JP2005106902A - 投射レンズ及びそれを用いた色合成光学系 - Google Patents
投射レンズ及びそれを用いた色合成光学系 Download PDFInfo
- Publication number
- JP2005106902A JP2005106902A JP2003336905A JP2003336905A JP2005106902A JP 2005106902 A JP2005106902 A JP 2005106902A JP 2003336905 A JP2003336905 A JP 2003336905A JP 2003336905 A JP2003336905 A JP 2003336905A JP 2005106902 A JP2005106902 A JP 2005106902A
- Authority
- JP
- Japan
- Prior art keywords
- lens
- projection
- optical system
- conjugate side
- color
- Prior art date
- Legal status (The legal status is an assumption and is not a legal conclusion. Google has not performed a legal analysis and makes no representation as to the accuracy of the status listed.)
- Withdrawn
Links
Images
Classifications
-
- G—PHYSICS
- G02—OPTICS
- G02B—OPTICAL ELEMENTS, SYSTEMS OR APPARATUS
- G02B15/00—Optical objectives with means for varying the magnification
- G02B15/14—Optical objectives with means for varying the magnification by axial movement of one or more lenses or groups of lenses relative to the image plane for continuously varying the equivalent focal length of the objective
- G02B15/16—Optical objectives with means for varying the magnification by axial movement of one or more lenses or groups of lenses relative to the image plane for continuously varying the equivalent focal length of the objective with interdependent non-linearly related movements between one lens or lens group, and another lens or lens group
- G02B15/177—Optical objectives with means for varying the magnification by axial movement of one or more lenses or groups of lenses relative to the image plane for continuously varying the equivalent focal length of the objective with interdependent non-linearly related movements between one lens or lens group, and another lens or lens group having a negative front lens or group of lenses
-
- G—PHYSICS
- G02—OPTICS
- G02B—OPTICAL ELEMENTS, SYSTEMS OR APPARATUS
- G02B13/00—Optical objectives specially designed for the purposes specified below
- G02B13/22—Telecentric objectives or lens systems
-
- G—PHYSICS
- G02—OPTICS
- G02B—OPTICAL ELEMENTS, SYSTEMS OR APPARATUS
- G02B15/00—Optical objectives with means for varying the magnification
- G02B15/14—Optical objectives with means for varying the magnification by axial movement of one or more lenses or groups of lenses relative to the image plane for continuously varying the equivalent focal length of the objective
- G02B15/144—Optical objectives with means for varying the magnification by axial movement of one or more lenses or groups of lenses relative to the image plane for continuously varying the equivalent focal length of the objective having four groups only
- G02B15/1445—Optical objectives with means for varying the magnification by axial movement of one or more lenses or groups of lenses relative to the image plane for continuously varying the equivalent focal length of the objective having four groups only the first group being negative
- G02B15/144515—Optical objectives with means for varying the magnification by axial movement of one or more lenses or groups of lenses relative to the image plane for continuously varying the equivalent focal length of the objective having four groups only the first group being negative arranged -+++
-
- G—PHYSICS
- G02—OPTICS
- G02B—OPTICAL ELEMENTS, SYSTEMS OR APPARATUS
- G02B15/00—Optical objectives with means for varying the magnification
- G02B15/14—Optical objectives with means for varying the magnification by axial movement of one or more lenses or groups of lenses relative to the image plane for continuously varying the equivalent focal length of the objective
- G02B15/145—Optical objectives with means for varying the magnification by axial movement of one or more lenses or groups of lenses relative to the image plane for continuously varying the equivalent focal length of the objective having five groups only
- G02B15/1455—Optical objectives with means for varying the magnification by axial movement of one or more lenses or groups of lenses relative to the image plane for continuously varying the equivalent focal length of the objective having five groups only the first group being negative
- G02B15/145527—Optical objectives with means for varying the magnification by axial movement of one or more lenses or groups of lenses relative to the image plane for continuously varying the equivalent focal length of the objective having five groups only the first group being negative arranged -+-++
-
- G—PHYSICS
- G02—OPTICS
- G02B—OPTICAL ELEMENTS, SYSTEMS OR APPARATUS
- G02B15/00—Optical objectives with means for varying the magnification
- G02B15/14—Optical objectives with means for varying the magnification by axial movement of one or more lenses or groups of lenses relative to the image plane for continuously varying the equivalent focal length of the objective
- G02B15/145—Optical objectives with means for varying the magnification by axial movement of one or more lenses or groups of lenses relative to the image plane for continuously varying the equivalent focal length of the objective having five groups only
- G02B15/1455—Optical objectives with means for varying the magnification by axial movement of one or more lenses or groups of lenses relative to the image plane for continuously varying the equivalent focal length of the objective having five groups only the first group being negative
- G02B15/145531—Optical objectives with means for varying the magnification by axial movement of one or more lenses or groups of lenses relative to the image plane for continuously varying the equivalent focal length of the objective having five groups only the first group being negative arranged -++++
-
- G—PHYSICS
- G02—OPTICS
- G02B—OPTICAL ELEMENTS, SYSTEMS OR APPARATUS
- G02B15/00—Optical objectives with means for varying the magnification
- G02B15/14—Optical objectives with means for varying the magnification by axial movement of one or more lenses or groups of lenses relative to the image plane for continuously varying the equivalent focal length of the objective
- G02B15/146—Optical objectives with means for varying the magnification by axial movement of one or more lenses or groups of lenses relative to the image plane for continuously varying the equivalent focal length of the objective having more than five groups
- G02B15/1465—Optical objectives with means for varying the magnification by axial movement of one or more lenses or groups of lenses relative to the image plane for continuously varying the equivalent focal length of the objective having more than five groups the first group being negative
Landscapes
- Physics & Mathematics (AREA)
- General Physics & Mathematics (AREA)
- Optics & Photonics (AREA)
- Nonlinear Science (AREA)
- Liquid Crystal (AREA)
- Projection Apparatus (AREA)
- Lenses (AREA)
Abstract
【課題】 色合成プリズムと液晶パネルとの間に正レンズを有する構成の液晶プロジェクタに好適な色合成投射光学系を提供すること。
【解決手段】 3つの液晶パネルと、この3つの液晶パネルからの出射光を合成する色合成系と、この色合成系から出射した光を投射する投射レンズとを有し、この色合成系と液晶パネルとの間に正レンズを有しており、さらに、投射レンズ中の正レンズ群内に回折光学素子を少なくとも1つ有する。
【選択図】 図1
【解決手段】 3つの液晶パネルと、この3つの液晶パネルからの出射光を合成する色合成系と、この色合成系から出射した光を投射する投射レンズとを有し、この色合成系と液晶パネルとの間に正レンズを有しており、さらに、投射レンズ中の正レンズ群内に回折光学素子を少なくとも1つ有する。
【選択図】 図1
Description
本発明は、ライトバルブに表示された像をスクリーン上に拡大投影するプロジェクタ装置の投射用ズームレンズ及び色合成光学系に関し、特に液晶プロジェクタ装置に好適な色合成投射光学系に関するものである。
液晶パネル等の表示画像をスクリーン等の表示媒体上に拡大投影する液晶プロジェクタ等の投射型の表示装置は、近年大幅にその性能が向上し、ビデオ再生画像やコンピュータのデータ等の表示用として、広く普及してきている。
中でも、赤・緑・青の各色画像を独立した液晶パネルに表示し、各色画像を合成して拡大投射する「3板式液晶プロジェクタ」がよく知られている。この「3板式液晶プロジェクタ」は、3つの液晶パネルに表示された画像をスクリーン上に重ねてカラー画像として表示するために、光路上にダイクロイックプリズム等の色合成光学系を用いている。この色合成光学系において、広く一般に使用されているのが、ダイクロイック層をプリズム内部で交差させているクロスダイクロプリズムを用いたタイプである。このクロスダイクロプリズムは小型であるが、製造する際、4つの直角プリズムの角度を正確に研磨しないとスクリーン上の投影像が二重像となり、解像感が著しく悪くなったり、また、接合時に接合面に段差が生じていたりしていると、スクリーン上へ投射した際、クロスプリズムのクロスする部分が縦筋となって表れてしまうといった問題点があった。このように、従来のクロスダイクロプリズムは、プリズムの加工及び接合が非常に難しく、製造コストを安くするのが困難だった。
このような問題を解決するために、図301に示すような(例えば特許文献1等)構成で上記の問題を解決しようとしていた。
特開2001−066499号公報
しかしながら、前記提案の色合成光学系に対する投射光学系は、まだまだレンズ全系が小型化されているとは言い難く、また色収差をはじめとした諸収差の補正が十分なされていなく、前記提案の色合成光学系に最適な投射光学系とは言い難かった。
本発明は、上記課題を解決し、色収差をはじめとした諸収差を十分に補正するとともに、投射光学系のレンズ全長の短縮を図った、前記提案の色合成光学系に最適な、液晶プロジェクタ等に使用される、液晶画像等を拡大投影するための表示装置に好適な投射光学系及び色合成光学系から成る色合成投射光学系の提供を目的とする。
上記課題を達成するために、本発明の色合成投射光学系は、以下のように構成することを特徴としている。
(1)本発明の色合成投射光学系は、投射レンズと前記投射レンズよりも縮小共役側に色合成プリズムと画像変調装置を備え、前記色合成プリズムと前記画像変調装置との間に、全体として正の屈折力のレンズ群を配置した構成であり、前記投射レンズ、前記色合成プリズム、及び前記色合成プリズムと前記画像変調装置との間に配置された全体として正の屈折力のレンズ群のいずれかの部分に、回折光学素子を少なくとも1つ有していることを特徴としている。
(2)本発明の色合成投射光学系は、特に前記投射レンズ内に、前記回折光学素子を少なくとも1つ有していることを特徴としている。
(3)本発明の色合成投射光学系は、前記色合成光学系において、前記色合成プリズムと前記画像変調装置との間に配置されている全体として正の屈折力のレンズ群と前記投射レンズとの間に、以下の条件式が成り立っていることを特徴としている。
0.30 < b.f./ f P-I < 0.70 ……………(1)
ここで、b.f.は拡大共役側の共役点が無限大時の縮小共役側のバックフォーカス(ここにおけるb.f.の値は、前記投射レンズと縮小共役点の間に配置されたプリズム等のガラスブロックを空気に換算した際の値)であり、f P-Iは前記色合成プリズムと前記画像変調装置との間に配置されている全体として正の屈折力のレンズ群の焦点距離を表している。
ここで、b.f.は拡大共役側の共役点が無限大時の縮小共役側のバックフォーカス(ここにおけるb.f.の値は、前記投射レンズと縮小共役点の間に配置されたプリズム等のガラスブロックを空気に換算した際の値)であり、f P-Iは前記色合成プリズムと前記画像変調装置との間に配置されている全体として正の屈折力のレンズ群の焦点距離を表している。
(4)本発明の色合成投射光学系は、最も拡大共役側に配置されたレンズ群が負の屈折力で始まる単焦点レンズであることを特徴としている。
(5)本発明の色合成投射光学系は、最も拡大共役側に配置されたレンズ群が負の屈折力で始まるズームレンズであることを特徴としている。
(6)本発明の色合成投射光学系は、縮小共役側の瞳位置が、以下の条件式を満足することを特徴としている。
0.10 < |fw / tkw| < 0.20 …………(2)
ここで、fwは全系の焦点距離(前記投射レンズがズームレンズの場合、広角端における全系の焦点距離)、tkwは縮小共役側の瞳位置(縮小側共役点と縮小共役側の瞳位置との間の距離;前記投射レンズがズームレンズの場合、広角端における縮小共役側の瞳位置)を各々表している。
ここで、fwは全系の焦点距離(前記投射レンズがズームレンズの場合、広角端における全系の焦点距離)、tkwは縮小共役側の瞳位置(縮小側共役点と縮小共役側の瞳位置との間の距離;前記投射レンズがズームレンズの場合、広角端における縮小共役側の瞳位置)を各々表している。
(7)本発明の色合成投射光学系は、前記(4)項及び(5)項の投射レンズにおいて、少なくとも3つ以上のレンズ群より構成されていることを特徴としている。
(8)本発明の色合成投射光学系は、前記(4)項から(6)項の投射レンズにおいて、前記第3レンズ群、若しくは前記第4レンズ群に、絞りを有することを特徴としている。
(9)本発明の色合成投射光学系は、前記回折光学素子が回折格子を1つの層のみで形成した単層型回折光学素子、若しくは複数の層を積層して形成した積層型回折光学素子であることを特徴としている。
(10)本発明の色合成投射光学系は、投影像原画をスクリーン面上に投影していることを特徴としている。
本発明によれば、以上のような光学系の構成を取り、且つ所定の箇所に回折光学素子を適切に設定することにより、諸収差の補正は勿論のこと、レンズ構成が簡易で尚且つ光学系全体の小型化も図った液晶プロジェクタ等に使用される、液晶画像等を拡大投影するための投射光学系に好適な色合成投射光学系を達成している。特に本発明によれば、前述記載の構成にすることにより、変倍比1.3以上でFno1.7程度と大口径を確保しながらも、諸収差が十分補正されており、且つ色合成プリズム等の光学素子や各種フィルタの光学素子が入るバックフォーカス空間を十分に確保しつつ、色収差が良好に補正され、全物体距離に渡って良好な性能を有するテレセントリックな投射光学系を実現し、合わせてレンズ構成の簡易化及びレンズ全長の小型化も実現可能となっている。
以下に、本発明の実施例について説明する。
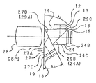
図1から図4は、本発明の数値実施例1から4のレンズ断面図である。前記図1は投射レンズが単焦点レンズの場合を表しており、残りの前記図2から4は投射レンズがズームレンズの場合を各々表している。各図において、拡大共役側がスクリーン側にあたり、縮小共役側が液晶パネル側にあたる。また、各図中のL1からL6は第1レンズ群から第6レンズ群の各レンズ群を表している。各レンズ群の内少なくとも1つのレンズ群に、回折光学素子を少なくとも1つ設けている。SPは絞りであり、各実施例とも第3レンズ群L3、若しくは第4レンズ群L4に存在する。また、GBは色合成プリズム等のガラスブロックである。前記ガラスブロックGBと前記縮小側共役面(液晶パネル面)との間には、拡大共役側に凸面を向けた平凸レンズを、赤・青・緑の各液晶パネル面との間に対して配置している。(但し、図中には1つの平凸レンズのみを表示している。) 前記図2から4において、矢印は広角端から望遠端への変倍を行う際の各レンズ群の移動軌跡を示している。
次に、本発明の各数値実施例を各図に対応させながら説明する。
図1の数値実施例1は、拡大共役側より順に、負の屈折力の第1レンズ群L1、正の屈折力の第2レンズ群L2、正の屈折力の第3レンズ群L3、負の屈折力の第4レンズ群L4、正の屈折力の第5レンズ群L5の5群構成の単焦点レンズであり、前記第4レンズ群L4に回折光学素子を導入した例である。レンズ群の群構成として、最も拡大共役側に負レンズ群を配置するのは、全体としてレトロフォーカスの構成をとることで、色合成プリズム等のガラスブロックを配置するのに必要な長いバックフォーカスを得るためである。一方、ガラスブロックGBと縮小側共役面(液晶パネル面)との間に、拡大共役側に凸面を向けた平凸レンズを配置するのは、縮小側共役面(液晶パネル面)に対してテレセントリックにするためであり、且つ前記第5レンズ群L5の最も縮小共役側にある正レンズのレンズ径を小さくすることができ、小型な色合成プリズムにも対応可能であるという利点がある。
各レンズ群内のレンズ構成は以下の通りである。
前記第1レンズ群L1は、拡大共役側より順に、縮小共役側に凸の正のメニスカスレンズ、拡大共役側に凸の負のメニスカスレンズ、両凹レンズ、縮小共役側に凸の正レンズにより構成されている。前記最も拡大共役側にある縮小共役側に凸の正のメニスカスレンズは、最も軸外の光束が通る位置で歪曲収差の補正を行うために、前記拡大共役側に凸の負のメニスカスレンズは長いバックフォーカスを得るために配置されている。また、前記両凹レンズは、各面の負の屈折力を分散させ、高次の歪曲収差、コマ収差及び非点収差の発生を小さくするために、前記縮小共役側に凸の正レンズは色収差の補正のため配置されている。
前記第2レンズ群L2は、拡大共役側から順に、強いパワーを有した両凸レンズ、縮小共役側に凸の負のメニスカスレンズにより構成されている。前記縮小共役側に凸の負のメニスカスレンズにより、前記第1レンズ群L1で発生した歪曲収差を補正し、前記第2レンズ群L2内の空気レンズにより、前記第1レンズ群L1で発生した非点収差を補正している。
前記第3レンズ群L3は、拡大共役側から順に、強いパワーを有した正レンズ、強いパワーを有した負レンズにより構成されている。前記正レンズにより、前記第1レンズ群L1で発生した像面湾曲(ペッツバール和)を打ち消しており、前記負レンズにより、前記第2レンズ群L2内で発生した球面収差を小さくしている。
前記第4レンズ群L4は、拡大共役側から順に、強いパワーを有した両凹レンズと正レンズから成る接合レンズ、及び縮小共役側に凸の正レンズにより構成されている。前記接合レンズにより、両凹レンズに入射する光線を跳ね上げ、長いバックフォーカスを得ている。また、前記接合レンズは、前記第3レンズ群L3で発生した非点収差を打ち消している。前記縮小共役側に凸の正レンズは、軸上及び軸外の光束の屈折を分散させる働きをしている。
前記第5レンズ群L5は、強いパワーを有した1枚の両凸レンズにより構成されている。前記第1レンズ群L1から前記第4レンズ群L4の合成主平面と第5レンズ群L5の実際に光線が屈折される点の距離を、光軸から離れた位置程大きくすることができるので、周辺の光路程合成屈折力を弱めることができ、拡大共役面(スクリーン面)上での糸巻き型の歪曲を減少させることができる。
ガラスブロックGBと縮小側共役面(液晶パネル面)との間に配置された、拡大共役側に凸面を向けた平凸レンズは、縮小側共役面(液晶パネル面)に対してテレセントリックにする働きがあり、且つ前記第5レンズ群L5の両凸レンズのレンズ径を小さくすることができ、小型な色合成プリズム(ガラスブロックGB)に対応可能としている。また、前記第1レンズ群L1から前記第5レンズ群L5で発生した歪曲収差を補正する役目も果たしている。
尚、絞りは前記第3レンズ群L3にあり、前記第1レンズ群L1を移動させてフォーカスを行っている。
図2の数値実施例2は、拡大共役側より順に、負の屈折力の第1レンズ群L1、正の屈折力の第2レンズ群L2、正の屈折力の第3レンズ群L3、正の屈折力の第4レンズ群L4の4群構成のズームレンズであり、前記第3レンズ群L3に回折光学素子を導入した例である。
各レンズ群内のレンズ構成は以下の通りである。
前記第1レンズ群L1は、拡大共役側から順に、両凸レンズ、拡大共役側に凸の負のメニスカスレンズ、両凹レンズ、両凸レンズにより構成されている。前記最も拡大共役側にある両凸レンズは、最も軸外の光束が通る位置で歪曲収差の補正を行うために、前記拡大共役側に凸の負のメニスカスレンズは長いバックフォーカスを得るために配置されている。また、前記両凹レンズは、各面の負の屈折力を分散させ、高次の歪曲収差、コマ収差及び非点収差の発生を小さくするために、前記両凸レンズは色収差の補正のため配置されている。
前記第2レンズ群L2は、拡大共役側から順に、両凸レンズと縮小共役側に凸の負のメニスカスレンズを貼り合せた接合レンズにより構成されている。前記接合レンズにより、前記第1レンズ群L1で発生した歪曲収差を打ち消している。
前記第3レンズ群L3は、拡大共役側から順に、拡大共役側に強いパワーを有した正レンズ、両凹レンズ、強いパワーを有した両凹レンズと強いパワーを有した両凸レンズから成る接合レンズにより構成されている。前記最も拡大共役側にある正レンズにより、前記第2レンズ群L2で発生したコマ収差、及び非点収差を打ち消しており、前記両凹レンズにより、前記第2レンズ群L2内で発生した球面収差を打ち消してしている。前記接合レンズにより、両凹レンズに入射する光線を跳ね上げ、長いバックフォーカスを得ている。また、前記接合レンズは、前記第2レンズ群L2で発生したコマ収差を打ち消す働きをしている。
前記第4レンズ群L4は、拡大共役側に凸の1枚の正レンズにより構成されている。前記第1レンズ群L1から前記第3レンズ群L3の合成主平面と第4レンズ群L4の実際に光線が屈折される点の距離を、光軸から離れた位置程大きくすることができるので、周辺の光路程合成屈折力を弱めることができ、拡大側共役面(スクリーン面)上での糸巻き型の歪曲を減少させることができる。
ガラスブロックGBと縮小側共役面(液晶パネル面)との間に配置された、拡大共役側に凸面を向けた平凸レンズは、縮小側共役面(液晶パネル面)に対してテレセントリックにする働きがあり、且つ前記第4レンズ群L4の両凸レンズのレンズ径を小さくすることができ、小型な色合成プリズム(ガラスブロックGB)に対応可能としている。また、前記第1レンズ群L1から前記第4レンズ群L4で発生した歪曲収差を補正する役目も果たしている。
広角端から望遠端への変倍に際しては、前記第1レンズ群L1及び第4レンズ群L4は固定であり、前記第2レンズ群L2、前記第3レンズ群L3は縮小共役側から拡大共役側へ移動している。尚、絞りは前記第3レンズ群L3にあり、前記第1レンズ群L1を移動させてフォーカスを行っている。
図3の数値実施例3は、拡大共役側より順に、負の屈折力の第1レンズ群L1、正の屈折力の第2レンズ群L2、負の屈折力の第3レンズ群L3、正の屈折力の第4レンズ群L4、正の屈折力の第5レンズ群L5の5群構成のズームレンズであり、前記第4レンズ群L4に回折光学素子を導入した例である。
各レンズ群内のレンズ構成は以下の通りである。
前記第1レンズ群L1は、拡大共役側から順に、縮小共役側に強いパワーを持った正レンズ、拡大共役側に凸の負のメニスカスレンズ、強いパワーを有した両凹レンズ、両凸レンズにより構成されている。前記最も拡大共役側にある縮小共役側に強いパワーを持った正レンズは、最も軸外の光束が通る位置で歪曲収差の補正を行うために、前記拡大共役側に凸の負のメニスカスレンズは長いバックフォーカスを得るために配置されている。また、前記両凹レンズは、各面の負の屈折力を分散させ、高次の歪曲収差、コマ収差及び非点収差の発生を小さくするために、前記両凸レンズは色収差の補正のため配置されている。
前記第2レンズ群L2は、拡大共役側から順に、強いパワーを有した両凸レンズ、縮小共役側に凸の負のメニスカスレンズにより構成されている。前記縮小共役側に凸の負のメニスカスレンズにより、前記第1レンズ群L1で発生した歪曲収差を補正し、前記第2レンズ群L2内の空気レンズ及び前記強いパワーを有した両凸レンズにより、前記第1レンズ群L1で発生した像面湾曲収差(ペッツバール和)を補正している。
前記第3レンズ群L3は、拡大共役側から順に、拡大共役側に凸の弱いパワーを有した正のメニスカスレンズ、拡大共役側に凸の負のメニスカスレンズにより構成されている。前記正のメニスカスレンズにより、前記第1レンズ群L1及び前記第2レンズ群L2で発生した非点収差を打ち消しており、一方、前記負のメニスカスレンズにより、前記第2レンズ群L2内で発生した球面収差を打ち消してしている。
前記第4レンズ群L4は、拡大共役側から順に、強いパワーを有した両凹レンズと強いパワーを有した両凸レンズから成る接合レンズにより構成されている。前記接合レンズの両凹レンズにより、入射する光線を跳ね上げ、長いバックフォーカスを得ている。また、前記接合レンズは、前記第3レンズ群L3で発生したコマ収差、及び前記第2レンズ群L2で発生した非点収差を打ち消している。
前記第5レンズ群L5は、拡大共役側に凸の1枚の正レンズにより構成されている。前記第1レンズ群L1から前記第4レンズ群L4の合成主平面と前記第5レンズ群L5の実際に光線が屈折される点の距離を、光軸から離れた位置程大きくすることができるので、周辺の光路程合成屈折力を弱めることができ、拡大側共役面(スクリーン面)上での糸巻き型の歪曲を減少させることができる。
ガラスブロックGBと縮小側共役面(液晶パネル面)との間に配置された、拡大共役側に凸面を向けた平凸レンズは、縮小側共役面(液晶パネル面)に対してテレセントリックにする働きがあり、且つ前記第5レンズ群L5の両凸レンズのレンズ径を小さくすることができ、小型な色合成プリズム(ガラスブロックGB)に対応可能としている。また、前記第1レンズ群L1から前記第5レンズ群L5で発生した歪曲収差を補正する役目も果たしている。
広角端から望遠端への変倍に際しては、前記第1レンズ群L1及び第5レンズ群L5は固定であり、前記第2レンズ群L2、前記第3レンズ群L3、前記第4レンズ群L4は縮小共役側から拡大共役側へ移動している。尚、絞りは前記第3レンズ群L3にあり、前記第1レンズ群L1を移動させてフォーカスを行っている。
図4の数値実施例4は、拡大共役側より順に、負の屈折力の第1レンズ群L1、正の屈折力の第2レンズ群L2、正の屈折力の第3レンズ群L3、負の屈折力の第4レンズ群L4、正の屈折力の第5レンズ群L5、正の屈折力の第6レンズ群L6の6群構成のズームレンズであり、前記第5レンズ群L5に回折光学素子を導入した例である。
各レンズ群内のレンズ構成は以下の通りである。
前記第1レンズ群L1は、拡大共役側から順に、縮小共役側に強いパワーを持った正レンズ、拡大共役側に凸の負のメニスカスレンズ、強いパワーを有した両凹レンズ、両凸レンズにより構成されている。前記最も拡大共役側にある縮小共役側に強いパワーを持った正レンズは、最も軸外の光束が通る位置で歪曲収差の補正を行うために、前記拡大共役側に凸の負のメニスカスレンズは長いバックフォーカスを得るために配置されている。また、前記両凹レンズは、各面の負の屈折力を分散させ、高次の歪曲収差、コマ収差及び非点収差の発生を小さくするために、前記両凸レンズは色収差の補正のため配置されている。
前記第2レンズ群L2は、拡大共役側から順に、強いパワーを有した両凸レンズ、縮小共役側に凸の負のメニスカスレンズにより構成されている。前記縮小共役側に凸の負のメニスカスレンズにより、前記第1レンズ群L1で発生した歪曲収差を補正し、前記第2レンズ群L2内の空気レンズ及び前記強いパワーを有した両凸レンズにより、前記第1レンズ群L1で発生した像面湾曲収差(ペッツバール和)を補正している。
前記第3レンズ群L3は、拡大共役側に凸の弱いパワーを有した1枚の正のメニスカスレンズにより構成されている。前記正のメニスカスレンズは、前記第3レンズ群L3内で発生する球面収差を小さくするような形状となっている。
前記第4レンズ群L4は、1枚の両凹レンズにより構成されている。前記両凹レンズにより、前記第2レンズ群L2で発生した球面収差及び非点収差を打ち消す働きをしている。
前記第5レンズ群L5は、拡大共役側から順に、強いパワーを有した両凹レンズと強いパワーを有した両凸レンズから成る接合レンズにより構成されている。前記接合レンズの両凹レンズにより、入射する光線を跳ね上げ、長いバックフォーカスを得ている。また、前記接合レンズは、前記第4レンズ群L4で発生したコマ収差、前記第3レンズ群L3で発生した非点収差、及び前記第4レンズ群L4で発生した歪曲収差を打ち消している。
前記第6レンズ群L6は、拡大共役側に凸の1枚の正レンズにより構成されている。前記第1レンズ群L1から前記第5レンズ群L5の合成主平面と前記第6レンズ群L6の実際に光線が屈折される点の距離を、光軸から離れた位置程大きくすることができるので、周辺の光路程合成屈折力を弱めることができ、拡大側共役面(スクリーン面)上での糸巻き型の歪曲を減少させることができる。
ガラスブロックGBと縮小側共役面(液晶パネル面)との間に配置された、拡大共役側に凸面を向けた平凸レンズは、縮小側共役面(液晶パネル面)に対してテレセントリックにする働きがあり、且つ前記第6レンズ群L6の両凸レンズのレンズ径を小さくすることができ、小型な色合成プリズム(ガラスブロックGB)に対応可能としている。また、前記第1レンズ群L1から前記第6レンズ群L6で発生した歪曲収差を補正する役目も果たしている。
広角端から望遠端への変倍に際しては、前記第1レンズ群L1及び第6レンズ群L6は固定であり、前記第2レンズ群L2、前記第3レンズ群L3、前記第4レンズ群L4、前記第5レンズ群L5は縮小共役側から拡大共役側へ移動している。尚、絞りは前記第4レンズ群L4にあり、前記第1レンズ群L1を移動させてフォーカスを行っている。
以上のようなレンズ構成を取ることにより、本発明に係る色合成投射光学系を達成することができる。
更に諸収差の補正が十分になされ、レンズ構成が簡易で且つレンズ全長が短縮された色合成投射光学系を達成するためには、以下の条件式を満足することが望ましい。
前記色合成投射光学系において、前記色合成プリズムと前記画像変調装置との間に配置されている全体として正の屈折力のレンズ群と前記投射レンズとの間に、以下の条件式を満足することである。
0.3 < b.f./ f P-I < 0.8 ……………(1)
ここで、b.f.は拡大共役側の共役点が無限大時の縮小共役側のバックフォーカス(ここにおけるb.f.の値は、前記投射レンズと縮小共役点の間に配置されたプリズム等のガラスブロックを空気に換算した際の値)であり、f P-Iは前記色合成プリズムと前記画像変調装置との間に配置されている全体として正の屈折力のレンズ群の焦点距離を表している。
ここで、b.f.は拡大共役側の共役点が無限大時の縮小共役側のバックフォーカス(ここにおけるb.f.の値は、前記投射レンズと縮小共役点の間に配置されたプリズム等のガラスブロックを空気に換算した際の値)であり、f P-Iは前記色合成プリズムと前記画像変調装置との間に配置されている全体として正の屈折力のレンズ群の焦点距離を表している。
条件式(1)は、前記色合成プリズムと前記画像変調装置との間に配置されている全体として正の屈折力のレンズ群と拡大共役側の共役点が無限大時の縮小共役側のバックフォーカスに関するものである。条件式(1)の下限値を超えると、色合成プリズムを配置する空間が十分に取れなくなるので好ましくない。条件式(1)の上限値を超えると、前記色合成プリズムと前記画像変調装置との間に配置されている全体として正の屈折力のレンズ群の焦点距離が強くなり過ぎ、光学性能を良好に保つことが困難になり好ましくない。
更に、上記条件式(1)を満足した上で、前記色合成投射光学系における縮小共役側の瞳位置が以下の条件式を満足することが望ましい。
全系の焦点距離(前記投射レンズがズームレンズの場合、広角端における全系の焦点距離)をfw、縮小共役側の瞳位置(縮小側共役点と縮小共役側の瞳位置との間の距離;前記投射レンズがズームレンズの場合、広角端における縮小共役側の瞳位置)をtkwとした際、以下の条件式を満足していることである。
0.10 < |fw / tkw| < 0.20 …………(2)
条件式(2)は、全系の焦点距離と縮小共役側の瞳位置に関するものである。条件式(2)の下限値を超えると、前記色合成プリズムと前記画像変調装置との間に配置されている全体として正の屈折力のレンズ群の焦点距離が強くなり過ぎ、光学性能を良好に保つことが困難になり好ましくない。条件式(2)の上限値を超えると、縮小側共役面(液晶パネル面)に対してテレセントリック性が良くなくなるので好ましくない。
条件式(2)は、全系の焦点距離と縮小共役側の瞳位置に関するものである。条件式(2)の下限値を超えると、前記色合成プリズムと前記画像変調装置との間に配置されている全体として正の屈折力のレンズ群の焦点距離が強くなり過ぎ、光学性能を良好に保つことが困難になり好ましくない。条件式(2)の上限値を超えると、縮小側共役面(液晶パネル面)に対してテレセントリック性が良くなくなるので好ましくない。
以上のような構成にすることで、本発明に関する課題を達成することかできる。
本実施形態において、回折光学素子を設ける面に関しては、各光学系を通過する軸上光線及び軸外光線が、各光線入射位置における法線方向に対して角度に差が生じると、回折効率が劣化することが懸念される為、前記軸上光線及び軸外光線に対して、できるだけコンセントリックなレンズ面に設定することが好ましい。
また、最も外側の面には、収差補正上やむを得ない等の特別な場合を除いて配置しない方が好ましい。これは、回折光学素子はかなり狭い幅の溝(数ミクロンあるいはサブミクロンオーダーの幅の溝)で構成されており、塵等から前記光学素子表面を保護するためには、最も外側に配置しない方が好ましいためである。
更に本実施形態において、回折光学素子を導入する位置として、以下の条件を満足する位置に前記回折光学素子を導入すると、色収差の補正上好ましい。
ここで、前記回折光学素子を導入する位置の検討を行うにあたって、問題を簡単に取り扱うために、図201(a)及び図201(b)のような薄肉単レンズで構成された近軸配置を考えることにする。前記図201(a)は前記回折光学素子Dが絞りSPより拡大共役側に配置された場合を、前記図201(b)は前記回折光学素子Dが絞りSPより縮小共役側に配置された場合を各々表している。また各図中のMは光学系を構成する屈折光学系の部分を、Dは回折光学素子を、Pは近軸軸上光線を、Qは瞳近軸光線を、IPは像面を各々表している。
前記屈折光学系(薄肉単レンズ)と回折光学素子から成る光学配置(図201(a)、(b))において、この光学系の軸上色収差係数(L)及び倍率色収差係数(T)は以下の関係式が成り立つ。
液晶プロジェクタ等に使用する投影用の屈折光学系の色収差は、一般的に軸上及び倍率色収差ともに正側に発生する傾向にあることから、この場合の屈折光学系全系の軸上色収差係数及び倍率色収差係数ともに、前記(c)式より負の値になる。すなわち、前記(a)式及び(b)式において、
この屈折光学系で発生した軸上及び倍率色収差の補正をするには、3次収差係数のレベルで考えると、前記屈折光学系と回折光学素子より成る光学系の全系の各色収差係数L、T(前記(a)、(b)式の左辺)の値が各々0に近づけば良いことになる。前述より、屈折光学系部分の軸上色収差係数及び倍率色収差係数ともに負の値であること((d)式)と、前記(a)、(b)式を考慮し、前記全系(屈折光学系部分+回折光学素子)の各色収差係数L、Tの値を0に近づけるには、前記回折光学素子の軸上色収差係数及び倍率色収差係数とも正の値にすれば良い。すなわち、前記(a)式及び(b)式において、
ここで、図201(a)のように、前記回折光学素子Dが絞りSPよりも拡大共役側に配置された場合を考える。この時、回折光学素子Dの位置において、
一方、図201(b)のように、前記回折光学素子Dが絞りSPよりも縮小共役側に配置された場合を考えると、回折光学素子Dの位置において、
以上のことを、本発明の各実施例について対応させると、各実施例とも、絞りよりも縮小共役側にあるレンズ群、つまり第3レンズ群、第4レンズ群、第5レンズ群、第6レンズ群のいずれかのレンズ群に回折光学素子を導入すれば、軸上色収差及び倍率色収差の両者の色収差を同時に補正する方向にあり好ましい。また、その中でも、前記回折光学素子を設ける面は、前記近軸軸上光線と瞳近軸光線の光軸からの高さができるだけ高い部分に配置した方がより色収差の補正に効果があることから(前記(a)、(e)式及び図201(b)より)、できるだけ縮小共役側に近いレンズ群に設けた方が好ましいことと、できるだけコンセントリックなレンズ面であることが好ましいことと、最も外側のレンズ面は塵や光源からの熱の影響を受けるためなるべく避けた方が良いこと等を考慮すると、実施例1では第4レンズ群内に、実施例2では第3レンズ群内に、実施例3では第4レンズ群内に、実施例4では第5レンズ群内に各々導入することが好ましい。
これらの回折光学素子は、光学面の上に施されるのであるが、そのベースは球面若しくは平面あるいは非球面あるいは2次曲面でも良い。また、それらの光学面にプラスチック等の膜を上記回折光学面として添付する方法(いわゆるレプリカ非球面)で作成しても良い。
本実施形態における回折光学素子の製法としては、バイナリオプティクス形状をフォトレジストにより直接レンズ表面に成形する方法の他に、この方法によって作成した型を用いるレプリカ成形やモールド成形を行う方法がある。また、鋸状形状のキノフォームにすれば、回折効率が上がり、理想値に近い回折効率が期待できる。
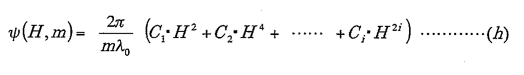
また、本実施形態における回折光学素子の形状ψは、次式によって表される。
上述の2つ条件式((3)、(4)式)の範囲を外れると、収差補正が難しくなるだけでなく、回折光学素子が作りにくくなり好ましくない。
本実施例で用いる回折光学素子の構造としては、図101に示す1層のキノフォーム形状の単層構成のものや、図102に示すような格子厚の異なる(又は同一の)2つの層を積み上げた積層構成のもの等が適用可能である。
図103は図101に示す回折光学素子101の1次回折光の回折効率の波長依存性を示している。実際の回折光学素子101の構成は、図101より、基材102の表面に紫外線硬化樹脂を塗布し、樹脂部に波長530nmで1次回折光の回折効率が100%となるような格子厚dの回折格子103を形成している。
前記図103で明らかなように、設計次数の回折効率は最適化した波長530nmから離れるに従って低下し、一方設計次数近傍の次数の0次回折光と2次回折光の回折効率が増大している。その設計次数以外の回折光の増加はフレアとなり、光学系の解像度の低下につながる。
図102に示す2つの回折格子104、105を積層した積層型の回折光学素子の波長依存特性を図104に示す。前記図102では、基材102上に紫外線硬化樹脂(nd=1.499、vd=54)から成る第1の回折格子104を形成し、その上に別の紫外線硬化樹脂(nd=1.598、vd=28)から成る第2の回折格子105を形成している。この材質の組合せでは、第1の回折格子104の格子厚d1はd1=13.8μm、第2の回折格子105の格子厚d2はd2=10.5μmとしている。前記図104から判るように、積層構造の回折光学素子にすることで、設計次数の回折効率は、使用波長全域で95%以上の高い回折効率を有している。
このように、本発明の実施例の回折光学素子として積層構造を用いると、光学性能を更に改善することができる。
なお回折光学素子として、材質を紫外線硬化樹脂に限定するものではなく、他のプラスチック材なども使用できるし、基材によっては第1の回折格子部104を直接基材に形成しても良い。また各格子厚が必ずしも必要はなく、材料の組合せでは図105に示すように2つの格子厚を等しくできる。この場合、回折光学素子表面に格子形状が形成されないので、防塵性に優れ、回折光学素子の組立作業性が向上し、より安価な光学系を提供できる。
また、図106のように、基材102上に紫外線硬化樹脂(nd=1.6685、vd=19.7)から成る第1の回折格子107を形成し、前記回折格子107に対し、互いの鋸の山の部分の間隔を約1.5μm程度離れた場所に、別の紫外線硬化樹脂(nd=1.5240、vd=50.8)から成る第2の回折格子106を形成した積層構造の回折光学素子でも、前記図102の回折格子と同等の回折効率を得ることができる。この材質の組合せでは、第1の回折格子107の格子厚d1はd1=5.0μm、第2の回折格子106の格子厚d2はd2=7.5μmとしている。
本実施例では、以上のような構成の回折光学素子を用いることによって、色収差を低減でき、レンズ構成が簡易に、且つレンズ全長の短縮化を可能にし、尚且つ良好な光学性能を持つ色合成投射光学系を得ることができた。
以下に、本発明の数値実施例を記載する。数値実施例において、riは拡大共役側より順に第i番目のレンズ面の曲率半径、diは拡大共役側より順に第i番目のレンズ厚及び空気間隔、niとviは各々拡大共役側より順に第i番目のレンズのガラス屈折率とアッベ数を表している。
図5は実施例1に対する全系の各収差図を表し、図6〜8、図9〜11、図12〜14は各実施例2〜4に対する広角端、中間位置、望遠端の各収差図を表しており、各図中のB、G、Rは470nm、550nm、650nm、ΔM、ΔSはメリジオナル像面、サジタル像面を示している。
また、以下に各数値実施例の条件式の値を示す。但し、表中のE-Xは10-Xを表している。
1 光源
2 放物面鏡
3 第1フライアイレンズ
4,9,21,23 反射ミラー
5 第2フライアイレンズ
6 偏光変換素子
7 第1正レンズ
8 青反射ダイクロミラー
10 緑反射ダイクロミラー
11 第2正レンズ
12 青色用画像変調手段
13,16,19 正レンズ
14 第3正レンズ
15 緑色用画像変調手段
17 第6正レンズ
18 赤色用画像変調手段
20 第4正レンズ
22 第5正レンズ
24 第4Aプリズム(第3プリズム)
25 第3Aプリズム
26 第24Aプリズム
27 第1Aプリズム(第1プリズム)
28 投写レンズ
29 第2プリズム
30 プリズム
31,32,33 正レンズ
34 入射面に正レンズが形成された第1プリズム
35 入射面に正レンズが形成された第2プリズム
36 入射面に正レンズが形成された第3プリズム
CSP,CSP1,CSP2 色合成プリズム
2 放物面鏡
3 第1フライアイレンズ
4,9,21,23 反射ミラー
5 第2フライアイレンズ
6 偏光変換素子
7 第1正レンズ
8 青反射ダイクロミラー
10 緑反射ダイクロミラー
11 第2正レンズ
12 青色用画像変調手段
13,16,19 正レンズ
14 第3正レンズ
15 緑色用画像変調手段
17 第6正レンズ
18 赤色用画像変調手段
20 第4正レンズ
22 第5正レンズ
24 第4Aプリズム(第3プリズム)
25 第3Aプリズム
26 第24Aプリズム
27 第1Aプリズム(第1プリズム)
28 投写レンズ
29 第2プリズム
30 プリズム
31,32,33 正レンズ
34 入射面に正レンズが形成された第1プリズム
35 入射面に正レンズが形成された第2プリズム
36 入射面に正レンズが形成された第3プリズム
CSP,CSP1,CSP2 色合成プリズム
Claims (10)
- 投射レンズと前記投射レンズよりも縮小共役側に色合成プリズムと画像変調装置を備え、前記色合成プリズムと前記画像変調装置との間に、全体として正の屈折力のレンズ群を配置した色合成投射光学系において、前記投射レンズ、前記色合成プリズム、及び前記色合成プリズムと前記画像変調装置との間に配置された全体として正の屈折力のレンズ群のいずれかの部分に、回折光学素子を少なくとも1つ有していることを特徴とする色合成投射光学系。
- 前記色合成投射光学系において、特に前記投射レンズ内に、前記回折光学素子を少なくとも1つ有していることを特徴とする請求項1の色合成投射光学系。
- 前記色合成投射光学系において、前記色合成プリズムと前記画像変調装置との間に配置されている全体として正の屈折力のレンズ群と前記投射レンズとの間に、以下の条件式が成り立っていることを特徴とする請求項1及び請求項2の色合成投射光学系。
0.30 < b.f./ fP-I < 0.70
ここで、b.f.は拡大共役側の共役点が無限大時の縮小共役側のバックフォーカス(ここにおけるb.f.の値は、前記投射レンズと縮小共役点の間に配置されたプリズム等のガラスブロックを空気に換算した際の値)であり、fP-Iは前記色合成プリズムと前記画像変調装置との間に配置されている全体として正の屈折力のレンズ群の焦点距離を表している。 - 前記投射レンズは、最も拡大共役側に配置されたレンズ群が負の屈折力で始まる単焦点レンズであることを特徴とする請求項1から請求項3の色合成投射光学系。
- 前記投射レンズは、最も拡大共役側に配置されたレンズ群が負の屈折力で始まるズームレンズであることを特徴とする請求項1から請求項3の色合成投射光学系。
- 前記色合成投射光学系において、縮小共役側の瞳位置が、以下の条件式を満足することを特徴とする請求項3から5の色合成投射光学系。
0.10 < |fw / tkw| < 0.20
ここで、fwは全系の焦点距離(前記投射レンズがズームレンズの場合、広角端における全系の焦点距離)、tkwは縮小共役側の瞳位置(縮小側共役点と縮小共役側の瞳位置との間の距離;前記投射レンズがズームレンズの場合、広角端における縮小共役側の瞳位置)を各々表している。 - 前記投射レンズは、少なくとも3つ以上のレンズ群より構成されていることを特徴とする請求項4及び請求項6の色合成投射光学系。
- 前記投射レンズにおいて、前記第3レンズ群、若しくは前記第4レンズ群に、絞りを有することを特徴とする請求項7の色合成投射光学系。
- 前記回折光学素子は回折格子を1つの層のみで形成した単層型回折光学素子、若しくは複数の層を積層して形成した積層型回折光学素子であることを特徴とする請求項1から8の色合成投射光学系。
- 請求項1から9のいずれか1項の色合成投射光学系を用いて、投影像原画をスクリーン面上に投影していることを特徴とする投影装置。
Priority Applications (1)
| Application Number | Priority Date | Filing Date | Title |
|---|---|---|---|
| JP2003336905A JP2005106902A (ja) | 2003-09-29 | 2003-09-29 | 投射レンズ及びそれを用いた色合成光学系 |
Applications Claiming Priority (1)
| Application Number | Priority Date | Filing Date | Title |
|---|---|---|---|
| JP2003336905A JP2005106902A (ja) | 2003-09-29 | 2003-09-29 | 投射レンズ及びそれを用いた色合成光学系 |
Publications (1)
| Publication Number | Publication Date |
|---|---|
| JP2005106902A true JP2005106902A (ja) | 2005-04-21 |
Family
ID=34532879
Family Applications (1)
| Application Number | Title | Priority Date | Filing Date |
|---|---|---|---|
| JP2003336905A Withdrawn JP2005106902A (ja) | 2003-09-29 | 2003-09-29 | 投射レンズ及びそれを用いた色合成光学系 |
Country Status (1)
| Country | Link |
|---|---|
| JP (1) | JP2005106902A (ja) |
Cited By (5)
| Publication number | Priority date | Publication date | Assignee | Title |
|---|---|---|---|---|
| KR100797479B1 (ko) | 2006-08-21 | 2008-01-24 | 엘지전자 주식회사 | 프로젝션 시스템 |
| JP2009003259A (ja) * | 2007-06-22 | 2009-01-08 | Fujinon Corp | 投影用ズームレンズおよび投写型表示装置 |
| JP2009198960A (ja) * | 2008-02-25 | 2009-09-03 | Canon Inc | 撮像光学系及びそれを有する撮像装置 |
| JP2015040981A (ja) * | 2013-08-22 | 2015-03-02 | キヤノン株式会社 | ズームレンズ及びそれを有する画像投射装置 |
| CN114594574A (zh) * | 2022-03-31 | 2022-06-07 | 歌尔光学科技有限公司 | 一种光学投影系统以及电子设备 |
-
2003
- 2003-09-29 JP JP2003336905A patent/JP2005106902A/ja not_active Withdrawn
Cited By (6)
| Publication number | Priority date | Publication date | Assignee | Title |
|---|---|---|---|---|
| KR100797479B1 (ko) | 2006-08-21 | 2008-01-24 | 엘지전자 주식회사 | 프로젝션 시스템 |
| JP2009003259A (ja) * | 2007-06-22 | 2009-01-08 | Fujinon Corp | 投影用ズームレンズおよび投写型表示装置 |
| JP2009198960A (ja) * | 2008-02-25 | 2009-09-03 | Canon Inc | 撮像光学系及びそれを有する撮像装置 |
| JP2015040981A (ja) * | 2013-08-22 | 2015-03-02 | キヤノン株式会社 | ズームレンズ及びそれを有する画像投射装置 |
| CN114594574A (zh) * | 2022-03-31 | 2022-06-07 | 歌尔光学科技有限公司 | 一种光学投影系统以及电子设备 |
| CN114594574B (zh) * | 2022-03-31 | 2023-11-10 | 歌尔光学科技有限公司 | 一种光学投影系统以及电子设备 |
Similar Documents
| Publication | Publication Date | Title |
|---|---|---|
| JP5766798B2 (ja) | 投写用変倍光学系および投写型表示装置 | |
| CN100501488C (zh) | 投射型变焦透镜及投射型显示装置 | |
| JP3445404B2 (ja) | 投影レンズ及び投影装置 | |
| JP2002350727A (ja) | ズームレンズ | |
| JP2008304765A (ja) | ズームレンズ及びそれを用いた画像投影装置 | |
| JP2009210594A (ja) | 投写用ズームレンズおよび投写型表示装置 | |
| JP4823641B2 (ja) | 投写レンズおよびこれを用いた投写型表示装置 | |
| WO2013157237A1 (ja) | 投写用レンズおよび投写型表示装置 | |
| JP2014134567A (ja) | 光学系及びそれを有する画像投射装置 | |
| JP2019035873A (ja) | 投写用光学系及び投写型表示装置 | |
| JP2016050989A (ja) | 投写用ズームレンズおよび投写型表示装置 | |
| JP4750319B2 (ja) | 投射用ズームレンズ | |
| JP5777182B2 (ja) | 投写用変倍光学系および投写型表示装置 | |
| JP4750318B2 (ja) | 投射用ズームレンズ | |
| JP5530308B2 (ja) | 投射用ズームレンズおよび投射型画像表示装置 | |
| JP4340469B2 (ja) | 投射用レンズおよび投射型画像表示装置 | |
| JP2013007881A (ja) | 投写用変倍光学系および投写型表示装置 | |
| US6741398B2 (en) | Zoom lens system, image projecting and image pick-up devices using the same | |
| JP2011154318A (ja) | レンズ系及びこれを搭載する光学機器 | |
| JP2010032566A (ja) | 投写型可変焦点レンズおよび投写型表示装置 | |
| JP2010249946A (ja) | レンズ系及びこれを搭載する光学機器 | |
| JP4222408B2 (ja) | ズームレンズ及びプロジェクタ | |
| JP5642903B2 (ja) | 投写用ズームレンズおよび投写型表示装置 | |
| JP2007304268A (ja) | ズームレンズ及びそれを有する画像投射装置 | |
| JP3524492B2 (ja) | ズームレンズ及びそれを用いた投影装置 |
Legal Events
| Date | Code | Title | Description |
|---|---|---|---|
| A300 | Withdrawal of application because of no request for examination |
Free format text: JAPANESE INTERMEDIATE CODE: A300 Effective date: 20061205 |
