JP6422796B2 - 同期機制御装置及び駆動システム - Google Patents

同期機制御装置及び駆動システム Download PDF

Info

Publication number
JP6422796B2
JP6422796B2 JP2015043484A JP2015043484A JP6422796B2 JP 6422796 B2 JP6422796 B2 JP 6422796B2 JP 2015043484 A JP2015043484 A JP 2015043484A JP 2015043484 A JP2015043484 A JP 2015043484A JP 6422796 B2 JP6422796 B2 JP 6422796B2
Authority
JP
Japan
Prior art keywords
frequency
synchronous machine
current
unit
voltage
Prior art date
Legal status (The legal status is an assumption and is not a legal conclusion. Google has not performed a legal analysis and makes no representation as to the accuracy of the status listed.)
Active
Application number
JP2015043484A
Other languages
English (en)
Other versions
JP2016163515A (ja
Inventor
智秋 茂田
智秋 茂田
峻 谷口
峻 谷口
鈴木 健太郎
健太郎 鈴木
結城 和明
和明 結城
Current Assignee (The listed assignees may be inaccurate. Google has not performed a legal analysis and makes no representation or warranty as to the accuracy of the list.)
Toshiba Corp
Toshiba Infrastructure Systems and Solutions Corp
Original Assignee
Toshiba Corp
Toshiba Infrastructure Systems and Solutions Corp
Priority date (The priority date is an assumption and is not a legal conclusion. Google has not performed a legal analysis and makes no representation as to the accuracy of the date listed.)
Filing date
Publication date
Application filed by Toshiba Corp, Toshiba Infrastructure Systems and Solutions Corp filed Critical Toshiba Corp
Priority to JP2015043484A priority Critical patent/JP6422796B2/ja
Publication of JP2016163515A publication Critical patent/JP2016163515A/ja
Application granted granted Critical
Publication of JP6422796B2 publication Critical patent/JP6422796B2/ja
Active legal-status Critical Current
Anticipated expiration legal-status Critical

Links

Images

Landscapes

  • Control Of Motors That Do Not Use Commutators (AREA)

Description

本発明の実施形態は、同期機制御装置及び駆動システムに関する。
従来、同期機の制御方法として、小型軽量化、低コスト化、及び信頼性向上のために、レゾルバエンコーダ等の回転センサを用いないセンサレス制御が提案されている。一般に、センサレス制御では、低速域における制御精度の向上が困難であり、多様な開発が進められている。
例えば、低速域における制御方法として、PWM高調波を利用した方法や、電圧指令に高周波電圧を重畳する方法や、電流指令に高周波電流を重畳する方法が利用されている。いずれの場合も、同期機に流れる電流や電圧の高周波成分に基づいて、同期機の回転位相角や角周波数を推定することができる。また、重畳する高周波信号を可変とすることで、騒音を低減する方法も提案されている。これらの方法を用いることにより、低速域における同期機のセンサレス制御が可能となる。
しかしながら、指令に高周波信号を重畳する場合、同期機の角周波数に応じて発生するスロット高調波の影響により、出力高周波成分に誤差が発生し、同期機の回転位相角や角周波数を精度よく推定できない恐れがあった。回転位相角の推定精度が低下すると、制御の不安定化や脱調が生じるという問題があった。
特開2009−153347号公報 特開2001−339999号公報 特開2011−172324号公報
スロット高調波の影響を抑制し、同期機の回転位相角を精度よく推定できる同期機制御装置及び駆動システムを提供する。
一実施形態に係る同期機制御装置は、インバータと、電圧指令生成部と、高周波重畳部と、推定部と、を備える。インバータは、同期機を駆動する。電圧指令生成部は、電流指令及びインバータの出力電流に基づいて電圧指令を生成する。高周波重畳部は、電流指令又は電圧指令に所定の高周波信号を重畳可能である。推定部は、同期機の推定回転位相角を算出する。高周波重畳部は、スロット高調波の周波数と、高周波信号の周波数と、のずれが所定値以上のとき、高周波信号を重畳し、所定値未満のとき、高周波信号を重畳しない。
第1実施形態に係る同期機駆動システムを示す図。 三相固定座標系及びdcqc軸回転座標系を説明する図。 図1の高周波重畳部の構成を示す図。 図1の速度・回転位相角推定部29の構成を示す図。 図4の第1誤差推定部の構成を示す図。 図5の振幅検出部の構成を示す図。 図6のバンドパスフィルタの機能を説明する図。 図6のFFT解析部による振幅の検出方法を説明する図。 図4の第2誤差推定部の構成を示す図。 スロット及びスロット高調波を説明する図。 図1の制御方式切替部の構成を示す図。 スロット高調波による影響を説明する図。 スロット高調波による影響を説明する図。 スロット高調波による影響を説明する図。 スロット高調波による影響を説明する図。 スロット高調波による影響を説明する図。 スロット高調波による影響を説明する図。 スロット高調波による影響を説明する図。 スロット高調波による影響を説明する図。 第2実施形態に係る同期機駆動システムを示す図。 図20の高周波重畳部の構成を示す図。 高周波電圧の周波数及び振幅の変更方法を説明する図。 高周波電圧の周波数及び振幅の変更方法を説明する図。 高周波電圧の周波数及び振幅の変更方法を説明する図。 高周波電圧の周波数及び振幅の変更方法を説明する図。 高周波電圧の周波数及び振幅の変更方法を説明する図。
以下、本発明の実施形態について図面を参照して説明する。
(第1実施形態)
第1実施形態に係る同期機駆動システム(以下、「システム」という)について、図1〜図19を参照して説明する。図1は、本実施形態に係るシステムの構成を示す図である。図1に示すように、本実施形態に係るシステムは、同期機1と、同期機制御装置2と、を備える。
同期機1は、固定子及び回転子を備えるモータである。同期機1は、永久磁石を備える永久磁石同期機、シンクロナスリラクタンスモータ(SynRM)などの磁気的突極性を利用するリラクタンス式同期機、又は界磁磁束を二次巻線により供給する巻線界磁式同期機であるが、これに限られない。以下では、同期機1は、永久磁石同期機であるものとする。
同期機1の固定子は、3つの励磁相(U相、V相、及びW相)を有し、各励磁相に流れる3相交流電流によって磁界を発生させる。固定子が発生させた磁界により、回転子が回転する。
本実施形態に係る同期機制御装置2(以下、「制御装置2」という)は、高周波信号を利用する制御方式と、高周波信号を利用しない制御方式と、の2種類の制御方式を用いて、同期機1をセンサレスで制御する。以下では、高周波信号として高周波電圧を利用する場合について説明するが、高周波信号として高周波電流を利用してもよい。
図1に示すように、この制御装置2は、インバータ21と、電流検出器22と、座標変換部23と、電圧指令生成部24と、座標変換部25と、変調部26と、電圧検出器27と、高周波重畳部28と、速度・回転位相角推定部29と、制御方式切替部30と、を備える。
インバータ21は、スイッチング素子を備える回路である。インバータ21は、スイッチング素子のON/OFFを切替えることにより、電源(図示省略)からの電力を交流に変換して、同期機1に供給する。インバータ21は、各スイッチング素子のON/OFFを制御する制御信号を変調部26から入力される。
電流検出器22は、同期機1の固定子に流れる3相交流電流のうち、2相又は3相の電流を検出する。図1は、2相(U相及びW相)の電流iu,iwを検出する構成を示している。尚、同期機1の固定子に流れる3相交流電流は、インバータ21の直流側電流に基づき演算により求めてもよい。この場合、制御装置2は、電流検出器22を備えなくてもよい。
座標変換部23は、電流検出器22が検出した電流iu,iwを、三相固定座標系からdcqc軸回転座標系に座標変換し、電流idc,iqcを算出する。電流idcは、固定子に流れる電流(インバータ21の出力電流)のdc軸成分であり、電流iqcは、固定子に流れる電流(インバータ21の出力電流)のqc軸成分である。ここで、三相固定座標系及びdcqc軸回転座標系について、図2を参照して説明する。
図2に示すように、三相固定座標系は、α軸とβ軸とからなる固定座標系である。図2において、α軸は、U相方向に設定され、β軸は、α軸と垂直な方向に設定されている。電流検出器22により検出された電流iu,iwは、このような三相固定座標上で表される。
これに対して、dcqc軸回転座標系は、dc軸とqc軸とからなる回転座標系である。dc軸は、制御装置2がd軸方向(回転子のインダクタンスが最小の方向)と推定した方向に設定され、qc軸は、制御装置2がq軸方向(回転子のインダクタンスが最大の方向)と推定した方向に設定される。図2のインダクタンス楕円は、回転子のインダクタンスを示している。
図2に示すように、dcqc軸と、dq軸と、は必ずしも一致するとは限らない。回転子の実際の回転位相角θは、α軸からd軸までの角度で表される。また、制御装置2が推定した回転子の推定回転位相角θestは、α軸からdc軸までの角度で表される。以下では、回転位相角θと推定回転位相角θestとの誤差を、誤差Δθという。
座標変換部23は、速度・回転位相角推定部29が出力した推定回転位相角θestを用いることにより、三相固定座標系をdcqc軸回転座標系に変換することができる。
電圧指令生成部24(電流制御部)は、電流idc,iqc、電流指令idc,iqc、及び推定速度ωestに基づいて、同期機1に流れる電流が電流指令idc,iqcとなるように、電圧指令vdc,vqcを算出する。
電流指令idcは、同期機1に流す電流のdc軸成分である。電流指令iqcは、同期機1に流す電流のqc軸成分である。推定速度ωestは、制御装置2が推定した回転子の速度(角周波数)ωである。電圧指令vdcは、同期機1の固定子に印加する電圧のdc軸成分である。電圧指令vqcは、同期機1の固定子に印加する電圧のqc軸成分である。
以下では、電流指令idc,iqcは、外部装置から入力されるものとするが、制御装置2が、トルク指令などに基づいて電流指令idc,iqcを生成する電流指令生成部を更に備える構成も可能である。
座標変換部25は、電圧指令生成部24が出力した電圧指令vdc,vdcを、dcqc軸回転座標系から三相固定座標系に座標変換する。座標変換部25は、座標変換部23と同様、推定回転位相角θestを用いることにより、dcqc軸回転座標系を三相固定座標系に変換する。
以下では、座標変換部25が座標変換した電圧指令vdc,vdcを、電圧指令vu,vv,vwという。電圧指令vuは、固定子のU相に印加する電圧であり、電圧指令vvは、固定子のV相に印加する電圧であり、電圧指令vwは、固定子のW相に印加する電圧である。
変調部26は、電圧指令vu,vv,vwに基づいて、インバータ21の各スイッチング素子のON/OFFを制御する制御信号vu′,vv′,vw′を生成する。制御信号vu′は、U相のスイッチング素子のON/OFFに対応する2値の信号である。制御信号vv′,vw′についても同様である。
変調部26は、例えば、電圧指令vu,vv,vwを、三角波を用いたPWM(Pulse-Width Modulation)によって変調することにより、制御信号vu′,vv′,vw′を生成することができる。変調部26は、生成した制御信号vu′,vv′,vw′をインバータ21に入力する。
電圧検出器27は、変調部27が出力した制御信号vu′,vv′,vw′を検出し、速度・回転位相角推定部29に入力する。
高周波重畳部28は、制御方式切替部30から入力される切替信号に応じて、電圧指令vdcに高周波電圧vdhを重畳する。高周波電圧vdhは、電圧指令vdcに重畳する電圧値である。
ここで、図3は、高周波重畳部28を示す図である。図3に示すように、高周波重畳部28は、高周波電圧算出部31を備える。
高周波電圧算出部31は、切替信号として1を入力された場合、vdh=Vdh×sin(2fdh×t)を計算し、高周波電圧vdhを出力する。Vdhは、高周波電圧の振幅の設定値である。fdhは、高周波電圧の周波数である。高周波電圧算出部31が出力した高周波電圧vdhは、電圧指令vdcに重畳され、座標変換部25に入力される。なお、切替信号については後述する。
一方、高周波電圧算出部31は、切替信号として0を入力された場合、vdh=0×sin(2fdh×t)を計算し、0を出力する。したがって、電圧指令vdcは、そのまま座標変換部25に入力される。
なお、高周波信号として高周波電流を重畳する場合には、高周波重畳部28は、切替信号に応じて、電流指令idc,iqcに高周波電流を重畳してもよい。例えば、電流指令idcに、高周波電流idhを重畳する場合、高周波電流idhは、idh=Idh×sin(2fdh×t)となる。Idhは、高周波電流idhの振幅の設定値である。
速度・回転位相角推定部29(以下、「推定部29」という)は、同期機1の回転子の速度ω及び回転位相角θを推定し、推定速度ωest及び推定回転位相角θestを算出する。推定部29が出力した推定速度ωestは、電圧指令生成部24及び制御方式切替部30に入力される。また、推定回転位相角θestは、座標変換部23,26に入力され、座標変換に利用される。
図4は、推定部29の構成を示す図である。図4に示すように、推定部29は、第1誤差推定部32と、第2誤差推定部33と、PLL制御部34と、積分器35と、を備える。
第1誤差推定部32は、高周波電圧vhを利用した任意の方法で、回転位相角θと推定回転位相角θestとの誤差Δθ1を算出する。第2誤差推定部33は、高周波電圧vhを利用しない任意の方法で、回転位相角θと推定回転位相角θestとの誤差Δθ2を算出する。
PLL制御部34は、切替信号に応じて誤差Δθ1又は誤差Δθ2を入力される。PLL制御部34は、切替信号が1の場合、誤差Δθ1を入力され、切替信号が0の場合、誤差Δθ2を入力される。PLL制御部34は、入力された誤差Δθが0になるようにPLL制御を行い、推定速度ωestを算出する。PLL制御部34が出力した推定速度ωestは、積分器35に入力される。
積分器35は、推定速度ωestを積分し、推定回転位相角θestを算出する。
すなわち、推定部29は、切替信号が1の場合、高周波電圧vhを利用して推定速度ωest及び推定回転位相角θestを算出し、切替信号が0の場合、高周波電圧vhを利用しない方法で推定速度ωest及び推定回転位相角θestを算出する。
ここで、第1誤差推定部32及び第2誤差推定部33について、それぞれ詳細に説明する。まず、第1誤差推定部32による誤差Δθ1の算出方法の一例について説明する。
一般に、誤差Δθが0の場合、すなわち、実際のdq軸と推定したdcdq軸が一致する場合、dq軸電圧方程式は以下の式で表される。
Figure 0006422796
式(1)において、ωeは電気角回転周波数、vdはd軸電圧、vqはq軸電圧、idはd軸電流、iqはq軸電流、Rは同期機1の巻線抵抗、Ψは磁束、ωは同期機1の速度(角周波数)、Ldはd軸インダクタンス、Lqはq軸インダクタンス、pは微分演算子(d/dt)である。
これに対して、誤差Δθが0ではない場合、すなわち、実際のdq軸と推定したdcdq軸との間に誤差が生じている場合、dq軸電圧方程式は以下の式で表される。
Figure 0006422796
式(2)において、vdcはdc軸電圧(d軸電圧の推定値)、vqcはqc軸電圧(q軸電圧の推定値)、idcはdc軸電流(d軸電流の推定値)、iqcはqc軸電流(q軸電流の推定値)である。
本実施形態のように、dc軸電圧(電圧指令値vdc)に高周波電圧vdhを重畳した場合、式(2)の微分項は以下の式で表される。
Figure 0006422796
式(7)より、誤差Δθが0の場合、dc軸電圧に高周波電圧vdhを重畳しても、sin2Δθ=0となり、qc軸には高周波電流が流れないことがわかる(piqc=0)。これに対して、誤差Δθが0でない場合、dc軸電圧に高周波電圧vdhを重畳すると、sin2Δθ≠0となり、qc軸には高周波電流が流れることがわかる(piqc≠0)。
そして、誤差Δθが十分小さい場合、cos2Δθ=1、sin2Δθ=2Δθと近似できる。したがって、式(7)は、以下のように変形することができる。
Figure 0006422796
式(8)において、dtは電流のサンプリング間隔、iqc′_p−pは、qc軸高周波電流(qc軸電流の高域成分)の振幅である。第1誤差推定部32は、上記の式(8)により、誤差Δθ1を算出することができる。
ここで、図5は、上記の方法で誤差Δθ1を算出する第1誤差推定部32を示す図である。図5に示すように、第1誤差推定部32は、振幅検出部36を備える。
振幅検出部36は、座標変換部23から入力されたqc軸電流iqcから、高周波電流の振幅iqc′_p−pを検出する。第1誤差推定部32は、振幅検出部36が出力した振幅iqc′_p−pと、高周波重畳部28から入力された高周波電圧vdhと、を式(8)に代入し、誤差Δθ1を算出する。なお、インダクタンスLd,Lqは、例えば、電流iqcと対応付けられたインダクタンステーブルを参照して取得すればよい。また、サンプリング間隔dtは、設定値である。
ここで、図6は、振幅検出部36を示す図である。図6に示すように、振幅検出部36は、バンドパスフィルタ37と、FFT解析部38と、を備える。
バンドパスフィルタ37は、図7に示すように、入力された電流iqcのうち、高周波電圧vdhの周波数fdhを含む所定の範囲の周波数成分を通過させ、範囲外の周波数成分を減衰させる。これにより、バンドパスフィルタ37は、電流iqcから、周波数fdhを有する高周波電流iqc′を検出する。
なお、バンドパスフィルタ37のカットオフ周波数は、高周波電流iqc′を検出可能であれば、一定であってもよいし、可変であってもよい。バンドパスフィルタ37が出力した高周波電流iqc′は、FFT解析部38に入力される。
FFT解析部38は、バンドパスフィルタ37が検出した高周波電流iqc′の振幅iqc′_p−pを算出する。FFT解析部38は、例えば、図8に示すように、高周波電流iqc′に対して、高周波電圧vdhの1周期(=1/fdh)中に4回サンプリングを行い、サンプリングされた4つの電流値から振幅iqc′_p−pを算出する。
高周波電流iqc′は、バンドパスフィルタ37によって余計な周波数成分を除去されているため、FFT解析部38は、図8に示すように、振幅iqc′_p−pを精度よく算出することができる。
なお、第1誤差推定部32による誤差Δθ1の算出方法は、上記の方法に限られず、高周波電圧vhを利用した周知の方法の中から任意に選択可能である。
次に、第2誤差推定部33について説明する。図9は、第2誤差推定部33の構成を示す図である。図9に示すように、座標変換部39と、高調波観測部40と、インダクタンス分布近似算出部41と、Δθ2算出部42と、を備える。
座標変換部39は、電流検出器22が検出した電流iu,iwを、図2のαβ軸座標系に座標変換し、電流Iα,Iβを算出する。同様に、座標変換部39は、電圧検出器27から入力された制御信号vu′,vv′,vw′を、αβ軸座標系に座標変換し、電圧Vα,Vβを算出する。
高周波観測部40は、座標変換部39が算出した電流Iα,IβのPWM高調波成分dIαfh/dt,dIβfh/dtを算出する。同様に、高周波観測部40は、座標変換部39が算出した電圧Vα,VβのPWM高調波成分ΔVαhf,ΔVβhfを算出する。
インダクタンス分布近似算出部41は、PWM高調波成分dIαfh/dt,dIβfh/dt,ΔVαhf,ΔVβhfに基づいて、インダクタンス行列Lを算出する。
Δθ2算出部42は、インダクタンス行列Lに基づいて、誤差Δθ2を算出する。
なお、第2誤差推定部33による誤差Δθ2の算出方法は、上記のPWM高調波を用いた方法に限られず、高周波電圧vhを利用しない周知の方法の中から任意に選択可能である。
制御方式切替部30は、スロット高調波の周波数と、高周波電圧vhfの周波数と、を比較し、比較結果に応じて、1又は0の切替信号を出力する。
ここで、スロット及びスロット高調波について説明する。図10に示すように、同期機1は、固定子101と、回転子102と、を備える。固定子101は、複数の突極103を備える。突極103は、回転子102と対向するように、所定間隔で配列されている。また、隣接した突極103の間には、スロット104が形成されている。
磁束の通りやすさは、回転子102と、突極103及びスロット104と、の位置関係によって変化する。図10に示すように、突極103は、磁束が通りやすく(インダクタンスが大きく)、スロット104は、磁束が通り難い(インダクタンスが小さい)。このような同期機1では、回転子102が回転すると、固定子101との間のインダクタンスの変化に起因したスロット高調波が発生し、固定子101の電流や電圧に重畳される。一般に、dq軸座標系において、スロット高調波の周波数fslotは、以下の式で表される。
Figure 0006422796
式(9)において、SLはスロット数、feは電気角回転周波数、fmechは同期機1の回転周波数、Ppは極対数である。式(9)からわかるように、スロット高調波の周波数fslotは、同期機1の周波数fmechに応じて変化する。スロット高調波の周波数fslotは、同期機1の周波数fmechが大きくなるほど、大きくなり、高周波電圧vdhの周波数fdhに近くなる。
スロット高調波の周波数と、高周波電圧vdhの周波数と、が近い場合、スロット高調波に応じた電流がバンドパスフィルタ37を通過し、FFT解析部38が算出する振幅ipc′_p−pに誤差が生じる。このため、高周波電圧vhfを利用して推定した回転位相角θや速度ωには誤差が生じ、同期機1の制御の不安定化や脱調の原因となる。なお、振幅ipc′_p−pに対するスロット高調波の影響の詳細については後述する。
そこで、制御方式切替部30は、切替信号によって、スロット高調波の周波数及び高周波電圧vdhの周波数が近い場合と、離れている場合と、で同期機1の制御方式を切替える。
より詳細には、制御方式切替部30は、スロット高調波の周波数と、高周波電圧vdhの周波数と、のずれが所定値以上の場合、制御信号として1を出力する。ここでいうずれとは、スロット高調波の周波数と、高周波電圧vdhの周波数と、の差や比などのことである。ずれは、スロット高調波の周波数と、高周波電圧vdhの周波数と、が近づくほど小さくなり、離れるほどおおきくなる。以下では、ずれは差であるものとする。
これにより、スロット高調波の周波数及び高周波電圧vdhの周波数が離れている場合、電圧指令vdcに高周波電圧vhfが重畳され、高周波電圧vhfを利用して算出された誤差Δθ1に基づいて、推定速度ωest及び推定回転位相角θestが算出される。
スロット高調波の周波数及び高周波電圧vdhの周波数が離れている場合には、スロット高調波に応じた電流がバンドパスフィルタ37を通過しないため、スロット高調波による影響は小さくなる。したがって、高周波電圧vhfを利用して速度ω及び回転位相角θを精度よく推定することができる。
一方、制御方式切替部30は、スロット高調波の周波数と高周波電圧vdhの周波数と、の差が所定値未満の場合、制御信号として0を出力する。これにより、スロット高調波の周波数及び高周波電圧vdhの周波数が近い場合、電圧指令vdcに高周波電圧vhfが重畳されず、高周波電圧vhfを利用しない方法で算出された誤差Δθ2に基づいて、推定速度ωest及び推定回転位相角θestが算出される。
スロット高調波の周波数及び高周波電圧vdhの周波数が近い場合、上述の通り、誤差Δθ1に対するスロット高調波の影響が大きくなるが、高周波電圧vhfを利用しない方法で算出された誤差Δθ2には影響が小さい。したがって、誤差Δθ2に基づいて、速度ω及び回転位相角θを精度よく推定することができる。
このように、スロット高調波の周波数及び高周波電圧vdhの周波数が近い場合と、離れている場合と、で同期機1の制御方式を切替えることにより、スロット高調波に起因する速度ω及び回転位相角θの推定誤差を抑制し、同期機1の回転位相角θを精度よく推定することができる。これにより、同期機1の制御の不安定化や脱調を抑制することができる。
図11は、制御方式切替部30の構成を示す図である。制御方式切替部30は、まず、推定部29から入力された推定速度ωestから、以下の式によりスロット高調波の周波数を算出する。
Figure 0006422796
式(10)において、ωslot_estは、スロット高調波の角周波数の推定値である。次に、制御方式切替部30は、高周波電圧vhfの角周波数ωdhと、推定角周波数ωslot_estと、の比αを算出する。
Figure 0006422796
角周波数ωdhは、予め設定されていてもよいし、高周波重畳部28から入力されてもよいし、周波数fdhから式(12)によって算出されてもよい。
そして、制御方式切替部30は、比αと所定の閾値βとを比較し、比較結果に応じた切替信号を出力する。閾値βは、予め設定してもよいし、同期機1の制御中に算出してもよい。
制御方式切替部30は、β≧αの場合、すなわち、スロット高調波の周波数と高周波電圧vdhの周波数との差(ωdh−ωslot_est)が所定値(ωdh(1−β))以上の場合、1を出力する。
一方、制御方式切替部30は、β<αの場合、すなわち、スロット高調波の周波数と高周波電圧vdhの周波数との差(ωdh−ωslot_est)が所定値(ωdh(1−β))未満の場合、0を出力する。
ここで、振幅ipc′_p−pに対するスロット高調波の影響について、詳細に説明する。まず、スロット高調波の影響がない場合について、図12及び図13を参照して説明する。
スロット高調波の影響がなく、誤差Δθが0の場合、図12に示すように、高周波電圧vdhを重畳しても、高周波電流iqc′は流れない。これに対して、誤差Δθが0でない場合、図13に示すように、高周波電圧vdhを重畳すると、高周波電圧vdhの周波数と同じ周波数の高周波電流iqc′が流れる。式(7)を参照して説明した通り、この高周波電流iqc′の振幅iqc′_p−pから、誤差Δθを算出することができる。
次に、スロット高調波の影響がある場合について、図14〜図19を参照して説明する。
スロット高調波の影響があり、誤差Δθが0の場合、図14に示すように、高周波電圧vdhを重畳しても、高周波電流iqc′は流れないが、スロット高調波に応じた電流iqsがqc軸電流として流れる。したがって、電流iqcには、電流iqsが含まれる。
しかしながら、同期機1の回転周波数fmechが小さい場合、式(9)よりスロット高調波の周波数fslotも小さくなる。スロット高調波の周波数fslotが高周波電圧vdhの周波数fdhより所定値以上小さい場合、図15に示すように、電流iqcが推定部36に入力されると、バンドパスフィルタ37によって電流iqsはカットされる。
誤差Δθが0でない場合、図16に示すように、高周波電圧vdhを重畳すると、高周波電圧vdhの周波数と同じ周波数の高周波電流iqc′と、スロット高調波に応じた電流iqsと、がqc軸電流として流れる。したがって、電流iqcには、高周波電流iqc′及び電流iqsが含まれる。
しかしながら、同期機1の回転周波数fmechが小さく、スロット高調波の周波数fslotが高周波電圧vdhの周波数fdhより所定値以上小さい場合、図17に示すように、電流iqcが推定部36に入力されると、バンドパスフィルタ37によって電流iqsはカットされる。これに対して、高周波電流iqc′は、バンドパスフィルタ37を通過する。したがって、スロット高調波の影響がない場合と同様に、高周波電流iqc′の振幅iqc′_p−pから、誤差Δθを算出することができる。
このように、スロット高調波の周波数が小さく、スロット高調波の周波数と高周波電圧vdhの周波数とが離れている場合、電流iqsがカットされるため、スロット高調波の影響は抑制される。したがって、高周波電圧vdhを利用して、速度ω及び回転位相角θを精度よく推定することができる。これは、スロット高調波の周波数が高周波電圧vdhより大きい場合であっても同様である。
これに対して、スロット高調波の周波数が大きく、スロット高調波の周波数と高周波電圧vdhの周波数とが近い場合、スロット高調波の影響が大きくなる。誤差Δθが0でない場合、図18に示すように、高周波電圧vdhを重畳すると、高周波電流iqc′と、電流iqsと、がqc軸電流として流れる。これは、スロット高調波の周波数が小さい場合と同様である。
しかしながら、スロット高調波の周波数が大きい場合、図19に示すように、電流iqcをバンドパスフィルタ37に入力しても、電流iqsを十分に低減できず、電流iqsが重畳された高周波電流iqc′が出力される。このため、高周波電流iqc′の振幅iqc′_p−pに誤差が生じ、速度ω及び回転位相角θの推定精度が低下する。
このように、スロット高調波による影響は、スロット高調波の周波数が高周波電圧vdhの周波数に近いほど大きくなる。本実施形態に係る制御装置2は、スロット高調波の影響が大きい場合と小さい場合とで制御方式を切替えるため、速度ω及び回転位相角θを精度よく推定することができる。
なお、本実施形態では、2種類の方法で速度ω及び回転位相角θを推定したが、3種類以上の方法で推定してもよい。この場合、例えば、比αと比較する閾値βを複数設定し、比較結果に応じて推定方法を選択すればよい。
また、本実施形態では、PLL制御によって推定速度ωest及び推定回転位相角θestを算出したが、直接的に推定速度ωest及び推定回転位相角θestを算出する方法を用いてもよい。
さらに、本実施形態では、電圧指令vdcに高周波電圧vdhを重畳したが、電圧指令vqcや、電圧指令vdc,vqcの両方に、高周波電圧を重畳してもよい。電圧指令vqcに高周波電圧vqhを重畳しても、高周波電圧vqhを利用した周知の方法で位相角の誤差を算出することができる。また、本実施形態では、電圧指令vdcに高周波電圧vdhを重畳したが、上述の通り、電流指令に高周波電流を重畳して、同期機1に印加される電圧(インバータ21の出力電圧)に基づいて位相角の誤差を算出してもよい。
(第2実施形態)
第2実施形態に係るシステムについて、図20〜図26を参照して説明する。図20は、本実施形態に係るシステムの構成を示す図である。本実施形態に係る制御装置2は、制御方式を切替えず、高周波電圧vdhを利用する制御方式を用いて、同期機1をセンサレスで制御する。このため、図20に示すように、この制御装置2は、電圧検出器27や制御方式切替部30を備えない。
そして、この制御装置2は、制御方式を切替えるかわりに、高周波電圧vdhの振幅や周波数を変化させる。ここで、図21は、本実施形態に係る制御装置2の高周波重畳部28の構成を示す図である。図21に示すように、高周波重畳部28は、スロット高調波周波数算出部43と、高周波電圧周波数決定部44と、高周波電圧振幅決定部45と、高周波電圧算出部31と、を備える。
スロット高調波周波数算出部43(以下、「算出部43」という)は、スロット高調波の周波数を算出し、高周波電圧周波数決定部44及び高周波電圧振幅決定部45に入力する。算出部43は、スロット高調波の周波数として、推定角周波数ωslot_estを算出してもよいし、周波数fslot(=ωslot_est/2π)を算出してもよい。推定角周波数ωslot_estは、推定速度ωestから式(10)により算出することができる。以下では、算出部43は、周波数fslotを算出するものとする。
高周波電圧周波数決定部44(以下、「周波数決定部44」という)は、算出部43から入力されたスロット高調波の周波数fslotに基づいて、高周波電圧vdhの周波数fdhを決定する。周波数決定部44は、周波数fslotに応じて周波数fdhを変化させ、周波数fslotと周波数fdhとの差が所定値以上となるように、周波数fdhを決定する。周波数決定部44が決定した周波数fdhは、高周波電圧算出部31に入力される。
なお、本実施形態において、推定部29のバンドパスフィルタ37は、周波数決定部44が決定した周波数fdhが通過可能なように、カットオフ周波数が可変であるのが好ましい。
高周波電圧振幅決定部45(以下、「振幅決定部45」という)は、算出部43から入力されたスロット高調波の周波数fslotに基づいて、高周波電圧vdhの振幅Vdhを決定する。振幅決定部45は、周波数fslotに応じて振幅Vdhを変化させ、周波数fslotと周波数fdhとの差が小さい程、振幅Vdhを大きくする。振幅決定部45が決定した振幅Vdhは、高周波電圧算出部31に入力される。
高周波電圧算出部31は、vdh=Vdh×sin(2fdh×t)を計算し、高周波電圧vdhを出力する。高周波電圧算出部31が出力した高周波電圧vdhは、電圧指令vdcに重畳され、座標変換部25に入力される。
上述の通り、スロット高調波の周波数fslotと高周波電圧vdhの周波数fdhとが近い場合、スロット高調波の影響により、速度ω及び回転位相角θの推定精度が低下する。しかしながら、本実施形態に係る制御装置2は、周波数fslotと周波数fdhとの差が所定値以上となるように、高周波電圧vdhの周波数fdhを変化させる。これにより、スロット高調波の影響を抑制し、速度ω及び回転位相角θを精度よく推定することができる。
また、制御装置2は、周波数fdhと周波数vdhとが近いほど、高周波電圧vdhの振幅Vdhを大きくする。式(8)からわかるように、高周波電圧vdhが大きいほど、スロット高調波により誤差が生じる振幅ipc′_p−pの影響が、相対的に小さくなる。したがって、スロット高調波の影響を相対的に小さくし、速度ω及び回転位相角θの推定精度を向上させることができる。
なお、本実施形態において、高周波重畳部28は、振幅Vdhを一定とし、周波数fdhのみを変化させてもよい。周波数fdhは、例えば、図22に示すように、段階的に変化させてもよいし、図23に示すように、連続的に変化させてもよい。
また、高周波重畳部28は、周波数fdhを一定とし、振幅Vdhのみを変化させてもよい。振幅Vdhは、例えば、図24に示すように、段階的に変化させてもよいし、図25に示すように、連続的に変化させてもよい。
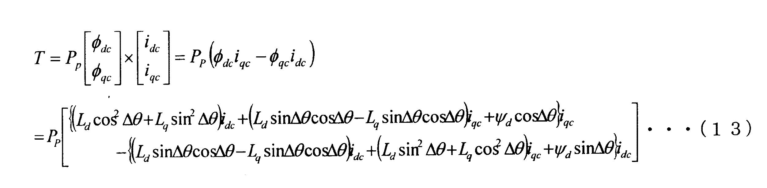
さらに、高周波重畳部28は、図26に示すように、周波数fdh及び振幅Vdhの両方を変化させてもよい。これにより、同期機1のトルクリプルを低減し、駆動効率を向上することができる。理由は、以下の通りである。
一般に、周波数fdhには、上限値(キャリア周波数)が存在する。このため、スロット高調波の周波数fslotが高い場合、周波数fslotより所定値以上大きい周波数fdhを設定できない可能性がある。十分に大きな周波数fdhを設定できない場合、バンドパスフィルタ37によりスロット高調波に応じた電流iqsをカットできなくなり、推定回転位相角θestにリプルが発生する。そして、同期機1には、トルクリプル(トルク変動)が発生する。同期機1のトルクリプルTは以下の式で表される。
Figure 0006422796
式(13)からわかるように、誤差Δθが大きいほど、トルクリプルTは大きくなる。図22及び図23のように、周波数fdhだけを変化させる場合、上記の理由から、同期機1のトルクリプルTが増大する恐れがある。周波数fdhを大きくすると、バンドパスフィルタ37の設計が困難になるという問題もある。さらに、振幅Vdhが大きいほど、鉄損や高周波電流iqc′による銅損が増大し、同期機1の駆動効率が低下する。
これに対して、周波数fdh及び振幅Vdhの両方を変化させた場合、いずれか一方だけを変化させる場合と比べて、周波数fdh及び振幅Vdhのそれぞれの変化量を小さくできる。したがって、上記のようなトルクリプルの増大や駆動効率の低下を抑制することができる。
なお、周波数fdh及び振幅Vdhの決定方法は、任意である。周波数fdh及び振幅Vdhは、予めテーブルに設定されていてもよいし、トルクリプルや損失が最小となる値が計算されてもよいし、インダクタンスの飽和に応じて変更されてもよい。
1:同期機、2:同期機制御装置、21:インバータ、22:電流検出器、23:座標変換部、24:電圧指令生成部、25:座標変換部、26:変調部、27:電圧検出器、28:高周波重畳部、29:速度・回転位相角推定部、30:制御方式切替部、31:高周波電圧算出部、32:第1誤差推定部、33:第2誤差推定部、34:PLL制御部、35:積分器、36:振幅検出部、37:バンドパスフィルタ、38:FFT解析部、39座標変換部、40:高調波観測部、41:インダクタンス分布近似算出部、42:Δθ2算出部、43:スロット高調波周波数算出部、44:高周波電圧周波数決定部、45:高周波電圧振幅決定部、101:固定子、102:回転子、103:突極、104:スロット

Claims (9)

  1. 同期機を駆動するインバータと、
    電流指令及び前記インバータの出力電流に基づいて電圧指令を生成する電圧指令生成部と、
    前記電流指令又は前記電圧指令に所定の高周波信号を重畳可能な高周波重畳部と、
    前記同期機の推定回転位相角を算出する推定部と、
    を備え、
    前記高周波重畳部は、スロット高調波の周波数と、前記高周波信号の周波数と、のずれが所定値以上のとき、前記高周波信号を重畳し、前記所定値未満のとき、前記高周波信号を重畳しない
    同期機制御装置。
  2. 前記推定部は、前記スロット高調波の周波数と、前記高周波信号の周波数と、のずれが所定値以上のとき、前記インバータの前記出力電流の高周波成分に基づいて前記推定回転位相角を算出する
    請求項1に記載の同期機制御装置。
  3. 前記推定部は、スロット高調波の周波数と、前記高周波信号の周波数と、のずれが所定値未満のとき、PWM高調波、磁石磁束、及びインダクタンスの少なくとも1つに基づいて前記推定回転位相角を算出する
    請求項1又は請求項2に記載の同期機制御装置。
  4. 同期機を駆動するインバータと、
    電流指令及び前記インバータの出力電流に基づいて電圧指令を生成する電圧指令生成部と、
    前記電流指令又は前記電圧指令に高周波信号を重畳する高周波重畳部と、
    前記インバータの前記出力電流の高周波成分に基づいて前記同期機の推定回転位相角を算出する推定部と、
    を備え、
    前記高周波重畳部は、スロット高調波の周波数に応じて、前記高周波信号の周波数及び振幅の少なくとも一方を変化させる
    同期機制御装置。
  5. 前記高周波重畳部は、前記スロット高調波の周波数と、前記高周波信号の周波数と、前記スロット高調波の周波数と、のずれが所定値以上となるように、前記高周波信号の周波数を変化させる
    請求項4に記載の同期機制御装置。
  6. 前記高周波重畳部は、前記高周波信号の周波数と、前記スロット高調波の周波数と、のずれが小さいほど、前記高周波信号の振幅を大きくする
    請求項4又は請求項5に記載の同期機制御装置。
  7. 前記同期機は、シンクロナスリラクタンスモータ又は永久磁石同期機である
    請求項1乃至請求項6のいずれか1項に記載の同期機制御装置。
  8. 同期機と、
    前記同期機を駆動するインバータと、
    電流指令及び前記インバータの出力電流に基づいて電圧指令を生成する電圧指令生成部と、
    前記電流指令又は前記電圧指令に所定の高周波信号を重畳可能な高周波重畳部と、
    前記同期機の推定回転位相角を算出する推定部と、
    を備え、
    前記高周波重畳部は、スロット高調波の周波数と、前記高周波信号の周波数と、のずれが所定値以上のとき、前記高周波信号を重畳し、前記所定値未満のとき、前記高周波信号を重畳しない
    同期機駆動システム。
  9. 同期機と、
    前記同期機を駆動するインバータと、
    電流指令及び前記インバータの出力電流に基づいて電圧指令を生成する電圧指令生成部と、
    前記電流指令及び前記電圧指令に高周波信号を重畳する高周波重畳部と、
    前記インバータの前記出力電流の高周波成分に基づいて前記同期機の推定回転位相角を算出する推定部と、
    を備え、
    前記高周波重畳部は、スロット高調波の周波数に応じて、前記高周波信号の周波数及び振幅の少なくとも一方を変化させる
    同期機駆動システム。
JP2015043484A 2015-03-05 2015-03-05 同期機制御装置及び駆動システム Active JP6422796B2 (ja)

Priority Applications (1)

Application Number Priority Date Filing Date Title
JP2015043484A JP6422796B2 (ja) 2015-03-05 2015-03-05 同期機制御装置及び駆動システム

Applications Claiming Priority (1)

Application Number Priority Date Filing Date Title
JP2015043484A JP6422796B2 (ja) 2015-03-05 2015-03-05 同期機制御装置及び駆動システム

Publications (2)

Publication Number Publication Date
JP2016163515A JP2016163515A (ja) 2016-09-05
JP6422796B2 true JP6422796B2 (ja) 2018-11-14

Family

ID=56847510

Family Applications (1)

Application Number Title Priority Date Filing Date
JP2015043484A Active JP6422796B2 (ja) 2015-03-05 2015-03-05 同期機制御装置及び駆動システム

Country Status (1)

Country Link
JP (1) JP6422796B2 (ja)

Families Citing this family (3)

* Cited by examiner, † Cited by third party
Publication number Priority date Publication date Assignee Title
JP7722060B2 (ja) * 2021-08-31 2025-08-13 株式会社富士通ゼネラル モータ制御装置
JP2023151138A (ja) * 2022-03-31 2023-10-16 株式会社富士通ゼネラル モータ制御装置
WO2024053008A1 (ja) * 2022-09-07 2024-03-14 三菱電機株式会社 モータ駆動装置

Family Cites Families (6)

* Cited by examiner, † Cited by third party
Publication number Priority date Publication date Assignee Title
JP3719910B2 (ja) * 2000-05-30 2005-11-24 株式会社東芝 モータ制御装置
JP2004343833A (ja) * 2003-05-13 2004-12-02 Toshiba Corp モータ制御装置
JP4592385B2 (ja) * 2004-10-27 2010-12-01 株式会社東芝 同期機の制御装置
JP5238241B2 (ja) * 2007-12-21 2013-07-17 株式会社東芝 同期電動機の制御装置
JP2011172324A (ja) * 2010-02-16 2011-09-01 Toshiba Corp インバータ制御装置
JP6261889B2 (ja) * 2013-06-24 2018-01-17 株式会社東芝 回転センサレス制御装置、回転センサレス制御装置の制御方法及び制御プログラム

Also Published As

Publication number Publication date
JP2016163515A (ja) 2016-09-05

Similar Documents

Publication Publication Date Title
US20170264227A1 (en) Inverter control device and motor drive system
JP4674525B2 (ja) 磁極位置推定方法及びモータ制御装置
US8350507B2 (en) Controller of rotary electric machine
US8610388B2 (en) Control apparatus and control method for electric rotating machine
US9742333B2 (en) Motor control device
JP5324159B2 (ja) モータ制御装置
JP4059039B2 (ja) 同期電動機の制御装置
US9048778B2 (en) Rotor phase/speed estimating device for an AC motor
CN101485079B (zh) 同步机的无传感器控制装置
TWI654827B (zh) 換流器控制裝置及馬達驅動系統
KR102409792B1 (ko) 영구 자석 동기 전동기의 제어 장치, 마이크로 컴퓨터, 전동기 시스템 및 영구 자석 동기 전동기의 운전 방법
JP5543388B2 (ja) 永久磁石同期電動機の制御装置
KR20030010480A (ko) 전동기제어장치
CN103595326A (zh) 电机控制装置和电机控制方法
CN103166559B (zh) 控制装置
KR20080071055A (ko) 교류 회전기의 제어 장치 및 이 제어 장치를 사용한 교류회전기의 전기적 정수 측정 방법
JP6422796B2 (ja) 同期機制御装置及び駆動システム
US11309817B2 (en) Control device of rotating machine, and control device of electric vehicle
JP5798513B2 (ja) 永久磁石同期電動機の初期磁極位置の検出方法および装置、並びに永久磁石同期電動機の制御装置
JP2008206330A (ja) 同期電動機の磁極位置推定装置および磁極位置推定方法
EP4572128A1 (en) Drive device for permanent magnet synchronous motor, and control device
CN110785923A (zh) 电机控制装置和电机控制方法
WO2017199334A1 (ja) 同期回転機の制御装置および同期回転機の制御方法

Legal Events

Date Code Title Description
A711 Notification of change in applicant

Free format text: JAPANESE INTERMEDIATE CODE: A712

Effective date: 20170901

A711 Notification of change in applicant

Free format text: JAPANESE INTERMEDIATE CODE: A711

Effective date: 20170904

A621 Written request for application examination

Free format text: JAPANESE INTERMEDIATE CODE: A621

Effective date: 20171110

A977 Report on retrieval

Free format text: JAPANESE INTERMEDIATE CODE: A971007

Effective date: 20180910

TRDD Decision of grant or rejection written
A01 Written decision to grant a patent or to grant a registration (utility model)

Free format text: JAPANESE INTERMEDIATE CODE: A01

Effective date: 20180918

A61 First payment of annual fees (during grant procedure)

Free format text: JAPANESE INTERMEDIATE CODE: A61

Effective date: 20181017

R150 Certificate of patent or registration of utility model

Ref document number: 6422796

Country of ref document: JP

Free format text: JAPANESE INTERMEDIATE CODE: R150

S111 Request for change of ownership or part of ownership

Free format text: JAPANESE INTERMEDIATE CODE: R313115

R350 Written notification of registration of transfer

Free format text: JAPANESE INTERMEDIATE CODE: R350