JP5256397B2 - 吸水撥油性防汚加工剤、該防汚加工剤で処理された繊維又は繊維製品及びその製造方法並びにスプレー容器 - Google Patents
吸水撥油性防汚加工剤、該防汚加工剤で処理された繊維又は繊維製品及びその製造方法並びにスプレー容器 Download PDFInfo
- Publication number
- JP5256397B2 JP5256397B2 JP2001301604A JP2001301604A JP5256397B2 JP 5256397 B2 JP5256397 B2 JP 5256397B2 JP 2001301604 A JP2001301604 A JP 2001301604A JP 2001301604 A JP2001301604 A JP 2001301604A JP 5256397 B2 JP5256397 B2 JP 5256397B2
- Authority
- JP
- Japan
- Prior art keywords
- group
- antifouling agent
- general formula
- water
- weight
- Prior art date
- Legal status (The legal status is an assumption and is not a legal conclusion. Google has not performed a legal analysis and makes no representation as to the accuracy of the status listed.)
- Expired - Lifetime
Links
- 239000000835 fiber Substances 0.000 title claims description 78
- 239000002519 antifouling agent Substances 0.000 title claims description 71
- 239000005871 repellent Substances 0.000 title claims description 31
- 239000007921 spray Substances 0.000 title claims description 14
- 238000004519 manufacturing process Methods 0.000 title claims description 5
- -1 acrylate compound Chemical class 0.000 claims description 52
- XLYOFNOQVPJJNP-UHFFFAOYSA-N water Substances O XLYOFNOQVPJJNP-UHFFFAOYSA-N 0.000 claims description 42
- 239000006185 dispersion Substances 0.000 claims description 41
- 150000001875 compounds Chemical class 0.000 claims description 40
- 238000000034 method Methods 0.000 claims description 19
- 125000004435 hydrogen atom Chemical group [H]* 0.000 claims description 18
- 125000004169 (C1-C6) alkyl group Chemical group 0.000 claims description 17
- 239000007787 solid Substances 0.000 claims description 17
- 238000001035 drying Methods 0.000 claims description 13
- 125000003161 (C1-C6) alkylene group Chemical group 0.000 claims description 11
- 238000010438 heat treatment Methods 0.000 claims description 11
- 125000002496 methyl group Chemical group [H]C([H])([H])* 0.000 claims description 11
- XEEYBQQBJWHFJM-UHFFFAOYSA-N Iron Chemical compound [Fe] XEEYBQQBJWHFJM-UHFFFAOYSA-N 0.000 claims description 8
- 125000000217 alkyl group Chemical group 0.000 claims description 8
- 150000002500 ions Chemical class 0.000 claims description 8
- 125000005010 perfluoroalkyl group Chemical group 0.000 claims description 8
- 229910052698 phosphorus Inorganic materials 0.000 claims description 8
- 230000002940 repellent Effects 0.000 claims description 8
- 229920001897 terpolymer Polymers 0.000 claims description 8
- 125000000962 organic group Chemical group 0.000 claims description 7
- 125000001997 phenyl group Chemical group [H]C1=C([H])C([H])=C(*)C([H])=C1[H] 0.000 claims description 7
- 239000000126 substance Substances 0.000 claims description 7
- OAICVXFJPJFONN-UHFFFAOYSA-N Phosphorus Chemical compound [P] OAICVXFJPJFONN-UHFFFAOYSA-N 0.000 claims description 6
- 239000011574 phosphorus Substances 0.000 claims description 6
- 230000000379 polymerizing effect Effects 0.000 claims description 5
- 229910001413 alkali metal ion Inorganic materials 0.000 claims description 3
- 239000003795 chemical substances by application Substances 0.000 claims description 3
- 125000000816 ethylene group Chemical group [H]C([H])([*:1])C([H])([H])[*:2] 0.000 claims description 3
- 229910052757 nitrogen Inorganic materials 0.000 claims description 3
- QGZKDVFQNNGYKY-UHFFFAOYSA-O Ammonium Chemical compound [NH4+] QGZKDVFQNNGYKY-UHFFFAOYSA-O 0.000 claims description 2
- 125000003055 glycidyl group Chemical group C(C1CO1)* 0.000 claims description 2
- 125000002560 nitrile group Chemical group 0.000 claims description 2
- 125000004433 nitrogen atom Chemical group N* 0.000 claims description 2
- 125000004437 phosphorous atom Chemical group 0.000 claims description 2
- 229920006395 saturated elastomer Polymers 0.000 claims description 2
- 230000002265 prevention Effects 0.000 claims 1
- 239000004744 fabric Substances 0.000 description 34
- 239000000047 product Substances 0.000 description 29
- 238000005406 washing Methods 0.000 description 24
- 238000006116 polymerization reaction Methods 0.000 description 22
- 229920000742 Cotton Polymers 0.000 description 21
- 239000003921 oil Substances 0.000 description 18
- 239000000203 mixture Substances 0.000 description 14
- KFZMGEQAYNKOFK-UHFFFAOYSA-N Isopropanol Chemical compound CC(C)O KFZMGEQAYNKOFK-UHFFFAOYSA-N 0.000 description 13
- MTHSVFCYNBDYFN-UHFFFAOYSA-N diethylene glycol Chemical compound OCCOCCO MTHSVFCYNBDYFN-UHFFFAOYSA-N 0.000 description 12
- LFQSCWFLJHTTHZ-UHFFFAOYSA-N Ethanol Chemical compound CCO LFQSCWFLJHTTHZ-UHFFFAOYSA-N 0.000 description 11
- 235000019441 ethanol Nutrition 0.000 description 11
- 238000010521 absorption reaction Methods 0.000 description 10
- 230000003373 anti-fouling effect Effects 0.000 description 10
- 239000003960 organic solvent Substances 0.000 description 10
- 210000002374 sebum Anatomy 0.000 description 10
- 150000001252 acrylic acid derivatives Chemical class 0.000 description 9
- 125000002947 alkylene group Chemical group 0.000 description 9
- 239000012736 aqueous medium Substances 0.000 description 8
- 150000005846 sugar alcohols Polymers 0.000 description 8
- 239000007788 liquid Substances 0.000 description 7
- 229920000642 polymer Polymers 0.000 description 7
- LYCAIKOWRPUZTN-UHFFFAOYSA-N Ethylene glycol Chemical compound OCCO LYCAIKOWRPUZTN-UHFFFAOYSA-N 0.000 description 6
- OKKJLVBELUTLKV-UHFFFAOYSA-N Methanol Chemical compound OC OKKJLVBELUTLKV-UHFFFAOYSA-N 0.000 description 6
- DNIAPMSPPWPWGF-UHFFFAOYSA-N Propylene glycol Chemical compound CC(O)CO DNIAPMSPPWPWGF-UHFFFAOYSA-N 0.000 description 6
- 238000006243 chemical reaction Methods 0.000 description 6
- 239000007795 chemical reaction product Substances 0.000 description 6
- 230000000052 comparative effect Effects 0.000 description 6
- 238000002156 mixing Methods 0.000 description 6
- DLYUQMMRRRQYAE-UHFFFAOYSA-N tetraphosphorus decaoxide Chemical compound O1P(O2)(=O)OP3(=O)OP1(=O)OP2(=O)O3 DLYUQMMRRRQYAE-UHFFFAOYSA-N 0.000 description 6
- 150000001732 carboxylic acid derivatives Chemical class 0.000 description 5
- BDLXTDLGTWNUFM-UHFFFAOYSA-N 2-[(2-methylpropan-2-yl)oxy]ethanol Chemical compound CC(C)(C)OCCO BDLXTDLGTWNUFM-UHFFFAOYSA-N 0.000 description 4
- QGZKDVFQNNGYKY-UHFFFAOYSA-N Ammonia Chemical compound N QGZKDVFQNNGYKY-UHFFFAOYSA-N 0.000 description 4
- PEDCQBHIVMGVHV-UHFFFAOYSA-N Glycerine Chemical compound OCC(O)CO PEDCQBHIVMGVHV-UHFFFAOYSA-N 0.000 description 4
- NBIIXXVUZAFLBC-UHFFFAOYSA-N Phosphoric acid Chemical compound OP(O)(O)=O NBIIXXVUZAFLBC-UHFFFAOYSA-N 0.000 description 4
- 150000001298 alcohols Chemical class 0.000 description 4
- 125000005907 alkyl ester group Chemical group 0.000 description 4
- 150000005215 alkyl ethers Chemical class 0.000 description 4
- 150000001408 amides Chemical class 0.000 description 4
- 239000003599 detergent Substances 0.000 description 4
- 230000000694 effects Effects 0.000 description 4
- KZCOBXFFBQJQHH-UHFFFAOYSA-N octane-1-thiol Chemical compound CCCCCCCCS KZCOBXFFBQJQHH-UHFFFAOYSA-N 0.000 description 4
- 229920000728 polyester Polymers 0.000 description 4
- 239000003505 polymerization initiator Substances 0.000 description 4
- BDERNNFJNOPAEC-UHFFFAOYSA-N propan-1-ol Chemical compound CCCO BDERNNFJNOPAEC-UHFFFAOYSA-N 0.000 description 4
- 239000000243 solution Substances 0.000 description 4
- 239000012209 synthetic fiber Substances 0.000 description 4
- 229920002994 synthetic fiber Polymers 0.000 description 4
- 239000004753 textile Substances 0.000 description 4
- VHUUQVKOLVNVRT-UHFFFAOYSA-N Ammonium hydroxide Chemical compound [NH4+].[OH-] VHUUQVKOLVNVRT-UHFFFAOYSA-N 0.000 description 3
- 125000004432 carbon atom Chemical group C* 0.000 description 3
- 229920001577 copolymer Polymers 0.000 description 3
- 238000007654 immersion Methods 0.000 description 3
- 229910052742 iron Inorganic materials 0.000 description 3
- 238000010526 radical polymerization reaction Methods 0.000 description 3
- 238000007717 redox polymerization reaction Methods 0.000 description 3
- 239000002689 soil Substances 0.000 description 3
- 239000002904 solvent Substances 0.000 description 3
- 238000003756 stirring Methods 0.000 description 3
- 239000012085 test solution Substances 0.000 description 3
- JOLQKTGDSGKSKJ-UHFFFAOYSA-N 1-ethoxypropan-2-ol Chemical compound CCOCC(C)O JOLQKTGDSGKSKJ-UHFFFAOYSA-N 0.000 description 2
- ARXJGSRGQADJSQ-UHFFFAOYSA-N 1-methoxypropan-2-ol Chemical compound COCC(C)O ARXJGSRGQADJSQ-UHFFFAOYSA-N 0.000 description 2
- XNWFRZJHXBZDAG-UHFFFAOYSA-N 2-METHOXYETHANOL Chemical compound COCCO XNWFRZJHXBZDAG-UHFFFAOYSA-N 0.000 description 2
- POAOYUHQDCAZBD-UHFFFAOYSA-N 2-butoxyethanol Chemical compound CCCCOCCO POAOYUHQDCAZBD-UHFFFAOYSA-N 0.000 description 2
- ZNQVEEAIQZEUHB-UHFFFAOYSA-N 2-ethoxyethanol Chemical compound CCOCCO ZNQVEEAIQZEUHB-UHFFFAOYSA-N 0.000 description 2
- 125000000094 2-phenylethyl group Chemical group [H]C1=C([H])C([H])=C(C([H])=C1[H])C([H])([H])C([H])([H])* 0.000 description 2
- QCAHUFWKIQLBNB-UHFFFAOYSA-N 3-(3-methoxypropoxy)propan-1-ol Chemical compound COCCCOCCCO QCAHUFWKIQLBNB-UHFFFAOYSA-N 0.000 description 2
- NLHHRLWOUZZQLW-UHFFFAOYSA-N Acrylonitrile Chemical compound C=CC#N NLHHRLWOUZZQLW-UHFFFAOYSA-N 0.000 description 2
- LSNNMFCWUKXFEE-UHFFFAOYSA-M Bisulfite Chemical compound OS([O-])=O LSNNMFCWUKXFEE-UHFFFAOYSA-M 0.000 description 2
- LCGLNKUTAGEVQW-UHFFFAOYSA-N Dimethyl ether Chemical compound COC LCGLNKUTAGEVQW-UHFFFAOYSA-N 0.000 description 2
- HBBGRARXTFLTSG-UHFFFAOYSA-N Lithium ion Chemical compound [Li+] HBBGRARXTFLTSG-UHFFFAOYSA-N 0.000 description 2
- BAPJBEWLBFYGME-UHFFFAOYSA-N Methyl acrylate Chemical compound COC(=O)C=C BAPJBEWLBFYGME-UHFFFAOYSA-N 0.000 description 2
- CNCOEDDPFOAUMB-UHFFFAOYSA-N N-Methylolacrylamide Chemical compound OCNC(=O)C=C CNCOEDDPFOAUMB-UHFFFAOYSA-N 0.000 description 2
- NPYPAHLBTDXSSS-UHFFFAOYSA-N Potassium ion Chemical compound [K+] NPYPAHLBTDXSSS-UHFFFAOYSA-N 0.000 description 2
- FKNQFGJONOIPTF-UHFFFAOYSA-N Sodium cation Chemical compound [Na+] FKNQFGJONOIPTF-UHFFFAOYSA-N 0.000 description 2
- JABXMSSGPHGCII-UHFFFAOYSA-N acetic acid;propane-1,2-diol Chemical compound CC(O)=O.CC(O)CO JABXMSSGPHGCII-UHFFFAOYSA-N 0.000 description 2
- 229910000147 aluminium phosphate Inorganic materials 0.000 description 2
- ROOXNKNUYICQNP-UHFFFAOYSA-N ammonium persulfate Chemical compound [NH4+].[NH4+].[O-]S(=O)(=O)OOS([O-])(=O)=O ROOXNKNUYICQNP-UHFFFAOYSA-N 0.000 description 2
- BQMNFPBUAQPINY-UHFFFAOYSA-N azane;2-methyl-2-(prop-2-enoylamino)propane-1-sulfonic acid Chemical compound [NH4+].[O-]S(=O)(=O)CC(C)(C)NC(=O)C=C BQMNFPBUAQPINY-UHFFFAOYSA-N 0.000 description 2
- 239000012295 chemical reaction liquid Substances 0.000 description 2
- 238000000576 coating method Methods 0.000 description 2
- 238000007334 copolymerization reaction Methods 0.000 description 2
- 238000007598 dipping method Methods 0.000 description 2
- SZXQTJUDPRGNJN-UHFFFAOYSA-N dipropylene glycol Chemical compound OCCCOCCCO SZXQTJUDPRGNJN-UHFFFAOYSA-N 0.000 description 2
- 238000001704 evaporation Methods 0.000 description 2
- 230000008020 evaporation Effects 0.000 description 2
- 230000005251 gamma ray Effects 0.000 description 2
- 239000011521 glass Substances 0.000 description 2
- 235000011187 glycerol Nutrition 0.000 description 2
- 238000007602 hot air drying Methods 0.000 description 2
- 125000002887 hydroxy group Chemical group [H]O* 0.000 description 2
- 230000001771 impaired effect Effects 0.000 description 2
- 230000005865 ionizing radiation Effects 0.000 description 2
- 230000001678 irradiating effect Effects 0.000 description 2
- 238000002955 isolation Methods 0.000 description 2
- 229910001416 lithium ion Inorganic materials 0.000 description 2
- PJUIMOJAAPLTRJ-UHFFFAOYSA-N monothioglycerol Chemical compound OCC(O)CS PJUIMOJAAPLTRJ-UHFFFAOYSA-N 0.000 description 2
- 150000001451 organic peroxides Chemical class 0.000 description 2
- JRKICGRDRMAZLK-UHFFFAOYSA-L peroxydisulfate Chemical compound [O-]S(=O)(=O)OOS([O-])(=O)=O JRKICGRDRMAZLK-UHFFFAOYSA-L 0.000 description 2
- 229910001414 potassium ion Inorganic materials 0.000 description 2
- 230000035484 reaction time Effects 0.000 description 2
- 150000003839 salts Chemical class 0.000 description 2
- 229910001415 sodium ion Inorganic materials 0.000 description 2
- BWYYYTVSBPRQCN-UHFFFAOYSA-M sodium;ethenesulfonate Chemical compound [Na+].[O-]S(=O)(=O)C=C BWYYYTVSBPRQCN-UHFFFAOYSA-M 0.000 description 2
- 229920006027 ternary co-polymer Polymers 0.000 description 2
- 229940035024 thioglycerol Drugs 0.000 description 2
- 125000004343 1-phenylethyl group Chemical group [H]C1=C([H])C([H])=C(C([H])=C1[H])C([H])(*)C([H])([H])[H] 0.000 description 1
- 125000000579 2,2-diphenylethyl group Chemical group [H]C1=C([H])C([H])=C(C([H])=C1[H])C([H])(C1=C([H])C([H])=C([H])C([H])=C1[H])C([H])([H])* 0.000 description 1
- SMZOUWXMTYCWNB-UHFFFAOYSA-N 2-(2-methoxy-5-methylphenyl)ethanamine Chemical compound COC1=CC=C(C)C=C1CCN SMZOUWXMTYCWNB-UHFFFAOYSA-N 0.000 description 1
- XHZPRMZZQOIPDS-UHFFFAOYSA-N 2-Methyl-2-[(1-oxo-2-propenyl)amino]-1-propanesulfonic acid Chemical compound OS(=O)(=O)CC(C)(C)NC(=O)C=C XHZPRMZZQOIPDS-UHFFFAOYSA-N 0.000 description 1
- NIXOWILDQLNWCW-UHFFFAOYSA-N 2-Propenoic acid Natural products OC(=O)C=C NIXOWILDQLNWCW-UHFFFAOYSA-N 0.000 description 1
- ONIKNECPXCLUHT-UHFFFAOYSA-N 2-chlorobenzoyl chloride Chemical compound ClC(=O)C1=CC=CC=C1Cl ONIKNECPXCLUHT-UHFFFAOYSA-N 0.000 description 1
- OMIGHNLMNHATMP-UHFFFAOYSA-N 2-hydroxyethyl prop-2-enoate Chemical compound OCCOC(=O)C=C OMIGHNLMNHATMP-UHFFFAOYSA-N 0.000 description 1
- SEILKFZTLVMHRR-UHFFFAOYSA-N 2-phosphonooxyethyl 2-methylprop-2-enoate Chemical compound CC(=C)C(=O)OCCOP(O)(O)=O SEILKFZTLVMHRR-UHFFFAOYSA-N 0.000 description 1
- JHUFGBSGINLPOW-UHFFFAOYSA-N 3-chloro-4-(trifluoromethoxy)benzoyl cyanide Chemical compound FC(F)(F)OC1=CC=C(C(=O)C#N)C=C1Cl JHUFGBSGINLPOW-UHFFFAOYSA-N 0.000 description 1
- 125000006201 3-phenylpropyl group Chemical group [H]C1=C([H])C([H])=C(C([H])=C1[H])C([H])([H])C([H])([H])C([H])([H])* 0.000 description 1
- QTBSBXVTEAMEQO-UHFFFAOYSA-M Acetate Chemical compound CC([O-])=O QTBSBXVTEAMEQO-UHFFFAOYSA-M 0.000 description 1
- NIXOWILDQLNWCW-UHFFFAOYSA-M Acrylate Chemical compound [O-]C(=O)C=C NIXOWILDQLNWCW-UHFFFAOYSA-M 0.000 description 1
- 244000025254 Cannabis sativa Species 0.000 description 1
- 235000012766 Cannabis sativa ssp. sativa var. sativa Nutrition 0.000 description 1
- 235000012765 Cannabis sativa ssp. sativa var. spontanea Nutrition 0.000 description 1
- 229920002134 Carboxymethyl cellulose Polymers 0.000 description 1
- JIGUQPWFLRLWPJ-UHFFFAOYSA-N Ethyl acrylate Chemical compound CCOC(=O)C=C JIGUQPWFLRLWPJ-UHFFFAOYSA-N 0.000 description 1
- WOBHKFSMXKNTIM-UHFFFAOYSA-N Hydroxyethyl methacrylate Chemical compound CC(=C)C(=O)OCCO WOBHKFSMXKNTIM-UHFFFAOYSA-N 0.000 description 1
- CERQOIWHTDAKMF-UHFFFAOYSA-N Methacrylic acid Chemical compound CC(=C)C(O)=O CERQOIWHTDAKMF-UHFFFAOYSA-N 0.000 description 1
- VVQNEPGJFQJSBK-UHFFFAOYSA-N Methyl methacrylate Chemical compound COC(=O)C(C)=C VVQNEPGJFQJSBK-UHFFFAOYSA-N 0.000 description 1
- GYCMBHHDWRMZGG-UHFFFAOYSA-N Methylacrylonitrile Chemical compound CC(=C)C#N GYCMBHHDWRMZGG-UHFFFAOYSA-N 0.000 description 1
- WHNWPMSKXPGLAX-UHFFFAOYSA-N N-Vinyl-2-pyrrolidone Chemical compound C=CN1CCCC1=O WHNWPMSKXPGLAX-UHFFFAOYSA-N 0.000 description 1
- 239000004677 Nylon Substances 0.000 description 1
- 229920000297 Rayon Polymers 0.000 description 1
- DWAQJAXMDSEUJJ-UHFFFAOYSA-M Sodium bisulfite Chemical compound [Na+].OS([O-])=O DWAQJAXMDSEUJJ-UHFFFAOYSA-M 0.000 description 1
- XTXRWKRVRITETP-UHFFFAOYSA-N Vinyl acetate Chemical compound CC(=O)OC=C XTXRWKRVRITETP-UHFFFAOYSA-N 0.000 description 1
- LXEKPEMOWBOYRF-UHFFFAOYSA-N [2-[(1-azaniumyl-1-imino-2-methylpropan-2-yl)diazenyl]-2-methylpropanimidoyl]azanium;dichloride Chemical compound Cl.Cl.NC(=N)C(C)(C)N=NC(C)(C)C(N)=N LXEKPEMOWBOYRF-UHFFFAOYSA-N 0.000 description 1
- 239000006096 absorbing agent Substances 0.000 description 1
- 239000000654 additive Substances 0.000 description 1
- 238000007605 air drying Methods 0.000 description 1
- 125000005250 alkyl acrylate group Chemical group 0.000 description 1
- 150000001412 amines Chemical class 0.000 description 1
- 229910001870 ammonium persulfate Inorganic materials 0.000 description 1
- 150000003863 ammonium salts Chemical class 0.000 description 1
- 239000003429 antifungal agent Substances 0.000 description 1
- 229940121375 antifungal agent Drugs 0.000 description 1
- 239000002216 antistatic agent Substances 0.000 description 1
- 239000007864 aqueous solution Substances 0.000 description 1
- 239000012298 atmosphere Substances 0.000 description 1
- 235000015278 beef Nutrition 0.000 description 1
- 125000001797 benzyl group Chemical group [H]C1=C([H])C([H])=C(C([H])=C1[H])C([H])([H])* 0.000 description 1
- 125000000484 butyl group Chemical group [H]C([*])([H])C([H])([H])C([H])([H])C([H])([H])[H] 0.000 description 1
- 235000009120 camo Nutrition 0.000 description 1
- 125000003178 carboxy group Chemical group [H]OC(*)=O 0.000 description 1
- 239000001768 carboxy methyl cellulose Substances 0.000 description 1
- 235000010948 carboxy methyl cellulose Nutrition 0.000 description 1
- 239000008112 carboxymethyl-cellulose Substances 0.000 description 1
- 239000003054 catalyst Substances 0.000 description 1
- 239000003518 caustics Substances 0.000 description 1
- 235000005607 chanvre indien Nutrition 0.000 description 1
- 239000011248 coating agent Substances 0.000 description 1
- 238000013329 compounding Methods 0.000 description 1
- 239000003431 cross linking reagent Substances 0.000 description 1
- 230000018044 dehydration Effects 0.000 description 1
- 238000006297 dehydration reaction Methods 0.000 description 1
- 125000005982 diphenylmethyl group Chemical group [H]C1=C([H])C([H])=C(C([H])=C1[H])C([H])(*)C1=C([H])C([H])=C([H])C([H])=C1[H] 0.000 description 1
- 239000000975 dye Substances 0.000 description 1
- 229920001971 elastomer Polymers 0.000 description 1
- 125000005670 ethenylalkyl group Chemical group 0.000 description 1
- RTZKZFJDLAIYFH-UHFFFAOYSA-N ether Substances CCOCC RTZKZFJDLAIYFH-UHFFFAOYSA-N 0.000 description 1
- SUPCQIBBMFXVTL-UHFFFAOYSA-N ethyl 2-methylprop-2-enoate Chemical compound CCOC(=O)C(C)=C SUPCQIBBMFXVTL-UHFFFAOYSA-N 0.000 description 1
- 125000001495 ethyl group Chemical group [H]C([H])([H])C([H])([H])* 0.000 description 1
- 238000011049 filling Methods 0.000 description 1
- VOZRXNHHFUQHIL-UHFFFAOYSA-N glycidyl methacrylate Chemical compound CC(=C)C(=O)OCC1CO1 VOZRXNHHFUQHIL-UHFFFAOYSA-N 0.000 description 1
- 239000011487 hemp Substances 0.000 description 1
- 125000004836 hexamethylene group Chemical group [H]C([H])([*:2])C([H])([H])C([H])([H])C([H])([H])C([H])([H])C([H])([H])[*:1] 0.000 description 1
- 125000004051 hexyl group Chemical group [H]C([H])([H])C([H])([H])C([H])([H])C([H])([H])C([H])([H])C([H])([H])* 0.000 description 1
- 238000005470 impregnation Methods 0.000 description 1
- 239000012770 industrial material Substances 0.000 description 1
- 230000002401 inhibitory effect Effects 0.000 description 1
- 238000005342 ion exchange Methods 0.000 description 1
- 125000000959 isobutyl group Chemical group [H]C([H])([H])C([H])(C([H])([H])[H])C([H])([H])* 0.000 description 1
- 239000012948 isocyanate Substances 0.000 description 1
- 150000002513 isocyanates Chemical class 0.000 description 1
- 125000001449 isopropyl group Chemical group [H]C([H])([H])C([H])(*)C([H])([H])[H] 0.000 description 1
- 238000011068 loading method Methods 0.000 description 1
- 229910021645 metal ion Inorganic materials 0.000 description 1
- 125000001570 methylene group Chemical group [H]C([H])([*:1])[*:2] 0.000 description 1
- 239000000178 monomer Substances 0.000 description 1
- OMNKZBIFPJNNIO-UHFFFAOYSA-N n-(2-methyl-4-oxopentan-2-yl)prop-2-enamide Chemical compound CC(=O)CC(C)(C)NC(=O)C=C OMNKZBIFPJNNIO-UHFFFAOYSA-N 0.000 description 1
- IJGRMHOSHXDMSA-UHFFFAOYSA-N nitrogen Substances N#N IJGRMHOSHXDMSA-UHFFFAOYSA-N 0.000 description 1
- 239000012299 nitrogen atmosphere Substances 0.000 description 1
- QJGQUHMNIGDVPM-UHFFFAOYSA-N nitrogen group Chemical group [N] QJGQUHMNIGDVPM-UHFFFAOYSA-N 0.000 description 1
- 239000004745 nonwoven fabric Substances 0.000 description 1
- 229920001778 nylon Polymers 0.000 description 1
- RPQRDASANLAFCM-UHFFFAOYSA-N oxiran-2-ylmethyl prop-2-enoate Chemical compound C=CC(=O)OCC1CO1 RPQRDASANLAFCM-UHFFFAOYSA-N 0.000 description 1
- 239000000123 paper Substances 0.000 description 1
- 230000035515 penetration Effects 0.000 description 1
- 125000001147 pentyl group Chemical group C(CCCC)* 0.000 description 1
- PNJWIWWMYCMZRO-UHFFFAOYSA-N pent‐4‐en‐2‐one Natural products CC(=O)CC=C PNJWIWWMYCMZRO-UHFFFAOYSA-N 0.000 description 1
- 239000012466 permeate Substances 0.000 description 1
- 238000001556 precipitation Methods 0.000 description 1
- 125000001436 propyl group Chemical group [H]C([*])([H])C([H])([H])C([H])([H])[H] 0.000 description 1
- 239000002994 raw material Substances 0.000 description 1
- 239000002964 rayon Substances 0.000 description 1
- 239000011347 resin Substances 0.000 description 1
- 229920005989 resin Polymers 0.000 description 1
- 238000002791 soaking Methods 0.000 description 1
- 235000010267 sodium hydrogen sulphite Nutrition 0.000 description 1
- SZHIIIPPJJXYRY-UHFFFAOYSA-M sodium;2-methylprop-2-ene-1-sulfonate Chemical compound [Na+].CC(=C)CS([O-])(=O)=O SZHIIIPPJJXYRY-UHFFFAOYSA-M 0.000 description 1
- 238000005507 spraying Methods 0.000 description 1
- 239000003381 stabilizer Substances 0.000 description 1
- 238000006467 substitution reaction Methods 0.000 description 1
- 239000000725 suspension Substances 0.000 description 1
- 210000004243 sweat Anatomy 0.000 description 1
- 239000003760 tallow Substances 0.000 description 1
- 125000000999 tert-butyl group Chemical group [H]C([H])([H])C(*)(C([H])([H])[H])C([H])([H])[H] 0.000 description 1
- 210000002268 wool Anatomy 0.000 description 1
- 239000002759 woven fabric Substances 0.000 description 1
Landscapes
- Compositions Of Macromolecular Compounds (AREA)
- Treatments For Attaching Organic Compounds To Fibrous Goods (AREA)
Description
1.本発明は、(A)成分と(B)成分とを含有し、(A)成分及び(B)成分の含有割合が前者:後者=15〜90:10〜85(固形分重量比)である吸水撥油性防汚加工剤であって、(A)成分が、一段式(1)
で表される化合物であるか、
又は上記一般式(1)で表される化合物の水性分散液中で、該化合物100重量部当たり250重量部以下の(i)一般式(2)
で表されるアクリレート化合物又は(ii)15重量%以上の一般式(2)のアクリレート化合物と85重量%以下の一般式(3)
で表されるアクリレート化合物を重合させて得られる化合物であり、
(B)成分が、一般式(4)
で表されるアクリレート化合物35〜85重量%、一般式(5)
で表されるアクリレート化合物10〜60重量%及び一般式(6)
で表されるアクリレート化合物5〜50重量%からなる三元共重合体であることを特徴とする吸水撥油性防汚加工剤である。
2.本発明は、(A)成分が、一般式(1)で表される化合物の水性分散液中で、一般式(1)で表される化合物100重量部当たり250重量部以下のアクリレート化合物を重合させて化合物であって、該アクリレート化合物が(i) 一般式(2)で表されるアクリレート化合物又は(ii) 15重量%以上の一般式(2)のアクリレート化合物と85重量%以下の一般式(3)で表されるアクリレート化合物との混合物である、上記1に記載の吸水撥油性防汚加工剤である。
3.本発明は、水性分散液の形態にある上記1又は2に記載の吸水撥油性防汚加工剤。
4.本発明は、(A)成分及び(B)成分の総固形分濃度が0.1〜50重量%である上記1又は2に記載の吸水撥油性防汚加工剤である。
5.本発明は、繊維又は繊維製品へ上記1〜4のいずれかに記載の防汚加工剤を付着及び/又は含浸させ、乾燥後、加熱処理を行うことを特徴とする防汚加工剤で処理された繊維又は繊維製品の製造方法である。
6.本発明は、上記1〜4のいずれかに記載の吸水撥油性防汚加工剤で処理された繊維又は繊維製品である。
7.本発明は、上記5に記載の方法で製造される吸水撥油性防汚加工剤で処理された繊維又は繊維製品である。
8.本発明は、上記1〜4のいずれかに記載の吸水撥油性防汚加工剤を充填したスプレー容器である。
本発明の(A)成分は、下記に示す(A-1)又は(A-2)である。
(A-2) 上記一般式(1)で表される化合物の水性分散液中で、(i) 一般式(2)で表されるアクリレート化合物又は(ii) 一般式(2)のアクリレート化合物と一般式(3)で表されるアクリレート化合物との混合物を重合させて得られる化合物。
本発明の(B)成分は、一般式(4)で表されるアクリレート化合物35〜85重量%、一般式(5)で表されるアクリレート化合物10〜60重量%及び一般式(6)で表されるアクリレート化合物5〜50重量%から得られる三元共重合体である。この三元共重合体中の上記三成分の構成割合は、原料として使用されるモノマーの配合割合と同じである。これら3種のアクリレート化合物の含有割合が必須であり、本発明防汚加工剤の撥油性及び汚れ除去性を更に改善することができる。
CH2=C(CH3)COO(CH2CH2O)2H
CH2=CHCOO(CH2CH2O)H
CH2=CHCOO(CH2CH2O)2H
CH2=C(CH3)COO(CH2CH2O)CH3
CH2=C(CH3)COO(CH2CH2O)2CH3
CH2=CHCOO(CH2CH2O)CH3
CH2=CHCOO(CH2CH2O)2CH3
更に、重合性カルボン酸のアミドとしては、例えばN−メチロールアクリルアミド等を、重合性スルホン酸及びそのアミド又はこれらの塩としては、例えば2−アクリロイルアミノ−2−メチル−1−プロパンスルホン酸アンモニウム塩等を、水酸基含有重合性化合物としては、例えば2−ヒドロキシエチルアクリレート、2−ヒドロキシエチルメタクリレート等を、重合性のリン酸重合体としては、例えばモノ(2−メタクリロイルオキシエチル)アシッドホスフェート等を各々挙げることができる。
本発明の吸水撥油性防汚加工剤は、(A)成分及び(B)成分の他に、公知の吸水剤、撥油剤、帯電防止剤、染料安定剤、防皺剤等を含有することができる。
本発明の吸水撥油性防汚加工剤は、(A)成分及び(B)成分、更に必要に応じて各種添加剤を混合することにより製造される。混合は、公知の方法に従って行うことができる。
本発明防汚加工剤は、防汚加工すべき繊維又は繊維製品に付着又は含浸させて使用される。本発明防汚加工剤は、希釈することなくそのまま使用することもできるが、使用形態に応じて更に水、アルコール(例えばエチルアルコール、イソプロピルアルコール等)の水溶性有機溶媒等の溶媒で希釈して使用することができる。
本発明における繊維は、合成繊維、再生繊維及び天然繊維のいずれでもよい。
スプレー容器の形状は、特に限定がなく、公知のものでよい。例えば、代表的なものとして、トリガー式スプレーボトル、アトマイザー、霧吹き機、スプレー缶等を例示できる。
TBAS:2−アクリロイルアミノ−2−メチル−1−プロパンスルホン酸アンモニウム塩
SVS:ビニルスルホン酸ナトリウム
一般式(3)のアクリレート化合物として、下記のものを使用した。
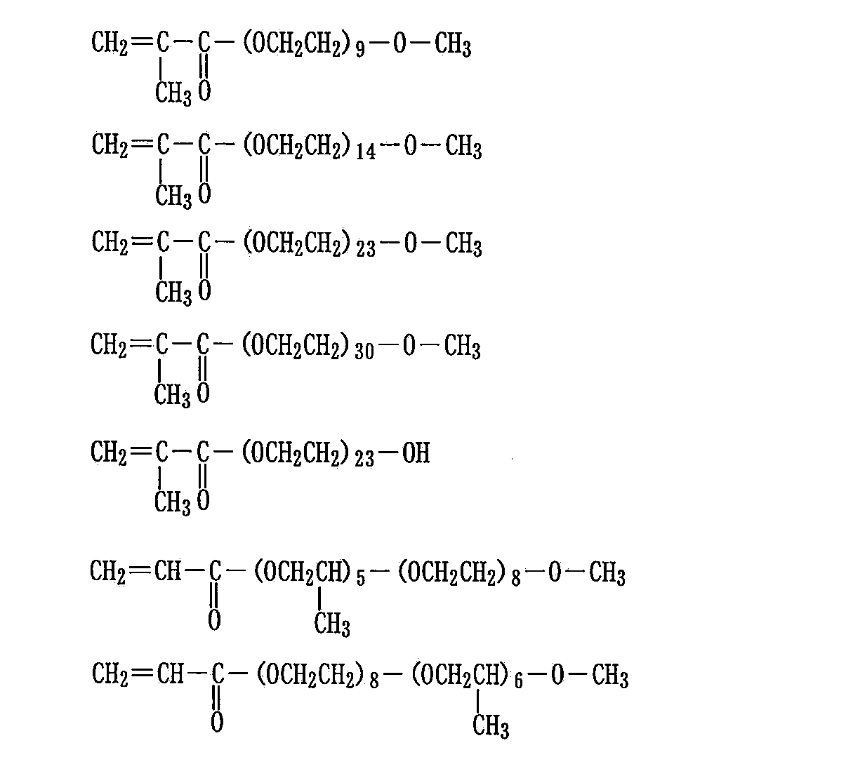
M−230G:CH2=C(CH3)OCO(CH2CH2O)23CH3
M−90G:CH2=C(CH3)OCO(CH2CH2O)9CH3
上記▲1▼で得られたFA−P1 300g、TABS 63g、M−230G27g、イオン交換水164g及びn−オクチルメルカプタン1.8gを1リットルのセパラブルフラスコに仕込み、窒素置換中で1時間攪拌を行った後、40℃に加温し、過硫酸アンモニウム1.2g及び35重量%重亜硫酸ナトリウム水溶液43gを添加し、40〜45℃で4時間かけてレドックス重合を行った。得られた分散液を「A1」という。
FA−M:C8F17CH2CH2OCOC(CH3)=CH2
一般式(5)のアクリレート化合物として、下記のものを使用した。
M−230G:CH2=C(CH3)OCO(CH2CH2O)23CH3
M−90G:CH2=C(CH3)OCO(CH2CH2O)9CH3
一般式(6)のアクリレート化合物として、下記のものを使用した。
AN:アクリロニトリル
N−MAN:N−メチロールアクリルアミド
FA−M 108g、M−230G 54g、AN 18g、イソプロピルアルコール180g、イオン交換水237g及びn−オクチルメルカプタン1.8gを1リットルのセパラブルフラスコに仕込み、窒素置換中で1時間攪拌を行った後、40℃に加温し、2,2’−アゾビス(2−アミジノプロパン)二塩酸塩(アゾ系化合物)1.2gを添加し、50〜55℃で6時間かけてラジカル重合を行った。得られた分散液を「B1」という。分散液中の固形分濃度は30重量%であった。
上記で得られた(A)成分(水性分散液)及び(B)成分(水性分散液)を、両者の配合割合が固形分比で表3に示す割合になるように配合し、本発明の防汚加工剤を製造した。
上記で得られた(A)成分(水性分散液)及び(B)成分(水性分散液)を、両者の配合割合が固形分比で表3又は表4に示す割合になるように配合し、比較のための防汚加工剤を製造した。
実施例1〜6及び比較例1〜11の防汚加工剤の性能を、以下の方法で調べた。
防汚処理された長さ30cm、巾2.5cmの綿ブロード布(洗濯前試験布、洗濯15回試験布及び洗濯30回試験布)の下部0.5cmに水を浸漬し、10分後に水が吸い上げられた長さを測定する(バイレック法)ことで、吸水性を評価した。
表5に示す各種の試験溶液を綿ブロード布(洗濯前試験布、洗濯15回試験布及び洗濯30回試験布)の上に三ヶ所滴下し、3分間で浸透・湿潤しない試験溶液を判別し、その試験溶液について予め付与されている数値で撥油性の評価を行った。
40℃に加温し、溶解した市販のラード(牛脂)を、綿ブロード布(洗濯前試験布、洗濯15回試験布及び洗濯30回試験布)に2滴滴下し、その上にガラス板を置き、数秒間押しつけた。ガラス板を取り外し、36℃の雰囲気中で2時間放置した後、家庭用洗濯機で綿ブロード布を洗濯し(洗剤(商品名:アタック、花王(株)製)、洗剤濃度0.75g/l、浴比1:50)、40℃で15分間洗濯、すすぎ15分)、遠心脱水後、風乾した。
綿ブロード布の代わりにポリエステル繊維/綿混紡布(比率50/50)を用い、上記試験例1と同様にして、吸水性、撥油性及び皮脂汚れ除去性を調べた。
実施例1〜6及び比較例1〜11の防汚加工剤の性能を、以下の方法で調べた。
綿ブロード布の代わりにポリエステル繊維/綿混紡布(比率50/50)を用い、上記試験例3と同様にして、吸水性、撥油性及び皮脂汚れ除去性を調べた。
Claims (7)
- (A)成分と(B)成分とを含有し、(A)成分及び(B)成分の含有割合が前者:後者=15〜90:10〜85(固形分重量比)である吸水撥油性防汚加工剤であって、(A)成分が、一般式(1)
【化1】
[式中、R1fはパーフルオロアルキル基を示す。Aは2価の有機基を示す。mは1又は2
を示し、nは0又は1を示す。但し、m+n≦2を満たすものとする。Y1 +は対イオンを示す。Pはリン原子であり、一般式(1)の化合物中のリン含有量は2.2〜7.0重量%の範囲である。]で表される化合物の水性分散液中で、該化合物100重量部当たり250重量部以下の(i) 一般式(2)
【化2】
[式中、R2は水素原子又はメチル基を示す。R3はエチレン基又は−CONH−基を示す
。iは0又は1を示す。R4はC1-6のアルキレン基を示す。kは0又は1を示す。Y2 +は対イオンを示す。]で表される化合物又は(ii) 15重量%以上の一般式(2)の化合物と85重量%以下の一般式(3)
【化3】
[式中、R5は水素原子又はメチル基を示す。R6及びR7は各々C1-6のアルキレン基を示
す。lは1〜100の整数を示す。oは0〜99の整数を示す。但し、l+o≦100を満たすものとする。R8は水素原子、C1-6のアルキル基、フェニル基又はフェニル置換C1-6アルキル基を示す。]で表されるアクリレート化合物を重合させて得られる化合物であり、
(B)成分が、一般式(4)
【化4】
[式中、R2fはパーフルオロアルキル基を示す。Jは2価の有機基を示す。R9は水素原
子又はメチル基を示す。pは1〜100整数を示す。]で表されるアクリレート化合物35〜85重量%、一般式(5)
【化5】
[式中、R10は水素原子又はメチル基を示す。R11及びR12は各々C1-6のアルキレン基
を示す。qは1〜100の整数を示す。rは0〜99の整数を示す。但し、q+r≦100を満たすものとする。R13は水素原子、C1-6のアルキル基、フェニル基又はフェニル置換C1-6アルキル基を示す。]で表されるアクリレート化合物10〜60重量%及び一般式(6)
【化6】
[式中、R14は水素原子又はメチル基を示す。R15はC1-6のアルキレン基、−COO−
基又は−CONH−基を示す。sは0又は1を示す。R16はC1-6のアルキレン基を示す。tは0〜100の整数を示す。Xは水素原子、C1-6のアルキル基、ニトリル基、グリシジル基、フェニル置換C1-6アルキル基、基−NR17R18、基−SO3 -・M+又は基−PO3 3-・(M+)3を示す。R17及びR18は、同一又は異なって、水素原子又はC1-6のアルキル基を示す。また、R17及びR18は、これらが結合する窒素原子と共に互いに結合して5〜6員の飽和環を形成してもよい。M+はアルカリ金属イオン又はアンモニウムイオンを示す。]で表される化合物5〜50重量%からなる三元共重合体であることを特徴とする吸水撥油性防汚加工剤。 - 水性分散液の形態にある請求項1に記載の吸水撥油性防汚加工剤。
- (A)成分及び(B)成分の総固形分濃度が0.1〜50重量%である請求項1又は2に記載の吸水撥油性防汚加工剤。
- 繊維又は繊維製品へ請求項1に記載の防汚加工剤を付着及び/又は含浸させ、乾燥後、加熱処理を行うことを特徴とする防汚加工剤で処理された繊維又は繊維製品の製造方法。
- 請求項1〜3のいずれかに記載の吸水撥油性防汚加工剤で処理された繊維又は繊維製品。
- 請求項4に記載の方法で製造される吸水撥油性防汚加工剤で処理された繊維又は繊維製品。
- 請求項1〜3のいずれかに記載の吸水撥油性防汚加工剤を充填したスプレー容器。
Priority Applications (1)
| Application Number | Priority Date | Filing Date | Title |
|---|---|---|---|
| JP2001301604A JP5256397B2 (ja) | 2001-09-28 | 2001-09-28 | 吸水撥油性防汚加工剤、該防汚加工剤で処理された繊維又は繊維製品及びその製造方法並びにスプレー容器 |
Applications Claiming Priority (1)
| Application Number | Priority Date | Filing Date | Title |
|---|---|---|---|
| JP2001301604A JP5256397B2 (ja) | 2001-09-28 | 2001-09-28 | 吸水撥油性防汚加工剤、該防汚加工剤で処理された繊維又は繊維製品及びその製造方法並びにスプレー容器 |
Publications (2)
| Publication Number | Publication Date |
|---|---|
| JP2003105319A JP2003105319A (ja) | 2003-04-09 |
| JP5256397B2 true JP5256397B2 (ja) | 2013-08-07 |
Family
ID=19121991
Family Applications (1)
| Application Number | Title | Priority Date | Filing Date |
|---|---|---|---|
| JP2001301604A Expired - Lifetime JP5256397B2 (ja) | 2001-09-28 | 2001-09-28 | 吸水撥油性防汚加工剤、該防汚加工剤で処理された繊維又は繊維製品及びその製造方法並びにスプレー容器 |
Country Status (1)
| Country | Link |
|---|---|
| JP (1) | JP5256397B2 (ja) |
Families Citing this family (5)
| Publication number | Priority date | Publication date | Assignee | Title |
|---|---|---|---|---|
| WO2008041570A1 (fr) * | 2006-09-28 | 2008-04-10 | Sakaguchi, Naoki | Matière fibreuse pour teinture en pièce |
| JP5367479B2 (ja) * | 2009-07-02 | 2013-12-11 | 寿屋フロンテ株式会社 | 内装用布地 |
| WO2015046375A1 (ja) * | 2013-09-30 | 2015-04-02 | 株式会社ネオス | 親水撥油性付与剤およびこれを含有する組成物 |
| JP2016074828A (ja) * | 2014-10-07 | 2016-05-12 | 三菱マテリアル株式会社 | 親水撥油剤、表面被覆材、塗布膜、樹脂組成物、油水分離濾材及び多孔質体 |
| CN115198537A (zh) * | 2022-07-19 | 2022-10-18 | 北京七特丽装饰材料有限公司 | 一种防热水渗透的壁布产品制作方法 |
Family Cites Families (4)
| Publication number | Priority date | Publication date | Assignee | Title |
|---|---|---|---|---|
| JPS56138197A (en) * | 1980-03-31 | 1981-10-28 | Daikin Ind Ltd | Aqueous dispersion of phosphoric ester containing perfluoroalkyl or alkenyl group |
| JPH03213572A (ja) * | 1990-01-09 | 1991-09-18 | Kanebo Ltd | 絹繊維布帛の防汚加工法 |
| ES2185626T3 (es) * | 1992-01-27 | 2003-05-01 | Daikin Ind Ltd | Utilizacion de un agente de tratamiento para productos fibrosos, procedimiento de tratamiento de productos fibrosos tratados segun este procedimiento. |
| JP2002088646A (ja) * | 2000-03-10 | 2002-03-27 | Toray Ind Inc | 繊維構造物 |
-
2001
- 2001-09-28 JP JP2001301604A patent/JP5256397B2/ja not_active Expired - Lifetime
Also Published As
| Publication number | Publication date |
|---|---|
| JP2003105319A (ja) | 2003-04-09 |
Similar Documents
| Publication | Publication Date | Title |
|---|---|---|
| US6521553B1 (en) | Deodorant fibrous material and method of producing the same | |
| JP2003520871A (ja) | コポリマーならびにこれらを含む撥油性および撥水性組成物 | |
| US3824125A (en) | Soil release composition | |
| US4026808A (en) | Flame retardant textile finishes | |
| US3220869A (en) | Process for improving textile fabrics | |
| US4361611A (en) | Process for providing synthetic textile fabrics with an antistatic finish | |
| US3218118A (en) | Crease-proofing cellulosic fabrics, the fabrics obtained and methods of making them | |
| US4861501A (en) | Stain resistant composition for synthetic organic polymer fibers and method of use: fluorocarbon polymer | |
| US3864317A (en) | Durable antistatic agent, hydrophobic fibers and fibrous structures having durable antistatic property and method of making same | |
| JP5256397B2 (ja) | 吸水撥油性防汚加工剤、該防汚加工剤で処理された繊維又は繊維製品及びその製造方法並びにスプレー容器 | |
| JP3165992B2 (ja) | 抗菌性樹脂とその製造方法及び抗菌性繊維構造物 | |
| US2718478A (en) | Antistatic treatment of fibrous materials | |
| US20060090648A1 (en) | Hydrophilic finish for fibrous substrates | |
| US3952128A (en) | Durable antistatic agent, hydrophobic fibers and fibrous structures having durable antistatic property and method of making same | |
| US3632422A (en) | Textile fabric having soil release finish and method of making same | |
| JPS636676B2 (ja) | ||
| US2767107A (en) | Antistatic treatment of hydrophobic resin articles | |
| US7186273B2 (en) | Treatment of textiles with fluorinated polyethers | |
| GB2033444A (en) | Process for imparting to textile materials a soft handle using unsaturated aliphatic acid amides | |
| US3134686A (en) | Durable antistatic finish and process for applying same | |
| JP4198597B2 (ja) | 布地のパーマネントプレス処理 | |
| JP3750223B2 (ja) | 消臭性繊維構造物 | |
| US3476583A (en) | Method for rendering fibrous material oil and water repellent | |
| US4092107A (en) | Process for finishing textile materials containing cellulose fibers | |
| DE2236273A1 (de) | Amphotere hilfsmittel zur veredelung von natuerliche oder synthetische fasern enthaltenden textilien, leder oder papier |
Legal Events
| Date | Code | Title | Description |
|---|---|---|---|
| A621 | Written request for application examination |
Free format text: JAPANESE INTERMEDIATE CODE: A621 Effective date: 20080909 |
|
| A977 | Report on retrieval |
Free format text: JAPANESE INTERMEDIATE CODE: A971007 Effective date: 20110624 |
|
| A131 | Notification of reasons for refusal |
Free format text: JAPANESE INTERMEDIATE CODE: A131 Effective date: 20110802 |
|
| A521 | Written amendment |
Free format text: JAPANESE INTERMEDIATE CODE: A523 Effective date: 20111003 |
|
| A131 | Notification of reasons for refusal |
Free format text: JAPANESE INTERMEDIATE CODE: A131 Effective date: 20120710 |
|
| A521 | Written amendment |
Free format text: JAPANESE INTERMEDIATE CODE: A523 Effective date: 20120910 |
|
| TRDD | Decision of grant or rejection written | ||
| A01 | Written decision to grant a patent or to grant a registration (utility model) |
Free format text: JAPANESE INTERMEDIATE CODE: A01 Effective date: 20130115 |
|
| A711 | Notification of change in applicant |
Free format text: JAPANESE INTERMEDIATE CODE: A711 Effective date: 20130129 |
|
| A61 | First payment of annual fees (during grant procedure) |
Free format text: JAPANESE INTERMEDIATE CODE: A61 Effective date: 20130205 |
|
| A521 | Written amendment |
Free format text: JAPANESE INTERMEDIATE CODE: A821 Effective date: 20130129 |
|
| A521 | Written amendment |
Free format text: JAPANESE INTERMEDIATE CODE: A523 Effective date: 20130401 |
|
| FPAY | Renewal fee payment (event date is renewal date of database) |
Free format text: PAYMENT UNTIL: 20160502 Year of fee payment: 3 |
|
| R150 | Certificate of patent or registration of utility model |
Free format text: JAPANESE INTERMEDIATE CODE: R150 Ref document number: 5256397 Country of ref document: JP Free format text: JAPANESE INTERMEDIATE CODE: R150 |
|
| R250 | Receipt of annual fees |
Free format text: JAPANESE INTERMEDIATE CODE: R250 |
|
| R250 | Receipt of annual fees |
Free format text: JAPANESE INTERMEDIATE CODE: R250 |
|
| R250 | Receipt of annual fees |
Free format text: JAPANESE INTERMEDIATE CODE: R250 |
|
| R250 | Receipt of annual fees |
Free format text: JAPANESE INTERMEDIATE CODE: R250 |
|
| R250 | Receipt of annual fees |
Free format text: JAPANESE INTERMEDIATE CODE: R250 |
|
| R250 | Receipt of annual fees |
Free format text: JAPANESE INTERMEDIATE CODE: R250 |
