JP7099990B2 - 生体電極組成物、生体電極、及び生体電極の製造方法 - Google Patents
生体電極組成物、生体電極、及び生体電極の製造方法 Download PDFInfo
- Publication number
- JP7099990B2 JP7099990B2 JP2019098594A JP2019098594A JP7099990B2 JP 7099990 B2 JP7099990 B2 JP 7099990B2 JP 2019098594 A JP2019098594 A JP 2019098594A JP 2019098594 A JP2019098594 A JP 2019098594A JP 7099990 B2 JP7099990 B2 JP 7099990B2
- Authority
- JP
- Japan
- Prior art keywords
- bioelectrode
- group
- silicone
- resin
- salt
- Prior art date
- Legal status (The legal status is an assumption and is not a legal conclusion. Google has not performed a legal analysis and makes no representation as to the accuracy of the status listed.)
- Active
Links
Images
Classifications
-
- C—CHEMISTRY; METALLURGY
- C08—ORGANIC MACROMOLECULAR COMPOUNDS; THEIR PREPARATION OR CHEMICAL WORKING-UP; COMPOSITIONS BASED THEREON
- C08G—MACROMOLECULAR COMPOUNDS OBTAINED OTHERWISE THAN BY REACTIONS ONLY INVOLVING UNSATURATED CARBON-TO-CARBON BONDS
- C08G77/00—Macromolecular compounds obtained by reactions forming a linkage containing silicon with or without sulfur, nitrogen, oxygen or carbon in the main chain of the macromolecule
- C08G77/04—Polysiloxanes
- C08G77/38—Polysiloxanes modified by chemical after-treatment
- C08G77/382—Polysiloxanes modified by chemical after-treatment containing atoms other than carbon, hydrogen, oxygen or silicon
- C08G77/398—Polysiloxanes modified by chemical after-treatment containing atoms other than carbon, hydrogen, oxygen or silicon containing boron or metal atoms
-
- H—ELECTRICITY
- H01—ELECTRIC ELEMENTS
- H01B—CABLES; CONDUCTORS; INSULATORS; SELECTION OF MATERIALS FOR THEIR CONDUCTIVE, INSULATING OR DIELECTRIC PROPERTIES
- H01B1/00—Conductors or conductive bodies characterised by the conductive materials; Selection of materials as conductors
- H01B1/06—Conductors or conductive bodies characterised by the conductive materials; Selection of materials as conductors mainly consisting of other non-metallic substances
-
- A—HUMAN NECESSITIES
- A61—MEDICAL OR VETERINARY SCIENCE; HYGIENE
- A61B—DIAGNOSIS; SURGERY; IDENTIFICATION
- A61B5/00—Measuring for diagnostic purposes; Identification of persons
- A61B5/24—Detecting, measuring or recording bioelectric or biomagnetic signals of the body or parts thereof
- A61B5/25—Bioelectric electrodes therefor
- A61B5/263—Bioelectric electrodes therefor characterised by the electrode materials
- A61B5/268—Bioelectric electrodes therefor characterised by the electrode materials containing conductive polymers, e.g. PEDOT:PSS polymers
-
- A—HUMAN NECESSITIES
- A61—MEDICAL OR VETERINARY SCIENCE; HYGIENE
- A61B—DIAGNOSIS; SURGERY; IDENTIFICATION
- A61B5/00—Measuring for diagnostic purposes; Identification of persons
- A61B5/24—Detecting, measuring or recording bioelectric or biomagnetic signals of the body or parts thereof
-
- A—HUMAN NECESSITIES
- A61—MEDICAL OR VETERINARY SCIENCE; HYGIENE
- A61B—DIAGNOSIS; SURGERY; IDENTIFICATION
- A61B5/00—Measuring for diagnostic purposes; Identification of persons
- A61B5/24—Detecting, measuring or recording bioelectric or biomagnetic signals of the body or parts thereof
- A61B5/25—Bioelectric electrodes therefor
-
- A—HUMAN NECESSITIES
- A61—MEDICAL OR VETERINARY SCIENCE; HYGIENE
- A61B—DIAGNOSIS; SURGERY; IDENTIFICATION
- A61B5/00—Measuring for diagnostic purposes; Identification of persons
- A61B5/24—Detecting, measuring or recording bioelectric or biomagnetic signals of the body or parts thereof
- A61B5/25—Bioelectric electrodes therefor
- A61B5/251—Means for maintaining electrode contact with the body
- A61B5/257—Means for maintaining electrode contact with the body using adhesive means, e.g. adhesive pads or tapes
-
- A—HUMAN NECESSITIES
- A61—MEDICAL OR VETERINARY SCIENCE; HYGIENE
- A61B—DIAGNOSIS; SURGERY; IDENTIFICATION
- A61B5/00—Measuring for diagnostic purposes; Identification of persons
- A61B5/24—Detecting, measuring or recording bioelectric or biomagnetic signals of the body or parts thereof
- A61B5/25—Bioelectric electrodes therefor
- A61B5/263—Bioelectric electrodes therefor characterised by the electrode materials
-
- A—HUMAN NECESSITIES
- A61—MEDICAL OR VETERINARY SCIENCE; HYGIENE
- A61B—DIAGNOSIS; SURGERY; IDENTIFICATION
- A61B5/00—Measuring for diagnostic purposes; Identification of persons
- A61B5/24—Detecting, measuring or recording bioelectric or biomagnetic signals of the body or parts thereof
- A61B5/25—Bioelectric electrodes therefor
- A61B5/263—Bioelectric electrodes therefor characterised by the electrode materials
- A61B5/265—Bioelectric electrodes therefor characterised by the electrode materials containing silver or silver chloride
-
- C—CHEMISTRY; METALLURGY
- C08—ORGANIC MACROMOLECULAR COMPOUNDS; THEIR PREPARATION OR CHEMICAL WORKING-UP; COMPOSITIONS BASED THEREON
- C08G—MACROMOLECULAR COMPOUNDS OBTAINED OTHERWISE THAN BY REACTIONS ONLY INVOLVING UNSATURATED CARBON-TO-CARBON BONDS
- C08G77/00—Macromolecular compounds obtained by reactions forming a linkage containing silicon with or without sulfur, nitrogen, oxygen or carbon in the main chain of the macromolecule
- C08G77/04—Polysiloxanes
- C08G77/12—Polysiloxanes containing silicon bound to hydrogen
-
- C—CHEMISTRY; METALLURGY
- C08—ORGANIC MACROMOLECULAR COMPOUNDS; THEIR PREPARATION OR CHEMICAL WORKING-UP; COMPOSITIONS BASED THEREON
- C08G—MACROMOLECULAR COMPOUNDS OBTAINED OTHERWISE THAN BY REACTIONS ONLY INVOLVING UNSATURATED CARBON-TO-CARBON BONDS
- C08G77/00—Macromolecular compounds obtained by reactions forming a linkage containing silicon with or without sulfur, nitrogen, oxygen or carbon in the main chain of the macromolecule
- C08G77/04—Polysiloxanes
- C08G77/20—Polysiloxanes containing silicon bound to unsaturated aliphatic groups
-
- C—CHEMISTRY; METALLURGY
- C08—ORGANIC MACROMOLECULAR COMPOUNDS; THEIR PREPARATION OR CHEMICAL WORKING-UP; COMPOSITIONS BASED THEREON
- C08G—MACROMOLECULAR COMPOUNDS OBTAINED OTHERWISE THAN BY REACTIONS ONLY INVOLVING UNSATURATED CARBON-TO-CARBON BONDS
- C08G77/00—Macromolecular compounds obtained by reactions forming a linkage containing silicon with or without sulfur, nitrogen, oxygen or carbon in the main chain of the macromolecule
- C08G77/04—Polysiloxanes
- C08G77/22—Polysiloxanes containing silicon bound to organic groups containing atoms other than carbon, hydrogen and oxygen
- C08G77/26—Polysiloxanes containing silicon bound to organic groups containing atoms other than carbon, hydrogen and oxygen nitrogen-containing groups
-
- C—CHEMISTRY; METALLURGY
- C08—ORGANIC MACROMOLECULAR COMPOUNDS; THEIR PREPARATION OR CHEMICAL WORKING-UP; COMPOSITIONS BASED THEREON
- C08G—MACROMOLECULAR COMPOUNDS OBTAINED OTHERWISE THAN BY REACTIONS ONLY INVOLVING UNSATURATED CARBON-TO-CARBON BONDS
- C08G77/00—Macromolecular compounds obtained by reactions forming a linkage containing silicon with or without sulfur, nitrogen, oxygen or carbon in the main chain of the macromolecule
- C08G77/04—Polysiloxanes
- C08G77/22—Polysiloxanes containing silicon bound to organic groups containing atoms other than carbon, hydrogen and oxygen
- C08G77/28—Polysiloxanes containing silicon bound to organic groups containing atoms other than carbon, hydrogen and oxygen sulfur-containing groups
-
- C—CHEMISTRY; METALLURGY
- C08—ORGANIC MACROMOLECULAR COMPOUNDS; THEIR PREPARATION OR CHEMICAL WORKING-UP; COMPOSITIONS BASED THEREON
- C08K—Use of inorganic or non-macromolecular organic substances as compounding ingredients
- C08K3/00—Use of inorganic substances as compounding ingredients
- C08K3/02—Elements
- C08K3/04—Carbon
-
- C—CHEMISTRY; METALLURGY
- C08—ORGANIC MACROMOLECULAR COMPOUNDS; THEIR PREPARATION OR CHEMICAL WORKING-UP; COMPOSITIONS BASED THEREON
- C08K—Use of inorganic or non-macromolecular organic substances as compounding ingredients
- C08K3/00—Use of inorganic substances as compounding ingredients
- C08K3/02—Elements
- C08K3/04—Carbon
- C08K3/041—Carbon nanotubes
-
- C—CHEMISTRY; METALLURGY
- C08—ORGANIC MACROMOLECULAR COMPOUNDS; THEIR PREPARATION OR CHEMICAL WORKING-UP; COMPOSITIONS BASED THEREON
- C08K—Use of inorganic or non-macromolecular organic substances as compounding ingredients
- C08K3/00—Use of inorganic substances as compounding ingredients
- C08K3/02—Elements
- C08K3/08—Metals
-
- C—CHEMISTRY; METALLURGY
- C08—ORGANIC MACROMOLECULAR COMPOUNDS; THEIR PREPARATION OR CHEMICAL WORKING-UP; COMPOSITIONS BASED THEREON
- C08L—COMPOSITIONS OF MACROMOLECULAR COMPOUNDS
- C08L33/00—Compositions of homopolymers or copolymers of compounds having one or more unsaturated aliphatic radicals, each having only one carbon-to-carbon double bond, and only one being terminated by only one carboxyl radical, or of salts, anhydrides, esters, amides, imides or nitriles thereof; Compositions of derivatives of such polymers
- C08L33/04—Homopolymers or copolymers of esters
-
- C—CHEMISTRY; METALLURGY
- C08—ORGANIC MACROMOLECULAR COMPOUNDS; THEIR PREPARATION OR CHEMICAL WORKING-UP; COMPOSITIONS BASED THEREON
- C08L—COMPOSITIONS OF MACROMOLECULAR COMPOUNDS
- C08L33/00—Compositions of homopolymers or copolymers of compounds having one or more unsaturated aliphatic radicals, each having only one carbon-to-carbon double bond, and only one being terminated by only one carboxyl radical, or of salts, anhydrides, esters, amides, imides or nitriles thereof; Compositions of derivatives of such polymers
- C08L33/04—Homopolymers or copolymers of esters
- C08L33/06—Homopolymers or copolymers of esters of esters containing only carbon, hydrogen and oxygen, which oxygen atoms are present only as part of the carboxyl radical
- C08L33/08—Homopolymers or copolymers of acrylic acid esters
-
- C—CHEMISTRY; METALLURGY
- C08—ORGANIC MACROMOLECULAR COMPOUNDS; THEIR PREPARATION OR CHEMICAL WORKING-UP; COMPOSITIONS BASED THEREON
- C08L—COMPOSITIONS OF MACROMOLECULAR COMPOUNDS
- C08L75/00—Compositions of polyureas or polyurethanes; Compositions of derivatives of such polymers
- C08L75/04—Polyurethanes
-
- C—CHEMISTRY; METALLURGY
- C08—ORGANIC MACROMOLECULAR COMPOUNDS; THEIR PREPARATION OR CHEMICAL WORKING-UP; COMPOSITIONS BASED THEREON
- C08L—COMPOSITIONS OF MACROMOLECULAR COMPOUNDS
- C08L83/00—Compositions of macromolecular compounds obtained by reactions forming in the main chain of the macromolecule a linkage containing silicon with or without sulfur, nitrogen, oxygen or carbon only; Compositions of derivatives of such polymers
- C08L83/04—Polysiloxanes
-
- C—CHEMISTRY; METALLURGY
- C08—ORGANIC MACROMOLECULAR COMPOUNDS; THEIR PREPARATION OR CHEMICAL WORKING-UP; COMPOSITIONS BASED THEREON
- C08L—COMPOSITIONS OF MACROMOLECULAR COMPOUNDS
- C08L83/00—Compositions of macromolecular compounds obtained by reactions forming in the main chain of the macromolecule a linkage containing silicon with or without sulfur, nitrogen, oxygen or carbon only; Compositions of derivatives of such polymers
- C08L83/04—Polysiloxanes
- C08L83/08—Polysiloxanes containing silicon bound to organic groups containing atoms other than carbon, hydrogen and oxygen
-
- H—ELECTRICITY
- H01—ELECTRIC ELEMENTS
- H01B—CABLES; CONDUCTORS; INSULATORS; SELECTION OF MATERIALS FOR THEIR CONDUCTIVE, INSULATING OR DIELECTRIC PROPERTIES
- H01B1/00—Conductors or conductive bodies characterised by the conductive materials; Selection of materials as conductors
- H01B1/02—Conductors or conductive bodies characterised by the conductive materials; Selection of materials as conductors mainly consisting of metals or alloys
-
- H—ELECTRICITY
- H01—ELECTRIC ELEMENTS
- H01B—CABLES; CONDUCTORS; INSULATORS; SELECTION OF MATERIALS FOR THEIR CONDUCTIVE, INSULATING OR DIELECTRIC PROPERTIES
- H01B1/00—Conductors or conductive bodies characterised by the conductive materials; Selection of materials as conductors
- H01B1/04—Conductors or conductive bodies characterised by the conductive materials; Selection of materials as conductors mainly consisting of carbon-silicon compounds, carbon or silicon
-
- H—ELECTRICITY
- H01—ELECTRIC ELEMENTS
- H01B—CABLES; CONDUCTORS; INSULATORS; SELECTION OF MATERIALS FOR THEIR CONDUCTIVE, INSULATING OR DIELECTRIC PROPERTIES
- H01B1/00—Conductors or conductive bodies characterised by the conductive materials; Selection of materials as conductors
- H01B1/20—Conductive material dispersed in non-conductive organic material
-
- A—HUMAN NECESSITIES
- A61—MEDICAL OR VETERINARY SCIENCE; HYGIENE
- A61B—DIAGNOSIS; SURGERY; IDENTIFICATION
- A61B2562/00—Details of sensors; Constructional details of sensor housings or probes; Accessories for sensors
- A61B2562/02—Details of sensors specially adapted for in-vivo measurements
- A61B2562/0209—Special features of electrodes classified in A61B5/24, A61B5/25, A61B5/283, A61B5/291, A61B5/296, A61B5/053
-
- A—HUMAN NECESSITIES
- A61—MEDICAL OR VETERINARY SCIENCE; HYGIENE
- A61B—DIAGNOSIS; SURGERY; IDENTIFICATION
- A61B2562/00—Details of sensors; Constructional details of sensor housings or probes; Accessories for sensors
- A61B2562/02—Details of sensors specially adapted for in-vivo measurements
- A61B2562/0209—Special features of electrodes classified in A61B5/24, A61B5/25, A61B5/283, A61B5/291, A61B5/296, A61B5/053
- A61B2562/0215—Silver or silver chloride containing
-
- A—HUMAN NECESSITIES
- A61—MEDICAL OR VETERINARY SCIENCE; HYGIENE
- A61B—DIAGNOSIS; SURGERY; IDENTIFICATION
- A61B2562/00—Details of sensors; Constructional details of sensor housings or probes; Accessories for sensors
- A61B2562/12—Manufacturing methods specially adapted for producing sensors for in-vivo measurements
- A61B2562/125—Manufacturing methods specially adapted for producing sensors for in-vivo measurements characterised by the manufacture of electrodes
-
- C—CHEMISTRY; METALLURGY
- C08—ORGANIC MACROMOLECULAR COMPOUNDS; THEIR PREPARATION OR CHEMICAL WORKING-UP; COMPOSITIONS BASED THEREON
- C08K—Use of inorganic or non-macromolecular organic substances as compounding ingredients
- C08K3/00—Use of inorganic substances as compounding ingredients
- C08K3/02—Elements
- C08K3/08—Metals
- C08K2003/0806—Silver
-
- C—CHEMISTRY; METALLURGY
- C08—ORGANIC MACROMOLECULAR COMPOUNDS; THEIR PREPARATION OR CHEMICAL WORKING-UP; COMPOSITIONS BASED THEREON
- C08K—Use of inorganic or non-macromolecular organic substances as compounding ingredients
- C08K3/00—Use of inorganic substances as compounding ingredients
- C08K3/02—Elements
- C08K3/08—Metals
- C08K2003/085—Copper
-
- C—CHEMISTRY; METALLURGY
- C08—ORGANIC MACROMOLECULAR COMPOUNDS; THEIR PREPARATION OR CHEMICAL WORKING-UP; COMPOSITIONS BASED THEREON
- C08K—Use of inorganic or non-macromolecular organic substances as compounding ingredients
- C08K3/00—Use of inorganic substances as compounding ingredients
- C08K3/02—Elements
- C08K3/08—Metals
- C08K2003/0881—Titanium
Landscapes
- Chemical & Material Sciences (AREA)
- Health & Medical Sciences (AREA)
- Chemical Kinetics & Catalysis (AREA)
- Medicinal Chemistry (AREA)
- Polymers & Plastics (AREA)
- Organic Chemistry (AREA)
- Life Sciences & Earth Sciences (AREA)
- Physics & Mathematics (AREA)
- Engineering & Computer Science (AREA)
- Veterinary Medicine (AREA)
- Animal Behavior & Ethology (AREA)
- Biophysics (AREA)
- Pathology (AREA)
- Biomedical Technology (AREA)
- Heart & Thoracic Surgery (AREA)
- Medical Informatics (AREA)
- Molecular Biology (AREA)
- Surgery (AREA)
- Public Health (AREA)
- General Health & Medical Sciences (AREA)
- Nanotechnology (AREA)
- Materials Engineering (AREA)
- General Chemical & Material Sciences (AREA)
- Dispersion Chemistry (AREA)
- Spectroscopy & Molecular Physics (AREA)
- Measurement And Recording Of Electrical Phenomena And Electrical Characteristics Of The Living Body (AREA)
- Materials For Medical Uses (AREA)
- Silicon Polymers (AREA)
- Compositions Of Macromolecular Compounds (AREA)
Description
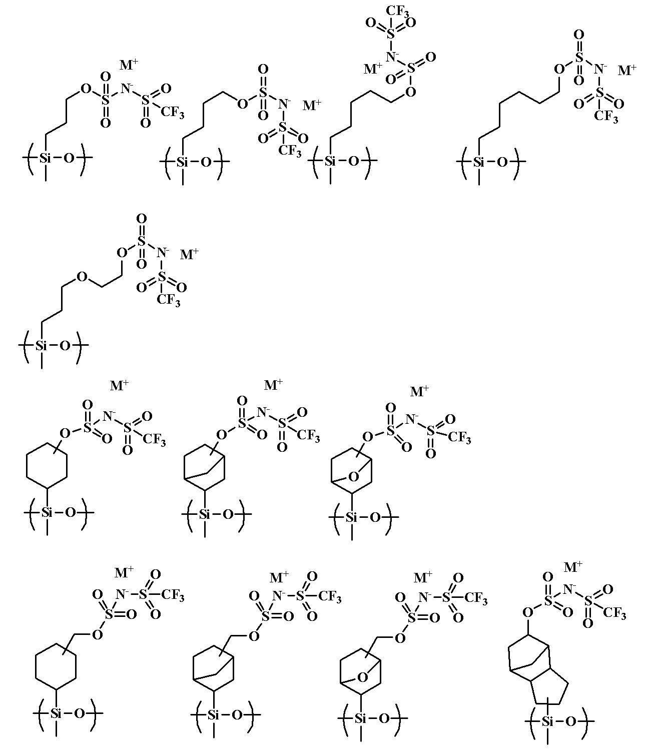
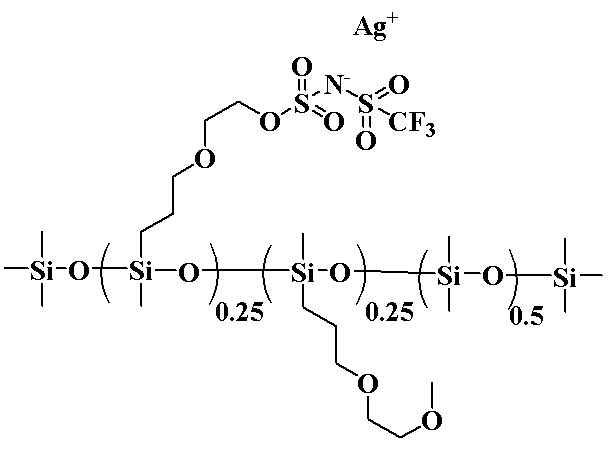
本発明の生体電極組成物は、スルホンイミド塩に結合するシリコーンを含有し、かつ、前記スルホンイミド塩が上記一般式(1)で示されるものであることを必須の条件とする。前記生体電極組成物は、前記スルホンイミド塩に結合するシリコーンと、粘着性樹脂とを含有するものであってもよい。前記生体電極組成物は、さらに導電性粉末(カーボン粉、金属粉)を含有することができ、またさらに有機溶剤等を含有することもできる。
本発明の生体電極組成物は、イオン性材料(塩)として(A)成分(スルホンイミド塩に結合するシリコーン)を含有する。前記生体電極組成物に導電性材料として配合されるイオン性材料(塩)は、下記一般式(1)で示されるスルホンイミドのリチウム塩、ナトリウム塩、カリウム塩、銀塩と結合したシリコーン化合物である。なお、以下において、スルホンイミド塩に結合するシリコーンを「スルホンイミド塩シリコーン」ともいう。
本発明の生体電極組成物の(A)成分は、上記の繰り返し単位aに加えて、導電性を向上させるために、グライム鎖を有するシロキサンからなる繰り返し単位bを有することができる。繰り返し単位bとしては、具体的には以下のものを例示することができる。
本発明の生体電極組成物の(A)成分は、上記の繰り返し単位a、bに加えて、(B)成分の粘着性樹脂との混合性を向上させるために、水素原子、アルキル基やアリール基を有するシロキサンからなる繰り返し単位cを有することができる。アルキル基やアリール基は、ヒドロキシ基、ハロゲン原子、エステル基、エーテル基、カルボキシル基、チオール基、(メタ)アクリル基、シアノ基、ニトロ基を有していても良い。繰り返し単位cとしては、具体的には以下のものを例示することができる。
本発明の生体電極組成物は(A)成分に加えて粘着性樹脂を(B)成分として含有することができる。生体電極組成物に配合される(B)成分は、上記の(A)スルホンイミド塩シリコーンと相溶して塩の溶出を防ぎ、カーボン粉や金属粉等の導電性向上剤を保持し、粘着性を発現させるための成分であり、粘着性樹脂からなる。なお、(B)成分は、上述の(A)成分以外の樹脂であればよく、熱硬化性樹脂及び光硬化性樹脂のいずれか、又はこれらの両方であることが好ましく、特には、シリコーン樹脂(シリコーン系樹脂)、(メタ)アクリレート樹脂(アクリル系樹脂)、及びウレタン樹脂(ウレタン系樹脂)から選ばれる1種以上の樹脂であることが好ましい。
本発明の生体電極組成物は、(C)成分としての導電性粉末をさらに含有することができる。導電性粉末としては、導電性を有する粉末であれば特に制限されないが、カーボン粉(カーボン材料)、金属粉が好ましい。本発明の生体電極組成物は、イオン性材料(塩)として(A)成分(スルホンイミド塩に結合するシリコーン)を含有するが、このような導電性粉末(カーボン粉、金属粉)をさらに添加することによって一層導電性を向上させることができる。なお、以下において、導電性粉末を「導電性向上剤」ともいう。
導電性向上剤として、カーボン材料(カーボン粉)を添加することができる。カーボン材料としては、カーボンブラック、カーボンナノチューブ、炭素繊維等を挙げることができる。カーボンナノチューブは単層、多層のいずれであってもよく、表面が有機基で修飾されていても構わない。カーボン材料の添加量は、樹脂100質量部に対して1~50質量部の範囲とすることが好ましい。
本発明の生体電極組成物には、電子導電性を高めるために、(C)成分として、金、銀、白金、銅、錫、チタン、ニッケル、アルミニウム、タングステン、モリブデン、ルテニウム、クロム、インジウムから選ばれる金属粉を添加することが好ましい。金属粉の添加量は、樹脂100質量部に対して1~50質量部の範囲とすることが好ましい。
本発明の生体電極組成物は、必要に応じて(D)成分としての添加剤をさらに含有することができる。添加剤としては、上記(A)から(C)成分以外のものであれば特に限定されないが、粘着性付与剤などの前記生体電極組成物の硬化物の伸縮性や粘着性を向上させることができる成分や、ラジカル発生剤、白金触媒などの硬化反応を促進する成分、有機溶剤などの生体電極組成物の取扱いを容易にする成分などを挙げることができる。以下、(D)成分について詳細に説明する。
本発明の生体電極組成物には、生体に対する粘着性を付与するために、粘着性付与剤を添加してもよい。このような粘着性付与剤としては、例えば、シリコーンレジンや非架橋性のシロキサン、非架橋性のポリ(メタ)アクリレート、非架橋性のポリエーテル等を挙げることができる。本発明の生体電極組成物は、必要に応じて(B)成分として粘着性樹脂を含有することができるが、このような粘着性付与剤を添加することによっても、生体に対する粘着性が更に好ましいものとなる。
また、本発明の生体電極組成物には、有機溶剤を添加することができる。有機溶剤としては、具体的には、トルエン、キシレン、クメン、1,2,3-トリメチルベンゼン、1,2,4-トリメチルベンゼン、1,3,5-トリメチルベンゼン、スチレン、αメチルスチレン、ブチルベンゼン、sec-ブチルベンゼン、イソブチルベンゼン、シメン、ジエチルベンゼン、2-エチル-p-キシレン、2-プロピルトルエン、3-プロピルトルエン、4-プロピルトルエン、1,2,3,5-テトラメチルトルエン、1,2,4,5-テトラメチルトルエン、テトラヒドロナフタレン、4-フェニル-1-ブテン、tert-アミルベンゼン、アミルベンゼン、2-tert-ブチルトルエン、3-tert-ブチルトルエン、4-tert-ブチルトルエン、5-イソプロピル-m-キシレン、3-メチルエチルベンゼン、tert-ブチル-3-エチルベンゼン、4-tert-ブチル-o-キシレン、5-tert-ブチル-m-キシレン、tert-ブチル-p-キシレン、1,2-ジイソプロピルベンゼン、1,3-ジイソプロピルベンゼン、1,4-ジイソプロピルベンゼン、ジプロピルベンゼン、ペンタメチルベンゼン、ヘキサメチルベンゼン、ヘキシルベンゼン、1,3,5-トリエチルベンゼン等の芳香族系炭化水素系溶剤、n-ヘプタン、イソヘプタン、3-メチルヘキサン、2,3-ジメチルペンタン、3-エチルペンタン、1,6-ヘプタジエン、5-メチル-1-ヘキシン、ノルボルナン、ノルボルネン、ジシクロペンタジエン、1-メチル-1,4-シクロヘキサジエン、1-ヘプチン、2-ヘプチン、シクロヘプタン、シクロヘプテン、1,3-ジメチルシクロペンタン、エチルシクロペンタン、メチルシクロヘキサン、1-メチル-1-シクロヘキセン、3-メチル-1-シクロヘキセン、メチレンシクロヘキサン、4-メチル-1-シクロヘキセン、2-メチル-1-ヘキセン、2-メチル-2-ヘキセン、1-ヘプテン、2-ヘプテン、3-ヘプテン、n-オクタン、2,2-ジメチルヘキサン、2,3-ジメチルヘキサン、2,4-ジメチルヘキサン、2,5-ジメチルヘキサン、3,3-ジメチルヘキサン、3,4-ジメチルヘキサン、3-エチル-2-メチルペンタン、3-エチル-3-メチルペンタン、2-メチルヘプタン、3-メチルヘプタン、4-メチルヘプタン、2,2,3-トリメチルペンタン、2,2,4-トリメチルペンタン、シクロオクタン、シクロオクテン、1,2-ジメチルシクロヘキサン、1,3-ジメチルシクロヘキサン、1,4-ジメチルシクロヘキサン、エチルシクロヘキサン、ビニルシクロヘキサン、イソプロピルシクロペンタン、2,2-ジメチル-3-ヘキセン、2,4-ジメチル-1-ヘキセン、2,5-ジメチル-1-ヘキセン、2,5-ジメチル-2-ヘキセン、3,3-ジメチル-1-ヘキセン、3,4-ジメチル-1-ヘキセン、4,4-ジメチル-1-ヘキセン、2-エチル-1-ヘキセン、2-メチル-1-ヘプテン、1-オクテン、2-オクテン、3-オクテン、4-オクテン、1,7-オクタジエン、1-オクチン、2-オクチン、3-オクチン、4-オクチン、n-ノナン、2,3-ジメチルヘプタン、2,4-ジメチルヘプタン、2,5-ジメチルヘプタン、3,3-ジメチルヘプタン、3,4-ジメチルヘプタン、3,5-ジメチルヘプタン、4-エチルヘプタン、2-メチルオクタン、3-メチルオクタン、4-メチルオクタン、2,2,4,4-テトラメチルペンタン、2,2,4-トリメチルヘキサン、2,2,5-トリメチルヘキサン、2,2-ジメチル-3-ヘプテン、2,3-ジメチル-3-ヘプテン、2,4-ジメチル-1-ヘプテン、2,6-ジメチル-1-ヘプテン、2,6-ジメチル-3-ヘプテン、3,5-ジメチル-3-ヘプテン、2,4,4-トリメチル-1-ヘキセン、3,5,5-トリメチル-1-ヘキセン、1-エチル-2-メチルシクロヘキサン、1-エチル-3-メチルシクロヘキサン、1-エチル-4-メチルシクロヘキサン、プロピルシクロヘキサン、イソプロピルシクロヘキサン、1,1,3-トリメチルシクロヘキサン、1,1,4-トリメチルシクロヘキサン、1,2,3-トリメチルシクロヘキサン、1,2,4-トリメチルシクロヘキサン、1,3,5-トリメチルシクロヘキサン、アリルシクロヘキサン、ヒドリンダン、1,8-ノナジエン、1-ノニン、2-ノニン、3-ノニン、4-ノニン、1-ノネン、2-ノネン、3-ノネン、4―ノネン、n-デカン、3,3-ジメチルオクタン、3,5-ジメチルオクタン、4,4-ジメチルオクタン、3-エチル-3-メチルヘプタン、2-メチルノナン、3-メチルノナン、4-メチルノナン、tert-ブチルシクロヘキサン、ブチルシクロヘキサン、イソブチルシクロヘキサン、4-イソプロピル-1-メチルシクロヘキサン、ペンチルシクロペンタン、1,1,3,5-テトラメチルシクロヘキサン、シクロドデカン、1-デセン、2-デセン、3-デセン、4-デセン、5-デセン、1,9-デカジエン、デカヒドロナフタレン、1-デシン、2-デシン、3-デシン、4-デシン、5-デシン、1,5,9-デカトリエン、2,6-ジメチル-2,4,6-オクタトリエン、リモネン、ミルセン、1,2,3,4,5-ペンタメチルシクロペンタジエン、α-フェランドレン、ピネン、テルピネン、テトラヒドロジシクロペンタジエン、5,6-ジヒドロジシクロペンタジエン、1,4-デカジイン、1,5-デカジイン、1,9-デカジイン、2,8-デカジイン、4,6-デカジイン、n-ウンデカン、アミルシクロヘキサン、1-ウンデセン、1,10-ウンデカジエン、1-ウンデシン、3-ウンデシン、5-ウンデシン、トリシクロ[6.2.1.02,7]ウンデカ-4-エン、n-ドデカン、2-メチルウンデカン、3-メチルウンデカン、4-メチルウンデカン、5-メチルウンデカン、2,2,4,6,6-ペンタメチルヘプタン、1,3-ジメチルアダマンタン、1-エチルアダマンタン、1,5,9-シクロドデカトリエン、1,2,4-トリビニルシクロヘキサン、イソパラフィン等の脂肪族炭化水素系溶剤、シクロヘキサノン、シクロペンタノン、2-オクタノン、2-ノナノン、2-ヘプタノン、3-ヘプタノン、4-ヘプタノン、2-ヘキサノン、3-ヘキサノン、ジイソブチルケトン、メチルシクロヘキサノン、メチルn-ペンチルケトン等のケトン系溶剤、3-メトキシブタノール、3-メチル-3-メトキシブタノール、1-メトキシ-2-プロパノール、1-エトキシ-2-プロパノール等のアルコール系溶剤、プロピレングリコールモノメチルエーテル、エチレングリコールモノメチルエーテル、プロピレングリコールモノエチルエーテル、エチレングリコールモノエチルエーテル、プロピレングリコールジメチルエーテル、ジエチレングリコールジメチルエーテル、ジイソプロピルエーテル、ジイソブチルエーテル、ジイソペンチルエーテル、ジ-n-ペンチルエーテル、メチルシクロペンチルエーテル、メチルシクロヘキシルエーテル、ジ-n-ブチルエーテル、ジ-secブチルエーテル、ジ-sec-ペンチルエーテル、ジ-tert-アミルエーテル、ジ-n-ヘキシルエーテル、アニソール等のエーテル系溶剤、プロピレングリコールモノメチルエーテルアセテート、プロピレングリコールモノエチルエーテルアセテート、乳酸エチル、ピルビン酸エチル、酢酸ブチル、3-メトキシプロピオン酸メチル、3-エトキシプロピオン酸エチル、酢酸tert-ブチル、プロピオン酸tert-ブチル、プロピレングリコールモノtert-ブチルエーテルアセテート等のエステル系溶剤、γ-ブチロラクトン等のラクトン系溶剤などを挙げることができる。
また、本発明では、導電性基材と該導電性基材上に形成された生体接触層とを有する生体電極であって、前記生体接触層が、上述の本発明の生体電極組成物の硬化物である生体電極を提供する。
本発明の生体電極は、導電性基材を有するものである。この導電性基材は、通常、センサーデバイス等と電気的に接続されており、生体から生体接触層を介して取り出した電気信号をセンサーデバイス等まで伝導させる。
本発明の生体電極は、導電性基材上に形成された生体接触層を有するものである。この生体接触層は、生体電極を使用する際に、実際に生体と接触する部分であり、導電性及び粘着性を有する。生体接触層は、上述の本発明の生体電極組成物の硬化物であり、即ち、上述の(A)成分と、必要に応じて(B)成分、(C)成分、(D)成分を含有する組成物の硬化物からなる粘着性の樹脂層である。
また、本発明では、導電性基材と該導電性基材上に形成された生体接触層とを有する生体電極の製造方法であって、前記導電性基材上に、上述の本発明の生体電極組成物を塗布し、硬化させることで前記生体接触層を形成する生体電極の製造方法を提供する。
30%トルエン溶液での粘度が27,000mPa・sであり、アルケニル基含有量が0.007モル/100gであり、分子鎖末端がSiMe2Vi基で封鎖されたビニル基含有ポリジメチルシロキサンをシロキサン化合物1とした。
Me3SiO0.5単位及びSiO2単位からなるMQレジンのポリシロキサン(Me3SiO0.5単位/SiO2単位=0.8)の60%トルエン溶液をシロキサン化合物2とした。
30%トルエン溶液での粘度が42,000mPa・sであり、アルケニル基含有量が0.007モル/100gであり、分子鎖末端がOHで封鎖されたビニル基含有ポリジメチルシロキサン40質量部、Me3SiO0.5単位及びSiO2単位からなるMQレジンのポリシロキサン(Me3SiO0.5単位/SiO2単位=0.8)の60%トルエン溶液100質量部、及びトルエン26.7質量部からなる溶液を還流させながら4時間加熱後、冷却して、MQレジンにポリジメチルシロキサンを結合させたものをシロキサン化合物3とした。
メチルハイドロジェンシリコーンオイルとして、信越化学工業製 KF-99を用いた。
PGMEA:プロピレングリコール-1-モノメチルエーテル-2-アセテート
PGME:プロピレングリコール-1-モノメチルエーテル
PGEE:プロピレングリコール-1-モノエチルエーテル
金属粉 銀粉:Sigma-Aldrich社製 銀フレーク 直径10μm
金粉:Sigma-Aldrich社製 金粉 直径10μm以下
錫粉:Sigma-Aldrich社製 錫粉 直径45μm以下
チタン粉:Sigma-Aldrich社製 チタン粉 直径45μm以下
銅粉:Sigma-Aldrich社製 銅粉 直径45μm以下
ラジカル発生剤:富士フイルム和光純薬社製 V-601
白金触媒:信越化学工業製 CAT-PL-50T
カーボンブラック:デンカ社製 デンカブラックHS-100
多層カーボンナノチューブ:Sigma-Aldrich社製 直径110~170nm、長さ5~9μm
表1及び表2に記載の組成で、イオン性材料(スルホンイミド塩シリコーン、比較塩)、樹脂(粘着性樹脂)、有機溶剤、及びその他の添加剤(ラジカル発生剤、白金触媒、導電性向上剤)をブレンドし、生体電極組成物溶液(生体電極組成物溶液1~17、比較生体電極組成物溶液1~5)を調製した。
直径3cm、厚さ0.2mmのアルミニウム製の円板の上にアプリケーターを用いて生体電極組成物溶液を塗布し、室温で6時間風乾した後、オーブンを用いて窒素雰囲気下120℃で30分間ベークして硬化させて、1つの生体電極組成物溶液につき生体電極を4枚作製した。このようにして得られた生体電極は、図3(a)、(b)に示されるように、一方の面には生体接触層3を有し、他方の面には導電性基材としてアルミニウム製の円板8を有するものであった。次に、図3(b)に示されるように、生体接触層で覆われていない側のアルミニウム製の円板8の表面に銅配線9を粘着テープで貼り付けて引き出し電極とし、これをインピーダンス測定装置に接続した。図4に示されるように、人の腕の肌と生体接触層側が接触するように生体電極1’を2枚貼り付けて、その間隔を15cmとした。ソーラトロン社製の交流インピーダンス測定装置SI1260を用い、周波数を変えながら初期インピーダンスを測定した。次に、残りの2枚の生体電極を純水中に1時間浸漬し、水を乾燥させた後、上記と同様の方法で肌上のインピーダンスを測定した。周波数1,000Hzにおけるインピーダンスを表3に示す。
生体電極組成物溶液(粘着剤溶液)を、アプリケーターを用いて厚さ100μmのPEN(ポリエチレンナフタレート)基板上に塗布し、室温で6時間風乾後、オーブンを用いて窒素雰囲気下120℃で30分間ベークして硬化させて、粘着フィルムを作製した。この粘着フィルムから25mm幅のテープを切り取り、これをステンレス板(SUS304)に圧着させ、室温で20時間放置した後、引っ張り試験機を用い角度180度、300mm/分の速度で粘着フィルムから作製したテープをステンレス板から引きはがすのに要する力(N/25mm)を測定した。結果を表3に示す。
上記の導電性評価試験で作製した生体電極において、生体接触層の厚さをマイクロメーターを用いて測定した。結果を表3に示す。
4…イオン性シリコーン材料、 5a…金属粉、 5b…カーボン粉、
6…樹脂、 7…生体、 8…アルミニウム製の円板、 9…銅配線。
Claims (14)
- (A)成分としての前記スルホンイミド塩に結合するシリコーンと、(B)成分としての粘着性樹脂を含有するものであることを特徴とする請求項1又は請求項2に記載の生体電極組成物。
- 前記(B)成分が、シリコーン樹脂、(メタ)アクリレート樹脂、ウレタン樹脂から選ばれる1種以上であることを特徴とする請求項3に記載の生体電極組成物。
- 前記(B)成分として、RxSiO(4-x)/2単位(Rは炭素数1~10の置換又は非置換の一価炭化水素基、xは2.5~3.5の範囲である。)及びSiO2単位を有するシリコーン樹脂と、アルケニル基を有するジオルガノシロキサンと、SiH基を有するオルガノハイドロジェンポリシロキサンとを含有するものであることを特徴とする請求項3又は請求項4に記載の生体電極組成物。
- 更に(C)成分として、カーボン粉及び/又は金属粉を含有するものであることを特徴とする請求項1から請求項5のいずれか1項に記載の生体電極組成物。
- 前記カーボン粉が、カーボンブラック及びカーボンナノチューブのいずれか又は両方であることを特徴とする請求項6に記載の生体電極組成物。
- 前記金属粉が、金、銀、白金、銅、錫、チタン、ニッケル、アルミニウム、タングステン、モリブデン、ルテニウム、クロム、インジウムから選ばれる金属粉であることを特徴とする請求項6又は請求項7に記載の生体電極組成物。
- 前記金属粉が、銀粉、銅粉、錫粉、チタン粉であることを特徴とする請求項8に記載の生体電極組成物。
- 前記生体電極組成物が、更に(D)成分として有機溶剤を含有するものであることを特徴とする請求項1から請求項9のいずれか1項に記載の生体電極組成物。
- 導電性基材と該導電性基材上に形成された生体接触層とを有する生体電極であって、前記生体接触層が、請求項1から請求項10のいずれか1項に記載の生体電極組成物の硬化物であることを特徴とする生体電極。
- 前記導電性基材が、金、銀、塩化銀、白金、アルミニウム、マグネシウム、スズ、タングステン、鉄、銅、ニッケル、ステンレス、クロム、チタン、炭素、及び導電性ポリマーから選ばれる1種以上を含むものであることを特徴とする請求項11に記載の生体電極。
- 導電性基材と該導電性基材上に形成された生体接触層とを有する生体電極の製造方法であって、
前記導電性基材上に、請求項1から請求項10のいずれか1項に記載の生体電極組成物を塗布し、硬化させることで前記生体接触層を形成することを特徴とする生体電極の製造方法。 - 前記導電性基材として、金、銀、塩化銀、白金、アルミニウム、マグネシウム、スズ、タングステン、鉄、銅、ニッケル、ステンレス、クロム、チタン、炭素、及び導電性ポリマーから選ばれる1種以上を含むものを用いることを特徴とする請求項13に記載の生体電極の製造方法。
Applications Claiming Priority (2)
| Application Number | Priority Date | Filing Date | Title |
|---|---|---|---|
| JP2018120735 | 2018-06-26 | ||
| JP2018120735 | 2018-06-26 |
Publications (2)
| Publication Number | Publication Date |
|---|---|
| JP2020000853A JP2020000853A (ja) | 2020-01-09 |
| JP7099990B2 true JP7099990B2 (ja) | 2022-07-12 |
Family
ID=67296939
Family Applications (1)
| Application Number | Title | Priority Date | Filing Date |
|---|---|---|---|
| JP2019098594A Active JP7099990B2 (ja) | 2018-06-26 | 2019-05-27 | 生体電極組成物、生体電極、及び生体電極の製造方法 |
Country Status (5)
| Country | Link |
|---|---|
| US (1) | US11607162B2 (ja) |
| EP (1) | EP3587474B1 (ja) |
| JP (1) | JP7099990B2 (ja) |
| KR (1) | KR102208936B1 (ja) |
| TW (1) | TWI706999B (ja) |
Families Citing this family (8)
| Publication number | Priority date | Publication date | Assignee | Title |
|---|---|---|---|---|
| JP7158335B2 (ja) * | 2018-06-25 | 2022-10-21 | 信越化学工業株式会社 | 生体電極組成物、生体電極、及び生体電極の製造方法 |
| JP6966396B2 (ja) * | 2018-08-23 | 2021-11-17 | 信越化学工業株式会社 | 生体電極組成物、生体電極、及び生体電極の製造方法 |
| USD961933S1 (en) * | 2019-07-26 | 2022-08-30 | Alo, Llc | Yoga strap |
| CN115397328B (zh) | 2020-03-25 | 2026-03-17 | 弗莱康股份有限公司 | 各向同性非水性电极传感材料 |
| JP7626418B2 (ja) * | 2020-05-11 | 2025-02-04 | 国立大学法人 香川大学 | ポリシロキサン、接着剤および湿度センサ |
| JP7444821B2 (ja) * | 2020-09-15 | 2024-03-06 | 信越化学工業株式会社 | 生体電極組成物、生体電極、生体電極の製造方法、及び珪素材料粒子 |
| JP7444824B2 (ja) * | 2020-09-24 | 2024-03-06 | 信越化学工業株式会社 | 生体電極組成物、生体電極、生体電極の製造方法、及び珪素材料粒子 |
| GB2635132A (en) * | 2023-10-30 | 2025-05-07 | Occam Bci Inc | A wearable sensor having dry electrodes, and a manufacturing method |
Citations (4)
| Publication number | Priority date | Publication date | Assignee | Title |
|---|---|---|---|---|
| JP2002298913A (ja) | 2001-03-29 | 2002-10-11 | Fuji Photo Film Co Ltd | ポリシロキサン塩、電解質組成物、電気化学電池、非水二次電池及び光電気化学電池 |
| JP2009242401A (ja) | 1996-12-30 | 2009-10-22 | Hydro Quebec | 過フッ化アミド塩及びイオン伝導物質としてのその使用方法 |
| WO2013034705A1 (en) | 2011-09-09 | 2013-03-14 | Momentive Performance Materials Gmbh | Use of ionic polysiloxanes as a solvent in organic reactions |
| JP2018059052A (ja) | 2016-09-29 | 2018-04-12 | 信越化学工業株式会社 | 粘着剤組成物、生体電極、生体電極の製造方法、及び塩 |
Family Cites Families (19)
| Publication number | Priority date | Publication date | Assignee | Title |
|---|---|---|---|---|
| JPH07106197B2 (ja) | 1991-10-09 | 1995-11-15 | 日本メクトロン株式会社 | 導電性ミラブルウレタンゴム電極 |
| US5981680A (en) | 1998-07-13 | 1999-11-09 | Dow Corning Corporation | Method of making siloxane-based polyamides |
| WO2002063073A1 (en) | 2000-12-23 | 2002-08-15 | Wen Lu | Long-lived conjugated polymer electrochemical devices incorporating ionic liquids |
| JP3865046B2 (ja) | 2001-05-08 | 2007-01-10 | 信越化学工業株式会社 | 無溶剤型ポリイミドシリコーン系樹脂組成物 |
| JP2003225217A (ja) | 2002-02-01 | 2003-08-12 | Shin Etsu Chem Co Ltd | 生体電極用シリコーンゴム組成物及び生体用電極 |
| JP3923861B2 (ja) | 2002-07-03 | 2007-06-06 | フクダ電子株式会社 | 生体電極 |
| JP2005320418A (ja) | 2004-05-07 | 2005-11-17 | Shin Etsu Chem Co Ltd | 紫外線硬化型オルガノポリシロキサン組成物 |
| KR101116963B1 (ko) | 2006-10-04 | 2012-03-14 | 신에쓰 가가꾸 고교 가부시끼가이샤 | 고분자 화합물, 레지스트 재료, 및 패턴 형성 방법 |
| JP4858714B2 (ja) | 2006-10-04 | 2012-01-18 | 信越化学工業株式会社 | 高分子化合物、レジスト材料、及びパターン形成方法 |
| JP5019071B2 (ja) | 2007-09-05 | 2012-09-05 | 信越化学工業株式会社 | 新規光酸発生剤並びにこれを用いたレジスト材料及びパターン形成方法 |
| JP5646153B2 (ja) | 2009-10-06 | 2014-12-24 | 東レ・ダウコーニング株式会社 | ポリアミドシリコーンコポリマーの製造方法 |
| WO2013039151A1 (ja) | 2011-09-15 | 2013-03-21 | 積水化成品工業株式会社 | 生体用電極被覆パッド |
| JP2014194411A (ja) | 2013-02-28 | 2014-10-09 | Aisin Seiki Co Ltd | 修飾電極、当該修飾電極の製造方法、当該修飾電極を備えるバイオ電池並びにバイオセンサー |
| JP6296530B2 (ja) | 2013-07-18 | 2018-03-20 | 国立研究開発法人科学技術振興機構 | 生体適合性電極構造体及びその製造方法、並びに、デバイス及びその製造方法 |
| JP6073776B2 (ja) | 2013-11-28 | 2017-02-01 | 日本電信電話株式会社 | 生体電気信号モニタ用衣類 |
| JP6348434B2 (ja) | 2014-03-28 | 2018-06-27 | 信越化学工業株式会社 | シリコーン粘着剤組成物、その製造法及び粘着フィルム |
| JP6358874B2 (ja) | 2014-06-27 | 2018-07-18 | ニチバン株式会社 | アクリル系粘着剤組成物、及び、粘着テープまたはシート |
| ES2818096T3 (es) | 2014-09-19 | 2021-04-09 | Cosmed Pharmaceutical Co Ltd | Adhesivo sensible a la presión a base de uretano |
| KR102303831B1 (ko) | 2014-12-26 | 2021-09-17 | 삼성전자주식회사 | 고분자, 이를 포함하는 전해질 및 리튬이차전지 |
-
2019
- 2019-05-27 JP JP2019098594A patent/JP7099990B2/ja active Active
- 2019-06-14 US US16/441,519 patent/US11607162B2/en active Active
- 2019-06-24 TW TW108121872A patent/TWI706999B/zh active
- 2019-06-25 EP EP19182349.1A patent/EP3587474B1/en active Active
- 2019-06-25 KR KR1020190075558A patent/KR102208936B1/ko active Active
Patent Citations (4)
| Publication number | Priority date | Publication date | Assignee | Title |
|---|---|---|---|---|
| JP2009242401A (ja) | 1996-12-30 | 2009-10-22 | Hydro Quebec | 過フッ化アミド塩及びイオン伝導物質としてのその使用方法 |
| JP2002298913A (ja) | 2001-03-29 | 2002-10-11 | Fuji Photo Film Co Ltd | ポリシロキサン塩、電解質組成物、電気化学電池、非水二次電池及び光電気化学電池 |
| WO2013034705A1 (en) | 2011-09-09 | 2013-03-14 | Momentive Performance Materials Gmbh | Use of ionic polysiloxanes as a solvent in organic reactions |
| JP2018059052A (ja) | 2016-09-29 | 2018-04-12 | 信越化学工業株式会社 | 粘着剤組成物、生体電極、生体電極の製造方法、及び塩 |
Also Published As
| Publication number | Publication date |
|---|---|
| TWI706999B (zh) | 2020-10-11 |
| US20190387990A1 (en) | 2019-12-26 |
| JP2020000853A (ja) | 2020-01-09 |
| KR102208936B1 (ko) | 2021-01-28 |
| EP3587474B1 (en) | 2021-03-03 |
| US11607162B2 (en) | 2023-03-21 |
| EP3587474A1 (en) | 2020-01-01 |
| KR20200001533A (ko) | 2020-01-06 |
| TW202006069A (zh) | 2020-02-01 |
Similar Documents
| Publication | Publication Date | Title |
|---|---|---|
| JP6892376B2 (ja) | 生体電極組成物、生体電極、生体電極の製造方法、及び高分子化合物 | |
| JP6761386B2 (ja) | 粘着剤組成物、生体電極、生体電極の製造方法、及び塩 | |
| JP6836520B2 (ja) | 生体電極組成物、生体電極、及び生体電極の製造方法 | |
| JP6761384B2 (ja) | 粘着剤組成物、生体電極、及び生体電極の製造方法 | |
| JP7099990B2 (ja) | 生体電極組成物、生体電極、及び生体電極の製造方法 | |
| JP6966310B2 (ja) | 生体電極組成物、生体電極、生体電極の製造方法、及び高分子化合物 | |
| JP6839125B2 (ja) | 生体電極組成物、生体電極、及び生体電極の製造方法 | |
| JP6966389B2 (ja) | 生体電極組成物、生体電極、及び生体電極の製造方法 | |
| JP7158335B2 (ja) | 生体電極組成物、生体電極、及び生体電極の製造方法 | |
| JP7045768B2 (ja) | 生体電極組成物、生体電極、及び生体電極の製造方法 | |
| JP2018044147A (ja) | 粘着剤組成物、生体電極、及び生体電極の製造方法 | |
| JP7111653B2 (ja) | 生体電極組成物、生体電極、及び生体電極の製造方法 | |
| TW202227014A (zh) | 生物體電極組成物、生物體電極、生物體電極之製造方法及反應複合體 | |
| JP6966396B2 (ja) | 生体電極組成物、生体電極、及び生体電極の製造方法 | |
| JP6966397B2 (ja) | 生体電極組成物、生体電極、及び生体電極の製造方法 | |
| JP7627671B2 (ja) | 生体電極組成物、生体電極、及び生体電極の製造方法 | |
| JP6993994B2 (ja) | 生体電極組成物、生体電極、及び生体電極の製造方法 | |
| JP7082082B2 (ja) | 生体電極組成物、生体電極、及び生体電極の製造方法 | |
| JP7411516B2 (ja) | 生体電極組成物、生体電極、及び生体電極の製造方法 | |
| JP2022053498A (ja) | 生体電極組成物、生体電極、生体電極の製造方法、及び珪素材料粒子 | |
| JP2022048991A (ja) | 生体電極組成物、生体電極、生体電極の製造方法、及び珪素材料粒子 |
Legal Events
| Date | Code | Title | Description |
|---|---|---|---|
| A521 | Request for written amendment filed |
Free format text: JAPANESE INTERMEDIATE CODE: A523 Effective date: 20190924 |
|
| A621 | Written request for application examination |
Free format text: JAPANESE INTERMEDIATE CODE: A621 Effective date: 20210521 |
|
| A131 | Notification of reasons for refusal |
Free format text: JAPANESE INTERMEDIATE CODE: A131 Effective date: 20220329 |
|
| A977 | Report on retrieval |
Free format text: JAPANESE INTERMEDIATE CODE: A971007 Effective date: 20220330 |
|
| A521 | Request for written amendment filed |
Free format text: JAPANESE INTERMEDIATE CODE: A523 Effective date: 20220516 |
|
| TRDD | Decision of grant or rejection written | ||
| A01 | Written decision to grant a patent or to grant a registration (utility model) |
Free format text: JAPANESE INTERMEDIATE CODE: A01 Effective date: 20220614 |
|
| A61 | First payment of annual fees (during grant procedure) |
Free format text: JAPANESE INTERMEDIATE CODE: A61 Effective date: 20220630 |
|
| R150 | Certificate of patent or registration of utility model |
Ref document number: 7099990 Country of ref document: JP Free format text: JAPANESE INTERMEDIATE CODE: R150 |



























