JP7579639B2 - 神経刺激性ステロイド、組成物およびそれらの使用 - Google Patents
神経刺激性ステロイド、組成物およびそれらの使用 Download PDFInfo
- Publication number
- JP7579639B2 JP7579639B2 JP2020008895A JP2020008895A JP7579639B2 JP 7579639 B2 JP7579639 B2 JP 7579639B2 JP 2020008895 A JP2020008895 A JP 2020008895A JP 2020008895 A JP2020008895 A JP 2020008895A JP 7579639 B2 JP7579639 B2 JP 7579639B2
- Authority
- JP
- Japan
- Prior art keywords
- substituted
- unsubstituted
- certain embodiments
- alkyl
- hydrogen
- Prior art date
- Legal status (The legal status is an assumption and is not a legal conclusion. Google has not performed a legal analysis and makes no representation as to the accuracy of the status listed.)
- Active
Links
Classifications
-
- A—HUMAN NECESSITIES
- A61—MEDICAL OR VETERINARY SCIENCE; HYGIENE
- A61K—PREPARATIONS FOR MEDICAL, DENTAL OR TOILETRY PURPOSES
- A61K31/00—Medicinal preparations containing organic active ingredients
- A61K31/56—Compounds containing cyclopenta[a]hydrophenanthrene ring systems; Derivatives thereof, e.g. steroids
- A61K31/575—Compounds containing cyclopenta[a]hydrophenanthrene ring systems; Derivatives thereof, e.g. steroids substituted in position 17 beta by a chain of three or more carbon atoms, e.g. cholane, cholestane, ergosterol, sitosterol
-
- A—HUMAN NECESSITIES
- A61—MEDICAL OR VETERINARY SCIENCE; HYGIENE
- A61K—PREPARATIONS FOR MEDICAL, DENTAL OR TOILETRY PURPOSES
- A61K31/00—Medicinal preparations containing organic active ingredients
- A61K31/56—Compounds containing cyclopenta[a]hydrophenanthrene ring systems; Derivatives thereof, e.g. steroids
-
- A—HUMAN NECESSITIES
- A61—MEDICAL OR VETERINARY SCIENCE; HYGIENE
- A61K—PREPARATIONS FOR MEDICAL, DENTAL OR TOILETRY PURPOSES
- A61K31/00—Medicinal preparations containing organic active ingredients
- A61K31/56—Compounds containing cyclopenta[a]hydrophenanthrene ring systems; Derivatives thereof, e.g. steroids
- A61K31/565—Compounds containing cyclopenta[a]hydrophenanthrene ring systems; Derivatives thereof, e.g. steroids not substituted in position 17 beta by a carbon atom, e.g. estrane, estradiol
- A61K31/568—Compounds containing cyclopenta[a]hydrophenanthrene ring systems; Derivatives thereof, e.g. steroids not substituted in position 17 beta by a carbon atom, e.g. estrane, estradiol substituted in positions 10 and 13 by a chain having at least one carbon atom, e.g. androstanes, e.g. testosterone
-
- A—HUMAN NECESSITIES
- A61—MEDICAL OR VETERINARY SCIENCE; HYGIENE
- A61P—SPECIFIC THERAPEUTIC ACTIVITY OF CHEMICAL COMPOUNDS OR MEDICINAL PREPARATIONS
- A61P25/00—Drugs for disorders of the nervous system
- A61P25/28—Drugs for disorders of the nervous system for treating neurodegenerative disorders of the central nervous system, e.g. nootropic agents, cognition enhancers, drugs for treating Alzheimer's disease or other forms of dementia
-
- A—HUMAN NECESSITIES
- A61—MEDICAL OR VETERINARY SCIENCE; HYGIENE
- A61P—SPECIFIC THERAPEUTIC ACTIVITY OF CHEMICAL COMPOUNDS OR MEDICINAL PREPARATIONS
- A61P25/00—Drugs for disorders of the nervous system
- A61P25/30—Drugs for disorders of the nervous system for treating abuse or dependence
-
- A—HUMAN NECESSITIES
- A61—MEDICAL OR VETERINARY SCIENCE; HYGIENE
- A61P—SPECIFIC THERAPEUTIC ACTIVITY OF CHEMICAL COMPOUNDS OR MEDICINAL PREPARATIONS
- A61P39/00—General protective or antinoxious agents
-
- A—HUMAN NECESSITIES
- A61—MEDICAL OR VETERINARY SCIENCE; HYGIENE
- A61P—SPECIFIC THERAPEUTIC ACTIVITY OF CHEMICAL COMPOUNDS OR MEDICINAL PREPARATIONS
- A61P43/00—Drugs for specific purposes, not provided for in groups A61P1/00-A61P41/00
-
- C—CHEMISTRY; METALLURGY
- C01—INORGANIC CHEMISTRY
- C01B—NON-METALLIC ELEMENTS; COMPOUNDS THEREOF; METALLOIDS OR COMPOUNDS THEREOF NOT COVERED BY SUBCLASS C01C
- C01B3/00—Hydrogen; Gaseous mixtures containing hydrogen; Separation of hydrogen from mixtures containing it; Purification of hydrogen
- C01B3/02—Production of hydrogen or of gaseous mixtures containing a substantial proportion of hydrogen
- C01B3/04—Production of hydrogen or of gaseous mixtures containing a substantial proportion of hydrogen by decomposition of inorganic compounds, e.g. ammonia
- C01B3/047—Decomposition of ammonia
-
- C—CHEMISTRY; METALLURGY
- C07—ORGANIC CHEMISTRY
- C07J—STEROIDS
- C07J1/00—Normal steroids containing carbon, hydrogen, halogen or oxygen, not substituted in position 17 beta by a carbon atom, e.g. estrane, androstane
- C07J1/0003—Androstane derivatives
- C07J1/0018—Androstane derivatives substituted in position 17 beta, not substituted in position 17 alfa
- C07J1/0022—Androstane derivatives substituted in position 17 beta, not substituted in position 17 alfa the substituent being an OH group free esterified or etherified
- C07J1/0029—Ethers
-
- C—CHEMISTRY; METALLURGY
- C07—ORGANIC CHEMISTRY
- C07J—STEROIDS
- C07J3/00—Normal steroids containing carbon, hydrogen, halogen or oxygen, substituted in position 17 beta by one carbon atom
-
- C—CHEMISTRY; METALLURGY
- C07—ORGANIC CHEMISTRY
- C07J—STEROIDS
- C07J31/00—Normal steroids containing one or more sulfur atoms not belonging to a hetero ring
- C07J31/006—Normal steroids containing one or more sulfur atoms not belonging to a hetero ring not covered by C07J31/003
-
- C—CHEMISTRY; METALLURGY
- C07—ORGANIC CHEMISTRY
- C07J—STEROIDS
- C07J41/00—Normal steroids containing one or more nitrogen atoms not belonging to a hetero ring
- C07J41/0005—Normal steroids containing one or more nitrogen atoms not belonging to a hetero ring the nitrogen atom being directly linked to the cyclopenta(a)hydro phenanthrene skeleton
-
- C—CHEMISTRY; METALLURGY
- C07—ORGANIC CHEMISTRY
- C07J—STEROIDS
- C07J41/00—Normal steroids containing one or more nitrogen atoms not belonging to a hetero ring
- C07J41/0033—Normal steroids containing one or more nitrogen atoms not belonging to a hetero ring not covered by C07J41/0005
- C07J41/0055—Normal steroids containing one or more nitrogen atoms not belonging to a hetero ring not covered by C07J41/0005 the 17-beta position being substituted by an uninterrupted chain of at least three carbon atoms which may or may not be branched, e.g. cholane or cholestane derivatives, optionally cyclised, e.g. 17-beta-phenyl or 17-beta-furyl derivatives
-
- C—CHEMISTRY; METALLURGY
- C07—ORGANIC CHEMISTRY
- C07J—STEROIDS
- C07J43/00—Normal steroids having a nitrogen-containing hetero ring spiro-condensed or not condensed with the cyclopenta(a)hydrophenanthrene skeleton
- C07J43/003—Normal steroids having a nitrogen-containing hetero ring spiro-condensed or not condensed with the cyclopenta(a)hydrophenanthrene skeleton not condensed
-
- C—CHEMISTRY; METALLURGY
- C07—ORGANIC CHEMISTRY
- C07J—STEROIDS
- C07J7/00—Normal steroids containing carbon, hydrogen, halogen or oxygen substituted in position 17 beta by a chain of two carbon atoms
- C07J7/0005—Normal steroids containing carbon, hydrogen, halogen or oxygen substituted in position 17 beta by a chain of two carbon atoms not substituted in position 21
- C07J7/0065—Normal steroids containing carbon, hydrogen, halogen or oxygen substituted in position 17 beta by a chain of two carbon atoms not substituted in position 21 substituted in position 20 by an OH group free esterified or etherified
- C07J7/007—Normal steroids containing carbon, hydrogen, halogen or oxygen substituted in position 17 beta by a chain of two carbon atoms not substituted in position 21 substituted in position 20 by an OH group free esterified or etherified not substituted in position 17 alfa
-
- C—CHEMISTRY; METALLURGY
- C07—ORGANIC CHEMISTRY
- C07J—STEROIDS
- C07J9/00—Normal steroids containing carbon, hydrogen, halogen or oxygen substituted in position 17 beta by a chain of more than two carbon atoms, e.g. cholane, cholestane, coprostane
-
- F—MECHANICAL ENGINEERING; LIGHTING; HEATING; WEAPONS; BLASTING
- F02—COMBUSTION ENGINES; HOT-GAS OR COMBUSTION-PRODUCT ENGINE PLANTS
- F02B—INTERNAL-COMBUSTION PISTON ENGINES; COMBUSTION ENGINES IN GENERAL
- F02B43/00—Engines characterised by operating on gaseous fuels; Plants including such engines
- F02B43/10—Engines or plants characterised by use of other specific gases, e.g. acetylene, oxyhydrogen
- F02B43/12—Methods of operating
-
- G—PHYSICS
- G01—MEASURING; TESTING
- G01N—INVESTIGATING OR ANALYSING MATERIALS BY DETERMINING THEIR CHEMICAL OR PHYSICAL PROPERTIES
- G01N24/00—Investigating or analyzing materials by the use of nuclear magnetic resonance, electron paramagnetic resonance or other spin effects
- G01N24/08—Investigating or analyzing materials by the use of nuclear magnetic resonance, electron paramagnetic resonance or other spin effects by using nuclear magnetic resonance
-
- G—PHYSICS
- G01—MEASURING; TESTING
- G01N—INVESTIGATING OR ANALYSING MATERIALS BY DETERMINING THEIR CHEMICAL OR PHYSICAL PROPERTIES
- G01N33/00—Investigating or analysing materials by specific methods not covered by groups G01N1/00 - G01N31/00
- G01N33/48—Biological material, e.g. blood, urine; Haemocytometers
- G01N33/50—Chemical analysis of biological material, e.g. blood, urine; Testing involving biospecific ligand binding methods; Immunological testing
- G01N33/5005—Chemical analysis of biological material, e.g. blood, urine; Testing involving biospecific ligand binding methods; Immunological testing involving human or animal cells
- G01N33/5008—Chemical analysis of biological material, e.g. blood, urine; Testing involving biospecific ligand binding methods; Immunological testing involving human or animal cells for testing or evaluating the effect of chemical or biological compounds, e.g. drugs, cosmetics
-
- G—PHYSICS
- G01—MEASURING; TESTING
- G01N—INVESTIGATING OR ANALYSING MATERIALS BY DETERMINING THEIR CHEMICAL OR PHYSICAL PROPERTIES
- G01N33/00—Investigating or analysing materials by specific methods not covered by groups G01N1/00 - G01N31/00
- G01N33/48—Biological material, e.g. blood, urine; Haemocytometers
- G01N33/50—Chemical analysis of biological material, e.g. blood, urine; Testing involving biospecific ligand binding methods; Immunological testing
- G01N33/68—Chemical analysis of biological material, e.g. blood, urine; Testing involving biospecific ligand binding methods; Immunological testing involving proteins, peptides or amino acids
- G01N33/6893—Chemical analysis of biological material, e.g. blood, urine; Testing involving biospecific ligand binding methods; Immunological testing involving proteins, peptides or amino acids related to diseases not provided for elsewhere
- G01N33/6896—Neurological disorders, e.g. Alzheimer's disease
-
- G—PHYSICS
- G01—MEASURING; TESTING
- G01N—INVESTIGATING OR ANALYSING MATERIALS BY DETERMINING THEIR CHEMICAL OR PHYSICAL PROPERTIES
- G01N33/00—Investigating or analysing materials by specific methods not covered by groups G01N1/00 - G01N31/00
- G01N33/48—Biological material, e.g. blood, urine; Haemocytometers
- G01N33/50—Chemical analysis of biological material, e.g. blood, urine; Testing involving biospecific ligand binding methods; Immunological testing
- G01N33/92—Chemical analysis of biological material, e.g. blood, urine; Testing involving biospecific ligand binding methods; Immunological testing involving lipids, e.g. cholesterol, lipoproteins, or their receptors
-
- C—CHEMISTRY; METALLURGY
- C01—INORGANIC CHEMISTRY
- C01B—NON-METALLIC ELEMENTS; COMPOUNDS THEREOF; METALLOIDS OR COMPOUNDS THEREOF NOT COVERED BY SUBCLASS C01C
- C01B2203/00—Integrated processes for the production of hydrogen or synthesis gas
- C01B2203/08—Methods of heating or cooling
- C01B2203/0805—Methods of heating the process for making hydrogen or synthesis gas
- C01B2203/0811—Methods of heating the process for making hydrogen or synthesis gas by combustion of fuel
- C01B2203/0822—Methods of heating the process for making hydrogen or synthesis gas by combustion of fuel the fuel containing hydrogen
-
- C—CHEMISTRY; METALLURGY
- C01—INORGANIC CHEMISTRY
- C01B—NON-METALLIC ELEMENTS; COMPOUNDS THEREOF; METALLOIDS OR COMPOUNDS THEREOF NOT COVERED BY SUBCLASS C01C
- C01B2203/00—Integrated processes for the production of hydrogen or synthesis gas
- C01B2203/10—Catalysts for performing the hydrogen forming reactions
- C01B2203/1041—Composition of the catalyst
-
- C—CHEMISTRY; METALLURGY
- C01—INORGANIC CHEMISTRY
- C01B—NON-METALLIC ELEMENTS; COMPOUNDS THEREOF; METALLOIDS OR COMPOUNDS THEREOF NOT COVERED BY SUBCLASS C01C
- C01B2203/00—Integrated processes for the production of hydrogen or synthesis gas
- C01B2203/12—Feeding the process for making hydrogen or synthesis gas
- C01B2203/1205—Composition of the feed
-
- C—CHEMISTRY; METALLURGY
- C01—INORGANIC CHEMISTRY
- C01B—NON-METALLIC ELEMENTS; COMPOUNDS THEREOF; METALLOIDS OR COMPOUNDS THEREOF NOT COVERED BY SUBCLASS C01C
- C01B2203/00—Integrated processes for the production of hydrogen or synthesis gas
- C01B2203/16—Controlling the process
- C01B2203/1614—Controlling the temperature
- C01B2203/1623—Adjusting the temperature
-
- C—CHEMISTRY; METALLURGY
- C01—INORGANIC CHEMISTRY
- C01B—NON-METALLIC ELEMENTS; COMPOUNDS THEREOF; METALLOIDS OR COMPOUNDS THEREOF NOT COVERED BY SUBCLASS C01C
- C01B2203/00—Integrated processes for the production of hydrogen or synthesis gas
- C01B2203/80—Aspect of integrated processes for the production of hydrogen or synthesis gas not covered by groups C01B2203/02 - C01B2203/1695
- C01B2203/84—Energy production
-
- C—CHEMISTRY; METALLURGY
- C07—ORGANIC CHEMISTRY
- C07J—STEROIDS
- C07J1/00—Normal steroids containing carbon, hydrogen, halogen or oxygen, not substituted in position 17 beta by a carbon atom, e.g. estrane, androstane
- C07J1/0003—Androstane derivatives
- C07J1/0011—Androstane derivatives substituted in position 17 by a keto group
-
- C—CHEMISTRY; METALLURGY
- C07—ORGANIC CHEMISTRY
- C07J—STEROIDS
- C07J1/00—Normal steroids containing carbon, hydrogen, halogen or oxygen, not substituted in position 17 beta by a carbon atom, e.g. estrane, androstane
- C07J1/0003—Androstane derivatives
- C07J1/0018—Androstane derivatives substituted in position 17 beta, not substituted in position 17 alfa
- C07J1/0022—Androstane derivatives substituted in position 17 beta, not substituted in position 17 alfa the substituent being an OH group free esterified or etherified
-
- C—CHEMISTRY; METALLURGY
- C07—ORGANIC CHEMISTRY
- C07J—STEROIDS
- C07J13/00—Normal steroids containing carbon, hydrogen, halogen or oxygen having a carbon-to-carbon double bond from or to position 17
- C07J13/005—Normal steroids containing carbon, hydrogen, halogen or oxygen having a carbon-to-carbon double bond from or to position 17 with double bond in position 16 (17)
-
- C—CHEMISTRY; METALLURGY
- C07—ORGANIC CHEMISTRY
- C07J—STEROIDS
- C07J13/00—Normal steroids containing carbon, hydrogen, halogen or oxygen having a carbon-to-carbon double bond from or to position 17
- C07J13/007—Normal steroids containing carbon, hydrogen, halogen or oxygen having a carbon-to-carbon double bond from or to position 17 with double bond in position 17 (20)
-
- C—CHEMISTRY; METALLURGY
- C07—ORGANIC CHEMISTRY
- C07J—STEROIDS
- C07J17/00—Normal steroids containing carbon, hydrogen, halogen or oxygen, having an oxygen-containing hetero ring not condensed with the cyclopenta(a)hydrophenanthrene skeleton
-
- C—CHEMISTRY; METALLURGY
- C07—ORGANIC CHEMISTRY
- C07J—STEROIDS
- C07J21/00—Normal steroids containing carbon, hydrogen, halogen or oxygen having an oxygen-containing hetero ring spiro-condensed with the cyclopenta(a)hydrophenanthrene skeleton
-
- C—CHEMISTRY; METALLURGY
- C07—ORGANIC CHEMISTRY
- C07J—STEROIDS
- C07J21/00—Normal steroids containing carbon, hydrogen, halogen or oxygen having an oxygen-containing hetero ring spiro-condensed with the cyclopenta(a)hydrophenanthrene skeleton
- C07J21/005—Ketals
- C07J21/008—Ketals at position 17
-
- C—CHEMISTRY; METALLURGY
- C07—ORGANIC CHEMISTRY
- C07J—STEROIDS
- C07J41/00—Normal steroids containing one or more nitrogen atoms not belonging to a hetero ring
- C07J41/0033—Normal steroids containing one or more nitrogen atoms not belonging to a hetero ring not covered by C07J41/0005
- C07J41/0055—Normal steroids containing one or more nitrogen atoms not belonging to a hetero ring not covered by C07J41/0005 the 17-beta position being substituted by an uninterrupted chain of at least three carbon atoms which may or may not be branched, e.g. cholane or cholestane derivatives, optionally cyclised, e.g. 17-beta-phenyl or 17-beta-furyl derivatives
- C07J41/0061—Normal steroids containing one or more nitrogen atoms not belonging to a hetero ring not covered by C07J41/0005 the 17-beta position being substituted by an uninterrupted chain of at least three carbon atoms which may or may not be branched, e.g. cholane or cholestane derivatives, optionally cyclised, e.g. 17-beta-phenyl or 17-beta-furyl derivatives one of the carbon atoms being part of an amide group
-
- C—CHEMISTRY; METALLURGY
- C07—ORGANIC CHEMISTRY
- C07J—STEROIDS
- C07J41/00—Normal steroids containing one or more nitrogen atoms not belonging to a hetero ring
- C07J41/0033—Normal steroids containing one or more nitrogen atoms not belonging to a hetero ring not covered by C07J41/0005
- C07J41/0088—Normal steroids containing one or more nitrogen atoms not belonging to a hetero ring not covered by C07J41/0005 containing unsubstituted amino radicals
-
- C—CHEMISTRY; METALLURGY
- C07—ORGANIC CHEMISTRY
- C07J—STEROIDS
- C07J51/00—Normal steroids with unmodified cyclopenta(a)hydrophenanthrene skeleton not provided for in groups C07J1/00 - C07J43/00
-
- C—CHEMISTRY; METALLURGY
- C07—ORGANIC CHEMISTRY
- C07J—STEROIDS
- C07J7/00—Normal steroids containing carbon, hydrogen, halogen or oxygen substituted in position 17 beta by a chain of two carbon atoms
- C07J7/0005—Normal steroids containing carbon, hydrogen, halogen or oxygen substituted in position 17 beta by a chain of two carbon atoms not substituted in position 21
- C07J7/001—Normal steroids containing carbon, hydrogen, halogen or oxygen substituted in position 17 beta by a chain of two carbon atoms not substituted in position 21 substituted in position 20 by a keto group
- C07J7/0015—Normal steroids containing carbon, hydrogen, halogen or oxygen substituted in position 17 beta by a chain of two carbon atoms not substituted in position 21 substituted in position 20 by a keto group not substituted in position 17 alfa
- C07J7/002—Normal steroids containing carbon, hydrogen, halogen or oxygen substituted in position 17 beta by a chain of two carbon atoms not substituted in position 21 substituted in position 20 by a keto group not substituted in position 17 alfa not substituted in position 16
-
- C—CHEMISTRY; METALLURGY
- C07—ORGANIC CHEMISTRY
- C07J—STEROIDS
- C07J9/00—Normal steroids containing carbon, hydrogen, halogen or oxygen substituted in position 17 beta by a chain of more than two carbon atoms, e.g. cholane, cholestane, coprostane
- C07J9/005—Normal steroids containing carbon, hydrogen, halogen or oxygen substituted in position 17 beta by a chain of more than two carbon atoms, e.g. cholane, cholestane, coprostane containing a carboxylic function directly attached or attached by a chain containing only carbon atoms to the cyclopenta[a]hydrophenanthrene skeleton
Landscapes
- Health & Medical Sciences (AREA)
- Chemical & Material Sciences (AREA)
- Organic Chemistry (AREA)
- General Health & Medical Sciences (AREA)
- Life Sciences & Earth Sciences (AREA)
- Engineering & Computer Science (AREA)
- Biomedical Technology (AREA)
- Medicinal Chemistry (AREA)
- Immunology (AREA)
- Molecular Biology (AREA)
- Pharmacology & Pharmacy (AREA)
- Animal Behavior & Ethology (AREA)
- Public Health (AREA)
- Veterinary Medicine (AREA)
- Hematology (AREA)
- Urology & Nephrology (AREA)
- Physics & Mathematics (AREA)
- Bioinformatics & Cheminformatics (AREA)
- Pathology (AREA)
- General Physics & Mathematics (AREA)
- Biochemistry (AREA)
- Analytical Chemistry (AREA)
- Epidemiology (AREA)
- Neurology (AREA)
- Neurosurgery (AREA)
- Biotechnology (AREA)
- Microbiology (AREA)
- Cell Biology (AREA)
- Food Science & Technology (AREA)
- General Chemical & Material Sciences (AREA)
- Chemical Kinetics & Catalysis (AREA)
- Nuclear Medicine, Radiotherapy & Molecular Imaging (AREA)
- Toxicology (AREA)
- High Energy & Nuclear Physics (AREA)
- Combustion & Propulsion (AREA)
- Psychiatry (AREA)
- Proteomics, Peptides & Aminoacids (AREA)
- Tropical Medicine & Parasitology (AREA)
- Biophysics (AREA)
- Endocrinology (AREA)
Description
号に対する米国特許法第119条(e)項の下での優先権を主張する。この出願は、本明
細書中に参考として援用される。
脳の興奮性は、昏睡から痙攣に及ぶ連続である動物の覚醒レベルとして定義され、様々
な神経伝達物質によって制御される。一般に、神経伝達物質は、ニューロン膜を越えたイ
オンのコンダクタンスの制御に関与する。静止時、ニューロン膜は、およそ-70mVの
電位(または膜電圧)を有し、細胞内部は、細胞外部に対して負である。その電位(電圧
)は、ニューロン半透膜を越えたイオン(K+、Na+、Cl-、有機アニオン)バラン
スの結果である。神経伝達物質は、前シナプス小胞に貯蔵され、ニューロン性活動電位の
結果として放出される。シナプス間隙に放出されると、アセチルコリンなどの興奮性化学
伝達物質は、膜の脱分極(-70mVから-50mVへの電位の変化)を引き起こす。こ
の作用は、アセチルコリンによって刺激されてNa+イオンの膜透過性を高めるシナプス
後ニコチンレセプターによって媒介される。膜電位の低下は、シナプス後活動電位を発生
させる確率を高め、それは、ニューロンの興奮性を上昇させる。
。これらのレセプターの活性化は、いくつかの状況ではシナプス可塑性に寄与し、他の状
況では興奮毒性に関与する。これらのレセプターは、神経伝達物質であるグルタミン酸塩
およびグリシンの結合の後にCa2+を通すリガンド開口型(ligand-gated
)イオンチャネルであり、興奮性神経伝達および正常なCNS機能に不可欠である。NM
DAレセプターは、NR1、NR2および/またはNR3サブユニットを含むヘテロマー
複合体であり、外因性および内因性リガンドに対して異なる認識部位を有する。これらの
認識部位は、グリシンならびにグルタミン酸塩アゴニストおよびモジュレーターに対する
結合部位を含む。正のモジュレーターは、向知性薬としての臨床使用の可能性、およびグ
ルタミン酸作動性伝達が低下しているかまたは不完全である精神障害の処置における臨床
使用の可能性を有する治療薬として有用であり得る(例えば、Horakら、J.of
Neuroscience,2004,24(46),10318-10325を参照の
こと)。対照的に、負のモジュレーターは、グルタミン酸作動性伝達が病的に増加してい
る精神障害(例えば、処置抵抗性うつ病)の処置における臨床使用の可能性を有する治療
薬(therapeutic agenst)として有用であり得る。
伝達物質レセプター(例えば、GABAAレセプター、グリシンレセプター、AMPAレ
セプター、カイニン酸レセプターおよびNMDAレセプター)に対して直接的な調節作用
を発揮すると示されている。NMDAレセプターは、PSによって正に調節される;しか
しながら、調節の程度は、例えば、レセプターのサブユニット組成に応じて、かなり異な
る。
PSに加えて、他のいくつかの3β-ヒドロキシステロイドが、NMDAレセプターを
増強すると示されている(例えば、Paulら、J.Pharm.and Exp.Th
er.1994,271,677-682;Madauら、Program No.61
3.2/B87.2009 Neuroscience Meeting Planne
r.Chicago,IL:Society for Neuroscience,20
09;Connickら、Program No.613.1/B86.2009 Ne
uroscience Meeting Planner.Chicago,IL:So
ciety for Neuroscience,2009;Paulら、J.Neur
osci.2013,33,17290-17300を参照のこと)。
患者、例えば、本明細書中に記載される障害を有する患者を評価するかまたは処置する
方法が、とりわけ本明細書中に記載され、その方法は、a)必要に応じて患者サンプルを
取得する工程;b)対照基準と比較したときの24(S)-ヒドロキシコレステロールの
レベルの変化についてサンプルの評価を取得する工程および/またはそのサンプルを評価
する工程を含む。ある特定の実施形態において、その方法は、有効量の、24(S)-ヒ
ドロキシコレステロールまたは構造的に関係するステロールもしくはステロイド、オキシ
ステロール、NMDARのアゴニストまたはNMDARの正のアロステリックモジュレー
ター(positive allosteric modulator)(PAM)ある
いは式(I)の化合物などの本明細書中に記載される化合物を患者に投与する工程をさら
に含む。ある特定の実施形態において、その方法は、有効量の、NMDARのアンタゴニ
ストもしくはNMDARの負のアロステリックモジュレーター(negative al
losteric modulator)(NAM)または式(I)の化合物などの本明
細書中に記載される化合物を患者に投与する工程をさらに含む。いくつかの実施形態にお
いて、その方法は、24(s)-ヒドロキシコレステロールの内在活性または内在量を高
める(例えば、増加させる)化合物(例えば、24(s)-ヒドロキシコレステロールを
代謝する酵素を阻害する化合物、例えば、24-ヒドロキシコレステロール7アルファ-
ヒドロキシラーゼ(CYP39)を阻害する化合物)を被験体に投与する工程をさらに含
む。いくつかの実施形態において、その方法は、24(s)-ヒドロキシコレステロール
の内在活性または内在量を減少させる化合物(例えば、24(s)-ヒドロキシコレステ
ロールを生成する酵素を活性化する化合物、例えば、コレステロール24(S)-ヒドロ
キシラーゼ(CYP46)を活性化する化合物)を患者に投与する工程をさらに含む。
するステロールもしくはステロイドまたはオキシステロールは、天然に存在する化合物(
例えば、被験体の脳に天然に存在する化合物)、例えば、天然に存在するステロールまた
はステロイドである。いくつかの実施形態において、上記方法は、24(S)-ヒドロキ
シコレステロールを被験体に投与する工程を含む。いくつかの実施形態において、上記方
法は、式(I)の化合物などの本明細書中に記載される化合物を被験体に投与する工程を
含む。ある特定の実施形態において、上記方法は、有効量の、NMDARのアンタゴニス
トもしくはNMDARの負のアロステリックモジュレーター(NAM)または式(I)の
化合物などの本明細書中に記載される化合物を患者に投与する工程を含む。いくつかの実
施形態において、上記方法は、24(s)-ヒドロキシコレステロールの内在活性または
内在量を高める(例えば、増加させる)化合物(例えば、24(s)-ヒドロキシコレス
テロールを代謝する酵素を阻害する化合物、例えば、24-ヒドロキシコレステロール7
アルファ-ヒドロキシラーゼ(CYP39)を阻害する化合物)を被験体に投与する工程
を含む。いくつかの実施形態において、上記方法は、24(s)-ヒドロキシコレステロ
ールの内在活性または内在量を減少させる化合物(例えば、24(s)-ヒドロキシコレ
ステロールを生成する酵素を活性化する化合物、例えば、コレステロール24(S)-ヒ
ドロキシラーゼ(CYP46)を活性化する化合物)を患者に投与する工程をさらに含む
。
比較され、ここで、その対照基準は、患者から予め取得された基準である。いくつかの実
施形態において、対照基準は、患者サンプルに関連しない外部対照基準(例えば、ユニバ
ーサル基準または処置および/もしくは診断のガイドラインからの基準)である。いくつ
かの実施形態において、24(S)-ヒドロキシコレステロールのレベルが、基準と比べ
て低下しているとき、上記方法は、その患者が、24(S)-ヒドロキシコレステロール
または構造的に関係するステロールもしくはステロイド、オキシステロール、NMDAR
のアゴニストまたはNMDARの正のアロステリックモジュレーター(PAM)、24(
s)-ヒドロキシコレステロールの内在活性または内在量を高める(例えば、増加させる
)化合物(例えば、24(s)-ヒドロキシコレステロールを代謝する酵素を阻害する化
合物、例えば、24-ヒドロキシコレステロール7アルファ-ヒドロキシラーゼ(CYP
39)を阻害する化合物)あるいは式(I)の化合物などの本明細書中に記載される化合
物による処置に対する好適な候補であることを示唆する。ある特定の実施形態において、
24(S)-ヒドロキシコレステロールのレベルが、対照基準と比べて上昇しているとき
、上記方法は、その患者が、NMDARのアンタゴニスト、NMDARの負のアロステリ
ックモジュレーター(NAM)または24(s)-ヒドロキシコレステロールの内在活性
もしくは内在量を減少させる化合物(例えば、24(s)-ヒドロキシコレステロールを
生成する酵素を活性化する化合物、例えば、コレステロール24(S)-ヒドロキシラー
ゼ(CYP46)を活性化する化合物)による処置に対する好適な候補であることを示唆
する。ある特定の実施形態において、上記方法は、有効量の、24(S)-ヒドロキシコ
レステロールまたは構造的に関係するステロールもしくはステロイド、オキシステロール
、NMDARのアゴニストまたはNMDARの正のアロステリックモジュレーター(PA
M)、24(s)-ヒドロキシコレステロールの内在活性または内在量を高める(例えば
、増加させる)化合物(例えば、24(s)-ヒドロキシコレステロールを代謝する酵素
を阻害する化合物、例えば、24-ヒドロキシコレステロール7アルファ-ヒドロキシラ
ーゼ(CYP39)を阻害する化合物)あるいは式(I)の化合物などの本明細書中に記
載される化合物を患者に投与する工程をさらに含む。ある特定の実施形態において、上記
方法は、24(S)-ヒドロキシコレステロールまたは構造的に関係するステロールもし
くはステロイド、オキシステロール、NMDARのアゴニストまたはNMDARの正のア
ロステリックモジュレーター(PAM)、24(s)-ヒドロキシコレステロールの内在
活性または内在量を高める(例えば、増加させる)化合物(例えば、24(s)-ヒドロ
キシコレステロールを代謝する酵素を阻害する化合物、例えば、24-ヒドロキシコレス
テロール7アルファ-ヒドロキシラーゼ(CYP39)を阻害する化合物)あるいは式(
I)の化合物などの本明細書中に記載される化合物による患者の処置を控える工程をさら
に含む。ある特定の実施形態において、上記方法は、有効量の、NMDARのアンタゴニ
ストもしくはNMDARの負のアロステリックモジュレーター(NAM)、24(s)-
ヒドロキシコレステロールの内在活性もしくは内在量を減少させる化合物(例えば、24
(s)-ヒドロキシコレステロールを生成する酵素を活性化する化合物、例えば、コレス
テロール24(S)-ヒドロキシラーゼ(CYP46)を活性化する化合物)または式(
I)の化合物などの本明細書中に記載される化合物を患者に投与する工程をさらに含む。
照基準と比べて上昇しているかまたは対照基準と比べて低下しているとき、患者は、24
(s)ヒドロキシコレステロールの合成または代謝に関わる生合成酵素における変異また
は多型についてさらに評価される。いくつかの実施形態において、24(S)-ヒドロキ
シコレステロールのレベルが、対照基準と比べて上昇しているかまたは対照基準と比べて
低下しているとき、患者は、24(s)ヒドロキシコレステロールの合成または代謝に関
わる生合成酵素に変異または多型を有すると判定される。
験体における24(S)-ヒドロキシコレステロールまたはそのフラグメントもしくは代
謝産物のレベルの評価によって計測される。ある特定の実施形態において、24(S)-
ヒドロキシコレステロールのレベルは、クロマトグラフィー(例えば、HPLC)法、分
光学的(例えば、MS)方法または核磁気共鳴(NMR)法によって計測される。
である。ある特定の実施形態において、患者サンプルは、生検材料、例えば、脳生検材料
、単離検体または外科検体である。ある特定の実施形態において、患者サンプルは、治療
を施す前に取得される。ある特定の実施形態において、第1の治療は、患者の評価の前、
および/あるいは24(S)-ヒドロキシコレステロールまたは構造的に関係するステロ
ールもしくはステロイド、オキシステロール、NMDARのアゴニストまたはNMDAR
の正のアロステリックモジュレーター(PAM)、24(s)-ヒドロキシコレステロー
ルの内在活性または内在量を高める(例えば、増加させる)化合物(例えば、24(s)
-ヒドロキシコレステロールを代謝する酵素を阻害する化合物、例えば、24-ヒドロキ
シコレステロール7アルファ-ヒドロキシラーゼ(CYP39)を阻害する化合物)ある
いは式(I)の化合物などの本明細書中に記載される化合物の投与の前に施される。ある
特定の実施形態において、患者サンプルは、24(S)-ヒドロキシコレステロールまた
は構造的に関係するステロールもしくはステロイド、オキシステロール、NMDARのア
ゴニストまたはNMDARの正のアロステリックモジュレーター(PAM)、24(s)
-ヒドロキシコレステロールの内在活性または内在量を高める(例えば、増加させる)化
合物(例えば、24(s)-ヒドロキシコレステロールを代謝する酵素を阻害する化合物
、例えば、24-ヒドロキシコレステロール7アルファ-ヒドロキシラーゼ(CYP39
)を阻害する化合物)あるいは式(I)の化合物などの本明細書中に記載される化合物の
投与以外の治療を施した後に取得される。ある特定の実施形態において、第1の治療は、
患者の評価の前、および/あるいはNMDARのアンタゴニストもしくはNMDARの負
のアロステリックモジュレーター(NAM)、24(s)-ヒドロキシコレステロールの
内在活性もしくは内在量を減少させる化合物(例えば、24(s)-ヒドロキシコレステ
ロールを生成する酵素を活性化する化合物、例えば、コレステロール24(S)-ヒドロ
キシラーゼ(CYP46)を活性化する化合物)または式(I)の化合物などの本明細書
中に記載される化合物の投与の前に施される。ある特定の実施形態において、患者サンプ
ルは、NMDARのアンタゴニストもしくはNMDARの負のアロステリックモジュレー
ター(NAM)、24(s)-ヒドロキシコレステロールの内在活性もしくは内在量を減
少させる化合物(例えば、24(s)-ヒドロキシコレステロールを生成する酵素を活性
化する化合物、例えば、コレステロール24(S)-ヒドロキシラーゼ(CYP46)を
活性化する化合物)あるいは式(I)の化合物などの本明細書中に記載される化合物の投
与以外の治療を施した後に取得される。
作用物質を備えるキットまたは製品も本明細書中に記載される。ある特定の実施形態にお
いて、その作用物質は、NMDARまたはNMDAである。いくつかの実施形態において
、作用物質は、放射性標識または蛍光標識などの標識である/これらを含む。いくつかの
実施形態において、その作用物質は、24(S)-ヒドロキシコレステロールと相互作用
するプローブである。
ル、例えば、血液、血漿、血清、脳脊髄液、循環および間質液レベルまたは外科検体から
得られる。
る値が、測定される。ある特定の実施形態において、その値は、対照基準、例えば、患者
サンプルの24(S)-ヒドロキシコレステロールのレベルと比較される。
相互作用できる作用物質(例えば、プローブ、NMDAまたはNMDAR)を含む24(
S)-ヒドロキシコレステロールのレベルをアッセイする方法も本明細書中に記載され;
ここで、その方法は、24(S)-ヒドロキシコレステロールのレベルをアッセイする工
程を含む。
ル、例えば、血液、血漿、血清、脳脊髄液、循環および間質液レベルまたは外科検体から
得られる。
る値が、測定される。ある特定の実施形態において、その値は、対照基準、例えば、患者
サンプルの24(S)-ヒドロキシコレステロールのレベルと比較される。
ロキシコレステロールと相互作用できる作用物質(例えば、プローブ、NMDAまたはN
MDAR)を含む反応混合物も本明細書中に記載される。
、
24(S)-ヒドロキシコレステロールを、24(S)-ヒドロキシコレステロールと相
互作用できる作用物質(例えば、プローブ、NMDAまたはNMDAR)と混和する工程
を含む。
例えば、正のアロステリックモジュレーター(すなわち、PAM)または負のアロステリ
ックモジュレーター(すなわち、NAM))ならびに24(S)-ヒドロキシコレステロ
ールの内在活性を増加させるかまたは減少させるがゆえに広範囲のCNS関連症状(精神
分裂病、うつ病、双極性障害(例えば、Iおよび/またはII)、統合失調感情障害、気
分障害、不安障害、人格障害、精神病、強迫性障害、外傷後ストレス障害(PTSD)、
自閉症圏障害(ASD)、気分変調(軽症うつ病)、社会不安障害、強迫性障害(OCD
)、疼痛(例えば、有痛性症候群または障害)、睡眠障害、記憶障害(例えば、記憶機能
障害)、痴呆、アルツハイマー病、発作性障害(例えば、癲癇)、外傷性脳損傷、脳卒中
、嗜癖障害(例えば、オピエート類、コカインおよび/またはアルコールに対する嗜癖)
、自閉症、ハンチントン病、不眠、パーキンソン病、離脱症候群または耳鳴を含むがこれ
らに限定されない)の予防および/または処置にとって有用な化合物である。これらの化
合物は、改善されたインビボ効力、薬物動態学的(PK)特性、経口バイオアベイラビリ
ティ、製剤化適性(formulatability)、安定性および/または安全性を
示すと予想される。いくつかの実施形態において、本明細書中に記載される化合物は、学
習を改善するために使用され得る。いくつかの実施形態において、本明細書中に記載され
る化合物は、過量服用、例えば、薬物の過量服用(例えば、ケタミンまたはPCPの過量
服用)を処置するために使用され得る。
れる化合物とともに使用され得る。本明細書中に記載される例示的な化合物としては、N
MDARのアゴニストまたはNMDARの正のアロステリックモジュレーター(PAM)
が挙げられる。いくつかの実施形態において、本明細書中に記載される化合物は、NMD
ARの負のアロステリックモジュレーター(NAM)である。本明細書中に記載される化
合物は、天然に存在するおよび天然に存在しないステロイドおよびステロール(例えば、
24(S)-ヒドロキシコレステロール(hydrxcholesterol))も含む
。いくつかの実施形態において、その化合物は、オキシステロールである。いくつかの実
施形態において、その化合物は、式(I)の化合物に示されているように、C-17β側
アルキル側鎖(side alkyl side chain)を有し、ステロイド骨格
の様々な位置に随意の置換を有する3-βヒドロキシルステロイドである。いくつかの実
施形態において、上記方法は、24(s)-ヒドロキシコレステロールの内在活性または
内在量を高める(例えば、増加させる)化合物(例えば、24(s)-ヒドロキシコレス
テロールを代謝する酵素を阻害する化合物、例えば、24-ヒドロキシコレステロール7
アルファ-ヒドロキシラーゼ(CYP39)を阻害する化合物)または24(s)-ヒド
ロキシコレステロールの内在活性もしくは内在量を減少させる化合物(例えば、24(s
)-ヒドロキシコレステロールを生成する酵素を活性化する化合物、例えば、コレステロ
ール24(S)-ヒドロキシラーゼ(CYP46)を活性化する化合物)とともに使用さ
れる。
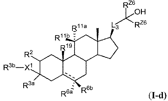
載される評価または処置の方法において使用される化合物は、式(I)に記載の化合物:
またはその薬学的に許容され得る塩、溶媒和化合物、プロドラッグ、立体異性体、互変異
性体、同位体バリアントもしくはN-オキシドあるいはそれらの組み合わせであり;
式中:
Zは、式(i)、(ii)、(iii)、(iv)または(v)の基であり:
L1、L2、L3、X1、X2、Y、RZ4、RZ5、RZ6、n、R1、R2、R3a
、R3b、R4a、R4b、R6a、R6b、R7a、R7b、R11a、R11b、R
14、R17、R19、R20、R23a、R23bおよびR24は、本明細書中で定義
されるとおりであり;C3位における基-XR3bは、アルファまたはベータである。
またはその薬学的に許容され得る塩であり;
式中:
Zは、式(i)、(ii)、(iii)、(iv)または(v)の基であり:
L1およびL2は、結合、置換または非置換C1-C6アルキレン、置換または非置換C
2-C6アルケニレン、置換または非置換C2-C6アルキニレン、置換または非置換ヘ
テロC1-C6アルキレン、置換または非置換ヘテロC2-C6アルケニレンおよび置換
または非置換ヘテロC2-C6アルキニレンからなる群より選択され;
L3は、置換もしくは非置換C1-C6アルキレン、置換もしくは非置換C2-C6アル
ケニレン、置換もしくは非置換C2-C6アルキニレン、置換もしくは非置換ヘテロC1
-C6アルキレン、置換もしくは非置換ヘテロC2-C6アルケニレンまたは置換もしく
は非置換ヘテロC2-C6アルキニレンであり;
X1およびX2の各実例は、独立して、-O-、-S-または-NH-であり;
R1は、水素または置換もしくは非置換アルキルであり;
R3bは、水素であり;
R3aは、水素、置換もしくは非置換アルキル、置換もしくは非置換アルケニルまたは置
換もしくは非置換アルキニルであり;
R2、R11aおよびR11bの各実例は、独立して、水素または-ORB1であり、こ
こで、RB1は、水素または置換もしくは非置換アルキルであるか、あるいはR11aお
よびR11bは、一体となって、オキソ(=O)基を形成し;
R6aおよびR6bの各々は、独立して、水素、ハロまたは置換もしくは非置換アルキル
であり、
は、単結合または二重結合を表すが、但し、二重結合が存在する場合、R6aまたはR6
bのうちの一方は存在せず、単結合が存在する場合、C5における水素は、アルファ位ま
たはベータ位であり;
R19およびR20の各実例は、独立して、水素または-CH3であり;
R23aおよびR23bの各実例は、独立して、水素、ハロゲンまたは置換もしくは非置
換アルキルであるか、あるいはR23aおよびR23bは、共に接続して、置換または非
置換C3-C6シクロアルキルを形成し;
R24は、水素または置換もしくは非置換アルキルであり;
Yは、-O-、-S-または-NRZ5-であり;
RZ4は、独立して、置換もしくは非置換アルキル、置換もしくは非置換アルケニル、置
換もしくは非置換アルキニル、置換もしくは非置換カルボシクリル、置換もしくは非置換
ヘテロシクリル、置換もしくは非置換アリール、置換もしくは非置換ヘテロアリール、-
ORZ5、-SRZ5または-N(RZ5)2であり;
RZ5の各実例は、独立して、水素または置換もしくは非置換アルキルであり;
RZ6の各実例は、独立して、水素または置換もしくは非置換アルキルであるか、あるい
は2つのRZ6基は、接続して、C3-6炭素環を形成し;
下付き文字nは、0または1であるが;
但し、以下の化合物は、明確に除外される:
いくつかの実施形態において、本明細書中に記載される方法において使用される化合物は
、
である。
式中、pは、1、2または3であり;RZ7およびRZ8の各実例は、独立して、水素、
ハロ、置換もしくは非置換C1-6アルキルまたは-ORZ5である。
式中、wは、0もしくは1であり、かつpは、1、2もしくは3であるか、またはwは、
1であり、かつpは、0、1、2もしくは3であり;RZ7およびRZ8の各実例は、独
立して、水素、ハロ、置換もしくは非置換C1-6アルキルまたは-ORZ5である。
ロアルキレン基である。
アルキレンである。
ファ位に存在する。ある特定の実施形態において、-X1R3bは、-OHである。ある
特定の実施形態において、R3aは、水素である。ある特定の実施形態において、R3a
は、置換または非置換アルキルである。ある特定の実施形態において、R6bは、ハロゲ
ンまたは置換もしくは非置換アルキルである。ある特定の実施形態において、R2は、水
素または-ORB1である。ある特定の実施形態において、R11bは、水素または-O
RB1であり、R11aは、水素である。ある特定の実施形態において、R11aおよび
R11bは、一体となって、オキソ基を形成する。ある特定の実施形態において、
は、単結合を表し、C5における水素は、アルファ位に存在する。ある特定の実施形態に
おいて、
は、二重結合を表す。ある特定の実施形態において、R19は、-CH3である。
組成物が提供される。ある特定の実施形態において、本発明の化合物は、有効量で提供さ
れる。ある特定の実施形態において、本発明の化合物は、治療有効量で提供される。ある
特定の実施形態において、本発明の化合物は、予防有効量で提供される。
クモジュレーター(NAM)として提供されるがゆえに、精神分裂病、うつ病、双極性障
害(IおよびII)、統合失調感情障害、気分障害、不安障害、人格障害、精神病、強迫
性障害、外傷後ストレス障害(PTSD)、自閉症圏障害(ASD)、気分変調(軽症う
つ病)、社会不安障害、強迫性障害(OCD)、すべての疼痛症候群および障害、睡眠障
害、記憶障害および痴呆(アルツハイマー病、癲癇および任意の発作性障害を含む)、外
傷性脳損傷(TBI)、脳卒中、嗜癖障害(オピエート類およびコカインおよびアルコー
ルを含む)、自閉症、ハンチントン病、不眠、パーキンソン病、離脱症候群または耳鳴を
含むがこれらに限定されない広範囲のCNS症状の予防および/または処置に有用である
。例えば、1つの態様において、NMDAレセプターの調節の方法が提供され、その方法
は、有効量の本発明の化合物を、それを必要とする被験体に投与する工程を含む。別の態
様において、CNS活性を調節する方法が提供され、その方法は、有効量の本発明の化合
物を、それを必要とする被験体に投与する工程を含む。なおも別の態様において、脳の興
奮性を調節する方法が提供され、その方法は、有効量の本発明の化合物を、それを必要と
する被験体に投与する工程を含む。
って、当業者には明らかになるだろう。
特定の実施形態では、例えば以下が提供される:
(項目1)
患者、例えば、本明細書中に記載される障害を有する患者を評価するかまたは処置する方法であって、該方法は、
a)必要に応じて患者サンプルを取得する工程;
b)対照基準と比較したときの24(S)-ヒドロキシコレステロールのレベルの変化について、該サンプルの評価を取得する工程および/または該サンプルを評価する工程
を含む、方法。
(項目2)
有効量の、24(S)-ヒドロキシコレステロールまたは構造的に関係するステロールもしくはステロイド、オキシステロール、NMDARのアゴニストまたはNMDARの正のアロステリックモジュレーター(PAM)あるいは式(I)の化合物などの本明細書中に記載される化合物を(例えば、前記サンプルの前記評価に応答性の)前記患者に投与する工程をさらに含む、項目1に記載の方法。
(項目3)
有効量の、NMDARのアンタゴニストまたはNMDARの負のアロステリックモジュレーター(NAM)を(例えば、前記サンプルの前記評価に応答性の)前記患者に投与する工程をさらに含む、項目1に記載の方法。
(項目4)
有効量の、24(s)-ヒドロキシコレステロールの内在活性または内在量を高める(例えば、増加させる)化合物(例えば、24(s)-ヒドロキシコレステロールを代謝する酵素を阻害する化合物(例えば、24-ヒドロキシコレステロール7アルファ-ヒドロキシラーゼ(CYP39)を阻害する化合物))を(例えば、前記サンプルの前記評価に応答性の)前記患者に投与する工程をさらに含む、項目1に記載の方法。
(項目5)
有効量の、24(s)-ヒドロキシコレステロールの内在活性または内在量を減少させる化合物(例えば、24(s)-ヒドロキシコレステロールを生成する酵素を活性化する化合物(例えば、コレステロール24(S)-ヒドロキシラーゼ(CYP46)を活性化する化合物))を(例えば、前記サンプルの前記評価に応答性の)前記患者に投与する工程をさらに含む、項目1に記載の方法。
(項目6)
前記方法が、前記患者を処置する工程をさらに含み、該患者は、記憶障害について処置されるか、または学習を改善するために処置される、項目1に記載の方法。
(項目7)
前記方法が、前記患者を薬物の過量服用について処置する工程をさらに含む、項目1に記載の方法。
化学的定義
0 具体的な官能基および化学用語の定義を下記でより詳細に説明する。化学元素は、元
素周期表、CASバージョン、Handbook of Chemistry and
Physics,75th Ed.,内表紙に従って特定され、具体的な官能基は、一般
に、その中に記載されているとおりに定義される。さらに、有機化学の一般原理、ならび
に具体的な官能性部分および反応性は、Thomas Sorrell,Organic
Chemistry,University Science Books,Saus
alito,1999;Smith and March,March’s Advan
ced Organic Chemistry,5th Edition,John W
iley & Sons,Inc.,New York,2001;Larock,Co
mprehensive Organic Transformations,VCH
Publishers,Inc.,New York,1989;およびCarruth
ers,Some Modern Methods of Organic Synth
esis,3rd Edition,Cambridge University Pr
ess,Cambridge,1987に記載されている。
様々な異性形態、例えば、鏡像異性体および/またはジアステレオマーとして存在し得る
。例えば、本明細書中に記載される化合物は、個々の鏡像異性体、ジアステレオマーもし
くは幾何異性体の形態であり得るか、またはラセミ混合物および1つまたはそれを超える
立体異性体に濃縮された混合物をはじめとした立体異性体の混合物の形態であり得る。異
性体は、キラル高圧液体クロマトグラフィー(HPLC)ならびにキラル塩の形成および
結晶化を含む当業者に公知の方法によって混合物から単離され得るか;または好ましい異
性体が、不斉合成によって調製され得る。例えば、Jacquesら、Enantiom
ers,Racemates and Resolutions(Wiley Inte
rscience,New York,1981);Wilenら、Tetrahedr
on 33:2725(1977);Eliel,Stereochemistry o
f Carbon Compounds(McGraw-Hill,NY,1962);
およびWilen,Tables of Resolving Agents and
Optical Resolutions p.268(E.L.Eliel,Ed.,
Univ.of Notre Dame Press,Notre Dame,IN 1
972)を参照のこと。本発明は、他の異性体を実質的に含まない個々の異性体として、
あるいは、様々な異性体の混合物として、本明細書中に記載される化合物をさらに包含す
る。
される。例えば、「C1-6アルキル」は、C1、C2、C3、C4、C5、C6、C1
-6、C1-5、C1-4、C1-3、C1-2、C2-6、C2-5、C2-4、C2
-3、C3-6、C3-5、C3-4、C4-6、C4-5およびC5-6アルキルを包
含すると意図される。
明の説明および意図される範囲の理解に有用である。化合物、そのような化合物を含む薬
学的組成物ならびにそのような化合物および組成物を使用する方法を含み得る本発明を説
明する際、以下の用語は、存在する場合、別段示されない限り、以下の意味を有する。本
明細書中に記載されるとき、下記に定義される部分のいずれもが、種々の置換基で置換さ
れ得ること、およびそれぞれの定義が、下記に示されるようなそれらの範囲内にそのよう
な置換部分を含むと意図されることも理解されるべきである。別段述べられない限り、用
語「置換される」は、下記に示されるように定義されるべきである。用語「基」および「
ラジカル」は、本明細書中で使用されるとき、相互交換可能であると考えられ得ることが
、さらに理解されるべきである。冠詞「a」および「an」は、1つの、または1つより
多い(すなわち、少なくとも1つの)、その冠詞の文法上の目的語を指すために本明細書
中で使用され得る。例として、「アナログ(an analogue)」は、1つのアナ
ログまたは1つより多いアナログを意味する。
のラジカル(「C1-20アルキル」)のことを指す。いくつかの実施形態において、ア
ルキル基は、1~12個の炭素原子を有する(「C1-12アルキル」)。いくつかの実
施形態において、アルキル基は、1~10個の炭素原子を有する(「C1-10アルキル
」)。いくつかの実施形態において、アルキル基は、1~9個の炭素原子を有する(「C
1-9アルキル」)。いくつかの実施形態において、アルキル基は、1~8個の炭素原子
を有する(「C1-8アルキル」)。いくつかの実施形態において、アルキル基は、1~
7個の炭素原子を有する(「C1-7アルキル」)。いくつかの実施形態において、アル
キル基は、1~6個の炭素原子を有する(本明細書中で「低級アルキル」とも称される「
C1-6アルキル」)。いくつかの実施形態において、アルキル基は、1~5個の炭素原
子を有する(「C1-5アルキル」)。いくつかの実施形態において、アルキル基は、1
~4個の炭素原子を有する(「C1-4アルキル」)。いくつかの実施形態において、ア
ルキル基は、1~3個の炭素原子を有する(「C1-3アルキル」)。いくつかの実施形
態において、アルキル基は、1~2個の炭素原子を有する(「C1-2アルキル」)。い
くつかの実施形態において、アルキル基は、1つの炭素原子を有する(「C1アルキル」
)。いくつかの実施形態において、アルキル基は、2~6個の炭素原子を有する(「C2
-6アルキル」)。C1-6アルキル基の例としては、メチル(C1)、エチル(C2)
、n-プロピル(C3)、イソプロピル(C3)、n-ブチル(C4)、tert-ブチ
ル(C4)、sec-ブチル(C4)、iso-ブチル(C4)、n-ペンチル(C5)
、3-ペンタニル(C5)、アミル(C5)、ネオペンチル(C5)、3-メチル-2-
ブタニル(C5)、第3級アミル(C5)およびn-ヘキシル(C6)が挙げられる。ア
ルキル基のさらなる例としては、n-ヘプチル(C7)、n-オクチル(C8)などが挙
げられる。別段特定されない限り、アルキル基の各実例は、独立して、必要に応じて置換
され、すなわち、非置換である(「非置換アルキル」)か、または1つもしくはそれを超
える置換基;例えば、1~5個の置換基、1~3個の置換基もしくは1つの置換基で置換
される(「置換アルキル」)。ある特定の実施形態において、アルキル基は、非置換C1
-10アルキル(例えば、-CH3)である。ある特定の実施形態において、アルキル基
は、置換C1-10アルキルである。通常のアルキルの省略形としては、Me(-CH3
)、Et(-CH2CH3)、iPr(-CH(CH3)2)、nPr(-CH2CH2
CH3)、n-Bu(-CH2CH2CH2CH3)またはi-Bu(-CH2CH(C
H3)2)が挙げられる。
ン」とは、それぞれアルキル基、アルケニル基およびアルキニル基の二価のラジカルのこ
とを指す。炭素の範囲または数が、特定の「アルキレン」、「アルケニレン」および「ア
ルキニレン」基に対して提供されるとき、その範囲または数は、直鎖状の二価の炭素鎖に
おける炭素の範囲または数のことを指すと理解される。「アルキレン」、「アルケニレン
」および「アルキニレン」基は、本明細書中に記載されるような1つまたはそれを超える
置換基で置換され得るか、または非置換であり得る。
ル基のことを指し、それは、置換または非置換であり得る。非置換アルキレン基としては
、メチレン(-CH2-)、エチレン(-CH2CH2-)、プロピレン(-CH2CH
2CH2-)、ブチレン(-CH2CH2CH2CH2-)、ペンチレン(-CH2CH
2CH2CH2CH2-)、ヘキシレン(-CH2CH2CH2CH2CH2CH2-)
などが挙げられるがこれらに限定されない。例示的な置換アルキレン基、例えば、1つま
たはそれを超えるアルキル(メチル)基で置換されたアルキレン基としては、置換メチレ
ン(-CH(CH3)-、(-C(CH3)2-)、置換エチレン(-CH(CH3)C
H2-、-CH2CH(CH3)-、-C(CH3)2CH2-、-CH2C(CH3)
2-)、置換プロピレン(-CH(CH3)CH2CH2-、-CH2CH(CH3)C
H2-、-CH2CH2CH(CH3)-、-C(CH3)2CH2CH2-、-CH2
C(CH3)2CH2-、-CH2CH2C(CH3)2-)などが挙げられるがこれら
に限定されない。
結合(例えば、1、2、3または4つの二重結合)を有し、三重結合を有しない直鎖また
は分枝鎖の炭化水素基のラジカル(「C2-20アルケニル」)のことを指す。いくつか
の実施形態において、アルケニル基は、2~10個の炭素原子を有する(「C2-10ア
ルケニル」)。いくつかの実施形態において、アルケニル基は、2~9個の炭素原子を有
する(「C2-9アルケニル」)。いくつかの実施形態において、アルケニル基は、2~
8個の炭素原子を有する(「C2-8アルケニル」)。いくつかの実施形態において、ア
ルケニル基は、2~7個の炭素原子を有する(「C2-7アルケニル」)。いくつかの実
施形態において、アルケニル基は、2~6個の炭素原子を有する(「C2-6アルケニル
」)。いくつかの実施形態において、アルケニル基は、2~5個の炭素原子を有する(「
C2-5アルケニル」)。いくつかの実施形態において、アルケニル基は、2~4個の炭
素原子を有する(「C2-4アルケニル」)。いくつかの実施形態において、アルケニル
基は、2~3個の炭素原子を有する(「C2-3アルケニル」)。いくつかの実施形態に
おいて、アルケニル基は、2個の炭素原子を有する(「C2アルケニル」)。1つまたは
それを超える炭素-炭素二重結合は、内部に存在し得るか(例えば、2-ブテニル)また
は末端に存在し得る(例えば、1-ブテニル)。C2-4アルケニル基の例としては、エ
テニル(C2)、1-プロペニル(C3)、2-プロペニル(C3)、1-ブテニル(C
4)、2-ブテニル(C4)、ブタジエニル(C4)などが挙げられる。C2-6アルケ
ニル基の例としては、上述のC2-4アルケニル基、ならびにペンテニル(C5)、ペン
タジエニル(C5)、ヘキセニル(C6)などが挙げられる。アルケニルのさらなる例と
しては、ヘプテニル(C7)、オクテニル(C8)、オクタトリエニル(C8)などが挙
げられる。別段特定されない限り、アルケニル基の各実例は、独立して、必要に応じて置
換され、すなわち、非置換である(「非置換アルケニル」)かまたは1つもしくはそれを
超える置換基、例えば、1~5個の置換基、1~3個の置換基もしくは1つの置換基で置
換される(「置換アルケニル」)。ある特定の実施形態において、アルケニル基は、非置
換C2-10アルケニルである。ある特定の実施形態において、アルケニル基は、置換C
2-10アルケニルである。
ケニル基のことを指し、それは、置換または非置換であり得る。例示的な非置換の二価の
アルケニレン基としては、エテニレン(-CH=CH-)およびプロペニレン(例えば、
-CH=CHCH2-、-CH2-CH=CH-)が挙げられるがこれらに限定されない
。例示的な置換アルケニレン基、例えば、1つまたはそれを超えるアルキル(メチル)基
で置換されたアルケニレン基としては、置換エチレン(-C(CH3)=CH-、-CH
=C(CH3)-)、置換プロピレン(例えば、-C(CH3)=CHCH2-、-CH
=C(CH3)CH2-、-CH=CHCH(CH3)-、-CH=CHC(CH3)2
-、-CH(CH3)-CH=CH-、-C(CH3)2-CH=CH-、-CH2-C
(CH3)=CH-、-CH2-CH=C(CH3)-)などが挙げられるがこれらに限
定されない。
結合(例えば、1、2、3または4つの三重結合)および必要に応じて1つまたはそれを
超える二重結合(例えば、1、2、3または4つの二重結合)を有する直鎖または分枝鎖
の炭化水素基のラジカル(「C2-20アルキニル」)のことを指す。1つまたはそれを
超える三重結合および1つまたはそれを超える二重結合を有するアルキニル基は、「エン
-イエン」基とも称される。いくつかの実施形態において、アルキニル基は、2~10個
の炭素原子を有する(「C2-10アルキニル」)。いくつかの実施形態において、アル
キニル基は、2~9個の炭素原子を有する(「C2-9アルキニル」)。いくつかの実施
形態において、アルキニル基は、2~8個の炭素原子を有する(「C2-8アルキニル」
)。いくつかの実施形態において、アルキニル基は、2~7個の炭素原子を有する(「C
2-7アルキニル」)。いくつかの実施形態において、アルキニル基は、2~6個の炭素
原子を有する(「C2-6アルキニル」)。いくつかの実施形態において、アルキニル基
は、2~5個の炭素原子を有する(「C2-5アルキニル」)。いくつかの実施形態にお
いて、アルキニル基は、2~4個の炭素原子を有する(「C2-4アルキニル」)。いく
つかの実施形態において、アルキニル基は、2~3個の炭素原子を有する(「C2-3ア
ルキニル」)。いくつかの実施形態において、アルキニル基は、2個の炭素原子を有する
(「C2アルキニル」)。1つまたはそれを超える炭素-炭素三重結合は、内部に存在し
得るか(例えば、2-ブチニル)または末端に存在し得る(例えば、1-ブチニル)。C
2-4アルキニル基の例としては、エチニル(C2)、1-プロピニル(C3)、2-プ
ロピニル(C3)、1-ブチニル(C4)、2-ブチニル(C4)などが挙げられるがこ
れらに限定されない。C2-6アルケニル基の例としては、上述のC2-4アルキニル基
、ならびにペンチニル(C5)、ヘキシニル(C6)などが挙げられる。アルキニルのさ
らなる例としては、ヘプチニル(C7)、オクチニル(C8)などが挙げられる。別段特
定されない限り、アルキニル基の各実例は、独立して、必要に応じて置換され、すなわち
、非置換である(「非置換アルキニル」)か、または1つもしくはそれを超える置換基;
例えば、1~5個の置換基、1~3個の置換基もしくは1つの置換基で置換される(「置
換アルキニル」)。ある特定の実施形態において、アルキニル基は、非置換C2-10ア
ルキニルである。ある特定の実施形態において、アルキニル基は、置換C2-10アルキ
ニルである。
のアルキニル基のことを指し、それは、置換または非置換であり得る。例示的な二価のア
ルキニレン基としては、置換または非置換エチニレン、置換または非置換プロピニレンな
どが挙げられるがこれらに限定されない。
を超える(例えば、1、2、3または4つの)ヘテロ原子(例えば、酸素、硫黄、窒素、
ホウ素、ケイ素、リン)をさらに含む本明細書中で定義されるようなアルキル基のことを
指し、ここで、その1つもしくはそれを超えるヘテロ原子は、親炭素鎖の中の隣接する炭
素原子間に挿入されており、かつ/または1つもしくはそれを超えるヘテロ原子は、炭素
原子と親分子との間、すなわち、接着点の間に挿入されている。ある特定の実施形態にお
いて、ヘテロアルキル基とは、1~10個の炭素原子および1、2、3または4個のヘテ
ロ原子を有する飽和基(「ヘテロC1-10アルキル」)のことを指す。いくつかの実施
形態において、ヘテロアルキル基は、1~9個の炭素原子および1、2、3または4個の
ヘテロ原子を有する飽和基(「ヘテロC1-9アルキル」)である。いくつかの実施形態
において、ヘテロアルキル基は、1~8個の炭素原子および1、2、3または4個のヘテ
ロ原子を有する飽和基(「ヘテロC1-8アルキル」)である。いくつかの実施形態にお
いて、ヘテロアルキル基は、1~7個の炭素原子および1、2、3または4個のヘテロ原
子を有する飽和基(「ヘテロC1-7アルキル」)である。いくつかの実施形態において
、ヘテロアルキル基は、1~6個の炭素原子および1、2または3個のヘテロ原子を有す
る基(「ヘテロC1-6アルキル」)である。いくつかの実施形態において、ヘテロアル
キル基は、1~5個の炭素原子および1または2個のヘテロ原子を有する飽和基(「ヘテ
ロC1-5アルキル」)である。いくつかの実施形態において、ヘテロアルキル基は、1
~4個の炭素原子および1または2個のヘテロ原子を有する飽和基(「ヘテロC1-4ア
ルキル」)である。いくつかの実施形態において、ヘテロアルキル基は、1~3個の炭素
原子および1つのヘテロ原子を有する飽和基(「ヘテロC1-3アルキル」)である。い
くつかの実施形態において、ヘテロアルキル基は、1~2個の炭素原子および1つのヘテ
ロ原子を有する飽和基(「ヘテロC1-2アルキル」)である。いくつかの実施形態にお
いて、ヘテロアルキル基は、1つの炭素原子および1つのヘテロ原子を有する飽和基(「
ヘテロC1アルキル」)である。いくつかの実施形態において、ヘテロアルキル基は、2
~6個の炭素原子および1または2個のヘテロ原子を有する飽和基(「ヘテロC2-6ア
ルキル」)である。別段特定されない限り、ヘテロアルキル基の各実例は、独立して、非
置換である(「非置換ヘテロアルキル」)か、または1つもしくはそれを超える置換基で
置換される(「置換ヘテロアルキル」)。ある特定の実施形態において、ヘテロアルキル
基は、非置換ヘテロC1-10アルキルである。ある特定の実施形態において、ヘテロア
ルキル基は、置換ヘテロC1-10アルキルである。
(例えば、1、2、3または4つの)ヘテロ原子(例えば、酸素、硫黄、窒素、ホウ素、
ケイ素、リン)をさらに含む本明細書中で定義されるようなアルケニル基のことを指し、
ここで、その1つもしくはそれを超えるヘテロ原子は、親炭素鎖の中の隣接する炭素原子
間に挿入されており、かつ/または1つもしくはそれを超えるヘテロ原子は、炭素原子と
親分子との間、すなわち、接着点の間に挿入されている。ある特定の実施形態において、
ヘテロアルケニル基とは、2~10個の炭素原子、少なくとも1つの二重結合および1、
2、3または4個のヘテロ原子を有する基(「ヘテロC2-10アルケニル」)のことを
指す。いくつかの実施形態において、ヘテロアルケニル基は、2~9個の炭素原子、少な
くとも1つの二重結合および1、2、3または4個のヘテロ原子を有する(「ヘテロC2
-9アルケニル」)。いくつかの実施形態において、ヘテロアルケニル基は、2~8個の
炭素原子、少なくとも1つの二重結合および1、2、3または4個のヘテロ原子を有する
(「ヘテロC2-8アルケニル」)。いくつかの実施形態において、ヘテロアルケニル基
は、2~7個の炭素原子、少なくとも1つの二重結合および1、2、3または4個のヘテ
ロ原子を有する(「ヘテロC2-7アルケニル」)。いくつかの実施形態において、ヘテ
ロアルケニル基は、2~6個の炭素原子、少なくとも1つの二重結合および1、2または
3個のヘテロ原子を有する(「ヘテロC2-6アルケニル」)。いくつかの実施形態にお
いて、ヘテロアルケニル基は、2~5個の炭素原子、少なくとも1つの二重結合および1
または2個のヘテロ原子を有する(「ヘテロC2-5アルケニル」)。いくつかの実施形
態において、ヘテロアルケニル基は、2~4個の炭素原子、少なくとも1つの二重結合お
よび1または2個のヘテロ原子を有する(「ヘテロC2-4アルケニル」)。いくつかの
実施形態において、ヘテロアルケニル基は、2~3個の炭素原子、少なくとも1つの二重
結合および1つのヘテロ原子を有する(「ヘテロC2-3アルケニル」)。いくつかの実
施形態において、ヘテロアルケニル基は、2~6個の炭素原子、少なくとも1つの二重結
合および1または2個のヘテロ原子を有する(「ヘテロC2-6アルケニル」)。別段特
定されない限り、ヘテロアルケニル基の各実例は、独立して、非置換である(「非置換ヘ
テロアルケニル」)か、または1つもしくはそれを超える置換基で置換される(「置換ヘ
テロアルケニル」)。ある特定の実施形態において、ヘテロアルケニル基は、非置換ヘテ
ロC2-10アルケニルである。ある特定の実施形態において、ヘテロアルケニル基は、
置換ヘテロC2-10アルケニルである。
(例えば、1、2、3または4つの)ヘテロ原子(例えば、酸素、硫黄、窒素、ホウ素、
ケイ素、リン)をさらに含む本明細書中で定義されるようなアルキニル基のことを指し、
ここで、その1つもしくはそれを超えるヘテロ原子は、親炭素鎖の中の隣接する炭素原子
間に挿入されており、かつ/または1つもしくはそれを超えるヘテロ原子は、炭素原子と
親分子との間、すなわち、接着点の間に挿入されている。ある特定の実施形態において、
ヘテロアルキニル基とは、2~10個の炭素原子、少なくとも1つの三重結合および1、
2、3または4個のヘテロ原子を有する基(「ヘテロC2-10アルキニル」)のことを
指す。いくつかの実施形態において、ヘテロアルキニル基は、2~9個の炭素原子、少な
くとも1つの三重結合および1、2、3または4個のヘテロ原子を有する(「ヘテロC2
-9アルキニル」)。いくつかの実施形態において、ヘテロアルキニル基は、2~8個の
炭素原子、少なくとも1つの三重結合および1、2、3または4個のヘテロ原子を有する
(「ヘテロC2-8アルキニル」)。いくつかの実施形態において、ヘテロアルキニル基
は、2~7個の炭素原子、少なくとも1つの三重結合および1、2、3または4個のヘテ
ロ原子を有する(「ヘテロC2-7アルキニル」)。いくつかの実施形態において、ヘテ
ロアルキニル基は、2~6個の炭素原子、少なくとも1つの三重結合および1、2または
3個のヘテロ原子を有する(「ヘテロC2-6アルキニル」)。いくつかの実施形態にお
いて、ヘテロアルキニル基は、2~5個の炭素原子、少なくとも1つの三重結合および1
または2個のヘテロ原子を有する(「ヘテロC2-5アルキニル」)。いくつかの実施形
態において、ヘテロアルキニル基は、2~4個の炭素原子、少なくとも1つの三重結合お
よび1または2個のヘテロ原子を有する(「ヘテロC2-4アルキニル」)。いくつかの
実施形態において、ヘテロアルキニル基は、2~3個の炭素原子、少なくとも1つの三重
結合および1つのヘテロ原子を有する(「ヘテロC2-3アルキニル」)。いくつかの実
施形態において、ヘテロアルキニル基は、2~6個の炭素原子、少なくとも1つの三重結
合および1または2個のヘテロ原子を有する(「ヘテロC2-6アルキニル」)。別段特
定されない限り、ヘテロアルキニル基の各実例は、独立して、非置換である(「非置換ヘ
テロアルキニル」)か、または1つもしくはそれを超える置換基で置換される(「置換ヘ
テロアルキニル」)。ある特定の実施形態において、ヘテロアルキニル基は、非置換ヘテ
ロC2-10アルキニルである。ある特定の実施形態において、ヘテロアルキニル基は、
置換ヘテロC2-10アルキニルである。
、「ヘテロアルキレン」、「ヘテロアルケニレン」および「ヘテロアルキニレン」とは、
それぞれアルキル、アルケニル、アルキニル基、ヘテロアルキル、ヘテロアルケニルおよ
びヘテロアルキニル基の二価のラジカルのことを指す。炭素の範囲または数が、特定の「
アルキレン」、「アルケニレン」、「アルキニレン」、「ヘテロアルキレン」、「ヘテロ
アルケニレン」または「ヘテロアルキニレン」基に対して提供されるとき、その範囲また
は数は、直鎖状の二価の炭素鎖における炭素の範囲または数のことを指すと理解される。
「アルキレン」、「アルケニレン」、「アルキニレン」、「ヘテロアルキレン」、「ヘテ
ロアルケニレン」および「ヘテロアルキニレン」基は、本明細書中に記載されるような1
つもしくはそれを超える置換基で置換され得るか、または非置換であり得る。
テロ原子を有する単環式または多環式(例えば、二環式または三環式)の4n+2芳香環
系(例えば、環状に並んだ状態で共有される6、10または14個のπ電子を有する)の
ラジカル(「C6-14アリール」)のことを指す。いくつかの実施形態において、アリ
ール基は、6個の環炭素原子を有する(「C6アリール」;例えば、フェニル)。いくつ
かの実施形態において、アリール基は、10個の環炭素原子を有する(「C10アリール
」;例えば、ナフチル、例えば、1-ナフチルおよび2-ナフチル)。いくつかの実施形
態において、アリール基は、14個の環炭素原子を有する(「C14アリール」;例えば
、アントラシル)。「アリール」は、上で定義されたようなアリール環が1つまたはそれ
を超えるカルボシクリル基またはヘテロシクリル基と融合した環系も含み、ここで、その
ラジカルまたは接着点は、アリール環上に存在し、そのような場合、炭素原子の数は、ア
リール環系の中の炭素原子の数を引き続き指摘する。典型的なアリール基としては、アセ
アントリレン、アセナフチレン、アセフェナントリレン、アントラセン、アズレン、ベン
ゼン、クリセン、コロネン、フルオランテン、フルオレン、ヘキサセン、ヘキサフェン、
ヘキサレン、as-インダセン、s-インダセン、インダン、インデン、ナフタレン、オ
クタセン、オクタフェン、オクタレン、オバレン、ペンタ-2,4-ジエン、ペンタセン
、ペンタレン、ペンタフェン、ペリレン、フェナレン、フェナントレン、ピセン、プレイ
アデン、ピレン、ピラントレン、ルビセン、トリフェニレンおよびトリナフタレンから得
られる基が挙げられるがこれらに限定されない。特に、アリール基には、フェニル、ナフ
チル、インデニルおよびテトラヒドロナフチルが含まれる。別段特定されない限り、アリ
ール基の各実例は、独立して、必要に応じて置換され、すなわち、非置換である(「非置
換アリール」)か、または1つもしくはそれを超える置換基で置換される(「置換アリー
ル」)。ある特定の実施形態において、アリール基は、非置換C6-14アリールである
。ある特定の実施形態において、アリール基は、置換C6-14アリールである。
シアノ、ヒドロキシ、C1-C8アルコキシおよびアミノから選択される基のうちの1つ
またはそれを超える基で置換されるアリール基。
が挙げられ、式中、R56およびR57のうちの1つは、水素であり得、R56およびR
57のうちの少なくとも1つは、各々独立して、C1-C8アルキル、C1-C8ハロア
ルキル、4~10員ヘテロシクリル、アルカノイル、C1-C8アルコキシ、ヘテロアリ
ールオキシ、アルキルアミノ、アリールアミノ、ヘテロアリールアミノ、NR58COR
59、NR58SOR59NR58SO2R59、COOアルキル、COOアリール、C
ONR58R59、CONR58OR59、NR58R59、SO2NR58R59、S
-アルキル、SOアルキル、SO2アルキル、Sアリール、SOアリール、SO2アリー
ルから選択されるか;またはR56およびR57は、接続して、5~8個の原子、N、O
もしくはSの群から選択される1つもしくはそれを超えるヘテロ原子を必要に応じて含む
環式環(飽和または不飽和)を形成し得る。R60およびR61は、独立して、水素、C
1-C8アルキル、C1-C4ハロアルキル、C3-C10シクロアルキル、4~10員
ヘテロシクリル、C6-C10アリール、置換C6-C10アリール、5~10員ヘテロ
アリールまたは置換5~10員ヘテロアリールである。
が挙げられ:式中、各Wは、C(R66)2、NR66、OおよびSから選択され;各Y
は、カルボニル、NR66、OおよびSから選択され;R66は、独立して、水素、C1
-C8アルキル、C3-C10シクロアルキル、4~10員ヘテロシクリル、C6-C1
0アリールおよび5~10員ヘテロアリールである。
ロアリール環またはカルボシクリル環もしくはヘテロシクリル環と共通して有するアリー
ルのことを指す。
トであり、必要に応じて置換されるアリール基によって置換された必要に応じて置換され
るアルキル基のことを指す。
テロ原子を有する5~10員の単環式または二環式の4n+2芳香環系(例えば、環状に
並んだ状態で共有される6または10個のπ電子を有する)のラジカルのことを指し、こ
こで、各ヘテロ原子は、独立して、窒素、酸素および硫黄から選択される(「5~10員
ヘテロアリール」)。1つまたはそれを超える窒素原子を含むヘテロアリール基では、接
着点は、結合価が許容するとき、炭素原子または窒素原子であり得る。ヘテロアリール二
環式環系は、一方または両方の環に1つまたはそれを超えるヘテロ原子を含み得る。「ヘ
テロアリール」には、上で定義されたようなヘテロアリール環が1つまたはそれを超える
カルボシクリル基またはヘテロシクリル基と融合された環系が含まれ、ここで、その接着
点は、ヘテロアリール環上に存在し、そのような場合、環メンバーの数は、ヘテロアリー
ル環系の環メンバーの数を引き続き指摘する。「ヘテロアリール」には、上で定義された
ようなヘテロアリール環が1つまたはそれを超えるアリール基と融合した環系も含まれ、
ここで、その接着点は、アリール環上またはヘテロアリール環上に存在し、そのような場
合、環メンバーの数は、融合された(アリール/ヘテロアリール)環系の中の環メンバー
の数を指摘する。一方の環がヘテロ原子を含まない二環式ヘテロアリール基(例えば、イ
ンドリル、キノリニル、カルバゾリルなど)、接着点は、いずれかの環、すなわち、ヘテ
ロ原子を有する環(例えば、2-インドリル)またはヘテロ原子を含まない環(例えば、
5-インドリル)上に存在し得る。
原子および1~4個の環ヘテロ原子を有する5~10員の芳香環系であり、ここで、各ヘ
テロ原子は、独立して、窒素、酸素および硫黄から選択される(「5~10員ヘテロアリ
ール」)。いくつかの実施形態において、ヘテロアリール基は、芳香環系として提供され
る環炭素原子および1~4個の環ヘテロ原子を有する5~8員の芳香環系であり、ここで
、各ヘテロ原子は、独立して、窒素、酸素および硫黄から選択される(「5~8員ヘテロ
アリール」)。いくつかの実施形態において、ヘテロアリール基は、芳香環系として提供
される環炭素原子および1~4個の環ヘテロ原子を有する5~6員の芳香環系であり、こ
こで、各ヘテロ原子は、独立して、窒素、酸素および硫黄から選択される(「5~6員ヘ
テロアリール」)。いくつかの実施形態において、5~6員ヘテロアリールは、窒素、酸
素および硫黄から選択される1~3個の環ヘテロ原子を有する。いくつかの実施形態にお
いて、5~6員ヘテロアリールは、窒素、酸素および硫黄から選択される1~2個の環ヘ
テロ原子を有する。いくつかの実施形態において、5~6員ヘテロアリールは、窒素、酸
素および硫黄から選択される1つの環ヘテロ原子を有する。別段特定されない限り、ヘテ
ロアリール基の各実例は、独立して、必要に応じて置換され、すなわち、非置換である(
「非置換ヘテロアリール」)か、または1つもしくはそれを超える置換基で置換される(
「置換ヘテロアリール」)。ある特定の実施形態において、ヘテロアリール基は、非置換
5~14員ヘテロアリールである。ある特定の実施形態において、ヘテロアリール基は、
置換5~14員ヘテロアリールである。
およびチオフェニルが挙げられるがこれらに限定されない。2個のヘテロ原子を含む例示
的な5員ヘテロアリール基としては、イミダゾリル、ピラゾリル、オキサゾリル、イソオ
キサゾリル、チアゾリルおよびイソチアゾリルが挙げられるがこれらに限定されない。3
個のヘテロ原子を含む例示的な5員ヘテロアリール基としては、トリアゾリル、オキサジ
アゾリルおよびチアジアゾリルが挙げられるがこれらに限定されない。4個のヘテロ原子
を含む例示的な5員ヘテロアリール基としては、テトラゾリルが挙げられるがこれに限定
されない。1つのヘテロ原子を含む例示的な6員ヘテロアリール基としては、ピリジニル
が挙げられるがこれに限定されない。2個のヘテロ原子を含む例示的な6員ヘテロアリー
ル基としては、ピリダジニル、ピリミジニルおよびピラジニルが挙げられるがこれらに限
定されない。3または4個のヘテロ原子を含む例示的な6員ヘテロアリール基としては、
それぞれトリアジニルおよびテトラジニルが挙げられるがこれらに限定されない。1つの
ヘテロ原子を含む例示的な7員ヘテロアリール基としては、アゼピニル、オキセピニルお
よびチエピニルが挙げられるがこれらに限定されない。例示的な5,6-二環式ヘテロア
リール基としては、インドリル、イソインドリル、インダゾリル、ベンゾトリアゾリル、
ベンゾチオフェニル、イソベンゾチオフェニル、ベンゾフラニル、ベンゾイソフラニル、
ベンゾイミダゾリル、ベンゾオキサゾリル、ベンゾイソオキサゾリル、ベンゾオキサジア
ゾリル、ベンゾチアゾリル、ベンゾイソチアゾリル、ベンゾチアジアゾリル、インドリジ
ニルおよびプリニルが挙げられるがこれらに限定されない。例示的な6,6-二環式ヘテ
ロアリール基としては、ナフチリジニル、プテリジニル、キノリニル、イソキノリニル、
シンノリニル、キノキサリニル、フタラジニルおよびキナゾリニルが挙げられるがこれら
に限定されない。
が挙げられ、式中、各Yは、カルボニル、N、NR65、OおよびSから選択され;R6
5は、独立して、水素、C1-C8アルキル、C3-C10シクロアルキル、4~10員
ヘテロシクリル、C6-C10アリールおよび5~10員ヘテロアリールである。
ールのサブセットであり、必要に応じて置換されるヘテロアリール基によって置換された
必要に応じて置換されるアルキル基のことを指す。
「C3-10カルボシクリル」)および0個のヘテロ原子を有する非芳香族の環式の炭化
水素基のラジカルのことを指す。いくつかの実施形態において、カルボシクリル基は、3
~8個の環炭素原子を有する(「C3-8カルボシクリル」)。いくつかの実施形態にお
いて、カルボシクリル基は、3~6個の環炭素原子を有する(「C3-6カルボシクリル
」)。いくつかの実施形態において、カルボシクリル基は、3~6個の環炭素原子を有す
る(「C3-6カルボシクリル」)。いくつかの実施形態において、カルボシクリル基は
、5~10個の環炭素原子を有する(「C5-10カルボシクリル」)。例示的なC3-
6カルボシクリル基としては、シクロプロピル(C3)、シクロプロペニル(C3)、シ
クロブチル(C4)、シクロブテニル(C4)、シクロペンチル(C5)、シクロペンテ
ニル(C5)、シクロヘキシル(C6)、シクロヘキセニル(C6)、シクロヘキサジエ
ニル(C6)などが挙げられるがこれらに限定されない。例示的なC3-8カルボシクリ
ル基としては、上述のC3-6カルボシクリル基、ならびにシクロヘプチル(C7)、シ
クロヘプテニル(C7)、シクロヘプタジエニル(C7)、シクロヘプタトリエニル(C
7)、シクロオクチル(C8)、シクロオクテニル(C8)、ビシクロ[2.2.1]ヘ
プタニル(C7)、ビシクロ[2.2.2]オクタニル(C8)などが挙げられるがこれ
らに限定されない。例示的なC3-10カルボシクリル基としては、上述のC3-8カル
ボシクリル基、ならびにシクロノニル(C9)、シクロノネニル(C9)、シクロデシル
(C10)、シクロデセニル(C10)、オクタヒドロ-1H-インデニル(C9)、デ
カヒドロナフタレニル(C10)、スピロ[4.5]デカニル(C10)などが挙げられ
るがこれらに限定されない。前述の例が例証するように、ある特定の実施形態において、
カルボシクリル基は、単環式である(「単環式カルボシクリル」)か、または融合された
環系、架橋された環系もしくはスピロ環系(例えば、二環式系)を含み(「二環式カルボ
シクリル」)、飽和であり得るか、または部分不飽和であり得る。「カルボシクリル」は
、上で定義されたようなカルボシクリル環が、1つまたはそれを超えるアリール基または
ヘテロアリール基と融合している環系も含み、ここで、接着点は、カルボシクリル環上に
存在し、そのような場合、炭素の数は、炭素環系の中の炭素の数を引き続き指摘する。別
段特定されない限り、カルボシクリル基の各実例は、独立して、必要に応じて置換され、
すなわち、非置換である(「非置換カルボシクリル」)か、または1つもしくはそれを超
える置換基で置換される(「置換カルボシクリル」)。ある特定の実施形態において、カ
ルボシクリル基は、非置換C3-10カルボシクリルである。ある特定の実施形態におい
て、カルボシクリル基は、置換C3-10カルボシクリルである。
る単環式の飽和カルボシクリル基(「C3-10シクロアルキル」)である。いくつかの
実施形態において、シクロアルキル基は、3~8個の環炭素原子を有する(「C3-8シ
クロアルキル」)。いくつかの実施形態において、シクロアルキル基は、3~6個の環炭
素原子を有する(「C3-6シクロアルキル」)。いくつかの実施形態において、シクロ
アルキル基は、5~6個の環炭素原子を有する(「C5-6シクロアルキル」)。いくつ
かの実施形態において、シクロアルキル基は、5~10個の環炭素原子を有する(「C5
-10シクロアルキル」)。C5-6シクロアルキル基の例としては、シクロペンチル(
C5)およびシクロヘキシル(C5)が挙げられる。C3-6シクロアルキル基の例とし
ては、上述のC5-6シクロアルキル基、ならびにシクロプロピル(C3)およびシクロ
ブチル(C4)が挙げられる。C3-8シクロアルキル基の例としては、上述のC3-6
シクロアルキル基、ならびにシクロヘプチル(C7)およびシクロオクチル(C8)が挙
げられる。別段特定されない限り、シクロアルキル基の各実例は、独立して、非置換であ
る(「非置換シクロアルキル」)か、または1つもしくはそれを超える置換基で置換され
る(「置換シクロアルキル」)。ある特定の実施形態において、シクロアルキル基は、非
置換C3-10シクロアルキルである。ある特定の実施形態において、シクロアルキル基
は、置換C3-10シクロアルキルである。
子を有する3~10員の非芳香環系のラジカルのことを指し、ここで、各ヘテロ原子は、
独立して、窒素、酸素、硫黄、ホウ素、リンおよびケイ素から選択される(「3~10員
ヘテロシクリル」)。1つまたはそれを超える窒素原子を含むヘテロシクリル基において
、接着点は、結合価が許容するとき、炭素原子または窒素原子であり得る。ヘテロシクリ
ル基は、単環式であり得る(「単環式ヘテロシクリル」)か、または融合された環系、架
橋された環系もしくはスピロ環系、例えば、二環式系であり得(「二環式ヘテロシクリル
」)、飽和であり得るか、または部分不飽和であり得る。ヘテロシクリル二環式環系は、
一方または両方の環に1つまたはそれを超えるヘテロ原子を含み得る。「ヘテロシクリル
」には、上で定義されたようなヘテロシクリル環が1つまたはそれを超えるカルボシクリ
ル基と融合された環系(ここで、接着点は、カルボシクリル環上もしくはヘテロシクリル
環上に存在する)または上で定義されたようなヘテロシクリル環が1つまたはそれを超え
るアリール基もしくはヘテロアリール基と融合された環系(ここで、接着点は、ヘテロシ
クリル環上に存在する)も含まれ、そのような場合、環メンバーの数は、ヘテロシクリル
環系の中の環メンバーの数を引き続き指摘する。別段特定されない限り、ヘテロシクリル
の各実例は、独立して、必要に応じて置換され、すなわち、非置換である(「非置換ヘテ
ロシクリル」)か、または1つもしくはそれを超える置換基で置換される(「置換ヘテロ
シクリル」)。ある特定の実施形態において、ヘテロシクリル基は、非置換3~10員ヘ
テロシクリルである。ある特定の実施形態において、ヘテロシクリル基は、置換3~10
員ヘテロシクリルである。
テロ原子を有する5~10員の非芳香環系であり、ここで、各ヘテロ原子は、独立して、
窒素、酸素、硫黄、ホウ素、リンおよびケイ素から選択される(「5~10員ヘテロシク
リル」)。いくつかの実施形態において、ヘテロシクリル基は、環炭素原子および1~4
個の環ヘテロ原子を有する5~8員の非芳香環系であり、ここで、各ヘテロ原子は、独立
して、窒素、酸素および硫黄から選択される(「5~8員ヘテロシクリル」)。いくつか
の実施形態において、ヘテロシクリル基は、環炭素原子および1~4個の環ヘテロ原子を
有する5~6員の非芳香環系であり、ここで、各ヘテロ原子は、独立して、窒素、酸素お
よび硫黄から選択される(「5~6員ヘテロシクリル」)。いくつかの実施形態において
、5~6員ヘテロシクリルは、窒素、酸素および硫黄から選択される1~3個の環ヘテロ
原子を有する。いくつかの実施形態において、5~6員ヘテロシクリルは、窒素、酸素お
よび硫黄から選択される1~2個の環ヘテロ原子を有する。いくつかの実施形態において
、5~6員ヘテロシクリルは、窒素、酸素および硫黄から選択される1つの環ヘテロ原子
を有する。
シラニル、チオレニルが挙げられるがこれらに限定されない。1つのヘテロ原子を含む例
示的な4員ヘテロシクリル基としては、アゼチジニル、オキセタニルおよびチエタニルが
挙げられるがこれらに限定されない。1つのヘテロ原子を含む例示的な5員ヘテロシクリ
ル基としては、テトラヒドロフラニル、ジヒドロフラニル、テトラヒドロチオフェニル、
ジヒドロチオフェニル、ピロリジニル、ジヒドロピロリルおよびピロリル-2,5-ジオ
ンが挙げられるがこれらに限定されない。2個のヘテロ原子を含む例示的な5員ヘテロシ
クリル基としては、ジオキソラニル、オキサスルフラニル、ジスルフラニルおよびオキサ
ゾリジン-2-オンが挙げられるがこれらに限定されない。3個のヘテロ原子を含む例示
的な5員ヘテロシクリル基としては、トリアゾリニル、オキサジアゾリニルおよびチアジ
アゾリニルが挙げられるがこれらに限定されない。1つのヘテロ原子を含む例示的な6員
ヘテロシクリル基としては、ピペリジニル、テトラヒドロピラニル、ジヒドロピリジニル
およびチアニルが挙げられるがこれらに限定されない。2個のヘテロ原子を含む例示的な
6員ヘテロシクリル基としては、ピペラジニル、モルホリニル、ジチアニル、ジオキサニ
ルが挙げられるがこれらに限定されない。2個のヘテロ原子を含む例示的な6員ヘテロシ
クリル基としては、トリアジニル(triazinanyl)が挙げられるがこれに限定
されない。1つのヘテロ原子を含む例示的な7員ヘテロシクリル基としては、アゼパニル
、オキセパニルおよびチエパニルが挙げられるがこれらに限定されない。1つのヘテロ原
子を含む例示的な8員ヘテロシクリル基としては、アゾカニル、オキセカニルおよびチオ
カニルが挙げられるがこれらに限定されない。C6アリール環に融合された例示的な5員
ヘテロシクリル基(本明細書中で5,6-二環式複素環式環とも称される)としては、イ
ンドリニル、イソインドリニル、ジヒドロベンゾフラニル、ジヒドロベンゾチエニル、ベ
ンゾオキサゾリノニルなどが挙げられるがこれらに限定されない。アリール環に融合され
た例示的な6員ヘテロシクリル基(本明細書中で6,6-二環式複素環式環とも称される
)としては、テトラヒドロキノリニル、テトラヒドロイソキノリニルなどが挙げられるが
これらに限定されない。
に示され、式中、各Wは、CR67、C(R67)2、NR67、OおよびSから選択さ
れ;各Yは、NR67、OおよびSから選択され;R67は、独立して、水素、C1-C
8アルキル、C3-C10シクロアルキル、4~10員ヘテロシクリル、C6-C10ア
リール、5~10員ヘテロアリールである。これらのヘテロシクリル環は、アシル、アシ
ルアミノ、アシルオキシ、アルコキシ、アルコキシカルボニル、アルコキシカルボニルア
ミノ、アミノ、置換アミノ、アミノカルボニル(カルバモイルまたはアミド)、アミノカ
ルボニルアミノ、アミノスルホニル、スルホニルアミノ、アリール、アリールオキシ、ア
ジド、カルボキシル、シアノ、シクロアルキル、ハロゲン、ヒドロキシ、ケト、ニトロ、
チオール、-S-アルキル、-S-アリール、-S(O)-アルキル,-S(O)-アリ
ール、-S(O)2-アルキルおよび-S(O)2-アリールからなる群より選択される
1つまたはそれを超える基で必要に応じて置換され得る。置換基は、例えば、ラクタム誘
導体および尿素誘導体を提供する、カルボニルまたはチオカルボニルを含む。
その化合物または基における1つまたはそれを超える炭素原子が、窒素、酸素または硫黄
ヘテロ原子によって置き換えられていることを意味する。ヘテロは、1~5個、特に1~
3個のヘテロ原子を有する、アルキルなどの上に記載されたヒドロカルビル基のいずれか
に適用され得る(例えば、ヘテロアルキル、シクロアルキル、例えば、ヘテロシクリル、
アリール、例えば、ヘテロアリール、シクロアルケニル、例えば、シクロヘテロアルケニ
ルなど)。
本明細書中で定義されるような、置換もしくは非置換(unsubstitued)アル
キル、置換もしくは非置換アルケニル、置換もしくは非置換アルキニル、置換もしくは非
置換カルボシクリル、置換もしくは非置換ヘテロシクリル、置換もしくは非置換アリール
または置換もしくは非置換ヘテロアリールである。「アルカノイル」は、R20が水素以
外の基であるアシル基である。代表的なアシル基としては、ホルミル(-CHO)、アセ
チル(-C(=O)CH3)、シクロヘキシルカルボニル、シクロヘキシルメチルカルボ
ニル、ベンゾイル(-C(=O)Ph)、ベンジルカルボニル(-C(=O)CH2Ph
)、-C(O)-C1-C8アルキル、-C(O)-(CH2)t(C6-C10アリー
ル)、-C(O)-(CH2)t(5~10員ヘテロアリール)、-C(O)-(CH2
)t(C3-C10シクロアルキル)および-C(O)-(CH2)t(4~10員ヘテ
ロシクリル)(ここで、tは、0~4の整数である)が挙げられるがこれらに限定されな
い。ある特定の実施形態において、R21は、ハロもしくはヒドロキシで置換されたC1
-C8アルキル;あるいはC3-C10シクロアルキル、4~10員ヘテロシクリル、C
6-C10アリール、アリールアルキル、5~10員ヘテロアリールまたはヘテロアリー
ルアルキルであり、それらの各々は、非置換C1-C4アルキル、ハロ、非置換C1-C
4アルコキシ、非置換C1-C4ハロアルキル、非置換C1-C4ヒドロキシアルキルも
しくは非置換C1-C4ハロアルコキシまたはヒドロキシで置換される。
22およびR23の各実例は、独立して、水素、本明細書中で定義されるような、置換も
しくは非置換アルキル、置換もしくは非置換アルケニル、置換もしくは非置換アルキニル
、置換もしくは非置換カルボシクリル、置換もしくは非置換ヘテロシクリル、置換もしく
は非置換アリールまたは置換もしくは非置換ヘテロアリールであるか、あるいはR22は
、アミノ保護基である。例示的な「アシルアミノ」基としては、ホルミルアミノ、アセチ
ルアミノ、シクロヘキシルカルボニルアミノ、シクロヘキシルメチル-カルボニルアミノ
、ベンゾイルアミノおよびベンジルカルボニルアミノが挙げられるがこれらに限定されな
い。特定の例示的な「アシルアミノ」基は、-NR24C(O)-C1-C8アルキル、
-NR24C(O)-(CH2)t(C6-C10アリール)、-NR24C(O)-(
CH2)t(5~10員ヘテロアリール)、-NR24C(O)-(CH2)t(C3-
C10シクロアルキル)および-NR24C(O)-(CH2)t(4~10員ヘテロシ
クリル)(ここで、tは、0~4の整数である)であり、各R24は、独立して、Hまた
はC1-C8アルキルを表す。ある特定の実施形態において、R25は、H、ハロもしく
はヒドロキシで置換されたC1-C8アルキル;C3-C10シクロアルキル、4~10
員ヘテロシクリル、C6-C10アリール、アリールアルキル、5~10員ヘテロアリー
ルまたはヘテロアリールアルキルであり、それらの各々は、非置換C1-C4アルキル、
ハロ、非置換C1-C4アルコキシ、非置換C1-C4ハロアルキル、非置換C1-C4
ヒドロキシアルキルもしくは非置換C1-C4ハロアルコキシまたはヒドロキシで置換さ
れ;R26は、H、ハロもしくはヒドロキシで置換されたC1-C8アルキル;C3-C
10シクロアルキル、4~10員ヘテロシクリル、C6-C10アリール、アリールアル
キル、5~10員ヘテロアリールまたはヘテロアリールアルキルであり、それらの各々は
、非置換C1-C4アルキル、ハロ、非置換C1-C4アルコキシ、非置換C1-C4ハ
ロアルキル、非置換C1-C4ヒドロキシアルキルもしくは非置換C1-C4ハロアルコ
キシまたはヒドロキシルで置換されるが;但し、R25およびR26の少なくとも1つは
、H以外である。
、水素、本明細書中で定義されるような、置換もしくは非置換アルキル、置換もしくは非
置換アルケニル、置換もしくは非置換アルキニル、置換もしくは非置換カルボシクリル、
置換もしくは非置換ヘテロシクリル、置換もしくは非置換アリールまたは置換もしくは非
置換ヘテロアリールである。代表的な例としては、ホルミル、アセチル、シクロヘキシル
カルボニル、シクロヘキシルメチルカルボニル、ベンゾイルおよびベンジルカルボニルが
挙げられるがこれらに限定されない。ある特定の実施形態において、R28は、ハロもし
くはヒドロキシで置換されたC1-C8アルキル;C3-C10シクロアルキル、4~1
0員ヘテロシクリル、C6-C10アリール、アリールアルキル、5~10員ヘテロアリ
ールまたはヘテロアリールアルキルであり、それらの各々は、非置換C1-C4アルキル
、ハロ、非置換C1-C4アルコキシ、非置換C1-C4ハロアルキル、非置換C1-C
4ヒドロキシアルキルもしくは非置換C1-C4ハロアルコキシまたはヒドロキシで置換
される。
置換アルキル、置換もしくは非置換アルケニル、置換もしくは非置換アルキニル、置換も
しくは非置換カルボシクリル、置換もしくは非置換ヘテロシクリル、置換もしくは非置換
アリールまたは置換もしくは非置換ヘテロアリールである。特定のアルコキシ基は、メト
キシ、エトキシ、n-プロポキシ、イソプロポキシ、n-ブトキシ、tert-ブトキシ
、sec-ブトキシ、n-ペントキシ、n-ヘキソキシおよび1,2-ジメチルブトキシ
である。特定のアルコキシ基は、低級アルコキシ、すなわち、1~6個の炭素原子を有す
るアルコキシである。さらなる特定のアルコキシ基は、1~4個の炭素原子を有する。
、アリールオキシ、カルボキシル、シアノ、C3-C10シクロアルキル、4~10員ヘ
テロシクリル、ハロゲン、5~10員ヘテロアリール、ヒドロキシル、ニトロ、チオアル
コキシ、チオアリールオキシ、チオール、アルキル-S(O)-、アリール-S(O)-
、アルキル-S(O)2-およびアリール-S(O)2-からなる群より選択される1つ
またはそれを超える置換基、例えば、1~5個の置換基、特に、1~3個の置換基、特に
、1つの置換基を有する基である。例示的な「置換アルコキシ」基としては、-O-(C
H2)t(C6-C10アリール)、-O-(CH2)t(5~10員ヘテロアリール)
、-O-(CH2)t(C3-C10シクロアルキル)および-O-(CH2)t(4~
10員ヘテロシクリル)(ここで、tは、0~4の整数である)が挙げられるが、これら
に限定されず、存在する任意のアリール、ヘテロアリール、シクロアルキルまたはヘテロ
シクリル基は、それら自体が、非置換C1-C4アルキル、ハロ、非置換C1-C4アル
コキシ、非置換C1-C4ハロアルキル、非置換C1-C4ヒドロキシアルキルもしくは
非置換C1-C4ハロアルコキシまたはヒドロキシによって置換され得る。特定の例示的
な「置換アルコキシ」基は、-OCF3、-OCH2CF3、-OCH2Ph、-OCH
2-シクロプロピル、-OCH2CH2OHおよび-OCH2CH2NMe2である。
、水素、置換もしくは非置換アルキル、置換もしくは非置換アルケニル、置換もしくは非
置換アルキニル、置換もしくは非置換カルボシクリル、置換もしくは非置換ヘテロシクリ
ル、置換もしくは非置換アリール、置換もしくは非置換ヘテロアリールまたはアミノ保護
基であり、ここで、R38の少なくとも1つは、水素ではない。ある特定の実施形態にお
いて、各R38は、独立して、水素、C1-C8アルキル、C3-C8アルケニル、C3
-C8アルキニル、C6-C10アリール、5~10員ヘテロアリール、4~10員ヘテ
ロシクリルもしくはC3-C10シクロアルキル;またはハロもしくはヒドロキシで置換
されたC1-C8アルキル;ハロもしくはヒドロキシで置換されたC3-C8アルケニル
;ハロもしくはヒドロキシで置換されたC3-C8アルキニル、または-(CH2)t(
C6-C10アリール)、-(CH2)t(5~10員ヘテロアリール)、-(CH2)
t(C3-C10シクロアルキル)もしくは-(CH2)t(4~10員ヘテロシクリル
)(ここで、tは、0~8の整数である)から選択され、それらの各々は、非置換C1-
C4アルキル、ハロ、非置換C1-C4アルコキシ、非置換C1-C4ハロアルキル、非
置換C1-C4ヒドロキシアルキルもしくは非置換C1-C4ハロアルコキシまたはヒド
ロキシによって置換されるか;あるいは両方のR38基が接続して、アルキレン基を形成
する。
(CH2)t(C6-C10アリール)、-NR39-(CH2)t(5~10員ヘテロ
アリール)、-NR39-(CH2)t(C3-C10シクロアルキル)および-NR3
9-(CH2)t(4~10員ヘテロシクリル)(ここで、tは、0~4、例えば、1ま
たは2の整数である)が挙げられるが、これらに限定されず、各R39は、独立して、H
またはC1-C8アルキルを表し;存在する任意のアルキル基は、それら自体が、ハロ、
置換もしくは非置換アミノまたはヒドロキシによって置換され得;存在する任意のアリー
ル、ヘテロアリール、シクロアルキルまたはヘテロシクリル基は、それら自体が、非置換
C1-C4アルキル、ハロ、非置換C1-C4アルコキシ、非置換C1-C4ハロアルキ
ル、非置換C1-C4ヒドロキシアルキルもしくは非置換C1-C4ハロアルコキシまた
はヒドロキシによって置換され得る。誤解を避けるために、用語「置換アミノ」は、下記
に定義されるような、アルキルアミノ、置換アルキルアミノ、アルキルアリールアミノ、
置換アルキルアリールアミノ、アリールアミノ、置換アリールアミノ、ジアルキルアミノ
および置換ジアルキルアミノの基を含む。置換アミノは、一置換アミノ基と二置換アミノ
基の両方を包含する。
のことを指し、ここで、各R62は、独立して、水素、置換もしくは非置換アルキル、置
換もしくは非置換アルケニル、置換もしくは非置換アルキニル、置換もしくは非置換カル
ボシクリル、置換もしくは非置換ヘテロシクリル、置換もしくは非置換アリール、置換も
しくは非置換ヘテロアリールまたはアミノ保護基であり、ここで、R62の少なくとも1
つは、水素ではない。ある特定の実施形態において、R62は、H、C1-C8アルキル
、C3-C10シクロアルキル、4~10員ヘテロシクリル、C6-C10アリール、ア
ラルキル、5~10員ヘテロアリールおよびヘテロアラルキル;またはハロもしくはヒド
ロキシで置換されたC1-C8アルキル;またはC3-C10シクロアルキル、4~10
員ヘテロシクリル、C6-C10アリール、アラルキル、5~10員ヘテロアリールもし
くはヘテロアラルキルから選択され、それらの各々は、非置換C1-C4アルキル、ハロ
、非置換C1-C4アルコキシ、非置換C1-C4ハロアルキル、非置換C1-C4ヒド
ロキシアルキルもしくは非置換C1-C4ハロアルコキシまたはヒドロキシによって置換
されるが;但し、少なくとも1つのR62は、H以外である。
、-C(O)NR64-(CH2)t(C6-C10アリール)、-C(O)N64-(
CH2)t(5~10員ヘテロアリール)、-C(O)NR64-(CH2)t(C3-
C10シクロアルキル)および-C(O)NR64-(CH2)t(4~10員ヘテロシ
クリル)(ここで、tは、0~4の整数である)が挙げられるが、これらに限定されず、
各R64は、独立して、HまたはC1-C8アルキルを表し、存在する任意のアリール、
ヘテロアリール、シクロアルキルまたはヘテロシクリル基は、それら自体が、非置換C1
-C4アルキル、ハロ、非置換C1-C4アルコキシ、非置換C1-C4ハロアルキル、
非置換C1-C4ヒドロキシアルキルもしくは非置換C1-C4ハロアルコキシまたはヒ
ドロキシによって置換され得る。
およびヨード(I)のことを指す。ある特定の実施形態において、ハロ基は、フルオロま
たはクロロである。
ルラジカルのことを指す。典型的なシクロアルキルアルキル基としては、シクロプロピル
メチル、シクロブチルメチル、シクロペンチルメチル、シクロヘキシルメチル、シクロヘ
プチルメチル、シクロオクチルメチル、シクロプロピルエチル、シクロブチルエチル、シ
クロペンチルエチル、シクロヘキシルエチル、シクロヘプチルエチルおよびシクロオクチ
ルエチルなどが挙げられるがこれらに限定されない。
ルラジカルのことを指す。典型的なヘテロシクリルアルキル基としては、ピロリジニルメ
チル、ピペリジニルメチル、ピペラジニルメチル、モルホリニルメチル、ピロリジニルエ
チル、ピペリジニルエチル、ピペラジニルエチル、モルホリニルエチルなどが挙げられる
がこれらに限定されない。
縮合環(融合された環系および架橋された環系を含む)を有し、少なくとも1つ、特に1
~2個のオレフィン不飽和の部位を有する、置換または非置換カルボシクリル基のことを
指す。そのようなシクロアルケニル基は、例として、単環構造(例えば、シクロヘキセニ
ル、シクロペンテニル、シクロプロペニルなど)を含む。
たは芳香環と共通して有し、シクロアルケニル環に芳香族性を付与するように配置された
オレフィン不飽和を有するシクロアルケニルのことを指す。
族環式基、例えば、以下に限定されないが、モルホリン、ピペリジン(例えば、2-ピペ
リジニル、3-ピペリジニルおよび4-ピペリジニル)、ピロリジン(例えば、2-ピロ
リジニルおよび3-ピロリジニル)、アゼチジン、ピロリドン、イミダゾリン、イミダゾ
リジノン、2-ピラゾリン、ピラゾリジン、ピペラジンおよびN-アルキルピペラジン(
例えば、N-メチルピペラジン)のことを意味する。特定の例としては、アゼチジン、ピ
ペリドンおよびピペラゾンが挙げられる。
、ヘテロシクリル、アリールおよびヘテロアリール基は、必要に応じて置換される(例え
ば、「置換」もしくは「非置換」アルキル、「置換」もしくは「非置換」アルケニル、「
置換」もしくは「非置換」アルキニル、「置換」もしくは「非置換」カルボシクリル、「
置換」もしくは「非置換」ヘテロシクリル、「置換」もしくは「非置換」アリールまたは
「置換」もしくは「非置換」ヘテロアリール基)。一般に、用語「置換される」は、用語
「必要に応じて」が前に付くかまたは付かないかに関係なく、ある基(例えば、炭素原子
または窒素原子)に存在する少なくとも1つの水素が、許容できる置換基、例えば、置換
の際に、安定した化合物、例えば、転位、環化、脱離または他の反応などによって変換を
自発的に起こさない化合物を生じる置換基で置き換えられることを意味する。別段示され
ない限り、「置換」基は、その基の1つまたはそれを超える置換可能な位置に置換基を有
し、任意の所与の構造における1つより多い位置が置換されるとき、その置換基は、各位
置において同じであるかまたは異なる。用語「置換される」は、安定した化合物の形成を
もたらす本明細書中に記載される置換基のいずれかの、許容できる有機化合物の置換基の
すべてによる置換を含むと企図される。本発明は、安定した化合物に到達するためにその
ような組み合わせのいずれかおよびすべてを企図する。本発明の目的のために、窒素など
のヘテロ原子は、ヘテロ原子の結合価を満たし、安定した部分の形成をもたらす、水素置
換基および/または本明細書中に記載されるような任意の好適な置換基を有し得る。
、-SO3H、-OH、-ORaa、-ON(Rbb)2、-N(Rbb)2、-N(R
bb)3 +X-、-N(ORcc)Rbb、-SH、-SRaa、-SSRcc、-C(
=O)Raa、-CO2H、-CHO、-C(ORcc)2、-CO2Raa、-OC(
=O)Raa、-OCO2Raa、-C(=O)N(Rbb)2、-OC(=O)N(R
bb)2、-NRbbC(=O)Raa、-NRbbCO2Raa、-NRbbC(=O
)N(Rbb)2、-C(=NRbb)Raa、-C(=NRbb)ORaa、-OC(
=NRbb)Raa、-OC(=NRbb)ORaa、-C(=NRbb)N(Rbb)
2、-OC(=NRbb)N(Rbb)2、-NRbbC(=NRbb)N(Rbb)2
、-C(=O)NRbbSO2Raa、-NRbbSO2Raa、-SO2N(Rbb)
2、-SO2Raa、-SO2ORaa、-OSO2Raa、-S(=O)Raa、-O
S(=O)Raa、-Si(Raa)3、-OSi(Raa)3 -C(=S)N(Rb
b)2、-C(=O)SRaa、-C(=S)SRaa、-SC(=S)SRaa、-S
C(=O)SRaa、-OC(=O)SRaa、-SC(=O)ORaa、-SC(=O
)Raa、-P(=O)2Raa、-OP(=O)2Raa、-P(=O)(Raa)2
、-OP(=O)(Raa)2、-OP(=O)(ORcc)2、-P(=O)2N(R
bb)2、-OP(=O)2N(Rbb)2、-P(=O)(NRbb)2、-OP(=
O)(NRbb)2、-NRbbP(=O)(ORcc)2、-NRbbP(=O)(N
Rbb)2、-P(Rcc)2、-P(Rcc)3、-OP(Rcc)2、-OP(Rc
c)3、-B(Raa)2、-B(ORcc)2、-BRaa(ORcc)、C1-10
アルキル、C1-10ペルハロアルキル、C2-10アルケニル、C2-10アルキニル
、C3-10カルボシクリル、3~14員ヘテロシクリル、C6-14アリールおよび5
~14員ヘテロアリールが挙げられるが、これらに限定されず、ここで、アルキル、アル
ケニル、アルキニル、カルボシクリル、ヘテロシクリル、アリールおよびヘテロアリール
の各々は、独立して、0、1、2、3、4または5個のRdd基で置換されるか;
または炭素原子上の2つのジェミナル水素は、基=O、=S、=NN(Rbb)2、=N
NRbbC(=O)Raa、=NNRbbC(=O)ORaa、=NNRbbS(=O)
2Raa、=NRbbもしくは=NORccで置き換えられ;
Raaの各実例は、独立して、C1-10アルキル、C1-10ペルハロアルキル、C2
-10アルケニル、C2-10アルキニル、C3-10カルボシクリル、3~14員ヘテ
ロシクリル、C6-14アリールおよび5~14員ヘテロアリールから選択されるか、ま
たは2つのRaa基は、接続して、3~14員ヘテロシクリル環もしくは5~14員ヘテ
ロアリール環を形成し、ここで、アルキル、アルケニル、アルキニル、カルボシクリル、
ヘテロシクリル、アリールおよびヘテロアリールの各々は、独立して、0、1、2、3、
4または5個のRdd基で置換され;
Rbbの各実例は、独立して、水素、-OH、-ORaa、-N(Rcc)2、-CN、
-C(=O)Raa、-C(=O)N(Rcc)2、-CO2Raa、-SO2Raa、
-C(=NRcc)ORaa、-C(=NRcc)N(Rcc)2、-SO2N(Rcc
)2、-SO2Rcc、-SO2ORcc、-SORaa、-C(=S)N(Rcc)2
、-C(=O)SRcc、-C(=S)SRcc、-P(=O)2Raa、-P(=O)
(Raa)2、-P(=O)2N(Rcc)2、-P(=O)(NRcc)2,C1-1
0アルキル、C1-10ペルハロアルキル、C2-10アルケニル、C2-10アルキニ
ル、C3-10カルボシクリル、3~14員ヘテロシクリル、C6-14アリールおよび
5~14員ヘテロアリールから選択されるか、または2つのRbb基は、接続して、3~
14員ヘテロシクリル環もしくは5~14員ヘテロアリール環を形成し、ここで、アルキ
ル、アルケニル、アルキニル、カルボシクリル、ヘテロシクリル、アリールおよびヘテロ
アリールの各々は、独立して、0、1、2、3、4または5個のRdd基で置換され;
Rccの各実例は、独立して、水素、C1-10アルキル、C1-10ペルハロアルキル
、C2-10アルケニル、C2-10アルキニル、C3-10カルボシクリル、3~14
員ヘテロシクリル、C6-14アリールおよび5~14員ヘテロアリールから選択される
か、または2つのRcc基は、接続して、3~14員ヘテロシクリル環もしくは5~14
員ヘテロアリール環を形成し、ここで、アルキル、アルケニル、アルキニル、カルボシク
リル、ヘテロシクリル、アリールおよびヘテロアリールの各々は、独立して、0、1、2
、3、4または5個のRdd基で置換され;
Rddの各実例は、独立して、ハロゲン、-CN、-NO2、-N3、-SO2H、-S
O3H、-OH、-ORee、-ON(Rff)2、-N(Rff)2、-N(Rff)
3 +X-、-N(ORee)Rff、-SH、-SRee、-SSRee、-C(=O)
Ree、-CO2H、-CO2Ree、-OC(=O)Ree、-OCO2Ree、-C
(=O)N(Rff)2、-OC(=O)N(Rff)2、-NRffC(=O)Ree
、-NRffCO2Ree、-NRffC(=O)N(Rff)2、-C(=NRff)
ORee、-OC(=NRff)Ree、-OC(=NRff)ORee、-C(=NR
ff)N(Rff)2、-OC(=NRff)N(Rff)2、-NRffC(=NRf
f)N(Rff)2,-NRffSO2Ree、-SO2N(Rff)2、-SO2Re
e、-SO2ORee、-OSO2Ree、-S(=O)Ree、-Si(Ree)3、
-OSi(Ree)3、-C(=S)N(Rff)2、-C(=O)SRee、-C(=
S)SRee、-SC(=S)SRee、-P(=O)2Ree、-P(=O)(Ree
)2、-OP(=O)(Ree)2、-OP(=O)(ORee)2、C1-6アルキル
、C1-6ペルハロアルキル、C2-6アルケニル、C2-6アルキニル、C3-10カ
ルボシクリル、3~10員ヘテロシクリル、C6-10アリール、5~10員ヘテロアリ
ールから選択され、ここで、アルキル、アルケニル、アルキニル、カルボシクリル、ヘテ
ロシクリル、アリールおよびヘテロアリールの各々は、独立して、0、1、2、3、4も
しくは5個のRgg基で置換されるか、または2つのジェミナルRdd置換基は、一体と
なって、=Oもしくは=Sを形成し得;
Reeの各実例は、独立して、C1-6アルキル、C1-6ペルハロアルキル、C2-6
アルケニル、C2-6アルキニル、C3-10カルボシクリル、C6-10アリール、3
~10員ヘテロシクリルおよび3~10員ヘテロアリールから選択され、ここで、アルキ
ル、アルケニル、アルキニル、カルボシクリル、ヘテロシクリル、アリールおよびヘテロ
アリールの各々は、独立して、0、1、2、3、4または5個のRgg基で置換され;
Rffの各実例は、独立して、水素、C1-6アルキル、C1-6ペルハロアルキル、C
2-6アルケニル、C2-6アルキニル、C3-10カルボシクリル、3~10員ヘテロ
シクリル、C6-10アリールおよび5~10員ヘテロアリールから選択されるか、また
は2つのRff基は、接続して、3~14員ヘテロシクリル環もしくは5~14員ヘテロ
アリール環を形成し、ここで、アルキル、アルケニル、アルキニル、カルボシクリル、ヘ
テロシクリル、アリールおよびヘテロアリールの各々は、独立して、0、1、2、3、4
または5個のRgg基で置換され;
Rggの各実例は、独立して、ハロゲン、-CN、-NO2、-N3、-SO2H、-S
O3H、-OH、-OC1-6アルキル、-ON(C1-6アルキル)2、-N(C1-
6アルキル)2、-N(C1-6アルキル)3 +X-、-NH(C1-6アルキル)2 +
X-、-NH2(C1-6アルキル)+X-、-NH3 +X-、-N(OC1-6アルキ
ル)(C1-6アルキル)、-N(OH)(C1-6アルキル)、-NH(OH)、-S
H、-SC1-6アルキル、-SS(C1-6アルキル)、-C(=O)(C1-6アル
キル)、-CO2H、-CO2(C1-6アルキル)、-OC(=O)(C1-6アルキ
ル)、-OCO2(C1-6アルキル)、-C(=O)NH2、-C(=O)N(C1-
6アルキル)2、-OC(=O)NH(C1-6アルキル)、-NHC(=O)(C1-
6アルキル)、-N(C1-6アルキル)C(=O)(C1-6アルキル)、-NHCO
2(C1-6アルキル)、-NHC(=O)N(C1-6アルキル)2、-NHC(=O
)NH(C1-6アルキル)、-NHC(=O)NH2、-C(=NH)O(C1-6ア
ルキル),-OC(=NH)(C1-6アルキル)、-OC(=NH)OC1-6アルキ
ル、-C(=NH)N(C1-6アルキル)2、-C(=NH)NH(C1-6アルキル
)、-C(=NH)NH2、-OC(=NH)N(C1-6アルキル)2、-OC(NH
)NH(C1-6アルキル)、-OC(NH)NH2、-NHC(NH)N(C1-6ア
ルキル)2、-NHC(=NH)NH2、-NHSO2(C1-6アルキル)、-SO2
N(C1-6アルキル)2、-SO2NH(C1-6アルキル)、-SO2NH2,-S
O2C1-6アルキル、-SO2OC1-6アルキル、-OSO2C1-6アルキル、-
SOC1-6アルキル、-Si(C1-6アルキル)3、-OSi(C1-6アルキル)
3 -C(=S)N(C1-6アルキル)2、C(=S)NH(C1-6アルキル)、C
(=S)NH2、-C(=O)S(C1-6アルキル)、-C(=S)SC1-6アルキ
ル、-SC(=S)SC1-6アルキル、-P(=O)2(C1-6アルキル)、-P(
=O)(C1-6アルキル)2、-OP(=O)(C1-6アルキル)2、-OP(=O
)(OC1-6アルキル)2、C1-6アルキル、C1-6ペルハロアルキル、C2-6
アルケニル、C2-6アルキニル、C3-10カルボシクリル、C6-10アリール、3
~10員ヘテロシクリル、5~10員ヘテロアリールであるか;または2つのジェミナル
Rgg置換基は、一体となって、=Oもしくは=Sを形成し得;ここで、X-は、対イオ
ンである。
性の第4級アミノ基と会合した負に帯電した基である。例示的な対イオンとしては、ハロ
ゲン化物イオン(例えば、F-、Cl-、Br-、I-)、NO3 -、ClO4 -、OH
-、H2PO4 -、HSO4 -、スルホン酸イオン(例えば、メタンスルホン酸、トリフ
ルオロメタンスルホン酸、p-トルエンスルホン酸、ベンゼンスルホン酸、10-カンフ
ァースルホン酸、ナフタレン-2-スルホン酸、ナフタレン-1-スルホン酸-5-スル
ホン酸、エタン-1-スルホン酸-2-スルホン酸など)およびカルボン酸イオン(例え
ば、酢酸、エタン酸、プロパン酸、安息香酸、グリセリン酸、乳酸、酒石酸、グリコレー
ル酸など)が挙げられる。
級、第2級、第3級および第4級窒素原子が含まれる。例示的な窒素原子置換基(sub
stitutents)としては、水素、-OH、-ORaa、-N(Rcc)2、-C
N、-C(=O)Raa、-C(=O)N(Rcc)2、-CO2Raa、-SO2Ra
a、-C(=NRbb)Raa、-C(=NRcc)ORaa、-C(=NRcc)N(
Rcc)2、-SO2N(Rcc)2、-SO2Rcc、-SO2ORcc、-SORa
a、-C(=S)N(Rcc)2、-C(=O)SRcc、-C(=S)SRcc、-P
(=O)2Raa、-P(=O)(Raa)2、-P(=O)2N(Rcc)2、-P(
=O)(NRcc)2、C1-10アルキル、C1-10ペルハロアルキル、C2-10
アルケニル、C2-10アルキニル、C3-10カルボシクリル、3~14員ヘテロシク
リル、C6-14アリールおよび5~14員ヘテロアリールが挙げられるがこれらに限定
されないか、または窒素原子に付着された2つのRcc基は、接続して、3~14員ヘテ
ロシクリル環もしくは5~14員ヘテロアリール環を形成し、ここで、アルキル、アルケ
ニル、アルキニル、カルボシクリル、ヘテロシクリル、アリールおよびヘテロアリールの
各々は、独立して、0、1、2、3、4または5個のRdd基で置換され、Raa、Rb
b、RccおよびRddは、上で定義されたとおりである。
書中で窒素保護基とも称される)である。アミノ保護基としては、-OH、-ORaa、
-N(Rcc)2、-C(=O)Raa、-C(=O)N(Rcc)2、-CO2Raa
、-SO2Raa、-C(=NRcc)Raa、-C(=NRcc)ORaa、-C(=
NRcc)N(Rcc)2、-SO2N(Rcc)2、-SO2Rcc、-SO2ORc
c、-SORaa、-C(=S)N(Rcc)2、-C(=O)SRcc、-C(=S)
SRcc、C1-10アルキル(例えば、アラルキル、ヘテロアラルキル)、C2-10
アルケニル、C2-10アルキニル、C3-10カルボシクリル、3~14員ヘテロシク
リル、C6-14アリールおよび5~14員ヘテロアリール基が挙げられるが、これらに
限定されず、ここで、アルキル、アルケニル、アルキニル、カルボシクリル、ヘテロシク
リル、アラルキル、アリールおよびヘテロアリールの各々は、独立して、0、1、2、3
、4または5個のRdd基で置換され、Raa、Rbb、RccおよびRddは、本明細
書中で定義されるとおりである。アミノ保護基は、当該分野で周知であり、アミノ保護基
には、Protecting Groups in Organic Synthesi
s,T.W.Greene and P.G.M.Wuts,3rd edition,
John Wiley & Sons,1999(参照により本明細書中に援用される)
に詳細に記載されているものが含まれる。
ムアミド、アセトアミド、クロロアセトアミド、トリクロロアセトアミド、トリフルオロ
アセトアミド、フェニルアセトアミド、3-フェニルプロパンアミド、ピコリンアミド、
3-ピリジルカルボキサミド、N-ベンゾイルフェニルアラニル誘導体、ベンズアミド、
p-フェニルベンズアミド、o-ニトロフェニルアセトアミド(nitophenyla
cetamide)、o-ニトロフェノキシアセトアミド、アセトアセトアミド、(N’
-ジチオベンジルオキシアシルアミノ)アセトアミド、3-(p-ヒドロキシフェニル)
プロパンアミド、3-(o-ニトロフェニル)プロパンアミド、2-メチル-2-(o-
ニトロフェノキシ)プロパンアミド、2-メチル-2-(o-フェニルアゾフェノキシ)
プロパンアミド、4-クロロブタンアミド、3-メチル-3-ニトロブタンアミド、o-
ニトロシンナミド、N-アセチルメチオニン誘導体、o-ニトロベンズアミドおよびo-
(ベンゾイルオキシメチル)ベンズアミドが挙げられるがこれらに限定されない。
ルカルバメート、エチルカルバメート(ethyl carbamante)、9-フル
オレニルメチルカルバメート(Fmoc)、9-(2-スルホ)フルオレニルメチルカル
バメート、9-(2,7-ジブロモ)フルオロエニルメチルカルバメート、2,7-ジ-
t-ブチル-[9-(10,10-ジオキソ-10,10,10,10-テトラヒドロチ
オキサンチル)]メチルカルバメート(DBD-Tmoc)、4-メトキシフェナシルカ
ルバメート(Phenoc)、2,2,2-トリクロロエチルカルバメート(Troc)
、2-トリメチルシリルエチルカルバメート(Teoc)、2-フェニルエチルカルバメ
ート(hZ)、1-(1-アダマンチル)-1-メチルエチルカルバメート(Adpoc
)、1,1-ジメチル-2-ハロエチルカルバメート、1,1-ジメチル-2,2-ジブ
ロモエチルカルバメート(DB-t-BOC)、1,1-ジメチル-2,2,2-トリク
ロロエチルカルバメート(TCBOC)、1-メチル-1-(4-ビフェニリル)エチル
カルバメート(Bpoc)、1-(3,5-ジ-t-ブチルフェニル)-1-メチルエチ
ルカルバメート(t-Bumeoc)、2-(2’-および4’-ピリジル)エチルカル
バメート(Pyoc)、2-(N,N-ジシクロヘキシルカルボキサミド)エチルカルバ
メート、t-ブチルカルバメート(BOC)、1-アダマンチルカルバメート(Adoc
)、ビニルカルバメート(Voc)、アリルカルバメート(Alloc)、1-イソプロ
ピルアリルカルバメート(Ipaoc)、シンナミルカルバメート(Coc)、4-ニト
ロシンナミルカルバメート(Noc)、8-キノリルカルバメート、N-ヒドロキシピペ
リジニルカルバメート、アルキルジチオカルバメート、ベンジルカルバメート(Cbz)
、p-メトキシベンジルカルバメート(Moz)、p-ニトロベンジル(nitoben
zyl)カルバメート、p-ブロモベンジルカルバメート、p-クロロベンジルカルバメ
ート、2,4-ジクロロベンジルカルバメート、4-メチルスルフィニルベンジルカルバ
メート(Msz)、9-アントリルメチルカルバメート、ジフェニルメチルカルバメート
、2-メチルチオエチルカルバメート、2-メチルスルホニルエチルカルバメート、2-
(p-トルエンスルホニル)エチルカルバメート、[2-(1,3-ジチアニル)]メチ
ルカルバメート(Dmoc)、4-メチルチオフェニルカルバメート(Mtpc)、2,
4-ジメチルチオフェニルカルバメート(Bmpc)、2-ホスホニオエチルカルバメー
ト(Peoc)、2-トリフェニルホスホニオイソプロピルカルバメート(Ppoc)、
1,1-ジメチル-2-シアノエチルカルバメート、m-クロロ-p-アシルオキシベン
ジルカルバメート、p-(ジヒドロキシボリル)ベンジルカルバメート、5-ベンゾイソ
オキサゾリルメチルカルバメート、2-(トリフルオロメチル)-6-クロモニルメチル
カルバメート(Tcroc)、m-ニトロフェニルカルバメート、3,5-ジメトキシベ
ンジルカルバメート、o-ニトロベンジルカルバメート、3,4-ジメトキシ-6-ニト
ロベンジルカルバメート、フェニル(o-ニトロフェニル)メチルカルバメート、t-ア
ミルカルバメート、S-ベンジルチオカルバメート、p-シアノベンジルカルバメート、
シクロブチルカルバメート、シクロヘキシルカルバメート、シクロペンチルカルバメート
、シクロプロピルメチルカルバメート、p-デシルオキシベンジルカルバメート、2,2
-ジメトキシアシルビニルカルバメート、o-(N,N-ジメチルカルボキサミド)ベン
ジルカルバメート、1,1-ジメチル-3-(N,N-ジメチルカルボキサミド)プロピ
ルカルバメート、1,1-ジメチルプロピニルカルバメート、ジ(2-ピリジル)メチル
カルバメート、2-フラニルメチルカルバメート、2-ヨードエチルカルバメート、イソ
ボルニル(isoborynl)カルバメート、イソブチルカルバメート、イソニコチニ
ルカルバメート、p-(p’-メトキシフェニルアゾ)ベンジルカルバメート、1-メチ
ルシクロブチルカルバメート、1-メチルシクロヘキシルカルバメート、1-メチル-1
-シクロプロピルメチルカルバメート、1-メチル-1-(3,5-ジメトキシフェニル
)エチルカルバメート、1-メチル-1-(p-フェニルアゾフェニル)エチルカルバメ
ート、1-メチル-1-フェニルエチルカルバメート、1-メチル-1-(4-ピリジル
)エチルカルバメート、フェニルカルバメート、p-(フェニルアゾ)ベンジルカルバメ
ート、2,4,6-トリ-t-ブチルフェニルカルバメート、4-(トリメチルアンモニ
ウム)ベンジルカルバメートおよび2,4,6-トリメチルベンジルカルバメートが挙げ
られるがこれらに限定されない。
-トルエンスルホンアミド(Ts)、ベンゼンスルホンアミド、2,3,6,-トリメチ
ル-4-メトキシベンゼンスルホンアミド(Mtr)、2,4,6-トリメトキシベンゼ
ンスルホンアミド(Mtb)、2,6-ジメチル-4-メトキシベンゼンスルホンアミド
(Pme)、2,3,5,6-テトラメチル-4-メトキシベンゼンスルホンアミド(M
te)、4-メトキシベンゼンスルホンアミド(Mbs)、2,4,6-トリメチルベン
ゼンスルホンアミド(Mts)、2,6-ジメトキシ-4-メチルベンゼンスルホンアミ
ド(iMds)、2,2,5,7,8-ペンタメチルクロマン-6-スルホンアミド(P
mc)、メタンスルホンアミド(Ms)、β-トリメチルシリルエタンスルホンアミド(
SES)、9-アントラセンスルホンアミド、4-(4’,8’-ジメトキシナフチルメ
チル)ベンゼンスルホンアミド(DNMBS)、ベンジルスルホンアミド、トリフルオロ
メチルスルホンアミドおよびフェナシルスルホンアミドが挙げられるがこれらに限定され
ない。
トルエンスルホニルアミノアシル誘導体、N’-フェニルアミノチオアシル誘導体、N-
ベンゾイルフェニルアラニル誘導体、N-アセチルメチオニン誘導体、4,5-ジフェニ
ル-3-オキサゾリン-2-オン、N-フタルイミド、N-ジチアスクシンイミド(Dt
s)、N-2,3-ジフェニルマレイミド、N-2,5-ジメチルピロール、N-1,1
,4,4-テトラメチルジシリルアザシクロペンタン付加物(STABASE)、5-置
換1,3-ジメチル-1,3,5-トリアザシクロヘキサン-2-オン、5-置換1,3
-ジベンジル-1,3,5-トリアザシクロヘキサン-2-オン、1-置換3,5-ジニ
トロ-4-ピリドン、N-メチルアミン、N-アリルアミン、N-[2-(トリメチルシ
リル)エトキシ]メチルアミン(SEM)、N-3-アセトキシプロピルアミン、N-(
1-イソプロピル-4-ニトロ-2-オキソ-3-ピロオリン-3-イル)アミン、第四
級アンモニウム塩、N-ベンジルアミン、N-ジ(4-メトキシフェニル)メチルアミン
、N-5-ジベンゾスベリルアミン、N-トリフェニルメチルアミン(Tr)、N-[(
4-メトキシフェニル)ジフェニルメチル]アミン(MMTr)、N-9-フェニルフル
オレニルアミン(PhF)、N-2,7-ジクロロ-9-フルオレニルメチレンアミン、
N-フェロセニルメチルアミノ(Fcm)、N-2-ピコリルアミノN’-オキシド、N
-1,1-ジメチルチオメチレンアミン、N-ベンジリデンアミン、N-p-メトキシベ
ンジリデンアミン、N-ジフェニルメチレンアミン、N-[(2-ピリジル)メシチル]
メチレンアミン、N-(N’,N’-ジメチルアミノメチレン)アミン、N,N’-イソ
プロピリデンジアミン、N-p-ニトロベンジリデンアミン、N-サリチリデンアミン、
N-5-クロロサリチリデンアミン、N-(5-クロロ-2-ヒドロキシフェニル)フェ
ニルメチレンアミン、N-シクロヘキシリデンアミン、N-(5,5-ジメチル-3-オ
キソ-1-シクロヘキセニル)アミン、N-ボラン誘導体、N-ジフェニルボリン酸誘導
体、N-[フェニル(ペンタアシルクロム-またはタングステン)アシル]アミン、N-
銅キレート、N-亜鉛キレート、N-ニトロアミン、N-ニトロソアミン、アミンN-オ
キシド、ジフェニルホスフィンアミド(Dpp)、ジメチルチオホスフィンアミド(Mp
t)、ジフェニルチオホスフィンアミド(Ppt)、ジアルキルホスホルアミデート、ジ
ベンジルホスホルアミデート、ジフェニルホスホルアミデート、ベンゼンスルフェンアミ
ド、o-ニトロベンゼンスルフェンアミド(Nps)、2,4-ジニトロベンゼンスルフ
ェンアミド、ペンタクロロベンゼンスルフェンアミド、2-ニトロ-4-メトキシベンゼ
ンスルフェンアミド、トリフェニルメチルスルフェンアミドおよび3-ニトロピリジンス
ルフェンアミド(Npys)が挙げられるがこれらに限定されない。
シル保護基とも称される)である。酸素保護基としては、-Raa、-N(Rbb)2、
-C(=O)SRaa、-C(=O)Raa、-CO2Raa、-C(=O)N(Rbb
)2、-C(=NRbb)Raa、-C(=NRbb)ORaa、-C(=NRbb)N
(Rbb)2、-S(=O)Raa、-SO2Raa、-Si(Raa)3、-P(Rc
c)2、-P(Rcc)3、-P(=O)2Raa、-P(=O)(Raa)2、-P(
=O)(ORcc)2、-P(=O)2N(Rbb)2、および-P(=O)(NRbb
)2が挙げられるが、これらに限定されず、ここで、Raa、RbbおよびRccは、本
明細書中で定義されるとおりである。酸素保護基は、当該分野で周知であり、それらには
、Protecting Groups in Organic Synthesis,
T.W.Greene and P.G.M.Wuts,3rd edition,Jo
hn Wiley & Sons,1999(参照により本明細書中に援用される)に詳
細に記載されているものが含まれる。
ル(MTM)、t-ブチルチオメチル、(フェニルジメチルシリル)メトキシメチル(S
MOM)、ベンジルオキシメチル(BOM)、p-メトキシベンジルオキシメチル(PM
BM)、(4-メトキシフェノキシ)メチル(p-AOM)、グアイアコールメチル(G
UM)、t-ブトキシメチル、4-ペンテニルオキシメチル(POM)、シロキシメチル
、2-メトキシエトキシメチル(MEM)、2,2,2-トリクロロエトキシメチル、ビ
ス(2-クロロエトキシ)メチル、2-(トリメチルシリル)エトキシメチル(SEMO
R)、テトラヒドロピラニル(THP)、3-ブロモテトラヒドロピラニル、テトラヒド
ロチオピラニル、1-メトキシシクロヘキシル、4-メトキシテトラヒドロピラニル(M
THP)、4-メトキシテトラヒドロチオピラニル、4-メトキシテトラヒドロチオピラ
ニルS,S-ジオキシド、1-[(2-クロロ-4-メチル)フェニル]-4-メトキシ
ピペリジン-4-イル(CTMP)、1,4-ジオキサン-2-イル、テトラヒドロフラ
ニル、テトラヒドロチオフラニル、2,3,3a,4,5,6,7,7a-オクタヒドロ
-7,8,8-トリメチル-4,7-メタノベンゾフラン-2-イル、1-エトキシエチ
ル、1-(2-クロロエトキシ)エチル、1-メチル-1-メトキシエチル、1-メチル
-1-ベンジルオキシエチル、1-メチル-1-ベンジルオキシ-2-フルオロエチル、
2,2,2-トリクロロエチル、2-トリメチルシリルエチル、2-(フェニルセレニル
)エチル、t-ブチル、アリル、p-クロロフェニル、p-メトキシフェニル、2,4-
ジニトロフェニル、ベンジル(Bn)、p-メトキシベンジル、3,4-ジメトキシベン
ジル、o-ニトロベンジル、p-ニトロベンジル、p-ハロベンジル、2,6-ジクロロ
ベンジル、p-シアノベンジル、p-フェニルベンジル、2-ピコリル、4-ピコリル、
3-メチル-2-ピコリルN-オキシド、ジフェニルメチル、p,p’-ジニトロベンズ
ヒドリル、5-ジベンゾスベリル、トリフェニルメチル、α-ナフチルジフェニルメチル
、p-メトキシフェニルジフェニルメチル、ジ(p-メトキシフェニル)フェニルメチル
、トリ(p-メトキシフェニル)メチル、4-(4’-ブロモフェナシルオキシフェニル
)ジフェニルメチル、4,4’,4”-トリス(4,5-ジクロロフタルイミドフェニル
)メチル、4,4’,4”-トリス(レブリノイルオキシフェニル)メチル、4,4’,
4”-トリス(ベンゾイルオキシフェニル)メチル、3-(イミダゾール-1-イル)ビ
ス(4’,4”-ジメトキシフェニル)メチル、1,1-ビス(4-メトキシフェニル)
-1’-ピレニルメチル、9-アントリル、9-(9-フェニル)キサンテニル、9-(
9-フェニル-10-オキソ)アントリル、1,3-ベンゾジスルフラン-2-イル、ベ
ンゾイソチアゾリルS,S-ジオキシド、トリメチルシリル(TMS)、トリエチルシリ
ル(TES)、トリイソプロピルシリル(TIPS)、ジメチルイソプロピルシリル(I
PDMS)、ジエチルイソプロピルシリル(DEIPS)、ジメチルテキシルシリル、t
-ブチルジメチルシリル(TBDMS)、t-ブチルジフェニルシリル(TBDPS)、
トリベンジルシリル、トリ-p-キシリルシリル、トリフェニルシリル、ジフェニルメチ
ルシリル(DPMS)、t-ブチルメトキシフェニルシリル(TBMPS)、ホルメート
、ベンゾイルホルメート、アセテート、クロロアセテート、ジクロロアセテート、トリク
ロロアセテート、トリフルオロアセテート、メトキシアセテート、トリフェニルメトキシ
アセテート、フェノキシアセテート、p-クロロフェノキシアセテート、3-フェニルプ
ロピオネート、4-オキソペンタノエート(レブリネート)、4,4-(エチレンジチオ
)ペンタノエート(レブリノイルジチオアセタール)、ピバロエート、アダマントエート
、クロトネート、4-メトキシクロトネート、ベンゾエート、p-フェニルベンゾエート
、2,4,6-トリメチルベンゾエート(メシトエート)、アルキルメチルカーボネート
、9-フルオレニルメチルカーボネート(Fmoc)、アルキルエチルカーボネート、ア
ルキル2,2,2-トリクロロエチルカーボネート(Troc)、2-(トリメチルシリ
ル)エチルカーボネート(TMSEC)、2-(フェニルスルホニル)エチルカーボネー
ト(Psec)、2-(トリフェニルホスホニオ)エチルカーボネート(Peoc)、ア
ルキルイソブチルカーボネート、アルキルビニルカーボネートアルキルアリルカーボネー
ト、アルキルp-ニトロフェニルカーボネート、アルキルベンジルカーボネート、アルキ
ルp-メトキシベンジルカーボネート、アルキル3,4-ジメトキシベンジルカーボネー
ト、アルキルo-ニトロベンジルカーボネート、アルキルp-ニトロベンジルカーボネー
ト、アルキルS-ベンジルチオカーボネート、4-エトキシ-1-ナフチル(napth
thyl)カーボネート、メチルジチオカーボネート、2-ヨードベンゾエート、4-ア
ジドブチレート、4-ニトロ-4-メチルペンタノエート、o-(ジブロモメチル)ベン
ゾエート、2-ホルミルベンゼンスルホネート、2-(メチルチオメトキシ)エチル、4
-(メチルチオメトキシ)ブチレート、2-(メチルチオメトキシメチル)ベンゾエート
、2,6-ジクロロ-4-メチルフェノキシアセテート、2,6-ジクロロ-4-(1,
1,3,3-テトラメチルブチル)フェノキシアセテート、2,4-ビス(1,1-ジメ
チルプロピル)フェノキシアセテート、クロロジフェニルアセテート、イソブチレート、
モノスクシノエート、(E)-2-メチル-2-ブテノエート、o-(メトキシアシル)
ベンゾエート,α-ナフトエート、ニトレート、アルキルN,N,N’,N’-テトラメ
チルホスホロジアミデート、アルキルN-フェニルカルバメート、ボレート、ジメチルホ
スフィノチオイル、アルキル2,4-ジニトロフェニルスルフェネート、スルフェート、
メタンスルホネート(メシレート)、ベンジルスルホネートおよびトシレート(Ts)が
挙げられるがこれらに限定されない。
保護基とも称される)である。硫黄保護基としては、-Raa、-N(Rbb)2、-C
(=O)SRaa、-C(=O)Raa、-CO2Raa、-C(=O)N(Rbb)2
、-C(=NRbb)Raa、-C(=NRbb)ORaa、-C(=NRbb)N(R
bb)2、-S(=O)Raa、-SO2Raa、-Si(Raa)3、-P(Rcc)
2、-P(Rcc)3、-P(=O)2Raa、-P(=O)(Raa)2、-P(=O
)(ORcc)2、-P(=O)2N(Rbb)2、および-P(=O)(NRbb)2
が挙げられるが、これらに限定されず、ここで、Raa、RbbおよびRccは、本明細
書中で定義されるとおりである。硫黄保護基は、当該分野で周知であり、それらには、P
rotecting Groups in Organic Synthesis,T.
W.Greene and P.G.M.Wuts,3rd edition,John
Wiley & Sons,1999(参照により本明細書中に援用される)に詳細に
記載されているものが含まれる。
特に、列挙されたおよび/または記載された本明細書中の任意の式に記載の化合物を包含
すると意味されており、この表現は、文脈がそれを許す場合、プロドラッグ、薬学的に許
容され得る塩および溶媒和化合物、例えば、水和物を含む。同様に、中間体への言及は、
それら自体が特許請求されているか否かに関係なく、文脈がそれを許す場合、それらの塩
および溶媒和化合物を包含すると意味される。
り詳細に記載される。本発明は、置換基の上記の例示的な列挙によっていかなる様式でも
限定されないと意図されている。
「薬学的に許容され得る」は、連邦政府もしくは州政府の規制当局または米国以外の国
における対応する当局によって認可されているまたは認可され得るという意味、あるいは
動物、より詳細にはヒトにおける使用について米国薬局方または他の一般に認められてい
る薬局方に列挙されているという意味である。
的活性を有する、本発明の化合物の塩のことを指す。特に、そのような塩は、無毒性であ
り、無機酸付加塩または有機酸付加塩および無機塩基付加塩または有機塩基付加塩であり
得る。具体的には、そのような塩としては:(1)無機酸(例えば、塩酸、臭化水素酸、
硫酸、硝酸、リン酸など)と形成される酸付加塩;もしくは有機酸(例えば、酢酸、プロ
ピオン酸、ヘキサン酸、シクロペンタンプロピオン酸、グリコール酸、ピルビン酸、乳酸
、マロン酸、コハク酸、リンゴ酸、マレイン酸、フマル酸、酒石酸、クエン酸、安息香酸
、3-(4-ヒドロキシベンゾイル)安息香酸、桂皮酸、マンデル酸、メタンスルホン酸
、エタンスルホン酸、1,2-エタン-ジスルホン酸、2-ヒドロキシエタンスルホン酸
、ベンゼンスルホン酸、4-クロロベンゼンスルホン酸、2-ナフタレンスルホン酸、4
-トルエンスルホン酸、カンファースルホン酸、4-メチルビシクロ[2.2.2]-オ
クタ-2-エン-1-カルボン酸、グルコヘプトン酸、3-フェニルプロピオン酸、トリ
メチル酢酸、第3級ブチル酢酸、ラウリル硫酸、グルコン酸、グルタミン酸、ヒドロキシ
ナフトエ酸、サリチル酸、ステアリン酸、ムコン酸など)と形成される酸付加塩;あるい
は(2)親化合物に存在する酸性プロトンが、金属イオン、例えば、アルカリ金属イオン
、アルカリ土類イオンもしくはアルミニウムイオンによって置き換えられるか;または有
機塩基(例えば、エタノールアミン、ジエタノールアミン、トリエタノールアミン、N-
メチルグルカミンなど)と配位するときに形成される塩が挙げられる。塩には、さらに、
単なる例として、ナトリウム、カリウム、カルシウム、マグネシウム、アンモニウム、テ
トラアルキルアンモニウムなど;および化合物が塩基性官能基を含むとき、無毒性の有機
酸または無機酸の塩(例えば、塩酸塩、臭化水素酸塩、酒石酸塩、メシル酸塩、酢酸塩、
マレイン酸塩、シュウ酸塩など)が挙げられる。用語「薬学的に許容され得るカチオン」
とは、酸性官能基の許容され得るカチオン性対イオンのことを指す。そのようなカチオン
は、ナトリウム、カリウム、カルシウム、マグネシウム、アンモニウム、テトラアルキル
アンモニウムカチオンなどによって例示される(例えば、Berge,ら、J.Phar
m.Sci.66(1):1-79(Jan.”77を参照のこと)。
、佐剤、賦形剤またはキャリアのことを指す。
書に示される構造式の親分子をもたらす基のことを指す。代謝的に切断可能な基の例とし
ては、-COR、-COOR、-CONRRおよび-CH2ORラジカルが挙げられ、こ
こで、Rは、各存在において、アルキル、トリアルキルシリル、炭素環式アリール、また
はアルキル、ハロゲン、ヒドロキシもしくはアルコキシのうちの1つもしくはそれを超え
る基で置換された炭素環式アリールから独立して選択される。代表的な代謝的に切断可能
な基の具体的な例としては、アセチル、メトキシカルボニル、ベンゾイル、メトキシメチ
ルおよびトリメチルシリル基が挙げられる。
おいて、インビボで薬学的に活性である本発明の化合物になる化合物(本発明の化合物の
誘導体を含む)のことを指す。そのような例としては、コリンエステル誘導体など、N-
アルキルモルホリンエステルなどが挙げられるがこれらに限定されない。本発明の化合物
の他の誘導体は、それらの酸と酸誘導体の両方の形態で活性を有するが、しばしば、酸感
受性の形態では、哺乳動物生物において可溶性、組織適合性または遅延放出の利点を提供
する(Bundgard,H.,Design of Prodrugs,pp.7-9
,21-24,Elsevier,Amsterdam 1985を参照のこと)。プロ
ドラッグには、当業者に周知の酸誘導体、例えば、親酸と好適なアルコールとの反応によ
って調製されるエステル、あるいは親酸化合物と置換もしくは非置換アミンまたは酸無水
物もしくは混合無水物との反応によって調製されるアミドが含まれる。本発明の化合物上
のペンダント酸性基から誘導される単純な脂肪族または芳香族のエステル、アミドおよび
無水物は、特別なプロドラッグである。場合によっては、二重エステルタイプのプロドラ
ッグ(例えば、(アシルオキシ)アルキルエステルまたは((アルコキシカルボニル)オ
キシ)アルキルエステル)を調製することが望ましい。詳細には、本発明の化合物のC1
~C8アルキル、C2-C8アルケニル、C2-C8アルキニル、アリール、C7-C1
2置換アリールおよびC7-C12アリールアルキルエステル。
形態または水と会合している化合物の形態(「水和物」とも称される)のことを指す。こ
の物理的会合には、水素結合が含まれる。従来の溶媒としては、水、エタノール、酢酸な
どが挙げられる。本発明の化合物は、例えば、結晶の形態で調製され得、溶媒和され得る
かまたは水和され得る。好適な溶媒和化合物には、薬学的に許容され得る溶媒和化合物(
例えば、水和物)が含まれ、化学量論的溶媒和化合物と非化学量論的溶媒和化合物の両方
がさらに含まれる。ある特定の場合、溶媒和化合物は、例えば、1つまたはそれを超える
溶媒分子が結晶性固体の結晶格子の中に組み込まれるとき、単離が可能であり得る。「溶
媒和化合物」は、溶液相と単離可能な溶媒和化合物の両方を包含する。代表的な溶媒和化
合物としては、水和物、エタノラートおよびメタノラートが挙げられる。
性、例えば、小児被験体(例えば、乳児、小児、青年)または成人被験体(例えば、若年
成人、中年成人または老人))および/または非ヒト動物、例えば、哺乳動物(例えば、
霊長類(例えば、カニクイザル、アカゲザル)、ウシ、ブタ、ウマ、ヒツジ、ヤギ、げっ
歯類、ネコおよび/またはイヌ)が挙げられるがこれらに限定されない。ある特定の実施
形態において、被験体は、ヒトである。ある特定の実施形態において、被験体は、非ヒト
動物である。用語「ヒト」、「患者」および「被験体」は、本明細書中で交換可能に使用
される。
そのような処置または予防をもたらすのに十分な化合物の量を意味する。「有効量」は、
化合物、疾患およびその重症度、ならびに処置される被験体の年齢、体重などに応じて変
動し得る。「治療有効量」は、治療的な処置に有効な量のことを指す。「予防有効量」は
、予防的な処置に有効な量のことを指す。
たは発症するリスクの低減(すなわち、疾患の少なくとも1つの臨床徴候を、病原体にま
だ曝露されていない被験体または疾患発生の前にその疾患の素因を有する被験体において
発症させないこと)を指す。
である措置または手順のことを指す。予防的な措置の非限定的な例としては、ワクチンの
投与;例えば、拘束に起因して、血栓症のリスクがある入院患者への低分子量ヘパリンの
投与;およびマラリアが風土病である地理的地域またはマラリアに接触する(contr
acting)リスクが高い地理的地域への訪問に先立ったクロロキンなどの抗マラリア
剤の投与が挙げられ得る。
は「治療的な処置」は、1つの実施形態では、その疾患または障害を回復させること(す
なわち、疾患を停止すること、またはその臨床徴候の少なくとも1つの症状発現、程度も
しくは重症度を低減させること)を指す。別の実施形態において、「処置する」または「
処置」とは、少なくとも1つの物理的パラメータを回復させることを指し、その回復は、
被験体が認識できない場合がある。さらに別の実施形態において、「処置する」または「
処置」とは、疾患または障害を物理的に調節すること(例えば、認識可能な徴候の安定化
)、生理的に調節すること(例えば、生理的パラメータの安定化)のいずれかまたはその
両方のことを指す。さらなる実施形態において、「処置する」または「処置」は、疾患の
進行を遅らせることに関する。
ような化合物を構成する1つまたはそれを超える原子において非天然の比率の同位体を含
む化合物のことを指す。例えば、化合物の「同位体バリアント」は、1つまたはそれを超
える非放射性同位体、例えば、ジュウテリウム(2HまたはD)、炭素-13(13C)
、窒素-15(15N)などを含み得る。そのような同位体置換が行われている化合物に
おいて、以下の原子は、存在する場合、例えば、任意の水素が2H/Dであり得るか、任
意の炭素が13Cであり得るか、または任意の窒素が15Nであり得るように、変化し得
ること、ならびにそのような原子の存在および位置は、当該分野の技術の範囲内で決定さ
れ得ることが、理解されるだろう。同様に、本発明は、放射性同位体を有する同位体バリ
アントの調製を含み得、その場合、例えば、得られた化合物は、薬物および/または基質
の組織分布研究に使用され得る。放射性同位体であるトリチウム、すなわち、3H、およ
び炭素-14、すなわち14Cは、それらの組み込みの容易さおよび検出手段が準備され
ていることに鑑みて、この目的のために特に有用である。さらに、陽電子放出同位体(例
えば、11C、18F、15Oおよび13N)で置換された化合物が、調製され得、その
化合物は、基質レセプターの占有度を調べるための陽電子放出断層撮影(PET)研究に
おいて有用だろう。放射性であるかまたは放射性でない、本明細書中に提供される化合物
のすべての同位体バリアントが、本発明の範囲内に包含されると意図される。
る化合物は、「異性体」と呼ばれることも理解されるべきである。原子の空間的配列が異
なる異性体は、「立体異性体」と呼ばれる。
とができない鏡像であるものは、「鏡像異性体」と呼ばれる。化合物が、不斉中心を有す
るとき、例えば、それが4つの異なる基に結合されているとき、1対の鏡像異性体が存在
し得る。鏡像異性体は、その不斉中心の絶対配置によって特徴づけられ得、Cahnおよ
びPrelogのR-およびS-配列規則(sequencing rules)によっ
て記載されるか、またはその分子が偏光面を回転する様式によって記載され、右旋性もし
くは左旋性として(すなわち、それぞれ、(+)または(-)-異性体として)指摘され
る。キラル化合物は、個々の鏡像異性体として存在し得るか、またはそれらの混合物とし
て存在し得る。等しい比率の鏡像異性体を含む混合物は、「ラセミ混合物」と呼ばれる。
び電子の転位(displacement)が異なる化合物を指す。したがって、2つの
構造が、π電子および原子(通常はH)の移動によって平衡状態であり得る。例えば、エ
ノールおよびケトンは、酸または塩基のいずれかでの処理によって迅速に相互変換される
ので、互変異性体である。互変異性の別の例は、同様に酸または塩基での処理によって形
成される、フェニルニトロメタンのaci-型およびニトロ-型である。互変異性体は、
目的の化合物の最適な化学的反応性および生物学的活性の達成に有意義であり得る。
または立体異性体を実質的に含まない(すなわち、鏡像体過剰である)。言い換えると、
「S」型の化合物は、「R」型の化合物を実質的に含まず、したがって、「R」型の鏡像
体過剰である。用語「鏡像異性的に純粋な」または「純粋な鏡像異性体」は、化合物が、
75重量%超、80重量%超、85重量%超、90重量%超、91重量%超、92重量%
超、93重量%超、94重量%超、95重量%超、96重量%超、97重量%超、98重
量%超、98.5重量%超、99重量%超、99.2重量%超、99.5重量%超、99
.6重量%超、99.7重量%超、99.8重量%超または99.9重量%超の鏡像異性
体を含むことを表す。ある特定の実施形態において、重量は、化合物のすべての鏡像異性
体または立体異性体の総重量に基づく。
合物」とは、少なくとも約80重量%のR-化合物および多くとも約20重量%のS-化
合物、少なくとも約90重量%のR-化合物および多くとも約10重量%のS-化合物、
少なくとも約95重量%のR-化合物および多くとも約5重量%のS-化合物、少なくと
も約99重量%のR-化合物および多くとも約1重量%のS-化合物、少なくとも約99
.9重量%のR-化合物または多くとも約0.1重量%のS-化合物のことを指す。ある
特定の実施形態において、重量は、化合物の総重量に基づく。
合物」または「S-化合物」とは、少なくとも約80重量%のS-化合物および多くとも
約20重量%のR-化合物、少なくとも約90重量%のS-化合物および多くとも約10
重量%のR-化合物、少なくとも約95重量%のS-化合物および多くとも約5重量%の
R-化合物、少なくとも約99重量%のS-化合物および多くとも約1重量%のR-化合
物または少なくとも約99.9重量%のS-化合物および多くとも約0.1重量%のR-
化合物のことを指す。ある特定の実施形態において、重量は、化合物の総重量に基づく。
に許容され得る塩、溶媒和化合物、水和物もしくはプロドラッグは、他の活性成分または
不活性成分とともに存在し得る。例えば、鏡像異性的に純粋なR-化合物を含む薬学的組
成物は、例えば、約90%の賦形剤および約10%の鏡像異性的に純粋なR-化合物を含
み得る。ある特定の実施形態において、そのような組成物における鏡像異性的に純粋なR
-化合物は、例えば、その化合物の総重量基準で、少なくとも約95重量%のR-化合物
および多くとも約5重量%のS-化合物を含み得る。例えば、鏡像異性的に純粋なS-化
合物を含む薬学的組成物は、例えば、約90%の賦形剤および約10%の鏡像異性的に純
粋なS-化合物を含み得る。ある特定の実施形態において、そのような組成物における鏡
像異性的に純粋なS-化合物は、例えば、その化合物の総重量基準で、少なくとも約95
重量%のS-化合物および多くとも約5重量%のR-化合物を含み得る。ある特定の実施
形態において、活性成分は、賦形剤またはキャリアをほとんどまたはまったく伴わずに製
剤化され得る。
のような化合物は、個々の(R)-もしくは(S)-立体異性体またはそれらの混合物と
して生成され得る。
、個々の鏡像異性体と、それらのラセミ混合物またはそうでない混合物の両方を含むと意
図されている。立体化学を決定するための方法および立体異性体を分離するための方法は
、当該分野で周知である。
族であるかまたは非芳香族であるかに関係なく、その環のサイズ、不飽和度およびヘテロ
原子の原子価によって決定されることは、有機合成の当業者に認識されるだろう。一般に
、複素環式環は、その芳香族複素環が化学的に実現可能であり、かつ安定である限り、1
~4個のヘテロ原子を有し得る。
本発明のある特定の実施形態の詳細な説明
広範囲のCNS症状、とりわけ、精神分裂病、うつ病、双極性障害(例えば、Iおよび/
またはII)、統合失調感情障害、気分障害、不安障害、人格障害、精神病、強迫性障害
、外傷後ストレス障害(PTSD)、自閉症圏障害(ASD)、気分変調(軽症うつ病)
、社会不安障害、強迫性障害(OCD)、疼痛(例えば、有痛性症候群または障害)、睡
眠障害、記憶障害、痴呆、アルツハイマー病、発作性障害(例えば、癲癇)、外傷性脳損
傷、脳卒中、嗜癖障害(例えば、オピエート類、コカインおよび/またはアルコールに対
する嗜癖)、自閉症、ハンチントン病、不眠、パーキンソン病、離脱症候群または耳鳴の
予防および/または処置に有用な、3-αおよび3β-ヒドロキシステロイド化合物が、
本明細書中に提供される。これらの化合物は、改善されたインビボ効力、薬物動態学的特
性(PK)特性、経口バイオアベイラビリティ、製剤化適性、安定性および/または安全
性を示すと予想される。
本明細書中に記載される例示的な化合物としては、NMDARのアゴニストまたはNM
DARの正のアロステリックモジュレーター(PAM)が挙げられる。いくつかの実施形
態において、本明細書中に記載される化合物は、NMDARのアンタゴニストまたはNA
Mを含む。本明細書中に記載される化合物は、天然に存在するおよび天然に存在しないス
テロイドおよびステロール(例えば、24(S)-ヒドロキシコレステロール)を含む。
いくつかの実施形態において、その化合物は、オキシステロールである。いくつかの実施
形態において、その化合物は、式(I)の化合物に示されているように、C-17β側ア
ルキル側鎖、およびステロイド骨格の様々な位置に随意の置換を有する3-βヒドロキシ
ルステロイドである。さらなる例示的な化合物としては、24(s)-ヒドロキシコレス
テロールの内在活性もしくは内在量を高める(例えば、増加させる)化合物(例えば、2
4(s)-ヒドロキシコレステロールを代謝する酵素を阻害する化合物、例えば、24-
ヒドロキシコレステロール7アルファ-ヒドロキシラーゼ(CYP39)を阻害する化合
物)または24(s)-ヒドロキシコレステロールの内在活性もしくは内在量を減少させ
る化合物(例えば、24(s)-ヒドロキシコレステロールを生成する酵素を活性化する
化合物、例えば、コレステロール24(S)-ヒドロキシラーゼ(CYP46)を活性化
する化合物)が挙げられる。
またはその薬学的に許容され得る塩、溶媒和化合物、プロドラッグ、立体異性体、互変異性体、同位体バリアントもしくはN-オキシドあるいはそれらの組み合わせであり;
式中:
Zは、式(i)、(ii)、(iii)、(iv)または(v)の基であり:
L1およびL2は、結合、置換もしくは非置換C1-C6アルキレン、置換もしくは非置換C2-C6アルケニレン、置換もしくは非置換C2-C6アルキニレン、置換もしくは非置換ヘテロC1-C6アルキレン、置換もしくは非置換ヘテロC2-C6アルケニレンおよび置換もしくは非置換ヘテロC2-C6アルキニレンからなる群より選択され;
L3は、置換もしくは非置換C1-C6アルキレン、置換もしくは非置換C2-C6アルケニレン、置換もしくは非置換C2-C6アルキニレン、置換もしくは非置換ヘテロC1-C6アルキレン、置換もしくは非置換ヘテロC2-C6アルケニレンまたは置換もしくは非置換ヘテロC2-C6アルキニレンであり;
X1およびX2の各実例は、独立して、-O-、-S-、-N(RX)-であり、ここで、RXの各実例は、独立して、水素、置換もしくは非置換アルキル、置換もしくは非置換アルケニル、置換もしくは非置換アルキニル、置換もしくは非置換カルボシクリル、置換もしくは非置換ヘテロシクリル、置換もしくは非置換アリール、置換もしくは非置換ヘテロアルキルまたはアミノ保護基であり;
R1は、水素、置換もしくは非置換アルキル、置換もしくは非置換アルケニル、置換もしくは非置換アルキニル、置換もしくは非置換カルボシクリル、置換もしくは非置換ヘテロシクリル、置換もしくは非置換アリール、置換もしくは非置換ヘテロアリール、ハロ、-N3、-NO2、-SCN、-CN、-ORA1、-SRA1、-N(RA1)2、-N=NRA1、-N=C(RA1)2、-N(ORA1)(RA1)、-C(=O)RA1、-C(=O)ORA1、-C(=O)SRA1、-C(=O)N(RA1)2、-C(=O)N(ORA1)(RA1)、-OC(=O)RA1、-OC(=O)ORA1、-OC(=O)SRA1、-OC(=O)N(RA1)2、-NRA1C(=O)RA1、-NRA1C(=O)ORA1、-NRA1C(=O)SRA1、-NRA1C(=O)N(RA1)2、-SC(=O)RA2、-SC(=O)ORA1、-SC(=O)SRA1、-SC(=O)N(RA1)2、-OS(=O)2RA2、-OS(=O)2ORA1、-S-S(=O)2RA2、-S-S(=O)2ORA1、-S(=O)RA2、-SO2RA2、-NRA1SO2RA2、または-SO2N(RA1)2であり、ここで、RA1は、水素、置換もしくは非置換アルキル、置換もしくは非置換アルケニル、置換もしくは非置換アルキニル、置換もしくは非置換カルボシクリル、置換もしくは非置換ヘテロシクリル、置換もしくは非置換アリールまたは置換もしくは非置換ヘテロアリール、酸素原子に付着されているときは酸素保護基、硫黄原子に付着されているときは硫黄保護基、窒素原子に付着されているときは窒素保護基であるか、あるいは2つのRA1基は、接続して、置換または非置換の複素環式環を形成し;RA2は、置換もしくは非置換アルキル、置換もしくは非置換アルケニル、置換もしくは非置換アルキニル、置換もしくは非置換カルボシクリル、置換もしくは非置換ヘテロシクリル、置換もしくは非置換アリールまたは置換もしくは非置換ヘテロアリールであるか、あるいはRA1基およびRA2基は、接続して、置換または非置換の複素環式環を形成し;
R2、R4a、R4b、R7a、R7b、R11aおよびR11bの各実例は、独立して、水素、-OH、ハロ、置換もしくは非置換アルキル、置換もしくは非置換アルケニル、置換もしくは非置換アルキニル、置換もしくは非置換カルボシクリル、置換もしくは非置換ヘテロシクリル、置換もしくは非置換アリール、置換もしくは非置換ヘテロアリール、-N3、-NO2、-SCN、-CN、-ORB1、-SRB1、-N(RB1)2、-N=NRB1、-N=C(RB1)2、-N(ORB1)(RB1)、-C(=O)RB1、-C(=O)ORB1、-C(=O)SRB1、-C(=O)N(Rb1)2、-C(=O)N(ORB1)(RB1)、-OC(=O)RB1、-OC(=O)ORB1、-OC(=O)SRB1、-OC(=O)N(RB1)2、-NRB1C(=O)RB1、-NRB1C(=O)ORB1、-NRB1C(=O)SRB1、-NRB1C(=O)N(RB1)2、-SC(=O)RB2、-SC(=O)ORB1、-SC(=O)SRB1、-SC(=O)N(RB1)2、-OS(=O)2RB2、-OS(=O)2ORB1、-S-S(=O)2RB2、-S-S(=O)2ORB1、-S(=O)RB2、-SO2RB2、-NRB1SO2RB2、または-SO2N(RB1)2であり、ここで、RB1は、水素、置換もしくは非置換アルキル、置換もしくは非置換アルケニル、置換もしくは非置換アルキニル、置換もしくは非置換カルボシクリル、置換もしくは非置換ヘテロシクリル、置換もしくは非置換アリールまたは置換もしくは非置換ヘテロアリール、酸素原子に付着されているときは酸素保護基、硫黄原子に付着されているときは硫黄保護基、窒素原子に付着されているときは窒素保護基であるか、あるいは2つのRB1基は、接続して、置換または非置換の複素環式環を形成し;RB2は、置換もしくは非置換アルキル、置換もしくは非置換アルケニル、置換もしくは非置換アルキニル、置換もしくは非置換カルボシクリル、置換もしくは非置換ヘテロシクリル、置換もしくは非置換アリールまたは置換もしくは非置換ヘテロアリールであるか、あるいはRB1基およびRB2基は、接続して、置換または非置換の複素環式環を形成するか;または必要に応じて、R4aおよびR4bの各々ならびに/もしくはR7aおよびR7bの各々ならびに/もしくはR11aおよびR11bの各々は、一体となって、オキソ(=O)基を形成し;
R3aは、水素、置換もしくは非置換アルキル、置換もしくは非置換アルケニル、置換もしくは非置換アルキニル、置換もしくは非置換カルボシクリル、置換もしくは非置換ヘテロシクリル、置換もしくは非置換アリールまたは置換もしくは非置換ヘテロアリールであり;
R3bは、水素、-C(=O)RC1、-C(=O)ORC1、-C(=O)SRC1、-C(=O)N(RC1)2、-S(=O)2RC2、-S(=O)2ORC1、-P(=O)2RC2、-P(=O)2ORC1、-P(=O)(ORC1)2、-P(=O)(RC2)2、または-P(=O)(RC2)(ORC1)であり、ここで、RC1は、水素、置換もしくは非置換アルキル、置換もしくは非置換アルケニル、置換もしくは非置換アルキニル、置換もしくは非置換カルボシクリル、置換もしくは非置換ヘテロシクリル、置換もしくは非置換アリールまたは置換もしくは非置換ヘテロアリール、酸素原子に付着されているときは酸素保護基、硫黄原子に付着されているときは硫黄保護基、窒素原子に付着されているときは窒素保護基であるか、あるいは2つのRC1基は、接続して、置換または非置換の複素環式環を形成し;RC2は、置換もしくは非置換アルキル、置換もしくは非置換アルケニル、置換もしくは非置換アルキニル、置換もしくは非置換カルボシクリル、置換もしくは非置換ヘテロシクリル、置換もしくは非置換アリールまたは置換もしくは非置換ヘテロアリールであり;
R6aおよびR6bの各々は、独立して、水素、ハロ、置換もしくは非置換アルキル、置換もしくは非置換アルケニルまたは置換もしくは非置換アルキニルであり、
R14は、水素または置換もしくは非置換アルキルであり;
R17は、水素、ハロ、置換もしくは非置換アルキル、置換もしくは非置換アルケニル、置換もしくは非置換アルキニル、置換もしくは非置換カルボシクリル、置換もしくは非置換ヘテロシクリル、置換もしくは非置換アリール、置換もしくは非置換ヘテロアリールまたは-ORD1であり、ここで、RD1は、水素、置換もしくは非置換アルキル、置換もしくは非置換アルケニル、置換もしくは非置換アルキニル、置換もしくは非置換カルボシクリル、置換もしくは非置換ヘテロシクリル、置換もしくは非置換アリール、置換もしくは非置換ヘテロアリールまたは酸素保護基であり;
R18、R19およびR20の各実例は、独立して、水素または置換もしくは非置換アルキルであり;
R23aおよびR23bの各実例は、独立して、水素、ハロゲンまたは置換もしくは非置換アルキルであるか、あるいはR23aおよびR23bは、共に接続して、置換もしくは非置換C3-C6シクロアルキルを形成し;
R24は、水素、置換もしくは非置換アルキル、置換もしくは非置換アルケニル、置換もしくは非置換アルキニル、置換もしくは非置換カルボシクリル、置換もしくは非置換ヘテロシクリル、置換もしくは非置換アリール、置換もしくは非置換ヘテロアリール、-C(=O)RE1、-C(=O)ORE1、-C(=O)SRE1、-C(=O)N(RE1)2、-S(=O)2RE2、-S(=O)2ORE1、-P(=O)2RE2、-P(=O)2ORE1、-P(=O)(ORE1)2、-P(=O)(RE2)2、または-P(=O)(RE2)(ORE1)であり、ここで、RE1は、水素、置換もしくは非置換アルキル、置換もしくは非置換アルケニル、置換もしくは非置換アルキニル、置換もしくは非置換カルボシクリル、置換もしくは非置換ヘテロシクリル、置換もしくは非置換アリールまたは置換もしくは非置換ヘテロアリール、酸素原子に付着されているときは酸素保護基、硫黄原子に付着されているときは硫黄保護基、窒素原子に付着されているときは窒素保護基であるか、あるいは2つのRE1基は、接続して、置換または非置換の複素環式環を形成し;RE2は、置換もしくは非置換アルキル、置換もしくは非置換アルケニル、置換もしくは非置換アルキニル、置換もしくは非置換カルボシクリル、置換もしくは非置換ヘテロシクリル、置換もしくは非置換アリールまたは置換もしくは非置換ヘテロアリールであり;
Yは、-O-、-S-または-NRZ5-であり;
RZ4は、独立して、置換もしくは非置換アルキル、置換もしくは非置換アルケニル、置換もしくは非置換アルキニル、置換もしくは非置換カルボシクリル、置換もしくは非置換ヘテロシクリル、置換もしくは非置換アリール、置換もしくは非置換ヘテロアリール、-ORZ5、-SRZ5または-N(RZ5)2であり;
RZ5の各実例は、独立して、水素、置換もしくは非置換アルキル、置換もしくは非置換アルケニル、置換もしくは非置換アルキニル、置換もしくは非置換カルボシクリル、置換もしくは非置換ヘテロシクリル、置換もしくは非置換アリール、置換もしくは非置換ヘテロアリール、酸素原子に付着されているときは酸素保護基、硫黄原子に付着されているときは硫黄保護基、窒素原子に付着されているときは窒素保護基であるか、または2つのRZ5基は、接続して、置換もしくは非置換の複素環式環を形成し;
RZ6の各実例は、独立して、水素または置換もしくは非置換アルキルであるか、あるいは2つのRZ6基は、接続して、C3-6炭素環を形成し;
下付き文字nは、0、1、2または3である。
であるとき;R1は、H、アルキル、アルケニルまたはアルキニル以外である。ある特定
の実施形態において、R3aが、Hであり、R3bが、-COMeであり、R19が、M
eであり、nが、0であるとき;R1は、OHである。ある特定の実施形態において、R
3aが、Hであり、nが、0であり、R20が、アルキルであるとき;R1は、OH以外
である。ある特定の実施形態において、R19が、Meであるとき;R1は、H、アルキ
ル、アルケニルまたはアルキニル以外である。ある特定の実施形態において、R1は、H
であり;R19は、Me以外である。ある特定の実施形態において、R1およびR3aの
各々は、Hであり;R19は、Me以外である。
ならびにそれらの薬学的に許容され得る塩、溶媒和化合物、プロドラッグ、立体異性体、
互変異性体、同位体バリアントもしくはN-オキシドまたはそれらの組み合わせは、明確
に除外される。
上で一般に定義されたように、R3aは、水素、置換もしくは非置換アルキル、置換も
しくは非置換アルケニル、置換もしくは非置換アルキニル、置換もしくは非置換カルボシ
クリル、置換もしくは非置換ヘテロシクリル、置換もしくは非置換アリールまたは置換も
しくは非置換ヘテロアリールである。R3aは、アルファ位(下)またはベータ位(上)
に存在し得ることが、広く理解される。ある特定の実施形態において、R3aは、アルフ
ァである。ある特定の実施形態において、R3aは、ベータである。
しくは非置換C1-6アルキル、置換もしくは非置換C1-2アルキル、置換もしくは非
置換C2-3アルキル、置換もしくは非置換C3-4アルキル、置換もしくは非置換C4
-5アルキルまたは置換もしくは非置換C5-6アルキルである。例示的なR3aC1-
6アルキル基としては、置換または非置換の、メチル(C1)、エチル(C2)、n-プ
ロピル(C3)、イソプロピル(C3)、n-ブチル(C4)、tert-ブチル(C4
)、sec-ブチル(C4)、iso-ブチル(C4)、n-ペンチル(C5)、3-ペ
ンタニル(C5)、アミル(C5)、ネオペンチル(C5)、3-メチル-2-ブタニル
(C5)、第3級アミル(C5)、n-ヘキシル(C6)、1、2、3、4、5、6、7
、8、9、10個またはそれを超えるフルオロ基で置換されたC1-6アルキル(例えば
、-CF3、-CH2F、-CHF2、ジフルオロエチルおよび2,2,2-トリフルオ
ロ-1,1-ジメチル-エチル)、1、2、3、4、5、6、7、8、9、10個または
それを超えるクロロ基で置換されたC1-6アルキル(例えば、-CH2Cl、-CHC
l2)およびアルコキシ基で置換されたC1-6アルキル(例えば、-CH2OCH3お
よび-CH2OCH2CH3)が挙げられるがこれらに限定されない。ある特定の実施形
態において、R3aは、置換アルキルであり、例えば、R3aは、ハロアルキル、アルコ
キシアルキルまたはアミノアルキルである。ある特定の実施形態において、R3aは、M
e、Et、n-Pr、n-Bu、i-Bu、フルオロメチル、クロロメチル、ジフルオロ
メチル、トリフルオロメチル、トリフルオロエチル、ジフルオロエチル、2,2,2-ト
リフルオロ-1,1-ジメチル-エチル、メトキシメチル、メトキシエチルまたはエトキ
シメチルである。ある特定の実施形態において、R3aは、Me、Et、n-Pr、n-
Buまたはi-Buである。ある特定の実施形態において、R3aは、メトキシメチル、
エトキシメチル、プロポキシメチル、メトキシエチルまたはエトキシエチルである。ある
特定の実施形態において、R3aは、トリフルオロメトキシメチルである。ある特定の実
施形態において、R3aは、フルオロメチル、クロロメチル、ジフルオロメチル、トリフ
ルオロメチル、ジフルオロエチル、トリフルオロエチルまたは2,2,2-トリフルオロ
-1,1-ジメチル-エチルである。ある特定の実施形態において、R3aは、トリフル
オロメチルである。
もしくは非置換C2-6アルケニル、置換もしくは非置換C2-3アルケニル、置換もし
くは非置換C3-4アルケニル、置換もしくは非置換C4-5アルケニルまたは置換もし
くは非置換C5-6アルケニルである。ある特定の実施形態において、R3aは、非置換
の、またはアルキル、ハロ、ハロアルキル、アルコキシアルキルもしくはヒドロキシルか
らなる群より選択される1つもしくはそれを超える置換基で置換された、エテニル(C2
)、プロペニル(C3)またはブテニル(C4)である。ある特定の実施形態において、
R3aは、非置換の、またはアルキル、ハロ、ハロアルキル、アルコキシアルキルもしく
はヒドロキシで置換された、エテニル、プロペニルまたはブテニルである。ある特定の実
施形態において、R3aは、エテニルである。
もしくは非置換C2-6アルキニル、置換もしくは非置換C2-3アルキニル、置換もし
くは非置換C3-4アルキニル、置換もしくは非置換C4-5アルキニルまたは置換もし
くは非置換C5-6アルキニルである。例示的な置換または非置換R3aアルキニル基と
しては、非置換の、またはアルキル、ハロ、ハロアルキル(例えば、CF3)、アルコキ
シアルキル、シクロアルキル(例えば、シクロプロピルまたはシクロブチル)もしくはヒ
ドロキシルで置換された、エチニル、プロピニルまたはブチニルが挙げられるがこれらに
限定されない。ある特定の実施形態において、R3aは、トリフルオロエチニル、シクロ
プロピルエチニル、シクロブチルエチニルおよびプロピニル、フルオロプロピニルおよび
クロロエチニルからなる群より選択される。ある特定の実施形態において、R3aは、非
置換の、または置換もしくは非置換アリール、置換もしくは非置換ヘテロアリール、置換
もしくは非置換カルボシクリルおよび置換もしくは非置換ヘテロシクリルからなる群より
選択される1つもしくはそれを超える置換基で置換された、エチニル(C2)、プロピニ
ル(C3)またはブチニル(C4)である。ある特定の実施形態において、R3aは、置
換フェニルで置換された、エチニル(C2)、プロピニル(C3)またはブチニル(C4
)である。ある特定の実施形態において、そのフェニル置換基(substituten
t)は、ハロ、アルキル、トリフルオロアルキル、アルコキシ、アシル、アミノまたはア
ミドからなる群より選択される1つまたはそれを超える置換基でさらに置換される。ある
特定の実施形態において、R3aは、置換もしくは非置換の、ピロリル、イミダゾリル、
ピラゾリル、オキサゾイル、チアゾリル、イソオキサゾイル、1,2,3-トリアゾリル
、1,2,4-トリアゾリル、オキサジアゾリル、チアジアゾリルもしくはテトラゾリル
で置換された、エチニル(C2)、プロピニル(C3)またはブチニル(C4)である。
キル、アルコキシアルキルもしくはヒドロキシルで置換された、エチニル、プロピニルま
たはブチニルである。ある特定の実施形態において、R3aは、置換または非置換アリー
ルで置換された、エチニルまたはプロピニルである。ある特定の実施形態において、R3
aは、非置換のフェニルまたはハロ、アルキル、アルコキシ、ハロアルキル、トリハロア
ルキルもしくはアシルで置換されたフェニルで置換された、エチニルあるいはプロピニル
である。ある特定の実施形態において、R3aは、置換または非置換カルボシクリルで置
換された、エチニルまたはプロピニルである。ある特定の実施形態において、R3aは、
置換または非置換の、シクロプロピル、シクロブチル、シクロペンチルまたはシクロヘキ
シルで置換された、エチニルまたはプロピニルである。ある特定の実施形態において、R
3aは、置換または非置換ヘテロアリールで置換された、エチニルまたはプロピニルであ
る。ある特定の実施形態において、R3aは、置換または非置換の、ピリジニルまたはピ
リミジニルで置換された、エチニルまたはプロピニルである。ある特定の実施形態におい
て、R3aは、置換または非置換の、ピロリル、イミダゾリル、ピラゾリル、オキサゾイ
ル、チアゾリル、イソオキサゾイル、1,2,3-トリアゾリル、1,2,4-トリアゾ
リル、オキサジアゾリル、チアジアゾリル、テトラゾリルで置換された、エチニルまたは
プロピニルである。ある特定の実施形態において、R3aは、置換または非置換ヘテロシ
クリルで置換された、エチニルまたはプロピニルである。ある特定の実施形態において、
R3aは、置換または非置換の、ピロリジニル、ピペリジニル、ピペラジニルまたはモル
ホリニル(mopholinyl)で置換された、エチニルまたはプロピニルである。あ
る特定の実施形態において、R3aは、ヒドロキシルまたはアルコキシで置換された、プ
ロピニルまたはブチニルである。ある特定の実施形態において、R3aは、メトキシまた
はエトキシで置換された、プロピニルまたはブチニルである。ある特定の実施形態におい
て、R3aは、Clで置換された、エチニルまたはプロピニルである。ある特定の実施形
態において、R3aは、トリフルオロメチルで置換された、エチニルまたはプロピニルで
ある。
置換もしくは非置換C3-6カルボシクリル、置換もしくは非置換C3-4カルボシクリ
ル、置換もしくは非置換C4-5カルボシクリルまたは置換もしくは非置換C5-6カル
ボシクリルである。
置換もしくは非置換3~6員ヘテロシクリル、置換もしくは非置換3~4員ヘテロシクリ
ル、置換もしくは非置換4~5員ヘテロシクリルまたは置換もしくは非置換5~6員ヘテ
ロシクリルである。
の実施形態において、R3aは、置換または非置換フェニルである。
必要に応じて置換される5~6員ヘテロアリールである。
ルおよび置換または非置換アルキニル基として、以下:
に描写され、式中、R3cの各実例は、水素、ハロまたは-ORF1であり、ここで、R
F1は、置換または非置換アルキルであり;R3dの各実例は、水素、ハロあるいは置換
もしくは非置換アルキル、置換もしくは非置換カルボシクリルまたは置換もしくは非置換
ヘテロシクリルである。
施形態において、少なくとも2つのR3cは、水素である。ある特定の実施形態において
、各R3cは、水素である。ある特定の実施形態において、少なくとも1つのR3cは、
ハロゲン(例えば、フルオロ、クロロ、ブロモ、ヨード)である。ある特定の実施形態に
おいて、少なくとも2つのR3cは、ハロゲン(例えば、フルオロ、クロロ、ブロモ、ヨ
ード)である。ある特定の実施形態において、各R3cは、ハロゲン(例えば、基-CF
3を提供するフルオロ)である。ある特定の実施形態において、少なくとも1つのR3c
は、-ORF1(例えば、OMeまたはOEt)である。ある特定の実施形態において、
少なくとも2つのR3cは、-ORF1(例えば、OMeまたはOEt)である。ある特
定の実施形態において、少なくとも1つのR3cは、水素、F、-OMeまたは-OEt
である。ある特定の実施形態において、R3cの1つは、F、-OMeまたはOEtであ
り;残りは、Hである。
施形態において、各R2cは、水素である。ある特定の実施形態において、少なくとも1
つのR3dは、ハロゲン(例えば、フルオロ、クロロ、ブロモ、ヨード)である。ある特
定の実施形態において、各R3dは、ハロゲン(例えば、フルオロ、クロロ、ブロモ、ヨ
ード)である。ある特定の実施形態において、各R3dは、アルキルであり、例えば、各
R2cは、Meである。ある特定の実施形態において、一方のR3dは、アルキルであり
;他方は、水素であり、例えば、一方のR3dは、Meであり;他方は、水素である。あ
る特定の実施形態において、一方のR3dは、置換または非置換カルボシクリル、例えば
、シクロプロピルまたはシクロブチルであり、他方は、水素である。ある特定の実施形態
において、少なくとも1つのR3dは、水素、-F、-Br、-Cl、-I、-CH3、
-CF3、シクロプロピルまたはシクロブチルである。ある特定の実施形態において、R
3dの各実例は、Hである。ある特定の実施形態において、R3dの各実例は、ハロゲン
(例えば、フルオロ、クロロ、ブロモ、ヨード)である。ある特定の実施形態において、
R3dの各実例は、アルキル、例えば、-CH3、-CF3、-CH2CH2Clである
。ある特定の実施形態において、R3dの各実例は、置換または非置換カルボシクリル、
例えば、シクロプロピルまたはシクロブチルである。ある特定の実施形態において、R3
dは、置換または非置換シクロプロピルである。ある特定の実施形態において、R3dの
各実例は、水素、-F、-Br、-Cl、-I、-CH3、-CF3、-CH2CH2C
l、シクロプロピルまたはシクロブチルである。ある特定の実施形態において、R3dは
、MeまたはClである。ある特定の実施形態において、R3dは、置換または非置換ヘ
テロシクリルである。
上で一般に定義されたように、基-X1R3bに対して、X1は、独立して、-O-、-S-または-N(RX)-であり、ここで、RXの各実例は、独立して、水素、置換もしくは非置換アルキル、置換もしくは非置換アルケニル、置換もしくは非置換アルキニル、置換もしくは非置換カルボシクリル、置換もしくは非置換ヘテロシクリル、置換もしくは非置換アリール、置換もしくは非置換ヘテロアルキルまたはアミノ保護基であり;R3bは、水素、-C(=O)RC1、-C(=O)ORC1、-C(=O)SRC1、-C(=O)N(RC1)2、-S(=O)2RC1、-S(=O)2ORC1、-P(=O)2RC1、-P(=O)2ORC1、-P(=O)(ORC1)2、-P(=O)(RC1)2、または-P(=O)(RC1)(ORC1)であり、ここで、RC1は、水素、置換もしくは非置換アルキル、置換もしくは非置換アルケニル、置換もしくは非置換アルキニル、置換もしくは非置換カルボシクリル、置換もしくは非置換ヘテロシクリル、置換もしくは非置換アリールまたは置換もしくは非置換ヘテロアリール、酸素原子に付着されているときは酸素保護基、硫黄原子に付着されているときは硫黄保護基、窒素原子に付着されているときは窒素保護基であるか、あるいは2つのRC1基は、接続して、置換もしくは非置換の複素環式環を形成する。基-X1-R3bは、アルファ位(下)またはベータ位(上)に存在し得ることが、広く理解される。ある特定の実施形態において、基-X1-R3bは、アルファである。ある特定の実施形態において、基-X1-R3bは、ベータである。
X1は、-S-である。ある特定の実施形態において、X1は、-N(RX)-である。
ある特定の実施形態において、RXは、アルキルである。ある特定の実施形態において、
RXは、Me、Etまたはi-Prである。ある特定の実施形態において、RXは、Hで
あり、すなわち、X1は、-NH-である。
おいて、基-X1R3bは、-OHである。ある特定の実施形態において、基-X1R3
bは、-SHである。ある特定の実施形態において、基-X1R3bは、-NH2または
-NHRXである。
すなわち、酸素原子に付着されているときは酸素保護基、硫黄原子に付着されているとき
は硫黄保護基または窒素原子に付着されているときは窒素保護基である。ある特定の実施
形態において、RC1の少なくとも1つの実例は、水素である。
ルキル、例えば、置換もしくは非置換C1-6アルキル、置換もしくは非置換C1-2ア
ルキル、置換もしくは非置換C2-3アルキル、置換もしくは非置換C3-4アルキル、
置換もしくは非置換C4-5アルキルまたは置換もしくは非置換C5-6アルキルである
。例示的なRC1C1-6アルキル基としては、置換または非置換の、メチル(C1)、
エチル(C2)、n-プロピル(C3)、イソプロピル(C3)、n-ブチル(C4)、
tert-ブチル(C4)、sec-ブチル(C4)、iso-ブチル(C4)、n-ペ
ンチル(C5)、3-ペンタニル(C5)、アミル(C5)、ネオペンチル(C5)、3
-メチル-2-ブタニル(C5)、第3級アミル(C5)、n-ヘキシル(C6)、1、
2、3、4、5、6、7、8、9、10個またはそれを超えるフルオロ基で置換されたC
1-6アルキル(例えば、-CF3、-CH2F、-CHF2、ジフルオロエチルおよび
2,2,2-トリフルオロ-1,1-ジメチル-エチル)、1、2、3、4、5、6、7
、8、9、10個またはそれを超えるクロロ基で置換されたC1-6アルキル(例えば、
-CH2Cl、-CHCl2)およびアルコキシ基で置換されたC1-6アルキル(例え
ば、-CH2OCH3および-CH2OCH2CH3)が挙げられるがこれらに限定され
ない。
ルケニル、例えば、置換もしくは非置換C2-6アルケニル、置換もしくは非置換C2-
3アルケニル、置換もしくは非置換C3-4アルケニル、置換もしくは非置換C4-5ア
ルケニルまたは置換もしくは非置換C5-6アルケニルである。
ルキニル、例えば、置換もしくは非置換C2-6アルキニル、置換もしくは非置換C2-
3アルキニル、置換もしくは非置換C3-4アルキニル、置換もしくは非置換C4-5ア
ルキニルまたは置換もしくは非置換C5-6アルキニルである。
ルボシクリル、例えば、置換もしくは非置換C3-6カルボシクリル、置換もしくは非置
換C3-4カルボシクリル、置換もしくは非置換C4-5カルボシクリルまたは置換もし
くは非置換C5-6カルボシクリルである。
テロシクリル、例えば、置換もしくは非置換3~6員ヘテロシクリル、置換もしくは非置
換3~4員ヘテロシクリル、置換もしくは非置換4~5員ヘテロシクリルまたは置換もし
くは非置換5~6員ヘテロシクリルである。
リール、例えば、置換または非置換フェニルである。
テロアリール、例えば、必要に応じて置換される5~6員ヘテロアリールである。
環式環、例えば、置換もしくは非置換ピペリジニル環、置換もしくは非置換ピペラジニル
環または置換もしくは非置換モルホリニル環を形成する。
、-C(=O)N(RC1)2または-C(=O)N(ORC1)(RC1)であり、こ
こで、RC1は、本明細書中で定義されるとおりである。
は、例えば、置換または非置換の、メチル(C1)、エチル(C2)、n-プロピル(C
3)、イソプロピル(C3)、n-ブチル(C4)、tert-ブチル(C4)、sec
-ブチル(C4)、iso-ブチル(C4)、n-ペンチル(C5)、3-ペンタニル(
C5)、アミル(C5)、ネオペンチル(C5)、3-メチル-2-ブタニル(C5)、
第3級アミル(C5)またはn-ヘキシル(C6)である。ある特定の実施形態において
、R3bは、-C(=O)CH3である。ある特定の実施形態において、R3bは、-C
(=O)(CH2)mCO2Hであり、ここで、mは、2以上5以下の整数である。ある
特定の実施形態において、mは、2である。ある特定の実施形態において、mは、3であ
る。ある特定の実施形態において、mは、4である。ある特定の実施形態において、mは
、5である。ある特定の実施形態において、R3bは、-C(=O)CH2CH2C(=
O)OHである。
1は、例えば、置換または非置換の、メチル(C1)、エチル(C2)、n-プロピル(
C3)、イソプロピル(C3)、n-ブチル(C4)、tert-ブチル(C4)、se
c-ブチル(C4)、iso-ブチル(C4)、n-ペンチル(C5)、3-ペンタニル
(C5)、アミル(C5)、ネオペンチル(C5)、3-メチル-2-ブタニル(C5)
、第3級アミル(C5)またはn-ヘキシル(C6)である。
1は、例えば、置換または非置換の、メチル(C1)、エチル(C2)、n-プロピル(
C3)、イソプロピル(C3)、n-ブチル(C4)、tert-ブチル(C4)、se
c-ブチル(C4)、iso-ブチル(C4)、n-ペンチル(C5)、3-ペンタニル
(C5)、アミル(C5)、ネオペンチル(C5)、3-メチル-2-ブタニル(C5)
、第3級アミル(C5)またはn-ヘキシル(C6)である。
(=O)NH2または-C(=O)NHRC1であり、ここで、RC1は、例えば、置換
もしくは非置換の、メチル(C1)、エチル(C2)、n-プロピル(C3)、イソプロ
ピル(C3)、n-ブチル(C4)、tert-ブチル(C4)、sec-ブチル(C4
)、iso-ブチル(C4)、n-ペンチル(C5)、3-ペンタニル(C5)、アミル
(C5)、ネオペンチル(C5)、3-メチル-2-ブタニル(C5)、第3級アミル(
C5)もしくはn-ヘキシル(C6)であるか、またはR1は、-C(=O)N(RC1
)2であり、ここで、その2つのRC1基は、接続して、置換または非置換の複素環式環
、例えば、置換もしくは非置換ピペリジニル環、置換もしくは非置換ピペラジニル環また
は置換もしくは非置換モルホリニル環を形成する。
ORC1であり、ここで、RC1は、例えば、水素、または置換もしくは非置換の、メチ
ル(C1)、エチル(C2)、n-プロピル(C3)、イソプロピル(C3)、n-ブチ
ル(C4)、tert-ブチル(C4)、sec-ブチル(C4)、iso-ブチル(C
4)、n-ペンチル(C5)、3-ペンタニル(C5)、アミル(C5)、ネオペンチル
(C5)、3-メチル-2-ブタニル(C5)、第3級アミル(C5)もしくはn-ヘキ
シル(C6)、または置換もしくは非置換フェニルである。ある特定の実施形態において
、R3bは、-S(=O)2RC1である。ある特定の実施形態において、R3bは、-
S(=O)2ORC1、例えば、-SO3Hである。
C1、-P(=O)(ORC1)2、-P(=O)(RC1)2または-P(=O)(R
C1)(ORC1)であり、ここで、各RC1は、例えば、独立して、水素、置換または
非置換の、メチル(C1)、エチル(C2)、n-プロピル(C3)、イソプロピル(C
3)、n-ブチル(C4)、tert-ブチル(C4)、sec-ブチル(C4)、is
o-ブチル(C4)、n-ペンチル(C5)、3-ペンタニル(C5)、アミル(C5)
、ネオペンチル(C5)、3-メチル-2-ブタニル(C5)、第3級アミル(C5)も
しくはn-ヘキシル(C6)または置換もしくは非置換フェニルである。ある特定の実施
形態において、R3bは、-P(=O)2RC1である。ある特定の実施形態において、
R1は、-P(=O)2ORC1である。ある特定の実施形態において、R3bは、-P
(=O)(ORC1)2である。ある特定の実施形態において、R1は、-P(=O)(
RC1)2である。ある特定の実施形態において、R3bは、-P(=O)(RC1)(
ORC1)である。
、存在しない)か、あるいは置換もしくは非置換C1-C6アルキレン、置換もしくは非
置換C2-C6アルケニレン、置換もしくは非置換C2-C6アルキニレン、置換もしく
は非置換ヘテロC1-C6アルキレン、置換もしくは非置換ヘテロC2-C6アルケニレ
ンまたは置換もしくは非置換ヘテロC2-C6アルキニレンである。
レンである。ある特定の実施形態において、L1またはL2は、置換または非置換C1-
C4アルキレンである。ある特定の実施形態において、L1またはL2は、置換または非
置換C1-C3アルキレンである。ある特定の実施形態において、L1またはL2は、置
換または非置換C1-C2アルキレンである。ある特定の実施形態において、L1または
L2は、置換または非置換C1アルキレンである。ある特定の実施形態において、L1ま
たはL2は、置換または非置換C2アルキレンである。ある特定の実施形態において、L
1またはL2は、置換または非置換C3アルキレンである。ある特定の実施形態において
、L1またはL2は、置換または非置換C4アルキレンである。ある特定の実施形態にお
いて、L1またはL2は、置換または非置換C5アルキレンである。ある特定の実施形態
において、L1またはL2は、置換または非置換C6アルキレンである。ある特定の実施
形態において、L1またはL2は、置換または非置換アルキルおよびハロからなる群より
選択される1つまたはそれを超える置換基で置換された、上に記載されたようなアルキレ
ン基である。ある特定の実施形態において、L1またはL2は、-CH2-、-CHMe
-、-CMe2-、-CH2-CH2-、-CF2-CH2-、-CH2-CMe2-、
-CH2-CH2-CH2-または-CH2-CH2-CMe2-である。
ニレンである。ある特定の実施形態において、L1またはL2は、置換または非置換C2
-C5アルケニレンである。ある特定の実施形態において、L1またはL2は、置換また
は非置換C2-C4アルケニレンである。ある特定の実施形態において、L1またはL2
は、置換または非置換C2-C3アルケニレンである。ある特定の実施形態において、L
1またはL2は、置換または非置換C2アルケニレンである。ある特定の実施形態におい
て、L1またはL2は、置換または非置換C3アルケニレンである。ある特定の実施形態
において、L1またはL2は、置換または非置換C4アルケニレンである。ある特定の実
施形態において、L1またはL2は、置換または非置換C5アルケニレンである。ある特
定の実施形態において、L1またはL2は、置換または非置換C6アルケニレンである。
ある特定の実施形態において、L1またはL2は、置換または非置換アルキルおよびハロ
からなる群より選択される1つまたはそれを超える置換基で置換された、上に記載された
ようなアルケニレン基である。
ニレンである。ある特定の実施形態において、L1またはL2は、置換または非置換C2
-C5アルキニレンである。ある特定の実施形態において、L1またはL2は、置換また
は非置換C2-C4アルキニレンである。ある特定の実施形態において、L1またはL2
は、置換または非置換C2-C3アルキニレンである。ある特定の実施形態において、L
1またはL2は、置換または非置換C2アルキニレンである。ある特定の実施形態におい
て、L1またはL2は、置換または非置換C3アルキニレンである。ある特定の実施形態
において、L1またはL2は、置換または非置換C4アルキニレンである。ある特定の実
施形態において、L1は、置換または非置換C5アルキニレンである。ある特定の実施形
態において、L1またはL2は、置換または非置換C6アルキニレンである。ある特定の
実施形態において、L1またはL2は、置換または非置換アルキルおよびハロからなる群
より選択される1つまたはそれを超える置換基で置換された、上に記載されたようなアル
キニレン基である。
1-6アルキレン、例えば、置換もしくは非置換ヘテロC1-2アルキレン、置換もしく
は非置換ヘテロC2-3アルキレン、置換もしくは非置換ヘテロC3-4アルキレン、置
換もしくは非置換ヘテロC4-5アルキレンまたは置換もしくは非置換ヘテロC5-6ア
ルキレンである。ある特定の実施形態において、L1またはL2は、置換または非置換ヘ
テロC2-6アルケニレン(alkyenlene)、例えば、置換もしくは非置換ヘテ
ロC2-3アルケニレン、置換もしくは非置換ヘテロC3-4アルケニレン、置換もしく
は非置換ヘテロC4-5アルケニレンまたは置換もしくは非置換ヘテロC5-6アルケニ
レンである。ある特定の実施形態において、L1またはL2は、置換または非置換ヘテロ
C2-6アルキニレン、例えば、置換もしくは非置換ヘテロC2-3アルキニレン、置換
もしくは非置換ヘテロC3-4アルキニレン、置換もしくは非置換ヘテロC4-5アルキ
ニレンまたは置換もしくは非置換ヘテロC5-6アルキニレンである。上記の実例のいず
れかにおいて、ある特定の実施形態において、L1またはL2は、非置換の、あるいはハ
ロ(例えば、フルオロ)または置換もしくは非置換C1-6アルキルで置換された、ヘテ
ロアルキレン、ヘテロアルケニレンまたはヘテロアルキニレンである。
置換アルケニルまたは置換もしくは非置換アルキニルである。ある特定の実施形態におい
て、R1は、置換または非置換アルキル、例えば、Me、Etまたはi-Prである。あ
る特定の実施形態において、R1は、置換もしくは非置換アルケニル、例えば、置換もし
くは非置換エテニルまたは置換もしくは非置換プロペニルである。ある特定の実施形態に
おいて、R1は、置換または非置換アルキニルである。
もしくは非置換ヘテロシクリルから選択される。
である。
ロリル、イミダゾリル、ピラゾリル、オキサゾイル、チアゾリル、イソオキサゾイル、1
,2,3-トリアゾリル、1,2,4-トリアゾリル、オキサジアゾリル、チアジアゾリ
ル、テトラゾリル、ピリジニル、ピリミジニル、ピラジニル、キノリニル、イソキノリニ
ル、キナゾニル、キノキシリニル、ナフチリジニル、インドリル、インダゾリル、ベンゾ
イミダゾリル(benzimidazloyl)、ピロロピリジニル、ピロロピリミジニ
ル、ピリドピリミジニルまたはプリニルから選択される置換または非置換ヘテロアリール
である。ある特定の実施形態において、そのヘテロアリール基は、置換または非置換アル
キル、ハロアルキル、アルケニル、置換または非置換アルキニル、オキソ、ヒドロキシ(
hydoxy)、ハロ、アルコキシ、-S-アルキル、置換または非置換アリール、置換
または非置換ヘテロアリール、置換または非置換-SO-アルキル、置換または非置換-
SO2-アルキル、置換または非置換-SO-アリール、置換または非置換-SO2-ア
リール、置換または非置換-SO-ヘテロアリール、置換または非置換-SO2-ヘテロ
アリール、アミノ、シアノおよびアシルから選択される1つまたはそれを超える基で置換
される。ある特定の実施形態において、R1は、イミダゾリル、ピラゾリル、1,2,3
-トリアゾリル、1,2,4-トリアゾリル、オキサジアゾリル、チアジアゾリルまたは
テトラゾリルであり;各々、非置換であるか、またはオキソ、Me、F、Cl、-CNお
よび-CF3から独立して選択される1つもしくは2つの基で置換される。ある特定の実
施形態において、R1は、キノリニル、イソキノリニルまたはプリニルであり;各々、非
置換であるか、またはオキソ、Me、F、Cl、-CNおよび-CF3から独立して選択
される1つもしくは2つの基で置換される。
て、R1は、-O-キノリニル、-O-イソキノリニル、-O-プリニルであり、各々、
非置換であるか、またはMe、F、Cl、-CNおよび-CF3から独立して選択される
1つもしくは2つの基で置換される。ある特定の実施形態において、R1は、-OHまた
は-O-CO-CH2-CH2-CO2Hである。
て、R1は、S-キノリニル、-S-イソキノリニルまたは-S-プリニルであり、各々
、非置換であるか、またはMe、F、Cl、-CNおよび-CF3から独立して選択され
る1つもしくは2つの基で置換される。ある特定の実施形態において、R1は、-SHで
ある。
施形態において、R1は、-OS(=O)2ORA1;例えば、-O-SO3Hである。
ある特定の実施形態において、R1は、-S-S(=O)2RA2である。ある特定の実
施形態において、R1は、-S-S(=O)2ORA1;例えば、-S-SO3Hである
。
ルキルである。ある特定の実施形態において、R20は、水素である。ある特定の実施形
態において、R20は、置換または非置換アルキル(例えば、-CH3)である。
ハロゲンまたは置換もしくは非置換アルキルであるか、あるいはR23aおよびR23b
は、共に接続して、置換または非置換C3-C6シクロアルキルを形成する。ある特定の
実施形態において、R23aおよびR23bの各実例は、水素である。ある特定の実施形
態において、R23aおよびR23bの一方は、ハロゲン、例えば、フルオロであり、R
23aおよびR23bの他方は、水素、ハロゲンまたは置換もしくは非置換アルキルであ
る。ある特定の実施形態において、R23aおよびR23bの各実例は、ハロゲン、例え
ば、フルオロである。ある特定の実施形態において、R23aおよびR23bの各実例は
、独立して、置換または非置換アルキルである。ある特定の実施形態において、R23a
およびR23bの各々は、Meである。ある特定の実施形態において、R23aおよびR
23bの一方は、Hである。ある特定の実施形態において、R23aおよびR23bの一
方は、Hであり;他方は、置換または非置換アルキルである。ある特定の実施形態におい
て、R23aおよびR23bの一方は、Hであり;他方は、MeまたはEtである。ある
特定の実施形態において、R23aおよびR23bは、共に接続して、置換または非置換
C3-C6シクロアルキルを形成する。ある特定の実施形態において、R23aおよびR
23bは、共に接続して、置換または非置換シクロプロピルを形成する。
であり、ここで、RXの各実例は、独立して、水素、置換もしくは非置換アルキル、置換
もしくは非置換アルケニル、置換もしくは非置換アルキニル、置換もしくは非置換カルボ
シクリル、置換もしくは非置換ヘテロシクリル、置換もしくは非置換アリール、置換もし
くは非置換ヘテロアルキルまたはアミノ保護基である。
X2は、-S-である。ある特定の実施形態において、X2は、-N(RX)-である。
ある特定の実施形態において、RXは、アルキルである。ある特定の実施形態において、
RXは、Me、Etまたはi-Prである。ある特定の実施形態において、RXは、水素
である。
定の実施形態において、X1は、-O-であり、X2は、-S-である。ある特定の実施
形態において、X1は、-O-であり、X2は、-N(RX)-である。ある特定の実施
形態において、X1は、-S-であり、X2は、-O-である。ある特定の実施形態にお
いて、X1は、-S-であり、X2は、-S-である。ある特定の実施形態において、X
1は、-S-であり、X2は、-N(RX)-である。ある特定の実施形態において、X
1は、-N(RX)-であり、X2は、-O-である。ある特定の実施形態において、X
1は、-N(RX)-であり、X2は、-S-である。ある特定の実施形態において、X
1は、-N(RX)-であり、X2は、-N(RX)-である。
の実施形態において、R24は、非置換の、またはハロおよび(or and)ヒドロキ
シルからなる群より選択される1つもしくはそれを超える置換基で置換された、アルキル
である。ある特定の実施形態において、R24は、置換または非置換アルケニルである。
ある特定の実施形態において、R24は、置換または非置換アルキニルである。ある特定
の実施形態において、R24は、置換または非置換カルボシクリルである。ある特定の実
施形態において、R24は、置換または非置換ヘテロシクリルである。ある特定の実施形
態において、R24は、置換もしくは非置換アリールである。ある特定の実施形態におい
て、R24は、置換または非置換ヘテロアリールである。
は、-C(=O)(CH2)pCO2Hであり、ここで、pは、2以上5以下の整数であ
る。ある特定の実施形態において、pは、2である。ある特定の実施形態において、pは
、3である。ある特定の実施形態において、pは、4である。ある特定の実施形態におい
て、pは、5である。ある特定の実施形態において、R24は、-C(=O)ORE1で
ある。ある特定の実施形態において、R24は、-C(=O)SRE1である。ある特定
の実施形態において、R24は、-C(=O)N(RE1)2である。ある特定の実施形
態において、R24は、-S(=O)2RE2である。ある特定の実施形態において、R
24は、-S(=O)2ORE1;例えば、-SO3Hである。ある特定の実施形態にお
いて、R24は、-P(=O)2RE2である。ある特定の実施形態において、R24は
、-P(=O)2ORE1である。ある特定の実施形態において、R24は、-P(=O
)(ORE1)2である。ある特定の実施形態において、R24は、-P(=O)(RE
2)2である。ある特定の実施形態において、R24は、-P(=O)(RE2)(OR
E1)である。
の実施形態において、nは、0である。ある特定の実施形態において、nは、1である。
ある特定の実施形態において、nは、2である。ある特定の実施形態において、nは、3
である。
Zが式(iii)、(iv)または(v)の基である様々な実施形態
、置換もしくは非置換C1-2アルキレン、置換もしくは非置換C2-3アルキレン、置
換もしくは非置換C3-4アルキレン、置換もしくは非置換C4-5アルキレンまたは置
換もしくは非置換C5-6アルキレンである。ある特定の実施形態において、L3は、置
換または非置換C2-6アルケニレン、例えば、置換もしくは非置換C2-3アルケニレ
ン、置換もしくは非置換C3-4アルケニレン、置換もしくは非置換C4-5アルケニレ
ンまたは置換もしくは非置換C5-6アルケニレンである。ある特定の実施形態において
、L3は、置換または非置換C2-6アルキニレン、例えば、置換もしくは非置換C2-
3アルキニレン、置換もしくは非置換C3-4アルキニレン、置換もしくは非置換C4-
5アルキニレンまたは置換もしくは非置換C5-6アルキニレンである。上記の実例のい
ずれかにおいて、ある特定の実施形態において、L3は、非置換の、あるいはハロ(例え
ば、フルオロ)、置換もしくは非置換C1-6アルキルおよび/または-ORZ5で置換
された、アルキレン、アルケニレンまたはアルキニレンである。
キレン、例えば、置換もしくは非置換ヘテロC1-2アルキレン、置換もしくは非置換ヘ
テロC2-3アルキレン、置換もしくは非置換ヘテロC3-4アルキレン、置換もしくは
非置換ヘテロC4-5アルキレンまたは置換もしくは非置換ヘテロC5-6アルキレンで
ある。ある特定の実施形態において、L3は、置換または非置換ヘテロC2-6アルケニ
レン、例えば、置換もしくは非置換ヘテロC2-3アルケニレン、置換もしくは非置換ヘ
テロC3-4アルケニレン、置換もしくは非置換ヘテロC4-5アルケニレンまたは置換
もしくは非置換ヘテロC5-6アルケニレンである。ある特定の実施形態において、L3
は、置換または非置換ヘテロC2-6アルキニレン、例えば、置換もしくは非置換ヘテロ
C2-3アルキニレン、置換もしくは非置換ヘテロC3-4アルキニレン、置換もしくは
非置換ヘテロC4-5アルキニレンまたは置換もしくは非置換ヘテロC5-6アルキニレ
ンである。上記の実例のいずれかにおいて、ある特定の実施形態において、L3は、非置
換の、あるいはハロ(例えば、フルオロ)、置換もしくは非置換C1-6アルキルおよび
/または-ORZ5で置換された、ヘテロアルキレン、ヘテロアルケニレンまたはヘテロ
アルキニレンである。
1つのRZ5は、水素である。
なくとも1つの実例は、置換または非置換アルキル、例えば、置換もしくは非置換C1-
6アルキル、置換もしくは非置換C1-2アルキル、置換もしくは非置換C2-3アルキ
ル、置換もしくは非置換C3-4アルキル、置換もしくは非置換C4-5アルキルまたは
置換もしくは非置換C5-6アルキルである。例示的なRZ5C1-6アルキル基として
は、置換または非置換の、メチル(C1)、エチル(C2)、n-プロピル(C3)、イ
ソプロピル(C3)、n-ブチル(C4)、tert-ブチル(C4)、sec-ブチル
(C4)、iso-ブチル(C4)、n-ペンチル(C5)、3-ペンタニル(C5)、
アミル(C5)、ネオペンチル(C5)、3-メチル-2-ブタニル(C5)、第3級ア
ミル(C5)、n-ヘキシル(C6)、1、2、3、4、5、6、7、8、9、10個ま
たはそれを超えるフルオロ基で置換されたC1-6アルキル(例えば、-CF3、-CH
2F、-CHF2、ジフルオロエチルおよび2,2,2-トリフルオロ-1,1-ジメチ
ル-エチル)、1、2、3、4、5、6、7、8、9、10個またはそれを超えるクロロ
基で置換されたC1-6アルキル(例えば、-CH2Cl、-CHCl2)およびアルコ
キシ基で置換されたC1-6アルキル(例えば、-CH2OCH3および-CH2OCH
2CH3)が挙げられるがこれらに限定されない。
なくとも1つの実例は、置換または非置換アルケニル、例えば、置換もしくは非置換C2
-6アルケニル、置換もしくは非置換C2-3アルケニル、置換もしくは非置換C3-4
アルケニル、置換もしくは非置換C4-5アルケニルまたは置換もしくは非置換C5-6
アルケニルである。
なくとも1つの実例は、置換または非置換アルキニル、例えば、置換もしくは非置換C2
-6アルキニル、置換もしくは非置換C2-3アルキニル、置換もしくは非置換C3-4
アルキニル、置換もしくは非置換C4-5アルキニルまたは置換もしくは非置換C5-6
アルキニルである。
なくとも1つの実例は、置換または非置換カルボシクリル、例えば、置換もしくは非置換
C3-6カルボシクリル、置換もしくは非置換C3-4カルボシクリル、置換もしくは非
置換C4-5カルボシクリルまたは置換もしくは非置換C5-6カルボシクリルである。
なくとも1つの実例は、置換または非置換ヘテロシクリル、例えば、置換もしくは非置換
3~6員ヘテロシクリル、置換もしくは非置換3~4員ヘテロシクリル、置換もしくは非
置換4~5員ヘテロシクリルまたは置換もしくは非置換5~6員ヘテロシクリルである。
なくとも1つの実例は、置換または非置換アリール、例えば、置換または非置換フェニル
である。
なくとも1つの実例は、置換または非置換ヘテロアリール、例えば、必要に応じて置換さ
れる5~6員ヘテロアリールである。
保護基、例えば、酸素原子に付着されているときは酸素保護基、硫黄原子に付着されてい
るときは硫黄保護基、窒素原子に付着されているときは窒素保護基である。
Z5基は、接続して、置換または非置換の複素環式環、例えば、置換もしくは非置換ピペ
リジニル環、置換もしくは非置換ピペラジニル環または置換もしくは非置換モルホリニル
環を形成する。
Z6の各実例は、独立して、水素、置換もしくは非置換アルキルであるか、または2つの
RZ6基は、接続して、C3-6炭素環を形成する。
ルキル、例えば、置換もしくは非置換C1-6アルキル、置換もしくは非置換C1-2ア
ルキル、置換もしくは非置換C2-3アルキル、置換もしくは非置換C3-4アルキル、
置換もしくは非置換C4-5アルキルまたは置換もしくは非置換C5-6アルキルである
。例示的なRZ4C1-6アルキル基としては、置換または非置換の、メチル(C1)、
エチル(C2)、n-プロピル(C3)、イソプロピル(C3)、n-ブチル(C4)、
tert-ブチル(C4)、sec-ブチル(C4)、iso-ブチル(C4)、n-ペ
ンチル(C5)、3-ペンタニル(C5)、アミル(C5)、ネオペンチル(C5)、3
-メチル-2-ブタニル(C5)、第3級アミル(C5)、n-ヘキシル(C6)、1、
2、3、4、5、6、7、8、9、10個またはそれを超えるフルオロ基で置換されたC
1-6アルキル(例えば、-CF3、-CH2F、-CHF2、ジフルオロエチルおよび
2,2,2-トリフルオロ-1,1-ジメチル-エチル)、1、2、3、4、5、6、7
、8、9、10個またはそれを超えるクロロ基で置換されたC1-6アルキル(例えば、
-CH2Cl、-CHCl2)およびアルコキシ基で置換されたC1-6アルキル(例え
ば、-CH2OCH3および-CH2OCH2CH3)が挙げられるがこれらに限定され
ない。
、置換もしくは非置換シクロプロピル環、置換もしくは非置換シクロブチル環、置換もし
くは非置換シクロペンチル環または置換もしくは非置換シクロヘキシル環を形成する。
しくは非置換C1-6アルキル、置換もしくは非置換C1-2アルキル、置換もしくは非
置換C2-3アルキル、置換もしくは非置換C3-4アルキル、置換もしくは非置換C4
-5アルキルまたは置換もしくは非置換C5-6アルキルである。例示的なRZ4C1-
6アルキル基としては、置換または非置換の、メチル(C1)、エチル(C2)、n-プ
ロピル(C3)、イソプロピル(C3)、n-ブチル(C4)、tert-ブチル(C4
)、sec-ブチル(C4)、iso-ブチル(C4)、n-ペンチル(C5)、3-ペ
ンタニル(C5)、アミル(C5)、ネオペンチル(C5)、3-メチル-2-ブタニル
(C5)、第3級アミル(C5)、n-ヘキシル(C6)、1、2、3、4、5、6、7
、8、9、10個またはそれを超えるフルオロ基で置換されたC1-6アルキル(例えば
、-CF3、-CH2F、-CHF2、ジフルオロエチルおよび2,2,2-トリフルオ
ロ-1,1-ジメチル-エチル)、1、2、3、4、5、6、7、8、9、10個または
それを超えるクロロ基で置換されたC1-6アルキル(例えば、-CH2Cl、-CHC
l2)およびアルコキシ基で置換されたC1-6アルキル(例えば、-CH2OCH3お
よび-CH2OCH2CH3)が挙げられるがこれらに限定されない。
もしくは非置換C2-6アルケニル、置換もしくは非置換C2-3アルケニル、置換もし
くは非置換C3-4アルケニル、置換もしくは非置換C4-5アルケニルまたは置換もし
くは非置換C5-6アルケニルである。
もしくは非置換C2-6アルキニル、置換もしくは非置換C2-3アルキニル、置換もし
くは非置換C3-4アルキニル、置換もしくは非置換C4-5アルキニルまたは置換もし
くは非置換C5-6アルキニルである。
置換もしくは非置換C3-6カルボシクリル、置換もしくは非置換C3-4カルボシクリ
ル、置換もしくは非置換C4-5カルボシクリルまたは置換もしくは非置換C5-6カル
ボシクリルである。
置換もしくは非置換3~6員ヘテロシクリル、置換もしくは非置換3~4員ヘテロシクリ
ル、置換もしくは非置換4~5員ヘテロシクリルまたは置換もしくは非置換5~6員ヘテ
ロシクリルである。
たは非置換フェニルである。
必要に応じて置換される5~6員ヘテロアリールである。
細書中で定義されるとおりであり、例えば、RZ5は、水素、メチル(C1)、エチル(
C2)、n-プロピル(C3)、イソプロピル(C3)、n-ブチル(C4)、tert
-ブチル(C4)、sec-ブチル(C4)、iso-ブチル(C4)、n-ペンチル(
C5)、3-ペンタニル(C5)、アミル(C5)、ネオペンチル(C5)、3-メチル
-2-ブタニル(C5)、第3級アミル(C5)またはn-ヘキシル(C6)である。
細書中で定義されるとおりであり、例えば、RZ5は、水素、メチル(C1)、エチル(
C2)、n-プロピル(C3)、イソプロピル(C3)、n-ブチル(C4)、tert
-ブチル(C4)、sec-ブチル(C4)、iso-ブチル(C4)、n-ペンチル(
C5)、3-ペンタニル(C5)、アミル(C5)、ネオペンチル(C5)、3-メチル
-2-ブタニル(C5)、第3級アミル(C5)またはn-ヘキシル(C6)である。
、-NH2または-NHRZ5であり、ここで、RZ5は、本明細書中で定義されるとお
りであり、例えば、RZ5は、水素、メチル(C1)、エチル(C2)、n-プロピル(
C3)、イソプロピル(C3)、n-ブチル(C4)、tert-ブチル(C4)、se
c-ブチル(C4)、iso-ブチル(C4)、n-ペンチル(C5)、3-ペンタニル
(C5)、アミル(C5)、ネオペンチル(C5)、3-メチル-2-ブタニル(C5)
、第3級アミル(C5)もしくはn-ヘキシル(C6)であるか、またはRZ4は、-N
(RZ5)2であり、ここで、その2つのRZ5基は、接続して、置換または非置換の複
素環式環、例えば、置換もしくは非置換ピペリジニル環、置換もしくは非置換ピペラジニ
ル環または置換もしくは非置換モルホリニル環を形成する。
において、L3は、以下の式のアルキレン基であり:
式中、pは、1、2または3であり;RZ7およびRZ8の各実例は、独立して、水素、
ハロ、置換もしくは非置換C1-6アルキルまたは-ORZ5である。ある特定の実施形
態において、pは、1である。ある特定の実施形態において、pは、2である。ある特定
の実施形態において、pは、3である。
施形態において、L3は、以下の式のアルケニレン基であり:
式中、qは、0、1または2であり;RZ7およびRZ8の各実例は、独立して、水素、
ハロ、置換もしくは非置換C1-6アルキルまたは-ORZ5である。ある特定の実施形
態において、qは、0である。ある特定の実施形態において、qは、1である。ある特定
の実施形態において、qは、2である。
実施形態において、L3は、以下の式のヘテロアルキレン基であり:
式中、wは、0もしくは1であり、pは、1、2もしくは3であるか、またはwは、1で
あり、pは、0、1、2もしくは3であり;RZ7およびRZ8の各実例は、独立して、
水素、ハロ、置換もしくは非置換C1-6アルキルまたは-ORZ5である。
1である。ある特定の実施形態において、pは、2である。ある特定の実施形態において
、pは、3である。ある特定の実施形態において、wは、0である。ある特定の実施形態
において、wは、1である。ある特定の実施形態において、wは、0であり、pは、1で
ある。ある特定の実施形態において、wは、0であり、pは、2である。ある特定の実施
形態において、wは、0であり、pは、3である。ある特定の実施形態において、wは、
1であり、pは、1である。ある特定の実施形態において、wは、1であり、pは、2で
ある。ある特定の実施形態において、wは、1であり、pは、3である。
実例のいずれかにおいて、ある特定の実施形態において、RZ7の少なくとも1つの実例
は、ハロ、例えば、フルオロである。上記の実例のいずれかにおいて、ある特定の実施形
態において、RZ7の少なくとも1つの実例は、置換または非置換C1-6アルキル、例
えば、置換もしくは非置換C1-2アルキル、置換もしくは非置換C2-3アルキル、置
換もしくは非置換C3-4アルキル、置換もしくは非置換C4-5アルキルまたは置換も
しくは非置換C5-6アルキルである。例示的なRZ7C1-6アルキル基としては、置
換または非置換の、メチル(C1)、エチル(C2)、n-プロピル(C3)、イソプロ
ピル(C3)、n-ブチル(C4)、tert-ブチル(C4)、sec-ブチル(C4
)、iso-ブチル(C4)、n-ペンチル(C5)、3-ペンタニル(C5)、アミル
(C5)、ネオペンチル(C5)、3-メチル-2-ブタニル(C5)、第3級アミル(
C5)、n-ヘキシル(C6)、1、2、3、4、5、6、7、8、9、10個またはそ
れを超えるフルオロ基で置換されたC1-6アルキル(例えば、-CF3、-CH2F、
-CHF2、ジフルオロエチルおよび2,2,2-トリフルオロ-1,1-ジメチル-エ
チル)、1、2、3、4、5、6、7、8、9、10個またはそれを超えるクロロ基で置
換されたC1-6アルキル(例えば、-CH2Cl、-CHCl2)およびアルコキシ基
で置換されたC1-6アルキル(例えば、-CH2OCH3および-CH2OCH2CH
3)が挙げられるがこれらに限定されない。上記の実例のいずれかにおいて、ある特定の
実施形態において、RZ7の少なくとも1つの実例は、-CH3、-CF3、-CH2C
H3(Et)または-CH(CH3)2(iPr)である。上記の実例のいずれかにおい
て、ある特定の実施形態において、RZ7の少なくとも1つの実例は、-ORZ5、例え
ば、-OHである。
実例のいずれかにおいて、ある特定の実施形態において、RZ8の少なくとも1つの実例
は、ハロ、例えば、フルオロである。上記の実例のいずれかにおいて、ある特定の実施形
態において、RZ8の少なくとも1つの実例は、置換または非置換C1-6アルキル、例
えば、置換もしくは非置換C1-2アルキル、置換もしくは非置換C2-3アルキル、置
換もしくは非置換C3-4アルキル、置換もしくは非置換C4-5アルキルまたは置換も
しくは非置換C5-6アルキルである。例示的なRZ8C1-6アルキル基としては、置
換または非置換の、メチル(C1)、エチル(C2)、n-プロピル(C3)、イソプロ
ピル(C3)、n-ブチル(C4)、tert-ブチル(C4)、sec-ブチル(C4
)、iso-ブチル(C4)、n-ペンチル(C5)、3-ペンタニル(C5)、アミル
(C5)、ネオペンチル(C5)、3-メチル-2-ブタニル(C5)、第3級アミル(
C5)、n-ヘキシル(C6)、1、2、3、4、5、6、7、8、9、10個またはそ
れを超えるフルオロ基で置換されたC1-6アルキル(例えば、-CF3、-CH2F、
-CHF2、ジフルオロエチルおよび2,2,2-トリフルオロ-1,1-ジメチル-エ
チル)、1、2、3、4、5、6、7、8、9、10個またはそれを超えるクロロ基で置
換されたC1-6アルキル(例えば、-CH2Cl、-CHCl2)およびアルコキシ基
で置換されたC1-6アルキル(例えば、-CH2OCH3および-CH2OCH2CH
3)が挙げられるがこれらに限定されない。上記の実例のいずれかにおいて、ある特定の
実施形態において、RZ8の少なくとも1つの実例は、-CH3、-CF3、-CH2C
H3(Et)または-CH(CH3)2(iPr)である。上記の実例のいずれかにおい
て、ある特定の実施形態において、RZ8の少なくとも1つの実例は、-ORZ5、例え
ば、-OHである。
上で一般に定義されたように、R2、R11aおよびR11bの各実例は、独立して、H、-OH、ハロ、置換もしくは非置換アルキル、置換もしくは非置換アルケニルまたは置換もしくは非置換アルキニル、置換もしくは非置換カルボシクリル、置換もしくは非置換ヘテロシクリル、置換もしくは非置換アリール、置換もしくは非置換ヘテロアリール、-N3、-NO2、-SCN、-CN、-ORB1、-SRB1、-N(RB1)2、-N=NRB1、-N=C(RB1)2、-N(ORB1)(RB1)、-C(=O)RB1、-C(=O)ORB1、-C(=O)SRB1、-C(=O)N(Rb1)2、-C(=O)N(ORB1)(RB1)、-OC(=O)RB1、-OC(=O)ORB1、-OC(=O)SRB1、-OC(=O)N(RB1)2、-NRB1C(=O)RB1、-NRB1C(=O)ORB1、-NRB1C(=O)SRB1、-NRB1C(=O)N(RB1)2、-SC(=O)RB2、-SC(=O)ORB1、-SC(=O)SRB1、-SC(=O)N(RB1)2、-OS(=O)2RB2、-OS(=O)2ORB1、-S-S(=O)2RB2、-S-S(=O)2ORB1、-S(=O)RB2、-SO2RB2、-NRB1SO2RB2、または-SO2N(RB1)2であり、かつ/あるいはR11aおよびR11bは、一体となって、オキソ(=O)基を形成する。
は、置換または非置換アルキルである。ある特定の実施形態において、R2は、置換また
は非置換アルケニルである。ある特定の実施形態において、R2は、置換または非置換ア
ルキニルである。ある特定の実施形態において、R2は、-ORB1である。ある特定の
実施形態において、R2は、-SRB1である。ある特定の実施形態において、R2は、
-N(RB1)2である。ある特定の実施形態において、R2は、H、ハロ、置換もしく
は非置換アルキル、置換もしくは非置換アルケニル、置換もしくは非置換アルキニル、-
ORB1、-SRB1または-N(RB1)2である。ある特定の実施形態において、R
2は、F、Cl、Me、Et、n-Pr、メトキシ、エトキシ、プロポキシ、ブトキシ、
エチニル、ヒドロキシブチニル、メトキシプロピニル、クロロエチニルまたはシクロプロ
ピニルである。ある特定の実施形態において、R2は、CF3、アミノまたはジメチルア
ミノである。ある特定の実施形態において、R2は、アルファ位の非水素基である。ある
特定の実施形態において、R2は、ベータ位の非水素基である。
定の実施形態において、R11aおよびR11bの一方は、水素である。ある特定の実施
形態において、R11aおよびR11bの一方は、水素であり;他方は、-ORB1、-
SRB1または-N(RB1)2である。ある特定の実施形態において、R11aおよび
R11bの一方は、Hであり;他方は、-OH、-OMe、アミノまたはジアルキルアミ
ノである。ある特定の実施形態において、R11bは、非水素基であり、R11aは、水
素である。ある特定の実施形態において、R11aは、非水素基であり、R11bは、水
素である。
形成する。
R4a、R4b、R6、R7a、R7b、R14、R17、R18およびR19の様々
な実施形態
の実施形態において、R4aおよびR4bの一方は、水素である。ある特定の実施形態に
おいて、R4aおよびR4bの一方は、水素であり;他方は、置換もしくは非置換アルキ
ル、置換もしくは非置換アルケニルまたは置換もしくは非置換アルキニルである。ある特
定の実施形態において、R4aおよびR4bの一方は、水素であり;他方は、Me、Et
、エテニル、エチニル、プロペニルまたはプロピニルである。ある特定の実施形態におい
て、R4aおよびR4bの各々は、独立して、置換または非置換アルキルである。ある特
定の実施形態において、R4aおよびR4bの各々は、Meである。
置換もしくは非置換アルキル、置換もしくは非置換アルケニルまたは置換もしくは非置換
アルキニルであり、
は、単結合または二重結合を表すが、但し、二重結合が環Bに存在する場合、R6aまた
はR6bの一方は、存在せず、単結合が環Bに存在する場合、C5における水素は、アル
ファ位またはベータ位である。
が単結合を表すある特定の実施形態において、R6aおよびR6bの各実例は、水素であ
る。ある特定の実施形態において、R6aおよびR6bの各実例は、ハロ、例えば、フル
オロである。
が単結合を表すある特定の実施形態において、R6aは、水素であり、R6bは、ハロ、
置換もしくは非置換アルキル、置換もしくは非置換アルケニルまたは置換もしくは非置換
アルキニルである。ある特定の実施形態において、R6aは、水素であり、R6bは、ハ
ロ(例えば、フルオロ)である。ある特定の実施形態において、R6aは、水素であり、
R6bは、置換または非置換アルキル、例えば、置換もしくは非置換C1-6アルキル、
置換もしくは非置換C1-2アルキル、置換もしくは非置換C2-3アルキル、置換もし
くは非置換C3-4アルキル、置換もしくは非置換C4-5アルキルまたは置換もしくは
非置換C5-6アルキル、例えば、メチル、エチル、プロピルまたはイソプロピルである
。ある特定の実施形態において、R6aは、水素であり、R6bは、置換または非置換ア
ルケニルである。ある特定の実施形態において、R6aは、水素であり、R6bは、置換
または非置換アルキニルである。
が単結合を表すある特定の実施形態において、R6bは、水素であり、R6aは、ハロ、
置換もしくは非置換アルキル、置換もしくは非置換アルケニルまたは置換もしくは非置換
アルキニルである。ある特定の実施形態において、R6bは、水素であり、R6aは、ハ
ロ(例えば、フルオロ)である。ある特定の実施形態において、R6bは、水素であり、
R6aは、置換または非置換アルキル、例えば、置換もしくは非置換C1-6アルキル、
置換もしくは非置換C1-2アルキル、置換もしくは非置換C2-3アルキル、置換もし
くは非置換C3-4アルキル、置換もしくは非置換C4-5アルキルまたは置換もしくは
非置換C5-6アルキル、例えば、メチル、エチル、プロピルまたはイソプロピルである
。ある特定の実施形態において、R6bは、水素であり、R6aは、置換または非置換ア
ルケニルである。ある特定の実施形態において、R6bは、水素であり、R6aは、置換
または非置換アルキニルである。
が二重結合を表すある特定の実施形態において、R6aは、水素である。
が二重結合を表すある特定の実施形態において、R6aは、ハロ、例えば、フルオロであ
る。
が二重結合を表すある特定の実施形態において、R6aは、置換または非置換アルキル、
例えば、置換もしくは非置換C1-6アルキル、置換もしくは非置換C1-2アルキル、
置換もしくは非置換C2-3アルキル、置換もしくは非置換C3-4アルキル、置換もし
くは非置換C4-5アルキルまたは置換もしくは非置換C5-6アルキル、例えば、メチ
ル、エチル、プロピルまたはイソプロピルである。
が二重結合を表すある特定の実施形態において、R6aは、置換または非置換アルケニル
である。
が二重結合を表すある特定の実施形態において、R6aは、置換または非置換アルキニル
である。
置換もしくは非置換アルケニル、置換もしくは非置換アルキニル、置換もしくは非置換カ
ルボシクリル、置換もしくは非置換ヘテロシクリル、置換もしくは非置換アリール、置換
もしくは非置換ヘテロアリールまたは-ORD1である。ある特定の実施形態において、
R17は、水素である。ある特定の実施形態において、R17は、ハロである。ある特定
の実施形態において、R17は、置換または非置換アルキルである。ある特定の実施形態
において、R17は、置換または非置換アルケニルである。ある特定の実施形態において
、R17は、置換または非置換アルキニルである。ある特定の実施形態において、R17
は、置換または非置換カルボシクリルである。ある特定の実施形態において、R17は、
置換または非置換ヘテロシクリルである。ある特定の実施形態において、R17は、置換
または非置換アリールである。ある特定の実施形態において、R17は、置換または非置
換ヘテロアリールである。ある特定の実施形態において、R17は、-ORD1(例えば
、-OH)である。
。ある特定の実施形態において、R14は、Hである。ある特定の実施形態において、R
14は、置換または非置換アルキル(例えば、-CH3)である。
ルキルである。ある特定の実施形態において、R18は、水素である。ある特定の実施形
態において、R18は、置換または非置換アルキル(例えば、-CH3)である。
ルキルである。ある特定の実施形態において、R19は、水素である。ある特定の実施形
態において、R19は、置換または非置換アルキル(例えば、-CH3)である。
19は、-CH3である。
19は、水素である。
上記の実施形態の様々な組み合わせが、本明細書中でさらに企図される。例えば、ある
特定の実施形態において、式(I)の化合物は、式(I-w)の化合物:
またはその薬学的に許容され得る塩、溶媒和化合物、プロドラッグ、立体異性体、互変異
性体、同位体バリアントもしくはN-オキシドあるいはそれらの組み合わせである。ある
特定の実施形態において、R3bは、水素である。ある特定の実施形態において、C3位
における基-X1R3bは、ベータである。ある特定の実施形態において、R3aは、水
素または置換もしくは非置換アルキルである。ある特定の実施形態において、R2は、水
素または-ORB1である。ある特定の実施形態において、R11aは、水素であり、R
11bは、水素または-ORB1である。
が単結合を表すある特定の実施形態において、R5は、アルファ(下)であり、R6aは
、水素である。ある特定の実施形態において、
は、二重結合を表す。ある特定の実施形態において、R6aおよびR6bは、両方とも水
素である。ある特定の実施形態において、R6aは、ハロ、例えば、フルオロ、またはア
ルキルである。ある特定の実施形態において、R6bは、ハロ、例えば、フルオロ、また
はアルキルであり、R6aは、水素である。ある特定の実施形態において、R6aおよび
R6bは、両方ともハロ、例えば、フルオロである。ある特定の実施形態において、R1
9は、メチルである。
またはその薬学的に許容され得る塩、溶媒和化合物、プロドラッグ、立体異性体、互変異
性体、同位体バリアントもしくはN-オキシドあるいはそれらの組み合わせである。ある
特定の実施形態において、C3位における基-OHは、ベータである。ある特定の実施形
態において、R3aは、水素または置換もしくは非置換アルキルである。ある特定の実施
形態において、R2は、水素または-ORB1である。ある特定の実施形態において、R
11aは、水素であり、R11bは、水素または-ORB1である。
が単結合を表すある特定の実施形態において、R5は、アルファ(下)であり、R6aは
、水素である。ある特定の実施形態において、
は、二重結合を表す。ある特定の実施形態において、R6aおよびR6bは、両方とも水
素である。ある特定の実施形態において、R6aは、ハロ、例えば、フルオロ、またはア
ルキルである。ある特定の実施形態において、R6bは、ハロ、例えば、フルオロ、また
はアルキルであり、R6aは、水素である。ある特定の実施形態において、R6aおよび
R6bは、両方ともハロ、例えば、フルオロである。ある特定の実施形態において、R1
9は、メチルである。
またはその薬学的に許容され得る塩、溶媒和化合物、プロドラッグ、立体異性体、互変異
性体、同位体バリアントもしくはN-オキシドあるいはそれらの組み合わせである。ある
特定の実施形態において、C3位における基-OHは、ベータである。ある特定の実施形
態において、R3aは、水素または置換もしくは非置換アルキルである。ある特定の実施
形態において、R2は、水素または-ORB1である。ある特定の実施形態において、R
11aは、水素であり、R11bは、水素または-ORB1である。
が単結合を表すある特定の実施形態において、R5は、アルファ(下)であり、R6aは
、水素である。ある特定の実施形態において、
は、二重結合を表す。ある特定の実施形態において、R6aおよびR6bは、両方とも水
素である。ある特定の実施形態において、R6aは、ハロ、例えば、フルオロ、またはア
ルキルである。ある特定の実施形態において、R6bは、ハロ、例えば、フルオロ、また
はアルキルであり、R6aは、水素である。ある特定の実施形態において、R6aおよび
R6bは、両方ともハロ、例えば、フルオロである。
またはその薬学的に許容され得る塩、溶媒和化合物、プロドラッグ、立体異性体、互変異
性体、同位体バリアントもしくはN-オキシドあるいはそれらの組み合わせである。ある
特定の実施形態において、C3位における基-OHは、ベータである。ある特定の実施形
態において、R3aは、水素または置換もしくは非置換アルキルである。ある特定の実施
形態において、R2は、水素または-ORB1である。ある特定の実施形態において、R
11aは、水素であり、R11bは、水素または-ORB1である。
が単結合を表すある特定の実施形態において、R5は、アルファ(下)であり、R6aは
、水素である。ある特定の実施形態において、
は、二重結合を表す。ある特定の実施形態において、R6aおよびR6bは、両方とも水
素である。ある特定の実施形態において、R6aは、ハロ、例えば、フルオロ、またはア
ルキルである。ある特定の実施形態において、R6bは、ハロ、例えば、フルオロ、また
はアルキルであり、R6aは、水素である。ある特定の実施形態において、R6aおよび
R6bは、両方ともハロ、例えば、フルオロである。
たは(I-a3)の化合物:
またはその薬学的に許容され得る塩、溶媒和化合物、プロドラッグ、立体異性体、互変異
性体、同位体バリアントもしくはN-オキシドあるいはそれらの組み合わせである。ある
特定の実施形態において、R3bは、水素である。ある特定の実施形態において、C3位
における基-OR3bは、ベータである。ある特定の実施形態において、R3aは、水素
または置換もしくは非置換アルキルである。ある特定の実施形態において、R2は、水素
または-ORB1である。ある特定の実施形態において、R11aは、水素であり、R1
1bは、水素または-ORB1である。ある特定の実施形態において、R6aおよびR6
bは、両方とも水素である。ある特定の実施形態において、R6aは、ハロ、例えば、フ
ルオロ、またはアルキルである。ある特定の実施形態において、R6bは、ハロ、例えば
、フルオロ、またはアルキルであり、R6aは、水素である。ある特定の実施形態におい
て、R6aおよびR6bは、両方ともハロ、例えば、フルオロである。
しくは(I-b3)の化合物:
またはその薬学的に許容され得る塩、溶媒和化合物、プロドラッグ、立体異性体、互変異
性体、同位体バリアントもしくはN-オキシドあるいはそれらの組み合わせである。ある
特定の実施形態において、R3bは、水素である。ある特定の実施形態において、R3a
は、水素または置換もしくは非置換アルキルである。ある特定の実施形態において、R2
は、水素または-ORB1である。ある特定の実施形態において、R11aは、水素であ
り、R11bは、水素または-ORB1である。ある特定の実施形態において、R6aお
よびR6bは、両方とも水素である。ある特定の実施形態において、R6aは、ハロ、例
えば、フルオロ、またはアルキルである。ある特定の実施形態において、R6bは、ハロ
、例えば、フルオロ、またはアルキルであり、R6aは、水素である。ある特定の実施形
態において、R6aおよびR6bは、両方ともハロ、例えば、フルオロである。
しくは(I-c3)の化合物:
またはその薬学的に許容され得る塩、溶媒和化合物、プロドラッグ、立体異性体、互変異
性体、同位体バリアントもしくはN-オキシドあるいはそれらの組み合わせである。ある
特定の実施形態において、R3bは、水素である。ある特定の実施形態において、R3a
は、水素または置換もしくは非置換アルキルである。ある特定の実施形態において、R2
は、水素または-ORB1である。ある特定の実施形態において、R11aは、水素であ
り、R11bは、水素または-ORB1である。ある特定の実施形態において、R6aお
よびR6bは、両方とも水素である。ある特定の実施形態において、R6aは、ハロ、例
えば、フルオロ、またはアルキルである。ある特定の実施形態において、R6bは、ハロ
、例えば、フルオロ、またはアルキルであり、R6aは、水素である。ある特定の実施形
態において、R6aおよびR6bは、両方ともハロ、例えば、フルオロである。
またはその薬学的に許容され得る塩、溶媒和化合物、プロドラッグ、立体異性体、互変異
性体、同位体バリアントもしくはN-オキシドあるいはそれらの組み合わせである。ある
特定の実施形態において、R3bは、水素である。ある特定の実施形態において、C3位
における基-X1R3bは、ベータである。ある特定の実施形態において、R3aは、水
素または置換もしくは非置換アルキルである。ある特定の実施形態において、R2は、水
素または-ORB1である。ある特定の実施形態において、R11aは、水素であり、R
11bは、水素または-ORB1である。
が単結合を表すある特定の実施形態において、R5は、アルファ(下)であり、R6aは
、水素である。ある特定の実施形態において、
は、二重結合を表す。ある特定の実施形態において、R6aおよびR6bは、両方とも水
素である。ある特定の実施形態において、R6aは、ハロ、例えば、フルオロ、またはア
ルキルである。ある特定の実施形態において、R6bは、ハロ、例えば、フルオロ、また
はアルキルであり、R6aは、水素である。ある特定の実施形態において、R6aおよび
R6bは、両方ともハロ、例えば、フルオロである。ある特定の実施形態において、R1
9は、メチルである。ある特定の実施形態において、各RZ6は、独立して、水素または
メチルである。
またはその薬学的に許容され得る塩、溶媒和化合物、プロドラッグ、立体異性体、互変異
性体、同位体バリアントもしくはN-オキシドあるいはそれらの組み合わせである。ある
特定の実施形態において、R3aは、水素または置換もしくは非置換アルキルである。あ
る特定の実施形態において、R2は、水素または-ORB1である。ある特定の実施形態
において、R11aは、水素であり、R11bは、水素または-ORB1である。
が単結合を表すある特定の実施形態において、R5は、アルファ(下)であり、R6aは
、水素である。ある特定の実施形態において、
は、二重結合を表す。ある特定の実施形態において、R6aおよびR6bは、両方とも水
素である。ある特定の実施形態において、R6aは、ハロ、例えば、フルオロ、またはア
ルキルである。ある特定の実施形態において、R6bは、ハロ、例えば、フルオロ、また
はアルキルであり、R6aは、水素である。ある特定の実施形態において、R6aおよび
R6bは、両方ともハロ、例えば、フルオロである。ある特定の実施形態において、R1
9は、メチルである。ある特定の実施形態において、各RZ6は、独立して、水素または
メチルである。
またはその薬学的に許容され得る塩、溶媒和化合物、プロドラッグ、立体異性体、互変異
性体、同位体バリアントもしくはN-オキシドあるいはそれらの組み合わせである。ある
特定の実施形態において、R3bは、水素である。ある特定の実施形態において、C3位
における基-X1R3bは、ベータである。ある特定の実施形態において、R3aは、水
素または置換もしくは非置換アルキルである。ある特定の実施形態において、R2は、水
素または-ORB1である。ある特定の実施形態において、R11aは、水素であり、R
11bは、水素または-ORB1である。
が単結合を表すある特定の実施形態において、R5は、アルファ(下)であり、R6aは
、水素である。ある特定の実施形態において、
は、二重結合を表す。ある特定の実施形態において、R6aおよびR6bは、両方とも水
素である。ある特定の実施形態において、R6aは、ハロ、例えば、フルオロ、またはア
ルキルである。ある特定の実施形態において、R6bは、ハロ、例えば、フルオロ、また
はアルキルであり、R6aは、水素である。ある特定の実施形態において、R6aおよび
R6bは、両方ともハロ、例えば、フルオロである。ある特定の実施形態において、R1
9は、メチルである。ある特定の実施形態において、各RZ6は、独立して、水素または
メチルである。ある特定の実施形態において、RZ5は、水素またはメチルである。
またはその薬学的に許容され得る塩、溶媒和化合物、プロドラッグ、立体異性体、互変異
性体、同位体バリアントもしくはN-オキシドあるいはそれらの組み合わせである。ある
特定の実施形態において、R3aは、水素または置換もしくは非置換アルキルである。あ
る特定の実施形態において、R2は、水素または-ORB1である。ある特定の実施形態
において、R11aは、水素であり、R11bは、水素または-ORB1である。
が単結合を表すある特定の実施形態において、R5は、アルファ(下)であり、R6aは
、水素である。ある特定の実施形態において、
は、二重結合を表す。ある特定の実施形態において、R6aおよびR6bは、両方とも水
素である。ある特定の実施形態において、R6aは、ハロ、例えば、フルオロ、またはア
ルキルである。ある特定の実施形態において、R6bは、ハロ、例えば、フルオロ、また
はアルキルであり、R6aは、水素である。ある特定の実施形態において、R6aおよび
R6bは、両方ともハロ、例えば、フルオロである。ある特定の実施形態において、R1
9は、メチルである。ある特定の実施形態において、各RZ6は、独立して、水素または
メチルである。ある特定の実施形態において、RZ5は、水素またはメチルである。
またはその薬学的に許容され得る塩、溶媒和化合物、プロドラッグ、立体異性体、互変異
性体、同位体バリアントもしくはN-オキシドあるいはそれらの組み合わせである。ある
特定の実施形態において、R3bは、水素である。ある特定の実施形態において、C3位
における基-X1R3bは、ベータである。ある特定の実施形態において、R3aは、水
素または置換もしくは非置換アルキルである。ある特定の実施形態において、R2は、水
素または-ORB1である。ある特定の実施形態において、R11aは、水素であり、R
11bは、水素または-ORB1である。
が単結合を表すある特定の実施形態において、R5は、アルファ(下)であり、R6aは
、水素である。ある特定の実施形態において、
は、二重結合を表す。ある特定の実施形態において、R6aおよびR6bは、両方とも水
素である。ある特定の実施形態において、R6aは、ハロ、例えば、フルオロ、またはア
ルキルである。ある特定の実施形態において、R6bは、ハロ、例えば、フルオロ、また
はアルキルであり、R6aは、水素である。ある特定の実施形態において、R6aおよび
R6bは、両方ともハロ、例えば、フルオロである。ある特定の実施形態において、R1
9は、メチルである。ある特定の実施形態において、RZ6は、イソプロピルである。
またはその薬学的に許容され得る塩、溶媒和化合物、プロドラッグ、立体異性体、互変異
性体、同位体バリアントもしくはN-オキシドあるいはそれらの組み合わせである。ある
特定の実施形態において、R3aは、水素または置換もしくは非置換アルキルである。あ
る特定の実施形態において、R2は、水素または-ORB1である。ある特定の実施形態
において、R11aは、水素であり、R11bは、水素または-ORB1である。
が単結合を表すある特定の実施形態において、R5は、アルファ(下)であり、R6aは
、水素である。ある特定の実施形態において、
は、二重結合を表す。ある特定の実施形態において、R6aおよびR6bは、両方とも水
素である。ある特定の実施形態において、R6aは、ハロ、例えば、フルオロ、またはア
ルキルである。ある特定の実施形態において、R6bは、ハロ、例えば、フルオロ、また
はアルキルであり、R6aは、水素である。ある特定の実施形態において、R6aおよび
R6bは、両方ともハロ、例えば、フルオロである。ある特定の実施形態において、R1
9は、メチルである。ある特定の実施形態において、RZ6は、イソプロピルである。
のいずれか1つまたはその薬学的に許容され得る塩、溶媒和化合物、プロドラッグ、立体
異性体、互変異性体、同位体バリアントもしくはN-オキシドあるいはそれらの組み合わ
せである。
のいずれか1つまたはその薬学的に許容され得る塩、溶媒和化合物、プロドラッグ、立体
異性体、互変異性体、同位体バリアントもしくはN-オキシドあるいはそれらの組み合わ
せである。
のいずれか1つまたはその薬学的に許容され得る塩、溶媒和化合物、プロドラッグ、立体
異性体、互変異性体、同位体バリアントもしくはN-オキシドあるいはそれらの組み合わ
せである。
のいずれか1つまたはその薬学的に許容され得る塩、溶媒和化合物、プロドラッグ、立体
異性体、互変異性体、同位体バリアントもしくはN-オキシドあるいはそれらの組み合わ
せである。
のいずれか1つまたはその薬学的に許容され得る塩、溶媒和化合物、プロドラッグ、立体
異性体、互変異性体、同位体バリアントもしくはN-オキシドあるいはそれらの組み合わ
せである。
のいずれか1つまたはその薬学的に許容され得る塩、溶媒和化合物、プロドラッグ、立体
異性体、互変異性体、同位体バリアントもしくはN-オキシドあるいはそれらの組み合わ
せである。
のいずれか1つまたはその薬学的に許容され得る塩、溶媒和化合物、プロドラッグ、立体
異性体、互変異性体、同位体バリアントもしくはN-オキシドあるいはそれらの組み合わ
せである。
合物
およびその薬学的に許容され得る塩であり;
式中:
R1は、置換または非置換の脂肪族(alphatic)であり;
R2は、水素、ハロゲン、置換もしくは非置換C1-6アルキル、置換もしくは非置換シ
クロプロピルまたは-ORA2であり、ここで、RA2は、水素または置換もしくは非置
換アルキルであり;
R3aは、水素または-ORA3であり、ここで、RA3は、水素または置換もしくは非
置換アルキルであり、R3bは、水素であるか;またはR3aおよびR3bは、一体とな
って、オキソ(=O)基を形成し;
R4は、水素、置換もしくは非置換アルキルまたはハロゲンであり;
Xは、-C(RX)2-または-O-であり、ここで、RXは、水素もしくはフッ素であ
るか、または1つのRX基およびR5bは、一体となって、二重結合を形成し;
R5aおよびR5bの各実例は、独立して、水素またはフッ素であり;
R6aは、置換および非置換アルキル、置換および非置換アルケニル、置換および非置換
アルキニル、置換および非置換カルボシクリル、置換および非置換ヘテロシクリル、置換
および非置換アリールならびに置換および非置換ヘテロアリール基からなる群より選択さ
れる非水素基であり、ここで、その非水素基は、フッ素で必要に応じて置換され;
R6bは、水素、またはフッ素で必要に応じて置換される置換もしくは非置換アルキル基
であり;
は、単結合または二重結合を表すが、但し、単結合が存在する場合、C5における水素は
、アルファ配置であり;
さらに但し:
(1)RX、R5aおよびR5bのうちの少なくとも1つは、フッ素であるか;または
(2)R6aおよびR6bのうちの少なくとも1つは、フッ素で置換された非水素基であ
るか;または
(3)R6aは、2~10個の炭素原子を含む非水素基である。
I-q)の化合物は、C5における水素がアルファであるかまたは二重結合がC5-C6
に存在する化合物と比べてNMDA増強の減少を示す。したがって、式(I-q)の化合
物は、式(I-qA)および(I-qB)の化合物:
ならびにその薬学的に許容され得る塩だけを包含する。
本明細書中で一般に定義されるように、R1は、置換または非置換の脂肪族、すなわち
、置換もしくは非置換アルキル、置換もしくは非置換アルケニル、置換もしくは非置換ア
ルキニルまたは置換もしくは非置換カルボシクリルである。
くは非置換C1-6アルキル、置換もしくは非置換C1-2アルキル、置換もしくは非置
換C2-3アルキル、置換もしくは非置換C3-4アルキル、置換もしくは非置換C4-
5アルキルまたは置換もしくは非置換C5-6アルキルである。例示的なR1C1-6ア
ルキル基としては、置換または非置換の、メチル(C1)、エチル(C2)、n-プロピ
ル(C3)、イソプロピル(C3)、n-ブチル(C4)、tert-ブチル(C4)、
sec-ブチル(C4)、iso-ブチル(C4)、n-ペンチル(C5)、3-ペンタ
ニル(C5)、アミル(C5)、ネオペンチル(C5)、3-メチル-2-ブタニル(C
5)、第3級アミル(C5)、n-ヘキシル(C6)、1、2、3、4、5、6、7、8
、9、10個またはそれを超えるフルオロ基で置換されたC1-6アルキル(例えば、-
CF3、-CH2F、-CHF2、ジフルオロエチルおよび2,2,2-トリフルオロ-
1,1-ジメチル-エチル)、1、2、3、4、5、6、7、8、9、10個またはそれ
を超えるクロロ基で置換されたC1-6アルキル(例えば、-CH2Cl、-CHCl2
)およびアルコキシ基で置換されたC1-6アルキル(例えば、-CH2OCH3、-C
H2OCH2CH3、-CH2O-シクロプロピル)が挙げられるがこれらに限定されな
い。ある特定の実施形態において、R1は、置換アルキルであり、例えば、R1は、ハロ
アルキル、アルコキシアルキルまたはアミノアルキルである。ある特定の実施形態におい
て、R1は、Me、Et、n-Pr、n-Bu、i-Bu、フルオロメチル、クロロメチ
ル、ジフルオロメチル、トリフルオロメチル、トリフルオロエチル、ジフルオロエチル、
2,2,2-トリフルオロ-1,1-ジメチル-エチル、メトキシメチル、メトキシエチ
ルまたはエトキシメチルである。
は、-CH3、-CH2CH3、-CH2CH2CH3または-CH2CH2CH2CH
3である。
たアルキルであり;例えば、R1は、-CH2F、-CHF2または-CF3である。
れたアルキルであり、ここで、RA1は、水素または置換もしくは非置換アルキルである
。ある特定の実施形態において、R1は、-CH2ORA1であり、例えば、ここで、R
A1は、水素、-CH3、-CH2CH3または-CH2CH2CH3である。
しくは非置換C2-6アルケニル、置換もしくは非置換C2-3アルケニル、置換もしく
は非置換C3-4アルケニル、置換もしくは非置換C4-5アルケニルまたは置換もしく
は非置換C5-6アルケニルである。ある特定の実施形態において、R1は、非置換の、
またはアルキル、ハロ、ハロアルキル、アルコキシアルキルもしくはヒドロキシルからな
る群より選択される1つもしくはそれを超える置換基で置換された、エテニル(C2)、
プロペニル(C3)またはブテニル(C4)である。ある特定の実施形態において、R1
は、非置換の、またはアルキル、ハロ、ハロアルキル、アルコキシアルキルもしくはヒド
ロキシで置換された、エテニル、プロペニルまたはブテニルである。ある特定の実施形態
において、R1は、エテニルである。
しくは非置換C2-6アルキニル、置換もしくは非置換C2-3アルキニル、置換もしく
は非置換C3-4アルキニル、置換もしくは非置換C4-5アルキニルまたは置換もしく
は非置換C5-6アルキニルである。例示的な置換または非置換のR1アルキニル基とし
ては、非置換の、またはアルキル、ハロ、ハロアルキル(例えば、CF3)、アルコキシ
アルキル、シクロアルキル(例えば、シクロプロピルまたはシクロブチル)もしくはヒド
ロキシルで置換された、エチニル、プロピニルまたはブチニルが挙げられるがこれらに限
定されない。ある特定の実施形態において、R1は、トリフルオロエチニル、シクロプロ
ピルエチニル、シクロブチルエチニルおよびプロピニル、フルオロプロピニルおよびクロ
ロエチニルからなる群より選択される。ある特定の実施形態において、R1は、非置換の
、または置換もしくは非置換アリール、置換もしくは非置換ヘテロアリール、置換もしく
は非置換カルボシクリルおよび置換もしくは非置換ヘテロシクリルからなる群より選択さ
れる1つもしくはそれを超える置換基で置換された、エチニル(C2)、プロピニル(C
3)またはブチニル(C4)である。ある特定の実施形態において、R1は、置換フェニ
ルで置換された、エチニル(C2)、プロピニル(C3)またはブチニル(C4)である
。ある特定の実施形態において、そのフェニル置換基は、ハロ、アルキル、トリフルオロ
アルキル、アルコキシ、アシル、アミノまたはアミドからなる群より選択される1つまた
はそれを超える置換基でさらに置換される。ある特定の実施形態において、R1は、置換
または非置換の、ピロリル、イミダゾリル、ピラゾリル、オキサゾイル、チアゾリル、イ
ソオキサゾイル、1,2,3-トリアゾリル、1,2,4-トリアゾリル、オキサジアゾ
リル、チアジアゾリルまたはテトラゾリルで置換された、エチニル(C2)、プロピニル
(C3)またはブチニル(C4)である。
ル、アルコキシアルキルもしくはヒドロキシルで置換された、エチニル、プロピニルまた
はブチニルである。ある特定の実施形態において、R1は、置換または非置換アリールで
置換された、エチニルまたはプロピニルである。ある特定の実施形態において、R1は、
非置換のフェニルまたはハロ、アルキル、アルコキシ、ハロアルキル、トリハロアルキル
もしくはアシルで置換されたフェニルで置換された、エチニルまたはプロピニルである。
ある特定の実施形態において、R1は、置換または非置換カルボシクリルで置換された、
エチニルまたはプロピニルである。ある特定の実施形態において、R3aは、置換または
非置換の、シクロプロピル、シクロブチル、シクロペンチルまたはシクロヘキシルで置換
された、エチニルまたはプロピニルである。ある特定の実施形態において、R1は、置換
または非置換ヘテロアリールで置換された、エチニルまたはプロピニルである。ある特定
の実施形態において、R1は、置換または非置換の、ピリジニルまたはピリミジニルで置
換された、エチニルまたはプロピニルである。ある特定の実施形態において、R1は、置
換または非置換の、ピロリル、イミダゾリル、ピラゾリル、オキサゾイル、チアゾリル、
イソオキサゾイル、1,2,3-トリアゾリル、1,2,4-トリアゾリル、オキサジア
ゾリル、チアジアゾリル、テトラゾリルで置換された、エチニルまたはプロピニルである
。ある特定の実施形態において、R1は、置換または非置換ヘテロシクリルで置換された
、エチニルまたはプロピニルである。ある特定の実施形態において、R1は、置換または
非置換の、ピロリジニル、ピペリジニル、ピペラジニルまたはモルホリニルで置換された
、エチニルまたはプロピニルである。ある特定の実施形態において、R1は、ヒドロキシ
ルまたはアルコキシで置換された、プロピニルまたはブチニルである。ある特定の実施形
態において、R1は、メトキシまたはエトキシで置換された、プロピニルまたはブチニル
である。ある特定の実施形態において、R1は、クロロで置換された、エチニルまたはプ
ロピニルである。ある特定の実施形態において、R1は、トリフルオロメチルで置換され
た、エチニルまたはプロピニルである。
換もしくは非置換C3-6カルボシクリル、置換もしくは非置換C3-4カルボシクリル
、置換もしくは非置換C4-5カルボシクリルまたは置換もしくは非置換C5-6カルボ
シクリルである。ある特定の実施形態において、R1は、置換もしくは非置換シクロプロ
ピルまたは置換もしくは非置換シクロブチルである。
式(I-q)の化合物の基R2、R3a、R3bおよびR4
C1-6アルキル、置換もしくは非置換シクロプロピルまたは-ORA2であり、ここで
、RA2は、水素または置換もしくは非置換アルキルである。ある特定の実施形態におい
て、R2は、水素である。ある特定の実施形態において、R2は、ハロゲン、例えば、フ
ルオロ、クロロ、ブロモまたはヨードである。ある特定の実施形態において、R2は、フ
ルオロまたはクロロである。ある特定の実施形態において、R2は、置換または非置換C
1-6アルキル、例えば、置換もしくは非置換C1-2アルキル、置換もしくは非置換C
2-3アルキル、置換もしくは非置換C3-4アルキル、置換もしくは非置換C4-5ア
ルキルまたは置換もしくは非置換C5-6アルキルである。ある特定の実施形態において
、R2は、-CH3、-CH2CH3、-CH2CH2CH3またはシクロプロピルであ
る。ある特定の実施形態において、R2は、-ORA2である。ある特定の実施形態にお
いて、RA2は、水素である。ある特定の実施形態において、RA2は、置換または非置
換アルキル、例えば、置換もしくは非置換C1-6アルキル、置換もしくは非置換C1-
2アルキル、置換もしくは非置換C2-3アルキル、置換もしくは非置換C3-4アルキ
ル、置換もしくは非置換C4-5アルキルまたは置換もしくは非置換C5-6アルキルで
ある。ある特定の実施形態において、RA2は、水素、-CH3、-CH2CH3または
-CH2CH2CH3、すなわち、式-OH、-OCH3、-OCH2CH3または-O
CH2CH2CH3の基R2を提供するものである。ある特定の実施形態において、R2
は、アルファ配置の非水素置換基である。ある特定の実施形態において、R2は、ベータ
配置の非水素置換基である。
で、RA3は、水素または置換もしくは非置換アルキルであり、R3bは、水素であるか
;あるいはR3aおよびR3bは、一体となって、オキソ(=O)基を形成する。
基を形成する。
R3aが-ORA3である、ある特定の実施形態において、R3aは、アルファ配置また
はベータ配置である。R3aが-ORA3である、ある特定の実施形態において、R3a
は、アルファ配置である。R3aが-ORA3である、ある特定の実施形態において、R
3aは、ベータ配置である。ある特定の実施形態において、RA3は、水素である。ある
特定の実施形態において、RA3は、置換または非置換アルキル、例えば、置換もしくは
非置換C1-6アルキル、置換もしくは非置換C1-2アルキル、置換もしくは非置換C
2-3アルキル、置換もしくは非置換C3-4アルキル、置換もしくは非置換C4-5ア
ルキルまたは置換もしくは非置換C5-6アルキルである。ある特定の実施形態において
、RA3は、水素、-CH3、-CH2CH3または-CH2CH2CH3、すなわち、
式-OH、-OCH3、-OCH2CH3または-OCH2CH2CH3の基R3aを提
供するものである。
たはハロゲンである。ある特定の実施形態において、R4は、水素である。ある特定の実
施形態において、R4は、ハロゲン、例えば、フルオロである。ある特定の実施形態にお
いて、R4は、置換または非置換アルキル、例えば、置換もしくは非置換C1-6アルキ
ル、置換もしくは非置換C1-2アルキル、置換もしくは非置換C2-3アルキル、置換
もしくは非置換C3-4アルキル、置換もしくは非置換C4-5アルキルまたは置換もし
くは非置換C5-6アルキルである。ある特定の実施形態において、R4は、C1アルキ
ル、例えば、-CH3または-CF3である。ある特定の実施形態において、R4は、水
素、-CH3または-Fである。
が単結合を表すある特定の実施形態において、R4は、アルファ配置の非水素置換基であ
る。
が単結合を表すある特定の実施形態において、R4は、ベータ配置の非水素置換基である
。
本明細書中で一般に定義されるように、Xは、-C(RX)2-または-O-であり、
ここで、RXは、水素もしくはフッ素であるか、または1つのRX基およびR5bは、一
体となって、二重結合を形成し;R5aおよびR5bの各々は、独立して、水素またはフ
ッ素であり;R6aは、置換および非置換アルキル、置換および非置換アルケニル、置換
および非置換アルキニル、置換および非置換カルボシクリル、置換および非置換ヘテロシ
クリル、置換および非置換アリールならびに置換および非置換ヘテロアリール基からなる
群より選択される非水素基であり、ここで、その非水素基は、フッ素で必要に応じて置換
され;R6bは、水素、またはフッ素で必要に応じて置換される置換もしくは非置換アル
キル基であるが;但し:(1)RX、R5aおよびR5bのうちの少なくとも1つは、フ
ッ素であるか;または(2)R6aおよびR6bのうちの少なくとも1つは、フッ素で置
換された非水素基であるか;または(3)R6aは、2~10個の炭素原子を含む非水素
基である。
は、-CH2-である。ある特定の実施形態において、Xは、-CF2-である。
ある。ある特定の実施形態において、R5aおよびR5bのうちの少なくとも1つは、フ
ッ素である。ある特定の実施形態において、R5aおよびR5bは、両方とも水素である
。ある特定の実施形態において、R5aおよびR5bは、両方ともフッ素である。ある特
定の実施形態において、RXおよびR5bは、一体となって、二重結合、例えば、cis
またはtrans二重結合を形成する。
載されるような非水素基である。ある特定の実施形態において、R6aは、置換もしくは
非置換アルキル(例えば、-CH3、-CH2CH3、-CH(CH3)2)、置換もし
くは非置換アルケニル、置換もしくは非置換アルキニルまたは置換もしくは非置換カルボ
シクリル(例えば、イソプロパノール)である。ある特定の実施形態において、R6aは
、フッ素で置換された、本明細書中に記載されるような非水素基である。
り、R6bは、水素である。ある特定の実施形態において、R6aは、本明細書中に記載
されるような非水素基であり、R6bは、フッ素によって必要に応じて置換される置換ま
たは非置換アルキル基である。ある特定の実施形態において、R6bは、フッ素で置換さ
れていないアルキル基である。ある特定の実施形態において、R6aは、フッ素で置換さ
れたアルキル基である。
R6bは、フッ素によって必要に応じて置換される、置換または非置換アルキル、例えば
、置換もしくは非置換C1-6アルキル、置換もしくは非置換C1-2アルキル、置換も
しくは非置換C2-3アルキル、置換もしくは非置換C3-4アルキル、置換もしくは非
置換C4-5アルキルまたは置換もしくは非置換C5-6アルキルである。ある特定の実
施形態において、R6bは、フッ素によって必要に応じて置換されるC1アルキル、例え
ば、-CH3または-CF3である。
しくは非置換C1-6アルキル、置換もしくは非置換C1-2アルキル、置換もしくは非
置換C2-3アルキル、置換もしくは非置換C3-4アルキル、置換もしくは非置換C4
-5アルキルまたは置換もしくは非置換C5-6アルキルである。例示的なR6aC1-
6アルキル基としては、置換または非置換メチル(C1)、置換または非置換エチル(C
2)、置換または非置換n-プロピル(C3)、置換または非置換イソプロピル(C3)
、置換または非置換n-ブチル(C4)、置換または非置換tert-ブチル(C4)、
置換または非置換sec-ブチル(C4)、置換または非置換iso-ブチル(C4)、
置換または非置換n-ペンチル(C5)、置換または非置換3-ペンタニル(C5)、置
換または非置換アミル(C5)、置換または非置換ネオペンチル(C5)、置換または非
置換3-メチル-2-ブタニル(C5)、置換または非置換第3級アミル(C5)、置換
または非置換n-ヘキシル(C6)が挙げられるがこれらに限定されない。ある特定の実
施形態において、R6aは、1つまたはそれを超えるフッ素、例えば、1、2、3、4個
またはそれを超えるフッ素で置換された、上に記載されたようなアルキルである。ある特
定の実施形態において、R6aは、-CF3、-CH2F、-CHF2、ジフルオロエチ
ルまたは2,2,2-トリフルオロ-1,1-ジメチル-エチル)である。ある特定の実
施形態において、R6aは、1つまたはそれを超える-ORA6基で置換された、上に記
載されたようなアルキルであり、ここで、RA6は、水素または置換もしくは非置換アル
キルである。ある特定の実施形態において、R6aは、-CH2ORA6、-CH2CH
2ORA6または-CH2CH2CH2ORA6、例えば、-CH2OCH3、-CH2
CH2OCH3または-CH2CH2CH2OCH3である。
は非置換アルケニル、例えば、置換もしくは非置換C2-6アルケニル、置換もしくは非
置換C2-3アルケニル、置換もしくは非置換C3-4アルケニル、置換もしくは非置換
C4-5アルケニルまたは置換もしくは非置換C5-6アルケニルである。ある特定の実
施形態において、R6aは、置換もしくは非置換ビニル(C2)または置換もしくは非置
換アリル(C3)である。
は非置換アルキニル、例えば、置換もしくは非置換C2-6アルキニル、置換もしくは非
置換C2-3アルキニル、置換もしくは非置換C3-4アルキニル、置換もしくは非置換
C4-5アルキニルまたは置換もしくは非置換C5-6アルキニルである。ある特定の実
施形態において、R6aは、置換もしくは非置換エチニル(C2)または置換もしくは非
置換プロパルギル(C3)である。
は非置換カルボシクリル、例えば、置換もしくは非置換C3-6カルボシクリル、置換も
しくは非置換C3-4カルボシクリル、置換もしくは非置換C4-5カルボシクリルまた
は置換もしくは非置換C5-6カルボシクリルである。ある特定の実施形態において、R
6aは、置換または非置換シクロプロピルである。
は非置換ヘテロシクリル、例えば、置換もしくは非置換C3-6ヘテロシクリル、置換も
しくは非置換C3-4ヘテロシクリル、置換もしくは非置換C4-5ヘテロシクリルまた
は置換もしくは非置換C5-6ヘテロシクリルである。
は非置換アリール、例えば、置換または非置換フェニルである。
は非置換ヘテロアリール、例えば、必要に応じて置換される5~6員ヘテロアリールであ
る。
個以上9個以下、2個以上8個以下、2個以上7個以下、2個以上6個以下、2個以上5
個以下、2個以上4個以下または2個以上3個以下の炭素原子を含む非水素基である。例
えば、ある特定の実施形態において、R6aは、置換もしくは非置換C2-3アルキル、
置換もしくは非置換C2-3アルケニル、置換もしくは非置換C2-3アルキニルまたは
置換もしくは非置換C3カルボシクリルである。
フッ素であるか;またはR6aおよびR6bのうちの少なくとも1つは、フッ素で置換さ
れた非水素基であり;R6aは、置換もしくは非置換C1-3アルキル、置換もしくは非
置換C1-3アルケニル、置換もしくは非置換C1-3アルキニルまたは置換もしくは非
置換C3カルボシクリルである。
形態において、R6aおよびR6bは、異なる基であり、R6aに付着されている炭素は
、(S)または(R)配置である。ある特定の実施形態において、R6aに付着されてい
る炭素は、(S)配置である。ある特定の実施形態において、R6aに付着されている炭
素は、(R)配置である。ある特定の実施形態において、R6aは、-CF3であり、R
6bは、水素またはC1-4アルキルである。ある特定の実施形態において、R6aは、
フッ素で置換された非水素基であり、R6bは、-CH3である。ある特定の実施形態に
おいて、R6aは、1つまたはそれを超える-ORA6基で置換され、ここで、RA6は
、水素または置換もしくは非置換アルキルである。ある特定の実施形態において、R6a
は、置換もしくは非置換C2-4アルキル、置換もしくは非置換C2-3アルケニル、置
換もしくは非置換C2-3アルキニルまたは置換もしくは非置換C3カルボシクリルであ
り、R6bは、-CH3である。ある特定の実施形態において、R6aは、非置換C2-
4アルキル、非置換C2-3アルケニルまたは非置換C2-3アルキニルまたは非置換C
3カルボシクリルであり、R6bは、-CH3である。ある特定の実施形態において、R
6aは、フッ素で置換された非水素基であり、R6bは、-CH3である。
ある特定の実施形態の様々な組み合わせが、本明細書中でさらに企図される。
の実施形態において、式(I-qa)の化合物:
またはその薬学的に許容され得る塩が提供される。ある特定の実施形態において、R6a
は、2~10個の炭素原子を含む非水素基である。ある特定の実施形態において、R6a
およびR6bのうちの少なくとも1つは、フッ素で置換された非水素基である。ある特定
の実施形態において、R6aに付着されている炭素は、(S)配置である。ある特定の実
施形態において、R6aに付着されている炭素は、(R)配置である。ある特定の実施形
態において、R6aは、1つまたはそれを超えるフッ素で必要に応じて置換されるメチル
(C1)、例えば、-CH3または-CF3である。ある特定の実施形態において、R6
aは、置換もしくは非置換エチル(C2)、置換もしくは非置換n-プロピル(C3)ま
たは置換もしくは非置換イソプロピル(C3)である。ある特定の実施形態において、R
6aは、-CH2ORA6、-CH2CH2ORA6または-CH2CH2CH2ORA
6である。ある特定の実施形態において、R6aは、置換もしくは非置換ビニル(C2)
または置換もしくは非置換アリル(C3)である。ある特定の実施形態において、R6a
は、置換もしくは非置換エチニル(C2)または置換もしくは非置換プロパルギル(C3
)である。ある特定の実施形態において、R6aは、置換または非置換シクロプロピルで
ある。ある特定の実施形態において、R6bは、水素である。ある特定の実施形態におい
て、R6bは、-CH3または-CF3である。ある特定の実施形態において、
は、単結合を表し、C5における水素は、アルファである。ある特定の実施形態において
、
は、二重結合を表す。ある特定の実施形態において、R1は、-CH3または-CH2C
H3である。ある特定の実施形態において、R2は、水素、-OH、-OCH3、-OC
H2CH3、-OCH2CH2CH3、-CH3、-CH2CH3、-CH2CH2CH
3、シクロプロピル、フルオロまたはクロロである。ある特定の実施形態において、R2
は、アルファ配置の非水素置換基である。ある特定の実施形態において、R2は、ベータ
配置の非水素置換基である。ある特定の実施形態において、R3aおよびR3bは、両方
とも水素である。ある特定の実施形態において、R3aおよびR3bは、一体となって、
=O(オキソ)を形成する。ある特定の実施形態において、R4は、水素である。
形態では、式(I-qb)の化合物:
またはその薬学的に許容され得る塩が提供される。ある特定の実施形態において、R6a
は、2~10個の炭素原子を含む非水素基である。ある特定の実施形態において、R6a
およびR6bのうちの少なくとも1つは、フッ素で置換された非水素基である。ある特定
の実施形態において、R6aに付着されている炭素は、(S)配置である。ある特定の実
施形態において、R6aに付着されている炭素は、(R)配置である。ある特定の実施形
態において、R6aは、1つまたはそれを超えるフッ素で必要に応じて置換されるメチル
(C1)、例えば、-CH3または-CF3である。ある特定の実施形態において、R6
aは、置換もしくは非置換エチル(C2)、置換もしくは非置換n-プロピル(C3)ま
たは置換もしくは非置換イソプロピル(C3)である。ある特定の実施形態において、R
6aは、-CH2ORA6、-CH2CH2ORA6または-CH2CH2CH2ORA
6である。ある特定の実施形態において、R6aは、置換もしくは非置換ビニル(C2)
または置換もしくは非置換アリル(C3)である。ある特定の実施形態において、R6a
は、置換もしくは非置換エチニル(C2)または置換もしくは非置換プロパルギル(C3
)である。ある特定の実施形態において、R6aは、置換または非置換シクロプロピルで
ある。ある特定の実施形態において、R6bは、水素である。ある特定の実施形態におい
て、R6bは、-CH3または-CF3である。ある特定の実施形態において、
は、単結合を表し、C5における水素は、アルファである。ある特定の実施形態において
、
は、二重結合を表す。ある特定の実施形態において、R1は、-CH3または-CH2C
H3である。ある特定の実施形態において、R2は、水素、-OH、-OCH3、-OC
H2CH3、-OCH2CH2CH3、-CH3、-CH2CH3、-CH2CH2CH
3、シクロプロピル、フルオロまたはクロロである。ある特定の実施形態において、R2
は、アルファ配置の非水素置換基である。ある特定の実施形態において、R2は、ベータ
配置の非水素置換基である。ある特定の実施形態において、R3aおよびR3bは、両方
とも水素である。ある特定の実施形態において、R3aおよびR3bは、一体となって、
=O(オキソ)を形成する。ある特定の実施形態において、R4は、水素である。
重結合を形成する、ある特定の実施形態では、式(I-qc)の化合物:
またはその薬学的に許容され得る塩が提供される。ある特定の実施形態において、R6a
は、2~10個の炭素原子を含む非水素基である。ある特定の実施形態において、R6a
およびR6bのうちの少なくとも1つは、フッ素で置換された非水素基である。ある特定
の実施形態において、R6aに付着されている炭素は、(S)配置である。ある特定の実
施形態において、R6aに付着されている炭素は、(R)配置である。ある特定の実施形
態において、R6aは、1つまたはそれを超えるフッ素で必要に応じて置換されるメチル
(C1)、例えば、-CH3または-CF3である。ある特定の実施形態において、R6
aは、置換もしくは非置換エチル(C2)、置換もしくは非置換n-プロピル(C3)ま
たは置換もしくは非置換イソプロピル(C3)である。ある特定の実施形態において、R
6aは、-CH2ORA6、-CH2CH2ORA6または-CH2CH2CH2ORA
6である。ある特定の実施形態において、R6aは、置換もしくは非置換ビニル(C2)
または置換もしくは非置換アリル(C3)である。ある特定の実施形態において、R6a
は、置換もしくは非置換エチニル(C2)または置換もしくは非置換プロパルギル(C3
)である。ある特定の実施形態において、R6aは、置換または非置換シクロプロピルで
ある。ある特定の実施形態において、R6bは、水素である。ある特定の実施形態におい
て、R6bは、-CH3または-CF3である。ある特定の実施形態において、
は、単結合を表し、C5における水素は、アルファである。ある特定の実施形態において
、
は、二重結合を表す。ある特定の実施形態において、R1は、-CH3または-CH2C
H3である。ある特定の実施形態において、R2は、水素、-OH、-OCH3、-OC
H2CH3、-OCH2CH2CH3、-CH3、-CH2CH3、-CH2CH2CH
3、シクロプロピル、フルオロまたはクロロである。ある特定の実施形態において、R2
は、アルファ配置の非水素置換基である。ある特定の実施形態において、R2は、ベータ
配置の非水素置換基である。ある特定の実施形態において、R3aおよびR3bは、両方
とも水素である。ある特定の実施形態において、R3aおよびR3bは、一体となって、
=O(オキソ)を形成する。ある特定の実施形態において、R4は、水素である。
またはその薬学的に許容され得る塩から選択される。ある特定の実施形態において、R6
aは、2~10個の炭素原子を含む非水素基である。ある特定の実施形態において、R6
aおよびR6bのうちの少なくとも1つは、フッ素で置換された非水素基である。ある特
定の実施形態において、R6aに付着されている炭素は、(S)配置である。ある特定の
実施形態において、R6aに付着されている炭素は、(R)配置である。ある特定の実施
形態において、R6aは、1つまたはそれを超えるフッ素で必要に応じて置換されるメチ
ル(C1)、例えば、-CH3または-CF3である。ある特定の実施形態において、R
6aは、置換もしくは非置換エチル(C2)、置換もしくは非置換n-プロピル(C3)
または置換もしくは非置換イソプロピル(C3)である。ある特定の実施形態において、
R6aは、-CH2ORA6、-CH2CH2ORA6または-CH2CH2CH2OR
A6である。ある特定の実施形態において、R6aは、置換もしくは非置換ビニル(C2
)または置換もしくは非置換アリル(C3)である。ある特定の実施形態において、R6
aは、置換もしくは非置換エチニル(C2)または置換もしくは非置換プロパルギル(C
3)である。ある特定の実施形態において、R6aは、置換または非置換シクロプロピル
である。ある特定の実施形態において、R6bは、水素である。ある特定の実施形態にお
いて、R6bは、-CH3または-CF3である。ある特定の実施形態において、
は、単結合を表し、C5における水素は、アルファである。ある特定の実施形態において
、
は、二重結合を表す。ある特定の実施形態において、R1は、-CH3または-CH2C
H3である。
またはその薬学的に許容され得る塩から選択される。ある特定の実施形態において、R6
aは、2~10個の炭素原子を含む非水素基である。ある特定の実施形態において、R6
aおよびR6bのうちの少なくとも1つは、フッ素で置換された非水素基である。ある特
定の実施形態において、R6aに付着されている炭素は、(S)配置である。ある特定の
実施形態において、R6aに付着されている炭素は、(R)配置である。ある特定の実施
形態において、R6aは、1つまたはそれを超えるフッ素で必要に応じて置換されるメチ
ル(C1)、例えば、-CH3または-CF3である。ある特定の実施形態において、R
6aは、置換もしくは非置換エチル(C2)、置換もしくは非置換n-プロピル(C3)
または置換もしくは非置換イソプロピル(C3)である。ある特定の実施形態において、
R6aは、-CH2ORA6、-CH2CH2ORA6または-CH2CH2CH2OR
A6である。ある特定の実施形態において、R6aは、置換もしくは非置換ビニル(C2
)または置換もしくは非置換アリル(C3)である。ある特定の実施形態において、R6
aは、置換もしくは非置換エチニル(C2)または置換もしくは非置換プロパルギル(C
3)である。ある特定の実施形態において、R6aは、置換または非置換シクロプロピル
である。ある特定の実施形態において、R6bは、水素である。ある特定の実施形態にお
いて、R6bは、-CH3または-CF3である。ある特定の実施形態において、R1は
、-CH3または-CH2CH3である。
またはその薬学的に許容され得る塩から選択される。ある特定の実施形態において、R6
aは、2~10個の炭素原子を含む非水素基である。ある特定の実施形態において、R6
aおよびR6bのうちの少なくとも1つは、フッ素で置換された非水素基である。ある特
定の実施形態において、R6aに付着されている炭素は、(S)配置である。ある特定の
実施形態において、R6aに付着されている炭素は、(R)配置である。ある特定の実施
形態において、R6aは、1つまたはそれを超えるフッ素で必要に応じて置換されるメチ
ル(C1)、例えば、-CH3または-CF3である。ある特定の実施形態において、R
6aは、置換もしくは非置換エチル(C2)、置換もしくは非置換n-プロピル(C3)
または置換もしくは非置換イソプロピル(C3)である。ある特定の実施形態において、
R6aは、-CH2ORA6、-CH2CH2ORA6または-CH2CH2CH2OR
A6である。ある特定の実施形態において、R6aは、置換もしくは非置換ビニル(C2
)または置換もしくは非置換アリル(C3)である。ある特定の実施形態において、R6
aは、置換もしくは非置換エチニル(C2)または置換もしくは非置換プロパルギル(C
3)である。ある特定の実施形態において、R6aは、置換または非置換シクロプロピル
である。ある特定の実施形態において、R6bは、水素である。ある特定の実施形態にお
いて、R6bは、-CH3または-CF3である。ある特定の実施形態において、R1は
、-CH3または-CH2CH3である。
別の態様において、本発明は、薬学的に許容され得るキャリアおよび有効量の式(I)
の化合物を含む薬学的組成物を提供する。
成物の形態で投与される。そのような組成物は、薬学分野において周知の様式で調製され
得、そのような組成物は、少なくとも1つの活性な化合物を含む。
口または局所キャリアである。
組成物にも関する。
化合物の量は、処置される症状、選択された投与経路、投与される実際の化合物、個々の
患者の齢、体重および応答、患者の症状の重症度などを含む関連する状況に鑑みて、典型
的には医師によって決定され得る。
および鼻腔内を含む種々の経路によって投与され得る。意図される送達経路に応じて、本
明細書中に提供される化合物は、好ましくは、注射可能な組成物もしくは経口組成物のい
ずれかとして製剤化されるか、または軟膏として、ローションとしてもしくはパッチとし
て(すべて経皮投与用)製剤化される。
。しかしながら、より一般的には、正確な投薬を容易にするために、組成物は、単位剤形
で提供される。用語「単位剤形」とは、ヒト被験体用および他の哺乳動物用の単位投薬量
として適した物理的に別個の単位のことを指し、各単位は、所望の治療効果をもたらすよ
うに計算された所定量の活性な材料を、好適な薬学的賦形剤とともに含む。典型的な単位
剤形としては、液体組成物の充填済みで計量済みのアンプルもしくは注射器または固体組
成物の場合は丸剤、錠剤、カプセルなどが挙げられる。そのような組成物において、化合
物は、通常、微量成分(約0.1~約50重量%または好ましくは、約1~約40重量%
)であり、残りは、様々なビヒクルまたはキャリアおよび所望の投薬形態の形成に役立つ
加工助剤である。
および分散剤、着色料、香料などとともに含み得る。固体形態は、例えば、以下の成分の
うちのいずれか、または同様の性質の化合物を含み得る:結合剤(例えば、微結晶性セル
ロース、トラガカントゴムまたはゼラチン);賦形剤(例えば、デンプンもしくはラクト
ース)、崩壊剤(例えば、アルギン酸、Primogelまたはコーンスターチ);滑沢
剤(例えば、ステアリン酸マグネシウム);滑剤(例えば、コロイド状二酸化ケイ素);
甘味剤(例えば、スクロースまたはサッカリン);または香味剤(例えば、ペパーミント
、サリチル酸メチルまたはオレンジ香料)。
塩水または当該分野で公知の他の注射可能なキャリアに基づく。従来と同様に、そのよう
な組成物における活性な化合物は、典型的には微量成分であり、しばしば、約0.05~
10重量%であり、残りは、注射可能なキャリアなどである。
は、約0.1~約20重量%、好ましくは、約0.1~約10重量%、より好ましくは、
約0.5~約15重量%の範囲の量で含む局所軟膏またはクリームとして製剤化される。
軟膏として製剤化されるとき、活性成分は、典型的にはパラフィン性または水混和性の軟
膏基剤と組み合わされ得る。あるいは、活性成分は、例えば、水中油型クリーム基剤を用
いて、クリームに製剤化され得る。そのような経皮的製剤は、当該分野で周知であり、通
常、活性成分または製剤の安定性の皮膚浸透性を向上させるさらなる成分を含む。すべて
のそのような公知の経皮的製剤および成分が、本明細書中に提供される範囲内に含まれる
。
て、経皮的送達は、レザバータイプもしくは多孔質膜タイプまたは固体マトリックス種類
のパッチを使用して達成され得る。
上に記載された構成要素は、単なる代表である。他の材料ならびに加工法などは、Rem
ington’s Pharmaceutical Sciences,17th ed
ition,1985,Mack Publishing Company,Easto
n,PennsylvaniaのPart8(参照により本明細書中に援用される)に示
されている。
上に記載された構成要素は、単なる代表である。他の材料ならびに加工法などは、Rem
ington’s The Science and Practice of Pha
rmacy,21st edition,2005,Publisher:Lippin
cott Williams & WilkinsのPart8(参照により本明細書中
に援用される)に示されている。
放材料の説明は、Remington’s Pharmaceutical Scien
cesに見られ得る。
おいて、その製剤は、水を含む。別の実施形態において、その製剤は、シクロデキストリ
ン誘導体を含む。最も一般的なシクロデキストリンは、連結された糖部分上に1つまたは
それを超える置換基を必要に応じて含む、6、7および8個のα-1,4連結型グルコー
ス単位からそれぞれなるα-、β-およびγ-シクロデキストリンであり、これらは、メ
チル化置換、ヒドロキシアルキル化置換、アシル化置換およびスルホアルキルエーテル置
換を含むがこれらに限定されない。ある特定の実施形態において、シクロデキストリンは
、スルホアルキルエーテルβ-シクロデキストリン、例えば、Captisol(登録商
標)としても知られるスルホブチルエーテルβ-シクロデキストリンである。例えば、米
国特許第5,376,645号を参照のこと。ある特定の実施形態において、製剤は、ヘ
キサプロピル-β-シクロデキストリンを含む。より詳細な実施形態において、製剤は、
ヘキサプロピル-β-シクロデキストリン(水中10~50%)を含む。
許容され得る塩を調製するために使用され得る酸は、無毒性酸付加塩、すなわち、薬理学
的に許容され得るアニオンを含む塩、例えば、塩酸塩、ヨウ化水素酸塩、臭化水素酸塩、
硝酸塩、硫酸塩、重硫酸塩、リン酸塩、酢酸塩、乳酸塩、クエン酸塩、酒石酸塩、コハク
酸塩、マレイン酸塩、フマル酸塩、安息香酸塩、パラ-トルエンスルホン酸塩などを形成
する酸である。
のである。しかしながら、本発明は、以下の薬学的組成物に限定されない。
:2の重量比で混合し得る。微量のステアリン酸マグネシウムを滑沢剤として加える。そ
の混合物を打錠機で240~270mgの錠剤(1錠あたり80~90mgの活性な化合
物)に形成する。
:1の重量比で混合し得る。その混合物を250mgのカプセル(1カプセルあたり12
5mgの活性な化合物)に充填する。
びキサンタンガム(4mg)と混合し得、得られた混合物をブレンドし、No.10メッ
シュU.S.シーブに通し、次いで、予め調製しておいた、微結晶性セルロースおよびカ
ルボキシメチルセルロースナトリウム(11:89,50mg)の水溶液と混合し得る。
安息香酸ナトリウム(10mg)、香料および着色料を水で希釈し、撹拌しながら加える
。次いで、5mLの総体積をもたらすのに十分な水を加え得る。
:2の重量比で混合し得る。微量のステアリン酸マグネシウムを滑沢剤として加える。そ
の混合物を打錠機で450~900mgの錠剤(150~300mgの活性な化合物)に
形成する。
におよそ5mg/mLの濃度まで溶解し得るかまたは懸濁し得る。
:2の重量比で混合し得る。微量のステアリン酸マグネシウムを滑沢剤として加える。そ
の混合物を打錠機で90~150mgの錠剤(1錠あたり30~50mgの活性な化合物
)に形成する。
:2の重量比で混合し得る。微量のステアリン酸マグネシウムを滑沢剤として加える。そ
の混合物を打錠機で30~90mgの錠剤(1錠あたり10~30mgの活性な化合物)
に形成する。
:2の重量比で混合し得る。微量のステアリン酸マグネシウムを滑沢剤として加える。そ
の混合物を打錠機で0.3~30mgの錠剤(1錠あたり0.1~10mgの活性な化合
物)に形成する。
:2の重量比で混合し得る。微量のステアリン酸マグネシウムを滑沢剤として加える。そ
の混合物を打錠機で150~240mgの錠剤(1錠あたり50~80mgの活性な化合
物)に形成する。
1:2の重量比で混合し得る。微量のステアリン酸マグネシウムを滑沢剤として加える。
その混合物を打錠機で270~450mgの錠剤(1錠あたり90~150mgの活性な
化合物)に形成する。
ある(すべて、約1~約120時間、特に、24~96時間にわたる)。約0.1mg/
kg~約10mg/kgまたはそれを超える前負荷ボーラス(preloading b
olus)を投与することによっても、適正な定常状態レベルが達成され得る。最大総用
量は、40~80kgのヒト患者に対して約2g/日を超えないと予想される。
何年にもわたるので、患者の利便性および許容度のためには経口投薬が好ましい。経口投
薬に関しては、1日に1~5用量、特に2~4用量、典型的には3用量の経口投与が代表
的なレジメンである。これらの投薬パターンを用いて、各用量は、約0.01~約20m
g/kgの本明細書中に提供される化合物をもたらし、好ましい用量は、各々、約0.1
~約10mg/kg、特に、約1~約5mg/kgをもたらす。
中濃度をもたらすように選択される。
、上に記載された投薬レベルで、その症状を発症するリスクがある被験体に、典型的には
医師の助言に基づいておよび医師の管理下で投与され得る。特定の症状を発症するリスク
がある被験体としては、一般に、その症状の家族歴を有する被験体、または遺伝子検査も
しくはスクリーニングによってその症状を特に発症しやすいと同定された被験体が挙げら
れる。
評価、処置および使用の方法
方法が、とりわけ本明細書中に記載される。いくつかの実施形態において、本明細書中に
記載される化合物(例えば、有効量の本明細書中に記載される化合物)が、患者に投与さ
れる。いくつかの実施形態において、上記方法は、必要に応じて患者サンプルを取得する
工程、ならびに対照基準と比較したときの24(S)-ヒドロキシコレステロールのレベ
ルの変化について、サンプルの評価を取得する工程および/またはサンプルを評価する工
程を含む。ある特定の実施形態において、その評価に応じて、患者は、本明細書中に記載
される障害について本明細書中に記載される化合物で処置され、例えば、患者は、有効量
の、24(S)-ヒドロキシコレステロールまたは構造的に関係するステロールもしくは
ステロイド、オキシステロール、NMDARのアゴニストまたはNMDARの正のアロス
テリックモジュレーター(PAM)、24(s)-ヒドロキシコレステロールの内在活性
または内在量を高める(例えば、増加させる)化合物(例えば、24(s)-ヒドロキシ
コレステロールを代謝する酵素を阻害する化合物、例えば、24-ヒドロキシコレステロ
ール7アルファ-ヒドロキシラーゼ(CYP39)を阻害する化合物)あるいは式(I)
の化合物などの本明細書中に記載される化合物を投与される。いくつかの実施形態におい
て、その化合物は、NMDARのアンタゴニストもしくはNAMまたは24(s)-ヒド
ロキシコレステロールの内在活性もしくは内在量を減少させる化合物(例えば、24(s
)-ヒドロキシコレステロールを生成する酵素を活性化する化合物、例えば、コレステロ
ール24(S)-ヒドロキシラーゼ(CYP46)を活性化する化合物)である。
らの用語が本明細書中で使用されるとき、物理的実体または値を「直接取得すること」ま
たは「間接的に取得すること」によって、物理的実体、または値、例えば、数値の所有権
を得ることを指す。「直接取得すること」は、プロセスを行うこと(例えば、合成方法ま
たは分析方法を行うこと)により、物理的実体または値を得ることを意味する。「間接的
に取得すること」とは、別の団体または供給源(例えば、物理的実体または値を直接取得
した第三者の研究室)から物理的実体または値を受け取ることを指す。物理的実体を直接
取得することは、物理的な物質、例えば、出発物質の物理的変化を含むプロセスを行うこ
とを含む。例示的な変化としては、2つまたはそれを超える出発物質から物理的実体を生
成すること、物質を剪断するかまたは断片化すること、物質を分離するかまたは精製する
こと、2つまたはそれを超える別個の実体を混合物にまとめること、共有結合または非共
有結合を破壊することまたは形成することを含む化学反応を行うことが挙げられる。値を
直接取得することは、サンプルまたは別の物質の物理的変化を含むプロセスを行うこと、
例えば、物質、例えば、サンプル、被検体または試薬の物理的変化を含む分析プロセスを
行うこと(時折、本明細書中で「物理的解析」と称される)、分析方法、例えば、以下の
うちの1つまたはそれを超えるものを含む方法を行うこと:物質、例えば、被検体または
そのフラグメントもしくは他の誘導体を別の物質から分離するかまたは精製すること;被
検体またはそのフラグメントもしくは他の誘導体を、別の物質、例えば、緩衝剤、溶媒ま
たは反応体と混和すること;あるいは例えば、被検体の第1の原子と第2の原子との間の
共有結合もしくは非共有結合を破壊するかまたは形成することによって;あるいは試薬ま
たはそのフラグメントもしくは他の誘導体の構造を変化させることによって、例えば、そ
の試薬の第1の原子と第2の原子との間の共有結合もしくは非共有結合を破壊するかまた
は形成することによって、被検体またはそのフラグメントもしくは他の誘導体の構造を変
化させることを含む。
ば、組織サンプルまたは核酸サンプルを「直接取得すること」または「間接的に取得する
こと」によって、そのサンプルの所有権を得ることを指す。「サンプルを直接取得するこ
と」は、プロセスを行うこと(例えば、手術または抽出などの物理的方法を行うこと)に
より、サンプルを得ることを意味する。「サンプルを間接的に取得すること」とは、別の
団体または供給源(例えば、サンプルを直接取得した第三者の研究室)からサンプルを受
け取ることを指す。サンプルを直接取得することは、物理的な物質、例えば、出発物質(
例えば、組織、例えば、ヒト患者の中の組織または患者から予め単離された組織)の物理
的変化を含むプロセスを行うことを含む。例示的な変化としては、出発物質から物理的実
体を調製すること、組織を解剖するかまたは掻爬すること;物質(例えば、サンプル組織
または核酸サンプル)を分離するかまたは精製すること;2つまたはそれを超える別個の
実体を混合物にまとめること;共有結合または非共有結合を破壊するかまたは形成するこ
とを含む化学反応を行うことが挙げられる。サンプルを直接取得することは、サンプルま
たは別の物質の物理的変化を含むプロセス、例えば、上に記載されたようなものを行うこ
とを含む。
て、特定の治療的レジメンに応答する可能性がある患者である。「候補でない」患者は、
対照の患者または患者群と比べて、特定の治療的レジメンに応答する可能性がない患者で
ある。
含む哺乳動物におけるCNS症状を予防するためおよび/または処置するための治療薬と
しての用途が見出される。したがって、先に述べたように、本発明は、列挙された処置方
法、ならびにそのような方法のための化合物、およびそのような方法に有用な医薬の調製
のためのそのような化合物の使用を本発明の範囲内に含み、それらにまで及ぶ。1つの態
様において、本明細書中に記載される化合物は、例えば、哺乳動物におけるCNS症状を
処置するため(例えば、精神分裂病、うつ病、双極性障害(例えば、Iおよび/またはI
I)、統合失調感情障害、気分障害、不安障害、人格障害、精神病、強迫性障害、外傷後
ストレス障害(PTSD)、自閉症圏障害(ASD)、気分変調(軽症うつ病)、社会不
安障害、強迫性障害(OCD)、疼痛(例えば、有痛性症候群または障害)、睡眠障害、
記憶障害(例えば、記憶機能障害)、痴呆、アルツハイマー病、発作性障害(例えば、癲
癇)、外傷性脳損傷(TBI)、脳卒中、嗜癖障害(例えば、オピエート類、コカインお
よび/またはアルコールに対する嗜癖)、自閉症、ハンチントン病、不眠、パーキンソン
病、離脱症候群または耳鳴を処置するため)の治療薬として企図される。いくつかの実施
形態において、本明細書中に記載される化合物は、被験体における学習を改善する(例え
ば、認知(cognative)機能を改善する)ために使用され得る。ある特定の実施
形態において、本発明の化合物は、うつ病、不安、気分障害、睡眠障害、記憶障害(例え
ば、記憶機能障害)、外傷性脳損傷、脳卒中、癲癇、認知機能不全(cognative
disfunction)および精神分裂病の処置において有用である。いくつかの実
施形態において、本明細書中に記載される化合物は、過量服用、例えば、薬物の過量服用
(例えば、ケタミンまたはPCPの過量服用)を処置するために使用され得る。
害、心的外傷後ストレス障害、社会恐怖、全般性不安障害を含む)、認知障害(アルツハ
イマー病および他の形態の痴呆を含む)、解離性障害、摂食障害、気分障害(うつ病、双
極性障害および気分変調性障害を含む)、精神分裂病または他の精神病性障害(統合失調
感情障害を含む)、睡眠障害(不眠を含む)、物質乱用関連障害、人格障害(強迫性人格
障害を含む)、自閉症圏障害(Shank群のタンパク質に対する変異が関わるものを含
む)、神経発達障害(レット症候群を含む)、疼痛(急性および慢性疼痛を含む)、発作
性障害(癲癇重積状態および一遺伝子型の癲癇、例えば、Dravet病、ならびに結節
性硬化症複合体(TSC)を含む)、脳卒中、外傷性脳損傷、運動障害(ハンチントン病
およびパーキンソン病を含む)および耳鳴が挙げられるがこれらに限定されない。
んでいる哺乳動物を評価するかまたは処置する方法が提供され、その方法は、有効量の本
明細書中に記載される1つまたはそれを超える薬学的組成物を投与する工程を含む。
適応障害、不安障害、認知障害、解離性障害、摂食障害、気分障害、精神分裂病または他
の精神病性障害、睡眠障害、物質関連障害、人格障害、自閉症圏障害、神経発達障害、疼
痛、発作性障害、脳卒中、外傷性脳損傷、運動障害および耳鳴に関連する症状を起こしや
すいかまたはその症状に苦しんでいる哺乳動物を評価するかまたは処置する方法が提供さ
れる。
予防における医薬品としての本発明の化合物の使用が提供される。
たは予防するための医薬を製造する方法が提供される。
ため、回復させるためまたは管理するための方法を提供し、その方法は、そのような予防
、処置、回復または管理を必要とする被験体に、予防有効量または治療有効量の本発明の
化合物またはその薬学的組成物を投与する工程を含む。
医薬を製造するための、本発明の化合物の使用を提供する。1つの実施形態において、そ
の疾患または症状は、うつ病、不安、精神分裂病、睡眠障害、記憶障害および気分障害か
ら選択される。
乳動物、例えば、人間を処置する方法を提供し、その方法は、前記哺乳動物を有効量の本
発明の化合物またはその組成物で処置する工程を含む。
との併用を提供する。
は他の作用物質と併用して投与され得る。併用での投与は、例えば、別個の、連続した、
同時のおよび交互の投与を含む、当業者に明らかな任意の手法によって進められ得る。
れる。本願に記載される合成実施例および生物学的実施例は、本明細書中に提供される化
合物、薬学的組成物および方法を例証するために提供されるものであって、いかなる方法
でもそれらの範囲を限定するものとみなされるべきでない。
本明細書中に提供される化合物は、容易に入手可能な出発物質から、以下の一般的な方
法および手順を用いて調製することができる。典型的なまたは好ましいプロセス条件(す
なわち、反応温度、時間、反応体のモル比、溶媒、圧力など)が与えられている場合、別
段述べられない限り、他のプロセス条件も使用できると認識されるだろう。最適な反応条
件は、使用される特定の反応体または溶媒によって変化し得るが、そのような条件は、当
業者が日常的な最適化によって決定し得る。
ないようにするために従来の保護基が必要である場合がある。特定の官能基にとって好適
な保護基の選択、ならびに好適な保護条件および脱保護条件の選択は、当該分野で周知で
ある。例えば、数多くの保護基、ならびにそれらの導入および除去は、T.W.Gree
ne and P.G.M.Wuts,Protecting Groups in O
rganic Synthesis,Second Edition,Wiley,Ne
w York,1991およびその中に引用されている参考文献に記載されている。
得る。そのような手順としては、再結晶、カラムクロマトグラフィーまたはHPLCが挙
げられる(がこれらに限定されない)。以下のスキームは、本明細書中に列挙される代表
的な置換ビアリールアミドの調製に関する詳述とともに提示される。本明細書中に提供さ
れる化合物は、有機合成の当業者によって、公知のまたは商業的に入手可能な出発物質お
よび試薬から調製され得る。
って調製され得る。例えば、それらは、好適な光学的に純粋な前駆体からのキラル合成も
しくは不斉合成によって調製され得るか、または任意の従来の手法によって、例えば、キ
ラルカラム、TLCを使用するクロマトグラフィー分割によって、もしくはジアステレオ
異性体の調製、それらの分離および所望の鏡像異性体の再生によって、ラセミ体から得ら
れ得る。例えば、“Enantiomers,Racemates and Resol
utions,”J.Jacques,A.Collet,and S.H.Wilen
,(Wiley-Interscience,New York,1981);S.H.
Wilen,A.Collet,and J.Jacques,Tetrahedron
,2725(1977);E.L.Eliel Stereochemistry of
Carbon Compounds(McGraw-Hill,NY,1962);お
よびS.H.Wilen Tables of Resolving Agents a
nd Optical Resolutions 268(E.L.Eliel ed.
,Univ.of Notre Dame Press,Notre Dame,IN,
1972,Stereochemistry of Organic Compound
s,Ernest L.Eliel,Samuel H.Wilen and Lewi
s N.Manda(1994 John Wiley & Sons,Inc.)およ
びStereoselective Synthesis A Practical A
pproach,Miha’ly No’gra’di(1995 VCH Publi
shers,Inc.,NY,NY)を参照のこと。
な光学活性な酸または塩基との反応によって得られ得る。好適な酸または塩基としては、
Bighleyら、1995,Encyclopedia of Pharmaceut
ical Technology,vol.13の中のSalt Forms of D
rugs and Adsorption,Swarbrick & Boylan,e
ds.,Marcel Dekker,New York;ten Hoeve & H
.Wynberg,1985,Journal of Organic Chemist
ry 50:4508-4514;Dale & Mosher,1973,J.Am.
Chem.Soc.95:512;およびCRC Handbook of Optic
al Resolution via Diastereomeric Salt Fo
rmation(この内容の全体が、参照により本明細書に援用される)に記載されてい
るものが挙げられる。
鏡像異性体の溶解特性に応じて、結晶化されたジアステレオマーまたは母液からも回収さ
れ得る。そのようにして回収された特定の化合物の同一性および光学純度は、当該分野で
公知の旋光分析法または他の分析方法によって測定され得る。次いで、それらのジアステ
レオ異性体(diasteroisomers)は、例えば、クロマトグラフィーまたは
分別結晶法によって分離され得、所望の鏡像異性体が、適切な塩基または酸での処理によ
って再生され得る。他方の鏡像異性体は、同様の様式でラセミ体から得られ得るか、また
は最初の分離液から作り上げられ得る。ある特定の実施形態では、鏡像異性体的に純粋な
化合物は、キラルクロマトグラフィーによってラセミ化合物から分離され得る。鏡像異性
体を分離する際に使用するための様々なキラルカラムおよび溶離剤が利用可能であり、分
離に適した条件は、当業者に公知の方法によって実験に基づいて決定され得る。本明細書
中に提供される鏡像異性体の分離における用途で利用可能な例示的なキラルカラムとして
は、CHIRALCEL(登録商標)OB、CHIRALCEL(登録商標)OB-H、
CHIRALCEL(登録商標)OD、CHIRALCEL(登録商標)OD-H、CH
IRALCEL(登録商標)OF、CHIRALCEL(登録商標)OG、CHIRAL
CEL(登録商標)OJおよびCHIRALCEL(登録商標)OKが挙げられるがこれ
らに限定されない。
本発明の化合物を調製するための一般的なプロセスが、本発明のさらなる実施形態とし
て提供され、一般化されたスキーム1~13および実施例1~36において例証される。
スキーム1~13に対して、定義されていない場合、R’はアルキルであり、R23は、
R23aまたはR23bであり;X1、L1、R1、R3a、R3b、R23aおよびR
23bは、本明細書中に記載されるとおりである。
スキーム1.3α-置換-3β-ヒドロキシステロイドの合成
スキーム2.3α-置換-3β-ヒドロキシステロイドの合成
スキーム3.3β-アミノ-および3β-アルキルアミノステロイドの合成
スキーム4.硫酸ステロイドの合成
スキーム5.ステロイド3β-エステルおよびアミドの合成
スキーム6.3-オキソステロイドの合成
スキーム7.21-ヘテロアリール-3β-ヒドロキシステロイドの合成
スキーム8.3α-置換-3β-ヒドロキシステロイドの合成
スキーム9.3α-置換-3β-ヒドロキシステロイドの合成
スキーム10.3α-置換-3β-ヒドロキシステロイドの合成
スキーム11.3α-置換-3β-ヒドロキシステロイドの合成
スキーム12.3α-置換-3β-ヒドロキシステロイドの合成
スキーム13.3α-置換-3β-ヒドロキシステロイドの合成
化合物2の調製:トルエン(600mL)中の、ケトン1(50.0g,0.17mo
l,1.0eq)およびエチレングリコール(62mL)の溶液に、p-トルエンスルホ
ン酸(1.4g,7.28mmol)を加えた。その反応混合物を、ディーン-スターク
トラップを用いて、一晩、加熱還流した。LCMSは、出発物質が完全に消費されたこと
を示した。その混合物を室温に冷却し、酢酸エチル(500mL)で希釈し、炭酸水素ナ
トリウム飽和水溶液(300mL×2)およびブライン(300mL×2)で洗浄した。
有機相を硫酸ナトリウムで乾燥させ、真空中で濃縮することにより、粗生成物2を得て(
64.0g,100%)、それをさらに精製することなく、次の工程で直接使用した。1
H NMR: (400 MHz, CDCl3) δ 5.35 (d, J=5.6
Hz, 1H), 3.97-3.82 (m, 4H), 3.59-3.47 (
m, 1H), 2.34-2.21(m, 2H), 2.06-1.94 (m,
2H), 1.90-1.74 (m, 3H), 1.73-1.64 (m, 1H
), 1.63-1.33 (m, 10H), 1.32-1.19 (m, 1H)
, 1.14-1.03 (m, 1H), 1.01 (s, 3H), 0.99-
0.93 (m, 1H), 0.86 (s, 3H).
ol,1.0eq)の溶液に、Dess-Martin(81g,192mmol,2.
0eq)を0℃において数回に分けて加えた。次いで、その反応混合物を室温において3
時間撹拌した。TLC(PE:EA=3:1)は、出発物質が完全に消費されたことを示
した。その混合物をNaHCO3/Na2S2O3=1:3の飽和水溶液(1L)でクエ
ンチした。有機相をブライン(500mL)で洗浄し、Na2SO4で乾燥させ、溶媒を
蒸発させることにより、粗生成物3を得て(33.0g,100%)、それをさらに精製
することなく、次の工程で直接使用した。1H NMR: (400 MHz, CDC
l3) δ 5.34 (d, J=5.2 Hz, 1H), 3.77-4.00
(m, 4H), 3.19-3.39 (m, 1H), 2.83 (dd, J=
16.44, 2.13 Hz, 1H), 2.38-2.59 (m, 1H),
2.21-2.37 (m, 1H), 1.95-2.09 (m, 3H), 1.
54-1.73 (m, 4H), 1.74-1.90 (m, 2H), 1.37
-1.51 (m, 3H), 1.21-1.34 (m, 2H), 1.19 (
s, 3H), 0.98-1.12 (m, 1H), 0.83-0.93 (m,
3H).
0eq)の溶液に、室温のAlMe3の溶液(109mL,218mmol,0.5eq
,ヘキサン中2M)を加えたところ、その時点において、直ちにメタンガスが発生した。
得られた混合物を室温において1時間撹拌し、いかなる精製も行わずに、次の工程におい
てトルエン中のMADの溶液として使用した。
調製したばかりのもの)の溶液に、-78℃のトルエン(100mL)中の化合物4(3
3g,96mmol,1.0eq)の溶液を1時間にわたって窒素下で滴下した。次いで
、その反応混合物を30分間撹拌し、MeMgBr(205mL,288mmol,3.
0eq,トルエン中1.4M)の溶液を-78℃において滴下した。その反応混合物を-
40℃まで温め、この温度で3時間撹拌した。TLC(PE:EA=3:1)は、出発物
質が完全に消費されたことを示した。その混合物をNH4Cl飽和水溶液(200mL)
に注ぎ込み、EAで抽出した(150mL×2)。合わせた有機相をNa2SO4で乾燥
させ、溶媒を蒸発させることにより、粗生成物を得た。その粗生成物を、PE:EA(1
5:1)で溶出されるシリカゲルクロマトグラフィーによって精製することにより、生成
物(7.64g,22%)を白色粉末として得た。
1H NMR: (400 MHz, CDCl3) δ 5.30 (d, J=5.
2 Hz, 1H), 3.75-4.04 (m, 4H), 2.42 (d, J
=13.6 Hz, 1H), 1.88-2.12 (m, 3H), 1.73-1
.86 (m, 2H), 1.64-1.72 (m, 2H), 1.52-1.6
3 (m, 4H), 1.35-1.51 (m, 4H), 1.19-1.32
(m, 1H), 1.12-1.18 (m, 1H), 1.10 (s, 3H
), 0.99-1.03 (m, 3H), 0.92-0.98 (m, 1H),
0.86 (s, 3H).
,1.0eq)の溶液に、HCl水溶液(35mL,1M)およびアセトン(35mL)
を加えた。その反応混合物を室温において一晩撹拌した。TLC(PE:EA=3:1)
は、反応が完了したことを示唆した。次いで、その反応混合物をEA(200mL)で希
釈し、NaHCO3飽和水溶液(200mL)で洗浄し、Na2SO4で乾燥させ、減圧
下で蒸発させることにより、生成物を得た(5.2g,99.2%)。1H NMR:
(400 MHz, CDCl3) δ 5.27 (d, J=6.8 Hz, 1H
), 2.45-2.35 (m, 2H), 2.09-1.84 (m, 4 H)
, 1.82-1.57 (m, 6H), 1.50-1.35 (m, 4H),
1.26-1.08 (m, 4H), 1.05 (s, 3 H), 0.95 (
s, 3 H), 0.86 (s, 3 H).
9.35mmol)の溶液に、室温のTHF(20mL)中のt-BuOK(8.96g
,79.35mmol)の溶液を加えた。1時間撹拌した後、THF(10mL)に溶解
されたINT A(4.0g,13.22mmol)を滴下した。その反応混合物を3時
間還流した。その反応混合物を室温に冷却し、飽和NH4Clでクエンチし、EAで抽出
した。合わせた有機層をブラインで洗浄し、乾燥させ、濃縮することにより、粗生成物を
得て、それをフラッシュカラムクロマトグラフィー(PE/EA=15/1)によって精
製することにより、化合物A_001_1(3.2g,Y=80%)を白色固体として得
た。1H NMR: (400 MHz, CDCl3) δ 5.32 (d, J=
5.2 Hz, 1H), 4.65-4.64 (m, 2H), 2.50-2.4
2 (m, 2H), 2.27-2.22 (m, 1H), 2.07-1.97
(m, 1H), 1.87-1.68 (m, 4H), 1.68-1.49 (m
, 7H), 1.40-1.15 (m, 4H), 1.12 (s, 3H),
1.05 (s, 3H), 1.04-0.96 (m, 1H), 0.80 (s
, 3H).
300mg,1.0mmol,1.0eq)およびプロピオル酸メチル(250mg,3
.0mmol,3.0eq)の溶液に、25℃において撹拌しながらEt2AlCl(4
mL,4.0mmol,4.0eq,トルエン中1M)を滴下し、次いで、その反応混合
物を一晩撹拌した。TLC(PE/EA=3/1)は、出発物質が完全に消費されたこと
を示唆した。その溶液をNaHCO3飽和水溶液(5mL)で洗浄し、Na2SO4で乾
燥させ、減圧下で濃縮することにより、粗生成物を得て、それをPE:EA(15:1)
で溶出されるシリカゲルクロマトグラフィーによって精製することにより、所望の生成物
(200mg,52%)を白色粉末として得た。1H NMR: (400 MHz,
CDCl3) δ 7.03-6.97 (m, 1H), 5.86 (dd, J1
=1.2Hz, J2=15.6Hz, 1H), 5.35 (d, J=1.2Hz
, 1H), 5.32 (d, J=5.2Hz, 1H), 3.72 (s, 3
H), 2.87 (d, J=6.8 Hz, 2H), 2.42 (d, J=1
3.2 Hz, 1H), 2.13-1.95 (m, 3H), 2.00-1.4
0 (m, 11H), 1.40-1.20 (m, 4H), 1.11 (s,
3H), 1.06 (s, 3H), 0.90-0.82 (m, 3H), 0.
78 (s, 3H).
,0.5mmol,1.0eq)の溶液に、N2下でPd/C(5%,40mg)を加え
た。その懸濁液を真空下で脱気し、H2で数回パージした。次いで、その混合物をH2バ
ルーン下で30℃において1時間撹拌した。TLC(PE:EA=3:1)は、反応が完
了したことを示した。その懸濁液をセライトパッドで濾過し、そのパッドをEAで洗浄し
た(5mL×2)。合わせた濾液を濃縮乾固させることにより、生成物(185mg,9
5%)を白色粉末として得た。1H NMR: (400 MHz, CDCl3) δ
5.31 (d, J=4.4Hz, 1H), 3.67 (s, 3H), 2.
42 (d, J=13.2 Hz, 1H), 2.35-2.28 (m, 2H)
, 2.02-1.92 (m, 2H), 1.90-1.60 (m, 6H),
1.55-1.30 (m, 6H), 1.30-1.13 (m, 5H), 1.
12 (s, 3H), 1.02(s, 3H), 1.00-0.75 (m, 4
H), 0.58 (s, 3H).
(150mg,0.386mmol,1.0eq)の溶液に、MeLi(2mL,3.2
00mmol,8.3eq,THF中1.6M)を窒素下、-78℃において滴下した。
滴下後、その反応混合物を-40℃まで温め、1時間撹拌した。TLC(PE:EA=3
:1)は、反応が完了したことを示した。その反応混合物をNH4Cl飽和水溶液(10
mL)でクエンチし、EAで抽出した(10mL×2)。合わせた有機層を減圧下で濃縮
することにより、粗生成物を得て、それをPE:EA(10:1)で溶出されるシリカゲ
ルクロマトグラフィーによって精製することにより、生成物(91mg,60%)を白色
粉末として得た。1H NMR: (400 MHz, CDCl3) δ 5.31
(d, J=5.6Hz, 1H), 2.43 (d, J=13.2 Hz, 1H
), 2.05-1.95 (m, 2H), 1.90-1.60 (m, 6H),
1.21 (s, 6H), 1.12 (s, 3H), 1.11-1.04 (
m, 1H), 1.03 (s, 3H), 1.01-0.92 (m, 2H),
0.58 (s, 3H).
化合物A_003_1の調製:乾燥THF(15mL)中のPh3PEtBr(12.
25g,33.00mmol,10.0eq)の溶液に、乾燥THF(10mL)中のt
-BuOK(3.70g,33.00mmol,10.0eq)の溶液をN2下、0℃に
おいて滴下した。その混合物を室温において1.5時間撹拌した。次いで、THF(10
mL)中のINT A(1.00g,3.31mmol,1.0eq)の溶液を滴下し、
得られた混合物を70℃において4時間撹拌した。TLC(PE:EA=3:1)は、出
発物質が完全に消費されたことを示唆した。その反応物をNH4Cl飽和水溶液(50m
L)でクエンチし、EAで抽出した(30mL×2)。合わせた有機相をNa2SO4で
乾燥させ、真空中で濃縮した。残渣を、シリカゲルにおけるカラムクロマトグラフィー(
溶離剤:PE:EA=12:1)によって精製することにより、生成物(900mg,9
0.9%)を白色粉末として得た。1H NMR: (400 MHz, CDCl3)
δ 5.32 (d, J=5.2Hz, 1H), 5.15-5.12 (m,
1H), 2.44-2.30 (m, 3H), 2.29-2.21 (m, 1H
), 2.05-1.97 (m, 2H), 1.81-1.45 (m, 14H)
, 1.30-1.15 (m, 3 H), 1.12 (s, 3H), 1.02
(s, 3H), 0.95-1.01 (m, 1H), 0.90 (s, 3H
).
1.00g,3.20mmol,1.0eq)およびプロピオル酸メチル(0.67g,
8.00mmol,2.5eq)の溶液に、Et2AlCl(12.8mL,12.8m
mol,4.0eq,トルエン中1M)の溶液を、撹拌しながら0℃において滴下した。
次いで、その反応物を室温まで温め、一晩撹拌した。TLC(PE:EA=5:1)は、
出発物質が完全に消費されたことを示唆した。その混合物をNaHCO3飽和水溶液(3
0mL)でクエンチし、DCMで抽出した(30mL×2)。合わせた有機相をNa2S
O4で乾燥させ、真空中で濃縮した。残渣を、シリカゲルにおけるカラムクロマトグラフ
ィー(溶離剤:PE:EA=10:1)によって精製することにより、生成物(1.00
g,78.7%)を白色粉末として得た。1H NMR: (400 MHz, CDC
l3) δ 6.97-6.91 (m, 1 H) 5.82 (d, J=16 H
z, 1 H), 5.42-5.41 (m, 1H), 5.32 (d, J=5
.2Hz, 1H), 3.73 (s, 3 H), 3.04-3.00 (m,
1 H), 2.43 (d, J=12.8 Hz, 1H), 2.11-1.97
(m, 3H), 1.88-1.50 (m, 12H), 1.40-1.20
(m, 3 H), 1.21-1.26 (m, 1H), 1.18 (d, J=
6.78 Hz, 3H), 1.12 (s, 3H), 1.04 (s, 3H)
, 0.82 (s, 3H).
g,0.40mmol)の溶液に、Pd/C(30mg,5%)を加えた。次いで、その
反応物を15psiのH2圧力下、室温において2時間撹拌した。TLC(PE/EA=
3/1)は、出発物質が完全に消費されたことを示した。次いで、その反応混合物を濾過
し、濾液を減圧下で蒸発させることにより、生成物を得た(150mg,92.8%)。
1H NMR: (400 MHz, CDCl3) δ 5.32 (d, J=5.
2Hz, 1H), 3.67 (s, 3 H), 2.48-1.96 (m, 7
H), 1.90-1.62 (m, 5H), 1.60 -1.55 (m, 7H
), 1.11 (s, 3H), 1.03-0.99 (m, 3 H), 0.9
5-0.93 (m, 2H), 0.70-0.66 (m, 2 H)。
物A_003_2(100mg,0.25mmol,1.0eq)の溶液に、-78℃の
MeLi(1.56mL,2.50mmol,THF中1.6M)を滴下し、その混合物
をこの温度で30分間撹拌した。TLC(PE:EA=3:1)は、反応が完了したこと
を示した。その反応混合物をNH4Cl飽和水溶液(5mL)でクエンチし、EAで抽出
した(5mL×2)。合わせた有機層を減圧下で濃縮することにより、粗生成物を得て、
それをPE:EA(10:1)で溶出されるシリカゲルクロマトグラフィーによって精製
することにより、生成物(45mg,45%)を白色粉末として得た。1H NMR:
(400 MHz, CDCl3) δ 5.30 (d, J=5.2Hz, 1H)
, 2.42 (d, J=12 Hz, 1 H), 2.02-1.98 (m,
3 H), 1.92-1.66 (m, 3 H), 1.61-1.56 (m,
2 H), 1.55-1.54 (m, 2H), 1.53-1.23 (m, 1
1 H), 1.20 (s, 6H), 1.10 (s, 3 H), 1.05
(s, 3H), 1.02 (s, 3 H), 0.95-0.90 (m, 3
H), 0.68 (s, 3 H)。
実施例3.化合物ST-200-A-007の調製
66.6mmol,10.0eq)の溶液に、THF(10mL)中のA_001_1(
2.0g,6.66mmol,1.0eq)の溶液を滴下した。その反応混合物を60℃
に加熱し、20時間撹拌した。その混合物を0℃に冷却し、10%NaOH水溶液(20
mL)に続いて30%H2O2水溶液(30%,10mL)を加えた。その混合物を0℃
において2時間撹拌し、次いで、EAで抽出した(30mL×3)。合わせた有機層をブ
ライン(30mL)で洗浄し、Na2SO4で乾燥させ、真空中で濃縮することにより、
粗生成物を得て、それをPE/EA(10/1)によって溶出されるフラッシュカラムク
ロマトグラフィーで精製することにより、INT E(1.0g,47%)を白色固体と
して得た。1H NMR: (400 MHz, CDCl3) δ 5.30 (d,
J=5.2Hz, 1H), 3.75-3.71 (dd, J1=10.4Hz,
J2=6.8Hz, 1H), 3.58-3.53 (dd, J1=10.4Hz
, J2=7.6Hz, 1H), 2.43-2.41 (d, J=10.4Hz,
1H), 2.02-1.96 (m, 2H), 1.91 -1.75 (m,
3H), 1.72-1.44 (m, 10H), 1.33-1.20 (m, 5
H), 1.18 (s, 3H), 1.06 (s, 3H), 1.04-0.9
9 (m, 1H), 0.67 (s, 3H)。
g,0.314mmol,1.0eq)の溶液に、Dess-Martin試薬(265
mg,0.628mmol,2.0eq)を加えた。その反応混合物を室温まで温め、2
時間撹拌した。その混合物を、水(20mL)中の、NaS2O3(4.5g)およびN
aHCO3(1.5g)の溶液に注ぎ込み、EAで抽出した(20mL×3)。合わせた
有機層をブライン(20mL)で洗浄し、Na2SO4で乾燥させ、真空中で濃縮するこ
とにより、粗生成物(100mg,100%)を得て、それをさらに精製することなく、
次の工程で直接使用した。
0.316mmol,1.0eq)とPh3P=CHCOOCH3(634mg,1.8
9mmol,6.0eq)との混合物を、80℃において3時間撹拌し、次いで、真空中
で濃縮した。残渣をPE/EA(12/1)によって溶出されるフラッシュカラムクロマ
トグラフィーで精製することにより、生成物A_007_1(65mg,55.2%)を
白色固体として得た。1H NMR: (400 MHz, CDCl3) δ 6.9
9-6.93 (dd, J1=16 Hz, J2=8.4Hz, 1H), 5.8
2-5.77 (dd, J1=15.6 Hz, J2=1.2Hz, 1H), 5
.30 (d, J=5.2Hz, 1H), 3.73 (s, 3H), 2.42
(d, J=12.4Hz, 1H), 2.14-2.11 (m, 1H), 2
.05-1.99 (m, 2H), 1.98-1.41 (m, 15H), 1.
29-1.24 (m, 2H), 1.12-1.14 (m, 1H), 1.12
(s, 3H), 1.06 (s, 3H), 1.02-0.95 (m, 1H
), 0.66 (s, 3H)。
,0.174mmol,1.0eq)とPd/C(5%,20mg)との混合物を、H2
(1気圧)下、室温において2時間撹拌した。その混合物を濾過し、濾液を真空中で濃縮
することにより、生成物A_007_2を得て(65mg,100%)、それをさらに精
製することなく、次の工程で直接使用した。
_2(65mg,0.17mmol,1.0eq)の溶液に、CH3Li(THF中1.
6M,1mL,1.7mmol,10.0eq)を窒素下で滴下した。その反応混合物を
室温まで温め、1時間撹拌した。その混合物をNH4Cl飽和水溶液(10mL)でクエ
ンチし、次いで、EAで抽出した(5mL×2)。合わせた有機層をブライン(5mL)
で洗浄し、Na2SO4で乾燥させ、真空中で濃縮することにより、粗生成物を得て、そ
れをフラッシュカラムクロマトグラフィー(溶離剤:PE/EA=8/1)によって精製
することにより、ST-200-A-007(27mg,41%)を白色固体として得た
。1H NMR: (400 MHz, CDCl3) δ 5.30 (d, J=5
.2Hz, 1H), 2.42 (d, J=15.2 Hz, 1H), 2.02
-1.96 (m, 2H), 1.86 -1.38 (m, 14H), 1.25
-1.14 (m, 4H), 1.21 (s, 6H), 1.11 (s, 3H
), 1.09-1.05 (m, 2H) 1.02 (s, 3H), 1.01-
0.94 (m, 3H), 0.61 (s, 3H)。
化合物INT Dの調製:MeOH(30mL)およびTHF(15mL)中のINT
A(2.00g,6.58mmol,1.0eq)の溶液に、CeCl3.7H2O(
2.45g,6.58mmol,1.0eq)を加えた。その反応混合物を室温において
10分間撹拌した。次いで、NaBH4(0.50g,13.16mmol,2.0eq
)をゆっくり加え、得られた混合物を室温において30分間撹拌した。TLC(PE/E
A=3/1)は、反応が完了したことを示した。その反応混合物を、NH4Cl飽和水溶
液(50mL)を加えることによってクエンチし、EAで抽出した(50mL×2)。合
わせた有機層をNa2SO4で乾燥させ、蒸発乾固させることにより、所望の生成物(1
.84g,91%)を白色固体として得た。1H NMR: (400 MHz, C
DCl3) δ 5.30 (d, J=5.2 Hz, 1H), 3.65 (t,
J=8.6 Hz, 1H), 2.43 (d, J=13.2 Hz, 1H),
2.09-1.97 (m, 3H), 1.97-1.68 (m, 3H), 1
.64-1.38 (m, 5H), 1.31-1.20 (m, 2H), 1.1
9-1.16 (m, 1H), 1.11 (s, 3H), 1.11-1.04
(m, 1H), 1.03 (s, 3H), 1.01-0.93 (m, 2H)
, 0.88-0.84 (m, 1H), 0.76 (s, 3H)。
63mmol,1.0eq)の溶液に、プロピオル酸メチル(325mg,3.30mm
ol,2.0eq)およびNMM(287mg,3.30mmol,2.0eq)を順に
加えた。その反応混合物を室温において2日間撹拌した。TLC(PE/EA=3/1)
は、反応が完了したことを示した。その反応混合物をNaHCO3飽和水溶液(20mL
)およびブライン(20mL)で洗浄し、Na2SO4で乾燥させ、蒸発乾固させること
により、粗生成物を得た。残渣を、PE:EA(15:1)で溶出されるシリカゲルクロ
マトグラフィーによって精製することにより、所望の生成物(274mg,43%)を白
色固体として得た。1H NMR: (400 MHz, CDCl3) δ 7.5
4 (d, J=12.8 Hz, 1H), 5. 29 (d, J=5.2 Hz
, 1H), 5.24 (d, J=12.8 Hz, 1H), 3.88 (t,
J=8.2 Hz, 1H), 3.68 (s, 3H), 2.42 (d, J
=13.2 Hz, 1H), 2.19-2.09 (m, 1H), 2.00-1
.89 (m, 2H), 1.88-1.84 (m, 1H), 1.80-1.7
0 (m, 2H), 1.62-1.50 (m, 5H), 1.49-1.41
(m, 2H), 1.39-1.29 (m, 1H), 1.19-1.10 (m
, 2H), 1.11 (s, 3H), 1.02 (s, 3H), 1.00-
0.91 (m, 2H), 0.79 (s, 3H)。
0.128mmol)の溶液に、5%Pd/C(50%,25mg)をアルゴン下で加え
た。その懸濁液を真空下で脱気し、H2で数回パージした。その混合物をH2バルーン下
、室温において4時間撹拌した。TLC(PE/EA=3/1)は、出発物質が完全に消
費されたことを示した。次いで、その懸濁液をセライトパッドで濾過し、そのパッドをE
Aで洗浄した(5mL×3)。合わせた濾液を濃縮乾固させることにより、生成物(48
mg,96%)を白色固体として得て、それを精製することなく、次の工程で直接使用し
た。1H NMR: (400 MHz, CDCl3) δ 5.30 (d, J
=5.2 Hz, 1H), 3.77-3.69 (m, 2H), 3.66 (s
, 3H), 3.32 (t, J=8.4 Hz, 1H), 2.56 (t,
J=6.4 Hz, 2H), 2.42 (d, J=12.4 Hz, 1H),
2.00-1.89 (m, 4H), 1.81-1.67 (m, 2H), 1.
57-1.44 (m, 6H), 1.43-1.32 (m, 1H), 1.30
-1.13 (m, 4H), 1.11 (s, 3H), 1.02 (s, 3H
), 0.99-0.91 (m, 2H), 0.74 (s, 3H)。
_2(60mg,0.16mmol,1.0eq)の溶液に、MeLi(1mL,1.6
0mmol,10.0eq,Et2O中1.6M)をN2下、-78℃において滴下した
。その反応混合物を-78℃において30分間撹拌し、次いで、さらに30分間室温まで
温めた。TLC(PE/EA=3/1)は、出発物質が完全に消費されたことを示した。
その反応混合物をNH4Cl飽和水溶液(5mL)でクエンチした。得られた溶液をEA
で抽出した(5mL×3)。合わせた有機層をブライン(10mL)で洗浄し、Na2S
O4で乾燥させ、真空中で濃縮した。残渣を、PE:EA(10:1)で溶出されるシリ
カゲルクロマトグラフィーによって精製することにより、目標の生成物(25mg,42
%)を白色固体として得た。1H NMR: (400 MHz, CDCl3) δ
5.29 (d, J=4.8Hz, 1H), 3.80-3.62 (m, 2H
), 3.27 (t, J=8.4 Hz, 1H), 2.39 (d, J=13
.2 Hz, 1H), 2.05-1.86 (m, 4H), 1.76-1.64
(m, 3H), 1.59-1.37 (m, 8H), 1.27-1.20 (
m, 1H), 1.19 (s, 6H), 1.12-1.08 (m, 2H),
1.07 (s, 3H), 0.99 (s, 3H), 0.98-0.89 (
m, 2H), 0.72 (s, 3H)。
DMSO(1mL)中のINT E(150mg,0.471mmol,1.0eq)
の溶液に、KOH(53mg,0.942mmol,2.0eq)および2,2-ジメチ
ルオキシラン(340mg,4.717mmol,10.0eq)を加えた。その反応混
合物を50℃において16時間撹拌した。TLC(PE/EA=3/1)は、出発物質が
完全に消費されたことを示した。その混合物を室温に冷却し、酢酸エチル(20mL)で
希釈し、NH4Cl飽和水溶液(10mL×2)および水(10mL×2)で洗浄した。
有機相を硫酸ナトリウムで乾燥させ、真空中で濃縮することにより、粗生成物を得て、そ
れをカラムクロマトグラフィーに続いてprep-HPLC精製によって精製することに
より、純粋な生成物ST-200-A-013を得た(14mg,8%)。1H NMR
(400MHz, CDCl3) δ 5.30 (d, J=5.2Hz, 1H)
, 3.57-3.48 (m, 1H), 3.38-3.35 (m, 1H),
3.20 (s, 2H), 2.42-2.40 (m, 1H), 2.03-1.
85 (m, 3H), 1.76 (m, 4H), 1.55-1.43 (m,
4H), 1.25 (s, 3H), 1.28-1.25 (m, 6H), 1.
17-1.13 (m, 2H), 1.11 (s, 3H), 1.06-0.96
(m, 5H), 0.92-0.79 (m, 2H), 0.65 (s, 3H
)。
DMSO(3mL)中の、化合物INT D(150mg,0.49mmol,1.0
eq)および2,2-ジメチルオキシラン(1.5g,20.8mol,42.0eq)
の溶液に、KOH(56mg,1.0mmol,2.0eq)を加え、次いで、その反応
混合物を60℃において5時間撹拌した。TLC(PE:EA=3:1)は、反応が完了
したことを示唆した。その溶液を室温に冷却し、水(10mL)で希釈し、EAで抽出し
た(5mL×2)。合わせた有機層を減圧下で濃縮することにより、粗生成物を得て、そ
れをpre-HPLCによって精製することにより、生成物(6.6mg,3.5%)を
白色粉末として得た。1H NMR: (400 MHz, CDCl3) δ 5.3
0 (d, J=5.2Hz, 1H), 3.33 (t, J=8.0Hz, 1H
), 3.29-3.22 (m, 2H), 2.40-2.50 (m, 2H),
2.05-1.85 (m, 4H), 1.82-1.65 (m, 2H), 1
.60-1.35 (m, 9H), 1.34- 1.22 (m, 1H), 1.
20-1.15 (m, 6H), 1.14-1.11 (m, 1H), 1.12
(s, 3H), 1.05 (s, 3H), 0.90-1.00 (m, 2H
), 0.79 (s, 3H)。
THF/H2O(4mL,1/1)中の化合物A_001_3(150mg,0.39
mmol,1.0eq)の溶液に、LiOH(90mg,2.20mmol,5.6eq
)を加えた。その反応物を室温において一晩撹拌した。TLC(PE/EA=3/1)は
、化合物A_001_3が完全に消費されたことを示した。その混合物を水(3mL)で
希釈し、MTBEで洗浄し(5mL×2)、次いで、1M HCl水溶液でpH=4に酸
性化した。沈殿物を濾過により回収し、真空中で乾燥させることにより、生成物を得た(
54mg,37.3%)。1H NMR: (400 MHz, CDCl3) δ 5
.30 (d, J=5.2 Hz, 2H), 2.43-2.37 (m, 1H)
, 2.37-2.33 (m, 2H), 2.05-1.93 (m, 2H),
1.90-1.79 (m, 2H), 1.78-1.61 (m, 6H), 1.
61-1.50 (m, 6H), 1.50-1.37 (m, 3H), 1.34
-1.13 (m, 4 H), 1.12 (s, 3H), 1.02 (s, 3
H), 0.93-1.01 (m, 3H), 0.61 (s, 3H)。
化合物7の調製:トルエン(450mL)中の、ケトン6(16.7g,52.71m
mol,1.0eq)およびエチレングリコール(20mL)の溶液に、p-トルエンス
ルホン酸(418mg,2.20mmol)を加えた。その反応混合物を、ディーン-ス
タークトラップを用いて一晩、加熱還流した。LCMSは、出発物質が完全に消費された
ことを示した。その混合物を室温に冷却し、酢酸エチル(400mL)で希釈し、炭酸水
素ナトリウム飽和水溶液(200mL×2)およびブライン(200mL×2)で洗浄し
た。有機相を硫酸ナトリウムで乾燥させ、真空中で濃縮することにより、粗生成物7を得
て(19.0g,100%)、それをさらに精製することなく、次の工程で直接使用した
。1H NMR: (400 MHz, CDCl3) δ 5.34 (d, J=5
.2 Hz, 2H), 4.00-3.85 (m, 4H), 3.53-3.51
(m, 1H), 2.28-2.22(m, 2H), 2.12-2.00 (m
, 1H), 1.99-1.95 (m, 1H), 1.86-1.73 (m,
5H), 1.71-1.44 (m, 8H), 1.29 (s, 3H), 1.
08 (s, 3H), 1.07 (s, 3H), 1.06-0.92 (m,
1H), 0.77 (s, 3H)。
71mmol,1.0eq)の溶液に、Dess-Martin(45.0g,105.
42mmol,2.0eq)を数回に分けて0℃において加えた。次いで、その反応混合
物を室温において3時間撹拌した。TLC(PE/EA=3/1)は、出発物質が完全に
消費されたことを示した。その混合物をNaHCO3/Na2S2O3の飽和水溶液(1
L,1/3)でクエンチした。有機相をブライン(500mL)で洗浄し、Na2SO4
で乾燥させ、溶媒を減圧下で蒸発させることにより、粗生成物8を得て(19.0g,1
00%)、それをさらに精製することなく、次の工程で直接使用した。1H NMR:
(400 MHz, CDCl3) δ 5.33 (d, J=5.2 Hz, 2
H), 4.01-3.85 (m, 4H), 3.34-3.21 (m, 1H)
, 2.82 (dd, J=16.31, 2.01 Hz, 1H), 2.59-
2.40 (m, 1H), 2.37-2.25 (m, 1H), 2.13-1.
95 (m, 5H), 1.87-1.41 (m, 13H), 1.30 (s,
3H), 1.21-1.15 (m, 5H), 0.81 (s, 3H)。
,ST-200-A-001の合成に記載されたような方法によって調製されたもの)の
溶液に、トルエン中の化合物8(19.0g,52.71mmol,1.0eq)の溶液
を窒素下、-78℃において加えた。次いで、その反応混合物をこの温度で30分間撹拌
した。MeMgBr(53mL,159mmol,3.0eq,Et2O中3M)の溶液
を-78℃において滴下した。その反応混合物を-40℃まで温め、この温度で3時間撹
拌した。TLC(PE:EA=3:1)は、出発物質が完全に消費されたことを示した。
その混合物をNH4Cl飽和水溶液(300mL)に注ぎ込み、EAで抽出した(150
mL×2)。合わせた有機相をNa2SO4で乾燥させ、溶媒を減圧下で蒸発させること
により、粗生成物を得た。その粗生成物をPE:EA(15:1)で溶出されるシリカゲ
ルクロマトグラフィーによって精製することにより、生成物(7.70g,39%)を白
色粉末として得た。1H NMR: (400 MHz, CDCl3) δ 5.3
1 (d, J=5.2 Hz, 2H), 4.01-3.85 (m, 4H),
2.42 (d, J=12 Hz, 1H), 2.04-1.96 (m, 1H)
, 1.96-1.95 (m, 2H), 1.85-1.66 (m, 5H),
1.66-1.61 (m, 2H), 1.61 -1.36 (m, 7H), 1
.33 (s, 3H), 1.26-1.13 (m, 3H), 1.11 (s,
3H), 1.05 (s, 3 H), 0.91-1.00 (m, 2 H),
0.80 (s, 3 H)。
ol,1.0eq)の溶液に、HCl水溶液(10mL,1M)およびアセトン(10m
L)を加えた。その反応混合物を室温において一晩撹拌した。TLC(PE:EA=3:
1)は、反応が完了したことを示唆した。次いで、その反応混合物をEA(50mL)で
希釈し、NaHCO3飽和水溶液で洗浄し(50mL×2)、Na2SO4で乾燥させ、
減圧下で蒸発させることにより、生成物(2.10g,88.2%)を白色粉末として得
た。1H NMR: (400 MHz, CDCl3) δ 5.31 (d, J
=5.2 Hz, 2H), 2.55-2.50 (m, 1H), 2.40 (d
, J=12Hz, 1H), 2.20 -2.19 (m, 1H), 2.15-
2.10 (m, 3H), 2.08-1.94 (m, 3H), 1.83-1.
76 (m, 1H), 1.74 -1.65 (m, 3H), 1.62 (s,
3H), 1.61-1.39 (m, 7H), 1.30-1.13 (m, 4
H), 1.12 (s, 3H), 1.01 (s, 3H), 0.61-0.6
5 (m, 3H)。
T C(700mg,2.1mmol,1.0eq)の溶液に、NaBH4(160mg
,4.2mmol,2.0feq)を5回に分けて加えた。その反応混合物を室温におい
て1時間撹拌した。TLC(PE/EA=3/1)は、出発物質が完全に消費されたこと
を示した。その混合物をNH4Cl飽和水溶液(50mL)でクエンチし、EAで抽出し
た(20mL×2)。合わせた有機層を水(20mL)およびブライン(20mL)で洗
浄し、硫酸ナトリウムで乾燥させ、真空中で濃縮することにより、所望の生成物A_02
2_1を得た(600mg,86%)。
5mL)中のA_022_1(570mmol,1.717mmol,1.0eq)の溶
液に、TEA(867mg,8.585mmol,5.0eq)およびDMAP(63m
g,0.515mmol,0.3eq)を加えた。次いで、BzCl(961mg,6.
867mmol,4.0eq)を滴下した。得られた混合物を室温において16時間撹拌
し、次いで、1M HCl水溶液を加えることによって、中和した。水層を分離し、DC
Mで抽出した(10mL×3)。合わせた有機層をNaHCO3飽和水溶液(10mL)
およびブライン(10mL)で洗浄し、硫酸ナトリウムで乾燥させ、真空中で濃縮した。
残渣を、PE:EA(15:1)で溶出されるシリカゲルクロマトグラフィーによって精
製することにより、生成物(360mg,46.6%)を白色(write)固体として
得て、それをSFC分離に適用することにより、目標のST-200-A-022(10
0mg)およびST-200-A-023(70mg)を得た。1H NMR(ST-2
00-A-022): (400 MHz, CDCl3) δ 8.06 (d, J
=7.2 Hz, 2H), 7.61-7.50 (m, 1H), 7.49-7.
40 (m, 2H), 5.30 (d, J=5.2 Hz, 2H), 5.19
-5.08 (m, 1H), 2.40 (d, J=12Hz, 1H), 2.0
3-1.86 (m, 3H), 1.85-1.64 (m, 5H), 1.58-
1.30 (m, 7H), 1.27 (d, J=6.0 Hz, 3H), 1.
23-1.06 (m, 6H), 1.01-0.83 (m, 5H), 0.68
(s, 3H). 1H NMR(ST-200-A-023): (400 MH
z, CDCl3) δ 8.01 (d, J=8.4Hz, 2H), 7.58-
7.50 (m, 1H), 7.47-7.39 (m, 2H), 5.31 (d
, J=6.0 Hz, 2H), 5.24-5.14 (m, 1H), 2.43
(d, J=13.2Hz, 1H), 2.05-1.87 (m, 4H), 1
.82-1.61 (m, 5H), 1.55-1.38 (m, 4H), 1.3
6 (d, J=6.0 Hz, 3H), 1.29-1.14 (m, 4H),
1.12 (s, 3H), 1.04-0.95 (m, 4H), 0.74 (s
, 3H)。
エタノール(10mL)中の化合物ST-200-A-001(65mg,0.167
mmol,1.0eq)の溶液に、Pd/C(10%,15mg)をN2下で加えた。そ
の懸濁液を真空下で脱気し、H2で数回パージした。次いで、その混合物を50psiの
水素圧力下、60℃において24時間撹拌した。TLC(PE:EA=3:1)は、反応
が完了したことを示した。その懸濁液をセライトパッドで濾過し、そのパッドをエタノー
ルで洗浄した(5mL×2)。合わせた濾液を濃縮乾固させることにより、粗生成物を得
て、それをPE:EA(10:1)で溶出されるシリカゲルクロマトグラフィーによって
精製することにより、生成物(28mg,43%)を白色粉末として得た。1H NMR
: (400 MHz, CDCl3) δ 1.90-1.87 (m, 1H),
1.75-1.60 (m, 4H), 1.82-1.65 (m, 2H), 1.
55-1.30 (m, 12H), 1.27-1.23 (m, 6H), 1.2
2 (s, 6H), 1.18-0.95 (m, 8H), 0.82 (s, 3
H), 0.72 -0.65 (m, 1H), 0.55 (s, 3H)。
製
EtOH(30mL)中の化合物ST-200-A-003(40.0mg,0.10
mmol,1.0eq)の溶液に、Pd/C(10mg)を加えた。その混合物を50p
siの水素圧力下、60℃において一晩撹拌した。1H NMRは、反応が完了したこと
を示唆した。次いで、その混合物をセライトパッドで濾過し、濾液を減圧下で蒸発させた
。残渣を、シリカゲルにおけるカラムクロマトグラフィー(溶離剤:PE:EA=2:1
)によって精製することにより、純粋な生成物ST-200-C-003(12.0mg
,29.8%)およびST-200-C-003A(0.8mg,2.3 %)を白色粉
末として得た。1H NMR (ST-200-C-003): (400 MHz,
CDCl3) δ 1.97-1.83 (m, 2H), 1.65-1.55 (m
, 7H), 1.55-1.42 (m, 4H), 1.41-1.2841 (m
, 6H), 1.27-1.21 (m, 5H), 1.20 (s, 6H),
1.16-0.95 (m, 7H), 0.92 (d, J=6.27 Hz, 3
H), 0.81 (s, 3 H), 0.65 (s, 3 H). 1H N
MR (ST-200-C-003A): (400 MHz, CDCl3) δ 1
.98-1.79 (m, 4H), 1.64-1.53 (m, 6H), 1.5
2 -1.29 (m, 7H), 1.25-1.22 (m, 6H), 1.22
(s, 3H), 1.20 (s, 3H), 1.05 (s, 3H), 0.
96 (s, 3H), 0.91 (d, J=6.53 Hz, 3H), 0.8
6-0.80 (m, 2H), 0.65 (s, 3H)。
化合物10の調製:エタノール(400mL)中の、化合物1(28.0g,0.09
7mol,1.0eq)とPd/C(3.5g)との混合物を、40psiの水素圧力下
、室温において一晩水素化した。その懸濁液をセライトパッドで濾過し、そのパッドをエ
タノールで洗浄した(20mL×3)。合わせた濾液を濃縮乾固させることにより、生成
物(28.0g,0.097mol,100%)を白色固体として得た。1H NMR
(400 MHz, CDCl3) δ 3.63-3.53 (m, 1H), 2.
42 (dd, J=19.2, 8.4 Hz, 1H), 2.11-2.06 (
m, 1H), 19.6-1.87 (m, 1H) , 1.83-1.09 (m
, 18H) , 1.04-0.91 (m, 2H) , 0.85 (s, 3H
) , 0.82 (s, 3H)。
7mol,1.0eq)およびエチレングリコール(30mL)の溶液に、p-トルエン
スルホン酸(0.7g,3.64mmol)を加えた。その反応混合物を、ディーン-ス
タークトラップを用いて一晩加熱還流した。LCMSは、出発物質が完全に消費されたこ
とを示した。その混合物を室温に冷却し、酢酸エチル(250mL)で希釈し、炭酸水素
ナトリウム飽和水溶液(100mL×2)およびブライン(100mL×2)で洗浄した
。有機相を硫酸ナトリウムで乾燥させ、真空中で濃縮することにより、粗生成物11を得
て(30.0g,0.090mol,93%)、それをさらに精製することなく、次の工
程で直接使用した。1H NMR: (400 MHz, CDCl3) δ4.02-
3.78 (m, 4H), 3.68-3.48 (m, 1H), 2.04-1.
92 (m, 1H), 1.80-1.54 (m, 8H), 1.46 -1.3
2 (m, 5H), 1.31-1.19(m, 5H), 1.14-1.05 (
m, 1H), 1.02-0.86 (m, 2H), 0.83 (s, 3 H)
, 0.80 (s, 3 H), 0.72-0.61 (m, 1 H)。
0mol,1.0eq)の溶液に、Dess-Martin酸化体(76.0g,0.1
80mol,2.0eq)を0℃において加えた。その反応混合物を0℃において30分
間、次いで、室温において2時間撹拌した。LCMSは、出発物質が完全に消費されたこ
とを示した。その混合物を、飽和NaHCO3/Na2SO3の混合水溶液(200mL
,1/3)でクエンチし、次いで、DCM(250mL)で希釈した。有機層を炭酸水素
ナトリウム飽和水溶液(100mL×2)およびブライン(100mL×2)で洗浄し、
硫酸ナトリウムで乾燥させ、真空中で濃縮することにより、粗生成物12を得て(24.
0g,0.072mol,80%)、それをさらに精製することなく、次の工程で直接使
用した。
eq,ST-200-A-001の合成に記載されたような方法によって調製されたもの
)の溶液に、化合物12(24.0g,0.072mol,1.0eq)を-78℃にお
いて滴下し、その混合物を、窒素下、-78℃において30分間撹拌した。次いで、Me
MgBr(72mL,2.16mol,3.0eq,エーテル中3M)を-78℃におい
て滴下し、得られた混合物を同じ温度において2時間撹拌した。LCMSは、出発物質が
完全に消費されたことを示した。その反応混合物をNH4Cl4飽和水溶液(400mL
)に注ぎ込み、EAで抽出した(exacted)(300mL×2)。合わせた有機層
をブラインで洗浄し(200mL×2)、硫酸ナトリウムで乾燥させ、真空中で濃縮した
。残渣を、PE:EA(15:1)で溶出されるシリカゲルクロマトグラフィーによって
精製することにより、生成物13(16.0g,0.046mol,72%)を白色固体
として得た。1H NMR: (400 MHz, CDCl3) δ 3.95-3.
88 (m, 2 H), 3.87-3.82 (m, 2 H), 2.02-1.
92 (m, 1 H) , 1.84-1.73 (m, 1 H), 1.71-1
.50 (m, 9 H), 1.50-1.43 (m, 1 H) ,1.42-1
.33 (m, 4 H), 1.33-1.28 (m 1 H), 1.27-1.
19 (m, 7 H) ,1.08-0.88 (m, 2 H) , 0.83 (
s, 3 H) ,0.81 (s, 3 H)。
よびTHF(350mmL)中の化合物13(16.0g,46.0mmol,1.0e
q)の混合物を、室温において一晩撹拌し、次いで、水(200mL)で希釈し、CO2
が放出されなくなるまで、固体NaHCO3で中和した。その混合物をEAで抽出した(
300mL×2)。合わせた有機層を、ブラインで洗浄し(200mL×2)、硫酸ナト
リウムで乾燥させ、真空中で濃縮することにより、生成物INT G(14.0g,46
.0mmol,100%)を白色固体として得た。
1H NMR: (400 MHz, CDCl3) δ 2.44 (dd, J=1
9.20, 8.41 Hz, 1 H), 2.13-2.01 (m, 1 H)
,1.98-1.89 (m, 1 H) , 1.85-1.76 (m, 2 H)
, 1.69-1.60 (m, 3 H), 1.59-1.42 (m, 5 H)
,1.33-1.13 (m, 10 H), 1.08-0.94 (m, 2 H
), 0.86 (s, 3 H), 0.84 (s, 3 H), 0.68-0.
77 (m, 1 H)。
mmol,5.0eq)の溶液に、THF(5mL)中のt-BuOK(442mg,3
.94mmol,5.0eq)の溶液を室温において加えた。1時間撹拌した後、THF
(5mL)中のINT G(0.2g,0.657mmol,1.0eq)の溶液を滴下
した。その反応混合物を3時間還流し、次いで、室温に冷却し、NH4Cl飽和水溶液(
50mL)でクエンチし、EAで抽出した(20mL×2)。合わせた有機層をブライン
(20mL)で洗浄し、硫酸ナトリウムで乾燥させ、真空中で濃縮することにより、粗生
成物を得て、それをフラッシュカラムクロマトグラフィー(溶離剤:PE/EA=15/
1)によって精製することにより、化合物14(180mg,90%)を白色固体として
得た。1H NMR: (400 MHz, CDCl3) δ 4.62 (d, J
=6.4Hz, 2H), 2.51-2.44 (m, 1H), 2.24-2.2
2 (m, 1H), 1.82-1.78 (m, 1H), 1.75-1.30
(m, 9H), 1.29-1.11 (m, 11H), 1.03-0.95 (
m, 3H), 0.83 (s, 3H), 0.77 (s, 3H), 0.72
-0.68 (m, 1H)。
5.00mmol,8.0eq)の溶液に、THF(10mL)中の化合物14(0.9
5g,3.14mmol,1.0eq)の溶液を滴下した。その反応混合物を60℃に加
熱し、20時間撹拌した。その混合物を0℃に冷却し、10%NaOH水溶液(20mL
)に続いて30%H2O2水溶液(10mL)を加えた。得られた混合物を0℃において
2時間撹拌し、次いで、EAで抽出した(10mL×2)。合わせた有機層をブライン(
10mL)で洗浄し、硫酸ナトリウムで乾燥させ、真空中で濃縮することにより、粗生成
物を得て、それをフラッシュカラムクロマトグラフィー(溶離剤:PE/EA=10/1
)によって精製することにより、INT I(0.63g,63%)を白色固体として得
た。1H NMR: (400 MHz, CDCl3) δ 3.74-3.69 (
dd, J1=10.4Hz, J2=6.8Hz, 1H), 3.56-3.52
(dd, J1=10.4Hz, J2=7.6Hz, 1H), 1.86-1.80
(m, 2H), 1.69-1.44 (m, 11H), 1.41-1.26
(m, 4H), 1.25-1.21 (m, 5H), 1.19-0.99 (m
, 5H), 0.93-0.91 (m, 5H), 0.81 (s, 3H),
0.74-0.68 (m, 1H), 0.64 (s, 3H)。
g,1.56mmol,1.0eq)の溶液に、Dess-Martin試薬(1.3g
,3.12mmol,2.0eq)を加えた。その反応混合物を室温まで温め、2時間撹
拌した。その混合物を、水(20mL)中のNaS2O3(5g)およびNaHCO3(
1.5g)の溶液に注ぎ込み、EAで抽出した(20mL×2)。合わせた有機層をブラ
イン(20mL)で洗浄し、硫酸ナトリウムで乾燥させ、真空中で濃縮することにより、
粗生成物を得て(500mg,100%)、それをさらに精製することなく、次の工程で
直接使用した。
1.57mmol,1.0eq)とPh3P=CHCOOCH3(3.1g,8.27m
mol,6.0eq)との混合物を80℃において3時間撹拌した。その混合物を真空中
で濃縮し、残渣をフラッシュカラムクロマトグラフィー(溶離剤:PE/EA=12/1
)によって精製することにより、生成物C_007_1(188mg,32%)を白色固
体として得た。
mg,0.5mmol,1.0eq)とPd/C(5%,60mg)との混合物を、H2
(1気圧)下、室温において2時間撹拌した。その混合物を濾過し、濾液を真空中で濃縮
することにより、生成物C_007_2を得て(189mg,100%)、それをさらに
精製することなく、次の工程で直接使用した。
007_2(100mg,0.26mmol,1.0eq)の溶液に、CH3Li(TH
F中1.6M,1.6mL,2.6mmol,10.0eq)を窒素下で滴下した。その
反応混合物を室温まで温め、1時間撹拌した。NH4Cl飽和水溶液(10mL)を加え
ることにより、その反応をクエンチし、その混合物をEAで抽出した(10mL×2)。
合わせた有機層をブライン(10mL)で洗浄し、硫酸ナトリウムで乾燥させ、真空中で
濃縮することにより、粗生成物を得て、それをフラッシュカラムクロマトグラフィー(溶
離剤:PE/EA=8/1)によって精製することにより、目標のST-200-C-0
07(32.7mg,32.7%)を白色固体として得た。1H NMR: (400
MHz, CDCl3) δ 1.82-1.81 (m, 1H), 1.75-1.
57 (m, 7H), 1.56-1.26 (m, 10H), 1.24 (s,
3H), 1.20 (s, 6H), 1.18-0.83 (m, 10H),
0.81 (s, 3H), 0.71-0.66 (m, 1H), 0.58 (s
, 3H)。
化合物INT Hの調製:MeOH(20mL)およびTHF(8mL)中のINT
G(1.00g,3.28mmol,1.0eq)の溶液に、CeCl3.7H2O(1
.22g,3.28mmol,1.0eq)を加えた。次いで、NaBH4(0.25g
,6.56mmol,2.0eq)を5回に分けて加え、その混合物を室温において1時
間撹拌した。その反応物スラリーをNH4Cl飽和水溶液(50mL)でクエンチし、E
Aで抽出した(20mL×3)。合わせた有機層をブライン(30mL)で洗浄し、硫酸
ナトリウムで乾燥させ、真空中で濃縮することにより、所望の生成物(0.97g,97
%)を白色固体として得た。1H NMR: (400MHz, CDCl3) δ
3.62 (t, J=8.4 Hz, 1H), 2.10-2.04 (m, 1H
), 1.79-1.77 (m, 1H), 1.70-1.35 (m, 13H)
, 1.31-1.15 (m, 11H), 1.14-0.84 (m, 5H),
0.81 (s, 3H), 0.72 (s, 3H), 0.70-0.61 (
m, 1H)。
63mmol,1.0eq)の溶液に、NMM(830mg,8.21mmol,5.0
eq)およびプロピオル酸メチル(690mg,8.21mmol,5.0eq)を加え
た。その混合物を室温において16時間撹拌し、次いで、水(30mL)およびブライン
(30mL)で洗浄し、硫酸ナトリウムで乾燥させ、真空中で濃縮した。残渣を、PE:
EA(15:1)で溶出されるシリカゲルクロマトグラフィーによって精製することによ
り、生成物(500mg,78.6%)を白色固体として得た。1H NMR: (40
0MHz, CDCl3) δ= 7.53 (d, J=12.4 Hz, 1H),
5.24 (d, J=12.4 Hz, 1H), 3.86 (t, J=8.4
Hz, 1H), 3.68 (s, 3H), 2.18-2.06 (m, 1H
), 1.84-1.81 (m, 1H), 1.70-0.85 (m, 30H)
, 0.81 (s, 3H), 0.78 (s, 3H), 0.72-0.64
(m, 1H)。
.289mmol,1.0eq)の溶液に、Pd/C(10%,50mg)を加えた。そ
の懸濁液を真空下で脱気し、H2で数回パージした。その混合物を、30psiの水素圧
力下、30℃において16時間撹拌した。TLC(PE/EA=3/1)は、その反応が
完了したことを示した。その懸濁液をセライトパッドで濾過し、そのパッドをEAで洗浄
した(20mL×5)。合わせた濾液を真空中で濃縮することにより、生成物(430m
g,85.5%)を白色固体として得た。
100mg,0.256mmol,1.0eq)の溶液に、MeLi(1.3mL,2.
048mmol,8.0eq)を、N2下、-78℃において滴下した。得られた混合物
をこの温度で0.5時間撹拌し、次いで、その温度を室温まで昇温させ、この温度でさら
に1時間撹拌した。TLC(PE/EA=3/1)は、その反応が完了したことを示した
。その混合物をNH4Cl飽和水溶液でクエンチし、EAで抽出した(10mL×3)。
合わせた有機層をブライン(10mL)で洗浄し、硫酸ナトリウムで乾燥させ、真空中で
濃縮した。残渣を、PE:EA(10:1)で溶出されるシリカゲルクロマトグラフィー
によって精製することにより、生成物(30mg,30%)を白色固体として得た。1H
NMR (400MHz, CDCl3) δ3.86 (s, 1H), 3.78
-3.61 (m, 2H), 3.29 (t, J=8.3 Hz, 1H), 2
.10-1.95 (m, 1H), 1.90-1.81 (m, 1H), 1.7
4 (t, J=5.6 Hz, 2H), 1.69-1.61 (m, 3H),
1.55-1.28 (m, 9H), 1.24-1.22 (m, 9H), 1.
22-0.83 (m, 8H), 0.81 (s, 3H), 0.74 (s,
3H), 0.69-0.62 (m, 1H)。
DMSO(1mL)中のINT I(150mg,0.469mmol,1.0eq)
の溶液に、KOH(53mg,0.937mmol,2.0eq)および2,2-ジメチ
ルオキシラン(337mg,4.687mmol,10.0eq)を加えた。その反応混
合物を50℃において16時間撹拌した。TLC(PE/EA=10/1)は、出発物質
が完全に消費されたことを示した。その混合物を室温に冷却し、酢酸エチル(20mL)
で希釈し、NH4Cl飽和水溶液(10mL×2)および水(10mL×2)で洗浄した
。有機相を硫酸ナトリウムで乾燥させ、真空中で濃縮することにより、粗生成物を得て、
それをカラムクロマトグラフィーに続いてprep-HPLCによって精製することによ
り、純粋な生成物ST-200-C-013を得た(26mg,15.8%)。1H N
MR: (400 MHz, CDCl3) δ 3.72 (dd, J=7.3,
9.3 Hz, 1H), 3.35 (dd, J=6.8, 9.3 Hz, 1H
), 3.21 (s, 2H), 2.34 (s, 1H), 1.84-1.80
(m, 1H), 1.79-1.63 (m, 5H), 1.54-1.27 (
m, 8H), 1.25 (s, 3H), 1.19 (s, 6H), 1.18
-0.83 (m, 7H), 0.81 (s, 3H), 0.74-0.65 (
m, 1H), 0.63 (s, 3H)。
製
EtOH(10mL)中の、ST-200-A-017(60mg,0.159mmo
l,1.0eq)およびPd/C(10mg)の溶液を、50psiの水素圧力下、50
℃において16時間撹拌した。その反応溶液をセライトパッドで濾過し、濾液を真空中で
濃縮した。残渣を、PE:EA(20:1)で溶出されるシリカゲルクロマトグラフィー
によって精製することにより、ST-200-C-017(21mg)およびST-20
0-C-017A(4.6mg)を白色固体として得た。1H NMR (ST-200
-C-017): (400 MHz, CDCl3) δ 3.73-3.71 (m
, 1H), 3.31 (t, J=8.4Hz, 1H), 3.27-3.22
(m, 2H), 2.48 (s, 1H), 2.01-1.91 (m, 1H)
, 1.88-1.84 (m, 1H), 1.68-1.52 (m, 4H),
1.51-1.49 (m, 4H), 1.47-1.42 (m, 1H), 1.
31 - 1.24 (m, 7H), 1.20-1.83 (m, 6H), 1.
15-1.10 (m, 1H), 1.03-0.95 (m, 2H), 0.90
-0.85 (m, 1H), 0.81 (s, 3H), 0.65 (s,3H)
, 0.70-0.61 (m, 1H). 1H NMR (ST-200-C-01
7a): (400 MHz, CDCl3) δ 3.33 (t, J=8.4Hz
, 1H), 3.27-3.22 (m, 2H), 2.45 (s, 1H),
2.10-1.91 (m, 1H), 1.89-1.78 (m, 3H), 1.
69-1.61 (m, 1H), 1.58-1.51 (m, 1H), 1.50
-1.30 (m, 7H), 1.29-1.24 (m, 5H), 1.20 (
s, 3H), 1.29-1.10 (m, 8H), 1.09-1.01 (m,
1H), 0.98 (s, 3H), 0.75 (s, 3H)。
化合物BB-2の調製:Steroids(2006)71:18に記載されているよ
うに調製された、THF(35mL)中のBB-1(1.75g,4.06mmol)の
溶液を窒素下において0℃に冷却した。塩化メチルマグネシウム(THF中22%(w/
w),19.5mL,58.1mmol)を滴下した。0℃での撹拌を15分間続け、反
応混合物を室温まで昇温させ、撹拌を2時間続けた。NH4Cl飽和水溶液(5mL)を
ゆっくり加えた。沈殿物が形成され、水(10mL)を加えることによってそれを溶解し
た。EtOAc(50mL)およびブライン(20mL)を加えた。層を分離した。水層
をEtOAcで抽出した(2×50mL)。合わせた有機層をNa2SO4で乾燥させ、
溶媒を真空中で除去した。残渣をジクロロメタン(50mL)と同時蒸発させた。BB-
2(1.54g,3.95mmol,97%)をオフホワイトの固体として得た。1HN
MR (400 MHz, CDCl3): δ(ppm): 5.32 - 5.43
(1H, m), 3.46 - 3.61 (1H, m), 1.20 (3H,
s), 1.19 (3H, s), 1.01 (3H, s), 0.93 (3
H, d, J = 6.6 Hz), 0.68 (3H, s)。
9mL)中の塩化オキサリル(0.622mL,7.26mmol)の溶液を窒素下で-
78℃に冷却した。ジメチルスルホキシド(0.60mL,8.47mmol)をゆっく
り加えた。25分後、CHCl3(38mL)中のBB-2(0.470g,1.209
mmol)の溶液を25分間にわたって滴下した。その溶液を-78℃において2.5時
間撹拌した。トリエチルアミン(3.36ml,24.19mmol)を-78℃におい
て滴下した。撹拌を15分間続けた。冷却浴を除去し、撹拌を10分間続けた。NH4C
l飽和水溶液(10mL)を加え、反応混合物を5分間撹拌した。ジクロロメタン(50
mL)および水(20mL)を加えた。層を分離し、有機層を水(20mL)で洗浄した
。合わせた水層をブライン(20mL)で希釈し、EtOAcで抽出した(2×75mL
)。合わせた有機層をNa2SO4で乾燥させ、溶媒を真空中で除去した。フラッシュク
ロマトグラフィー(ヘプタン,5%~30%EtOAc)によって、BB-3(238m
g,0616mmol,51%)を白色固体として得た。1HNMR (400 MHz
, CDCl3): δ(ppm): 5.31 - 5.38 (1H, m), 3
.22 - 3.34 (1H, m), 2.83 (1H, dd, J = 16
.4 Hz, 2.1 Hz), 2.41 - 2.54 (1H, m), 2.2
5 - 2.34 (1H, m), 1.95 - 2.08 (3H, m), 1
.82 -1.93 (1H, m), 1.21 (3H, s), 1.20 (3
H, s), 1.19 (3H, s), 0.94 (3H, d, J = 6.
5 Hz), 0.71 (3H, s)。
火炎乾燥したフラスコにおいて、THF(脱気したもの,3mL)を、無水塩化セリウム
(III)(0.319g,1.29mmol)に加えた。その懸濁液をRTにおいて一
晩撹拌した。粒子の細かい白色懸濁液をそのグローブボックスから取り出した。THF(
乾燥,1mL)を加え、その(thew)混合物をアルゴン下、RTにおいて15分間撹
拌した。アルゴン下において、その粒子の細かい白色懸濁液を-78℃に冷却した。この
温度において、Et2O中1.6Mのメチルリチウム(0.79mL,1.27mmol
)を滴下した。黄色の懸濁液が形成され、それを-78℃において1.5時間撹拌した。
THF(乾燥,2mL)中のBB-3(0.100g,0.259mmol)の溶液を5
分間にわたって滴下した。その反応混合物の色は、黄色から茶色に変化した。反応混合物
を-78℃において45分間撹拌した。冷却浴を除去し、反応混合物を10分間撹拌した
。5%AcOH水溶液(2mL)を加えた。反応混合物は、無色透明の溶液に変化した。
EtOAc(10mL)を加えた。混合物をRTまで昇温させた。層を分離し、水層をE
tOAcで抽出した(2×10mL)。合わせた有機層を硫酸ナトリウムで乾燥させ、溶
媒を真空中で除去した。フラッシュクロマトグラフィー(H,5%~20%EtOAc)
により、化合物A2(3α-OH)(33mg,0.082mmol;63.5%)およ
び化合物A2(3β-OH)(13mg,0.032mmol;25.0%)を得た(3
α-OH):1H-NMR (400 MHz, CDCl3): δ(ppm): 5
.43 - 5.38 (m, 1H), 2.46 - 2.37 (m, 1H),
2.05 - 1.80 (m, 4H), 1.73 - 1.23 (m, 15
H), 1.22 (s, 3H), 1.20 (s, 3H), 1.19 (s,
3H), 1.18 - 0.99 (m, 9H), 0.98 (s, 1H),
0.94 (d, J = 6.5 Hz, 3H), 0.68 (s, 3H).
(3β-OH): 1H-NMR (400 MHz, CDCl3): δ(ppm
): 5.34 - 5.28 (m, 1H), 2.47 - 2.38 (m,
1H), 2.07 - 1.92 (m, 3H), 1.91 - 1.66 (m
, 3H), 1.63 - 1.24 (m, 13H), 1.20 (s, 3H
), 1.19 (s, 3H), 1.18 - 1.12 (m, 3H), 1.
11 (s, 3H), 1.10 - 1.02 (m, 2H), 1.01 (s
, 3H), 1.00 - 0.94 (m, 1H), 0.93 (d, J =
6.5 Hz, 3H), 0.91 - 0.82 (m, 1H), 0.68
(s, 3H)。
グローブボックス内の、火炎乾燥したフラスコにおいて、THF(脱気したもの,1.
5mL)を、無水塩化セリウム(III)(0.207g,0.841mmol)に加え
た。その懸濁液をRTにおいて一晩撹拌した。粒子の細かい白色懸濁液をそのグローブボ
ックスから取り出し、アルゴン下で15分間撹拌した。アルゴン下において、その粒子の
細かい白色懸濁液を-78℃に冷却した。この温度において、ベンゼン/シクロヘキサン
中0.5Mのエチルリチウム(1.68mL,0.841mmol)を滴下した。黄色の
懸濁液が形成され、それを-78℃において30分間撹拌した。THF(乾燥,1.5m
L)中のBB-3(0.065g,0.168mmol)の溶液を3分間にわたって滴下
した。その反応混合物の色は、黄色から茶色に変化した。反応混合物を-78℃において
45分間撹拌した。茶色の乳濁した懸濁液が得られ、TLC(H/E;2:1)は、出発
物質の完全な変換およびより極性のスポットの形成を示した。冷却浴を除去し、反応混合
物を10分間撹拌した。5%AcOH水溶液(2mL)を加えた。ブライン(2mL)を
加えた後、反応混合物は、無色透明の溶液に変化した。EtOAc(5mL)を加えた。
混合物をRTまで昇温させた。層を分離し、水層をEtOAcで抽出した(2×5mL)
。合わせた有機層を硫酸ナトリウムで乾燥させ、溶媒を真空中で除去した。60mgの白
色固体が得られた。AgNO3(H,5%~20%EtOAc)を含浸させたシリカゲル
における分離によって、化合物A28(3α-OH)(6mg,0.014mmol;8
.56%)および化合物A28(3β-OH)(4mg,0.0096mmol;5.7
1%)が得られた。(3α-OH):1H-NMR (400 MHz, CDCl3)
: δ(ppm): 5.45 - 5.38 (m, 1H), 2.40 - 2.
33 (m, 1H), 2.05 -1.93 (m, 2H), 1.92 - 1
.80 (m, 2H), 1.75 - 1.23 (m, 15H), 1.20
(s, 3H), 1.19 (s, 3H), 1.18 - 0.98 (m, 7
H), 0.97 (s, 3H), 0.96 - 0.90 (m, 6H), 0
.89 - 0.81 (m, 2H), 0.68 (s, 3H). (3β-OH
): 1H-NMR (400 MHz, CDCl3): δ(ppm): 5.33
- 5.25 (m, 1H), 2.41 - 2.31 (m, 1H), 2.
06 - 1.93 (m, 3H), 1.90 - 1.78 (m, 1H),
1.77 - 1.23 (m, 20H), 1.20 (s, 3H), 1.19
(s, 3H), 1.17 - 1.05 (m, 5H), 1.03 (s,
3H), 1.01 - 0.95 (m, 1H), 0.93 (d, J = 6
.5 Hz, 3H), 0.92 - 0.88 (m, 1H), 0.84 (t
, J = 7.4 Hz, 3H), 0.67 (s, 3H)。
化合物B6aの調製。無水酢酸(15.36ml,164mmol)を、窒素雰囲気下
、ピリジン(90ml)中のスティグマステロール(Stigmasterol)(22
.5g,54.5mmol)の懸濁液に加え、その混合物を室温において42時間インキ
ュベートした。TLC[ヘプタン(2):酢酸エチル(1)]は、p-アニスアルデヒド
染色後に、より高い溶出性の生成物への完全な変換を示した。その反応混合物に水(30
0ml)を加えることにより、過剰な無水酢酸をクエンチした。1時間撹拌した後、白色
固体を濾過し、水で念入りに洗浄した(9×250ml)。その白色固体を、ビーカー1
杯の水酸化ナトリウムの存在下、40℃の真空オーブンにおいて週末にわたって乾燥させ
ることにより、生成物B6a(24.63g,54.2mmol,収率=99%)を白色
粉末として得た。B6aを、以下の実験においてそのまま使用した。1HNMR (40
0 MHz, CDCl3) δ(ppm): 5.38-5.37 (1H, m),
5.15 (1H, dd, J=15.1, 8.6 Hz), 5.01 (1H
, dd, J=15.1, 8.6 Hz), 4.64-4.56 (1H, m)
, 2.33-2.31 (2H, m), 2.03 (3H, s), 1.90-
1.82 (2H, m), 1.75-1.65 (1H, m), 1.02 (6
H, t, J=3.2 Hz), 0.86-0.78 (9H, m), 0.68
(3H, s)。
,32.7mmol)の溶液に、臭素(1.754ml,34.1mmol)を加え、そ
の溶液を窒素雰囲気下で-5℃に冷却した。n-ヘプタン(700ml)中のスティグマ
ステリル(Stigmasteryl)アセテートB6a(13.5g,29.7mmo
l)の溶液もまた窒素雰囲気下で-5℃に冷却し、激しく撹拌し、上で調製された溶液を
、その溶液の淡黄色を維持するように、窒素雰囲気下で2.5時間にわたって滴下した。
得られた溶液を一晩撹拌し、次いで、濾過した。TLC[ヘプタン(9):酢酸エチル(
1)]は、バニリン染色後に、わずかに溶出性が低い生成物への完全な変換を示した。そ
の溶液を、乾固するまで真空下で濃縮した。残渣を、カラム(900g)クロマトグラフ
ィー[ヘプタン(95):ジイソプロピルエーテル(5)]によって精製した。純粋な生
成物を含む画分を回収し、減圧下で蒸発させることにより、B6b(9.06g,14.
7mmol,収率=50%)を白色粉末として得た。B6bを、以下の実験においてその
まま使用した。1HNMR (400 MHz, CDCl3) δ(ppm): 5.
48 (1H, sep, J=5.4 Hz), 5.15 (1H, dd, J=
15.1, 8.6 Hz), 5.02 (1H, dd, J=15.1, 8.6
Hz), 4.84 (1H, brd), 2.05 (3H, s), 1.46
(3H, s), 1.01 (3H, d, J=6.6 Hz), 0.90-0
.79 (15H, m), 0.72 (3H, s)。
およびピリジン(3.05ml,37.7mmol)中の5α,6β-ジブロモスティグ
マスタン(Dibromostigmastan)-3β-イルアセテートB6b(8.
11g,13.20mmol)の溶液を、液体窒素/酢酸エチル浴において冷却した。そ
の溶液に、オゾンリッチ酸素流を、焼結ガラス噴霧器を通じて1時間通した。反応混合物
の色は、わずかに青色になった。TLC[ヘプタン(9):酢酸エチル(1)]は、UV
254において、出発物質の完全な変換を示した。オゾン分解反応を停止した。その反応
混合物を直ちに氷酢酸(33.2ml,581mmol)と亜鉛末(21.57g,33
0mmol)との混合物に注ぎ込み、室温において一晩撹拌した。その溶液を濾過し、水
(200ml)、10%炭酸水素ナトリウム水溶液(200ml)、5%水酸化ナトリウ
ム水溶液(200ml)およびブライン(200ml)で連続的に洗浄し、次いで、無水
硫酸ナトリウムで乾燥させた。溶媒を蒸発させることにより、粗コレスタ-5-エン-3
β-オール-22-アールB6cを得て、それをフラッシュカラム(300g)クロマト
グラフィー[ヘプタン(100=>90):酢酸エチル(0=>10)]によって精製し
た。生成物を含む画分を回収し、減圧下で蒸発させることにより、コレスタ-5-エン-
3β-オール-22-アールB6c(2.58g,6.93mmol,収率=53%)を
白色粉末として得た。B6cを、以下の実験においてそのまま使用した。1HNMR (
400 MHz, CDCl3) δ(ppm): 9.57 (1H, d, J=3
.3 Hz), 5.38 (1H, brd), 4.65-4.56 (1H, m
), 2.41-2.28 (3H, m), 2.04 (3H, s), 2.03
-1.92 (2H, m), 1.91-1.81 (3H, m), 1.13 (
3H, d, J=6.8 Hz), 1.03 (3H, s), 0.73 (3H
, s)。
メトキシメチル)トリフェニル-ホスホニウムクロリド(0.789g,2.30mmo
l)の溶液に、ヘキサン類中1.6Mのn-BuLi(1.342mL,2.15mmo
l)を加えた。その溶液を室温において5分間撹拌した後、乾燥THF(1.3mL)中
のB6c(0.2g,0.54mmol)を加えた。その混合物を室温において30分間
撹拌した。その反応混合物をNH4Cl飽和水溶液(75mL)に注ぎ込み、CH2Cl
2(50mL)で2回抽出した。合わせた有機層を、ブラインで洗浄し、Na2SO4に
おいて乾燥させ、粗生成物をフラッシュカラムクロマトグラフィー(シリカ,ヘプタン/
酢酸エチル,1:0->88:12)によって精製することにより、B6dを得た(10
3mg,0.29mmol,収率=54%)。B6dは、NMRによると、1:1のE/
Z混合物として得られた。1HNMR (400 MHz, CDCl3) δ(ppm
): 6.24 (0.5H, d, J=12.6 Hz), 5.74 (0.5H
, d, J=6.2 Hz), 5.34 (1H, brd), 4.59 (0.
5H, dd, J=12.5, 9.3 Hz), 4.17 (0.5H, dd,
J=9.8, 6.3 Hz), 3.58-3.46 (1H, m), 3.55
(1.5H, s), 3.47 (1.5H, s), 2.67-2.54 (0
.5H, m), 2.33-2.18 (2H, m), 2.04-1.78 (6
H, m), 1.77-1.65 (1H, m), 1.04 (1.5H, d,
J=6.6 Hz), 1.01 (3H, s), 0.98 (1.5H, d,
J=6.7 Hz), 0.72 (1.5H, s), 0.69 (1.5H,
s)。
下のピリジン(3mL)中のB6d(0.1g,0.279mmol)の懸濁液に加え、
その混合物を室温において42時間インキュベートした。その反応混合物に水(60mL
)を加えることにより、過剰な無水酢酸をクエンチした。1時間撹拌した後、白色固体を
濾過し、水で念入りに洗浄した(9×250mL)。その白色固体を、40℃の真空オー
ブンにおいて一晩乾燥させることにより、生成物B6eを得た(111mg,0.28m
mol,収率=99%)。1HNMR (400 MHz, CDCl3) δ(ppm
): 6.24 (0.5H, d, J=12.6 Hz), 5.73 (0.5H
, d, J=6.2 Hz), 5.37 (1H, brd), 4.66-4.5
5 (1H, m), 4.59 (0.5H, dd, J=12.5, 9.3 H
z), 4.17 (0.5H, dd, J=9.8, 6.3 Hz), 3.55
(1.5H, s), 3.47 (1.5H, s), 2.66-2.54 (0
.5H, m), 2.35-2.28 (2H, m), 2.03 (3H, s)
, 2.02-1.91 (3H, m), 1.90-1.81 (2H, m),
1.77-1.66 (1H, m), 1.04 (1.5H, d, J=6.6
Hz), 1.02 (3H, s), 0.99 (1.5H, d, J=6.6
Hz), 0.72 (1.5H, s), 0.69 (1.5H, s)。
l)の溶液に、0.1M HCl水溶液(1mL,0.10mmol)を加えた。得られ
た白色懸濁液を室温において1時間撹拌した後、70℃において1時間および室温におい
て一晩撹拌した。その混合物を70℃で2時間加熱し、室温に冷却し、H2O(50mL
)で希釈した。その反応混合物を乾固するまで蒸発させ、MeOH(50mL)およびC
H2Cl2(10mL)と同時蒸発させた。これは、所望の生成物とジメチルアセタール
との混合物であるとみられる。アセトン(10mL)中のこの混合物(0.12g,0.
28mmol)の溶液に、0.1M HCl水溶液(1mL,0.10mmol)を加え
た。得られた白色懸濁液を70℃において2時間撹拌した。1,4-ジオキサン(5mL
)を加え、それにより、不溶性物質を溶解させた。その反応混合物をさらに2時間70℃
に加熱し、室温まで冷却させ、週末にわたって撹拌した。その反応混合物をH2O(50
mL)で希釈し、CH2Cl2で抽出した(3×50mL)。合わせた有機層をブライン
で洗浄し、Na2SO4において乾燥させ、溶媒を蒸発させた。その粗生成物をCH2C
l2(10mL)と同時蒸発させることにより、B6fを得た(119mg,0.31m
mol,収率=111%)。1HNMR (400 MHz, CDCl3) δ(pp
m): 9.75 (1H, m), 5.37, (1H, brd), 4.66-
.454 (1H, m), 2.47 (1H, dd, J=15.8, 2.4
Hz), 2.36-2.28 (2H, m), 2.17 (1H, ddd, J
=15.8, 9.3, 3.3 Hz), 2.03 (3H, s), 1.02
(3H, d, J=6.4 Hz), 1.02 (3H, s), 0.70 (3
H, s)。
ール(5mL)、乾燥THF(1mL)および2-メチル-2-ブテン(0.512mL
,4.84mmol)に溶解した。その溶液を撹拌し、冷浴を用いて冷却した。その溶液
に、脱塩水(3ml)中の、NaClO2(0.028g,0.313mmol)および
K2HPO4(0.043g,0.313mmol)の溶液を5分間にわたってゆっくり
加え、その混合物を0℃において2時間撹拌した。その混合物を室温において一晩撹拌し
た。その反応混合物に、H2O(3mL)に溶解された、追加のNaClO2(0.02
8g,0.313mmol)およびK2HPO4(0.043g,0.313mmol)
をゆっくり加え、撹拌を2時間続けた。その反応混合物をNH4Cl飽和水溶液(250
mL)に注ぎ込み、CH2Cl2(75mL)で3回抽出した。合わせた有機層をNa2
SO4で乾燥させ、濾過し、減圧下で蒸発させた。白色固体残渣(2.26g,163%
)を石油エーテル40-60(10mL)中でトリチュレートした(triturate
d)。その白色固体を濾過し、石油エーテル40-60(5mL)で2回洗浄し、0.5
時間にわたって風乾させることにより、B6fを得た(0.089g,0.22mmol
,収率=78%)。1HNMR (400 MHz, CDCl3) δ(ppm):
10.0 (1H, bs), 5.37 (1H, brd), 4.66-4.55
(1H, m), 2.53-2.44 (1H, m), 2.36-2.26 (
2H, m), 2.04 (3H, s), 1.04 (3H, d, J=6.4
Hz), 1.02 (3H, s), 0.72 (3H, s)。
mmol)の溶液に、塩化オキサリル(0.048mL,0.56mmol)およびDM
F(cat)を加えた。その溶液を室温において2時間撹拌した。その反応混合物を乾燥
MeOH(150mL,3703mmol)で希釈し、すべての固体が溶解するまで40
℃において撹拌した。その反応混合物を、乾固するまで蒸発させ、粗生成物をフラッシュ
カラムクロマトグラフィー(シリカ,ヘプタン/酢酸エチル,1:0->95:5)によ
って精製し、THFと2回同時蒸発させることにより、B6hを得た(85mg,0.2
0mmol,収率=91%)。1HNMR (400 MHz, CDCl3) δ(p
pm): 5.37 (1H, brd), 4.66-4.55 (1H, m),
3.66 (3H, s), 2.43 (1H, dd, J=14.1, 2.9
Hz), 2.38-2.25 (2H, m), 2.04 (3H, s), 1.
02 (3H, s), 0.99 (3H, d, J=6.2 Hz), 0.72
(3H, s)。
l)の溶液をアルゴン雰囲気下において0℃に冷却した。THF中3.0MのMeMgC
l(0.68mL,2.04mmol)を、注射器を使用して滴下した。その反応混合物
を0℃において1時間撹拌した後、室温において2時間撹拌した。THF中3.0MのM
eMgCl(0.68mL,2.04mmol)を再度室温において加え、一晩撹拌を続
けた。その反応混合物をNH4Cl飽和水溶液(75mL)でクエンチし、CH2Cl2
で3回抽出した(3×50mL)。合わせた有機層をブラインで洗浄し、Na2SO4に
おいて乾燥させ、粗生成物をフラッシュカラムクロマトグラフィー(シリカ,ヘプタン/
酢酸エチル,1:0->4:1)によって精製することにより、B6(45mg,0.1
2mmol,収率=59%)を白色綿毛状固体として得た。1HNMR (400 MH
z, CDCl3) δ(ppm): 5.35 (1H, brd), 3.53 (
1H, sep, J=5.1 Hz), 2.34-2.17 (2H, m), 2
.03 (1H, dt, J=12.6, 3.3 Hz), 2.01-1.94
(1H, m), 1.93-1.79 (3H, m), 1.23 (6H, s)
, 1.06 (3H, d, J=6.5 Hz), 1.01 (3H, s),
0.72 (3H, s)。
化合物B7dの調製:コレスタ-5-エン-3β-オール-22-アールB7c(1.
33g,3.57mmol)をt-ブタノール(75ml)、テトラヒドロフラン(乾燥
)(15ml)および2-メチル-2-ブテン(13.22ml,125mmol)に溶
解した。その溶液を撹拌し、冷浴を用いて冷却した。脱塩水(45ml)中の、亜塩素酸
ナトリウム(0.355g,3.93mmol)およびリン酸二水素カリウムp.a.(
0.534g,3.93mmol)の調製したばかりの溶液を、上記溶液に30分間にわ
たってゆっくり加え、その混合物を0℃において2時間撹拌した。氷浴を除去し、その混
合物の温度を室温に上げ、一晩撹拌した。TLC[ヘプタン(2):酢酸エチル(1)]
は、バニリン染色後に、より低い溶出性の生成物への部分的な変換を示した。その反応混
合物に、水(45ml)に溶解された、追加の亜塩素酸ナトリウム(0.355g,3.
93mmol)およびリン酸二水素カリウムp.a.(0.534g,3.93mmol
)をゆっくり加え、撹拌を2時間続けた。TLC[ヘプタン(2):酢酸エチル(1)]
は、バニリン染色後に、より低い溶出性の生成物への完全な変換を示した。その反応混合
物を塩化アンモニウム飽和水溶液(250ml)に注ぎ込み、ジクロロメタン(100m
l)で3回抽出した。合わせた有機層を硫酸ナトリウムで乾燥させ、濾過し、減圧下で蒸
発させた。残渣を、トルエン(50ml)に続いてジクロロメタン(50ml)で2回ス
トリッピングした(stripped)。白色固体残渣(2.26g,163%)を石油
エーテル40-60(10ml)中で0.5時間トリチュレートした。その白色固体を濾
過し、石油エーテル40-60(10ml)で2回洗浄し、0.5時間風乾させることに
より(真空ポンプをオンにしたままで)、B7d(1.27g,3.26mmol,収率
=91%)を白色粉末として得た。B7dを、以下の実験においてそのまま使用した。1
HNMR (400 MHz, CDCl3) δ(ppm): 10.31 (1H,
bs), 5.37 (1H, brd), 4.65-4.56 (1H, m),
2.47-2.39 (1H, m), 2.36-2.26 (2H, m), 2
.04 (3H, s), 2.01-1.92 (2H, m), 1.90-1.7
6 (3H, m), 1.24 (3H, d, J=6.8 Hz), 1.02
(3H, s), 0.71 (3H, s)。
メタン(10ml)に溶解した。塩化オキサリル(0.044mL,0.515mmol
)およびN,N-ジメチルホルムアミド(1滴)を加え、その反応混合物を1時間撹拌し
た。その反応物のサンプルをメタノールに注ぎ、乾固するまで蒸発させ、TLC[ヘプタ
ン(3):酢酸エチル(1)]で分析したところ、それは、バニリン染色後に、メチルエ
ステルへの完全な変換を示した。その反応混合物をメタノール(50mL,1234mm
ol)(モレキュラーシーブで乾燥させたもの)で希釈し、減圧下で蒸発させ、無水トル
エンおよびジクロロメタンでストリッピングした。残渣を、フラッシュカラム(4g)ク
ロマトグラフィー[ヘプタン(99=>80):酢酸エチル(1=>20)]によって精
製した。生成物を含む画分を回収し、減圧下で蒸発させることにより、B7eを得た(0
.104g,0.257mmol,収率=100%)。B7eを、トルエン(2×5ml
)、ジクロロメタン(2×5ml)および無水テトラヒドロフラン(2×5ml)でスト
リッピングし、次の反応工程においてそのまま使用した。1HNMR (400 MHz
, CDCl3) δ(ppm): 5.37 (1H, brd), 4.65-4.
56 (1H, m), 3.65 (3H, s), 2.47-2.38 (1H,
m), 2.36-2.26 (2H, m), 2.03 (3H, s), 2.
01-1.92 (2H, m), 1.90-1.82 (2H, m), 1.19
(3H, d, J=6.8 Hz), 1.02 (3H, s), 0.69 (
3H, s)。
トラヒドロフラン(乾燥)(2.6ml)に溶解し、アルゴン下の氷浴において冷却した
。20分後、THF中3.0Mの塩化メチルマグネシウム(0.861ml,2.58m
mol)を、注射器を介して滴下した。いくらかの気体の放出が観察された。その反応混
合物を0.5時間撹拌した後、冷浴を除去し、撹拌を2時間続けた。TLC[ヘプタン(
3):酢酸エチル(1)]は、バニリン染色後に、出発物質から2つのより低い溶出性の
生成物への完全な変換を示した。撹拌を1時間続けた。その反応混合物を、撹拌しながら
塩化アンモニウム飽和水溶液(75ml)に注ぎ、ジクロロメタンで抽出した(3×50
ml)。抽出物を合わせ、硫酸ナトリウムで乾燥させ、蒸発させた。残渣を、メタノール
(2ml)中で0.5時間トリチュレートし、白色固体を濾過し、濾過残渣をメタノール
(2ml)で洗浄した。フィルター上には、ほとんど材料は残らず、その大部分は濾液中
に存在した。濾液および濾過残渣を合わせ、フラッシュカラムクロマトグラフィー[ヘプ
タン(99=>70):酢酸エチル(1=>30)]によって精製した。生成物を含む画
分を回収し、減圧下で蒸発させた。残渣を、40℃の真空オーブンにおいて一晩乾燥させ
ることにより、B7(0.044g,0.122mmol,収率=47%)を白色固体と
して得た。1HNMR (400 MHz, CDCl3) δ(ppm): 5.35
(1H, m), 3.53 (1H, sep, J=5.2 Hz), 2.34
-2.19 (2H, m), 2.10 (1H, dt, J=12.6, 3.4
Hz), 2.03-1.88 (2H, m), 1.88-1.79 (2H,
m), 1.20 (3H, s), 1.15 (3H, s), 1.00 (3H
, s), 0.98 (3H, d, J=6.9 Hz), 0.73 (3H, s)
。
化合物B8bの調製。火炎乾燥した丸底フラスコにおいて、テトラヒドロフラン(乾燥
)(1ml)中のNaHMDS(0.070ml,0.349mmol)の溶液を、-7
8℃のテトラヒドロフラン(乾燥)(1ml)中のシリルオキシホスホネートエステルB
8a(0.143g,0.403mmol)の溶液に加えた。その溶液を、アルゴン雰囲
気下、-78℃において15分間撹拌した。次いで、テトラヒドロフラン(乾燥)(1m
l)中のコレスタ-5-エン-3β-オール-22-アールB7c(0.1g,0.26
8mmol)の溶液を、注射器を介してゆっくり加えた。その反応混合物を室温までゆっ
くり温め、20時間撹拌した。TLC[ヘプタン(3):酢酸エチル(1)]は、バニリ
ン染色後に、より高い溶出性の生成物への部分的な変換を示した。その反応混合物を、塩
化アンモニウム飽和水溶液(50ml)を加えることによってクエンチし、ジクロロメタ
ンで抽出した(3×50ml)。合わせた有機層を水(50ml)で洗浄し、硫酸ナトリ
ウムで乾燥させ、真空中で濃縮した。残渣を、フラッシュカラム(4g)クロマトグラフ
ィー[ヘプタン(100=>90):ジイソプロピルエーテル(0=>10)]によって
精製した。生成物を含む画分を回収し、減圧下で蒸発させることにより、生成物B8b(
0.117g,0.187mmol,収率=70%)を白色粉末として得た。NMRによ
ると、E異性体とZ異性体との7:3混合物が得られた。1HNMR (400 MHz
, CDCl3) δ(ppm): 5.70 (1H, d, J=10.4 Hz)
, 5.23 (1H, brd), 5.17-5.13 (1H, m), 4.5
1-4.40 (1H, m), 4.11-4.00 (2H, m), 3.16-
3.07 (0.3H[Z異性体], m), 2.68-2.57 (0.7H[E異
性体], m), 2.20-2.10 (2H, m), 1.89 (3H, s)
, 1.89-1.77 (2H, m), 1.75-1.67 (2H, m),
0.89-0.85 (6H, m), 0.84-0.77 (10H, m), 0
.59 (0.9H[Z異性体], s), 0.57 (2.1H[E異性体], s
), 0.05-0.00 (6H, m)。
シウム(0.080g,0.524mmol)を、窒素雰囲気下、0℃のアセトニトリル
(無水)(4ml)中のB8b(0.1g,0.175mmol)の懸濁液に加えた。得
られた混合物を0℃において30分間撹拌し、室温において2時間撹拌した。LCMS-
NQAD(酸)は、不確かな生成物質量で、出発物質から生成物にほとんど変換されてい
ないことを示した。その反応混合物にジクロロメタン(2ml)を加えたところ、その反
応混合物は、直ちに黄色の透明溶液に変化した。その反応混合物を一晩撹拌した。その反
応混合物に追加のフッ化セシウム(0.080g,0.524mmol)を加え、撹拌を
24時間続けた。その反応混合物に再度、追加のフッ化セシウム(0.080g,0.5
24mmol)を加え、撹拌を4時間続けた。TLC[ヘプタン(3):酢酸エチル(1
)]は、出発物質がまだ少しその反応混合物中に存在することを示したが、その反応混合
物をジクロロメタン(75ml)で希釈し、炭酸水素ナトリウム飽和水溶液(50ml)
で洗浄した。有機層を硫酸ナトリウムで乾燥させ、減圧下で濃縮した。残渣を、フラッシ
ュカラム(25g)クロマトグラフィー[ヘプタン(100=>90):酢酸エチル(0
=>10)]によって精製することにより、残っている出発物質を除去した(TLCにお
いてのみ可視である)。生成物を含む画分を回収し、減圧下で蒸発させることにより、生
成物B8cを得た(0.051g,0.111mmol,収率=64%)。1HNMR
(400 MHz, CDCl3) δ(ppm): 5.37 (1H, brd),
4.65-4.55 (1H, m), 4.31, (2H, q, J=7.1
Hz), 2.89 (1H, dd, J=16.8, 3.0 Hz), 2.57
(1H, dd, J=16.8, 9.9 Hz), 2.37-2.25 (2H
, m), 2.04 (3H, s), 2.09-1.91 (2H, m), 1
.90-1.77 (3H, m), 1.37 (3H, t, J=7.1 Hz)
, 1.02 (3H, s), 0.97 (3H, d, J=6.5 Hz),
0.72 (3H, s)。
1mmol)の溶液を窒素雰囲気下、氷浴において0.5時間冷却した。ジエチルアミノ
硫黄トリフルオリド(DAST)(0.027ml,0.222mmol)を加え、その
反応混合物を室温まで昇温させ、一晩撹拌した。追加のジエチルアミノ硫黄トリフルオリ
ド(DAST)(0.027ml,0.222mmol)を加え、撹拌を20時間続けた
。TLC[ヘプタン(3):酢酸エチル(1)]は、バニリン染色後に、出発物質がまだ
完全に消費されていないことを示した。LCMS-ELSD(塩基):m/z(+)=4
21を有するrt=3.43における47%生成物が、所望の生成物に対応し、アセテー
ト基が排除される[M-CH3COOH+H]+。その反応混合物をジクロロメタン(5
0ml)で希釈し、飽和炭酸水素ナトリウム(50ml)で洗浄した。水層を分離し、ジ
クロロメタン(50ml)で2回抽出した。抽出物を、先の有機層と合わせ、硫酸ナトリ
ウムで乾燥させ、減圧下で蒸発させた。残渣を、フラッシュカラムクロマトグラフィー[
ヘプタン(100=>90):酢酸エチル(0=>90)]によって精製した。生成物を
含む画分を回収し、減圧下で蒸発させ、ジクロロメタン(5ml)でストリッピングする
ことにより、生成物B8dを得た(0.027g,0.056mmol,収率=51%)
。1HNMR (400 MHz, CDCl3) δ(ppm): 5.37 (1H
, brd), 4.65-4.55 (1H, m), 4.32, (2H, q,
J=7.1 Hz), 2.37-2.28 (2H, m), 2.27-2.09
(1H, m), 2.03 (3H, s), 2.04-1.92 (2H, m
), 1.90-1.81 (3H, m), 1.35 (3H, t, J=7.1
Hz), 1.06 (3H, d, J=6.1 Hz), 1.02 (3H,
s), 0.88 (6H, t, J=6.8 Hz), 0.70 (3H, s)
。
雰囲気下でテトラヒドロフラン(乾燥)(1ml)に溶解した。その混合物を氷浴におい
て15分間冷却し、THF中2.4Mの水素化アルミニウムリチウム(0.047ml,
0.112mmol)を徐々に加えた。いくらかの気体の放出が観察された。その反応混
合物を冷却し、1時間撹拌した。TLC[ヘプタン(3):酢酸エチル(1)]は、バニ
リン染色後に、主に1つのより低い溶出性の生成物への完全な変換を示した。氷浴を除去
し、撹拌を1時間続けた。その反応混合物を塩化アンモニウム飽和水溶液(50ml)で
クエンチし、ジクロロメタン(50ml)で3回抽出した。合わせた抽出物を硫酸ナトリ
ウムで乾燥させ、減圧下で蒸発させた。残渣を、フラッシュカラム(4gシリカ)クロマ
トグラフィー[ヘプタン(100=>85):酢酸エチル(0=>15)]によって精製
した。生成物を含む画分を回収し、減圧下で蒸発させた。残渣を、メタノールの入ったバ
イアル(4ml)に移し、そのメタノールを、窒素流の下、37℃において蒸発させた。
残渣を、40℃の真空オーブンにおいて一晩乾燥させることにより、生成物B8を得た(
0.011g,0.028mmol,収率=49%)。1HNMR (400 MHz,
CDCl3) δ(ppm): 5.35 (1H, m), 3.71 (2H,
t, J=12.8 Hz), 3.58-3.48 (1H, m), 2.35-2
.18 (2H, m), 2.15-1.93 (3H, m), 1.92-1.7
3 (5H, m), 1.70-1.40 (9H, m), 1.08 (3H,
d, J=6.5 Hz), 1.01 (3H, s), 0.72 (3H, s)
。
アルゴン下の火炎乾燥したフラスコにおいて、THF(乾燥,2mL)中の、BB-1
(100mg,0.23mmol)およびチタン(IV)イソプロポキシド(0.07m
L,0.23mmol)の溶液を0℃に冷却した。エチルマグネシウムブロミド(THF
中1.0M,1.16mL)を滴下した。反応混合物を0℃において15分間撹拌したと
ころ、TLC(H/E;2:1)は、出発物質および2つの新しいスポットを示した。反
応混合物をRTまで昇温させ、撹拌を1時間続けた。次いで、反応混合物を0℃に冷却し
、エチルマグネシウムブロミド(THF中1.0M,1.16mL)を滴下した。反応混
合物を0℃において15分間撹拌した。TLC(H/E;2:1)は、完全な変換および
単一の新しいスポットを示した。その反応混合物をEt2O(2mL)で希釈した。NH
4Cl飽和水溶液(2mL)およびH2O(2mL)を0℃において加えた。固体を綿で
濾別し、濾過ケークをEt2O(10mL)で洗浄した。無色の層を分離し、水層を、E
t2O(20mL)およびEt2OとEtOAcとの混合物(20mL;1:1)で抽出
した。有機層をNa2SO4で乾燥させ、溶媒を真空中で除去した。125mgの白色固
体が得られた。フラッシュクロマトグラフィー(ヘプタン,5%~30%EtOAc)に
より、化合物B10を得た(37mg,0.096mmol;41.2%)。1H-NM
R (400 MHz, CDCl3) δ(ppm): 5.36-5.35 (m,
1H), 3.58 - 3.46 (m, 1H), 2.32 - 2.21 (
m, 2H), 2.03 - 1.93 (m, 2H), 1.91 - 1.80
(m, 3H) 1.77 (s, 1H), 1.69 - 1.37 (m, 1
0H), 1.34 - 0.82 (m, 9H), 1.01 (s, 3H),
0.93 (d, J = 6.6 Hz, 3H), 0.75 - 0.71 (m
, 2H), 0.69 (s, 3H), 0.46 - 0.39 (m, 2H)
。
化合物B13aの調製。0℃のピリジン(15ml)中のBB-2(762mg,1.
961mmol)の溶液に、無水酢酸(0.185ml,1.961mmol)およびD
MAP(23.95mg,0.196mmol)を加えた(ゆっくり溶解するわずかに黄
色がかった懸濁液)。その混合物をRTにおいて一晩撹拌した。TLC(ヘプタン/Et
OAc 2:1)は、完全な変換を示した。そのRMをEtOAc(100ml)および
水(100ml)で希釈し、層を分離した。水層をEtOAcで抽出した(2×)。有機
層を合わせ、水(3×)およびブラインで洗浄し、Na2SO4で乾燥させ、濃縮した。
得られた固体を、トルエン、EtOHおよびDCMと3回、同時蒸発させた。その材料を
フラッシュクロマトグラフィー(40grシリカ,ヘプタン中4~40%EtOAc,D
CMとともにローディング)によって精製した。化合物B13a(687mg,1.59
5mmol;81%)を白色固体として得た。1HNMR (300MHz, CDCl
3): δ(ppm): 5.37 (1H, d, 5.1 Hz), 4.60 (
1H, m), 1.99 (3H, s), 1.20 (6H, s), 1.01
(3H, s), 0.93 (3H, d, J = 6.6 Hz), 0.68
(3H, s)。
687mg,1.595mmol)の溶液に、TMS-N3(0.233ml,1.75
5mmol)に続いてBF3.OEt2(0.842ml,3.19mmol)を加えた
。その混合物をRTにおいて2時間撹拌した。TLCは、より高い溶出性のスポットへの
ほぼ完全な変換を示した。不純物が存在した。さらに30分撹拌し、その後、そのRMを
2M NaOH(25ml)およびDCM(25ml)で希釈した。層を分離した。水層
をDCMで抽出した(2×)。有機層を合わせ、ブラインで洗浄し、Na2SO4で乾燥
させ、濃縮し、
フラッシュクロマトグラフィー(flash chromatgraphy)(40gr
シリカ,ヘプタン中4~40%EtOAc,DCMとともにローディング)によって精製
することにより、化合物B13bを得た(660mg,1.376mmol;86%)。
1HNMR (300MHz, CDCl3): δ(ppm): 5.37 (1H,
d, 4.8 Hz), 4.60 (1H, m), 2.03 (3H, s),
1.20 (6H, s), 1.01 (3H, s), 0.93 (3H, d
, J = 6.6 Hz), 0.68 (3H, s)。
化合物B13b(660mg,1.448mmol)の溶液に、Et2O中のLiAlH
4(0.797ml,3.19mmol)を加えた(白色懸濁液が形成された)。その混
合物を0℃において30分間およびRTにおいて1時間撹拌し、その後、TLCは、低い
溶出性のスポット(アミン)へのSMの完全な変換を示した。その混合物を、再度0℃に
冷却し、水(0.057ml,3.19mmol)およびNaOHの4M水溶液(0.7
97ml,3.19mmol)を加えた。RTにおいて30分間撹拌し、ジエチルエーテ
ルおよびTHFを用いてセライトで濾過した。有機層をNa2SO4で乾燥させ、溶媒を
蒸発させた。その粗生成物を重力カラムクロマトグラフィー(100grシリカ,DCM
とともにローディング)によって精製した。まず、そのカラムをDCM:MeOH(95
:5)で溶出することにより、すべての不純物を洗い流した。次いで、そのカラムをDC
M:MeOH中7M NH3(95:5)で溶出することにより、化合物B13を得た(
400mg,1.032mmol;71.2%)。1HNMR (300MHz, CD
Cl3): δ(ppm): 5.35 (1H, d, 5.1 Hz), 3.51
(1H, m), 1.07 (6H, s), 1.01 (3H, s), 0.
93 (3H, d, J = 6.6 Hz), 0.68 (3H, s)。
熱することによってテトラヒドロフラン(乾燥)(2ml)に溶解し、次いで、MeI(
8.07μl,0.129mmol)(10mLのTHF中の81マイクロリットルのM
eIの原液から1mL)およびK2CO3(21.39mg,0.155mmol)を加
えた。rtにおいて一晩撹拌した。固体を濾別し、水で洗浄し、乾燥させた。その混合物
を、DCM/MeOH中7N NH397.5/2.5、15ml/分、1分間の画分に
おいて実施される12g充填済みフラッシュカラム(GraceResolve(商標)
)において精製した。このようにして、化合物B14(18mg,0.045mmol,
34.7%)を得た。1HNMR (400MHz, CDCl3): δ(ppm):
5.35 (1H, d, 4.8 Hz), 3.53 (1H, m), 2.3
0 (3H, s), 1.02 (9H, s), 0.93 (3H, d, J
= 6.6 Hz), 0.68 (3H, s)。
化合物B17aの調製。1-(3-ジメチルアミノプロピル)-3-エチルカルボジイ
ミド塩酸塩(EDCI)(0.282g,1.468mmol)および1-ヒドロキシ-
7-アザベンゾトリアゾール(HOAt)(0.018g,0.133mmol)を、0
℃において、窒素雰囲気下のジクロロメタン(15ml)中の、3β-ヒドロキシコラン
酸(hydroxy cholenic acid)(0.5g,1.335mmol)
、N,O-ジメチルヒドロキシルアミン塩酸塩(0.143g,1.468mmol)お
よびN,N-ジイソプロピルエチルアミン(0.256ml,1.468mmol)の溶
液に加えた。その反応混合物を、週末にわたって室温まで昇温させた。追加の1-(3-
ジメチルアミノプロピル)-3-エチルカルボジイミド塩酸塩(EDCI)(0.282
g,1.468mmol)および1-ヒドロキシ-7-アザベンゾトリアゾール(HOA
t)(0.018g,0.133mmol)を加え、撹拌を2時間続けた。その反応物を
ジクロロメタン(100ml)で希釈し、0.5N硫酸水素カリウム水溶液(75ml)
および炭酸水素ナトリウム飽和水溶液(75ml)で洗浄し、硫酸ナトリウムで乾燥させ
、減圧下で蒸発させた。残渣を、フラッシュカラム(4gシリカ)クロマトグラフィー[
ヘプタン(80=>66):酢酸エチル(20=>33)]によって精製した。生成物を
含む画分を回収し、減圧下で蒸発させた。残渣を、メタノールでストリッピングし、40
℃において一晩乾燥させることにより、B17a(0.495g,1.185mmol,
収率=89%)を白色粉末として得た。1HNMR (400 MHz, CDCl3)
δ(ppm): 5.36-5.35 (1H, m), 3.69 (3H, s)
, 3.58-3.48 (1H, m), 3.18 (3H, s), 2.49-
2.41 (1H, m), 2.37-2.20 (3H, m), 2.03-1.
96 (2H, m), 1.96-1.75 (4H, m), 1.01 (3H,
s), 0.95 (3H, d, J=6.5 Hz), 0.69 (3H, s
)。
mmol)をテトラヒドロフラン(乾燥)(5ml)に溶解し、-75℃に冷却した。ジ
エチルエーテル中のメチルマグネシウムブロミド3.0M(0.798ml,2.394
mmol)を滴下した(発熱性で、温度は-40℃に上昇した)。滴下の後、その反応混
合物を-75℃に低下させた。冷浴を除去し、その反応混合物を20分間にわたって室温
まで昇温させ、5時間撹拌した。TLC[ヘプタン(2):酢酸エチル(1)]は、バニ
リン染色後に、より高い溶出性の生成物への完全な変換を示した。その反応混合物を、塩
化アンモニウム飽和水溶液(75ml)を加えることによってクエンチし、ジクロロメタ
ンで抽出した(2×75ml)。合わせた抽出物を硫酸ナトリウムで乾燥させ、減圧下で
蒸発させた。残渣を、フラッシュカラム(4g)クロマトグラフィー[ヘプタン(80=
>66):酢酸エチル(20=>33)]によって精製した。生成物を含む画分を回収し
、減圧下で蒸発させた。残渣を、メタノールでストリッピングし、40℃において一晩乾
燥させることにより、B17b(0.117g,0.314mmol,収率=66%)を
白色固体として得た。生成物を次の工程でそのまま使用した。1HNMR (400 M
Hz, CDCl3) δ(ppm): 5.36-5.34 (1H, m), 3.
56-3.48 (1H, m), 2.50-2.30 (2H, m) 2.30-
2.19 (2H, m), 2.14 (3H, s), 2.02-1.94 (2
H, m), 1.90-1.81 (3H, m), 1.01 (3H, s),
0.91 (3H, d, J=6.5 Hz), 0.67 (3H, s)。
雰囲気下でエタノール(Abs)(5ml)に溶解し、0℃に冷却した。水素化ホウ素ナ
トリウム(0.018g,0.471mmol)を一度に加え(発泡しないように注意す
る)、その反応混合物を室温までゆっくり昇温させた。3時間撹拌した後、TLC[ヘプ
タン(2):酢酸エチル(1)]は、バニリン染色後に、出発物質の完全な消費を示した
。過剰な水素化ホウ素ナトリウムを、塩化アンモニウム飽和水溶液(50ml)を用いて
分解した。その反応混合物をジクロロメタンで抽出した(3×50ml)。抽出物を合わ
せ、硫酸ナトリウムで乾燥させ、減圧下で蒸発させた。残渣を、40℃の真空オーブンに
おいて一晩乾燥させることにより、B17(0.105g,0.280mmol,収率=
89%)を白色固体として得た。1HNMR (400 MHz, CDCl3) δ(
ppm): 5.36-5.34 (1H, m), 3.75 (1H, q, J=
5.8 Hz), 3.53 (1H, sep, J=5.5 Hz), 2.32-
2.20 (2H, m), 2.02-1.95 (2H, m), 1.90-1.
79 (3H, m), 1.19 (3H, dd, J=6.1, 2.1 Hz)
, 1.01 (3H, s), 0.93 (3H, d, J=5.5 Hz),
0.68 (3H, s)。
3β-ヒドロキシコラン酸(0.1g,0.267mmol)を、アルゴン雰囲気下で
テトラヒドロフラン(乾燥)(5ml)に懸濁した。THF中2.4Mの水素化アルミニ
ウムリチウム(0.222ml,0.534mmol)を徐々に加えた。いくらかの気体
の放出が観察された。その反応混合物を60℃に加熱し、一晩撹拌した。TLC[ヘプタ
ン(2):酢酸エチル(1)]は、モリブデン染色後に、より高い溶出性の生成物への完
全な変換を示した。酢酸エチル(50ml)および水(50ml)を慎重に加えることに
より、過剰な試薬を無効にした。不溶性物質を濾過し、酢酸エチルで洗浄した(3×5m
l)。洗液を濾液と合わせ、有機相を分離した。水相を酢酸エチル(25ml)でさらに
2回抽出し、合わせた抽出物をブライン(75ml)で洗浄し、硫酸ナトリウムで乾燥さ
せ、減圧下で蒸発させることにより、生成物B18(0.032g,0.089mmol
,収率=33%)を白色粉末として得た。1HNMR (400 MHz, CDCl3
) δ(ppm): 5.36-5.35 (1H, m), 3.65-3.58 (
2H, bs), 3.57-3.48 (1H, m), 2.32-2.20 (2
H, m), 2.03-1.93 (2H, m), 1.89-1.79 (3H,
m), 1.01 (3H, s), 0.94 (3H, d, J=6.5 Hz
), 0.68 (3H, s)。
化合物C12の調製。化合物C12e(300mg,0.720mmol)をテトラヒ
ドロフラン(乾燥)(7ml)に溶解し、アルゴン下で4℃に冷却した。次いで、THF
中3Mの塩化メチルマグネシウム(2.400ml,7.20mmol)を、その温度が
7℃を超えないような速度で注射器を介して加えた。4℃において20分間、次いで、r
tにおいて撹拌した。2時間後、TLCは、完全な反応を明らかにした。そのrxを、N
H4Clの飽和撹拌溶液に投下し、EtOAcで抽出した(2×)。すべての生成物が有
機層に溶解することを確実にするために、いくらかのMeOHを加えた。抽出物を乾燥さ
せ(ブライン、Na2SO4)、蒸発させた。残渣を、少量のMeOH(約5ml)中で
撹拌し、白色固体を濾別し、乾燥させた:化合物C12(168mg,0.448mmo
l;62.3%)。1HNMR (400MHz, DMSO-D6): δ(ppm)
: 5.36 (1H, d, 4.6 Hz), 4.61 (1H, d, J=4
.3 Hz), 4.03 (1H, s), 3.26 (1H, m), 2.32
(1H, m), 1.03 (6H, s), 0.87 (3H, d, J=6
.6 Hz), 0.65 (3H, s)。
ル(Abs)(10ml)に溶解し、パラジウム,10%木炭担持(18.90mg,0
.018mmol)を加えた。そのrxに窒素、連続して水素を流した。それをrtにお
いて激しく撹拌した。2時間後のLCMSは、完全な変換を示唆したのに対して、TLC
は、いかなる変化も示さなかった。そのrxに再度、窒素を流し、Pd/Cをフリットチ
ューブ(fritted tube)(3フリット)で濾別した。Pd/Cはなおも濾液
中に存在した。EtOHを蒸発させ、残渣をDCMに溶解し、小さな綿栓で濾過した。こ
れにより、透明の溶液が得られた。DCMを蒸発させることにより、化合物C32aを得
た(68mg,0.162mmol;91%収率)。さらに精製することなく、そのまま
使用した。1HNMR (400MHz, CDCl3): δ(ppm): 4.68
(1H, m), 3.66 (3H, s), 2.02 (3H, s), 0.
91 (3H, d, J=6.6 Hz), 0.66 (3H, s)。
ロフラン(乾燥)(1.5ml)に溶解し、アルゴン下で0℃に冷却した。次いで、塩化
メチルマグネシウム(0.541mL,1.624mmol)を加えた。激しい気体の放
出が見られる。0℃において撹拌し、3分後、rtにおいて撹拌した。2時間後、少しの
塩化メチルマグネシウム(0.1mL,0.300mmol)をさらに加えた。rtで一
晩撹拌した。翌日、そのrxを50mlのNH4Cl飽和水溶液に注ぎ込み、EtOAc
で3回抽出した。EtOAcを乾燥させ(ブライン、硫酸塩)、蒸発させた。残渣を、カ
ラムクロマトグラフィーによって精製した:粗混合物を、溶解を助ける数滴のMeOHと
ともにDCMに溶解し、充填済みフラッシュシリカカラムに適用した。それを、5分間の
100%ヘプタン;20分間の0=>20%EtOAc/ヘプタンおよび20分間の20
%EtOAc/ヘプタン均一濃度を用いて、30ml/分の30秒の画分で溶出した。生
成物の画分を合わせ、溶媒を蒸発させ、白色固体残渣をEt2O中でトリチュレートし、
濾別し、乾燥させることにより、化合物C32を得た(25mg,0.063mg;38
.8%収率)。1HNMR (400MHz, CDCl3): δ(ppm): 3.
58 (1H, m), 1.19 (6H, s), 0.91 (3H, d, J
=6.6 Hz), 0.66 (3H, s)。
(乾燥)(7ml)に懸濁し、1-メチル-4-ピペリドン(1.666mg,0.01
5mmol)およびアルミニウムイソプロポキシド(93mg,1.028mmol)を
加えた。還流温度において4時間撹拌した。TLC:まだs.m.が存在している。さら
にアルミニウムイソプロポキシド(100mg,0.884mmol)を加えた。還流を
続けた。2時間後、さらにアルミニウムイソプロポキシド(100mg,0.884mm
ol)を加えた。還流を3時間続けた。次いで、最後の量のアルミニウムイソプロポキシ
ド(100mg,0.884mmol)を加えた。さらに2時間還流した。次いで、その
rxをrtまで冷却させ、EtOAcで希釈し、1N HClで抽出することにより、そ
れら3つを除去した。黄色の水層をEtOAcで2回抽出した。合わせたEtOAc画分
を1N HClで洗浄し(3×)、乾燥させ(ブライン、硫酸塩)、蒸発させた。残渣を
、DIPEでストリッピングすることにより、白色粉末が残った。この粗混合物を、少し
のMeOHを含むCHCl3において適用され、30ml/分で勾配をかけて行われる、
40g充填済みフラッシュカラム(GraceResolve(商標))において精製し
た:2分間の100%ヘプタン;38分間の0=>20%ヘプタン/EtOAc;10分
間の20%ヘプタン/EtOAc;フラクションサイズ30秒。このようにして、生成物
C33a(84mg,0.225mmol;77%)を得た。1HNMR (400MH
z, CDCl3): □(ppm): 5.82 (1H, s), 1.20 (6
H, s), 0.93 (3H, d, J=6.5 Hz), 0.73 (3H,
s)。
ル(25ml)に溶解し、窒素を流した。次いで、炭酸カルシウム担持パラジウム(Pd
として約10%;23.99mg,0.023mmol,10%)を加え、そのrxに再
度、窒素を流した。次いで、そのrxに水素を流し、水素下で激しく撹拌した。3時間後
、TLCは、反応の完了を示唆した。それに再度、窒素を流し、触媒をhyfloで濾別
し、EtOHを蒸発させた。その混合物を、ヘプタン/EtOAc 9/1の均一濃度で
行われる、12g充填済みフラッシュカラム(GraceResolve(商標))にお
いて精製した;サンプルをDCM中で適用した;15ml/分、1分のフラクションサイ
ズ;このようにして、生成物C33b(40mg,0.107mmol;47.4%)を
得た。1HNMR (400MHz, CDCl3): δ(ppm): 2.60 (
1H, t, J=14.4 Hz), 1.20 (6H, s), 0.93 (3
H, d, J=6.5 Hz), 0.70 (3H, s)。
フラン(乾燥)(1ml)に溶解し、-78℃に冷却した。次いで、K-セレクトリド(
0.020mmol,0.020ml)を加え、その反応混合物を窒素下で6時間撹拌し
た。10%NaOH溶液(0.1mL)を加えた後、30%過酸化水素溶液(0.2mL
)を加えることによって、その反応を停止した。その反応混合物を室温まで温め、撹拌を
30分間続けた。その混合物を酢酸エチルで抽出し、合わせた有機層をブラインで洗浄し
、Na2SO4で乾燥させ、濾過し、蒸発させた。その粗生成物を、2:1ヘプタン/E
tOAcを使用するフラッシュカラムクロマトグラフィーによって精製した。このように
して、化合物C33(2.2mg,0.00502mmol;37.6%)を得た。LC
MS:83%純粋、17%の3α-OH異性体を含む。1HNMR (400MHz,
CDCl3): δ(ppm): 4.12 (1H, t, J=2.7 Hz),
1.20 (6H, s), 0.92 (3H, d, J=6.6 Hz), 0.
67 (3H, s)。
化合物C33b(40mg,0.107mmol)を、アルゴン下でテトラヒドロフラ
ン(乾燥)(1ml)に溶解し、-78℃に冷却した。次いで、1.6Mメチルリチウム
(0.320mmol,0.200ml)を加えた。-78℃において撹拌した。2時間
後のTLC:なおも多くのs.m.が存在する。そのrxをゆっくりr.t.に到達させ
た。1時間後のTLC:なおも多くのs.m.が存在し、粘稠な沈殿物が存在する。溶解
を助けるために、さらにテトラヒドロフラン(乾燥)(1mL)を加えた。30分後;r
xは、ほぼ完全に溶解した。撹拌を1時間続けた。TLC:s.m.がなおも存在するが
90+%変換。そのrxを30分以上撹拌し、次いで、クエンチした。NH4Cl飽和水
溶液を加え、生成物をDCMで抽出した(3×)。32mgの収量(粗)。水層をNaC
lで飽和させ、今回はEtOAcで再度抽出した(3×)。この時点で、36mgの粗生
成物。その混合物を、15ml/分で勾配をかけて行われる12g充填済みフラッシュカ
ラム(GraceResolve(商標))において精製した:2分間の100%ヘプタ
ン;28分間の0=>15%ヘプタン/EtOAc;20分間の15%ヘプタン/EtO
Ac;フラクションサイズ60秒。このようにして、生成物D15(11mg,0.02
7mmol;25.05%)を得た。1HNMR (400MHz, CDCl3):
δ(ppm): 1.21 (3H, s), 1.20 (6H, s), 0.92
(3H, d, J=6.5 Hz), 0.67 (3H, s)。
3-アルファ-D16化合物の調製。化合物D10a(68mg,0.182mmol
)をアルゴン下でテトラヒドロフラン(乾燥)(2ml)に溶解し、0℃に冷却した。次
いで、塩化メチルマグネシウム(0.605ml,1.815mmol)を加えた。10
分後、そのrxをrtにおいて3時間撹拌した。次いで、そのrxを100mLのNH4
Cl飽和水溶液に加え、rxの容器をTHFおよびDCMですすぎ、DCMとともに0.
5時間撹拌した。生成物をDCMでさらに2回抽出した。DCMを乾燥させ(ブライン、
硫酸塩)、蒸発させ、30ml/分のフラクション30秒で行われるシリカカラムにおい
て精製した。勾配(Grandient):5分間の100%ヘプタン;25分間の10
0/0H/EtOAc=>80/20ヘプタン/EtOAc;20分間の80/20ヘプ
タン/EtOAc。このようにして、化合物D16(3α-OH)(21mg,0.05
4mmol;29.6%)を得た。1HNMR (400MHz, CDCl3): δ
(ppm): 1.19 (9H, s), 0.91 (3H, d, J=6.6
Hz), 0.66 (3H, s)。
をアルゴン下でトルエン(乾燥)(1ml)に溶解し、-78℃に冷却した。次いで、ト
ルエン中0.4M溶液のMAD(1.141ml,0.456mmol)を加えた。-7
8℃において10分間撹拌した後、ジエチルエーテル中1.6M溶液のメチルリチウム(
0.285ml,0.456mmol)を加えた。アルゴン下、-78℃において2時間
撹拌した。その温度において2時間後、その反応物を撹拌させ、rtまで温めた。さらに
2時間後、それを飽和NH4Clに加えることによってクエンチした。rxの容器をEt
OAcですすいだ。生成物をEtOAcで抽出した(2×)。EtOAcを乾燥させ(ブ
ライン、Na2SO4)、蒸発させた。その混合物を、DCM中で適用され、30ml/
分で勾配をかけて行われる12g充填済みフラッシュカラム(GraceResolve
(商標))において精製した:5分間の100%ヘプタン;25分間の0=>15%ヘプ
タン/EtOAc;20分間の15%ヘプタン/EtOAc;フラクションサイズ30秒
。このようにして、生成物D16(3β-OH)(35mg,0.090mmol;58
.8%)を得た。1HNMR (400MHz, CDCl3): δ(ppm): 1
.23 (3H, s), 1.20 (6H, s), 0.91 (3H, d,
J=6.6 Hz), 0.66 (3H, s)。
に加熱することによってクロロホルム(乾燥)(15ml)に溶解した。次いで、その溶
液を水浴において冷却し(冷却時に結晶化しなかった)、PCC(191mg,0.88
4mmol)を加えた。なおも水浴内で撹拌した。1時間後のTLC:約60~70%変
換。一晩撹拌した。次いで、その溶液を分液漏斗に移し、沈着物をDCMで広範囲に洗浄
し、その分液漏斗に加えた。0.5N KHSO4で洗浄した。水相をDCMで洗浄し、
有機相を合わせ、Na2SO4で乾燥させ(ブラインなし)、蒸発させた。その混合物を
、30ml/分で勾配をかけて行われる12g充填済みフラッシュカラム(GraceR
esolve(商標))において精製した:5分間の100%H;25分間の0=>15
%H/EA;20分間の15%H/EA;フラクションサイズ30秒、100本のチュー
ブ。このようにして、化合物(Coumpound)D10a(132mg,0.352
mmol;59.8%)を得た。1HNMR (400MHz, CDCl3): δ(
ppm): 1.20 (6H, s), 0.92 (3H, d, J=6.6 H
z), 0.69 (3H, s)。
でテトラヒドロフラン(乾燥)(2ml)に溶解し、トリフルオロメチルトリメチルシラ
ン(0.086ml,0.585mmol)およびフッ化セシウム(2.96mg,0.
019mmol)を加えた。rtにおいて撹拌した。その溶液は、ゆっくりとわずかに黄
色になった。3時間後のTLC:完全な変換。そのrxをDCMで希釈し、水で抽出した
。相分離しなかった。ブライン(等体積)を加えた。うまく分離した。水層を再度DCM
で抽出し;DCMを合わせ、乾燥させ(Na2SO4)、蒸発させた。103mgの粗生
成物(102%)。ヘプタン中の0=>2.5%DIPEの勾配をかけて30分間行われ
る12g充填済みカラムにおけるフラッシュカラム。このようにして、不純TMS-中間
体を、3α-および3β-OH生成物の不純混合物として得て、そのまま使用した:その
中間体を1,4-ジオキサン(4ml)に溶解し、1N HCl(1mL,1.000m
mol)を加える。rtにおいて撹拌した。1時間後のTLC:s.m.が無くなった。
水を加え、生成物をDCMで3回抽出し、Na2SO4で乾燥させ、蒸発させた。その粗
生成物を、12分間のMeCN/水95/5=>0/100の勾配をかけて、次いで、1
2分間の100%水という均一濃度で行われるC18-カラムにおいて精製した。このよ
うにして、化合物D10(14mg,0.030mmol;22.9%)を得た。1HN
MR (400MHz, CDCl3): δ(ppm): 1.19 (6H, s)
, 0.91 (3H, d, J=6.6 Hz), 0.67 (3H, s)。
火炎乾燥したチューブにおいて、THF(乾燥,1mL)中の、化合物D13a(97
mg,0.250mmol)およびトリフルオロメチルトリメチルシラン(0.119m
l,0.749mmol)の無色透明の溶液をアルゴン下で0℃に冷却した。フッ化セシ
ウム(20mg,0.132mmol)を加えた。反応混合物は、無色のままであり、そ
れを0℃において5分間撹拌した。冷却浴を除去し、撹拌をRTにおいて1.5時間続け
た。反応混合物は、茶色-黄色になった。TLC(ヘプタン/EtOAc,1:1)完全
な変換。反応混合物をRTにおいて一晩静置させた。H2O(1mL)およびEtOAc
(5mL)を加えた。層を分離し、水層をEtOAcで抽出した(2×5mL)。合わせ
た有機層をNa2SO4で乾燥させ、溶媒を真空中で除去した。フラッシュクロマトグラ
フィー(ヘプタン,5%~20%EtOAc)は、不純3-OTMS中間体をもたらす。
これをそのまま使用した:HCl水溶液(1N,1mL)を、THF(1mL)中の3-
OTMS中間体の溶液に加えた。反応混合物をRTにおいて一晩撹拌した。TLC(H/
E;1:1)完全な変換。溶媒を真空中で除去した。黄色固体が得られた。フラッシュク
ロマトグラフィー(ヘプタン;15%~35%EtOAc)による精製から、化合物D1
が得られた(36mg,0.078mmol;31.4%)。1H-NMR (400
MHz, CDCl3): □(ppm): 1.20 (6H, s), 0.96
(3H, s), 0.89 (3H, d, J=10.6 Hz), 0.65 (
3H, s)。
化合物D2aの調製。アルゴン雰囲気下において、化合物BB-1a(1g,2.57
mmol)をメタノール(25ml)に溶解し、およびパラジウム,10%活性炭担持(
0.137g,0.129mmol)を加えた。アルゴン雰囲気を水素(バルーン)によ
って置き換え、その反応混合物を室温において一晩激しく撹拌した。その反応混合物をh
yfloで濾過し、濾過残渣をメタノール(50ml)およびジクロロメタン(2×50
ml)で洗浄した。濾液および洗液を合わせ、減圧下で蒸発させることにより、生成物D
2a(1.01g,2.57mmol,収率=100%)を白色粉末として得た。1HN
MR (400 MHz, CDCl3) δ(ppm): 3.66 (3H, s)
, 3.59 (1H, oct, J=5.1 Hz), 2.35 (1H, dd
d, J=15.4, 10.3, 5.1 Hz), 2.21 (1H, ddd,
J=15.8, 9.5, 6.3 Hz), 1.94 (1H, dt, J=1
2.4, 3.3 Hz), 0.91 (3H, d, J=6.4 Hz), 0.
65 (3H, s), 0.62 (1H, ddd, J=14.8, 8.1,
4.1 Hz)。
もの)中のクロロクロム酸ピリジニウム(PCC)(0.969g,4.49mmol)
の懸濁液を、窒素雰囲気下で0℃に冷却した。ジクロロメタン(5ml)(モレキュラー
シーブで乾燥させたもの)中のD2a(0.585g,1.498mmol)の溶液を徐
々に加えた。1時間撹拌した後、橙色から暗褐色への色の変化が観察された。氷浴を除去
し、撹拌を3.5時間続けた。TLC[ヘプタン(2):酢酸エチル(1)]は、バニリ
ン染色後に、より高い溶出性の生成物への明瞭な完全な変換を示した。その反応混合物を
、ヘプタン/酢酸エチルの2:1混合物(15ml)で希釈し、ショートシリカパッド(
30g)で溶出し、そのパッドをヘプタン/酢酸エチル/ジクロロメタン2:1:1(6
0ml)で2回すすいだ。その溶出液を0.5N硫酸水素カリウム水溶液(90ml)で
洗浄した。その洗液をジクロロメタン(90ml)で逆抽出し、この抽出物を先の有機層
と合わせ、硫酸ナトリウムで乾燥させ、濾過し、減圧下で蒸発させた。残渣を、ジクロロ
メタンで2回ストリッピングすることにより、D2b(0.555g,1.428mmo
l,収率=95%)を白色固体として得た。1HNMR (400 MHz, CDCl
3) δ(ppm): 3.66 (3H, s), 2.04-1.94 (2H,
m), 1.91-1.74 (2H, m), 1.73-1.66 (1H, m)
, 1.01 (3H, s), 0.92 (3H, d, J=6.4 Hz),
0.64 (3H, s)。
18.01mmol)をテトラヒドロフラン(乾燥)(30ml)中の亜鉛の撹拌懸濁液
(3.99ml,57.9mmol)に加えた(わずかに発熱性)。その混合物をドライ
アイス/アセトニトリル浴において-40℃に冷却し、10分間撹拌した。温度が-30
℃を超えないような速度で、塩化チタン(IV)(1.533ml,13.90mmol
)を徐々に加えた(非常に発熱性)。ドライアイス/アセトニトリル浴を除去し、その混
合物を、氷浴内で4時間、0~5℃の内部温度において撹拌した。黒色の懸濁液の一部(
約3ml)を、室温において、テトラヒドロフラン(乾燥)(10ml)中のD2b(0
.1g,0.257mmol)の溶液に加えた。その混合物を10分間撹拌した。TLC
[ヘプタン(2):酢酸エチル(1)]は、モリブデン染色後に、その反応混合物中に主
に出発物質が存在することを示した。上記懸濁液の別の一部(約3ml)を加え、撹拌を
5分間続けた。TLC[ヘプタン(2):酢酸エチル(1)]は、モリブデン染色後に、
その反応混合物中に主に出発物質がなおも存在することを示した。上記懸濁液の残りを加
え、5分間撹拌した後、TLC[ヘプタン(2):酢酸エチル(1)]は、モリブデン染
色後に、出発物質から主に1つの非常に無極性の生成物への完全な変換を示した。その反
応混合物を炭酸水素ナトリウム飽和水溶液(100ml)に注ぎ(発泡しないように注意
する)、酢酸エチル(100ml)で3回抽出した。合わせた抽出物をブライン(150
ml)で洗浄し、硫酸ナトリウムで乾燥させ、減圧下で蒸発させた。残渣を、溶離剤をヘ
プタン中の0~5%ジイソプロピルエーテルという勾配で使用するシリカゲル(12gフ
ラッシュカラム)においてクロマトグラフィー分析することにより、D2c(0.058
g,0.150mmol,収率=58%)を白色固体生成物として得た。1HNMR (
400 MHz, CDCl3) δ(ppm): 4.55 (2H, brd),
3.66 (3H, s), 2.35 (1H, ddd, J=15.4, 10.
3, 5.1 Hz), 2.21 (1H, ddd, J=15.8, 9.7,
6.4 Hz), 2.19-2.09 (2H, m), 2.06-1.71 (6
H, m), 1.69-1.61 (1H, m), 0.91 (3H, d, J
=6.4 Hz), 0.85 (3H, s), 0.69-0.60 (1H, m
), 0.65 (3H, s)。
ieves)で乾燥させたもの)中のD2c(0.058g,0.150mmol)の溶
液に、窒素雰囲気下において炭酸カリウム(無水)(0.027g,0.195mmol
)を加えた。得られた混合物を氷/水浴内で冷却し、固体の3-クロロペルオキシ安息香
酸(70~75%)(mCPBA)(0.039g,0.158mmol)を一度に加え
た。その反応混合物を一晩撹拌した。TLC[ヘプタン(9):酢酸エチル(1)]は、
バニリン染色後に、明瞭な部分的な変換を示した。追加の炭酸カリウム(無水)(0.0
27g,0.195mmol)および3-クロロペルオキシ安息香酸(70~75%)(
m-CPBA)(0.039g,0.158mmol)を加え、撹拌を2時間続けた。T
LC[ヘプタン(9):酢酸エチル(1)]は、バニリン染色後に、完全な変換を示した
。その反応混合物を濾過し、沈殿した安息香酸塩をジクロロメタンで洗浄した(2×5m
l)。溶媒を真空中で除去することにより、D2d(0.060g,0.149mmol
,収率=99%)を白色固体残渣として得た。NMRによると、α-O-ジアステレオ異
性体とβ-O-ジアステレオ異性体との2:1混合物が得られた。1HNMR(400M
Hz,CDCl3)δ(ppm):3.66(3H,s),2.62(0.33H[α-
ジアステレオ異性体],d,J=4.8Hz),2.61(0.33H[α-ジアステレ
オ異性体],d,J=4.9Hz),2.57(0.33H[β-ジアステレオ異性体]
,bs),2.35(1H,ddd,J=15.4,10.3,5.1Hz),2.21
(1H,ddd,J=15.7,9.4,6.3Hz),2.10-1.99(1H,m
),1.99-1.92(1H,m),0.91(3H,d,J=6.4Hz),0.8
6(1H[β-ジアステレオ異性体],s,),0.84(2H[α-ジアステレオ異性
体],s),0.66(3H,s)。
dry))(5.5ml)中のD2d(0.055g,0.137mmol)の混合物
を無色透明の溶液が得られるまで加熱した。その溶液を窒素雰囲気下で室温まで冷却させ
、メタノール中のナトリウムメトキシドの5.4M(30wt.%)溶液(0.239m
mol,0.080ml)を加えた。その反応混合物を加熱還流し、一晩撹拌した。TL
C[ヘプタン(4):酢酸エチル(1)]は、バニリン染色後に、完全な変換を示したが
、生成物は目では見えなかった。その反応混合物を塩化アンモニウムの飽和水溶液(50
ml)に注ぎ、ジクロロメタン(50ml)で3回抽出した。合わせた抽出物を硫酸ナト
リウムで乾燥させ、蒸発させた。TLCによると、非常に極性の生成物が形成された。そ
の反応混合物中に水が存在することに起因して、メチルエステル部分は、カルボン酸に加
水分解された。残渣をジクロロメタン(10ml)に溶解した。塩化オキサリル(0.0
78g,0.612mmol,0.053ml)およびN,N-ジメチルホルムアミド(
cat.)を加え、その反応混合物を2時間撹拌した。サンプルをメタノールに注ぎ、乾
固するまで蒸発させ、TLC[ジクロロメタン(98):メタノール(2)]において分
析したところ、モリブデン染色後に、メチルエステルへの完全な変換が示された。その反
応混合物をメタノール(150ml)(モレキュラーシーブで乾燥させたもの)で希釈し
、40℃の減圧下で蒸発させた。残渣を、フラッシュカラム(12g)クロマトグラフィ
ー[ヘプタン(100=>80):酢酸エチル(0=>20)]によって精製した。2つ
の生成物画分が得られ、それらを別々に回収し、減圧下で蒸発させることにより、D2e
(α-OH)(0.035g,0.081mmol,収率=33%)およびD2e(β-
OH)(0.032g,0.074mmol,収率=30%)を白色固体として得た。D
2e(α-OH)およびD2e(β-OH)を、以下の実験においてそのまま使用した。
D2e(α-OH):1HNMR (400 MHz, CDCl3) δ(ppm):
3.66 (3H, s), 3.38 (3H, s), 3.18 (2H, s
), 2.35 (1H, ddd, J=15.4, 10.3, 5.1 Hz),
2.21 (1H, ddd, J=15.7, 9.4, 6.3 Hz), 2.
02 (1H, bs), 1.94 (1H, dt, J=12.3, 3.0 H
z), 1.90-1.73 (2H, m), 0.91 (3H, d, J=6.
4 Hz), 0.74 (3H, s), 0.65 (3H, s).D2e (β
-OH): 1HNMR (400 MHz, CDCl3) δ(ppm): 3.6
6 (3H, s), 3.39 (3H, s), 3.37 (2H, d, J=
4.3 Hz), 2.54 (1H, bs), 2.35 (1H, ddd, J
=15.4, 10.3, 5.1 Hz), 2.21 (1H, ddd, J=1
5.8, 9.5, 6.3 Hz), 1.95 (1H, dt, J=12.5,
3.0 Hz), 1.90-1.73 (2H, m), 0.91 (3H, d
, J=6.4 Hz), 0.83 (3H, s), 0.65 (3H, s)。
D2e(α-OH)(0.035g,0.081mmol)をテトラヒドロフラン(乾燥
)(1ml)に溶解し、アルゴン下の氷浴内で0.5時間冷却した。THF中3.0Mの
塩化メチルマグネシウム(0.805mmol,0.268ml)を、注射器を介して加
えた。いくらかの気体の放出が観察された。その反応混合物を2時間撹拌した後、TLC
[ヘプタン(1):酢酸エチル(1)]は、モリブデン染色後に、出発物質からより低い
溶出性の生成物への完全な変換を示した。その反応混合物を塩化アンモニウム飽和水溶液
(20ml)とジクロロメタン(20ml)とに分配し、2日間放置した。有機層を分離
し、水層をジクロロメタン(20ml)でさらに2回抽出した。抽出物を合わせ、硫酸ナ
トリウムで乾燥させ、蒸発させた。残渣を、フラッシュカラム(12g)クロマトグラフ
ィー[ヘプタン(100=>80):酢酸エチル(0=>20)]によって精製した。生
成物を含む画分を回収し、40℃において減圧下で蒸発させた。残渣を、ジクロロメタン
/メタノール中の溶液としてバイアルに移し、窒素流の下、37℃において蒸発させた。
白色固体残渣を45℃の真空オーブンにおいて一晩乾燥させることにより、D2(α-O
H)(0.025g,0.055mmol,収率=68%)を白色粉末として得た。1H
NMR (400 MHz, CDCl3) δ(ppm): 3.38 (3H, s
), 3.18 (2H, s), 1.98 (1H, bs), 1.95 (1H
, dt, J=12.5, 3.2 Hz), 1.88-1.79 (1H, m)
, 1.68-1.61 (1H, m), 1.20 (3H, s), 1.19
(3H, s), 0.91, (3H, d, J=6.5 Hz), 0.74 (
3H, s), 0.65 (3H, s)。
D2e(β-OH)(0.035g,0.081mmol)をテトラヒドロフラン(乾燥
)(1ml)に溶解し、アルゴン下の氷浴内で0.5時間冷却した。THF中3.0Mの
塩化メチルマグネシウム(0.805mmol,0.268ml)を、注射器を介して加
えた。いくらかの気体の放出が観察された。その反応混合物を2時間撹拌した後、TLC
[ヘプタン(1):酢酸エチル(1)]は、モリブデン染色後に、出発物質からより低い
溶出性の生成物への完全な変換を示した。その反応混合物を塩化アンモニウム飽和水溶液
(20ml)とジクロロメタン(20ml)とに分配し、2日間放置した。有機層を分離
し、水層をジクロロメタン(20ml)でさらに2回抽出した。抽出物を合わせ、硫酸ナ
トリウムで乾燥させ、蒸発させた。残渣を、フラッシュカラム(12g)クロマトグラフ
ィー[ヘプタン(100=>80):酢酸エチル(0=>20)]によって精製した。生
成物を含む画分を回収し、40℃において減圧下で蒸発させた。残渣を、ジクロロメタン
/メタノール中の溶液としてバイアルに移し、窒素流の下、37℃において蒸発させた。
白色固体残渣を45℃の真空オーブンにおいて一晩乾燥させることにより、D2(β-O
H)(0.018g,0.039mmol,収率=53%)を白色粉末として得た。1H
NMR (400 MHz, CDCl3) δ(ppm): 3.40 (3H, s
), 3.39 (1H, d, J=9.2 Hz), 3.36 (1H, d,
J=9.2 Hz), 2.51 (1H, bs), 1.96 (1H, dt,
J=12.4, 3.1 Hz), 1.89-1.77 (1H, m), 1.20
(6H, s), 0.91, (3H, d, J=6.5 Hz), 0.83
(3H, s), 0.65 (3H, s)。
化合物D6aの調製。アルゴン雰囲気下の乾燥DMF(7.5mL)中の、18-クラ
ウン-6(0.315g,1.192mmol)およびKHF2(0.233g,2.9
8mmol)の溶液に、D5c(0.3g,0.745mmol)を加えた。その反応混
合物を、150℃まで一晩加熱した。さらにKHF2(0.233g,2.98mmol
)を加え、加熱を8時間続けた。その混合物を室温に冷却し、H2O(150mL)に注
ぎ、EtOAc(100mL)とともに30分間撹拌した。水層をEtOAc(200m
L)で2回抽出した。合わせた有機層をブライン(2×)で洗浄し、Na2SO4で乾燥
させ、濾過し、減圧下で蒸発させた。その粗生成物を、フラッシュカラムクロマトグラフ
ィー(シリカ,ヘプタン/酢酸エチル,1:0->85:15)によって精製することに
より、生成物D6aを得た(71mg,0.17mmol,収率=23%)。NMRによ
ると、D6aは、3:1のcis/trans混合物として得られた。1HNMR (4
00 MHz, CDCl3) δ(ppm): 4.18 (1.5H [cis異性
体 (β-OH)], d, J= 47.8 Hz), 4.15 (0.5H [t
rans異性体 (α-OH)], d, J= 48 Hz), 3.66 (3H,
s), 2.35 (1H, ddd, J=15.4 ,10.3, 5.2 Hz
), 2.21 (1H, ddd, J=15.8, 9.5, 6.3 Hz),
0.98 (3H, s), 0.91 (3H, d, J=6.4 Hz), 0.
65 (3H, s)。
,0.168mmol)をトルエン(50mL)と同時蒸発させ、アルゴン雰囲気下にお
いて乾燥THF(2mL)に溶解し、0℃に冷却した。THF中3.0MのMeMgCl
(0.560mL,1.680mmol,)を、注射器を使用して加えた。その反応混合
物を0℃において2時間撹拌した。その反応混合物をNH4Cl飽和水溶液(50mL)
でクエンチし、CH2Cl2(100mL)で3回抽出した。合わせた有機層をブライン
で洗浄し、Na2SO4において乾燥させ、粗生成物をフラッシュカラムクロマトグラフ
ィー(シリカ,ヘプタン/酢酸エチル,1:0->85:15)によって精製することに
より、D6(β-OH)(23mg,0.05mmol,収率=32%)およびD3(α
-OH)(8mg,0.007mmol,収率=4%)を得た。D6(β-OH):1H
NMR (400 MHz, CDCl3) δ(ppm): 4.19 (2H, d
, J= 47.8 Hz), 2.00-1.94 (1H, m), 1.76-1
.69 (1H, m), 1.20 (6H, s), 0.98 (3H, s),
0.91 (3H, d, J=6.5 Hz), 0.65 (3H, s). D
3 (α-OH): 1HNMR (400 MHz, CDCl3) δ(ppm):
4.15 (2H, d, J= 47.8 Hz), 1.96 (1H, dt,
J=12.4, 3.2 Hz), 1.89-1.78 (1H, m), 1.2
0 (3H, s), 1.19 (3H, s), 0.92 (3H, d, J=
6.5 Hz), 0.76 (3H, s), 0.65 (3H, s)。
化合物D4aの調製。BB-3(0.448g,1.153mmol)を、アルゴン雰
囲気下においてEtOH(abs)(12mL)およびMeOH(6mL)に懸濁し、パ
ラジウム,10%活性炭担持(0.012g,0.012mmol)を加えた。アルゴン
雰囲気を水素(雰囲気)によって置き換え、その反応混合物を、室温において2時間激し
く撹拌した。撹拌を3日間続けた。その反応混合物をhyfloで濾過し、乾固するまで
蒸発させた。残渣を、酢酸(5mL)、EtOAc(5mL)および1,4-ジオキサン
(5mL)に懸濁し、透明の溶液が得られるまで加熱した。その反応混合物を室温に冷却
し、パラジウム,10%活性炭担持(0.012g,0.012mmol)をアルゴン雰
囲気下において加えた。アルゴン雰囲気を水素(雰囲気)によって置き換え、その反応混
合物を室温において一晩激しく撹拌した。その反応混合物をhyfloで濾過し、MeO
H(2×50mL)およびCH2Cl2(50mL)で洗浄した。溶媒を蒸発させ、残渣
を、NaHCO3飽和水溶液を用いてトリチュレートし、濾別し、40℃の真空オーブン
において一晩乾燥させることにより、D4a(385mg,0.99mmol,収率=8
5%)を白色固体として得た。1HNMR (400 MHz, CDCl3) δ(p
pm): 3.59 (1H, sep, J=5.3 Hz), 1.96 (1H,
dt, J=9.3, 3.1 Hz), 1.98-1.75 (2H, m),
1.71 (1H, dt, J=13.2, 3.4 Hz), 1.65 (1H,
dq, J=13.0, 3.4 Hz), 1.19 (6H, s), 0.91
, (3H, d, J=6.5 Hz), 0.80 (3H, s), 0.65
(3H, s)。
ピリジニウム(PCC)(0.248g,1.152mmol)の氷冷溶液に、乾燥CH
2Cl2(4mL)中のD4a(0.3g,0.768mmol)の懸濁液を加えた。乾
燥CHCl3(4mL)中の溶液として再溶解された固体材料を滴下した。その反応混合
物を0℃において30分間撹拌した後、室温において2時間撹拌した。再度、クロロクロ
ム酸ピリジニウム(PCC)(0.248g,1.152mmol)を、室温において一
度に加え、その反応混合物を一晩撹拌した。その反応混合物を、砂、シリカ(5g)およ
びhyfloのショートパッドで溶出し、そのパッドをCH2Cl2(100mL)です
すいだ。溶出液(elute)を0.5N KHSO4水溶液(100ml)で2回洗浄
した。合わせた洗液をCH2Cl2(100mL)で1回抽出し、合わせた有機層をNa
2SO4で乾燥させ、濾過し、減圧下で蒸発させることにより、D4b(306mg,0
.79mmol,収率=103%)を橙色/茶色固体として得た。1HNMR (400
MHz, CDCl3) δ(ppm): 2.38 (1H, td, J=14.
5, 6.4 Hz), 2.32-2.21 (2H, m), 2.15-1.93
(3H, m), 1.90-1.79 (1H, m), 1.75-1.65 (
1H, m), 1.20 (6H, s), 1.01 (3H, s), 0.92
(3H, d, J=6.4 Hz), 0.78-0.64 (1H, m), 0
.68 (3H, s)。
中の、D4b(0.1g,0.257mmol)および(トリフルオロメチル)トリメチ
ルシラン(0.053mL,0.34mmol)の溶液をアルゴン下で0℃に冷却した。
CsF(スパーテル先端)を加え、その反応混合物を0℃において5分間撹拌した。冷浴
を除去し、撹拌を室温において一晩続けた。その反応混合物に追加の(トリフルオロメチ
ル)トリメチルシラン(0.053ml,0.34mmol)およびCsF(スパーテル
先端)を加え、アルゴン雰囲気下での撹拌を3時間続けた。H2O(50mL)およびE
tOAc(50mL)を加えた。30分間撹拌した後、層を分離した。水層をEtOAc
(50mL)で2回抽出した。合わせた有機層をNa2SO4で乾燥させ、溶媒を真空中
で除去した。D4c(163mg,0.31mmol,収率=119%)は、淡黄色油状
物として得られた。1HNMR (400 MHz, CDCl3) δ(ppm):
2.04-1.92 (1H, m), 1.90-1.68 (2H, m), 1.
09 (3H, s), 1.08 (3H, s), 0.80 (3H, s),
0.73 (3H, s), 0.55 (3H, s), 0.03 (12H, m
)。
58mmol)の溶液に、1M HCl水溶液(2mL,2.0mmol)を加えた。そ
の黄色の溶液を室温において3時間撹拌した。その反応混合物をH2O(50mL)で希
釈し、CH2Cl2で抽出した(3×50mL)。合わせた有機層をNaHCO3飽和水
溶液、ブラインで洗浄し、Na2SO4において乾燥させ、溶媒を蒸発させた。その粗生
成物を、フラッシュカラムクロマトグラフィー(シリカ,ヘプタン/EtOAc,1:0
->4:1)によって精製し、CH2Cl2から結晶化することにより、D4(44mg
,0.10mmol,収率=37%)を白色固体として得た。1HNMR (400 M
Hz, CDCl3) δ(ppm): 2.09-2.02 (1H, m), 1.
98 (1H, s), 1.96 (1H, dt, J=12.8, 3.4 Hz
), 1.88-1.77 (2H, m), 1.72-1.61 (3H, m),
1.20 (3H, s), 1.19 (3H, s), 0.92 (3H, d
, J=6.6 Hz), 0.85(3H, s), 0.65 (3H, s)。
化合物D5aの調製。乾燥トルエン(80mL)中の、BB-1(2g,5.15mm
ol)およびAl(iPrO)3(3.68g,18.01mmol)の溶液に、1-メ
チル-4-ピペリドン(29.1g,257mmol,29.7mL)を加えた。その溶
液を3時間、撹拌還流した。その反応混合物を室温に冷却し、0.5M HCl水溶液(
80mL)、ブライン(80mL)およびEt2O(120mL)で希釈した。有機層を
EtOAcで抽出した(3×100mL)。合わせた有機層をNa2SO4で乾燥させ、
濾過し、溶媒を真空中で除去した。残渣を、1M HCl水溶液(250mL)で希釈し
、EtOAcで抽出した(2×250mL)。有機溶媒をブラインで洗浄し、Na2SO
4で乾燥させ、乾固するまで蒸発させた。その粗生成物を、フラッシュカラムクロマトグ
ラフィー(シリカ,ヘプタン/酢酸エチル,1:0->9:1)によって精製し、CH2
Cl2と同時蒸発させることにより、D5aを得た(1.27g,3.27mmol,収
率=64%)。1HNMR (400 MHz, CDCl3) δ(ppm): 5.
72 (1H, s), 3.67 (3H, s), 2.48-2.17 (6H,
m), 2.02 (1H, dt, J=9.6, 3.8 Hz), 1.94-
1.75 (3H, m), 1.69 (1H, td, J=14.0, 4.7
Hz), 1.18 (3H, s), 0.92 (3H, d, J=6.4 Hz
), 0.71 (3H, s)。
mmol)の懸濁液を、出発物質が溶解するまで加熱した。その溶液を室温に冷却し、ア
ルゴン雰囲気下にした。炭酸カルシウム担持パラジウム,10%(w/w)(cat.)
を加え、水素(雰囲気)をその反応混合物の中に15分間流した。その反応混合物を、水
素雰囲気下、室温において一晩撹拌した。その反応混合物にアルゴンを流し、固体をセラ
イト/シリカゲルで濾過し、フィルターをEtOH(75ml)で洗浄した。溶媒を真空
中で除去し、粗生成物をフラッシュカラムクロマトグラフィー(シリカ,ヘプタン/酢酸
エチル,1:0->9:1)によって精製することにより、生成物D5bを得た(1.1
2g,2.16mmol,収率=75%)。NMRによると、D5bは、3:1のcis
/trans混合物として得られた。1HNMR (400 MHz, CDCl3)
δ(ppm): 3.67 (3H, s), 2.70 (1H, t, J=14.
2 Hz), 1.02 (2H[cis異性体], s), 1.00 (1H[tr
ans異性体], s), 0.92 (3H, d, J=6.4 Hz), 0.6
8 (3H, s)。
スルホキソニウム(0.747g,3.39mmol)の溶液に、NaH(鉱油中60%
分散体)(0.075g,3.13mmol)を一度に加えた。その反応混合物を30分
間撹拌し、乾燥THF(10mL)中のD5b(1.014g,2.61mmol)の溶
液を加えた。その反応混合物を1時間撹拌した後、追加のヨウ化トリメチルスルホキソニ
ウム(0.747g,3.39mmol)およびNaH(鉱油中60%分散体)(0.0
75g,3.13mmol)を加えた。その混合物を2時間撹拌した。その反応混合物を
NH4Cl飽和水溶液(150mL)とCH2Cl2(150mL)とに分配した。水層
をCH2Cl2(100mL)で抽出し、合わせた有機層をブラインで洗浄し、Na2S
O4において乾燥させ、乾固するまで蒸発させた。その粗生成物を、フラッシュカラムク
ロマトグラフィー(シリカ,ヘプタン/酢酸エチル,1:0->88:12)によって精
製することにより、生成物D5cを得た(1g,2.48mmol,収率=75%)。N
MRによると、D5cは、cis/trans混合物として得られた。1HNMR (4
00 MHz, CDCl3) δ(ppm): 3.67 (3H, s), 2.6
4-2.60 (2H, m), 2.42-2.30 (2H, m), 2.27-
2.16 (1H, m), 0.99 (3H, s), 0.92 (3H, d,
J=6.4 Hz), 0.66 (3H, s)。
0.248mmol)の懸濁液に、KOtBu(0.056g,0.497mmol)を
一度に加えた。その反応混合物を還流するまで3時間加熱し、室温に一晩冷却した。その
混合物をCH2Cl2(5mL)で希釈し、NH4Cl飽和水溶液(25mL)に注いだ
。水層をCH2Cl2で抽出した(3×25mL)。合わせた有機層をNa2SO4で乾
燥させ、濾過し、減圧下で蒸発させた。その粗生成物を、フラッシュカラムクロマトグラ
フィー(シリカ,ヘプタン/酢酸エチル,1:0->9:1)によって精製し、CH2C
l2(5mL)と同時蒸発させることにより、生成物D5dを得た(0.08g,0.1
8mmol,収率=74%)。NMRによると、D5dは、約2:1のcis/tran
s混合物として得られた。1HNMR(400MHz,CDCl3)δ(ppm):3.
66(3H,s),3.39(2H[cis異性体(β-OH)],s),3.38(1
H[trans異性体(α-OH)],s),3.24-3.12(2H[cis異性体
(β-OH)/trans異性体(α-OH)],m),2.35 (1H, ddd,
J=15.4, 10.3, 5.1 Hz), 2.21 (1H, ddd, J
=15.8, 9.5, 6.3 Hz), 2.04 (1H, bs), 1.98
-1.92 (1H, m), 1.92-1.75 (3H, m), 0.96 (
3H, s), 0.91 (3H, d, J=6.4 Hz), 0.64 (3H
, s)。
080g,0.184mmol)を窒素雰囲気下において乾燥THF(3mL)に溶解し
、0℃に冷却した。THF中3.0MのMeMgCl(0.614mL,1.841mm
ol)を、注射器を使用して加えた。その反応混合物を0℃において1.5時間撹拌した
。その反応混合物をNH4Cl飽和水溶液(20mL)でクエンチし、CH2Cl2で3
回抽出した(3×20mL)。合わせた有機層をブラインで洗浄し、Na2SO4におい
て乾燥させ、粗生成物を、フラッシュカラムクロマトグラフィー(シリカ,ヘプタン/酢
酸エチル,1:0->85:15)によって精製することにより、D5を得た(36mg
,0.08mmol,収率=45%)。1HNMR (400 MHz, CDCl3)
δ(ppm): 3.39 (3H, s), 3.22 (1H, d, J=9.
0 Hz), 3.20 (1H, d, 9.0 Hz), 1.20 6H, s)
, 0.97 (3H, s), 0.91 (3H, d, J=6.5 Hz),
0.65 (3H, s)。
アルゴン下、0℃において、ジエチルエーテル中1.6Mのメチルリチウム(0.26
mL,0.412mmol)を、THF(乾燥,1mL)中のD13a(0.080g,
0.206mmol)の溶液に滴下した。滴下の際に、白色沈殿物が形成された。THF
(乾燥,5mL)を加えた。0℃での撹拌を10分間続けた。反応混合物をRTまで昇温
させ、撹拌を1時間続けた。TLC(H/E,1:1)は、出発物質および2つのより極
性のスポットを示した。ジエチルエーテル中1.6Mのメチルリチウム(0.39mL,
0.618mmol)を、アルゴン下、RTにおいて加えた。撹拌を一晩続けた。反応混
合物は、黄色溶液に変化した。溶媒を真空中で除去した。THF(乾燥,1mL)を、ア
ルゴン下、RTにおいて加えた。ジエチルエーテル中1.6Mのメチルリチウム(0.2
6mL,0.412mmol)を滴下し、反応混合物をRTにおいて3時間撹拌した。塩
化アンモニウム飽和水溶液(10mL)、H2O(5mL)およびジエチルエーテル(2
0mL)を加えた。層を分離し、水層をジエチルエーテルで抽出した(2×25mL)。
合わせた有機層を硫酸ナトリウムで乾燥させ、溶媒を真空中で除去した。フラッシュクロ
マトグラフィー(H,5%~25%EtOAc)により、13mgの3ベータ-ヒドロキ
シジアステレオ異性体および12mgの3アルファ-ヒドロキシジアステレオ異性体が得
られた。化合物D13(3α-OH)(12mg,0.030mmol;14.4%)お
よび化合物D13(3β-OH)(13mg,0.032mmol;15.6%)。(3
α-OH):1H-NMR (400 MHz, CDCl3): δ(ppm): 2
.03 - 1.92 (m, 2H), 1.90 - 1.79 (m, 2H),
1.78 - 1.70 (m, 1H), 1.63 - 0.99 (m, 25
H), 1.25 (s, 3H), 1.20 (s, 3H), 1.19 (s,
3H), 0.93 (s, 3H), 0.91 (d, J = 6.5 Hz,
3H), 0.64 (s, 3H). (3β-OH): 1H-NMR (400
MHz, CDCl3): δ(ppm): 2.00 - 1.78 (m, 4H
), 1.67 - 0.99 (m, 25H), 1.22 (s, 3H), 1
.20 (s, br, 6H), 0.96 (s, 3H), 0.94 - 0.
86 (m, 4H), 0.65 (s, 3H)。
火炎乾燥した反応チューブ(20mL)において、D4b(0.1g,0.257mm
ol)をアルゴン雰囲気下において乾燥THF(3mL)に溶解し、-10℃に冷却した
。THF中3.0MのMeMgCl(0.86mL,2.57mmol)を、注射器を使
用して滴下した。THF中3.0MのMeMgCl(0.68mL,2.04mmol)
。その反応混合物は、1.5時間の間に室温に達し、それを室温において2時間撹拌した
。その反応混合物を、NH4Cl飽和水溶液(100mL)の撹拌溶液に注ぎ込み、CH
2Cl2で3回抽出した(3×75mL)。合わせた有機層をブラインで洗浄し、Na2
SO4において乾燥させ、粗生成物を、フラッシュカラムクロマトグラフィー(シリカ,
ヘプタン/酢酸エチル,1:0->4:1)によって精製することにより、D14(α-
OH)(28mg,0.07mmol,収率=27%)とD14(β-OH)(21mg
,0.05mmol,収率=20%)の両方を白色固体として得た。D14(α-OH)
:1HNMR (400 MHz, CDCl3) δ(ppm): 1.95 (1H
, dt, J=12.3, 3.1 Hz), 1.89-1.77 (1H, m)
, 1.65 (1H, dq, J=12.7, 3.3 Hz), 1.20 (9
H, s), 0.92 (3H, d, J=6.5 Hz), 0.75 (3H,
s), 0.78-0.69 (1H, m), 0.65 (3H, s). D1
4 (β-OH): 1HNMR (400 MHz, CDCl3) δ(ppm):
1.96 (1H, dt, J=12.5, 3.3 Hz), 1.89-1.7
7 (1H, m), 1.25 (3H, s), 1.20 (3H, s), 1
.19 (3H, s), 0.92 (3H, d, J=6.5 Hz), 0.8
1(3H, s), 0.65 (3H, s), 0.70-0.61 (1H, m
)。
実施例34.6-ジフルオロアナログの合成
(a)H2SO4、MeOH、一晩還流、97%;(b)Jones試薬、アセトン、0
℃30分、60%;(c)HCl、MeOH、一晩rt、44%;(d)Ac2O、ピリ
ジン、70℃、一晩、92%;(e)DAST(neat)、40℃、4日間、42℃;
(f)HCl、MeOH、THF、一晩rt;(g)Dess-Martinペルヨージ
ナン、CH2Cl2、一晩rt;(h)MeMgBr、THF、0℃。
実施例35.5,6-アルケニル-6-モノフルオロアナログの合成
(a)H2SO4、MeOH、一晩還流、97%;(b)Jones試薬、アセトン、0
℃30分、60%;(c)HCl、MeOH、一晩rt、44%;(d)Ac2O、ピリ
ジン、70℃、一晩、92%;(e)DAST(neat)、cat.発煙H2SO4;
(f)HCl、MeOH、THF、一晩rt;(g)Dess-Martinペルヨージ
ナン、CH2Cl2、一晩rt;(h)MeMgBr、THF、0℃。
実施例36.6-ベータ-メチルアナログの合成
(a)エタン-1,2-ジオール、cat.TsOH、トルエン、一晩還流;(b)Ac
2O、ピリジン、一晩rt;(c)BH3、THF、NaOH/H2O2、0℃その後r
t;(d)Dess-Martinペルヨージナン、CH2Cl2、一晩rt;(e)メ
チルトリフェニルホスホニウムブロミド、カリウムtert-ブトキシド、THF、室温
;(f)TCDI、DMAP、CH2Cl2、40℃;(g)Ph3SnH、AIBN、
トルエン、110℃;(h)炭酸カリウム、MeOH、一晩rt;(i)MeMgBr、
THF、0℃。
(a)3M HCl、アセトン;(b)(エチル)-トリフェニルホスホニウムブロミド
、t-BuOK、THF、65℃;(e)メチルアクリレート、EtAlCl2、DCM
、rt;(f)10%Pd/C、H2、EtOAc;(g)MeMgBr、THF、0℃
。
本発明の化合物は、文献に記載されている様々なインビトロおよびインビボアッセイを
用いて評価され得る;それらの例を下記で説明する。
方法を例証するために提供されるが、いかなる様式でもそれらの範囲を限定するものとみ
なされるべきでない。
本発明の化合物は、PaulらによってJ.Pharm.and Exp.Ther.
1994,271,677-682に記載されたアッセイを使用して、NMDA調節活性
について試験されるかまたは試験され得る。そのアッセイプロトコルを、下記に転載する
。
19日齢のSprague-Dawleyラット胚由来の海馬ニューロンを、以前に記
載されたように(Segal,J.NeurophysioL 50 1249-126
4,1983)、初代培養として維持する。簡潔には、海馬組織を切除し、機械的に破壊
し、10%ウシ胎仔血清、10%ウマ血清および2mMグルタミンが補充されたアール塩
を含む改変イーグル培地(Sigma)が入った、ポリ-L-リジン(Sigma,St
.Louis,MO)でコーティングされたガラス底の35mm培養皿にその細胞懸濁液
をプレーティングする。N3血清サプリメント(Guthrieら、Brain Res
.420 313-323,1987から改変したもの)は、ウシ血清アルブミン,0.
001%;トランスフェリン,20mg/リットル;インスリン,10mg/リットル;
セレン,60nM;コルチコステロン,40μg/リットル;トリヨードチロニン,20
μg/リットル;プロゲステロン,40nM;およびプトレッシン,200μMからなり
、これを上記培地に加える。細胞を、10%CO2および90%空気を含む加湿雰囲気に
おいてインキュベートする。プレーティング後、ウシ胎仔血清を欠く培養液を7日ごとに
加える。7~14日後に、培養中の細胞を使用する。
培養物を、以下を含む(単位はミリモル濃度の量)緩衝液で3回洗浄する:NaCl,
145;KCl,2.5;HEPES,10;CaCl2,1;およびグルコース,10
(NaOHでpH7.4に調整され、スクロースで315~325mOsmの重量オスモ
ル濃度に調整されたもの)。次いで、その培養物をフラ-2アセトキシメチルエステル2
~5μMとともに30~45分間、37℃の暗所においてインキュベートする。インキュ
ベーション時間の後、培養物を再度、緩衝液で3回洗浄し(ished)、エステルの完
全な加水分解を可能にするために≧15mmにわたって静置させる。目的のニューロンを
、およそ250μ1/分の速度(37℃)において緩衝液で灌流する。灌流デバイスは、
細胞からおよそ500μmに位置する共通の先端に排出される10本のチューブの水冷ジ
ャケット付きアレイからなった。すべての溶液が、電圧感受性Na+電流を排除するため
の0.5μMテトロドトキシン、およびNMDAレセプター上のストリキニーネ非感受性
グリシン部位を飽和させるための2~5μMグリシンを含んだ。
rofluorimetry)によって、[Ca++]を計測する(Grodenら、C
ell Calcium 12:279-287,1991)。二波長照度測定システム
(SPEX-DM3000 AR-CM,SPEX Industries,Ediso
n,NJ)を備えたNikon倒立顕微鏡を用いてニューロンを照射する。
ーした。ニューロンは、位相差顕微鏡によって可視化され、それらの特徴的な形態によっ
て容易に同定される。光電子増倍管に達する光を、目的の細胞によって放射される光に、
ピンホールによって限定する。光子数を、後の解析のためにデジタル形式で保存する。較
正は、Grynkiewiczら(J.Biol.Chem.280,34440-34
50,1985)によって記載されたように行う。以下(単位はミリモル濃度の量):K
Cl,130;NaCl,17;HEPES,10;グルコース,10;CaCl2,2
;およびイオノマイシン,0.015を含む緩衝液(pH7.2,37℃)に細胞を浸す
ことによって、Ca++飽和時の蛍光比(Rmax)をインサイチュで測定する。いくつ
かの較正用緩衝液は、ミトコンドリアの酸化的リン酸化を脱共役するために10μMのシ
アン化カルボニル-m-クロロフェニル-ヒドラゾンを含んだ。ゼロのCa++での蛍光
比(Rmin)を測定するために、3mM EGTAおよび80μM EGTAアセトキ
シメチルエステルをCaCl2の代わりに用いるように緩衝液を改変する。285nMの
見かけのKd(Grodenら、1991)を[Ca++]iの計算に用いる。
本発明の化合物を、PetrovicらによってJ.Neuroscience 16
0(2009)616-628に記載されたような電気生理学アッセイにおいて試験する
か、または試験され得る。そのアッセイプロトコルを下記に転載する。
初代解離海馬培養物を生後1~2日齢のラットから調製する。動物を断頭し、海馬を切
除する。トリプシン消化に続いて機械的解離を用いることにより、細胞懸濁液を調製する
。単一細胞を、500,000細胞/cm2の密度で、ポリリジンがコーティングされた
31mmまたは12mmのカバーグラス上にプレーティングする。ニューロン培養物を、
グルタミン(0.5mM)およびB27無血清サプリメント(Invitrogen)が
補充されたNeurobasalTM-A(Invitrogen,Carlsbad,
CA,USA)培地中で維持する。
HEK293細胞(American Type Culture Collecti
on,ATTC No.CRL1573,Rockville,MD,USA)を、5%
ウシ胎仔血清を含むOpti-MEM(登録商標)I(Invitrogen)中、37
℃において培養し、以前に記載されたような(Caisら、Neuroscience
151:428-438,2008)NR1-1a/NR2B/緑色蛍光タンパク質(G
FP)プラスミドでトランスフェクトする。簡潔には、NR1、NR2およびGFPをコ
ードする等量(0.3μg)のcDNA(pQBI25,Takara,Otsu,Sh
iga,Japan)を、0.9μlのMatra-A試薬(IBA,Goetting
en,Germany)と混合し、24ウェルプレート上のコンフルエントなHEK29
3細胞に加える。トリプシン処理後、それらの細胞を、20mM MgCl2、1mM
D,L-2-アミノ-5-ホスホノペンタン酸および3mMキヌレン酸が補充された1%
ウシ胎仔血清を含むOpti-MEM(登録商標)Iに再懸濁し、ポリリジンがコーティ
ングされた30mmのカバーガラス上にプレーティングする。NMDARサブユニットを
コードする以下の遺伝子を使用する:NR1-1a(GenBankアクセッション番号
U08261)(Hollmannら、Neuron 10:943-954 1993
)およびNR2B(GenBankアクセッション番号M91562)(Monyerら
、Science,256:1217-1221,1992)。
HEK293のトランスフェクション終了の24~48時間後に実験を行う;5~8日
間、培養して維持されたニューロンを使用する。80%~90%のキャパシタンスおよび
直列抵抗(<10MΩ)補償後、パッチクランプ増幅器でホールセル電圧固定記録を行う
。アゴニスト誘導応答を、8極ベッセルフィルター(Frequency Device
s,Haverhill,MA,USA)を用いて1kHzで低域フィルタリングし、5
kHzでデジタルサンプリングし、pCLAMPソフトウェアバージョン9(Axon
Instruments)を使用して解析する。ホウケイ酸ガラスから引いたパッチピペ
ット(3~4MΩ)を、(単位はmM)125グルコン酸、15CsCl、5EGTA、
10Hepes、3MgCl2、0.5CaCl2および2ATP-Mg塩を含むCs+
ベースの細胞内液(Cs-ICS)(CsOHで7.2にpHを調整した)で満たす。細
胞外液(ECS)は、(単位はmM)160NaCl、2.5KCl、10Hepes、
10グルコース、0.2EDTAおよび0.7CaCl2を含んだ(NaOHで7.3に
pHを調整した)。いくつかの実験では、示されるとおり、CaCl2の濃度を0.2m
M(EDTAなし)に低下させるか2mMに上昇させる。NMDARコアゴニストである
グリシン(10μM)が、コントロール溶液および試験溶液中に存在する。テトロドトキ
シン(0.5μM)およびビククリンメトクロリド(10μM)を、培養海馬ニューロン
に対する実験において使用する。本発明の化合物の溶液を、ジメチルスルホキシド(DM
SO)中の調製したばかりの20mMストックから作製する。同じ濃度のDMSOをすべ
てのECS中で維持する。マイクロプロセッサ制御マルチバレル高速灌流システムを、約
10msという細胞周囲の溶液交換の時定数で使用することにより、試験溶液およびコン
トロール溶液を適用する(Vyklickyら、J Physiol Lond 470
:575-600 1990)。
従来の方法を用いることによってそれらの純度を試験する。
化合物をスクリーニングすることにより、インビトロにおけるNMDA結合のモジュレ
ーターとしてのそれらの可能性を判定することができる。これらのアッセイは、上で論じ
られた手順に従って行われるかまたは行われ得る。
体重が15~20gの雄のNSAマウスを、Harlan Sprague-Dawl
ey(San Diego,CA)から入手する。到着したら、それらを、12時間(0
7.00~19.00昼)の昼夜サイクルで、一定温度(23.0°±2.5℃)の部屋
の中の、滅菌された床敷材料が入った標準的なポリカーボネートケージ(1ケージあたり
4匹)に収容する。食餌(Teklad LM 485)および水は、自由に入手可能で
ある。マウスを実験前に最低4日間、順化させる。
ワイヤ懸垂試験では、詰め物をした表面の上(25cm)に水平に吊された金属ワイヤ
(直径2mm)からなる特注の装置を使用した。マウスを尾の基部で保持し、前足をワイ
ヤと接触させ、次いで、放す。合格としてスコア付けされるためには、動物は、5秒以内
に両後足をワイヤと接触させる必要がある。結果を素量的に処理する。
HERGカリウムチャネルを安定に発現するHEK293細胞を電気生理学的研究に使
用する。HEK細胞におけるこのチャネルの安定したトランスフェクションのための方法
は、他の箇所に見られ得る(Zhouら、Biophys.J.74:230-41,1
998)。実験日の前に、細胞を培養フラスコから収集し、カバーガラス上の10%ウシ
胎仔血清(FCS)を含む標準的な最小必須培地(MEM)にプレーティングする。プレ
ーティングされた細胞を、95%O2/5%CO2の雰囲気で維持された37℃の培養器
内で保管する。収集の15~28時後に細胞を調べる。
、以下の組成(mM)の標準的な外液で細胞を灌流する:NaCl,130;KCl,4
;CaCl2,2;MgCl2,1;グルコース,10;HEPES,5;NaOHでp
H7.4。パッチクランプ増幅器およびパッチピペットを使用してホールセル記録を行い
、そのパッチピペットは、以下の組成(mM)の標準的な内液で充填されたとき、1~3
MOhmの抵抗を有する:KCl,130;MgATP,5;MgCl2,1.0;HE
PES,10;EGTA 5,KOHでpH7.2。15MOhmより低いアクセス抵抗
および>1GOhmのシール抵抗を有する細胞だけを、さらなる実験に許容する。直列抵
抗補償を最大80%まで適用した。リークサブトラクションを行わない。しかしながら、
許容され得るアクセス抵抗は、記録される電流の大きさ、および安全に使用され得る直列
抵抗補償レベルに依存した。
した後、標準的な電圧プロトコルを細胞に適用して膜電流を誘発する。この電圧プロトコ
ルは、以下のとおりである。膜を1000ミリ秒間、-80mVの保持電位から+40m
Vに脱分極させる。この後、保持電圧へと戻る降下電圧ランプ(descending
voltage ramp)(速度0.5mVミリ秒-1)が続いた。この電圧プロトコ
ルを、この実験全体を通して4秒ごとに継続的に細胞に適用する(0.25Hz)。この
ランプ中に約-40mVを誘発するピーク電流の振幅を計測する。安定した誘発電流応答
が外液において得られたら、ビヒクル(標準的な外液中、0.5%DMSO)を蠕動ポン
プ(peristalic pump)によって10~20分間適用する。ビヒクルコン
トロール条件において誘発電流応答の振幅の変化が最小であるという条件で、0.3、1
、3または10mMのいずれかの試験化合物を10分間適用する。この10分の時間は、
供給溶液がポンプを介してチューブを通って溶液レザーバから記録チャンバーを通過する
時間を含んだ。化合物溶液への細胞の曝露時間は、チャンバーウェル内の薬物濃度が、試
みている濃度に達した後、5分より長かった。その後、可逆性を評価するための10~2
0分間の洗浄時間がある。最後に、細胞を、高用量の、特異的なIKr遮断剤であるドフ
ェチリド(5mM)に曝露することにより、非感受性内因性電流を評価する。
てオンラインで記録し、パッチクランプ増幅器および特定のデータ解析ソフトウェアを使
用して、500~1KHz(Bessel-3dB)でフィルタリングし、1~2KHz
でサンプリングした。約-40mVで発生するピーク電流振幅を、コンピュータにおいて
オフラインで計測する。
算する。各実験におけるINの減少パーセントを、以下の式を用いて、正規化された電流
値によって得た:IN=(1-ID/IC)×100(式中、IDは、薬物存在下での平
均電流値であり、ICは、コントロール条件下での平均電流値である)。別個の実験を、
各薬物濃度に対してまたは時間をマッチさせたコントロールに対して行い、各実験におけ
る算術平均をその研究の結果として定義する。
試験化合物(1μM)を、100mMリン酸カリウム緩衝液(pH7.4)中の、3.
3mM MgCl2および0.78mg/mL HLM(HL101)とともに、96深
ウェルプレートにおいて37℃でインキュベートする。反応混合物を、非P450群とP
450群の2群に分ける。NADPHを、P450群の反応混合物にだけ加える。P45
0群のサンプルのアリコートを、0、10、30および60分の時点において回収し、こ
こで、0分の時点は、NADPHをP450群の反応混合物に加えた時間を示唆した。非
P450群のサンプルのアリコートを、-10および65分の時点において回収する。回
収されたアリコートを、内標準を含むアセトニトリル溶液で抽出する。沈殿タンパク質を
、遠心機でスピンダウンさせる(2000rpm、15分)。上清中の化合物濃度を、L
C/MS/MSシステムによって計測する。化合物/内標準のピーク面積比の自然対数を
時間に対してプロットすることによって、半減期値を得る。それらの点を通る最良適合の
線の傾きから、代謝速度(k)が得られ、以下の方程式を用いて、それを半減期値に変換
する:半減期=ln2/k。
ホールセルパッチクランプ法を用いることにより、HEK細胞において発現されるNM
DAレセプター(GRIN1/GRIN2Aサブユニット)に対する化合物(0.1mM
および1.0mM)の効果を調査した。NMDAレセプターを発現する安定にトランスフ
ェクトされた細胞からのNMDA/グリシンピーク電流および定常状態電流を記録し、こ
れらの電流に対する試験品の調節効果を調査した。
ipofectamine(商標))。これらの細胞を、GRIN2A cDNAおよび
CD8(pLeu)アンチジーンcDNAで一過性にトランスフェクトした。トランスフ
ェクションの約24~72時間後、1μlのDynabeads M-45 CD8を加
えることにより、首尾よくトランスフェクトされた細胞を同定した(Jurmanら、B
iotechniques(1994)17:876-881)。細胞を50~80%コ
ンフルエンスまで継代した。PatchMasterソフトウェアを使用してHEKA
EPC-10増幅器でホールセル電流を計測した。記録用の細胞培養皿を顕微鏡のディッ
シュホルダーに置き、浴液で継続的に灌流した(1ml/分)。ピペット溶液を含む、細
胞に適用されたすべての溶液を、室温で維持した(19℃~30℃)。パッチ電極とトラ
ンスフェクトされた個々のHEK293細胞との間のギガオームシールの形成後(ピペッ
ト抵抗範囲:2.5MW~6.0MW;シール抵抗範囲:>1GW)、ピペット先端を横
断する細胞膜を破断して、細胞内部への電気的アクセスを確実にした(ホールセルパッチ
配置)。安定したシールを確立することができたら、パッチクランプされた細胞への30
μM NMDA(および5.0μMグリシン)の5秒間の適用(2回適用)におけるNM
DAの内向き電流を計測した。それらの細胞を-80mVの保持電位で電圧固定した。
請求項において、冠詞(例えば「a」、「an」および「the」)は、それとは反対
のことが示されないかまたは別途文脈から明らかでない限り、1つまたは1つより多いこ
とを意味することがある。ある群の1つまたはそれを超えるメンバー間に「または」を含
む請求項または記載は、それとは反対のことが示されないかまたは別途文脈から明らかで
ない限り、1つ、1つより多い、またはすべての群メンバーが、所与の生成物もしくはプ
ロセスに存在するか、所与の生成物もしくはプロセスにおいて用いられるか、または所与
の生成物もしくはプロセスに別途関連していることが満たされるとみなされる。本発明は
、その群の正確に1つのメンバーが、所与の生成物もしくはプロセスに存在するか、所与
の生成物もしくはプロセスにおいて用いられるか、または所与の生成物もしくはプロセス
に別途関連している実施形態を含む。本発明は、1つより多いまたはすべての群メンバー
が所与の生成物もしくはプロセスに存在するか、所与の生成物もしくはプロセスにおいて
用いられるか、または所与の生成物もしくはプロセスに別途関連している実施形態を含む
。
つまたはそれを超える限定、エレメント、節および記述用語が別の請求項に導入されるす
べてのバリエーション、組み合わせおよび順列を包含する。例えば、別の請求項に従属し
ている任意の請求項は、同じ基本請求項に従属している他の任意の請求項に見られる1つ
またはそれを超える限定を含むように改変され得る。エレメントが、例えば、マーカッシ
ュ群形式で、リストとして提示されている場合、それらのエレメントの各部分群も開示さ
れ、任意のエレメントをその群から除去することができる。一般に、本発明または本発明
の態様は、特定のエレメントおよび/または特徴を含むと言及される場合、本発明または
本発明の態様のある特定の実施形態が、そのようなエレメントおよび/または特徴からな
るか、またはそれらから本質的になると理解されるべきである。単純にするために、それ
らの実施形態は、本明細書中に具体的にそのとおりの言葉で示されていない。用語「含む
(comprising)」および「含む(containing)」は、オープンであ
ると意図されており、追加のエレメントまたは工程を含めることを許容することにも注意
される。範囲が与えられている場合、終点を含む。さらに、別途示されないか、または文
脈および当業者の理解から別途明らかでない限り、範囲として表現されている値は、文脈
が明らかに他のことを指示しない限り、本発明の異なる実施形態において述べられた範囲
内の任意の具体的な値または部分範囲をその範囲の下限の単位の10分の1まで想定する
ことができる。
これらのすべてが参照により本明細書中に援用される。援用される任意の参考文献と本明
細書との間に矛盾がある場合、本明細書が支配するものとする。さらに、従来技術に入る
本発明の任意の特定の実施形態は、請求項のいずれか1つまたはそれを超える請求項から
明確に除外してよい。そのような実施形態は、当業者に公知であるとみなされるので、そ
の除外が本明細書に明確に示されていない場合でもそれらを除外してよい。本発明の任意
の特定の実施形態は、従来技術の存在に関係していてもしていなくても、何らかの理由で
任意の請求項から除外されることがある。
に対する多くの等価物を認識し得るかまたは突き止めることができるだろう。本明細書中
に記載される本実施形態の範囲は、上記の説明に限定されると意図されておらず、むしろ
添付の請求項に示されるとおりである。当業者は、以下の請求項において定義されるよう
な本発明の精神または範囲から逸脱することなく、この説明に様々な変更および改変が行
われ得ることを認識するだろう。
Claims (6)
- NMDAレセプター調節に関連する中枢神経系(CNS)疾患または障害を有する患者を処置する方法に使用するための、式(I-w)の化合物またはその薬学的に許容され得る塩を含む組成物であって、該方法は、
a)必要に応じて患者サンプルを取得する工程;
b)対照基準と比較したときの24(S)-ヒドロキシコレステロールのレベルの変化について該サンプルの評価を取得するおよび/または該サンプルを評価する工程;
c)該サンプルにおいて24(S)-ヒドロキシコレステロールの変化したレベルを有する該患者に該組成物を投与する工程
を包含し、該式(I-w)の化合物は、以下の構造:
を有し、式中:
X1は、-O-であり;
R3bは、水素であり;
R3aは、水素、非置換C1-6アルキルまたはハロゲンもしくは-ORaaで置換されたC1-6アルキルであり、RaaはC1-10アルキルであり;
R2、R11aおよびR11bの各実例は、独立して、水素であり;
R6aおよびR6bの各々は、独立して、水素であり;そして
は、単結合または二重結合を表すが、但し、二重結合が存在する場合、R6aまたはR6bのうちの一方は存在せず、単結合が存在する場合、C5における水素は、アルファ位またはベータ位であり;
R19は、水素または-CH3であり;そして
Zは、
から選択される、組成物。 - 前記患者の記憶障害を処置する、または前記患者の学習を改善するためのものである、請求項1に記載の使用のための組成物。
- 薬物の過量服用について前記患者を処置するためのものである、請求項1に記載の使用のための組成物。
- 前記NMDAレセプター調節に関連するCNS疾患または障害が、精神分裂病、うつ病、双極性障害(IおよびII)、統合失調感情障害、気分障害、不安障害、人格障害、精神病、強迫性障害、外傷後ストレス障害(PTSD)、自閉症圏障害(ASD)、気分変調、社会不安障害、強迫性障害(OCD)、疼痛症候群および障害、睡眠障害、記憶障害、痴呆、アルツハイマー病、外傷性脳損傷(TBI)、脳卒中、嗜癖障害、自閉症、ハンチントン病、不眠、パーキンソン病、離脱症候群、および耳鳴より選択される、請求項1~3のいずれか一項に記載の使用のための組成物。
- 前記NMDAレセプター調節に関連するCNS疾患または障害が、痴呆である、請求項4に記載の使用のための組成物。
- 前記NMDAレセプター調節に関連するCNS疾患または障害が、アルツハイマー病である、請求項4に記載の使用のための組成物。
Priority Applications (2)
| Application Number | Priority Date | Filing Date | Title |
|---|---|---|---|
| JP2022011876A JP2022044802A (ja) | 2013-03-13 | 2022-01-28 | 神経刺激性ステロイド、組成物およびそれらの使用 |
| JP2024137715A JP2024159822A (ja) | 2013-03-13 | 2024-08-19 | 神経刺激性ステロイド、組成物およびそれらの使用 |
Applications Claiming Priority (3)
| Application Number | Priority Date | Filing Date | Title |
|---|---|---|---|
| US201361780671P | 2013-03-13 | 2013-03-13 | |
| US61/780,671 | 2013-03-13 | ||
| JP2016502201A JP2016514967A (ja) | 2013-03-13 | 2014-03-13 | 神経刺激性ステロイド、組成物およびそれらの使用 |
Related Parent Applications (1)
| Application Number | Title | Priority Date | Filing Date |
|---|---|---|---|
| JP2016502201A Division JP2016514967A (ja) | 2013-03-13 | 2014-03-13 | 神経刺激性ステロイド、組成物およびそれらの使用 |
Related Child Applications (2)
| Application Number | Title | Priority Date | Filing Date |
|---|---|---|---|
| JP2022011876A Division JP2022044802A (ja) | 2013-03-13 | 2022-01-28 | 神経刺激性ステロイド、組成物およびそれらの使用 |
| JP2024137715A Division JP2024159822A (ja) | 2013-03-13 | 2024-08-19 | 神経刺激性ステロイド、組成物およびそれらの使用 |
Publications (2)
| Publication Number | Publication Date |
|---|---|
| JP2020062050A JP2020062050A (ja) | 2020-04-23 |
| JP7579639B2 true JP7579639B2 (ja) | 2024-11-08 |
Family
ID=51625426
Family Applications (4)
| Application Number | Title | Priority Date | Filing Date |
|---|---|---|---|
| JP2016502201A Withdrawn JP2016514967A (ja) | 2013-03-13 | 2014-03-13 | 神経刺激性ステロイド、組成物およびそれらの使用 |
| JP2020008895A Active JP7579639B2 (ja) | 2013-03-13 | 2020-01-23 | 神経刺激性ステロイド、組成物およびそれらの使用 |
| JP2022011876A Pending JP2022044802A (ja) | 2013-03-13 | 2022-01-28 | 神経刺激性ステロイド、組成物およびそれらの使用 |
| JP2024137715A Pending JP2024159822A (ja) | 2013-03-13 | 2024-08-19 | 神経刺激性ステロイド、組成物およびそれらの使用 |
Family Applications Before (1)
| Application Number | Title | Priority Date | Filing Date |
|---|---|---|---|
| JP2016502201A Withdrawn JP2016514967A (ja) | 2013-03-13 | 2014-03-13 | 神経刺激性ステロイド、組成物およびそれらの使用 |
Family Applications After (2)
| Application Number | Title | Priority Date | Filing Date |
|---|---|---|---|
| JP2022011876A Pending JP2022044802A (ja) | 2013-03-13 | 2022-01-28 | 神経刺激性ステロイド、組成物およびそれらの使用 |
| JP2024137715A Pending JP2024159822A (ja) | 2013-03-13 | 2024-08-19 | 神経刺激性ステロイド、組成物およびそれらの使用 |
Country Status (13)
| Country | Link |
|---|---|
| US (1) | US20160022701A1 (ja) |
| EP (2) | EP3865135A3 (ja) |
| JP (4) | JP2016514967A (ja) |
| CN (3) | CN119269811A (ja) |
| AU (5) | AU2014243819A1 (ja) |
| BR (1) | BR112015022934A8 (ja) |
| CA (1) | CA2905346C (ja) |
| HK (1) | HK1220472A1 (ja) |
| IL (5) | IL313113A (ja) |
| MX (2) | MX2015012437A (ja) |
| RU (2) | RU2021111681A (ja) |
| WO (1) | WO2014160441A1 (ja) |
| ZA (1) | ZA201506807B (ja) |
Families Citing this family (31)
| Publication number | Priority date | Publication date | Assignee | Title |
|---|---|---|---|---|
| CA2631233C (en) | 2005-11-28 | 2011-11-08 | Marinus Pharmaceuticals | Ganaxolone formulations and methods for the making and use thereof |
| CN107936076B (zh) | 2011-09-08 | 2021-10-15 | 萨奇治疗股份有限公司 | 神经活性类固醇、组合物、及其用途 |
| MX362544B (es) | 2013-03-13 | 2019-01-24 | Sage Therapeutics Inc | Esteroides neuroactivos y metodos para su uso. |
| EP4306114A1 (en) | 2014-06-18 | 2024-01-17 | Sage Therapeutics, Inc. | Oxysterols and methods of use thereof |
| RU2764702C2 (ru) * | 2014-10-07 | 2022-01-19 | Сейдж Терапьютикс, Инк. | Нейроактивные соединения и способы их применения |
| PL3319612T3 (pl) * | 2015-07-06 | 2021-12-20 | Sage Therapeutics, Inc. | Oksysterole i sposoby ich stosowania |
| HK1255500A1 (zh) * | 2015-07-06 | 2019-08-16 | Sage Therapeutics, Inc. | 氧固醇及其使用方法 |
| EP3828194B1 (en) * | 2015-07-06 | 2025-04-16 | Sage Therapeutics, Inc. | Oxysterols and methods of use thereof |
| US10414791B2 (en) | 2015-07-30 | 2019-09-17 | Intercept Pharmaceuticals, Inc | Methods for preparation of bile acids and derivatives thereof |
| MX2018004376A (es) | 2015-10-16 | 2018-08-01 | Marinus Pharmaceuticals Inc | Formulaciones inyectables de neuroesteroides que contienen nanoparticulas. |
| US20190330259A1 (en) * | 2016-04-01 | 2019-10-31 | Sage Therapeutics, Inc. | Oxysterols and methods of use thereof |
| US10752653B2 (en) | 2016-05-06 | 2020-08-25 | Sage Therapeutics, Inc. | Oxysterols and methods of use thereof |
| MD3481846T2 (ro) | 2016-07-07 | 2021-11-30 | Sage Therapeutics Inc | 24-Hidroxisteroli 11-substituiți pentru utilizare în tratamentul stărilor legate de NMDA |
| JP2019524816A (ja) | 2016-08-11 | 2019-09-05 | オービッド・セラピューティクス・インコーポレイテッドOvid Therapeutics, Inc. | てんかん性障害の処置のための方法および組成物 |
| US10391105B2 (en) | 2016-09-09 | 2019-08-27 | Marinus Pharmaceuticals Inc. | Methods of treating certain depressive disorders and delirium tremens |
| CN121085986A (zh) | 2016-09-30 | 2025-12-09 | 萨奇治疗股份有限公司 | C7取代的氧固醇及其作为nmda调节剂的方法 |
| TW202444381A (zh) * | 2016-10-18 | 2024-11-16 | 美商賽吉醫療公司 | 氧固醇(oxysterol)及其使用方法 |
| KR102521573B1 (ko) * | 2016-10-18 | 2023-04-14 | 세이지 테라퓨틱스, 인크. | 옥시스테롤 및 그의 사용 방법 |
| GB201812382D0 (en) | 2018-07-30 | 2018-09-12 | Nzp Uk Ltd | Compounds |
| WO2020027344A1 (en) * | 2018-08-03 | 2020-02-06 | Takeda Pharmaceutical Company Limited | Ch24h inhibitors for mdd use |
| WO2020059894A1 (en) * | 2018-09-20 | 2020-03-26 | Takeda Pharmaceutical Company Limited | CH24H Inhibitors For Pain Use |
| US11266662B2 (en) | 2018-12-07 | 2022-03-08 | Marinus Pharmaceuticals, Inc. | Ganaxolone for use in prophylaxis and treatment of postpartum depression |
| EP4009982A4 (en) | 2019-08-05 | 2023-08-09 | Marinus Pharmaceuticals, Inc. | GANAXOLONE FOR USE IN TREATMENT OF STATUS EPILEPTICUS |
| CN110646626B (zh) * | 2019-09-05 | 2023-08-15 | 首都医科大学附属北京安定医院 | 24-羟基胆固醇在制备诊断或早期诊断精神分裂症的产品中的用途 |
| CN110702929B (zh) * | 2019-09-05 | 2023-08-15 | 首都医科大学附属北京安定医院 | 27-羟基胆固醇在制备诊断精神分裂症的产品中的用途 |
| US10857163B1 (en) | 2019-09-30 | 2020-12-08 | Athenen Therapeutics, Inc. | Compositions that preferentially potentiate subtypes of GABAA receptors and methods of use thereof |
| EP4072559A4 (en) | 2019-12-06 | 2023-06-21 | Marinus Pharmaceuticals, Inc. | GANAXOLONE FOR USE IN THE TREATMENT OF TUBEROUS SCLEROSIS COMPLEX |
| US20240368214A1 (en) * | 2021-08-25 | 2024-11-07 | Sage Therapeutics, Inc. | Positive nmda-modulating compounds and methods of use thereof |
| KR102749670B1 (ko) * | 2021-09-28 | 2025-01-03 | 경희대학교 산학협력단 | 신규한 콜린산 유도체 및 이의 용도 |
| CN114409718A (zh) * | 2021-12-31 | 2022-04-29 | 湖北武当安泰药业有限公司 | 去氢表雄酮催化加氢制备表雄酮的方法 |
| WO2024195903A1 (ko) * | 2023-03-21 | 2024-09-26 | 경희대학교 산학협력단 | 신규한 콜린산 유도체 및 이의 용도 |
Citations (1)
| Publication number | Priority date | Publication date | Assignee | Title |
|---|---|---|---|---|
| JP2005508368A (ja) | 2001-11-08 | 2005-03-31 | ザ ユニバーシティー オブ シカゴ | 高コレステロール濃度に関連した疾患の治療方法 |
Family Cites Families (11)
| Publication number | Priority date | Publication date | Assignee | Title |
|---|---|---|---|---|
| US5376645A (en) | 1990-01-23 | 1994-12-27 | University Of Kansas | Derivatives of cyclodextrins exhibiting enhanced aqueous solubility and the use thereof |
| GB0019290D0 (en) * | 2000-08-04 | 2000-09-27 | Symphar Sa | Methods for inducing apolipoprotein E secretion |
| CA2468989A1 (en) * | 2001-12-07 | 2003-06-19 | Daniel M. Schwartz | Treatment for age-related macular degeneration |
| AU2003288231A1 (en) * | 2002-12-13 | 2004-07-09 | Bayer Healthcare Ag | Cholesterol 24-hydroxylase (cyp46) as therapeutic target for the treatment of alzheimer's disease |
| US8604011B2 (en) * | 2004-09-27 | 2013-12-10 | The Regents Of The University Of California | Therapy for treatment of chronic degenerative brain diseases and nervous system injury |
| CA2643732C (en) * | 2006-02-27 | 2012-08-21 | The Regents Of The University Of California | Oxysterol compounds and the hedgehog pathway |
| WO2008057468A1 (en) * | 2006-11-02 | 2008-05-15 | Curis, Inc. | Small organic molecule regulators of cell proliferation |
| JP5587184B2 (ja) * | 2007-06-20 | 2014-09-10 | オースペックス・ファーマシューティカルズ・インコーポレイテッド | 繊維症阻害剤としての置換n−アリールピリジノン |
| US8969525B2 (en) * | 2010-11-09 | 2015-03-03 | Enzo Life Sciences, Inc. | Hydroxycholesterol immunoassay |
| US20150031655A1 (en) * | 2011-04-15 | 2015-01-29 | University Of North Dakota | Combination of liver x receptor modulator and estrogen receptor modulator for the treatment of age-related diseases |
| CN107936076B (zh) * | 2011-09-08 | 2021-10-15 | 萨奇治疗股份有限公司 | 神经活性类固醇、组合物、及其用途 |
-
2014
- 2014-03-13 JP JP2016502201A patent/JP2016514967A/ja not_active Withdrawn
- 2014-03-13 BR BR112015022934A patent/BR112015022934A8/pt not_active Application Discontinuation
- 2014-03-13 AU AU2014243819A patent/AU2014243819A1/en not_active Abandoned
- 2014-03-13 RU RU2021111681A patent/RU2021111681A/ru unknown
- 2014-03-13 HK HK16108549.1A patent/HK1220472A1/zh unknown
- 2014-03-13 WO PCT/US2014/026633 patent/WO2014160441A1/en not_active Ceased
- 2014-03-13 MX MX2015012437A patent/MX2015012437A/es unknown
- 2014-03-13 CN CN202410635379.7A patent/CN119269811A/zh active Pending
- 2014-03-13 CN CN201480025060.7A patent/CN105164161A/zh active Pending
- 2014-03-13 EP EP21152843.5A patent/EP3865135A3/en not_active Withdrawn
- 2014-03-13 IL IL313113A patent/IL313113A/en unknown
- 2014-03-13 RU RU2015143463A patent/RU2015143463A/ru unknown
- 2014-03-13 IL IL286970A patent/IL286970B2/en unknown
- 2014-03-13 US US14/775,401 patent/US20160022701A1/en not_active Abandoned
- 2014-03-13 EP EP14775126.7A patent/EP2970504A4/en not_active Withdrawn
- 2014-03-13 CN CN202010902354.0A patent/CN112057457A/zh active Pending
- 2014-03-13 CA CA2905346A patent/CA2905346C/en active Active
-
2015
- 2015-09-10 IL IL24157615A patent/IL241576B/en active IP Right Grant
- 2015-09-11 MX MX2021001659A patent/MX2021001659A/es unknown
- 2015-09-14 ZA ZA2015/06807A patent/ZA201506807B/en unknown
-
2018
- 2018-12-12 AU AU2018278924A patent/AU2018278924A1/en not_active Abandoned
-
2019
- 2019-09-19 IL IL269471A patent/IL269471B/en active IP Right Grant
-
2020
- 2020-01-23 JP JP2020008895A patent/JP7579639B2/ja active Active
- 2020-05-28 AU AU2020203502A patent/AU2020203502A1/en not_active Abandoned
-
2021
- 2021-02-11 IL IL280813A patent/IL280813B/en unknown
-
2022
- 2022-01-28 JP JP2022011876A patent/JP2022044802A/ja active Pending
- 2022-03-09 AU AU2022201660A patent/AU2022201660A1/en not_active Abandoned
-
2024
- 2024-05-31 AU AU2024203671A patent/AU2024203671A1/en active Pending
- 2024-08-19 JP JP2024137715A patent/JP2024159822A/ja active Pending
Patent Citations (1)
| Publication number | Priority date | Publication date | Assignee | Title |
|---|---|---|---|---|
| JP2005508368A (ja) | 2001-11-08 | 2005-03-31 | ザ ユニバーシティー オブ シカゴ | 高コレステロール濃度に関連した疾患の治療方法 |
Non-Patent Citations (3)
| Title |
|---|
| BMC Neurol. (2011) vol.11, 121 |
| Neuroreport (2000) vol.11, no.9, p.1959-1962 |
| Neurosci. Lett. (2009) vol.462, issue 1, p.89-93 |
Also Published As
Similar Documents
| Publication | Publication Date | Title |
|---|---|---|
| JP7579639B2 (ja) | 神経刺激性ステロイド、組成物およびそれらの使用 | |
| JP7786665B2 (ja) | 神経刺激性のステロイド、組成物、およびそれらの使用 | |
| HK40057477A (en) | Neuroactive steroids for use in therapy | |
| HK40103457A (en) | Neuroactive steroids, compositions, and uses thereof | |
| RU2808165C2 (ru) | Нейроактивные стероиды, композиции и их применения | |
| HK1200173B (en) | Neuroactive steroids, compositions, and uses thereof |
Legal Events
| Date | Code | Title | Description |
|---|---|---|---|
| A621 | Written request for application examination |
Free format text: JAPANESE INTERMEDIATE CODE: A621 Effective date: 20200123 |
|
| A131 | Notification of reasons for refusal |
Free format text: JAPANESE INTERMEDIATE CODE: A131 Effective date: 20201211 |
|
| A601 | Written request for extension of time |
Free format text: JAPANESE INTERMEDIATE CODE: A601 Effective date: 20210310 |
|
| A521 | Request for written amendment filed |
Free format text: JAPANESE INTERMEDIATE CODE: A523 Effective date: 20210610 |
|
| A131 | Notification of reasons for refusal |
Free format text: JAPANESE INTERMEDIATE CODE: A131 Effective date: 20211028 |
|
| A02 | Decision of refusal |
Free format text: JAPANESE INTERMEDIATE CODE: A02 Effective date: 20220527 |
|
| A521 | Request for written amendment filed |
Free format text: JAPANESE INTERMEDIATE CODE: A523 Effective date: 20220927 |
|
| C60 | Trial request (containing other claim documents, opposition documents) |
Free format text: JAPANESE INTERMEDIATE CODE: C60 Effective date: 20220927 |
|
| C11 | Written invitation by the commissioner to file amendments |
Free format text: JAPANESE INTERMEDIATE CODE: C11 Effective date: 20221005 |
|
| A911 | Transfer to examiner for re-examination before appeal (zenchi) |
Free format text: JAPANESE INTERMEDIATE CODE: A911 Effective date: 20221017 |
|
| C21 | Notice of transfer of a case for reconsideration by examiners before appeal proceedings |
Free format text: JAPANESE INTERMEDIATE CODE: C21 Effective date: 20221018 |
|
| A912 | Re-examination (zenchi) completed and case transferred to appeal board |
Free format text: JAPANESE INTERMEDIATE CODE: A912 Effective date: 20221111 |
|
| C211 | Notice of termination of reconsideration by examiners before appeal proceedings |
Free format text: JAPANESE INTERMEDIATE CODE: C211 Effective date: 20221115 |
|
| A601 | Written request for extension of time |
Free format text: JAPANESE INTERMEDIATE CODE: A601 Effective date: 20240723 |
|
| A521 | Request for written amendment filed |
Free format text: JAPANESE INTERMEDIATE CODE: A523 Effective date: 20240819 |
|
| A61 | First payment of annual fees (during grant procedure) |
Free format text: JAPANESE INTERMEDIATE CODE: A61 Effective date: 20241028 |
|
| R150 | Certificate of patent or registration of utility model |
Ref document number: 7579639 Country of ref document: JP Free format text: JAPANESE INTERMEDIATE CODE: R150 |



































































































































































