ES2811136T3 - Compuestos de benzazol y métodos para obtener y usar los compuestos - Google Patents
Compuestos de benzazol y métodos para obtener y usar los compuestos Download PDFInfo
- Publication number
- ES2811136T3 ES2811136T3 ES16748048T ES16748048T ES2811136T3 ES 2811136 T3 ES2811136 T3 ES 2811136T3 ES 16748048 T ES16748048 T ES 16748048T ES 16748048 T ES16748048 T ES 16748048T ES 2811136 T3 ES2811136 T3 ES 2811136T3
- Authority
- ES
- Spain
- Prior art keywords
- carboxamide
- oxazol
- benzo
- piperidin
- pyrazol
- Prior art date
- Legal status (The legal status is an assumption and is not a legal conclusion. Google has not performed a legal analysis and makes no representation as to the accuracy of the status listed.)
- Active
Links
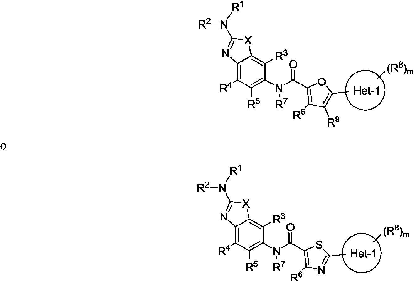
- 150000001875 compounds Chemical class 0.000 title claims abstract description 139
- SIKJAQJRHWYJAI-UHFFFAOYSA-N Indole Chemical class C1=CC=C2NC=CC2=C1 SIKJAQJRHWYJAI-UHFFFAOYSA-N 0.000 title claims description 92
- 238000000034 method Methods 0.000 title claims description 31
- -1 hydrate Chemical class 0.000 claims abstract description 339
- 125000001931 aliphatic group Chemical group 0.000 claims abstract description 73
- 125000000623 heterocyclic group Chemical group 0.000 claims abstract description 69
- 125000003118 aryl group Chemical group 0.000 claims abstract description 65
- 125000001424 substituent group Chemical group 0.000 claims abstract description 41
- 150000003839 salts Chemical class 0.000 claims abstract description 31
- 125000001072 heteroaryl group Chemical group 0.000 claims abstract description 29
- IJGRMHOSHXDMSA-UHFFFAOYSA-N nitrogen Substances N#N IJGRMHOSHXDMSA-UHFFFAOYSA-N 0.000 claims abstract description 28
- 125000001188 haloalkyl group Chemical group 0.000 claims abstract description 26
- 229910052757 nitrogen Inorganic materials 0.000 claims abstract description 26
- 125000002252 acyl group Chemical group 0.000 claims abstract description 23
- 150000001408 amides Chemical class 0.000 claims abstract description 21
- 125000002887 hydroxy group Chemical group [H]O* 0.000 claims abstract description 19
- 229910052760 oxygen Inorganic materials 0.000 claims abstract description 19
- 125000002924 primary amino group Chemical group [H]N([H])* 0.000 claims abstract description 19
- 229940002612 prodrug Drugs 0.000 claims abstract description 19
- 239000000651 prodrug Substances 0.000 claims abstract description 19
- 229940124530 sulfonamide Drugs 0.000 claims abstract description 19
- 150000003456 sulfonamides Chemical class 0.000 claims abstract description 19
- 125000004432 carbon atom Chemical group C* 0.000 claims abstract description 18
- 150000001733 carboxylic acid esters Chemical class 0.000 claims abstract description 18
- 125000000449 nitro group Chemical group [O-][N+](*)=O 0.000 claims abstract description 17
- 229910052717 sulfur Inorganic materials 0.000 claims abstract description 16
- 125000000753 cycloalkyl group Chemical group 0.000 claims abstract description 15
- 125000000475 sulfinyl group Chemical group [*:2]S([*:1])=O 0.000 claims abstract description 15
- 125000003396 thiol group Chemical group [H]S* 0.000 claims abstract description 15
- 125000005843 halogen group Chemical group 0.000 claims abstract description 14
- 125000004435 hydrogen atom Chemical group [H]* 0.000 claims abstract description 14
- QJGQUHMNIGDVPM-UHFFFAOYSA-N nitrogen group Chemical group [N] QJGQUHMNIGDVPM-UHFFFAOYSA-N 0.000 claims abstract description 14
- 229910052799 carbon Inorganic materials 0.000 claims abstract description 12
- 125000005842 heteroatom Chemical group 0.000 claims abstract description 11
- 229910052739 hydrogen Inorganic materials 0.000 claims abstract description 9
- 150000001204 N-oxides Chemical class 0.000 claims abstract description 8
- 239000012453 solvate Substances 0.000 claims abstract description 8
- OKTJSMMVPCPJKN-UHFFFAOYSA-N Carbon Chemical compound [C] OKTJSMMVPCPJKN-UHFFFAOYSA-N 0.000 claims abstract description 7
- 238000006467 substitution reaction Methods 0.000 claims abstract description 7
- 125000004433 nitrogen atom Chemical group N* 0.000 claims abstract description 6
- UFHFLCQGNIYNRP-UHFFFAOYSA-N Hydrogen Chemical compound [H][H] UFHFLCQGNIYNRP-UHFFFAOYSA-N 0.000 claims abstract description 5
- 239000001257 hydrogen Substances 0.000 claims abstract description 5
- 125000004169 (C1-C6) alkyl group Chemical group 0.000 claims abstract 2
- 239000000203 mixture Substances 0.000 claims description 72
- 208000037265 diseases, disorders, signs and symptoms Diseases 0.000 claims description 53
- 125000000217 alkyl group Chemical group 0.000 claims description 44
- 208000006673 asthma Diseases 0.000 claims description 41
- 201000010099 disease Diseases 0.000 claims description 30
- 239000003814 drug Substances 0.000 claims description 28
- 239000003795 chemical substances by application Substances 0.000 claims description 24
- 208000035475 disorder Diseases 0.000 claims description 23
- 239000003112 inhibitor Substances 0.000 claims description 22
- 238000011282 treatment Methods 0.000 claims description 16
- JUJWROOIHBZHMG-UHFFFAOYSA-N Pyridine Chemical compound C1=CC=NC=C1 JUJWROOIHBZHMG-UHFFFAOYSA-N 0.000 claims description 14
- 239000000546 pharmaceutical excipient Substances 0.000 claims description 13
- 206010039073 rheumatoid arthritis Diseases 0.000 claims description 13
- 206010028980 Neoplasm Diseases 0.000 claims description 11
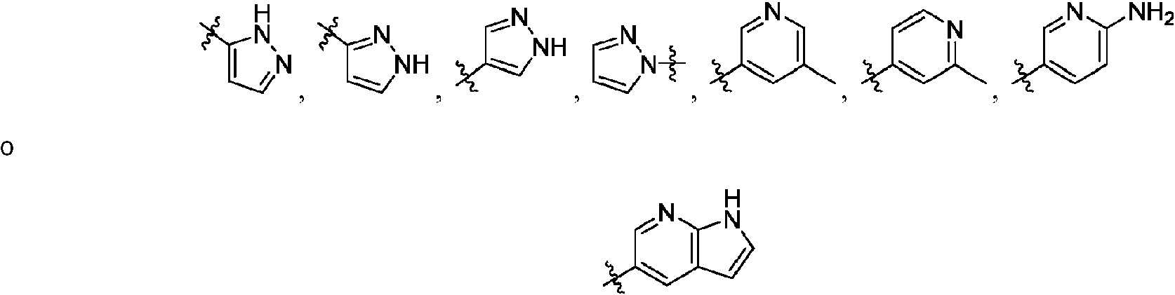
- MVXVYAKCVDQRLW-UHFFFAOYSA-N 1h-pyrrolo[2,3-b]pyridine Chemical compound C1=CN=C2NC=CC2=C1 MVXVYAKCVDQRLW-UHFFFAOYSA-N 0.000 claims description 10
- 229910052736 halogen Inorganic materials 0.000 claims description 10
- 150000002367 halogens Chemical class 0.000 claims description 10
- 150000002500 ions Chemical class 0.000 claims description 10
- 201000004624 Dermatitis Diseases 0.000 claims description 9
- 208000010668 atopic eczema Diseases 0.000 claims description 9
- WTKZEGDFNFYCGP-UHFFFAOYSA-N Pyrazole Chemical compound C=1C=NNC=1 WTKZEGDFNFYCGP-UHFFFAOYSA-N 0.000 claims description 8
- QVGXLLKOCUKJST-UHFFFAOYSA-N atomic oxygen Chemical compound [O] QVGXLLKOCUKJST-UHFFFAOYSA-N 0.000 claims description 8
- 230000001684 chronic effect Effects 0.000 claims description 8
- 229940079593 drug Drugs 0.000 claims description 8
- 239000001301 oxygen Substances 0.000 claims description 8
- 206010019663 Hepatic failure Diseases 0.000 claims description 7
- 230000001154 acute effect Effects 0.000 claims description 7
- 201000011510 cancer Diseases 0.000 claims description 7
- 208000007903 liver failure Diseases 0.000 claims description 7
- 231100000835 liver failure Toxicity 0.000 claims description 7
- UMJSCPRVCHMLSP-UHFFFAOYSA-N pyridine Natural products COC1=CC=CN=C1 UMJSCPRVCHMLSP-UHFFFAOYSA-N 0.000 claims description 7
- CXQWRCVTCMQVQX-LSDHHAIUSA-N (+)-taxifolin Chemical compound C1([C@@H]2[C@H](C(C3=C(O)C=C(O)C=C3O2)=O)O)=CC=C(O)C(O)=C1 CXQWRCVTCMQVQX-LSDHHAIUSA-N 0.000 claims description 6
- 206010018364 Glomerulonephritis Diseases 0.000 claims description 6
- 230000000172 allergic effect Effects 0.000 claims description 6
- 230000000302 ischemic effect Effects 0.000 claims description 6
- 239000000126 substance Substances 0.000 claims description 6
- 238000002054 transplantation Methods 0.000 claims description 6
- 201000004384 Alopecia Diseases 0.000 claims description 5
- 208000010839 B-cell chronic lymphocytic leukemia Diseases 0.000 claims description 5
- 208000035143 Bacterial infection Diseases 0.000 claims description 5
- 201000009030 Carcinoma Diseases 0.000 claims description 5
- 206010009900 Colitis ulcerative Diseases 0.000 claims description 5
- 208000011231 Crohn disease Diseases 0.000 claims description 5
- 208000031422 Lymphocytic Chronic B-Cell Leukemia Diseases 0.000 claims description 5
- 201000004681 Psoriasis Diseases 0.000 claims description 5
- 206010067584 Type 1 diabetes mellitus Diseases 0.000 claims description 5
- 201000006704 Ulcerative Colitis Diseases 0.000 claims description 5
- 206010046851 Uveitis Diseases 0.000 claims description 5
- 208000022362 bacterial infectious disease Diseases 0.000 claims description 5
- 208000024711 extrinsic asthma Diseases 0.000 claims description 5
- 201000010659 intrinsic asthma Diseases 0.000 claims description 5
- 201000006417 multiple sclerosis Diseases 0.000 claims description 5
- 229960002621 pembrolizumab Drugs 0.000 claims description 5
- 201000000306 sarcoidosis Diseases 0.000 claims description 5
- 208000032467 Aplastic anaemia Diseases 0.000 claims description 4
- 208000023275 Autoimmune disease Diseases 0.000 claims description 4
- 208000008439 Biliary Liver Cirrhosis Diseases 0.000 claims description 4
- 206010011831 Cytomegalovirus infection Diseases 0.000 claims description 4
- 102000016680 Dioxygenases Human genes 0.000 claims description 4
- 108010028143 Dioxygenases Proteins 0.000 claims description 4
- NTYJJOPFIAHURM-UHFFFAOYSA-N Histamine Chemical compound NCCC1=CN=CN1 NTYJJOPFIAHURM-UHFFFAOYSA-N 0.000 claims description 4
- 208000022559 Inflammatory bowel disease Diseases 0.000 claims description 4
- 206010029240 Neuritis Diseases 0.000 claims description 4
- 206010033645 Pancreatitis Diseases 0.000 claims description 4
- 206010034277 Pemphigoid Diseases 0.000 claims description 4
- 201000009594 Systemic Scleroderma Diseases 0.000 claims description 4
- 206010042953 Systemic sclerosis Diseases 0.000 claims description 4
- 206010002026 amyotrophic lateral sclerosis Diseases 0.000 claims description 4
- 210000000988 bone and bone Anatomy 0.000 claims description 4
- 208000000594 bullous pemphigoid Diseases 0.000 claims description 4
- 208000032852 chronic lymphocytic leukemia Diseases 0.000 claims description 4
- TVFIYRKPCACCNL-UHFFFAOYSA-N furan-2-carboxamide Chemical compound NC(=O)C1=CC=CO1 TVFIYRKPCACCNL-UHFFFAOYSA-N 0.000 claims description 4
- 206010021198 ichthyosis Diseases 0.000 claims description 4
- PZOUSPYUWWUPPK-UHFFFAOYSA-N indole Natural products CC1=CC=CC2=C1C=CN2 PZOUSPYUWWUPPK-UHFFFAOYSA-N 0.000 claims description 4
- RKJUIXBNRJVNHR-UHFFFAOYSA-N indolenine Natural products C1=CC=C2CC=NC2=C1 RKJUIXBNRJVNHR-UHFFFAOYSA-N 0.000 claims description 4
- 208000027866 inflammatory disease Diseases 0.000 claims description 4
- 229960005386 ipilimumab Drugs 0.000 claims description 4
- 208000023589 ischemic disease Diseases 0.000 claims description 4
- 201000005962 mycosis fungoides Diseases 0.000 claims description 4
- 229960003301 nivolumab Drugs 0.000 claims description 4
- 208000008338 non-alcoholic fatty liver disease Diseases 0.000 claims description 4
- 206010053219 non-alcoholic steatohepatitis Diseases 0.000 claims description 4
- 210000000056 organ Anatomy 0.000 claims description 4
- 230000002685 pulmonary effect Effects 0.000 claims description 4
- 208000023504 respiratory system disease Diseases 0.000 claims description 4
- 230000009885 systemic effect Effects 0.000 claims description 4
- 201000000596 systemic lupus erythematosus Diseases 0.000 claims description 4
- 208000022309 Alcoholic Liver disease Diseases 0.000 claims description 3
- 208000024827 Alzheimer disease Diseases 0.000 claims description 3
- 201000001320 Atherosclerosis Diseases 0.000 claims description 3
- 208000009137 Behcet syndrome Diseases 0.000 claims description 3
- 229940045513 CTLA4 antagonist Drugs 0.000 claims description 3
- 208000015943 Coeliac disease Diseases 0.000 claims description 3
- 206010014561 Emphysema Diseases 0.000 claims description 3
- 206010060742 Endocrine ophthalmopathy Diseases 0.000 claims description 3
- 206010016654 Fibrosis Diseases 0.000 claims description 3
- 206010029216 Nervousness Diseases 0.000 claims description 3
- 229910006067 SO3−M Inorganic materials 0.000 claims description 3
- 208000036142 Viral infection Diseases 0.000 claims description 3
- 201000009961 allergic asthma Diseases 0.000 claims description 3
- 231100000360 alopecia Toxicity 0.000 claims description 3
- 230000001363 autoimmune Effects 0.000 claims description 3
- 206010006451 bronchitis Diseases 0.000 claims description 3
- 230000007812 deficiency Effects 0.000 claims description 3
- 229950009791 durvalumab Drugs 0.000 claims description 3
- 210000003743 erythrocyte Anatomy 0.000 claims description 3
- 208000015181 infectious disease Diseases 0.000 claims description 3
- 208000030603 inherited susceptibility to asthma Diseases 0.000 claims description 3
- 230000000968 intestinal effect Effects 0.000 claims description 3
- 206010023332 keratitis Diseases 0.000 claims description 3
- 208000017169 kidney disease Diseases 0.000 claims description 3
- 230000003902 lesion Effects 0.000 claims description 3
- 210000004185 liver Anatomy 0.000 claims description 3
- 206010025135 lupus erythematosus Diseases 0.000 claims description 3
- 229950010773 pidilizumab Drugs 0.000 claims description 3
- 230000009385 viral infection Effects 0.000 claims description 3
- ZADWXFSZEAPBJS-SNVBAGLBSA-N (2r)-2-amino-3-(1-methylindol-3-yl)propanoic acid Chemical compound C1=CC=C2N(C)C=C(C[C@@H](N)C(O)=O)C2=C1 ZADWXFSZEAPBJS-SNVBAGLBSA-N 0.000 claims description 2
- 125000000171 (C1-C6) haloalkyl group Chemical group 0.000 claims description 2
- PQQRHWFRZHFGFM-UHFFFAOYSA-N 1,3-thiazole-4-carboxamide Chemical compound NC(=O)C1=CSC=N1 PQQRHWFRZHFGFM-UHFFFAOYSA-N 0.000 claims description 2
- JIVANWVLNGMSOX-UHFFFAOYSA-N 2-(3,4-dihydroxyphenyl)-3,6,7-trihydroxy-2,3-dihydrochromen-4-one Chemical compound O1C2=CC(O)=C(O)C=C2C(=O)C(O)C1C1=CC=C(O)C(O)=C1 JIVANWVLNGMSOX-UHFFFAOYSA-N 0.000 claims description 2
- 208000030507 AIDS Diseases 0.000 claims description 2
- 208000002874 Acne Vulgaris Diseases 0.000 claims description 2
- 208000009304 Acute Kidney Injury Diseases 0.000 claims description 2
- 208000026872 Addison Disease Diseases 0.000 claims description 2
- 201000010000 Agranulocytosis Diseases 0.000 claims description 2
- 208000035285 Allergic Seasonal Rhinitis Diseases 0.000 claims description 2
- 206010002065 Anaemia megaloblastic Diseases 0.000 claims description 2
- 208000028185 Angioedema Diseases 0.000 claims description 2
- 206010002660 Anoxia Diseases 0.000 claims description 2
- 241000976983 Anoxia Species 0.000 claims description 2
- 206010003210 Arteriosclerosis Diseases 0.000 claims description 2
- 208000032116 Autoimmune Experimental Encephalomyelitis Diseases 0.000 claims description 2
- 206010003827 Autoimmune hepatitis Diseases 0.000 claims description 2
- 208000037157 Azotemia Diseases 0.000 claims description 2
- 229940125565 BMS-986016 Drugs 0.000 claims description 2
- 208000023328 Basedow disease Diseases 0.000 claims description 2
- 206010004659 Biliary cirrhosis Diseases 0.000 claims description 2
- 208000033222 Biliary cirrhosis primary Diseases 0.000 claims description 2
- 208000005623 Carcinogenesis Diseases 0.000 claims description 2
- 208000024172 Cardiovascular disease Diseases 0.000 claims description 2
- 208000002177 Cataract Diseases 0.000 claims description 2
- 206010008609 Cholangitis sclerosing Diseases 0.000 claims description 2
- 208000002691 Choroiditis Diseases 0.000 claims description 2
- 206010009208 Cirrhosis alcoholic Diseases 0.000 claims description 2
- 206010009657 Clostridium difficile colitis Diseases 0.000 claims description 2
- 206010066968 Corneal leukoma Diseases 0.000 claims description 2
- 206010012441 Dermatitis bullous Diseases 0.000 claims description 2
- 206010012442 Dermatitis contact Diseases 0.000 claims description 2
- 206010014824 Endotoxic shock Diseases 0.000 claims description 2
- 206010014950 Eosinophilia Diseases 0.000 claims description 2
- 206010014954 Eosinophilic fasciitis Diseases 0.000 claims description 2
- 206010014989 Epidermolysis bullosa Diseases 0.000 claims description 2
- 206010015150 Erythema Diseases 0.000 claims description 2
- 208000024869 Goodpasture syndrome Diseases 0.000 claims description 2
- 206010018691 Granuloma Diseases 0.000 claims description 2
- 206010072579 Granulomatosis with polyangiitis Diseases 0.000 claims description 2
- 208000035895 Guillain-Barré syndrome Diseases 0.000 claims description 2
- 208000035186 Hemolytic Autoimmune Anemia Diseases 0.000 claims description 2
- 241000700721 Hepatitis B virus Species 0.000 claims description 2
- 206010019799 Hepatitis viral Diseases 0.000 claims description 2
- 208000005100 Herpetic Keratitis Diseases 0.000 claims description 2
- 206010020850 Hyperthyroidism Diseases 0.000 claims description 2
- 206010021074 Hypoplastic anaemia Diseases 0.000 claims description 2
- 206010021143 Hypoxia Diseases 0.000 claims description 2
- 201000003838 Idiopathic interstitial pneumonia Diseases 0.000 claims description 2
- 206010021245 Idiopathic thrombocytopenic purpura Diseases 0.000 claims description 2
- 208000007766 Kaposi sarcoma Diseases 0.000 claims description 2
- 206010024380 Leukoderma Diseases 0.000 claims description 2
- 208000012309 Linear IgA disease Diseases 0.000 claims description 2
- 206010058467 Lung neoplasm malignant Diseases 0.000 claims description 2
- 208000000682 Megaloblastic Anemia Diseases 0.000 claims description 2
- 206010027476 Metastases Diseases 0.000 claims description 2
- 208000019695 Migraine disease Diseases 0.000 claims description 2
- 206010049567 Miller Fisher syndrome Diseases 0.000 claims description 2
- 206010027910 Mononeuritis Diseases 0.000 claims description 2
- 208000024599 Mooren ulcer Diseases 0.000 claims description 2
- 201000003793 Myelodysplastic syndrome Diseases 0.000 claims description 2
- 208000009525 Myocarditis Diseases 0.000 claims description 2
- 201000002481 Myositis Diseases 0.000 claims description 2
- FBKMWOJEPMPVTQ-UHFFFAOYSA-N N'-(3-bromo-4-fluorophenyl)-N-hydroxy-4-[2-(sulfamoylamino)ethylamino]-1,2,5-oxadiazole-3-carboximidamide Chemical compound NS(=O)(=O)NCCNC1=NON=C1C(=NO)NC1=CC=C(F)C(Br)=C1 FBKMWOJEPMPVTQ-UHFFFAOYSA-N 0.000 claims description 2
- 206010051606 Necrotising colitis Diseases 0.000 claims description 2
- YGACXVRLDHEXKY-WXRXAMBDSA-N O[C@H](C[C@H]1c2c(cccc2F)-c2cncn12)[C@H]1CC[C@H](O)CC1 Chemical compound O[C@H](C[C@H]1c2c(cccc2F)-c2cncn12)[C@H]1CC[C@H](O)CC1 YGACXVRLDHEXKY-WXRXAMBDSA-N 0.000 claims description 2
- 208000008589 Obesity Diseases 0.000 claims description 2
- 206010073938 Ophthalmic herpes simplex Diseases 0.000 claims description 2
- 239000012828 PI3K inhibitor Substances 0.000 claims description 2
- 208000018737 Parkinson disease Diseases 0.000 claims description 2
- 241000721454 Pemphigus Species 0.000 claims description 2
- 208000031845 Pernicious anaemia Diseases 0.000 claims description 2
- 206010036105 Polyneuropathy Diseases 0.000 claims description 2
- 208000003971 Posterior uveitis Diseases 0.000 claims description 2
- 208000012654 Primary biliary cholangitis Diseases 0.000 claims description 2
- 206010036774 Proctitis Diseases 0.000 claims description 2
- 208000003100 Pseudomembranous Enterocolitis Diseases 0.000 claims description 2
- 206010037128 Pseudomembranous colitis Diseases 0.000 claims description 2
- 208000003670 Pure Red-Cell Aplasia Diseases 0.000 claims description 2
- 208000006311 Pyoderma Diseases 0.000 claims description 2
- 206010037779 Radiculopathy Diseases 0.000 claims description 2
- 208000033626 Renal failure acute Diseases 0.000 claims description 2
- 206010063837 Reperfusion injury Diseases 0.000 claims description 2
- 208000007014 Retinitis pigmentosa Diseases 0.000 claims description 2
- 206010039705 Scleritis Diseases 0.000 claims description 2
- 206010039710 Scleroderma Diseases 0.000 claims description 2
- 206010039793 Seborrhoeic dermatitis Diseases 0.000 claims description 2
- 206010039966 Senile dementia Diseases 0.000 claims description 2
- 206010040070 Septic Shock Diseases 0.000 claims description 2
- 208000009359 Sezary Syndrome Diseases 0.000 claims description 2
- 208000021388 Sezary disease Diseases 0.000 claims description 2
- 208000007107 Stomach Ulcer Diseases 0.000 claims description 2
- 208000031673 T-Cell Cutaneous Lymphoma Diseases 0.000 claims description 2
- 206010053615 Thermal burn Diseases 0.000 claims description 2
- 208000031981 Thrombocytopenic Idiopathic Purpura Diseases 0.000 claims description 2
- 208000007536 Thrombosis Diseases 0.000 claims description 2
- 231100000579 Toxinosis Toxicity 0.000 claims description 2
- 206010052779 Transplant rejections Diseases 0.000 claims description 2
- QIVBCDIJIAJPQS-UHFFFAOYSA-N Tryptophan Natural products C1=CC=C2C(CC(N)C(O)=O)=CNC2=C1 QIVBCDIJIAJPQS-UHFFFAOYSA-N 0.000 claims description 2
- 206010064996 Ulcerative keratitis Diseases 0.000 claims description 2
- 208000024780 Urticaria Diseases 0.000 claims description 2
- 208000001445 Uveomeningoencephalitic Syndrome Diseases 0.000 claims description 2
- 206010047115 Vasculitis Diseases 0.000 claims description 2
- 208000034705 Vogt-Koyanagi-Harada syndrome Diseases 0.000 claims description 2
- 206010000496 acne Diseases 0.000 claims description 2
- 201000011040 acute kidney failure Diseases 0.000 claims description 2
- 208000012998 acute renal failure Diseases 0.000 claims description 2
- 206010064930 age-related macular degeneration Diseases 0.000 claims description 2
- 230000032683 aging Effects 0.000 claims description 2
- 208000010002 alcoholic liver cirrhosis Diseases 0.000 claims description 2
- 230000007953 anoxia Effects 0.000 claims description 2
- 208000011775 arteriosclerosis disease Diseases 0.000 claims description 2
- 201000000448 autoimmune hemolytic anemia Diseases 0.000 claims description 2
- 201000003710 autoimmune thrombocytopenic purpura Diseases 0.000 claims description 2
- 230000036952 cancer formation Effects 0.000 claims description 2
- 231100000504 carcinogenesis Toxicity 0.000 claims description 2
- 230000000973 chemotherapeutic effect Effects 0.000 claims description 2
- 208000020832 chronic kidney disease Diseases 0.000 claims description 2
- 208000025302 chronic primary adrenal insufficiency Diseases 0.000 claims description 2
- 201000010002 cicatricial pemphigoid Diseases 0.000 claims description 2
- 230000007882 cirrhosis Effects 0.000 claims description 2
- 208000019425 cirrhosis of liver Diseases 0.000 claims description 2
- 206010009887 colitis Diseases 0.000 claims description 2
- 208000010247 contact dermatitis Diseases 0.000 claims description 2
- 201000007241 cutaneous T cell lymphoma Diseases 0.000 claims description 2
- 201000001981 dermatomyositis Diseases 0.000 claims description 2
- XCGZWJIXHMSSQC-UHFFFAOYSA-N dihydroquercetin Natural products OC1=CC2OC(=C(O)C(=O)C2C(O)=C1)c1ccc(O)c(O)c1 XCGZWJIXHMSSQC-UHFFFAOYSA-N 0.000 claims description 2
- KQNGHARGJDXHKF-UHFFFAOYSA-N dihydrotamarixetin Natural products C1=C(O)C(OC)=CC=C1C1C(O)C(=O)C2=C(O)C=C(O)C=C2O1 KQNGHARGJDXHKF-UHFFFAOYSA-N 0.000 claims description 2
- 239000000428 dust Substances 0.000 claims description 2
- 238000003912 environmental pollution Methods 0.000 claims description 2
- 201000001564 eosinophilic gastroenteritis Diseases 0.000 claims description 2
- 231100000321 erythema Toxicity 0.000 claims description 2
- 230000035784 germination Effects 0.000 claims description 2
- 208000007565 gingivitis Diseases 0.000 claims description 2
- 230000002949 hemolytic effect Effects 0.000 claims description 2
- 206010019692 hepatic necrosis Diseases 0.000 claims description 2
- 208000006454 hepatitis Diseases 0.000 claims description 2
- 231100000283 hepatitis Toxicity 0.000 claims description 2
- 201000010884 herpes simplex virus keratitis Diseases 0.000 claims description 2
- 229960001340 histamine Drugs 0.000 claims description 2
- 201000002597 ichthyosis vulgaris Diseases 0.000 claims description 2
- 229950009034 indoximod Drugs 0.000 claims description 2
- 230000002757 inflammatory effect Effects 0.000 claims description 2
- 208000014674 injury Diseases 0.000 claims description 2
- 201000006334 interstitial nephritis Diseases 0.000 claims description 2
- 208000028774 intestinal disease Diseases 0.000 claims description 2
- 230000003903 intestinal lesions Effects 0.000 claims description 2
- 208000012947 ischemia reperfusion injury Diseases 0.000 claims description 2
- 201000011486 lichen planus Diseases 0.000 claims description 2
- 229950011263 lirilumab Drugs 0.000 claims description 2
- 231100000149 liver necrosis Toxicity 0.000 claims description 2
- 201000005202 lung cancer Diseases 0.000 claims description 2
- 208000020816 lung neoplasm Diseases 0.000 claims description 2
- 208000008585 mastocytosis Diseases 0.000 claims description 2
- 231100001016 megaloblastic anemia Toxicity 0.000 claims description 2
- 230000009401 metastasis Effects 0.000 claims description 2
- 206010027599 migraine Diseases 0.000 claims description 2
- 208000013734 mononeuritis simplex Diseases 0.000 claims description 2
- 201000005518 mononeuropathy Diseases 0.000 claims description 2
- 201000006938 muscular dystrophy Diseases 0.000 claims description 2
- 206010028417 myasthenia gravis Diseases 0.000 claims description 2
- 230000017074 necrotic cell death Effects 0.000 claims description 2
- 208000004995 necrotizing enterocolitis Diseases 0.000 claims description 2
- 208000015122 neurodegenerative disease Diseases 0.000 claims description 2
- 230000000414 obstructive effect Effects 0.000 claims description 2
- 230000036961 partial effect Effects 0.000 claims description 2
- 201000006195 perinatal necrotizing enterocolitis Diseases 0.000 claims description 2
- 201000001245 periodontitis Diseases 0.000 claims description 2
- 125000002467 phosphate group Chemical group [H]OP(=O)(O[H])O[*] 0.000 claims description 2
- 229940043441 phosphoinositide 3-kinase inhibitor Drugs 0.000 claims description 2
- 208000005987 polymyositis Diseases 0.000 claims description 2
- 208000019629 polyneuritis Diseases 0.000 claims description 2
- 238000004321 preservation Methods 0.000 claims description 2
- 208000025638 primary cutaneous T-cell non-Hodgkin lymphoma Diseases 0.000 claims description 2
- 230000001737 promoting effect Effects 0.000 claims description 2
- 230000005855 radiation Effects 0.000 claims description 2
- 238000002271 resection Methods 0.000 claims description 2
- 230000002441 reversible effect Effects 0.000 claims description 2
- 201000003068 rheumatic fever Diseases 0.000 claims description 2
- 206010039083 rhinitis Diseases 0.000 claims description 2
- 230000037390 scarring Effects 0.000 claims description 2
- 208000010157 sclerosing cholangitis Diseases 0.000 claims description 2
- 208000008742 seborrheic dermatitis Diseases 0.000 claims description 2
- 230000035945 sensitivity Effects 0.000 claims description 2
- 230000035939 shock Effects 0.000 claims description 2
- 208000004003 siderosis Diseases 0.000 claims description 2
- 230000019100 sperm motility Effects 0.000 claims description 2
- 208000010110 spontaneous platelet aggregation Diseases 0.000 claims description 2
- 230000036575 thermal burns Effects 0.000 claims description 2
- 239000003053 toxin Substances 0.000 claims description 2
- 231100000765 toxin Toxicity 0.000 claims description 2
- 230000008733 trauma Effects 0.000 claims description 2
- 229950007217 tremelimumab Drugs 0.000 claims description 2
- 229950005972 urelumab Drugs 0.000 claims description 2
- 230000003966 vascular damage Effects 0.000 claims description 2
- 201000001862 viral hepatitis Diseases 0.000 claims description 2
- 201000010666 keratoconjunctivitis Diseases 0.000 claims 2
- 208000007788 Acute Liver Failure Diseases 0.000 claims 1
- 206010010741 Conjunctivitis Diseases 0.000 claims 1
- 208000007342 Diabetic Nephropathies Diseases 0.000 claims 1
- 208000003084 Graves Ophthalmopathy Diseases 0.000 claims 1
- 208000004852 Lung Injury Diseases 0.000 claims 1
- 208000034486 Multi-organ failure Diseases 0.000 claims 1
- CZCIKBSVHDNIDH-NSHDSACASA-N N(alpha)-methyl-L-tryptophan Chemical compound C1=CC=C2C(C[C@H]([NH2+]C)C([O-])=O)=CNC2=C1 CZCIKBSVHDNIDH-NSHDSACASA-N 0.000 claims 1
- CZCIKBSVHDNIDH-UHFFFAOYSA-N Nalpha-methyl-DL-tryptophan Natural products C1=CC=C2C(CC(NC)C(O)=O)=CNC2=C1 CZCIKBSVHDNIDH-UHFFFAOYSA-N 0.000 claims 1
- 208000001106 Takayasu Arteritis Diseases 0.000 claims 1
- 206010069363 Traumatic lung injury Diseases 0.000 claims 1
- 208000004631 alopecia areata Diseases 0.000 claims 1
- 208000022831 chronic renal failure syndrome Diseases 0.000 claims 1
- 210000004087 cornea Anatomy 0.000 claims 1
- 230000035617 depilation Effects 0.000 claims 1
- 208000033679 diabetic kidney disease Diseases 0.000 claims 1
- 230000004761 fibrosis Effects 0.000 claims 1
- 230000004047 hyperresponsiveness Effects 0.000 claims 1
- 230000004957 immunoregulator effect Effects 0.000 claims 1
- 231100000515 lung injury Toxicity 0.000 claims 1
- 208000029744 multiple organ dysfunction syndrome Diseases 0.000 claims 1
- 201000006292 polyarteritis nodosa Diseases 0.000 claims 1
- 208000017520 skin disease Diseases 0.000 claims 1
- 125000006273 (C1-C3) alkyl group Chemical group 0.000 abstract 1
- 238000004895 liquid chromatography mass spectrometry Methods 0.000 description 61
- 238000005160 1H NMR spectroscopy Methods 0.000 description 57
- 238000006243 chemical reaction Methods 0.000 description 36
- 239000000243 solution Substances 0.000 description 24
- LFQSCWFLJHTTHZ-UHFFFAOYSA-N Ethanol Chemical compound CCO LFQSCWFLJHTTHZ-UHFFFAOYSA-N 0.000 description 21
- XEKOWRVHYACXOJ-UHFFFAOYSA-N Ethyl acetate Chemical compound CCOC(C)=O XEKOWRVHYACXOJ-UHFFFAOYSA-N 0.000 description 18
- 210000004027 cell Anatomy 0.000 description 17
- 239000002904 solvent Substances 0.000 description 17
- 239000002585 base Substances 0.000 description 15
- XLYOFNOQVPJJNP-UHFFFAOYSA-N water Substances O XLYOFNOQVPJJNP-UHFFFAOYSA-N 0.000 description 15
- 238000009472 formulation Methods 0.000 description 13
- 238000002360 preparation method Methods 0.000 description 13
- 108091003079 Bovine Serum Albumin Proteins 0.000 description 12
- IAZDPXIOMUYVGZ-UHFFFAOYSA-N Dimethylsulphoxide Chemical compound CS(C)=O IAZDPXIOMUYVGZ-UHFFFAOYSA-N 0.000 description 12
- OKKJLVBELUTLKV-UHFFFAOYSA-N Methanol Chemical compound OC OKKJLVBELUTLKV-UHFFFAOYSA-N 0.000 description 12
- 230000001225 therapeutic effect Effects 0.000 description 12
- 238000002965 ELISA Methods 0.000 description 11
- 239000002671 adjuvant Substances 0.000 description 11
- 229940098773 bovine serum albumin Drugs 0.000 description 11
- JGFZNNIVVJXRND-UHFFFAOYSA-N N,N-Diisopropylethylamine (DIPEA) Chemical compound CCN(C(C)C)C(C)C JGFZNNIVVJXRND-UHFFFAOYSA-N 0.000 description 10
- NQRYJNQNLNOLGT-UHFFFAOYSA-N Piperidine Chemical compound C1CCNCC1 NQRYJNQNLNOLGT-UHFFFAOYSA-N 0.000 description 10
- 239000002253 acid Substances 0.000 description 10
- 125000003342 alkenyl group Chemical group 0.000 description 10
- 230000008901 benefit Effects 0.000 description 10
- 230000015572 biosynthetic process Effects 0.000 description 10
- 125000004093 cyano group Chemical group *C#N 0.000 description 10
- 125000004122 cyclic group Chemical group 0.000 description 10
- 125000000392 cycloalkenyl group Chemical group 0.000 description 10
- HQKMJHAJHXVSDF-UHFFFAOYSA-L magnesium stearate Chemical compound [Mg+2].CCCCCCCCCCCCCCCCCC([O-])=O.CCCCCCCCCCCCCCCCCC([O-])=O HQKMJHAJHXVSDF-UHFFFAOYSA-L 0.000 description 10
- 239000008194 pharmaceutical composition Substances 0.000 description 10
- 229940124597 therapeutic agent Drugs 0.000 description 10
- QTBSBXVTEAMEQO-UHFFFAOYSA-N Acetic acid Chemical compound CC(O)=O QTBSBXVTEAMEQO-UHFFFAOYSA-N 0.000 description 9
- 206010020751 Hypersensitivity Diseases 0.000 description 9
- 125000000304 alkynyl group Chemical group 0.000 description 9
- KRKNYBCHXYNGOX-UHFFFAOYSA-N citric acid Chemical compound OC(=O)CC(O)(C(O)=O)CC(O)=O KRKNYBCHXYNGOX-UHFFFAOYSA-N 0.000 description 9
- 235000019441 ethanol Nutrition 0.000 description 9
- 230000006872 improvement Effects 0.000 description 9
- 125000002496 methyl group Chemical group [H]C([H])([H])* 0.000 description 9
- 238000003786 synthesis reaction Methods 0.000 description 9
- YNAVUWVOSKDBBP-UHFFFAOYSA-N Morpholine Chemical compound C1COCCN1 YNAVUWVOSKDBBP-UHFFFAOYSA-N 0.000 description 8
- VYPSYNLAJGMNEJ-UHFFFAOYSA-N Silicium dioxide Chemical compound O=[Si]=O VYPSYNLAJGMNEJ-UHFFFAOYSA-N 0.000 description 8
- 208000026935 allergic disease Diseases 0.000 description 8
- 239000000463 material Substances 0.000 description 8
- 108090000623 proteins and genes Proteins 0.000 description 8
- 125000000472 sulfonyl group Chemical group *S(*)(=O)=O 0.000 description 8
- 239000006228 supernatant Substances 0.000 description 8
- 208000024891 symptom Diseases 0.000 description 8
- RYHBNJHYFVUHQT-UHFFFAOYSA-N 1,4-Dioxane Chemical compound C1COCCO1 RYHBNJHYFVUHQT-UHFFFAOYSA-N 0.000 description 7
- VEXZGXHMUGYJMC-UHFFFAOYSA-N Hydrochloric acid Chemical compound Cl VEXZGXHMUGYJMC-UHFFFAOYSA-N 0.000 description 7
- 239000012979 RPMI medium Substances 0.000 description 7
- 125000003545 alkoxy group Chemical group 0.000 description 7
- 230000007815 allergy Effects 0.000 description 7
- 125000003178 carboxy group Chemical group [H]OC(*)=O 0.000 description 7
- 150000002148 esters Chemical group 0.000 description 7
- 235000019439 ethyl acetate Nutrition 0.000 description 7
- 239000012091 fetal bovine serum Substances 0.000 description 7
- 239000003755 preservative agent Substances 0.000 description 7
- 235000018102 proteins Nutrition 0.000 description 7
- 102000004169 proteins and genes Human genes 0.000 description 7
- 239000003981 vehicle Substances 0.000 description 7
- XWIYUCRMWCHYJR-UHFFFAOYSA-N 1h-pyrrolo[3,2-b]pyridine Chemical compound C1=CC=C2NC=CC2=N1 XWIYUCRMWCHYJR-UHFFFAOYSA-N 0.000 description 6
- WEVYAHXRMPXWCK-UHFFFAOYSA-N Acetonitrile Chemical compound CC#N WEVYAHXRMPXWCK-UHFFFAOYSA-N 0.000 description 6
- GUBGYTABKSRVRQ-XLOQQCSPSA-N Alpha-Lactose Chemical compound O[C@@H]1[C@@H](O)[C@@H](O)[C@@H](CO)O[C@H]1O[C@@H]1[C@@H](CO)O[C@H](O)[C@H](O)[C@H]1O GUBGYTABKSRVRQ-XLOQQCSPSA-N 0.000 description 6
- 101150106931 IFNG gene Proteins 0.000 description 6
- GUBGYTABKSRVRQ-QKKXKWKRSA-N Lactose Natural products OC[C@H]1O[C@@H](O[C@H]2[C@H](O)[C@@H](O)C(O)O[C@@H]2CO)[C@H](O)[C@@H](O)[C@H]1O GUBGYTABKSRVRQ-QKKXKWKRSA-N 0.000 description 6
- KWYUFKZDYYNOTN-UHFFFAOYSA-M Potassium hydroxide Chemical compound [OH-].[K+] KWYUFKZDYYNOTN-UHFFFAOYSA-M 0.000 description 6
- KAESVJOAVNADME-UHFFFAOYSA-N Pyrrole Chemical compound C=1C=CNC=1 KAESVJOAVNADME-UHFFFAOYSA-N 0.000 description 6
- RWRDLPDLKQPQOW-UHFFFAOYSA-N Pyrrolidine Chemical compound C1CCNC1 RWRDLPDLKQPQOW-UHFFFAOYSA-N 0.000 description 6
- HEMHJVSKTPXQMS-UHFFFAOYSA-M Sodium hydroxide Chemical compound [OH-].[Na+] HEMHJVSKTPXQMS-UHFFFAOYSA-M 0.000 description 6
- NINIDFKCEFEMDL-UHFFFAOYSA-N Sulfur Chemical compound [S] NINIDFKCEFEMDL-UHFFFAOYSA-N 0.000 description 6
- 239000006180 TBST buffer Substances 0.000 description 6
- ZMANZCXQSJIPKH-UHFFFAOYSA-N Triethylamine Chemical compound CCN(CC)CC ZMANZCXQSJIPKH-UHFFFAOYSA-N 0.000 description 6
- 150000001412 amines Chemical class 0.000 description 6
- 125000004429 atom Chemical group 0.000 description 6
- 238000001514 detection method Methods 0.000 description 6
- UQLDLKMNUJERMK-UHFFFAOYSA-L di(octadecanoyloxy)lead Chemical compound [Pb+2].CCCCCCCCCCCCCCCCCC([O-])=O.CCCCCCCCCCCCCCCCCC([O-])=O UQLDLKMNUJERMK-UHFFFAOYSA-L 0.000 description 6
- PXBRQCKWGAHEHS-UHFFFAOYSA-N dichlorodifluoromethane Chemical compound FC(F)(Cl)Cl PXBRQCKWGAHEHS-UHFFFAOYSA-N 0.000 description 6
- 230000000694 effects Effects 0.000 description 6
- RAXXELZNTBOGNW-UHFFFAOYSA-N imidazole Natural products C1=CNC=N1 RAXXELZNTBOGNW-UHFFFAOYSA-N 0.000 description 6
- 239000008101 lactose Substances 0.000 description 6
- 239000000047 product Substances 0.000 description 6
- 230000000069 prophylactic effect Effects 0.000 description 6
- 239000011734 sodium Substances 0.000 description 6
- 239000011593 sulfur Substances 0.000 description 6
- 239000000725 suspension Substances 0.000 description 6
- WQZGKKKJIJFFOK-GASJEMHNSA-N Glucose Natural products OC[C@H]1OC(O)[C@H](O)[C@@H](O)[C@@H]1O WQZGKKKJIJFFOK-GASJEMHNSA-N 0.000 description 5
- DGAQECJNVWCQMB-PUAWFVPOSA-M Ilexoside XXIX Chemical compound C[C@@H]1CC[C@@]2(CC[C@@]3(C(=CC[C@H]4[C@]3(CC[C@@H]5[C@@]4(CC[C@@H](C5(C)C)OS(=O)(=O)[O-])C)C)[C@@H]2[C@]1(C)O)C)C(=O)O[C@H]6[C@@H]([C@H]([C@@H]([C@H](O6)CO)O)O)O.[Na+] DGAQECJNVWCQMB-PUAWFVPOSA-M 0.000 description 5
- 108010072621 Interleukin-1 Receptor-Associated Kinases Proteins 0.000 description 5
- 102000006940 Interleukin-1 Receptor-Associated Kinases Human genes 0.000 description 5
- XEEYBQQBJWHFJM-UHFFFAOYSA-N Iron Chemical class [Fe] XEEYBQQBJWHFJM-UHFFFAOYSA-N 0.000 description 5
- 239000002177 L01XE27 - Ibrutinib Substances 0.000 description 5
- ZMXDDKWLCZADIW-UHFFFAOYSA-N N,N-Dimethylformamide Chemical compound CN(C)C=O ZMXDDKWLCZADIW-UHFFFAOYSA-N 0.000 description 5
- GRYLNZFGIOXLOG-UHFFFAOYSA-N Nitric acid Chemical compound O[N+]([O-])=O GRYLNZFGIOXLOG-UHFFFAOYSA-N 0.000 description 5
- 229920002472 Starch Polymers 0.000 description 5
- 150000007513 acids Chemical class 0.000 description 5
- 239000004480 active ingredient Substances 0.000 description 5
- 239000000654 additive Substances 0.000 description 5
- 125000003710 aryl alkyl group Chemical group 0.000 description 5
- 239000003153 chemical reaction reagent Substances 0.000 description 5
- 238000005859 coupling reaction Methods 0.000 description 5
- 229960001507 ibrutinib Drugs 0.000 description 5
- XYFPWWZEPKGCCK-GOSISDBHSA-N ibrutinib Chemical compound C1=2C(N)=NC=NC=2N([C@H]2CN(CCC2)C(=O)C=C)N=C1C(C=C1)=CC=C1OC1=CC=CC=C1 XYFPWWZEPKGCCK-GOSISDBHSA-N 0.000 description 5
- 235000019359 magnesium stearate Nutrition 0.000 description 5
- 235000013855 polyvinylpyrrolidone Nutrition 0.000 description 5
- 239000001267 polyvinylpyrrolidone Substances 0.000 description 5
- 229920000036 polyvinylpyrrolidone Polymers 0.000 description 5
- QELSKZZBTMNZEB-UHFFFAOYSA-N propylparaben Chemical compound CCCOC(=O)C1=CC=C(O)C=C1 QELSKZZBTMNZEB-UHFFFAOYSA-N 0.000 description 5
- 235000019698 starch Nutrition 0.000 description 5
- 208000011580 syndromic disease Diseases 0.000 description 5
- YBJHBAHKTGYVGT-ZKWXMUAHSA-N (+)-Biotin Chemical compound N1C(=O)N[C@@H]2[C@H](CCCCC(=O)O)SC[C@@H]21 YBJHBAHKTGYVGT-ZKWXMUAHSA-N 0.000 description 4
- GVJHHUAWPYXKBD-UHFFFAOYSA-N (±)-α-Tocopherol Chemical compound OC1=C(C)C(C)=C2OC(CCCC(C)CCCC(C)CCCC(C)C)(C)CCC2=C1C GVJHHUAWPYXKBD-UHFFFAOYSA-N 0.000 description 4
- ONBQEOIKXPHGMB-VBSBHUPXSA-N 1-[2-[(2s,3r,4s,5r)-3,4-dihydroxy-5-(hydroxymethyl)oxolan-2-yl]oxy-4,6-dihydroxyphenyl]-3-(4-hydroxyphenyl)propan-1-one Chemical compound O[C@@H]1[C@H](O)[C@@H](CO)O[C@H]1OC1=CC(O)=CC(O)=C1C(=O)CCC1=CC=C(O)C=C1 ONBQEOIKXPHGMB-VBSBHUPXSA-N 0.000 description 4
- FCEHBMOGCRZNNI-UHFFFAOYSA-N 1-benzothiophene Chemical compound C1=CC=C2SC=CC2=C1 FCEHBMOGCRZNNI-UHFFFAOYSA-N 0.000 description 4
- LMDZBCPBFSXMTL-UHFFFAOYSA-N 1-ethyl-3-(3-dimethylaminopropyl)carbodiimide Chemical compound CCN=C=NCCCN(C)C LMDZBCPBFSXMTL-UHFFFAOYSA-N 0.000 description 4
- HZAXFHJVJLSVMW-UHFFFAOYSA-N 2-Aminoethan-1-ol Chemical compound NCCO HZAXFHJVJLSVMW-UHFFFAOYSA-N 0.000 description 4
- 125000003349 3-pyridyl group Chemical group N1=C([H])C([*])=C([H])C([H])=C1[H] 0.000 description 4
- 125000000339 4-pyridyl group Chemical group N1=C([H])C([H])=C([*])C([H])=C1[H] 0.000 description 4
- NSPMIYGKQJPBQR-UHFFFAOYSA-N 4H-1,2,4-triazole Chemical compound C=1N=CNN=1 NSPMIYGKQJPBQR-UHFFFAOYSA-N 0.000 description 4
- QGZKDVFQNNGYKY-UHFFFAOYSA-O Ammonium Chemical compound [NH4+] QGZKDVFQNNGYKY-UHFFFAOYSA-O 0.000 description 4
- CIWBSHSKHKDKBQ-JLAZNSOCSA-N Ascorbic acid Chemical compound OC[C@H](O)[C@H]1OC(=O)C(O)=C1O CIWBSHSKHKDKBQ-JLAZNSOCSA-N 0.000 description 4
- PMATZTZNYRCHOR-CGLBZJNRSA-N Cyclosporin A Chemical compound CC[C@@H]1NC(=O)[C@H]([C@H](O)[C@H](C)C\C=C\C)N(C)C(=O)[C@H](C(C)C)N(C)C(=O)[C@H](CC(C)C)N(C)C(=O)[C@H](CC(C)C)N(C)C(=O)[C@@H](C)NC(=O)[C@H](C)NC(=O)[C@H](CC(C)C)N(C)C(=O)[C@H](C(C)C)NC(=O)[C@H](CC(C)C)N(C)C(=O)CN(C)C1=O PMATZTZNYRCHOR-CGLBZJNRSA-N 0.000 description 4
- YLQBMQCUIZJEEH-UHFFFAOYSA-N Furan Chemical compound C=1C=COC=1 YLQBMQCUIZJEEH-UHFFFAOYSA-N 0.000 description 4
- 108010010803 Gelatin Proteins 0.000 description 4
- 102000006395 Globulins Human genes 0.000 description 4
- 108010044091 Globulins Proteins 0.000 description 4
- 102100039620 Granulocyte-macrophage colony-stimulating factor Human genes 0.000 description 4
- 108010065637 Interleukin-23 Proteins 0.000 description 4
- 102000013264 Interleukin-23 Human genes 0.000 description 4
- KFZMGEQAYNKOFK-UHFFFAOYSA-N Isopropanol Chemical compound CC(C)O KFZMGEQAYNKOFK-UHFFFAOYSA-N 0.000 description 4
- AFVFQIVMOAPDHO-UHFFFAOYSA-N Methanesulfonic acid Chemical compound CS(O)(=O)=O AFVFQIVMOAPDHO-UHFFFAOYSA-N 0.000 description 4
- SKVJQVQKRFBKBM-UHFFFAOYSA-N N-(2-methoxyethyl)-N-methyl-6-nitro-5-piperidin-1-yl-1,3-benzoxazol-2-amine Chemical compound COCCN(C=1OC2=C(N=1)C=C(C(=C2)[N+](=O)[O-])N1CCCCC1)C SKVJQVQKRFBKBM-UHFFFAOYSA-N 0.000 description 4
- MUBZPKHOEPUJKR-UHFFFAOYSA-N Oxalic acid Chemical compound OC(=O)C(O)=O MUBZPKHOEPUJKR-UHFFFAOYSA-N 0.000 description 4
- KDLHZDBZIXYQEI-UHFFFAOYSA-N Palladium Chemical compound [Pd] KDLHZDBZIXYQEI-UHFFFAOYSA-N 0.000 description 4
- GLUUGHFHXGJENI-UHFFFAOYSA-N Piperazine Chemical compound C1CNCCN1 GLUUGHFHXGJENI-UHFFFAOYSA-N 0.000 description 4
- ZLMJMSJWJFRBEC-UHFFFAOYSA-N Potassium Chemical compound [K] ZLMJMSJWJFRBEC-UHFFFAOYSA-N 0.000 description 4
- VYGQUTWHTHXGQB-FFHKNEKCSA-N Retinol Palmitate Chemical compound CCCCCCCCCCCCCCCC(=O)OC\C=C(/C)\C=C\C=C(/C)\C=C\C1=C(C)CCCC1(C)C VYGQUTWHTHXGQB-FFHKNEKCSA-N 0.000 description 4
- CDBYLPFSWZWCQE-UHFFFAOYSA-L Sodium Carbonate Chemical compound [Na+].[Na+].[O-]C([O-])=O CDBYLPFSWZWCQE-UHFFFAOYSA-L 0.000 description 4
- CZMRCDWAGMRECN-UGDNZRGBSA-N Sucrose Chemical compound O[C@H]1[C@H](O)[C@@H](CO)O[C@@]1(CO)O[C@@H]1[C@H](O)[C@@H](O)[C@H](O)[C@@H](CO)O1 CZMRCDWAGMRECN-UGDNZRGBSA-N 0.000 description 4
- 229930006000 Sucrose Natural products 0.000 description 4
- QAOWNCQODCNURD-UHFFFAOYSA-N Sulfuric acid Chemical compound OS(O)(=O)=O QAOWNCQODCNURD-UHFFFAOYSA-N 0.000 description 4
- WYURNTSHIVDZCO-UHFFFAOYSA-N Tetrahydrofuran Chemical compound C1CCOC1 WYURNTSHIVDZCO-UHFFFAOYSA-N 0.000 description 4
- 208000033559 Waldenström macroglobulinemia Diseases 0.000 description 4
- 229940100198 alkylating agent Drugs 0.000 description 4
- 239000002168 alkylating agent Substances 0.000 description 4
- 238000010171 animal model Methods 0.000 description 4
- 239000003242 anti bacterial agent Substances 0.000 description 4
- LMEKQMALGUDUQG-UHFFFAOYSA-N azathioprine Chemical compound CN1C=NC([N+]([O-])=O)=C1SC1=NC=NC2=C1NC=N2 LMEKQMALGUDUQG-UHFFFAOYSA-N 0.000 description 4
- WQZGKKKJIJFFOK-VFUOTHLCSA-N beta-D-glucose Chemical compound OC[C@H]1O[C@@H](O)[C@H](O)[C@@H](O)[C@@H]1O WQZGKKKJIJFFOK-VFUOTHLCSA-N 0.000 description 4
- 239000000872 buffer Substances 0.000 description 4
- RYYVLZVUVIJVGH-UHFFFAOYSA-N caffeine Chemical compound CN1C(=O)N(C)C(=O)C2=C1N=CN2C RYYVLZVUVIJVGH-UHFFFAOYSA-N 0.000 description 4
- 239000000969 carrier Substances 0.000 description 4
- 238000012054 celltiter-glo Methods 0.000 description 4
- 238000000576 coating method Methods 0.000 description 4
- 229940126142 compound 16 Drugs 0.000 description 4
- 239000000839 emulsion Substances 0.000 description 4
- 239000008273 gelatin Substances 0.000 description 4
- 229920000159 gelatin Polymers 0.000 description 4
- 229940014259 gelatin Drugs 0.000 description 4
- 235000019322 gelatine Nutrition 0.000 description 4
- 235000011852 gelatine desserts Nutrition 0.000 description 4
- CGIGDMFJXJATDK-UHFFFAOYSA-N indomethacin Chemical compound CC1=C(CC(O)=O)C2=CC(OC)=CC=C2N1C(=O)C1=CC=C(Cl)C=C1 CGIGDMFJXJATDK-UHFFFAOYSA-N 0.000 description 4
- 229910052740 iodine Inorganic materials 0.000 description 4
- AWJUIBRHMBBTKR-UHFFFAOYSA-N isoquinoline Chemical compound C1=NC=CC2=CC=CC=C21 AWJUIBRHMBBTKR-UHFFFAOYSA-N 0.000 description 4
- 210000004072 lung Anatomy 0.000 description 4
- GLVAUDGFNGKCSF-UHFFFAOYSA-N mercaptopurine Chemical group S=C1NC=NC2=C1NC=N2 GLVAUDGFNGKCSF-UHFFFAOYSA-N 0.000 description 4
- 229960001428 mercaptopurine Drugs 0.000 description 4
- LXCFILQKKLGQFO-UHFFFAOYSA-N methylparaben Chemical compound COC(=O)C1=CC=C(O)C=C1 LXCFILQKKLGQFO-UHFFFAOYSA-N 0.000 description 4
- VLKZOEOYAKHREP-UHFFFAOYSA-N n-Hexane Chemical class CCCCCC VLKZOEOYAKHREP-UHFFFAOYSA-N 0.000 description 4
- NFHFRUOZVGFOOS-UHFFFAOYSA-N palladium;triphenylphosphane Chemical compound [Pd].C1=CC=CC=C1P(C=1C=CC=CC=1)C1=CC=CC=C1.C1=CC=CC=C1P(C=1C=CC=CC=1)C1=CC=CC=C1.C1=CC=CC=C1P(C=1C=CC=CC=1)C1=CC=CC=C1.C1=CC=CC=C1P(C=1C=CC=CC=1)C1=CC=CC=C1 NFHFRUOZVGFOOS-UHFFFAOYSA-N 0.000 description 4
- 125000001791 phenazinyl group Chemical group C1(=CC=CC2=NC3=CC=CC=C3N=C12)* 0.000 description 4
- 239000011591 potassium Substances 0.000 description 4
- 239000011541 reaction mixture Substances 0.000 description 4
- WVYADZUPLLSGPU-UHFFFAOYSA-N salsalate Chemical compound OC(=O)C1=CC=CC=C1OC(=O)C1=CC=CC=C1O WVYADZUPLLSGPU-UHFFFAOYSA-N 0.000 description 4
- QFJCIRLUMZQUOT-HPLJOQBZSA-N sirolimus Chemical compound C1C[C@@H](O)[C@H](OC)C[C@@H]1C[C@@H](C)[C@H]1OC(=O)[C@@H]2CCCCN2C(=O)C(=O)[C@](O)(O2)[C@H](C)CC[C@H]2C[C@H](OC)/C(C)=C/C=C/C=C/[C@@H](C)C[C@@H](C)C(=O)[C@H](OC)[C@H](O)/C(C)=C/[C@@H](C)C(=O)C1 QFJCIRLUMZQUOT-HPLJOQBZSA-N 0.000 description 4
- 229910052708 sodium Inorganic materials 0.000 description 4
- 235000010356 sorbitol Nutrition 0.000 description 4
- 239000000758 substrate Substances 0.000 description 4
- 239000005720 sucrose Substances 0.000 description 4
- 229960004793 sucrose Drugs 0.000 description 4
- 239000003826 tablet Substances 0.000 description 4
- 238000012360 testing method Methods 0.000 description 4
- 231100000419 toxicity Toxicity 0.000 description 4
- 230000001988 toxicity Effects 0.000 description 4
- GETQZCLCWQTVFV-UHFFFAOYSA-N trimethylamine Chemical compound CN(C)C GETQZCLCWQTVFV-UHFFFAOYSA-N 0.000 description 4
- HYZJCKYKOHLVJF-UHFFFAOYSA-N 1H-benzimidazole Chemical compound C1=CC=C2NC=NC2=C1 HYZJCKYKOHLVJF-UHFFFAOYSA-N 0.000 description 3
- UVHVJSJZCPFGET-UHFFFAOYSA-N 5-fluoro-3h-1,3-benzoxazole-2-thione Chemical compound FC1=CC=C2OC(S)=NC2=C1 UVHVJSJZCPFGET-UHFFFAOYSA-N 0.000 description 3
- DOZVMUJRAZOZCS-UHFFFAOYSA-N 5-fluoro-N-(2-methoxyethyl)-N-methyl-6-nitro-1,3-benzoxazol-2-amine Chemical compound FC=1C(=CC2=C(N=C(O2)N(C)CCOC)C=1)[N+](=O)[O-] DOZVMUJRAZOZCS-UHFFFAOYSA-N 0.000 description 3
- WFDIJRYMOXRFFG-UHFFFAOYSA-N Acetic anhydride Chemical compound CC(=O)OC(C)=O WFDIJRYMOXRFFG-UHFFFAOYSA-N 0.000 description 3
- 208000024893 Acute lymphoblastic leukemia Diseases 0.000 description 3
- 208000014697 Acute lymphocytic leukaemia Diseases 0.000 description 3
- 0 CN1CCN(*)CC1 Chemical compound CN1CCN(*)CC1 0.000 description 3
- OYPRJOBELJOOCE-UHFFFAOYSA-N Calcium Chemical compound [Ca] OYPRJOBELJOOCE-UHFFFAOYSA-N 0.000 description 3
- QGJOPFRUJISHPQ-UHFFFAOYSA-N Carbon disulfide Chemical compound S=C=S QGJOPFRUJISHPQ-UHFFFAOYSA-N 0.000 description 3
- VEXZGXHMUGYJMC-UHFFFAOYSA-M Chloride anion Chemical compound [Cl-] VEXZGXHMUGYJMC-UHFFFAOYSA-M 0.000 description 3
- 108010036949 Cyclosporine Proteins 0.000 description 3
- 102000004127 Cytokines Human genes 0.000 description 3
- 108090000695 Cytokines Proteins 0.000 description 3
- YMWUJEATGCHHMB-UHFFFAOYSA-N Dichloromethane Chemical compound ClCCl YMWUJEATGCHHMB-UHFFFAOYSA-N 0.000 description 3
- PEDCQBHIVMGVHV-UHFFFAOYSA-N Glycerine Chemical compound OCC(O)CO PEDCQBHIVMGVHV-UHFFFAOYSA-N 0.000 description 3
- 101000746373 Homo sapiens Granulocyte-macrophage colony-stimulating factor Proteins 0.000 description 3
- 101000852483 Homo sapiens Interleukin-1 receptor-associated kinase 1 Proteins 0.000 description 3
- 101000977771 Homo sapiens Interleukin-1 receptor-associated kinase 4 Proteins 0.000 description 3
- 102100036342 Interleukin-1 receptor-associated kinase 1 Human genes 0.000 description 3
- 102100023533 Interleukin-1 receptor-associated kinase 4 Human genes 0.000 description 3
- WMFOQBRAJBCJND-UHFFFAOYSA-M Lithium hydroxide Chemical compound [Li+].[OH-] WMFOQBRAJBCJND-UHFFFAOYSA-M 0.000 description 3
- 206010025323 Lymphomas Diseases 0.000 description 3
- 229920000168 Microcrystalline cellulose Polymers 0.000 description 3
- 208000002193 Pain Diseases 0.000 description 3
- JGSARLDLIJGVTE-MBNYWOFBSA-N Penicillin G Chemical compound N([C@H]1[C@H]2SC([C@@H](N2C1=O)C(O)=O)(C)C)C(=O)CC1=CC=CC=C1 JGSARLDLIJGVTE-MBNYWOFBSA-N 0.000 description 3
- 239000002202 Polyethylene glycol Substances 0.000 description 3
- 208000006664 Precursor Cell Lymphoblastic Leukemia-Lymphoma Diseases 0.000 description 3
- OFOBLEOULBTSOW-UHFFFAOYSA-N Propanedioic acid Natural products OC(=O)CC(O)=O OFOBLEOULBTSOW-UHFFFAOYSA-N 0.000 description 3
- SMWDFEZZVXVKRB-UHFFFAOYSA-N Quinoline Chemical compound N1=CC=CC2=CC=CC=C21 SMWDFEZZVXVKRB-UHFFFAOYSA-N 0.000 description 3
- 108010090804 Streptavidin Proteins 0.000 description 3
- QJJXYPPXXYFBGM-LFZNUXCKSA-N Tacrolimus Chemical compound C1C[C@@H](O)[C@H](OC)C[C@@H]1\C=C(/C)[C@@H]1[C@H](C)[C@@H](O)CC(=O)[C@H](CC=C)/C=C(C)/C[C@H](C)C[C@H](OC)[C@H]([C@H](C[C@H]2C)OC)O[C@@]2(O)C(=O)C(=O)N2CCCC[C@H]2C(=O)O1 QJJXYPPXXYFBGM-LFZNUXCKSA-N 0.000 description 3
- FZWLAAWBMGSTSO-UHFFFAOYSA-N Thiazole Chemical compound C1=CSC=N1 FZWLAAWBMGSTSO-UHFFFAOYSA-N 0.000 description 3
- YXFVVABEGXRONW-UHFFFAOYSA-N Toluene Chemical compound CC1=CC=CC=C1 YXFVVABEGXRONW-UHFFFAOYSA-N 0.000 description 3
- HCHKCACWOHOZIP-UHFFFAOYSA-N Zinc Chemical class [Zn] HCHKCACWOHOZIP-UHFFFAOYSA-N 0.000 description 3
- 230000001093 anti-cancer Effects 0.000 description 3
- 229940121363 anti-inflammatory agent Drugs 0.000 description 3
- 239000002260 anti-inflammatory agent Substances 0.000 description 3
- 229940088710 antibiotic agent Drugs 0.000 description 3
- 239000003963 antioxidant agent Substances 0.000 description 3
- 235000006708 antioxidants Nutrition 0.000 description 3
- 229960002170 azathioprine Drugs 0.000 description 3
- 239000011230 binding agent Substances 0.000 description 3
- 230000000903 blocking effect Effects 0.000 description 3
- ZADPBFCGQRWHPN-UHFFFAOYSA-N boronic acid Chemical compound OBO ZADPBFCGQRWHPN-UHFFFAOYSA-N 0.000 description 3
- 239000011575 calcium Substances 0.000 description 3
- 229910052791 calcium Inorganic materials 0.000 description 3
- 239000002775 capsule Substances 0.000 description 3
- 150000001732 carboxylic acid derivatives Chemical group 0.000 description 3
- 239000003054 catalyst Substances 0.000 description 3
- 238000004113 cell culture Methods 0.000 description 3
- 235000010980 cellulose Nutrition 0.000 description 3
- 229920002678 cellulose Polymers 0.000 description 3
- 239000001913 cellulose Substances 0.000 description 3
- 239000000460 chlorine Substances 0.000 description 3
- 235000015165 citric acid Nutrition 0.000 description 3
- 239000003086 colorant Substances 0.000 description 3
- 229940125810 compound 20 Drugs 0.000 description 3
- 230000008878 coupling Effects 0.000 description 3
- 238000010168 coupling process Methods 0.000 description 3
- 229940127089 cytotoxic agent Drugs 0.000 description 3
- 238000010790 dilution Methods 0.000 description 3
- 239000012895 dilution Substances 0.000 description 3
- 239000007884 disintegrant Substances 0.000 description 3
- 239000003937 drug carrier Substances 0.000 description 3
- 239000003995 emulsifying agent Substances 0.000 description 3
- 239000002702 enteric coating Substances 0.000 description 3
- 238000009505 enteric coating Methods 0.000 description 3
- 239000000796 flavoring agent Substances 0.000 description 3
- 235000019634 flavors Nutrition 0.000 description 3
- 235000003599 food sweetener Nutrition 0.000 description 3
- 238000005227 gel permeation chromatography Methods 0.000 description 3
- 150000004676 glycans Chemical class 0.000 description 3
- JAXFJECJQZDFJS-XHEPKHHKSA-N gtpl8555 Chemical compound OC(=O)C[C@H](N)C(=O)N[C@@H](CCC(O)=O)C(=O)N[C@@H](C(C)C)C(=O)N[C@@H](C(C)C)C(=O)N1CCC[C@@H]1C(=O)N[C@H](B1O[C@@]2(C)[C@H]3C[C@H](C3(C)C)C[C@H]2O1)CCC1=CC=C(F)C=C1 JAXFJECJQZDFJS-XHEPKHHKSA-N 0.000 description 3
- 229940088597 hormone Drugs 0.000 description 3
- 239000005556 hormone Substances 0.000 description 3
- 239000001866 hydroxypropyl methyl cellulose Substances 0.000 description 3
- 235000010979 hydroxypropyl methyl cellulose Nutrition 0.000 description 3
- 229920003088 hydroxypropyl methyl cellulose Polymers 0.000 description 3
- UFVKGYZPFZQRLF-UHFFFAOYSA-N hydroxypropyl methyl cellulose Chemical compound OC1C(O)C(OC)OC(CO)C1OC1C(O)C(O)C(OC2C(C(O)C(OC3C(C(O)C(O)C(CO)O3)O)C(CO)O2)O)C(CO)O1 UFVKGYZPFZQRLF-UHFFFAOYSA-N 0.000 description 3
- 229960003444 immunosuppressant agent Drugs 0.000 description 3
- 239000003018 immunosuppressive agent Substances 0.000 description 3
- 238000011534 incubation Methods 0.000 description 3
- 239000007924 injection Substances 0.000 description 3
- 238000002347 injection Methods 0.000 description 3
- 230000000670 limiting effect Effects 0.000 description 3
- 239000007788 liquid Substances 0.000 description 3
- 239000000314 lubricant Substances 0.000 description 3
- 235000010270 methyl p-hydroxybenzoate Nutrition 0.000 description 3
- HPNSFSBZBAHARI-UHFFFAOYSA-N micophenolic acid Natural products OC1=C(CC=C(C)CCC(O)=O)C(OC)=C(C)C2=C1C(=O)OC2 HPNSFSBZBAHARI-UHFFFAOYSA-N 0.000 description 3
- 235000019813 microcrystalline cellulose Nutrition 0.000 description 3
- 239000008108 microcrystalline cellulose Substances 0.000 description 3
- 229940016286 microcrystalline cellulose Drugs 0.000 description 3
- 229910017604 nitric acid Inorganic materials 0.000 description 3
- 239000000041 non-steroidal anti-inflammatory agent Substances 0.000 description 3
- 229940021182 non-steroidal anti-inflammatory drug Drugs 0.000 description 3
- 230000003287 optical effect Effects 0.000 description 3
- WCPAKWJPBJAGKN-UHFFFAOYSA-N oxadiazole Chemical compound C1=CON=N1 WCPAKWJPBJAGKN-UHFFFAOYSA-N 0.000 description 3
- 210000003819 peripheral blood mononuclear cell Anatomy 0.000 description 3
- 229910052698 phosphorus Inorganic materials 0.000 description 3
- 229960002292 piperacillin Drugs 0.000 description 3
- WCMIIGXFCMNQDS-IDYPWDAWSA-M piperacillin sodium Chemical compound [Na+].O=C1C(=O)N(CC)CCN1C(=O)N[C@H](C=1C=CC=CC=1)C(=O)N[C@@H]1C(=O)N2[C@@H](C([O-])=O)C(C)(C)S[C@@H]21 WCMIIGXFCMNQDS-IDYPWDAWSA-M 0.000 description 3
- 229920001223 polyethylene glycol Polymers 0.000 description 3
- 229920001282 polysaccharide Polymers 0.000 description 3
- 239000005017 polysaccharide Substances 0.000 description 3
- 229920000136 polysorbate Polymers 0.000 description 3
- 229910052700 potassium Inorganic materials 0.000 description 3
- 239000000843 powder Substances 0.000 description 3
- 229960004618 prednisone Drugs 0.000 description 3
- XOFYZVNMUHMLCC-ZPOLXVRWSA-N prednisone Chemical compound O=C1C=C[C@]2(C)[C@H]3C(=O)C[C@](C)([C@@](CC4)(O)C(=O)CO)[C@@H]4[C@@H]3CCC2=C1 XOFYZVNMUHMLCC-ZPOLXVRWSA-N 0.000 description 3
- 235000010232 propyl p-hydroxybenzoate Nutrition 0.000 description 3
- 125000004076 pyridyl group Chemical group 0.000 description 3
- ZAHRKKWIAAJSAO-UHFFFAOYSA-N rapamycin Natural products COCC(O)C(=C/C(C)C(=O)CC(OC(=O)C1CCCCN1C(=O)C(=O)C2(O)OC(CC(OC)C(=CC=CC=CC(C)CC(C)C(=O)C)C)CCC2C)C(C)CC3CCC(O)C(C3)OC)C ZAHRKKWIAAJSAO-UHFFFAOYSA-N 0.000 description 3
- 230000009467 reduction Effects 0.000 description 3
- 230000011664 signaling Effects 0.000 description 3
- 229910052710 silicon Inorganic materials 0.000 description 3
- 239000000377 silicon dioxide Substances 0.000 description 3
- 201000009890 sinusitis Diseases 0.000 description 3
- 229960002930 sirolimus Drugs 0.000 description 3
- 229910000029 sodium carbonate Inorganic materials 0.000 description 3
- 239000008109 sodium starch glycolate Substances 0.000 description 3
- 229920003109 sodium starch glycolate Polymers 0.000 description 3
- 229940079832 sodium starch glycolate Drugs 0.000 description 3
- 239000007787 solid Substances 0.000 description 3
- 239000000600 sorbitol Substances 0.000 description 3
- 239000003765 sweetening agent Substances 0.000 description 3
- 239000000454 talc Substances 0.000 description 3
- 229910052623 talc Inorganic materials 0.000 description 3
- 229940033134 talc Drugs 0.000 description 3
- 210000001519 tissue Anatomy 0.000 description 3
- JOXIMZWYDAKGHI-UHFFFAOYSA-N toluene-4-sulfonic acid Chemical compound CC1=CC=C(S(O)(=O)=O)C=C1 JOXIMZWYDAKGHI-UHFFFAOYSA-N 0.000 description 3
- VZCYOOQTPOCHFL-UHFFFAOYSA-N trans-butenedioic acid Natural products OC(=O)C=CC(O)=O VZCYOOQTPOCHFL-UHFFFAOYSA-N 0.000 description 3
- 229910052725 zinc Inorganic materials 0.000 description 3
- SZUVGFMDDVSKSI-WIFOCOSTSA-N (1s,2s,3s,5r)-1-(carboxymethyl)-3,5-bis[(4-phenoxyphenyl)methyl-propylcarbamoyl]cyclopentane-1,2-dicarboxylic acid Chemical compound O=C([C@@H]1[C@@H]([C@](CC(O)=O)([C@H](C(=O)N(CCC)CC=2C=CC(OC=3C=CC=CC=3)=CC=2)C1)C(O)=O)C(O)=O)N(CCC)CC(C=C1)=CC=C1OC1=CC=CC=C1 SZUVGFMDDVSKSI-WIFOCOSTSA-N 0.000 description 2
- RDJGLLICXDHJDY-NSHDSACASA-N (2s)-2-(3-phenoxyphenyl)propanoic acid Chemical compound OC(=O)[C@@H](C)C1=CC=CC(OC=2C=CC=CC=2)=C1 RDJGLLICXDHJDY-NSHDSACASA-N 0.000 description 2
- IAKHMKGGTNLKSZ-INIZCTEOSA-N (S)-colchicine Chemical compound C1([C@@H](NC(C)=O)CC2)=CC(=O)C(OC)=CC=C1C1=C2C=C(OC)C(OC)=C1OC IAKHMKGGTNLKSZ-INIZCTEOSA-N 0.000 description 2
- UGUHFDPGDQDVGX-UHFFFAOYSA-N 1,2,3-thiadiazole Chemical compound C1=CSN=N1 UGUHFDPGDQDVGX-UHFFFAOYSA-N 0.000 description 2
- JYEUMXHLPRZUAT-UHFFFAOYSA-N 1,2,3-triazine Chemical compound C1=CN=NN=C1 JYEUMXHLPRZUAT-UHFFFAOYSA-N 0.000 description 2
- BBVIDBNAYOIXOE-UHFFFAOYSA-N 1,2,4-oxadiazole Chemical compound C=1N=CON=1 BBVIDBNAYOIXOE-UHFFFAOYSA-N 0.000 description 2
- YGTAZGSLCXNBQL-UHFFFAOYSA-N 1,2,4-thiadiazole Chemical compound C=1N=CSN=1 YGTAZGSLCXNBQL-UHFFFAOYSA-N 0.000 description 2
- FYADHXFMURLYQI-UHFFFAOYSA-N 1,2,4-triazine Chemical compound C1=CN=NC=N1 FYADHXFMURLYQI-UHFFFAOYSA-N 0.000 description 2
- UDGKZGLPXCRRAM-UHFFFAOYSA-N 1,2,5-thiadiazole Chemical compound C=1C=NSN=1 UDGKZGLPXCRRAM-UHFFFAOYSA-N 0.000 description 2
- KILNVBDSWZSGLL-KXQOOQHDSA-N 1,2-dihexadecanoyl-sn-glycero-3-phosphocholine Chemical compound CCCCCCCCCCCCCCCC(=O)OC[C@H](COP([O-])(=O)OCC[N+](C)(C)C)OC(=O)CCCCCCCCCCCCCCC KILNVBDSWZSGLL-KXQOOQHDSA-N 0.000 description 2
- FKASFBLJDCHBNZ-UHFFFAOYSA-N 1,3,4-oxadiazole Chemical compound C1=NN=CO1 FKASFBLJDCHBNZ-UHFFFAOYSA-N 0.000 description 2
- MBIZXFATKUQOOA-UHFFFAOYSA-N 1,3,4-thiadiazole Chemical compound C1=NN=CS1 MBIZXFATKUQOOA-UHFFFAOYSA-N 0.000 description 2
- JIHQDMXYYFUGFV-UHFFFAOYSA-N 1,3,5-triazine Chemical compound C1=NC=NC=N1 JIHQDMXYYFUGFV-UHFFFAOYSA-N 0.000 description 2
- IANQTJSKSUMEQM-UHFFFAOYSA-N 1-benzofuran Chemical compound C1=CC=C2OC=CC2=C1 IANQTJSKSUMEQM-UHFFFAOYSA-N 0.000 description 2
- VBICKXHEKHSIBG-UHFFFAOYSA-N 1-monostearoylglycerol Chemical compound CCCCCCCCCCCCCCCCCC(=O)OCC(O)CO VBICKXHEKHSIBG-UHFFFAOYSA-N 0.000 description 2
- IIZPXYDJLKNOIY-JXPKJXOSSA-N 1-palmitoyl-2-arachidonoyl-sn-glycero-3-phosphocholine Chemical compound CCCCCCCCCCCCCCCC(=O)OC[C@H](COP([O-])(=O)OCC[N+](C)(C)C)OC(=O)CCC\C=C/C\C=C/C\C=C/C\C=C/CCCCC IIZPXYDJLKNOIY-JXPKJXOSSA-N 0.000 description 2
- FPIPGXGPPPQFEQ-UHFFFAOYSA-N 13-cis retinol Natural products OCC=C(C)C=CC=C(C)C=CC1=C(C)CCCC1(C)C FPIPGXGPPPQFEQ-UHFFFAOYSA-N 0.000 description 2
- QWENRTYMTSOGBR-UHFFFAOYSA-N 1H-1,2,3-Triazole Chemical compound C=1C=NNN=1 QWENRTYMTSOGBR-UHFFFAOYSA-N 0.000 description 2
- BAXOFTOLAUCFNW-UHFFFAOYSA-N 1H-indazole Chemical compound C1=CC=C2C=NNC2=C1 BAXOFTOLAUCFNW-UHFFFAOYSA-N 0.000 description 2
- XLKDJOPOOHHZAN-UHFFFAOYSA-N 1h-pyrrolo[2,3-c]pyridine Chemical compound C1=NC=C2NC=CC2=C1 XLKDJOPOOHHZAN-UHFFFAOYSA-N 0.000 description 2
- SRSKXJVMVSSSHB-UHFFFAOYSA-N 1h-pyrrolo[3,2-c]pyridine Chemical compound N1=CC=C2NC=CC2=C1 SRSKXJVMVSSSHB-UHFFFAOYSA-N 0.000 description 2
- SPXAWDMTJJVKQT-UHFFFAOYSA-N 2-N-(2-methoxyethyl)-2-N-methyl-5-piperidin-1-yl-1,3-benzoxazole-2,6-diamine hydrochloride Chemical compound Cl.COCCN(C)c1nc2cc(N3CCCCC3)c(N)cc2o1 SPXAWDMTJJVKQT-UHFFFAOYSA-N 0.000 description 2
- NGNBDVOYPDDBFK-UHFFFAOYSA-N 2-[2,4-di(pentan-2-yl)phenoxy]acetyl chloride Chemical class CCCC(C)C1=CC=C(OCC(Cl)=O)C(C(C)CCC)=C1 NGNBDVOYPDDBFK-UHFFFAOYSA-N 0.000 description 2
- NBGAYCYFNGPNPV-UHFFFAOYSA-N 2-aminooxybenzoic acid Chemical group NOC1=CC=CC=C1C(O)=O NBGAYCYFNGPNPV-UHFFFAOYSA-N 0.000 description 2
- WRMNZCZEMHIOCP-UHFFFAOYSA-N 2-phenylethanol Chemical compound OCCC1=CC=CC=C1 WRMNZCZEMHIOCP-UHFFFAOYSA-N 0.000 description 2
- VHMICKWLTGFITH-UHFFFAOYSA-N 2H-isoindole Chemical compound C1=CC=CC2=CNC=C21 VHMICKWLTGFITH-UHFFFAOYSA-N 0.000 description 2
- NYVQCSJKUKTWRU-UHFFFAOYSA-N 2h-pyrrolo[3,4-c]pyridine Chemical compound C1=NC=CC2=CNC=C21 NYVQCSJKUKTWRU-UHFFFAOYSA-N 0.000 description 2
- MBAQYDDPCQZPMC-UHFFFAOYSA-N 5-fluoro-N-(2-methoxyethyl)-N-methyl-1,3-benzoxazol-2-amine Chemical compound FC=1C=CC2=C(N=C(O2)N(C)CCOC)C=1 MBAQYDDPCQZPMC-UHFFFAOYSA-N 0.000 description 2
- DZTRFRMZYKJDEC-UHFFFAOYSA-N 6h-pyrrolo[3,4-b]pyridine Chemical compound N1=CC=CC2=CNC=C21 DZTRFRMZYKJDEC-UHFFFAOYSA-N 0.000 description 2
- ZCYVEMRRCGMTRW-UHFFFAOYSA-N 7553-56-2 Chemical compound [I] ZCYVEMRRCGMTRW-UHFFFAOYSA-N 0.000 description 2
- RZVAJINKPMORJF-UHFFFAOYSA-N Acetaminophen Chemical compound CC(=O)NC1=CC=C(O)C=C1 RZVAJINKPMORJF-UHFFFAOYSA-N 0.000 description 2
- NLXLAEXVIDQMFP-UHFFFAOYSA-N Ammonia chloride Chemical compound [NH4+].[Cl-] NLXLAEXVIDQMFP-UHFFFAOYSA-N 0.000 description 2
- PAYRUJLWNCNPSJ-UHFFFAOYSA-N Aniline Chemical compound NC1=CC=CC=C1 PAYRUJLWNCNPSJ-UHFFFAOYSA-N 0.000 description 2
- 102100034605 Atrial natriuretic peptide receptor 3 Human genes 0.000 description 2
- WKBOTKDWSSQWDR-UHFFFAOYSA-N Bromine atom Chemical compound [Br] WKBOTKDWSSQWDR-UHFFFAOYSA-N 0.000 description 2
- 206010006474 Bronchopulmonary aspergillosis allergic Diseases 0.000 description 2
- 208000011691 Burkitt lymphomas Diseases 0.000 description 2
- VTYYLEPIZMXCLO-UHFFFAOYSA-L Calcium carbonate Chemical compound [Ca+2].[O-]C([O-])=O VTYYLEPIZMXCLO-UHFFFAOYSA-L 0.000 description 2
- CURLTUGMZLYLDI-UHFFFAOYSA-N Carbon dioxide Chemical compound O=C=O CURLTUGMZLYLDI-UHFFFAOYSA-N 0.000 description 2
- 229930186147 Cephalosporin Natural products 0.000 description 2
- HEDRZPFGACZZDS-UHFFFAOYSA-N Chloroform Chemical compound ClC(Cl)Cl HEDRZPFGACZZDS-UHFFFAOYSA-N 0.000 description 2
- CMSMOCZEIVJLDB-UHFFFAOYSA-N Cyclophosphamide Chemical compound ClCCN(CCCl)P1(=O)NCCCO1 CMSMOCZEIVJLDB-UHFFFAOYSA-N 0.000 description 2
- FBPFZTCFMRRESA-FSIIMWSLSA-N D-Glucitol Natural products OC[C@H](O)[C@H](O)[C@@H](O)[C@H](O)CO FBPFZTCFMRRESA-FSIIMWSLSA-N 0.000 description 2
- FBPFZTCFMRRESA-KVTDHHQDSA-N D-Mannitol Chemical compound OC[C@@H](O)[C@@H](O)[C@H](O)[C@H](O)CO FBPFZTCFMRRESA-KVTDHHQDSA-N 0.000 description 2
- ZZZCUOFIHGPKAK-UHFFFAOYSA-N D-erythro-ascorbic acid Natural products OCC1OC(=O)C(O)=C1O ZZZCUOFIHGPKAK-UHFFFAOYSA-N 0.000 description 2
- FBPFZTCFMRRESA-JGWLITMVSA-N D-glucitol Chemical compound OC[C@H](O)[C@@H](O)[C@H](O)[C@H](O)CO FBPFZTCFMRRESA-JGWLITMVSA-N 0.000 description 2
- FEWJPZIEWOKRBE-JCYAYHJZSA-N Dextrotartaric acid Chemical compound OC(=O)[C@H](O)[C@@H](O)C(O)=O FEWJPZIEWOKRBE-JCYAYHJZSA-N 0.000 description 2
- XBPCUCUWBYBCDP-UHFFFAOYSA-N Dicyclohexylamine Chemical compound C1CCCCC1NC1CCCCC1 XBPCUCUWBYBCDP-UHFFFAOYSA-N 0.000 description 2
- QOSSAOTZNIDXMA-UHFFFAOYSA-N Dicylcohexylcarbodiimide Chemical compound C1CCCCC1N=C=NC1CCCCC1 QOSSAOTZNIDXMA-UHFFFAOYSA-N 0.000 description 2
- 102000004190 Enzymes Human genes 0.000 description 2
- 108090000790 Enzymes Proteins 0.000 description 2
- ULGZDMOVFRHVEP-RWJQBGPGSA-N Erythromycin Chemical compound O([C@@H]1[C@@H](C)C(=O)O[C@@H]([C@@]([C@H](O)[C@@H](C)C(=O)[C@H](C)C[C@@](C)(O)[C@H](O[C@H]2[C@@H]([C@H](C[C@@H](C)O2)N(C)C)O)[C@H]1C)(C)O)CC)[C@H]1C[C@@](C)(OC)[C@@H](O)[C@H](C)O1 ULGZDMOVFRHVEP-RWJQBGPGSA-N 0.000 description 2
- VZCYOOQTPOCHFL-OWOJBTEDSA-N Fumaric acid Chemical compound OC(=O)\C=C\C(O)=O VZCYOOQTPOCHFL-OWOJBTEDSA-N 0.000 description 2
- DCXXMTOCNZCJGO-UHFFFAOYSA-N Glycerol trioctadecanoate Natural products CCCCCCCCCCCCCCCCCC(=O)OCC(OC(=O)CCCCCCCCCCCCCCCCC)COC(=O)CCCCCCCCCCCCCCCCC DCXXMTOCNZCJGO-UHFFFAOYSA-N 0.000 description 2
- AEMRFAOFKBGASW-UHFFFAOYSA-N Glycolic acid Chemical compound OCC(O)=O AEMRFAOFKBGASW-UHFFFAOYSA-N 0.000 description 2
- 208000009329 Graft vs Host Disease Diseases 0.000 description 2
- 208000002250 Hematologic Neoplasms Diseases 0.000 description 2
- 208000017604 Hodgkin disease Diseases 0.000 description 2
- 208000010747 Hodgkins lymphoma Diseases 0.000 description 2
- 101000924488 Homo sapiens Atrial natriuretic peptide receptor 3 Proteins 0.000 description 2
- 101000977768 Homo sapiens Interleukin-1 receptor-associated kinase 3 Proteins 0.000 description 2
- 101000852255 Homo sapiens Interleukin-1 receptor-associated kinase-like 2 Proteins 0.000 description 2
- 101000852980 Homo sapiens Interleukin-23 subunit alpha Proteins 0.000 description 2
- 229920002153 Hydroxypropyl cellulose Polymers 0.000 description 2
- HEFNNWSXXWATRW-UHFFFAOYSA-N Ibuprofen Chemical compound CC(C)CC1=CC=C(C(C)C(O)=O)C=C1 HEFNNWSXXWATRW-UHFFFAOYSA-N 0.000 description 2
- 206010061218 Inflammation Diseases 0.000 description 2
- 229930010555 Inosine Natural products 0.000 description 2
- UGQMRVRMYYASKQ-KQYNXXCUSA-N Inosine Chemical compound O[C@@H]1[C@H](O)[C@@H](CO)O[C@H]1N1C2=NC=NC(O)=C2N=C1 UGQMRVRMYYASKQ-KQYNXXCUSA-N 0.000 description 2
- 102000019223 Interleukin-1 receptor Human genes 0.000 description 2
- 108050006617 Interleukin-1 receptor Proteins 0.000 description 2
- 102100023530 Interleukin-1 receptor-associated kinase 3 Human genes 0.000 description 2
- 102100036433 Interleukin-1 receptor-associated kinase-like 2 Human genes 0.000 description 2
- LPHGQDQBBGAPDZ-UHFFFAOYSA-N Isocaffeine Natural products CN1C(=O)N(C)C(=O)C2=C1N(C)C=N2 LPHGQDQBBGAPDZ-UHFFFAOYSA-N 0.000 description 2
- UETNIIAIRMUTSM-UHFFFAOYSA-N Jacareubin Natural products CC1(C)OC2=CC3Oc4c(O)c(O)ccc4C(=O)C3C(=C2C=C1)O UETNIIAIRMUTSM-UHFFFAOYSA-N 0.000 description 2
- 229940122245 Janus kinase inhibitor Drugs 0.000 description 2
- XUJNEKJLAYXESH-REOHCLBHSA-N L-Cysteine Chemical compound SC[C@H](N)C(O)=O XUJNEKJLAYXESH-REOHCLBHSA-N 0.000 description 2
- FFEARJCKVFRZRR-BYPYZUCNSA-N L-methionine Chemical compound CSCC[C@H](N)C(O)=O FFEARJCKVFRZRR-BYPYZUCNSA-N 0.000 description 2
- FYYHWMGAXLPEAU-UHFFFAOYSA-N Magnesium Chemical compound [Mg] FYYHWMGAXLPEAU-UHFFFAOYSA-N 0.000 description 2
- 229930195725 Mannitol Natural products 0.000 description 2
- SBDNJUWAMKYJOX-UHFFFAOYSA-N Meclofenamic Acid Chemical compound CC1=CC=C(Cl)C(NC=2C(=CC=CC=2)C(O)=O)=C1Cl SBDNJUWAMKYJOX-UHFFFAOYSA-N 0.000 description 2
- 241001465754 Metazoa Species 0.000 description 2
- FQISKWAFAHGMGT-SGJOWKDISA-M Methylprednisolone sodium succinate Chemical compound [Na+].C([C@@]12C)=CC(=O)C=C1[C@@H](C)C[C@@H]1[C@@H]2[C@@H](O)C[C@]2(C)[C@@](O)(C(=O)COC(=O)CCC([O-])=O)CC[C@H]21 FQISKWAFAHGMGT-SGJOWKDISA-M 0.000 description 2
- 208000034578 Multiple myelomas Diseases 0.000 description 2
- 239000007832 Na2SO4 Substances 0.000 description 2
- 208000001132 Osteoporosis Diseases 0.000 description 2
- ZCQWOFVYLHDMMC-UHFFFAOYSA-N Oxazole Chemical compound C1=COC=N1 ZCQWOFVYLHDMMC-UHFFFAOYSA-N 0.000 description 2
- 229930182555 Penicillin Natural products 0.000 description 2
- NBIIXXVUZAFLBC-UHFFFAOYSA-N Phosphoric acid Chemical compound OP(O)(O)=O NBIIXXVUZAFLBC-UHFFFAOYSA-N 0.000 description 2
- OAICVXFJPJFONN-UHFFFAOYSA-N Phosphorus Chemical compound [P] OAICVXFJPJFONN-UHFFFAOYSA-N 0.000 description 2
- 108091000080 Phosphotransferase Proteins 0.000 description 2
- ZTHYODDOHIVTJV-UHFFFAOYSA-N Propyl gallate Chemical compound CCCOC(=O)C1=CC(O)=C(O)C(O)=C1 ZTHYODDOHIVTJV-UHFFFAOYSA-N 0.000 description 2
- 102000001253 Protein Kinase Human genes 0.000 description 2
- KYQCOXFCLRTKLS-UHFFFAOYSA-N Pyrazine Chemical compound C1=CN=CC=N1 KYQCOXFCLRTKLS-UHFFFAOYSA-N 0.000 description 2
- CZPWVGJYEJSRLH-UHFFFAOYSA-N Pyrimidine Chemical compound C1=CN=CN=C1 CZPWVGJYEJSRLH-UHFFFAOYSA-N 0.000 description 2
- LCTONWCANYUPML-UHFFFAOYSA-N Pyruvic acid Chemical compound CC(=O)C(O)=O LCTONWCANYUPML-UHFFFAOYSA-N 0.000 description 2
- 206010039085 Rhinitis allergic Diseases 0.000 description 2
- 206010039094 Rhinitis perennial Diseases 0.000 description 2
- 239000006146 Roswell Park Memorial Institute medium Substances 0.000 description 2
- BUGBHKTXTAQXES-UHFFFAOYSA-N Selenium Chemical compound [Se] BUGBHKTXTAQXES-UHFFFAOYSA-N 0.000 description 2
- 206010040047 Sepsis Diseases 0.000 description 2
- 244000000231 Sesamum indicum Species 0.000 description 2
- XUIMIQQOPSSXEZ-UHFFFAOYSA-N Silicon Chemical compound [Si] XUIMIQQOPSSXEZ-UHFFFAOYSA-N 0.000 description 2
- PMZURENOXWZQFD-UHFFFAOYSA-L Sodium Sulfate Chemical compound [Na+].[Na+].[O-]S([O-])(=O)=O PMZURENOXWZQFD-UHFFFAOYSA-L 0.000 description 2
- 235000021355 Stearic acid Nutrition 0.000 description 2
- NKANXQFJJICGDU-QPLCGJKRSA-N Tamoxifen Chemical compound C=1C=CC=CC=1C(/CC)=C(C=1C=CC(OCCN(C)C)=CC=1)/C1=CC=CC=C1 NKANXQFJJICGDU-QPLCGJKRSA-N 0.000 description 2
- YTPLMLYBLZKORZ-UHFFFAOYSA-N Thiophene Chemical compound C=1C=CSC=1 YTPLMLYBLZKORZ-UHFFFAOYSA-N 0.000 description 2
- AOBORMOPSGHCAX-UHFFFAOYSA-N Tocophersolan Chemical compound OCCOC(=O)CCC(=O)OC1=C(C)C(C)=C2OC(CCCC(C)CCCC(C)CCCC(C)C)(C)CCC2=C1C AOBORMOPSGHCAX-UHFFFAOYSA-N 0.000 description 2
- 102000002689 Toll-like receptor Human genes 0.000 description 2
- 108020000411 Toll-like receptor Proteins 0.000 description 2
- DTQVDTLACAAQTR-UHFFFAOYSA-N Trifluoroacetic acid Chemical compound OC(=O)C(F)(F)F DTQVDTLACAAQTR-UHFFFAOYSA-N 0.000 description 2
- FPIPGXGPPPQFEQ-BOOMUCAASA-N Vitamin A Natural products OC/C=C(/C)\C=C\C=C(\C)/C=C/C1=C(C)CCCC1(C)C FPIPGXGPPPQFEQ-BOOMUCAASA-N 0.000 description 2
- 229930003268 Vitamin C Natural products 0.000 description 2
- 229930003427 Vitamin E Natural products 0.000 description 2
- RJURFGZVJUQBHK-UHFFFAOYSA-N actinomycin D Natural products CC1OC(=O)C(C(C)C)N(C)C(=O)CN(C)C(=O)C2CCCN2C(=O)C(C(C)C)NC(=O)C1NC(=O)C1=C(N)C(=O)C(C)=C2OC(C(C)=CC=C3C(=O)NC4C(=O)NC(C(N5CCCC5C(=O)N(C)CC(=O)N(C)C(C(C)C)C(=O)OC4C)=O)C(C)C)=C3N=C21 RJURFGZVJUQBHK-UHFFFAOYSA-N 0.000 description 2
- 230000000996 additive effect Effects 0.000 description 2
- 239000000443 aerosol Substances 0.000 description 2
- 125000004183 alkoxy alkyl group Chemical group 0.000 description 2
- 125000005907 alkyl ester group Chemical group 0.000 description 2
- FPIPGXGPPPQFEQ-OVSJKPMPSA-N all-trans-retinol Chemical compound OC\C=C(/C)\C=C\C=C(/C)\C=C\C1=C(C)CCCC1(C)C FPIPGXGPPPQFEQ-OVSJKPMPSA-N 0.000 description 2
- 239000013566 allergen Substances 0.000 description 2
- 208000006778 allergic bronchopulmonary aspergillosis Diseases 0.000 description 2
- 201000010105 allergic rhinitis Diseases 0.000 description 2
- 235000001014 amino acid Nutrition 0.000 description 2
- 150000001413 amino acids Chemical class 0.000 description 2
- 230000000781 anti-lymphocytic effect Effects 0.000 description 2
- 230000000340 anti-metabolite Effects 0.000 description 2
- 230000001494 anti-thymocyte effect Effects 0.000 description 2
- 239000003146 anticoagulant agent Substances 0.000 description 2
- 229940127219 anticoagulant drug Drugs 0.000 description 2
- 229940100197 antimetabolite Drugs 0.000 description 2
- 239000002256 antimetabolite Substances 0.000 description 2
- 239000002246 antineoplastic agent Substances 0.000 description 2
- 239000000010 aprotic solvent Substances 0.000 description 2
- 239000007900 aqueous suspension Substances 0.000 description 2
- 238000003556 assay Methods 0.000 description 2
- XRWSZZJLZRKHHD-WVWIJVSJSA-N asunaprevir Chemical compound O=C([C@@H]1C[C@H](CN1C(=O)[C@@H](NC(=O)OC(C)(C)C)C(C)(C)C)OC1=NC=C(C2=CC=C(Cl)C=C21)OC)N[C@]1(C(=O)NS(=O)(=O)C2CC2)C[C@H]1C=C XRWSZZJLZRKHHD-WVWIJVSJSA-N 0.000 description 2
- 230000009286 beneficial effect Effects 0.000 description 2
- 229960000686 benzalkonium chloride Drugs 0.000 description 2
- WPYMKLBDIGXBTP-UHFFFAOYSA-N benzoic acid Chemical compound OC(=O)C1=CC=CC=C1 WPYMKLBDIGXBTP-UHFFFAOYSA-N 0.000 description 2
- IOJUPLGTWVMSFF-UHFFFAOYSA-N benzothiazole Chemical compound C1=CC=C2SC=NC2=C1 IOJUPLGTWVMSFF-UHFFFAOYSA-N 0.000 description 2
- QRUDEWIWKLJBPS-UHFFFAOYSA-N benzotriazole Chemical compound C1=CC=C2N[N][N]C2=C1 QRUDEWIWKLJBPS-UHFFFAOYSA-N 0.000 description 2
- 239000012964 benzotriazole Substances 0.000 description 2
- 125000001797 benzyl group Chemical group [H]C1=C([H])C([H])=C(C([H])=C1[H])C([H])([H])* 0.000 description 2
- CADWTSSKOVRVJC-UHFFFAOYSA-N benzyl(dimethyl)azanium;chloride Chemical compound [Cl-].C[NH+](C)CC1=CC=CC=C1 CADWTSSKOVRVJC-UHFFFAOYSA-N 0.000 description 2
- 125000002619 bicyclic group Chemical group 0.000 description 2
- 229960002685 biotin Drugs 0.000 description 2
- 235000020958 biotin Nutrition 0.000 description 2
- 239000011616 biotin Substances 0.000 description 2
- 210000004369 blood Anatomy 0.000 description 2
- 239000008280 blood Substances 0.000 description 2
- 239000012267 brine Substances 0.000 description 2
- GDTBXPJZTBHREO-UHFFFAOYSA-N bromine Substances BrBr GDTBXPJZTBHREO-UHFFFAOYSA-N 0.000 description 2
- 229910052794 bromium Inorganic materials 0.000 description 2
- 229960001948 caffeine Drugs 0.000 description 2
- VJEONQKOZGKCAK-UHFFFAOYSA-N caffeine Natural products CN1C(=O)N(C)C(=O)C2=C1C=CN2C VJEONQKOZGKCAK-UHFFFAOYSA-N 0.000 description 2
- FUFJGUQYACFECW-UHFFFAOYSA-L calcium hydrogenphosphate Chemical compound [Ca+2].OP([O-])([O-])=O FUFJGUQYACFECW-UHFFFAOYSA-L 0.000 description 2
- 150000001720 carbohydrates Chemical class 0.000 description 2
- 229910002091 carbon monoxide Inorganic materials 0.000 description 2
- PFKFTWBEEFSNDU-UHFFFAOYSA-N carbonyldiimidazole Chemical compound C1=CN=CN1C(=O)N1C=CN=C1 PFKFTWBEEFSNDU-UHFFFAOYSA-N 0.000 description 2
- 239000001768 carboxy methyl cellulose Substances 0.000 description 2
- 239000005018 casein Substances 0.000 description 2
- BECPQYXYKAMYBN-UHFFFAOYSA-N casein, tech. Chemical compound NCCCCC(C(O)=O)N=C(O)C(CC(O)=O)N=C(O)C(CCC(O)=N)N=C(O)C(CC(C)C)N=C(O)C(CCC(O)=O)N=C(O)C(CC(O)=O)N=C(O)C(CCC(O)=O)N=C(O)C(C(C)O)N=C(O)C(CCC(O)=N)N=C(O)C(CCC(O)=N)N=C(O)C(CCC(O)=N)N=C(O)C(CCC(O)=O)N=C(O)C(CCC(O)=O)N=C(O)C(COP(O)(O)=O)N=C(O)C(CCC(O)=N)N=C(O)C(N)CC1=CC=CC=C1 BECPQYXYKAMYBN-UHFFFAOYSA-N 0.000 description 2
- 235000021240 caseins Nutrition 0.000 description 2
- 239000006143 cell culture medium Substances 0.000 description 2
- 229920003086 cellulose ether Polymers 0.000 description 2
- 229940124587 cephalosporin Drugs 0.000 description 2
- 150000001780 cephalosporins Chemical class 0.000 description 2
- JQXXHWHPUNPDRT-BQVAUQFYSA-N chembl1523493 Chemical compound O([C@](C1=O)(C)O\C=C/[C@@H]([C@H]([C@@H](OC(C)=O)[C@H](C)[C@H](O)[C@H](C)[C@@H](O)[C@@H](C)/C=C\C=C(C)/C(=O)NC=2C(O)=C3C(O)=C4C)C)OC)C4=C1C3=C(O)C=2C=NN1CCN(C)CC1 JQXXHWHPUNPDRT-BQVAUQFYSA-N 0.000 description 2
- OEYIOHPDSNJKLS-UHFFFAOYSA-N choline Chemical compound C[N+](C)(C)CCO OEYIOHPDSNJKLS-UHFFFAOYSA-N 0.000 description 2
- 229960001231 choline Drugs 0.000 description 2
- 229960001265 ciclosporin Drugs 0.000 description 2
- MYSWGUAQZAJSOK-UHFFFAOYSA-N ciprofloxacin Chemical compound C12=CC(N3CCNCC3)=C(F)C=C2C(=O)C(C(=O)O)=CN1C1CC1 MYSWGUAQZAJSOK-UHFFFAOYSA-N 0.000 description 2
- 239000011248 coating agent Substances 0.000 description 2
- OROGSEYTTFOCAN-DNJOTXNNSA-N codeine Chemical compound C([C@H]1[C@H](N(CC[C@@]112)C)C3)=C[C@H](O)[C@@H]1OC1=C2C3=CC=C1OC OROGSEYTTFOCAN-DNJOTXNNSA-N 0.000 description 2
- 229940125773 compound 10 Drugs 0.000 description 2
- 229940126543 compound 14 Drugs 0.000 description 2
- 229940125961 compound 24 Drugs 0.000 description 2
- 238000007796 conventional method Methods 0.000 description 2
- 239000003246 corticosteroid Substances 0.000 description 2
- 239000012228 culture supernatant Substances 0.000 description 2
- 125000000113 cyclohexyl group Chemical group [H]C1([H])C([H])([H])C([H])([H])C([H])(*)C([H])([H])C1([H])[H] 0.000 description 2
- 229960004397 cyclophosphamide Drugs 0.000 description 2
- 125000001559 cyclopropyl group Chemical group [H]C1([H])C([H])([H])C1([H])* 0.000 description 2
- 229930182912 cyclosporin Natural products 0.000 description 2
- 235000018417 cysteine Nutrition 0.000 description 2
- XUJNEKJLAYXESH-UHFFFAOYSA-N cysteine Natural products SCC(N)C(O)=O XUJNEKJLAYXESH-UHFFFAOYSA-N 0.000 description 2
- OPTASPLRGRRNAP-UHFFFAOYSA-N cytosine Chemical compound NC=1C=CNC(=O)N=1 OPTASPLRGRRNAP-UHFFFAOYSA-N 0.000 description 2
- 239000002254 cytotoxic agent Substances 0.000 description 2
- 231100000599 cytotoxic agent Toxicity 0.000 description 2
- 229960003957 dexamethasone Drugs 0.000 description 2
- UREBDLICKHMUKA-CXSFZGCWSA-N dexamethasone Chemical compound C1CC2=CC(=O)C=C[C@]2(C)[C@]2(F)[C@@H]1[C@@H]1C[C@@H](C)[C@@](C(=O)CO)(O)[C@@]1(C)C[C@@H]2O UREBDLICKHMUKA-CXSFZGCWSA-N 0.000 description 2
- 239000008121 dextrose Substances 0.000 description 2
- 235000019700 dicalcium phosphate Nutrition 0.000 description 2
- 229960001259 diclofenac Drugs 0.000 description 2
- DCOPUUMXTXDBNB-UHFFFAOYSA-N diclofenac Chemical compound OC(=O)CC1=CC=CC=C1NC1=C(Cl)C=CC=C1Cl DCOPUUMXTXDBNB-UHFFFAOYSA-N 0.000 description 2
- HPNMFZURTQLUMO-UHFFFAOYSA-N diethylamine Chemical compound CCNCC HPNMFZURTQLUMO-UHFFFAOYSA-N 0.000 description 2
- XBDQKXXYIPTUBI-UHFFFAOYSA-N dimethylselenoniopropionate Natural products CCC(O)=O XBDQKXXYIPTUBI-UHFFFAOYSA-N 0.000 description 2
- 150000002016 disaccharides Chemical class 0.000 description 2
- JRBPAEWTRLWTQC-UHFFFAOYSA-N dodecylamine Chemical compound CCCCCCCCCCCCN JRBPAEWTRLWTQC-UHFFFAOYSA-N 0.000 description 2
- 239000002552 dosage form Substances 0.000 description 2
- 229940088598 enzyme Drugs 0.000 description 2
- 230000008029 eradication Effects 0.000 description 2
- AEUTYOVWOVBAKS-UWVGGRQHSA-N ethambutol Chemical compound CC[C@@H](CO)NCCN[C@@H](CC)CO AEUTYOVWOVBAKS-UWVGGRQHSA-N 0.000 description 2
- 125000001495 ethyl group Chemical group [H]C([H])([H])C([H])([H])* 0.000 description 2
- 229960005293 etodolac Drugs 0.000 description 2
- XFBVBWWRPKNWHW-UHFFFAOYSA-N etodolac Chemical compound C1COC(CC)(CC(O)=O)C2=N[C]3C(CC)=CC=CC3=C21 XFBVBWWRPKNWHW-UHFFFAOYSA-N 0.000 description 2
- XUFQPHANEAPEMJ-UHFFFAOYSA-N famotidine Chemical compound NC(N)=NC1=NC(CSCCC(N)=NS(N)(=O)=O)=CS1 XUFQPHANEAPEMJ-UHFFFAOYSA-N 0.000 description 2
- 229960001596 famotidine Drugs 0.000 description 2
- 239000003925 fat Substances 0.000 description 2
- 235000019197 fats Nutrition 0.000 description 2
- 229960001419 fenoprofen Drugs 0.000 description 2
- 239000000945 filler Substances 0.000 description 2
- 239000012530 fluid Substances 0.000 description 2
- 229960002390 flurbiprofen Drugs 0.000 description 2
- SYTBZMRGLBWNTM-UHFFFAOYSA-N flurbiprofen Chemical compound FC1=CC(C(C(O)=O)C)=CC=C1C1=CC=CC=C1 SYTBZMRGLBWNTM-UHFFFAOYSA-N 0.000 description 2
- JKFAIQOWCVVSKC-UHFFFAOYSA-N furazan Chemical compound C=1C=NON=1 JKFAIQOWCVVSKC-UHFFFAOYSA-N 0.000 description 2
- WIGCFUFOHFEKBI-UHFFFAOYSA-N gamma-tocopherol Natural products CC(C)CCCC(C)CCCC(C)CCCC1CCC2C(C)C(O)C(C)C(C)C2O1 WIGCFUFOHFEKBI-UHFFFAOYSA-N 0.000 description 2
- 239000008103 glucose Substances 0.000 description 2
- KWIUHFFTVRNATP-UHFFFAOYSA-N glycine betaine Chemical compound C[N+](C)(C)CC([O-])=O KWIUHFFTVRNATP-UHFFFAOYSA-N 0.000 description 2
- 125000004415 heterocyclylalkyl group Chemical group 0.000 description 2
- 125000001183 hydrocarbyl group Chemical group 0.000 description 2
- OROGSEYTTFOCAN-UHFFFAOYSA-N hydrocodone Natural products C1C(N(CCC234)C)C2C=CC(O)C3OC2=C4C1=CC=C2OC OROGSEYTTFOCAN-UHFFFAOYSA-N 0.000 description 2
- JYGXADMDTFJGBT-VWUMJDOOSA-N hydrocortisone Chemical compound O=C1CC[C@]2(C)[C@H]3[C@@H](O)C[C@](C)([C@@](CC4)(O)C(=O)CO)[C@@H]4[C@@H]3CCC2=C1 JYGXADMDTFJGBT-VWUMJDOOSA-N 0.000 description 2
- 239000001863 hydroxypropyl cellulose Substances 0.000 description 2
- 235000010977 hydroxypropyl cellulose Nutrition 0.000 description 2
- 229960001680 ibuprofen Drugs 0.000 description 2
- 229960003445 idelalisib Drugs 0.000 description 2
- IFSDAJWBUCMOAH-HNNXBMFYSA-N idelalisib Chemical compound C1([C@@H](NC=2C=3N=CNC=3N=CN=2)CC)=NC2=CC=CC(F)=C2C(=O)N1C1=CC=CC=C1 IFSDAJWBUCMOAH-HNNXBMFYSA-N 0.000 description 2
- 230000001861 immunosuppressant effect Effects 0.000 description 2
- 238000000338 in vitro Methods 0.000 description 2
- 238000001727 in vivo Methods 0.000 description 2
- 229960000905 indomethacin Drugs 0.000 description 2
- 230000004054 inflammatory process Effects 0.000 description 2
- 229960000598 infliximab Drugs 0.000 description 2
- 229960003786 inosine Drugs 0.000 description 2
- 239000007927 intramuscular injection Substances 0.000 description 2
- 238000010255 intramuscular injection Methods 0.000 description 2
- 239000011630 iodine Substances 0.000 description 2
- 239000003456 ion exchange resin Substances 0.000 description 2
- 229920003303 ion-exchange polymer Polymers 0.000 description 2
- SUMDYPCJJOFFON-UHFFFAOYSA-N isethionic acid Chemical compound OCCS(O)(=O)=O SUMDYPCJJOFFON-UHFFFAOYSA-N 0.000 description 2
- 125000001449 isopropyl group Chemical group [H]C([H])([H])C([H])(*)C([H])([H])[H] 0.000 description 2
- JJWLVOIRVHMVIS-UHFFFAOYSA-N isopropylamine Chemical compound CC(C)N JJWLVOIRVHMVIS-UHFFFAOYSA-N 0.000 description 2
- ZLTPDFXIESTBQG-UHFFFAOYSA-N isothiazole Chemical compound C=1C=NSC=1 ZLTPDFXIESTBQG-UHFFFAOYSA-N 0.000 description 2
- CTAPFRYPJLPFDF-UHFFFAOYSA-N isoxazole Chemical compound C=1C=NOC=1 CTAPFRYPJLPFDF-UHFFFAOYSA-N 0.000 description 2
- ZLVXBBHTMQJRSX-VMGNSXQWSA-N jdtic Chemical compound C1([C@]2(C)CCN(C[C@@H]2C)C[C@H](C(C)C)NC(=O)[C@@H]2NCC3=CC(O)=CC=C3C2)=CC=CC(O)=C1 ZLVXBBHTMQJRSX-VMGNSXQWSA-N 0.000 description 2
- DKYWVDODHFEZIM-UHFFFAOYSA-N ketoprofen Chemical compound OC(=O)C(C)C1=CC=CC(C(=O)C=2C=CC=CC=2)=C1 DKYWVDODHFEZIM-UHFFFAOYSA-N 0.000 description 2
- 229960000991 ketoprofen Drugs 0.000 description 2
- 229960004752 ketorolac Drugs 0.000 description 2
- OZWKMVRBQXNZKK-UHFFFAOYSA-N ketorolac Chemical compound OC(=O)C1CCN2C1=CC=C2C(=O)C1=CC=CC=C1 OZWKMVRBQXNZKK-UHFFFAOYSA-N 0.000 description 2
- 229940043355 kinase inhibitor Drugs 0.000 description 2
- 239000000787 lecithin Substances 0.000 description 2
- 235000010445 lecithin Nutrition 0.000 description 2
- 229940067606 lecithin Drugs 0.000 description 2
- 208000032839 leukemia Diseases 0.000 description 2
- KXGCNMMJRFDFNR-WDRJZQOASA-N linaclotide Chemical compound C([C@H](NC(=O)[C@@H]1CSSC[C@H]2C(=O)N[C@H]3CSSC[C@H](N)C(=O)N[C@H](C(N[C@@H](CCC(O)=O)C(=O)N[C@@H](CC=4C=CC(O)=CC=4)C(=O)N2)=O)CSSC[C@H](NC(=O)[C@H](C)NC(=O)[C@@H]2CCCN2C(=O)[C@H](CC(N)=O)NC3=O)C(=O)N[C@H](C(NCC(=O)N1)=O)[C@H](O)C)C(O)=O)C1=CC=C(O)C=C1 KXGCNMMJRFDFNR-WDRJZQOASA-N 0.000 description 2
- 108010024409 linaclotide Proteins 0.000 description 2
- 239000011777 magnesium Substances 0.000 description 2
- 229910052749 magnesium Inorganic materials 0.000 description 2
- VZCYOOQTPOCHFL-UPHRSURJSA-N maleic acid Chemical compound OC(=O)\C=C/C(O)=O VZCYOOQTPOCHFL-UPHRSURJSA-N 0.000 description 2
- VQHSOMBJVWLPSR-WUJBLJFYSA-N maltitol Chemical compound OC[C@H](O)[C@@H](O)[C@@H]([C@H](O)CO)O[C@H]1O[C@H](CO)[C@@H](O)[C@H](O)[C@H]1O VQHSOMBJVWLPSR-WUJBLJFYSA-N 0.000 description 2
- 239000000845 maltitol Substances 0.000 description 2
- 235000010449 maltitol Nutrition 0.000 description 2
- 229940035436 maltitol Drugs 0.000 description 2
- 239000000594 mannitol Substances 0.000 description 2
- 235000010355 mannitol Nutrition 0.000 description 2
- 229960001855 mannitol Drugs 0.000 description 2
- 229940013798 meclofenamate Drugs 0.000 description 2
- 229910052751 metal Inorganic materials 0.000 description 2
- 239000002184 metal Substances 0.000 description 2
- BDAGIHXWWSANSR-UHFFFAOYSA-N methanoic acid Natural products OC=O BDAGIHXWWSANSR-UHFFFAOYSA-N 0.000 description 2
- 125000001434 methanylylidene group Chemical group [H]C#[*] 0.000 description 2
- 229930182817 methionine Natural products 0.000 description 2
- 239000004292 methyl p-hydroxybenzoate Substances 0.000 description 2
- 229960002216 methylparaben Drugs 0.000 description 2
- 229960004584 methylprednisolone Drugs 0.000 description 2
- 238000012544 monitoring process Methods 0.000 description 2
- 229940041009 monobactams Drugs 0.000 description 2
- 125000002950 monocyclic group Chemical group 0.000 description 2
- 150000004712 monophosphates Chemical class 0.000 description 2
- 125000004573 morpholin-4-yl group Chemical group N1(CCOCC1)* 0.000 description 2
- HPNSFSBZBAHARI-RUDMXATFSA-N mycophenolic acid Chemical compound OC1=C(C\C=C(/C)CCC(O)=O)C(OC)=C(C)C2=C1C(=O)OC2 HPNSFSBZBAHARI-RUDMXATFSA-N 0.000 description 2
- 125000004108 n-butyl group Chemical group [H]C([H])([H])C([H])([H])C([H])([H])C([H])([H])* 0.000 description 2
- 125000000740 n-pentyl group Chemical group [H]C([H])([H])C([H])([H])C([H])([H])C([H])([H])C([H])([H])* 0.000 description 2
- 208000004296 neuralgia Diseases 0.000 description 2
- 230000000802 nitrating effect Effects 0.000 description 2
- QIQXTHQIDYTFRH-UHFFFAOYSA-N octadecanoic acid Chemical compound CCCCCCCCCCCCCCCCCC(O)=O QIQXTHQIDYTFRH-UHFFFAOYSA-N 0.000 description 2
- OQCDKBAXFALNLD-UHFFFAOYSA-N octadecanoic acid Natural products CCCCCCCC(C)CCCCCCCCC(O)=O OQCDKBAXFALNLD-UHFFFAOYSA-N 0.000 description 2
- 239000003921 oil Substances 0.000 description 2
- 239000002674 ointment Substances 0.000 description 2
- 150000007524 organic acids Chemical class 0.000 description 2
- 150000007530 organic bases Chemical class 0.000 description 2
- 229940127084 other anti-cancer agent Drugs 0.000 description 2
- 239000002245 particle Substances 0.000 description 2
- 230000000144 pharmacologic effect Effects 0.000 description 2
- 125000001997 phenyl group Chemical group [H]C1=C([H])C([H])=C(*)C([H])=C1[H] 0.000 description 2
- 150000003014 phosphoric acid esters Chemical class 0.000 description 2
- 239000011574 phosphorus Substances 0.000 description 2
- 102000020233 phosphotransferase Human genes 0.000 description 2
- 239000003757 phosphotransferase inhibitor Substances 0.000 description 2
- 125000000587 piperidin-1-yl group Chemical group [H]C1([H])N(*)C([H])([H])C([H])([H])C([H])([H])C1([H])[H] 0.000 description 2
- BASFCYQUMIYNBI-UHFFFAOYSA-N platinum Chemical compound [Pt] BASFCYQUMIYNBI-UHFFFAOYSA-N 0.000 description 2
- 229920000728 polyester Polymers 0.000 description 2
- 239000000244 polyoxyethylene sorbitan monooleate Substances 0.000 description 2
- 235000010482 polyoxyethylene sorbitan monooleate Nutrition 0.000 description 2
- 229940068968 polysorbate 80 Drugs 0.000 description 2
- 229920000053 polysorbate 80 Polymers 0.000 description 2
- 239000013641 positive control Substances 0.000 description 2
- BWHMMNNQKKPAPP-UHFFFAOYSA-L potassium carbonate Chemical compound [K+].[K+].[O-]C([O-])=O BWHMMNNQKKPAPP-UHFFFAOYSA-L 0.000 description 2
- 229910000027 potassium carbonate Inorganic materials 0.000 description 2
- 229960005205 prednisolone Drugs 0.000 description 2
- OIGNJSKKLXVSLS-VWUMJDOOSA-N prednisolone Chemical compound O=C1C=C[C@]2(C)[C@H]3[C@@H](O)C[C@](C)([C@@](CC4)(O)C(=O)CO)[C@@H]4[C@@H]3CCC2=C1 OIGNJSKKLXVSLS-VWUMJDOOSA-N 0.000 description 2
- BDERNNFJNOPAEC-UHFFFAOYSA-N propan-1-ol Chemical compound CCCO BDERNNFJNOPAEC-UHFFFAOYSA-N 0.000 description 2
- 239000004405 propyl p-hydroxybenzoate Substances 0.000 description 2
- 229960003415 propylparaben Drugs 0.000 description 2
- 239000002599 prostaglandin synthase inhibitor Substances 0.000 description 2
- 210000002307 prostate Anatomy 0.000 description 2
- 108060006633 protein kinase Proteins 0.000 description 2
- 125000004289 pyrazol-3-yl group Chemical group [H]N1N=C(*)C([H])=C1[H] 0.000 description 2
- 230000001105 regulatory effect Effects 0.000 description 2
- 235000019172 retinyl palmitate Nutrition 0.000 description 2
- 229940108325 retinyl palmitate Drugs 0.000 description 2
- 239000011769 retinyl palmitate Substances 0.000 description 2
- 229960001225 rifampicin Drugs 0.000 description 2
- 125000006413 ring segment Chemical group 0.000 description 2
- YGSDEFSMJLZEOE-UHFFFAOYSA-N salicylic acid Chemical compound OC(=O)C1=CC=CC=C1O YGSDEFSMJLZEOE-UHFFFAOYSA-N 0.000 description 2
- 229960000953 salsalate Drugs 0.000 description 2
- 238000003118 sandwich ELISA Methods 0.000 description 2
- 229920006395 saturated elastomer Polymers 0.000 description 2
- 230000000580 secretagogue effect Effects 0.000 description 2
- 229910052711 selenium Inorganic materials 0.000 description 2
- 239000011669 selenium Substances 0.000 description 2
- 235000011649 selenium Nutrition 0.000 description 2
- 208000013223 septicemia Diseases 0.000 description 2
- 210000002966 serum Anatomy 0.000 description 2
- 239000010703 silicon Substances 0.000 description 2
- 235000017550 sodium carbonate Nutrition 0.000 description 2
- 239000001509 sodium citrate Substances 0.000 description 2
- NLJMYIDDQXHKNR-UHFFFAOYSA-K sodium citrate Chemical compound O.O.[Na+].[Na+].[Na+].[O-]C(=O)CC(O)(CC([O-])=O)C([O-])=O NLJMYIDDQXHKNR-UHFFFAOYSA-K 0.000 description 2
- 229910052938 sodium sulfate Inorganic materials 0.000 description 2
- 235000011152 sodium sulphate Nutrition 0.000 description 2
- HPALAKNZSZLMCH-UHFFFAOYSA-M sodium;chloride;hydrate Chemical compound O.[Na+].[Cl-] HPALAKNZSZLMCH-UHFFFAOYSA-M 0.000 description 2
- 229960002920 sorbitol Drugs 0.000 description 2
- 229940032147 starch Drugs 0.000 description 2
- 239000008107 starch Substances 0.000 description 2
- 239000008117 stearic acid Substances 0.000 description 2
- 230000000638 stimulation Effects 0.000 description 2
- UCSJYZPVAKXKNQ-HZYVHMACSA-N streptomycin Chemical compound CN[C@H]1[C@H](O)[C@@H](O)[C@H](CO)O[C@H]1O[C@@H]1[C@](C=O)(O)[C@H](C)O[C@H]1O[C@@H]1[C@@H](NC(N)=N)[C@H](O)[C@@H](NC(N)=N)[C@H](O)[C@H]1O UCSJYZPVAKXKNQ-HZYVHMACSA-N 0.000 description 2
- 125000005346 substituted cycloalkyl group Chemical group 0.000 description 2
- 235000000346 sugar Nutrition 0.000 description 2
- 150000005846 sugar alcohols Chemical class 0.000 description 2
- FKENQMMABCRJMK-RITPCOANSA-N sulbactam Chemical compound O=S1(=O)C(C)(C)[C@H](C(O)=O)N2C(=O)C[C@H]21 FKENQMMABCRJMK-RITPCOANSA-N 0.000 description 2
- 229960005256 sulbactam Drugs 0.000 description 2
- NCEXYHBECQHGNR-QZQOTICOSA-N sulfasalazine Chemical compound C1=C(O)C(C(=O)O)=CC(\N=N\C=2C=CC(=CC=2)S(=O)(=O)NC=2N=CC=CC=2)=C1 NCEXYHBECQHGNR-QZQOTICOSA-N 0.000 description 2
- 229960001940 sulfasalazine Drugs 0.000 description 2
- NCEXYHBECQHGNR-UHFFFAOYSA-N sulfasalazine Natural products C1=C(O)C(C(=O)O)=CC(N=NC=2C=CC(=CC=2)S(=O)(=O)NC=2N=CC=CC=2)=C1 NCEXYHBECQHGNR-UHFFFAOYSA-N 0.000 description 2
- 229960000894 sulindac Drugs 0.000 description 2
- MLKXDPUZXIRXEP-MFOYZWKCSA-N sulindac Chemical compound CC1=C(CC(O)=O)C2=CC(F)=CC=C2\C1=C/C1=CC=C(S(C)=O)C=C1 MLKXDPUZXIRXEP-MFOYZWKCSA-N 0.000 description 2
- 210000001258 synovial membrane Anatomy 0.000 description 2
- 229920001059 synthetic polymer Polymers 0.000 description 2
- 229960001967 tacrolimus Drugs 0.000 description 2
- QJJXYPPXXYFBGM-SHYZHZOCSA-N tacrolimus Natural products CO[C@H]1C[C@H](CC[C@@H]1O)C=C(C)[C@H]2OC(=O)[C@H]3CCCCN3C(=O)C(=O)[C@@]4(O)O[C@@H]([C@H](C[C@H]4C)OC)[C@@H](C[C@H](C)CC(=C[C@@H](CC=C)C(=O)C[C@H](O)[C@H]2C)C)OC QJJXYPPXXYFBGM-SHYZHZOCSA-N 0.000 description 2
- 150000003536 tetrazoles Chemical class 0.000 description 2
- YAPQBXQYLJRXSA-UHFFFAOYSA-N theobromine Chemical compound CN1C(=O)NC(=O)C2=C1N=CN2C YAPQBXQYLJRXSA-UHFFFAOYSA-N 0.000 description 2
- 238000002560 therapeutic procedure Methods 0.000 description 2
- FYSNRJHAOHDILO-UHFFFAOYSA-N thionyl chloride Chemical compound ClS(Cl)=O FYSNRJHAOHDILO-UHFFFAOYSA-N 0.000 description 2
- RIOQSEWOXXDEQQ-UHFFFAOYSA-N triphenylphosphine Chemical compound C1=CC=CC=C1P(C=1C=CC=CC=1)C1=CC=CC=C1 RIOQSEWOXXDEQQ-UHFFFAOYSA-N 0.000 description 2
- WVPSKSLAZQPAKQ-CDMJZVDBSA-N trovafloxacin Chemical compound C([C@H]1[C@@H]([C@H]1C1)N)N1C(C(=CC=1C(=O)C(C(O)=O)=C2)F)=NC=1N2C1=CC=C(F)C=C1F WVPSKSLAZQPAKQ-CDMJZVDBSA-N 0.000 description 2
- 229960000497 trovafloxacin Drugs 0.000 description 2
- 235000015112 vegetable and seed oil Nutrition 0.000 description 2
- 235000013311 vegetables Nutrition 0.000 description 2
- 235000019155 vitamin A Nutrition 0.000 description 2
- 239000011719 vitamin A Substances 0.000 description 2
- 235000019154 vitamin C Nutrition 0.000 description 2
- 239000011718 vitamin C Substances 0.000 description 2
- 229940046009 vitamin E Drugs 0.000 description 2
- 235000019165 vitamin E Nutrition 0.000 description 2
- 239000011709 vitamin E Substances 0.000 description 2
- 229940045997 vitamin a Drugs 0.000 description 2
- 239000011534 wash buffer Substances 0.000 description 2
- 238000005406 washing Methods 0.000 description 2
- 239000000080 wetting agent Substances 0.000 description 2
- 229910052727 yttrium Inorganic materials 0.000 description 2
- 239000011701 zinc Chemical class 0.000 description 2
- HDTRYLNUVZCQOY-UHFFFAOYSA-N α-D-glucopyranosyl-α-D-glucopyranoside Natural products OC1C(O)C(O)C(CO)OC1OC1C(O)C(O)C(O)C(CO)O1 HDTRYLNUVZCQOY-UHFFFAOYSA-N 0.000 description 1
- QBYIENPQHBMVBV-HFEGYEGKSA-N (2R)-2-hydroxy-2-phenylacetic acid Chemical compound O[C@@H](C(O)=O)c1ccccc1.O[C@@H](C(O)=O)c1ccccc1 QBYIENPQHBMVBV-HFEGYEGKSA-N 0.000 description 1
- CIDUJQMULVCIBT-MQDUPKMGSA-N (2r,3r,4r,5r)-2-[(1s,2s,3r,4s,6r)-4-amino-3-[[(2s,3r)-3-amino-6-(aminomethyl)-3,4-dihydro-2h-pyran-2-yl]oxy]-6-(ethylamino)-2-hydroxycyclohexyl]oxy-5-methyl-4-(methylamino)oxane-3,5-diol Chemical compound O([C@@H]1[C@@H](N)C[C@H]([C@@H]([C@H]1O)O[C@@H]1[C@@H]([C@@H](NC)[C@@](C)(O)CO1)O)NCC)[C@H]1OC(CN)=CC[C@H]1N CIDUJQMULVCIBT-MQDUPKMGSA-N 0.000 description 1
- WWTBZEKOSBFBEM-SPWPXUSOSA-N (2s)-2-[[2-benzyl-3-[hydroxy-[(1r)-2-phenyl-1-(phenylmethoxycarbonylamino)ethyl]phosphoryl]propanoyl]amino]-3-(1h-indol-3-yl)propanoic acid Chemical compound N([C@@H](CC=1C2=CC=CC=C2NC=1)C(=O)O)C(=O)C(CP(O)(=O)[C@H](CC=1C=CC=CC=1)NC(=O)OCC=1C=CC=CC=1)CC1=CC=CC=C1 WWTBZEKOSBFBEM-SPWPXUSOSA-N 0.000 description 1
- VCOPTHOUUNAYKQ-WBTCAYNUSA-N (3s)-3,6-diamino-n-[[(2s,5s,8e,11s,15s)-15-amino-11-[(6r)-2-amino-1,4,5,6-tetrahydropyrimidin-6-yl]-8-[(carbamoylamino)methylidene]-2-(hydroxymethyl)-3,6,9,12,16-pentaoxo-1,4,7,10,13-pentazacyclohexadec-5-yl]methyl]hexanamide;(3s)-3,6-diamino-n-[[(2s,5s,8 Chemical compound N1C(=O)\C(=C/NC(N)=O)NC(=O)[C@H](CNC(=O)C[C@@H](N)CCCN)NC(=O)[C@H](C)NC(=O)[C@@H](N)CNC(=O)[C@@H]1[C@@H]1NC(N)=NCC1.N1C(=O)\C(=C/NC(N)=O)NC(=O)[C@H](CNC(=O)C[C@@H](N)CCCN)NC(=O)[C@H](CO)NC(=O)[C@@H](N)CNC(=O)[C@@H]1[C@@H]1NC(N)=NCC1 VCOPTHOUUNAYKQ-WBTCAYNUSA-N 0.000 description 1
- SVDOODSCHVSYEK-IFLJXUKPSA-N (4s,4ar,5s,5ar,6s,12ar)-4-(dimethylamino)-1,5,6,10,11,12a-hexahydroxy-6-methyl-3,12-dioxo-4,4a,5,5a-tetrahydrotetracene-2-carboxamide;hydron;chloride Chemical compound Cl.C1=CC=C2[C@](O)(C)[C@H]3[C@H](O)[C@H]4[C@H](N(C)C)C(=O)C(C(N)=O)=C(O)[C@@]4(O)C(=O)C3=C(O)C2=C1O SVDOODSCHVSYEK-IFLJXUKPSA-N 0.000 description 1
- SOVUOXKZCCAWOJ-HJYUBDRYSA-N (4s,4as,5ar,12ar)-9-[[2-(tert-butylamino)acetyl]amino]-4,7-bis(dimethylamino)-1,10,11,12a-tetrahydroxy-3,12-dioxo-4a,5,5a,6-tetrahydro-4h-tetracene-2-carboxamide Chemical compound C1C2=C(N(C)C)C=C(NC(=O)CNC(C)(C)C)C(O)=C2C(O)=C2[C@@H]1C[C@H]1[C@H](N(C)C)C(=O)C(C(N)=O)=C(O)[C@@]1(O)C2=O SOVUOXKZCCAWOJ-HJYUBDRYSA-N 0.000 description 1
- YYGNTYWPHWGJRM-UHFFFAOYSA-N (6E,10E,14E,18E)-2,6,10,15,19,23-hexamethyltetracosa-2,6,10,14,18,22-hexaene Chemical compound CC(C)=CCCC(C)=CCCC(C)=CCCC=C(C)CCC=C(C)CCC=C(C)C YYGNTYWPHWGJRM-UHFFFAOYSA-N 0.000 description 1
- WDLWHQDACQUCJR-ZAMMOSSLSA-N (6r,7r)-7-[[(2r)-2-azaniumyl-2-(4-hydroxyphenyl)acetyl]amino]-8-oxo-3-[(e)-prop-1-enyl]-5-thia-1-azabicyclo[4.2.0]oct-2-ene-2-carboxylate Chemical compound C1([C@@H](N)C(=O)N[C@H]2[C@@H]3N(C2=O)C(=C(CS3)/C=C/C)C(O)=O)=CC=C(O)C=C1 WDLWHQDACQUCJR-ZAMMOSSLSA-N 0.000 description 1
- MMRINLZOZVAPDZ-LSGRDSQZSA-N (6r,7r)-7-[[(2z)-2-(2-amino-1,3-thiazol-4-yl)-2-methoxyiminoacetyl]amino]-3-[(1-methylpyrrolidin-1-ium-1-yl)methyl]-8-oxo-5-thia-1-azabicyclo[4.2.0]oct-2-ene-2-carboxylic acid;chloride Chemical compound Cl.S([C@@H]1[C@@H](C(N1C=1C([O-])=O)=O)NC(=O)\C(=N/OC)C=2N=C(N)SC=2)CC=1C[N+]1(C)CCCC1 MMRINLZOZVAPDZ-LSGRDSQZSA-N 0.000 description 1
- HMLGSIZOMSVISS-ONJSNURVSA-N (7r)-7-[[(2z)-2-(2-amino-1,3-thiazol-4-yl)-2-(2,2-dimethylpropanoyloxymethoxyimino)acetyl]amino]-3-ethenyl-8-oxo-5-thia-1-azabicyclo[4.2.0]oct-2-ene-2-carboxylic acid Chemical compound N([C@@H]1C(N2C(=C(C=C)CSC21)C(O)=O)=O)C(=O)\C(=N/OCOC(=O)C(C)(C)C)C1=CSC(N)=N1 HMLGSIZOMSVISS-ONJSNURVSA-N 0.000 description 1
- 125000005913 (C3-C6) cycloalkyl group Chemical group 0.000 description 1
- RXZBMPWDPOLZGW-XMRMVWPWSA-N (E)-roxithromycin Chemical compound O([C@@H]1[C@@H](C)C(=O)O[C@@H]([C@@]([C@H](O)[C@@H](C)C(=N/OCOCCOC)/[C@H](C)C[C@@](C)(O)[C@H](O[C@H]2[C@@H]([C@H](C[C@@H](C)O2)N(C)C)O)[C@H]1C)(C)O)CC)[C@H]1C[C@@](C)(OC)[C@@H](O)[C@H](C)O1 RXZBMPWDPOLZGW-XMRMVWPWSA-N 0.000 description 1
- TVYLLZQTGLZFBW-ZBFHGGJFSA-N (R,R)-tramadol Chemical compound COC1=CC=CC([C@]2(O)[C@H](CCCC2)CN(C)C)=C1 TVYLLZQTGLZFBW-ZBFHGGJFSA-N 0.000 description 1
- XUBOMFCQGDBHNK-JTQLQIEISA-N (S)-gatifloxacin Chemical compound FC1=CC(C(C(C(O)=O)=CN2C3CC3)=O)=C2C(OC)=C1N1CCN[C@@H](C)C1 XUBOMFCQGDBHNK-JTQLQIEISA-N 0.000 description 1
- WBYWAXJHAXSJNI-VOTSOKGWSA-M .beta-Phenylacrylic acid Natural products [O-]C(=O)\C=C\C1=CC=CC=C1 WBYWAXJHAXSJNI-VOTSOKGWSA-M 0.000 description 1
- KZPYGQFFRCFCPP-UHFFFAOYSA-N 1,1'-bis(diphenylphosphino)ferrocene Chemical compound [Fe+2].C1=CC=C[C-]1P(C=1C=CC=CC=1)C1=CC=CC=C1.C1=CC=C[C-]1P(C=1C=CC=CC=1)C1=CC=CC=C1 KZPYGQFFRCFCPP-UHFFFAOYSA-N 0.000 description 1
- DDMOUSALMHHKOS-UHFFFAOYSA-N 1,2-dichloro-1,1,2,2-tetrafluoroethane Chemical compound FC(F)(Cl)C(F)(F)Cl DDMOUSALMHHKOS-UHFFFAOYSA-N 0.000 description 1
- BCMCBBGGLRIHSE-UHFFFAOYSA-N 1,3-benzoxazole Chemical compound C1=CC=C2OC=NC2=C1 BCMCBBGGLRIHSE-UHFFFAOYSA-N 0.000 description 1
- 102100025573 1-alkyl-2-acetylglycerophosphocholine esterase Human genes 0.000 description 1
- LLSRLLPHUVVLQJ-UHFFFAOYSA-N 1-cycloheptyldiazepane Chemical compound C1CCCCCC1N1NCCCCC1 LLSRLLPHUVVLQJ-UHFFFAOYSA-N 0.000 description 1
- ZADWXFSZEAPBJS-JTQLQIEISA-N 1-methyl-L-tryptophan Chemical compound C1=CC=C2N(C)C=C(C[C@H](N)C(O)=O)C2=C1 ZADWXFSZEAPBJS-JTQLQIEISA-N 0.000 description 1
- 125000004214 1-pyrrolidinyl group Chemical group [H]C1([H])N(*)C([H])([H])C([H])([H])C1([H])[H] 0.000 description 1
- KEZNMOUMHOZFRA-UHFFFAOYSA-N 1h-pyrazol-4-ylboronic acid Chemical compound OB(O)C=1C=NNC=1 KEZNMOUMHOZFRA-UHFFFAOYSA-N 0.000 description 1
- MSWZFWKMSRAUBD-IVMDWMLBSA-N 2-amino-2-deoxy-D-glucopyranose Chemical compound N[C@H]1C(O)O[C@H](CO)[C@@H](O)[C@@H]1O MSWZFWKMSRAUBD-IVMDWMLBSA-N 0.000 description 1
- GOJUJUVQIVIZAV-UHFFFAOYSA-N 2-amino-4,6-dichloropyrimidine-5-carbaldehyde Chemical group NC1=NC(Cl)=C(C=O)C(Cl)=N1 GOJUJUVQIVIZAV-UHFFFAOYSA-N 0.000 description 1
- ULDFRPKVIZMKJG-UHFFFAOYSA-N 2-amino-4-fluorophenol Chemical compound NC1=CC(F)=CC=C1O ULDFRPKVIZMKJG-UHFFFAOYSA-N 0.000 description 1
- BEGREHRAUWCAHV-UHFFFAOYSA-N 2-bromo-1,3-thiazole-4-carboxylic acid Chemical compound OC(=O)C1=CSC(Br)=N1 BEGREHRAUWCAHV-UHFFFAOYSA-N 0.000 description 1
- BFSVOASYOCHEOV-UHFFFAOYSA-N 2-diethylaminoethanol Chemical compound CCN(CC)CCO BFSVOASYOCHEOV-UHFFFAOYSA-N 0.000 description 1
- 229940013085 2-diethylaminoethanol Drugs 0.000 description 1
- BMIBJCFFZPYJHF-UHFFFAOYSA-N 2-methoxy-5-methyl-3-(4,4,5,5-tetramethyl-1,3,2-dioxaborolan-2-yl)pyridine Chemical compound COC1=NC=C(C)C=C1B1OC(C)(C)C(C)(C)O1 BMIBJCFFZPYJHF-UHFFFAOYSA-N 0.000 description 1
- KOHBEDRJXKOYHL-UHFFFAOYSA-N 2-methoxy-n-methylethanamine Chemical compound CNCCOC KOHBEDRJXKOYHL-UHFFFAOYSA-N 0.000 description 1
- CTRPRMNBTVRDFH-UHFFFAOYSA-N 2-n-methyl-1,3,5-triazine-2,4,6-triamine Chemical class CNC1=NC(N)=NC(N)=N1 CTRPRMNBTVRDFH-UHFFFAOYSA-N 0.000 description 1
- 125000004638 2-oxopiperazinyl group Chemical group O=C1N(CCNC1)* 0.000 description 1
- 125000004637 2-oxopiperidinyl group Chemical group O=C1N(CCCC1)* 0.000 description 1
- 125000004105 2-pyridyl group Chemical group N1=C([*])C([H])=C([H])C([H])=C1[H] 0.000 description 1
- WEVYNIUIFUYDGI-UHFFFAOYSA-N 3-[6-[4-(trifluoromethoxy)anilino]-4-pyrimidinyl]benzamide Chemical compound NC(=O)C1=CC=CC(C=2N=CN=C(NC=3C=CC(OC(F)(F)F)=CC=3)C=2)=C1 WEVYNIUIFUYDGI-UHFFFAOYSA-N 0.000 description 1
- BMYNFMYTOJXKLE-UHFFFAOYSA-N 3-azaniumyl-2-hydroxypropanoate Chemical compound NCC(O)C(O)=O BMYNFMYTOJXKLE-UHFFFAOYSA-N 0.000 description 1
- OSWFIVFLDKOXQC-UHFFFAOYSA-N 4-(3-methoxyphenyl)aniline Chemical compound COC1=CC=CC(C=2C=CC(N)=CC=2)=C1 OSWFIVFLDKOXQC-UHFFFAOYSA-N 0.000 description 1
- XAUDJQYHKZQPEU-KVQBGUIXSA-N 5-aza-2'-deoxycytidine Chemical compound O=C1N=C(N)N=CN1[C@@H]1O[C@H](CO)[C@@H](O)C1 XAUDJQYHKZQPEU-KVQBGUIXSA-N 0.000 description 1
- NMUSYJAQQFHJEW-KVTDHHQDSA-N 5-azacytidine Chemical compound O=C1N=C(N)N=CN1[C@H]1[C@H](O)[C@H](O)[C@@H](CO)O1 NMUSYJAQQFHJEW-KVTDHHQDSA-N 0.000 description 1
- WYLNPWGURHOBFF-UHFFFAOYSA-N 5-fluoro-1h-pyrimidine-2,4-dione;pyrimidine Chemical class C1=CN=CN=C1.FC1=CNC(=O)NC1=O WYLNPWGURHOBFF-UHFFFAOYSA-N 0.000 description 1
- 125000006163 5-membered heteroaryl group Chemical group 0.000 description 1
- RSIWALKZYXPAGW-NSHDSACASA-N 6-(3-fluorophenyl)-3-methyl-7-[(1s)-1-(7h-purin-6-ylamino)ethyl]-[1,3]thiazolo[3,2-a]pyrimidin-5-one Chemical compound C=1([C@@H](NC=2C=3N=CNC=3N=CN=2)C)N=C2SC=C(C)N2C(=O)C=1C1=CC=CC(F)=C1 RSIWALKZYXPAGW-NSHDSACASA-N 0.000 description 1
- WYWHKKSPHMUBEB-UHFFFAOYSA-N 6-Mercaptoguanine Natural products N1C(N)=NC(=S)C2=C1N=CN2 WYWHKKSPHMUBEB-UHFFFAOYSA-N 0.000 description 1
- XZIIFPSPUDAGJM-UHFFFAOYSA-N 6-chloro-2-n,2-n-diethylpyrimidine-2,4-diamine Chemical compound CCN(CC)C1=NC(N)=CC(Cl)=N1 XZIIFPSPUDAGJM-UHFFFAOYSA-N 0.000 description 1
- STQGQHZAVUOBTE-UHFFFAOYSA-N 7-Cyan-hept-2t-en-4,6-diinsaeure Natural products C1=2C(O)=C3C(=O)C=4C(OC)=CC=CC=4C(=O)C3=C(O)C=2CC(O)(C(C)=O)CC1OC1CC(N)C(O)C(C)O1 STQGQHZAVUOBTE-UHFFFAOYSA-N 0.000 description 1
- LMJFJIDLEAWOQJ-CQSZACIVSA-N 8-[(1r)-1-(3,5-difluoroanilino)ethyl]-n,n-dimethyl-2-morpholin-4-yl-4-oxochromene-6-carboxamide Chemical compound N([C@H](C)C=1C2=C(C(C=C(O2)N2CCOCC2)=O)C=C(C=1)C(=O)N(C)C)C1=CC(F)=CC(F)=C1 LMJFJIDLEAWOQJ-CQSZACIVSA-N 0.000 description 1
- HBAQYPYDRFILMT-UHFFFAOYSA-N 8-[3-(1-cyclopropylpyrazol-4-yl)-1H-pyrazolo[4,3-d]pyrimidin-5-yl]-3-methyl-3,8-diazabicyclo[3.2.1]octan-2-one Chemical class C1(CC1)N1N=CC(=C1)C1=NNC2=C1N=C(N=C2)N1C2C(N(CC1CC2)C)=O HBAQYPYDRFILMT-UHFFFAOYSA-N 0.000 description 1
- GSDSWSVVBLHKDQ-UHFFFAOYSA-N 9-fluoro-3-methyl-10-(4-methylpiperazin-1-yl)-7-oxo-2,3-dihydro-7H-[1,4]oxazino[2,3,4-ij]quinoline-6-carboxylic acid Chemical compound FC1=CC(C(C(C(O)=O)=C2)=O)=C3N2C(C)COC3=C1N1CCN(C)CC1 GSDSWSVVBLHKDQ-UHFFFAOYSA-N 0.000 description 1
- HPLNQCPCUACXLM-PGUFJCEWSA-N ABT-737 Chemical compound C([C@@H](CCN(C)C)NC=1C(=CC(=CC=1)S(=O)(=O)NC(=O)C=1C=CC(=CC=1)N1CCN(CC=2C(=CC=CC=2)C=2C=CC(Cl)=CC=2)CC1)[N+]([O-])=O)SC1=CC=CC=C1 HPLNQCPCUACXLM-PGUFJCEWSA-N 0.000 description 1
- QTBSBXVTEAMEQO-UHFFFAOYSA-M Acetate Chemical compound CC([O-])=O QTBSBXVTEAMEQO-UHFFFAOYSA-M 0.000 description 1
- 208000007815 Acquired Hyperostosis Syndrome Diseases 0.000 description 1
- 206010001076 Acute sinusitis Diseases 0.000 description 1
- 208000003200 Adenoma Diseases 0.000 description 1
- 206010001233 Adenoma benign Diseases 0.000 description 1
- 208000026326 Adult-onset Still disease Diseases 0.000 description 1
- 235000019489 Almond oil Nutrition 0.000 description 1
- KLSJWNVTNUYHDU-UHFFFAOYSA-N Amitrole Chemical group NC1=NC=NN1 KLSJWNVTNUYHDU-UHFFFAOYSA-N 0.000 description 1
- 244000144730 Amygdalus persica Species 0.000 description 1
- 206010002556 Ankylosing Spondylitis Diseases 0.000 description 1
- QNZCBYKSOIHPEH-UHFFFAOYSA-N Apixaban Chemical compound C1=CC(OC)=CC=C1N1C(C(=O)N(CC2)C=3C=CC(=CC=3)N3C(CCCC3)=O)=C2C(C(N)=O)=N1 QNZCBYKSOIHPEH-UHFFFAOYSA-N 0.000 description 1
- 229930091051 Arenine Natural products 0.000 description 1
- 239000004475 Arginine Substances 0.000 description 1
- 108010024976 Asparaginase Proteins 0.000 description 1
- 108010011485 Aspartame Proteins 0.000 description 1
- 206010003557 Asthma exercise induced Diseases 0.000 description 1
- 208000003950 B-cell lymphoma Diseases 0.000 description 1
- 229940045793 B-cell lymphoma-2 inhibitor Drugs 0.000 description 1
- 208000032568 B-cell prolymphocytic leukaemia Diseases 0.000 description 1
- MLDQJTXFUGDVEO-UHFFFAOYSA-N BAY-43-9006 Chemical compound C1=NC(C(=O)NC)=CC(OC=2C=CC(NC(=O)NC=3C=C(C(Cl)=CC=3)C(F)(F)F)=CC=2)=C1 MLDQJTXFUGDVEO-UHFFFAOYSA-N 0.000 description 1
- 239000012664 BCL-2-inhibitor Substances 0.000 description 1
- 229940124291 BTK inhibitor Drugs 0.000 description 1
- 108010001478 Bacitracin Proteins 0.000 description 1
- 241000894006 Bacteria Species 0.000 description 1
- 239000005711 Benzoic acid Substances 0.000 description 1
- 108010006654 Bleomycin Proteins 0.000 description 1
- 206010051728 Bone erosion Diseases 0.000 description 1
- 206010048396 Bone marrow transplant rejection Diseases 0.000 description 1
- 241000167854 Bourreria succulenta Species 0.000 description 1
- 206010006187 Breast cancer Diseases 0.000 description 1
- 208000026310 Breast neoplasm Diseases 0.000 description 1
- CPELXLSAUQHCOX-UHFFFAOYSA-M Bromide Chemical group [Br-] CPELXLSAUQHCOX-UHFFFAOYSA-M 0.000 description 1
- VOVIALXJUBGFJZ-KWVAZRHASA-N Budesonide Chemical compound C1CC2=CC(=O)C=C[C@]2(C)[C@@H]2[C@@H]1[C@@H]1C[C@H]3OC(CCC)O[C@@]3(C(=O)CO)[C@@]1(C)C[C@@H]2O VOVIALXJUBGFJZ-KWVAZRHASA-N 0.000 description 1
- 208000023611 Burkitt leukaemia Diseases 0.000 description 1
- COVZYZSDYWQREU-UHFFFAOYSA-N Busulfan Chemical compound CS(=O)(=O)OCCCCOS(C)(=O)=O COVZYZSDYWQREU-UHFFFAOYSA-N 0.000 description 1
- JGLMVXWAHNTPRF-CMDGGOBGSA-N CCN1N=C(C)C=C1C(=O)NC1=NC2=CC(=CC(OC)=C2N1C\C=C\CN1C(NC(=O)C2=CC(C)=NN2CC)=NC2=CC(=CC(OCCCN3CCOCC3)=C12)C(N)=O)C(N)=O Chemical compound CCN1N=C(C)C=C1C(=O)NC1=NC2=CC(=CC(OC)=C2N1C\C=C\CN1C(NC(=O)C2=CC(C)=NN2CC)=NC2=CC(=CC(OCCCN3CCOCC3)=C12)C(N)=O)C(N)=O JGLMVXWAHNTPRF-CMDGGOBGSA-N 0.000 description 1
- HEXQPQPPRIRALE-UHFFFAOYSA-N CN(CC1)CCN1c([o]c1c2)nc1cc(N1CCCCC1)c2NC(c1c[s]c(-c2n[nH]cc2)n1)=O Chemical compound CN(CC1)CCN1c([o]c1c2)nc1cc(N1CCCCC1)c2NC(c1c[s]c(-c2n[nH]cc2)n1)=O HEXQPQPPRIRALE-UHFFFAOYSA-N 0.000 description 1
- 102000008203 CTLA-4 Antigen Human genes 0.000 description 1
- 108010021064 CTLA-4 Antigen Proteins 0.000 description 1
- 229940122739 Calcineurin inhibitor Drugs 0.000 description 1
- 101710192106 Calcineurin-binding protein cabin-1 Proteins 0.000 description 1
- 102100024123 Calcineurin-binding protein cabin-1 Human genes 0.000 description 1
- 108010065839 Capreomycin Proteins 0.000 description 1
- 229920002134 Carboxymethyl cellulose Polymers 0.000 description 1
- DLGOEMSEDOSKAD-UHFFFAOYSA-N Carmustine Chemical compound ClCCNC(=O)N(N=O)CCCl DLGOEMSEDOSKAD-UHFFFAOYSA-N 0.000 description 1
- 208000005024 Castleman disease Diseases 0.000 description 1
- GNWUOVJNSFPWDD-XMZRARIVSA-M Cefoxitin sodium Chemical compound [Na+].N([C@]1(OC)C(N2C(=C(COC(N)=O)CS[C@@H]21)C([O-])=O)=O)C(=O)CC1=CC=CS1 GNWUOVJNSFPWDD-XMZRARIVSA-M 0.000 description 1
- PTHCMJGKKRQCBF-UHFFFAOYSA-N Cellulose, microcrystalline Chemical compound OC1C(O)C(OC)OC(CO)C1OC1C(O)C(O)C(OC)C(CO)O1 PTHCMJGKKRQCBF-UHFFFAOYSA-N 0.000 description 1
- 206010008190 Cerebrovascular accident Diseases 0.000 description 1
- ZAMOUSCENKQFHK-UHFFFAOYSA-N Chlorine atom Chemical compound [Cl] ZAMOUSCENKQFHK-UHFFFAOYSA-N 0.000 description 1
- JZUFKLXOESDKRF-UHFFFAOYSA-N Chlorothiazide Chemical compound C1=C(Cl)C(S(=O)(=O)N)=CC2=C1NCNS2(=O)=O JZUFKLXOESDKRF-UHFFFAOYSA-N 0.000 description 1
- 206010008690 Chondrocalcinosis pyrophosphate Diseases 0.000 description 1
- 206010009137 Chronic sinusitis Diseases 0.000 description 1
- WBYWAXJHAXSJNI-SREVYHEPSA-N Cinnamic acid Chemical compound OC(=O)\C=C/C1=CC=CC=C1 WBYWAXJHAXSJNI-SREVYHEPSA-N 0.000 description 1
- KRKNYBCHXYNGOX-UHFFFAOYSA-K Citrate Chemical compound [O-]C(=O)CC(O)(CC([O-])=O)C([O-])=O KRKNYBCHXYNGOX-UHFFFAOYSA-K 0.000 description 1
- HZZVJAQRINQKSD-UHFFFAOYSA-N Clavulanic acid Natural products OC(=O)C1C(=CCO)OC2CC(=O)N21 HZZVJAQRINQKSD-UHFFFAOYSA-N 0.000 description 1
- 108010078777 Colistin Proteins 0.000 description 1
- 206010009944 Colon cancer Diseases 0.000 description 1
- 208000032170 Congenital Abnormalities Diseases 0.000 description 1
- RYGMFSIKBFXOCR-UHFFFAOYSA-N Copper Chemical class [Cu] RYGMFSIKBFXOCR-UHFFFAOYSA-N 0.000 description 1
- 229920002261 Corn starch Polymers 0.000 description 1
- 206010011224 Cough Diseases 0.000 description 1
- 229920002785 Croscarmellose sodium Polymers 0.000 description 1
- DYDCUQKUCUHJBH-UWTATZPHSA-N D-Cycloserine Chemical compound N[C@@H]1CONC1=O DYDCUQKUCUHJBH-UWTATZPHSA-N 0.000 description 1
- DYDCUQKUCUHJBH-UHFFFAOYSA-N D-Cycloserine Natural products NC1CONC1=O DYDCUQKUCUHJBH-UHFFFAOYSA-N 0.000 description 1
- IELOKBJPULMYRW-NJQVLOCASA-N D-alpha-Tocopheryl Acid Succinate Chemical compound OC(=O)CCC(=O)OC1=C(C)C(C)=C2O[C@@](CCC[C@H](C)CCC[C@H](C)CCCC(C)C)(C)CCC2=C1C IELOKBJPULMYRW-NJQVLOCASA-N 0.000 description 1
- QWIZNVHXZXRPDR-UHFFFAOYSA-N D-melezitose Natural products O1C(CO)C(O)C(O)C(O)C1OC1C(O)C(CO)OC1(CO)OC1OC(CO)C(O)C(O)C1O QWIZNVHXZXRPDR-UHFFFAOYSA-N 0.000 description 1
- GSNUFIFRDBKVIE-UHFFFAOYSA-N DMF Natural products CC1=CC=C(C)O1 GSNUFIFRDBKVIE-UHFFFAOYSA-N 0.000 description 1
- 102100036279 DNA (cytosine-5)-methyltransferase 1 Human genes 0.000 description 1
- 108010092160 Dactinomycin Proteins 0.000 description 1
- MQJKPEGWNLWLTK-UHFFFAOYSA-N Dapsone Chemical compound C1=CC(N)=CC=C1S(=O)(=O)C1=CC=C(N)C=C1 MQJKPEGWNLWLTK-UHFFFAOYSA-N 0.000 description 1
- 108010013198 Daptomycin Proteins 0.000 description 1
- ZBNZXTGUTAYRHI-UHFFFAOYSA-N Dasatinib Chemical compound C=1C(N2CCN(CCO)CC2)=NC(C)=NC=1NC(S1)=NC=C1C(=O)NC1=C(C)C=CC=C1Cl ZBNZXTGUTAYRHI-UHFFFAOYSA-N 0.000 description 1
- 239000004338 Dichlorodifluoromethane Substances 0.000 description 1
- 206010063045 Effusion Diseases 0.000 description 1
- 241000792859 Enema Species 0.000 description 1
- PIICEJLVQHRZGT-UHFFFAOYSA-N Ethylenediamine Chemical compound NCCN PIICEJLVQHRZGT-UHFFFAOYSA-N 0.000 description 1
- 208000004657 Exercise-Induced Asthma Diseases 0.000 description 1
- 206010051841 Exposure to allergen Diseases 0.000 description 1
- 208000004930 Fatty Liver Diseases 0.000 description 1
- UIOFUWFRIANQPC-JKIFEVAISA-N Floxacillin Chemical compound N([C@@H]1C(N2[C@H](C(C)(C)S[C@@H]21)C(O)=O)=O)C(=O)C1=C(C)ON=C1C1=C(F)C=CC=C1Cl UIOFUWFRIANQPC-JKIFEVAISA-N 0.000 description 1
- PXGOKWXKJXAPGV-UHFFFAOYSA-N Fluorine Chemical compound FF PXGOKWXKJXAPGV-UHFFFAOYSA-N 0.000 description 1
- BDAGIHXWWSANSR-UHFFFAOYSA-M Formate Chemical compound [O-]C=O BDAGIHXWWSANSR-UHFFFAOYSA-M 0.000 description 1
- 206010017533 Fungal infection Diseases 0.000 description 1
- IECPWNUMDGFDKC-UHFFFAOYSA-N Fusicsaeure Natural products C12C(O)CC3C(=C(CCC=C(C)C)C(O)=O)C(OC(C)=O)CC3(C)C1(C)CCC1C2(C)CCC(O)C1C IECPWNUMDGFDKC-UHFFFAOYSA-N 0.000 description 1
- 206010061968 Gastric neoplasm Diseases 0.000 description 1
- 206010017993 Gastrointestinal neoplasms Diseases 0.000 description 1
- CEAZRRDELHUEMR-URQXQFDESA-N Gentamicin Chemical compound O1[C@H](C(C)NC)CC[C@@H](N)[C@H]1O[C@H]1[C@H](O)[C@@H](O[C@@H]2[C@@H]([C@@H](NC)[C@@](C)(O)CO2)O)[C@H](N)C[C@@H]1N CEAZRRDELHUEMR-URQXQFDESA-N 0.000 description 1
- 229930182566 Gentamicin Natural products 0.000 description 1
- 240000004670 Glycyrrhiza echinata Species 0.000 description 1
- 235000001453 Glycyrrhiza echinata Nutrition 0.000 description 1
- 235000006200 Glycyrrhiza glabra Nutrition 0.000 description 1
- 235000017382 Glycyrrhiza lepidota Nutrition 0.000 description 1
- 201000005569 Gout Diseases 0.000 description 1
- 108010017213 Granulocyte-Macrophage Colony-Stimulating Factor Proteins 0.000 description 1
- 102000009465 Growth Factor Receptors Human genes 0.000 description 1
- 108010009202 Growth Factor Receptors Proteins 0.000 description 1
- 239000007821 HATU Substances 0.000 description 1
- 208000030836 Hashimoto thyroiditis Diseases 0.000 description 1
- HTTJABKRGRZYRN-UHFFFAOYSA-N Heparin Chemical compound OC1C(NC(=O)C)C(O)OC(COS(O)(=O)=O)C1OC1C(OS(O)(=O)=O)C(O)C(OC2C(C(OS(O)(=O)=O)C(OC3C(C(O)C(O)C(O3)C(O)=O)OS(O)(=O)=O)C(CO)O2)NS(O)(=O)=O)C(C(O)=O)O1 HTTJABKRGRZYRN-UHFFFAOYSA-N 0.000 description 1
- 108010007267 Hirudins Proteins 0.000 description 1
- 102000007625 Hirudins Human genes 0.000 description 1
- 208000021519 Hodgkin lymphoma Diseases 0.000 description 1
- 241000282412 Homo Species 0.000 description 1
- 101000931098 Homo sapiens DNA (cytosine-5)-methyltransferase 1 Proteins 0.000 description 1
- CPELXLSAUQHCOX-UHFFFAOYSA-N Hydrogen bromide Chemical compound Br CPELXLSAUQHCOX-UHFFFAOYSA-N 0.000 description 1
- 229940121740 Inosine monophosphate dehydrogenase inhibitor Drugs 0.000 description 1
- 101710200424 Inosine-5'-monophosphate dehydrogenase Proteins 0.000 description 1
- 102000000589 Interleukin-1 Human genes 0.000 description 1
- 108010002352 Interleukin-1 Proteins 0.000 description 1
- 102000051628 Interleukin-1 receptor antagonist Human genes 0.000 description 1
- 108700021006 Interleukin-1 receptor antagonist Proteins 0.000 description 1
- 102000003814 Interleukin-10 Human genes 0.000 description 1
- 108090000174 Interleukin-10 Proteins 0.000 description 1
- 102000000588 Interleukin-2 Human genes 0.000 description 1
- 108010002350 Interleukin-2 Proteins 0.000 description 1
- 108010076561 Interleukin-23 Subunit p19 Proteins 0.000 description 1
- 102100036705 Interleukin-23 subunit alpha Human genes 0.000 description 1
- JUZNIMUFDBIJCM-ANEDZVCMSA-N Invanz Chemical compound O=C([C@H]1NC[C@H](C1)SC=1[C@H](C)[C@@H]2[C@H](C(N2C=1C(O)=O)=O)[C@H](O)C)NC1=CC=CC(C(O)=O)=C1 JUZNIMUFDBIJCM-ANEDZVCMSA-N 0.000 description 1
- 208000003456 Juvenile Arthritis Diseases 0.000 description 1
- 206010059176 Juvenile idiopathic arthritis Diseases 0.000 description 1
- 206010023347 Keratoacanthoma Diseases 0.000 description 1
- 201000002287 Keratoconus Diseases 0.000 description 1
- ODKSFYDXXFIFQN-BYPYZUCNSA-P L-argininium(2+) Chemical compound NC(=[NH2+])NCCC[C@H]([NH3+])C(O)=O ODKSFYDXXFIFQN-BYPYZUCNSA-P 0.000 description 1
- HNDVDQJCIGZPNO-YFKPBYRVSA-N L-histidine Chemical compound OC(=O)[C@@H](N)CC1=CN=CN1 HNDVDQJCIGZPNO-YFKPBYRVSA-N 0.000 description 1
- KDXKERNSBIXSRK-YFKPBYRVSA-N L-lysine Chemical compound NCCCC[C@H](N)C(O)=O KDXKERNSBIXSRK-YFKPBYRVSA-N 0.000 description 1
- 239000005517 L01XE01 - Imatinib Substances 0.000 description 1
- 239000005411 L01XE02 - Gefitinib Substances 0.000 description 1
- 239000005551 L01XE03 - Erlotinib Substances 0.000 description 1
- 239000005511 L01XE05 - Sorafenib Substances 0.000 description 1
- 239000002067 L01XE06 - Dasatinib Substances 0.000 description 1
- 239000002136 L01XE07 - Lapatinib Substances 0.000 description 1
- 239000005536 L01XE08 - Nilotinib Substances 0.000 description 1
- 239000003798 L01XE11 - Pazopanib Substances 0.000 description 1
- 239000002145 L01XE14 - Bosutinib Substances 0.000 description 1
- 239000002144 L01XE18 - Ruxolitinib Substances 0.000 description 1
- 239000004166 Lanolin Substances 0.000 description 1
- 240000007472 Leucaena leucocephala Species 0.000 description 1
- 235000010643 Leucaena leucocephala Nutrition 0.000 description 1
- GSDSWSVVBLHKDQ-JTQLQIEISA-N Levofloxacin Chemical compound C([C@@H](N1C2=C(C(C(C(O)=O)=C1)=O)C=C1F)C)OC2=C1N1CCN(C)CC1 GSDSWSVVBLHKDQ-JTQLQIEISA-N 0.000 description 1
- 108010028921 Lipopeptides Proteins 0.000 description 1
- WHXSMMKQMYFTQS-UHFFFAOYSA-N Lithium Chemical class [Li] WHXSMMKQMYFTQS-UHFFFAOYSA-N 0.000 description 1
- 208000005777 Lupus Nephritis Diseases 0.000 description 1
- 206010052178 Lymphocytic lymphoma Diseases 0.000 description 1
- KDXKERNSBIXSRK-UHFFFAOYSA-N Lysine Natural products NCCCCC(N)C(O)=O KDXKERNSBIXSRK-UHFFFAOYSA-N 0.000 description 1
- 239000004472 Lysine Substances 0.000 description 1
- TYMRLRRVMHJFTF-UHFFFAOYSA-N Mafenide Chemical compound NCC1=CC=C(S(N)(=O)=O)C=C1 TYMRLRRVMHJFTF-UHFFFAOYSA-N 0.000 description 1
- 241000124008 Mammalia Species 0.000 description 1
- 208000025205 Mantle-Cell Lymphoma Diseases 0.000 description 1
- ZRVUJXDFFKFLMG-UHFFFAOYSA-N Meloxicam Chemical compound OC=1C2=CC=CC=C2S(=O)(=O)N(C)C=1C(=O)NC1=NC=C(C)S1 ZRVUJXDFFKFLMG-UHFFFAOYSA-N 0.000 description 1
- 208000027530 Meniere disease Diseases 0.000 description 1
- 244000246386 Mentha pulegium Species 0.000 description 1
- 235000016257 Mentha pulegium Nutrition 0.000 description 1
- 235000004357 Mentha x piperita Nutrition 0.000 description 1
- XADCESSVHJOZHK-UHFFFAOYSA-N Meperidine Chemical compound C=1C=CC=CC=1C1(C(=O)OCC)CCN(C)CC1 XADCESSVHJOZHK-UHFFFAOYSA-N 0.000 description 1
- RJQXTJLFIWVMTO-TYNCELHUSA-N Methicillin Chemical compound COC1=CC=CC(OC)=C1C(=O)N[C@@H]1C(=O)N2[C@@H](C(O)=O)C(C)(C)S[C@@H]21 RJQXTJLFIWVMTO-TYNCELHUSA-N 0.000 description 1
- 229920000881 Modified starch Polymers 0.000 description 1
- 208000031888 Mycoses Diseases 0.000 description 1
- 102000010168 Myeloid Differentiation Factor 88 Human genes 0.000 description 1
- 108010077432 Myeloid Differentiation Factor 88 Proteins 0.000 description 1
- 240000009023 Myrrhis odorata Species 0.000 description 1
- 235000007265 Myrrhis odorata Nutrition 0.000 description 1
- WHNWPMSKXPGLAX-UHFFFAOYSA-N N-Vinyl-2-pyrrolidone Chemical compound C=CN1CCCC1=O WHNWPMSKXPGLAX-UHFFFAOYSA-N 0.000 description 1
- JUUFBMODXQKSTD-UHFFFAOYSA-N N-[2-amino-6-[(4-fluorophenyl)methylamino]-3-pyridinyl]carbamic acid ethyl ester Chemical compound N1=C(N)C(NC(=O)OCC)=CC=C1NCC1=CC=C(F)C=C1 JUUFBMODXQKSTD-UHFFFAOYSA-N 0.000 description 1
- UEEJHVSXFDXPFK-UHFFFAOYSA-N N-dimethylaminoethanol Chemical compound CN(C)CCO UEEJHVSXFDXPFK-UHFFFAOYSA-N 0.000 description 1
- HTLZVHNRZJPSMI-UHFFFAOYSA-N N-ethylpiperidine Chemical compound CCN1CCCCC1 HTLZVHNRZJPSMI-UHFFFAOYSA-N 0.000 description 1
- MBBZMMPHUWSWHV-BDVNFPICSA-N N-methylglucamine Chemical compound CNC[C@H](O)[C@@H](O)[C@H](O)[C@H](O)CO MBBZMMPHUWSWHV-BDVNFPICSA-N 0.000 description 1
- 125000000815 N-oxide group Chemical group 0.000 description 1
- 102100022691 NACHT, LRR and PYD domains-containing protein 3 Human genes 0.000 description 1
- 101710126825 NACHT, LRR and PYD domains-containing protein 3 Proteins 0.000 description 1
- CMWTZPSULFXXJA-UHFFFAOYSA-N Naproxen Natural products C1=C(C(C)C(O)=O)C=CC2=CC(OC)=CC=C21 CMWTZPSULFXXJA-UHFFFAOYSA-N 0.000 description 1
- 229930193140 Neomycin Natural products 0.000 description 1
- 208000034179 Neoplasms, Glandular and Epithelial Diseases 0.000 description 1
- 206010029260 Neuroblastoma Diseases 0.000 description 1
- JCXJVPUVTGWSNB-UHFFFAOYSA-N Nitrogen dioxide Chemical compound O=[N]=O JCXJVPUVTGWSNB-UHFFFAOYSA-N 0.000 description 1
- OUKJUXSQHUTATR-UHFFFAOYSA-N O=C(c1c[s]c(-c2c[nH]nc2)n1)Nc(cc1[o]c(N2CCOCC2)nc1c1)c1N1CCOCC1 Chemical compound O=C(c1c[s]c(-c2c[nH]nc2)n1)Nc(cc1[o]c(N2CCOCC2)nc1c1)c1N1CCOCC1 OUKJUXSQHUTATR-UHFFFAOYSA-N 0.000 description 1
- LUZWXMGSPXIQHB-UHFFFAOYSA-N OC(=O)CC(C1=CC=C(C=C1)[N+]([O-])=O)C1=C(O)C2=C(OC1=O)C=CC=C2 Chemical compound OC(=O)CC(C1=CC=C(C=C1)[N+]([O-])=O)C1=C(O)C2=C(OC1=O)C=CC=C2 LUZWXMGSPXIQHB-UHFFFAOYSA-N 0.000 description 1
- BRUQQQPBMZOVGD-XFKAJCMBSA-N Oxycodone Chemical compound O=C([C@@H]1O2)CC[C@@]3(O)[C@H]4CC5=CC=C(OC)C2=C5[C@@]13CCN4C BRUQQQPBMZOVGD-XFKAJCMBSA-N 0.000 description 1
- 229910019142 PO4 Inorganic materials 0.000 description 1
- 229930012538 Paclitaxel Natural products 0.000 description 1
- 239000005662 Paraffin oil Substances 0.000 description 1
- 101150003085 Pdcl gene Proteins 0.000 description 1
- 229930195708 Penicillin V Natural products 0.000 description 1
- PCNDJXKNXGMECE-UHFFFAOYSA-N Phenazine Natural products C1=CC=CC2=NC3=CC=CC=C3N=C21 PCNDJXKNXGMECE-UHFFFAOYSA-N 0.000 description 1
- 235000012550 Pimpinella anisum Nutrition 0.000 description 1
- 206010035226 Plasma cell myeloma Diseases 0.000 description 1
- 208000007452 Plasmacytoma Diseases 0.000 description 1
- 208000002151 Pleural effusion Diseases 0.000 description 1
- 206010035664 Pneumonia Diseases 0.000 description 1
- 108010093965 Polymyxin B Proteins 0.000 description 1
- 208000028561 Primary cutaneous T-cell lymphoma Diseases 0.000 description 1
- 208000035416 Prolymphocytic B-Cell Leukemia Diseases 0.000 description 1
- 208000033759 Prolymphocytic T-Cell Leukemia Diseases 0.000 description 1
- 244000018633 Prunus armeniaca Species 0.000 description 1
- 235000009827 Prunus armeniaca Nutrition 0.000 description 1
- 235000006040 Prunus persica var persica Nutrition 0.000 description 1
- 201000001263 Psoriatic Arthritis Diseases 0.000 description 1
- 208000036824 Psoriatic arthropathy Diseases 0.000 description 1
- 206010037575 Pustular psoriasis Diseases 0.000 description 1
- IWYDHOAUDWTVEP-UHFFFAOYSA-N R-2-phenyl-2-hydroxyacetic acid Natural products OC(=O)C(O)C1=CC=CC=C1 IWYDHOAUDWTVEP-UHFFFAOYSA-N 0.000 description 1
- 239000012980 RPMI-1640 medium Substances 0.000 description 1
- MUPFEKGTMRGPLJ-RMMQSMQOSA-N Raffinose Natural products O(C[C@H]1[C@@H](O)[C@H](O)[C@@H](O)[C@@H](O[C@@]2(CO)[C@H](O)[C@@H](O)[C@@H](CO)O2)O1)[C@@H]1[C@H](O)[C@@H](O)[C@@H](O)[C@@H](CO)O1 MUPFEKGTMRGPLJ-RMMQSMQOSA-N 0.000 description 1
- 239000007868 Raney catalyst Substances 0.000 description 1
- NPXOKRUENSOPAO-UHFFFAOYSA-N Raney nickel Chemical compound [Al].[Ni] NPXOKRUENSOPAO-UHFFFAOYSA-N 0.000 description 1
- 229910000564 Raney nickel Inorganic materials 0.000 description 1
- 208000002200 Respiratory Hypersensitivity Diseases 0.000 description 1
- 208000037656 Respiratory Sounds Diseases 0.000 description 1
- 206010057190 Respiratory tract infections Diseases 0.000 description 1
- 240000007651 Rubus glaucus Species 0.000 description 1
- 235000011034 Rubus glaucus Nutrition 0.000 description 1
- 235000009122 Rubus idaeus Nutrition 0.000 description 1
- 201000004854 SAPHO syndrome Diseases 0.000 description 1
- 206010039491 Sarcoma Diseases 0.000 description 1
- 201000010848 Schnitzler Syndrome Diseases 0.000 description 1
- 201000010208 Seminoma Diseases 0.000 description 1
- 229920001800 Shellac Polymers 0.000 description 1
- 208000021386 Sjogren Syndrome Diseases 0.000 description 1
- VMHLLURERBWHNL-UHFFFAOYSA-M Sodium acetate Chemical compound [Na+].CC([O-])=O VMHLLURERBWHNL-UHFFFAOYSA-M 0.000 description 1
- UIIMBOGNXHQVGW-UHFFFAOYSA-M Sodium bicarbonate Chemical class [Na+].OC([O-])=O UIIMBOGNXHQVGW-UHFFFAOYSA-M 0.000 description 1
- DBMJMQXJHONAFJ-UHFFFAOYSA-M Sodium laurylsulphate Chemical compound [Na+].CCCCCCCCCCCCOS([O-])(=O)=O DBMJMQXJHONAFJ-UHFFFAOYSA-M 0.000 description 1
- 208000006011 Stroke Diseases 0.000 description 1
- KDYFGRWQOYBRFD-UHFFFAOYSA-N Succinic acid Natural products OC(=O)CCC(O)=O KDYFGRWQOYBRFD-UHFFFAOYSA-N 0.000 description 1
- NHUHCSRWZMLRLA-UHFFFAOYSA-N Sulfisoxazole Chemical compound CC1=NOC(NS(=O)(=O)C=2C=CC(N)=CC=2)=C1C NHUHCSRWZMLRLA-UHFFFAOYSA-N 0.000 description 1
- 206010042970 T-cell chronic lymphocytic leukaemia Diseases 0.000 description 1
- 208000026651 T-cell prolymphocytic leukemia Diseases 0.000 description 1
- 210000001744 T-lymphocyte Anatomy 0.000 description 1
- FEWJPZIEWOKRBE-UHFFFAOYSA-N Tartaric acid Natural products [H+].[H+].[O-]C(=O)C(O)C(O)C([O-])=O FEWJPZIEWOKRBE-UHFFFAOYSA-N 0.000 description 1
- 229940123237 Taxane Drugs 0.000 description 1
- 239000004098 Tetracycline Substances 0.000 description 1
- BHEOSNUKNHRBNM-UHFFFAOYSA-N Tetramethylsqualene Natural products CC(=C)C(C)CCC(=C)C(C)CCC(C)=CCCC=C(C)CCC(C)C(=C)CCC(C)C(C)=C BHEOSNUKNHRBNM-UHFFFAOYSA-N 0.000 description 1
- WKDDRNSBRWANNC-UHFFFAOYSA-N Thienamycin Natural products C1C(SCCN)=C(C(O)=O)N2C(=O)C(C(O)C)C21 WKDDRNSBRWANNC-UHFFFAOYSA-N 0.000 description 1
- ATJFFYVFTNAWJD-UHFFFAOYSA-N Tin Chemical compound [Sn] ATJFFYVFTNAWJD-UHFFFAOYSA-N 0.000 description 1
- 239000004012 Tofacitinib Substances 0.000 description 1
- HDTRYLNUVZCQOY-WSWWMNSNSA-N Trehalose Natural products O[C@@H]1[C@@H](O)[C@@H](O)[C@@H](CO)O[C@@H]1O[C@@H]1[C@H](O)[C@@H](O)[C@@H](O)[C@@H](CO)O1 HDTRYLNUVZCQOY-WSWWMNSNSA-N 0.000 description 1
- MUPFEKGTMRGPLJ-UHFFFAOYSA-N UNPD196149 Natural products OC1C(O)C(CO)OC1(CO)OC1C(O)C(O)C(O)C(COC2C(C(O)C(O)C(CO)O2)O)O1 MUPFEKGTMRGPLJ-UHFFFAOYSA-N 0.000 description 1
- 206010070488 Upper-airway cough syndrome Diseases 0.000 description 1
- 108091008605 VEGF receptors Proteins 0.000 description 1
- 235000009499 Vanilla fragrans Nutrition 0.000 description 1
- 244000263375 Vanilla tahitensis Species 0.000 description 1
- 235000012036 Vanilla tahitensis Nutrition 0.000 description 1
- 102100033177 Vascular endothelial growth factor receptor 2 Human genes 0.000 description 1
- JXLYSJRDGCGARV-WWYNWVTFSA-N Vinblastine Natural products O=C(O[C@H]1[C@](O)(C(=O)OC)[C@@H]2N(C)c3c(cc(c(OC)c3)[C@]3(C(=O)OC)c4[nH]c5c(c4CCN4C[C@](O)(CC)C[C@H](C3)C4)cccc5)[C@@]32[C@H]2[C@@]1(CC)C=CCN2CC3)C JXLYSJRDGCGARV-WWYNWVTFSA-N 0.000 description 1
- 241000863480 Vinca Species 0.000 description 1
- 229940122803 Vinca alkaloid Drugs 0.000 description 1
- 206010047924 Wheezing Diseases 0.000 description 1
- TVXBFESIOXBWNM-UHFFFAOYSA-N Xylitol Natural products OCCC(O)C(O)C(O)CCO TVXBFESIOXBWNM-UHFFFAOYSA-N 0.000 description 1
- 240000008042 Zea mays Species 0.000 description 1
- 235000005824 Zea mays ssp. parviglumis Nutrition 0.000 description 1
- 235000002017 Zea mays subsp mays Nutrition 0.000 description 1
- 229920002494 Zein Polymers 0.000 description 1
- 108010055615 Zein Proteins 0.000 description 1
- ZWBTYMGEBZUQTK-PVLSIAFMSA-N [(7S,9E,11S,12R,13S,14R,15R,16R,17S,18S,19E,21Z)-2,15,17,32-tetrahydroxy-11-methoxy-3,7,12,14,16,18,22-heptamethyl-1'-(2-methylpropyl)-6,23-dioxospiro[8,33-dioxa-24,27,29-triazapentacyclo[23.6.1.14,7.05,31.026,30]tritriaconta-1(32),2,4,9,19,21,24,26,30-nonaene-28,4'-piperidine]-13-yl] acetate Chemical compound CO[C@H]1\C=C\O[C@@]2(C)Oc3c(C2=O)c2c4NC5(CCN(CC(C)C)CC5)N=c4c(=NC(=O)\C(C)=C/C=C/[C@H](C)[C@H](O)[C@@H](C)[C@@H](O)[C@@H](C)[C@H](OC(C)=O)[C@@H]1C)c(O)c2c(O)c3C ZWBTYMGEBZUQTK-PVLSIAFMSA-N 0.000 description 1
- 238000010521 absorption reaction Methods 0.000 description 1
- 229960002054 acenocoumarol Drugs 0.000 description 1
- 150000001242 acetic acid derivatives Chemical class 0.000 description 1
- DPXJVFZANSGRMM-UHFFFAOYSA-N acetic acid;2,3,4,5,6-pentahydroxyhexanal;sodium Chemical compound [Na].CC(O)=O.OCC(O)C(O)C(O)C(O)C=O DPXJVFZANSGRMM-UHFFFAOYSA-N 0.000 description 1
- 208000017733 acquired polycythemia vera Diseases 0.000 description 1
- 125000000641 acridinyl group Chemical group C1(=CC=CC2=NC3=CC=CC=C3C=C12)* 0.000 description 1
- RJURFGZVJUQBHK-IIXSONLDSA-N actinomycin D Chemical compound C[C@H]1OC(=O)[C@H](C(C)C)N(C)C(=O)CN(C)C(=O)[C@@H]2CCCN2C(=O)[C@@H](C(C)C)NC(=O)[C@H]1NC(=O)C1=C(N)C(=O)C(C)=C2OC(C(C)=CC=C3C(=O)N[C@@H]4C(=O)N[C@@H](C(N5CCC[C@H]5C(=O)N(C)CC(=O)N(C)[C@@H](C(C)C)C(=O)O[C@@H]4C)=O)C(C)C)=C3N=C21 RJURFGZVJUQBHK-IIXSONLDSA-N 0.000 description 1
- 230000004913 activation Effects 0.000 description 1
- 239000013543 active substance Substances 0.000 description 1
- 125000002015 acyclic group Chemical group 0.000 description 1
- 229960002964 adalimumab Drugs 0.000 description 1
- YKIOKAURTKXMSB-UHFFFAOYSA-N adams's catalyst Chemical compound O=[Pt]=O YKIOKAURTKXMSB-UHFFFAOYSA-N 0.000 description 1
- 208000009956 adenocarcinoma Diseases 0.000 description 1
- 239000000853 adhesive Substances 0.000 description 1
- 230000001070 adhesive effect Effects 0.000 description 1
- 210000004100 adrenal gland Anatomy 0.000 description 1
- 238000012387 aerosolization Methods 0.000 description 1
- 229960001686 afatinib Drugs 0.000 description 1
- ULXXDDBFHOBEHA-CWDCEQMOSA-N afatinib Chemical compound N1=CN=C2C=C(O[C@@H]3COCC3)C(NC(=O)/C=C/CN(C)C)=CC2=C1NC1=CC=C(F)C(Cl)=C1 ULXXDDBFHOBEHA-CWDCEQMOSA-N 0.000 description 1
- 238000013019 agitation Methods 0.000 description 1
- 239000000556 agonist Substances 0.000 description 1
- 230000010085 airway hyperresponsiveness Effects 0.000 description 1
- 150000001298 alcohols Chemical class 0.000 description 1
- 150000007824 aliphatic compounds Chemical class 0.000 description 1
- 229910001413 alkali metal ion Inorganic materials 0.000 description 1
- 229910001420 alkaline earth metal ion Inorganic materials 0.000 description 1
- 150000001336 alkenes Chemical class 0.000 description 1
- 150000001345 alkine derivatives Chemical class 0.000 description 1
- 229940045714 alkyl sulfonate alkylating agent Drugs 0.000 description 1
- 150000008052 alkyl sulfonates Chemical class 0.000 description 1
- 239000008168 almond oil Substances 0.000 description 1
- HDTRYLNUVZCQOY-LIZSDCNHSA-N alpha,alpha-trehalose Chemical compound O[C@@H]1[C@@H](O)[C@H](O)[C@@H](CO)O[C@@H]1O[C@@H]1[C@H](O)[C@@H](O)[C@H](O)[C@@H](CO)O1 HDTRYLNUVZCQOY-LIZSDCNHSA-N 0.000 description 1
- 229940037003 alum Drugs 0.000 description 1
- 229910052782 aluminium Inorganic materials 0.000 description 1
- XAGFODPZIPBFFR-UHFFFAOYSA-N aluminium Chemical compound [Al] XAGFODPZIPBFFR-UHFFFAOYSA-N 0.000 description 1
- WNROFYMDJYEPJX-UHFFFAOYSA-K aluminium hydroxide Chemical compound [OH-].[OH-].[OH-].[Al+3] WNROFYMDJYEPJX-UHFFFAOYSA-K 0.000 description 1
- ILRRQNADMUWWFW-UHFFFAOYSA-K aluminium phosphate Chemical compound O1[Al]2OP1(=O)O2 ILRRQNADMUWWFW-UHFFFAOYSA-K 0.000 description 1
- 229910000147 aluminium phosphate Inorganic materials 0.000 description 1
- 229960004821 amikacin Drugs 0.000 description 1
- LKCWBDHBTVXHDL-RMDFUYIESA-N amikacin Chemical compound O([C@@H]1[C@@H](N)C[C@H]([C@@H]([C@H]1O)O[C@@H]1[C@@H]([C@@H](N)[C@H](O)[C@@H](CO)O1)O)NC(=O)[C@@H](O)CCN)[C@H]1O[C@H](CN)[C@@H](O)[C@H](O)[C@H]1O LKCWBDHBTVXHDL-RMDFUYIESA-N 0.000 description 1
- 229960003437 aminoglutethimide Drugs 0.000 description 1
- ROBVIMPUHSLWNV-UHFFFAOYSA-N aminoglutethimide Chemical compound C=1C=C(N)C=CC=1C1(CC)CCC(=O)NC1=O ROBVIMPUHSLWNV-UHFFFAOYSA-N 0.000 description 1
- 229940126575 aminoglycoside Drugs 0.000 description 1
- 235000019270 ammonium chloride Nutrition 0.000 description 1
- 229960003022 amoxicillin Drugs 0.000 description 1
- LSQZJLSUYDQPKJ-NJBDSQKTSA-N amoxicillin Chemical compound C1([C@@H](N)C(=O)N[C@H]2[C@H]3SC([C@@H](N3C2=O)C(O)=O)(C)C)=CC=C(O)C=C1 LSQZJLSUYDQPKJ-NJBDSQKTSA-N 0.000 description 1
- 229940038195 amoxicillin / clavulanate Drugs 0.000 description 1
- 229960000723 ampicillin Drugs 0.000 description 1
- AVKUERGKIZMTKX-NJBDSQKTSA-N ampicillin Chemical compound C1([C@@H](N)C(=O)N[C@H]2[C@H]3SC([C@@H](N3C2=O)C(O)=O)(C)C)=CC=CC=C1 AVKUERGKIZMTKX-NJBDSQKTSA-N 0.000 description 1
- 229940043312 ampicillin / sulbactam Drugs 0.000 description 1
- 229960004238 anakinra Drugs 0.000 description 1
- 230000000202 analgesic effect Effects 0.000 description 1
- 229960002932 anastrozole Drugs 0.000 description 1
- YBBLVLTVTVSKRW-UHFFFAOYSA-N anastrozole Chemical compound N#CC(C)(C)C1=CC(C(C)(C#N)C)=CC(CN2N=CN=C2)=C1 YBBLVLTVTVSKRW-UHFFFAOYSA-N 0.000 description 1
- 239000005557 antagonist Substances 0.000 description 1
- 229940046836 anti-estrogen Drugs 0.000 description 1
- 230000001833 anti-estrogenic effect Effects 0.000 description 1
- 230000000843 anti-fungal effect Effects 0.000 description 1
- 230000001355 anti-mycobacterial effect Effects 0.000 description 1
- 230000000118 anti-neoplastic effect Effects 0.000 description 1
- 230000001028 anti-proliverative effect Effects 0.000 description 1
- 230000000840 anti-viral effect Effects 0.000 description 1
- 229940121375 antifungal agent Drugs 0.000 description 1
- 239000003926 antimycobacterial agent Substances 0.000 description 1
- 229940034982 antineoplastic agent Drugs 0.000 description 1
- 229940045713 antineoplastic alkylating drug ethylene imines Drugs 0.000 description 1
- 229960003886 apixaban Drugs 0.000 description 1
- 230000006907 apoptotic process Effects 0.000 description 1
- 239000007864 aqueous solution Substances 0.000 description 1
- ODKSFYDXXFIFQN-UHFFFAOYSA-N arginine Natural products OC(=O)C(N)CCCNC(N)=N ODKSFYDXXFIFQN-UHFFFAOYSA-N 0.000 description 1
- 229960003121 arginine Drugs 0.000 description 1
- 239000003886 aromatase inhibitor Substances 0.000 description 1
- 229940046844 aromatase inhibitors Drugs 0.000 description 1
- 229940003446 arsphenamine Drugs 0.000 description 1
- VLAXZGHHBIJLAD-UHFFFAOYSA-N arsphenamine Chemical compound [Cl-].[Cl-].C1=C(O)C([NH3+])=CC([As]=[As]C=2C=C([NH3+])C(O)=CC=2)=C1 VLAXZGHHBIJLAD-UHFFFAOYSA-N 0.000 description 1
- IAOZJIPTCAWIRG-QWRGUYRKSA-N aspartame Chemical compound OC(=O)C[C@H](N)C(=O)N[C@H](C(=O)OC)CC1=CC=CC=C1 IAOZJIPTCAWIRG-QWRGUYRKSA-N 0.000 description 1
- 239000000605 aspartame Substances 0.000 description 1
- 235000010357 aspartame Nutrition 0.000 description 1
- 229960003438 aspartame Drugs 0.000 description 1
- 229960003005 axitinib Drugs 0.000 description 1
- RITAVMQDGBJQJZ-FMIVXFBMSA-N axitinib Chemical compound CNC(=O)C1=CC=CC=C1SC1=CC=C(C(\C=C\C=2N=CC=CC=2)=NN2)C2=C1 RITAVMQDGBJQJZ-FMIVXFBMSA-N 0.000 description 1
- 229960002756 azacitidine Drugs 0.000 description 1
- VSRXQHXAPYXROS-UHFFFAOYSA-N azanide;cyclobutane-1,1-dicarboxylic acid;platinum(2+) Chemical compound [NH2-].[NH2-].[Pt+2].OC(=O)C1(C(O)=O)CCC1 VSRXQHXAPYXROS-UHFFFAOYSA-N 0.000 description 1
- 229940022777 azasan Drugs 0.000 description 1
- 125000002393 azetidinyl group Chemical group 0.000 description 1
- 229960004099 azithromycin Drugs 0.000 description 1
- MQTOSJVFKKJCRP-BICOPXKESA-N azithromycin Chemical compound O([C@@H]1[C@@H](C)C(=O)O[C@@H]([C@@]([C@H](O)[C@@H](C)N(C)C[C@H](C)C[C@@](C)(O)[C@H](O[C@H]2[C@@H]([C@H](C[C@@H](C)O2)N(C)C)O)[C@H]1C)(C)O)CC)[C@H]1C[C@@](C)(OC)[C@@H](O)[C@H](C)O1 MQTOSJVFKKJCRP-BICOPXKESA-N 0.000 description 1
- JTWOMNBEOCYFNV-NFFDBFGFSA-N azlocillin Chemical compound N([C@@H](C(=O)N[C@H]1[C@H]2SC([C@@H](N2C1=O)C(O)=O)(C)C)C=1C=CC=CC=1)C(=O)N1CCNC1=O JTWOMNBEOCYFNV-NFFDBFGFSA-N 0.000 description 1
- 229960003623 azlocillin Drugs 0.000 description 1
- 210000003719 b-lymphocyte Anatomy 0.000 description 1
- 229960003071 bacitracin Drugs 0.000 description 1
- 229930184125 bacitracin Natural products 0.000 description 1
- CLKOFPXJLQSYAH-ABRJDSQDSA-N bacitracin A Chemical compound C1SC([C@@H](N)[C@@H](C)CC)=N[C@@H]1C(=O)N[C@@H](CC(C)C)C(=O)N[C@H](CCC(O)=O)C(=O)N[C@@H]([C@@H](C)CC)C(=O)N[C@@H]1C(=O)N[C@H](CCCN)C(=O)N[C@@H]([C@@H](C)CC)C(=O)N[C@H](CC=2C=CC=CC=2)C(=O)N[C@@H](CC=2N=CNC=2)C(=O)N[C@H](CC(O)=O)C(=O)N[C@@H](CC(N)=O)C(=O)NCCCC1 CLKOFPXJLQSYAH-ABRJDSQDSA-N 0.000 description 1
- 230000001580 bacterial effect Effects 0.000 description 1
- 239000003855 balanced salt solution Substances 0.000 description 1
- IPOKCKJONYRRHP-FMQUCBEESA-N balsalazide Chemical compound C1=CC(C(=O)NCCC(=O)O)=CC=C1\N=N\C1=CC=C(O)C(C(O)=O)=C1 IPOKCKJONYRRHP-FMQUCBEESA-N 0.000 description 1
- 229960004168 balsalazide Drugs 0.000 description 1
- 229950000971 baricitinib Drugs 0.000 description 1
- XUZMWHLSFXCVMG-UHFFFAOYSA-N baricitinib Chemical compound C1N(S(=O)(=O)CC)CC1(CC#N)N1N=CC(C=2C=3C=CNC=3N=CN=2)=C1 XUZMWHLSFXCVMG-UHFFFAOYSA-N 0.000 description 1
- 230000004888 barrier function Effects 0.000 description 1
- 229960004669 basiliximab Drugs 0.000 description 1
- RFRXIWQYSOIBDI-UHFFFAOYSA-N benzarone Chemical compound CCC=1OC2=CC=CC=C2C=1C(=O)C1=CC=C(O)C=C1 RFRXIWQYSOIBDI-UHFFFAOYSA-N 0.000 description 1
- SRSXLGNVWSONIS-UHFFFAOYSA-N benzenesulfonic acid Chemical compound OS(=O)(=O)C1=CC=CC=C1 SRSXLGNVWSONIS-UHFFFAOYSA-N 0.000 description 1
- 229940092714 benzenesulfonic acid Drugs 0.000 description 1
- 125000003785 benzimidazolyl group Chemical group N1=C(NC2=C1C=CC=C2)* 0.000 description 1
- 125000002047 benzodioxolyl group Chemical group O1OC(C2=C1C=CC=C2)* 0.000 description 1
- 125000000499 benzofuranyl group Chemical group O1C(=CC2=C1C=CC=C2)* 0.000 description 1
- 235000010233 benzoic acid Nutrition 0.000 description 1
- 125000004619 benzopyranyl group Chemical group O1C(C=CC2=C1C=CC=C2)* 0.000 description 1
- 125000001164 benzothiazolyl group Chemical group S1C(=NC2=C1C=CC=C2)* 0.000 description 1
- 125000004541 benzoxazolyl group Chemical group O1C(=NC2=C1C=CC=C2)* 0.000 description 1
- MSWZFWKMSRAUBD-UHFFFAOYSA-N beta-D-galactosamine Natural products NC1C(O)OC(CO)C(O)C1O MSWZFWKMSRAUBD-UHFFFAOYSA-N 0.000 description 1
- 229960003237 betaine Drugs 0.000 description 1
- 230000003115 biocidal effect Effects 0.000 description 1
- OIRCOABEOLEUMC-GEJPAHFPSA-N bivalirudin Chemical compound C([C@@H](C(=O)N[C@@H](CCC(O)=O)C(=O)N[C@@H](CCC(O)=O)C(=O)N[C@@H]([C@@H](C)CC)C(=O)N1[C@@H](CCC1)C(=O)N[C@@H](CCC(O)=O)C(=O)N[C@@H](CCC(O)=O)C(=O)N[C@@H](CC=1C=CC(O)=CC=1)C(=O)N[C@@H](CC(C)C)C(O)=O)NC(=O)[C@H](CC(O)=O)NC(=O)CNC(=O)[C@H](CC(N)=O)NC(=O)CNC(=O)CNC(=O)CNC(=O)CNC(=O)[C@H]1N(CCC1)C(=O)[C@H](CCCNC(N)=N)NC(=O)[C@H]1N(CCC1)C(=O)[C@H](N)CC=1C=CC=CC=1)C1=CC=CC=C1 OIRCOABEOLEUMC-GEJPAHFPSA-N 0.000 description 1
- 108010055460 bivalirudin Proteins 0.000 description 1
- 229960001500 bivalirudin Drugs 0.000 description 1
- 229960001561 bleomycin Drugs 0.000 description 1
- OYVAGSVQBOHSSS-UAPAGMARSA-O bleomycin A2 Chemical compound N([C@H](C(=O)N[C@H](C)[C@@H](O)[C@H](C)C(=O)N[C@@H]([C@H](O)C)C(=O)NCCC=1SC=C(N=1)C=1SC=C(N=1)C(=O)NCCC[S+](C)C)[C@@H](O[C@H]1[C@H]([C@@H](O)[C@H](O)[C@H](CO)O1)O[C@@H]1[C@H]([C@@H](OC(N)=O)[C@H](O)[C@@H](CO)O1)O)C=1N=CNC=1)C(=O)C1=NC([C@H](CC(N)=O)NC[C@H](N)C(N)=O)=NC(N)=C1C OYVAGSVQBOHSSS-UAPAGMARSA-O 0.000 description 1
- UBPYILGKFZZVDX-UHFFFAOYSA-N bosutinib Chemical compound C1=C(Cl)C(OC)=CC(NC=2C3=CC(OC)=C(OCCCN4CCN(C)CC4)C=C3N=CC=2C#N)=C1Cl UBPYILGKFZZVDX-UHFFFAOYSA-N 0.000 description 1
- 229960003736 bosutinib Drugs 0.000 description 1
- 210000004556 brain Anatomy 0.000 description 1
- 210000000481 breast Anatomy 0.000 description 1
- 201000008275 breast carcinoma Diseases 0.000 description 1
- 229960003735 brodalumab Drugs 0.000 description 1
- 229960004436 budesonide Drugs 0.000 description 1
- 239000000337 buffer salt Substances 0.000 description 1
- RMRJXGBAOAMLHD-IHFGGWKQSA-N buprenorphine Chemical compound C([C@]12[C@H]3OC=4C(O)=CC=C(C2=4)C[C@@H]2[C@]11CC[C@]3([C@H](C1)[C@](C)(O)C(C)(C)C)OC)CN2CC1CC1 RMRJXGBAOAMLHD-IHFGGWKQSA-N 0.000 description 1
- 229960001736 buprenorphine Drugs 0.000 description 1
- 229960002092 busulfan Drugs 0.000 description 1
- KDYFGRWQOYBRFD-NUQCWPJISA-N butanedioic acid Chemical compound O[14C](=O)CC[14C](O)=O KDYFGRWQOYBRFD-NUQCWPJISA-N 0.000 description 1
- FJDQFPXHSGXQBY-UHFFFAOYSA-L caesium carbonate Chemical compound [Cs+].[Cs+].[O-]C([O-])=O FJDQFPXHSGXQBY-UHFFFAOYSA-L 0.000 description 1
- 229910000024 caesium carbonate Inorganic materials 0.000 description 1
- 229940046731 calcineurin inhibitors Drugs 0.000 description 1
- 229910000019 calcium carbonate Inorganic materials 0.000 description 1
- 235000010216 calcium carbonate Nutrition 0.000 description 1
- 208000035269 cancer or benign tumor Diseases 0.000 description 1
- 229960004602 capreomycin Drugs 0.000 description 1
- 235000013877 carbamide Nutrition 0.000 description 1
- 229940041011 carbapenems Drugs 0.000 description 1
- 229960003669 carbenicillin Drugs 0.000 description 1
- FPPNZSSZRUTDAP-UWFZAAFLSA-N carbenicillin Chemical compound N([C@H]1[C@H]2SC([C@@H](N2C1=O)C(O)=O)(C)C)C(=O)C(C(O)=O)C1=CC=CC=C1 FPPNZSSZRUTDAP-UWFZAAFLSA-N 0.000 description 1
- 150000001718 carbodiimides Chemical class 0.000 description 1
- 150000001721 carbon Chemical group 0.000 description 1
- 239000001569 carbon dioxide Substances 0.000 description 1
- 229910002092 carbon dioxide Inorganic materials 0.000 description 1
- 150000004649 carbonic acid derivatives Chemical class 0.000 description 1
- 229960004562 carboplatin Drugs 0.000 description 1
- 235000010948 carboxy methyl cellulose Nutrition 0.000 description 1
- 150000007942 carboxylates Chemical class 0.000 description 1
- 239000008112 carboxymethyl-cellulose Substances 0.000 description 1
- 229960005243 carmustine Drugs 0.000 description 1
- QYIYFLOTGYLRGG-GPCCPHFNSA-N cefaclor Chemical compound C1([C@H](C(=O)N[C@@H]2C(N3C(=C(Cl)CS[C@@H]32)C(O)=O)=O)N)=CC=CC=C1 QYIYFLOTGYLRGG-GPCCPHFNSA-N 0.000 description 1
- 229960005361 cefaclor Drugs 0.000 description 1
- OLVCFLKTBJRLHI-AXAPSJFSSA-N cefamandole Chemical compound CN1N=NN=C1SCC1=C(C(O)=O)N2C(=O)[C@@H](NC(=O)[C@H](O)C=3C=CC=CC=3)[C@H]2SC1 OLVCFLKTBJRLHI-AXAPSJFSSA-N 0.000 description 1
- 229960003012 cefamandole Drugs 0.000 description 1
- 229960003719 cefdinir Drugs 0.000 description 1
- RTXOFQZKPXMALH-GHXIOONMSA-N cefdinir Chemical compound S1C(N)=NC(C(=N\O)\C(=O)N[C@@H]2C(N3C(=C(C=C)CS[C@@H]32)C(O)=O)=O)=C1 RTXOFQZKPXMALH-GHXIOONMSA-N 0.000 description 1
- 229960004069 cefditoren Drugs 0.000 description 1
- KMIPKYQIOVAHOP-YLGJWRNMSA-N cefditoren Chemical compound S([C@@H]1[C@@H](C(N1C=1C(O)=O)=O)NC(=O)\C(=N/OC)C=2N=C(N)SC=2)CC=1\C=C/C=1SC=NC=1C KMIPKYQIOVAHOP-YLGJWRNMSA-N 0.000 description 1
- 229960002100 cefepime Drugs 0.000 description 1
- 229960002129 cefixime Drugs 0.000 description 1
- OKBVVJOGVLARMR-QSWIMTSFSA-N cefixime Chemical compound S1C(N)=NC(C(=N\OCC(O)=O)\C(=O)N[C@@H]2C(N3C(=C(C=C)CS[C@@H]32)C(O)=O)=O)=C1 OKBVVJOGVLARMR-QSWIMTSFSA-N 0.000 description 1
- GCFBRXLSHGKWDP-XCGNWRKASA-N cefoperazone Chemical compound O=C1C(=O)N(CC)CCN1C(=O)N[C@H](C=1C=CC(O)=CC=1)C(=O)N[C@@H]1C(=O)N2C(C(O)=O)=C(CSC=3N(N=NN=3)C)CS[C@@H]21 GCFBRXLSHGKWDP-XCGNWRKASA-N 0.000 description 1
- 229960004682 cefoperazone Drugs 0.000 description 1
- 229960004261 cefotaxime Drugs 0.000 description 1
- AZZMGZXNTDTSME-JUZDKLSSSA-M cefotaxime sodium Chemical compound [Na+].N([C@@H]1C(N2C(=C(COC(C)=O)CS[C@@H]21)C([O-])=O)=O)C(=O)\C(=N/OC)C1=CSC(N)=N1 AZZMGZXNTDTSME-JUZDKLSSSA-M 0.000 description 1
- 229960002682 cefoxitin Drugs 0.000 description 1
- 229960005090 cefpodoxime Drugs 0.000 description 1
- WYUSVOMTXWRGEK-HBWVYFAYSA-N cefpodoxime Chemical compound N([C@H]1[C@@H]2N(C1=O)C(=C(CS2)COC)C(O)=O)C(=O)C(=N/OC)\C1=CSC(N)=N1 WYUSVOMTXWRGEK-HBWVYFAYSA-N 0.000 description 1
- 229960002580 cefprozil Drugs 0.000 description 1
- 229960000484 ceftazidime Drugs 0.000 description 1
- NMVPEQXCMGEDNH-TZVUEUGBSA-N ceftazidime pentahydrate Chemical compound O.O.O.O.O.S([C@@H]1[C@@H](C(N1C=1C([O-])=O)=O)NC(=O)\C(=N/OC(C)(C)C(O)=O)C=2N=C(N)SC=2)CC=1C[N+]1=CC=CC=C1 NMVPEQXCMGEDNH-TZVUEUGBSA-N 0.000 description 1
- UNJFKXSSGBWRBZ-BJCIPQKHSA-N ceftibuten Chemical compound S1C(N)=NC(C(=C\CC(O)=O)\C(=O)N[C@@H]2C(N3C(=CCS[C@@H]32)C(O)=O)=O)=C1 UNJFKXSSGBWRBZ-BJCIPQKHSA-N 0.000 description 1
- 229960001991 ceftizoxime Drugs 0.000 description 1
- NNULBSISHYWZJU-LLKWHZGFSA-N ceftizoxime Chemical compound N([C@@H]1C(N2C(=CCS[C@@H]21)C(O)=O)=O)C(=O)\C(=N/OC)C1=CSC(N)=N1 NNULBSISHYWZJU-LLKWHZGFSA-N 0.000 description 1
- 229960004755 ceftriaxone Drugs 0.000 description 1
- VAAUVRVFOQPIGI-SPQHTLEESA-N ceftriaxone Chemical compound S([C@@H]1[C@@H](C(N1C=1C(O)=O)=O)NC(=O)\C(=N/OC)C=2N=C(N)SC=2)CC=1CSC1=NC(=O)C(=O)NN1C VAAUVRVFOQPIGI-SPQHTLEESA-N 0.000 description 1
- 229960001668 cefuroxime Drugs 0.000 description 1
- JFPVXVDWJQMJEE-IZRZKJBUSA-N cefuroxime Chemical compound N([C@@H]1C(N2C(=C(COC(N)=O)CS[C@@H]21)C(O)=O)=O)C(=O)\C(=N/OC)C1=CC=CO1 JFPVXVDWJQMJEE-IZRZKJBUSA-N 0.000 description 1
- 229960000590 celecoxib Drugs 0.000 description 1
- RZEKVGVHFLEQIL-UHFFFAOYSA-N celecoxib Chemical compound C1=CC(C)=CC=C1C1=CC(C(F)(F)F)=NN1C1=CC=C(S(N)(=O)=O)C=C1 RZEKVGVHFLEQIL-UHFFFAOYSA-N 0.000 description 1
- 230000024245 cell differentiation Effects 0.000 description 1
- 229940107810 cellcept Drugs 0.000 description 1
- 230000001413 cellular effect Effects 0.000 description 1
- 230000007969 cellular immunity Effects 0.000 description 1
- 208000026106 cerebrovascular disease Diseases 0.000 description 1
- 229960003115 certolizumab pegol Drugs 0.000 description 1
- 210000003679 cervix uteri Anatomy 0.000 description 1
- 238000012512 characterization method Methods 0.000 description 1
- 239000003638 chemical reducing agent Substances 0.000 description 1
- 235000019693 cherries Nutrition 0.000 description 1
- 229960004630 chlorambucil Drugs 0.000 description 1
- JCKYGMPEJWAADB-UHFFFAOYSA-N chlorambucil Chemical compound OC(=O)CCCC1=CC=C(N(CCCl)CCCl)C=C1 JCKYGMPEJWAADB-UHFFFAOYSA-N 0.000 description 1
- 229960005091 chloramphenicol Drugs 0.000 description 1
- WIIZWVCIJKGZOK-RKDXNWHRSA-N chloramphenicol Chemical compound ClC(Cl)C(=O)N[C@H](CO)[C@H](O)C1=CC=C([N+]([O-])=O)C=C1 WIIZWVCIJKGZOK-RKDXNWHRSA-N 0.000 description 1
- 229910052801 chlorine Inorganic materials 0.000 description 1
- 208000002849 chondrocalcinosis Diseases 0.000 description 1
- 208000027157 chronic rhinosinusitis Diseases 0.000 description 1
- DHSUYTOATWAVLW-WFVMDLQDSA-N cilastatin Chemical compound CC1(C)C[C@@H]1C(=O)N\C(=C/CCCCSC[C@H](N)C(O)=O)C(O)=O DHSUYTOATWAVLW-WFVMDLQDSA-N 0.000 description 1
- 229960004912 cilastatin Drugs 0.000 description 1
- 235000013985 cinnamic acid Nutrition 0.000 description 1
- 229930016911 cinnamic acid Natural products 0.000 description 1
- 229960003405 ciprofloxacin Drugs 0.000 description 1
- DQLATGHUWYMOKM-UHFFFAOYSA-L cisplatin Chemical compound N[Pt](N)(Cl)Cl DQLATGHUWYMOKM-UHFFFAOYSA-L 0.000 description 1
- 229960004316 cisplatin Drugs 0.000 description 1
- 239000007979 citrate buffer Substances 0.000 description 1
- 229960002626 clarithromycin Drugs 0.000 description 1
- AGOYDEPGAOXOCK-KCBOHYOISA-N clarithromycin Chemical compound O([C@@H]1[C@@H](C)C(=O)O[C@@H]([C@@]([C@H](O)[C@@H](C)C(=O)[C@H](C)C[C@](C)([C@H](O[C@H]2[C@@H]([C@H](C[C@@H](C)O2)N(C)C)O)[C@H]1C)OC)(C)O)CC)[C@H]1C[C@@](C)(OC)[C@@H](O)[C@H](C)O1 AGOYDEPGAOXOCK-KCBOHYOISA-N 0.000 description 1
- 229940090805 clavulanate Drugs 0.000 description 1
- HZZVJAQRINQKSD-PBFISZAISA-N clavulanic acid Chemical compound OC(=O)[C@H]1C(=C/CO)/O[C@@H]2CC(=O)N21 HZZVJAQRINQKSD-PBFISZAISA-N 0.000 description 1
- 229950002334 clenoliximab Drugs 0.000 description 1
- 229960002227 clindamycin Drugs 0.000 description 1
- KDLRVYVGXIQJDK-AWPVFWJPSA-N clindamycin Chemical compound CN1C[C@H](CCC)C[C@H]1C(=O)N[C@H]([C@H](C)Cl)[C@@H]1[C@H](O)[C@H](O)[C@@H](O)[C@@H](SC)O1 KDLRVYVGXIQJDK-AWPVFWJPSA-N 0.000 description 1
- 229960004287 clofazimine Drugs 0.000 description 1
- WDQPAMHFFCXSNU-BGABXYSRSA-N clofazimine Chemical compound C12=CC=CC=C2N=C2C=C(NC=3C=CC(Cl)=CC=3)C(=N/C(C)C)/C=C2N1C1=CC=C(Cl)C=C1 WDQPAMHFFCXSNU-BGABXYSRSA-N 0.000 description 1
- 229960003326 cloxacillin Drugs 0.000 description 1
- LQOLIRLGBULYKD-JKIFEVAISA-N cloxacillin Chemical compound N([C@@H]1C(N2[C@H](C(C)(C)S[C@@H]21)C(O)=O)=O)C(=O)C1=C(C)ON=C1C1=CC=CC=C1Cl LQOLIRLGBULYKD-JKIFEVAISA-N 0.000 description 1
- 229940110456 cocoa butter Drugs 0.000 description 1
- 235000019868 cocoa butter Nutrition 0.000 description 1
- 229960004126 codeine Drugs 0.000 description 1
- 229960001338 colchicine Drugs 0.000 description 1
- 229960003346 colistin Drugs 0.000 description 1
- 210000001072 colon Anatomy 0.000 description 1
- 201000002758 colorectal adenoma Diseases 0.000 description 1
- 238000002648 combination therapy Methods 0.000 description 1
- 230000000295 complement effect Effects 0.000 description 1
- 229940126208 compound 22 Drugs 0.000 description 1
- 238000007906 compression Methods 0.000 description 1
- 230000006835 compression Effects 0.000 description 1
- 238000013270 controlled release Methods 0.000 description 1
- 238000001816 cooling Methods 0.000 description 1
- 229910052802 copper Inorganic materials 0.000 description 1
- 239000010949 copper Chemical class 0.000 description 1
- 235000005822 corn Nutrition 0.000 description 1
- 239000008120 corn starch Substances 0.000 description 1
- 229940099112 cornstarch Drugs 0.000 description 1
- 229960001334 corticosteroids Drugs 0.000 description 1
- 229940072645 coumadin Drugs 0.000 description 1
- 229940111134 coxibs Drugs 0.000 description 1
- 239000006071 cream Substances 0.000 description 1
- 229960000913 crospovidone Drugs 0.000 description 1
- 229920006037 cross link polymer Polymers 0.000 description 1
- 239000001767 crosslinked sodium carboxy methyl cellulose Substances 0.000 description 1
- 235000010947 crosslinked sodium carboxy methyl cellulose Nutrition 0.000 description 1
- 229940043378 cyclin-dependent kinase inhibitor Drugs 0.000 description 1
- 125000001995 cyclobutyl group Chemical group [H]C1([H])C([H])([H])C([H])(*)C1([H])[H] 0.000 description 1
- 125000000582 cycloheptyl group Chemical group [H]C1([H])C([H])([H])C([H])([H])C([H])([H])C([H])(*)C([H])([H])C1([H])[H] 0.000 description 1
- 125000000596 cyclohexenyl group Chemical group C1(=CCCCC1)* 0.000 description 1
- 239000003255 cyclooxygenase 2 inhibitor Substances 0.000 description 1
- 125000002433 cyclopentenyl group Chemical group C1(=CCCC1)* 0.000 description 1
- 125000001511 cyclopentyl group Chemical group [H]C1([H])C([H])([H])C([H])([H])C([H])(*)C1([H])[H] 0.000 description 1
- 229960003077 cycloserine Drugs 0.000 description 1
- 230000010250 cytokine signaling pathway Effects 0.000 description 1
- 229940104302 cytosine Drugs 0.000 description 1
- 231100000135 cytotoxicity Toxicity 0.000 description 1
- 230000003013 cytotoxicity Effects 0.000 description 1
- 229960003850 dabigatran Drugs 0.000 description 1
- YBSJFWOBGCMAKL-UHFFFAOYSA-N dabigatran Chemical compound N=1C2=CC(C(=O)N(CCC(O)=O)C=3N=CC=CC=3)=CC=C2N(C)C=1CNC1=CC=C(C(N)=N)C=C1 YBSJFWOBGCMAKL-UHFFFAOYSA-N 0.000 description 1
- 229960002465 dabrafenib Drugs 0.000 description 1
- BFSMGDJOXZAERB-UHFFFAOYSA-N dabrafenib Chemical compound S1C(C(C)(C)C)=NC(C=2C(=C(NS(=O)(=O)C=3C(=CC=CC=3F)F)C=CC=2)F)=C1C1=CC=NC(N)=N1 BFSMGDJOXZAERB-UHFFFAOYSA-N 0.000 description 1
- 229960002806 daclizumab Drugs 0.000 description 1
- 229960000640 dactinomycin Drugs 0.000 description 1
- 230000006378 damage Effects 0.000 description 1
- 229960000860 dapsone Drugs 0.000 description 1
- DOAKLVKFURWEDJ-QCMAZARJSA-N daptomycin Chemical compound C([C@H]1C(=O)O[C@H](C)[C@@H](C(NCC(=O)N[C@@H](CCCN)C(=O)N[C@@H](CC(O)=O)C(=O)N[C@H](C)C(=O)N[C@@H](CC(O)=O)C(=O)NCC(=O)N[C@H](CO)C(=O)N[C@H](C(=O)N1)[C@H](C)CC(O)=O)=O)NC(=O)[C@H](CC(O)=O)NC(=O)[C@@H](CC(N)=O)NC(=O)[C@H](CC=1C2=CC=CC=C2NC=1)NC(=O)CCCCCCCCC)C(=O)C1=CC=CC=C1N DOAKLVKFURWEDJ-QCMAZARJSA-N 0.000 description 1
- 229960005484 daptomycin Drugs 0.000 description 1
- 229960002448 dasatinib Drugs 0.000 description 1
- STQGQHZAVUOBTE-VGBVRHCVSA-N daunorubicin Chemical compound O([C@H]1C[C@@](O)(CC=2C(O)=C3C(=O)C=4C=CC=C(C=4C(=O)C3=C(O)C=21)OC)C(C)=O)[C@H]1C[C@H](N)[C@H](O)[C@H](C)O1 STQGQHZAVUOBTE-VGBVRHCVSA-N 0.000 description 1
- 229960000975 daunorubicin Drugs 0.000 description 1
- 125000005507 decahydroisoquinolyl group Chemical group 0.000 description 1
- 229960003603 decitabine Drugs 0.000 description 1
- 239000003405 delayed action preparation Substances 0.000 description 1
- 210000004443 dendritic cell Anatomy 0.000 description 1
- 239000003599 detergent Substances 0.000 description 1
- 238000011161 development Methods 0.000 description 1
- 230000018109 developmental process Effects 0.000 description 1
- INUNXTSAACVKJS-OAQYLSRUSA-N dextromoramide Chemical compound C([C@@H](C)C(C(=O)N1CCCC1)(C=1C=CC=CC=1)C=1C=CC=CC=1)N1CCOCC1 INUNXTSAACVKJS-OAQYLSRUSA-N 0.000 description 1
- 229960003701 dextromoramide Drugs 0.000 description 1
- 229940095079 dicalcium phosphate anhydrous Drugs 0.000 description 1
- 235000019404 dichlorodifluoromethane Nutrition 0.000 description 1
- 229940042935 dichlorodifluoromethane Drugs 0.000 description 1
- 229940087091 dichlorotetrafluoroethane Drugs 0.000 description 1
- 229960001585 dicloxacillin Drugs 0.000 description 1
- YFAGHNZHGGCZAX-JKIFEVAISA-N dicloxacillin Chemical compound N([C@@H]1C(N2[C@H](C(C)(C)S[C@@H]21)C(O)=O)=O)C(=O)C1=C(C)ON=C1C1=C(Cl)C=CC=C1Cl YFAGHNZHGGCZAX-JKIFEVAISA-N 0.000 description 1
- 230000004069 differentiation Effects 0.000 description 1
- 206010012818 diffuse large B-cell lymphoma Diseases 0.000 description 1
- XYYVYLMBEZUESM-UHFFFAOYSA-N dihydrocodeine Natural products C1C(N(CCC234)C)C2C=CC(=O)C3OC2=C4C1=CC=C2OC XYYVYLMBEZUESM-UHFFFAOYSA-N 0.000 description 1
- 125000004655 dihydropyridinyl group Chemical group N1(CC=CC=C1)* 0.000 description 1
- 238000007865 diluting Methods 0.000 description 1
- 239000003085 diluting agent Substances 0.000 description 1
- 239000013024 dilution buffer Substances 0.000 description 1
- 229910001873 dinitrogen Inorganic materials 0.000 description 1
- 125000005879 dioxolanyl group Chemical group 0.000 description 1
- SVDHSZFEQYXRDC-UHFFFAOYSA-N dipipanone Chemical compound C=1C=CC=CC=1C(C=1C=CC=CC=1)(C(=O)CC)CC(C)N1CCCCC1 SVDHSZFEQYXRDC-UHFFFAOYSA-N 0.000 description 1
- 229960002500 dipipanone Drugs 0.000 description 1
- WLOHNSSYAXHWNR-NXPDYKKBSA-N dirithromycin Chemical compound O([C@@H]1[C@@H](C)C(=O)O[C@@H]([C@@]([C@H]2O[C@H](COCCOC)N[C@H]([C@@H]2C)[C@H](C)C[C@@](C)(O)[C@H](O[C@H]2[C@@H]([C@H](C[C@@H](C)O2)N(C)C)O)[C@H]1C)(C)O)CC)[C@H]1C[C@@](C)(OC)[C@@H](O)[C@H](C)O1 WLOHNSSYAXHWNR-NXPDYKKBSA-N 0.000 description 1
- 229960004100 dirithromycin Drugs 0.000 description 1
- NWOYIVRVSJDTLK-YSDBFZIDSA-L disodium;(2s,5r,6r)-6-[[(2r)-2-amino-2-phenylacetyl]amino]-3,3-dimethyl-7-oxo-4-thia-1-azabicyclo[3.2.0]heptane-2-carboxylate;(1r,4s)-3,3-dimethyl-2,2,6-trioxo-2$l^{6}-thiabicyclo[3.2.0]heptane-4-carboxylate Chemical compound [Na+].[Na+].O=S1(=O)C(C)(C)[C@H](C([O-])=O)C2C(=O)C[C@H]21.C1([C@@H](N)C(=O)N[C@H]2[C@H]3SC([C@@H](N3C2=O)C([O-])=O)(C)C)=CC=CC=C1 NWOYIVRVSJDTLK-YSDBFZIDSA-L 0.000 description 1
- 239000002270 dispersing agent Substances 0.000 description 1
- 239000006185 dispersion Substances 0.000 description 1
- PRAKJMSDJKAYCZ-UHFFFAOYSA-N dodecahydrosqualene Natural products CC(C)CCCC(C)CCCC(C)CCCCC(C)CCCC(C)CCCC(C)C PRAKJMSDJKAYCZ-UHFFFAOYSA-N 0.000 description 1
- AVAACINZEOAHHE-VFZPANTDSA-N doripenem Chemical compound C=1([C@H](C)[C@@H]2[C@H](C(N2C=1C(O)=O)=O)[C@H](O)C)S[C@@H]1CN[C@H](CNS(N)(=O)=O)C1 AVAACINZEOAHHE-VFZPANTDSA-N 0.000 description 1
- 229960000895 doripenem Drugs 0.000 description 1
- 229960003722 doxycycline Drugs 0.000 description 1
- 238000001647 drug administration Methods 0.000 description 1
- 238000009510 drug design Methods 0.000 description 1
- 238000001035 drying Methods 0.000 description 1
- 229940121647 egfr inhibitor Drugs 0.000 description 1
- 229920001971 elastomer Polymers 0.000 description 1
- 229960004137 elotuzumab Drugs 0.000 description 1
- 230000008451 emotion Effects 0.000 description 1
- 230000001804 emulsifying effect Effects 0.000 description 1
- 239000008393 encapsulating agent Substances 0.000 description 1
- 239000007920 enema Substances 0.000 description 1
- 229940079360 enema for constipation Drugs 0.000 description 1
- 239000003623 enhancer Substances 0.000 description 1
- 150000002085 enols Chemical group 0.000 description 1
- 229960002549 enoxacin Drugs 0.000 description 1
- IDYZIJYBMGIQMJ-UHFFFAOYSA-N enoxacin Chemical compound N1=C2N(CC)C=C(C(O)=O)C(=O)C2=CC(F)=C1N1CCNCC1 IDYZIJYBMGIQMJ-UHFFFAOYSA-N 0.000 description 1
- 230000007613 environmental effect Effects 0.000 description 1
- 230000002255 enzymatic effect Effects 0.000 description 1
- 208000010932 epithelial neoplasm Diseases 0.000 description 1
- 229960001433 erlotinib Drugs 0.000 description 1
- AAKJLRGGTJKAMG-UHFFFAOYSA-N erlotinib Chemical compound C=12C=C(OCCOC)C(OCCOC)=CC2=NC=NC=1NC1=CC=CC(C#C)=C1 AAKJLRGGTJKAMG-UHFFFAOYSA-N 0.000 description 1
- 229960002770 ertapenem Drugs 0.000 description 1
- 229960003276 erythromycin Drugs 0.000 description 1
- 210000003238 esophagus Anatomy 0.000 description 1
- 239000000328 estrogen antagonist Substances 0.000 description 1
- 229960000285 ethambutol Drugs 0.000 description 1
- CCIVGXIOQKPBKL-UHFFFAOYSA-M ethanesulfonate Chemical compound CCS([O-])(=O)=O CCIVGXIOQKPBKL-UHFFFAOYSA-M 0.000 description 1
- BEFDCLMNVWHSGT-UHFFFAOYSA-N ethenylcyclopentane Chemical compound C=CC1CCCC1 BEFDCLMNVWHSGT-UHFFFAOYSA-N 0.000 description 1
- 125000005678 ethenylene group Chemical group [H]C([*:1])=C([H])[*:2] 0.000 description 1
- AEOCXXJPGCBFJA-UHFFFAOYSA-N ethionamide Chemical compound CCC1=CC(C(N)=S)=CC=N1 AEOCXXJPGCBFJA-UHFFFAOYSA-N 0.000 description 1
- 229960002001 ethionamide Drugs 0.000 description 1
- 201000009320 ethmoid sinusitis Diseases 0.000 description 1
- 125000001301 ethoxy group Chemical group [H]C([H])([H])C([H])([H])O* 0.000 description 1
- 229940012017 ethylenediamine Drugs 0.000 description 1
- 238000011156 evaluation Methods 0.000 description 1
- 208000024695 exercise-induced bronchoconstriction Diseases 0.000 description 1
- 229960002428 fentanyl Drugs 0.000 description 1
- IVLVTNPOHDFFCJ-UHFFFAOYSA-N fentanyl citrate Chemical compound OC(=O)CC(O)(C(O)=O)CC(O)=O.C=1C=CC=CC=1N(C(=O)CC)C(CC1)CCN1CCC1=CC=CC=C1 IVLVTNPOHDFFCJ-UHFFFAOYSA-N 0.000 description 1
- 229950010512 fezakinumab Drugs 0.000 description 1
- 229950010043 fletikumab Drugs 0.000 description 1
- 229960004273 floxacillin Drugs 0.000 description 1
- 239000011737 fluorine Substances 0.000 description 1
- 229910052731 fluorine Inorganic materials 0.000 description 1
- 150000002222 fluorine compounds Chemical group 0.000 description 1
- 125000001153 fluoro group Chemical group F* 0.000 description 1
- 229960003667 flupirtine Drugs 0.000 description 1
- 239000011888 foil Substances 0.000 description 1
- KANJSNBRCNMZMV-ABRZTLGGSA-N fondaparinux Chemical compound O[C@@H]1[C@@H](NS(O)(=O)=O)[C@@H](OC)O[C@H](COS(O)(=O)=O)[C@H]1O[C@H]1[C@H](OS(O)(=O)=O)[C@@H](O)[C@H](O[C@@H]2[C@@H]([C@@H](OS(O)(=O)=O)[C@H](O[C@H]3[C@@H]([C@@H](O)[C@H](O[C@@H]4[C@@H]([C@@H](O)[C@H](O)[C@@H](COS(O)(=O)=O)O4)NS(O)(=O)=O)[C@H](O3)C(O)=O)O)[C@@H](COS(O)(=O)=O)O2)NS(O)(=O)=O)[C@H](C(O)=O)O1 KANJSNBRCNMZMV-ABRZTLGGSA-N 0.000 description 1
- 229960001318 fondaparinux Drugs 0.000 description 1
- 229960004421 formestane Drugs 0.000 description 1
- OSVMTWJCGUFAOD-KZQROQTASA-N formestane Chemical compound O=C1CC[C@]2(C)[C@H]3CC[C@](C)(C(CC4)=O)[C@@H]4[C@@H]3CCC2=C1O OSVMTWJCGUFAOD-KZQROQTASA-N 0.000 description 1
- 235000019253 formic acid Nutrition 0.000 description 1
- 229960000308 fosfomycin Drugs 0.000 description 1
- YMDXZJFXQJVXBF-STHAYSLISA-N fosfomycin Chemical compound C[C@@H]1O[C@@H]1P(O)(O)=O YMDXZJFXQJVXBF-STHAYSLISA-N 0.000 description 1
- 229950005309 fostamatinib Drugs 0.000 description 1
- GKDRMWXFWHEQQT-UHFFFAOYSA-N fostamatinib Chemical compound COC1=C(OC)C(OC)=CC(NC=2N=C(NC=3N=C4N(COP(O)(O)=O)C(=O)C(C)(C)OC4=CC=3)C(F)=CN=2)=C1 GKDRMWXFWHEQQT-UHFFFAOYSA-N 0.000 description 1
- 239000012458 free base Substances 0.000 description 1
- 238000004108 freeze drying Methods 0.000 description 1
- 201000006916 frontal sinusitis Diseases 0.000 description 1
- 239000001530 fumaric acid Substances 0.000 description 1
- 235000011087 fumaric acid Nutrition 0.000 description 1
- 230000006870 function Effects 0.000 description 1
- 125000000524 functional group Chemical group 0.000 description 1
- 230000002538 fungal effect Effects 0.000 description 1
- WCZBUQIZTSIQFE-UHFFFAOYSA-N furan;thiophene Chemical compound C=1C=COC=1.C=1C=CSC=1 WCZBUQIZTSIQFE-UHFFFAOYSA-N 0.000 description 1
- 229960001625 furazolidone Drugs 0.000 description 1
- PLHJDBGFXBMTGZ-WEVVVXLNSA-N furazolidone Chemical compound O1C([N+](=O)[O-])=CC=C1\C=N\N1C(=O)OCC1 PLHJDBGFXBMTGZ-WEVVVXLNSA-N 0.000 description 1
- 125000002541 furyl group Chemical group 0.000 description 1
- 229960004675 fusidic acid Drugs 0.000 description 1
- IECPWNUMDGFDKC-MZJAQBGESA-N fusidic acid Chemical compound O[C@@H]([C@@H]12)C[C@H]3\C(=C(/CCC=C(C)C)C(O)=O)[C@@H](OC(C)=O)C[C@]3(C)[C@@]2(C)CC[C@@H]2[C@]1(C)CC[C@@H](O)[C@H]2C IECPWNUMDGFDKC-MZJAQBGESA-N 0.000 description 1
- 229940083124 ganglion-blocking antiadrenergic secondary and tertiary amines Drugs 0.000 description 1
- 239000007789 gas Substances 0.000 description 1
- 210000001035 gastrointestinal tract Anatomy 0.000 description 1
- 229960003923 gatifloxacin Drugs 0.000 description 1
- 229960002584 gefitinib Drugs 0.000 description 1
- XGALLCVXEZPNRQ-UHFFFAOYSA-N gefitinib Chemical compound C=12C=C(OCCCN3CCOCC3)C(OC)=CC2=NC=NC=1NC1=CC=C(F)C(Cl)=C1 XGALLCVXEZPNRQ-UHFFFAOYSA-N 0.000 description 1
- 239000000499 gel Substances 0.000 description 1
- 229940062737 gengraf Drugs 0.000 description 1
- 229960002518 gentamicin Drugs 0.000 description 1
- 208000005017 glioblastoma Diseases 0.000 description 1
- 229960002442 glucosamine Drugs 0.000 description 1
- 235000001727 glucose Nutrition 0.000 description 1
- 125000005456 glyceride group Chemical group 0.000 description 1
- 229960001743 golimumab Drugs 0.000 description 1
- 208000024908 graft versus host disease Diseases 0.000 description 1
- 239000003979 granulating agent Substances 0.000 description 1
- 239000001963 growth medium Substances 0.000 description 1
- 150000004820 halides Chemical class 0.000 description 1
- 125000006492 halo alkyl aryl group Chemical group 0.000 description 1
- 125000004438 haloalkoxy group Chemical group 0.000 description 1
- 210000003128 head Anatomy 0.000 description 1
- 208000014829 head and neck neoplasm Diseases 0.000 description 1
- 230000036541 health Effects 0.000 description 1
- 229960002897 heparin Drugs 0.000 description 1
- 229920000669 heparin Polymers 0.000 description 1
- 125000004446 heteroarylalkyl group Chemical group 0.000 description 1
- 125000000592 heterocycloalkyl group Chemical group 0.000 description 1
- WQPDUTSPKFMPDP-OUMQNGNKSA-N hirudin Chemical compound C([C@@H](C(=O)N[C@@H](CCC(O)=O)C(=O)N[C@@H](CCC(O)=O)C(=O)N[C@@H]([C@@H](C)CC)C(=O)N1[C@@H](CCC1)C(=O)N[C@@H](CCC(O)=O)C(=O)N[C@@H](CCC(O)=O)C(=O)N[C@@H](CC=1C=CC(OS(O)(=O)=O)=CC=1)C(=O)N[C@@H](CC(C)C)C(=O)N[C@@H](CCC(N)=O)C(O)=O)NC(=O)[C@H](CC(O)=O)NC(=O)CNC(=O)[C@H](CC(O)=O)NC(=O)[C@H](CC(N)=O)NC(=O)[C@H](CC=1NC=NC=1)NC(=O)[C@H](CO)NC(=O)[C@H](CCC(N)=O)NC(=O)[C@H]1N(CCC1)C(=O)[C@H](CCCCN)NC(=O)[C@H]1N(CCC1)C(=O)[C@@H](NC(=O)CNC(=O)[C@H](CCC(O)=O)NC(=O)CNC(=O)[C@@H](NC(=O)[C@@H](NC(=O)[C@H]1NC(=O)[C@H](CCC(N)=O)NC(=O)[C@H](CC(N)=O)NC(=O)[C@H](CCCCN)NC(=O)[C@H](CCC(O)=O)NC(=O)CNC(=O)[C@H](CC(O)=O)NC(=O)[C@H](CO)NC(=O)CNC(=O)[C@H](CC(C)C)NC(=O)[C@H]([C@@H](C)CC)NC(=O)[C@@H]2CSSC[C@@H](C(=O)N[C@@H](CCC(O)=O)C(=O)NCC(=O)N[C@@H](CO)C(=O)N[C@@H](CC(N)=O)C(=O)N[C@H](C(=O)N[C@H](C(NCC(=O)N[C@@H](CCC(N)=O)C(=O)NCC(=O)N[C@@H](CC(N)=O)C(=O)N[C@@H](CCCCN)C(=O)N2)=O)CSSC1)C(C)C)NC(=O)[C@H](CC(C)C)NC(=O)[C@H]1NC(=O)[C@H](CC(C)C)NC(=O)[C@H](CC(N)=O)NC(=O)[C@H](CCC(N)=O)NC(=O)CNC(=O)[C@H](CO)NC(=O)[C@H](CCC(O)=O)NC(=O)[C@H]([C@@H](C)O)NC(=O)[C@@H](NC(=O)[C@H](CC(O)=O)NC(=O)[C@@H](NC(=O)[C@H](CC=2C=CC(O)=CC=2)NC(=O)[C@@H](NC(=O)[C@@H](N)C(C)C)C(C)C)[C@@H](C)O)CSSC1)C(C)C)[C@@H](C)O)[C@@H](C)O)C1=CC=CC=C1 WQPDUTSPKFMPDP-OUMQNGNKSA-N 0.000 description 1
- 229940006607 hirudin Drugs 0.000 description 1
- HNDVDQJCIGZPNO-UHFFFAOYSA-N histidine Natural products OC(=O)C(N)CC1=CN=CN1 HNDVDQJCIGZPNO-UHFFFAOYSA-N 0.000 description 1
- 229960002885 histidine Drugs 0.000 description 1
- 230000003054 hormonal effect Effects 0.000 description 1
- 235000001050 hortel pimenta Nutrition 0.000 description 1
- 230000028996 humoral immune response Effects 0.000 description 1
- XGIHQYAWBCFNPY-AZOCGYLKSA-N hydrabamine Chemical compound C([C@@H]12)CC3=CC(C(C)C)=CC=C3[C@@]2(C)CCC[C@@]1(C)CNCCNC[C@@]1(C)[C@@H]2CCC3=CC(C(C)C)=CC=C3[C@@]2(C)CCC1 XGIHQYAWBCFNPY-AZOCGYLKSA-N 0.000 description 1
- 150000002430 hydrocarbons Chemical group 0.000 description 1
- 150000003840 hydrochlorides Chemical class 0.000 description 1
- LLPOLZWFYMWNKH-CMKMFDCUSA-N hydrocodone Chemical compound C([C@H]1[C@H](N(CC[C@@]112)C)C3)CC(=O)[C@@H]1OC1=C2C3=CC=C1OC LLPOLZWFYMWNKH-CMKMFDCUSA-N 0.000 description 1
- 229960000240 hydrocodone Drugs 0.000 description 1
- 229960000890 hydrocortisone Drugs 0.000 description 1
- XMBWDFGMSWQBCA-UHFFFAOYSA-N hydrogen iodide Chemical group I XMBWDFGMSWQBCA-UHFFFAOYSA-N 0.000 description 1
- 230000007062 hydrolysis Effects 0.000 description 1
- 238000006460 hydrolysis reaction Methods 0.000 description 1
- WVLOADHCBXTIJK-YNHQPCIGSA-N hydromorphone Chemical compound O([C@H]1C(CC[C@H]23)=O)C4=C5[C@@]12CCN(C)[C@@H]3CC5=CC=C4O WVLOADHCBXTIJK-YNHQPCIGSA-N 0.000 description 1
- 229960001410 hydromorphone Drugs 0.000 description 1
- 230000002209 hydrophobic effect Effects 0.000 description 1
- 150000004679 hydroxides Chemical class 0.000 description 1
- 229950000801 hydroxyprogesterone caproate Drugs 0.000 description 1
- 206010020718 hyperplasia Diseases 0.000 description 1
- 230000003463 hyperproliferative effect Effects 0.000 description 1
- 230000009610 hypersensitivity Effects 0.000 description 1
- 229940075628 hypomethylating agent Drugs 0.000 description 1
- HOMGKSMUEGBAAB-UHFFFAOYSA-N ifosfamide Chemical compound ClCCNP1(=O)OCCCN1CCCl HOMGKSMUEGBAAB-UHFFFAOYSA-N 0.000 description 1
- 229960001101 ifosfamide Drugs 0.000 description 1
- KTUFNOKKBVMGRW-UHFFFAOYSA-N imatinib Chemical compound C1CN(C)CCN1CC1=CC=C(C(=O)NC=2C=C(NC=3N=C(C=CN=3)C=3C=NC=CC=3)C(C)=CC=2)C=C1 KTUFNOKKBVMGRW-UHFFFAOYSA-N 0.000 description 1
- 229960002411 imatinib Drugs 0.000 description 1
- 125000002632 imidazolidinyl group Chemical group 0.000 description 1
- 125000002636 imidazolinyl group Chemical group 0.000 description 1
- 125000002883 imidazolyl group Chemical group 0.000 description 1
- 229960002182 imipenem Drugs 0.000 description 1
- ZSKVGTPCRGIANV-ZXFLCMHBSA-N imipenem Chemical compound C1C(SCC\N=C\N)=C(C(O)=O)N2C(=O)[C@H]([C@H](O)C)[C@H]21 ZSKVGTPCRGIANV-ZXFLCMHBSA-N 0.000 description 1
- 230000028993 immune response Effects 0.000 description 1
- 239000000677 immunologic agent Substances 0.000 description 1
- 229940124541 immunological agent Drugs 0.000 description 1
- 239000002955 immunomodulating agent Substances 0.000 description 1
- 229940121354 immunomodulator Drugs 0.000 description 1
- 230000002134 immunopathologic effect Effects 0.000 description 1
- 238000002513 implantation Methods 0.000 description 1
- 229940073062 imuran Drugs 0.000 description 1
- 238000000099 in vitro assay Methods 0.000 description 1
- 208000015266 indolent plasma cell myeloma Diseases 0.000 description 1
- 125000003387 indolinyl group Chemical group N1(CCC2=CC=CC=C12)* 0.000 description 1
- 125000003406 indolizinyl group Chemical group C=1(C=CN2C=CC=CC12)* 0.000 description 1
- 125000001041 indolyl group Chemical group 0.000 description 1
- 230000002458 infectious effect Effects 0.000 description 1
- 239000004615 ingredient Substances 0.000 description 1
- 230000002401 inhibitory effect Effects 0.000 description 1
- 230000005764 inhibitory process Effects 0.000 description 1
- 239000007972 injectable composition Substances 0.000 description 1
- 150000007529 inorganic bases Chemical class 0.000 description 1
- 150000002484 inorganic compounds Chemical class 0.000 description 1
- 229910010272 inorganic material Inorganic materials 0.000 description 1
- 229910052500 inorganic mineral Inorganic materials 0.000 description 1
- 239000002348 inosinate dehydrogenase inhibitor Substances 0.000 description 1
- 102000002467 interleukin receptors Human genes 0.000 description 1
- 108010093036 interleukin receptors Proteins 0.000 description 1
- 238000007918 intramuscular administration Methods 0.000 description 1
- 238000007912 intraperitoneal administration Methods 0.000 description 1
- 239000007928 intraperitoneal injection Substances 0.000 description 1
- 238000007913 intrathecal administration Methods 0.000 description 1
- 208000026876 intravascular large B-cell lymphoma Diseases 0.000 description 1
- 238000001990 intravenous administration Methods 0.000 description 1
- 229910052742 iron Inorganic materials 0.000 description 1
- 229940045996 isethionic acid Drugs 0.000 description 1
- 125000000959 isobutyl group Chemical group [H]C([H])([H])C([H])(C([H])([H])[H])C([H])([H])* 0.000 description 1
- 125000004594 isoindolinyl group Chemical group C1(NCC2=CC=CC=C12)* 0.000 description 1
- 125000000904 isoindolyl group Chemical group C=1(NC=C2C=CC=CC12)* 0.000 description 1
- 229960003350 isoniazid Drugs 0.000 description 1
- QRXWMOHMRWLFEY-UHFFFAOYSA-N isoniazide Chemical compound NNC(=O)C1=CC=NC=C1 QRXWMOHMRWLFEY-UHFFFAOYSA-N 0.000 description 1
- 125000002183 isoquinolinyl group Chemical group C1(=NC=CC2=CC=CC=C12)* 0.000 description 1
- 125000005956 isoquinolyl group Chemical group 0.000 description 1
- 125000004628 isothiazolidinyl group Chemical group S1N(CCC1)* 0.000 description 1
- 125000001786 isothiazolyl group Chemical group 0.000 description 1
- 125000003965 isoxazolidinyl group Chemical group 0.000 description 1
- 125000000842 isoxazolyl group Chemical group 0.000 description 1
- 229960005435 ixekizumab Drugs 0.000 description 1
- 201000002215 juvenile rheumatoid arthritis Diseases 0.000 description 1
- 229960000318 kanamycin Drugs 0.000 description 1
- SBUJHOSQTJFQJX-NOAMYHISSA-N kanamycin Chemical compound O[C@@H]1[C@@H](O)[C@H](O)[C@@H](CN)O[C@@H]1O[C@H]1[C@H](O)[C@@H](O[C@@H]2[C@@H]([C@@H](N)[C@H](O)[C@@H](CO)O2)O)[C@H](N)C[C@@H]1N SBUJHOSQTJFQJX-NOAMYHISSA-N 0.000 description 1
- 229930027917 kanamycin Natural products 0.000 description 1
- 229930182823 kanamycin A Natural products 0.000 description 1
- 125000000468 ketone group Chemical group 0.000 description 1
- 210000003734 kidney Anatomy 0.000 description 1
- 239000000832 lactitol Substances 0.000 description 1
- VQHSOMBJVWLPSR-JVCRWLNRSA-N lactitol Chemical compound OC[C@H](O)[C@@H](O)[C@@H]([C@H](O)CO)O[C@@H]1O[C@H](CO)[C@H](O)[C@H](O)[C@H]1O VQHSOMBJVWLPSR-JVCRWLNRSA-N 0.000 description 1
- 235000010448 lactitol Nutrition 0.000 description 1
- 229960003451 lactitol Drugs 0.000 description 1
- 235000019388 lanolin Nutrition 0.000 description 1
- 229940039717 lanolin Drugs 0.000 description 1
- 229960004891 lapatinib Drugs 0.000 description 1
- BCFGMOOMADDAQU-UHFFFAOYSA-N lapatinib Chemical compound O1C(CNCCS(=O)(=O)C)=CC=C1C1=CC=C(N=CN=C2NC=3C=C(Cl)C(OCC=4C=C(F)C=CC=4)=CC=3)C2=C1 BCFGMOOMADDAQU-UHFFFAOYSA-N 0.000 description 1
- 210000000867 larynx Anatomy 0.000 description 1
- 239000004816 latex Substances 0.000 description 1
- 229920000126 latex Polymers 0.000 description 1
- 229960003784 lenvatinib Drugs 0.000 description 1
- WOSKHXYHFSIKNG-UHFFFAOYSA-N lenvatinib Chemical compound C=12C=C(C(N)=O)C(OC)=CC2=NC=CC=1OC(C=C1Cl)=CC=C1NC(=O)NC1CC1 WOSKHXYHFSIKNG-UHFFFAOYSA-N 0.000 description 1
- OTQCKZUSUGYWBD-BRHMIFOHSA-N lepirudin Chemical compound C([C@@H](C(=O)N[C@H](C(=O)N[C@@H](CC(O)=O)C(=O)N[C@@H](CS)C(=O)N[C@H](C(=O)N[C@@H](CCC(O)=O)C(=O)N[C@@H](CO)C(=O)NCC(=O)N[C@@H](CCC(N)=O)C(=O)N[C@@H](CC(N)=O)C(=O)N[C@@H](CC(C)C)C(=O)N[C@@H](CS)C(=O)N[C@@H](CC(C)C)C(=O)N[C@@H](CS)C(=O)N[C@@H](CCC(O)=O)C(=O)NCC(=O)N[C@@H](CO)C(=O)N[C@@H](CC(N)=O)C(=O)N[C@H](C(=O)N[C@@H](CS)C(=O)NCC(=O)N[C@@H](CCC(N)=O)C(=O)NCC(=O)N[C@@H](CC(N)=O)C(=O)N[C@@H](CCCCN)C(=O)N[C@@H](CS)C(=O)N[C@@H]([C@@H](C)CC)C(=O)N[C@@H](CC(C)C)C(=O)NCC(=O)N[C@@H](CO)C(=O)N[C@@H](CC(O)=O)C(=O)NCC(=O)N[C@@H](CCC(O)=O)C(=O)N[C@@H](CCCCN)C(=O)N[C@@H](CC(N)=O)C(=O)N[C@@H](CCC(N)=O)C(=O)N[C@@H](CS)C(=O)N[C@@H](C(C)C)C(=O)N[C@@H]([C@@H](C)O)C(=O)NCC(=O)N[C@@H](CCC(O)=O)C(=O)NCC(=O)N[C@@H]([C@@H](C)O)C(=O)N1[C@@H](CCC1)C(=O)N[C@@H](CCCCN)C(=O)N1[C@@H](CCC1)C(=O)N[C@@H](CCC(N)=O)C(=O)N[C@@H](CO)C(=O)N[C@@H](CC=1NC=NC=1)C(=O)N[C@@H](CC(N)=O)C(=O)N[C@@H](CC(O)=O)C(=O)NCC(=O)N[C@@H](CC(O)=O)C(=O)N[C@@H](CC=1C=CC=CC=1)C(=O)N[C@@H](CCC(O)=O)C(=O)N[C@@H](CCC(O)=O)C(=O)N[C@@H]([C@@H](C)CC)C(=O)N1[C@@H](CCC1)C(=O)N[C@@H](CCC(O)=O)C(=O)N[C@@H](CCC(O)=O)C(=O)N[C@@H](CC=1C=CC(O)=CC=1)C(=O)N[C@@H](CC(C)C)C(=O)N[C@@H](CCC(N)=O)C(O)=O)C(C)C)[C@@H](C)O)[C@@H](C)O)NC(=O)[C@@H](NC(=O)[C@@H](N)CC(C)C)[C@@H](C)O)C1=CC=C(O)C=C1 OTQCKZUSUGYWBD-BRHMIFOHSA-N 0.000 description 1
- 229960004408 lepirudin Drugs 0.000 description 1
- 229960003376 levofloxacin Drugs 0.000 description 1
- 229940010454 licorice Drugs 0.000 description 1
- 229960000812 linaclotide Drugs 0.000 description 1
- 229960003907 linezolid Drugs 0.000 description 1
- TYZROVQLWOKYKF-ZDUSSCGKSA-N linezolid Chemical compound O=C1O[C@@H](CNC(=O)C)CN1C(C=C1F)=CC=C1N1CCOCC1 TYZROVQLWOKYKF-ZDUSSCGKSA-N 0.000 description 1
- 229940084408 linzess Drugs 0.000 description 1
- 239000002502 liposome Substances 0.000 description 1
- 229910052744 lithium Inorganic materials 0.000 description 1
- 230000033001 locomotion Effects 0.000 description 1
- 229960002422 lomefloxacin Drugs 0.000 description 1
- ZEKZLJVOYLTDKK-UHFFFAOYSA-N lomefloxacin Chemical compound FC1=C2N(CC)C=C(C(O)=O)C(=O)C2=CC(F)=C1N1CCNC(C)C1 ZEKZLJVOYLTDKK-UHFFFAOYSA-N 0.000 description 1
- 239000007937 lozenge Substances 0.000 description 1
- 238000004020 luminiscence type Methods 0.000 description 1
- 210000004698 lymphocyte Anatomy 0.000 description 1
- 210000003563 lymphoid tissue Anatomy 0.000 description 1
- 201000007919 lymphoplasmacytic lymphoma Diseases 0.000 description 1
- 229960003646 lysine Drugs 0.000 description 1
- 239000003120 macrolide antibiotic agent Substances 0.000 description 1
- 229940041033 macrolides Drugs 0.000 description 1
- 210000002540 macrophage Anatomy 0.000 description 1
- 229960003640 mafenide Drugs 0.000 description 1
- ZLNQQNXFFQJAID-UHFFFAOYSA-L magnesium carbonate Chemical compound [Mg+2].[O-]C([O-])=O ZLNQQNXFFQJAID-UHFFFAOYSA-L 0.000 description 1
- 239000001095 magnesium carbonate Substances 0.000 description 1
- 229910000021 magnesium carbonate Inorganic materials 0.000 description 1
- 229960001708 magnesium carbonate Drugs 0.000 description 1
- 159000000003 magnesium salts Chemical class 0.000 description 1
- 230000014759 maintenance of location Effects 0.000 description 1
- 239000011976 maleic acid Substances 0.000 description 1
- 230000036210 malignancy Effects 0.000 description 1
- 229960002510 mandelic acid Drugs 0.000 description 1
- WPBNNNQJVZRUHP-UHFFFAOYSA-L manganese(2+);methyl n-[[2-(methoxycarbonylcarbamothioylamino)phenyl]carbamothioyl]carbamate;n-[2-(sulfidocarbothioylamino)ethyl]carbamodithioate Chemical class [Mn+2].[S-]C(=S)NCCNC([S-])=S.COC(=O)NC(=S)NC1=CC=CC=C1NC(=S)NC(=O)OC WPBNNNQJVZRUHP-UHFFFAOYSA-L 0.000 description 1
- 201000007924 marginal zone B-cell lymphoma Diseases 0.000 description 1
- 208000021937 marginal zone lymphoma Diseases 0.000 description 1
- 229950007254 mavrilimumab Drugs 0.000 description 1
- 201000008836 maxillary sinusitis Diseases 0.000 description 1
- 230000007246 mechanism Effects 0.000 description 1
- 230000001404 mediated effect Effects 0.000 description 1
- 239000002609 medium Substances 0.000 description 1
- FRQMUZJSZHZSGN-HBNHAYAOSA-N medroxyprogesterone Chemical compound C([C@@]12C)CC(=O)C=C1[C@@H](C)C[C@@H]1[C@@H]2CC[C@]2(C)[C@@](O)(C(C)=O)CC[C@H]21 FRQMUZJSZHZSGN-HBNHAYAOSA-N 0.000 description 1
- 229960004616 medroxyprogesterone Drugs 0.000 description 1
- 229960003464 mefenamic acid Drugs 0.000 description 1
- HYYBABOKPJLUIN-UHFFFAOYSA-N mefenamic acid Chemical compound CC1=CC=CC(NC=2C(=CC=CC=2)C(O)=O)=C1C HYYBABOKPJLUIN-UHFFFAOYSA-N 0.000 description 1
- 201000001441 melanoma Diseases 0.000 description 1
- QWIZNVHXZXRPDR-WSCXOGSTSA-N melezitose Chemical compound O([C@@]1(O[C@@H]([C@H]([C@@H]1O[C@@H]1[C@@H]([C@@H](O)[C@H](O)[C@@H](CO)O1)O)O)CO)CO)[C@H]1O[C@H](CO)[C@@H](O)[C@H](O)[C@H]1O QWIZNVHXZXRPDR-WSCXOGSTSA-N 0.000 description 1
- 229960001929 meloxicam Drugs 0.000 description 1
- SGDBTWWWUNNDEQ-LBPRGKRZSA-N melphalan Chemical compound OC(=O)[C@@H](N)CC1=CC=C(N(CCCl)CCCl)C=C1 SGDBTWWWUNNDEQ-LBPRGKRZSA-N 0.000 description 1
- 229960001924 melphalan Drugs 0.000 description 1
- 229960002260 meropenem Drugs 0.000 description 1
- DMJNNHOOLUXYBV-PQTSNVLCSA-N meropenem Chemical compound C=1([C@H](C)[C@@H]2[C@H](C(N2C=1C(O)=O)=O)[C@H](O)C)S[C@@H]1CN[C@H](C(=O)N(C)C)C1 DMJNNHOOLUXYBV-PQTSNVLCSA-N 0.000 description 1
- KBOPZPXVLCULAV-UHFFFAOYSA-N mesalamine Chemical compound NC1=CC=C(O)C(C(O)=O)=C1 KBOPZPXVLCULAV-UHFFFAOYSA-N 0.000 description 1
- 229960004963 mesalazine Drugs 0.000 description 1
- HEBKCHPVOIAQTA-UHFFFAOYSA-N meso ribitol Natural products OCC(O)C(O)C(O)CO HEBKCHPVOIAQTA-UHFFFAOYSA-N 0.000 description 1
- 229910000000 metal hydroxide Inorganic materials 0.000 description 1
- 150000004692 metal hydroxides Chemical class 0.000 description 1
- 229940098779 methanesulfonic acid Drugs 0.000 description 1
- PMRYVIKBURPHAH-UHFFFAOYSA-N methimazole Chemical compound CN1C=CNC1=S PMRYVIKBURPHAH-UHFFFAOYSA-N 0.000 description 1
- 235000006109 methionine Nutrition 0.000 description 1
- 229960000485 methotrexate Drugs 0.000 description 1
- 125000000956 methoxy group Chemical group [H]C([H])([H])O* 0.000 description 1
- WBYWAXJHAXSJNI-UHFFFAOYSA-N methyl p-hydroxycinnamate Natural products OC(=O)C=CC1=CC=CC=C1 WBYWAXJHAXSJNI-UHFFFAOYSA-N 0.000 description 1
- SNVLJLYUUXKWOJ-UHFFFAOYSA-N methylidenecarbene Chemical compound C=[C] SNVLJLYUUXKWOJ-UHFFFAOYSA-N 0.000 description 1
- 229960003085 meticillin Drugs 0.000 description 1
- 229960000282 metronidazole Drugs 0.000 description 1
- VAOCPAMSLUNLGC-UHFFFAOYSA-N metronidazole Chemical compound CC1=NC=C([N+]([O-])=O)N1CCO VAOCPAMSLUNLGC-UHFFFAOYSA-N 0.000 description 1
- 206010072221 mevalonate kinase deficiency Diseases 0.000 description 1
- YPBATNHYBCGSSN-VWPFQQQWSA-N mezlocillin Chemical compound N([C@@H](C(=O)N[C@H]1[C@H]2SC([C@@H](N2C1=O)C(O)=O)(C)C)C=1C=CC=CC=1)C(=O)N1CCN(S(C)(=O)=O)C1=O YPBATNHYBCGSSN-VWPFQQQWSA-N 0.000 description 1
- 229960000198 mezlocillin Drugs 0.000 description 1
- 235000010755 mineral Nutrition 0.000 description 1
- 239000011707 mineral Substances 0.000 description 1
- 150000007522 mineralic acids Chemical class 0.000 description 1
- 239000002829 mitogen activated protein kinase inhibitor Substances 0.000 description 1
- 238000002156 mixing Methods 0.000 description 1
- 235000019426 modified starch Nutrition 0.000 description 1
- 239000003607 modifier Substances 0.000 description 1
- 229960005181 morphine Drugs 0.000 description 1
- BQJCRHHNABKAKU-KBQPJGBKSA-N morphine Natural products O([C@H]1[C@H](C=C[C@H]23)O)C4=C5[C@@]12CCN(C)[C@@H]3CC5=CC=C4O BQJCRHHNABKAKU-KBQPJGBKSA-N 0.000 description 1
- 125000006203 morpholinoethyl group Chemical group [H]C([H])(*)C([H])([H])N1C([H])([H])C([H])([H])OC([H])([H])C1([H])[H] 0.000 description 1
- 125000002757 morpholinyl group Chemical group 0.000 description 1
- 229960003702 moxifloxacin Drugs 0.000 description 1
- FABPRXSRWADJSP-MEDUHNTESA-N moxifloxacin Chemical compound COC1=C(N2C[C@H]3NCCC[C@H]3C2)C(F)=CC(C(C(C(O)=O)=C2)=O)=C1N2C1CC1 FABPRXSRWADJSP-MEDUHNTESA-N 0.000 description 1
- 229940014456 mycophenolate Drugs 0.000 description 1
- RTGDFNSFWBGLEC-SYZQJQIISA-N mycophenolate mofetil Chemical compound COC1=C(C)C=2COC(=O)C=2C(O)=C1C\C=C(/C)CCC(=O)OCCN1CCOCC1 RTGDFNSFWBGLEC-SYZQJQIISA-N 0.000 description 1
- 229960004866 mycophenolate mofetil Drugs 0.000 description 1
- 229960000951 mycophenolic acid Drugs 0.000 description 1
- 206010028537 myelofibrosis Diseases 0.000 description 1
- 229940083410 myfortic Drugs 0.000 description 1
- JORAUNFTUVJTNG-BSTBCYLQSA-N n-[(2s)-4-amino-1-[[(2s,3r)-1-[[(2s)-4-amino-1-oxo-1-[[(3s,6s,9s,12s,15r,18s,21s)-6,9,18-tris(2-aminoethyl)-3-[(1r)-1-hydroxyethyl]-12,15-bis(2-methylpropyl)-2,5,8,11,14,17,20-heptaoxo-1,4,7,10,13,16,19-heptazacyclotricos-21-yl]amino]butan-2-yl]amino]-3-h Chemical compound CC(C)CCCCC(=O)N[C@@H](CCN)C(=O)N[C@H]([C@@H](C)O)CN[C@@H](CCN)C(=O)N[C@H]1CCNC(=O)[C@H]([C@@H](C)O)NC(=O)[C@H](CCN)NC(=O)[C@H](CCN)NC(=O)[C@H](CC(C)C)NC(=O)[C@@H](CC(C)C)NC(=O)[C@H](CCN)NC1=O.CCC(C)CCCCC(=O)N[C@@H](CCN)C(=O)N[C@H]([C@@H](C)O)CN[C@@H](CCN)C(=O)N[C@H]1CCNC(=O)[C@H]([C@@H](C)O)NC(=O)[C@H](CCN)NC(=O)[C@H](CCN)NC(=O)[C@H](CC(C)C)NC(=O)[C@@H](CC(C)C)NC(=O)[C@H](CCN)NC1=O JORAUNFTUVJTNG-BSTBCYLQSA-N 0.000 description 1
- 125000004123 n-propyl group Chemical group [H]C([H])([H])C([H])([H])C([H])([H])* 0.000 description 1
- GPXLMGHLHQJAGZ-JTDSTZFVSA-N nafcillin Chemical compound C1=CC=CC2=C(C(=O)N[C@@H]3C(N4[C@H](C(C)(C)S[C@@H]43)C(O)=O)=O)C(OCC)=CC=C21 GPXLMGHLHQJAGZ-JTDSTZFVSA-N 0.000 description 1
- 229960000515 nafcillin Drugs 0.000 description 1
- MHWLWQUZZRMNGJ-UHFFFAOYSA-N nalidixic acid Chemical compound C1=C(C)N=C2N(CC)C=C(C(O)=O)C(=O)C2=C1 MHWLWQUZZRMNGJ-UHFFFAOYSA-N 0.000 description 1
- 229960000210 nalidixic acid Drugs 0.000 description 1
- 125000001624 naphthyl group Chemical group 0.000 description 1
- 125000004593 naphthyridinyl group Chemical group N1=C(C=CC2=CC=CN=C12)* 0.000 description 1
- 229960002009 naproxen Drugs 0.000 description 1
- CMWTZPSULFXXJA-VIFPVBQESA-N naproxen Chemical compound C1=C([C@H](C)C(O)=O)C=CC2=CC(OC)=CC=C21 CMWTZPSULFXXJA-VIFPVBQESA-N 0.000 description 1
- 239000007922 nasal spray Substances 0.000 description 1
- 229940097496 nasal spray Drugs 0.000 description 1
- 210000000822 natural killer cell Anatomy 0.000 description 1
- 239000006199 nebulizer Substances 0.000 description 1
- 210000003739 neck Anatomy 0.000 description 1
- 229960004927 neomycin Drugs 0.000 description 1
- 125000001971 neopentyl group Chemical group [H]C([*])([H])C(C([H])([H])[H])(C([H])([H])[H])C([H])([H])[H] 0.000 description 1
- 229960000808 netilmicin Drugs 0.000 description 1
- 208000021722 neuropathic pain Diseases 0.000 description 1
- 230000007935 neutral effect Effects 0.000 description 1
- 229960001346 nilotinib Drugs 0.000 description 1
- HHZIURLSWUIHRB-UHFFFAOYSA-N nilotinib Chemical compound C1=NC(C)=CN1C1=CC(NC(=O)C=2C=C(NC=3N=C(C=CN=3)C=3C=NC=CC=3)C(C)=CC=2)=CC(C(F)(F)F)=C1 HHZIURLSWUIHRB-UHFFFAOYSA-N 0.000 description 1
- 229960004378 nintedanib Drugs 0.000 description 1
- XZXHXSATPCNXJR-ZIADKAODSA-N nintedanib Chemical compound O=C1NC2=CC(C(=O)OC)=CC=C2\C1=C(C=1C=CC=CC=1)\NC(C=C1)=CC=C1N(C)C(=O)CN1CCN(C)CC1 XZXHXSATPCNXJR-ZIADKAODSA-N 0.000 description 1
- 229960000564 nitrofurantoin Drugs 0.000 description 1
- NXFQHRVNIOXGAQ-YCRREMRBSA-N nitrofurantoin Chemical compound O1C([N+](=O)[O-])=CC=C1\C=N\N1C(=O)NC(=O)C1 NXFQHRVNIOXGAQ-YCRREMRBSA-N 0.000 description 1
- 125000006574 non-aromatic ring group Chemical group 0.000 description 1
- 208000002154 non-small cell lung carcinoma Diseases 0.000 description 1
- 239000002687 nonaqueous vehicle Substances 0.000 description 1
- MVPQUSQUURLQKF-MCPDASDXSA-E nonasodium;(2s,3s,4s,5r,6r)-6-[(2r,3r,4s,5r,6r)-6-[(2r,3s,4s,5r,6r)-2-carboxylato-4,5-dimethoxy-6-[(2r,3r,4s,5r,6s)-6-methoxy-4,5-disulfonatooxy-2-(sulfonatooxymethyl)oxan-3-yl]oxyoxan-3-yl]oxy-4,5-disulfonatooxy-2-(sulfonatooxymethyl)oxan-3-yl]oxy-4,5-di Chemical compound [Na+].[Na+].[Na+].[Na+].[Na+].[Na+].[Na+].[Na+].[Na+].[O-]S(=O)(=O)O[C@@H]1[C@@H](OS([O-])(=O)=O)[C@@H](OC)O[C@H](COS([O-])(=O)=O)[C@H]1O[C@H]1[C@H](OC)[C@@H](OC)[C@H](O[C@@H]2[C@@H]([C@@H](OS([O-])(=O)=O)[C@H](O[C@H]3[C@@H]([C@@H](OC)[C@H](O[C@@H]4[C@@H]([C@@H](OC)[C@H](OC)[C@@H](COS([O-])(=O)=O)O4)OC)[C@H](O3)C([O-])=O)OC)[C@@H](COS([O-])(=O)=O)O2)OS([O-])(=O)=O)[C@H](C([O-])=O)O1 MVPQUSQUURLQKF-MCPDASDXSA-E 0.000 description 1
- 231100000252 nontoxic Toxicity 0.000 description 1
- 230000003000 nontoxic effect Effects 0.000 description 1
- 229960001180 norfloxacin Drugs 0.000 description 1
- OGJPXUAPXNRGGI-UHFFFAOYSA-N norfloxacin Chemical compound C1=C2N(CC)C=C(C(O)=O)C(=O)C2=CC(F)=C1N1CCNCC1 OGJPXUAPXNRGGI-UHFFFAOYSA-N 0.000 description 1
- 208000007892 occupational asthma Diseases 0.000 description 1
- 229950005751 ocrelizumab Drugs 0.000 description 1
- 125000005060 octahydroindolyl group Chemical group N1(CCC2CCCCC12)* 0.000 description 1
- 125000005061 octahydroisoindolyl group Chemical group C1(NCC2CCCCC12)* 0.000 description 1
- 229960002450 ofatumumab Drugs 0.000 description 1
- 229960001699 ofloxacin Drugs 0.000 description 1
- 235000019198 oils Nutrition 0.000 description 1
- QQBDLJCYGRGAKP-FOCLMDBBSA-N olsalazine Chemical compound C1=C(O)C(C(=O)O)=CC(\N=N\C=2C=C(C(O)=CC=2)C(O)=O)=C1 QQBDLJCYGRGAKP-FOCLMDBBSA-N 0.000 description 1
- 229960004110 olsalazine Drugs 0.000 description 1
- 235000005985 organic acids Nutrition 0.000 description 1
- 150000002894 organic compounds Chemical class 0.000 description 1
- 239000012074 organic phase Substances 0.000 description 1
- 239000003960 organic solvent Substances 0.000 description 1
- 201000008482 osteoarthritis Diseases 0.000 description 1
- 210000001672 ovary Anatomy 0.000 description 1
- 229960001019 oxacillin Drugs 0.000 description 1
- UWYHMGVUTGAWSP-JKIFEVAISA-N oxacillin Chemical compound N([C@@H]1C(N2[C@H](C(C)(C)S[C@@H]21)C(O)=O)=O)C(=O)C1=C(C)ON=C1C1=CC=CC=C1 UWYHMGVUTGAWSP-JKIFEVAISA-N 0.000 description 1
- 125000001715 oxadiazolyl group Chemical group 0.000 description 1
- 235000006408 oxalic acid Nutrition 0.000 description 1
- 229960002739 oxaprozin Drugs 0.000 description 1
- OFPXSFXSNFPTHF-UHFFFAOYSA-N oxaprozin Chemical compound O1C(CCC(=O)O)=NC(C=2C=CC=CC=2)=C1C1=CC=CC=C1 OFPXSFXSNFPTHF-UHFFFAOYSA-N 0.000 description 1
- 125000000160 oxazolidinyl group Chemical group 0.000 description 1
- 125000005968 oxazolinyl group Chemical group 0.000 description 1
- 125000002971 oxazolyl group Chemical group 0.000 description 1
- 125000003566 oxetanyl group Chemical group 0.000 description 1
- 230000003647 oxidation Effects 0.000 description 1
- 238000007254 oxidation reaction Methods 0.000 description 1
- 125000005476 oxopyrrolidinyl group Chemical group 0.000 description 1
- 229960002085 oxycodone Drugs 0.000 description 1
- LSQZJLSUYDQPKJ-UHFFFAOYSA-N p-Hydroxyampicillin Natural products O=C1N2C(C(O)=O)C(C)(C)SC2C1NC(=O)C(N)C1=CC=C(O)C=C1 LSQZJLSUYDQPKJ-UHFFFAOYSA-N 0.000 description 1
- 239000006179 pH buffering agent Substances 0.000 description 1
- 229960001592 paclitaxel Drugs 0.000 description 1
- 229940124641 pain reliever Drugs 0.000 description 1
- 229960004390 palbociclib Drugs 0.000 description 1
- AHJRHEGDXFFMBM-UHFFFAOYSA-N palbociclib Chemical compound N1=C2N(C3CCCC3)C(=O)C(C(=O)C)=C(C)C2=CN=C1NC(N=C1)=CC=C1N1CCNCC1 AHJRHEGDXFFMBM-UHFFFAOYSA-N 0.000 description 1
- 229910052763 palladium Inorganic materials 0.000 description 1
- YJVFFLUZDVXJQI-UHFFFAOYSA-L palladium(ii) acetate Chemical compound [Pd+2].CC([O-])=O.CC([O-])=O YJVFFLUZDVXJQI-UHFFFAOYSA-L 0.000 description 1
- 210000000496 pancreas Anatomy 0.000 description 1
- FJKROLUGYXJWQN-UHFFFAOYSA-N papa-hydroxy-benzoic acid Natural products OC(=O)C1=CC=C(O)C=C1 FJKROLUGYXJWQN-UHFFFAOYSA-N 0.000 description 1
- 201000010198 papillary carcinoma Diseases 0.000 description 1
- 229960005489 paracetamol Drugs 0.000 description 1
- 230000001991 pathophysiological effect Effects 0.000 description 1
- 230000037361 pathway Effects 0.000 description 1
- 229960000639 pazopanib Drugs 0.000 description 1
- CUIHSIWYWATEQL-UHFFFAOYSA-N pazopanib Chemical compound C1=CC2=C(C)N(C)N=C2C=C1N(C)C(N=1)=CC=NC=1NC1=CC=C(C)C(S(N)(=O)=O)=C1 CUIHSIWYWATEQL-UHFFFAOYSA-N 0.000 description 1
- 230000035515 penetration Effects 0.000 description 1
- 229940049954 penicillin Drugs 0.000 description 1
- 229940056360 penicillin g Drugs 0.000 description 1
- 229940056367 penicillin v Drugs 0.000 description 1
- 150000002960 penicillins Chemical class 0.000 description 1
- VOKSWYLNZZRQPF-GDIGMMSISA-N pentazocine Chemical compound C1C2=CC=C(O)C=C2[C@@]2(C)[C@@H](C)[C@@H]1N(CC=C(C)C)CC2 VOKSWYLNZZRQPF-GDIGMMSISA-N 0.000 description 1
- 229960005301 pentazocine Drugs 0.000 description 1
- 208000022719 perennial allergic rhinitis Diseases 0.000 description 1
- 230000000737 periodic effect Effects 0.000 description 1
- 229960000482 pethidine Drugs 0.000 description 1
- 239000008177 pharmaceutical agent Substances 0.000 description 1
- 239000002831 pharmacologic agent Substances 0.000 description 1
- 239000012071 phase Substances 0.000 description 1
- NFBAXHOPROOJAW-UHFFFAOYSA-N phenindione Chemical compound O=C1C2=CC=CC=C2C(=O)C1C1=CC=CC=C1 NFBAXHOPROOJAW-UHFFFAOYSA-N 0.000 description 1
- 229960000280 phenindione Drugs 0.000 description 1
- BPLBGHOLXOTWMN-MBNYWOFBSA-N phenoxymethylpenicillin Chemical compound N([C@H]1[C@H]2SC([C@@H](N2C1=O)C(O)=O)(C)C)C(=O)COC1=CC=CC=C1 BPLBGHOLXOTWMN-MBNYWOFBSA-N 0.000 description 1
- 229960004923 phenprocoumon Drugs 0.000 description 1
- DQDAYGNAKTZFIW-UHFFFAOYSA-N phenprocoumon Chemical compound OC=1C2=CC=CC=C2OC(=O)C=1C(CC)C1=CC=CC=C1 DQDAYGNAKTZFIW-UHFFFAOYSA-N 0.000 description 1
- 125000000286 phenylethyl group Chemical group [H]C1=C([H])C([H])=C(C([H])=C1[H])C([H])([H])C([H])([H])* 0.000 description 1
- NBIIXXVUZAFLBC-UHFFFAOYSA-K phosphate Chemical compound [O-]P([O-])([O-])=O NBIIXXVUZAFLBC-UHFFFAOYSA-K 0.000 description 1
- 239000008363 phosphate buffer Substances 0.000 description 1
- 239000002935 phosphatidylinositol 3 kinase inhibitor Substances 0.000 description 1
- 239000002504 physiological saline solution Substances 0.000 description 1
- 239000006187 pill Substances 0.000 description 1
- 125000004193 piperazinyl group Chemical group 0.000 description 1
- 125000003386 piperidinyl group Chemical group 0.000 description 1
- 229960002702 piroxicam Drugs 0.000 description 1
- QYSPLQLAKJAUJT-UHFFFAOYSA-N piroxicam Chemical compound OC=1C2=CC=CC=C2S(=O)(=O)N(C)C=1C(=O)NC1=CC=CC=N1 QYSPLQLAKJAUJT-UHFFFAOYSA-N 0.000 description 1
- 230000036470 plasma concentration Effects 0.000 description 1
- 210000004180 plasmocyte Anatomy 0.000 description 1
- 239000004033 plastic Substances 0.000 description 1
- 229920003023 plastic Polymers 0.000 description 1
- 229910052697 platinum Inorganic materials 0.000 description 1
- 239000002798 polar solvent Substances 0.000 description 1
- 229920001515 polyalkylene glycol Polymers 0.000 description 1
- 229920000768 polyamine Polymers 0.000 description 1
- 208000037244 polycythemia vera Diseases 0.000 description 1
- 229920000642 polymer Polymers 0.000 description 1
- 229920000024 polymyxin B Polymers 0.000 description 1
- XDJYMJULXQKGMM-UHFFFAOYSA-N polymyxin E1 Natural products CCC(C)CCCCC(=O)NC(CCN)C(=O)NC(C(C)O)C(=O)NC(CCN)C(=O)NC1CCNC(=O)C(C(C)O)NC(=O)C(CCN)NC(=O)C(CCN)NC(=O)C(CC(C)C)NC(=O)C(CC(C)C)NC(=O)C(CCN)NC1=O XDJYMJULXQKGMM-UHFFFAOYSA-N 0.000 description 1
- KNIWPHSUTGNZST-UHFFFAOYSA-N polymyxin E2 Natural products CC(C)CCCCC(=O)NC(CCN)C(=O)NC(C(C)O)C(=O)NC(CCN)C(=O)NC1CCNC(=O)C(C(C)O)NC(=O)C(CCN)NC(=O)C(CCN)NC(=O)C(CC(C)C)NC(=O)C(CC(C)C)NC(=O)C(CCN)NC1=O KNIWPHSUTGNZST-UHFFFAOYSA-N 0.000 description 1
- 229960005266 polymyxin b Drugs 0.000 description 1
- 229920005862 polyol Polymers 0.000 description 1
- 150000003077 polyols Chemical class 0.000 description 1
- 229920001184 polypeptide Polymers 0.000 description 1
- 235000013809 polyvinylpolypyrrolidone Nutrition 0.000 description 1
- 229920000523 polyvinylpolypyrrolidone Polymers 0.000 description 1
- 229920001592 potato starch Polymers 0.000 description 1
- 150000003140 primary amides Chemical class 0.000 description 1
- 150000003141 primary amines Chemical class 0.000 description 1
- MFDFERRIHVXMIY-UHFFFAOYSA-N procaine Chemical compound CCN(CC)CCOC(=O)C1=CC=C(N)C=C1 MFDFERRIHVXMIY-UHFFFAOYSA-N 0.000 description 1
- 229960004919 procaine Drugs 0.000 description 1
- 230000008569 process Effects 0.000 description 1
- 102000004196 processed proteins & peptides Human genes 0.000 description 1
- 108090000765 processed proteins & peptides Proteins 0.000 description 1
- 238000012545 processing Methods 0.000 description 1
- 229940072288 prograf Drugs 0.000 description 1
- 230000002062 proliferating effect Effects 0.000 description 1
- 230000002035 prolonged effect Effects 0.000 description 1
- 239000003380 propellant Substances 0.000 description 1
- 238000011321 prophylaxis Methods 0.000 description 1
- 235000019260 propionic acid Nutrition 0.000 description 1
- 239000000473 propyl gallate Substances 0.000 description 1
- 235000010388 propyl gallate Nutrition 0.000 description 1
- 229940075579 propyl gallate Drugs 0.000 description 1
- 125000001436 propyl group Chemical group [H]C([*])([H])C([H])([H])C([H])([H])[H] 0.000 description 1
- 208000028172 protozoa infectious disease Diseases 0.000 description 1
- 125000001042 pteridinyl group Chemical group N1=C(N=CC2=NC=CN=C12)* 0.000 description 1
- 208000005069 pulmonary fibrosis Diseases 0.000 description 1
- 238000010926 purge Methods 0.000 description 1
- 229940117820 purinethol Drugs 0.000 description 1
- 125000000561 purinyl group Chemical group N1=C(N=C2N=CNC2=C1)* 0.000 description 1
- 229960005206 pyrazinamide Drugs 0.000 description 1
- GNGHGFVFONSDEL-UHFFFAOYSA-N pyrazine;pyridazine Chemical compound C1=CC=NN=C1.C1=CN=CC=N1 GNGHGFVFONSDEL-UHFFFAOYSA-N 0.000 description 1
- IPEHBUMCGVEMRF-UHFFFAOYSA-N pyrazinecarboxamide Chemical compound NC(=O)C1=CN=CC=N1 IPEHBUMCGVEMRF-UHFFFAOYSA-N 0.000 description 1
- 125000003373 pyrazinyl group Chemical group 0.000 description 1
- 125000004353 pyrazol-1-yl group Chemical group [H]C1=NN(*)C([H])=C1[H] 0.000 description 1
- 125000004497 pyrazol-5-yl group Chemical group N1N=CC=C1* 0.000 description 1
- 125000003072 pyrazolidinyl group Chemical group 0.000 description 1
- PBMFSQRYOILNGV-UHFFFAOYSA-N pyridazine Chemical compound C1=CC=NN=C1 PBMFSQRYOILNGV-UHFFFAOYSA-N 0.000 description 1
- 125000002098 pyridazinyl group Chemical group 0.000 description 1
- ZARCYQBIHIVLOO-UHFFFAOYSA-N pyridine;triazine Chemical compound C1=CC=NC=C1.C1=CN=NN=C1 ZARCYQBIHIVLOO-UHFFFAOYSA-N 0.000 description 1
- 125000000714 pyrimidinyl group Chemical group 0.000 description 1
- 229940107700 pyruvic acid Drugs 0.000 description 1
- 125000002294 quinazolinyl group Chemical group N1=C(N=CC2=CC=CC=C12)* 0.000 description 1
- IUVKMZGDUIUOCP-BTNSXGMBSA-N quinbolone Chemical compound O([C@H]1CC[C@H]2[C@H]3[C@@H]([C@]4(C=CC(=O)C=C4CC3)C)CC[C@@]21C)C1=CCCC1 IUVKMZGDUIUOCP-BTNSXGMBSA-N 0.000 description 1
- 125000002943 quinolinyl group Chemical group N1=C(C=CC2=CC=CC=C12)* 0.000 description 1
- 150000007660 quinolones Chemical class 0.000 description 1
- 125000005493 quinolyl group Chemical group 0.000 description 1
- 125000001567 quinoxalinyl group Chemical group N1=C(C=NC2=CC=CC=C12)* 0.000 description 1
- 125000004621 quinuclidinyl group Chemical group N12C(CC(CC1)CC2)* 0.000 description 1
- ZADWXFSZEAPBJS-UHFFFAOYSA-N racemic N-methyl tryptophan Natural products C1=CC=C2N(C)C=C(CC(N)C(O)=O)C2=C1 ZADWXFSZEAPBJS-UHFFFAOYSA-N 0.000 description 1
- MUPFEKGTMRGPLJ-ZQSKZDJDSA-N raffinose Chemical compound O[C@H]1[C@H](O)[C@@H](CO)O[C@@]1(CO)O[C@@H]1[C@H](O)[C@@H](O)[C@H](O)[C@@H](CO[C@@H]2[C@@H]([C@@H](O)[C@@H](O)[C@@H](CO)O2)O)O1 MUPFEKGTMRGPLJ-ZQSKZDJDSA-N 0.000 description 1
- 229940099538 rapamune Drugs 0.000 description 1
- 230000035484 reaction time Effects 0.000 description 1
- 239000000018 receptor agonist Substances 0.000 description 1
- 229940044601 receptor agonist Drugs 0.000 description 1
- 229940044551 receptor antagonist Drugs 0.000 description 1
- 239000002464 receptor antagonist Substances 0.000 description 1
- 210000000664 rectum Anatomy 0.000 description 1
- 230000002829 reductive effect Effects 0.000 description 1
- 238000010992 reflux Methods 0.000 description 1
- 229940116176 remicade Drugs 0.000 description 1
- 239000011347 resin Substances 0.000 description 1
- 229920005989 resin Polymers 0.000 description 1
- 230000029058 respiratory gaseous exchange Effects 0.000 description 1
- 230000004044 response Effects 0.000 description 1
- 229960000885 rifabutin Drugs 0.000 description 1
- WDZCUPBHRAEYDL-GZAUEHORSA-N rifapentine Chemical compound O([C@](C1=O)(C)O/C=C/[C@@H]([C@H]([C@@H](OC(C)=O)[C@H](C)[C@H](O)[C@H](C)[C@@H](O)[C@@H](C)\C=C\C=C(C)/C(=O)NC=2C(O)=C3C(O)=C4C)C)OC)C4=C1C3=C(O)C=2\C=N\N(CC1)CCN1C1CCCC1 WDZCUPBHRAEYDL-GZAUEHORSA-N 0.000 description 1
- 229960002599 rifapentine Drugs 0.000 description 1
- 229960003040 rifaximin Drugs 0.000 description 1
- NZCRJKRKKOLAOJ-XRCRFVBUSA-N rifaximin Chemical compound OC1=C(C(O)=C2C)C3=C4N=C5C=C(C)C=CN5C4=C1NC(=O)\C(C)=C/C=C/[C@H](C)[C@H](O)[C@@H](C)[C@@H](O)[C@@H](C)[C@H](OC(C)=O)[C@H](C)[C@@H](OC)\C=C\O[C@@]1(C)OC2=C3C1=O NZCRJKRKKOLAOJ-XRCRFVBUSA-N 0.000 description 1
- 229960004641 rituximab Drugs 0.000 description 1
- KGFYHTZWPPHNLQ-AWEZNQCLSA-N rivaroxaban Chemical compound S1C(Cl)=CC=C1C(=O)NC[C@@H]1OC(=O)N(C=2C=CC(=CC=2)N2C(COCC2)=O)C1 KGFYHTZWPPHNLQ-AWEZNQCLSA-N 0.000 description 1
- 229960001148 rivaroxaban Drugs 0.000 description 1
- RZJQGNCSTQAWON-UHFFFAOYSA-N rofecoxib Chemical compound C1=CC(S(=O)(=O)C)=CC=C1C1=C(C=2C=CC=CC=2)C(=O)OC1 RZJQGNCSTQAWON-UHFFFAOYSA-N 0.000 description 1
- 229960000371 rofecoxib Drugs 0.000 description 1
- 229960005224 roxithromycin Drugs 0.000 description 1
- 239000005060 rubber Substances 0.000 description 1
- 229960000215 ruxolitinib Drugs 0.000 description 1
- HFNKQEVNSGCOJV-OAHLLOKOSA-N ruxolitinib Chemical compound C1([C@@H](CC#N)N2N=CC(=C2)C=2C=3C=CNC=3N=CN=2)CCCC1 HFNKQEVNSGCOJV-OAHLLOKOSA-N 0.000 description 1
- 229960004889 salicylic acid Drugs 0.000 description 1
- 229940063122 sandimmune Drugs 0.000 description 1
- 229950006348 sarilumab Drugs 0.000 description 1
- 125000002914 sec-butyl group Chemical group [H]C([H])([H])C([H])([H])C([H])(*)C([H])([H])[H] 0.000 description 1
- 229960004540 secukinumab Drugs 0.000 description 1
- 230000035807 sensation Effects 0.000 description 1
- 235000019615 sensations Nutrition 0.000 description 1
- 239000008159 sesame oil Substances 0.000 description 1
- 235000011803 sesame oil Nutrition 0.000 description 1
- 239000004208 shellac Substances 0.000 description 1
- ZLGIYFNHBLSMPS-ATJNOEHPSA-N shellac Chemical compound OCCCCCC(O)C(O)CCCCCCCC(O)=O.C1C23[C@H](C(O)=O)CCC2[C@](C)(CO)[C@@H]1C(C(O)=O)=C[C@@H]3O ZLGIYFNHBLSMPS-ATJNOEHPSA-N 0.000 description 1
- 235000013874 shellac Nutrition 0.000 description 1
- 229940113147 shellac Drugs 0.000 description 1
- 230000019491 signal transduction Effects 0.000 description 1
- 229960003600 silver sulfadiazine Drugs 0.000 description 1
- UEJSSZHHYBHCEL-UHFFFAOYSA-N silver(1+) sulfadiazinate Chemical compound [Ag+].C1=CC(N)=CC=C1S(=O)(=O)[N-]C1=NC=CC=N1 UEJSSZHHYBHCEL-UHFFFAOYSA-N 0.000 description 1
- 229940115586 simulect Drugs 0.000 description 1
- 229950006094 sirukumab Drugs 0.000 description 1
- 210000003491 skin Anatomy 0.000 description 1
- 239000001632 sodium acetate Substances 0.000 description 1
- 235000017281 sodium acetate Nutrition 0.000 description 1
- 235000019812 sodium carboxymethyl cellulose Nutrition 0.000 description 1
- 229920001027 sodium carboxymethylcellulose Polymers 0.000 description 1
- 235000011083 sodium citrates Nutrition 0.000 description 1
- HRZFUMHJMZEROT-UHFFFAOYSA-L sodium disulfite Chemical compound [Na+].[Na+].[O-]S(=O)S([O-])(=O)=O HRZFUMHJMZEROT-UHFFFAOYSA-L 0.000 description 1
- 235000019333 sodium laurylsulphate Nutrition 0.000 description 1
- 229940001584 sodium metabisulfite Drugs 0.000 description 1
- 235000010262 sodium metabisulphite Nutrition 0.000 description 1
- 159000000000 sodium salts Chemical class 0.000 description 1
- 238000005063 solubilization Methods 0.000 description 1
- 230000007928 solubilization Effects 0.000 description 1
- 229960003787 sorafenib Drugs 0.000 description 1
- 239000002594 sorbent Substances 0.000 description 1
- 239000004334 sorbic acid Substances 0.000 description 1
- 235000010199 sorbic acid Nutrition 0.000 description 1
- 229940075582 sorbic acid Drugs 0.000 description 1
- 229940035044 sorbitan monolaurate Drugs 0.000 description 1
- 229960000268 spectinomycin Drugs 0.000 description 1
- UNFWWIHTNXNPBV-WXKVUWSESA-N spectinomycin Chemical compound O([C@@H]1[C@@H](NC)[C@@H](O)[C@H]([C@@H]([C@H]1O1)O)NC)[C@]2(O)[C@H]1O[C@H](C)CC2=O UNFWWIHTNXNPBV-WXKVUWSESA-N 0.000 description 1
- 201000006923 sphenoid sinusitis Diseases 0.000 description 1
- 210000000952 spleen Anatomy 0.000 description 1
- 229940031439 squalene Drugs 0.000 description 1
- TUHBEKDERLKLEC-UHFFFAOYSA-N squalene Natural products CC(=CCCC(=CCCC(=CCCC=C(/C)CCC=C(/C)CC=C(C)C)C)C)C TUHBEKDERLKLEC-UHFFFAOYSA-N 0.000 description 1
- 206010041823 squamous cell carcinoma Diseases 0.000 description 1
- 239000003381 stabilizer Substances 0.000 description 1
- 230000000087 stabilizing effect Effects 0.000 description 1
- 230000003637 steroidlike Effects 0.000 description 1
- 230000004936 stimulating effect Effects 0.000 description 1
- 210000002784 stomach Anatomy 0.000 description 1
- 238000003860 storage Methods 0.000 description 1
- 229960005322 streptomycin Drugs 0.000 description 1
- 238000007920 subcutaneous administration Methods 0.000 description 1
- 239000007929 subcutaneous injection Substances 0.000 description 1
- 238000010254 subcutaneous injection Methods 0.000 description 1
- 125000005415 substituted alkoxy group Chemical group 0.000 description 1
- 125000000547 substituted alkyl group Chemical group 0.000 description 1
- 150000008163 sugars Chemical class 0.000 description 1
- 229960002673 sulfacetamide Drugs 0.000 description 1
- SKIVFJLNDNKQPD-UHFFFAOYSA-N sulfacetamide Chemical compound CC(=O)NS(=O)(=O)C1=CC=C(N)C=C1 SKIVFJLNDNKQPD-UHFFFAOYSA-N 0.000 description 1
- 229960000654 sulfafurazole Drugs 0.000 description 1
- 229960005158 sulfamethizole Drugs 0.000 description 1
- VACCAVUAMIDAGB-UHFFFAOYSA-N sulfamethizole Chemical compound S1C(C)=NN=C1NS(=O)(=O)C1=CC=C(N)C=C1 VACCAVUAMIDAGB-UHFFFAOYSA-N 0.000 description 1
- 229960005404 sulfamethoxazole Drugs 0.000 description 1
- 125000004434 sulfur atom Chemical group 0.000 description 1
- JLKIGFTWXXRPMT-UHFFFAOYSA-N sulphamethoxazole Chemical compound O1C(C)=CC(NS(=O)(=O)C=2C=CC(N)=CC=2)=N1 JLKIGFTWXXRPMT-UHFFFAOYSA-N 0.000 description 1
- 239000000829 suppository Substances 0.000 description 1
- 239000002511 suppository base Substances 0.000 description 1
- 239000004094 surface-active agent Substances 0.000 description 1
- 239000000375 suspending agent Substances 0.000 description 1
- 230000008961 swelling Effects 0.000 description 1
- 239000006188 syrup Substances 0.000 description 1
- 235000020357 syrup Nutrition 0.000 description 1
- 229960001603 tamoxifen Drugs 0.000 description 1
- 239000011975 tartaric acid Substances 0.000 description 1
- 235000002906 tartaric acid Nutrition 0.000 description 1
- 229940095064 tartrate Drugs 0.000 description 1
- UJMBCXLDXJUMFB-GLCFPVLVSA-K tartrazine Chemical compound [Na+].[Na+].[Na+].[O-]C(=O)C1=NN(C=2C=CC(=CC=2)S([O-])(=O)=O)C(=O)C1\N=N\C1=CC=C(S([O-])(=O)=O)C=C1 UJMBCXLDXJUMFB-GLCFPVLVSA-K 0.000 description 1
- 239000004149 tartrazine Substances 0.000 description 1
- 229960000943 tartrazine Drugs 0.000 description 1
- 235000012756 tartrazine Nutrition 0.000 description 1
- 238000003419 tautomerization reaction Methods 0.000 description 1
- RCINICONZNJXQF-MZXODVADSA-N taxol Chemical compound O([C@@H]1[C@@]2(C[C@@H](C(C)=C(C2(C)C)[C@H](C([C@]2(C)[C@@H](O)C[C@H]3OC[C@]3([C@H]21)OC(C)=O)=O)OC(=O)C)OC(=O)[C@H](O)[C@@H](NC(=O)C=1C=CC=CC=1)C=1C=CC=CC=1)O)C(=O)C1=CC=CC=C1 RCINICONZNJXQF-MZXODVADSA-N 0.000 description 1
- 229960003250 telithromycin Drugs 0.000 description 1
- LJVAJPDWBABPEJ-PNUFFHFMSA-N telithromycin Chemical compound O([C@@H]1[C@@H](C)C(=O)[C@@H](C)C(=O)O[C@@H]([C@]2(OC(=O)N(CCCCN3C=C(N=C3)C=3C=NC=CC=3)[C@@H]2[C@@H](C)C(=O)[C@H](C)C[C@@]1(C)OC)C)CC)[C@@H]1O[C@H](C)C[C@H](N(C)C)[C@H]1O LJVAJPDWBABPEJ-PNUFFHFMSA-N 0.000 description 1
- 229960001114 temocillin Drugs 0.000 description 1
- BVCKFLJARNKCSS-DWPRYXJFSA-N temocillin Chemical compound N([C@]1(OC)C(N2[C@H](C(C)(C)S[C@@H]21)C(O)=O)=O)C(=O)C(C(O)=O)C=1C=CSC=1 BVCKFLJARNKCSS-DWPRYXJFSA-N 0.000 description 1
- 125000000999 tert-butyl group Chemical group [H]C([H])([H])C(*)(C([H])([H])[H])C([H])([H])[H] 0.000 description 1
- 210000001550 testis Anatomy 0.000 description 1
- 125000005207 tetraalkylammonium group Chemical group 0.000 description 1
- 229960002180 tetracycline Drugs 0.000 description 1
- 229930101283 tetracycline Natural products 0.000 description 1
- 235000019364 tetracycline Nutrition 0.000 description 1
- 125000004853 tetrahydropyridinyl group Chemical group N1(CCCC=C1)* 0.000 description 1
- 229960004559 theobromine Drugs 0.000 description 1
- 231100001274 therapeutic index Toxicity 0.000 description 1
- 125000001113 thiadiazolyl group Chemical group 0.000 description 1
- 229960002178 thiamazole Drugs 0.000 description 1
- 125000006090 thiamorpholinyl sulfone group Chemical group 0.000 description 1
- 229960003053 thiamphenicol Drugs 0.000 description 1
- OTVAEFIXJLOWRX-NXEZZACHSA-N thiamphenicol Chemical compound CS(=O)(=O)C1=CC=C([C@@H](O)[C@@H](CO)NC(=O)C(Cl)Cl)C=C1 OTVAEFIXJLOWRX-NXEZZACHSA-N 0.000 description 1
- 125000001984 thiazolidinyl group Chemical group 0.000 description 1
- 125000002769 thiazolinyl group Chemical group 0.000 description 1
- 125000000335 thiazolyl group Chemical group 0.000 description 1
- 229930192474 thiophene Natural products 0.000 description 1
- 210000001685 thyroid gland Anatomy 0.000 description 1
- 208000030901 thyroid gland follicular carcinoma Diseases 0.000 description 1
- 229960004659 ticarcillin Drugs 0.000 description 1
- OHKOGUYZJXTSFX-KZFFXBSXSA-N ticarcillin Chemical compound C=1([C@@H](C(O)=O)C(=O)N[C@H]2[C@H]3SC([C@@H](N3C2=O)C(O)=O)(C)C)C=CSC=1 OHKOGUYZJXTSFX-KZFFXBSXSA-N 0.000 description 1
- 229960004089 tigecycline Drugs 0.000 description 1
- HPGGPRDJHPYFRM-UHFFFAOYSA-J tin(iv) chloride Chemical compound Cl[Sn](Cl)(Cl)Cl HPGGPRDJHPYFRM-UHFFFAOYSA-J 0.000 description 1
- MNRILEROXIRVNJ-UHFFFAOYSA-N tioguanine Chemical compound N1C(N)=NC(=S)C2=NC=N[C]21 MNRILEROXIRVNJ-UHFFFAOYSA-N 0.000 description 1
- 229960003087 tioguanine Drugs 0.000 description 1
- 229960000707 tobramycin Drugs 0.000 description 1
- NLVFBUXFDBBNBW-PBSUHMDJSA-S tobramycin(5+) Chemical compound [NH3+][C@@H]1C[C@H](O)[C@@H](C[NH3+])O[C@@H]1O[C@H]1[C@H](O)[C@@H](O[C@@H]2[C@@H]([C@@H]([NH3+])[C@H](O)[C@@H](CO)O2)O)[C@H]([NH3+])C[C@@H]1[NH3+] NLVFBUXFDBBNBW-PBSUHMDJSA-S 0.000 description 1
- 229960003989 tocilizumab Drugs 0.000 description 1
- 229960001350 tofacitinib Drugs 0.000 description 1
- UJLAWZDWDVHWOW-YPMHNXCESA-N tofacitinib Chemical compound C[C@@H]1CCN(C(=O)CC#N)C[C@@H]1N(C)C1=NC=NC2=C1C=CN2 UJLAWZDWDVHWOW-YPMHNXCESA-N 0.000 description 1
- 229960001017 tolmetin Drugs 0.000 description 1
- UPSPUYADGBWSHF-UHFFFAOYSA-N tolmetin Chemical compound C1=CC(C)=CC=C1C(=O)C1=CC=C(CC(O)=O)N1C UPSPUYADGBWSHF-UHFFFAOYSA-N 0.000 description 1
- 238000011200 topical administration Methods 0.000 description 1
- 230000000699 topical effect Effects 0.000 description 1
- 229950001802 toralizumab Drugs 0.000 description 1
- 231100000331 toxic Toxicity 0.000 description 1
- 230000002588 toxic effect Effects 0.000 description 1
- 229960004380 tramadol Drugs 0.000 description 1
- TVYLLZQTGLZFBW-GOEBONIOSA-N tramadol Natural products COC1=CC=CC([C@@]2(O)[C@@H](CCCC2)CN(C)C)=C1 TVYLLZQTGLZFBW-GOEBONIOSA-N 0.000 description 1
- 229960004066 trametinib Drugs 0.000 description 1
- LIRYPHYGHXZJBZ-UHFFFAOYSA-N trametinib Chemical compound CC(=O)NC1=CC=CC(N2C(N(C3CC3)C(=O)C3=C(NC=4C(=CC(I)=CC=4)F)N(C)C(=O)C(C)=C32)=O)=C1 LIRYPHYGHXZJBZ-UHFFFAOYSA-N 0.000 description 1
- LLPOLZWFYMWNKH-UHFFFAOYSA-N trans-dihydrocodeinone Natural products C1C(N(CCC234)C)C2CCC(=O)C3OC2=C4C1=CC=C2OC LLPOLZWFYMWNKH-UHFFFAOYSA-N 0.000 description 1
- 230000037317 transdermal delivery Effects 0.000 description 1
- 229940074410 trehalose Drugs 0.000 description 1
- 150000003852 triazoles Chemical class 0.000 description 1
- 125000001425 triazolyl group Chemical group 0.000 description 1
- CYRMSUTZVYGINF-UHFFFAOYSA-N trichlorofluoromethane Chemical compound FC(Cl)(Cl)Cl CYRMSUTZVYGINF-UHFFFAOYSA-N 0.000 description 1
- 229940029284 trichlorofluoromethane Drugs 0.000 description 1
- IEDVJHCEMCRBQM-UHFFFAOYSA-N trimethoprim Chemical compound COC1=C(OC)C(OC)=CC(CC=2C(=NC(N)=NC=2)N)=C1 IEDVJHCEMCRBQM-UHFFFAOYSA-N 0.000 description 1
- 229960001082 trimethoprim Drugs 0.000 description 1
- YFTHZRPMJXBUME-UHFFFAOYSA-N tripropylamine Chemical compound CCCN(CCC)CCC YFTHZRPMJXBUME-UHFFFAOYSA-N 0.000 description 1
- 229960005041 troleandomycin Drugs 0.000 description 1
- LQCLVBQBTUVCEQ-QTFUVMRISA-N troleandomycin Chemical compound O1[C@@H](C)[C@H](OC(C)=O)[C@@H](OC)C[C@@H]1O[C@@H]1[C@@H](C)C(=O)O[C@H](C)[C@H](C)[C@H](OC(C)=O)[C@@H](C)C(=O)[C@@]2(OC2)C[C@H](C)[C@H](O[C@H]2[C@@H]([C@H](C[C@@H](C)O2)N(C)C)OC(C)=O)[C@H]1C LQCLVBQBTUVCEQ-QTFUVMRISA-N 0.000 description 1
- 208000001072 type 2 diabetes mellitus Diseases 0.000 description 1
- 229940121358 tyrosine kinase inhibitor Drugs 0.000 description 1
- 239000005483 tyrosine kinase inhibitor Substances 0.000 description 1
- 208000010576 undifferentiated carcinoma Diseases 0.000 description 1
- 150000003672 ureas Chemical class 0.000 description 1
- 210000003932 urinary bladder Anatomy 0.000 description 1
- 210000001215 vagina Anatomy 0.000 description 1
- UHTHHESEBZOYNR-UHFFFAOYSA-N vandetanib Chemical compound COC1=CC(C(/N=CN2)=N/C=3C(=CC(Br)=CC=3)F)=C2C=C1OCC1CCN(C)CC1 UHTHHESEBZOYNR-UHFFFAOYSA-N 0.000 description 1
- 208000001319 vasomotor rhinitis Diseases 0.000 description 1
- 235000019871 vegetable fat Nutrition 0.000 description 1
- 239000008158 vegetable oil Substances 0.000 description 1
- 229960003862 vemurafenib Drugs 0.000 description 1
- GPXBXXGIAQBQNI-UHFFFAOYSA-N vemurafenib Chemical compound CCCS(=O)(=O)NC1=CC=C(F)C(C(=O)C=2C3=CC(=CN=C3NC=2)C=2C=CC(Cl)=CC=2)=C1F GPXBXXGIAQBQNI-UHFFFAOYSA-N 0.000 description 1
- LQBVNQSMGBZMKD-UHFFFAOYSA-N venetoclax Chemical compound C=1C=C(Cl)C=CC=1C=1CC(C)(C)CCC=1CN(CC1)CCN1C(C=C1OC=2C=C3C=CNC3=NC=2)=CC=C1C(=O)NS(=O)(=O)C(C=C1[N+]([O-])=O)=CC=C1NCC1CCOCC1 LQBVNQSMGBZMKD-UHFFFAOYSA-N 0.000 description 1
- 229960001183 venetoclax Drugs 0.000 description 1
- PNVNVHUZROJLTJ-UHFFFAOYSA-N venlafaxine Chemical compound C1=CC(OC)=CC=C1C(CN(C)C)C1(O)CCCCC1 PNVNVHUZROJLTJ-UHFFFAOYSA-N 0.000 description 1
- 229960004688 venlafaxine Drugs 0.000 description 1
- 229960003048 vinblastine Drugs 0.000 description 1
- JXLYSJRDGCGARV-XQKSVPLYSA-N vincaleukoblastine Chemical compound C([C@@H](C[C@]1(C(=O)OC)C=2C(=CC3=C([C@]45[C@H]([C@@]([C@H](OC(C)=O)[C@]6(CC)C=CCN([C@H]56)CC4)(O)C(=O)OC)N3C)C=2)OC)C[C@@](C2)(O)CC)N2CCC2=C1NC1=CC=CC=C21 JXLYSJRDGCGARV-XQKSVPLYSA-N 0.000 description 1
- OGWKCGZFUXNPDA-XQKSVPLYSA-N vincristine Chemical compound C([N@]1C[C@@H](C[C@]2(C(=O)OC)C=3C(=CC4=C([C@]56[C@H]([C@@]([C@H](OC(C)=O)[C@]7(CC)C=CCN([C@H]67)CC5)(O)C(=O)OC)N4C=O)C=3)OC)C[C@@](C1)(O)CC)CC1=C2NC2=CC=CC=C12 OGWKCGZFUXNPDA-XQKSVPLYSA-N 0.000 description 1
- 229960004528 vincristine Drugs 0.000 description 1
- OGWKCGZFUXNPDA-UHFFFAOYSA-N vincristine Natural products C1C(CC)(O)CC(CC2(C(=O)OC)C=3C(=CC4=C(C56C(C(C(OC(C)=O)C7(CC)C=CCN(C67)CC5)(O)C(=O)OC)N4C=O)C=3)OC)CN1CCC1=C2NC2=CC=CC=C12 OGWKCGZFUXNPDA-UHFFFAOYSA-N 0.000 description 1
- 229960005080 warfarin Drugs 0.000 description 1
- PJVWKTKQMONHTI-UHFFFAOYSA-N warfarin Chemical compound OC=1C2=CC=CC=C2OC(=O)C=1C(CC(=O)C)C1=CC=CC=C1 PJVWKTKQMONHTI-UHFFFAOYSA-N 0.000 description 1
- 238000009736 wetting Methods 0.000 description 1
- 235000010447 xylitol Nutrition 0.000 description 1
- 239000000811 xylitol Substances 0.000 description 1
- HEBKCHPVOIAQTA-SCDXWVJYSA-N xylitol Chemical compound OC[C@H](O)[C@@H](O)[C@H](O)CO HEBKCHPVOIAQTA-SCDXWVJYSA-N 0.000 description 1
- 229960002675 xylitol Drugs 0.000 description 1
- 229940055760 yervoy Drugs 0.000 description 1
- 229950009002 zanolimumab Drugs 0.000 description 1
- 239000005019 zein Substances 0.000 description 1
- 229940093612 zein Drugs 0.000 description 1
- 239000011592 zinc chloride Substances 0.000 description 1
- 235000005074 zinc chloride Nutrition 0.000 description 1
Classifications
-
- C—CHEMISTRY; METALLURGY
- C07—ORGANIC CHEMISTRY
- C07D—HETEROCYCLIC COMPOUNDS
- C07D413/00—Heterocyclic compounds containing two or more hetero rings, at least one ring having nitrogen and oxygen atoms as the only ring hetero atoms
- C07D413/14—Heterocyclic compounds containing two or more hetero rings, at least one ring having nitrogen and oxygen atoms as the only ring hetero atoms containing three or more hetero rings
-
- A—HUMAN NECESSITIES
- A61—MEDICAL OR VETERINARY SCIENCE; HYGIENE
- A61K—PREPARATIONS FOR MEDICAL, DENTAL OR TOILETRY PURPOSES
- A61K31/00—Medicinal preparations containing organic active ingredients
- A61K31/33—Heterocyclic compounds
- A61K31/395—Heterocyclic compounds having nitrogen as a ring hetero atom, e.g. guanethidine or rifamycins
- A61K31/435—Heterocyclic compounds having nitrogen as a ring hetero atom, e.g. guanethidine or rifamycins having six-membered rings with one nitrogen as the only ring hetero atom
- A61K31/44—Non condensed pyridines; Hydrogenated derivatives thereof
- A61K31/445—Non condensed piperidines, e.g. piperocaine
- A61K31/4523—Non condensed piperidines, e.g. piperocaine containing further heterocyclic ring systems
- A61K31/454—Non condensed piperidines, e.g. piperocaine containing further heterocyclic ring systems containing a five-membered ring with nitrogen as a ring hetero atom, e.g. pimozide, domperidone
-
- A—HUMAN NECESSITIES
- A61—MEDICAL OR VETERINARY SCIENCE; HYGIENE
- A61K—PREPARATIONS FOR MEDICAL, DENTAL OR TOILETRY PURPOSES
- A61K31/00—Medicinal preparations containing organic active ingredients
- A61K31/33—Heterocyclic compounds
- A61K31/395—Heterocyclic compounds having nitrogen as a ring hetero atom, e.g. guanethidine or rifamycins
- A61K31/435—Heterocyclic compounds having nitrogen as a ring hetero atom, e.g. guanethidine or rifamycins having six-membered rings with one nitrogen as the only ring hetero atom
- A61K31/44—Non condensed pyridines; Hydrogenated derivatives thereof
- A61K31/445—Non condensed piperidines, e.g. piperocaine
- A61K31/4523—Non condensed piperidines, e.g. piperocaine containing further heterocyclic ring systems
- A61K31/4545—Non condensed piperidines, e.g. piperocaine containing further heterocyclic ring systems containing a six-membered ring with nitrogen as a ring hetero atom, e.g. pipamperone, anabasine
-
- A—HUMAN NECESSITIES
- A61—MEDICAL OR VETERINARY SCIENCE; HYGIENE
- A61K—PREPARATIONS FOR MEDICAL, DENTAL OR TOILETRY PURPOSES
- A61K31/00—Medicinal preparations containing organic active ingredients
- A61K31/33—Heterocyclic compounds
- A61K31/395—Heterocyclic compounds having nitrogen as a ring hetero atom, e.g. guanethidine or rifamycins
- A61K31/495—Heterocyclic compounds having nitrogen as a ring hetero atom, e.g. guanethidine or rifamycins having six-membered rings with two or more nitrogen atoms as the only ring heteroatoms, e.g. piperazine or tetrazines
- A61K31/496—Non-condensed piperazines containing further heterocyclic rings, e.g. rifampin, thiothixene or sparfloxacin
-
- A—HUMAN NECESSITIES
- A61—MEDICAL OR VETERINARY SCIENCE; HYGIENE
- A61K—PREPARATIONS FOR MEDICAL, DENTAL OR TOILETRY PURPOSES
- A61K31/00—Medicinal preparations containing organic active ingredients
- A61K31/33—Heterocyclic compounds
- A61K31/395—Heterocyclic compounds having nitrogen as a ring hetero atom, e.g. guanethidine or rifamycins
- A61K31/535—Heterocyclic compounds having nitrogen as a ring hetero atom, e.g. guanethidine or rifamycins having six-membered rings with at least one nitrogen and one oxygen as the ring hetero atoms, e.g. 1,2-oxazines
- A61K31/5375—1,4-Oxazines, e.g. morpholine
- A61K31/5377—1,4-Oxazines, e.g. morpholine not condensed and containing further heterocyclic rings, e.g. timolol
-
- A—HUMAN NECESSITIES
- A61—MEDICAL OR VETERINARY SCIENCE; HYGIENE
- A61K—PREPARATIONS FOR MEDICAL, DENTAL OR TOILETRY PURPOSES
- A61K45/00—Medicinal preparations containing active ingredients not provided for in groups A61K31/00 - A61K41/00
- A61K45/06—Mixtures of active ingredients without chemical characterisation, e.g. antiphlogistics and cardiaca
-
- A—HUMAN NECESSITIES
- A61—MEDICAL OR VETERINARY SCIENCE; HYGIENE
- A61P—SPECIFIC THERAPEUTIC ACTIVITY OF CHEMICAL COMPOUNDS OR MEDICINAL PREPARATIONS
- A61P1/00—Drugs for disorders of the alimentary tract or the digestive system
- A61P1/02—Stomatological preparations, e.g. drugs for caries, aphtae, periodontitis
-
- A—HUMAN NECESSITIES
- A61—MEDICAL OR VETERINARY SCIENCE; HYGIENE
- A61P—SPECIFIC THERAPEUTIC ACTIVITY OF CHEMICAL COMPOUNDS OR MEDICINAL PREPARATIONS
- A61P1/00—Drugs for disorders of the alimentary tract or the digestive system
- A61P1/04—Drugs for disorders of the alimentary tract or the digestive system for ulcers, gastritis or reflux esophagitis, e.g. antacids, inhibitors of acid secretion, mucosal protectants
-
- A—HUMAN NECESSITIES
- A61—MEDICAL OR VETERINARY SCIENCE; HYGIENE
- A61P—SPECIFIC THERAPEUTIC ACTIVITY OF CHEMICAL COMPOUNDS OR MEDICINAL PREPARATIONS
- A61P1/00—Drugs for disorders of the alimentary tract or the digestive system
- A61P1/16—Drugs for disorders of the alimentary tract or the digestive system for liver or gallbladder disorders, e.g. hepatoprotective agents, cholagogues, litholytics
-
- A—HUMAN NECESSITIES
- A61—MEDICAL OR VETERINARY SCIENCE; HYGIENE
- A61P—SPECIFIC THERAPEUTIC ACTIVITY OF CHEMICAL COMPOUNDS OR MEDICINAL PREPARATIONS
- A61P1/00—Drugs for disorders of the alimentary tract or the digestive system
- A61P1/18—Drugs for disorders of the alimentary tract or the digestive system for pancreatic disorders, e.g. pancreatic enzymes
-
- A—HUMAN NECESSITIES
- A61—MEDICAL OR VETERINARY SCIENCE; HYGIENE
- A61P—SPECIFIC THERAPEUTIC ACTIVITY OF CHEMICAL COMPOUNDS OR MEDICINAL PREPARATIONS
- A61P11/00—Drugs for disorders of the respiratory system
-
- A—HUMAN NECESSITIES
- A61—MEDICAL OR VETERINARY SCIENCE; HYGIENE
- A61P—SPECIFIC THERAPEUTIC ACTIVITY OF CHEMICAL COMPOUNDS OR MEDICINAL PREPARATIONS
- A61P11/00—Drugs for disorders of the respiratory system
- A61P11/06—Antiasthmatics
-
- A—HUMAN NECESSITIES
- A61—MEDICAL OR VETERINARY SCIENCE; HYGIENE
- A61P—SPECIFIC THERAPEUTIC ACTIVITY OF CHEMICAL COMPOUNDS OR MEDICINAL PREPARATIONS
- A61P13/00—Drugs for disorders of the urinary system
- A61P13/12—Drugs for disorders of the urinary system of the kidneys
-
- A—HUMAN NECESSITIES
- A61—MEDICAL OR VETERINARY SCIENCE; HYGIENE
- A61P—SPECIFIC THERAPEUTIC ACTIVITY OF CHEMICAL COMPOUNDS OR MEDICINAL PREPARATIONS
- A61P15/00—Drugs for genital or sexual disorders; Contraceptives
- A61P15/08—Drugs for genital or sexual disorders; Contraceptives for gonadal disorders or for enhancing fertility, e.g. inducers of ovulation or of spermatogenesis
-
- A—HUMAN NECESSITIES
- A61—MEDICAL OR VETERINARY SCIENCE; HYGIENE
- A61P—SPECIFIC THERAPEUTIC ACTIVITY OF CHEMICAL COMPOUNDS OR MEDICINAL PREPARATIONS
- A61P17/00—Drugs for dermatological disorders
-
- A—HUMAN NECESSITIES
- A61—MEDICAL OR VETERINARY SCIENCE; HYGIENE
- A61P—SPECIFIC THERAPEUTIC ACTIVITY OF CHEMICAL COMPOUNDS OR MEDICINAL PREPARATIONS
- A61P17/00—Drugs for dermatological disorders
- A61P17/06—Antipsoriatics
-
- A—HUMAN NECESSITIES
- A61—MEDICAL OR VETERINARY SCIENCE; HYGIENE
- A61P—SPECIFIC THERAPEUTIC ACTIVITY OF CHEMICAL COMPOUNDS OR MEDICINAL PREPARATIONS
- A61P17/00—Drugs for dermatological disorders
- A61P17/14—Drugs for dermatological disorders for baldness or alopecia
-
- A—HUMAN NECESSITIES
- A61—MEDICAL OR VETERINARY SCIENCE; HYGIENE
- A61P—SPECIFIC THERAPEUTIC ACTIVITY OF CHEMICAL COMPOUNDS OR MEDICINAL PREPARATIONS
- A61P19/00—Drugs for skeletal disorders
- A61P19/02—Drugs for skeletal disorders for joint disorders, e.g. arthritis, arthrosis
-
- A—HUMAN NECESSITIES
- A61—MEDICAL OR VETERINARY SCIENCE; HYGIENE
- A61P—SPECIFIC THERAPEUTIC ACTIVITY OF CHEMICAL COMPOUNDS OR MEDICINAL PREPARATIONS
- A61P21/00—Drugs for disorders of the muscular or neuromuscular system
-
- A—HUMAN NECESSITIES
- A61—MEDICAL OR VETERINARY SCIENCE; HYGIENE
- A61P—SPECIFIC THERAPEUTIC ACTIVITY OF CHEMICAL COMPOUNDS OR MEDICINAL PREPARATIONS
- A61P25/00—Drugs for disorders of the nervous system
-
- A—HUMAN NECESSITIES
- A61—MEDICAL OR VETERINARY SCIENCE; HYGIENE
- A61P—SPECIFIC THERAPEUTIC ACTIVITY OF CHEMICAL COMPOUNDS OR MEDICINAL PREPARATIONS
- A61P25/00—Drugs for disorders of the nervous system
- A61P25/06—Antimigraine agents
-
- A—HUMAN NECESSITIES
- A61—MEDICAL OR VETERINARY SCIENCE; HYGIENE
- A61P—SPECIFIC THERAPEUTIC ACTIVITY OF CHEMICAL COMPOUNDS OR MEDICINAL PREPARATIONS
- A61P25/00—Drugs for disorders of the nervous system
- A61P25/28—Drugs for disorders of the nervous system for treating neurodegenerative disorders of the central nervous system, e.g. nootropic agents, cognition enhancers, drugs for treating Alzheimer's disease or other forms of dementia
-
- A—HUMAN NECESSITIES
- A61—MEDICAL OR VETERINARY SCIENCE; HYGIENE
- A61P—SPECIFIC THERAPEUTIC ACTIVITY OF CHEMICAL COMPOUNDS OR MEDICINAL PREPARATIONS
- A61P27/00—Drugs for disorders of the senses
- A61P27/02—Ophthalmic agents
-
- A—HUMAN NECESSITIES
- A61—MEDICAL OR VETERINARY SCIENCE; HYGIENE
- A61P—SPECIFIC THERAPEUTIC ACTIVITY OF CHEMICAL COMPOUNDS OR MEDICINAL PREPARATIONS
- A61P29/00—Non-central analgesic, antipyretic or antiinflammatory agents, e.g. antirheumatic agents; Non-steroidal antiinflammatory drugs [NSAID]
-
- A—HUMAN NECESSITIES
- A61—MEDICAL OR VETERINARY SCIENCE; HYGIENE
- A61P—SPECIFIC THERAPEUTIC ACTIVITY OF CHEMICAL COMPOUNDS OR MEDICINAL PREPARATIONS
- A61P3/00—Drugs for disorders of the metabolism
- A61P3/08—Drugs for disorders of the metabolism for glucose homeostasis
- A61P3/10—Drugs for disorders of the metabolism for glucose homeostasis for hyperglycaemia, e.g. antidiabetics
-
- A—HUMAN NECESSITIES
- A61—MEDICAL OR VETERINARY SCIENCE; HYGIENE
- A61P—SPECIFIC THERAPEUTIC ACTIVITY OF CHEMICAL COMPOUNDS OR MEDICINAL PREPARATIONS
- A61P31/00—Antiinfectives, i.e. antibiotics, antiseptics, chemotherapeutics
- A61P31/04—Antibacterial agents
-
- A—HUMAN NECESSITIES
- A61—MEDICAL OR VETERINARY SCIENCE; HYGIENE
- A61P—SPECIFIC THERAPEUTIC ACTIVITY OF CHEMICAL COMPOUNDS OR MEDICINAL PREPARATIONS
- A61P31/00—Antiinfectives, i.e. antibiotics, antiseptics, chemotherapeutics
- A61P31/12—Antivirals
-
- A—HUMAN NECESSITIES
- A61—MEDICAL OR VETERINARY SCIENCE; HYGIENE
- A61P—SPECIFIC THERAPEUTIC ACTIVITY OF CHEMICAL COMPOUNDS OR MEDICINAL PREPARATIONS
- A61P35/00—Antineoplastic agents
-
- A—HUMAN NECESSITIES
- A61—MEDICAL OR VETERINARY SCIENCE; HYGIENE
- A61P—SPECIFIC THERAPEUTIC ACTIVITY OF CHEMICAL COMPOUNDS OR MEDICINAL PREPARATIONS
- A61P35/00—Antineoplastic agents
- A61P35/02—Antineoplastic agents specific for leukemia
-
- A—HUMAN NECESSITIES
- A61—MEDICAL OR VETERINARY SCIENCE; HYGIENE
- A61P—SPECIFIC THERAPEUTIC ACTIVITY OF CHEMICAL COMPOUNDS OR MEDICINAL PREPARATIONS
- A61P35/00—Antineoplastic agents
- A61P35/04—Antineoplastic agents specific for metastasis
-
- A—HUMAN NECESSITIES
- A61—MEDICAL OR VETERINARY SCIENCE; HYGIENE
- A61P—SPECIFIC THERAPEUTIC ACTIVITY OF CHEMICAL COMPOUNDS OR MEDICINAL PREPARATIONS
- A61P37/00—Drugs for immunological or allergic disorders
- A61P37/02—Immunomodulators
-
- A—HUMAN NECESSITIES
- A61—MEDICAL OR VETERINARY SCIENCE; HYGIENE
- A61P—SPECIFIC THERAPEUTIC ACTIVITY OF CHEMICAL COMPOUNDS OR MEDICINAL PREPARATIONS
- A61P37/00—Drugs for immunological or allergic disorders
- A61P37/02—Immunomodulators
- A61P37/06—Immunosuppressants, e.g. drugs for graft rejection
-
- A—HUMAN NECESSITIES
- A61—MEDICAL OR VETERINARY SCIENCE; HYGIENE
- A61P—SPECIFIC THERAPEUTIC ACTIVITY OF CHEMICAL COMPOUNDS OR MEDICINAL PREPARATIONS
- A61P37/00—Drugs for immunological or allergic disorders
- A61P37/08—Antiallergic agents
-
- A—HUMAN NECESSITIES
- A61—MEDICAL OR VETERINARY SCIENCE; HYGIENE
- A61P—SPECIFIC THERAPEUTIC ACTIVITY OF CHEMICAL COMPOUNDS OR MEDICINAL PREPARATIONS
- A61P43/00—Drugs for specific purposes, not provided for in groups A61P1/00-A61P41/00
-
- A—HUMAN NECESSITIES
- A61—MEDICAL OR VETERINARY SCIENCE; HYGIENE
- A61P—SPECIFIC THERAPEUTIC ACTIVITY OF CHEMICAL COMPOUNDS OR MEDICINAL PREPARATIONS
- A61P5/00—Drugs for disorders of the endocrine system
- A61P5/14—Drugs for disorders of the endocrine system of the thyroid hormones, e.g. T3, T4
-
- A—HUMAN NECESSITIES
- A61—MEDICAL OR VETERINARY SCIENCE; HYGIENE
- A61P—SPECIFIC THERAPEUTIC ACTIVITY OF CHEMICAL COMPOUNDS OR MEDICINAL PREPARATIONS
- A61P7/00—Drugs for disorders of the blood or the extracellular fluid
- A61P7/02—Antithrombotic agents; Anticoagulants; Platelet aggregation inhibitors
-
- A—HUMAN NECESSITIES
- A61—MEDICAL OR VETERINARY SCIENCE; HYGIENE
- A61P—SPECIFIC THERAPEUTIC ACTIVITY OF CHEMICAL COMPOUNDS OR MEDICINAL PREPARATIONS
- A61P7/00—Drugs for disorders of the blood or the extracellular fluid
- A61P7/06—Antianaemics
-
- A—HUMAN NECESSITIES
- A61—MEDICAL OR VETERINARY SCIENCE; HYGIENE
- A61P—SPECIFIC THERAPEUTIC ACTIVITY OF CHEMICAL COMPOUNDS OR MEDICINAL PREPARATIONS
- A61P9/00—Drugs for disorders of the cardiovascular system
-
- A—HUMAN NECESSITIES
- A61—MEDICAL OR VETERINARY SCIENCE; HYGIENE
- A61P—SPECIFIC THERAPEUTIC ACTIVITY OF CHEMICAL COMPOUNDS OR MEDICINAL PREPARATIONS
- A61P9/00—Drugs for disorders of the cardiovascular system
- A61P9/10—Drugs for disorders of the cardiovascular system for treating ischaemic or atherosclerotic diseases, e.g. antianginal drugs, coronary vasodilators, drugs for myocardial infarction, retinopathy, cerebrovascula insufficiency, renal arteriosclerosis
-
- C—CHEMISTRY; METALLURGY
- C07—ORGANIC CHEMISTRY
- C07D—HETEROCYCLIC COMPOUNDS
- C07D417/00—Heterocyclic compounds containing two or more hetero rings, at least one ring having nitrogen and sulfur atoms as the only ring hetero atoms, not provided for by group C07D415/00
- C07D417/14—Heterocyclic compounds containing two or more hetero rings, at least one ring having nitrogen and sulfur atoms as the only ring hetero atoms, not provided for by group C07D415/00 containing three or more hetero rings
-
- C—CHEMISTRY; METALLURGY
- C07—ORGANIC CHEMISTRY
- C07D—HETEROCYCLIC COMPOUNDS
- C07D471/00—Heterocyclic compounds containing nitrogen atoms as the only ring hetero atoms in the condensed system, at least one ring being a six-membered ring with one nitrogen atom, not provided for by groups C07D451/00 - C07D463/00
- C07D471/02—Heterocyclic compounds containing nitrogen atoms as the only ring hetero atoms in the condensed system, at least one ring being a six-membered ring with one nitrogen atom, not provided for by groups C07D451/00 - C07D463/00 in which the condensed system contains two hetero rings
- C07D471/04—Ortho-condensed systems
Landscapes
- Health & Medical Sciences (AREA)
- Chemical & Material Sciences (AREA)
- Organic Chemistry (AREA)
- Life Sciences & Earth Sciences (AREA)
- General Health & Medical Sciences (AREA)
- Veterinary Medicine (AREA)
- Medicinal Chemistry (AREA)
- Public Health (AREA)
- Animal Behavior & Ethology (AREA)
- Pharmacology & Pharmacy (AREA)
- Chemical Kinetics & Catalysis (AREA)
- Nuclear Medicine, Radiotherapy & Molecular Imaging (AREA)
- General Chemical & Material Sciences (AREA)
- Bioinformatics & Cheminformatics (AREA)
- Engineering & Computer Science (AREA)
- Epidemiology (AREA)
- Neurology (AREA)
- Immunology (AREA)
- Diabetes (AREA)
- Neurosurgery (AREA)
- Pulmonology (AREA)
- Biomedical Technology (AREA)
- Dermatology (AREA)
- Oncology (AREA)
- Hematology (AREA)
- Physical Education & Sports Medicine (AREA)
- Cardiology (AREA)
- Heart & Thoracic Surgery (AREA)
- Orthopedic Medicine & Surgery (AREA)
- Pain & Pain Management (AREA)
- Rheumatology (AREA)
- Endocrinology (AREA)
- Urology & Nephrology (AREA)
- Communicable Diseases (AREA)
- Reproductive Health (AREA)
- Hospice & Palliative Care (AREA)
- Pregnancy & Childbirth (AREA)
- Psychiatry (AREA)
- Vascular Medicine (AREA)
- Ophthalmology & Optometry (AREA)
Abstract
Un compuesto que tiene una fórmula **(Ver fórmula)** o una sal farmacéuticamente aceptable, solvato, hidrato, N-óxido, o profármaco del mismo, en la que: X es O o S; Y es O o S; Z es N o CR9; Het-1 es heteroarilo; R1 y R2 son independientemente H, alifático, heteroalifático, heterociclilo, arilo, aralifático, o junto con el nitrógeno al que están unidos, forman un anillo heterocíclico; R3, R4, R6 y R9 son independientemente H, alifático, halo, heteroalifático, -O-alifático, heterociclilo, arilo, aralifático, -O-heterociclilo, hidroxilo, nitro, ciano, carboxilo, éster carboxílico, acilo, amida, amino, sulfonilo, sulfonamida, sulfanilo, sulfinilo, o haloalquilo; R5 es amino, arilo o heteroarilo; R7 es H, alifático, heteroalifático, heterociclilo, arilo o aralifático; cada R8 es independientemente alifático, halo, heteroalifático, -O-alifático, heterociclilo, arilo, aralifático, -Oheterociclilo, hidroxilo, nitro, ciano, carboxilo, éster carboxílico, acilo, amida, amino, sulfonilo, sulfonamida, sulfanilo, sulfinilo o haloalquilo; y m es de 0 a 6; y en la que amino se refiere al grupo -NH2, -NHR o -NRR, en el que cada R se selecciona independientemente de H, alifático, heteroalifático, arilo o heterocíclico, o dos grupos R, junto con el nitrógeno unido a los mismos, forman un anillo heterocíclico opcionalmente interrumpido con uno o dos grupos heteroatómicos; y alifático se refiere a un resto hidrocarbonado lineal, ramificado o cíclico, opcionalmente sustituido, que contiene de 1 a 25 átomos de carbono; en el que cada sustituyente opcional que sustituye uno o más átomos de hidrógeno es independientemente -R60, halo, =O, -OR70, -SR70, -N(R80)2, haloalquilo, perhaloalquilo, -CN, -NO2, =N2, -N3, - SO2R70, -SO3 -M+, -SO3R70, -OSO2R70, -OSO3 -M+, -OSO3R70, -P(O)(O-)2(M+)2, -P(O)(O-)2M2+, -P(O)(OR70)O- M+, - P(O)(OR70)2, -C(O)R70, -C(S)R70, -C(NR70)R70, -CO2 -M+, -CO2R70, -C(S)OR70, -C(O)N(R80)2, -C(NR70)(R80)2, - OC(O)R70, -OC(S)R70, -OCO2 -M+, -OCO2R70, -OC(S)OR70, -NR70C(O)R70, -NR70C(S)R70, -NR70CO2 -M+, - NR70CO2R70, -NR70C(S)OR70, -NR70C(O)N(R80)2, -NR70C(NR70)R70 y -NR70C(NR70)N(R80)2, en los que R60 es alquilo de C1-6; cada R70 es independientemente, para cada aparición, hidrógeno o R60; cada R80 es independientemente, para cada aparición, R70, o alternativamente, dos grupos R80, tomados junto con el átomo de nitrógeno al que están enlazados, forman un heteroaliciclilo de 3 a 7 miembros que incluye opcionalmente de 1 a 4 de los mismos o diferentes heteroátomos adicionales seleccionados de O, N y S, de los cuales N tiene opcionalmente H o sustitución alquílica de C1-C3; y cada M+ es un contraión con una sola carga positiva neta; y cualquiera de los dos átomos de hidrógeno en un solo carbono puede reemplazarse por =O, =NR70, =N-OR 70, =N2 o =S.
Description
DESCRIPCIÓN
Compuestos de benzazol y métodos para obtener y usar los compuestos
CAMPO
Esta descripción se refiere a compuestos de benzazol, y a realizaciones de un método para obtener y usar los compuestos, tal como para inhibir cinasas, incluyendo cinasa asociada a receptor de interleucina (IRAK), y para tratar enfermedades y afecciones relacionadas.
ANTECEDENTES
Las cinasas asociadas al receptor de interleucina-1 (IRAKs) son mediadores importantes de los procesos de señalización, tales como procesos de señalización de receptores similares a toll (TLR) y del receptor de interleucina-1 (IL-1R). Las IRAKs se han implicado en la modulación de redes de señalización que controlan la inflamación, la apoptosis y la diferenciación celular. Se han identificado cuatro genes IRAK en el genoma humano (IRAK1, IRAK2, IRAK3 e IRAK4), y los estudios han revelado distintos papeles biológicos no redundantes. Se ha demostrado que IRAK1 e IRAK4 exhiben actividad de cinasa.
SUMARIO
Se describen aquí compuestos de benzazol, y composiciones que comprenden dichos compuestos, que son útiles como, entre otros, inmunomoduladores; en particular, los presentes compuestos son inhibidores de cinasas, tales como, a modo de ejemplo, inhibidores de IRAKs. Ciertas realizaciones descritas se refieren a compuestos de benzazol que tienen una fórmula I
o una sal farmacéuticamente aceptable, solvato, hidrato, N-óxido, o profármaco de los mismos. Con respecto a la fórmula I, X es O o S; Y es O o S; Z es N o CR9; Het-1 es heteroarilo; R1 y R2 son independientemente H, alifático, heteroalifático, heterociclilo, arilo, aralifático, o junto con el nitrógeno al que están unidos, forman un anillo heterocíclico; R3, R4, R6 y R9 son independientemente H, alifático, halo, heteroalifático, -O-alifático, heterociclilo, arilo, aralifático, -O-heterociclilo, hidroxilo, nitro, ciano, carboxilo, éster carboxílico, acilo, amida, amino, sulfonilo, sulfonamida, sulfanilo, sulfinilo, o haloalquilo; R5 es amino, arilo o heteroarilo; R7 es H, alifático, heteroalifático, heterociclilo, arilo o aralifático; cada R8 es independientemente alifático, halo, heteroalifático, -O-alifático, heterociclilo, arilo, aralifático, -O-heterociclilo, hidroxilo, nitro, ciano, carboxilo, éster carboxílico, acilo, amida, amino, sulfonilo, sulfonamida, sulfanilo, sulfinilo o haloalquilo; y m es de 0 a 6. En algunas realizaciones, X es O, y en otras realizaciones, X es S.
Het-1 puede ser un heteroarilo. El Het-1 ejemplar puede seleccionarse de furano, tiofeno, pirazol, pirrol, imidazol, oxazol, tiazol, isoxazol, isotiazol, 1,2,3-triazol, 1,2,4-triazol, 1,3,4-triazol, 1,2,3-oxadiazol, 1,2,4-oxadiazol, 1,3,4-oxadiazol, 1,2,5-oxadiazol, 1,2,3-tiadiazol, 1,2,4-tiadiazol, 1,3,4-tiadiazol, 1,2,5-tiadiazol, tetrazol, pirimidina, piridina, 1,2,3-triazina, 1,2,4-triazina, 1,3,5-triazina, pirazina, piridazina, quinolina, isoquinolina, indol, isoindol, benzofurano, benzotiofeno, benzoimidazol, benzopirazol, benzotriazol, pirrolo[2,3-b]piridina, pirrolo[3,2-b]piridina, pirrolo[2,3-c]piridina, pirrolo[3,2-c]piridina, pirrolo[3,4-b]piridina o pirrolo[3,4-c]piridina. En algunas realizaciones, Het-1 es piridina, pirazol o pirrolo[2,3-b]piridina, y en realizaciones particulares,
se selecciona de
En algunas realizaciones, el compuesto tiene una fórmula seleccionada de
Con respecto a estas fórmulas, R10 y R23 son independientemente H, alifático, heteroalifático, -O-alifático, heterociclilo, arilo, aralifático, -O-heterociclilo, hidroxilo, ciano, carboxilo, éster carboxílico, acilo, amida, amino, sulfonilo, sulfonamida, o haloalquilo, típicamente H, alifático, arilo o heterociclilo; y R11, R12, R13, R14, R15, R16, R17, R18, R19, R20, R21 y R22 son independientemente H, alifático, halógeno, heteroalifático, -O-alifático, heterociclilo, arilo, aralifático, -O-heterociclilo, hidroxilo, nitro, ciano, carboxilo, éster carboxílico, acilo, amida, amino, sulfonilo, sulfonamida, sulfanilo, sulfinilo, o haloalquilo.
En cualquiera de las realizaciones anteriores, R5 es amino, arilo o heteroarilo. R5 puede ser amino que tiene una fórmula -NRR en la que cada R es independientemente alifático, o ambos grupos R, junto con el nitrógeno unido a ellos, forman un anillo heterocíclico opcionalmente sustituido.
R1 y R2 independientemente pueden ser H, alifático, heteroalifático, o, junto con el nitrógeno unido a ellos, forman un anillo heteroalifático. En algunas realizaciones, R1 es H o alquilo, y R2 es alifático o heteroalifático.
En realizaciones particulares, R3, R4, R6 y R7 son H.
También se describen aquí realizaciones de una composición que comprende un compuesto de benzazol dentro del alcance de la presente invención y un excipiente farmacéuticamente aceptable. Las composiciones ejemplares descritas también pueden comprender un compuesto de benzazol dentro del alcance de la presente invención y un agente terapéutico adicional. Alternativamente, los compuestos de benzazol, o las composiciones que comprenden los compuestos de benzazol, se pueden administrar como una combinación con uno o más agentes terapéuticos adicionales. El agente o agentes terapéuticos adicionales pueden comprender un agente inmunooncológico. Los compuestos de benzazol, o las composiciones que comprenden los compuestos de benzazol, y el o los agentes terapéuticos adicionales se pueden administrar a un sujeto de forma sustancialmente simultánea, secuencial en cualquier orden, o dentro de un período de tiempo tal que el sujeto experimente un efecto beneficioso superpuesto tanto del compuesto de benzazol o la composición que comprende el compuesto de benzazol como del o de los agentes terapéuticos adicionales.
También se describe un método para administrar un compuesto de benzazol o composición que comprende uno compuesto o compuestos de benzazol. Por ejemplo, se describen aquí realizaciones de un método para inhibir o modular una proteína IRAK, que comprende poner en contacto la proteína IRAK con una cantidad eficaz de un compuesto de benzazol. En algunas realizaciones, el método comprende poner en contacto la proteína in vitro. En otras realizaciones, la proteína IRAK puede estar en un sujeto. Los compuestos ejemplares tienen una CE50 de más de 0 a 5 pM, tal como de más de 0 a 1 pM. En ciertas realizaciones, el método comprende administrar a un sujeto que lo necesita una cantidad terapéuticamente eficaz de un compuesto de benzazol o composición que comprende el compuesto de benzazol. El método puede ser un método para tratar una enfermedad o afección para la cual está indicado un modulador o inhibidor de IRAK.
Los anteriores y otros objetos, características y ventajas de la invención serán más evidentes a partir de la siguiente descripción detallada.
DESCRIPCIÓN DETALLADA
I. Definiciones
Las siguientes explicaciones de términos y métodos se proporcionan para describir mejor la presente descripción y para guiar a los expertos en la técnica en la práctica de la presente descripción. Las formas singulares “un”, “una” y “el/la” se refieren a uno o más de uno, a menos que el contexto indique claramente lo contrario. El término “o” se refiere a un solo elemento de elementos alternativos establecidos o una combinación de dos o más elementos, a menos que el contexto indique claramente lo contrario. Como se usa aquí, “comprende” significa “incluye”. De este modo, “que comprende A o B” significa “que incluye A, B, o A y B”, sin excluir elementos adicionales. Todas las referencias, incluidas las patentes y las solicitudes de patentes citadas aquí, se incorporan como referencia.
A menos que se indique lo contrario, todos los números que expresan cantidades de componentes, pesos moleculares, porcentajes, temperaturas, tiempos, etc., tal como se usan en la memoria descriptiva o en las reivindicaciones, deben entenderse como modificados por la expresión “alrededor de”. En consecuencia, a menos que se indique lo contrario, implícita o explícitamente, los parámetros numéricos expuestos son aproximaciones que pueden depender de las propiedades deseadas buscadas y/o los límites de detección en condiciones/métodos de ensayo estándar. Cuando se distinguen directa y explícitamente realizaciones de la técnica anterior discutida, los números de realización no son aproximados a menos que se cite la expresión “alrededor de”.
A menos que se explique lo contrario, todos los términos técnicos y científicos utilizados aquí tienen el mismo significado que se entiende comúnmente por un experto normal en la técnica a la que pertenece esta descripción. Aunque los métodos y materiales similares o equivalentes a los descritos aquí pueden usarse en la práctica o ensayo de la presente descripción, a continuación se describen métodos y materiales adecuados. Los materiales, métodos y ejemplos son solo ilustrativos y no pretenden ser limitantes.
Cuando se representan o describen estructuras químicas, a menos que se indique explícitamente lo contrario, se supone que todos los carbonos incluyen hidrógeno de manera que cada carbono se ajusta a una valencia de cuatro. Por ejemplo, en la estructura en el lado izquierdo del siguiente esquema hay nueve átomos de hidrógeno implicados. Los nueve átomos de hidrógeno se representan en la estructura de la derecha.
A veces, un átomo particular en una estructura se describe en una fórmula textual como que tiene un hidrógeno o átomos hidrógeno, por ejemplo -CH2CH2-. Una persona experta en la técnica entenderá que las técnicas descriptivas mencionadas anteriormente son comunes en las técnicas químicas para proporcionar brevedad y simplicidad a la descripción de estructuras orgánicas.
Un experto en la técnica apreciará que las definiciones se pueden combinar para describir mejor un compuesto particular. Por ejemplo, hidroxialifático se refiere a un grupo alifático sustituido con un grupo hidroxi (-Oh ), y haloalquilarilo se refiere a un grupo arilo sustituido con un grupo alquilo, en el que el grupo alquilo también está sustituido con un halógeno, y en el que el punto de unión a la estructura original es a través del resto arilo, ya que arilo es el nombre base del sustituyente.
Como se usa aquí, el término “sustituido” se refiere a todos los modificadores posteriores en un término; por ejemplo, en el término “arilalquilo de C1-8 sustituido”, la sustitución se puede producir en porción de “alquilo de C1-8”, en la porción de “arilo”, o en ambas porciones del grupo arilalquilo de C1-8. También a modo de ejemplo, alquilo incluye grupos cicloalquilo sustituidos.
“Sustituido”, cuando se usa para modificar un grupo o resto especificado, significa que al menos uno, y quizás dos o más, átomos de hidrógeno del grupo o resto especificado se reemplazan independientemente por los mismos grupos sustituyentes o diferentes como se definen a continuación. En una realización particular, un grupo, resto o sustituyente puede estar sustituido o no sustituido, a menos que se defina expresamente como “no sustituido” o “sustituido”. Por consiguiente, cualquiera de los grupos especificados aquí puede estar no sustituido o sustituido. En realizaciones particulares, el sustituyente puede o no definirse expresamente como sustituido, pero todavía se contempla que esté opcionalmente sustituido. Por ejemplo, un sustituyente “alquilo” puede estar no sustituido o sustituido, pero un “alquilo no sustituido” puede no estar sustituido.
Los “sustituyentes” o “grupos sustituyentes” para sustituir uno o más átomos de hidrógeno en átomos de carbono saturados en el grupo o resto especificado pueden ser cualquier átomo, o grupo de átomos, que una persona experta normal en la técnica reconocería como un sustituyente o grupo sustituyente adecuado. Los “sustituyentes” o “grupos sustituyentes” son, a menos que se especifique lo contrario, -R60, halo, =O, -OR70, -SR70, -N(R80)2 , haloalquilo, perhaloalquilo, -CN, -NO2 , =N2 , -N3 , -SO2R70, -SO3-M+, -SO3 R70, -OSO2 R70, -OSO3-M+, -OSO3 R70, -P(O P(O)(O-)2M2+, -P(O)(OR70)O-M+, -P(O)(OR70)2 , -C(O)R70, -C(S)R70, -C(NR70)R70, -CO2-M+, -CO2R70, -C(S)OR70, -C(O)N(R80)2, -C(NR70)(R80)2, -OC(O)R70, -OC(S)R70, -OCO2-M+, -OCO2R70, -OC(S)OR70, -NR70C(O)R70, -NR70C(S)R70, -NR70CO2-M+, -NR70CO2R70, -NR70C(S)OR70, -NR70C(O)N(R80)2 , -NR70C(NR70)R70 y -NR70C(NR70)N(R80)2 , en los que
R60 es alquilo de C1-6; cada R70 es independientemente, para cada aparición, hidrógeno o R60; cada R80 es independientemente, para cada aparición, R70, o alternativamente, dos grupos R80, tomados junto con el átomo de nitrógeno al que están enlazados, forman un heteroaliciclilo de 3 a 7 miembros que incluye opcionalmente de 1 a 4 de los mismos o diferentes heteroátomos adicionales seleccionados de O, N y S, de los cuales N tiene opcionalmente H o sustitución alquílica de C1-C3 ; y cada M+ es un contraión con una sola carga positiva neta. Cada M+ es independientemente, para cada aparición, por ejemplo, un ion de metal alcalino, tal como K+, Na+, Li+; un ion amonio, tal como N(R60)4; o un ion de metal alcalino-térreo, tal como [Ca2+]0,5, [Mg2+]0,5, o [Ba2+]0,5 (un subíndice “0,5” significa, por ejemplo, que uno de los contraiones para tales iones alcalino-térreos divalentes puede ser una forma ionizada de un compuesto de la invención, y el otro un contraión típico tal como cloruro, o dos compuestos ionizados pueden servir como contraiones para tales iones alcalino-térreos divalentes, o un compuesto doblemente ionizado puede servir como el contraión para tales iones alcalino-térreos divalentes). Como ejemplos específicos, -N(R80)2 incluye -NH2 , -NH-alquilo, -NH-pirrolidin-3-ilo, /V-pirrolidinilo, N-piperazinilo, 4N-metilpiperazin-1-ilo, N-morfolinilo, y similares. Cualquiera de los dos átomos de hidrógeno en un solo carbono puede reemplazarse por =O, =NR70, =N-OR70, =N2 o =S.
Los grupos sustituyentes para reemplazar átomos de hidrógeno en átomos de carbono insaturados en grupos que contienen carbonos insaturados son, a menos que se especifique lo contrario, -R60, halo, -O-M+, -OR70, -SR70, -S- M+, -N(R80)2 , perhaloalquilo, -CN, -OCN, -SCN, -NO, -NO2 , -N3, -SO2 R70, -SO3-M+, -SO3R70, -OSO2R70, -OSO3-M+, -OSO3 R70, -PO3-2(M+)2, -PO3-2M2+, -P(O)(OR70)O-M+, -P(O)(OR70)2 , -C(O)R70, -C(S)R70, -C(NR70)R70, -CO2-M+, -CO2R70, -C(S)OR70, -C(O)NR80R80, -C(NR70)N(R80)2 , -OC(O)R70, -OC(S)R70, -OCO2-M+, -OCO2R70, -OC(S)OR70, -NR70C(O)R70, -NR70C(S)R70, -NR70CO2-M+, -NR70CO2R70, -NR70C(S)OR70, -NR70C(O)N(R80)2 , -NR70C(NR70)R70 y -NR70C(NR70)N(R80)2 , en los que R60, R70, R80 y M+ son como se definieron previamente, siempre que en caso de alqueno o alquino sustituido, los sustituyentes no sean -O-M+, -OR70, -SR70, o -S-M+.
Los grupos sustituyentes para reemplazar átomos de hidrógeno en átomos de nitrógeno en grupos que contienen tales átomos de nitrógeno son, a menos que se especifique lo contrario, -R60, -O-M+, -OR70, -SR70, -S-M+, -N(R80)2 , perhaloalquilo, -CN, -NO, -NO2 , -S(O)2R70, -SO3-M+, -SO3 R70, -OS(O)2R70, -OSO3-M+, -OSO3 R70, -PO32-(M+)2, -PO32-M2+, -P(O)(OR70)O-M+, -P(O)(OR70)(OR70), -C(O)R70, -C(S)R70, -C(NR70)R70, -CO2 R70, -C(S)OR70, -C(O)NR80R80,
C(NR70)NR80R80, -OC(O)R70, -OC(S)R70, -OCO2 R70, -OC(S)OR70, -NR70C(O)R70, -NR70C(S)R70, -NR70CÜ2 R70, -NR70C(S)OR70, -NR70C(O)N(R80)2 , -NR70C(NR70)R70 y -NR70C(NR70)N(R80)2 , en los que R60, R70, R80 y M+ son como se definieron previamente.
En una realización, un grupo que está sustituido tiene 1 sustituyente, 2 sustituyentes, 3 sustituyentes, o 4 sustituyentes.
Además, en realizaciones en las que un grupo o resto está sustituido con un sustituyente sustituido, la anidación de dichos sustituyentes sustituidos está limitada a tres, evitando así la formación de polímeros. De este modo, en un grupo o resto que comprende un primer grupo que es un sustituyente en un segundo grupo que es en sí mismo un sustituyente en un tercer grupo, que está unido a la estructura parental, el primer grupo (más externo) solo puede estar sustituido con sustituyentes no sustituidos. Por ejemplo, en un grupo que comprende -(aril-1 )-(aril-2)-(aril-3), aril-3 solo puede sustituirse con sustituyentes los cuales no están sustituidos.
“Acilo” se refiere al grupo -C(O)R, en el que R es H, alifático, heteroalifático, heterocíclico o arilo. Los restos de acilo ejemplares incluyen, pero no se limitan a, -C(O)H, -C(O)alquilo, -C(O)alquilo de C1-C6 , -C(O)haloalquilo de C1-C6-C(O)cicloalquilo, -C(O)alquenilo, -C(O)cicloalquenilo, -C(O)arilo, -C(O)heteroarilo, o -C(O)heterociclilo. Los ejemplos específicos incluyen -C(O)H, -C(O)Me, -C(O)Et, o -C(O)ciclopropilo.
“Alifático” se refiere a un grupo o resto sustancialmente hidrocarbonado, que incluye grupos alquilo, alquenilo, alquinilo, versiones cíclicas de los mismos, tales como cicloalquilo, cicloalquenilo o cicloalquinilo, y que incluye además disposiciones de cadena lineal y ramificada, y también todos los estereoisómeros e isómeros posicionales. A menos que se indique expresamente lo contrario, un grupo alifático contiene de uno a veinticinco átomos de carbono; por ejemplo, de uno a quince, de uno a diez, de uno a seis, o de uno a cuatro átomos de carbono. A menos que se indique expresamente lo contrario, un grupo alifático cíclico contiene de tres a veinticinco átomos de carbono; por ejemplo, de tres a quince, de tres a diez, o de tres a seis átomos de carbono. “Alifático inferior” se refiere a un grupo alifático, que incluye alquilo, alquenilo y alquinilo, que contiene de uno a diez átomos de carbono, tal como de uno a seis átomos de carbono, o de tres a diez átomos de carbono, tal como de tres a seis átomos de carbono, para un grupo alifático inferior cíclico. Un grupo alifático puede estar sustituido o no sustituido, a menos que se haga referencia expresamente a él como “alifático no sustituido” o “alifático sustituido”. Un grupo alifático puede estar sustituido con uno o más sustituyentes (hasta dos sustituyentes para cada carbono de metileno en una cadena alifática, o hasta un sustituyente para cada carbono de un doble enlace -C=C- en una cadena alifática, o hasta un sustituyente para un carbono de un grupo metino terminal).
“Alcoxi” se refiere al grupo -OR, en el que R es un grupo alquilo o cicloalquilo sustituido o no sustituido. En ciertos ejemplos, R es un grupo alquilo C1-6 o cicloalquilo de C3-6. Metoxi (-OCH3) y etoxi (-OCH2CH3) son ejemplos de grupos alcoxi. En un alcoxi sustituido, R es alquilo sustituido o cicloalquilo sustituido, ejemplos de los cuales útiles en los compuestos descritos actualmente incluyen grupos haloalcoxi, tales como -OCF2H y -OCF3.
“Alcoxialquilo” se refiere al grupo -alquil-OR, en el que R es un grupo alquilo o cicloalquilo sustituido o no sustituido. -CH2CH2-O-CH2CH3 es un grupo alcoxialquilo ejemplar.
“Alquilo” se refiere a un grupo hidrocarbilo alifático saturado que tiene de 1 a 25 átomos de carbono, típicamente 1 a 10 átomos de carbono, tal como 1 a 6 átomos de carbono, y puede designarse como alquilo de C1-C6. Un resto alquilo puede estar sustituido o no sustituido. Este término incluye, a modo de ejemplo, grupos hidrocarbilo lineales y ramificados tales como metilo (CH3), etilo (-CH2CH3), n-propilo (-CH2CH2CH3), isopropilo (-CH(CH3)2), n-butilo (-CH2CH2CH2CH3), isobutilo (-CH2CH2 (CH3)2), sec-butilo (-CH(CH3)(CH2CH3), t-butilo (-C(CH3)3), n-pentilo (-CH2CH2CH2CH2CH3), y neopentilo (-CH2C(CH3)3).
“Amino” se refiere al grupo -NH2 , -NHR o -NRR, en el que cada R se selecciona independientemente de H, alifático, heteroalifático, arilo o heterocíclico, o dos grupos R, junto con el nitrógeno unido a los mismos, forman un anillo heterocíclico. Los ejemplos de tales anillos heterocíclicos incluyen aquellos en los que dos grupos R, junto con el nitrógeno al que están unidos, forman un anillo -(CH2)2-5- opcionalmente interrumpido con uno o dos grupos de heteroátomos, tales como --O- o -N(Rg), tal como en los grupos
y
en el que Rg es R70, -C(O)R70, -C(O)OR60 o -C(O)N(R80)2.
“Amida” se refiere al grupo -N(H)acilo o -C(O)amino.
“Arilo” o “aromático” se refiere a un grupo aromático de, a menos que se especifique lo contrario, 5 a 15 átomos en el anillo que tiene un solo anillo (por ejemplo, fenilo) o múltiples anillos condensados en los que al menos un anillo es aromático (por ejemplo, naftilo). Los grupos arilo pueden ser, por ejemplo, monocíclicos, bicíclicos, tricíclicos o tetracíclicos. Para los grupos que tienen múltiples anillos, al menos uno de los cuales es aromático y el otro no, dichos grupos se denominan sin embargo “arilo” siempre que el punto de unión al resto del compuesto sea a través de un átomo de una porción aromática del grupo arilo. A menos que se indique lo contrario, un grupo arilo puede estar sustituido o no sustituido.
“Aralifático” se refiere a un grupo arilo unido al progenitor a través de un resto alifático. Aralifático incluye grupos aralquilo o arilalquilo tales como bencilo y feniletilo.
“Azol” se refiere a un anillo heterocíclico de nitrógeno de cinco miembros que contiene al menos otro átomo no de carbono típicamente seleccionado de nitrógeno, azufre u oxígeno. Un “benzazol” es un anillo condensado que comprende un anillo de azol y un anillo de fenilo. Los ejemplos de benzazoles incluyen, pero no se limitan a, benztiazol, benzoxazol y bencimidazol.
“Carboxilo” o “carboxi” se refiere a -CO2H.
“Carboxilato” se refiere a -C(O)O- o sus sales.
“Éster de carboxilo” o “éster carboxílico” se refiere al grupo -C(O)OR, en el que R es alifático, arilo, heteroalifático y heterocíclico, incluyendo heteroarilo.
“Ciano” se refiere al grupo -CN.
“Cicloalifático” se refiere a un grupo alifático cíclico que tiene un solo anillo (por ejemplo, ciclohexilo), o múltiples anillos, tal como en un sistema condensado, puenteado o espirocíclico, al menos uno de los cuales es alifático, siempre que el punto de unión sea a través de un átomo de una región alifática del grupo cicloalifático. Cicloalifático incluye sistemas saturados e insaturados, incluyendo cicloalquilo, cicloalquenilo y cicloalquinilo. Los ejemplos de grupos cicloalifáticos incluyen, pero no se limitan a, ciclopropilo, ciclobutilo, ciclopentilo, ciclohexilo, cicloheptilo, ciclopentenilo, o ciclohexenilo.
“Halo”, “haluro” o “halógeno” se refiere a flúor, cloro, bromo o yodo.
“Heteroalifático” se refiere a un compuesto o grupo alifático que tiene al menos un heteroátomo, es decir, uno o más átomos de carbono han sido reemplazados por un átomo que tiene al menos un par solitario de electrones, típicamente nitrógeno, oxígeno, fósforo, silicio o azufre. Los compuestos o grupos heteroalifáticos pueden estar sustituidos o no sustituidos, ramificados o no ramificados, acíclicos o cíclicos, tales como un grupo heteroaliciclilo, quirales o aquirales, y pueden incluir grupos heterociclo, heterociclilo, heterocicloalifático o heterocíclico. Un ejemplo de un grupo heteroalifático es CH3OCH2CH2-.
“Heteroarilo” se refiere a un grupo arilo en el que uno o más átomos de carbono, tales como grupos metino (-CH=) o vinileno (-CH=CH-), han sido reemplazados por heteroátomos trivalentes o divalentes, respectivamente, de manera que se mantenga la aromaticidad, tal como se determina por el sistema continuo de electrones p deslocalizados característico del grupo aromático, y el número de electrones p fuera del plano correspondientes a la regla de Hückel (4n 2).
“Heterocicloalquilo” y “heterociclilalquilo” se refieren a un resto heterociclilo unido a la estructura parental mediante un resto alquilo, por ejemplo (tetrahidropiran-4-il)metilo, (piridin-4-il)metilo, morfolinoetilo o piperazin-1-iletilo.
“Heterociclilo”, “heterociclo”, “heterocíclico” y “heterociclo” se refieren a sistemas anulares aromáticos y no aromáticos, y más específicamente se refieren a un resto anular estable de tres a quince miembros que comprende átomos de carbono y al menos un heteroátomo, tal como de uno a cinco heteroátomos. Los heteroátomos típicos incluyen, pero no se limitan a, N, O, S, P, Si o B. El resto heterociclilo puede ser un resto monocíclico, o puede comprender múltiples anillos, tal como en un sistema anular bicíclico o tricíclico, siempre que al menos uno de los anillos contenga un heteroátomo. Tal resto de múltiples anillos puede incluir sistemas anulares condensados o puenteados, así como sistemas espirocíclicos; y los átomos de nitrógeno, fósforo, carbono, silicio o azufre en el resto heterociclilo se pueden oxidar opcionalmente a diversos estados de oxidación. Por conveniencia, los nitrógenos, particularmente pero no exclusivamente, los definidos como nitrógenos aromáticos anulares (en el anillo), deben incluir su forma de N-óxido correspondiente, aunque no se definen explícitamente como tales en un ejemplo particular. De este modo, para un compuesto que tiene, por ejemplo, un anillo de piridilo, el N-óxido de piridilo correspondiente se incluye como otro compuesto de la invención, a menos que se excluya expresamente por contexto. Además, los átomos de nitrógeno anulares se pueden cuaternizar opcionalmente. Heterociclilo incluye restos heteroarilo y restos heteroaliciclilo o heterocicloalifático, que son anillos heterociclilo que están parcial o totalmente saturados. Así, un término tal como “heterociclilalquilo” incluye heteroaliciclilalquilos y heteroarilalquilos. Los ejemplos de grupos heterociclilo incluyen, pero no se limitan a, azetidinilo, oxetanilo, acridinilo, benzodioxolilo, benzodioxanilo, benzofuranilo, carbazoílo, cinolinilo, dioxolanilo, indolizinilo, naftiridinilo, perhidroazepinilo, fenazinilo, fenotiazinilo, fenoxazinilo, ftalazinilo,
pteridinilo, purinilo, pirrolopiridinilo, quinazolinilo, quinoxalinilo, quinolinilo, isoquinolinilo, tetrazoílo, tetrahidroisoquinolilo, piperidinilo, piperazinilo, 2-oxopiperazinilo, 2-oxopiperidinilo, 2-oxopirrolidinilo, 2-oxoazepinilo, azepinilo, pirrolilo, 4-piperidonilo, pirrolidinilo, pirazolilo, pirazolidinilo, imidazolilo, imidazolinilo, imidazolidinilo, dihidropiridinilo, tetrahidropiridinilo, piridinilo, pirazinilo, pirimidinilo, piridazinilo, oxazolilo, oxazolinilo, oxazolidinilo, triazolilo, isoxazolilo, isoxazolidinilo, morfolinilo, tiazolilo, tiazolinilo, tiazolidinilo, isotiazolilo, quinuclidinilo, isotiazolidinilo, indolilo, isoindolilo, indolinilo, isoindolinilo, octahidroindolilo, octahidroisoindolilo, quinolilo, isoquinolilo, decahidroisoquinolilo, bencimidazolilo, tiadiazolilo, benzopiranilo, benzotiazolilo, benzoxazolilo, furilo, diazabicicloheptano, diazapano, diazepina, tetrahidrofurilo, tetrahidropiranilo, tienilo, benzotielilo, tiamorfolinilo, sulfóxido de tiamorfolinilo, tiamorfolinil sulfona, dioxafosfolanilo, y oxadiazolilo.
“Hidroxilo” se refiere al grupo -OH.
“Nitro” se refiere al grupo -NO2.
“Paciente” o “sujeto” se refiere a mamíferos y otros animales, particularmente seres humanos. De este modo, los métodos descritos son aplicables tanto a la terapia humana como a las aplicaciones veterinarias.
“Excipiente farmacéuticamente aceptable” se refiere a una sustancia, que no sea un ingrediente activo, que se incluye en una formulación de un ingrediente activo. Como se usa aquí, un excipiente se puede incorporar dentro de las partículas de una composición farmacéutica, o se puede mezclar físicamente con partículas de una composición farmacéutica. Se puede usar un excipiente, por ejemplo, para diluir un agente activo y/o modificar las propiedades de una composición farmacéutica. Los excipientes pueden incluir, pero no se limitan a, antiadherentes, aglutinantes, revestimientos, revestimientos entéricos, disgregantes, aromatizantes, edulcorantes, colorantes, lubricantes, deslizantes, sorbentes, conservantes, adyuvantes, portadores o vehículos. Los excipientes pueden ser almidones y almidones modificados, celulosa y derivados de celulosa, sacáridos y sus derivados, tales como disacáridos, polisacáridos y alcoholes de azúcar, proteínas, polímeros sintéticos, polímeros reticulados, antioxidantes, aminoácidos o conservantes. Los excipientes ejemplares incluyen, pero no se limitan a, estearato de magnesio, ácido esteárico, estearina vegetal, sacarosa, lactosa, almidones, hidroxipropilcelulosa, hidroxipropilmetilcelulosa, xilitol, sorbitol, maltitol, gelatina, polivinilpirrolidona (PVP), polietilenglicol (PEG), polietilenglicol 1000 succinato de tocoferilo (también conocido como vitamina E TPGS, o TPGS), carboximetilcelulosa, dipalmitoil fosfatidilcolina (DPPC), vitamina A, vitamina E, vitamina C, palmitato de retinilo, selenio, cisteína, metionina, ácido cítrico, citrato de sodio, metil parabeno, propil parabeno, azúcar, sílice, talco, carbonato de magnesio, glicolato de almidón sódico, tartrazina, aspartamo, cloruro de benzalconio, aceite de sésamo, galato de propilo, metabisulfito de sodio o lanolina.
Un “adyuvante” es un excipiente que modifica el efecto de otros agentes, típicamente el ingrediente activo. Los adyuvantes son a menudo agentes farmacológicos y/o inmunológicos. Un adyuvante puede modificar el efecto de un ingrediente activo al aumentar la respuesta inmune. Un adyuvante también puede actuar como un agente estabilizante para una formulación. Los adyuvantes ejemplares incluyen, pero no se limitan a, hidróxido de aluminio, alumbre, fosfato de aluminio, bacterias muertas, escualeno, detergentes, citocinas, aceite de parafina, y adyuvantes combinados, tales como el adyuvante completo de Freund o el adyuvante incompleto de Freund.
“Portador farmacéuticamente aceptable” se refiere a un excipiente que es un portador o vehículo, tal como un auxiliar de suspensión, auxiliar de solubilización, o auxiliar de aerosolización. Véase, por ejemplo, Remington: The Science and Practice of Pharmacy, The University of the Sciences in Philadelphia, Editor, Lippincott, Williams, & Wilkins, Philadelphia, PA, 21a Edición (2005), incorporado aquí como referencia, que describe composiciones y formulaciones adecuadas para el suministro farmacéutico de una o más composiciones terapéuticas y agentes farmacéuticos adicionales.
En general, la naturaleza del portador dependerá del modo particular de administración que se emplee. Por ejemplo, las formulaciones parenterales generalmente comprenden fluidos inyectables que incluyen fluidos farmacéutica y fisiológicamente aceptables tales como agua, disolución salina fisiológica, disoluciones salinas balanceadas, dextrosa acuosa, glicerol, o similares, como vehículo. En algunos ejemplos, el portador farmacéuticamente aceptable puede ser estéril para ser adecuado para la administración a un sujeto (por ejemplo, por inyección parenteral, intramuscular o subcutánea). Además de los portadores biológicamente neutros, las composiciones farmacéuticas a administrar pueden contener cantidades menores de sustancias auxiliares no tóxicas, tales como agentes humectantes o emulsionantes, conservantes, y agentes amortiguadores del pH, y similares, por ejemplo acetato de sodio o monolaurato de sorbitán.
“Sal farmacéuticamente aceptable” se refiere a sales farmacéuticamente aceptables de un compuesto que derivan de una variedad de contraiones orgánicos e inorgánicos, como sabrá una persona con conocimientos ordinarios en la técnica, e incluyen, a modo de ejemplo solamente, sodio, potasio, calcio, magnesio, amonio, tetraalquilamonio, y similares; y cuando la molécula contiene una funcionalidad básica, sales de ácidos orgánicos o inorgánicos, tales como hidrocloruro, hidrobromuro, tartrato, mesilato, acetato, maleato, oxalato, y similares. Las “sales de adición de ácido farmacéuticamente aceptables” son un subconjunto de “sales farmacéuticamente aceptables” que retienen la efectividad biológica de las bases libres mientras están formadas por socios ácidos. En particular, los compuestos descritos forman sales con una variedad de ácidos farmacéuticamente aceptables, que incluyen, sin limitación, ácidos
inorgánicos tales como ácido clorhídrico, ácido bromhídrico, ácido sulfúrico, ácido nítrico, ácido fosfórico, y similares, así como ácidos orgánicos tales como ácido fórmico, ácido acético, ácido trifluoroacético, ácido propiónico, ácido glicólico, ácido pirúvico, ácido oxálico, ácido maleico, ácido malónico, ácido succínico, ácido fumárico, ácido tartárico, ácido cítrico, ácido benzoico, ácido cinámico, ácido mandélico, ácido bencenosulfónico, ácido isetiónico, ácido metanosulfónico, ácido etanosulfónico, ácido p-toluenosulfónico, ácido salicílico, ácido xinafoico, y similares. Las “sales de adición de base farmacéuticamente aceptables” son un subconjunto de “sales farmacéuticamente aceptables” que derivan de bases inorgánicas tales como sales de sodio, potasio, litio, amonio, calcio, magnesio, hierro, cinc, cobre, manganeso, aluminio, y similares. Ejemplos de sales son las sales de amonio, potasio, sodio, calcio y magnesio. Las sales derivadas de bases orgánicas farmacéuticamente aceptables incluyen, pero no se limitan a, sales de aminas primarias, secundarias y terciarias, aminas sustituidas, incluyendo aminas sustituidas de origen natural, aminas cíclicas y resinas básicas de intercambio iónico, tales como isopropilamina, trimetilamina, dietilamina, trietilamina, tripropilamina, etanolamina, 2-dimetilaminoetanol, 2-dietilaminoetanol, diciclohexilamina, lisina, arginina, histidina, cafeína, procaína, hidrabamina, colina, betaína, etilendiamina, glucosamina, metilglucamina, teobromina, purinas, piperazina, piperidina, W-etilpiperidina, resinas de poliamina, y similares. Ejemplos de bases orgánicas son isopropilamina, dietilamina, etanolamina, trimetilamina, diciclohexilamina, colina y cafeína. (Véase, por ejemplo, S. M. Berge, et al., "Pharmaceutical Salts," J. Pharm. Sci., 1977; 66:1-19, que se incorpora aquí como referencia). En realizaciones particularmente descritas, el compuesto de benzazol puede ser un formiato o una sal de sodio.
“Cantidad farmacéuticamente eficaz” y “cantidad terapéuticamente eficaz” se refieren a una cantidad de un compuesto suficiente para tratar un trastorno o enfermedad específicos, o para mejorar o erradicar uno o más de sus síntomas, y/o para prevenir la aparición de la enfermedad o trastorno. La cantidad terapéuticamente eficaz puede ser determinada por una persona de pericia normal en la técnica.
“Profármaco” se refiere a un compuesto que se transforma in vivo para producir un compuesto biológicamente activo, particularmente el compuesto original, por ejemplo por hidrólisis en el intestino o conversión enzimática. Los ejemplos comunes de restos de profármacos incluyen, pero no se limitan a, formas de éster y amida de un compuesto que tiene una forma activa que posee un resto de ácido carboxílico. Los ejemplos de ésteres farmacéuticamente aceptables de los compuestos de esta invención incluyen, pero no se limitan a, ésteres de grupos fosfato y ácidos carboxílicos, tales como ésteres alifáticos, particularmente ésteres alquílicos (por ejemplo, ésteres de alquilo de C1-6). Otros restos de profármacos incluyen ésteres de fosfato, tales como -CH2-OP(O)(OR’ )2 o una sal del mismo, en el que R’ es H o alquilo inferior, tal como alquilo de C1-6. Los ésteres aceptables también incluyen ésteres de cicloalquilo y ésteres de arilalquilo tales como, pero no se limitan a, bencilo. Los ejemplos de amidas farmacéuticamente aceptables de los compuestos de esta invención incluyen, pero no se limitan a, amidas primarias y alquilamidas secundarias y terciarias (por ejemplo, con entre alrededor de uno y alrededor de seis carbonos). Las amidas y los ésteres de las realizaciones ejemplares descritas de compuestos según la presente invención se pueden preparar según métodos convencionales. En T. Higuchi y V. Stella, “Pro-drugs as Novel Delivery Systems,” Vol. 14 de la A.C.S. Symposium Series, y en Bioreversible Carriers in Drug Design, ed. Edward B. Roche, American Pharmaceutical Association and Pergamon Press, 1987, los cuales se incorporan aquí como referencia para todos los fines, se proporciona una discusión exhaustiva de los profármacos.
“Solvato” se refiere a un complejo formado por una combinación de moléculas de disolvente con moléculas o iones del soluto. El disolvente puede ser un compuesto orgánico, un compuesto inorgánico, o una mezcla de ambos. Algunos ejemplos de disolventes incluyen, pero no se limitan a, metanol, N,N-dimetilformamida, tetrahidrofurano, dimetilsulfóxido, y agua. Los compuestos descritos aquí pueden existir en formas no solvatadas o solvatadas cuando se combinan con disolventes, farmacéuticamente aceptables o no, tales como agua, etanol, y similares. Las formas solvatadas de los compuestos descritos actualmente están dentro del alcance de las realizaciones descritas aquí. Un “hidrato” es un complejo formado por una combinación de moléculas de agua con moléculas o iones del soluto.
“Sulfonamida” se refiere al grupo o resto -SO2amino o -N(RC)sulfonilo, en el que RC es H, alifático, arilo, heteroalifático, cíclico y heterocíclico, incluyendo heteroarilo.
“Sulfanilo” se refiere al grupo o resto -SH, -S-alifático, -S-arilo, -S-heteroalifático, -S-cíclico, -S-heterociclilo, incluyendo -S-heteroarilo.
“Sulfinilo” se refiere al grupo o resto -S(O)H, -S(O)alifático, -S(O)arilo, -S(O)heteroalifático, -S(O)cíclico, -S(O)heterociclilo, -S(O)heteroarilo.
“Sulfonilo” se refiere al grupo: -SO2H, -SO2alifático, -SO2arilo, -SO2heteroalifático, -SO2cíclico, -SO2heterociclilo, incluyendo -SO2 heteroarilo.
“Tratando” o “tratamiento”, como se usa aquí, se refiere al tratamiento de una enfermedad o afección de interés en un paciente o sujeto, incluyendo sujetos humanos o animales, particularmente un ser humano que tiene la enfermedad o afección de interés, e incluye, a modo de ejemplo, y sin limitación: (i)
(i) evitar que la enfermedad o afección ocurra en un paciente o sujeto, en particular, cuando dicho paciente o sujeto está predispuesto a la afección pero aún no se le ha diagnosticado que la tiene;
(ii) inhibir la enfermedad o afección, por ejemplo detener o ralentizar su desarrollo;
(iii) aliviar la enfermedad o afección, por ejemplo causar regresión de la enfermedad o afección o un síntoma de la misma; o
(iv) estabilizar la enfermedad o afección.
Como se usa aquí, los términos “enfermedad” y “afección” pueden usarse indistintamente, o pueden ser diferentes en el sentido de que la enfermedad o afección particular puede no tener un agente etiológico conocido (de modo que la etiología aún no se ha determinado) y, por lo tanto, no es reconocida aún como una enfermedad sino solo como una afección o síndrome indeseable, en la que los médicos han identificado un conjunto más o menos específico de síntomas.
Las definiciones anteriores y las siguientes fórmulas generales no pretenden incluir patrones de sustitución no permitidos (por ejemplo, metilo sustituido con 5 grupos fluoro). Tales patrones de sustitución inadmisibles son fácilmente reconocidos por una persona que tiene una pericia normal en la técnica.
Cualquiera de los grupos a los que se hace referencia aquí puede estar opcionalmente sustituido con al menos uno, posiblemente dos o más sustituyentes como se define aquí. Es decir, un grupo sustituido tiene al menos uno, posiblemente dos o más hidrógenos sustituibles reemplazados por un sustituyente o sustituyentes como se define aquí, a menos que el contexto indique lo contrario o una fórmula estructural particular impida la sustitución.
Una persona de pericia normal en la técnica apreciará que los compuestos pueden exhibir los fenómenos de tautomería, isomería conformacional, isomería geométrica, y/o isomería óptica. Por ejemplo, ciertos compuestos descritos pueden incluir uno o más centros quirales y/o dobles enlaces y, como consecuencia, pueden existir como estereoisómeros, tales como isómeros de doble enlace (es decir, isómeros geométricos), enantiómeros, diastereómeros, y mezclas de los mismos, tales como mezclas racémicas. Como otro ejemplo, ciertos compuestos descritos pueden existir en varias formas tautoméricas, que incluyen la forma enol, la forma ceto, y sus mezclas. Puesto que los diversos nombres de compuestos, fórmulas y dibujos de compuestos dentro de la memoria descriptiva y las reivindicaciones pueden representar solo una de las posibles formas tautoméricas, isoméricas conformacionales, isoméricas ópticas, o isoméricas geométricas, se entenderá que los compuestos descritos abarcan cualesquiera formas tautoméricas, isoméricas conformacionales, isoméricas ópticas, y/o isoméricas geométricas de los compuestos descritos aquí, así como mezclas de estas diversas formas isoméricas diferentes, a menos que el contexto indique que se pretende un solo isómero de este tipo. En casos de rotación limitada, por ejemplo alrededor del enlace de amida o entre dos anillos unidos directamente, tales como los anillos de tiazol y piridilo, también son posibles los atropisómeros, y también se incluyen específicamente en los compuestos de la invención.
II. Compuestos de benzazol y composiciones de los mismos
A. Compuestos de benzazol
Se describen aquí compuestos de benzazol, métodos para preparar los compuestos, y métodos para usar los compuestos. En una realización, los compuestos descritos son inhibidores de tirosina cinasa. En una realización particular, los compuestos son útiles para bloquear una o más rutas de señalización de citocinas, tales como la ruta de señalización de IL-17. Para ciertas realizaciones, los compuestos de benzazol son útiles para tratar afecciones en las que la inhibición de una ruta de cinasa asociada al receptor de interleucina-1 (IRAK) es terapéuticamente útil. En algunas realizaciones, los compuestos inhiben directamente una proteína IRAK, tal como IRAK1, IRAK2, IRAK3 o IRAK4.
Los compuestos de benzazol ejemplares dentro del alcance de la presente descripción tienen una fórmula general I
o una sal farmacéuticamente aceptable, disolvente, hidrato, N-óxido, profármaco, o combinación de los mismos. Con respecto a la fórmula I, Het-1 es un heteroarilo; X es O S; Y es O N; y Z es S o CR9. R1 y R2 son independientemente H; alifático, que incluye alquilo, alquenilo, alquinilo, cicloalquilo y cicloalquenilo; heteroalifático; heterociclilo, que incluye heteroarilo y heterocicloalifático; arilo o aralifático; o, junto con el nitrógeno al que están unidos, forman un anillo heterocíclico opcionalmente sustituido. R3, R4, R6 y R9 son independientemente H; alifático, que incluye alquilo, alquenilo, alquinilo, cicloalquilo, cicloalquenilo y cicloalquinilo; halógeno; heteroalifático; -O-alifático, tal como alcoxi;
heterociclilo, que incluye heteroarilo y heterocicloalifático; arilo; aralifático; -O-heterociclilo; hidroxilo; nitro; ciano; carboxilo; éster carboxílico; acilo; amida; amino; sulfonilo; sulfonamida; sulfanilo; sulfinilo; o haloalquilo; R5 es amino, arilo o heteroarilo; R7 es H; alifático, que incluye alquilo, alquenilo, alquinilo, cicloalquilo y cicloalquenilo; heteroalifático; heterociclilo, que incluye heteroarilo y heterocicloalifático; arilo o aralifático; o dos grupos adyacentes, tales como R7 y R6 y/o R6 y R9, independientemente, juntos pueden formar un anillo de arilo, heteroarilo, cicloalifático o heterociclilo. Cada R8 independientemente es alifático, que incluye alquilo, alquenilo, alquinilo, cicloalquilo, cicloalquenilo y cicloalquinilo; halógeno; heteroalifático; -O-alifático, tal como alcoxi; heterociclilo, que incluye heteroarilo y heterocicloalifático; arilo; aralifático; -O-heterociclilo; hidroxilo; nitro; ciano; carboxilo; éster carboxílico; acilo; amida; amino; sulfonilo; sulfonamida; sulfanilo; sulfinilo; o haloalquilo; y m es de 0 a 6, tal como de 0 a 1,2, 3, 4, 5 o al menos 6. Het-1 puede estar sin sustituir (cuando m es 0) o sustituido. Si Het-1 no está sustituido, una persona de pericia normal en la técnica apreciará que hay suficientes hidrógenos implícitos en todos los carbonos y heteroátomos para satisfacer los requisitos de valencia. En realizaciones particulares de los compuestos de benzazol descritos, cada R8 independientemente se selecciona de halo, haloalquilo de C1-6, tal como -CF3 , -CF2 H y -CH2CF3 , alquilo C1-6, -Oalquilo de C1-6, amino o -CH2OP(O)(OR24)2 , en el que cada R24 es independientemente H, alquilo de C1-6 o un contraión que forma, por ejemplo, una sal de adición de base farmacéuticamente aceptable con el resto de fosfato. En ciertas realizaciones, al menos un R8 es amino, tal como -NH2 ; alquilo, tal como alquilo de C1-C6 , tal como metilo; o haloalquilo, tal como -CF3 , -CF2 H o -CH2CF3. En realizaciones particulares, m es 1 y R8 es -NH2 o metilo.
Para ciertas realizaciones, Het-1 puede ser un heteroarilo monocíclico de 5 o 6 miembros opcionalmente sustituido o un heteroarilo condensado que comprende un heteroarilo de 5 y/o 6 miembros. En algunos ejemplos, Het-1 es furano; tiofeno; pirazol; pirrol; imidazol; oxazol; tiazol; isoxazol; isotiazol; triazol, tal como 1,2,3-triazol, 1,2,4-triazol, o 1,3,4-triazol; oxadiazol, tal como 1,2,3-oxadiazol, 1,2,4-oxadiazol, 1,3,4-oxadiazol o 1,2,5-oxadiazol; tiadiazol, tal como 1,2,3-tiadiazol, 1,2,4-tiadiazol, 1,3,4-tiadiazol o 1,2,5-tiadiazol; tetrazol; pirimidina; piridina; triazina, tal como 1,2,3-triazina, 1,2,4-triazina o 1,3,5-triazina; pirazina; piridazina; quinolina; isoquinolina; indol; isoindol; benzofurano; benzotiofeno; benzoimidazol; benzopirazol; benzotriazol; o pirrolopiridina, tal como pirrolo[2,3-b]piridina, pirrolo[3,2-b]piridina, pirrolo[2,3-c]piridina, pirrolo[3,2-c]piridina, pirrolo[3,4-b]piridina o pirrolo[3,4-c]piridina. En ejemplos particulares, Het-1 es pirazol, piridina o pirrolo[2,3-b]piridina, tal como pirazol-1-ilo, pirazol-3-ilo, pirazol-4-ilo, pirazol-5-ilo, piridin-2-ilo, piridin-3-ilo, piridin-4-ilo, pirrolo[2,3-b]piridin-5-ilo, pirrolo[2,3-b]piridin-2-ilo, pirrolo[2,3-b]piridin-3-ilo, pirrolo[2,3-b]piridin-4-ilo o pirrolo[2,3-b]piridin-6-ilo.
Los ejemplos de tales grupos Het-1 están representados por
en los que R10 y R23 se seleccionan de H, alifático, heteroalifático, -O-alifático, heterociclilo, arilo, aralifático, -O-heterociclilo, hidroxilo, ciano, carboxilo, éster carboxílico, acilo, amida, amino, sulfonilo, sulfonamida, o haloalquilo.
En realizaciones particulares,
se selecciona de
En ciertas realizaciones, R5 es amino, arilo o heterociclilo. En algunas realizaciones, R5 es amino que tiene una fórmula -NRR en la que cada R es independientemente H o alifático, o ambos grupos R, junto con el nitrógeno unido a los mismos, forman un anillo heterocíclico. En cierta realización, R5 es un amino cíclico seleccionado de
En otras realizaciones, R5 se selecciona de
En algunas realizaciones, R1 y R2, junto con el nitrógeno unido a los mismos, forman un anillo heterocíclico, típicamente un anillo heteroalifático. En ciertas realizaciones, el anillo heteroalifático es morfolina, piperidina o piperazina. En otras realizaciones, R1 y R2 son independientemente H, alifáticos o heteroalifáticos. En ciertos ejemplos, R1 es H o alquilo, tal como metilo, etilo, propilo o isopropilo. En otras realizaciones, R2 es alifático o heteroalifático. En ciertas realizaciones, R2 es alifático sustituido con un heterocicloalifático. En realizaciones particulares, el resto -N(R1)(R2) se selecciona de
en los que Ra es alifático, haloalquilo o acilo; n es 1 o 2; y p es 0, 1 o 2.
Ra puede ser alquilo, haloalquilo o acilo, tal como CH3 , CF3 , CF2H, o RbC(O)-. En algunas realizaciones, Rb es alifático o haloalquilo, tal como alquilo o haloalquilo, y en ciertas realizaciones, Rb es CH3 , CF3 o CF2H.
También con respecto a la fórmula I, Het-1 puede ser: 1A) un heteroarilo de 5 miembros; 1B) un heteroarilo de 6 miembros; 1C) un heteroarilo condensado; 1D) seleccionado de piridina, pirazol o pirrolopiridina; 1E) piridina; 1F) pirazol; 1G) pirrolopiridina; 1H) piridin-4-ilo; 1I) piridin-4-ilo sustituido al menos en la posición 2; 1 J) piridin-4-ilo sustituido al menos en la posición 2 con un resto alquilo; 1K) 2-metilpiridin-4-ilo; 1L) piridin-3-ilo; 1M) piridin-3-ilo sustituido al menos en la posición 6; 1N) piridin-3-ilo sustituido al menos en la posición 6 con un resto amino; 1O) 6-aminopiridin-3-ilo; 1P) pirazol-4-ilo; 1Q) pirazol-3-ilo; o 1R) pirrolo[2,3-b]piridin-5-ilo.
Con respecto a las realizaciones 1A a 1R de Het-1, R5 puede ser, en combinación con 1A a 1R: 2A) heterociclilo de 5 miembros; 2B) heterociclilo de 6 miembros; 2C) seleccionado de piperidina, morfolina o pirrolidina; 2d ) piperidina; 2E) morfolina; 2F) pirrolidina; 2G) piperidin-1-ilo; 2H) 4-fluoropiperidin-1-ilo; 21) 4,4-difluoropiperidin-1-ilo; 2J) 3-fluoropiperidin-1-ilo; 2K) 3,3-difluoropiperidin-1-ilo; 2L) pirrolidin-1-ilo; o 2M) morfolino.
Una persona de pericia normal en la técnica comprenderá que cualquiera de 2A a 2M puede combinarse con cualquiera de 1A a 1R, para formar cualquiera y todas las combinaciones entre tales sustituyentes.
Con respecto a las realizaciones 1A a 1R de Het-1 y las realizaciones 2A a 2M de R5, el resto -N(R1)(R2) puede ser, en cualquier combinación con 1A a 1R y 2A a 2M: 3A) heterociclilo; 3B) seleccionado de modo que R1 y R2 son independientemente H, alifáticos o heteroalifáticos; 3C) morfolina; 3D) piperidina; 3E) piperazina; 3F) 4-metil-1-piperazinilo; 3G) morfolino; 3H) piperidin-1 -ilo; 31) seleccionado de tal manera que R1 es alquilo y R2 es heteroalifático; 3J) seleccionado de tal manera que R1 es H o alquilo y R2 es alquilo sustituido con un heterocicloalifático; 3K) N-(2-metoxietil)-N-metilamino; 3L) N-metil-N-(2-morfolinoetil)amino; o 3M) (2-morfolinoetil)amino.
Una persona de pericia normal en la técnica comprenderá que cualquiera de 3A a 3M puede combinarse con cualquiera de 1A a 1R y 2A a 2M, para formar cualquiera y todas las combinaciones entre dichos sustituyentes. Con respecto a las realizaciones 1A a 1R de Het-1, las realizaciones 2A a 2M de R5, y las realizaciones 3A a 3M del resto -N(R1)(R2), X pueden ser, en cualquier combinación con 1A a 1R, 2A a 2M y 3A a 3M: 4A) oxígeno; o 4B) azufre. Una persona de pericia normal en la técnica comprenderá que 4A o 4B se pueden combinar con cualquiera de 1A a 1R, 2A a 2M y 3A a 3M, para formar cualquiera y todas las combinaciones entre dichos sustituyentes.
Con respecto a las realizaciones 1A a 1R de Het-1, las realizaciones 2A a 2M de R5, las realizaciones 3A a 3M del resto -N(R1)(R2) y las realizaciones 4A a 4B de X, Y puede ser, en cualquier combinación con 1A a 1R, 2A a 2M, 3A a 3M y 4A a 4B: 5A) oxígeno; o 5B) azufre.
Un experto en la técnica entenderá que cualquiera de 5A o 5B puede combinarse con cualquiera de 1A a 1R, 2A a 2M, 3A a 3M y 4A a 4B, para formar cualquiera y todas las combinaciones entre dichos sustituyentes.
Con respecto a las realizaciones 1A a 1R de Het-1, las realizaciones 2A a 2M de R5, las realizaciones 3A a 3M del resto -N(R1)(R2), las realizaciones 4A a 4B de X, y las realizaciones 5A a 5B de Y, Z puede ser, en cualquier combinación con 1A a 1R, 2A a 2M, 3A a 3M, 4A a 4B y 5A a 5B: 6A) nitrógeno; o 6B) CH.
Un experto en la técnica entenderá que cualquiera de 6A o 6B puede combinarse con cualquiera de 1A a 1R, 2A a 2M, 3A a 3M, 4A a 4B y 5A a 5B para formar cualquiera y todas las combinaciones entre dichos sustituyentes. En algunas realizaciones de fórmula I, Y es O, y Z es CR9, que conduce a compuestos que tienen una fórmula II
En otras realizaciones de fórmula I, Y es S, y Z es N, lo que conduce a compuestos que tienen una fórmula III
Con respecto a las fórmulas II y III, R1, R2, R3, R4, R5, R6, R7, R8, R9, m, Het-1 y X son como se definieron previamente para la fórmula I.
En algunos ejemplos de fórmula I, Het-1 es pirazol, piridina o pirrolopiridina, lo que conduce a compuestos que tienen una fórmula seleccionada de
o
Con respecto a las fórmulas IV, V y VI, R1, R2, R3, R4, R5, R6, R7, R8, R9, X, Y Z son como se definieron previamente para la fórmula I, y R10 y R23 se seleccionan de H, alifático, heteroalifático, -O-alifático, heterociclilo, arilo, aralifático, -O-heterociclilo, hidroxilo, ciano, carboxilo, éster carboxílico, acilo, amida, amino, sulfonilo, sulfonamida, o haloalquilo. Ciertos sustituyentes, tal como R8, en estas fórmulas, no se muestran directamente enlazados a un átomo en el anillo. Esto indica que los sustituyentes pueden enlazarse a cualquier posición disponible o combinaciones de posiciones en el anillo. Esta es una consideración particular cuando el sustituyente es distinto de hidrógeno.
En algunas realizaciones de fórmula IV, el compuesto tiene una fórmula seleccionada de
Con respecto a las fórmulas VII y VIII, R1, R2, R3, R4, R5, R6, R7, R9, X, Y Z son como se definieron previamente para la fórmula I. R10 es H, alifático, arilo o heterociclilo. R11, R12 y R13 son independientemente H; alifático, que incluye alquilo, alquenilo, alquinilo, cicloalquilo, cicloalquenilo y cicloalquinilo; halógeno heteroalifático; -O-alifático, tal como alcoxi; heterociclilo, que incluye heteroarilo y heterocicloalifático; arilo; aralifático; -O-heterociclilo; hidroxilo; nitro; ciano; carboxilo; éster carboxílico; acilo; amida; amino; sulfonilo; sulfonamida; sulfanilo; sulfinilo; o haloalquilo. En algunos ejemplos, R10, R11, R12 y R13 son todos H.
En algunas realizaciones de fórmula V, el compuesto tiene una fórmula seleccionada de
Con respecto a las fórmulas IX y X, R1, R2, R3, R4, R5, R6, R7, R9, X, Y Z son como se definieron previamente para la fórmula I, y R14, R15, R16, R17 y R18 son independientemente H; alifático, que incluye alquilo, alquenilo, alquinilo, cicloalquilo, cicloalquenilo y cicloalquinilo; halógeno; heteroalifático; -O-alifático, tal como alcoxi; heterociclilo, que incluye heteroarilo y heterocicloalifático; arilo; aralifático; -O-heterociclilo; hidroxilo; nitro; ciano; carboxilo; éster carboxílico; acilo; amida; amino; sulfonilo; sulfonamida; sulfanilo; sulfinilo; o haloalquilo.
En algunas realizaciones de fórmula IX, R14 es alquilo, y puede ser alquilo inferior, particularmente alquilo de C1-6, tal como metilo. En otras realizaciones de fórmula IX, R15, R16 y R17 son H.
En algunas realizaciones de fórmula X, R14 es amino, y puede ser NH2. En otras realizaciones de fórmula X, R15 es alquilo, y puede ser alquilo de C1-C6 tal como metilo. En ciertas realizaciones de fórmula X, R15, R16 y R18 son H.
En algunas realizaciones de fórmula VI, el compuesto tiene una fórmula XI
Con respecto a la fórmula XI, R1, R2, R3, R4, R5, R6, R7, R9, X, Y Z son como se definieron previamente para la fórmula I. R19, R20, R21 y R22 son independientemente H; alifático, que incluye alquilo, alquenilo, alquinilo, cicloalquilo, cicloalquenilo y cicloalquinilo; halógeno; heteroalifático; -O-alifático, tal como alcoxi; heterociclilo, que incluye heteroarilo y heterocicloalifático; arilo; aralifático; -O-heterociclilo; hidroxilo; nitro; ciano; carboxilo; éster carboxílico; acilo; amida; amino; sulfonilo; sulfonamida; sulfanilo; sulfinilo; o haloalquilo. R23 es H, alifático, arilo o heterociclilo. En algunas realizaciones de fórmula XI, R19, R20, R21, R22 y R23 son H.
En algunas realizaciones de fórmula II, el compuesto tiene una fórmula seleccionada de
En algunas realizaciones de fórmula III, el compuesto tiene una fórmula seleccionada de
Con respecto a las fórmulas XII a XXXI, R1, R2, R3, R4, R5, R6, R7, R9, R10, R11, R12, R13, R14, R15, R16, R17, R18, R19, R20, R21, R22 y R23 son como se describieron anteriormente para las fórmulas I a XI. En algunos ejemplos, R3, R4, R6, R7, R10, R11, R12, R13, R15, R16, R17, R18, R19, R20, R21, R22 y/o R23 son H y/o R14 es H, alquilo, tal como metilo, o amino, tal como -NH2.
En algunas realizaciones de fórmulas I-XXXI, R3, R4, R6 y/o R7 son H.
Los compuestos ejemplares según la fórmula I incluyen, sin limitación, los compuestos en la tabla a continuación y/o sus sales farmacéuticamente aceptables:
Los compuestos ejemplares según la fórmula I incluyen, sin limitación, los compuestos enumerados a continuación y sus sales farmacéuticamente aceptables:
I-1: 5-(6-aminopiridin-3-il)-N-(2-morfolino-5-(piperidin-1-il)benzo[d]oxazol-6-il)furan-2-carboxamida;
I-2: N-(2-morfolino-5-(piperidin-1 -il)benzo[d]oxazol-6-il)-5-(1 H-pirrolo[2,3-b]piridin-5-il)furan-2-carboxamida;
I-3: N-(2-morfolino-5-(piperidin-1-il)benzo[d]oxazol-6-il)-5-(1 H-pirazol-4-il)furan-2-carboxamida;
I-4: N-(2-morfolino-5-(piperidin-1-il)benzo[d]oxazol-6-il)-5-(1 H-pirazol-3-il)furan-2-carboxamida;
I-5: 5-(6-aminopiridin-3-il)-N-(2-morfolino-5-(piperidin-1-il)benzo[d]tiazol-6-il)furan-2-carboxamida;
I-6: N-(2-morfolino-5-(piperidin-1-il)benzo[d]tiazol-6-il)-5-(1 H-pirrolo[2,3-b]piridin-5-il)furan-2-carboxamida;
I-7: N-(2-morfolino-5-(piperidin-1 -il)benzo[d]tiazol-6-il)-5-(1 H-pirazol-4-il)furan-2-carboxamida;
I-8: N-(2-morfolino-5-(piperidin-1-il)benzo[d]tiazol-6-il)-5-(1 H-pirazol-3-il)furan-2-carboxamida;
I-9: 5-(2-metilpiridin-4-il)-N-(2-morfolino-5-(piperidin-1-il)benzo[d]tiazol-6-il)furan-2-carboxamida;
I-10: 5-(2-metilpiridin-4-il)-N-(2-morfolino-5-(piperidin-1-il)benzo[d]oxazol-6-il)furan-2-carboxamida;
I-11: 2-(6-aminopiridin-3-il)-N-(2-morfolino-5-(piperidin-1 -il)benzo[d]oxazol-6-il)tiazol-4-carboxamida;
I-12: N-(2-morfolino-5-(piperidin-1 -il)benzo[d]oxazol-6-il)-2-(1 H-pirazol-4-il)tiazol-4-carboxamida;
I-13: N-(2-morfolino-5-(piperidin-1 -il)benzo[d]oxazol-6-il)-2-(1 H-pirazol-3-il)tiazol-4-carboxamida;
I-14: 2-(2-metilpiridin-4-il)-N-(2-morfolino-5-(piperidin-1-il)benzo[d]oxazol-6-il)tiazol-4-carboxamida;
I-15: 5-(6-aminopiridin-3-il)-N-(2-(4-metilpiperazin-1 -il)-5-(piperidin-1 -il)benzo[d]oxazol-6-il)furan-2-carboxamida; I-16: N-(2-(4-metilpiperazin-1 -il)-5-(piperidin-1 -il)benzo[d]oxazol-6-il)-5-(1 H-pirazol-4-il)furan-2-carboxamida;
I-17: N-(2-(4-metilpiperazin-1 -il)-5-(piperidin-1 -il)benzo[d]oxazol-6-il)-5-(1 H-pirazol-3-il)furan-2-carboxamida;
I-18: N-(2-(4-metilpiperazin-1 -il)-5-(piperidin-1 -il)benzo[d]oxazol-6-il)-5-(2-metilpiridin-4-il)furan-2-carboxamida;
I-19: 2-(6-aminopiridin-3-il)-N-(2-(4-metilpiperazin-1 -il)-5-(piperidin-1 -il)benzo[d]oxazol-6-il)tiazol-4-carboxamida; I-20: N-(2-(4-metilpiperazin-1 -il)-5-(piperidin-1 -il)benzo[d]oxazol-6-il)-2-(1 H-pirazol-4-il)tiazol-4-carboxamida;
I-21: N-(2-(4-metilpiperazin-1 -il)-5-(piperidin-1 -il)benzo[d]oxazol-6-il)-2-(1 H-pirazol-3-il)tiazol-4-carboxamida;
I-22: N-(2-(4-metilpiperazin-1-il)-5-(piperidin-1-il)benzo[d]oxazol-6-il)-2-(2-metilpiridin-4-il)tiazol-4-carboxamida; I-23: N-(5-(4-fluoropiperidin-1-il)-2-morfolinobenzo[d]oxazol-6-il)-5-(1 H-pirazol-4-il)furan-2-carboxamida;
I-24: N-(5-(4-fluoropiperidin-1-il)-2-morfolinobenzo[d]oxazol-6-il)-5-(2-metilpiridin-4-il)furan-2-carboxamida;
I-25: N-(5-(4-fluoropiperidin-1-il)-2-morfolinobenzo[d]oxazol-6-il)-2-(1 H-pirazol-4-il)tiazol-4-carboxamida;
I-26: N-(5-(4-fluoropiperidin-1-il)-2-morfolinobenzo[d]oxazol-6-il)-2-(2-metilpiridin-4-il)tiazol-4-carboxamida;
I-27: N-(5-(4,4-difluoropiperidin-1 -il)-2-morfolinobenzo[d]oxazol-6-il)-5-(1 H-pirazol-4-il)furan-2-carboxamida;
I-28: N-(5-(4,4-difluoropiperidin-1-il)-2-morfolinobenzo[d]oxazol-6-il)-5-(2-metilpiridin-4-il)furan-2-carboxamida; I-29: N-(5-(4,4-difluoropiperidin-1-il)-2-morfolinobenzo[d]oxazol-6-il)-2-(1 H-pirazol-4-il)tiazol-4-carboxamida;
I-30: N-(5-(4,4-difluoropiperidin-1-il)-2-morfolinobenzo[d]oxazol-6-il)-2-(2-metilpiridin-4-il)tiazol-4-carboxamida; I-31: N-(2,5-di(piperidin-1 -il)benzo[d]oxazol-6-il)-5-(1 H-pirazol-4-il)furan-2-carboxamida;
I-32: N-(2,5-di(piperidin-1 -il)benzo[d]oxazol-6-il)-5-(1 H-pirazol-3-il)furan-2-carboxamida;
I-33: N-(2,5-di(piperidin-1-il)benzo[d]oxazol-6-il)-5-(2-metilpiridin-4-il)furan-2-carboxamida;
I-34: 2-(6-aminopiridin-3-il)-N-(2,5-di(piperidin-1-il)benzo[d]oxazol-6-il)tiazol-4-carboxamida;
I-35: N-(2,5-di(piperidin-1 -il)benzo[d]oxazol-6-il)-2-(1 H-pirazol-4-il)tiazol-4-carboxamida;
I-36: N-(2,5-di(piperidin-1 -il)benzo[d]oxazol-6-il)-2-(1 H-pirazol-3-il)tiazol-4-carboxamida;
I-37: N-(2,5-di(piperidin-1-il)benzo[d]oxazol-6-il)-2-(2-metilpiridin-4-il)tiazol-4-carboxamida;
I-38: N-(5-(3-fluoropiperidin-1-il)-2-morfolinobenzo[d]oxazol-6-il)-5-(1 H-pirazol-4-il)furan-2-carboxamida;
I-39: N-(5-(3-fluoropiperidin-1-il)-2-morfolinobenzo[d]oxazol-6-il)-5-(2-metilpiridin-4-il)furan-2-carboxamida;
I-40: N-(5-(3-fluoropiperidin-1-il)-2-morfolinobenzo[d]oxazol-6-il)-2-(1 H-pirazol-4-il)tiazol-4-carboxamida;
I-41: N-(5-(3-fluoropiperidin-1-il)-2-morfolinobenzo[d]oxazol-6-il)-2-(2-metilpiridin-4-il)tiazol-4-carboxamida;
I-42: N-(5-(3,3-difluoropiperidin-1-il)-2-morfolinobenzo[d]oxazol-6-il)-5-(1 H-pirazol-4-il)furan-2-carboxamida;
I-43: N-(5-(3,3-difluoropiperidin-1-il)-2-morfolinobenzo[d]oxazol-6-il)-5-(2-metilpiridin-4-il)furan-2-carboxamida; I-44: N-(5-(3,3-difluoropiperidin-1-il)-2-morfolinobenzo[d]oxazol-6-il)-2-(1 H-pirazol-4-il)tiazol-4-carboxamida;
I-45: N-(5-(3,3-difluoropiperidin-1-il)-2-morfolinobenzo[d]oxazol-6-il)-2-(2-metilpiridin-4-il)tiazol-4-carboxamida; I-46: N-(2-morfolino-5-(pirrolidin-1-il)benzo[d]oxazol-6-il)-5-(1H-pirazol-4-il)furan-2-carboxamida;
I-47: N-(2-morfolino-5-(pirrolidin-1-il)benzo[d]oxazol-6-il)-2-(1H-pirazol-4-il)tiazol-4-carboxamida;
I-48: N-(2,5-dimorfolinobenzo[d]oxazol-6-il)-5-(1 H-pirazol-4-il)furan-2-carboxamida;
I-49: N-(2,5-dimorfolinobenzo[d]oxazol-6-il)-2-(1 H-pirazol-4-il)tiazol-4-carboxamida;
I-50: N-(2-((2-metoxietil)(metil)amino)-5-(piperidin-1-il)benzo[d]oxazol-6-il)-5-(1 H-pirazol-4-il)furan-2-carboxamida; I-51: N-(2-((2-metoxietil)(metil)amino)-5-(piperidin-1 -il)benzo[d]oxazol-6-il)-2-(1 H-pirazol-4-il)tiazol-4-carboxamida; I-52: N-(2-((2-morfolinoetil)amino)-5-(piperidin-1-il)benzo[d]oxazol-6-il)-2-(1 H-pirazol-4-il)tiazol-4-carboxamida; I-53: N-(2-(metil(2-morfolinoetil)amino)-5-(piperidin-1-il)benzo[d]oxazol-6-il)-5-(1 H-pirazol-4-il)furan-2-carboxamida; I-54: N-(2-(metil(2-morfolinoetil)amino)-5-(piperidin-1 -il)benzo[d]oxazol-6-il)-2-(1 H-pirazol-4-il)tiazol-4-carboxamida; o
I-55: N-(2-((2-morfolinoetil)amino)-5-(piperidin-1-il)benzo[d]oxazol-6-il)-5-(1 H-pirazol-4-il)furan-2-carboxamida.
B. Síntesis
Los compuestos de benzazol descritos se pueden preparar como se ejemplifica a continuación, y como entenderá una persona con experiencia ordinaria en la técnica en síntesis orgánica. Una síntesis ejemplar puede incluir la siguiente primera etapa de reacción según el Esquema 1:
Se hace reaccionar anilina 2 con CS2 en presencia de una base para formar benzazol 4. X es típicamente oxígeno o azufre, y LG1 es un grupo saliente. Los grupos salientes adecuados incluyen, pero no se limitan a, fluoruro, cloruro, bromuro, yoduro, mesilato o tosilato. La reacción se realiza en un disolvente adecuado, tal como un disolvente polar. Los disolventes adecuados incluyen, pero no se limitan a, alcoholes, tales como metanol, etanol, propanol, isopropanol, o combinaciones de los mismos. La base puede ser cualquier base que facilite la reacción. Las bases ejemplares incluyen, pero no se limitan a, hidróxidos, particularmente hidróxidos metálicos, tales como hidróxido de potasio, hidróxido de sodio e hidróxido de litio. La reacción se realiza a una temperatura adecuada para facilitar la reacción. Una reacción adecuada es típicamente de 50°C a 100°C.
A continuación se proporciona una segunda etapa de reacción en la síntesis ejemplar según el Esquema 2:
Se hace reaccionar el benzazol 4 con la amina 6 para formar el compuesto 8. La reacción se realiza en un disolvente adecuado para facilitar la reacción. Los disolventes adecuados incluyen disolventes apróticos, tales como dioxano. La reacción se calienta típicamente a una temperatura adecuada para facilitar la reacción, tal como de 60°C a 100°C. A continuación se proporciona una tercera etapa de reacción en la síntesis ejemplar según el Esquema 3:
El compuesto 8 se hace reaccionar con un agente y/o mezcla nitrante para formar el compuesto 10. Los agentes y/o mezclas nitrantes adecuados incluyen, pero no se limitan a, ácido nítrico tal como ácido nítrico fumante, ácido nítrico fumante/ácido sulfúrico, o ácido nítrico/anhídrido acético.
A continuación se proporciona una cuarta etapa de reacción en la síntesis ejemplar según el Esquema 4:
El compuesto 10 se hace reaccionar con la amina 12 para formar el compuesto 14. La reacción se realiza en un disolvente adecuado para facilitar la reacción. Los disolventes adecuados incluyen disolventes apróticos, tales como dioxano o acetonitrilo. La reacción puede realizarse en presencia de una base, tal como carbonato de potasio,
carbonato de sodio, trietilamina o diisopropiletilamina (DIEA). Alternativamente, se puede usar el exceso de amina como base, tal como usando dos o más equivalentes molares de la amina 12 en la reacción. La reacción se calienta típicamente a una temperatura adecuada para facilitar la reacción, tal como de 75°C a 120°C.
A continuación se proporciona una quinta etapa de reacción en la síntesis ejemplar según el Esquema 5:
El grupo funcional nitro en el compuesto 14 se reduce para formar el compuesto 16. Se puede usar cualquier agente reductor adecuado, tal como H2/paladio sobre carbono, H2/óxido de platino (IV), H2/níquel Raney, Fe/HCl, Fe/ácido acético, cinc/ácido, cinc/cloruro de amonio, o cloruro de estaño. La reacción se realiza en un disolvente adecuado, tal como alcohol, que incluye metanol, etanol, propanol o isopropanol; ácido acético; agua; o una combinación de los mismos. Un experto en la técnica apreciará que el compuesto 16 puede formarse como una base libre o una sal, tal como una sal de HCl o una sal de ácido acético, dependiendo del método utilizado para reducir el grupo nitro.
A continuación se proporciona una sexta etapa de reacción en la síntesis ejemplar según el Esquema 6:
El compuesto 16 se hace reaccionar con ácido carboxílico 18 para formar el compuesto 20. Y es oxígeno o azufre, y Z es nitrógeno o CR, en el que R es típicamente H o alifático. El ácido carboxílico 18 se activa por cualquier método adecuado, y después se hace reaccionar con la amina en el compuesto 16. Los métodos de activación adecuados incluyen, pero no se limitan a: formar el cloruro de ácido por tratamiento con cloruro de tionilo; por tratamiento con hexafluorofosfato de 3-óxido de 1-[bis(dimetilamino)metilen]-1H-1,2,3-triazolo[4,5-b]piridinio (HATU) y una base tal como diisopropiletilamina (DIEA); por tratamiento con carbonildiimidazol (CDI); o por tratamiento con una carbodiimida, tal como diciclohexilcarbodiimida (DCC) o 1-etil-3-(3-dimetilaminopropil)carbodiimida (EDC). La reacción se realiza en un disolvente adecuado para facilitar la reacción. Los disolventes adecuados incluyen, pero no se limitan a, cloroformo, diclorometano, dioxano, tolueno, acetonitrilo, DMF, tetrahidrofurano, o una combinación de los mismos.
A continuación se proporciona una séptima etapa de reacción en la síntesis ejemplar según el Esquema 7:
El compuesto 20 se acopla con el compuesto 22 para formar el compuesto 24 usando cualquier reacción de acoplamiento adecuada para formar un enlace entre dos anillos. En el ejemplo anterior, se muestra un acoplamiento de ácido borónico, en el que el grupo saliente LG2 en el compuesto 20 es halo, tal como bromo o yodo. Otros grupos funcionales de acoplamiento adecuados incluyen trialquil estaño o ésteres borónicos, tales como un éster de pinacol de ácido borónico. La reacción de acoplamiento típicamente transcurre en presencia de un catalizador adecuado. Para un acoplamiento de ácido borónico, el catalizador es típicamente un catalizador de paladio, tal como PdCl2(dppf)2 , acetato de paladio y trifenilfosfina, o tetraquis(trifenilfosfina)paladio(0). La reacción se realiza en presencia de una base, tal como carbonatos metálicos, incluyendo carbonato de sodio, potasio o cesio, y se realiza en un disolvente adecuado o una mezcla de disolventes, tal como dioxano/agua o DME/etanol/agua. La reacción puede calentarse a
una temperatura adecuada, tal como de 50°C a 140°C, típicamente alrededor de 120°C, y/o agitarse durante un período de tiempo adecuado, tal como de 1 hora a 3 días, de 6 horas a 24 horas, o de 12 horas a 18 horas, para facilitar la reacción hasta su finalización. La reacción se puede realizar en un microondas, lo que típicamente reduce el tiempo de reacción. El compuesto 24 se aísla entonces de la mezcla de reacción y se purifica mediante una técnica adecuada.
C. Agentes terapéuticos adicionales para la combinación
Los compuestos de la presente invención pueden usarse solos, en combinación entre sí, o como un complemento de, o en combinación con, otras terapias establecidas. En otro aspecto, los compuestos de la presente invención pueden usarse en combinación con otros agentes terapéuticos útiles para el trastorno o afección que se está tratando. Estos compuestos pueden administrarse simultánea o secuencialmente en cualquier orden. Los compuestos pueden administrarse dentro de un período de tiempo tal que un sujeto experimente un efecto beneficioso superpuesto tanto del compuesto de benzazol como del agente o agentes terapéuticos adicionales. El compuesto de benzazol y el o los agentes terapéuticos adicionales pueden administrarse por la misma vía de administración, o por una vía diferente. Se pretende específicamente que los presentes compuestos se administren en combinación con uno o más agentes terapéuticos adicionales, incluso en combinación con uno o más agentes descritos en esta sección.
En algunas realizaciones, el segundo agente terapéutico es un analgésico, un antibiótico, un anticoagulante, un anticuerpo, un agente antiinflamatorio, un inmunosupresor, un agonista de guanilato ciclasa-C, un secretagogo intestinal, un antiviral, anticancerígeno, antifúngico, o una combinación de los mismos. El agente antiinflamatorio puede ser un agente antiinflamatorio esteroideo o no esteroideo. En ciertas realizaciones, el agente antiinflamatorio no esteroideo se selecciona de aminosalicilatos, inhibidores de ciclooxigenasa, diclofenaco, etodolaco, famotidina, fenoprofeno, flurbiprofeno, ketoprofeno, ketorolaco, ibuprofeno, indometacina, meclofenamato, ácido mefenámico, meloxicam, nambumetona, naproxeno, oxaprozina, piroxicam, salsalato, sulindaco, tolmetina, o una combinación de los mismos. En algunas realizaciones, el inmunosupresor es mercaptopurina, un corticosteroide, un agente alquilante, un inhibidor de calcineurina, un inhibidor de inosina monofosfato deshidrogenasa, globulina antilinfocítica, globulina antitimocítica, un anticuerpo anti-células T, o una combinación de los mismos. En una realización, el anticuerpo es infliximab.
En algunas realizaciones, los presentes compuestos pueden usarse con otros agentes anticancerígenos o citotóxicos. Varias clases de compuestos anticancerígenos y antineoplásicos para uso con los inhibidores descritos actualmente incluyen, pero no se limitan a, agentes alquilantes, antimetabolitos, alquiloides de la vinca, taxanos, antibióticos, enzimas, citocinas, complejos de coordinación de platino, ureas sustituidas, inhibidores de cinasas, hormonas y antagonistas hormonales, y agentes hipometilantes, por ejemplo inhibidores de DNMT, tales como azacitidina y decitabina. Los agentes alquilantes ejemplares incluyen, sin limitación, meclorotamina, ciclofosfamida, ifosfamida, melfalano, clorambucilo, etileniminas, metilmelaminas, alquilsulfonatos (por ejemplo, busulfano), y carmustina. Los ejemplos de antimetabolitos incluyen, a modo de ejemplo y sin limitación, análogo de ácido fólico metotrexato; análogo de pirimidina fluorouracilo, citosina arbinósido; análogos de purina mercaptopurina, tioguanina, y azatioprina. Los ejemplos de alcaloides de la vinca incluyen, a modo de ejemplo y sin limitación, vinblastina, vincristina, paclitaxel, y colchicina. Los antibióticos ejemplares incluyen, a modo de ejemplo y sin limitación, actinomicina D, daunorrubicina y bleomicina. Una enzima ejemplar eficaz como agente antineoplásico incluye L-asparaginasa. Los compuestos de coordinación ejemplares incluyen, a modo de ejemplo y sin limitación, cisplatino y carboplatino. Las hormonas ejemplares y los compuestos relacionados con hormonas incluyen, a modo de ejemplo y sin limitación, adrenocorticosteroides prednisona y dexametasona; inhibidores de aromatasa amino glutetimida, formestano y anastrozol; compuestos de progestina caproato de hidroxiprogesterona, medroxiprogesterona; y el compuesto antiestrógeno tamoxifeno.
Otros agentes quimioterapéuticos para combinación incluyen agentes inmunooncológicos, tales como anticuerpos anti-PD-1 y/o anti-PD-L1, tales como nivolumab, pembrolizumab, lambrolizumab, pidilizumab, BMS-936559, MPDL3280A, AMP-224 o MEDI4736; anticuerpos anti-CTLA-4, tales como ipilimumab o tremelimumab; anticuerpos anti-KIR, tales como lirilumab; anticuerpos anti-LAG3, tales como BMS-986016; anticuerpos anti-CD137, tales como urelumab; anticuerpos anti-SLAM, tales como anti-SLAMF7, por ejemplo elotuzumab; inhibidores de PI3K, tales como idelalisib, AZD8186, INCB40093 e INCB50465; e inhibidores indol dioxigenasa (IDO) y/o de triptófano dioxigenasa (TDO), tales como 1 -metiltriptófano, indoximod, NSC 36398 (dihidroquercetina, taxifolina), NLG919, INCB024360 (epacodostat), y F001287. En realizaciones particulares, dos o más agentes inmunooncológicos se combinan con un compuesto de benzazol descrito. Típicamente, los agentes inmunooncológicos en tales combinaciones actúan sobre diferentes dianas. Por ejemplo, la combinación de un agente anti-PD-1, tal como nivolumab, con un agente anti-CTLA-4, tal como ipilimumab, es particularmente útil en combinación con un compuesto de benzazol.
En algunas realizaciones, el compuesto de benzazol puede usarse en combinación con un agente inmunooncológico y/o con otros agentes anticancerígenos o citotóxicos. En realizaciones particulares, los presentes compuestos se combinan con un agente inmunooncológico y se combinan adicionalmente con uno o más agentes del estándar de atención actual para una neoplasia maligna dada. La siguiente tabla muestra cánceres ejemplares tratables en las terapias de combinación que comprenden los compuestos de benzazol descritos actualmente y enumera tratamientos
adicionales para su uso en combinación con los compuestos de benzazol y el agente inmunooncológico descritos aquí:
Estos y otros compuestos anticancerígenos útiles se describen en el Índice de Merck, 13a Ed. (O’Neil M. J. et al., ed) Merck Publishing Group (2001), y Goodman y Gilmans The Pharmacological Basis of Therapeutics, 10a Edition, Hardman, J. G. and Limbird, L. E. eds., p. 1381-1287, McGraw Hill, (1996), los cuales se incorporan aquí como referencia.
Entre los anticuerpos CTLA 4 que se pueden usar en combinación con los inhibidores descritos actualmente se encuentra ipilimumab, comercializado como YERVOY® por Bristol-Myers Squibb.
Los compuestos antiproliferativos adicionales, útiles en combinación con los compuestos de la presente invención, incluyen, a modo de ejemplo y sin limitación, anticuerpos dirigidos contra receptores del factor de crecimiento (por ejemplo, anti-Her2); y citocinas tales como interferón-a e interferón-y, interleucina-2, y GM-CSF.
En realizaciones particulares, que incluyen el tratamiento de leucemias, que incluyen CLL, linfoma de células del manto y ALL, los compuestos descritos actualmente se usan en combinación con un inhibidor de linfoma 2 de células B (BCL2), tal como ABT-199 o ABT737.
Los ejemplos de inhibidores de cinasas que son útiles en combinación con los compuestos descritos en el presente, particularmente en el tratamiento de neoplasias, incluyen: inhibidores de Btk, tales como ibrutinib; inhibidores de CDK, tales como palbociclib; inhibidores de EGFR, tales como afatinib, erlotinib, gefitinib, lapatinib y vandetinib; inhibidores de Mek, tales como trametinib; inhibidores de Raf, tales como dabrafenib, sorafenib y vemurafenib; inhibidores de VEGFR, tales como axitinib, lenvatinib, nintedanib y pazopanib; inhibidores de BCR-Abl, tales como bosutinib, dasatinib, imatinib y nilotinib; inhibidores de PI3-cinasa, tales como idelalisib; inhibidores de Syk, tales como fostamatinib; e inhibidores de JAK, tales como baricitinib, ruxolitinib y tofacitinib. En otras realizaciones, el segundo agente o agentes terapéuticos adicionales para la combinación con los inhibidores descritos en el presente pueden seleccionarse de cualquiera de los siguientes:
analgésicos - morfina, fentanilo, hidromorfona, oxicodona, codeína, acetaminofeno, hidrocodona, buprenorfina, tramadol, venlafaxina, flupirtina, meperidina, pentazocina, dextromoramida, dipipanona;
antibióticos - aminoglicósidos (por ejemplo, amikacina, gentamicina, kanamicina, neomicina, netilmicina, tobramicina y paromicina), carbapenems (por ejemplo, ertapenem, doripenem, imipenem, cilastatina y meropenem), cefalosporinas (por ejemplo cefadroxilo, cefazolina, cefalotina, cefalexina, cefaclor, cefamandol, cefoxitina, cefprozilo, cefuroxima, cefixima, cefdinir, cefditoren, cefoperazona, cefotaxima, cefpodoxima, ceftazidima, ceftibuteno, ceftizoxima, ceftriaxona, cefepima, y cefobiprol), glicopéptidos (por ejemplo, teicoplanina, vancomicina, y telavancina), lincosamidas (por ejemplo, clindamicina e incomisina), lipopéptidos (por ejemplo, daptomicina), macrólidos (azitromicina, claritromicina, diritromicina, eritromicina, roxitromicina, troleandomicina, telitromicina, y espectinomicina), monobactamas (por ejemplo, aztreonam), nitrofuranos (por ejemplo, furazolidona y nitrofurantoína), penicilinas (por ejemplo, amoxicilina, ampicilina, azlocilina, carbenicilina,
cloxacilina, dicloxacilina, flucloxacilina, mezlocilina, meticilina, nafcilina, oxacilina, penicilina G, penicilina V, piperacilina, temocilina, y ticarcilina), combinaciones de penicilina (por ejemplo, amoxicilina/clavulanato, ampicilina/sulbactam, piperacilina/tazobactam, y ticarcilina/clavulanato), polipéptidos (por ejemplo, bacitracina, colistina, y polimixina B), quinolonas (por ejemplo, ciprofloxacina, enoxacina, gatifloxacina, levofloxacina, lomefloxacina, moxifloxacina, ácido nalidíxico, norfloxacina, ofloxacina, trovafloxacina, grepafloxacina, esparfloxacina, y temafloxacina), sulfonamidas (por ejemplo, mafenida, sulfonamidocrisoidina, sulfacetamida, sulfadiazina, sulfadiazina de plata, sulfametizol, sulfametoxazol, sulfanilimida, sulfasalazina, sulfisoxazol, trimetoprim, y trimetoprim-sulfametoxazol), tetraciclinas (por ejemplo, demeclociclina, doxiciclina, minociclina, oxitetraciclina, y tetraciclina), compuestos antimicobacterianos (por ejemplo, clofazimina, dapsona, capreomicina, cicloserina, etambutol, etionamida, isoniazida, pirazinamida, rifampicina (rifampina), rifabutina, rifapentina, y estreptomicina), y otros, tales como arsfenamina, cloramfenicol, fosfomicina, ácido fusídico, linezolida, metronidazol, mupirocina, platensimicina, quinuprisina/dalfopristina, rifaximina, tiamfenicol, tigeciclina, y timidazol;
anticuerpos - anticuerpos anti-TNF-a, por ejemplo infliximab (Remicade™), adalimumab, golimumab, certolizumab; anticuerpos anticélulas B, por ejemplo, rituximab; anticuerpos anti-IL-6, por ejemplo, tocilizumab; anticuerpos anti-IL-1, por ejemplo, anakinra; anticuerpos anti-PD-1 y/o anti-PD-L1, por ejemplo nivolumab, pembrolizumab, pidilizumab, Bm S-936559, MPDL3280A, AMP-224, MEDI4736; ixekizumab, brodalumab, ofatumumab, sirukumab, clenoliximab, clazakiumab, fezakinumab, fletikumab, mavrilimumab, ocrelizumab, sarilumab, secukinumab, toralizumab, zanolimumab;
anticoagulantes - warfarina (Coumadin™), acenocumarol, fenprocumona, atromentina, fenindiona, heparina, fondaparinux, idraparinux, rivaroxaban, apixaban, hirudina, lepirudina, bivalirudina, argatrobam, dabigatran, ximelagatran, batroxobina, hementina;
agentes antiinflamatorios - esteroides, por ejemplo, budesonida, agentes antiinflamatorios no esteroideos, por ejemplo, aminosalicilatos (por ejemplo, sulfasalazina, mesalamina, olsalazina y balsalazida), inhibidores de la ciclooxigenasa (inhibidores de la COX-2, tales como rofecoxib, celecoxib), diclofenaco, etodolaco, famotidina, fenoprofeno, flurbiprofeno, ketoprofeno, ketorolaco, ibuprofeno, indometacina, meclofenamato, ácido mefenámico, meloxicam, nambumetona, naproxeno, oxaprozina, piroxicam, salsalato, sulindaco, tolmetina;
inmunosupresores - mercaptopurina, corticosteroides tales como dexametasona, hidrocortisona, prednisona, metilprednisolona y prednisolona, agentes alquilantes tales como ciclofosfamida, inhibidores de calcineurina tales como ciclosporina, sirolimus y tacrolimus, inhibidores de inosina monofosfato deshidrogenasa (IMPDH) tales como micofenolato, micofenolato mofetilo y azatioprina, y agentes diseñados para suprimir la inmunidad celular mientras deja intacta la respuesta inmunológica humoral del receptor, incluyendo diversos anticuerpos (por ejemplo, globulina antilinfocítica (ALG), globulina antitimocítica (ATG), anticuerpos monoclonales anti-células T (OKT3)) e irradiación. La azatioprina está actualmente disponible de Salix Pharmaceuticals, Inc., bajo la marca Azasan; mercaptopurina está actualmente disponible de Gate Pharmaceuticals, Inc. bajo la marca Purinethol; la prednisona y la prednisolona están disponibles actualmente de Roxane Laboratories, Inc.; la metilprednisolona está actualmente disponible de Pfizer; sirolimus (rapamicina) está actualmente disponible de Wyeth-Ayerst bajo la marca Rapamune; tacrolimus está actualmente disponible de Fujisawa bajo la marca Prograf; la ciclosporina está disponible actualmente de Novartis con la marca Sandimmune, y de Abbott bajo la marca Gengraf; los inhibidores de la IMPDH, tales como el micofenolato mofetilo y el ácido micofenólico, están disponibles actualmente de Roche bajo la marca Cellcept, y de Novartis bajo la marca Myfortic; la azatioprina está actualmente disponible de Glaxo Smith Kline bajo la marca Imuran; y los anticuerpos están disponibles actualmente de Ortho Biotech bajo la marca Orthoclone, de Novartis bajo la marca Simulect (basiliximab), y de Roche bajo la marca Zenapax (daclizumab); y
agonistas del receptor de guanilato ciclasa - C o secretagogos intestinales, por ejemplo linaclotida, vendidos bajo el nombre de Linzess.
Estos diversos agentes se pueden usar según sus dosis estándar o habituales, como se especifica en la información de prescripción que acompaña a las formas de los medicamentos disponibles comercialmente (véase también, la información de prescripción en la edición 2006 de The Physician’s Desk Reference), cuyas descripciones se incorporan aquí como referencia.
D. Composiciones que comprenden compuestos de benzazol
Los compuestos de benzazol descritos pueden usarse solos, en cualquier combinación, y en combinación con, o como complemento de, al menos un segundo agente terapéutico, y además los compuestos de benzazol, y el al menos un segundo agente terapéutico, pueden usarse en combinación con cualquier aditivo adecuado útil para formar composiciones para administración a un sujeto. Los aditivos pueden incluirse en composiciones farmacéuticas para una variedad de propósitos, tales como diluir una composición para administrar a un sujeto, facilitar el procesamiento de la formulación, proporcionar propiedades materiales ventajosas a la formulación, facilitar la dispersión desde un dispositivo de administración, para estabilizar la formulación (por ejemplo, antioxidantes o amortiguadores), para
proporcionar un sabor o consistencia agradable o palatable a la formulación, o similares. Los aditivos típicos incluyen, a modo de ejemplo y sin limitación: excipientes farmacéuticamente aceptables; portadores farmacéuticamente aceptables; y/o adyuvantes, tales como mono-, di- y polisacáridos, alcoholes de azúcar y otros polioles, tales como lactosa, glucosa, rafinosa, melezitosa, lactitol, maltitol, trehalosa, sacarosa, manitol, almidón, o combinaciones de los mismos; tensioactivos, tales como sorbitoles, difosfatidilcolina y lecitina; agentes de carga; amortiguadores, tales como amortiguadores de fosfato y citrato; antiadherentes, tales como estearato de magnesio; aglutinantes, tales como sacáridos (incluyendo disacáridos, tales como sacarosa y lactosa), polisacáridos (tales como almidones, celulosa, celulosa microcristalina, éteres de celulosa (tales como hidroxipropilcelulosa), gelatina, polímeros sintéticos (tales como polivinilpirrolidona, polialquilenglicoles); revestimientos (tales como éteres de celulosa, que incluyen hidroxipropilmetilcelulosa, goma laca, proteína de maíz, zeína y gelatina); adyuvantes de liberación (tales como revestimientos entéricos); disgregantes (tales como crospovidona, carboximetilcelulosa de sodio reticulada, y glicolato de almidón sódico); cargas (tales como fosfato de calcio dibásico, grasas y aceites vegetales, lactosa, sacarosa, glucosa, manitol, sorbitol, carbonato de calcio, y estearato de magnesio); sabores y edulcorantes (tales como menta, cereza, anís, melocotón, albaricoque o regaliz, frambuesa y vainilla; lubricantes (tales como minerales, ejemplificados por talco o sílice, grasas, ejemplificadas por estearina vegetal, estearato de magnesio o ácido esteárico); conservantes (tales como antioxidantes, ejemplificados por vitamina A, vitamina E, vitamina C, palmitato de retinilo, y selenio, aminoácidos, ejemplificados por cisteína y metionina, ácido cítrico y citrato de sodio, parabenos, ejemplificados por metil parabeno y propil parabeno); colorantes; auxiliares de la compresión; agentes emulsionantes; agentes de encapsulamiento; gomas; agentes de granulación; y combinaciones de los mismos.
III. Métodos de uso
A. Enfermedades/trastornos
Los compuestos de benzazol descritos, así como las combinaciones y/o composiciones de los mismos, pueden usarse para mejorar, tratar o prevenir una variedad de enfermedades y/o trastornos. En realizaciones particulares, el compuesto de benzazol, combinaciones de compuestos de benzazol, o composiciones de los mismos, pueden usarse para tratar o prevenir enfermedades autoinmunes, trastornos inflamatorios, enfermedades cardiovasculares, trastornos nerviosos, trastornos neurodegenerativos, trastornos alérgicos, asma, pancreatitis, insuficiencia multiorgánica, enfermedades renales, agregación plaquetaria, cáncer, trasplante, motilidad espermática, deficiencia de eritrocitos, rechazo de injerto, lesiones pulmonares, enfermedades respiratorias, afecciones isquémicas, infecciones bacterianas y/o infecciones virales.
En algunas realizaciones, el compuesto de benzazol, combinaciones de compuestos de benzazol, o composiciones de los mismos, pueden usarse para tratar o prevenir enfermedades alérgicas, esclerosis lateral amiotrófica (ELA), lupus eritematoso sistémico, artritis reumatoide, diabetes mellitus tipo I, enfermedad inflamatoria intestinal, cirrosis biliar, uveítis, esclerosis múltiple, enfermedad de Crohn, colitis ulcerosa, penfigoide ampolloso, sarcoidosis, psoriasis, miositis autoinmune, granulomatosis de Wegener, ictiosis, oftalmopatía de Graves o asma.
El compuesto de benzazol, combinaciones de compuestos de benzazol, o composiciones de los mismos, también pueden ser útiles para mejorar, tratar o prevenir trastornos reguladores inmunes relacionados con el rechazo de trasplante de médula ósea o de órganos o la enfermedad de injerto frente a hospedante. Los ejemplos de trastornos reguladores inflamatorios e inmunitarios que pueden tratarse con los presentes compuestos incluyen, pero no se limitan a, trasplante de órganos o tejidos, enfermedades de injerto frente a hospedante provocadas por trasplante, síndromes autoinmunes que incluyen artritis reumatoide, lupus eritematoso sistémico, tiroiditis de Hashimoto, esclerosis múltiple, esclerosis sistémica, miastenia grave, diabetes tipo I, uveítis, uveítis posterior, encefalomielitis alérgica, glomerulonefritis, enfermedades autoinmunes postinfecciosas que incluyen fiebre reumática y glomerulonefritis postinfecciosa, enfermedades inflamatorias e hiperproliferativas de la piel, psoriasis, dermatitis atópica, dermatitis de contacto, dermatitis eccematosa, dermatitis seborreica, liquen plano, pénfigo, penfigoide ampolloso, epidermólisis ampollosa, urticaria, angioedemas, vasculitis, eritema, eosinofilia cutánea, lupus eritematoso, acné, alopecia areata, queratoconjuntivitis, conjuntivitis estacional, uveítis asociada con la enfermedad de Behcet, queratitis, queratitis herpética, córnea cónica, distrofia epitelial de la córnea, leucoma corneal, pénfigo ocular, úlcera de Mooren, escleritis, oftalmopatía de Graves, síndrome de Vogt-Koyanagi-Harada, sarcoidosis, alergias al polen, enfermedad obstructiva reversible de las vías respiratorias, asma bronquial, asma alérgica, asma intrínseca, asma extrínseca, asma por polvo, asma crónica o inveterada, asma tardía, e hiperreactividad de las vías respiratorias, bronquitis, úlceras gástricas, daño vascular causado por enfermedades isquémicas y trombosis, enfermedades isquémicas intestinales, enfermedades inflamatorias intestinales, enterocolitis necrotizante, lesiones intestinales asociadas con quemaduras térmicas, celiaquías, proctitis, gastroenteritis eosinofílica, mastocitosis, enfermedad de Crohn, colitis ulcerosa, migraña, rinitis, eccema, nefritis intersticial, síndrome de Goodpasture, síndrome hemolíticourémico, nefropatía diabética, miositis múltiple, síndrome de Guillain-Barre, enfermedad de Meniere, polineuritis, neuritis múltiple, mononeuritis, radiculopatía, hipertiroidismo, enfermedad de Basedow, aplasia eritrocitaria pura, anemia aplásica, anemia hipoplásica, púrpura trombocitopénica idiopática, anemia hemolítica autoinmune, agranulocitosis, anemia perniciosa, anemia megaloblástica, aneritroplasia, osteoporosis, sarcoidosis, fibrosis pulmonar, neumonía intersticial idiopática, dermatomiositis, leucodermia vulgar, ictiosis vulgar, sensibilidad fotoalérgica, linfoma cutáneo de células T, leucemia linfocítica crónica, arteriosclerosis, aterosclerosis, síndrome de aortitis, panarteritis nudosa, miocarditis, esclerodermia, granuloma de Wegener, síndrome de Sjogren, adiposis,
fascitis eosinofílica, lesiones de la encía, periodoncia, hueso alveolar, sustancia ósea dentaria, glomerulonefritis, alopecia de patrón masculino o alopecia senil al prevenir la depilación o proporcionar germinación del cabello y/o promover la generación y el crecimiento del cabello, distrofia muscular, pioderma y síndrome de Sezary, enfermedad de Addison, lesión por isquemia-reperfusión de los órganos que ocurre después de la preservación, trasplante o enfermedad isquémica, choque endotóxico, colitis pseudomembranosa, colitis causada por fármacos o radiación, insuficiencia renal aguda isquémica, insuficiencia renal crónica, toxinosis causada por oxígeno pulmonar o fármacos, cáncer de pulmón, enfisema pulmonar, cataratas, siderosis, retinitis pigmentosa, degeneración macular senil, cicatrización vítrea, quemadura alcalina corneal, dermatitis eritematosa multiforme, dermatitis ampollosa por depósitos lineales de IgA y dermatitis por cemento, gingivitis, periodontitis, septicemia, pancreatitis, enfermedades causadas por contaminación ambiental, envejecimiento, carcinogénesis, metástasis de carcinoma e hipobaropatía, enfermedad causada por la liberación de histamina o leucotrienos-C4, enfermedad de Behcet, hepatitis autoinmune, cirrosis biliar primaria, colangitis esclerosante, resección hepática parcial, necrosis hepática aguda, necrosis causada por toxina, hepatitis viral, choque, o anoxia, hepatitis por virus B, hepatitis no A/no B, cirrosis, enfermedad hepática alcohólica, que incluye cirrosis alcohólica, esteatohepatitis no alcohólica (NASH), insuficiencia hepática, insuficiencia hepática fulminante, insuficiencia hepática de aparición tardía, insuficiencia hepática “aguda sobre crónica”, aumento del efecto quimioterapéutico, infección por citomegalovirus, infección por HCMV, SIDA, cáncer, demencia senil, enfermedad de Parkinson, trauma, o infección bacteriana crónica.
En ciertas realizaciones, los presentes compuestos son útiles para tratar trastornos nerviosos. Por ejemplo, los presentes compuestos pueden usarse para tratar el dolor nervioso, incluyendo el dolor neuropático y el dolor inducido por inflamación.
En ciertas realizaciones, el compuesto de benzazol, las combinaciones de compuestos de benzazol, o sus composiciones, son útiles para tratar y/o prevenir la enfermedad hepática alcohólica (esteatohepatitis), artritis reumatoide, artritis psoriásica, osteoartritis, lupus eritematoso sistémico, nefritis lúpica, espondilitis anquilosante, osteoporosis, esclerosis sistémica, esclerosis múltiple, psoriasis, en particular psoriasis pustulosa, diabetes tipo I, diabetes tipo II, enfermedad inflamatoria intestinal (incluyendo enfermedad de Crohn y colitis ulcerosa), hiperinmunoglobulinemia d y síndrome de fiebre periódica, síndromes periódicos asociados a la criopirina, síndrome de Schnitzler, artritis idiopática juvenil sistémica, enfermedad de Still de inicio en adultos, gota, seudogota, síndrome sapho, enfermedad de Castleman, septicemia, accidente cerebrovascular, aterosclerosis, celiaquía, DIRA (deficiencia del antagonista del receptor de II-1), enfermedad de Alzheimer, enfermedad de Parkinson.
Las enfermedades proliferativas que pueden tratarse con el compuesto de benzazol, combinaciones de compuestos de benzazol, o composiciones de los mismos, incluyen tumores benignos o malignos, tumores sólidos y tumores líquidos, incluyendo carcinoma de cerebro, riñón, hígado, glándula suprarrenal, vejiga, mama, cabeza y cuello, estómago, tumores gástricos, ovarios, colon, recto, próstata, páncreas, pulmón, vagina, cuello uterino, testículos, tracto genitourinario, esófago, laringe, piel, hueso o tiroides, sarcoma, glioblastomas, neuroblastomas, mieloma múltiple, cáncer gastrointestinal, especialmente carcinoma de colon o adenoma colorrectal, un tumor del cuello y cabeza, hiperproliferación epidérmica, psoriasis, hiperplasia de próstata, una neoplasia, una neoplasia de carácter epitelial, adenoma, adenocarcinoma, queratoacantoma, carcinoma epidermoide, carcinoma de células grandes, carcinoma pulmonar no microcítico, linfomas, enfermedad de Hodgkins y no de Hodgkin, un carcinoma mamario, carcinoma folicular, carcinoma indiferenciado, carcinoma papilar, seminoma, melanoma, trastornos impulsados por IL-1, un trastorno impulsado por MyD88 tal como el linfoma difuso de células B grandes de ABC (DLBCL), la macroglobulinemia de Waldenstrom, el linfoma de Hodgkin, el linfoma primario de células T cutáneas o la leucemia linfocítica crónica), el linfoma de derrame pleural, mieloma múltiple latente o indolente, o neoplasias hematológicas (incluyendo leucemia, DLBCL, ABC DLBCL, leucemia linfocítica crónica (CLL), linfoma linfocítico crónico, linfoma de efusión primaria, linfoma/leucemia de Burkitt, leucemia linfocítica aguda (ALL), leucemia prolinfocítica de células B, linfoma linfoplasmacítico, síndrome mielodisplásico, mielofibrosis, policitemia vera, sarcoma de Kaposi, macroglobulinemia de Waldenstrom (WM), linfoma de la zona marginal esplénica, mieloma múltiple, plasmacitoma, linfoma intravascular de células B grandes). En particular, los compuestos descritos en el presente son útiles en el tratamiento de neoplasias resistentes a fármacos, tales como aquellas resistentes a inhibidores de JAK, aquellas resistentes a inhibidores de IRAK, neoplasias resistentes a ibrutinib, incluyendo neoplasias hematológicas resistentes a ibrutinib, tales como CLL resistente a ibrutinib y macroglobulinemia de Waldenstrom resistente a ibrutinib.
Los ejemplos de trastornos alérgicos que pueden tratarse usando el compuesto de benzazol, las combinaciones de compuestos de benzazol, o sus composiciones, incluyen, pero no se limitan a, asma (por ejemplo, asma atópica, asma alérgica, asma atópica mediada por IgE bronquial, asma no atópica), asma bronquial, asma no alérgica, asma esencial, asma verdadera, asma intrínseca causada por trastornos fisiopatológicos, asma esencial de causa desconocida o no aparente, asma enfisematosa, asma inducida por ejercicio, asma inducida por emoción, asma extrínseca causada por factores ambientales, asma inducida por aire frío, asma ocupacional, asma infecciosa causada o asociada con infección bacteriana, fúngica, protozoaria o viral, asma incipiente, síndrome del lactante sibilante, bronquioneumonía, asma con tos variable o asma inducida por fármacos), aspergilosis broncopulmonar alérgica (ABPA), rinitis alérgica, rinitis alérgica perenne, rinitis perenne, rinitis vasomotora, goteo posnasal, sinusitis purulenta o no purulenta, sinusitis aguda o crónica, y sinusitis etmoidal, frontal, maxilar o esfenoidal.
Como otro ejemplo, la artritis reumatoide (RA) generalmente produce hinchazón, dolor, pérdida de movimiento, y sensibilidad de las articulaciones diana en todo el cuerpo. La RA se caracteriza por un sinovio inflamado de forma crónica que está densamente poblado de linfocitos. La membrana sinovial, que generalmente tiene un grosor de una capa celular, se vuelve intensamente celular y asume una forma similar al tejido linfoide, que incluye células dendríticas, células T, B y NK, macrófagos y grupos de células plasmáticas. Este proceso, así como una gran cantidad de mecanismos inmunopatológicos, que incluyen la formación de complejos antígeno-inmunoglobulina, eventualmente dan como resultado la destrucción de la integridad de la articulación, lo que da como resultado deformidad, pérdida permanente de la función y/o erosión ósea en o cerca de la articulación. El compuesto de benzazol, combinaciones de compuestos de benzazol, o composiciones de los mismos, pueden usarse para tratar, mejorar o prevenir uno cualquiera, varios o todos estos síntomas de RA. De este modo, en el contexto de la RA, se considera que los compuestos proporcionan un beneficio terapéutico cuando se logra una reducción o mejora de cualquiera de los síntomas comúnmente asociados con la RA, independientemente de si el tratamiento da como resultado un tratamiento concomitante de la RA subyacente y/o una reducción en la cantidad de factor reumatoide circulante (“RF”).
El American College of Rheumatology (ACR) ha desarrollado criterios para definir la mejora y la remisión clínica en la RA. Uno de tales parámetros, el ACR20 (criterios ACR para la mejora clínica del 20%), requiere una mejora del 20% en el recuento de articulaciones sensibles e inflamadas, así como una mejora del 20% en 3 de los siguientes 5 parámetros: evaluación global del paciente, evaluación global del médico, evaluación del dolor por parte del paciente, grado de discapacidad, y nivel de reactivo de fase aguda. Estos criterios se han ampliado para una mejora del 50% y 70% en ACR50 y ACR70, respectivamente. Otros criterios incluyen los criterios de Paulu y la progresión radiográfica (por ejemplo, puntuación de Sharp).
En algunas realizaciones, el beneficio terapéutico en pacientes que padecen RA se logra cuando el paciente exhibe un ACR20. En realizaciones específicas, se pueden lograr mejoras ACR de ACRC50 o incluso ACR70.
B. Formulaciones y administración
Las composiciones farmacéuticas que comprenden los compuestos descritos (o profármacos de los mismos) pueden fabricarse mediante procedimientos convencionales de mezclamiento, disolución, granulación, fabricación de grageas, levigación, emulsionamiento, encapsulamiento, atrapamiento o liofilización. Las composiciones pueden formularse de manera convencional usando uno o más excipientes, diluyentes, portadores, adyuvantes o auxiliares fisiológicamente aceptables para proporcionar preparaciones que pueden usarse farmacéuticamente.
El compuesto activo o profármaco puede formularse en las composiciones farmacéuticas per se, o en forma de un hidrato, solvato, N-óxido o sal farmacéuticamente aceptable. Típicamente, tales sales son más solubles en disoluciones acuosas que los ácidos y bases libres correspondientes, pero también se pueden formar sales que tienen una solubilidad menor que los ácidos y bases libres correspondientes.
Las composiciones farmacéuticas de la invención pueden tomar una forma adecuada para prácticamente cualquier modo de administración, que incluye, por ejemplo, tópica, ocular, oral, bucal, sistémica, nasal, inyección, tal como i.v. o i.p., transdérmica, rectal, vaginal, etc., o una forma adecuada para la administración por inhalación o insuflamiento.
Para la administración tópica, el o los compuestos activos, hidrato, solvato, N-óxido o sal farmacéuticamente aceptable o profármaco o profármacos se pueden formular como disoluciones, geles, pomadas, cremas, suspensiones, etc., como son bien conocidos en la técnica.
Las formulaciones sistémicas incluyen aquellas diseñadas para administración por inyección, por ejemplo inyección subcutánea, intravenosa, intramuscular, intratecal o intraperitoneal, así como aquellas diseñadas para administración transdérmica, oral transmucosal o pulmonar.
Las preparaciones inyectables útiles incluyen suspensiones estériles, disoluciones o emulsiones del o de los compuestos activos en vehículos acuosos u oleosos. Las composiciones también pueden contener agentes de formulación, tales como agentes de suspensión, estabilizantes y/o dispersantes. Las formulaciones para inyección pueden presentarse en forma de dosificación unitaria, por ejemplo en ampollas o en envases multidosis, y pueden contener conservantes añadidos.
Alternativamente, la formulación inyectable se puede proporcionar en forma de polvo para su reconstitución con un vehículo adecuado, que incluye, pero no se limita a, agua estéril, libre de pirógenos, amortiguador, disolución de dextrosa, etc., antes de su uso. Con este fin, el o los compuestos activos pueden secarse por cualquier técnica conocida en la técnica, tal como liofilización, y reconstituirse antes de su uso.
Para la administración transmucosal, en la formulación se usan penetrantes apropiados para la barrera a atravesar. Tales penetrantes son conocidos en la técnica.
Para la administración oral, las composiciones farmacéuticas pueden tomar la forma de, por ejemplo, pastillas, comprimidos o cápsulas preparados por medios convencionales con excipientes farmacéuticamente aceptables, tales como: agentes aglutinantes (por ejemplo, almidón de maíz pregelatinizado, polivinilpirrolidona o
hidroxipropilmetilcelulosa); cargas (por ejemplo, lactosa, celulosa microcristalina o hidrogenofosfato de cálcico); lubricantes (por ejemplo, estearato de magnesio, talco o sílice); disgregantes (por ejemplo, almidón de patata o glicolato de almidón sódico); y/o agentes humectantes (por ejemplo, laurilsulfato de sodio). Los comprimidos pueden revestirse por métodos bien conocidos en la técnica con, por ejemplo, azúcares, películas o revestimientos entéricos.
Las preparaciones líquidas para administración oral pueden tomar la forma de, por ejemplo, elixires, disoluciones, jarabes o suspensiones, o pueden presentarse como un producto seco para su constitución con agua u otro vehículo adecuado antes de su uso. Dichas preparaciones líquidas pueden prepararse por medios convencionales con aditivos farmacéuticamente aceptables tales como: agentes de suspensión (por ejemplo, jarabe de sorbitol, derivados de celulosa o grasas comestibles hidrogenadas); agentes emulsionantes (por ejemplo, lecitina o goma arábiga); vehículos no acuosos (por ejemplo, aceite de almendras, ésteres oleosos, alcohol etílico, cremophore™ o aceites vegetales fraccionados); y conservantes (por ejemplo, p-hidroxibenzoatos de metilo o de propilo, o ácido sórbico). Las preparaciones también pueden contener sales amortiguadoras, conservantes, aromatizantes, colorantes y edulcorantes, según corresponda.
Las preparaciones para administración oral pueden formularse adecuadamente para proporcionar una liberación controlada del compuesto activo o profármaco, como es bien sabido.
Para la administración bucal, las composiciones pueden tomar la forma de comprimidos o pastillas formulados de manera convencional.
Para las vías de administración rectales y vaginales, el o los compuestos activos se pueden formular como disoluciones (para enemas de retención), supositorios o ungüentos que contienen bases de supositorios convencionales, tales como manteca de cacao u otros glicéridos.
Para la administración nasal o la administración por inhalación o insuflamiento, el o los compuestos activos, hidrato, solvato, N-óxido, sal farmacéuticamente aceptable o profármaco o profármacos pueden administrarse convenientemente en forma de aerosol de paquetes presurizados o un nebulizador con el uso de un propulsor adecuado, por ejemplo diclorodifluorometano, triclorofluorometano, diclorotetrafluoroetano, fluorocarbonos, dióxido de carbono u otro gas adecuado. En el caso de un aerosol presurizado, la unidad de dosificación se puede determinar proporcionando una válvula para administrar una cantidad medida. Las cápsulas y cartuchos para uso en un inhalador o insuflador (por ejemplo, cápsulas y cartuchos compuestos de gelatina) se pueden formular con una mezcla en polvo del compuesto y una base en polvo adecuada tal como lactosa o almidón.
Un ejemplo específico de una formulación de suspensión acuosa adecuada para administración nasal que usa dispositivos de pulverización nasal disponibles en el mercado incluye los siguientes ingredientes: compuesto activo o profármaco (0,5 20 mg/ml); cloruro de benzalconio (0,1 0,2 mg/ml); polisorbato 80 (TWEEN® 80; 0,5 5 mg/ml); carboximetilcelulosa sódica o celulosa microcristalina (1 15 mg/ml); feniletanol (14 mg/ml); y dextrosa (2050 mg/ml). El pH de la suspensión final puede ajustarse para oscilar de alrededor de pH 5 a pH 7, siendo típico un pH de alrededor de pH 5,5.
Otro ejemplo específico de una suspensión acuosa adecuada para la administración de los compuestos por inhalación contiene 20 mg/ml de compuesto o profármaco, 1% (v/v) de Polisorbato 80 (TWEEN® 80), citrato 50 mM y/o cloruro de sodio al 0,9%.
Para la administración ocular, el o los compuestos activos o profármacos pueden formularse como una disolución, emulsión, suspensión, etc., adecuada para la administración al ojo. En la técnica se conoce una variedad de vehículos adecuados para administrar compuestos al ojo. Ejemplos específicos no limitantes se describen en las patentes U.S. nos 6.261.547; 6.197.934; 6.056.950; 5.800.807; 5.776.445; 5.698.219; 5.521.222; 5.403.841; 5.077.033; 4.882.150; y 4.738.851, que se incorporan aquí como referencia.
Para un suministro prolongado, el o los compuestos activos o profármacos pueden formularse como una preparación de depósito para administración por implantación o inyección intramuscular. El ingrediente activo puede formularse con materiales poliméricos o hidrófobos adecuados (por ejemplo, como una emulsión en un aceite aceptable) o resinas de intercambio iónico, o como derivados escasamente solubles, por ejemplo, como una sal escasamente soluble. Alternativamente, se pueden usar sistemas de administración transdérmica fabricados como un disco adhesivo o parche que libera lentamente el o los compuestos activos para la absorción percutánea. Para este fin, se pueden usar potenciadores de permeación para facilitar la penetración transdérmica del o de los compuestos activos. Los parches transdérmicos adecuados se describen, por ejemplo, en las patentes U.S. nos 5.407.713; 5.352.456; 5.332.213; 5.336.168; 5.290.561; 5.254.346; 5.164.189; 5.163.899; 5.088.977; 5.087.240; 5.008.110; y 4.921.475, que se incorporan aquí como referencia.
Alternativamente, se pueden emplear otros sistemas de administración farmacéutica. Los liposomas y las emulsiones son ejemplos bien conocidos de vehículos de administración que pueden usarse para administrar el o los compuestos activos o profármacos. También se pueden emplear ciertos disolventes orgánicos, tal como el dimetilsulfóxido (DMSO), aunque generalmente a costa de una mayor toxicidad.
Las composiciones farmacéuticas pueden presentarse, si se desea, en un paquete o dispositivo dispensador que puede contener una o más formas de dosificación unitaria que contienen el o los compuestos activos. El paquete puede comprender, por ejemplo, una lámina de metal o plástico, tal como un paquete de blíster. El paquete o dispositivo dispensador puede ir acompañado de instrucciones para la administración.
C. Dosis
El compuesto de benzazol o las combinaciones de compuestos de benzazol generalmente se usarán en una cantidad eficaz para lograr el resultado deseado, por ejemplo, en una cantidad eficaz para tratar o prevenir una afección particular. El o los compuestos de benzazol, o sus composiciones, se pueden administrar terapéuticamente para lograr un beneficio terapéutico, o profilácticamente para lograr un beneficio profiláctico. El beneficio terapéutico significa la erradicación o mejora del trastorno subyacente que se está tratando y/o la erradicación o mejora de uno o más de los síntomas asociados con el trastorno subyacente, de modo que el paciente informa de una mejora en la sensación o condición, a pesar de que el paciente todavía puede estar afectado con el trastorno subyacente. Por ejemplo, la administración de un compuesto a un paciente que padece una alergia proporciona un beneficio terapéutico no solo cuando la respuesta alérgica subyacente se erradica o mejora, sino también cuando el paciente informa de una disminución en la gravedad o duración de los síntomas asociados con la alergia después de exposición al alérgeno. Como otro ejemplo, el beneficio terapéutico en el contexto del asma incluye una mejora en la respiración después del inicio de un ataque asmático, o una reducción en la frecuencia o gravedad de los episodios asmáticos. El beneficio terapéutico también incluye detener o ralentizar la progresión de la enfermedad, independientemente de si se logra una mejora.
Como saben los expertos en la técnica, la dosificación preferida de compuestos de benzazol también dependerá de diversos factores, que incluyen la edad, el peso, el estado general de salud y la gravedad de la condición del paciente o sujeto a tratar. Es posible que la dosis también deba adaptarse al sexo del individuo y/o la capacidad pulmonar del individuo, cuando se administra por inhalación. La dosis también puede adaptarse a las personas que padecen más de una afección, o a aquellas personas que tienen afecciones adicionales que afectan la capacidad pulmonar y la capacidad de respirar normalmente, por ejemplo, enfisema, bronquitis, neumonía e infecciones respiratorias. La dosificación y la frecuencia de administración del o de los compuestos de benzazol o sus composiciones también dependerán de si el o los compuestos de benzazol están formulados para el tratamiento de episodios agudos de una afección o para el tratamiento profiláctico de un trastorno. Una persona de pericia normal en la técnica podrá determinar la dosis óptima para un individuo en particular.
Para la administración profiláctica, el compuesto de benzazol, combinaciones de compuestos de benzazol, o composiciones de los mismos, se pueden administrar a un paciente o sujeto en riesgo de desarrollar una de las afecciones descritas previamente. Por ejemplo, si se desconoce si un paciente o sujeto es alérgico a un fármaco en particular, el compuesto de benzazol, las combinaciones de compuestos de benzazol, o sus composiciones, se pueden administrar antes de la administración del fármaco para evitar o mejorar una respuesta alérgica al fármaco. Alternativamente, la administración profiláctica se puede utilizar para evitar o mejorar la aparición de síntomas en un paciente diagnosticado con el trastorno subyacente. Por ejemplo, un compuesto o compuestos de benzazol, o una composición del mismo, se pueden administrar a una persona alérgica antes de la exposición esperada al alérgeno. Un compuesto de benzazol, combinaciones de compuestos de benzazol, o composiciones de los mismos, también se pueden administrar profilácticamente a individuos sanos que están expuestos repetidamente a agentes conocidos por una de las enfermedades descritas anteriormente, para prevenir la aparición del trastorno. Por ejemplo, un compuesto de benzazol, combinaciones de compuestos de benzazol, o composiciones de los mismos, se pueden administrar a un individuo sano que está expuesto repetidamente a un alérgeno que se sabe que induce alergias, tal como látex, en un esfuerzo por evitar que el individuo desarrolle una alergia. Alternativamente, un compuesto de benzazol, combinaciones de compuestos de benzazol, o composiciones de los mismos, se pueden administrar a un paciente que padece asma antes de participar en actividades que desencadenan ataques de asma, para disminuir la gravedad de un episodio asmático o evitarlo por completo.
Las dosis eficaces pueden estimarse inicialmente a partir de ensayos in vitro. Por ejemplo, se puede formular una dosis inicial para uso en sujetos para lograr una concentración circulante en sangre o suero del compuesto activo que esté en o por encima de una IC50 o EC50 del compuesto particular, según se mide en un ensayo in vitro. Las dosis se pueden calcular para lograr tales concentraciones circulantes en sangre o suero teniendo en cuenta la biodisponibilidad del compuesto particular. Fingl & Woodbury, “General Principles,” en: Goodman and Gilman’s The Pharmaceutical Basis of Therapeutics, Capítulo 1, páginas 1-46, Pergamon Press, y las referencias allí citadas, proporcionan orientación adicional sobre las dosis eficaces.
En algunas realizaciones, los compuestos descritos tienen una EC50 de más de 0 a 20 pM, tal como de más de 0 a 10 pM, de más de 0 a 5 pM, de más de 0 a 1 pM, de más de 0 a 0,5 pM, o de más de 0 a 0,1 pM.
Las dosis iniciales también se pueden estimar a partir de datos in vivo, tales como modelos animales. Los modelos animales útiles para evaluar la eficacia de los compuestos para tratar o prevenir las diversas enfermedades descritas anteriormente son bien conocidos en la técnica. Los modelos animales adecuados de hipersensibilidad o reacciones alérgicas se describen en Foster, (1995) Allergy 50(21Suppl):6-9, discusión 34-38 y Tumas et al., (2001), J. Allergy
Clin. Immunol. 107(6):1025-1033. Los modelos animales adecuados de rinitis alérgica se describen en Szelenyi et al., (2000), Arzneimittelforschung 50(11): 1037-42; Kawaguchi et al., (1994), Clin. Exp. Allergy 24(3):238-244 y Sugimoto et al., (2000), Immunopharmacology 48(1 ):1 -7. Las personas de pericia normal en la técnica pueden adaptar dicha información para determinar las dosis adecuadas para la administración humana.
Las cantidades de dosificación de los compuestos de benzazol descritos estarán típicamente en el intervalo de más de 0 mg/kg/día, tal como 0,0001 mg/kg/día o 0,001 mg/kg/día o 0,01 mg/kg/día, hasta al menos 100 mg/kg/día. Más típicamente, la dosis (o cantidad eficaz) puede oscilar de 0,0025 mg/kg a alrededor de 1 mg/kg, administrada al menos una vez al día, tal como de 0,01 mg/kg a 0,5 mg/kg, o de 0,05 mg/kg a 0,15 mg/kg. La dosis diaria total generalmente oscila de 0,1 mg/kg a 5 mg/kg, o a 20 mg/kg por día, tal como de 0,5 mg/kg a 10 mg/kg por día, o de 0,7 mg/kg por día a 2,5 mg/kg/día. Las cantidades de dosificación pueden ser mayores o menores dependiendo, entre otros factores, de la actividad del compuesto de benzazol, su biodisponibilidad, el modo de administración, y diversos factores explicados anteriormente.
La cantidad de dosificación y el intervalo de dosificación se pueden ajustar para que los individuos proporcionen niveles plasmáticos del compuesto de benzazol que sean suficientes para mantener el efecto terapéutico o profiláctico. Por ejemplo, los compuestos se pueden administrar una vez al día, varias veces al día, una vez a la semana, varias veces a la semana (por ejemplo, cada dos días), una vez por mes, varias veces al mes, o una vez al año, dependiendo de, entre otros, el modo de administración, la indicación específica que se está tratando, y el juicio del médico que prescribe. Las personas de pericia normal en la técnica podrán optimizar las dosis locales eficaces sin experimentación excesiva.
Las composiciones que comprenden uno o más de los compuestos de benzazol descritos comprenden típicamente más de 0 hasta 99% del compuesto o compuestos de benzazol y/u otro agente terapéutico en porcentaje en peso total. Más típicamente, las composiciones que comprenden uno o más de los compuestos de benzazol descritos comprenden de 1 a 20 por ciento en peso total del compuesto de benzazol y otro agente terapéutico, y de 80 a 99 por ciento en peso de un aditivo farmacéuticamente aceptable.
Preferiblemente, el compuesto de benzazol, las combinaciones de compuestos de benzazol, o sus composiciones, proporcionarán un beneficio terapéutico o profiláctico sin causar una toxicidad sustancial. La toxicidad del compuesto de benzazol se puede determinar utilizando procedimientos farmacéuticos estándar. La relación de dosis entre el efecto tóxico y terapéutico (o profiláctico) es el índice terapéutico. Se prefieren los compuestos de benzazol que exhiben altos índices terapéuticos.
IV. Ejemplos
Ejemplo 1
Preparación de 5-fluorobenzo[d]oxazol-2-tiol
Una disolución de 2-amino-4-fluorofenol (10 g, 78,8 mmoles), disulfuro de carbono (35 ml) e hidróxido de potasio (5,3 g, 94,6 mmoles) en etanol (200 ml) se calentó a reflujo durante la noche. La mezcla de reacción se concentró hasta sequedad, y entonces se diluyó con agua. Esta disolución se neutralizó con HCl 1 M, y después se lavó con acetato de etilo varias veces. Las fases orgánicas combinadas se lavaron con salmuera, se secaron sobre Na2SO4 y se concentraron a vacío dando 9,3 g (70% de rendimiento) del 5-fluorobenzo[d]oxazol-2-tiol deseado. 1H RMN (300 MHz, DMSO-cfe) 57,51 (ddd, J = 8,8, 4,2, 0,6 Hz, 1 H), 7,150-7,04 (m, 2H), 3,31 (s a, 1H). LC-MS (m/z): 170,2.
Ejemplo 2
Preparación de 5-fluoro-N-(2-metoxietil)-N-metilbenzo[d]oxazol-2-amina
Una disolución de 5-fluorobenzo[d]oxazol-2-tiol (1,17 g, 6,92 mmoles) y (2-metoxietil)metilamina (3,7 ml, 34,1 mmoles) en dioxano (6 ml) se calentó a 85°C durante la noche. La reacción se concentró hasta sequedad, y el producto resultante, 5-fluoro-N-(2-metoxietil)-N-metilbenzo[d]oxazol-2-amina, se usó en bruto.
Ejemplo 3
Preparación de 5-fluoro-N-(2-metoxietil)-N-metil-6-nitrobenzo[d]oxazol-2-amina
A una disolución de 5-fluoro-N-(2-metoxietil)-N-metil-6-nitrobenzo[d]oxazol-2-amina (6,92 mmoles) en H2SO4 (9 ml) enfriado en un baño de hielo se añadió gota a gota HNO3 fumante (600 ml). La reacción se dejó calentar a temperatura ambiente y después se calentó suavemente a 35°C durante la noche. La reacción se completó cuando se monitorizó por LC-m S, y se dejó enfriar a temperatura ambiente. La mezcla de reacción se vertió entonces sobre hielo y se basificó mediante la adición de NaOH 4 M hasta pH 9. El sólido formado se filtró y se secó dando el producto deseado N-(2-metoxietil)-N-metil-6-nitro-5-(piperidin-1-il)benzo[d]oxazol-2-amina (1,25 g, 4,62 mmoles) con un rendimiento del 67%.
Ejemplo 4
Preparación de N-(2-metoxietil)-N-metil-6-nitro-5-(piperidin-1 -il)benzo[d]oxazol-2-amina
Una disolución de 5-fluoro-N-(2-metoxietil)-N-metil-6-nitrobenzo[d]oxazol-2-amina (1,24 g, 4,63 mmoles), piperidina (915 ml, 9,26 mmoles) en dioxano (40 ml) se calentó a 95°C durante 5 horas. Al enfriar hasta la temperatura ambiente, la reacción se concentró a vacío y se purificó por cromatografía en gel de Si eluyendo con 0-90% de acetato de etilo en hexanos. El producto deseado de N-(2-metoxietil)-N-metil-6-nitro-5-(piperidin-1-il)benzo[d]oxazol-2-amina eluyó al 35% de EtOAc/Hex dando 1,22 g (79% rendimiento). LC-MS (m/z): 335,3.
Ejemplo 5
Preparación de hidrocloruro de N2-(2-metoxietil)-N2-metil-5-(piperidin-1 -il)benzo[d]oxazol-2,6-diamina
A una disolución de N-(2-metoxietil)-N-metil-6-nitro-5-(piperidin-1-il)benzo[d]oxazol-2-amina (1,22 g, 3,65 mmoles) y ácido clorhídrico concentrado (600 ml) en agua (1 ml) y etanol (20 ml) se añadió polvo de hierro (2 g, 36,5 mmoles). La mezcla se calentó a reflujo durante alrededor de 1 hora, cuando la reacción se completó mediante monitorización por LC-MS. La mezcla se filtró a través de celite, se concentró a vacío, y se usó como bruto. LC-MS (m/z): 305,7.
Ejemplo 6
Preparación de 2-bromo-N-(2-((2-metoxietil)(metil)amino)-5-(piperidin-1-il)benzo[d]oxazol-6-il)tiazol-4-carboxamida
Una disolución de hidrocloruro de N2-(2-metoxietil)-N2-metil-5-(piperidin-1 -il)benzo[d]oxazol-2,6-diamina (170 mg, 0,5 mmoles), ácido 2-bromotiazol-4-carboxílico (125 mg, 0,6 mmoles) y N,N-diisopropiletilamina (435 ml, 2,5 mmoles) en CH2Cl2 (5 ml) se agitó a temperatura ambiente durante la noche. La disolución se concentró a vacío, después se diluyó con acetato de etilo, se lavó con agua, con disolución saturada de NaHCO3, y con salmuera. Después de secar sobre Na2SO4, la disolución se concentró a vacío y se purificó mediante cromatografía en gel de Si eluyendo con 0-100% de
acetato de etilo en hexanos. El producto eluyó a 80-100% de EtOAc/Hex dando 2-bromo-N-(2-((2-metoxietil)(metil)amino)-5-(piperidin-1-il)benzo[d]oxazol-6-il)tiazol-4-carboxamida (204 mg, 0,413 mmoles, 83% de rendimiento) como un sólido caqui pálido. 1H RMN (300 MHz, DMSO-cfe) 5 10,50 (s, 1H), 8,43 (s, 1H), 8,39 (s, 1H), 7,21 (s, 1 H), 3,65 (t, J = 5,4 Hz, 2H), 3,56 (t, J = 5,4 Hz, 2H), 3,25 (s, 3H), 3,12 (s, 3H), 2,82 - 2,75 (m, 4H), 1,77 (p, J = 6,0 Hz, 4H), 1,63 -1,52 (m, 2H). LC-MS (m/z): 494,8.
Ejemplo 7
Preparación de N-(2-((2-metoxietil)(metil)amino)-5-(piperidin-1 -il)benzo[d]oxazol-6-il)-2-(1 H-pirazol-4-il)tiazol-4-carboxamida (1-51)
En un vial de microondas se preparó una mezcla de 2-bromo-N-(2-((2-metoxietil)(metil)amino)-5-(piperidin-1-il)benzo[d]oxazol-6-il)tiazol-4-carboxamida (75 mg, 0,15 mmoles), éster pinacolínico de ácido pirazol-4-borónico (87 mg, 0,45 mmoles), y disolución acuosa 2M de Na2CO3 (225 pl, 0,45 mmoles) en dioxano (3,5 ml). Después de purgar la vasija con nitrógeno gaseoso, tetraquis(trifenilfosfina)paladio (17 mg, 0,015 mmoles), y la reacción se calentó en un microondas a 120°C durante 1 hora, monitorizando por LC-MS. La mezcla se filtró a través de celite, y el disolvente se concentró. La mezcla de reacción bruta se purificó por cromatografía en gel de Si eluyendo con 0-12% de NH32 M/MeOH en CH2Cl2. Este sólido se trituró adicionalmente con EtOAc para producir N-(2-((2-metoxietil)(metil)amino)-5-(piperidin-1-il)benzo[d]oxazol-6-il)-2-(1H-pirazol-4-il)tiazol-4-carboxamida (38 mg, 0,079 mmoles, 53% de rendimiento).
1H RMN (300 MHz, DMSO-C6) 513,42 (s, 1H), 10,67 (s, 1H), 8,45 (s, 1 H), 8,41 (s, 1 H), 8,29 (s, 1H), 8,02 (s, 1H), 7,22 (s, 1H), 3,65 (t, J = 5,6 Hz, 2H), 3,57 (t, J = 5,6 Hz, 2H), 3,25 (s, 3H), 3,13 (s, 3H), 2,85 - 2,77 (m, 4H), 1,87 -1,76 (m, 4H), 1,66 -1,55 (m, 2H). LC-MS (m/z): 482,6
Ejemplo 8
Los compuestos I-1 a I-55 se prepararon de manera similar a los Ejemplos 1 -7 anteriores. Los datos de caracterización para los compuestos I-1 a I-54 se proporcionan a continuación.
I-1: 5-(6-aminopiridin-3-il)-N-(2-morfolino-5-(piperidin-1-il)benzo[d]oxazol-6-il)furan-2-carboxamida.
1H RMN (300 MHz, DMSO-cfe) 59,88 (s, 1 H), 8,38 (s, 1H), 7,83 (dd, J = 8,7, 2,5 Hz, 1 H), 7,30 (s, 1 H), 7,28 (d, J = 3,6 Hz, 1 H), 6,91 (d, J = 3,6 Hz, 1H), 6,52 (d, J = 8,7 Hz, 1 H), 6,44 (s, 2H), 3,70 (t, J = 4,9 Hz, 4H), 2,80 (t, J = 4,9 Hz, 4H), 1,76 (p, J = 5,7 Hz, 4H), 1,58 (s a, 2H).
LCMS (m/z): 489,7 (MH+).
I-2: N-(2-morfolino-5-(piperidin-1-il)benzo[d]oxazol-6-il)-5-(1 H-pirrolo[2,3-b]piridin-5-il)furan-2-carboxamida.
1H RMN (300 MHz, DMSO-cfe) 511,94 (s, 1 H), 10,03 (s, 1 H), 8,82 (d, J = 2,1 Hz, 1 H), 8,44 (d, J = 2,1 Hz, 1 H), 8,41 (s, 1 H), 7,57 (d, J = 3,5 Hz, 1H), 7,35 (d, J = 3,6 Hz, 1 H), 7,32 (s, 1 H), 7,19 (d, J = 3,6 Hz, 1 H), 6,47 (d, J = 3,4 Hz, 1 H), 3,75 - 3,66 (m, 4H), 3,59 - 3,52 (m, 4H), 2,83 (t, J = 5,2 Hz, 4H), 1,83 (p, J = 5,8 Hz, 4H), 1,61 (s a, 2H).
LCMS (m/z): 513,8 (MH+).
I-3: N-(2-morfolino-5-(piperidin-1-il)benzo[d]oxazol-6-il)-5-(1 H-pirazol-4-il)furan-2-carboxamida.
1H RMN (300 MHz, DMSO-cfe) 513,26 (s, 1 H), 9,79 (s, 1 H), 8,36 (s, 1H), 8,17 (s, 1H), 7,90 (s, 1H), 7,28 (s, 1 H), 7,27 (d, J = 3,6 Hz, 1 H), 6,77 (d, J = 3,6 Hz, 1 H), 3,73 - 3,67 (m, 4H), 3,58 - 3,51 (m, 4H), 2,84 - 2,77 (m, 4H), 1,77 (p, J = 5,8 Hz, 4H), 1,59 (s a, 2H).
LCMS (m/z): 463,7 (MH+).
I-4: N-(2-morfolino-5-(piperidin-1-il)benzo[d]oxazol-6-il)-5-(1 H-pirazol-3-il)furan-2-carboxamida.
1H RMN (300 MHz, DMSO-C6) 5 13,21 (s, 1 H), 9,92 (s, 1 H), 8,38 (s, 1 H), 7,89 (dd, J = 2,4, 1,4 Hz, 1 H), 7,30 (d, J = 3,6 Hz, 1 H), 7,29 (s, 1H), 6,91 (d, J = 3,6 Hz, 1 H), 6,66 (t, J = 2,1 Hz, 1 H), 3,72 - 3,68 (m, 4H), 3,57 - 3,53 (m, 4H), 2,80 (t, J = 5,2 Hz, 4H), 1,80 (p, 5,8 Hz, 4H), 1,59 (s a, 2H).
LCMS (m/z): 463,7 (MH+).
I-5: 5-(6-aminopiridin-3-il)-N-(2-morfolino-5-(piperidin-1-il)benzo[d]tiazol-6-il)furan-2-carboxamida.
1H RMN (300 MHz, DMSO-C6) 59,74 (s, 1 H), 8,64 (s, 1 H), 8,50 (d, J = 2,5 Hz, 1 H), 7,83 (dd, J = 8,8, 2,4 Hz, 1 H), 7,41 (s, 1 H), 7,28 (d, J = 3,6 Hz, 1H), 6,91 (d, J = 3,6 Hz, 1 H), 6,52 (d, J = 8,7 Hz, 1 H), 6,44 (s, 2H), 3,72 (t, J = 4,8 Hz, 4H), 3,50 (t, J = 4,8 Hz, 4H), 2,83 (t, J = 5,1 Hz, 4H), 1,77 (s a, 4H), 1,58 (s a, 2H).
LCMS (m/z): 505,7 (MH+).
I-6: N-(2-morfolino-5-(piperidin-1-il)benzo[d]tiazol-6-il)-5-(1 H-pirrolo[2,3-b]piridin-5-il)furan-2-carboxamida.1
1H RMN (300 MHz, DMSO-C6) 511,94 (s, 1H), 9,90 (s, 1 H), 8,82 (d, J = 1,9 Hz, 1H), 8,67 (s, 1 H), 8,46 (d, J = 1,9 Hz, 1 H), 7,57 (d, J = 3,5 Hz, 1H), 7,44 (s, 1 H), 7,36 (d, J = 3,6 Hz, 1 H), 7,20 (d, J = 3,7 Hz, 1 H), 6,48 (d, J = 3,4 Hz, 1 H), 3,76 - 3,69 (m, 4H), 3,51 (t, J = 4,8 Hz, 4H), 2,86 (t, J = 5,0 Hz, 4H), 1,83 (s a, 4H), 1,61 (s a, 2H).
LCMS (m/z): 529,9 (MH+).
I-7: N-(2-morfolino-5-(piperidin-1 -il)benzo[d]tiazol-6-il)-5-(1 H-pirazol-4-il)furan-2-carboxamida.
1H RMN (300 MHz, DMSO-C6) 513,26 (s, 1H), 9,64 (s, 1H), 8,62 (s, 1H), 8,18 (s, 1H), 7,91 (s, 1H), 7,39 (s, 1H), 7,28 (d, J = 3,6 Hz, 1 H), 6,77 (d, J = 3,6 Hz, 1 H), 3,72 (t, J = 4,8 Hz, 4H), 3,50 (t, J = 4,8 Hz, 4H), 2,83 (t, J = 5,2 Hz, 4H), 1,77 (s a, 4H), 1,59 (s a, 2H).
LCMS (m/z): 479,7 (MH+).
I-8: N-(2-morfolino-5-(piperidin-1-il)benzo[d]tiazol-6-il)-5-(1 H-pirazol-3-il)furan-2-carboxamida.
1H RMN (300 MHz, DMSO-cfe) 513,21 (s, 1H), 9,76 (s, 1 H), 8,64 (s, 1 H), 7,89 (s, 1 H), 7,39 (s, 1H), 7,31 (d, J = 3,6 Hz, 1 H), 6,91 (d, J = 3,6 Hz, 1 H), 6,66 (s, 1 H), 3,72 (t, J = 4,8 Hz, 4H), 3,50 (t, J = 4,8 Hz, 4H), 2,83 (t, J = 5,1 Hz, 4H), 1,80 (s a, 4H), 1,59 (s a, 2H).
LCMS (m/z): 479,7 (MH+).
I-9: 5-(2-metilpiridin-4-il)-N-(2-morfolino-5-(piperidin-1-il)benzo[d]tiazol-6-il)furan-2-carboxamida.
1H RMN (300 MHz, DMSO-cfe) 59,85 (s, 1 H), 8,63 (s, 1 H), 8,54 (d, J = 5,2 Hz, 1 H), 7,70 (s, 1 H), 7,64 (d, J = 5,2 Hz, 1 H), 7,47 (d, J = 3,7 Hz, 1 H), 7,43 (s, 1 H), 7,40 (d, J = 3,7 Hz, 1 H), 3,75 - 3,69 (m, 4H), 3,54 - 3,48 (m, 4H), 2,85 (t, J = 5,1 Hz, 4H), 2,53 (s, 3H), 1,79 (s a, 4H), 1,61 (s a, 2H).
LCMS (m/z): 504,7 (MH+).
I-10: 5-(2-metilpiridin-4-il)-N-(2-morfolino-5-(piperidin-1-il)benzo[d]oxazol-6-il)furan-2-carboxamida.
1H RMN (300 MHz, DMSO-C6) 59,98 (s, 1 H), 8,55 (d, J = 5,2 Hz, 1 H), 8,38 (s, 1 H), 7,69 (s, 1 H), 7,63 (d, J = 5,2 Hz, 1 H), 7,47 (d, J = 3,7 Hz, 1 H), 7,39 (d, J = 3,7 Hz, 1 H), 7,32 (s, 1 H), 3,72 - 3,68 (m, 4H), 3,57 - 3,53 (m, 4H), 2,83 (t, J = 5,2 Hz, 4H), 2,53 (s, 3H), 1,80 (s a, 4H), 1,61 (s a, 2H).
LCMS (m/z): 488,7 (MH+).
I-11: 2-(6-aminopiridin-3-il)-N-(2-morfolino-5-(piperidin-1 -il)benzo[d]oxazol-6-il)tiazol-4-carboxamida.
1H RMN (300 MHz, DMSO-C6) 5 10,76 (s, 1H), 8,68 (d, J = 2,4 Hz, 1H), 8,49 (s, 1H), 8,29 (s, 1H), 7,96 (dd, J = 8,7, 2,5 Hz, 1 H), 7,28 (s, 1 H), 6,69 (s, 2H), 6,54 (d, J = 8,8 Hz, 1 H), 3,73 - 3,68 (m, 4H), 3,58 - 3,53 (m, 4H), 2,80 (t, J = 5,1 Hz, 4H), 1,80 (s a, 4H), 1,59 (s a, 2H).
LCMS (m/z): 506,6 (MH+).
I-12: N-(2-morfolino-5-(piperidin-1 -il)benzo[d]oxazol-6-il)-2-(1 H-pirazol-4-il)tiazol-4-carboxamida.
1H RMN (300 MHz, DMSO-cfe) 513,42 (s, 1H), 10,68 (s, 1H), 8,48 (s, 1 H), 8,41 (d, J = 1,3 Hz, 1 H), 8,30 (s, 1H), 8,01 (d, J = 1,8 Hz, 1 H), 7,27 (s, 1H), 3,74 - 3,67 (m, 4H), 3,59 - 3,53 (m, 4H), 2,81 (t, J = 5,3 Hz, 4H), 1,81 (s a, 4H), 1,61 (s a, 2H).
LCMS (m/z): 480,7 (MH+).
I-13: N-(2-morfolino-5-(piperidin-1 -il)benzo[d]oxazol-6-il)-2-(1 H-pirazol-3-il)tiazol-4-carboxamida.
1H RMN (300 MHz, DMSO-cfe) 513,40 (s, 1H), 10,72 (s, 1 H), 8,49 (s, 1 H), 8,37 (s, 1H), 7,99 (dd, J = 2,4, 1,4 Hz, 1 H), 7,27 (s, 1 H), 6,76 (t, J = 2,1 Hz, 1 H), 3,73 - 3,68 (m, 4H), 3,58 - 3,53 (m, 4H), 2,81 (t, J = 5,2 Hz, 4H), 1,83 (s, 4H), 1,61 (s, 2H).
LCMS (m/z): 480,7 (MH+).
I-14: 2-(2-metilpiridin-4-il)-N-(2-morfolino-5-(piperidin-1-il)benzo[d]oxazol-6-il)tiazol-4-carboxamida.
1H RMN (300 MHz, DMSO-C6) 510,79 (s, 1H), 8,64 (d, J = 5,0 Hz, 1H), 8,62 (s, 1H), 8,49 (s, 1H), 7,91 (s, 1H), 7,77 (dd, J = 5,2, 1,6 Hz, 1 H), 7,31 (s, 1 H), 3,74 - 3,67 (m, 4H), 3,58 - 3,53 (m, 4H), 2,82 (t, J = 5,1 Hz, 4H), 2,57 (s, 3H), 1,83 (s, 4H), 1,63 (s, 2H).
LCMS (m/z): 505,7 (MH+).
I-15: 5 -(6 -a m in o p ir id in -3 -il)-N -(2 -(4 -m e tilp ip e ra z in -1 - il)-5 -(p ipe rid in -1 - il)b e n zo [d ]o xa zo l-6 - il) fu ra n -2 -ca rb o xa m id a .
1H RMN (300 MHz, DMSO-cfe) 59,88 (s, 1 H), 8,50 (d, J = 2,4 Hz, 1 H), 8,37 (s, 1 H), 7,83 (dd, J = 8,7, 2,4 Hz, 1 H), 7,30 - 7,25 (m, 2H), 6,91 (d, J = 3,6 Hz, 1 H), 6,52 (d, J = 8,7 Hz, 1 H), 6,44 (s, 2H), 3,60 - 3,54 (m, 4H), 2,80 (t, J = 5,1 Hz, 4H), 2,40 (t, J = 5,1 Hz, 4H), 2,21 (s, 3H), 1,76 (s, 4H), 1,58 (s, 2H).
LCMS (m/z): 502,8 (MH+).
I-16: N-(2-(4-metilpiperazin-1 -il)-5-(piperidin-1 -il)benzo[d]oxazol-6-il)-5-(1 H-pirazol-4-il)furan-2-carboxamida.
1H RMN (300 MHz, DMSO-cfe) 513,26 (s, 1 H), 9,79 (s, 1 H), 8,35 (s, 1H), 8,18 (s, 1H), 7,90 (s, 1 H), 7,29-7,25 (m, 2H), 6,77 (d, J = 3,6 Hz, 1H), 3,57 (t, J = 4,9 Hz, 4H), 2,80 (t, J = 5,1 Hz, 4H), 2,41 (s, 4H), 2,21 (s, 3H), 1,77 (s a, 4H), 1,59 (s a, 2H).
LCMS (m/z): 476,8 (MH+).
I-17: N-(2-(4-metilpiperazin-1 -il)-5-(piperidin-1 -il)benzo[d]oxazol-6-il)-5-(1 H-pirazol-3-il)furan-2-carboxamida.
1H RMN (300 MHz, DMSO-C6) 513,21 (s, 1H), 9,92 (s, 1H), 8,36 (s, 1H), 7,89 (s, 1H), 7,30 (d, J = 3,4 Hz, 1H), 7,26 (s, 1 H), 6,91 (d, J = 3,6 Hz, 1 H), 6,66 (s, 1 H), 3,57 (t, J = 4,9 Hz, 4H), 2,80 (t, J = 5,1 Hz, 4H), 2,40 (t, J = 5,0 Hz, 4H), 2,21 (s, 3H), 1,80 (s a, 4H), 1,60 (s a, 2H).
LCMS (m/z): 476,8 (MH+).
I-18: N-(2-(4-metilpiperazin-1 -il)-5-(piperidin-1 -il)benzo[d]oxazol-6-il)-5-(2-metilpiridin-4-il)furan-2-carboxamida.
1H RMN (300 MHz, DMSO-C6) 59,98 (s, 1 H), 8,55 (d, J = 5,4 Hz, 1 H), 8,36 (s, 1 H), 7,69 (s, 1 H), 7,63 (d, J = 5,5 Hz, 1 H), 7,48 (d, J = 3,7 Hz, 1 H), 7,40 (d, J = 3,7 Hz, 1 H), 7,30 (s, 1 H), 3,57 (t, J = 5,0 Hz, 4H), 2,82 (t, J = 5,0 Hz, 4H), 2,53 (s, 3H), 2,40 (t, J = 5,1 Hz, 4H), 2,21 (s, 3H), 1,80 (s, 4H), 1,61 (s, 2H).
LCMS (m/z): 501,7 (MH+).
I-19: 2 -(6 -a m in o p ir id in -3 -il)-N -(2 -(4 -m e tilp ip e ra z in -1 - il)-5 -(p ipe rid in -1 - il)b e n zo [d ]o xa zo l-6 - il) tia zo l-4 -ca rb o xa m id a .
1H RMN (300 MHz, DMSO-cfe) 5 10,76 (s, 1H), 8,68 (d, J = 2,5 Hz, 1H), 8,47 (s, 1H), 8,29 (s, 1H), 7,96 (dd, J = 8,7, 2,5 Hz, 1 H), 7,26 (s, 1 H), 6,69 (s, 2H), 6,54 (d, J = 8,7 Hz, 1H), 3,57 (t, J = 5,0 Hz, 4H), 2,80 (t, J = 5,1 Hz, 4H), 2,40 (t, J = 5,0 Hz, 6H), 2,21 (s, 3H), 1,80 (s a, 4H), 1,59 (s a, 2H).
LCMS (m/z): 519,7 (MH+).
I-20: N-(2-(4-metilpiperazin-1 -il)-5-(piperidin-1 -il)benzo[d]oxazol-6-il)-2-(1 H-pirazol-4-il)tiazol-4-carboxamida.
1H RMN (300 MHz, DMSO-cfe) 513,42 (s, 1H), 10,68 (s, 1H), 8,47 (s, 1 H), 8,41 (s, 1 H), 8,30 (s, 1H), 8,02 (s, 1H), 7,25 (s, 1 H), 3,57 (t, J = 5,0 Hz, 4H), 2,81 (t, J = 4,9 Hz, 4H), 2,41 (t, J = 5,0 Hz, 4H), 2,21 (s, 3H), 1,82 (p, J = 5,7 Hz, 5H), 1,60 (s a, 2H).
LCMS (m/z): 493,7 (MH+).
I-21: N-(2-(4-metilpiperazin-1 -il)-5-(piperidin-1 -il)benzo[d]oxazol-6-il)-2-(1 H-pirazol-3-il)tiazol-4-carboxamida.
1H RMN (300 MHz, DMSO-C6) 513,40 (s, 1H), 10,71 (s, 1H), 8,48 (s, 1 H), 8,37 (s, 1 H), 7,99 (s, 1H), 7,25 (s, 1H), 6,76 (s, 1 H), 3,62 - 3,52 (a m, 4H), 2,86 - 2,77 (a m, 4H), 2,45 - 2,38 (a m, 4H), 2,21 (s, 3H), 1,83 (s, 4H), 1,62 (s a, 2H). LCMS (m/z): 493,8 (MH+).
I-22: N-(2-(4-metilpiperazin-1-il)-5-(piperidin-1-il)benzo[d]oxazol-6-il)-2-(2-metilpiridin-4-il)tiazol-4-carboxamida.
1H RMN (300 MHz, DMSO-C6) 510,80 (s, 1 H), 8,68 - 8,61 (m, 2H), 8,49 (s, 1 H), 7,93 (s, 1H), 7,79 (d, J = 6,1 Hz, 1 H), 7,29 (s, 1 H), 3,61 - 3,55 (a m, 4H), 2,86 - 2,80 (a m, 4H), 2,58 (s, 3H), 2,41 (s a, 4H), 2,21 (s, 3H), 1,83 (s a, 4H), 1,65 (s a, 2H).
LCMS (m/z): 518,7 (MH+).
I-23: N -(5 -(4 -flu o ro p ip e rid in -1 -il)-2 -m o rfo lin o b e n zo [d ]o xa zo l-6 -il)-5 -(1 H -p ira zo l-4 -il) fu ra n -2 -ca rb o xa m id a .
1H RMN (300 MHz, DMSO-de) 5 13,25 (s, 1H), 9,65 (s, 1H), 8,34 (s, 1H), 8,18 (s, 1H), 7,29 (d, J = 3,7 Hz, 2H), 6,77 (d, J = 3,7 Hz, 1H), 4,86 (a d, J = 48,3 Hz, 1H), 3,73 - 3,67 (a m, 4H), 3,58 - 3,52 (a m, 4H), 3,04 - 2,93 (a m, 2H), 2,88 - 2,75 (a m, 1H), 2,21 - 1,90 (a m, 1H).
LCMS (m/z): 481,8 (MH+).
I-24: N-(5-(4-fluoropiperidin-1-il)-2-morfolinobenzo[d]oxazol-6-il)-5-(2-metilpiridin-4-il)furan-2-carboxamida.
1H RMN (300 MHz, DMSO-cfe) 59,86 (s, 1H), 8,52 (d, J = 5,1 Hz, 1H), 8,35 (s, 1H), 7,68 (s, 1H), 7,62 (d, J = 5,4 Hz, 1H), 7,47 (d, J = 3,7 Hz, 1H), 7,41 (d, J = 3,7 Hz, 1H), 7,33 (s, 1H), 4,88 (a d, J = 48,0 Hz, 1H), 3,71 (t, J = 4,8 Hz, 4H), 3,56 (t, J = 4,8 Hz, 4H), 3,05 - 2,96 (a m, 2H), 2,88 - 2,80 (a m, 2H), 2,52 (s, 3H), 2,21 - 1,95 (a m, 4H).
LCMS (m/z): 506,7 (MH+).
I-25: N-(5-(4-fluoropiperidin-1-il)-2-morfolinobenzo[d]oxazol-6-il)-2-(1 H-pirazol-4-il)tiazol-4-carboxamida.
1H RMN (300 MHz, DMSO-cfe) 513,43 (s, 1H), 10,56 (s, 1H), 8,48 (s, 1H), 8,40 (s, 1H), 8,31 (s, 1H), 8,02 (s, 1H), 7,29 (s, 1H), 4,88 (a d, J = 48,7 Hz, 1H), 3,70 (t, J = 4,8 Hz, 4H), 3,56 (t, J = 4,8 Hz, 4H), 3,04 - 2,93 (a m, 2H), 2,90 - 2,78 (a m, 2H), 2,24 - 2,00 (a m, 4H).
LCMS (m/z): 498,7 (MH+).
I-26: N-(5-(4-fluoropiperidin-1-il)-2-morfolinobenzo[d]oxazol-6-il)-2-(2-metilpiridin-4-il)tiazol-4-carboxamida.
1H RMN (300 MHz, DMSO-C6) 5 10,65 (s, 1H), 8,63 (s, 1H), 8,61 (d, J = 5,8 Hz, 1H), 8,49 (s, 1H), 7,85 (s, 1H), 7,75 (d, J = 5,2 Hz, 1H), 7,32 (s, 1H), 4,88 (a d, J = 48,4 Hz, 1H), 3,71 (t, J = 4,8 Hz, 4H), 3,56 (t, J = 4,8 Hz, 4H), 3,07 -2,94 (a m, 2H), 2,90 - 2,79 (a m, 2H), 2,56 (s, 3H), 2,25 - 1,98 (a m, 4H).
LCMS (m/z): 523,8 (MH+).
I-27: N -(5 -(4 ,4 -d iflu o ro p ip e rid in -1 - il) -2 -m o rfo lin o b e n zo [d ]o xa zo l-6 - il) -5 -(1 H -p ira zo l-4 -il) fu ra n -2 -ca rb o xa m id a .
1H RMN (300 MHz, DMSO-de) 513,27 (s, 1H), 9,59 (s, 1H), 8,32 (s, 1H), 8,17 (s, 1H), 7,89 (s, 1H), 7,34 (s, 1H), 7,30 (d, J = 3,6 Hz, 1H), 6,77 (d, J = 3,6 Hz, 1H), 3,70 (t, J = 4,8 Hz, 4H), 3,55 (t, J = 4,8 Hz, 4H), 2,98 (t, J = 5,5 Hz, 4H), 2,31 - 2,14 (a m, 4H).
LCMS (m/z): 499,7 (MH+).
I-28: N-(5-(4,4-difluoropiperidin-1-N)-2-morfoNnobenzo[d]oxazol-6-N)-5-(2-metNpiridin-4-N)furan-2-carboxamida.
1H RMN (300 MHz, DMSO-cfe) 59,80 (s, 1H), 8,49 (d, J = 5,2 Hz, 1H), 8,31 (s, 1H), 7,69 (s, 1H), 7,61 (d, J = 5,2 Hz, 1H), 7,46 (d, J = 3,7 Hz, 1H), 7,42 (d, J = 3,7 Hz, 1H), 7,37 (s, 1H), 3,71 (t, J = 4,8 Hz, 4H), 3,56 (t, J = 4,8 Hz, 4H), 2,99 (t, J = 5,5 Hz, 4H), 2,51 (s, 3H), 2,30 - 2,16 (a m, 4H).
LCMS (m/z): 524,8 (MH+).
I-29: N-(5-(4,4-difluoropiperidin-1-il)-2-morfolinobenzo[d]oxazol-6-il)-2-(1 H-pirazol-4-il)tiazol-4-carboxamida.
1H RMN (300 MHz, DMSO-cfe) 513,46 (s, 1H), 10,50 (s, 1H), 8,47 (s, 1H), 8,38 (s, 1H), 8,32 (s, 1H), 7,99 (s, 1H), 7,35 (s, 1H), 3,71 (t, J = 4,8 Hz, 4H), 3,56 (t, J = 4,8 Hz, 4H), 2,99 (t, J = 5,6 Hz, 4H), 2,36 - 2,21 (a m, 4H).
LCMS (m/z): 516,6 (MH+).
I-30: N-(5-(4,4-difluoropiperidin-1-il)-2-morfolinobenzo[d]oxazol-6-il)-2-(2-metilpiridin-4-il)tiazol-4-carboxamida.
1H RMN (300 MHz, DMSO-C6) 5 10,59 (s, 1H), 8,65 (s, 1H), 8,58 (d, J = 5,1 Hz, 1H), 8,49 (s, 1H), 7,83 (s, 1H), 7,74 (d, J = 5,7 Hz, 1H), 7,39 (s, 1H), 3,71 (t, J = 4,8 Hz, 4H), 3,57 (t, J = 4,8 Hz, 4H), 3,01 (t, J = 5,6 Hz, 4H), 2,56 (s, 3H), 2,34 - 2,20 (a m, 4H).
LCMS (m/z): 541,9 (MH+).
I-31 : N -(2 ,5 -d i(p ip e rid in -1 -il)b e n zo [d ]o xa zo l-6 -il)-5 -(1 H -p ira zo l-4 -il) fu ra n -2 -ca rb o xa m id a .
1H RMN (300 MHz, DMSO-cfe) 513,26 (s, 1 H), 9,78 (s, 1 H), 8,33 (s, 1 H), 8,17 (s, 1 H), 7,90 (s, 1 H), 7,33 - 7,17 (m, 2H), 6,77 (d, J = 3,7 Hz, 1 H), 3,56 (s a, 4H), 2,80 (t, J = 5,1 Hz, 4H), 1,77 (s a, 4H), 1,60 (s a, 8H).
LCMS (m/z): 461,7 (MH+).
I-32: N-(2,5-di(piperidin-1-il)benzo[d]oxazol-6-il)-5-(1 H-pirazol-3-il)furan-2-carboxamida.
1H RMN (300 MHz, DMSO-cfe) 513,21 (s, 1H), 9,91 (s, 1H), 8,35 (s, 1H), 7,90 (s, 1H), 7,29 (d, J = 3,7 Hz, 1H), 7,24 (s, 1 H), 6,91 (d, J = 3,7 Hz, 1 H), 6,66 (s, 1 H), 3,56 (s a, 4H), 2,80 (s a, 4H), 1,80 (s a, 4H), 1,59 (s a, 8H).
LCMS (m/z): 461,7 (MH+).
I-33: N-(2,5-di(piperidin-1 -il)benzo[d]oxazol-6-il)-5-(2-metilpiridin-4-il)furan-2-carboxamida.
1H RMN (300 MHz, DMSO-C6) 59,97 (s, 1 H), 8,55 (d, J = 5,0 Hz, 1 H), 8,35 (s, 1 H), 7,69 (s, 1 H), 7,63 (d, J = 5,0 Hz, 1 H), 7,47 (dd, J = 3,6, 1,3 Hz, 1 H), 7,39 (dd, J = 3,6, 1,3 Hz, 1 H), 7,28 (d, J = 1,3 Hz, 1 H), 3,58 - 3,52 (m, 4H), 2,84 -2,80 (m, 4H), 2,53 (s, 3H), 1,84 - 1,78 (m, 4H), 1,63 - 1,54 (m, 8H).
LCMS (m/z): 486,8 (MH+).
I-34: 2-(6-aminopiridin-3-il)-N-(2,5-di(piperidin-1-il)benzo[d]oxazol-6-il)tiazol-4-carboxamida.1
1H RMN (300 MHz, DMSO-C6) 5 10,75 (s, 1H), 8,68 (d, J = 2,4 Hz, 1H), 8,46 (s, 1H), 8,29 (s, 1H), 7,96 (dd, J = 8,7, 2,4 Hz, 1H), 7,24 (s, 1 H), 6,69 (s, 2H), 6,54 (d, J = 9,3 Hz, 1 H), 3,57 - 3,53 (m, 4H), 2,84 - 2,76 (m, 4H), 1,84 - 1,75 (m, 4H), 1,65 - 1,52 (m, 8H).
LCMS (m/z): 504,3 (MH+).
I-35: N-(2,5-di(piperidin-1 -il)benzo[d]oxazol-6-il)-2-(1 H-pirazol-4-il)tiazol-4-carboxamida.
1H RMN (300 MHz, DMSO-cfe) 513,42 (s, 1H), 10,67 (s, 1H), 8,45 (s, 1 H), 8,41 (s, 1 H), 8,29 (s, 1H), 8,02 (s, 1H), 7,22 (s, 1 H), 3,60 - 3,52 (m, 4H), 2,84 - 2,77 (m, 4H), 1,86 - 1,75 (m, 4H), 1,60 (s a, 8H).
LCMS (m/z): 478,7 (MH+).
I-36: N-(2,5-di(piperidin-1 -il)benzo[d]oxazol-6-il)-2-(1 H-pirazol-3-il)tiazol-4-carboxamida.
1H RMN (300 MHz, DMSO-cfe) 513,40 (s, 1H), 10,71 (s, 1H), 8,46 (s, 1 H), 8,36 (s, 1 H), 8,00 (s, 1H), 7,23 (s, 1H), 6,76 (s, 1 H), 3,60 - 3,52(m, 4H), 2,85 - 2,77 (m, 4H), 1,86 - 1,79 (m, 4H), 1,60 (s a, 8H).
LCMS (m/z): 478,7 (MH+).
I-37: N-(2,5-di(piperidin-1 -il)benzo[d]oxazol-6-il)-2-(2-metilpiridin-4-il)tiazol-4-carboxamida.
1H RMN (300 MHz, DMSO-C6) 510,78 (s, 1H), 8,68 - 8,59 (m, 2H), 8,46 (s, 1 H), 7,92 (s, 1H), 7,78 (d, J = 6,6 Hz, 1 H), 7,26 (s, 1 H), 3,59 - 3,52 (m, 4H), 2,89 - 2,74 (m, 4H), 1,83 (c, J = 6,8, 5,6 Hz, 4H), 1,60 (s a, 8H).
LCMS (m/z): 503,7 (MH+).
I-38: N-(5-(3-fluoropiperidin-1 -il)-2-morfolinobenzo[d]oxazol-6-il)-5-(1 H-pirazol-4-il)furan-2-carboxamida.1
1H RMN (300 MHz, DMSO-C6) 513,22 (s, 1 H), 9,77 (s, 1 H), 8,43 (s, 1 H), 8,20 (s, 1H), 7,96 (s, 1H), 7,34 (s, 1 H), 7,26 (d, J = 3,6 Hz, 1 H), 6,76 (d, J = 3,6 Hz, 1 H), 4,96 (d, J = 47,0 Hz, 1 H), 3,74 - 3,68 (m, 4H), 3,57 - 3,53 (m, 4H), 3,13 -3,02 (m, 2H), 2,86 - 2,79 (m, 2H), 2,09 - 1,65 (m, 4H).
LCMS (m/z): 481,7 (MH+).
I-39: N-(5-(3-fluoropiperidin-1-il)-2-morfolinobenzo[d]oxazol-6-il)-5-(2-metilpiridin-4-il)furan-2-carboxamida.
1H RMN (300 MHz, DMSO-cfe) 59,94 (s, 1 H), 8,52 (d, J = 5,2 Hz, 1 H), 8,43 (s, 1 H), 7,74 (s, 1 H), 7,66 (d, J = 5,2 Hz, 1 H), 7,46 (d, J = 3,7 Hz, 1 H), 7,40 - 7,36 (m, 2H), 4,97 (d, J = 47,4 Hz, 1H), 3,74 - 3,68 (m, 4H), 3,59 - 3,53 (m, 4H), 3,14 - 3,02 (m, 2H), 2,89 - 2,82 (m, 2H), 2,52 (s, 3H), 2,13 - 1,69 (m, 4H).
LCMS (m/z): 506,9 (MH+).
I-40: N-(5-(3-fluoropiperidin-1-il)-2-morfolinobenzo[d]oxazol-6-il)-2-(lH-pirazol-4-il)tiazol-4-carboxamida.
1H RMN (300 MHz, DMSO-cfe) 513,39 (s, 1H), 10,60 (s, 1H), 8,51 (s, 1 H), 8,43 (s, 1 H), 8,29 (s, 1H), 8,08 (s, 1H), 7,32 (s, 1 H), 4,97 (d, J = 47,2 Hz, 1 H), 3,75 - 3,67 (m, 4H), 3,60 - 3,53 (m, 4H), 3,21 (dd, J = 25,5, 11,5 Hz, 1 H), 3,09 - 2,98 (a m, 1H), 2,84 - 2,67 (a m, 2H), 2,11 (s a, 1H), 2,01 - 1,81 (m, 2H), 1,71 (s a, 1H).
LCMS (m/z): 498,7 (MH+).
I-41: N-(5-(3-fluoropiperidin-1-il)-2-morfolinobenzo[d]oxazol-6-il)-2-(2-metilpiridin-4-il)tiazol-4-carboxamida.
1H RMN (300 MHz, DMSO-C6) 510,69 (s, 1 H), 8,62 (m, J = 5,8 Hz, 2H), 8,53 (s, 1H), 7,97 (s, 1 H), 7,81 (d, J = 5,8 Hz, 1 H), 7,36 (s, 1 H), 4,99 (d, J = 50,0 Hz, 1 H), 3,75 - 3,67 (m, 4H), 3,61 - 3,53 (m, 4H), 3,28 - 3,13 (a m, 1 H), 3,12 - 2,99 (a m, 1H), 2,86 - 2,69 (a m, 2H), 2,57 (s, 3H), 2,12 (s a, 1H), 2,02 - 1,79 (a m, 2H), 1,72 (s a, 1H).
LCMS (m/z): 523,9 (MH+).
I-42: N-(5-(3,3-difluoropiperidin-1-il)-2-morfolinobenzo[d]oxazol-6-il)-5-(1 H-pirazol-4-il)furan-2-carboxamida.1
1H RMN (300 MHz, DMSO-C6) 513,23 (s, 1 H), 9,63 (s, 1 H), 8,44 (s, 1H), 8,15 (s, 1H), 7,93 (s, 1H), 7,40 (s, 1 H), 7,26 (d, J = 3,6 Hz, 1 H), 6,77 (d, J = 3,6 Hz, 1H), 3,73 - 3,68 (m, 4H), 3,59 - 3,52 (m, 4H), 3,20 (a t, J = 11,3 Hz, 2H), 2,89 -2,82 (a m, 2H), 2,16 - 2,04 (a m, 2H), 1,95 - 1,87 (a m, 2H).
LCMS (m/z): 499,7 (MH+).
I-43: N-(5-(3,3-difluoropiperidin-1-il)-2-morfolinobenzo[d]oxazol-6-il)-5-(2-metilpiridin-4-il)furan-2-carboxamida.
1H RMN (300 MHz, DMSO-C6) 59,78 (s, 1 H), 8,53 (d, J = 5,5 Hz, 1 H), 8,44 (s, 1 H), 7,68 (s, 1 H), 7,63 (d, J = 5,1 Hz, 1 H), 7,47 (d, J = 3,7 Hz, 1 H), 7,43 (s, 1 H), 7,39 (d, J = 3,7 Hz, 1 H), 3,75 - 3,68 (m, 4H), 3,61 - 3,54 (m, 4H), 3,25 - 3,15 (m, 2H), 2,92 - 2,86 (a m, 2H), 2,53 (s, 3H), 2,20 - 2,03 (a m, 2H), 2,01 - 1,88 (m, 2H).
LCMS (m/z): 524,8 (MH+).
I-44: N-(5-(3,3-difluoropiperidin-1-il)-2-morfolinobenzo[d]oxazol-6-il)-2-(1 H-pirazol-4-il)tiazol-4-carboxamida.
1H RMN (300 MHz, DMSO-cfe) 513,39 (s, 1H), 10,53 (s, 1H), 8,52 (s, 1 H), 8,39 (s, 1 H), 8,29 (s, 1H), 8,06 (s, 1H), 7,38 (s, 1 H), 3,74 - 3,67 (m, 4H), 3,60 - 3,54 (m, 4H), 3,25 (a d, J = 12,0 Hz, 2H), 2,78 (s a, 2H), 2,16 - 1,90 (a m, 4H). LCMS (m/z): 516,6 (MH+).
I-45: N-(5-(3,3-difluoropiperidin-1-il)-2-morfolinobenzo[d]oxazol-6-il)-2-(2-metilpiridin-4-il)tiazol-4-carboxamida.
1H RMN (300 MHz, DMSO-cfe) 510,58 (s, 1H), 8,67 - 8,58 (m, 2H), 8,55 (s, 1 H), 7,93 (s, 1H), 7,79 (d, J = 6,4 Hz, 1 H), 7,42 (s, 1 H), 3,74 - 3,67 (m, 4H), 3,59 - 3,54 (m, 4H), 3,26 (d, J = 11,1 Hz, 2H), 2,81 (s, 0H), 2,58 (s, 3H), 2,23 - 2,00 (m, 0H), 1,95 (s, 2H).
LCMS (m/z): 541,7 (MH+).
I-46: N-(2-morfolino-5-(pirrolidin-1-il)benzo[d]oxazol-6-il)-5-(1 H-pirazol-4-il)furan-2-carboxamida.
1H RMN (300 MHz, DMSO-C6) 513,20 (s, 1 H), 9,63 (s, 1 H), 8,19 (s, 1 H), 7,95 - 7,85 (m, 2H), 7,26 (d, J = 3,5 Hz, 1 H), 7,13 (s, 1 H), 6,72 (d, J = 3,5 Hz, 1 H), 3,74 - 3,66 (m, 4H), 3,60 - 3,52 (m, 4H), 3,10 - 3,05 (a m, 4H), 1,95 - 1,88 (a m, 4H).
LCMS (m/z): 449,7 (MH+).
I-47: N-(2-morfolino-5-(pirrolidin-1-il)benzo[d]oxazol-6-il)-2-(1 H-pirazol-4-il)tiazol-4-carboxamida.
1H RMN (300 MHz, DMSO-C6) 513,40 (s, 1H), 10,40 (s, 1H), 8,40 (s, 2H), 8,29 (s, 1 H), 7,98 (s, 1H), 7,29 (s, 1H), 3,74 - 3,67 (m, 4H), 3,60 - 3,52 (m, 4H), 3,06 - 2,99 (a m, 4H), 2,00 - 1,96 (a m, 4H).
LCMS (m/z): 466,6 (MH+).
I-48: N-(2,5-dimorfolinobenzo[d]oxazol-6-il)-5-(1 H-pirazol-4-il)furan-2-carboxamida.
1H RMN (300 MHz, DMSO-cfe) 513,28 (s, 1 H), 9,75 (s, 1 H), 8,37 (s, 1 H), 8,22 (s, 1H), 7,94 (s, 1H), 7,36 (s, 1 H), 7,29 (d, J = 3,6 Hz, 1 H), 6,77 (d, J = 3,6 Hz, 1 H), 3,87 - 3,79 (m, 4H), 3,74 - 3,67 (m, 4H), 3,59 - 3,53 (m, 4H), 2,90 - 2,82 (m, 4H).
LCMS (m/z): 465,7 (MH+).
I-49: N-(2,5-dimorfolinobenzo[d]oxazol-6-il)-2-(1 H-pirazol-4-il)tiazol-4-carboxamida.
1H RMN (300 MHz, DMSO-cfe) 513,45 (s, 1H), 10,64 (s, 1H), 8,50 (s, 1 H), 8,45 (s, 1 H), 8,31 (s, 1H), 8,06 (s, 1H), 7,35 (s, 1 H), 3,91 - 3,85 (m, 4H), 3,74 - 3,67 (m, 4H), 3,60 - 3,52 (m, 4H), 2,90 - 2,83 (m, 4H).
LCMS (m/z): 482,7 (MH+).
I-50: N-(2-((2-methoxyetil)(metil)amino)-5-(piperidin-1-il)benzo[d]oxazol-6-il)-5-(1 H-pirazol-4-il)furan-2-carboxamida.
1H RMN (300 MHz, DMSO-C6) 513,26 (s, 1H), 9,78 (s, 1 H), 8,33 (s, 1 H), 8,17 (s, 1 H), 7,90 (s, 1 H), 7,27 (d, J = 3,6 Hz, 1 H), 7,23 (s, 1H), 6,77 (d, J = 3,6 Hz, 1 H), 3,65 (t, J = 5,2 Hz, 2H), 3,56 (t, J = 5,2 Hz, 2H), 3,25 (s, 3H), 3,13 (s, 3H), 2,84 - 2,76 (m, 4H), 1,82 - 1,73 (a m, 4H), 1,65 - 1,54 (a m, 2H).
LCMS (m/z): 465,7 (MH+).
I-51 : N -(2 -((2 -m e to x ie til)(m e til)a m in o )-5 -(p ip e rid in -1 -il)b e n zo [d ]o xa zo l-6 -il)-2 -(1 H -p ira zo l-4 -il) t ia zo l-4 -ca rb o xa m id a .
1H RMN (300 MHz, DMSO-cfe) 513,42 (s, 1H), 10,67 (s, 1H), 8,45 (s, 1 H), 8,41 (s, 1 H), 8,29 (s, 1H), 8,02 (s, 1H), 7,22 (s, 1 H), 3,65 (t, J = 5,6 Hz, 2H), 3,57 (t, J = 5,6 Hz, 2H), 3,25 (s, 3H), 3,13 (s, 3H), 2,85 - 2,77 (m, 4H), 1,87 - 1,76 (m, 4H), 1,66 - 1,55 (m, 2H).
LCMS (m/z): 482,6 (MH+).
I-52: N-(2-((2-morfolinoetil)amino)-5-(piperidin-1-il)benzo[d]oxazol-6-il)-2-(1 H-pirazol-4-il)tiazol-4-carboxamida.
1H RMN (300 MHz, DMSO-cfe) 5 13,42 (s, 1H), 10,67 (s, 1H), 8,40 (s, 2H), 8,27 (s, 1H), 8,01 (s, 1H), 7,79 (t, J = 5,8 Hz, 1 H), 7,20 (s, 1 H), 3,58 - 3,51 (m, 4H), 3,39 (c, J = 6,4 Hz, 2H), 2,84 - 2,77 (m, 4H), 2,53 - 2,49 (m, 2H), 2,44 - 2,37 (m, 4H), 1,86 - 1,76 (m, 4H), 1,65 - 1,55 (m, 2H).
LCMS (m/z): 523,7 (MH+).
I-53: N-(2-(metil(2-morfolinoetil)amino)-5-(piperidin-1-il)benzo[d]oxazol-6-il)-5-(1 H-pirazol-4-il)furan-2-carboxamida.
1H RMN (300 MHz, DMSO-C6) 513,26 (s, 1H), 9,78 (s, 1 H), 8,32 (s, 1 H), 8,17 (s, 1 H), 7,90 (s, 1 H), 7,26 (d, J = 3,6 Hz, 1 H), 7,23 (s, 1 H), 6,77 (d, J = 3,6 Hz, 1 H), 3,59 (t, J = 6,4 Hz, 2H), 3,53 - 3,45 (m, 4H), 3,12 (s, 3H), 2,84 - 2,76 (m, 4H), 2,54 (t, J = 6,4 Hz, 2H), 2,45 - 2,38 (m, 4H), 1,82 - 1,71 (m, 4H), 1,63 - 1,54 (m, 2H).
LCMS (m/z): 520,7 (MH+).
I-54: N-(2-(metil(2-morfolinoetil)amino)-5-(piperidin-1-il)benzo[d]oxazol-6-il)-2-(1 H-pirazol-4-il)tiazol-4-carboxamida.1
1H RMN (300 MHz, DMSO-C6) 513,42 (s, 1 H), 10,66 (s, 1 H), 8,44 (s, 1 H), 8,41 (s, 1 H), 8,28 (s, 1 H), 8,01 (s, 1 H), 7,21 (s, 1 H), 3,59 (t, J = 6,4 Hz, 2H), 3,54 - 3,45 (m, 4H), 3,12 (s, 3H), 2,85 - 2,76 (m, 4H), 2,54 (t, J = 6,4 Hz, 2H), 2,45 -2,39 (m, 4H), 1,86 - 1,77 (m, 4H), 1,66 - 1,55 (m, 2H).
LCMS (m/z): 537,8 (MH+).
Ejemplo 9
Ensayo de IL23p19 inducida por LPS en células THP-1 (cebadas con IFNg)
Materiales y equipo
Células THP-1 (ATCC, n° de cat. TIB-202), dimetilsulfóxido (DMSO) (Sigma-Aldrich, n° de cat. D2650), RPMI 1640 (Cellgro, n° de cat. 10-040-CM), suero fetal bovino (Sigma, n° de cat. F4135), albúmina de suero bovino (BSA) (Sigma-Aldrich, n° de cat. A7906), LPS (Serotipo K-235, Sigma, Número de Producto L 2143), IFNg (Peprotech, n° de cat. 300 02)
Anticuerpo de captura: ELISA de IL-23p19 humana (e-Bioscience, n° de cat. 14-7238-85), anticuerpo de detección: anticuerpo primario de ratón biotinilado anti-IL-12 (p40/p70) humana (e-Bioscience, n° de cat. 13-7129-85), secundario: estreptavidina conjugada con HRP (R&D Systems, n° de cat. DY998), 1x amortiguador de lavado PBST (comprimido de PBS-Tween) (VWR International, n° de cat.80058-558), amortiguador de bloqueo de ELISA (PBS con 1 % de BSA), amortiguador de dilución de ELISA (PBS con 1% de BSA), inmunoplacas negras MaxiSorp de fondo plano de 384 pocillos (Thermo Scientific, n° de cat. 12-565-346), placas de cultivo tisular blancas de fondo plano de 384 pocillos (Thermo Scientific, n° de cat. 12-565-343), sustrato quimioluminiscente Super Signal ELISA Pico (Thermo Scientific, n° de cat. 37070), reactivo Cell Titer Glo (Promega, n° de cat. G7573), control positivo, inhibidor de IKK2VI (Calbiochem, n° de cat.401483), lavadora de placas AquaMax 4000 (Molecular Devices), luminómetro, Wallac Victor2 1420 Multilabel Counter.
Método
Estimulación de células THP-1:
El día 1, se sembraron 50 K células THP-1/pocillo y se cebaron con IFNg (50 ng/ml) en placas de 384 pocillos durante alrededor de 18 horas en medio RPMI con 10% de FBS. El día 2, el compuesto se diluyó en serie en DMSO a partir de 5 mM en diluciones de 3 veces, y luego se diluyó 1:125 en medio RPMI con 10% de FBS. Se añadieron 50 pl/pocillo de compuesto 2x a 50 pl/pocillo de células THP-1 (cebadas con IFNy) por duplicado en placas de cultivo tisular de 384 pocillos. Las células se incubaron previamente con el compuesto durante 1 hora a 37°C, 5% de CO2 , antes de la adición de 10 pl/pocillo de 11x LPS para dar una concentración final de 1 ug/ml de LPS. El día 3, después de la estimulación durante 18 horas a 37°C, 5% de CO2 , la placa de ensayo se centrifugó, y se recogieron 70 pl/pocillo de sobrenadante. La proteína IL-23p19 en 70 pl/pocillo de sobrenadante se midió mediante ELISA de sándwich, y se añadieron 25 pl/pocillo de reactivo Cell Titer Glo a las células restantes para medir la toxicidad del compuesto.
ELISA de sándwich de IL-23p19 humana:
Las placas Maxisorp inmuno ELISA se revistieron previamente con 25 pl/pocillo de anticuerpo de captura anti-IL-23p19 (2,5 ug/ml) en PBS durante la noche a temperatura ambiente. Después de lavar con 1x PBST, las placas se bloquearon usando 100 pl/pocillo de BSA al 1% en PBS durante 2 horas a temperatura ambiente. Las placas se lavaron tres veces con 1 x PBST, y se añadieron 70 pl/pocillo de sobrenadante. Las placas se incubaron a temperatura ambiente durante 2 horas con agitación y se lavaron tres veces con 1x PBST. Se añadieron 25 pl/pocillo de anticuerpo de detección marcado con biotina anti-IL-12(p40/p70) (100 ng/ml) en PBS con 1% de BSA, y las placas se incubaron a temperatura ambiente durante 2 horas con agitación. Después de lavar tres veces con 1x PBST, se añadieron 25 pl/pocillo de estreptavidina-HRP (1:200) en PBS con 1% de BSA, y las placas se incubaron a temperatura ambiente durante 20 minutos con agitación. Las placas se lavaron tres veces con 1x PBST, y se añadieron 25 pl/pocillo de sustrato quimioluminiscente Super Signal ELISA Pico. Las placas se leyeron con un luminómetro, y los valores de quimioluminiscencia se introdujeron en Athena (Rigel) para el ajuste de la curva, el cálculo de EC50, y el almacenamiento en la base de datos. Los resultados se muestran en la Tabla 1.
Ejemplo 10
Identificación de compuestos usando células DC
Materiales
Células PBMC humanas (All Cells, n° de cat. PB002)
Medio de crecimiento RPMI que contiene 10% de FBS
IFNg (Peprotech, n° de cat. 300-02)
GMCSF (Peprotech, n° de cat. 300-03) e IL4 (Peprotech n° de cat. 200-04)
Placas blancas de 96 pocillos con fondo transparente (Fisher, n° de cat. 07-200-587, Corning n° 3903)
LPS (Prepárese un lote de 2,5 mg/ml en PBS) de Sigma Aldrich (n° de cat. L2018-5MG)
Reactivo Cell Titer Glo (Promega, n° de cat. G7573)
Controles positivos, inhibidor de IKK2VI (Calbiochem, n° de cat. 401483)
Protocolo
I. Diferenciación de las PBMCs en células DC:
Las células PBMC humanas (400 millones) obtenidas del proveedor se transfirieron a un matraz T-175 que contenía 15 ml de medio RPMI (10% de FBS), y se incubaron durante 2 horas a 37°C. Después de 2 horas, se aspiraron cuidadosamente los medios que incluían células flotantes, y se añadieron 12 ml de medio RPMI reciente (10% de FBS) que contenía GMCSF (100 ng/ml) e IL4 (20 ng/ml), y el matraz se mantuvo en una incubadora a 37°C durante 7 días.
Después de 3 días, se añadieron al matraz GMCSF (100 ng/ml) e IL4 (20 ng/ml) recientes, y la incubación continuó. Después de 7 días, las células completamente diferenciadas se recogieron centrifugando (1200 rpm/5 min) y aspirando el medio. Las células se suspendieron en medio RPMI reciente (10% de FBS) que contenía 50 ng/ml de IFNg (1000 U/ml), y después se sembraron en placas (50K/pocillo en 100 ml) sobre una placa blanca de fondo transparente de 96 pocillos, y se dejaron en una incubadora a 37°C durante 24 horas.
II. Adición de compuestos:
Después de 24 horas de incubación, se añadieron 100 ml de medio RPMI que contenía 2X compuesto de ensayo concentrado por pocillo al medio de cultivo celular anterior (la concentración final se convierte en IX), y las placas se incubaron previamente durante 1 hora a 37°C antes de estimular con LPS.
Después de 1 hora de incubación previa de los compuestos, se añadieron 10 ml por pocillo de disolución de LPS concentrada 20X en medio RPMI, para dar una concentración final de 1 mg/ml. La mezcla se agitó, y las placas se incubaron a 37°C durante 18 horas adicionales.
Se recogieron con cuidado de cada pocillo 155 ml del sobrenadante (sin que la punta toque el fondo del pocillo), y a los 50 ml/pocillo restante de la placa de cultivo celular se añadieron 50 ml de reactivo Cell Titer Glo. La mezcla se incubó durante 1-2 minutos en un agitador, y la placa se leyó para determinar la intensidad de luminiscencia para determinar la citotoxicidad de los compuestos. El sobrenadante de cultivo celular recogido anteriormente se usó para llevar a cabo el ELISA IL23 (65 ml - Sobrenadante) y el ELISA de IL10 (90 ml - Sobrenadante) como se describe a continuación. Ejemplo 11
Protocolo de ELISA de IL-23 (p19/p40) humana (e-Biosciences)
Materiales:
Placas blancas opacas de 96 pocillos de alta unión (de Pierce, n° de cat. 15042);
1X PBS; 1 x amortiguador de lavado TBST;
Disolución de bloqueo: 0,5% de caseína en PBS (de BDH, n° de cat. 440203H);
Disolución de dilución: 1% de BSA en PBS (10% de BSA de Fisher, n° de Cat. 37525);
Anticuerpo de captura: anticuerpo de rata anti-IL-23 (p19) humana (e-Biosciences, n° de cat. 14-7238-85);
Anticuerpo de detección: anticuerpo primario biotinilado de ratón anti-IL-12 (p40/p70) humana (e-biosciences, n° de cat. 13-7129-85);
Secundario: estreptavidina conjugada con HRP (R&D Systems, n° de cat. DY998);
IL-23 humana recombinante (e-biosciences, n° de cat. 34-8239) (Concentración inicial sugerida = 5 ng/ml en medio de cultivo celular RPMI);
Sobrenadante de cultivo celular (65 ml de células THP-1 cebadas con IFNg (50 ng/ml - 1000 U/ml) y estimuladas con SAC al 0,01%);
Sustrato quimioluminiscente SuperSignal ELISA Pico [Pierce, n° de cat. 37069].
Revestimiento de las placas:
A 10,5 ml de PBS se añadieron 50 ml de anticuerpo de captura anti-IL23 (p19) (2,5 mg/ml). La mezcla se mezcló bien, y se añadieron 100 ml de la disolución de revestimiento a cada pocillo de las placas blancas de 96 pocillos de Pierce. Los pocillos se cubrieron y se incubaron toda la noche a 4°C.
Bloqueo de las placas:
Las placas revestidas con anticuerpo anti-IL23 (p19) se lavaron 2X usando TBST (úsese un lavador de placas), y se bloquearon usando 200 pl de caseína al 0,5% durante 1,5-2 horas a temperatura ambiente con agitación.
Adición de sobrenadante y detección:
Las placas se lavaron 2X usando TBST, y el sobrenadante se transfirió (65 pl/pocillo) a la placa de 96 pocillos anterior previamente bloqueada/revestida con anticuerpo anti-IL23(p19), y se incubaron a temperatura ambiente durante 1,5 horas con agitación.
Las placas se lavaron 4X usando TBST (lavador de placas), y se añadió una disolución de anticuerpo de detección de 100 pl/pocillo preparada a partir de 2 pl de anticuerpo anti-IL-12 (p40/p70) marcado con biotina en 11 ml de disolución de 1% de BSA/PBS (dilución 1:5000). Las placas se incubaron durante 1 hora con agitación a temperatura ambiente.
Nuevamente, las placas se lavaron 4X con TBST, y se añadieron 100 pl de disolución de estreptavidina marcada con HRP (R&D Systems) (10 pl/10 ml de disolución de BSA al 1%), y las placas se incubaron a temperatura ambiente durante otros 45 minutos con agitación.
Después de 45 minutos, las placas se lavaron con TBST 4X, y se añadieron 100 ul/pocillo de sustrato quimioluminiscente Super Signal ELISA Pico de Pierce (3,5 ml de A 3,5 ml de B 3,5 ml de agua MQ). Las placas se agitaron durante 1 -2 minutos, y después se leyeron en un lector de placas. Los resultados se muestran en la Tabla 1.
Tabla 1
En vista de las muchas realizaciones posibles a las que se pueden aplicar los principios de la invención descrita, debe reconocerse que las realizaciones ilustradas son solo ejemplos preferidos de la invención y no deben considerarse como limitantes del alcance de la invención. Más bien, el alcance de la invención está definido por las siguientes reivindicaciones.
Claims (20)
1. Un compuesto que tiene una fórmula
o una sal farmacéuticamente aceptable, solvato, hidrato, N-óxido, o profármaco del mismo, en la que:
X es O o S;
Y es O o S;
Z es N o CR9;
Het-1 es heteroarilo;
R1 y R2 son independientemente H, alifático, heteroalifático, heterociclilo, arilo, aralifático, o junto con el nitrógeno al que están unidos, forman un anillo heterocíclico;
R3, R4, R6 y R9 son independientemente H, alifático, halo, heteroalifático, -O-alifático, heterociclilo, arilo, aralifático, -O-heterociclilo, hidroxilo, nitro, ciano, carboxilo, éster carboxílico, acilo, amida, amino, sulfonilo, sulfonamida, sulfanilo, sulfinilo, o haloalquilo;
R5 es amino, arilo o heteroarilo;
R7 es H, alifático, heteroalifático, heterociclilo, arilo o aralifático;
cada R8 es independientemente alifático, halo, heteroalifático, -O-alifático, heterociclilo, arilo, aralifático, -O-heterociclilo, hidroxilo, nitro, ciano, carboxilo, éster carboxílico, acilo, amida, amino, sulfonilo, sulfonamida, sulfanilo, sulfinilo o haloalquilo; y
m es de 0 a 6;
y en la que
amino se refiere al grupo -NH2 , -NHR o -NRR, en el que cada R se selecciona independientemente de H, alifático, heteroalifático, arilo o heterocíclico, o dos grupos R, junto con el nitrógeno unido a los mismos, forman un anillo heterocíclico opcionalmente interrumpido con uno o dos grupos heteroatómicos; y
alifático se refiere a un resto hidrocarbonado lineal, ramificado o cíclico, opcionalmente sustituido, que contiene de 1 a 25 átomos de carbono; en el que cada sustituyente opcional que sustituye uno o más átomos de hidrógeno es independientemente -R60, halo, =O, -OR70, -SR70, -N(R80)2 , haloalquilo, perhaloalquilo, -CN, -NO2 , =N2 , -N3 , -SO2R70, -SO3-M+, -SO3 R70, -OSO2 R70, -OSO3-M+, -OSO3 R70, -P(O)(O-)2(M+)2 , -P(O)(O-)2M2+, -P(O)(OR70)O- M+, -P(O)(OR70)2, -C(O)R70, -C(S)R70, -C(NR70)R70, -CO2-M+, -CO2R70, -C(S)OR70, -C(O)N(R80)2, -C(NR70)(R80)2, -OC(O)R70, -OC(S)R70, -OCO2-M+, -OCO2R70, -OC(S)OR70, -NR70C(O)R70, -NR70C(S)R70, -NR70CO2-M+, -NR70CO2 R70, -NR70C(S)OR70, -NR70C(O)N(R80)2 , -NR70C(NR70)R70 y -NR70C(NR70)N(R80)2 , en los que R60 es alquilo de C1-6; cada R70 es independientemente, para cada aparición, hidrógeno o R60; cada R80 es independientemente, para cada aparición, R70, o alternativamente, dos grupos R80, tomados junto con el átomo de nitrógeno al que están enlazados, forman un heteroaliciclilo de 3 a 7 miembros que incluye opcionalmente de 1 a 4 de los mismos o diferentes heteroátomos adicionales seleccionados de O, N y S, de los cuales N tiene opcionalmente H o sustitución alquílica de C1-C3 ; y cada M+ es un contraión con una sola carga positiva neta; y cualquiera de los dos átomos de hidrógeno en un solo carbono puede reemplazarse por =O, =NR70, =N-OR 70, =N2 o =S.
2. El compuesto de la reivindicación 1, en el que Het-1 es piridina, pirazol o pirrolo[2,3-b]piridina.
4. El compuesto de la reivindicación 1, en el que:
cada R8 independientemente se selecciona de halo, haloalquilo de C1-6, alquilo C1-6, -Oalquilo de C1-6, amino o -CH2OP(O)(OR24)2 ; y
cada R24 es independientemente H, alquilo de C1-6 o un contraión que forma una sal de adición de base farmacéuticamente aceptable con el resto de fosfato.
5. El compuesto de la reivindicación 4, en el que al menos un R8 es -NH2 , -CH3 , -CF3 , -CF2H o -CH2CF3.
7. El compuesto de una cualquiera de las reivindicaciones 1 -6, en el que el compuesto tiene una fórmula seleccionada de
y
R10 y R23 son independientemente H, alifático, arilo o heterociclilo; y
R11, R12, R13, R14, R15, R16, R17, R18, R19, R20, R21 son R22 son independientemente H, alifático, halógeno, heteroalifático, -O-alifático, heterociclilo, arilo, aralifático, -O-heterociclilo, hidroxilo, nitro, ciano, carboxilo, éster carboxílico, acilo, amida, amino, sulfonilo, sulfonamida, sulfanilo, sulfinilo, o haloalquilo.
8. El compuesto de la reivindicación 1, en el que el compuesto tiene una fórmula seleccionada de
R10 y R23 son independientemente H, alifático, arilo o heterociclilo; y
R11, R12, R13, R14, R15, R16, R17, R18, R19, R20, R21 y R22 son independientemente H, alifático, halógeno, heteroalifático, -O-alifático, heterociclilo, arilo, aralifático, -O-heterociclilo, hidroxilo, nitro, ciano, carboxilo, éster carboxílico, acilo, amida, amino, sulfonilo, sulfonamida, sulfanilo, sulfinilo, o haloalquilo.
9. El compuesto de una cualquiera de las reivindicaciones 1-8, en el que R5 es amino que tiene una fórmula -NRR en la que cada R es independientemente alifático, o ambos grupos R, junto con el nitrógeno unido a los mismos, forman un anillo heterocíclico.
12. El compuesto de una cualquiera de las reivindicaciones 1-11, en el que R3, R4, R6 y R7 son H.
13. El compuesto de la reivindicación 1, seleccionado de
I-1: 5-(6-aminopiridin-3-il)-N-(2-morfolino-5-(piperidin-1-il)benzo[d]oxazol-6-il)furan-2-carboxamida;
1 -2: N-(2-morfolino-5-(piperidin-1 -il)benzo[d]oxazol-6-il)-5-(1 H-pirrolo[2,3-b]piridin-5-il)furan-2-carboxamida; I-3: N-(2-morfolino-5-(piperidin-1-il)benzo[d]oxazol-6-il)-5-(1 H-pirazol-4-il)furan-2-carboxamida;
I-4: N-(2-morfolino-5-(piperidin-1-il)benzo[d]oxazol-6-il)-5-(1 H-pirazol-3-il)furan-2-carboxamida;
I-5: 5-(6-aminopiridin-3-il)-N-(2-morfolino-5-(piperidin-1-il)benzo[d]tiazol-6-il)furan-2-carboxamida;
I-6: N-(2-morfolino-5-(piperidin-1-il)benzo[d]tiazol-6-il)-5-(1 H-pirrolo[2,3-b]piridin-5-il)furan-2-carboxamida; I-7: N-(2-morfolino-5-(piperidin-1-il)benzo[d]tiazol-6-il)-5-(1 H-pirazol-4-il)furan-2-carboxamida;
I-8: N-(2-morfolino-5-(piperidin-1-il)benzo[d]tiazol-6-il)-5-(1 H-pirazol-3-il)furan-2-carboxamida;
I-9: 5-(2-metilpiridin-4-il)-N-(2-morfolino-5-(piperidin-1-il)benzo[d]tiazol-6-il)furan-2-carboxamida;
I-10: 5-(2-metilpiridin-4-il)-N-(2-morfolino-5-(piperidin-1-il)benzo[d]oxazol-6-il)furan-2-carboxamida;
I-11: 2-(6-aminopiridin-3-il)-N-(2-morfolino-5-(piperidin-1 -il)benzo[d]oxazol-6-il)tiazol-4-carboxamida;
I-12: N-(2-morfolino-5-(piperidin-1 -il)benzo[d]oxazol-6-il)-2-(1 H-pirazol-4-il)tiazol-4-carboxamida;
I-13: N-(2-morfolino-5-(piperidin-1 -il)benzo[d]oxazol-6-il)-2-(1 H-pirazol-3-il)tiazol-4-carboxamida;
I-14: 2-(2-metilpiridin-4-il)-N-(2-morfolino-5-(piperidin-1-il)benzo[d]oxazol-6-il)tiazol-4-carboxamida;
I-15: 5-(6-aminopiridin-3-il)-N-(2-(4-metilpiperazin-1 -il)-5-(piperidin-1 -il)benzo[d]oxazol-6-il)furan-2-carboxamida; I-16: N-(2-(4-metilpiperazin-1 -il)-5-(piperidin-1 -il)benzo[d]oxazol-6-il)-5-(1 H-pirazol-4-il)furan-2-carboxamida; I-17: N-(2-(4-metilpiperazin-1-il)-5-(piperidin-1-il)benzo[d]oxazol-6-il)-5-(1 H-pirazol-3-il)furan-2-carboxamida; I-18: N-(2-(4-metilpiperazin-1 -il)-5-(piperidin-1 -il)benzo[d]oxazol-6-il)-5-(2-metilpiridin-4-il)furan-2-carboxamida; I-19: 2-(6-aminopiridin-3-il)-N-(2-(4-metilpiperazin-1 -il)-5-(piperidin-1 -il)benzo[d]oxazol-6-il)tiazol-4-carboxamida; I-20: N-(2-(4-metilpiperazin-1 -il)-5-(piperidin-1 -il)benzo[d]oxazol-6-il)-2-(1 H-pirazol-4-il)tiazol-4-carboxamida; 1 -21: N-(2-(4-metilpiperazin-1 -il)-5-(piperidin-1 -il)benzo[d]oxazol-6-il)-2-(1 H-pirazol-3-il)tiazol-4-carboxamida; I-22: N-(2-(4-metilpiperazin-1-il)-5-(piperidin-1-il)benzo[d]oxazol-6-il)-2-(2-metilpiridin-4-il)tiazol-4-carboxamida; 1 -23: N-(5-(4-fluoropiperidin-1 -il)-2-morfolinobenzo[d]oxazol-6-il)-5-(1 H-pirazol-4-il)furan-2-carboxamida;
I-24: N-(5-(4-fluoropiperidin-1-il)-2-morfolinobenzo[d]oxazol-6-il)-5-(2-metilpiridin-4-il)furan-2-carboxamida; I-25: N-(5-(4-fluoropiperidin-1 -il)-2-morfolinobenzo [d]oxazol-6-il)-2-(1 H-pirazol-4-il)tiazol-4-carboxamida;
I-26: N-(5-(4-fluoropiperidin-1-il)-2-morfolinobenzo[d]oxazol-6-il)-2-(2-metilpiridin-4-il)tiazol-4-carboxamida; I-27: N-(5-(4,4-difluoropiperidin-1 -il)-2-morfolinobenzo[d]oxazol-6-il)-5-(1 H-pirazol-4-il)furan-2-carboxamida; I-28: N-(5-(4,4-difluoropiperidin-1-il)-2-morfolinobenzo[d]oxazol-6-il)-5-(2-metilpiridin-4-il)furan-2-carboxamida; 1 -29: N-(5-(4,4-d ifluoropiperidin-1 -il)-2-morfolinobenzo[d]oxazol-6-il)-2-(1 H-pirazol-4-il)tiazol-4-carboxamida;
I-30: N-(5-(4,4-difluoropiperidin-1-il)-2-morfolinobenzo[d]oxazol-6-il)-2-(2-metilpiridin-4-il)tiazol-4-carboxamida;
1-31: N-(2,5-di(piperidin-1-il)benzo[ d]oxazol-6-il)-5-(1H-pirazol-4-il)furan-2-carboxamida;
1 -32: N-(2,5-di(piperidin-1 -il)benzo[d]oxazol-6-il)-5-(1 H-pirazol-3-il)furan-2-carboxamida;
I-33: N-(2,5-di(piperidin-1-il)benzo[d]oxazol-6-il)-5-(2-metilpiridin-4-il)furan-2-carboxamida;
I-34: 2-(6-aminopiridin-3-il)-N-(2,5-di(piperidin-1-il)benzo[d]oxazol-6-il)tiazol-4-carboxamida;
1 -35: N-(2,5-di(piperidin-1 -il)benzo[d]oxazol-6-il)-2-(1 H-pirazol-4-il)tiazol-4-carboxamida;
I-36: N-(2,5-di(piperidin-1 -il)benzo[d]oxazol-6-il)-2-(1 H-pirazol-3-il)tiazol-4-carboxamida;
1-37: N-(2,5-di(piperidin-1-il)benzo[d]oxazol-6-il)-2-(2-metilpiridin-4-il)tiazol-4-carboxamida;
I-38: N-(5-(3-fluoropiperidin-1-il)-2-morfolinobenzo[d]oxazol-6-il)-5-(1 H-pirazol-4-il)furan-2-carboxamida;
I-39: N-(5-(3-fluoropiperidin-1-il)-2-morfolinobenzo[d]oxazol-6-il)-5-(2-metilpiridin-4-il)furan-2-carboxamida;
I-40: N-(5 -(3 -fluoropiperidin-1-il)-2-morfolinobenzo [d]oxazol-6-il)-2-(1H-pirazol-4-il)tiazol-4-carboxamida;
I-41: N-(5-(3-fluoropiperidin-1-il)-2-morfolinobenzo[d]oxazol-6-il)-2-(2-metilpiridin-4-il)tiazol-4-carboxamida;
I-42: N-(5 -(3,3 -difluoropiperidin-1-il)-2-morfolinobenzo [d]oxazol-6-il)-5 -(1H-pirazol-4-il)furan-2-carboxamida;
I-43: N-(5-(3,3-difluoropiperidin-1-il)-2-morfolinobenzo[d]oxazol-6-il)-5-(2-metilpiridin-4-il)furan-2-carboxamida;
1 -44: N-(5 -(3,3 -difluoropiperidin-1 -il)-2-morfolinobenzo[d]oxazol-6-il)-2-(1 H-pirazol-4-il)tiazol-4-carboxamida;
I-45: N-(5-(3,3-difluoropiperidin-1-il)-2-morfolinobenzo[d]oxazol-6-il)-2-(2-metilpiridin-4-il)tiazol-4-carboxamida;
I-46: N-(2-morfolino-5-(pirrolidin-1-il)benzo[d]oxazol-6-il)-5-(1H-pirazol-4-il)furan-2-carboxamida;
I-47: N-(2-morfolino-5-(pirrolidin-1-il)benzo[d]oxazol-6-il)-2-(1H-pirazol-4-il)tiazol-4-carboxamida;
I-48: N-(2,5-dimorfolinobenzo[d]oxazol-6-il)-5-(1 H-pirazol-4-il)furan-2-carboxamida;
I-49: N-(2,5-dimorfolinobenzo[d]oxazol-6-il)-2-1 H-pirazol-4-il)tiazol-4-carboxamida;
I-50: N-(2-((2-methoxyetil)(metil)amino)-5-(piperidin-1-il)benzo[d]oxazol-6-il)-5-(1 H-pirazol-4-il)furan-2-carboxamida; I-51: N-(2-((2-methoxyetil)(metil)amino)-5-(piperidin-1 -il)benzo[d]oxazol-6-il)-2-(1 H-pirazol-4-il)tiazol-4-carboxamida; I-52: N-(2-((2-morfolinoetil)amino)-5-(piperidin-1-il)benzo[d]oxazol-6-il)-2-(1 H-pirazol-4-il)tiazol-4-carboxamida;
I-53: N-(2-(metil(2-morfolinoetil)amino)-5-(piperidin-1-il)benzo[d]oxazol-6-il)-5-(1 H-pirazol-4-il)furan-2-carboxamida; I-54: N-(2-(metil(2-morfolinoetil)amino)-5-(piperidin-1-il)benzo[d]oxazol-6-il)-2-(1 H-pirazol-4-il)tiazol-4-carboxamida; I-55: N-(2-((2-morfolinoetil)amino)-5-(piperidin-1-il)benzo[d]oxazol-6-il)-5-(1 H-pirazol-4-il)furan-2-carboxamida; o una sal farmacéuticamente aceptable, solvato, hidrato, N-óxido, o una combinación de los mismos.
14. Una composición, que comprende un compuesto de una cualquiera de las reivindicaciones 1-13, y un excipiente farmacéuticamente aceptable.
15. Un compuesto según una cualquiera de las reivindicaciones 1-13, o una composición de la reivindicación 14, para uso en un método de tratamiento.
16. El compuesto o composición para el uso de la reivindicación 15, en el que el método de tratamiento es para una enfermedad o afección para la cual está indicado un modulador o inhibidor de IRAK.
17. El compuesto o composición para el uso de la reivindicación 16, en el que la enfermedad o afección es una enfermedad autoinmune, trastorno inflamatorio, enfermedad cardiovascular, trastorno nervioso, trastorno neurodegenerativo, trastorno alérgico, insuficiencia multiorgánica, enfermedad renal, agregación plaquetaria, cáncer, trasplante, motilidad de los espermatozoides, deficiencia de eritrocitos, rechazo del injerto, lesión pulmonar, enfermedad respiratoria, afección isquémica, infección bacteriana, infección viral, trastorno inmunorregulador, o una combinación de los mismos.
18. El compuesto o composición para el uso de la reivindicación 16, en el que la enfermedad o afección es esclerosis lateral amiotrófica (ELA), lupus eritematoso sistémico, artritis reumatoide crónica, diabetes mellitus tipo I, enfermedad inflamatoria intestinal, cirrosis biliar, uveítis, esclerosis múltiple, enfermedad de Crohn, colitis ulcerosa, penfigoide ampolloso, sarcoidosis, psoriasis, miositis autoinmune, pancreatitis, sarcoma de Kaposi, síndrome mielodisplásico, granulomatosis de Wegener, ictiosis, oftalmopatía de Graves, asma, artritis reumatoide, lupus eritematoso sistémico, tiroiditis de Hashimoto, esclerosis múltiple, esclerosis sistémica, miastenia grave, diabetes tipo I, uveítis, uveítis posterior, encefalomielitis alérgica, glomerulonefritis, enfermedades autoinmunes postinfecciosas, incluyendo fiebre reumática y glomerulonefritis postinfecciosa, enfermedades cutáneas inflamatorias e hiperproliferativas, psoriasis, dermatitis atópica, dermatitis de contacto, dermatitis eccematosa, dermatitis seborreica, liquen plano, pénfigo, penfigoide ampolloso, epidermólisis ampollosa, urticaria, angioedemas, vasculitis, eritema, eosinofilia cutánea, lupus eritematoso, acné, alopecia areata, queratoconjuntivitis, conjuntivitis estacional, uveítis asociada a la enfermedad de Behcet, queratitis, queratitis herpética, córnea cónica, distrofia epitelial de la córnea, leucoma corneal, pénfigo ocular, úlcera de Mooren, escleritis, oftalmopatía de Graves, síndrome de Vogt-Koyanagi-Harada, sarcoidosis, alergias al polen, enfermedad obstructiva reversible de las vías respiratorias, asma bronquial, asma alérgica, asma intrínseca, asma extrínseca, asma por polvo, asma crónica o inveterada, asma tardía e hiperreactividad de las vías respiratorias, bronquitis, úlceras gástricas, daño vascular causado por enfermedades isquémicas y trombosis, enfermedades intestinales isquémicas, enfermedades inflamatorias intestinales, enterocolitis necrotizante, lesiones intestinales asociadas con quemaduras térmicas, celiaquías, proctitis, gastroenteritis eosinofílica, mastocitosis, enfermedad de Crohn, colitis ulcerosa, migraña, rinitis, eccema, nefritis intersticial, síndrome de Goodpasture, síndrome hemolíticourémico, nefropatía diabética, miositis múltiple, síndrome de Guillain-Barré, enfermedad de Meniere, polineuritis, neuritis múltiple, mononeuritis, radiculopatía, hipertiroidismo, enfermedad de Basedow, aplasia eritrocitaria pura, anemia aplásica, anemia hipoplásica, púrpura trombocitopénica idiopática, anemia hemolítica autoinmune, agranulocitosis, anemia perniciosa, anemia megaloblástica, aneritroplasia, osteoporosis, sarcoidosis, fibrosis pulmonar, neumonía intersticial idiopática, dermatomiositis, leucodermia vulgar, ictiosis vulgar, sensibilidad fotoalérgica, linfoma cutáneo de células T, leucemia linfocítica crónica, arteriosclerosis, aterosclerosis, síndrome de aortitis, panarteritis nudosa, miocarditis, esclerodermia, granuloma de Wegener, síndrome de Sjogren, adiposis, fascitis eosinofílica, lesiones de la encía, periodoncia, hueso alveolar, sustancia ósea dentaria, glomerulonefritis, alopecia de patrón masculino o alopecia senil al prevenir la depilación o proporcionar germinación del cabello y/o promover la generación y el crecimiento del cabello, distrofia muscular, pioderma y síndrome de Sezary, enfermedad de Addison, lesión por isquemia-reperfusión de los órganos que ocurre después de la preservación, trasplante o enfermedad isquémica, choque endotóxico, colitis pseudomembranosa, colitis causada por fármacos o radiación, insuficiencia renal aguda isquémica, insuficiencia renal crónica, toxinosis causada por oxígeno pulmonar o fármacos, cáncer de pulmón, enfisema pulmonar, cataratas, siderosis, retinitis pigmentosa, degeneración macular senil, cicatrización vítrea, quemadura alcalina corneal, dermatitis eritematosa multiforme, dermatitis ampollosa por depósitos lineales de IgA y dermatitis por cemento, gingivitis, periodontitis, septicemia, pancreatitis, enfermedades causadas por contaminación ambiental, envejecimiento, carcinogénesis, metástasis de carcinoma e hipobaropatía, enfermedad causada por la liberación de histamina o leucotrienos-C4, enfermedad de Behcet, hepatitis autoinmune, cirrosis biliar primaria, colangitis esclerosante, resección hepática parcial, necrosis hepática aguda, necrosis causada por toxina, hepatitis viral, choque, o anoxia, hepatitis por virus B, hepatitis no A/no B, cirrosis, enfermedad hepática alcohólica, que incluye cirrosis alcohólica, esteatohepatitis no alcohólica (NASH), insuficiencia hepática, insuficiencia hepática fulminante, insuficiencia hepática de aparición tardía, insuficiencia hepática “aguda sobre crónica”, aumento del efecto quimioterapéutico, infección por citomegalovirus, infección por HCMV, SIDA, cáncer, demencia senil, enfermedad de Parkinson, trauma, o infección bacteriana crónica.
19. El compuesto o composición para el uso de una cualquiera de las reivindicaciones 15-18, en el que el método de tratamiento comprende además la administración de un agente inmunooncológico.
20. El compuesto o composición para el uso de la reivindicación 19, en el que:
el agente immunooncólogico comprende un anticuerpo anti-PD-1, anticuerpo anti-PD-L1, anticuerpo anti-CTLA-4, anticuerpo anti-KIR, anticuerpo anti-LAG3, anticuerpo anti-CD 137, anticuerpo anti-SLAM, inhibidor de PI3K, inhibidor de indol dioxigenasa (IDO), inhibidor de triptófano dioxigenasa, o una combinación de los mismos; o
el agente immunooncológico se selecciona de nivolumab, pembrolizumab, lambrolizumab, pidilizumab, BMS-936559, MPDL3280A, AMP-224, MEDI4736, ipilimumab, tremelimumab, lirilumab, BMS-986016, urelumab, elotuzumab, idelalisib, AZD8186, INCB40093, INCB50465, 1 -metiltriptófano, indoximod, NSC 36398 (dihidroquercetina, taxifolina), NLG919, INCB024360 (epacodostat), F001287, o combinaciones de los mismos.
Applications Claiming Priority (2)
| Application Number | Priority Date | Filing Date | Title |
|---|---|---|---|
| US201562200778P | 2015-08-04 | 2015-08-04 | |
| PCT/US2016/045176 WO2017023941A1 (en) | 2015-08-04 | 2016-08-02 | Benzazole compounds and methods for making and using the compounds |
Publications (1)
| Publication Number | Publication Date |
|---|---|
| ES2811136T3 true ES2811136T3 (es) | 2021-03-10 |
Family
ID=56610048
Family Applications (1)
| Application Number | Title | Priority Date | Filing Date |
|---|---|---|---|
| ES16748048T Active ES2811136T3 (es) | 2015-08-04 | 2016-08-02 | Compuestos de benzazol y métodos para obtener y usar los compuestos |
Country Status (8)
| Country | Link |
|---|---|
| US (4) | US10065946B2 (es) |
| EP (2) | EP3331879B1 (es) |
| JP (2) | JP6994454B2 (es) |
| CA (1) | CA2993661A1 (es) |
| DK (1) | DK3331879T3 (es) |
| ES (1) | ES2811136T3 (es) |
| HK (1) | HK1256242A1 (es) |
| WO (1) | WO2017023941A1 (es) |
Families Citing this family (15)
| Publication number | Priority date | Publication date | Assignee | Title |
|---|---|---|---|---|
| KR20160115933A (ko) | 2014-01-10 | 2016-10-06 | 오리진 디스커버리 테크놀로지스 리미티드 | Irak4 억제제로서의 인다졸 화합물 |
| HRP20181795T1 (hr) | 2014-01-13 | 2019-01-25 | Aurigene Discovery Technologies Limited | Biciklički heterociklilni derivati kao inhibitori irak4 |
| PL3286181T3 (pl) * | 2015-04-22 | 2021-08-02 | Rigel Pharmaceuticals, Inc. | Związki pirazolowe oraz sposób wytwarzania i zastosowania tych związków |
| US10065946B2 (en) * | 2015-08-04 | 2018-09-04 | Rigel Pharmaceuticals, Inc. | Benzazole compounds and methods for making and using the compounds |
| JOP20180011A1 (ar) | 2017-02-16 | 2019-01-30 | Gilead Sciences Inc | مشتقات بيرولو [1، 2-b]بيريدازين |
| US11419875B2 (en) * | 2017-03-31 | 2022-08-23 | Aurigene Discovery Technologies Limited | Compounds and compositions for treating hematological disorders |
| US10590121B2 (en) | 2017-06-29 | 2020-03-17 | Rigel Pharmaceuticals, Inc. | Kinase inhibitors and methods for making and using |
| EP3704108B1 (en) * | 2017-10-31 | 2024-04-24 | Curis, Inc. | Irak4 inhibitor in combination with a bcl-2 inhibitor for use in treating cancer |
| WO2019111218A1 (en) | 2017-12-08 | 2019-06-13 | Cadila Healthcare Limited | Novel heterocyclic compounds as irak4 inhibitors |
| TWI842978B (zh) | 2018-07-13 | 2024-05-21 | 美商基利科學股份有限公司 | 衍生物 |
| CN112043696B (zh) * | 2020-08-26 | 2023-02-24 | 深圳市第二人民医院(深圳市转化医学研究院) | Ido-1抑制剂在制备治疗骨性关节炎药物中的应用 |
| WO2022187303A1 (en) | 2021-03-03 | 2022-09-09 | Rigel Pharmaceuticals, Inc. | A method for treating a disease or condition using a pyrazole compound or formulation thereof |
| KR20240004476A (ko) | 2021-04-08 | 2024-01-11 | 쿠리스 인코퍼레이션 | 암 치료를 위한 병용 요법 |
| CN118530221A (zh) | 2021-12-23 | 2024-08-23 | 杭州多域生物技术有限公司 | 一种五元并六元化合物、制备方法、药物组合物和应用 |
| JP2025513716A (ja) | 2022-03-23 | 2025-04-30 | ライジェル・ファーマシューティカルズ・インコーポレイテッド | Irak阻害剤としてのピリミド-2-イル-ピラゾール化合物 |
Family Cites Families (31)
| Publication number | Priority date | Publication date | Assignee | Title |
|---|---|---|---|---|
| US5087240A (en) | 1983-08-18 | 1992-02-11 | Drug Delivery Systems Inc. | Transdermal drug patch with conductive fibers |
| US4921475A (en) | 1983-08-18 | 1990-05-01 | Drug Delivery Systems Inc. | Transdermal drug patch with microtubes |
| US4738851A (en) | 1985-09-27 | 1988-04-19 | University Of Iowa Research Foundation, Inc. | Controlled release ophthalmic gel formulation |
| US5163899A (en) | 1987-03-20 | 1992-11-17 | Drug Delivery Systems Inc. | Transdermal drug delivery system |
| US5312325A (en) | 1987-05-28 | 1994-05-17 | Drug Delivery Systems Inc | Pulsating transdermal drug delivery system |
| GB8804164D0 (en) | 1988-02-23 | 1988-03-23 | Tucker J M | Bandage for administering physiologically active compound |
| US4882150A (en) | 1988-06-03 | 1989-11-21 | Kaufman Herbert E | Drug delivery system |
| US5008110A (en) | 1988-11-10 | 1991-04-16 | The Procter & Gamble Company | Storage-stable transdermal patch |
| US5088977A (en) | 1988-12-21 | 1992-02-18 | Drug Delivery Systems Inc. | Electrical transdermal drug applicator with counteractor and method of drug delivery |
| US5521222A (en) | 1989-09-28 | 1996-05-28 | Alcon Laboratories, Inc. | Topical ophthalmic pharmaceutical vehicles |
| ATE107176T1 (de) | 1989-12-04 | 1994-07-15 | Searle & Co | System zur transdermalen albuterol applikation. |
| US5077033A (en) | 1990-08-07 | 1991-12-31 | Mediventures Inc. | Ophthalmic drug delivery with thermo-irreversible gels of polxoxyalkylene polymer and ionic polysaccharide |
| EP0495421B1 (en) | 1991-01-15 | 1996-08-21 | Alcon Laboratories, Inc. | Use of carrageenans in topical ophthalmic compositions |
| US5352456A (en) | 1991-10-10 | 1994-10-04 | Cygnus Therapeutic Systems | Device for administering drug transdermally which provides an initial pulse of drug |
| JPH07502219A (ja) | 1991-12-18 | 1995-03-09 | ミネソタ マイニング アンド マニュファクチャリング カンパニー | 多重層型バリアー構造体 |
| ATE132381T1 (de) | 1992-01-29 | 1996-01-15 | Voelkl Franz Ski | Ballspielschläger, insbesondere tennisschläger |
| IL114193A (en) | 1994-06-20 | 2000-02-29 | Teva Pharma | Ophthalmic pharmaceutical compositions based on sodium alginate |
| ES2094688B1 (es) | 1994-08-08 | 1997-08-01 | Cusi Lab | Manoemulsion del tipo de aceite en agua, util como vehiculo oftalmico y procedimiento para su preparacion. |
| IT1283911B1 (it) | 1996-02-05 | 1998-05-07 | Farmigea Spa | Soluzioni oftalmiche viscosizzate con polisaccaridi della gomma di tamarindo |
| US5800807A (en) | 1997-01-29 | 1998-09-01 | Bausch & Lomb Incorporated | Ophthalmic compositions including glycerin and propylene glycol |
| US6261547B1 (en) | 1998-04-07 | 2001-07-17 | Alcon Manufacturing, Ltd. | Gelling ophthalmic compositions containing xanthan gum |
| US6197934B1 (en) | 1998-05-22 | 2001-03-06 | Collagenesis, Inc. | Compound delivery using rapidly dissolving collagen film |
| JP2012254939A (ja) | 2009-10-07 | 2012-12-27 | Astellas Pharma Inc | オキサゾール化合物 |
| WO2013042137A1 (en) * | 2011-09-19 | 2013-03-28 | Aurigene Discovery Technologies Limited | Bicyclic heterocycles as irak4 inhibitors |
| CN104582705A (zh) | 2012-01-10 | 2015-04-29 | 林伯士艾瑞斯公司 | 白介素-1受体相关激酶(irak)抑制剂和其用途 |
| EP3049086A4 (en) | 2013-09-27 | 2017-02-22 | Nimbus Iris, Inc. | Irak inhibitors and uses thereof |
| TWI667233B (zh) | 2013-12-19 | 2019-08-01 | 德商拜耳製藥公司 | 新穎吲唑羧醯胺,其製備方法、含彼等之醫藥製劑及其製造醫藥之用途 |
| WO2015104668A2 (en) * | 2014-01-09 | 2015-07-16 | Camus Pharma Pvt. Ltd. | Lyophilized formulations for parenteral use |
| KR20160115933A (ko) * | 2014-01-10 | 2016-10-06 | 오리진 디스커버리 테크놀로지스 리미티드 | Irak4 억제제로서의 인다졸 화합물 |
| HRP20181795T1 (hr) | 2014-01-13 | 2019-01-25 | Aurigene Discovery Technologies Limited | Biciklički heterociklilni derivati kao inhibitori irak4 |
| US10065946B2 (en) * | 2015-08-04 | 2018-09-04 | Rigel Pharmaceuticals, Inc. | Benzazole compounds and methods for making and using the compounds |
-
2016
- 2016-08-02 US US15/226,625 patent/US10065946B2/en active Active
- 2016-08-02 DK DK16748048.2T patent/DK3331879T3/da active
- 2016-08-02 HK HK18115278.1A patent/HK1256242A1/zh unknown
- 2016-08-02 EP EP16748048.2A patent/EP3331879B1/en active Active
- 2016-08-02 EP EP20175472.8A patent/EP3719016A1/en not_active Withdrawn
- 2016-08-02 JP JP2018505606A patent/JP6994454B2/ja not_active Expired - Fee Related
- 2016-08-02 ES ES16748048T patent/ES2811136T3/es active Active
- 2016-08-02 WO PCT/US2016/045176 patent/WO2017023941A1/en not_active Ceased
- 2016-08-02 CA CA2993661A patent/CA2993661A1/en active Pending
-
2018
- 2018-08-07 US US16/057,687 patent/US10774076B2/en active Active
-
2020
- 2020-07-14 US US16/928,413 patent/US11299486B2/en active Active
-
2021
- 2021-12-13 JP JP2021201355A patent/JP7339997B2/ja active Active
-
2022
- 2022-03-07 US US17/687,826 patent/US12043620B2/en active Active
Also Published As
| Publication number | Publication date |
|---|---|
| JP2022037081A (ja) | 2022-03-08 |
| US10065946B2 (en) | 2018-09-04 |
| US11299486B2 (en) | 2022-04-12 |
| US20180346458A1 (en) | 2018-12-06 |
| EP3719016A1 (en) | 2020-10-07 |
| US20200339556A1 (en) | 2020-10-29 |
| WO2017023941A1 (en) | 2017-02-09 |
| US20220185804A1 (en) | 2022-06-16 |
| EP3331879B1 (en) | 2020-05-20 |
| JP6994454B2 (ja) | 2022-01-14 |
| US12043620B2 (en) | 2024-07-23 |
| JP7339997B2 (ja) | 2023-09-06 |
| EP3331879A1 (en) | 2018-06-13 |
| HK1256242A1 (zh) | 2019-09-20 |
| DK3331879T3 (da) | 2020-08-10 |
| CA2993661A1 (en) | 2017-02-09 |
| JP2018528181A (ja) | 2018-09-27 |
| US10774076B2 (en) | 2020-09-15 |
| US20170037041A1 (en) | 2017-02-09 |
Similar Documents
| Publication | Publication Date | Title |
|---|---|---|
| ES2811136T3 (es) | Compuestos de benzazol y métodos para obtener y usar los compuestos | |
| ES3043457T3 (en) | Rip1 inhibitory compounds and methods for making and using the same | |
| JP7379639B2 (ja) | キナーゼ阻害剤ならびに作製および使用のための方法 | |
| ES2947446T3 (es) | Compuestos inhibidores de RIP1 y métodos para fabricar y usar los mismos | |
| BR112020022420A2 (pt) | composto, composição farmacêutica, método, método para tratar uma doença em um indivíduo e método para produzir o composto | |
| WO2021092336A1 (en) | Heterocyclic rip1 inhibitory compounds | |
| US11993594B2 (en) | IRAK inhibitors and method for making and using | |
| HK40013639A (en) | Oxazole derivatives for use as irak inhibitors and method for their preparation | |
| HK40013639B (en) | Oxazole derivatives for use as irak inhibitors and method for their preparation |












































































































