JP2010016910A - 空間的にスケーラブルなビデオ符号化のために、低い複雑さでブロッキング歪を低減するための方法およびシステム - Google Patents
空間的にスケーラブルなビデオ符号化のために、低い複雑さでブロッキング歪を低減するための方法およびシステム Download PDFInfo
- Publication number
- JP2010016910A JP2010016910A JP2009242688A JP2009242688A JP2010016910A JP 2010016910 A JP2010016910 A JP 2010016910A JP 2009242688 A JP2009242688 A JP 2009242688A JP 2009242688 A JP2009242688 A JP 2009242688A JP 2010016910 A JP2010016910 A JP 2010016910A
- Authority
- JP
- Japan
- Prior art keywords
- block
- adjacent blocks
- boundary
- blocks
- filtering
- Prior art date
- Legal status (The legal status is an assumption and is not a legal conclusion. Google has not performed a legal analysis and makes no representation as to the accuracy of the status listed.)
- Granted
Links
Images
Classifications
-
- H—ELECTRICITY
- H04—ELECTRIC COMMUNICATION TECHNIQUE
- H04N—PICTORIAL COMMUNICATION, e.g. TELEVISION
- H04N19/00—Methods or arrangements for coding, decoding, compressing or decompressing digital video signals
- H04N19/30—Methods or arrangements for coding, decoding, compressing or decompressing digital video signals using hierarchical techniques, e.g. scalability
- H04N19/34—Scalability techniques involving progressive bit-plane based encoding of the enhancement layer, e.g. fine granular scalability [FGS]
-
- H—ELECTRICITY
- H04—ELECTRIC COMMUNICATION TECHNIQUE
- H04N—PICTORIAL COMMUNICATION, e.g. TELEVISION
- H04N19/00—Methods or arrangements for coding, decoding, compressing or decompressing digital video signals
- H04N19/30—Methods or arrangements for coding, decoding, compressing or decompressing digital video signals using hierarchical techniques, e.g. scalability
-
- H—ELECTRICITY
- H04—ELECTRIC COMMUNICATION TECHNIQUE
- H04N—PICTORIAL COMMUNICATION, e.g. TELEVISION
- H04N19/00—Methods or arrangements for coding, decoding, compressing or decompressing digital video signals
- H04N19/10—Methods or arrangements for coding, decoding, compressing or decompressing digital video signals using adaptive coding
- H04N19/102—Methods or arrangements for coding, decoding, compressing or decompressing digital video signals using adaptive coding characterised by the element, parameter or selection affected or controlled by the adaptive coding
- H04N19/103—Selection of coding mode or of prediction mode
- H04N19/105—Selection of the reference unit for prediction within a chosen coding or prediction mode, e.g. adaptive choice of position and number of pixels used for prediction
-
- H—ELECTRICITY
- H04—ELECTRIC COMMUNICATION TECHNIQUE
- H04N—PICTORIAL COMMUNICATION, e.g. TELEVISION
- H04N19/00—Methods or arrangements for coding, decoding, compressing or decompressing digital video signals
- H04N19/10—Methods or arrangements for coding, decoding, compressing or decompressing digital video signals using adaptive coding
- H04N19/102—Methods or arrangements for coding, decoding, compressing or decompressing digital video signals using adaptive coding characterised by the element, parameter or selection affected or controlled by the adaptive coding
- H04N19/103—Selection of coding mode or of prediction mode
- H04N19/107—Selection of coding mode or of prediction mode between spatial and temporal predictive coding, e.g. picture refresh
-
- H—ELECTRICITY
- H04—ELECTRIC COMMUNICATION TECHNIQUE
- H04N—PICTORIAL COMMUNICATION, e.g. TELEVISION
- H04N19/00—Methods or arrangements for coding, decoding, compressing or decompressing digital video signals
- H04N19/10—Methods or arrangements for coding, decoding, compressing or decompressing digital video signals using adaptive coding
- H04N19/102—Methods or arrangements for coding, decoding, compressing or decompressing digital video signals using adaptive coding characterised by the element, parameter or selection affected or controlled by the adaptive coding
- H04N19/117—Filters, e.g. for pre-processing or post-processing
-
- H—ELECTRICITY
- H04—ELECTRIC COMMUNICATION TECHNIQUE
- H04N—PICTORIAL COMMUNICATION, e.g. TELEVISION
- H04N19/00—Methods or arrangements for coding, decoding, compressing or decompressing digital video signals
- H04N19/10—Methods or arrangements for coding, decoding, compressing or decompressing digital video signals using adaptive coding
- H04N19/134—Methods or arrangements for coding, decoding, compressing or decompressing digital video signals using adaptive coding characterised by the element, parameter or criterion affecting or controlling the adaptive coding
- H04N19/136—Incoming video signal characteristics or properties
- H04N19/137—Motion inside a coding unit, e.g. average field, frame or block difference
- H04N19/139—Analysis of motion vectors, e.g. their magnitude, direction, variance or reliability
-
- H—ELECTRICITY
- H04—ELECTRIC COMMUNICATION TECHNIQUE
- H04N—PICTORIAL COMMUNICATION, e.g. TELEVISION
- H04N19/00—Methods or arrangements for coding, decoding, compressing or decompressing digital video signals
- H04N19/10—Methods or arrangements for coding, decoding, compressing or decompressing digital video signals using adaptive coding
- H04N19/134—Methods or arrangements for coding, decoding, compressing or decompressing digital video signals using adaptive coding characterised by the element, parameter or criterion affecting or controlling the adaptive coding
- H04N19/136—Incoming video signal characteristics or properties
- H04N19/14—Coding unit complexity, e.g. amount of activity or edge presence estimation
-
- H—ELECTRICITY
- H04—ELECTRIC COMMUNICATION TECHNIQUE
- H04N—PICTORIAL COMMUNICATION, e.g. TELEVISION
- H04N19/00—Methods or arrangements for coding, decoding, compressing or decompressing digital video signals
- H04N19/10—Methods or arrangements for coding, decoding, compressing or decompressing digital video signals using adaptive coding
- H04N19/134—Methods or arrangements for coding, decoding, compressing or decompressing digital video signals using adaptive coding characterised by the element, parameter or criterion affecting or controlling the adaptive coding
- H04N19/156—Availability of hardware or computational resources, e.g. encoding based on power-saving criteria
-
- H—ELECTRICITY
- H04—ELECTRIC COMMUNICATION TECHNIQUE
- H04N—PICTORIAL COMMUNICATION, e.g. TELEVISION
- H04N19/00—Methods or arrangements for coding, decoding, compressing or decompressing digital video signals
- H04N19/10—Methods or arrangements for coding, decoding, compressing or decompressing digital video signals using adaptive coding
- H04N19/134—Methods or arrangements for coding, decoding, compressing or decompressing digital video signals using adaptive coding characterised by the element, parameter or criterion affecting or controlling the adaptive coding
- H04N19/157—Assigned coding mode, i.e. the coding mode being predefined or preselected to be further used for selection of another element or parameter
- H04N19/159—Prediction type, e.g. intra-frame, inter-frame or bidirectional frame prediction
-
- H—ELECTRICITY
- H04—ELECTRIC COMMUNICATION TECHNIQUE
- H04N—PICTORIAL COMMUNICATION, e.g. TELEVISION
- H04N19/00—Methods or arrangements for coding, decoding, compressing or decompressing digital video signals
- H04N19/10—Methods or arrangements for coding, decoding, compressing or decompressing digital video signals using adaptive coding
- H04N19/169—Methods or arrangements for coding, decoding, compressing or decompressing digital video signals using adaptive coding characterised by the coding unit, i.e. the structural portion or semantic portion of the video signal being the object or the subject of the adaptive coding
- H04N19/17—Methods or arrangements for coding, decoding, compressing or decompressing digital video signals using adaptive coding characterised by the coding unit, i.e. the structural portion or semantic portion of the video signal being the object or the subject of the adaptive coding the unit being an image region, e.g. an object
-
- H—ELECTRICITY
- H04—ELECTRIC COMMUNICATION TECHNIQUE
- H04N—PICTORIAL COMMUNICATION, e.g. TELEVISION
- H04N19/00—Methods or arrangements for coding, decoding, compressing or decompressing digital video signals
- H04N19/10—Methods or arrangements for coding, decoding, compressing or decompressing digital video signals using adaptive coding
- H04N19/169—Methods or arrangements for coding, decoding, compressing or decompressing digital video signals using adaptive coding characterised by the coding unit, i.e. the structural portion or semantic portion of the video signal being the object or the subject of the adaptive coding
- H04N19/17—Methods or arrangements for coding, decoding, compressing or decompressing digital video signals using adaptive coding characterised by the coding unit, i.e. the structural portion or semantic portion of the video signal being the object or the subject of the adaptive coding the unit being an image region, e.g. an object
- H04N19/172—Methods or arrangements for coding, decoding, compressing or decompressing digital video signals using adaptive coding characterised by the coding unit, i.e. the structural portion or semantic portion of the video signal being the object or the subject of the adaptive coding the unit being an image region, e.g. an object the region being a picture, frame or field
-
- H—ELECTRICITY
- H04—ELECTRIC COMMUNICATION TECHNIQUE
- H04N—PICTORIAL COMMUNICATION, e.g. TELEVISION
- H04N19/00—Methods or arrangements for coding, decoding, compressing or decompressing digital video signals
- H04N19/10—Methods or arrangements for coding, decoding, compressing or decompressing digital video signals using adaptive coding
- H04N19/169—Methods or arrangements for coding, decoding, compressing or decompressing digital video signals using adaptive coding characterised by the coding unit, i.e. the structural portion or semantic portion of the video signal being the object or the subject of the adaptive coding
- H04N19/17—Methods or arrangements for coding, decoding, compressing or decompressing digital video signals using adaptive coding characterised by the coding unit, i.e. the structural portion or semantic portion of the video signal being the object or the subject of the adaptive coding the unit being an image region, e.g. an object
- H04N19/176—Methods or arrangements for coding, decoding, compressing or decompressing digital video signals using adaptive coding characterised by the coding unit, i.e. the structural portion or semantic portion of the video signal being the object or the subject of the adaptive coding the unit being an image region, e.g. an object the region being a block, e.g. a macroblock
-
- H—ELECTRICITY
- H04—ELECTRIC COMMUNICATION TECHNIQUE
- H04N—PICTORIAL COMMUNICATION, e.g. TELEVISION
- H04N19/00—Methods or arrangements for coding, decoding, compressing or decompressing digital video signals
- H04N19/10—Methods or arrangements for coding, decoding, compressing or decompressing digital video signals using adaptive coding
- H04N19/169—Methods or arrangements for coding, decoding, compressing or decompressing digital video signals using adaptive coding characterised by the coding unit, i.e. the structural portion or semantic portion of the video signal being the object or the subject of the adaptive coding
- H04N19/187—Methods or arrangements for coding, decoding, compressing or decompressing digital video signals using adaptive coding characterised by the coding unit, i.e. the structural portion or semantic portion of the video signal being the object or the subject of the adaptive coding the unit being a scalable video layer
-
- H—ELECTRICITY
- H04—ELECTRIC COMMUNICATION TECHNIQUE
- H04N—PICTORIAL COMMUNICATION, e.g. TELEVISION
- H04N19/00—Methods or arrangements for coding, decoding, compressing or decompressing digital video signals
- H04N19/30—Methods or arrangements for coding, decoding, compressing or decompressing digital video signals using hierarchical techniques, e.g. scalability
- H04N19/33—Methods or arrangements for coding, decoding, compressing or decompressing digital video signals using hierarchical techniques, e.g. scalability in the spatial domain
-
- H—ELECTRICITY
- H04—ELECTRIC COMMUNICATION TECHNIQUE
- H04N—PICTORIAL COMMUNICATION, e.g. TELEVISION
- H04N19/00—Methods or arrangements for coding, decoding, compressing or decompressing digital video signals
- H04N19/44—Decoders specially adapted therefor, e.g. video decoders which are asymmetric with respect to the encoder
-
- H—ELECTRICITY
- H04—ELECTRIC COMMUNICATION TECHNIQUE
- H04N—PICTORIAL COMMUNICATION, e.g. TELEVISION
- H04N19/00—Methods or arrangements for coding, decoding, compressing or decompressing digital video signals
- H04N19/50—Methods or arrangements for coding, decoding, compressing or decompressing digital video signals using predictive coding
- H04N19/503—Methods or arrangements for coding, decoding, compressing or decompressing digital video signals using predictive coding involving temporal prediction
- H04N19/51—Motion estimation or motion compensation
-
- H—ELECTRICITY
- H04—ELECTRIC COMMUNICATION TECHNIQUE
- H04N—PICTORIAL COMMUNICATION, e.g. TELEVISION
- H04N19/00—Methods or arrangements for coding, decoding, compressing or decompressing digital video signals
- H04N19/50—Methods or arrangements for coding, decoding, compressing or decompressing digital video signals using predictive coding
- H04N19/503—Methods or arrangements for coding, decoding, compressing or decompressing digital video signals using predictive coding involving temporal prediction
- H04N19/51—Motion estimation or motion compensation
- H04N19/513—Processing of motion vectors
-
- H—ELECTRICITY
- H04—ELECTRIC COMMUNICATION TECHNIQUE
- H04N—PICTORIAL COMMUNICATION, e.g. TELEVISION
- H04N19/00—Methods or arrangements for coding, decoding, compressing or decompressing digital video signals
- H04N19/50—Methods or arrangements for coding, decoding, compressing or decompressing digital video signals using predictive coding
- H04N19/503—Methods or arrangements for coding, decoding, compressing or decompressing digital video signals using predictive coding involving temporal prediction
- H04N19/51—Motion estimation or motion compensation
- H04N19/523—Motion estimation or motion compensation with sub-pixel accuracy
-
- H—ELECTRICITY
- H04—ELECTRIC COMMUNICATION TECHNIQUE
- H04N—PICTORIAL COMMUNICATION, e.g. TELEVISION
- H04N19/00—Methods or arrangements for coding, decoding, compressing or decompressing digital video signals
- H04N19/50—Methods or arrangements for coding, decoding, compressing or decompressing digital video signals using predictive coding
- H04N19/503—Methods or arrangements for coding, decoding, compressing or decompressing digital video signals using predictive coding involving temporal prediction
- H04N19/51—Motion estimation or motion compensation
- H04N19/537—Motion estimation other than block-based
- H04N19/543—Motion estimation other than block-based using regions
-
- H—ELECTRICITY
- H04—ELECTRIC COMMUNICATION TECHNIQUE
- H04N—PICTORIAL COMMUNICATION, e.g. TELEVISION
- H04N19/00—Methods or arrangements for coding, decoding, compressing or decompressing digital video signals
- H04N19/50—Methods or arrangements for coding, decoding, compressing or decompressing digital video signals using predictive coding
- H04N19/503—Methods or arrangements for coding, decoding, compressing or decompressing digital video signals using predictive coding involving temporal prediction
- H04N19/51—Motion estimation or motion compensation
- H04N19/56—Motion estimation with initialisation of the vector search, e.g. estimating a good candidate to initiate a search
-
- H—ELECTRICITY
- H04—ELECTRIC COMMUNICATION TECHNIQUE
- H04N—PICTORIAL COMMUNICATION, e.g. TELEVISION
- H04N19/00—Methods or arrangements for coding, decoding, compressing or decompressing digital video signals
- H04N19/50—Methods or arrangements for coding, decoding, compressing or decompressing digital video signals using predictive coding
- H04N19/59—Methods or arrangements for coding, decoding, compressing or decompressing digital video signals using predictive coding involving spatial sub-sampling or interpolation, e.g. alteration of picture size or resolution
-
- H—ELECTRICITY
- H04—ELECTRIC COMMUNICATION TECHNIQUE
- H04N—PICTORIAL COMMUNICATION, e.g. TELEVISION
- H04N19/00—Methods or arrangements for coding, decoding, compressing or decompressing digital video signals
- H04N19/60—Methods or arrangements for coding, decoding, compressing or decompressing digital video signals using transform coding
- H04N19/61—Methods or arrangements for coding, decoding, compressing or decompressing digital video signals using transform coding in combination with predictive coding
-
- H—ELECTRICITY
- H04—ELECTRIC COMMUNICATION TECHNIQUE
- H04N—PICTORIAL COMMUNICATION, e.g. TELEVISION
- H04N19/00—Methods or arrangements for coding, decoding, compressing or decompressing digital video signals
- H04N19/70—Methods or arrangements for coding, decoding, compressing or decompressing digital video signals characterised by syntax aspects related to video coding, e.g. related to compression standards
-
- H—ELECTRICITY
- H04—ELECTRIC COMMUNICATION TECHNIQUE
- H04N—PICTORIAL COMMUNICATION, e.g. TELEVISION
- H04N19/00—Methods or arrangements for coding, decoding, compressing or decompressing digital video signals
- H04N19/80—Details of filtering operations specially adapted for video compression, e.g. for pixel interpolation
-
- H—ELECTRICITY
- H04—ELECTRIC COMMUNICATION TECHNIQUE
- H04N—PICTORIAL COMMUNICATION, e.g. TELEVISION
- H04N19/00—Methods or arrangements for coding, decoding, compressing or decompressing digital video signals
- H04N19/80—Details of filtering operations specially adapted for video compression, e.g. for pixel interpolation
- H04N19/82—Details of filtering operations specially adapted for video compression, e.g. for pixel interpolation involving filtering within a prediction loop
-
- H—ELECTRICITY
- H04—ELECTRIC COMMUNICATION TECHNIQUE
- H04N—PICTORIAL COMMUNICATION, e.g. TELEVISION
- H04N19/00—Methods or arrangements for coding, decoding, compressing or decompressing digital video signals
- H04N19/85—Methods or arrangements for coding, decoding, compressing or decompressing digital video signals using pre-processing or post-processing specially adapted for video compression
- H04N19/86—Methods or arrangements for coding, decoding, compressing or decompressing digital video signals using pre-processing or post-processing specially adapted for video compression involving reduction of coding artifacts, e.g. of blockiness
Landscapes
- Engineering & Computer Science (AREA)
- Multimedia (AREA)
- Signal Processing (AREA)
- Computing Systems (AREA)
- Theoretical Computer Science (AREA)
- Compression Or Coding Systems Of Tv Signals (AREA)
Abstract
【解決手段】本発明の実施例は、空間スケーラブルなビデオ符号化におけるフィルタ演算のためのブロック境界の特徴を定めるためのシステムおよび方法を含む。本発明の一部の実施例は、H.264/MPEG-4 AVCのスケーラブルなビデオ符号化拡張と共に使用するようになっている方法およびシステムを含む。
【選択図】なし
Description
所定の高いレイヤのマクロブロックは「BASE_LAYER_MODE」または「QPEL_REFINEMENT_MODE」のいずれかを使用するスケーリングされたベースレイヤの動きデータを使って、レイヤ間予測を利用できる。WD-1.0[MPEG Doc.N6901]の場合のように、これらマクロブロックモードは、マクロブロック分割を含む動き/予測情報がベースレイヤから直接得られることを示している。ベースレイヤからの動きデータを引き継ぐことにより、予測マクロブロックMB_predを構成できる。「BASE_LAYER_MODE」を使用するとき、基準インデックスおよび動きベクトルと同じように、マクロブロック分割は予測マクロブロックMB_predの分割である。「QPEL_REFINEMENT_MODE」も同様であるが、4分の1サンプルの動きベクトル改良点を有する点が異なっている。
−MB_predの各4×4ブロックに対し、ベースレイヤの動きデータからの動きデータの引き継ぎ
−MB_predの各8×8ブロックに対する分割の選択
−MB_predに対するモード選択および
−動きベクトルのスケーリング
図25は、4つのコーナー281、282、283および284を有する4×4ブロックb280を示す。このプロセスは、ブロックのうちの4つのコーナー281、282、283および284の各々をチェックすることから成る。(x、y)を高いレイヤの座標系内のコーナーピクセルcの位置とする。(xbase、ybase)を、次に定義するようなベースレイヤの座標系における対応する位置とする。
−各コーナーcに対し、各リストlistx(listx=list0またはlist1)のうちの基準インデックスr(c,listx)および動きベクトルmv(c、listx)を同じ位置のベースレイヤ4×4ブロックのこれらの値にセットする。
−各コーナーに対し、同じ位置のマクロブロックが存在していないか、またはイントラモードとなっている場合、bをイントラブロックとしてセットする。
−そうでない場合、各リストlistxに対し、
〇コーナーのいずれもこのリストを使用していない場合、このリストに対する基準インデックスおよび動きベクトルをbにセットしない。
〇このリストを使用している場合、
■bに対してセットした基準インデックスrb(listx)を4つのコーナーの現在の基準インデックスの最小値とする。
一旦、各4×4ブロックの動きデータを設定すると、このデータが属す8×8ブロックの実際の分割を決定し、かつ禁止された構成を回避するにはマージングプロセスが必要である。下記の記載では、8×8ブロックのうちの4×4ブロックを、図26に示されるように識別する。
−4つの4×4ブロックがイントラブロックとして分類されている場合、Bをイントラブロックとして見なす。
−そうでない場合、Bの分割の選択を実行する。
〇各4×4ブロックに対し、同じ基準インデックスを割り当てるために次のプロセスを適用する。
各リストlistxに対し、
■4×4ブロックがこのリストを使用していない場合、このリストのうちの基準インデックスおよび動きベクトルのいずれも、Bにセットしない。
■そうでない場合、
・Bに対する基準インデックスrB(listx)を次のように4つの4×4ブロックの現在の基準インデックスの最小値として計算する。
・(1)イントラブロックとして分類されている4×4ブロックまたは(2)このリストを使用していない4×4ブロックまたは(3)rB(listx)とは異なる基準インデックrb(listx)を有する4×4ブロックが、基準インデックスおよび動きベクトルとしてrB(listx)およびmVmean(listx)を有するように強制される。
〇次に、Bに対する分割モードの選択を実行する。動きベクトルが同一である場合、2つの4×4ブロックを同一と見なす。次のようにマージングプロセスを実行する。
■b1がb2と同一であり、b3がb4と同一である場合において、
・b1がb3と同一であれば、BLK_8×8を選択し、
・そうでない場合、BLK_8×4を選択する。
■b1がb2と同一でなく、b3がb4と同一でない場合において、b1がb3と同一であり、b2がb4と同一であれば、BLK_4×8を選択し、
■そうでない場合、BLK_4×4を選択する。
一部の実施例では、MB_predモードを決定するためのプロセスを実行できる。次の記載において、マクロブロック300のうちの8×8ブロック301〜304を、図27に示されるように識別する。
次の場合に2つの8×8ブロックを同一であると見なす。
−すなわち2つの8×8ブロックのうちの一方または双方がイントラブロックとして分類される場合、または
−双方のブロックの分割モードがBLK_8×8であり、各8×8ブロックのうちのlist0とlist1の基準インデックスおよび動きベクトル(存在する場合)が同一である場合。
−すべての8×8ブロックがイントラブロックとして分類される場合、MB_predをイントラマクロブロックとして分類する。
−そうでない場合、MB_predをインターマクロブロックとする。このモード選択は次のように実行する。
〇イントラとして分類された8×8ブロックに対し、強制的にBLK_8×8の分割をする。これら基準インデックスおよび動きベクトルを次のように計算する。BINTRAを、かかる8×8ブロックとする。
各リストlistxに対し、
■8×8ブロックのいずれも、このリストを使用しない場合、このリストの基準インデックスおよび動きベクトルをBINTRAに割り当てない。
■そうでない場合、次のステップを適用する。
・基準インデックスrmin(listx)を次のように8×8ブロックの現在の基準インデックスの最小値として計算する。
・rmin(listx)をBINTRAに割り当て、BINTRAの各4×4ブロックが強制的に基準インデックスおよび動きベクトルとしてrmin(listx)およびmVmean(listx)を有するようにする。
〇次に、Bに対する分割モードの選択を実行する。分割モードがBLK_8×8であり、各8×8ブロックのlist0とlist1の基準インデックスおよび動きベクトル(存在する場合)が同一であれば、2つの8×8ブロックを同一であると見なす。マージングプロセスを次のように行う。
■B1がB2と同一であり、B3がB4と同一である場合において、
・B1がB3と同一であれば、MODE_16×16を選択する。
・そうでない場合、MODE_16×8を選択する。
■B1がB2と同一でなく、B3がB4と同一でない場合において、B1がB3と同一であり、B2がB4と同一である場合、MODE_8×16を選択する。
■そうでない場合、MODE_8×8を選択する。
上記のように導いた予測マクロブロックMB_predの現在のどの動きベクトルに対しても、動きベクトルのデスケーリングを実行できる。次の式を使ってベクトルvms=(dsx、dsy)において、動きベクトルmv=(dx、dy)をスケーリングできる。
テクスチャのアップサンプリング
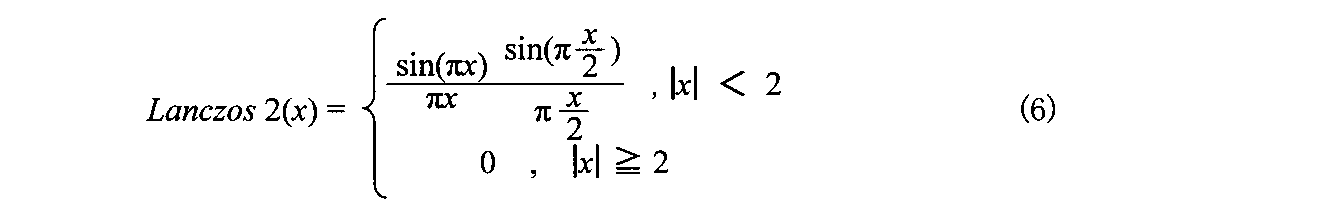
本発明の一部の実施例では、レイヤ間動き予測と同じ原理に基づき、レイヤ間テクスチャ予測を行うことができる。2−lobed又は3−lobed Lanczos−windowed sinc関数を用いてベースレイヤのテクスチャのアップサンプリングを行うことができる。これらフィルタはエリアシングの低減、シャープさおよび最小リンギングの点で最良の妥協を行うと見なされる。2−lobed Lanczos−windowed sinc関数は次のように定義される。
得られた各フェーズシフトに従い、補間のために表1から4タップフィルタを選択できる。
WD-1.0[MPEG Doc.N6901]において、I_BLモードは、対応する全てのベースレイヤのマクロブロックをイントラ符号化することを必要とする。本発明の実施例では、要求条件は、対応するベースレイヤのマクロブロックがインター符号化されているかまたは存在しない場合を認めるように、緩和される。
レイヤ間イントラテクスチャ予測と同様に、ベースレイヤの残差をアップサンプリングするときは、同じ4タップフィルタまたは他のフィルタを使用できるが、式15および16内の関数とは異なる丸め関数およびクリッピング関数を使用する。
表(テーブル)形態のシンタックス
本発明の実施例は、大きい太文字テキストで下記のように示された次の変更を利用できる。主な変更は、記号、すなわちextended_spatial_scalabilityのシーケンスパラメータの組内の追加、従ってシーケンスパラメータセット内の次のような4つのパラメータである。
スケーラブルな拡張内のシーケンスパラメータセットのシンタックス
extended_spatial_scalabilityは、ベースレイヤのアップサンプリングのための幾何学的パラメータに関連するシンタックス要素の存在を指定する。extended_spatial_scalabilityが0に等しいとき、ビットストリーム内には幾何学的パラメータは存在しない。extended_spatial_scalabilityが1に等しいとき、シーケンスパラメータセット内に幾何学的パラメータが存在する。extended_spatial_scalabilityが2のとき、slice_data_in_scalable_extension内に幾何学的パラメータが存在する。extended_spatial_scalabilityに対し、3の値を保留する。extended_satial_scalabilityが存在しないとき、0に等しいと推定する。
スライスデータ内のシンタックス要素のセマンティックスは、シーケンスパラメータセット内の同じシンタックス要素のセマンティックスと同一である。
予測データに対する復号プロセス
WD-1.0[MPEG Doc.N6901]と比較すると、次のプロセスを追加しなければならない。各マクロブロックに対し、次のことが当てはまる。
−extended_spatial_scalabilityが1または2に等しく、base_layer_mode_flagが1に等しい場合、第3章に記載されているプロセスを使ってマクロブロック分割を含む動きベクトルフィールドを得る。WD-1.0[MPEG Doc.N6901]の場合のように、全ての対応するベースレイヤのマクロブロックがイントラ符号化されている場合、現在のマクロブロックのモードをI_BLにセットする。
−そうでなく、extended_spatial_scalabilityが1または2に等しく、base_layer_mode_flagが0であり、base_layer_refinementが1に等しい場合、ベースレイヤ改善モードの信号を発する。このベースレイヤ改善モードはベースレイヤ予測モードに類似している。次の第3章では、マクロブロック分割だけでなく、基準インデックスおよび動きベクトルを得る。しかしながら、各動きベクトルに対し、更に4分の1サンプルの動きベクトル改善mvd_ref_1X(各動きベクトル成分に対し、−1、0または+1)を送信し、得られた動きベクトルに加える。
プロセスの残りは、WD-1.0[MPEG Doc.N6901]に記載されているプロセスと同一である。
WD-1.0[MPEG Doc.N6901]と比較すると、次のプロセスを追加しなければならない。
extended_spatial_scalabilityが1または2に等しい場合、I_BLモードのMBに対するイントラ予測信号を次のプロセスにより発生する。
−並べられたベースレイヤブロック/マクロブロックをフィルタにかける。
−デブロックされたデータを補間することにより、イントラ予測信号を発生する。第4章に記載されたプロセスを使ってこの補間を実行する。プロセスの他の部分はWD-1.0[MPEG Doc.N6901]に記載されているプロセスと同一である。
そうでなく、extended_spatial_scalabilityが1または2に等しく、residual_prediction_flagが1に等しい場合、次のことが当てはまる。
−ベースレイヤのブロックの残差信号をアップサンプリングし、現在のマクロブロックの残差信号に追加する。第4章に記載のプロセスを使って補間を実行する。
extended_spatial_scalabilityが1または2に等しいとき、I_BLモード(レイヤ間テクスチャ予測)のブロックに対し、フィルタ強度判断をする間にループフィルタにわずかな変更を行わなければならない。
−隣接ブロックがイントラ符号化されているが、I_BLモードにない場合、Bsは4となる(この最初の部分はWD-1.0[MPEG Doc.N6901]と同一である)。
−そうでなく、隣接ブロックのいずれかが係数を有する場合、Bsは2となる。
−そうでなく、隣接ブロックがI_BLモードにない場合、Bsは1となる。
−そうでない場合、Bsは0となる。
本発明の一部の実施例は、特にJVT(MPEGとVCEGの共同ビデオチーム)により、2005年4月に採用された、拡張空間的スケーラブル(ESS)ビデオ符号化機能のための、H.264/MPEG-4 AVCのスケーラブルビデオ符号化拡張と共に使用するようになっている。
このプロセスへの入力は次のものを含む。
・ベースピクチャ内の整数ルミナンスサンプル位置(xB、yB)および(xB1、yB1)
・x=−2+xB..(xB1+2)およびy=−2+yB..(yB1+2)の場合のベースピクチャに対するルミナンスサンプルアレイbaseL[x、y]
・chroma_format_idcが0に等しくないとき、
〇ベースピクチャ内の整数クロミナンスサンプル位置(xCB、yCB)および(xCB1、yCB1)
〇x=−2+xCB..(xCB1+2)およびy=−2+yCB..(yCB1+2)の場合のベースピクチャに対する2つのクロミナンスサンプルアレイbaseCb[x、y]およびbaseCr[x、y]
・x=0..15およびy=0..15の場合の、ルミナンスサンプルマクロブロックアレイpredL[x、y]
・chroma_format_idcが0でない場合の、x=0..MbWidthC−1、およびy=0..MbHeightC−1の場合の、2つのクロミナンスサンプルマクロブロックアレイpredCb[x、y]およびpredCr[x、y]
・x=−2+xB..(xB1+2)およびy=0..15の場合の、tempL[x、y]を一時的ルミナンスサンプルアレイとする。
・x=−2+xB..(xB1+2)およびy=0..15の場合の、各tempL[x、y]は次のように導かれる。
〇ベースレイヤ内の対応する部分的サンプル位置yfは次のように導かれる。
yf=Py,L(y+yP)
〇yIntおよびyFracを次のように定義する。
〇ベースレイヤ内の対応する部分的サンプル位置xfは次のように導かれる。
xf=Px,L(x+xP)
〇xIntおよびxFracは次のように導かれる。
・x=−2+xCB.. ..(xCB1+2)およびy=0..MbHeightC−1の場合のtemplCb[x、y]およびtemplCr[x、y]を一時的クロミナンスサンプルアレイとする。
・CがCbおよびCrであり、x=−2+xCB..(xCB1+2)およびy=0...MbHeightC−1である場合の各tempC[x、y]は次のように導かれる。
〇ベースレイヤ内の対応する部分サンプル位置yfCは次のように導かれる。
yfC=py,C(y+yC)
〇yIntCおよびyFracCを次のように定める。
〇ベースレイヤ内の対応する部分的サンプル位置xfCは次のように導かれる。
xfC=pX,C(x+xC)
〇xIntCおよびxFracCを次のように定義する。
このプロセスへの入力は次のものを含む。
・basePic(xB、yB)および(xB1、yB1)における整数ルミナンスサンプル位置
・x=−xB..xB1およびy=yB..yB1の場合のルミナンス残差サンプルアレイresBaseL[x、y]
・chroma_format_idcが0に等しくないとき、
〇basePic(xCB、yCB)および(xCB1、yCB1)における整数クロミナンスサンプル位置
〇x=xCB..xCB1およびy=yCB..yCB1の場合の2つのクロミナンス残差サンプルアレイresBaseCb[x、y]およびresBaseCr[x、y]
・x=0..15およびy=0..15の場合のルミナンスサンプルアレイresPredL[x、y]
・chroma_format_idcが0に等しくないとき、x=0..MbWidthC−1およびy=0..MbHeightC−1の場合の2つのクロミナンスサンプルアレイresPredCb[x、y]およびresPredCr[x、y]
・x=xB..xB1およびy=0..15の場合のtempL[x、y]を一時的ルミナンスサンプルアレイとする。
・x=−xB..xB1およびy=0..15の場合のtempL[x、y]は次のように導かれる。
〇ベースレイヤ内の対応する部分的サンプル位置yfは次のように導かれる。
yf=Py,L(y+yP)
〇yIntおよびyFracを次のように定める。
〇ベースレイヤ内の対応する部分的サンプル位置xfは次のように導かれる。
xf=px,L(x+xP)
〇xIntおよびxFracを次のように定める。
・x=xCB.. ..xCB1およびy=0..MbHeightC−1の場合のtemplCb[x、y]およびtemplCr[x、y]を一時的クロミナンスサンプルアレイとする。
・CがCbおよびCrであり、x=−xCB..xCB1およびy=0..MbHeightC−1である場合の各tempC[x、y]は次のように導かれる。
〇ベースレイヤ内の対応する部分サンプル位置yfCは次のように導かれる。
yfC=py,C(y+yC)
〇yIntCおよびyFracCを次のように定める。
〇ベースレイヤ内の対応する部分的サンプル位置xfCは次のように導かれる。
xfC=pX,C(x+xC)
〇xIntCおよびxFracCを次のように定義する。
1.隣接するブロックがイントラ符号化されており、I_BLモードでない場合、Bsは4である。
2.そうでなくて、隣接するブロックのいずれかが0でない係数を有する場合、Bsは2となる。
3.そうでなくて、隣接するブロックが同一ベースレイヤのピクチャに基づき、I_BLモードでない場合、Bsは1となる。
4.その他の場合、Bsは0となる。
・ルミナンスサンプルp0またはq0がI_BLモード以外のイントラ予測モードを使用して符号化されたマクロブロック内にある場合、4に等しいBsの値が出力となる。
・以下の条件の1つが成り立つ場合、2に等しいBsの値が出力となる。
i.サンプルp0を含むルミナンスブロックまたはサンプルq0を含むルミナンスブロックが0でない変換係数レベルを含む。
ii.サンプルp0を含むルミナンスブロックまたはサンプルq0を含むルミナンスブロックに対し、シンタックス要素nal_unit_typeは20に等しく、residual_prediction_flagは1に等しく、予測アレイresPredXはサブ章S.8.5.14で導かれたように0でないサンプルを含む。ここで、Xは適用可能な成分L、CbまたはCrを示す。
・次の条件のうちの1つが成り立つ場合、1に等しいBsの値が出力となる。
i.ルミナンスサンプルp0またはq0のいずれかが、インター予測モードを使用して符号化されたマクロブロック内にある。
ii.ルミナンスサンプルp0またはq0は、異なるbase_id_plus1を有する2つの別個のスライス内にある。
・そうでない場合、0に等しいBsの値が出力となる。
・サンプルp0およびq0の双方が、I_BLマクロブロック予測モードを使用して符号化されたマクロブロック内にある場合、1に等しいBsの値が出力となる。
Claims (6)
- レイヤ間テクスチャ予測を使って隣接するブロックのうちの少なくとも1つを符号化する、空間的スケーラビリティエンハンスメントレイヤ内の隣接するブロック間のブロック境界の特徴を定めるための方法であって、
前記レイヤ間テクスチャ予測以外のイントラ予測モードを使って前記隣接するブロックのうちの1つを符号化するとき、第1の境界強度インジケータにより前記ブロック境界の特徴を定めるステップと、
前記隣接するブロックのうちの1つをインター予測モードを使って符号化するときに、
第2の境界強度インジケータを用いて前記ブロック境界の特徴を定めるステップとを含み、
前記ブロック境界に対してデブロッキングフィルタを適用するときに、
前記第1の境界強度インジケータは前記第2の境界強度インジケータよりも強いデブロッキングフィルタを適用させることを特徴とする方法。 - レイヤ間テクスチャ予測を使って隣接するブロックのうちの少なくとも1つを符号化する、空間的スケーラビリティエンハンスメントレイヤ内の隣接するブロック間のブロック境界の特徴を定めるための方法であって、
前記レイヤ間テクスチャ予測以外のイントラ予測モードを使って前記隣接するブロックのうちの1つを符号化するとき、第1の境界強度インジケータにより前記ブロック境界の特徴を定めるステップと、
前記レイヤ間テクスチャ予測を使って前記隣接するブロックの双方を符号化して、
前記隣接するブロックのいずれかが非ゼロ変換係数を有するときに、
第3の境界強度インジケータを用いて前記ブロック境界の特徴を定めるステップを含み、
前記ブロック境界に対してデブロッキングフィルタを適用するときに、
前記第1の境界強度インジケータは前記第3の境界強度インジケータよりも強いデブロッキングフィルタを適用させることを特徴とする方法。 - レイヤ間テクスチャ予測を使って隣接するブロックのうちの少なくとも1つを符号化する、空間的スケーラビリティエンハンスメントレイヤ内の隣接するブロック間のブロック境界の特徴を定めるための方法であって、
前記レイヤ間テクスチャ予測以外のイントラ予測モードを使って前記隣接するブロックのうちの1つを符号化するとき、第1の境界強度インジケータにより前記ブロック境界の特徴を定めるステップと、
前記レイヤ間テクスチャ予測を使ってもとの通り前記隣接するブロックの双方を符号化して、
前記隣接するブロックのいずれかが非ゼロ変換係数を有するときに、
第3の境界強度インジケータを用いて前記ブロック境界の特徴を定めるステップと、
前記レイヤ間テクスチャ予測を使って前記隣接するブロックの双方を符号化して、
前記隣接するブロックのいずれも非ゼロ変換係数を有しないときに、
第4の境界強度インジケータを用いて前記ブロック境界の特徴を定めるステップを含み、
前記ブロック境界に対してデブロッキングフィルタを適用するときに、
前記第1の境界強度インジケータは前記第3の境界強度インジケータよりも強いデブロッキングフィルタを適用させ、
前記第3の境界強度インジケータは前記第4の境界強度インジケータよりも強いデブロッキングフィルタを適用させることを特徴とする方法。 - レイヤ間テクスチャ予測を使って隣接するブロックのうちの少なくとも1つを符号化する、空間的スケーラビリティエンハンスメントレイヤ内の隣接するブロック間のブロック境界の特徴を定めるシステムであって、
前記レイヤ間テクスチャ予測以外のイントラ予測モードを使って前記隣接するブロックのうちの1つを符号化するとき、第1の境界強度インジケータを用いて前記ブロック境界の特徴を定めるための予測モードアナライザを備え、
前記隣接するブロックのうちの1つをインター予測モードを使って符号化するときに、
第2の境界強度インジケータを用いて前記ブロック境界の特徴を定め、
前記ブロック境界に対してデブロッキングフィルタを適用するときに、
前記第1の境界強度インジケータは前記第2の境界強度インジケータよりも強いデブロッキングフィルタを適用させることを特徴とするシステム。 - レイヤ間テクスチャ予測を使って隣接するブロックのうちの少なくとも1つを符号化する、空間的スケーラビリティエンハンスメントレイヤ内の隣接するブロック間のブロック境界の特徴を定めるシステムであって、
前記レイヤ間テクスチャ予測以外のイントラ予測モードを使って前記隣接するブロックのうちの1つを符号化するとき、第1の境界強度インジケータを用いて前記ブロック境界の特徴を定めるための予測モードアナライザと、
前記レイヤ間テクスチャ予測を使って前記隣接するブロックの双方を符号化して、
前記隣接するブロックのいずれかが非ゼロ変換係数を有するときに、
第3の境界強度インジケータを用いて前記ブロック境界の特徴を定めるための係数アナライザを備え、
前記ブロック境界に対してデブロッキングフィルタを適用するときに、
前記第1の境界強度インジケータは前記第3の境界強度インジケータよりも強いデブロッキングフィルタを適用させることを特徴とするシステム。 - レイヤ間テクスチャ予測を使って隣接するブロックのうちの少なくとも1つを符号化する、空間的スケーラビリティエンハンスメントレイヤ内の隣接するブロック間のブロック境界の特徴を定めるシステムであって、
前記レイヤ間テクスチャ予測以外のイントラ予測モードを使って前記隣接するブロックのうちの1つを符号化するとき、第1の境界強度インジケータを用いて前記ブロック境界の特徴を定めるための予測モードアナライザと、
前記レイヤ間テクスチャ予測を使って前記隣接するブロックの双方を符号化して、
前記隣接するブロックのいずれかが非ゼロ変換係数を有するときに、
第3の境界強度インジケータを用いて前記ブロック境界の特徴を定めるための係数アナライザを備え、
前記レイヤ間テクスチャ予測を使って前記隣接するブロックの双方を符号化して、
前記隣接するブロックのいずれも非ゼロ変換係数を有しないときに、
第4の境界強度インジケータを用いて前記ブロック境界の特徴を定め、
前記ブロック境界に対してデブロッキングフィルタを適用するときに、
前記第1の境界強度インジケータは前記第3の境界強度インジケータよりも強いデブロッキングフィルタを適用させ、
前記第3の境界強度インジケータは前記第4の境界強度インジケータよりも強いデブロッキングフィルタを適用させることを特徴とするシステム。
Applications Claiming Priority (6)
| Application Number | Priority Date | Filing Date | Title |
|---|---|---|---|
| US66316105P | 2005-03-18 | 2005-03-18 | |
| US60/663,161 | 2005-03-18 | ||
| US68306005P | 2005-05-20 | 2005-05-20 | |
| US60/683,060 | 2005-05-20 | ||
| US68667605P | 2005-06-01 | 2005-06-01 | |
| US60/686,676 | 2005-06-01 |
Related Parent Applications (1)
| Application Number | Title | Priority Date | Filing Date |
|---|---|---|---|
| JP2008501902A Division JP4454678B2 (ja) | 2005-03-18 | 2006-02-28 | 隣接するブロック間のブロック境界の特徴を定める方法 |
Publications (2)
| Publication Number | Publication Date |
|---|---|
| JP2010016910A true JP2010016910A (ja) | 2010-01-21 |
| JP4975078B2 JP4975078B2 (ja) | 2012-07-11 |
Family
ID=37024293
Family Applications (5)
| Application Number | Title | Priority Date | Filing Date |
|---|---|---|---|
| JP2008501902A Active JP4454678B2 (ja) | 2005-03-18 | 2006-02-28 | 隣接するブロック間のブロック境界の特徴を定める方法 |
| JP2008501903A Active JP4751928B2 (ja) | 2005-03-18 | 2006-02-28 | 拡張された空間スケーラビティにおける画像レベルの適応化方法およびシステム |
| JP2009242741A Pending JP2010016911A (ja) | 2005-03-18 | 2009-10-21 | ブロッキング歪を低減した画像データの符号化・複号化装置及び伝送システム |
| JP2009242688A Active JP4975078B2 (ja) | 2005-03-18 | 2009-10-21 | 空間的にスケーラブルなビデオ符号化のために、低い複雑さでブロッキング歪を低減するための方法およびシステム |
| JP2010277337A Active JP5154635B2 (ja) | 2005-03-18 | 2010-12-13 | 拡張された空間スケーラビティにおける画像レベルの適応化方法およびシステム |
Family Applications Before (3)
| Application Number | Title | Priority Date | Filing Date |
|---|---|---|---|
| JP2008501902A Active JP4454678B2 (ja) | 2005-03-18 | 2006-02-28 | 隣接するブロック間のブロック境界の特徴を定める方法 |
| JP2008501903A Active JP4751928B2 (ja) | 2005-03-18 | 2006-02-28 | 拡張された空間スケーラビティにおける画像レベルの適応化方法およびシステム |
| JP2009242741A Pending JP2010016911A (ja) | 2005-03-18 | 2009-10-21 | ブロッキング歪を低減した画像データの符号化・複号化装置及び伝送システム |
Family Applications After (1)
| Application Number | Title | Priority Date | Filing Date |
|---|---|---|---|
| JP2010277337A Active JP5154635B2 (ja) | 2005-03-18 | 2010-12-13 | 拡張された空間スケーラビティにおける画像レベルの適応化方法およびシステム |
Country Status (6)
| Country | Link |
|---|---|
| US (1) | US7961963B2 (ja) |
| EP (2) | EP1859534A4 (ja) |
| JP (5) | JP4454678B2 (ja) |
| KR (2) | KR100947677B1 (ja) |
| CN (3) | CN101379511B (ja) |
| WO (2) | WO2006101682A2 (ja) |
Cited By (1)
| Publication number | Priority date | Publication date | Assignee | Title |
|---|---|---|---|---|
| WO2014007596A1 (ko) * | 2012-07-06 | 2014-01-09 | 삼성전자 주식회사 | 다계층 비디오 부호화 방법 및 장치, 다계층 비디오 복호화 방법 및 장치 |
Families Citing this family (114)
| Publication number | Priority date | Publication date | Assignee | Title |
|---|---|---|---|---|
| KR100679035B1 (ko) * | 2005-01-04 | 2007-02-06 | 삼성전자주식회사 | 인트라 bl 모드를 고려한 디블록 필터링 방법, 및 상기방법을 이용하는 다 계층 비디오 인코더/디코더 |
| WO2006087314A1 (en) * | 2005-02-18 | 2006-08-24 | Thomson Licensing | Method for deriving coding information for high resolution images from low resoluton images and coding and decoding devices implementing said method |
| US8345762B2 (en) * | 2005-02-18 | 2013-01-01 | Thomson Licensing | Method for deriving coding information for high resolution pictures from low resolution pictures and coding and decoding devices implementing said method |
| JP4839035B2 (ja) * | 2005-07-22 | 2011-12-14 | オリンパス株式会社 | 内視鏡用処置具および内視鏡システム |
| KR100678958B1 (ko) * | 2005-07-29 | 2007-02-06 | 삼성전자주식회사 | 인트라 bl 모드를 고려한 디블록 필터링 방법, 및 상기방법을 이용하는 다 계층 비디오 인코더/디코더 |
| CN1859576A (zh) | 2005-10-11 | 2006-11-08 | 华为技术有限公司 | 对空间分层编码视频图象的上采样方法及其系统 |
| BRPI0616745A2 (pt) * | 2005-10-19 | 2011-06-28 | Thomson Licensing | codificação / decodificação de vìdeo com múltiplas visualizações usando codificação / decodificação de vìdeo escalonável |
| EP1972152A4 (en) * | 2006-01-09 | 2014-12-17 | Lg Electronics Inc | METHOD FOR PREDICTING INTER-LAYER OF VIDEO SIGNAL |
| US20070160134A1 (en) * | 2006-01-10 | 2007-07-12 | Segall Christopher A | Methods and Systems for Filter Characterization |
| EP1974548A4 (en) * | 2006-01-10 | 2010-05-12 | Nokia Corp | SWITCH FILTER SCANNING MECHANISM FOR SCALABLE VIDEO CODING |
| CN1794821A (zh) * | 2006-01-11 | 2006-06-28 | 浙江大学 | 可分级视频压缩中插值的方法与装置 |
| US8014445B2 (en) * | 2006-02-24 | 2011-09-06 | Sharp Laboratories Of America, Inc. | Methods and systems for high dynamic range video coding |
| US8194997B2 (en) * | 2006-03-24 | 2012-06-05 | Sharp Laboratories Of America, Inc. | Methods and systems for tone mapping messaging |
| US8532176B2 (en) * | 2006-07-10 | 2013-09-10 | Sharp Laboratories Of America, Inc. | Methods and systems for combining layers in a multi-layer bitstream |
| US8422548B2 (en) * | 2006-07-10 | 2013-04-16 | Sharp Laboratories Of America, Inc. | Methods and systems for transform selection and management |
| US7885471B2 (en) * | 2006-07-10 | 2011-02-08 | Sharp Laboratories Of America, Inc. | Methods and systems for maintenance and use of coded block pattern information |
| US8059714B2 (en) * | 2006-07-10 | 2011-11-15 | Sharp Laboratories Of America, Inc. | Methods and systems for residual layer scaling |
| US7840078B2 (en) * | 2006-07-10 | 2010-11-23 | Sharp Laboratories Of America, Inc. | Methods and systems for image processing control based on adjacent block characteristics |
| US8130822B2 (en) * | 2006-07-10 | 2012-03-06 | Sharp Laboratories Of America, Inc. | Methods and systems for conditional transform-domain residual accumulation |
| EP1879399A1 (en) | 2006-07-12 | 2008-01-16 | THOMSON Licensing | Method for deriving motion data for high resolution pictures from motion data of low resolution pictures and coding and decoding devices implementing said method |
| EP2060122A4 (en) * | 2006-09-07 | 2016-04-27 | Lg Electronics Inc | METHOD AND DEVICE FOR CODING AND DECODING A VIDEO SIGNAL |
| WO2008049052A2 (en) * | 2006-10-18 | 2008-04-24 | Apple Inc. | Scalable video coding with filtering of lower layers |
| US8054885B2 (en) * | 2006-11-09 | 2011-11-08 | Lg Electronics Inc. | Method and apparatus for decoding/encoding a video signal |
| US7742524B2 (en) * | 2006-11-17 | 2010-06-22 | Lg Electronics Inc. | Method and apparatus for decoding/encoding a video signal using inter-layer prediction |
| US8548056B2 (en) * | 2007-01-08 | 2013-10-01 | Qualcomm Incorporated | Extended inter-layer coding for spatial scability |
| US8199812B2 (en) * | 2007-01-09 | 2012-06-12 | Qualcomm Incorporated | Adaptive upsampling for scalable video coding |
| US8233536B2 (en) | 2007-01-23 | 2012-07-31 | Sharp Laboratories Of America, Inc. | Methods and systems for multiplication-free inter-layer image prediction |
| US8503524B2 (en) * | 2007-01-23 | 2013-08-06 | Sharp Laboratories Of America, Inc. | Methods and systems for inter-layer image prediction |
| US8665942B2 (en) | 2007-01-23 | 2014-03-04 | Sharp Laboratories Of America, Inc. | Methods and systems for inter-layer image prediction signaling |
| US7826673B2 (en) * | 2007-01-23 | 2010-11-02 | Sharp Laboratories Of America, Inc. | Methods and systems for inter-layer image prediction with color-conversion |
| KR100843100B1 (ko) * | 2007-02-07 | 2008-07-03 | 삼성전자주식회사 | 디지털 영상에서의 블록 노이즈 저감 방법 및 장치, 이를이용한 인코딩/디코딩 방법 및 인코더/디코더 |
| US7760949B2 (en) | 2007-02-08 | 2010-07-20 | Sharp Laboratories Of America, Inc. | Methods and systems for coding multiple dynamic range images |
| US8767834B2 (en) | 2007-03-09 | 2014-07-01 | Sharp Laboratories Of America, Inc. | Methods and systems for scalable-to-non-scalable bit-stream rewriting |
| US8014613B2 (en) * | 2007-04-16 | 2011-09-06 | Sharp Laboratories Of America, Inc. | Methods and systems for inter-layer image parameter prediction |
| US8605786B2 (en) * | 2007-09-04 | 2013-12-10 | The Regents Of The University Of California | Hierarchical motion vector processing method, software and devices |
| US8175158B2 (en) * | 2008-01-04 | 2012-05-08 | Sharp Laboratories Of America, Inc. | Methods and systems for inter-layer image prediction parameter determination |
| US8249142B2 (en) * | 2008-04-24 | 2012-08-21 | Motorola Mobility Llc | Method and apparatus for encoding and decoding video using redundant encoding and decoding techniques |
| KR101552639B1 (ko) * | 2008-07-11 | 2015-09-14 | 한국전자통신연구원 | 인트라 매크로 블록의 디블록킹 필터 및 필터링 방법 |
| US9479786B2 (en) | 2008-09-26 | 2016-10-25 | Dolby Laboratories Licensing Corporation | Complexity allocation for video and image coding applications |
| US8379727B2 (en) * | 2008-09-26 | 2013-02-19 | General Instrument Corporation | Method and apparatus for scalable motion estimation |
| KR101590500B1 (ko) * | 2008-10-23 | 2016-02-01 | 에스케이텔레콤 주식회사 | 동영상 부호화/복호화 장치, 이를 위한 인트라 예측 방향에기반한 디블록킹 필터링 장치 및 필터링 방법, 및 기록 매체 |
| KR101534050B1 (ko) * | 2008-10-28 | 2015-07-06 | 에스케이 텔레콤주식회사 | 동영상 부호화/복호화 장치, 이를 위한 디블록킹 필터링 장치와 방법, 및 기록 매체 |
| JP5667773B2 (ja) * | 2010-03-18 | 2015-02-12 | キヤノン株式会社 | 情報作成装置及びその制御方法 |
| TWI416961B (zh) * | 2010-04-02 | 2013-11-21 | Univ Nat Chiao Tung | 用於可調式視訊編碼系統之選擇性移動向量預測方法、移動估測方法及其裝置 |
| KR101792967B1 (ko) | 2010-04-13 | 2017-11-02 | 지이 비디오 컴프레션, 엘엘씨 | 샘플 배열 멀티트리 세부분할에서 계승 |
| BR122020007922B1 (pt) * | 2010-04-13 | 2021-08-31 | Ge Video Compression, Llc | Predição interplano |
| DK2947884T3 (da) | 2010-04-13 | 2019-10-28 | Ge Video Compression Llc | Videokodning ved anvendelse af multitræsunderinddeling af billeder |
| CN106303523B (zh) | 2010-04-13 | 2020-09-11 | Ge视频压缩有限责任公司 | 解码器及方法、编码方法 |
| US9094658B2 (en) * | 2010-05-10 | 2015-07-28 | Mediatek Inc. | Method and apparatus of adaptive loop filtering |
| KR102344855B1 (ko) * | 2010-05-26 | 2021-12-28 | 엘지전자 주식회사 | 비디오 신호의 처리 방법 및 장치 |
| WO2011152425A1 (ja) | 2010-06-03 | 2011-12-08 | シャープ株式会社 | フィルタ装置、画像復号装置、画像符号化装置、および、フィルタパラメータのデータ構造 |
| WO2012035746A1 (ja) * | 2010-09-17 | 2012-03-22 | 日本電気株式会社 | 映像符号化装置および映像復号装置 |
| CN102438135B (zh) * | 2011-01-14 | 2013-12-04 | 展讯通信(上海)有限公司 | 高分辨率视频在小尺寸显示设备上的降采样解码方法及装置 |
| KR20120088488A (ko) * | 2011-01-31 | 2012-08-08 | 한국전자통신연구원 | 시간적 움직임 벡터 저장 방법 및 그 장치 |
| JP5859568B2 (ja) * | 2011-03-10 | 2016-02-10 | メディア テック シンガポール ピーティーイー.リミテッド | 非ブロック化フィルタの方法と装置 |
| US10728575B2 (en) * | 2011-06-07 | 2020-07-28 | Interdigital Vc Holdings, Inc. | Method for encoding and/or decoding images on macroblock level using intra-prediction |
| CN103688533B (zh) * | 2011-06-20 | 2015-12-23 | 联发科技(新加坡)私人有限公司 | 可减少行存储器的色度帧内预测方法及装置 |
| KR20120140592A (ko) | 2011-06-21 | 2012-12-31 | 한국전자통신연구원 | 움직임 보상의 계산 복잡도 감소 및 부호화 효율을 증가시키는 방법 및 장치 |
| WO2012177052A2 (ko) | 2011-06-21 | 2012-12-27 | 한국전자통신연구원 | 인터 예측 방법 및 그 장치 |
| LT4009638T (lt) * | 2011-06-28 | 2025-02-10 | Sony Group Corporation | Vaizdo apdorojimo įrenginys, vaizdo apdorojimo būdas, programa ir laikmena |
| CN106941608B (zh) * | 2011-06-30 | 2021-01-15 | 三菱电机株式会社 | 图像编码装置及方法、图像解码装置及方法 |
| EP2552115A1 (en) * | 2011-07-25 | 2013-01-30 | Siemens Aktiengesellschaft | A method for coding a sequence of digital images |
| WO2013036972A1 (en) | 2011-09-09 | 2013-03-14 | Panamorph, Inc. | Image processing system and method |
| CN108696752B (zh) * | 2011-09-20 | 2021-07-27 | Lg 电子株式会社 | 用于编码/解码图像信息的方法和装置 |
| KR20130037162A (ko) * | 2011-10-05 | 2013-04-15 | 한국전자통신연구원 | 스케일러블 비디오 코딩을 위한 계층간 텍스처 예측 방법 및 그 장치 |
| US9167269B2 (en) * | 2011-10-25 | 2015-10-20 | Qualcomm Incorporated | Determining boundary strength values for deblocking filtering for video coding |
| US9832461B2 (en) | 2011-10-31 | 2017-11-28 | Hfi Innovation Inc. | Method and apparatus of deblocking filter with simplified boundary strength decision |
| PL2775711T3 (pl) * | 2011-11-04 | 2020-06-29 | Lg Electronics Inc. | Sposób i aparat do kodowania/dekodowania informacji o obrazie |
| WO2013077714A1 (ko) * | 2011-11-27 | 2013-05-30 | 엘지전자 주식회사 | 영상 정보 인코딩/디코딩 방법 및 장치 |
| JP5944013B2 (ja) * | 2012-01-17 | 2016-07-05 | テレフオンアクチーボラゲット エルエム エリクソン(パブル) | 参照画像リストの取り扱い |
| EP2833633A4 (en) * | 2012-03-29 | 2015-11-11 | Lg Electronics Inc | METHOD FOR PREDICTION BETWEEN LAYERS, AND ENCODING DEVICE AND DECODING DEVICE USING THE SAME |
| CN102630015B (zh) * | 2012-04-06 | 2014-07-16 | 芯原微电子(北京)有限公司 | 一种基于RealVideo9或10去块效应的快速旁路方法和装置 |
| WO2013169049A1 (ko) * | 2012-05-10 | 2013-11-14 | 엘지전자 주식회사 | 인터 레이어 예측 방법 및 이를 이용하는 장치 |
| US9838688B2 (en) | 2012-06-22 | 2017-12-05 | Mediatek Inc. | Method and apparatus of adaptive intra prediction for inter-layer and inter-view coding |
| CN109257601A (zh) * | 2012-07-03 | 2019-01-22 | 夏普株式会社 | 图像解码装置以及图像编码装置 |
| KR20180112099A (ko) * | 2012-07-09 | 2018-10-11 | 브이아이디 스케일, 인크. | 멀티 레이어 비디오 코딩용 코덱 아키텍처 |
| JP6401161B2 (ja) * | 2012-08-06 | 2018-10-03 | ヴィド スケール インコーポレイテッド | マルチレイヤビデオコーディングにおける空間レイヤのためのサンプリンググリッド情報 |
| US20140044162A1 (en) * | 2012-08-08 | 2014-02-13 | Qualcomm Incorporated | Adaptive inference mode information derivation in scalable video coding |
| US9854235B2 (en) * | 2012-08-31 | 2017-12-26 | Blackberry Limited | Methods and devices for entropy coding in scalable video compression |
| US10448032B2 (en) * | 2012-09-04 | 2019-10-15 | Qualcomm Incorporated | Signaling of down-sampling location information in scalable video coding |
| JP6282763B2 (ja) * | 2012-09-21 | 2018-02-21 | 株式会社東芝 | 復号装置、符号化装置、復号方法、及び符号化方法 |
| JP6125215B2 (ja) | 2012-09-21 | 2017-05-10 | 株式会社東芝 | 復号装置、及び符号化装置 |
| BR112015006551B1 (pt) * | 2012-09-27 | 2022-12-06 | Dolby Laboratories Licensing Corporation | Processamento de figuração de referência entre camadas para escalabilidade padrão de codificação |
| CN104541506A (zh) * | 2012-09-28 | 2015-04-22 | 英特尔公司 | 层间像素样本预测 |
| SG11201500316PA (en) | 2012-09-28 | 2015-02-27 | Intel Corp | Inter-layer intra mode prediction |
| CN103716622B (zh) * | 2012-09-29 | 2017-02-08 | 华为技术有限公司 | 用于图像处理的方法和装置 |
| US9894407B2 (en) * | 2012-11-07 | 2018-02-13 | Lg Electronics Inc. | Apparatus for transreceiving signals and method for transreceiving signals |
| US9756613B2 (en) | 2012-12-06 | 2017-09-05 | Qualcomm Incorporated | Transmission and reception timing for device-to-device communication system embedded in a cellular system |
| TWI521946B (zh) | 2012-12-21 | 2016-02-11 | 杜比實驗室特許公司 | 在高位元深度視訊的可適性編碼中,高精度升取樣 |
| CN103916676B (zh) * | 2012-12-31 | 2017-09-29 | 华为技术有限公司 | 一种边界强度确定方法、去块效应滤波方法、及装置 |
| CN116320393B (zh) * | 2013-01-04 | 2025-12-23 | 杜比视频压缩有限责任公司 | 高效可伸缩编码概念 |
| US9270991B2 (en) * | 2013-01-07 | 2016-02-23 | Qualcomm Incorporated | Inter-layer reference picture generation for HLS-only scalable video coding |
| US9743097B2 (en) * | 2013-03-01 | 2017-08-22 | Qualcomm Incorporated | Spatial motion vector scaling for scalable video coding |
| US10284842B2 (en) | 2013-03-05 | 2019-05-07 | Qualcomm Incorporated | Inter-layer reference picture construction for spatial scalability with different aspect ratios |
| US9473779B2 (en) * | 2013-03-05 | 2016-10-18 | Qualcomm Incorporated | Parallel processing for video coding |
| EP2974313B1 (en) * | 2013-03-12 | 2018-07-11 | HFI Innovation Inc. | Inter-layer motion vector scaling for scalable video coding |
| KR102127281B1 (ko) | 2013-04-08 | 2020-06-26 | 지이 비디오 컴프레션, 엘엘씨 | 효율적인 다-시점/계층 코딩을 허용하는 코딩 개념 |
| CN103220529B (zh) * | 2013-04-15 | 2016-02-24 | 北京大学 | 一种视频编解码环路滤波的实现方法 |
| US9813723B2 (en) * | 2013-05-03 | 2017-11-07 | Qualcomm Incorporated | Conditionally invoking a resampling process in SHVC |
| US9578328B2 (en) * | 2013-07-15 | 2017-02-21 | Qualcomm Incorporated | Cross-layer parallel processing and offset delay parameters for video coding |
| CN110033494A (zh) | 2013-09-20 | 2019-07-19 | Vid拓展公司 | 视频解码器设备和方法 |
| JP6240331B2 (ja) * | 2013-12-13 | 2017-11-29 | ヴィド スケール インコーポレイテッド | 色域スケーラビリティに対する3dルックアップテーブル(lut)推定を提供すること |
| FR3018417B1 (fr) * | 2014-03-04 | 2017-07-28 | Sagemcom Broadband Sas | Procede de modification d'un flux video binaire. |
| KR20160132857A (ko) * | 2014-03-14 | 2016-11-21 | 삼성전자주식회사 | 스케일러블 비디오 부호화/복호화 방법 및 장치 |
| KR102260146B1 (ko) * | 2014-03-31 | 2021-06-03 | 인텔렉추얼디스커버리 주식회사 | 시점 간 움직임 병합 후보 유도 방법 및 장치 |
| US9704213B2 (en) | 2014-08-13 | 2017-07-11 | Qualcomm Incorporated | Texture element streaming |
| JP6305279B2 (ja) * | 2014-08-26 | 2018-04-04 | 株式会社東芝 | 映像圧縮装置および映像再生装置 |
| CN109257605B (zh) * | 2017-07-13 | 2021-11-19 | 华为技术有限公司 | 图像处理方法、设备及系统 |
| EP3454556A1 (en) | 2017-09-08 | 2019-03-13 | Thomson Licensing | Method and apparatus for video encoding and decoding using pattern-based block filtering |
| KR102520626B1 (ko) * | 2018-01-22 | 2023-04-11 | 삼성전자주식회사 | 아티팩트 감소 필터를 이용한 영상 부호화 방법 및 그 장치, 영상 복호화 방법 및 그 장치 |
| WO2020003268A2 (en) | 2018-06-29 | 2020-01-02 | Beijing Bytedance Network Technology Co., Ltd. | Definition of zero unit |
| WO2020003264A2 (en) * | 2018-06-29 | 2020-01-02 | Beijing Bytedance Network Technology Co., Ltd. | Filtering of zero unit |
| US11620775B2 (en) | 2020-03-30 | 2023-04-04 | Panamorph, Inc. | Method of displaying a composite image on an image display |
| JP7591878B2 (ja) * | 2020-06-29 | 2024-11-29 | 日本放送協会 | 符号化装置、復号装置、及びプログラム |
Citations (3)
| Publication number | Priority date | Publication date | Assignee | Title |
|---|---|---|---|---|
| JP2004328634A (ja) * | 2003-04-28 | 2004-11-18 | Sony Corp | 画像復号化装置及び方法 |
| JP2005503737A (ja) * | 2001-09-14 | 2005-02-03 | シャープ株式会社 | 境界強度に基づく適応フィルタリング |
| JP2006191576A (ja) * | 2005-01-04 | 2006-07-20 | Samsung Electronics Co Ltd | イントラblモードを考慮したデブロックフィルタリング方法、及び該方法を用いる多階層ビデオエンコーダ/デコーダ |
Family Cites Families (16)
| Publication number | Priority date | Publication date | Assignee | Title |
|---|---|---|---|---|
| DE69028772T2 (de) | 1990-07-11 | 1997-04-03 | Philips Electronics Nv | Vorrichtung zur Ableitung eines kompatiblen Zeilensprungfernsehsignals mit geringer Auflösung und anderen Komponenten eines hochauflösenden Zeilensprungfernsehsignals sowie Vorrichtung zur Wiederherstellung des Originalsignals |
| JPH07107464A (ja) * | 1993-10-01 | 1995-04-21 | Hitachi Ltd | 画像符号化装置および復号化装置 |
| JPH07212761A (ja) * | 1994-01-17 | 1995-08-11 | Toshiba Corp | 階層符号化装置及び階層復号化装置 |
| US6957350B1 (en) * | 1996-01-30 | 2005-10-18 | Dolby Laboratories Licensing Corporation | Encrypted and watermarked temporal and resolution layering in advanced television |
| JPH1070717A (ja) * | 1996-06-19 | 1998-03-10 | Matsushita Electric Ind Co Ltd | 画像符号化装置及び画像復号化装置 |
| US6173013B1 (en) * | 1996-11-08 | 2001-01-09 | Sony Corporation | Method and apparatus for encoding enhancement and base layer image signals using a predicted image signal |
| ES2323358T3 (es) * | 1997-04-01 | 2009-07-14 | Sony Corporation | Codificador de imagenes, metodo de codificacion de imagenes, descodificador de imagenes, metodo de descodificacion de imagenes, y medio de distribucion. |
| US6057884A (en) | 1997-06-05 | 2000-05-02 | General Instrument Corporation | Temporal and spatial scaleable coding for video object planes |
| JP2000036032A (ja) * | 1998-07-17 | 2000-02-02 | Fujitsu Ltd | 前景画像抽出方法、画像処理装置、自動トリミング装置、記録媒体及び肖像写真装置 |
| US6459814B1 (en) | 1998-09-08 | 2002-10-01 | Sarnoff Corporation | Method and apparatus for generic scalable shape coding by deriving shape information for chrominance components from luminance component |
| US6748113B1 (en) * | 1999-08-25 | 2004-06-08 | Matsushita Electric Insdustrial Co., Ltd. | Noise detecting method, noise detector and image decoding apparatus |
| US6873655B2 (en) | 2001-01-09 | 2005-03-29 | Thomson Licensing A.A. | Codec system and method for spatially scalable video data |
| CN1253009C (zh) * | 2001-10-26 | 2006-04-19 | 皇家飞利浦电子股份有限公司 | 一种空间可缩放压缩的视频编、译码器和方法 |
| US7155654B2 (en) * | 2003-04-04 | 2006-12-26 | Sst Communications, Corp. | Low complexity error concealment for wireless transmission |
| US20070118794A1 (en) * | 2004-09-08 | 2007-05-24 | Josef Hollander | Shared annotation system and method |
| WO2006087314A1 (en) * | 2005-02-18 | 2006-08-24 | Thomson Licensing | Method for deriving coding information for high resolution images from low resoluton images and coding and decoding devices implementing said method |
-
2006
- 2006-02-07 US US11/350,000 patent/US7961963B2/en active Active
- 2006-02-28 JP JP2008501902A patent/JP4454678B2/ja active Active
- 2006-02-28 EP EP06736425A patent/EP1859534A4/en not_active Withdrawn
- 2006-02-28 EP EP06736426A patent/EP1859389A4/en not_active Withdrawn
- 2006-02-28 JP JP2008501903A patent/JP4751928B2/ja active Active
- 2006-02-28 CN CN200680016560XA patent/CN101379511B/zh active Active
- 2006-02-28 KR KR1020077023737A patent/KR100947677B1/ko active Active
- 2006-02-28 CN CN2011103377932A patent/CN102387366A/zh active Pending
- 2006-02-28 WO PCT/US2006/007106 patent/WO2006101682A2/en not_active Ceased
- 2006-02-28 CN CN2006800168580A patent/CN101449476B/zh active Active
- 2006-02-28 KR KR1020077023970A patent/KR100959436B1/ko active Active
- 2006-02-28 WO PCT/US2006/007105 patent/WO2007064347A2/en not_active Ceased
-
2009
- 2009-10-21 JP JP2009242741A patent/JP2010016911A/ja active Pending
- 2009-10-21 JP JP2009242688A patent/JP4975078B2/ja active Active
-
2010
- 2010-12-13 JP JP2010277337A patent/JP5154635B2/ja active Active
Patent Citations (3)
| Publication number | Priority date | Publication date | Assignee | Title |
|---|---|---|---|---|
| JP2005503737A (ja) * | 2001-09-14 | 2005-02-03 | シャープ株式会社 | 境界強度に基づく適応フィルタリング |
| JP2004328634A (ja) * | 2003-04-28 | 2004-11-18 | Sony Corp | 画像復号化装置及び方法 |
| JP2006191576A (ja) * | 2005-01-04 | 2006-07-20 | Samsung Electronics Co Ltd | イントラblモードを考慮したデブロックフィルタリング方法、及び該方法を用いる多階層ビデオエンコーダ/デコーダ |
Cited By (2)
| Publication number | Priority date | Publication date | Assignee | Title |
|---|---|---|---|---|
| WO2014007596A1 (ko) * | 2012-07-06 | 2014-01-09 | 삼성전자 주식회사 | 다계층 비디오 부호화 방법 및 장치, 다계층 비디오 복호화 방법 및 장치 |
| US10116947B2 (en) | 2012-07-06 | 2018-10-30 | Samsung Electronics Co., Ltd. | Method and apparatus for coding multilayer video to include scalable extension type information in a network abstraction layer unit, and method and apparatus for decoding multilayer video |
Also Published As
| Publication number | Publication date |
|---|---|
| CN101379511A (zh) | 2009-03-04 |
| WO2007064347A2 (en) | 2007-06-07 |
| EP1859534A4 (en) | 2010-09-29 |
| JP4454678B2 (ja) | 2010-04-21 |
| KR100947677B1 (ko) | 2010-03-16 |
| WO2006101682A2 (en) | 2006-09-28 |
| WO2007064347A3 (en) | 2008-01-17 |
| CN101449476A (zh) | 2009-06-03 |
| JP2008538057A (ja) | 2008-10-02 |
| KR100959436B1 (ko) | 2010-05-26 |
| JP2011083022A (ja) | 2011-04-21 |
| KR20080003808A (ko) | 2008-01-08 |
| KR20080005210A (ko) | 2008-01-10 |
| US20060209959A1 (en) | 2006-09-21 |
| JP2010016911A (ja) | 2010-01-21 |
| CN101379511B (zh) | 2011-11-09 |
| JP2008533909A (ja) | 2008-08-21 |
| US7961963B2 (en) | 2011-06-14 |
| WO2006101682A3 (en) | 2008-11-13 |
| JP5154635B2 (ja) | 2013-02-27 |
| JP4751928B2 (ja) | 2011-08-17 |
| CN102387366A (zh) | 2012-03-21 |
| EP1859534A2 (en) | 2007-11-28 |
| EP1859389A2 (en) | 2007-11-28 |
| CN101449476B (zh) | 2012-05-23 |
| EP1859389A4 (en) | 2010-08-25 |
| JP4975078B2 (ja) | 2012-07-11 |
Similar Documents
| Publication | Publication Date | Title |
|---|---|---|
| JP4975078B2 (ja) | 空間的にスケーラブルなビデオ符号化のために、低い複雑さでブロッキング歪を低減するための方法およびシステム | |
| US7929610B2 (en) | Methods and systems for reducing blocking artifacts with reduced complexity for spatially-scalable video coding | |
| JP7055230B2 (ja) | 画像符号化装置、画像復号装置、画像符号化方法、画像復号方法及び符号化ビットストリームを記録した記録媒体 | |
| US8577168B2 (en) | System and method for in-loop deblocking in scalable video coding | |
| JP5189054B2 (ja) | 画像の復号方法 | |
| US20170272758A1 (en) | Video encoding method and apparatus using independent partition coding and associated video decoding method and apparatus | |
| JP5815795B2 (ja) | 画像復号装置及び画像復号方法 | |
| TWI709333B (zh) | 一種解塊濾波的方法 | |
| JP7180001B2 (ja) | 適応ループフィルタ処理のための仮想境界処理 | |
| JP2015080002A (ja) | 動画像符号化装置、動画像復号装置、動画像符号化方法及び動画像復号方法 | |
| WO2025119188A1 (en) | Method, apparatus, and medium for video processing | |
| WO2025082334A1 (en) | Method, apparatus, and medium for video processing | |
| WO2025148982A1 (en) | Method, apparatus, and medium for video processing | |
| WO2025077795A1 (en) | Method, apparatus, and medium for video processing | |
| Tourapis et al. | Reduced resolution update mode extension to the H. 264 standard | |
| CN121264044A (zh) | 用于视频处理的方法、装置和介质 | |
| Kesireddy | A new adaptive trilateral filter for in-loop filtering |
Legal Events
| Date | Code | Title | Description |
|---|---|---|---|
| A521 | Request for written amendment filed |
Free format text: JAPANESE INTERMEDIATE CODE: A523 Effective date: 20091022 |
|
| A621 | Written request for application examination |
Free format text: JAPANESE INTERMEDIATE CODE: A621 Effective date: 20091119 |
|
| A977 | Report on retrieval |
Free format text: JAPANESE INTERMEDIATE CODE: A971007 Effective date: 20120306 |
|
| TRDD | Decision of grant or rejection written | ||
| A01 | Written decision to grant a patent or to grant a registration (utility model) |
Free format text: JAPANESE INTERMEDIATE CODE: A01 Effective date: 20120410 |
|
| A01 | Written decision to grant a patent or to grant a registration (utility model) |
Free format text: JAPANESE INTERMEDIATE CODE: A01 |
|
| A61 | First payment of annual fees (during grant procedure) |
Free format text: JAPANESE INTERMEDIATE CODE: A61 Effective date: 20120410 |
|
| R150 | Certificate of patent or registration of utility model |
Ref document number: 4975078 Country of ref document: JP Free format text: JAPANESE INTERMEDIATE CODE: R150 Free format text: JAPANESE INTERMEDIATE CODE: R150 |
|
| FPAY | Renewal fee payment (event date is renewal date of database) |
Free format text: PAYMENT UNTIL: 20150420 Year of fee payment: 3 |
|
| R250 | Receipt of annual fees |
Free format text: JAPANESE INTERMEDIATE CODE: R250 |
|
| S111 | Request for change of ownership or part of ownership |
Free format text: JAPANESE INTERMEDIATE CODE: R313113 |
|
| R350 | Written notification of registration of transfer |
Free format text: JAPANESE INTERMEDIATE CODE: R350 |
|
| R250 | Receipt of annual fees |
Free format text: JAPANESE INTERMEDIATE CODE: R250 |
|
| R250 | Receipt of annual fees |
Free format text: JAPANESE INTERMEDIATE CODE: R250 |
|
| R250 | Receipt of annual fees |
Free format text: JAPANESE INTERMEDIATE CODE: R250 |
|
| R250 | Receipt of annual fees |
Free format text: JAPANESE INTERMEDIATE CODE: R250 |
|
| R250 | Receipt of annual fees |
Free format text: JAPANESE INTERMEDIATE CODE: R250 |
|
| R250 | Receipt of annual fees |
Free format text: JAPANESE INTERMEDIATE CODE: R250 |
|
| R250 | Receipt of annual fees |
Free format text: JAPANESE INTERMEDIATE CODE: R250 |
|
| R250 | Receipt of annual fees |
Free format text: JAPANESE INTERMEDIATE CODE: R250 |
