JP2012185124A - 充電率推定装置、充電率推定方法、及びプログラム - Google Patents
充電率推定装置、充電率推定方法、及びプログラム Download PDFInfo
- Publication number
- JP2012185124A JP2012185124A JP2011050178A JP2011050178A JP2012185124A JP 2012185124 A JP2012185124 A JP 2012185124A JP 2011050178 A JP2011050178 A JP 2011050178A JP 2011050178 A JP2011050178 A JP 2011050178A JP 2012185124 A JP2012185124 A JP 2012185124A
- Authority
- JP
- Japan
- Prior art keywords
- secondary battery
- time
- calculated
- rate
- charging rate
- Prior art date
- Legal status (The legal status is an assumption and is not a legal conclusion. Google has not performed a legal analysis and makes no representation as to the accuracy of the status listed.)
- Granted
Links
Images
Classifications
-
- Y—GENERAL TAGGING OF NEW TECHNOLOGICAL DEVELOPMENTS; GENERAL TAGGING OF CROSS-SECTIONAL TECHNOLOGIES SPANNING OVER SEVERAL SECTIONS OF THE IPC; TECHNICAL SUBJECTS COVERED BY FORMER USPC CROSS-REFERENCE ART COLLECTIONS [XRACs] AND DIGESTS
- Y02—TECHNOLOGIES OR APPLICATIONS FOR MITIGATION OR ADAPTATION AGAINST CLIMATE CHANGE
- Y02E—REDUCTION OF GREENHOUSE GAS [GHG] EMISSIONS, RELATED TO ENERGY GENERATION, TRANSMISSION OR DISTRIBUTION
- Y02E60/00—Enabling technologies; Technologies with a potential or indirect contribution to GHG emissions mitigation
- Y02E60/10—Energy storage using batteries
Landscapes
- Tests Of Electric Status Of Batteries (AREA)
- Charge And Discharge Circuits For Batteries Or The Like (AREA)
- Secondary Cells (AREA)
Abstract
【解決手段】SOC変化量演算部104は、容量演算周期の間のSOCの変化量を求める。満充電容量演算部106は、当該変化量を用いて二次電池の満充電容量を演算する。また、電流値積算部105は、容量演算周期の間の電流値を積算する。そして、SOCI演算部110は、当該満充電容量及び電流積算値を用いて、二次電池のSOCを演算する。
【選択図】図1
Description
以下、図面を参照しながら本発明の第1の実施形態について詳しく説明する。
図1は、本発明の第1の実施形態による充電率推定装置100の構成を示す概略ブロック図である。
充電率推定装置100は、運用中の二次電池のSOC(充電率)を推定する装置であり、タイミング判定部101、開放電圧演算部102、SOCV演算部103(充電率演算部)、SOC変化量演算部104(充電率変化量演算部)、電流値積算部105、満充電容量演算部106、関数推定部107、前SOC記憶部108、誤差記憶部109、SOCI演算部110、SOC推定部111(充電率推定部)、表示部112を備える。
SOC変化量演算部104は、タイミング判定部101からSOC演算指示信号を受け付けた場合、SOCV演算部103が前回SOC演算指示信号を受け付けた時に演算したSOCVと、SOCV演算部103が今回演算したSOCVとの差分を二次電池のSOC変化量として演算する。すなわち、SOC変化量演算部104は、今回の容量演算周期に相当する時刻(第2の時刻)におけるSOCVと、前回の容量演算周期に相当する時刻(第1の時刻)におけるSOCVとの差分を、二次電池のSOC変化量として演算する。
満充電容量演算部106は、電流値積算部105が演算した電流積算値をSOC変化量演算部104が演算したSOC変化量で除算することで、容量演算周期に対応する時刻における二次電池の満充電容量を演算する。また、満充電容量演算部106は、関数推定部107が推定した関数を用いて、演算した満充電容量を更新する。
関数推定部107は、満充電容量演算部106が異なる時刻において演算した満充電容量を用いて、電池劣化比率を示す関数を推定する。
前SOC記憶部108は、前回の容量演算周期に相当する時刻において演算した二次電池のSOCを記憶する。なお、前SOC記憶部108は予め、二次電池の運用開始前に測定しておいた二次電池のSOCを記憶している。
誤差記憶部109は、実測電流に推定される誤差と満充電容量演算部106が演算する満充電容量に推定される誤差とを記憶する。
なお、二次電池の運用開始から間もない場合など、関数推定部107によって関数が推定されていない場合、SOCI演算部110は、関数を用いた満充電容量の特定を行わず、満充電容量演算部106が演算した満充電容量を用いてSOCIを演算する。
表示部112は、SOC推定部111が推定した二次電池のSOCを表示する。
図3は、第1の実施形態による充電率推定装置100による満充電容量を特定するフェーズを示すフローチャートである。
充電率推定装置100が二次電池のSOCの推定を開始すると、タイミング判定部101は、SOC演算周期でSOC演算指示信号を出力し、容量演算周期で容量演算指示信号を出力する。なお、容量演算周期は、SOC演算周期の整数倍の周期であるため、容量演算指示信号は、必ずSOC演算指示信号と同時に出力されることとなる。
なお、予め二次電池に並列に接続される制御回路電源やセル電圧バランス回路による消費電流ILoss(n)が分かっている場合、式(2)に代えて式(3)を用いて電流積算値Ahを算出することが好ましい。
具体的には、内部メモリに記憶する満充電容量の変化率と時刻の組み合わせに対して回帰分析処理などを行うことで、図4に示すように、時間経過による二次電池の劣化を示す近似曲線を推定し、当該近似曲線の関数を劣化関数とする。なお、他の二次電池の運用により劣化の傾向が予め分かっている場合は、近似曲線の種類(例えば、一次関数、高次関数、対数関数など)を予め指定しておくことが好ましい。
ステップS103で容量演算指示信号が出力されていないと判定した場合(ステップS103:NO)、ステップS110で関数推定部107が、記憶している満充電容量の変化率の数が所定数未満であると判定した場合(ステップS110:NO)、またはステップS113で満充電容量演算部106が満充電容量を更新した場合、SOCI演算部110は、満充電容量演算部106が最後に演算した満充電容量、電流値積算部105が演算した電流積算値、前SOC記憶部108が記憶するSOC、及び誤差記憶部109が記憶する誤差を、以下に示す式(4)及び式(5)に適用することで、SOCImax及びSOCIminを演算する(ステップS114)。
また、係数Aは、式(6)に示す定数である。
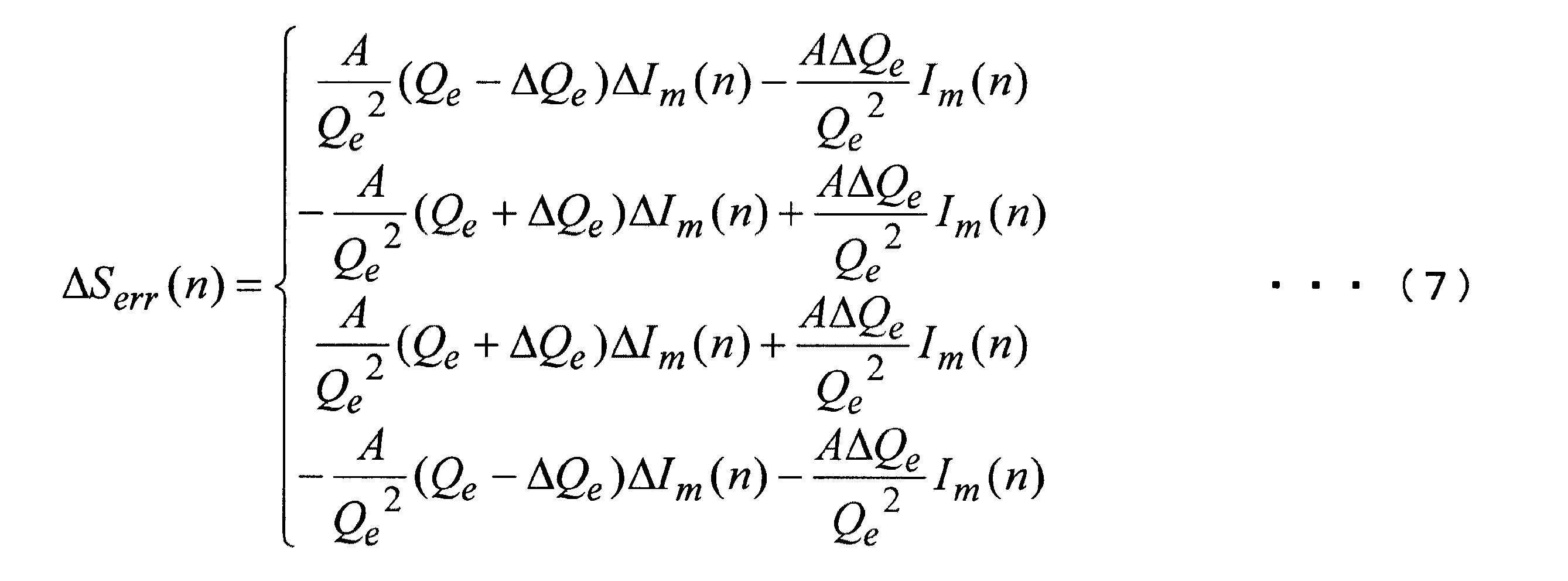
また、式(4)、式(5)に含まれるΔSerr(n)は、時刻nにおけるSOC誤差であって、式(7)によって表される。
図6に示す時刻nにおいて、タイミング判定部101が容量演算指示信号を出力すると、満充電容量演算部106は、満充電容量を演算する。また、図6に示すように、時刻nにおいて、SOCV演算部103はSOCVを演算し、またSOCI演算部110は、SOCImax及びSOCIminを演算する。時刻nにおいては、SOCVがSOCImax以上であるため、充電率推定装置100は、SOCImaxを時刻nにおける二次電池のSOCと推定する。
また、時刻nから時刻n+1までの間、SOC演算周期毎にSOCV演算部103はSOCVを演算し、またSOCI演算部110は、SOCImax及びSOCIminを演算し、充電率推定装置100は、SOCV、SOCImax及びSOCIminに基づいて、その時刻における二次電池のSOCを推定する。
また、時刻n+1から時刻n+2までの間、SOC演算周期毎にSOCV演算部103はSOCVを演算し、またSOCI演算部110は、SOCImax及びSOCIminを演算し、充電率推定装置100は、SOCV、SOCImax及びSOCIminに基づいて、その時刻における二次電池のSOCを推定する。
したがって、推定した二次電池の開放電圧の値が信頼できないような場合でも、SOCVとSOCImin及びSOCImaxとの関係から、最適であろうと推定できる値を現在のSOCと決定することになる。これにより、演算したSOCの値について、過去の累積的な誤差の混入を防ぐことができ、SOCの推定精度を向上させることができる。
次に、本発明の第2の実施形態について説明する。
第1の実施形態による充電率推定装置100において電流値積算部105が演算する電流積算値には、電流検出誤差が含まれることがある。電流検出誤差としては、ゲイン、ヒステリシス、オフセットなどによる誤差が挙げられるが、このうち、オフセットによる誤差は、電流積算値への影響が特に大きくなる。第2の実施形態による充電率推定装置100は、電流積算値のオフセット誤差が小さくなるようにすることで、SOC推定制度を向上させるものである。
第2の実施形態による充電率推定装置200は、第1の実施形態による充電率推定装置100と、タイミング判定部201、SOC変化量演算部204、電流値積算部205の動作が異なる。
タイミング判定部201は、SOC演算周期毎に、開放電圧演算部102及び電流値積算部205にSOC演算指示信号を出力する。また、タイミング判定部201は、SOC演算周期毎に、実測温度及び実測電流から、SOCの演算準備を行うタイミング(第1の時刻)及びSOCの演算を行うタイミング(第2の時刻)を特定し、SOCの演算準備を行うタイミングにおいて準備指示信号をSOC変化量演算部204に出力し、SOCの演算を行うタイミングにおいて容量演算指示信号をSOC変化量演算部204に出力する。
SOC変化量演算部204は、タイミング判定部101からSOC演算指示信号を受け付けた場合、準備指示信号を受け付けた時(第1の時刻)にSOCV演算部103が演算したSOCVと、SOCV演算部103が今回(第2の時刻)演算したSOCVとの差分を二次電池のSOC変化量として演算する。
電流値積算部205は、準備指示信号を受け付けたときから容量演算指示信号を受け付けたときまでの実測電流を、SOC演算周期毎に積算する。
図8は、実測電流値と誤差の一例を示す図である。
図8に示す例では、電流センサの誤差特性は温度と電流値とに依存している。そのため、電流センサ誤差が小さい範囲内において電流値の積算を行うことが好ましい。図7に示す例では、例えば実測電流が15Aから25Aまで、かつ実測温度が20℃から30℃までの場合に、電流値の積算を行うことが好ましい。
したがって、本実施形態によれば、充電率推定装置200は、前回実測電流及び実測温度が範囲内から範囲外に遷移した時刻に、前SOC記憶部108が記憶するSOCの修正がなされる。
次に、本発明の第3の実施形態について説明する。
第1の実施形態で説明したように、満充電容量演算部106が演算する満充電容量には、誤差が含まれることがある。第1の実施形態では、関数推定部107で劣化関数を推定することで当該誤差を削減する方法を説明したが、第3の実施形態では、当該劣化関数に含まれる誤差を更に削減する方法を説明する。
第3の実施形態による充電率推定装置300は、第1の実施形態による充電率推定装置100と関数推定部307の動作が異なる。
第3の実施形態による関数推定部307は、満充電容量演算部106が演算した満充電容量のうち誤差が大きいものを除外して劣化関数を推定する。
また、他の方法としては、ある時間区間において関数推定部107が記録した満充電容量の変化率から劣化関数を推定し、当該劣化関数から導き出される満充電容量の変化率との差が所定の閾値以上である変化率を除外して、再度劣化関数を推定する方法が挙げられる。図10は、除外する満充電容量の例を示す図である。また、この場合、劣化関数の再推定処理を繰り返し実行することで、劣化関数の精度を向上させることができる。
このように、本実施形態によれば、関数推定部307は、誤差が大きい満充電容量を除外して劣化関数を推定することで、劣化関数の精度が高くすることができる。
次に、本発明の第4の実施形態について説明する。
図11は、開放電圧とSOCVとの関係の一例を示す図である。
SOCV演算部103によるSOCVの演算に用いる、二次電池の開放電圧とSOCVとの関係は、図10に示すように、必ずしも線形であるとは限らない。第4の実施形態では、この点に鑑みて満充電容量の推定精度を向上させる方法について説明する。
第4の実施形態による充電率推定装置400は、第1の実施形態による充電率推定装置100と満充電容量演算部406の動作が異なる。
第4の実施形態による満充電容量演算部406は、SOC推定部111が出力するSOCを監視する。そして、満充電容量演算部406は、容量演算周期の間、SOCが二次電池の開放電圧との関係において線形性を有する範囲内にあった場合に満充電容量の演算を行い、SOCが線形性を有する範囲内から出た場合に、満充電容量の演算を行わない。図10に示す例では、SOCが50%から60%の間にある場合にのみ、満充電容量の演算を行う。これにより、SOCVと開放電圧との関係の非線形性による誤差を排除することができ、満充電容量の推定制度を向上させることができる。
図13(A)に示すように、二次電池の充放電を行う装置は、充放電指令とSOC一定制御ロジックとの指示に基づいて、最終充放電指令を決定する。このとき、SOC一定制御ロジックは、通常はSOC目標値(50%)のみを出力をするが、定期的に、当該SOC目標値に所定のSOC(10%)を上乗せする。これにより、SOC一定制御ロジックから出力されるSOC目標が、図13(B)に示すように、50%と60%との間で変化する。
次に、本発明の第5の実施形態について説明する。
二次電池の劣化は関数推定部107が推定する劣化関数によって近似される。しかし、二次電池に何らかの不具合が発生すると、劣化モードが変化することがある。第5の実施形態では、二次電池の劣化モードが変化した場合に警告を表示する方法について説明する。
第5の実施形態による充電率推定装置500は、第1の実施形態による充電率推定装置100と関数推定部507及び表示部512(警告部)の動作が異なる。
第5の実施形態による関数推定部507は、ある周期において劣化関数の推定を行う。このとき、関数推定部507は、一次関数を用いて劣化関数の推定を行い、時間の係数の変化を監視する。そして、関数推定部507は、係数の変化が所定の閾値以上となった場合に、何らかの要因によって二次電池の劣化モードが変化したと推定し、表示部512に警告情報を出力する。
表示部512は、関数推定部507から受け付けた警告情報を表示する。
これにより、充電率推定装置500は、二次電池の劣化モードが変化し、何らかの不具合が発生したと想定される場合に、警告を表示することができる。
例えば、上述した第1の実施形態〜第5の実施形態では充電率推定装置を、二次電池と別個に備えられた外部装置として説明したが、これに限られない。具体的には、二次電池に設けられ、二次電池の制御・監視を行うBMU(Battery Management Unit)に充電率推定装置が実装されていても良い。
Claims (12)
- 運用中の二次電池の充電率を推定する充電率推定装置であって、
第1の時刻における前記二次電池の実測電流と実測電圧とを用いて、前記第1の時刻における前記二次電池の充電率を演算し、前記第1の時刻より後の時刻である第2の時刻における前記二次電池の実測電流と実測電圧とを用いて、前記第2の時刻における前記二次電池の充電率を演算する充電率演算部と、
前記充電率演算部が演算した前記第2の時刻における充電率から前記充電率演算部が演算した前記第1の時刻における充電率を減じることで、充電率変化量を演算する充電率変化量演算部と、
前記第1の時刻から前記第2の時刻までにおける前記二次電池の充放電による実測電流の積算値を演算する電流値積算部と、
前記電流値積算部が演算した電流の積算値を前記充電率変化量演算部が演算した充電率変化量で除算することで、前記第2の時刻における前記二次電池の満充電容量を演算する満充電容量演算部と、
前記満充電容量演算部が演算した満充電容量と前記二次電池の充放電による実測電流の積算値とを用いて、前記二次電池の充電率を推定する充電率推定部と
を備えることを特徴とする充電率推定装置。 - 前記充電率推定部は、
前記満充電容量演算部が演算した満充電容量と前記二次電池の充放電による実測電流の積算値と前記実測電流の誤差とを用いて前記二次電池の充電率の上限値及び下限値を演算し、
前記充電率演算部が演算した充電率が、前記充電率の上限値以上である場合、前記充電率の上限値を前記二次電池の充電率として推定し、
前記充電率演算部が演算した充電率が、前記充電率の下限値以下である場合、前記充電率の下限値を前記二次電池の充電率として推定し、
前記充電率演算部が演算した充電率が、前記充電率の上限値未満と前記充電率の下限値との間の値を示す場合、前記充電率演算部が演算した前記第2の時刻における充電率を、前記二次電池の充電率として推定する
ことを特徴とする請求項1に記載の充電率推定装置。 - 前記充電率推定部は、さらに前記二次電池の満充電容量の測定誤差を用いて、前記二次電池の充電率の下限値及び上限値を演算することを特徴とする請求項2に記載の充電率推定装置。
- 前記充電率演算部は、
前記二次電池の実測電流と実測電圧とから前記二次電池の開放電圧を演算し、前記二次電池の開放電圧と充電率の関係を示すテーブルを参照して、前記演算した開放電圧から前記二次電池の充電率を演算する
ことを特徴とする請求項1から請求項3の何れか1項に記載の充電率推定装置。 - 前記第1の時刻は、前記二次電池の実測温度が所定の範囲内に収まっている時刻であり、
前記第2の時刻は、前記第1の時刻からその時刻までの間に、前記二次電池の実測温度が所定の範囲を超えない時刻である
ことを特徴とする請求項1から請求項4の何れか1項に記載の充電率推定装置。 - 前記第1の時刻は、前記二次電池の実測電流が所定の範囲内に収まっている時刻であり、
前記第2の時刻は、前記第1の時刻からその時刻までの間に、前記二次電池の実測電流が所定の範囲を超えない時刻である
ことを特徴とする請求項1から請求項5の何れか1項に記載の充電率推定装置。 - 前記満充電容量演算部が異なる時刻に演算した複数の二次電池の満充電容量から、時間と満充電容量との関係を示す関数を推定する関数推定部を備え、
前記充電率推定部は、前記関数推定部が推定した関数を参照して現在時刻における二次電池の満充電容量を特定し、当該満充電容量と前記二次電池の充放電による実測電流の積算値とを用いて、前記二次電池の充電率を推定する
ことを特徴とする請求項1から請求項6の何れか1項に記載の充電率推定装置。 - 前記関数推定部は、前記満充電容量演算部が異なる時刻に演算した二次電池の満充電容量のうち、直前の時刻に演算した二次電池の満充電容量との差が所定の閾値を超えないものを前記関数の推定に用いる
ことを特徴とする請求項7に記載の充電率推定装置。 - 前記関数推定部は、前記満充電容量演算部が異なる時刻に演算した二次電池の満充電容量のうち、推定した関数が示す満充電容量との差が所定の閾値を超えないものを用いて前記関数を再度推定する
ことを特徴とする請求項7または請求項8に記載の充電率推定装置。 - 前記関数推定部が推定した関数における時間の係数の変化を監視し、当該係数の変化が所定の閾値以上であった場合に、警告を発する警告部を備え、
前記関数推定部は、定期的に前記関数の推定を実行する
ことを特徴とする請求項7から請求項9の何れか1項に記載の充電率推定装置。 - 運用中の二次電池の充電率を推定する充電率推定方法であって、
第1の時刻における前記二次電池の実測電流と実測電圧とを用いて、前記第1の時刻における前記二次電池の充電率を演算するステップと、
前記第1の時刻より後の時刻である第2の時刻における前記二次電池の実測電流と実測電圧とを用いて、前記第2の時刻における前記二次電池の充電率を演算するステップと、
前記第2の時刻における充電率から前記第1の時刻における充電率を減じることで、充電率変化量を演算するステップと、
前記第1の時刻から前記第2の時刻までにおける前記二次電池の充放電による実測電流の積算値を演算するステップと、
前記電流の積算値を前記充電率変化量で除算することで、前記第2の時刻における前記二次電池の満充電容量を演算するステップと、
前記二次電池の満充電容量と前記二次電池の充放電による実測電流の積算値とを用いて、前記二次電池の充電率を推定するステップと
を有することを特徴とする充電率推定方法。 - 運用中の二次電池の充電率を推定する充電率推定装置を、
第1の時刻における前記二次電池の実測電流と実測電圧とを用いて、前記第1の時刻における前記二次電池の充電率を演算し、前記第1の時刻より後の時刻である第2の時刻における前記二次電池の実測電流と実測電圧とを用いて、前記第2の時刻における前記二次電池の充電率を演算する充電率演算部、
前記充電率演算部が演算した前記第2の時刻における充電率から前記充電率演算部が演算した前記第1の時刻における充電率を減じることで、充電率変化量を演算する充電率変化量演算部、
前記第1の時刻から前記第2の時刻までにおける前記二次電池の充放電による実測電流の積算値を演算する電流値積算部、
前記電流値積算部が演算した電流の積算値を前記充電率変化量演算部が演算した充電率変化量で除算することで、前記第2の時刻における前記二次電池の満充電容量を演算する満充電容量演算部、
前記満充電容量演算部が演算した満充電容量と前記二次電池の充放電による実測電流の積算値とを用いて、前記二次電池の充電率を推定する充電率推定部
として機能させるためのプログラム。
Priority Applications (1)
| Application Number | Priority Date | Filing Date | Title |
|---|---|---|---|
| JP2011050178A JP5535968B2 (ja) | 2011-03-08 | 2011-03-08 | 充電率推定装置、充電率推定方法、及びプログラム |
Applications Claiming Priority (1)
| Application Number | Priority Date | Filing Date | Title |
|---|---|---|---|
| JP2011050178A JP5535968B2 (ja) | 2011-03-08 | 2011-03-08 | 充電率推定装置、充電率推定方法、及びプログラム |
Publications (2)
| Publication Number | Publication Date |
|---|---|
| JP2012185124A true JP2012185124A (ja) | 2012-09-27 |
| JP5535968B2 JP5535968B2 (ja) | 2014-07-02 |
Family
ID=47015320
Family Applications (1)
| Application Number | Title | Priority Date | Filing Date |
|---|---|---|---|
| JP2011050178A Expired - Fee Related JP5535968B2 (ja) | 2011-03-08 | 2011-03-08 | 充電率推定装置、充電率推定方法、及びプログラム |
Country Status (1)
| Country | Link |
|---|---|
| JP (1) | JP5535968B2 (ja) |
Cited By (15)
| Publication number | Priority date | Publication date | Assignee | Title |
|---|---|---|---|---|
| JP2014102076A (ja) * | 2012-11-16 | 2014-06-05 | Denso Corp | 電池システム |
| JP2014107168A (ja) * | 2012-11-28 | 2014-06-09 | Mitsubishi Heavy Ind Ltd | 二次電池管理装置、満充電容量算出方法、及びプログラム |
| JP2014176175A (ja) * | 2013-03-08 | 2014-09-22 | Hitachi Ltd | 蓄電池システム |
| WO2015072528A1 (ja) * | 2013-11-14 | 2015-05-21 | 日本電気株式会社 | 蓄電池の状態把握方法、状態把握システムおよびコンピュータプログラム |
| JP2016516181A (ja) * | 2013-02-28 | 2016-06-02 | 東莞賽微微電子有限公司Dongguan Cellwise Microelectronics Co.,Ltd. | 電池の電量計量システム |
| KR20170090455A (ko) * | 2014-11-28 | 2017-08-07 | 르노 에스.아.에스. | 배터리의 셀의 충전의 상태를 추정하는 자동적 방법 |
| JP2017538929A (ja) * | 2014-11-28 | 2017-12-28 | ルノー エス.ア.エス. | バッテリのセルの充電状態を自動的に推定する方法 |
| WO2018179562A1 (ja) * | 2017-03-31 | 2018-10-04 | 三菱電機株式会社 | 蓄電池状態推定装置 |
| JP2018169217A (ja) * | 2017-03-29 | 2018-11-01 | スズキ株式会社 | 二次電池の充電状態推定装置及び充電状態推定方法 |
| CN110400978A (zh) * | 2018-04-24 | 2019-11-01 | 丰田自动车株式会社 | 二次电池用的控制装置、二次电池的控制方法、电池系统及电动车辆 |
| JP2021197882A (ja) * | 2020-06-18 | 2021-12-27 | トヨタ自動車株式会社 | 車両診断システム、車両および車両診断結果の表示方法 |
| JP2023534823A (ja) * | 2020-08-13 | 2023-08-14 | エルジー エナジー ソリューション リミテッド | バッテリー容量推定装置及び方法 |
| US12157392B2 (en) | 2021-01-14 | 2024-12-03 | Toyota Jidosha Kabushiki Kaisha | Battery control system, battery control method, battery control program, and vehicle |
| EP4644927A1 (en) * | 2024-05-01 | 2025-11-05 | Prime Planet Energy & Solutions, Inc. | Battery full charge capacity estimation method, battery full charge capacity estimation device, and full charge capacity estimation program |
| EP4650799A1 (en) * | 2024-05-01 | 2025-11-19 | Prime Planet Energy & Solutions, Inc. | Battery full charge capacity estimation method, battery full charge capacity estimation device, and full charge capacity estimation program |
Families Citing this family (1)
| Publication number | Priority date | Publication date | Assignee | Title |
|---|---|---|---|---|
| JP2700532B2 (ja) | 1994-09-09 | 1998-01-21 | 豊 松田 | 袋型廃泥水分離装置 |
Citations (6)
| Publication number | Priority date | Publication date | Assignee | Title |
|---|---|---|---|---|
| JPH11206028A (ja) * | 1998-01-09 | 1999-07-30 | Nissan Motor Co Ltd | 電池の残存容量検出装置 |
| JP2005345254A (ja) * | 2004-06-02 | 2005-12-15 | Fuji Heavy Ind Ltd | 蓄電デバイスの残存容量演算装置 |
| JP2007195312A (ja) * | 2006-01-18 | 2007-08-02 | Toyota Motor Corp | 二次電池の寿命推定装置 |
| WO2008026477A1 (en) * | 2006-08-29 | 2008-03-06 | Nec Corporation | Method and device for estimating soc value of secondary battery and degradation judging method and device |
| JP2008241358A (ja) * | 2007-03-26 | 2008-10-09 | Sanyo Electric Co Ltd | 電池の満充電容量検出方法 |
| JP2010271288A (ja) * | 2009-05-25 | 2010-12-02 | Mitsubishi Heavy Ind Ltd | 電池充電率演算装置、電池充電率演算方法、及びプログラム |
-
2011
- 2011-03-08 JP JP2011050178A patent/JP5535968B2/ja not_active Expired - Fee Related
Patent Citations (6)
| Publication number | Priority date | Publication date | Assignee | Title |
|---|---|---|---|---|
| JPH11206028A (ja) * | 1998-01-09 | 1999-07-30 | Nissan Motor Co Ltd | 電池の残存容量検出装置 |
| JP2005345254A (ja) * | 2004-06-02 | 2005-12-15 | Fuji Heavy Ind Ltd | 蓄電デバイスの残存容量演算装置 |
| JP2007195312A (ja) * | 2006-01-18 | 2007-08-02 | Toyota Motor Corp | 二次電池の寿命推定装置 |
| WO2008026477A1 (en) * | 2006-08-29 | 2008-03-06 | Nec Corporation | Method and device for estimating soc value of secondary battery and degradation judging method and device |
| JP2008241358A (ja) * | 2007-03-26 | 2008-10-09 | Sanyo Electric Co Ltd | 電池の満充電容量検出方法 |
| JP2010271288A (ja) * | 2009-05-25 | 2010-12-02 | Mitsubishi Heavy Ind Ltd | 電池充電率演算装置、電池充電率演算方法、及びプログラム |
Cited By (22)
| Publication number | Priority date | Publication date | Assignee | Title |
|---|---|---|---|---|
| JP2014102076A (ja) * | 2012-11-16 | 2014-06-05 | Denso Corp | 電池システム |
| JP2014107168A (ja) * | 2012-11-28 | 2014-06-09 | Mitsubishi Heavy Ind Ltd | 二次電池管理装置、満充電容量算出方法、及びプログラム |
| JP2016516181A (ja) * | 2013-02-28 | 2016-06-02 | 東莞賽微微電子有限公司Dongguan Cellwise Microelectronics Co.,Ltd. | 電池の電量計量システム |
| JP2014176175A (ja) * | 2013-03-08 | 2014-09-22 | Hitachi Ltd | 蓄電池システム |
| US10203375B2 (en) | 2013-11-14 | 2019-02-12 | Nec Corporation | Method for ascertaining storage battery state, state-ascertaining system, and computer program |
| WO2015072528A1 (ja) * | 2013-11-14 | 2015-05-21 | 日本電気株式会社 | 蓄電池の状態把握方法、状態把握システムおよびコンピュータプログラム |
| JPWO2015072528A1 (ja) * | 2013-11-14 | 2017-03-16 | 日本電気株式会社 | 蓄電池の状態把握方法、状態把握システムおよびコンピュータプログラム |
| KR102534692B1 (ko) | 2014-11-28 | 2023-05-19 | 르노 에스.아.에스. | 배터리의 셀의 충전의 상태를 추정하는 자동적 방법 |
| JP2017538929A (ja) * | 2014-11-28 | 2017-12-28 | ルノー エス.ア.エス. | バッテリのセルの充電状態を自動的に推定する方法 |
| JP2017538932A (ja) * | 2014-11-28 | 2017-12-28 | ルノー エス.ア.エス. | バッテリのセルの充電状態を自動的に推定する方法 |
| KR20170090455A (ko) * | 2014-11-28 | 2017-08-07 | 르노 에스.아.에스. | 배터리의 셀의 충전의 상태를 추정하는 자동적 방법 |
| JP2018169217A (ja) * | 2017-03-29 | 2018-11-01 | スズキ株式会社 | 二次電池の充電状態推定装置及び充電状態推定方法 |
| WO2018179562A1 (ja) * | 2017-03-31 | 2018-10-04 | 三菱電機株式会社 | 蓄電池状態推定装置 |
| CN110400978B (zh) * | 2018-04-24 | 2022-07-12 | 丰田自动车株式会社 | 二次电池用的控制装置、二次电池的控制方法、电池系统及电动车辆 |
| CN110400978A (zh) * | 2018-04-24 | 2019-11-01 | 丰田自动车株式会社 | 二次电池用的控制装置、二次电池的控制方法、电池系统及电动车辆 |
| JP2021197882A (ja) * | 2020-06-18 | 2021-12-27 | トヨタ自動車株式会社 | 車両診断システム、車両および車両診断結果の表示方法 |
| JP7380440B2 (ja) | 2020-06-18 | 2023-11-15 | トヨタ自動車株式会社 | 車両診断システムおよび車両 |
| JP2023534823A (ja) * | 2020-08-13 | 2023-08-14 | エルジー エナジー ソリューション リミテッド | バッテリー容量推定装置及び方法 |
| JP7652508B2 (ja) | 2020-08-13 | 2025-03-27 | エルジー エナジー ソリューション リミテッド | バッテリー容量推定装置及び方法 |
| US12157392B2 (en) | 2021-01-14 | 2024-12-03 | Toyota Jidosha Kabushiki Kaisha | Battery control system, battery control method, battery control program, and vehicle |
| EP4644927A1 (en) * | 2024-05-01 | 2025-11-05 | Prime Planet Energy & Solutions, Inc. | Battery full charge capacity estimation method, battery full charge capacity estimation device, and full charge capacity estimation program |
| EP4650799A1 (en) * | 2024-05-01 | 2025-11-19 | Prime Planet Energy & Solutions, Inc. | Battery full charge capacity estimation method, battery full charge capacity estimation device, and full charge capacity estimation program |
Also Published As
| Publication number | Publication date |
|---|---|
| JP5535968B2 (ja) | 2014-07-02 |
Similar Documents
| Publication | Publication Date | Title |
|---|---|---|
| JP5535968B2 (ja) | 充電率推定装置、充電率推定方法、及びプログラム | |
| EP3413067B1 (en) | Method and apparatus for estimating a state of health of a battery pack | |
| US10312699B2 (en) | Method and system for estimating battery open cell voltage, state of charge, and state of health during operation of the battery | |
| KR102080632B1 (ko) | 배터리관리시스템 및 그 운용방법 | |
| JP6734784B2 (ja) | バッテリの健全性を推定する方法 | |
| JP7155486B2 (ja) | バッテリー管理システム、バッテリー管理方法、バッテリーパック及び電気車両 | |
| EP3106892B1 (en) | State estimation device and state estimation method | |
| US8234087B2 (en) | Apparatus and method for detecting a status of a secondary battery connected to a load | |
| US10845417B2 (en) | Battery state estimation device, battery control device, battery system, battery state estimation method | |
| JP6548387B2 (ja) | 二次電池の充電状態推定方法および推定装置 | |
| US8203305B1 (en) | Enhanced voltage-based fuel gauges and methods | |
| EP2851700B1 (en) | Method and terminal for displaying capacity of battery | |
| US20140055100A1 (en) | Battery state estimation system, battery control system, battery system, and battery state estimation method | |
| CN109856548B (zh) | 动力电池容量估算方法 | |
| CN102119338A (zh) | 基于电池电压变化模式估计电池健康状态的方法及装置 | |
| TWI628453B (zh) | 電池容量的預估方法 | |
| CN109031133B (zh) | 一种动力电池的soc修正方法 | |
| US20120290237A1 (en) | Battery condition detecting apparatus and battery condition detecting method | |
| US10444296B2 (en) | Control device, control method, and recording medium | |
| JP2014025738A (ja) | 残容量推定装置 | |
| US10578675B2 (en) | Estimation method for battery capacity | |
| JP2013108919A (ja) | Soc推定装置 | |
| JP6826152B2 (ja) | 二次電池の充電状態推定方法および推定装置 | |
| US20240094303A1 (en) | Battery state estimation device, battery state estimation system, and battery state estimation method | |
| JP5535959B2 (ja) | 充電率推定装置、充電率推定方法、及びプログラム |
Legal Events
| Date | Code | Title | Description |
|---|---|---|---|
| A521 | Written amendment |
Free format text: JAPANESE INTERMEDIATE CODE: A821 Effective date: 20130124 |
|
| A621 | Written request for application examination |
Free format text: JAPANESE INTERMEDIATE CODE: A621 Effective date: 20130124 |
|
| A977 | Report on retrieval |
Free format text: JAPANESE INTERMEDIATE CODE: A971007 Effective date: 20140114 |
|
| A131 | Notification of reasons for refusal |
Free format text: JAPANESE INTERMEDIATE CODE: A131 Effective date: 20140121 |
|
| A521 | Written amendment |
Free format text: JAPANESE INTERMEDIATE CODE: A523 Effective date: 20140324 Free format text: JAPANESE INTERMEDIATE CODE: A821 Effective date: 20140324 |
|
| TRDD | Decision of grant or rejection written | ||
| A01 | Written decision to grant a patent or to grant a registration (utility model) |
Free format text: JAPANESE INTERMEDIATE CODE: A01 Effective date: 20140408 |
|
| A61 | First payment of annual fees (during grant procedure) |
Free format text: JAPANESE INTERMEDIATE CODE: A61 Effective date: 20140423 |
|
| R151 | Written notification of patent or utility model registration |
Ref document number: 5535968 Country of ref document: JP Free format text: JAPANESE INTERMEDIATE CODE: R151 |
|
| R250 | Receipt of annual fees |
Free format text: JAPANESE INTERMEDIATE CODE: R250 |
|
| LAPS | Cancellation because of no payment of annual fees |
