 description 4
- ARXJGSRGQADJSQ-UHFFFAOYSA-N 1-methoxypropan-2-ol Chemical compound COCC(C)O ARXJGSRGQADJSQ-UHFFFAOYSA-N 0.000 description 3
- UHOVQNZJYSORNB-UHFFFAOYSA-N Benzene Chemical compound C1=CC=CC=C1 UHOVQNZJYSORNB-UHFFFAOYSA-N 0.000 description 3
- YMWUJEATGCHHMB-UHFFFAOYSA-N Dichloromethane Chemical compound ClCCl YMWUJEATGCHHMB-UHFFFAOYSA-N 0.000 description 3
- XEKOWRVHYACXOJ-UHFFFAOYSA-N Ethyl acetate Chemical compound CCOC(C)=O XEKOWRVHYACXOJ-UHFFFAOYSA-N 0.000 description 3
- LYCAIKOWRPUZTN-UHFFFAOYSA-N Ethylene glycol Chemical compound OCCO LYCAIKOWRPUZTN-UHFFFAOYSA-N 0.000 description 3
- IMNFDUFMRHMDMM-UHFFFAOYSA-N N-Heptane Chemical compound CCCCCCC IMNFDUFMRHMDMM-UHFFFAOYSA-N 0.000 description 3
- 239000004793 Polystyrene Substances 0.000 description 3
- DKGAVHZHDRPRBM-UHFFFAOYSA-N Tert-Butanol Chemical compound CC(C)(C)O DKGAVHZHDRPRBM-UHFFFAOYSA-N 0.000 description 3
- YXFVVABEGXRONW-UHFFFAOYSA-N Toluene Chemical compound CC1=CC=CC=C1 YXFVVABEGXRONW-UHFFFAOYSA-N 0.000 description 3
- 238000005299 abrasion Methods 0.000 description 3
- 230000005540 biological transmission Effects 0.000 description 3
- 238000001723 curing Methods 0.000 description 3
- 229910052731 fluorine Inorganic materials 0.000 description 3
- 239000011521 glass Substances 0.000 description 3
- 150000002430 hydrocarbons Chemical group 0.000 description 3
- 238000005259 measurement Methods 0.000 description 3
- 229920002223 polystyrene Polymers 0.000 description 3
- 238000007639 printing Methods 0.000 description 3
- 150000003254 radicals Chemical class 0.000 description 3
- 239000000523 sample Substances 0.000 description 3
- 238000009864 tensile test Methods 0.000 description 3
- YLQBMQCUIZJEEH-UHFFFAOYSA-N tetrahydrofuran Natural products C=1C=COC=1 YLQBMQCUIZJEEH-UHFFFAOYSA-N 0.000 description 3
- CXWXQJXEFPUFDZ-UHFFFAOYSA-N tetralin Chemical compound C1=CC=C2CCCCC2=C1 CXWXQJXEFPUFDZ-UHFFFAOYSA-N 0.000 description 3
- 239000010409 thin film Substances 0.000 description 3
- GJKGAPPUXSSCFI-UHFFFAOYSA-N 2-Hydroxy-4'-(2-hydroxyethoxy)-2-methylpropiophenone Chemical compound CC(C)(O)C(=O)C1=CC=C(OCCO)C=C1 GJKGAPPUXSSCFI-UHFFFAOYSA-N 0.000 description 2
- FDSUVTROAWLVJA-UHFFFAOYSA-N 2-[[3-hydroxy-2,2-bis(hydroxymethyl)propoxy]methyl]-2-(hydroxymethyl)propane-1,3-diol;prop-2-enoic acid Chemical compound OC(=O)C=C.OC(=O)C=C.OC(=O)C=C.OC(=O)C=C.OC(=O)C=C.OCC(CO)(CO)COCC(CO)(CO)CO FDSUVTROAWLVJA-UHFFFAOYSA-N 0.000 description 2
- XLLIQLLCWZCATF-UHFFFAOYSA-N 2-methoxyethyl acetate Chemical compound COCCOC(C)=O XLLIQLLCWZCATF-UHFFFAOYSA-N 0.000 description 2
- CSCPPACGZOOCGX-UHFFFAOYSA-N Acetone Chemical compound CC(C)=O CSCPPACGZOOCGX-UHFFFAOYSA-N 0.000 description 2
- 229920002799 BoPET Polymers 0.000 description 2
- HEDRZPFGACZZDS-UHFFFAOYSA-N Chloroform Chemical compound ClC(Cl)Cl HEDRZPFGACZZDS-UHFFFAOYSA-N 0.000 description 2
- YNQLUTRBYVCPMQ-UHFFFAOYSA-N Ethylbenzene Chemical compound CCC1=CC=CC=C1 YNQLUTRBYVCPMQ-UHFFFAOYSA-N 0.000 description 2
- YCKRFDGAMUMZLT-UHFFFAOYSA-N Fluorine atom Chemical compound [F] YCKRFDGAMUMZLT-UHFFFAOYSA-N 0.000 description 2
- NTIZESTWPVYFNL-UHFFFAOYSA-N Methyl isobutyl ketone Chemical compound CC(C)CC(C)=O NTIZESTWPVYFNL-UHFFFAOYSA-N 0.000 description 2
- UIHCLUNTQKBZGK-UHFFFAOYSA-N Methyl isobutyl ketone Natural products CCC(C)C(C)=O UIHCLUNTQKBZGK-UHFFFAOYSA-N 0.000 description 2
- FXHOOIRPVKKKFG-UHFFFAOYSA-N N,N-Dimethylacetamide Chemical compound CN(C)C(C)=O FXHOOIRPVKKKFG-UHFFFAOYSA-N 0.000 description 2
- LRHPLDYGYMQRHN-UHFFFAOYSA-N N-Butanol Chemical compound CCCCO LRHPLDYGYMQRHN-UHFFFAOYSA-N 0.000 description 2
- 239000004952 Polyamide Substances 0.000 description 2
- 239000004642 Polyimide Substances 0.000 description 2
- 230000002378 acidificating effect Effects 0.000 description 2
- XECAHXYUAAWDEL-UHFFFAOYSA-N acrylonitrile butadiene styrene Chemical compound C=CC=C.C=CC#N.C=CC1=CC=CC=C1 XECAHXYUAAWDEL-UHFFFAOYSA-N 0.000 description 2
- 229920000122 acrylonitrile butadiene styrene Polymers 0.000 description 2
- 239000004676 acrylonitrile butadiene styrene Substances 0.000 description 2
- 125000001931 aliphatic group Chemical group 0.000 description 2
- 230000001588 bifunctional effect Effects 0.000 description 2
- 230000015572 biosynthetic process Effects 0.000 description 2
- OHJMTUPIZMNBFR-UHFFFAOYSA-N biuret Chemical compound NC(=O)NC(N)=O OHJMTUPIZMNBFR-UHFFFAOYSA-N 0.000 description 2
- GZUXJHMPEANEGY-UHFFFAOYSA-N bromomethane Chemical compound BrC GZUXJHMPEANEGY-UHFFFAOYSA-N 0.000 description 2
- 239000004202 carbamide Substances 0.000 description 2
- 238000004132 cross linking Methods 0.000 description 2
- JHIVVAPYMSGYDF-UHFFFAOYSA-N cyclohexanone Chemical compound O=C1CCCCC1 JHIVVAPYMSGYDF-UHFFFAOYSA-N 0.000 description 2
- 239000004205 dimethyl polysiloxane Substances 0.000 description 2
- 239000006185 dispersion Substances 0.000 description 2
- 239000002019 doping agent Substances 0.000 description 2
- 230000005611 electricity Effects 0.000 description 2
- 238000010894 electron beam technology Methods 0.000 description 2
- 125000001033 ether group Chemical group 0.000 description 2
- 239000011737 fluorine Substances 0.000 description 2
- 229910003437 indium oxide Inorganic materials 0.000 description 2
- PJXISJQVUVHSOJ-UHFFFAOYSA-N indium(iii) oxide Chemical compound [O-2].[O-2].[O-2].[In+3].[In+3] PJXISJQVUVHSOJ-UHFFFAOYSA-N 0.000 description 2
- ZXEKIIBDNHEJCQ-UHFFFAOYSA-N isobutanol Chemical compound CC(C)CO ZXEKIIBDNHEJCQ-UHFFFAOYSA-N 0.000 description 2
- ZFSLODLOARCGLH-UHFFFAOYSA-N isocyanuric acid Chemical compound OC1=NC(O)=NC(O)=N1 ZFSLODLOARCGLH-UHFFFAOYSA-N 0.000 description 2
- 238000007644 letterpress printing Methods 0.000 description 2
- QSHDDOUJBYECFT-UHFFFAOYSA-N mercury Chemical compound [Hg] QSHDDOUJBYECFT-UHFFFAOYSA-N 0.000 description 2
- 229910052753 mercury Inorganic materials 0.000 description 2
- VLKZOEOYAKHREP-UHFFFAOYSA-N n-Hexane Chemical compound CCCCCC VLKZOEOYAKHREP-UHFFFAOYSA-N 0.000 description 2
- 239000012299 nitrogen atmosphere Substances 0.000 description 2
- 239000002985 plastic film Substances 0.000 description 2
- 229920006255 plastic film Polymers 0.000 description 2
- 229920000435 poly(dimethylsiloxane) Polymers 0.000 description 2
- 229920002647 polyamide Polymers 0.000 description 2
- 229920001707 polybutylene terephthalate Polymers 0.000 description 2
- 229920000515 polycarbonate Polymers 0.000 description 2
- 239000004417 polycarbonate Substances 0.000 description 2
- 229920000728 polyester Polymers 0.000 description 2
- 239000011112 polyethylene naphthalate Substances 0.000 description 2
- 229920001721 polyimide Polymers 0.000 description 2
- 229920000642 polymer Polymers 0.000 description 2
- 229920000193 polymethacrylate Polymers 0.000 description 2
- 229920000098 polyolefin Polymers 0.000 description 2
- 239000004814 polyurethane Substances 0.000 description 2
- 229920002635 polyurethane Polymers 0.000 description 2
- 239000000047 product Substances 0.000 description 2
- BDERNNFJNOPAEC-UHFFFAOYSA-N propan-1-ol Chemical compound CCCO BDERNNFJNOPAEC-UHFFFAOYSA-N 0.000 description 2
- LLHKCFNBLRBOGN-UHFFFAOYSA-N propylene glycol methyl ether acetate Chemical compound COCC(C)OC(C)=O LLHKCFNBLRBOGN-UHFFFAOYSA-N 0.000 description 2
- 239000011163 secondary particle Substances 0.000 description 2
- 239000013049 sediment Substances 0.000 description 2
- 230000003068 static effect Effects 0.000 description 2
- VZGDMQKNWNREIO-UHFFFAOYSA-N tetrachloromethane Chemical compound ClC(Cl)(Cl)Cl VZGDMQKNWNREIO-UHFFFAOYSA-N 0.000 description 2
- AVWRKZWQTYIKIY-UHFFFAOYSA-N urea-1-carboxylic acid Chemical compound NC(=O)NC(O)=O AVWRKZWQTYIKIY-UHFFFAOYSA-N 0.000 description 2
- 239000002966 varnish Substances 0.000 description 2
- QASBHTCRFDZQAM-UHFFFAOYSA-N (2-isocyanato-2-methyl-3-prop-2-enoyloxypropyl) prop-2-enoate Chemical compound C=CC(=O)OCC(C)(COC(=O)C=C)N=C=O QASBHTCRFDZQAM-UHFFFAOYSA-N 0.000 description 1
- WOAHJDHKFWSLKE-UHFFFAOYSA-N 1,2-benzoquinone Chemical compound O=C1C=CC=CC1=O WOAHJDHKFWSLKE-UHFFFAOYSA-N 0.000 description 1
- RYHBNJHYFVUHQT-UHFFFAOYSA-N 1,4-Dioxane Chemical compound C1COCCO1 RYHBNJHYFVUHQT-UHFFFAOYSA-N 0.000 description 1
- JOLQKTGDSGKSKJ-UHFFFAOYSA-N 1-ethoxypropan-2-ol Chemical class CCOCC(C)O JOLQKTGDSGKSKJ-UHFFFAOYSA-N 0.000 description 1
- 239000012956 1-hydroxycyclohexylphenyl-ketone Substances 0.000 description 1
- FENFUOGYJVOCRY-UHFFFAOYSA-N 1-propoxypropan-2-ol Chemical compound CCCOCC(C)O FENFUOGYJVOCRY-UHFFFAOYSA-N 0.000 description 1
- KWVGIHKZDCUPEU-UHFFFAOYSA-N 2,2-dimethoxy-2-phenylacetophenone Chemical compound C=1C=CC=CC=1C(OC)(OC)C(=O)C1=CC=CC=C1 KWVGIHKZDCUPEU-UHFFFAOYSA-N 0.000 description 1
- OLQFXOWPTQTLDP-UHFFFAOYSA-N 2-(2-hydroxyethoxy)ethyl 2-methylprop-2-enoate Chemical compound CC(=C)C(=O)OCCOCCO OLQFXOWPTQTLDP-UHFFFAOYSA-N 0.000 description 1
- RWXMAAYKJDQVTF-UHFFFAOYSA-N 2-(2-hydroxyethoxy)ethyl prop-2-enoate Chemical compound OCCOCCOC(=O)C=C RWXMAAYKJDQVTF-UHFFFAOYSA-N 0.000 description 1
- XNWFRZJHXBZDAG-UHFFFAOYSA-N 2-METHOXYETHANOL Chemical compound COCCO XNWFRZJHXBZDAG-UHFFFAOYSA-N 0.000 description 1
- TXBCBTDQIULDIA-UHFFFAOYSA-N 2-[[3-hydroxy-2,2-bis(hydroxymethyl)propoxy]methyl]-2-(hydroxymethyl)propane-1,3-diol Chemical compound OCC(CO)(CO)COCC(CO)(CO)CO TXBCBTDQIULDIA-UHFFFAOYSA-N 0.000 description 1
- UHFFVFAKEGKNAQ-UHFFFAOYSA-N 2-benzyl-2-(dimethylamino)-1-(4-morpholin-4-ylphenyl)butan-1-one Chemical compound C=1C=C(N2CCOCC2)C=CC=1C(=O)C(CC)(N(C)C)CC1=CC=CC=C1 UHFFVFAKEGKNAQ-UHFFFAOYSA-N 0.000 description 1
- POAOYUHQDCAZBD-UHFFFAOYSA-N 2-butoxyethanol Chemical compound CCCCOCCO POAOYUHQDCAZBD-UHFFFAOYSA-N 0.000 description 1
- ZNQVEEAIQZEUHB-UHFFFAOYSA-N 2-ethoxyethanol Chemical compound CCOCCO ZNQVEEAIQZEUHB-UHFFFAOYSA-N 0.000 description 1
- SVONRAPFKPVNKG-UHFFFAOYSA-N 2-ethoxyethyl acetate Chemical compound CCOCCOC(C)=O SVONRAPFKPVNKG-UHFFFAOYSA-N 0.000 description 1
- YIWUKEYIRIRTPP-UHFFFAOYSA-N 2-ethylhexan-1-ol Chemical compound CCCCC(CC)CO YIWUKEYIRIRTPP-UHFFFAOYSA-N 0.000 description 1
- PCKZAVNWRLEHIP-UHFFFAOYSA-N 2-hydroxy-1-[4-[[4-(2-hydroxy-2-methylpropanoyl)phenyl]methyl]phenyl]-2-methylpropan-1-one Chemical compound C1=CC(C(=O)C(C)(O)C)=CC=C1CC1=CC=C(C(=O)C(C)(C)O)C=C1 PCKZAVNWRLEHIP-UHFFFAOYSA-N 0.000 description 1
- XMLYCEVDHLAQEL-UHFFFAOYSA-N 2-hydroxy-2-methyl-1-phenylpropan-1-one Chemical compound CC(C)(O)C(=O)C1=CC=CC=C1 XMLYCEVDHLAQEL-UHFFFAOYSA-N 0.000 description 1
- IEVADDDOVGMCSI-UHFFFAOYSA-N 2-hydroxybutyl 2-methylprop-2-enoate Chemical compound CCC(O)COC(=O)C(C)=C IEVADDDOVGMCSI-UHFFFAOYSA-N 0.000 description 1
- NJRHMGPRPPEGQL-UHFFFAOYSA-N 2-hydroxybutyl prop-2-enoate Chemical compound CCC(O)COC(=O)C=C NJRHMGPRPPEGQL-UHFFFAOYSA-N 0.000 description 1
- OMIGHNLMNHATMP-UHFFFAOYSA-N 2-hydroxyethyl prop-2-enoate Chemical compound OCCOC(=O)C=C OMIGHNLMNHATMP-UHFFFAOYSA-N 0.000 description 1
- VHSHLMUCYSAUQU-UHFFFAOYSA-N 2-hydroxypropyl methacrylate Chemical compound CC(O)COC(=O)C(C)=C VHSHLMUCYSAUQU-UHFFFAOYSA-N 0.000 description 1
- GWZMWHWAWHPNHN-UHFFFAOYSA-N 2-hydroxypropyl prop-2-enoate Chemical compound CC(O)COC(=O)C=C GWZMWHWAWHPNHN-UHFFFAOYSA-N 0.000 description 1
- LWRBVKNFOYUCNP-UHFFFAOYSA-N 2-methyl-1-(4-methylsulfanylphenyl)-2-morpholin-4-ylpropan-1-one Chemical compound C1=CC(SC)=CC=C1C(=O)C(C)(C)N1CCOCC1 LWRBVKNFOYUCNP-UHFFFAOYSA-N 0.000 description 1
- UPTHZKIDNHJFKQ-UHFFFAOYSA-N 2-methylprop-2-enoic acid;propane-1,2,3-triol Chemical compound CC(=C)C(O)=O.CC(=C)C(O)=O.OCC(O)CO UPTHZKIDNHJFKQ-UHFFFAOYSA-N 0.000 description 1
- NTKBNCABAMQDIG-UHFFFAOYSA-N 3-butoxypropan-1-ol Chemical compound CCCCOCCCO NTKBNCABAMQDIG-UHFFFAOYSA-N 0.000 description 1
- GBSGXZBOFKJGMG-UHFFFAOYSA-N 3-propan-2-yloxypropan-1-ol Chemical compound CC(C)OCCCO GBSGXZBOFKJGMG-UHFFFAOYSA-N 0.000 description 1
- IXAUCVOJRVFRBJ-UHFFFAOYSA-N 4-(trichloromethyl)triazine Chemical class ClC(Cl)(Cl)C1=CC=NN=N1 IXAUCVOJRVFRBJ-UHFFFAOYSA-N 0.000 description 1
- YKXAYLPDMSGWEV-UHFFFAOYSA-N 4-hydroxybutyl 2-methylprop-2-enoate Chemical compound CC(=C)C(=O)OCCCCO YKXAYLPDMSGWEV-UHFFFAOYSA-N 0.000 description 1
- NDWUBGAGUCISDV-UHFFFAOYSA-N 4-hydroxybutyl prop-2-enoate Chemical compound OCCCCOC(=O)C=C NDWUBGAGUCISDV-UHFFFAOYSA-N 0.000 description 1
- 238000012935 Averaging Methods 0.000 description 1
- DKPFZGUDAPQIHT-UHFFFAOYSA-N Butyl acetate Natural products CCCCOC(C)=O DKPFZGUDAPQIHT-UHFFFAOYSA-N 0.000 description 1
- RYGMFSIKBFXOCR-UHFFFAOYSA-N Copper Chemical compound [Cu] RYGMFSIKBFXOCR-UHFFFAOYSA-N 0.000 description 1
- XDTMQSROBMDMFD-UHFFFAOYSA-N Cyclohexane Chemical compound C1CCCCC1 XDTMQSROBMDMFD-UHFFFAOYSA-N 0.000 description 1
- RWSOTUBLDIXVET-UHFFFAOYSA-N Dihydrogen sulfide Chemical class S RWSOTUBLDIXVET-UHFFFAOYSA-N 0.000 description 1
- GYHNNYVSQQEPJS-UHFFFAOYSA-N Gallium Chemical compound [Ga] GYHNNYVSQQEPJS-UHFFFAOYSA-N 0.000 description 1
- 239000005057 Hexamethylene diisocyanate Substances 0.000 description 1
- WOBHKFSMXKNTIM-UHFFFAOYSA-N Hydroxyethyl methacrylate Chemical compound CC(=C)C(=O)OCCO WOBHKFSMXKNTIM-UHFFFAOYSA-N 0.000 description 1
- 229920000877 Melamine resin Polymers 0.000 description 1
- 239000004640 Melamine resin Substances 0.000 description 1
- CTQNGGLPUBDAKN-UHFFFAOYSA-N O-Xylene Chemical compound CC1=CC=CC=C1C CTQNGGLPUBDAKN-UHFFFAOYSA-N 0.000 description 1
- 229910000831 Steel Inorganic materials 0.000 description 1
- 235000000126 Styrax benzoin Nutrition 0.000 description 1
- 244000028419 Styrax benzoin Species 0.000 description 1
- 235000008411 Sumatra benzointree Nutrition 0.000 description 1
- GWEVSGVZZGPLCZ-UHFFFAOYSA-N Titan oxide Chemical compound O=[Ti]=O GWEVSGVZZGPLCZ-UHFFFAOYSA-N 0.000 description 1
- 238000003848 UV Light-Curing Methods 0.000 description 1
- JUDXBRVLWDGRBC-UHFFFAOYSA-N [2-(hydroxymethyl)-3-(2-methylprop-2-enoyloxy)-2-(2-methylprop-2-enoyloxymethyl)propyl] 2-methylprop-2-enoate Chemical compound CC(=C)C(=O)OCC(CO)(COC(=O)C(C)=C)COC(=O)C(C)=C JUDXBRVLWDGRBC-UHFFFAOYSA-N 0.000 description 1
- HVVWZTWDBSEWIH-UHFFFAOYSA-N [2-(hydroxymethyl)-3-prop-2-enoyloxy-2-(prop-2-enoyloxymethyl)propyl] prop-2-enoate Chemical compound C=CC(=O)OCC(CO)(COC(=O)C=C)COC(=O)C=C HVVWZTWDBSEWIH-UHFFFAOYSA-N 0.000 description 1
- MPIAGWXWVAHQBB-UHFFFAOYSA-N [3-prop-2-enoyloxy-2-[[3-prop-2-enoyloxy-2,2-bis(prop-2-enoyloxymethyl)propoxy]methyl]-2-(prop-2-enoyloxymethyl)propyl] prop-2-enoate Chemical compound C=CC(=O)OCC(COC(=O)C=C)(COC(=O)C=C)COCC(COC(=O)C=C)(COC(=O)C=C)COC(=O)C=C MPIAGWXWVAHQBB-UHFFFAOYSA-N 0.000 description 1
- JVQAJHYYWVAKPP-UHFFFAOYSA-N [O-2].[Ti+4].[Sn+2]=O.[O-2].[O-2] Chemical class [O-2].[Ti+4].[Sn+2]=O.[O-2].[O-2] JVQAJHYYWVAKPP-UHFFFAOYSA-N 0.000 description 1
- XLGNVNJCHMVSGV-UHFFFAOYSA-N [Sb].[Si]=O Chemical compound [Sb].[Si]=O XLGNVNJCHMVSGV-UHFFFAOYSA-N 0.000 description 1
- SDXHEKVPVRFSRP-UHFFFAOYSA-N [Si]=O.[Sn]=O Chemical class [Si]=O.[Sn]=O SDXHEKVPVRFSRP-UHFFFAOYSA-N 0.000 description 1
- JHGFRCLDPHKRBS-UHFFFAOYSA-N [Sn+2]=O.[O-2].[Zr+4].[O-2].[O-2] Chemical class [Sn+2]=O.[O-2].[Zr+4].[O-2].[O-2] JHGFRCLDPHKRBS-UHFFFAOYSA-N 0.000 description 1
- STWBBMAVGPQSFG-UHFFFAOYSA-N [Sn+2]=O.[O-2].[Zr+4].[O-2].[Ti+4] Chemical class [Sn+2]=O.[O-2].[Zr+4].[O-2].[Ti+4] STWBBMAVGPQSFG-UHFFFAOYSA-N 0.000 description 1
- NNVDGGDSRRQJMV-UHFFFAOYSA-L [dioctyl(2,2,5,5-tetramethylhexanoyloxy)stannyl] 2,2,5,5-tetramethylhexanoate Chemical compound CCCCCCCC[Sn](OC(=O)C(C)(C)CCC(C)(C)C)(OC(=O)C(C)(C)CCC(C)(C)C)CCCCCCCC NNVDGGDSRRQJMV-UHFFFAOYSA-L 0.000 description 1
- IPTNXMGXEGQYSY-UHFFFAOYSA-N acetic acid;1-methoxybutan-1-ol Chemical compound CC(O)=O.CCCC(O)OC IPTNXMGXEGQYSY-UHFFFAOYSA-N 0.000 description 1
- 229920001893 acrylonitrile styrene Polymers 0.000 description 1
- 239000000654 additive Substances 0.000 description 1
- 125000003158 alcohol group Chemical group 0.000 description 1
- 150000001298 alcohols Chemical class 0.000 description 1
- 125000002723 alicyclic group Chemical group 0.000 description 1
- 150000001408 amides Chemical class 0.000 description 1
- 150000004945 aromatic hydrocarbons Chemical class 0.000 description 1
- 150000001540 azides Chemical class 0.000 description 1
- 239000012965 benzophenone Substances 0.000 description 1
- 150000008366 benzophenones Chemical class 0.000 description 1
- MQDJYUACMFCOFT-UHFFFAOYSA-N bis[2-(1-hydroxycyclohexyl)phenyl]methanone Chemical compound C=1C=CC=C(C(=O)C=2C(=CC=CC=2)C2(O)CCCCC2)C=1C1(O)CCCCC1 MQDJYUACMFCOFT-UHFFFAOYSA-N 0.000 description 1
- NEHMKBQYUWJMIP-NJFSPNSNSA-N chloro(114C)methane Chemical compound [14CH3]Cl NEHMKBQYUWJMIP-NJFSPNSNSA-N 0.000 description 1
- 229910052802 copper Inorganic materials 0.000 description 1
- 239000010949 copper Substances 0.000 description 1
- 239000011258 core-shell material Substances 0.000 description 1
- 239000006059 cover glass Substances 0.000 description 1
- XXKOQQBKBHUATC-UHFFFAOYSA-N cyclohexylmethylcyclohexane Chemical group C1CCCCC1CC1CCCCC1 XXKOQQBKBHUATC-UHFFFAOYSA-N 0.000 description 1
- 125000000664 diazo group Chemical group [N-]=[N+]=[*] 0.000 description 1
- 238000007607 die coating method Methods 0.000 description 1
- MTHSVFCYNBDYFN-UHFFFAOYSA-N diethylene glycol Chemical compound OCCOCCO MTHSVFCYNBDYFN-UHFFFAOYSA-N 0.000 description 1
- 238000003618 dip coating Methods 0.000 description 1
- 125000006840 diphenylmethane group Chemical group 0.000 description 1
- 239000002612 dispersion medium Substances 0.000 description 1
- 239000000428 dust Substances 0.000 description 1
- 229920001971 elastomer Polymers 0.000 description 1
- 239000003480 eluent Substances 0.000 description 1
- 239000003822 epoxy resin Substances 0.000 description 1
- 150000002148 esters Chemical class 0.000 description 1
- 238000011156 evaluation Methods 0.000 description 1
- 238000009501 film coating Methods 0.000 description 1
- 239000010419 fine particle Substances 0.000 description 1
- 125000001153 fluoro group Chemical group F* 0.000 description 1
- 229910052733 gallium Inorganic materials 0.000 description 1
- 238000007756 gravure coating Methods 0.000 description 1
- 235000019382 gum benzoic Nutrition 0.000 description 1
- 150000004820 halides Chemical class 0.000 description 1
- 150000008282 halocarbons Chemical class 0.000 description 1
- RRAMGCGOFNQTLD-UHFFFAOYSA-N hexamethylene diisocyanate Chemical compound O=C=NCCCCCCN=C=O RRAMGCGOFNQTLD-UHFFFAOYSA-N 0.000 description 1
- 125000004836 hexamethylene group Chemical group [H]C([H])([*:2])C([H])([H])C([H])([H])C([H])([H])C([H])([H])C([H])([H])[*:1] 0.000 description 1
- FUZZWVXGSFPDMH-UHFFFAOYSA-N hexanoic acid Chemical compound CCCCCC(O)=O FUZZWVXGSFPDMH-UHFFFAOYSA-N 0.000 description 1
- 229930195733 hydrocarbon Natural products 0.000 description 1
- 125000004435 hydrogen atom Chemical group [H]* 0.000 description 1
- XMBWDFGMSWQBCA-UHFFFAOYSA-N hydrogen iodide Chemical class I XMBWDFGMSWQBCA-UHFFFAOYSA-N 0.000 description 1
- 238000007641 inkjet printing Methods 0.000 description 1
- 229910052500 inorganic mineral Inorganic materials 0.000 description 1
- INQOMBQAUSQDDS-UHFFFAOYSA-N iodomethane Chemical compound IC INQOMBQAUSQDDS-UHFFFAOYSA-N 0.000 description 1
- 229940035429 isobutyl alcohol Drugs 0.000 description 1
- 150000002513 isocyanates Chemical class 0.000 description 1
- 125000006838 isophorone group Chemical group 0.000 description 1
- 150000002576 ketones Chemical class 0.000 description 1
- 238000003475 lamination Methods 0.000 description 1
- 125000005647 linker group Chemical group 0.000 description 1
- 239000004973 liquid crystal related substance Substances 0.000 description 1
- 230000007257 malfunction Effects 0.000 description 1
- 229910052751 metal Inorganic materials 0.000 description 1
- 239000002184 metal Substances 0.000 description 1
- 229910001507 metal halide Inorganic materials 0.000 description 1
- 150000005309 metal halides Chemical class 0.000 description 1
- 229940102396 methyl bromide Drugs 0.000 description 1
- YLHXLHGIAMFFBU-UHFFFAOYSA-N methyl phenylglyoxalate Chemical compound COC(=O)C(=O)C1=CC=CC=C1 YLHXLHGIAMFFBU-UHFFFAOYSA-N 0.000 description 1
- 239000011707 mineral Substances 0.000 description 1
- YKYONYBAUNKHLG-UHFFFAOYSA-N n-Propyl acetate Natural products CCCOC(C)=O YKYONYBAUNKHLG-UHFFFAOYSA-N 0.000 description 1
- 125000004957 naphthylene group Chemical group 0.000 description 1
- WSGCRAOTEDLMFQ-UHFFFAOYSA-N nonan-5-one Chemical compound CCCCC(=O)CCCC WSGCRAOTEDLMFQ-UHFFFAOYSA-N 0.000 description 1
- JFNLZVQOOSMTJK-KNVOCYPGSA-N norbornene Chemical compound C1[C@@H]2CC[C@H]1C=C2 JFNLZVQOOSMTJK-KNVOCYPGSA-N 0.000 description 1
- 230000003287 optical effect Effects 0.000 description 1
- 150000001451 organic peroxides Chemical class 0.000 description 1
- YSMYVNWBCFJUIO-UHFFFAOYSA-N oxotin oxotungsten Chemical class [W]=O.[Sn]=O YSMYVNWBCFJUIO-UHFFFAOYSA-N 0.000 description 1
- 239000000123 paper Substances 0.000 description 1
- 125000004817 pentamethylene group Chemical group [H]C([H])([*:2])C([H])([H])C([H])([H])C([H])([H])C([H])([H])[*:1] 0.000 description 1
- WVDDGKGOMKODPV-ZQBYOMGUSA-N phenyl(114C)methanol Chemical compound O[14CH2]C1=CC=CC=C1 WVDDGKGOMKODPV-ZQBYOMGUSA-N 0.000 description 1
- 125000000843 phenylene group Chemical group C1(=C(C=CC=C1)*)* 0.000 description 1
- 230000000704 physical effect Effects 0.000 description 1
- 229920000647 polyepoxide Polymers 0.000 description 1
- 238000006116 polymerization reaction Methods 0.000 description 1
- 229920001451 polypropylene glycol Polymers 0.000 description 1
- 229920001296 polysiloxane Polymers 0.000 description 1
- 239000011148 porous material Substances 0.000 description 1
- 238000002360 preparation method Methods 0.000 description 1
- SCUZVMOVTVSBLE-UHFFFAOYSA-N prop-2-enenitrile;styrene Chemical compound C=CC#N.C=CC1=CC=CC=C1 SCUZVMOVTVSBLE-UHFFFAOYSA-N 0.000 description 1
- FAIDIRVMPHBRLT-UHFFFAOYSA-N propane-1,2,3-triol;prop-2-enoic acid Chemical compound OC(=O)C=C.OC(=O)C=C.OCC(O)CO FAIDIRVMPHBRLT-UHFFFAOYSA-N 0.000 description 1
- 229940090181 propyl acetate Drugs 0.000 description 1
- 230000001681 protective effect Effects 0.000 description 1
- 238000005096 rolling process Methods 0.000 description 1
- 239000005060 rubber Substances 0.000 description 1
- 150000003839 salts Chemical class 0.000 description 1
- 238000007650 screen-printing Methods 0.000 description 1
- 239000010454 slate Substances 0.000 description 1
- 238000004528 spin coating Methods 0.000 description 1
- 235000015096 spirit Nutrition 0.000 description 1
- 238000005507 spraying Methods 0.000 description 1
- 239000010959 steel Substances 0.000 description 1
- 150000003462 sulfoxides Chemical class 0.000 description 1
- 125000000383 tetramethylene group Chemical group [H]C([H])([*:1])C([H])([H])C([H])([H])C([H])([H])[*:2] 0.000 description 1
- 150000003573 thiols Chemical class 0.000 description 1
- OGIDPMRJRNCKJF-UHFFFAOYSA-N titanium oxide Inorganic materials [Ti]=O OGIDPMRJRNCKJF-UHFFFAOYSA-N 0.000 description 1
- 125000005628 tolylene group Chemical group 0.000 description 1
- NQPDZGIKBAWPEJ-UHFFFAOYSA-N valeric acid Chemical compound CCCCC(O)=O NQPDZGIKBAWPEJ-UHFFFAOYSA-N 0.000 description 1
- 125000000391 vinyl group Chemical group [H]C([*])=C([H])[H] 0.000 description 1
- 239000002023 wood Substances 0.000 description 1
- 210000002268 wool Anatomy 0.000 description 1
- 229910052724 xenon Inorganic materials 0.000 description 1
- FHNFHKCVQCLJFQ-UHFFFAOYSA-N xenon atom Chemical compound [Xe] FHNFHKCVQCLJFQ-UHFFFAOYSA-N 0.000 description 1
- 239000008096 xylene Substances 0.000 description 1
- 125000006839 xylylene group Chemical group 0.000 description 1
Landscapes
- Application Of Or Painting With Fluid Materials (AREA)
- Coating Of Shaped Articles Made Of Macromolecular Substances (AREA)
- Paints Or Removers (AREA)
- Macromonomer-Based Addition Polymer (AREA)
Description
本発明の硬化性組成物の各成分について、以下に説明する。
[(a)ウレタン(メタ)アクリレート]
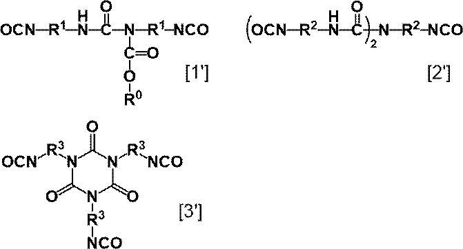
本発明の硬化性組成物において(a)ウレタン(メタ)アクリレートは、前記式[1]乃至式[3]で表される部分構造のうち何れか1つを有する化合物であり、例えば、前記(a1)ヒドロキシ基を少なくとも1つ有する(メタ)アクリレート化合物と(a2)前記式[1´]乃至式[3´]で表される化合物からなる群から選択される少なくとも1つのイソシアネート化合物とを、公知の方法で反応させて得られる反応生成物である。中でも(a)ウレタン(メタ)アクリレートとして、前記式[1]で表される部分構造を有することが最も好ましい。
本発明の硬化性組成物において好ましい(b)パーフルオロポリエーテルは、ポリ(オキシパーフルオロアルキレン)基を含む分子鎖の末端に、ウレタン結合を介して活性エネルギー線重合性基を有する。前記パーフルオロポリエーテルの分子鎖の末端は、該分子鎖の全ての末端及び一部の末端、いずれでもよい。前記パーフルオロポリエーテルの分子鎖が直鎖状である場合、前記分子鎖の全ての末端及び一部の末端は、それぞれ該直鎖状の分子鎖の両末端及び片末端である。前記ポリ(オキシパーフルオロアルキレン)基と前記ウレタン結合との間の連結基としては、例えば、エーテル結合を有する炭化水素基が挙げられ、該炭化水素基は、水素原子の少なくとも1つがフッ素原子で置換されていてもよい。本発明の硬化性組成物において(b)パーフルオロポリエーテルは、本発明の硬化性組成物から形成されるハードコート層における表面改質剤としての役割を果たす。また、(b)パーフルオロポリエーテルは、(a)ウレタン(メタ)アクリレートとの相溶性に優れるため、白濁が抑制され、透明な外観を呈するハードコート層の形成を可能とする。
本発明の硬化性組成物において好ましい(c)重合開始剤は、例えば、電子線、紫外線、X線等の活性エネルギー線により、特に紫外線照射によりラジカルを発生する重合開始剤である。
本発明の硬化性組成物は、任意成分として(d)帯電防止剤を含有してもよい。(d)帯電防止剤として、例えば金属酸化物粒子を含有する帯電防止剤が挙げられる。前記金属酸化物粒子として、その一次粒子径が4nm乃至100nmの微粒子を採用することができる。前記金属酸化物粒子はその一次粒子径を上記数値範囲内とすることにより耐擦傷性及び延伸性に影響を与えることなく帯電防止性を付与することができ、また透明性の実現につながる硬化膜を得ることができる。なお、本発明において、金属酸化物粒子における一次粒子径とは、透過型電子顕微鏡を用いて観察される個々の粒子の粒子径を指す。
本発明の硬化性組成物は、任意成分として(e)溶媒を含有してもよく、すなわちワニスの形態としてもよい。(e)溶媒としては、前記(a)成分乃至(c)成分、及び任意成分である前記(d)成分の溶解・分散性、また、後述する硬化膜(ハードコート層)の形成に係る硬化性組成物の塗工時の作業性、硬化前後の乾燥性等を考慮して適宜選択すればよい。
本発明の硬化性組成物は、基材上に塗布(コーティング)して塗膜を形成し、該塗膜に活性エネルギー線を照射して重合(硬化)させることにより、硬化膜を形成でき、該硬化膜も本発明の対象である。また後述するハードコートフィルムにおけるハードコート層として、上記硬化膜からなるものを用いることができる。
本発明の硬化性組成物を用いて、フィルム基材の少なくとも一方の面(表面)にハードコート層を備えるハードコートフィルムを製造することができる。該ハードコートフィルムも本発明の対象であり、該ハードコートフィルムは、例えば、タッチパネル、液晶ディスプレイ等の各種表示素子の表面を保護するために好適に用いられる。
装置:(株)エスエムテー製 PM-9050MC
バー:オーエスジーシステムプロダクツ(株)製 A-Bar OSP-22、最大ウエット膜厚22μm(ワイヤーバー#9相当)
塗布速度:4m/分
(2)オーブン
装置:三基計装(株)製 2層式クリーンオーブン(上下式)PO-250-45-D
(3)UV硬化
装置:ヘレウス(株)製 CV-110QC-G
ランプ:ヘレウス(株)製 無電極ランプH-bulb
(4)ゲル浸透クロマトグラフィー(GPC)
装置:東ソー(株)製 HLC-8220GPC
カラム:昭和電工(株)製 Shodex(登録商標)GPC K-804L、GPC K-805L
カラム温度:40℃
溶離液:テトラヒドロフラン
検出器:RI
(5)擦傷試験
装置:新東科学(株)製 往復摩耗試験機 TRIBOGEAR TYPE:30S
走査速度:5,000mm/分
走査距離:50mm
(6)引張試験
装置:(株)島津製作所製 卓上形精密万能試験機オートグラフAGS-10kNX
つかみ具:1kN手動ねじ式平面形つかみ具
つかみ歯:高強度ラバーコートつかみ歯
引張速度:10mm/分
測定温度:23℃
(7)表面抵抗測定
装置:三菱化学(株)製 高抵抗率計 Hiresta UP MCP-HT450
プローブ:URSプローブ
レジテーブル:UFL
印加電圧:10V
ヒドロキシ基を1つ有する多官能アクリレート(a1-1):
ジペンタエリスリトールペンタアクリレート/ヘキサアクリレート混合物[東亞合成 (株)製 アロニックス(登録商標) M-403、ペンタ体割合50%乃至60%(カタログ値)、推定水酸基価=63.3mgKOH/g(ペンタ体55%、ヘキサ体45%として算出)]
アロファネート体ポリイソシアネート(a2-1):
ヘキサメチレンジイソシアネートのアロファネート変性体[旭化成ケミカルズ(株)製 デュラネート(登録商標)A201H、イソシアネート基含有率=17.2質量%、2官能]
ビウレット体ポリイソシアネート(a2-2):
ヘキサメチレンジイソシアネートのビウレット変性体[旭化成ケミカルズ(株)製 デュラネート(登録商標)24A-100、イソシアネート基含有率=23.5質量%、3官能]
イソシアヌレート体ポリイソシアネート(a2-3):
ヘキサメチレンジイソシアネートのイソシアヌレート変性体[旭化成ケミカルズ(株)製 デュラネート(登録商標)TLA-100、イソシアネート基含有率=23.3質量%、3官能]
アダクト体ポリイソシアネート(a2-4):
ヘキサメチレンジイソシアネートのアダクト変性体[旭化成ケミカルズ(株)製 デュラネート(登録商標)P301-75E、イソシアネート基含有率=12.5質量%、2官能]
PFPE:両末端それぞれにポリ(オキシアルキレン)基を介さずヒドロキシ基を2つ有するパーフルオロポリエーテル[ソルベイスペシャルティポリマーズ社製 Fomblin(登録商標)T4]
BEI:1,1-ビス(アクリロイルオキシメチル)エチルイソシアネート[昭和電工(株)製 カレンズ(登録商標)BEI]
DOTDD:ジネオデカン酸ジオクチル錫[日東化成(株)製 ネオスタン(登録商標)U-830]
SM2:両末端にアクリロイル基を合計4つ有するパーフルオロポリエーテルウレタンアクリレート[ソルベイスペシャルティポリマーズ社製 FLUOROLINK(登録商標)AD-1700、不揮発分70質量%溶液]
SM3:片末端にメタクリロイル基を有するポリジメチルシロキサン[JNC(株)製 サイラプレーン(登録商標)FM-0721]
O2959:2-ヒドロキシ-1-(4-(2-ヒドロキシエトキシ)フェニル)-2-メチルプロパン-1-オン[IGM Resins社製 OMNIRAD(登録商標)2959]
MEK:メチルエチルケトン
MeOH:メタノール
帯電防止剤d-1:
リンドープ酸化スズ20質量%イソプロピルアルコール分散ゾル[日産化学(株)製セルナックス(登録商標)CX-S204IP、一次粒子径:5nm乃至20nm、二次粒子径:10nm乃至20nm]
※ここで一次粒子径、及び二次粒子径とは、透過型電子顕微鏡観察によって測定される平均粒子径を指す。粒子径は透過型電子顕微鏡によるゾルを銅メッシュ上に滴下し乾燥させ、透過型電子顕微鏡(日本電子(株)製JEM-1020)を用いて加速電圧100kVにて観察し、100個の粒子を測定し平均化した値を平均一次粒子径として求めた。
帯電防止剤d-2:
酸化スズを核としてその表面が五酸化アンチモンで被覆された一次粒子径30nm乃至40nmのコアシェル粒子30質量%メタノール分散ゾル[日産化学(株)製セルナックス(登録商標)HX-307M1]
スクリュー管に、PFPE 1.19g(0.5mmol)、BEI 0.52g(2.0mmol)、DOTDD 0.017g(PFPE及びBEIの合計質量の0.01倍量)、及びMEK 1.67gを仕込んだ。この混合物を、スターラーチップを用いて室温(およそ23℃)で72時間撹拌して、目的化合物である表面改質剤の50質量%MEK溶液を得た。得られたSM1のGPCによるポリスチレン換算で測定される重量平均分子量:Mwは3,000、分散度:Mw(重量平均分子量)/Mn(数平均分子量)は1.2であった。
ヒドロキシ基を1つ有する多官能アクリレート(a1-1)と各種ポリイソシアネート(a2-1)乃至(a2-4)とを反応させ、ウレタンアクリレートを製造する際の該ポリイソシアネートの仕込み量は、[(a1-1)の水酸基価/561)×(42×100/イソシアネート基含有率)×[(a1-1)量/100]×(NCO基の数/OH基の数)を用いて算出した。
スクリュー管に、OH基の数/NCO基の数=1となるよう(a1-1)10g、及びアロファネート体ポリイソシアネート(a2-1)2.76gを仕込み、さらにDOTDD 0.13g[(a1-1)及び(a2-1)の合計質量の0.01倍量]、及びMEK 3.22gを仕込んだ。得られた混合物を、スターラーチップを用いて室温(およそ23℃)でイソシアネート基を示す2260cm-1の赤外線吸収スペクトルが消失するまで撹拌した後、目的化合物であるウレタンアクリレートUA1の80質量%MEK溶液を得た。
スクリュー管に、OH基の数/NCO基の数=2/3となるよう(a1-1)10g、及びビウレット体ポリイソシアネート(a2-2)3.02gを仕込み、さらにDOTDD 0.13g[(a1-1)及び(a2-2)の合計質量の0.01倍量]、及びMEK 2.96gを仕込んだ。得られた混合物を、スターラーチップを用いて室温(およそ23℃)で3時間程度撹拌した後、残イソシアネート基を消滅させるためMeOH 0.33gを仕込み、室温(およそ23℃)でイソシアネート基を示す2260cm-1の赤外線吸収スペクトルが消失するまで撹拌した後、目的化合物であるウレタンアクリレートUA2の80質量%MEK/MeOH溶液を得た。
スクリュー管に、OH基の数/NCO基の数=2/3となるよう(a1-1)10g、及びイソシアヌレート体ポリイソシアネート(a2-3)3.05gを仕込み、さらにDOTDD 0.13g[(a1-1)及び(a2-3)の合計質量の0.01倍量]、及びMEK 2.97gを仕込んだ。得られた混合物を、スターラーチップを用いて室温(およそ23℃)で3時間程度撹拌した後、残イソシアネート基を消滅させるためMeOH 0.33gを仕込み、室温(およそ23℃)でイソシアネート基を示す2260cm-1の赤外線吸収スペクトルが消失するまで撹拌した後、目的化合物であるウレタンアクリレートUA3の80質量%MEK/MeOH溶液を得た。
スクリュー管に、OH基の数/NCO基の数=1となるよう(a1-1)10g、及びアダクト体ポリイソシアネート(a2-4)3.73gを仕込み、さらにDOTDD 0.14g[(a1-1)及び(a2-4)の合計質量の0.01倍量]、及びMEK 3.47gを仕込んだ。得られた混合物を、スターラーチップを用いて室温(およそ23℃)でイソシアネート基を示す2260cm-1の赤外線吸収スペクトルが消失するまで撹拌した後、目的化合物であるウレタンアクリレートUA4の80質量%MEK溶液を得た。
表1に記載の各成分を混合し、表1に記載の固形分濃度の硬化性組成物を調製した。なお、ここで固形分とは溶媒以外の成分を指す。また、表1中、[部]とは[質量部]を表す。なお、表1中のウレタンアクリレート及び表面改質剤はそれぞれ固形分を表す。
[組成物均質性]
調製後2時間経過後の硬化性組成物の外観を目視で確認し、以下の基準に従い評価した。
A:透明溶液(浮遊物及び沈降物いずれも無し)
C:浮遊物及び沈降物いずれも有り
[耐擦傷性]
得られたハードコートフィルムのハードコート層表面を、往復摩耗試験機に取り付けたスチールウール[ボンスター(BONSTAR)(登録商標)#0000(超極細)]で表2に記載の荷重を掛けてストローク60mmで10往復擦った。その後、前記ストローク60mmの両端5mmの範囲を除いた領域内における傷の程度を目視で確認し、以下の基準A、B及びCに従い評価した。なお、ハードコート層として実際の使用を想定した場合、少なくともBであることが求められ、Aであることが望ましい。
A:傷無し(傷0本)
B:傷発生(長さ5mm未満の傷1本乃至4本)
C:傷発生(長さ5mm未満の傷5本以上、又は長さ5mm以上の傷1本以上)
[延伸性]
得られたハードコートフィルムを長さ60mm、幅10mmの矩形に切り取り、試験片を作製した。その試験片の長手方向の両端から20mmずつを掴むように万能試験機のつかみ具に取り付け、延伸率(=(つかみ具間距離の増加量)÷(つかみ具間距離)×100)が4%、5%、6%となるように1%刻みで引張試験を行った。引張試験後のハードコートフィルムを目視で観察し、試験片のハードコート層にクラックが発生しなかった最大の延伸率を確認した。比較例1の延伸率を延伸性100とし、これを基準として延伸性を算出した。
表3に記載の各成分を混合し、表3に記載の固形分濃度の硬化性組成物を調製した。なお、ここで固形分とは溶媒及び分散媒以外の成分を指す。また、表3中、[部]とは[質量部]を、[%]は[質量%]を表す。なお、表3中のウレタンアクリレート、表面改質剤及び帯電防止剤はそれぞれ固形分を表す。
[表面抵抗]
ハードコート層表面を上にして前記ハードコートフィルムを、高抵抗率計のレジテーブル上に置き、プローブを該ハードコートフィルム(ハードコート層)に押し付け10秒後の値を3回測定し、平均値を表面抵抗値[Ω/□]とした。
Claims (18)
- (a)下記式[1]で表される部分構造を有する、少なくとも1種のウレタン(メタ)アクリレート100質量部、
(b)ポリ(オキシパーフルオロアルキレン)基を含む分子鎖の末端に、活性エネルギー線重合性基を有するパーフルオロポリエーテル0.05質量部乃至10質量部、及び
(c)活性エネルギー線によりラジカルを発生する重合開始剤1質量部乃至20質量部
を含む、硬化性組成物であって、
前記(a)ウレタン(メタ)アクリレートが(a1)ヒドロキシ基を少なくとも1つ有する(メタ)アクリレート化合物と(a2)下記式[1´]で表される少なくとも1つのイソシアネート化合物との反応生成物である、硬化性組成物(ただし、溶解度パラメータが9~13(cal/cm 3 ) 1/2 、分子量が350以下、25℃の粘度が30mPa・s以下である水酸基を有さない重合性不飽和基含有モノマーを含有する硬化性組成物を除く。)。
(上記式中、R 1 は炭素原子数4乃至15の2価の炭化水素基を表し、R0は1価アルコールの残基を表す。)
(上記式中、R 0 及びR 1 は前記式[1]の定義と同義である。) - 前記(b)パーフルオロポリエーテルは、前記ポリ(オキシパーフルオロアルキレン)基を含む分子鎖の末端にウレタン結合を介して活性エネルギー線重合性基を有する、請求項1に記載の硬化性組成物。
- 前記(b)パーフルオロポリエーテルは、前記ポリ(オキシパーフルオロアルキレン)基を含む分子鎖の末端にウレタン結合を介して活性エネルギー線重合性基を少なくとも2つ有する、請求項1又は請求項2に記載の硬化性組成物。
- 前記(b)パーフルオロポリエーテルは、前記ポリ(オキシパーフルオロアルキレン)基を含む分子鎖の両末端それぞれにウレタン結合を介して活性エネルギー線重合性基を少なくとも2つ有する、請求項1乃至請求項3のうち何れか一項に記載の硬化性組成物。
- 前記(b)パーフルオロポリエーテルのポリ(オキシパーフルオロアルキレン)基が、繰り返し単位-[CF2O]-及び繰り返し単位-[CF2CF2O]-の双方を有し、これら繰り返し単位をブロック結合、ランダム結合、又は、ブロック結合及びランダム結合にて結合してなる基である、請求項1乃至請求項4のうち何れか一項に記載の硬化性組成物。
- (d)帯電防止剤10質量部乃至55質量部をさらに含む、請求項1乃至請求項6のうち何れか一項に記載の硬化性組成物。
- 前記(d)帯電防止剤は金属酸化物粒子を含む、請求項7に記載の硬化性組成物。
- 前記金属酸化物粒子は、スズ、亜鉛、及びインジウムからなる群から選ばれる少なくとも1つの元素の酸化物を含む、請求項8に記載の硬化性組成物。
- 前記金属酸化物粒子はドーパントが添加されていてもよい酸化スズを含む、請求項9に記載の硬化性組成物。
- 前記金属酸化物粒子は、リンドープ酸化スズ、及び表面が五酸化アンチモンで被覆された酸化スズのうち少なくとも1つを含む、請求項8乃至請求項10のうち何れか一項に記載の硬化性組成物。
- (e)溶媒をさらに含む、請求項1乃至請求項11のうち何れか一項に記載の硬化性組成物。
- 請求項1乃至請求項12のうち何れか一項に記載の硬化性組成物より得られる硬化膜。
- フィルム基材の少なくとも一方の面にハードコート層を備えるハードコートフィルムであって、該ハードコート層が請求項13に記載の硬化膜からなる、ハードコートフィルム。
- フィルム基材の少なくとも一方の面にハードコート層を備えるハードコートフィルムであって、該ハードコート層が、請求項1乃至請求項12のうち何れか一項に記載の硬化性組成物をフィルム基材上に塗布し塗膜を形成する工程と、該塗膜に活性エネルギー線を照射し硬化する工程とを含む方法により形成されてなる、ハードコートフィルム。
- フィルム基材の少なくとも一方の面にハードコート層を備えるハードコートフィルムであって、該ハードコート層が、請求項12に記載の硬化性組成物をフィルム基材上に塗布し塗膜を形成する工程と、加熱により該塗膜から前記溶媒を除去する工程と、該塗膜に活性エネルギー線を照射し硬化する工程とを含む方法により形成されてなる、ハードコートフィルム。
- 前記ハードコート層が1μm乃至10μmの膜厚を有する、請求項14乃至請求項16のうち何れか一項に記載のハードコートフィルム。
- 請求項1乃至請求項12のうち何れか一項に記載の硬化性組成物をフィルム基材上に塗布し塗膜を形成する工程と、該塗膜に活性エネルギー線を照射し硬化する工程とを含む、積層体の製造方法。
Priority Applications (1)
| Application Number | Priority Date | Filing Date | Title |
|---|---|---|---|
| JP2020154006A JP7587201B2 (ja) | 2020-09-14 | 2020-09-14 | 特定のウレタン(メタ)アクリレートを含むハードコート層形成用硬化性組成物 |
Applications Claiming Priority (1)
| Application Number | Priority Date | Filing Date | Title |
|---|---|---|---|
| JP2020154006A JP7587201B2 (ja) | 2020-09-14 | 2020-09-14 | 特定のウレタン(メタ)アクリレートを含むハードコート層形成用硬化性組成物 |
Publications (2)
| Publication Number | Publication Date |
|---|---|
| JP2022047947A JP2022047947A (ja) | 2022-03-25 |
| JP7587201B2 true JP7587201B2 (ja) | 2024-11-20 |
Family
ID=80781155
Family Applications (1)
| Application Number | Title | Priority Date | Filing Date |
|---|---|---|---|
| JP2020154006A Active JP7587201B2 (ja) | 2020-09-14 | 2020-09-14 | 特定のウレタン(メタ)アクリレートを含むハードコート層形成用硬化性組成物 |
Country Status (1)
| Country | Link |
|---|---|
| JP (1) | JP7587201B2 (ja) |
Families Citing this family (2)
| Publication number | Priority date | Publication date | Assignee | Title |
|---|---|---|---|---|
| JP2023150005A (ja) * | 2022-03-31 | 2023-10-16 | アイカ工業株式会社 | ハードコート樹脂組成物及びハードコートフィルム |
| CN116716035B (zh) * | 2023-06-09 | 2023-12-15 | 江苏视科新材料股份有限公司 | 一种精准调控防护的滤光涂层材料 |
Citations (4)
| Publication number | Priority date | Publication date | Assignee | Title |
|---|---|---|---|---|
| JP2011190343A (ja) | 2010-03-15 | 2011-09-29 | Kyoeisha Chem Co Ltd | ハードコート用組成物及びハードコート層が形成された成形品 |
| JP2012241060A (ja) | 2011-05-17 | 2012-12-10 | Yokohama Rubber Co Ltd:The | 硬化性樹脂組成物 |
| JP2016074884A (ja) | 2014-09-29 | 2016-05-12 | 荒川化学工業株式会社 | 光硬化型樹脂組成物及びこれを用いた光学用フィルム |
| WO2020008937A1 (ja) | 2018-07-05 | 2020-01-09 | 日産化学株式会社 | フレキシブルコーティング用硬化性組成物 |
-
2020
- 2020-09-14 JP JP2020154006A patent/JP7587201B2/ja active Active
Patent Citations (4)
| Publication number | Priority date | Publication date | Assignee | Title |
|---|---|---|---|---|
| JP2011190343A (ja) | 2010-03-15 | 2011-09-29 | Kyoeisha Chem Co Ltd | ハードコート用組成物及びハードコート層が形成された成形品 |
| JP2012241060A (ja) | 2011-05-17 | 2012-12-10 | Yokohama Rubber Co Ltd:The | 硬化性樹脂組成物 |
| JP2016074884A (ja) | 2014-09-29 | 2016-05-12 | 荒川化学工業株式会社 | 光硬化型樹脂組成物及びこれを用いた光学用フィルム |
| WO2020008937A1 (ja) | 2018-07-05 | 2020-01-09 | 日産化学株式会社 | フレキシブルコーティング用硬化性組成物 |
Also Published As
| Publication number | Publication date |
|---|---|
| JP2022047947A (ja) | 2022-03-25 |
Similar Documents
| Publication | Publication Date | Title |
|---|---|---|
| JP7397412B2 (ja) | 硬化性組成物 | |
| TWI791603B (zh) | 延伸性耐擦傷性之塗布用硬化性組成物 | |
| JP7587201B2 (ja) | 特定のウレタン(メタ)アクリレートを含むハードコート層形成用硬化性組成物 | |
| JP7510117B2 (ja) | 帯電防止ハードコート用硬化性組成物 | |
| TW202302781A (zh) | 抗靜電硬塗層及硬化性組成物 | |
| JP7678408B2 (ja) | ウレタン(メタ)アクリレート及び表面修飾されたシリカ粒子を含むハードコート層形成用硬化性組成物 | |
| JP7545113B2 (ja) | フレキシブルハードコート用硬化性組成物 | |
| KR102580704B1 (ko) | 플렉서블 하드코트용 경화성 조성물 | |
| JP7401854B2 (ja) | 耐擦傷性ハードコートフィルムの製造方法 | |
| KR102902455B1 (ko) | 연신성 내찰상성 코팅용 경화성 조성물 | |
| JP7332989B2 (ja) | 防眩性ハードコート用硬化性組成物 | |
| JP7311844B2 (ja) | ハードコート用硬化性組成物 | |
| WO2025253960A1 (ja) | ハードコート層形成用硬化性組成物 | |
| WO2025134947A1 (ja) | 積層体 |
Legal Events
| Date | Code | Title | Description |
|---|---|---|---|
| A621 | Written request for application examination |
Free format text: JAPANESE INTERMEDIATE CODE: A621 Effective date: 20230630 |
|
| RD02 | Notification of acceptance of power of attorney |
Free format text: JAPANESE INTERMEDIATE CODE: A7422 Effective date: 20230714 |
|
| A977 | Report on retrieval |
Free format text: JAPANESE INTERMEDIATE CODE: A971007 Effective date: 20240418 |
|
| A131 | Notification of reasons for refusal |
Free format text: JAPANESE INTERMEDIATE CODE: A131 Effective date: 20240501 |
|
| A521 | Request for written amendment filed |
Free format text: JAPANESE INTERMEDIATE CODE: A523 Effective date: 20240626 |
|
| TRDD | Decision of grant or rejection written | ||
| A01 | Written decision to grant a patent or to grant a registration (utility model) |
Free format text: JAPANESE INTERMEDIATE CODE: A01 Effective date: 20241009 |
|
| A61 | First payment of annual fees (during grant procedure) |
Free format text: JAPANESE INTERMEDIATE CODE: A61 Effective date: 20241022 |
|
| R150 | Certificate of patent or registration of utility model |
Ref document number: 7587201 Country of ref document: JP Free format text: JAPANESE INTERMEDIATE CODE: R150 |









