JP6991867B2 - 双方向誘導電力伝送システムのための負荷制御 - Google Patents
双方向誘導電力伝送システムのための負荷制御 Download PDFInfo
- Publication number
- JP6991867B2 JP6991867B2 JP2018011056A JP2018011056A JP6991867B2 JP 6991867 B2 JP6991867 B2 JP 6991867B2 JP 2018011056 A JP2018011056 A JP 2018011056A JP 2018011056 A JP2018011056 A JP 2018011056A JP 6991867 B2 JP6991867 B2 JP 6991867B2
- Authority
- JP
- Japan
- Prior art keywords
- power
- primary
- ipt
- converter
- power converter
- Prior art date
- Legal status (The legal status is an assumption and is not a legal conclusion. Google has not performed a legal analysis and makes no representation as to the accuracy of the status listed.)
- Active
Links
- 238000012546 transfer Methods 0.000 title claims description 45
- 230000006698 induction Effects 0.000 title claims 3
- 230000002457 bidirectional effect Effects 0.000 title description 14
- 238000000034 method Methods 0.000 claims description 44
- 230000005540 biological transmission Effects 0.000 claims description 34
- 230000001939 inductive effect Effects 0.000 claims description 25
- 230000010363 phase shift Effects 0.000 claims description 14
- 230000004044 response Effects 0.000 claims description 7
- 239000004020 conductor Substances 0.000 claims 13
- 230000008859 change Effects 0.000 description 22
- 238000010586 diagram Methods 0.000 description 9
- 238000004804 winding Methods 0.000 description 8
- 230000001276 controlling effect Effects 0.000 description 7
- 238000004088 simulation Methods 0.000 description 7
- 238000012545 processing Methods 0.000 description 6
- 230000001965 increasing effect Effects 0.000 description 5
- 238000004891 communication Methods 0.000 description 3
- 230000008878 coupling Effects 0.000 description 3
- 238000010168 coupling process Methods 0.000 description 3
- 238000005859 coupling reaction Methods 0.000 description 3
- 239000000284 extract Substances 0.000 description 3
- 230000000737 periodic effect Effects 0.000 description 3
- 238000005070 sampling Methods 0.000 description 3
- 230000000903 blocking effect Effects 0.000 description 2
- 239000003990 capacitor Substances 0.000 description 2
- 238000006243 chemical reaction Methods 0.000 description 2
- 230000000694 effects Effects 0.000 description 2
- 238000012544 monitoring process Methods 0.000 description 2
- 230000001105 regulatory effect Effects 0.000 description 2
- 238000012935 Averaging Methods 0.000 description 1
- 238000003491 array Methods 0.000 description 1
- 230000007423 decrease Effects 0.000 description 1
- 238000013461 design Methods 0.000 description 1
- 239000000428 dust Substances 0.000 description 1
- 230000005674 electromagnetic induction Effects 0.000 description 1
- 238000005516 engineering process Methods 0.000 description 1
- 238000002474 experimental method Methods 0.000 description 1
- 238000000605 extraction Methods 0.000 description 1
- 230000004907 flux Effects 0.000 description 1
- 230000007246 mechanism Effects 0.000 description 1
- 238000012986 modification Methods 0.000 description 1
- 230000004048 modification Effects 0.000 description 1
- 230000008569 process Effects 0.000 description 1
Images
Classifications
-
- H—ELECTRICITY
- H02—GENERATION; CONVERSION OR DISTRIBUTION OF ELECTRIC POWER
- H02J—CIRCUIT ARRANGEMENTS OR SYSTEMS FOR SUPPLYING OR DISTRIBUTING ELECTRIC POWER; SYSTEMS FOR STORING ELECTRIC ENERGY
- H02J50/00—Circuit arrangements or systems for wireless supply or distribution of electric power
- H02J50/90—Circuit arrangements or systems for wireless supply or distribution of electric power involving detection or optimisation of position, e.g. alignment
-
- B—PERFORMING OPERATIONS; TRANSPORTING
- B60—VEHICLES IN GENERAL
- B60L—PROPULSION OF ELECTRICALLY-PROPELLED VEHICLES; SUPPLYING ELECTRIC POWER FOR AUXILIARY EQUIPMENT OF ELECTRICALLY-PROPELLED VEHICLES; ELECTRODYNAMIC BRAKE SYSTEMS FOR VEHICLES IN GENERAL; MAGNETIC SUSPENSION OR LEVITATION FOR VEHICLES; MONITORING OPERATING VARIABLES OF ELECTRICALLY-PROPELLED VEHICLES; ELECTRIC SAFETY DEVICES FOR ELECTRICALLY-PROPELLED VEHICLES
- B60L53/00—Methods of charging batteries, specially adapted for electric vehicles; Charging stations or on-board charging equipment therefor; Exchange of energy storage elements in electric vehicles
- B60L53/10—Methods of charging batteries, specially adapted for electric vehicles; Charging stations or on-board charging equipment therefor; Exchange of energy storage elements in electric vehicles characterised by the energy transfer between the charging station and the vehicle
- B60L53/12—Inductive energy transfer
-
- B—PERFORMING OPERATIONS; TRANSPORTING
- B60—VEHICLES IN GENERAL
- B60L—PROPULSION OF ELECTRICALLY-PROPELLED VEHICLES; SUPPLYING ELECTRIC POWER FOR AUXILIARY EQUIPMENT OF ELECTRICALLY-PROPELLED VEHICLES; ELECTRODYNAMIC BRAKE SYSTEMS FOR VEHICLES IN GENERAL; MAGNETIC SUSPENSION OR LEVITATION FOR VEHICLES; MONITORING OPERATING VARIABLES OF ELECTRICALLY-PROPELLED VEHICLES; ELECTRIC SAFETY DEVICES FOR ELECTRICALLY-PROPELLED VEHICLES
- B60L53/00—Methods of charging batteries, specially adapted for electric vehicles; Charging stations or on-board charging equipment therefor; Exchange of energy storage elements in electric vehicles
- B60L53/10—Methods of charging batteries, specially adapted for electric vehicles; Charging stations or on-board charging equipment therefor; Exchange of energy storage elements in electric vehicles characterised by the energy transfer between the charging station and the vehicle
- B60L53/12—Inductive energy transfer
- B60L53/126—Methods for pairing a vehicle and a charging station, e.g. establishing a one-to-one relation between a wireless power transmitter and a wireless power receiver
-
- B—PERFORMING OPERATIONS; TRANSPORTING
- B60—VEHICLES IN GENERAL
- B60L—PROPULSION OF ELECTRICALLY-PROPELLED VEHICLES; SUPPLYING ELECTRIC POWER FOR AUXILIARY EQUIPMENT OF ELECTRICALLY-PROPELLED VEHICLES; ELECTRODYNAMIC BRAKE SYSTEMS FOR VEHICLES IN GENERAL; MAGNETIC SUSPENSION OR LEVITATION FOR VEHICLES; MONITORING OPERATING VARIABLES OF ELECTRICALLY-PROPELLED VEHICLES; ELECTRIC SAFETY DEVICES FOR ELECTRICALLY-PROPELLED VEHICLES
- B60L53/00—Methods of charging batteries, specially adapted for electric vehicles; Charging stations or on-board charging equipment therefor; Exchange of energy storage elements in electric vehicles
- B60L53/60—Monitoring or controlling charging stations
- B60L53/63—Monitoring or controlling charging stations in response to network capacity
-
- B—PERFORMING OPERATIONS; TRANSPORTING
- B60—VEHICLES IN GENERAL
- B60L—PROPULSION OF ELECTRICALLY-PROPELLED VEHICLES; SUPPLYING ELECTRIC POWER FOR AUXILIARY EQUIPMENT OF ELECTRICALLY-PROPELLED VEHICLES; ELECTRODYNAMIC BRAKE SYSTEMS FOR VEHICLES IN GENERAL; MAGNETIC SUSPENSION OR LEVITATION FOR VEHICLES; MONITORING OPERATING VARIABLES OF ELECTRICALLY-PROPELLED VEHICLES; ELECTRIC SAFETY DEVICES FOR ELECTRICALLY-PROPELLED VEHICLES
- B60L53/00—Methods of charging batteries, specially adapted for electric vehicles; Charging stations or on-board charging equipment therefor; Exchange of energy storage elements in electric vehicles
- B60L53/60—Monitoring or controlling charging stations
- B60L53/65—Monitoring or controlling charging stations involving identification of vehicles or their battery types
-
- B—PERFORMING OPERATIONS; TRANSPORTING
- B60—VEHICLES IN GENERAL
- B60L—PROPULSION OF ELECTRICALLY-PROPELLED VEHICLES; SUPPLYING ELECTRIC POWER FOR AUXILIARY EQUIPMENT OF ELECTRICALLY-PROPELLED VEHICLES; ELECTRODYNAMIC BRAKE SYSTEMS FOR VEHICLES IN GENERAL; MAGNETIC SUSPENSION OR LEVITATION FOR VEHICLES; MONITORING OPERATING VARIABLES OF ELECTRICALLY-PROPELLED VEHICLES; ELECTRIC SAFETY DEVICES FOR ELECTRICALLY-PROPELLED VEHICLES
- B60L55/00—Arrangements for supplying energy stored within a vehicle to a power network, i.e. vehicle-to-grid [V2G] arrangements
-
- H—ELECTRICITY
- H02—GENERATION; CONVERSION OR DISTRIBUTION OF ELECTRIC POWER
- H02J—CIRCUIT ARRANGEMENTS OR SYSTEMS FOR SUPPLYING OR DISTRIBUTING ELECTRIC POWER; SYSTEMS FOR STORING ELECTRIC ENERGY
- H02J50/00—Circuit arrangements or systems for wireless supply or distribution of electric power
- H02J50/10—Circuit arrangements or systems for wireless supply or distribution of electric power using inductive coupling
-
- H—ELECTRICITY
- H02—GENERATION; CONVERSION OR DISTRIBUTION OF ELECTRIC POWER
- H02J—CIRCUIT ARRANGEMENTS OR SYSTEMS FOR SUPPLYING OR DISTRIBUTING ELECTRIC POWER; SYSTEMS FOR STORING ELECTRIC ENERGY
- H02J50/00—Circuit arrangements or systems for wireless supply or distribution of electric power
- H02J50/10—Circuit arrangements or systems for wireless supply or distribution of electric power using inductive coupling
- H02J50/12—Circuit arrangements or systems for wireless supply or distribution of electric power using inductive coupling of the resonant type
-
- H—ELECTRICITY
- H02—GENERATION; CONVERSION OR DISTRIBUTION OF ELECTRIC POWER
- H02M—APPARATUS FOR CONVERSION BETWEEN AC AND AC, BETWEEN AC AND DC, OR BETWEEN DC AND DC, AND FOR USE WITH MAINS OR SIMILAR POWER SUPPLY SYSTEMS; CONVERSION OF DC OR AC INPUT POWER INTO SURGE OUTPUT POWER; CONTROL OR REGULATION THEREOF
- H02M7/00—Conversion of AC power input into DC power output; Conversion of DC power input into AC power output
- H02M7/66—Conversion of AC power input into DC power output; Conversion of DC power input into AC power output with possibility of reversal
- H02M7/68—Conversion of AC power input into DC power output; Conversion of DC power input into AC power output with possibility of reversal by static converters
- H02M7/72—Conversion of AC power input into DC power output; Conversion of DC power input into AC power output with possibility of reversal by static converters using discharge tubes with control electrode or semiconductor devices with control electrode
- H02M7/79—Conversion of AC power input into DC power output; Conversion of DC power input into AC power output with possibility of reversal by static converters using discharge tubes with control electrode or semiconductor devices with control electrode using devices of a triode or transistor type requiring continuous application of a control signal
- H02M7/797—Conversion of AC power input into DC power output; Conversion of DC power input into AC power output with possibility of reversal by static converters using discharge tubes with control electrode or semiconductor devices with control electrode using devices of a triode or transistor type requiring continuous application of a control signal using semiconductor devices only
-
- H—ELECTRICITY
- H04—ELECTRIC COMMUNICATION TECHNIQUE
- H04B—TRANSMISSION
- H04B5/00—Near-field transmission systems, e.g. inductive or capacitive transmission systems
- H04B5/20—Near-field transmission systems, e.g. inductive or capacitive transmission systems characterised by the transmission technique; characterised by the transmission medium
- H04B5/24—Inductive coupling
-
- H—ELECTRICITY
- H04—ELECTRIC COMMUNICATION TECHNIQUE
- H04B—TRANSMISSION
- H04B5/00—Near-field transmission systems, e.g. inductive or capacitive transmission systems
- H04B5/70—Near-field transmission systems, e.g. inductive or capacitive transmission systems specially adapted for specific purposes
- H04B5/79—Near-field transmission systems, e.g. inductive or capacitive transmission systems specially adapted for specific purposes for data transfer in combination with power transfer
-
- B—PERFORMING OPERATIONS; TRANSPORTING
- B60—VEHICLES IN GENERAL
- B60L—PROPULSION OF ELECTRICALLY-PROPELLED VEHICLES; SUPPLYING ELECTRIC POWER FOR AUXILIARY EQUIPMENT OF ELECTRICALLY-PROPELLED VEHICLES; ELECTRODYNAMIC BRAKE SYSTEMS FOR VEHICLES IN GENERAL; MAGNETIC SUSPENSION OR LEVITATION FOR VEHICLES; MONITORING OPERATING VARIABLES OF ELECTRICALLY-PROPELLED VEHICLES; ELECTRIC SAFETY DEVICES FOR ELECTRICALLY-PROPELLED VEHICLES
- B60L2210/00—Converter types
- B60L2210/10—DC to DC converters
-
- B—PERFORMING OPERATIONS; TRANSPORTING
- B60—VEHICLES IN GENERAL
- B60L—PROPULSION OF ELECTRICALLY-PROPELLED VEHICLES; SUPPLYING ELECTRIC POWER FOR AUXILIARY EQUIPMENT OF ELECTRICALLY-PROPELLED VEHICLES; ELECTRODYNAMIC BRAKE SYSTEMS FOR VEHICLES IN GENERAL; MAGNETIC SUSPENSION OR LEVITATION FOR VEHICLES; MONITORING OPERATING VARIABLES OF ELECTRICALLY-PROPELLED VEHICLES; ELECTRIC SAFETY DEVICES FOR ELECTRICALLY-PROPELLED VEHICLES
- B60L2210/00—Converter types
- B60L2210/30—AC to DC converters
-
- B—PERFORMING OPERATIONS; TRANSPORTING
- B60—VEHICLES IN GENERAL
- B60L—PROPULSION OF ELECTRICALLY-PROPELLED VEHICLES; SUPPLYING ELECTRIC POWER FOR AUXILIARY EQUIPMENT OF ELECTRICALLY-PROPELLED VEHICLES; ELECTRODYNAMIC BRAKE SYSTEMS FOR VEHICLES IN GENERAL; MAGNETIC SUSPENSION OR LEVITATION FOR VEHICLES; MONITORING OPERATING VARIABLES OF ELECTRICALLY-PROPELLED VEHICLES; ELECTRIC SAFETY DEVICES FOR ELECTRICALLY-PROPELLED VEHICLES
- B60L2210/00—Converter types
- B60L2210/40—DC to AC converters
-
- H—ELECTRICITY
- H02—GENERATION; CONVERSION OR DISTRIBUTION OF ELECTRIC POWER
- H02M—APPARATUS FOR CONVERSION BETWEEN AC AND AC, BETWEEN AC AND DC, OR BETWEEN DC AND DC, AND FOR USE WITH MAINS OR SIMILAR POWER SUPPLY SYSTEMS; CONVERSION OF DC OR AC INPUT POWER INTO SURGE OUTPUT POWER; CONTROL OR REGULATION THEREOF
- H02M1/00—Details of apparatus for conversion
- H02M1/0067—Converter structures employing plural converter units, other than for parallel operation of the units on a single load
- H02M1/008—Plural converter units for generating at two or more independent and non-parallel outputs, e.g. systems with plural point of load switching regulators
-
- H—ELECTRICITY
- H02—GENERATION; CONVERSION OR DISTRIBUTION OF ELECTRIC POWER
- H02M—APPARATUS FOR CONVERSION BETWEEN AC AND AC, BETWEEN AC AND DC, OR BETWEEN DC AND DC, AND FOR USE WITH MAINS OR SIMILAR POWER SUPPLY SYSTEMS; CONVERSION OF DC OR AC INPUT POWER INTO SURGE OUTPUT POWER; CONTROL OR REGULATION THEREOF
- H02M7/00—Conversion of AC power input into DC power output; Conversion of DC power input into AC power output
- H02M7/42—Conversion of DC power input into AC power output without possibility of reversal
- H02M7/44—Conversion of DC power input into AC power output without possibility of reversal by static converters
- H02M7/48—Conversion of DC power input into AC power output without possibility of reversal by static converters using discharge tubes with control electrode or semiconductor devices with control electrode
- H02M7/4815—Resonant converters
-
- Y—GENERAL TAGGING OF NEW TECHNOLOGICAL DEVELOPMENTS; GENERAL TAGGING OF CROSS-SECTIONAL TECHNOLOGIES SPANNING OVER SEVERAL SECTIONS OF THE IPC; TECHNICAL SUBJECTS COVERED BY FORMER USPC CROSS-REFERENCE ART COLLECTIONS [XRACs] AND DIGESTS
- Y02—TECHNOLOGIES OR APPLICATIONS FOR MITIGATION OR ADAPTATION AGAINST CLIMATE CHANGE
- Y02E—REDUCTION OF GREENHOUSE GAS [GHG] EMISSIONS, RELATED TO ENERGY GENERATION, TRANSMISSION OR DISTRIBUTION
- Y02E60/00—Enabling technologies; Technologies with a potential or indirect contribution to GHG emissions mitigation
-
- Y—GENERAL TAGGING OF NEW TECHNOLOGICAL DEVELOPMENTS; GENERAL TAGGING OF CROSS-SECTIONAL TECHNOLOGIES SPANNING OVER SEVERAL SECTIONS OF THE IPC; TECHNICAL SUBJECTS COVERED BY FORMER USPC CROSS-REFERENCE ART COLLECTIONS [XRACs] AND DIGESTS
- Y02—TECHNOLOGIES OR APPLICATIONS FOR MITIGATION OR ADAPTATION AGAINST CLIMATE CHANGE
- Y02T—CLIMATE CHANGE MITIGATION TECHNOLOGIES RELATED TO TRANSPORTATION
- Y02T10/00—Road transport of goods or passengers
- Y02T10/60—Other road transportation technologies with climate change mitigation effect
- Y02T10/70—Energy storage systems for electromobility, e.g. batteries
-
- Y—GENERAL TAGGING OF NEW TECHNOLOGICAL DEVELOPMENTS; GENERAL TAGGING OF CROSS-SECTIONAL TECHNOLOGIES SPANNING OVER SEVERAL SECTIONS OF THE IPC; TECHNICAL SUBJECTS COVERED BY FORMER USPC CROSS-REFERENCE ART COLLECTIONS [XRACs] AND DIGESTS
- Y02—TECHNOLOGIES OR APPLICATIONS FOR MITIGATION OR ADAPTATION AGAINST CLIMATE CHANGE
- Y02T—CLIMATE CHANGE MITIGATION TECHNOLOGIES RELATED TO TRANSPORTATION
- Y02T10/00—Road transport of goods or passengers
- Y02T10/60—Other road transportation technologies with climate change mitigation effect
- Y02T10/7072—Electromobility specific charging systems or methods for batteries, ultracapacitors, supercapacitors or double-layer capacitors
-
- Y—GENERAL TAGGING OF NEW TECHNOLOGICAL DEVELOPMENTS; GENERAL TAGGING OF CROSS-SECTIONAL TECHNOLOGIES SPANNING OVER SEVERAL SECTIONS OF THE IPC; TECHNICAL SUBJECTS COVERED BY FORMER USPC CROSS-REFERENCE ART COLLECTIONS [XRACs] AND DIGESTS
- Y02—TECHNOLOGIES OR APPLICATIONS FOR MITIGATION OR ADAPTATION AGAINST CLIMATE CHANGE
- Y02T—CLIMATE CHANGE MITIGATION TECHNOLOGIES RELATED TO TRANSPORTATION
- Y02T10/00—Road transport of goods or passengers
- Y02T10/60—Other road transportation technologies with climate change mitigation effect
- Y02T10/72—Electric energy management in electromobility
-
- Y—GENERAL TAGGING OF NEW TECHNOLOGICAL DEVELOPMENTS; GENERAL TAGGING OF CROSS-SECTIONAL TECHNOLOGIES SPANNING OVER SEVERAL SECTIONS OF THE IPC; TECHNICAL SUBJECTS COVERED BY FORMER USPC CROSS-REFERENCE ART COLLECTIONS [XRACs] AND DIGESTS
- Y02—TECHNOLOGIES OR APPLICATIONS FOR MITIGATION OR ADAPTATION AGAINST CLIMATE CHANGE
- Y02T—CLIMATE CHANGE MITIGATION TECHNOLOGIES RELATED TO TRANSPORTATION
- Y02T90/00—Enabling technologies or technologies with a potential or indirect contribution to GHG emissions mitigation
- Y02T90/10—Technologies relating to charging of electric vehicles
- Y02T90/12—Electric charging stations
-
- Y—GENERAL TAGGING OF NEW TECHNOLOGICAL DEVELOPMENTS; GENERAL TAGGING OF CROSS-SECTIONAL TECHNOLOGIES SPANNING OVER SEVERAL SECTIONS OF THE IPC; TECHNICAL SUBJECTS COVERED BY FORMER USPC CROSS-REFERENCE ART COLLECTIONS [XRACs] AND DIGESTS
- Y02—TECHNOLOGIES OR APPLICATIONS FOR MITIGATION OR ADAPTATION AGAINST CLIMATE CHANGE
- Y02T—CLIMATE CHANGE MITIGATION TECHNOLOGIES RELATED TO TRANSPORTATION
- Y02T90/00—Enabling technologies or technologies with a potential or indirect contribution to GHG emissions mitigation
- Y02T90/10—Technologies relating to charging of electric vehicles
- Y02T90/14—Plug-in electric vehicles
-
- Y—GENERAL TAGGING OF NEW TECHNOLOGICAL DEVELOPMENTS; GENERAL TAGGING OF CROSS-SECTIONAL TECHNOLOGIES SPANNING OVER SEVERAL SECTIONS OF THE IPC; TECHNICAL SUBJECTS COVERED BY FORMER USPC CROSS-REFERENCE ART COLLECTIONS [XRACs] AND DIGESTS
- Y02—TECHNOLOGIES OR APPLICATIONS FOR MITIGATION OR ADAPTATION AGAINST CLIMATE CHANGE
- Y02T—CLIMATE CHANGE MITIGATION TECHNOLOGIES RELATED TO TRANSPORTATION
- Y02T90/00—Enabling technologies or technologies with a potential or indirect contribution to GHG emissions mitigation
- Y02T90/10—Technologies relating to charging of electric vehicles
- Y02T90/16—Information or communication technologies improving the operation of electric vehicles
-
- Y—GENERAL TAGGING OF NEW TECHNOLOGICAL DEVELOPMENTS; GENERAL TAGGING OF CROSS-SECTIONAL TECHNOLOGIES SPANNING OVER SEVERAL SECTIONS OF THE IPC; TECHNICAL SUBJECTS COVERED BY FORMER USPC CROSS-REFERENCE ART COLLECTIONS [XRACs] AND DIGESTS
- Y02—TECHNOLOGIES OR APPLICATIONS FOR MITIGATION OR ADAPTATION AGAINST CLIMATE CHANGE
- Y02T—CLIMATE CHANGE MITIGATION TECHNOLOGIES RELATED TO TRANSPORTATION
- Y02T90/00—Enabling technologies or technologies with a potential or indirect contribution to GHG emissions mitigation
- Y02T90/10—Technologies relating to charging of electric vehicles
- Y02T90/16—Information or communication technologies improving the operation of electric vehicles
- Y02T90/167—Systems integrating technologies related to power network operation and communication or information technologies for supporting the interoperability of electric or hybrid vehicles, i.e. smartgrids as interface for battery charging of electric vehicles [EV] or hybrid vehicles [HEV]
-
- Y—GENERAL TAGGING OF NEW TECHNOLOGICAL DEVELOPMENTS; GENERAL TAGGING OF CROSS-SECTIONAL TECHNOLOGIES SPANNING OVER SEVERAL SECTIONS OF THE IPC; TECHNICAL SUBJECTS COVERED BY FORMER USPC CROSS-REFERENCE ART COLLECTIONS [XRACs] AND DIGESTS
- Y04—INFORMATION OR COMMUNICATION TECHNOLOGIES HAVING AN IMPACT ON OTHER TECHNOLOGY AREAS
- Y04S—SYSTEMS INTEGRATING TECHNOLOGIES RELATED TO POWER NETWORK OPERATION, COMMUNICATION OR INFORMATION TECHNOLOGIES FOR IMPROVING THE ELECTRICAL POWER GENERATION, TRANSMISSION, DISTRIBUTION, MANAGEMENT OR USAGE, i.e. SMART GRIDS
- Y04S10/00—Systems supporting electrical power generation, transmission or distribution
- Y04S10/12—Monitoring or controlling equipment for energy generation units, e.g. distributed energy generation [DER] or load-side generation
- Y04S10/126—Monitoring or controlling equipment for energy generation units, e.g. distributed energy generation [DER] or load-side generation the energy generation units being or involving electric vehicles [EV] or hybrid vehicles [HEV], i.e. power aggregation of EV or HEV, vehicle to grid arrangements [V2G]
-
- Y—GENERAL TAGGING OF NEW TECHNOLOGICAL DEVELOPMENTS; GENERAL TAGGING OF CROSS-SECTIONAL TECHNOLOGIES SPANNING OVER SEVERAL SECTIONS OF THE IPC; TECHNICAL SUBJECTS COVERED BY FORMER USPC CROSS-REFERENCE ART COLLECTIONS [XRACs] AND DIGESTS
- Y04—INFORMATION OR COMMUNICATION TECHNOLOGIES HAVING AN IMPACT ON OTHER TECHNOLOGY AREAS
- Y04S—SYSTEMS INTEGRATING TECHNOLOGIES RELATED TO POWER NETWORK OPERATION, COMMUNICATION OR INFORMATION TECHNOLOGIES FOR IMPROVING THE ELECTRICAL POWER GENERATION, TRANSMISSION, DISTRIBUTION, MANAGEMENT OR USAGE, i.e. SMART GRIDS
- Y04S30/00—Systems supporting specific end-user applications in the sector of transportation
- Y04S30/10—Systems supporting the interoperability of electric or hybrid vehicles
- Y04S30/14—Details associated with the interoperability, e.g. vehicle recognition, authentication, identification or billing
Landscapes
- Engineering & Computer Science (AREA)
- Power Engineering (AREA)
- Computer Networks & Wireless Communication (AREA)
- Transportation (AREA)
- Mechanical Engineering (AREA)
- Signal Processing (AREA)
- Inverter Devices (AREA)
- Ac-Ac Conversion (AREA)
- Electric Propulsion And Braking For Vehicles (AREA)
Description
び装置に関する。本発明は、双方向マルチピックアップIPTシステムに特に適している
が、単方向および/またはシングルピックアップシステムにも使用することができる。
術は、効率が高く(通常は85~90%)、劣悪な環境で動作可能であり、埃および湿気
による影響を受けない。
結合されたプライマリ導電経路、コイルまたはパッドと、使用時に負荷に動力を供給する
ためのプライマリ巻線に誘導結合される少なくとも1つの電気的に分離したピックアップ
とで構成される。一般に、電源およびプライマリ巻線は、IPTシステムのプライマリ側
、ピックアップおよび関連する負荷は、システムのセカンダリ側と呼ばれる。
グリッドから負荷への非接触単方向電力伝送のため、プライマリ巻線にエネルギー供給す
るために使用される。ACまたはグリッド電源からのコンバータによってプライマリ巻線
にエネルギー供給して、プライマリ巻線中に高周波AC電流が生成され、その結果、プラ
イマリ巻線の周りに継続的に変化する磁界が発生する。エアギャップによってプライマリ
巻線から離隔したそのまたは各々のピックアップは、ファラデーの電磁誘導の法則にした
がってコイルを通過する磁束を変化させることによって電圧が誘起され、それにより非接
触電力伝送を達成するコイルを含む。
ける電力潮流を制御するためには、プライマリ側のインバータとして働くコンバータと、
ピックアップ側の単純なスイッチモードレギュレータとで十分である。
る「非接触」二方向電力伝送が望ましい電気自動車(EV)システムおよびビークルツー
グリッド(V2G)システムのような適用例には理想的である。
練された制御策を使用して調整されていなければならない。
ップ側の両方は、ソースまたはシンクにいずれかとして働くように構成されなければなら
ない。したがって、電力潮流の方向に応じて、AC-DC電力変換またはDC-AC電力
変換を容易にするために、システムの両側に同一または同様のコンバータトポロジーが必
要とされる。
列補償または直列補償は、通常、プライマリおよびピックアップのコイルインダクタンス
を提供する。したがって、双方向IPTシステムは、高次共振回路網であり、より洗練さ
れたロバストな制御を必要とする。
生成された電圧の相対位相または大きさのいずれかの制御によって制御される。しかしな
がら、ロバストな機構には、その電力定格を超えることなく、一方側からの電力需要を供
給側によって満たすことができることを保証することが不可欠である。
する。そのようなシステムにおいて、ソース側の動作をその最大電力レベルまたは定格電
力レベルに制限することは、特に、ピックアップの需要がソース側コンバータの電力処理
能力を超えるときには、常に課題が多かった。主要な例は、2つの側の間の磁気結合が改
善するとき、あるいは、電気自動車(EV)が充電ベイで充電される場合の様に電力需要
が変化するピックアップに単一のプライマリコンバータによって応じるべきときに生じる
。その上、複数のピックアップの間で電力伝達の共有することおよび優先順位を付けるこ
ともまた、任意の所与の入力電力についての課題と見なされ得る。
ルまたはトラック電流を低下させることによって制限され得る。しかし、この方策は、他
のピックアップへの電力送達を損なうので、マルチピックアップIPTシステムに適さな
い。その上、より低いトラック電流を使用するシングルピックアップIPTシステムは、
比較的高いQ係数で動作し、循環エネルギーの増加につながり、システムは構成要素許容
差をより受けやすくなる。
それぞれとの間で、専用のワイヤレス通信インターフェースを採用することである。次い
で、プライマリの最大電力能力を、ワイヤレスインターフェースを介してピックアップに
リレーすることができ、パワーインテークが制限されなければならないことが必要となる
。しかしながら、そのようなワイヤレスインターフェースは、追加のハードウェアおよび
ソフトウェアを必要とするので、構成要素数および複雑性に関して明らかにコストがかか
る。
および/または装置を提供すること、あるいは少なくとも、有用な選択肢を公に提供する
ことである。
導電力伝送(IPT)システムにおいて使用するための負荷制御方法にあると言うことが
でき、当該方法は、
プライマリ側において、プライマリ側とセカンダリ側との間の電力伝送を感知するステ
ップと、
電力伝送とプライマリ側の力の給電能力との差に比例して、プライマリ側の電力変換装
置の動作周波数を同調周波数に対して変化させるステップと、
セカンダリ側において、動作周波数の前記変化を感知するステップと、
セカンダリ側において、プライマリ側の給電能力を超えないように、動作周波数の前記
変化に比例して前記電力伝送を調整するステップと、
を含む。
変化させることを含む。
とを含む。
の残りの部分では同調周波数に戻ることを含む。
れる周波数である。
的に±1kHzまたは同様の範囲である。
マリ側電力コンバータにおいて使用するための制御方法にあると言うことができ、当該方
法は、
使用時に、プライマリ側電力コンバータとプライマリ側電力コンバータを誘導結合可能
な1以上のIPTピックアップとの間の電力伝送を感知するステップと、
電力伝送とプライマリ側電力コンバータの給電能力との差に比例して、プライマリ側電
力コンバータの動作周波数を同調周波数に対して変化させ、それにより、前記ピックアッ
プのそれぞれによって前記変化が感知され、前記電力伝送が調整される、ステップと、
を含む。
変化させることを含む。
とを含む。
することと、各期間の残りの部分では同調周波数に戻ることとを含む。
れる周波数である。
プを含む。
るステップをさらに含む。
タのデューティーサイクルを制御することを含む。
アップにおいて使用するための制御方法にあると言うことができ、当該方法は、
使用時に、ピックアップを誘導結合可能なIPTシステムのプライマリ側の交流電流の
動作周波数の変化を感知するステップと、
使用時に、プライマリ側の給電能力を超えないように、同調周波数からの前記変化に比
例して、ピックアップとピックアップを結合することができる負荷との間の電力伝送を調
整するステップと、
を含む。
動作周波数と同調周波数との差を判断するステップと、
前記差に比例して電力伝送を調整するステップと
をさらに含む。
サイクルを制御することを含む。
って、交流電流が継続的にその動作周波数を維持する、一致させるステップをさらに含む
。
って、交流電流は、動作周波数と同調周波数とを交互に生じる、一致させるステップを含
むことができる。
にあると言うことができ、当該コンバータは、
使用時に、プライマリ側電力コンバータとプライマリ側電力コンバータを誘導結合可能
な1以上のIPTピックアップとの間の電力伝送を感知するための感知手段と、
前記電力伝送とプライマリ側電力コンバータの給電能力との差に比例して、プライマリ
側電力コンバータの動作周波数を同調周波数に対して変化させ、それにより、前記ピック
アップのそれぞれによって前記変化が感知され、前記電力伝送が調整される、制御手段と
、
を含む。
ることを備える。
では同調周波数に戻す。
れる周波数である。
に適合された誘導電力伝送(IPT)システムのピックアップにあると言うことができる
。
ついは、本発明の第4の態様のプライマリ側電力コンバータおよび本発明の第5の態様の
少なくとも1つのピックアップを含むように適合された誘導電力伝送(IPT)システム
にあると言うことができる。
かになるであろう。
ために使用される。
特性を使用する方法および装置を提供する。本方法および装置は、ピックアップの需要が
プライマリ電源の給電能力を超えたときに、最大電力レベルでのプライマリコンバータの
動作を可能にする。本明細書では、ドループ制御と呼ばれる本発明によれば、プライマリ
側は、マスターとして挙動し、その給電能力に関する情報をそのまたは各々のピックアッ
プにリレーするために動作周波数を変化させる。プライマリは、定格電力ではシステムが
同調周波数または設計周波数で常に動作することを保証する。任意の他の電力レベルでは
、システムは、システムのVA要件を損なうことなく、同調周波数を中心とする小さい範
囲の周波数で動作する。各ピックアップは、ドループ特性によって規定されるプライマリ
周波数にしたがってプライマリから電力を抽出する。
プのいずれかをもつ単方向IPTシステムおよび双方向IPTシステムにも等しく適用可
能である。この概念は、実装が比較的簡単であり、具体的には、EVのフリートが充電ベ
イにおいて充電または放電され得るビークルツーグリッド(V2G)システムおよびグリ
ッドツービークル(G2V)システムのようなEV適用例にとって魅力的である。
transfer」と題する国際公開第2010/062198号に記載されるような従
来技術の双方向IPTシステムを示しており、当該国際公開の内容は、本明細書に参照と
して組み込まれる。
ピックアップのみが図示されている)とを備える。プライマリ1とピックアップ2とは、
エアギャップによって離隔されており、コンバータとインダクタ-キャパシタ-インダク
タ(LCL)共振回路網とコントローラとを備える同等の電子回路を使用する。プライマ
リコントローラ3とセカンダリコントローラ4とは互い独立しており、エアギャップの両
端間で電力潮流を調整するためにそれぞれに備えられたコンバータを動作させる。プライ
マリコントローラは、トラックと呼ばれコイルLTによって表されるプライマリ巻線中に
所望の周波数の一定の正弦波電流を生成するために、LCL共振回路網Lpi、CT、L
Tに接続されたプライマリ側コンバータを動作させる。典型的なIPTシステムでは、動
作周波数は、10~100kHzの範囲となる。トラックインダクタンスLTは、セカン
ダリまたはピックアップのコイルLsiに磁気結合されている。したがって、ピックアッ
プ2のLCL回路は、LsiとCSとLsoとを備える。
って発生されるトラック電流の周波数に同調される。IPTシステムの各コンバータは、
電力潮流の方向に応じて、反転モードまたは整流モードのいずれかで動作される。電力潮
流の量および方向は、以下で説明するように、相対位相角度および/またはコンバータに
よって生成される電圧の大きさによって制御され得る。
ラック電流ITは、プライマリ側コントローラ3によって一定に保持される。定常状態で
は、トラック電流ITに起因するピックアップコイルLsi中の誘導電圧Vsiは、式(
1)によって求めることができる。
式中、Mは、トラックインダクタンスLTとピックアップコイルインダクタンスLsiと
の間の磁気結合を表す。
して動作させることができる。動作モードにかかわらず、トラックに反映される電圧Vr
は、式(2)によって表すことができる。
プライマリ側とピックアップ側の両方のLCL回路が角周波数ωに同調され、Lpi=L
T、Lsi=Lsoである場合、
となる。
ンバータと直列に接続される。同様に、DCブロッキングキャパシタCsoはまた、イン
ダクタLsoおよびピックアップ側コンバータと直列に接続される。この状況では、プラ
イマリコンバータとCTとの間の実効インダクタンスLpi,eと、ピックアップコンバ
ータとCSとの間の実効インダクタンスLso,eとは、
によって求められる。また、
という条件を満たす。
。進み位相角は、ピックアップからプライマリへの電力伝送を構成し、遅れ位相角は、プ
ライマリからピックアップに電力伝送をイネーブルする。したがって、任意の所与のプラ
イマリ電圧およびピックアップ電圧については、プライマリコンバータおよびセカンダリ
コンバータによって生成される電圧の大きさと相対位相角の両方を制御することによって
、プライマリとピックアップとの間の電力潮流の量と方向の両方を調整することができる
。
ける動作は、0無効電力またはVAR循環を保証し、任意の所与の電力レベルについて、
コンバータの必要VA定格を最低限に制限する。同調周波数を下回るまたはそれを上回る
周波数におけるシステムの動作は、常に、コンバータの最大有効電力処理能力においてV
AR循環およびドロップを生じることになる。しかしながら、図2に示したようなIPT
システムの電力対周波数特性は、同調周波数あたりの動作周波数におけるわずかな変化は
、電力処理能力の著しいドロップも、VA定格を超えるための循環エネルギーの増大も生
じない。IPTシステムの電力周波数特性のこの特徴は、以下にさらに詳細に記載するよ
うに、本発明において利用される。
図2に示したIPTシステムの電力対周波数ドループ特性は、本発明のドループ制御技
法にしたがって電力潮流を制御するために、周波数がどのように線形に変化し得るかを示
す。この実施例および提供される他の実施例では、必ずしも線形変化するわけではなく、
すなわち、動作周波数の変化は、電流電力伝送と給電能力との差に非線形比例することが
ある。
ータは単純に追従する。どちらの側も、システムが定格電力を送達するまたは受信すると
きにのみ同調周波数foで動作する。他のすべての電力レベルでは、このシステムは、シ
ステムのVA定格に背くことなく、わずかに離調した周波数で動作する。
向電力潮流中のそれぞれのプライマリおよびピックアップの無荷重動作または0電力伝送
動作にそれぞれ対応する。通常、fmaxおよびfminは、同調周波数数百ヘルツ上回
るまたは下回るように(典型的には10~40kHzの範囲内の具体的な周波数に)設定
される。周波数のこの比較的小さい変化により、プライマリコンバータおよびセカンダリ
コンバータの両方のLCL回路網が実質的に同調されたままであり、しかも、同調周波数
f0と比較して、プライマリ/セカンダリコントローラによって検出されるのに十分な大
きさであることが保証される。1つの実施形態では、周波数は、ピックアップをプライマ
リに同期させるためにも使用される位相ロックループ(PLL)を使用して、検出および
測定される。PLLの出力は、マイクロコントローラの割込みピンに供給される方形波で
ある。マイクロコントローラのタイマーは、割込み同士間の時間を測定し、連続する割込
みを平均化(またはより適切に)することによって、動作周波数が推定され得る。
合には、検出され得る最小変化は50Hzである。これは、より速いマイクロコントロー
ラを用いて改善され得る。
ライマリ(Pmax,pである)の電力定格よりも高い電力定格Pmax,sを有するピ
ックアップが、fmaxで(すなわち、負荷なく)アイドリングしているプライマリコン
バータから電力を抽出し始めるときの状況について考える。この状況は、図3(a)では
点Aによって示される。ピックアップコントローラ4は、点Bによって示すように、プラ
イマリはfmaxでアイドリングしており、電力の抽出開始を検出する。1つの実施形態
では、プライマリコントローラ3は、コントローラ3によって設定されるサンプリングレ
ートのその電力出力を、継続的または周期的に監視する。サンプルからの電力出力は、一
定の時間期間にわたる推定電力出力を求めるために平均化される。サンプリングレートは
、動作周波数およびマイクロコントローラの速度を考慮に入れて、推定出力電力が、周波
数を変化させることによってピックアップ側に搬送すべき実出力電力の良好な指標となる
ように判断される。ピックアップ2が電力を取り始めことを認識すると、プライマリコン
バータは、次のサンプリング時に、動作周波数を点Cによって示されるfcまで低減する
。ピックアップ2は、次に、新しい動作周波数に固定し、周波数が依然としてfoよりも
高いことを認識し、したがって、より多くの電力を抽出し続ける。このプロセスは、動作
周波数がドループ特性上の同調周波数f0または点Dに収束するまで続く。周波数がf0
であることを検出したピックアップ2は、プライマリ1が最大可能電力レベルであり、そ
のパワーインテークをPmax,pに制限することを認識する。
を示す。この状況では、システムは、セカンダリの電力処理能力Pmax,sに対応する
安定した動作周波数fDへと安定し、動作周波数fDは、プライマリの電力処理能力Pm
ax,Pと対応する同調周波数foよりもわずかに大きい。別のピックアップがある場合
、システムはまた、プライマリコントローラによって規定される周波数に応じた電力を取
る。プライマリは(すなわち、両方のピックアップによって取られる)電力出力を推定し
、それに応じて、その動作周波数を変え、その給電能力(または供給され得る残存電力)
を両方のピックアップに示す。このプロシージャは、プライマリがその給電能力に達する
まで続く。
力Ppに関係付けられることが分かる。
式中、df/dpは、必要に応じて変わり得る電力対周波数ドループである。システムの
効率がηであると仮定される場合、ピックアップ電力Psは式(12)によってプライマ
リ電力Ppに関係付けられる。
ることができ、以下で説明するように、提案されたドループコントローラを実装すること
が必要な関係が与えられる。
イマリ電圧について力率1でピックアップ側コンバータによって発生される電圧の制御に
よって調整され得る。1つの実施形態では、プライマリコンバータは、定電圧を発生させ
、トラック電流をすべての負荷について一定に保つように、方形波電圧によって駆動され
る。ピックアップコンバータVsiによって発生された電圧は、必要に応じて、パルス幅
変調によって調整される。図1のHブリッジスイッチコンバータの場合、例えば、ピック
アップ側コンバータは、2つのレッグ(各レッグは2つのスイッチを含んでいる)を有す
る。調整11は、レッグを互いに対して位相シフトαで駆動することによって達成した。
0°または360°の位相シフトは、最大可能電圧の方形波を発生させ、両方の方向の最
大電力潮流(すなわち、100%デューティーサイクル)に対応する。対照的に、180
°の位相シフトは、トラックからピックアップを効果的に結合解除することによって短絡
を生成するので、ゼロ電圧(すなわち0%デューティーサイクル)を発生させる。位相シ
フトは、効果的な出力電圧を、したがって電流を変化させるので、電力出力は、位相シフ
トによって制御され得る。
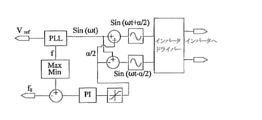
ク図を例として示す。ピックアップコントローラ4は、ピックアップコイルLSi電圧V
siを感知し、プライマリコンバータの周波数を判断するために位相ロックループ(PL
L)を使用する。動作周波数と同調周波数f0との間の誤差は、所望の電力を抽出するた
めに必要な位相シフトaを発生させるために、比例積分(PI)コントローラに供給され
る。位相シフトが0°~360°に保たれることを保証するために、PIコントローラの
出力に限界値が配置される。180°では、電力は一切伝送されないが、0°および36
0°は、順方向および逆方向の最大電力にそれぞれ対応する。
ように、完全に同調させた状態で導出された。しかしながら、ドループコントローラは、
ピックアップのパワーインテークを調整するために、動作周波数を変化させる。したがっ
て、定格電力以外では、システムは離調状態で動作する。周波数の変化に起因する有効電
力と無効電力の両方の大きさに対する影響は、離調状態下のシステム変数について式を導
出することによって調べることができる。
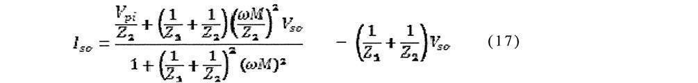
5)および(16)を使用することによって分析することができる。図5は、電力の有効
成分、無効成分および皮相成分が動作周波数とともにどのように変化するかを示している
。電力を計算するために分析式を使用すると、プライマリ側コンバータもピックアップ側
コンバータも、90°の相対位相角で定格電圧を生成するとみなされる。システムは、式
(17)によって求められるように、20kHzの同調周波数において力率1で動作して
いることは、図5から明らかである。システムの周波数が変化されると、システムの無効
電力要件が増大し、したがって、VA定格も増大する。しかしながら、ドループコントロ
ーラによって採用される最高周波数変化が狭帯域内に保たれる場合、無効電力の増加も皮
相電力の増加も比較的少なく、コンバータのVA定格を損なうことはない。
バータと1.5kWの双方向ピックアップコンバータとを備えるプロトタイプのIPTシ
ステムを用いて実験的に検証された。プロトタイプのシステムのパラメータを表1に示す
。
Tmega-324Pモデル8ビットマイクロコントローラを使用して、プライマリおよ
びピックアップ側「ドループ」コントローラを実装した。方形波電圧を生成し、55Aの
一定のトラック電流を維持するように、200V DC電源によって供給され、1kWに
制限されるプライマリ側コンバータを制御した。プライマリコンバータから電力を提供す
るまたは抽出するために、ピックアップをトラックに磁気結合した。ピックアップ側コン
バータを、200V DC電源により動作させ、プライマリに関して90度位相遅れで駆
動させ、それにより、式(10)にしたがって同調したときに、システムが力率1で動作
することが保証された。ピックアップコントローラは、プライマリコンバータによって規
定される周波数でピックアップ側コンバータを動作させ、供給されるまたは抽出される電
力量を制御するために、そのフルブリッジコンバータの2つのレッグ間で位相シフトを変
化させる。
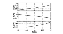
ートされた定常状態波形を図6(a)に示す。プライマリは、低電力需要を満たすために
、同調周波数からわずかにはずれた周波数で動作する。最上部のプロットおよび3つ目の
プロットから、ピックアップは、プライマリコンバータ電圧Vpiより遅れた方形波電圧
Vsiを生成することが明らかである。したがって、電力は、プライマリからピックアッ
プに流れる。トラック電流ITは、約55A rmsの正弦波であり、一定である。
によく似ていることが明らかである。
テムの(a)シミュレーション波形および(b)実験波形を示す。ピックアップ電力を増
大させるために、位相シフトαを増大させること(すなわち、セカンダリインバータのデ
ューティーサイクルを増加させること)によって、Vsoの大きさを増大させた。Vso
の増大は図7から明らかである。ピックアップ電力が約1kWに達すると、プライマリ周
波数は同調周波数に収束し、ピックアップコントローラの電力を強制的に1kWの最大値
に制限する。出力電力の変化にかかわらず、プライマリコントローラは、一定のトラック
電流ITを維持している。この状況でも、シミュレーション結果と実験結果とは、非常に
良好に合致している。
トした経時変化を示す。最初に、ピックアップコントローラは、0.5kWの最大電力レ
ベルに設定される。したがって、システムは、f0よりも大きい周波数で動作するように
安定し、プライマリ電源がその最大電力レベルで動作していないことが示される。0.2
5秒に、ピックアップ電力基準は、プライマリ電源の給電能力よりも大きい1.5kWに
変更される。ピックアップコントローラは、パワーインテークを徐々に増大させ、プライ
マリコントローラは、パワーインテークがプライマリの最大能力に達していることを示す
ために動作周波数を低減させる。最終的には、動作周波数は、20kHzの同調周波数で
安定し、ピックアップは、1.5kWのより高い基準値であるにもかかわらず、そのパワ
ーインテークを1kWに制限する。図8(b)は、同じ状態での実験結果を示す。プロト
タイプのマイクロコントローラの制限された処理能力によって生じるピックアップコント
ローラのより遅い応答時間は別として、シミュレーション結果および実験結果は、良好に
合致しており、ドループ制御技法の妥当性が確認される。
ータの測定電圧波形および電流波形を示す。両方のコンバータの電圧および電流の大きさ
は順方向電力潮流に対応するものと同様であるが、予想通り、プライマリコンバータ電圧
Vpiはピックアップ電圧Vsoより遅れている。電力潮流は、コンバータのデューティ
ーサイクルを制御するためにコンバータのレッグ間の位相シフトαを使用して、ピックア
ップ電圧Vsoの大きさを変化させることによって再度制御される。
タの基準電力レベルは、最初0.5kWに設定され、システムは、同調周波数f0より下
に変動し、0.5kWをプライマリに送達する。負リファレンス(すなわち、同調周波数
を下回る動作周波数)は、(すなわち、プライマリにピックアップからの)逆電力潮流を
示すことを留意されたい。0.25秒には、ピックアップの基準電力レベルは、プライマ
リの能力を超える1.5kWまで上昇する。セカンダリコントローラは、好ましくは複数
のステップで電力を徐々に増大させ、プライマリコントローラは、1kWのその電力限界
に達すると20kHzの同調周波数に向かって収束する動作周波数を増大させることによ
って応答する。その時点で、セカンダリコントローラは、動作周波数が同調周波数f0で
あることを感知し、ピックアップがより多くの電力を供給することが可能であっても、電
力伝送を1kWに制限する。
本発明の代替実施形態では、プライマリコントローラは、周期的または間欠的にトラッ
ク電流の周波数を変調するように適合され、ほとんどの時間にわたって同調周波数f0で
動作する。したがって、本発明の第1の実施例は、(変化する)動作周波数を継続的に維
持する、または動作周波数を少なくとも反復的に監視するということができるが、この第
2の実施例では、変化する動作周波数と不変の同調周波数f0とが交互に生じる。
時間わたってそのまたは各々のピックアップにリレーすると同時に、システムのVA定格
を最小限に抑えるために残りの時間にわって所望の同調周波数で動作する。そのまたは各
々のピックアップは、それ自体の特性にしたがって、周波数変調によって規定される電力
を抽出する。
L回路網の同調周波数f0でシステムを動作させることが常に好ましい。わずかに同調周
波数を上回るまたはそれを下回る周波数でのシステムの動作は、必ず、システムが提供す
ることができる最大電力のドロップを生じる。しかしながら、システムは、短い時間期間
にわたって周波数を変更することのみよって、ほとんどの時間にわたって、同調周波数で
動作しており、最小無効電力で最大有効電力を供給している。
コントローラも、変調の瞬間中以外は同調周波数で動作する。動作周波数は、変調中に緩
やかに変化し(すなわち、複数の増分ステップで増大または低減し)、それにより、ピッ
クアップは、プライマリと同期したままでいる(すなわち、同じ周波数を維持する)こと
が可能である。ΔPは、最大電力とプライマリコンバータによって供給されている現在の
電力との差を表す。同調周波数f0は、プライマリが出力する最大電力に対応し、最高周
波数fmaxおよび最大周波数fminは、順方向および逆方向の無負荷電力または最大
利用可能電力にそれぞれ対応する。fmaxおよびfminは、LCL回路網が実質的に
同調されたままとなることを保証するために、通常、第1の実施例に関して上述したよう
に、同調周波数を数百ヘルツ上回るまたは下回るように設定される。
成される電圧の制御によって調整することができる。好適なコントローラのブロック図を
図12に例として示す。ピックアップコンバータによって生成される電圧Vsoは、必要
に応じて、α(コンバータのレッグを切り替える間の位相シフト)を制御することによっ
て調整され、式(18)によって求められる。
式中、VoutはDC出力電圧ωT=2πf0であり、θはVpiとVsoとの間の位相
遅れである。
ックアップコンバータとともに2.5kWプライマリ双方向コンバータを備える例示的な
IPTシステムを参照しながら以下にさらに詳細に記載する。
oを生成するように制御される。プライマリは、45Aの一定のトラック電流を維持する
ように制御される。この電流は、動作周波数中のジッタが周期的に生じる状態で同調周波
数f0において動作し、その間、残りの利用可能電力は、周波数中のシフトを介してセカ
ンダリ側のそのまたは各々のピックアップに通信される。ピックアップコンバータは、プ
ライマリに対してπ/2ラジアン位相遅れで駆動される。ピックアップコントローラは、
コンバータのレッグ間の位相シフトαを変化させることが可能であり、コンバータのデュ
ーティーサイクルを効果的に変化させることによって、コンバータから抽出または供給さ
れる電力を制御する。
相シフト(α)とを示す。プライマリコントローラの限界は2.5kWに設定され、ピッ
クアップコントローラの限界は、最初、1.5kWに設定される。100ミリ秒後、ピッ
クアップ限界は、プライマリが供給することができる2.5kWよりも大きい3kWまで
増大し、これにより、ピックアップコントローラは、それが取る電力が制限される。周波
数(f)は、ほとんどの時間にわたって、システムが同調周波数(20kHz)で動作す
ることを示す。しかしながら、ジッタ中、周波数はわずかに変化する。図14は、高電力
定常状態ポイントでのコンバータの動作を示す。プライマリコンバータは、100%のデ
ューティーサイクルで動作しているが、セカンダリコンバータのデューティーサイクルは
、負荷によって引き出される電力を2.5kWの最大値に制限するために、実質的により
少ないことが分かる。プライマリトラック電流ITは、45Aの一定の正弦波である。
供するために周波数を変化させるように適合されたIPT電源、トラック周波数の変化感
知し、それに応じて電力伝送を制限するように適合されたIPTピックアップ、ならびに
/あるいは、利用可能電力をプライマリからそのまたは各々のピックアップに通信するた
めにトラック電流の周波数の変化を使用するIPTシステムで見られることが了解されよ
う。IPTシステムは、単方向でもまたは双方向でもよく、本発明の範囲から逸脱するこ
となく、1以上のIPTピックアップを備え得る。
成要素からなるハードウェア中に純粋に実装することができる。それに代えて、またはそ
れに加えて、本発明は、プログラマブル論理デバイス(PLD)またはフィールドプログ
ラマブルゲートアレイ(FPGA)のようなプログラム可能なハードウェア構成要素を使
用して、あるいは、それに応じてプログラムされるマイクロコントローラまたは汎用パー
ソナルコンピュータ(PC)を含み得る計算手段またはプロセッサによって実行されるソ
フトウェアによって実装することができる。しかしながら、典型的には、本発明は、上述
の構成要素の組合せを使用する埋込み型システムとして実装される。
方向の電力潮流を調整するために、システムの電力周波数特性を利用するIPT負荷制御
技法を提供する。コントローラは、専用の通信リンクなしに、ロバストかつ低コストで実
装することが比較的容易である。それは、単一または複数のピックアップIPTシステム
に適用可能であり、電力定格を変化させる電気自動車(EV)が単一のプライマリ電源か
ら「効果的」に充電/放電することになるビークルツーグリッド(V2G)システムのよ
うな適用例について理想的である。本制御技法は双方向システムを用いて動作し、したが
って、「セカンダリ」側またはピックアップが「プライマリ」側になり、同じ技法が使用
される。
comprise」、「comprising」)という単語は、排他的または網羅的な
意味ではなく包含的意味で、すなわち、「限定はしないが、含む」という意味で解釈すべ
きである。
囲から逸脱することなく、修正または改良を行い得ることを理解されたい。本発明は、公
判に、本出願の明細書で参照された、またはそこに示された部品、エレメントまたは特徴
のうちの2つ以上の任意のまたはすべて組合せで、前記部品、エレメントおよび特徴で、
個々にまたは集合的に構成されるということができる。さらに、既知の等価物を有する本
発明の特定の構成要素または完全体について参照された場合、そのような等価物は、あた
かも個々に記載されたかのように本明細書では組み込まれる。
が広く知られていること、または、当技術分野の通常の一般的な知識の一部を形成するこ
とを承認するものと見なされるべきではない。
Claims (20)
- 共振誘導電力伝送(IPT)システムの送電側であるプライマリ側の電力コンバータを制御する方法であって、
前記プライマリ側の電力コンバータが、共振回路及び前記共振誘導電力伝送(IPT)システムのプライマリ導体に電流を供給している間に、送電側であるプライマリ側のコントローラにより、前記プライマリ側の電力コンバータの出力電力を測定するステップと、
前記プライマリ側の電力コンバータの測定した出力電力に応答して、前記送電側であるプライマリ側のコントローラにより、前記プライマリ側の電力コンバータのスイッチング周波数を制御し、前記プライマリ側の電力コンバータが供給することができる残りの利用可能電力を前記プライマリ導体に非接触結合された受電側である1つ以上のピックアップに送電しながら通信するステップと、を有し、
前記残りの利用可能電力は、前記プライマリ側の電力コンバータが供給することができる最大電力から前記測定した出力電力を減算した電力である、方法。 - 前記方法は、前記プライマリ側の電力コンバータの前記スイッチング周波数を、前記共振回路の同調周波数から、前記プライマリ側の電力コンバータの前記残りの利用可能電力を表す周波数まで間欠的に変化させて、前記プライマリ側の電力コンバータの前記残りの利用可能電力を送電しながら通信するステップを有する、請求項1に記載の方法。
- 前記方法は、前記共振誘導電力伝送(IPT)システムの前記1つ以上のピックアップとの同期を維持するために、前記スイッチング周波数を増分ステップで変化させるステップを有する、請求項1に記載の方法。
- 前記方法は、前記共振回路の同調周波数の所定の範囲内に前記プライマリ側の電力コンバータの前記スイッチング周波数を維持するステップを有する、請求項1に記載の方法。
- 前記方法が、前記プライマリ側の電力コンバータの前記出力電力を反復的に測定するステップを有する、請求項1に記載の方法。
- 前記方法は、前記プライマリ側の電力コンバータの前記出力電力を周期的に測定するステップを有する、請求項1に記載の方法。
- 共振誘導電力伝送(IPT)プライマリであって、
受電側である少なくとも1つの誘導電力ピックアップに電力を誘導的に伝送するように構成されたプライマリ導体と、
前記プライマリ導体に電気的に接続された共振回路と、
前記共振回路に電気的に接続され、前記プライマリ導体内の電流を駆動するように構成された電力コンバータと、
前記共振誘導電力伝送(IPT)プライマリの出力電力を測定し、前記共振誘導電力伝送(IPT)プライマリの測定した出力電力に応答して、前記電力コンバータのスイッチング周波数を制御し、前記共振誘導電力伝送(IPT)プライマリが供給することができる残りの利用可能電力を前記プライマリ導体に非接触結合された受電側である1つ以上の誘導電力伝送(IPT)ピックアップに送電しながら通信するように構成されるコントローラと、を含み、
前記残りの利用可能電力は、プライマリ側の前記電力コンバータが供給することができる最大電力から前記測定した出力電力を減算した電力である、共振誘導電力伝送(IPT)プライマリ。 - 前記コントローラは、前記電力コンバータの前記スイッチング周波数を、前記共振回路の同調周波数から、前記共振誘導電力伝送(IPT)プライマリの前記残りの利用可能電力を表す周波数まで間欠的に変化させて、前記残りの利用可能電力を前記1つ以上の誘導電力伝送(IPT)ピックアップに送電しながら通信するように構成される、請求項7に記載の共振誘導電力伝送(IPT)プライマリ。
- 前記コントローラは、前記1つ以上の誘導電力伝送(IPT)ピックアップとの同期を維持するために、前記スイッチング周波数を増分ステップで変化させるステップを有するように構成される、請求項7に記載の共振誘導電力伝送(IPT)プライマリ。
- 電力コンバータであって、
誘導電力伝送のために、共振回路および共振誘導電力伝送(IPT)プライマリのプライマリ導体にAC電源を供給するように構成されたブリッジ回路と、
前記電力コンバータの出力電力を測定し、前記電力コンバータの測定した出力電力に応答して、前記ブリッジ回路のスイッチング周波数を制御し、前記電力コンバータが供給することができる残りの利用可能電力を共振誘導電力伝送(IPT)システムの受電側である1つ以上のピックアップに送電しながら通信するように構成されるコントローラと、を含み、
前記残りの利用可能電力は、プライマリ側の前記電力コンバータが供給することができる最大電力から前記測定した出力電力を減算した電力である、電力コンバータ。 - 前記コントローラは、前記ブリッジ回路の前記スイッチング周波数を、前記共振誘導電力伝送(IPT)プライマリの同調周波数から、送電側のプライマリ側の電力コンバータの前記残りの利用可能電力を表す周波数まで周期的に変化させて、前記電力コンバータの残りの利用可能電力を送電しながら通信するように構成される、請求項10に記載の電力コンバータ。
- 前記コントローラは、前記共振誘導電力伝送(IPT)プライマリの同調周波数の所定の範囲内に前記ブリッジ回路の前記スイッチング周波数を維持するように構成される、請求項10に記載の電力コンバータ。
- 前記コントローラは、前記電力コンバータの前記出力電力を反復的に測定するように構成された、請求項10に記載の電力コンバータ。
- 前記コントローラは、前記電力コンバータの前記出力電力を周期的に測定するように構成された、請求項10に記載の電力コンバータ。
- 共振誘導電力伝送(IPT)システムであって、
プライマリ導体と、該プライマリ導体に電気的に接続された共振回路と、該共振回路及び前記プライマリ導体内の電流を駆動するように構成された電力コンバータと、プライマリコントローラと、を含む誘導電力伝送(IPT)プライマリと、
該誘導電力伝送(IPT)プライマリに非接触結合し、前記プライマリ導体から電力を誘導的に受けるように構成された少なくとも1つの誘導電力伝送(IPT)ピックアップと、を含み、
前記プライマリコントローラは、前記誘導電力伝送(IPT)プライマリの出力電力を測定し、前記誘導電力伝送(IPT)プライマリの測定した出力電力に応答して、前記電力コンバータのスイッチング周波数を制御し、前記誘導電力伝送(IPT)プライマリが供給することができる残りの利用可能電力を1つ以上の前記誘導電力伝送(IPT)ピックアップに送電しながら通信するように構成され、
前記残りの利用可能電力は、プライマリ側の前記電力コンバータが供給することができる最大電力から前記測定した出力電力を減算した電力である、共振誘導電力伝送(IPT)システム。 - 前記プライマリコントローラは、前記電力コンバータの前記スイッチング周波数を、前記共振回路の同調周波数から、前記誘導電力伝送(IPT)プライマリの前記残りの利用可能電力を表す周波数まで間欠的に変化させて、前記残りの利用可能電力を前記1つ以上の誘導電力伝送(IPT)ピックアップに送電しながら通信するように構成される、請求項15に記載の共振誘導電力伝送(IPT)システム。
- 前記プライマリコントローラは、前記1つ以上の誘導電力伝送(IPT)ピックアップとの同期を維持するために、前記スイッチング周波数を増分ステップで変化させるステップを有するように構成される、請求項15に記載の共振誘導電力伝送(IPT)システム。
- 共振誘導電力伝送(IPT)システムを制御する方法であって、
送電側であるプライマリ側の電力コンバータが、共振回路及び前記共振誘導電力伝送(IPT)システムのプライマリ導体に電流を供給している間に、送電側であるプライマリ側のコントローラにより、前記プライマリ側の電力コンバータの出力電力を測定するステップと、
前記プライマリ側の電力コンバータの測定した出力電力に応答して、前記送電側であるプライマリ側のコントローラにより、前記プライマリ側の電力コンバータのスイッチング周波数を制御し、前記プライマリ側の電力コンバータが供給することができる残りの利用可能電力を前記プライマリ導体に非接触結合された受電側である1つ以上のピックアップに送電しながら通信するステップであって、前記残りの利用可能電力は、前記プライマリ側の電力コンバータが供給することができる最大電力から前記測定した出力電力を減算した電力である、ステップと、
前記プライマリ側の電力コンバータの通信された残りの利用可能電力に応答して、前記受電側である1つ以上のピックアップのピックアップコントローラにより、受電側であるセカンダリ側の電力コンバータのスイッチング周波数を制御し、前記1つ以上のピックアップが前記プライマリ側の電力コンバータから引き出した電力を制御するステップと、を有する方法。 - 前記方法は、前記1つ以上のピックアップが前記プライマリ側の電力コンバータから引き出した前記電力を制御するために、前記ピックアップコントローラにより、前記セカンダリ側の電力コンバータのスイッチング周波数を変化させるステップを有する、請求項18に記載の方法。
- 前記方法は、前記ピックアップコントローラにより、前記セカンダリ側の電力コンバータのレッグ間の位相シフトを制御するステップを有する、請求項19に記載の方法。
Applications Claiming Priority (2)
| Application Number | Priority Date | Filing Date | Title |
|---|---|---|---|
| NZ593764 | 2011-06-27 | ||
| NZ593764A NZ593764A (en) | 2011-06-27 | 2011-06-27 | Load control for bi-directional inductive power transfer systems |
Related Parent Applications (1)
| Application Number | Title | Priority Date | Filing Date |
|---|---|---|---|
| JP2014518471A Division JP6283309B2 (ja) | 2011-06-27 | 2012-06-27 | 双方向誘導電力伝送システムのための負荷制御 |
Publications (3)
| Publication Number | Publication Date |
|---|---|
| JP2018085925A JP2018085925A (ja) | 2018-05-31 |
| JP2018085925A5 JP2018085925A5 (ja) | 2018-07-12 |
| JP6991867B2 true JP6991867B2 (ja) | 2022-01-13 |
Family
ID=47424360
Family Applications (2)
| Application Number | Title | Priority Date | Filing Date |
|---|---|---|---|
| JP2014518471A Active JP6283309B2 (ja) | 2011-06-27 | 2012-06-27 | 双方向誘導電力伝送システムのための負荷制御 |
| JP2018011056A Active JP6991867B2 (ja) | 2011-06-27 | 2018-01-26 | 双方向誘導電力伝送システムのための負荷制御 |
Family Applications Before (1)
| Application Number | Title | Priority Date | Filing Date |
|---|---|---|---|
| JP2014518471A Active JP6283309B2 (ja) | 2011-06-27 | 2012-06-27 | 双方向誘導電力伝送システムのための負荷制御 |
Country Status (7)
| Country | Link |
|---|---|
| US (2) | US9660702B2 (ja) |
| EP (1) | EP2724448B1 (ja) |
| JP (2) | JP6283309B2 (ja) |
| KR (1) | KR101971203B1 (ja) |
| CN (2) | CN103814503B (ja) |
| NZ (1) | NZ593764A (ja) |
| WO (1) | WO2013002651A1 (ja) |
Families Citing this family (42)
| Publication number | Priority date | Publication date | Assignee | Title |
|---|---|---|---|---|
| NZ593764A (en) * | 2011-06-27 | 2013-12-20 | Auckland Uniservices Ltd | Load control for bi-directional inductive power transfer systems |
| US10664772B1 (en) | 2014-03-07 | 2020-05-26 | Steelcase Inc. | Method and system for facilitating collaboration sessions |
| US9716861B1 (en) | 2014-03-07 | 2017-07-25 | Steelcase Inc. | Method and system for facilitating collaboration sessions |
| EP3661015A1 (en) | 2014-03-25 | 2020-06-03 | Koninklijke Philips N.V. | Wireless inductive power transfer |
| US9955318B1 (en) | 2014-06-05 | 2018-04-24 | Steelcase Inc. | Space guidance and management system and method |
| US9380682B2 (en) | 2014-06-05 | 2016-06-28 | Steelcase Inc. | Environment optimization for space based on presence and activities |
| US9766079B1 (en) | 2014-10-03 | 2017-09-19 | Steelcase Inc. | Method and system for locating resources and communicating within an enterprise |
| US11744376B2 (en) | 2014-06-06 | 2023-09-05 | Steelcase Inc. | Microclimate control systems and methods |
| US10433646B1 (en) | 2014-06-06 | 2019-10-08 | Steelcaase Inc. | Microclimate control systems and methods |
| US10614694B1 (en) | 2014-06-06 | 2020-04-07 | Steelcase Inc. | Powered furniture assembly |
| US9831684B2 (en) * | 2014-08-08 | 2017-11-28 | Texas Instruments Incorporated | Adaptive rectifier and method of operation |
| WO2016024868A1 (en) * | 2014-08-11 | 2016-02-18 | Auckland Uniservices Limited | Resonant frequency compensation |
| US9680312B2 (en) | 2014-09-10 | 2017-06-13 | Qualcomm Incorporated | System and method for reactive power control in dynamic inductive power transfer systems |
| US9852388B1 (en) | 2014-10-03 | 2017-12-26 | Steelcase, Inc. | Method and system for locating resources and communicating within an enterprise |
| CN104539061B (zh) * | 2015-01-06 | 2018-11-13 | 宁波微鹅电子科技有限公司 | 一种电能发射端、无线电能传输装置和无线电能传输方法 |
| WO2016134319A1 (en) | 2015-02-19 | 2016-08-25 | Enphase Energy, Inc. | Method and apparatus for time-domain droop control with integrated phasor current control |
| DE102015006277A1 (de) | 2015-05-15 | 2015-12-03 | Daimler Ag | Energieübertragungseinrichtung, Kabel hierfür sowie System aus der Energieübertragungseinrichtung, dem Kabel sowie einer Vorrichtung, zu der der mittels der Energieübertragungseinrichtung induktiv übertragene elektrische Strom leitbar ist |
| US10733371B1 (en) | 2015-06-02 | 2020-08-04 | Steelcase Inc. | Template based content preparation system for use with a plurality of space types |
| US10046660B2 (en) | 2015-06-19 | 2018-08-14 | Qualcomm Incorporated | Devices, systems, and methods using reactive power injection for active tuning electric vehicle charging systems |
| CN105141139A (zh) * | 2015-08-03 | 2015-12-09 | 重庆大学 | 用于ipt系统的lcl网络结构及其参数设计方法 |
| CN105186705B (zh) * | 2015-08-04 | 2017-11-10 | 宁波微鹅电子科技有限公司 | 一种高效率的电能发射端、非接触电能传输装置和电能传输方法 |
| CN105391191A (zh) * | 2015-11-17 | 2016-03-09 | 东南大学 | 一种适用于双向无线电能传输系统的功率在线调试方法 |
| US9921726B1 (en) | 2016-06-03 | 2018-03-20 | Steelcase Inc. | Smart workstation method and system |
| WO2018048312A1 (en) | 2016-09-06 | 2018-03-15 | Powerbyproxi Limited | An inductive power transmitter |
| US10651656B2 (en) | 2016-09-14 | 2020-05-12 | Texas Tech University System | UDE-based robust droop control for parallel inverter operation |
| CN106340975B (zh) * | 2016-09-30 | 2019-07-02 | 上海空间电源研究所 | 一种无线电能传输电路及其设计方法 |
| US10264213B1 (en) | 2016-12-15 | 2019-04-16 | Steelcase Inc. | Content amplification system and method |
| CN107618392B (zh) * | 2017-09-29 | 2019-12-31 | 重庆卓谦科技有限公司 | 充电桩自决策的电动汽车充电负荷随机接入控制系统及方法 |
| US9987937B1 (en) * | 2017-12-20 | 2018-06-05 | The Florida International University Board Of Trustees | Autonomous two-layer predictive controller for bidirectional inductive power transfer in EV applications |
| CN113994584B (zh) * | 2018-01-25 | 2023-12-22 | 奥克兰联合服务有限公司 | 多电平模块化变换器 |
| US11975620B2 (en) * | 2018-04-23 | 2024-05-07 | ABB E-mobility B.V. | Power transfer system for electric vehicles and a control method thereof |
| CN109327065B (zh) | 2018-12-06 | 2020-02-21 | 华为技术有限公司 | 无线充电系统的接收端、方法、用电终端、发射端及系统 |
| KR102155627B1 (ko) * | 2018-12-28 | 2020-09-16 | 현대엘리베이터주식회사 | 엘리베이터 무선전력 제어 장치 |
| JP6823112B2 (ja) * | 2019-06-10 | 2021-01-27 | 株式会社京三製作所 | 電力変換装置 |
| WO2021033131A1 (en) * | 2019-08-16 | 2021-02-25 | Auckland Uniservices Limited | Vehicle-grid-home power interface |
| EP4050758A4 (en) | 2019-10-30 | 2023-03-01 | Huawei Technologies Co., Ltd. | Wireless charging receiver, system and control method |
| CN111355307B (zh) * | 2020-03-15 | 2022-09-09 | 东南大学 | 一种基于pi控制器优化的bd-wpt系统功率协调控制方法 |
| US12118178B1 (en) | 2020-04-08 | 2024-10-15 | Steelcase Inc. | Wayfinding services method and apparatus |
| US11984739B1 (en) | 2020-07-31 | 2024-05-14 | Steelcase Inc. | Remote power systems, apparatus and methods |
| US12005249B2 (en) | 2021-02-12 | 2024-06-11 | Medtronic, Inc. | Method for regulating TETS power transfer |
| US12019415B2 (en) | 2022-02-24 | 2024-06-25 | Toyota Motor North America, Inc. | Grouping electric transports for an electric grid |
| DE102022203233A1 (de) * | 2022-04-01 | 2023-10-05 | Robert Bosch Gesellschaft mit beschränkter Haftung | Ladeschaltung und Verfahren zum Aufladen einer Traktionsbatterie, Elektrofahrzeug |
Citations (10)
| Publication number | Priority date | Publication date | Assignee | Title |
|---|---|---|---|---|
| JP2008206232A (ja) | 2007-02-16 | 2008-09-04 | Seiko Epson Corp | 送電制御装置、受電制御装置、無接点電力伝送システム、送電装置、受電装置および電子機器 |
| JP2009504116A (ja) | 2005-07-29 | 2009-01-29 | エルエス ケーブル リミテッド | 無接点充電バッテリー及び充電器、これらを含むバッテリー充電セット、並びに充電制御方法 |
| JP2009189231A (ja) | 2008-01-09 | 2009-08-20 | Seiko Epson Corp | 送電制御装置、送電装置、無接点電力伝送システムおよび電子機器 |
| JP2009268181A (ja) | 2008-04-22 | 2009-11-12 | Olympus Corp | エネルギー供給装置 |
| WO2010006091A1 (en) | 2008-07-09 | 2010-01-14 | Access Business Group International Llc | Wireless charging system |
| JP2010110533A (ja) | 2008-11-07 | 2010-05-20 | Olympus Corp | 無線給電システム |
| JP2010114965A (ja) | 2008-11-04 | 2010-05-20 | Toyota Industries Corp | 非接触電力伝送装置及び非接触電力伝送装置の設計方法 |
| JP2010539885A (ja) | 2007-09-17 | 2010-12-16 | クゥアルコム・インコーポレイテッド | ワイヤレス電力磁気共振器における高効率および高電力伝送 |
| WO2011061821A1 (ja) | 2009-11-18 | 2011-05-26 | 株式会社 東芝 | 無線電力伝送装置 |
| JP2011125184A (ja) | 2009-12-14 | 2011-06-23 | Toyota Motor Corp | 非接触給電設備、非接触受電装置、および非接触給電システム |
Family Cites Families (31)
| Publication number | Priority date | Publication date | Assignee | Title |
|---|---|---|---|---|
| NO913368D0 (no) * | 1991-08-27 | 1991-08-27 | Julius Hartai | Frekvensmodulert driver med parallell-resonans. |
| ES2139004T3 (es) * | 1992-05-10 | 2000-02-01 | Auckland Uniservices Ltd | Un sendero inductivo primario. |
| DE4442677A1 (de) * | 1994-11-30 | 1996-06-05 | Siemens Ag | Verfahren und Anordnung zum Versorgen eines elektrischen Verbrauchers mit einer elektrischen Versorgungsspannung oder einem elektrischen Versorgungsstrom über Funk |
| JPH08265986A (ja) * | 1995-03-20 | 1996-10-11 | Sumitomo Electric Ind Ltd | インダクティブ充電方法 |
| AU752159B2 (en) * | 1997-05-06 | 2002-09-05 | Auckland Uniservices Limited | Inductive power transfer across an extended gap |
| US7212414B2 (en) * | 1999-06-21 | 2007-05-01 | Access Business Group International, Llc | Adaptive inductive power supply |
| EP1634355B1 (en) | 2003-05-23 | 2018-10-10 | Auckland Uniservices Limited | Methods and apparatus for control of inductively coupled power transfer systems |
| NZ528542A (en) * | 2003-09-29 | 2006-09-29 | Auckland Uniservices Ltd | Inductively-powered power transfer system with one or more, independently controlled loads |
| WO2007041898A1 (en) * | 2005-10-09 | 2007-04-19 | System General Corp. | Apparatus and method thereof for measuring output current from primary side of power converter |
| JP4209437B2 (ja) * | 2006-11-10 | 2009-01-14 | 三菱重工業株式会社 | 移動体の非接触給電装置及びその保護装置 |
| TWI339471B (en) * | 2006-12-27 | 2011-03-21 | Ind Tech Res Inst | Non-contact power supply having built-in coupling detection device and coupling detection method thereof |
| JP4308858B2 (ja) | 2007-02-16 | 2009-08-05 | セイコーエプソン株式会社 | 送電制御装置、受電制御装置、無接点電力伝送システム、送電装置、受電装置および電子機器 |
| KR20100130215A (ko) * | 2008-03-17 | 2010-12-10 | 파우워매트 엘티디. | 유도송전장치 |
| ES2326780B2 (es) | 2008-05-29 | 2010-06-16 | Fundacion Circe - Centro De Investigacion De Recursos Y Consumos Energeticos | Metodo automatico de control de un sistema de transferencia de potencia con acoplamiento inductivo en alta frecuencia. |
| US7903435B2 (en) * | 2008-08-05 | 2011-03-08 | System General Corp. | Switching controller having switching frequency hopping for power converter |
| EP4342723A1 (en) * | 2008-08-18 | 2024-03-27 | Christopher B. Austin | Vehicular battery charger, charging system, and method |
| US8299652B2 (en) * | 2008-08-20 | 2012-10-30 | Intel Corporation | Wireless power transfer apparatus and method thereof |
| JP5316541B2 (ja) * | 2008-09-26 | 2013-10-16 | 株式会社村田製作所 | 無接点充電システム |
| US8692410B2 (en) * | 2008-09-27 | 2014-04-08 | Witricity Corporation | Wireless energy transfer with frequency hopping |
| WO2010062201A1 (en) * | 2008-11-26 | 2010-06-03 | Auckland Uniservices Limited | Primary-side power control for inductive power transfer |
| JP2010198875A (ja) * | 2009-02-24 | 2010-09-09 | Panasonic Electric Works Co Ltd | 放電灯点灯装置及び照明器具 |
| CN201365144Y (zh) | 2009-03-02 | 2009-12-16 | 李植扬 | 感应式供电装置 |
| EP4234001A3 (en) * | 2009-03-09 | 2023-10-18 | NuCurrent, Inc. | System and method for wireless power transfer in implantable medical devices |
| US9077194B2 (en) * | 2009-09-09 | 2015-07-07 | Auckland Uniservices Limited | Power demand management in inductive power transfer systems |
| JP5174769B2 (ja) * | 2009-09-11 | 2013-04-03 | 三菱電機株式会社 | 非接触伝送装置 |
| JP5664018B2 (ja) * | 2009-10-30 | 2015-02-04 | Tdk株式会社 | ワイヤレス給電装置、ワイヤレス電力伝送システムおよびそれらを利用したテーブルと卓上ランプ |
| KR101730824B1 (ko) * | 2009-11-30 | 2017-04-27 | 삼성전자주식회사 | 무선 전력 트랜시버 및 무선 전력 시스템 |
| US8143746B2 (en) * | 2009-12-21 | 2012-03-27 | Alcatel Lucent | Automatic tuning for wireless power transfer |
| CN201733141U (zh) | 2010-06-10 | 2011-02-02 | 罗秀玲 | 电子装置 |
| US8829726B2 (en) * | 2010-07-02 | 2014-09-09 | Tdk Corporation | Wireless power feeder and wireless power transmission system |
| NZ593764A (en) * | 2011-06-27 | 2013-12-20 | Auckland Uniservices Ltd | Load control for bi-directional inductive power transfer systems |
-
2011
- 2011-06-27 NZ NZ593764A patent/NZ593764A/en not_active Application Discontinuation
-
2012
- 2012-06-27 US US14/127,882 patent/US9660702B2/en active Active
- 2012-06-27 CN CN201280030503.2A patent/CN103814503B/zh active Active
- 2012-06-27 KR KR1020147001559A patent/KR101971203B1/ko active Active
- 2012-06-27 EP EP12804818.8A patent/EP2724448B1/en active Active
- 2012-06-27 CN CN201710591343.3A patent/CN107472056B/zh active Active
- 2012-06-27 WO PCT/NZ2012/000107 patent/WO2013002651A1/en not_active Ceased
- 2012-06-27 JP JP2014518471A patent/JP6283309B2/ja active Active
-
2017
- 2017-04-13 US US15/487,267 patent/US10243409B2/en active Active
-
2018
- 2018-01-26 JP JP2018011056A patent/JP6991867B2/ja active Active
Patent Citations (10)
| Publication number | Priority date | Publication date | Assignee | Title |
|---|---|---|---|---|
| JP2009504116A (ja) | 2005-07-29 | 2009-01-29 | エルエス ケーブル リミテッド | 無接点充電バッテリー及び充電器、これらを含むバッテリー充電セット、並びに充電制御方法 |
| JP2008206232A (ja) | 2007-02-16 | 2008-09-04 | Seiko Epson Corp | 送電制御装置、受電制御装置、無接点電力伝送システム、送電装置、受電装置および電子機器 |
| JP2010539885A (ja) | 2007-09-17 | 2010-12-16 | クゥアルコム・インコーポレイテッド | ワイヤレス電力磁気共振器における高効率および高電力伝送 |
| JP2009189231A (ja) | 2008-01-09 | 2009-08-20 | Seiko Epson Corp | 送電制御装置、送電装置、無接点電力伝送システムおよび電子機器 |
| JP2009268181A (ja) | 2008-04-22 | 2009-11-12 | Olympus Corp | エネルギー供給装置 |
| WO2010006091A1 (en) | 2008-07-09 | 2010-01-14 | Access Business Group International Llc | Wireless charging system |
| JP2010114965A (ja) | 2008-11-04 | 2010-05-20 | Toyota Industries Corp | 非接触電力伝送装置及び非接触電力伝送装置の設計方法 |
| JP2010110533A (ja) | 2008-11-07 | 2010-05-20 | Olympus Corp | 無線給電システム |
| WO2011061821A1 (ja) | 2009-11-18 | 2011-05-26 | 株式会社 東芝 | 無線電力伝送装置 |
| JP2011125184A (ja) | 2009-12-14 | 2011-06-23 | Toyota Motor Corp | 非接触給電設備、非接触受電装置、および非接触給電システム |
Also Published As
| Publication number | Publication date |
|---|---|
| US20140203659A1 (en) | 2014-07-24 |
| KR20140103248A (ko) | 2014-08-26 |
| US10243409B2 (en) | 2019-03-26 |
| CN103814503A (zh) | 2014-05-21 |
| CN107472056A (zh) | 2017-12-15 |
| EP2724448B1 (en) | 2019-02-27 |
| JP6283309B2 (ja) | 2018-02-21 |
| JP2018085925A (ja) | 2018-05-31 |
| US20170229918A1 (en) | 2017-08-10 |
| KR101971203B1 (ko) | 2019-04-22 |
| EP2724448A4 (en) | 2015-05-06 |
| CN103814503B (zh) | 2017-07-28 |
| EP2724448A1 (en) | 2014-04-30 |
| US9660702B2 (en) | 2017-05-23 |
| NZ593764A (en) | 2013-12-20 |
| JP2014521288A (ja) | 2014-08-25 |
| WO2013002651A1 (en) | 2013-01-03 |
| CN107472056B (zh) | 2020-08-21 |
Similar Documents
| Publication | Publication Date | Title |
|---|---|---|
| JP6991867B2 (ja) | 双方向誘導電力伝送システムのための負荷制御 | |
| Wu et al. | A series-tuned inductive-power-transfer pickup with a controllable AC-voltage output | |
| US8923015B2 (en) | Primary-side power control for inductive power transfer | |
| US12113366B2 (en) | Resonant frequency compensation | |
| EP3343732B1 (en) | Wireless power transmission system and driving method therefor | |
| RU2011116061A (ru) | Система подачи энергии и транспортное средство с электроприводом | |
| WO2010062201A1 (en) | Primary-side power control for inductive power transfer | |
| CN109391043B (zh) | 无线电力接收设备 | |
| US10298063B2 (en) | Power-supplying device and wireless power supply system | |
| US11936203B2 (en) | Method for operating a device for wireless transfer of energy in the direction of an electrical consumer by means of inductive coupling and device | |
| JP6675109B2 (ja) | 無線電力伝送システム | |
| WO2014173033A1 (zh) | 无线电力传输接收端、系统及接收方法 | |
| JP2017060328A (ja) | 非接触受電装置及び電力伝送システム | |
| JP2016220293A (ja) | 非接触送電装置 | |
| CN104682570B (zh) | 非接触电力传输电路 | |
| JP6714908B1 (ja) | 非接触給電システム | |
| US12368375B2 (en) | Wireless power transfer | |
| CN118783652A (zh) | 操作用于在用电设备方向上无线传输电功率的装置的方法和系统 | |
| WO2021144255A1 (en) | Capacitive power transfer system and method for controlling capacitive power transfer system |
Legal Events
| Date | Code | Title | Description |
|---|---|---|---|
| A521 | Request for written amendment filed |
Free format text: JAPANESE INTERMEDIATE CODE: A523 Effective date: 20180226 |
|
| A621 | Written request for application examination |
Free format text: JAPANESE INTERMEDIATE CODE: A621 Effective date: 20180226 |
|
| A521 | Request for written amendment filed |
Free format text: JAPANESE INTERMEDIATE CODE: A523 Effective date: 20180515 |
|
| A131 | Notification of reasons for refusal |
Free format text: JAPANESE INTERMEDIATE CODE: A131 Effective date: 20190507 |
|
| A601 | Written request for extension of time |
Free format text: JAPANESE INTERMEDIATE CODE: A601 Effective date: 20190806 |
|
| A601 | Written request for extension of time |
Free format text: JAPANESE INTERMEDIATE CODE: A601 Effective date: 20191007 |
|
| A521 | Request for written amendment filed |
Free format text: JAPANESE INTERMEDIATE CODE: A523 Effective date: 20191107 |
|
| A02 | Decision of refusal |
Free format text: JAPANESE INTERMEDIATE CODE: A02 Effective date: 20200512 |
|
| A521 | Request for written amendment filed |
Free format text: JAPANESE INTERMEDIATE CODE: A523 Effective date: 20200911 |
|
| C60 | Trial request (containing other claim documents, opposition documents) |
Free format text: JAPANESE INTERMEDIATE CODE: C60 Effective date: 20200911 |
|
| C11 | Written invitation by the commissioner to file amendments |
Free format text: JAPANESE INTERMEDIATE CODE: C11 Effective date: 20200929 |
|
| A911 | Transfer to examiner for re-examination before appeal (zenchi) |
Free format text: JAPANESE INTERMEDIATE CODE: A911 Effective date: 20201030 |
|
| C21 | Notice of transfer of a case for reconsideration by examiners before appeal proceedings |
Free format text: JAPANESE INTERMEDIATE CODE: C21 Effective date: 20201110 |
|
| A131 | Notification of reasons for refusal |
Free format text: JAPANESE INTERMEDIATE CODE: A131 Effective date: 20201215 |
|
| A601 | Written request for extension of time |
Free format text: JAPANESE INTERMEDIATE CODE: A601 Effective date: 20210312 |
|
| A601 | Written request for extension of time |
Free format text: JAPANESE INTERMEDIATE CODE: A601 Effective date: 20210415 |
|
| A601 | Written request for extension of time |
Free format text: JAPANESE INTERMEDIATE CODE: A601 Effective date: 20210513 |
|
| A521 | Request for written amendment filed |
Free format text: JAPANESE INTERMEDIATE CODE: A523 Effective date: 20210517 |
|
| A912 | Re-examination (zenchi) completed and case transferred to appeal board |
Free format text: JAPANESE INTERMEDIATE CODE: A912 Effective date: 20210730 |
|
| C211 | Notice of termination of reconsideration by examiners before appeal proceedings |
Free format text: JAPANESE INTERMEDIATE CODE: C211 Effective date: 20210803 |
|
| C22 | Notice of designation (change) of administrative judge |
Free format text: JAPANESE INTERMEDIATE CODE: C22 Effective date: 20210824 |
|
| C23 | Notice of termination of proceedings |
Free format text: JAPANESE INTERMEDIATE CODE: C23 Effective date: 20211019 |
|
| C03 | Trial/appeal decision taken |
Free format text: JAPANESE INTERMEDIATE CODE: C03 Effective date: 20211130 |
|
| C30A | Notification sent |
Free format text: JAPANESE INTERMEDIATE CODE: C3012 Effective date: 20211130 |
|
| A61 | First payment of annual fees (during grant procedure) |
Free format text: JAPANESE INTERMEDIATE CODE: A61 Effective date: 20211208 |
|
| R150 | Certificate of patent or registration of utility model |
Ref document number: 6991867 Country of ref document: JP Free format text: JAPANESE INTERMEDIATE CODE: R150 |
|
| R250 | Receipt of annual fees |
Free format text: JAPANESE INTERMEDIATE CODE: R250 |



