ES2727412T3 - Composiciones de revestimiento de poliuretano - Google Patents
Composiciones de revestimiento de poliuretano Download PDFInfo
- Publication number
- ES2727412T3 ES2727412T3 ES16722912T ES16722912T ES2727412T3 ES 2727412 T3 ES2727412 T3 ES 2727412T3 ES 16722912 T ES16722912 T ES 16722912T ES 16722912 T ES16722912 T ES 16722912T ES 2727412 T3 ES2727412 T3 ES 2727412T3
- Authority
- ES
- Spain
- Prior art keywords
- coating agent
- groups
- component
- agent composition
- formamidasilane
- Prior art date
- Legal status (The legal status is an assumption and is not a legal conclusion. Google has not performed a legal analysis and makes no representation as to the accuracy of the status listed.)
- Active
Links
Classifications
-
- C—CHEMISTRY; METALLURGY
- C08—ORGANIC MACROMOLECULAR COMPOUNDS; THEIR PREPARATION OR CHEMICAL WORKING-UP; COMPOSITIONS BASED THEREON
- C08G—MACROMOLECULAR COMPOUNDS OBTAINED OTHERWISE THAN BY REACTIONS ONLY INVOLVING UNSATURATED CARBON-TO-CARBON BONDS
- C08G18/00—Polymeric products of isocyanates or isothiocyanates
- C08G18/06—Polymeric products of isocyanates or isothiocyanates with compounds having active hydrogen
- C08G18/28—Polymeric products of isocyanates or isothiocyanates with compounds having active hydrogen characterised by the compounds used containing active hydrogen
- C08G18/2805—Compounds having only one group containing active hydrogen
- C08G18/288—Compounds containing at least one heteroatom other than oxygen or nitrogen
- C08G18/289—Compounds containing at least one heteroatom other than oxygen or nitrogen containing silicon
-
- C—CHEMISTRY; METALLURGY
- C08—ORGANIC MACROMOLECULAR COMPOUNDS; THEIR PREPARATION OR CHEMICAL WORKING-UP; COMPOSITIONS BASED THEREON
- C08G—MACROMOLECULAR COMPOUNDS OBTAINED OTHERWISE THAN BY REACTIONS ONLY INVOLVING UNSATURATED CARBON-TO-CARBON BONDS
- C08G18/00—Polymeric products of isocyanates or isothiocyanates
- C08G18/06—Polymeric products of isocyanates or isothiocyanates with compounds having active hydrogen
- C08G18/08—Processes
- C08G18/10—Prepolymer processes involving reaction of isocyanates or isothiocyanates with compounds having active hydrogen in a first reaction step
-
- C—CHEMISTRY; METALLURGY
- C08—ORGANIC MACROMOLECULAR COMPOUNDS; THEIR PREPARATION OR CHEMICAL WORKING-UP; COMPOSITIONS BASED THEREON
- C08G—MACROMOLECULAR COMPOUNDS OBTAINED OTHERWISE THAN BY REACTIONS ONLY INVOLVING UNSATURATED CARBON-TO-CARBON BONDS
- C08G18/00—Polymeric products of isocyanates or isothiocyanates
- C08G18/06—Polymeric products of isocyanates or isothiocyanates with compounds having active hydrogen
- C08G18/28—Polymeric products of isocyanates or isothiocyanates with compounds having active hydrogen characterised by the compounds used containing active hydrogen
- C08G18/30—Low-molecular-weight compounds
- C08G18/32—Polyhydroxy compounds; Polyamines; Hydroxyamines
- C08G18/3203—Polyhydroxy compounds
- C08G18/3206—Polyhydroxy compounds aliphatic
-
- C—CHEMISTRY; METALLURGY
- C08—ORGANIC MACROMOLECULAR COMPOUNDS; THEIR PREPARATION OR CHEMICAL WORKING-UP; COMPOSITIONS BASED THEREON
- C08G—MACROMOLECULAR COMPOUNDS OBTAINED OTHERWISE THAN BY REACTIONS ONLY INVOLVING UNSATURATED CARBON-TO-CARBON BONDS
- C08G18/00—Polymeric products of isocyanates or isothiocyanates
- C08G18/06—Polymeric products of isocyanates or isothiocyanates with compounds having active hydrogen
- C08G18/28—Polymeric products of isocyanates or isothiocyanates with compounds having active hydrogen characterised by the compounds used containing active hydrogen
- C08G18/30—Low-molecular-weight compounds
- C08G18/38—Low-molecular-weight compounds having heteroatoms other than oxygen
- C08G18/3893—Low-molecular-weight compounds having heteroatoms other than oxygen containing silicon
-
- C—CHEMISTRY; METALLURGY
- C08—ORGANIC MACROMOLECULAR COMPOUNDS; THEIR PREPARATION OR CHEMICAL WORKING-UP; COMPOSITIONS BASED THEREON
- C08G—MACROMOLECULAR COMPOUNDS OBTAINED OTHERWISE THAN BY REACTIONS ONLY INVOLVING UNSATURATED CARBON-TO-CARBON BONDS
- C08G18/00—Polymeric products of isocyanates or isothiocyanates
- C08G18/06—Polymeric products of isocyanates or isothiocyanates with compounds having active hydrogen
- C08G18/28—Polymeric products of isocyanates or isothiocyanates with compounds having active hydrogen characterised by the compounds used containing active hydrogen
- C08G18/40—High-molecular-weight compounds
- C08G18/42—Polycondensates having carboxylic or carbonic ester groups in the main chain
- C08G18/46—Polycondensates having carboxylic or carbonic ester groups in the main chain having heteroatoms other than oxygen
- C08G18/4692—Polycondensates having carboxylic or carbonic ester groups in the main chain having heteroatoms other than oxygen containing silicon
-
- C—CHEMISTRY; METALLURGY
- C08—ORGANIC MACROMOLECULAR COMPOUNDS; THEIR PREPARATION OR CHEMICAL WORKING-UP; COMPOSITIONS BASED THEREON
- C08G—MACROMOLECULAR COMPOUNDS OBTAINED OTHERWISE THAN BY REACTIONS ONLY INVOLVING UNSATURATED CARBON-TO-CARBON BONDS
- C08G18/00—Polymeric products of isocyanates or isothiocyanates
- C08G18/06—Polymeric products of isocyanates or isothiocyanates with compounds having active hydrogen
- C08G18/28—Polymeric products of isocyanates or isothiocyanates with compounds having active hydrogen characterised by the compounds used containing active hydrogen
- C08G18/40—High-molecular-weight compounds
- C08G18/62—Polymers of compounds having carbon-to-carbon double bonds
- C08G18/6216—Polymers of alpha-beta ethylenically unsaturated carboxylic acids or of derivatives thereof
- C08G18/622—Polymers of esters of alpha-beta ethylenically unsaturated carboxylic acids
- C08G18/6241—Polymers of esters containing hydroxy groups of alpha-beta ethylenically unsaturated carboxylic acids with epoxy compounds other than alkylene oxides and hydroxyglycidyl compounds
-
- C—CHEMISTRY; METALLURGY
- C08—ORGANIC MACROMOLECULAR COMPOUNDS; THEIR PREPARATION OR CHEMICAL WORKING-UP; COMPOSITIONS BASED THEREON
- C08G—MACROMOLECULAR COMPOUNDS OBTAINED OTHERWISE THAN BY REACTIONS ONLY INVOLVING UNSATURATED CARBON-TO-CARBON BONDS
- C08G18/00—Polymeric products of isocyanates or isothiocyanates
- C08G18/06—Polymeric products of isocyanates or isothiocyanates with compounds having active hydrogen
- C08G18/70—Polymeric products of isocyanates or isothiocyanates with compounds having active hydrogen characterised by the isocyanates or isothiocyanates used
- C08G18/72—Polyisocyanates or polyisothiocyanates
- C08G18/73—Polyisocyanates or polyisothiocyanates acyclic
-
- C—CHEMISTRY; METALLURGY
- C08—ORGANIC MACROMOLECULAR COMPOUNDS; THEIR PREPARATION OR CHEMICAL WORKING-UP; COMPOSITIONS BASED THEREON
- C08G—MACROMOLECULAR COMPOUNDS OBTAINED OTHERWISE THAN BY REACTIONS ONLY INVOLVING UNSATURATED CARBON-TO-CARBON BONDS
- C08G18/00—Polymeric products of isocyanates or isothiocyanates
- C08G18/06—Polymeric products of isocyanates or isothiocyanates with compounds having active hydrogen
- C08G18/70—Polymeric products of isocyanates or isothiocyanates with compounds having active hydrogen characterised by the isocyanates or isothiocyanates used
- C08G18/72—Polyisocyanates or polyisothiocyanates
- C08G18/77—Polyisocyanates or polyisothiocyanates having heteroatoms in addition to the isocyanate or isothiocyanate nitrogen and oxygen or sulfur
- C08G18/778—Polyisocyanates or polyisothiocyanates having heteroatoms in addition to the isocyanate or isothiocyanate nitrogen and oxygen or sulfur silicon
-
- C—CHEMISTRY; METALLURGY
- C08—ORGANIC MACROMOLECULAR COMPOUNDS; THEIR PREPARATION OR CHEMICAL WORKING-UP; COMPOSITIONS BASED THEREON
- C08G—MACROMOLECULAR COMPOUNDS OBTAINED OTHERWISE THAN BY REACTIONS ONLY INVOLVING UNSATURATED CARBON-TO-CARBON BONDS
- C08G18/00—Polymeric products of isocyanates or isothiocyanates
- C08G18/06—Polymeric products of isocyanates or isothiocyanates with compounds having active hydrogen
- C08G18/70—Polymeric products of isocyanates or isothiocyanates with compounds having active hydrogen characterised by the isocyanates or isothiocyanates used
- C08G18/72—Polyisocyanates or polyisothiocyanates
- C08G18/77—Polyisocyanates or polyisothiocyanates having heteroatoms in addition to the isocyanate or isothiocyanate nitrogen and oxygen or sulfur
- C08G18/78—Nitrogen
- C08G18/79—Nitrogen characterised by the polyisocyanates used, these having groups formed by oligomerisation of isocyanates or isothiocyanates
- C08G18/791—Nitrogen characterised by the polyisocyanates used, these having groups formed by oligomerisation of isocyanates or isothiocyanates containing isocyanurate groups
- C08G18/792—Nitrogen characterised by the polyisocyanates used, these having groups formed by oligomerisation of isocyanates or isothiocyanates containing isocyanurate groups formed by oligomerisation of aliphatic and/or cycloaliphatic isocyanates or isothiocyanates
-
- C—CHEMISTRY; METALLURGY
- C08—ORGANIC MACROMOLECULAR COMPOUNDS; THEIR PREPARATION OR CHEMICAL WORKING-UP; COMPOSITIONS BASED THEREON
- C08G—MACROMOLECULAR COMPOUNDS OBTAINED OTHERWISE THAN BY REACTIONS ONLY INVOLVING UNSATURATED CARBON-TO-CARBON BONDS
- C08G18/00—Polymeric products of isocyanates or isothiocyanates
- C08G18/06—Polymeric products of isocyanates or isothiocyanates with compounds having active hydrogen
- C08G18/70—Polymeric products of isocyanates or isothiocyanates with compounds having active hydrogen characterised by the isocyanates or isothiocyanates used
- C08G18/72—Polyisocyanates or polyisothiocyanates
- C08G18/80—Masked polyisocyanates
- C08G18/8003—Masked polyisocyanates masked with compounds having at least two groups containing active hydrogen
- C08G18/8006—Masked polyisocyanates masked with compounds having at least two groups containing active hydrogen with compounds of C08G18/32
- C08G18/8009—Masked polyisocyanates masked with compounds having at least two groups containing active hydrogen with compounds of C08G18/32 with compounds of C08G18/3203
- C08G18/8012—Masked polyisocyanates masked with compounds having at least two groups containing active hydrogen with compounds of C08G18/32 with compounds of C08G18/3203 with diols
-
- C—CHEMISTRY; METALLURGY
- C08—ORGANIC MACROMOLECULAR COMPOUNDS; THEIR PREPARATION OR CHEMICAL WORKING-UP; COMPOSITIONS BASED THEREON
- C08G—MACROMOLECULAR COMPOUNDS OBTAINED OTHERWISE THAN BY REACTIONS ONLY INVOLVING UNSATURATED CARBON-TO-CARBON BONDS
- C08G18/00—Polymeric products of isocyanates or isothiocyanates
- C08G18/06—Polymeric products of isocyanates or isothiocyanates with compounds having active hydrogen
- C08G18/70—Polymeric products of isocyanates or isothiocyanates with compounds having active hydrogen characterised by the isocyanates or isothiocyanates used
- C08G18/72—Polyisocyanates or polyisothiocyanates
- C08G18/80—Masked polyisocyanates
- C08G18/8061—Masked polyisocyanates masked with compounds having only one group containing active hydrogen
- C08G18/8083—Masked polyisocyanates masked with compounds having only one group containing active hydrogen with compounds containing at least one heteroatom other than oxygen or nitrogen
- C08G18/809—Masked polyisocyanates masked with compounds having only one group containing active hydrogen with compounds containing at least one heteroatom other than oxygen or nitrogen containing silicon
-
- C—CHEMISTRY; METALLURGY
- C09—DYES; PAINTS; POLISHES; NATURAL RESINS; ADHESIVES; COMPOSITIONS NOT OTHERWISE PROVIDED FOR; APPLICATIONS OF MATERIALS NOT OTHERWISE PROVIDED FOR
- C09D—COATING COMPOSITIONS, e.g. PAINTS, VARNISHES OR LACQUERS; FILLING PASTES; CHEMICAL PAINT OR INK REMOVERS; INKS; CORRECTING FLUIDS; WOODSTAINS; PASTES OR SOLIDS FOR COLOURING OR PRINTING; USE OF MATERIALS THEREFOR
- C09D175/00—Coating compositions based on polyureas or polyurethanes; Coating compositions based on derivatives of such polymers
- C09D175/04—Polyurethanes
Landscapes
- Chemical & Material Sciences (AREA)
- Organic Chemistry (AREA)
- Health & Medical Sciences (AREA)
- Chemical Kinetics & Catalysis (AREA)
- Medicinal Chemistry (AREA)
- Polymers & Plastics (AREA)
- Life Sciences & Earth Sciences (AREA)
- Engineering & Computer Science (AREA)
- Materials Engineering (AREA)
- Wood Science & Technology (AREA)
- Paints Or Removers (AREA)
- Polyurethanes Or Polyureas (AREA)
- Application Of Or Painting With Fluid Materials (AREA)
Abstract
Composición de agente de revestimiento no acuosa, que contiene (A) al menos un poliol (A), (B) al menos un compuesto que contiene formamidasilano terciario de fórmula (I);**Fórmula** en la que en la fórmula (I) se aplica: X representa un resto de molécula orgánico, en particular un resto de molécula orgánico alifático o alicíclico, lineal o ramificado, eventualmente sustituido; R1 representa una unidad estructural alifática y/o alicíclica, lineal o ramificada, eventualmente sustituida, al menos divalente con 1 a 12 átomos de carbono, en el que uno o varios grupos metileno no adyacentes pueden estar sustituidos en cada caso por O o S; R2 y R3 representan en cada caso independientemente entre sí un grupo alifático y/o alicíclico, lineal o ramificado, eventualmente sustituido con 1 a 12 átomos de carbono; y n representa un número entero de 0 a 2; (C) eventualmente uno o varios poliisocianatos alifáticos o cicloalifáticos libres de silano con grupos isocianato libres o bloqueados, en la que al menos uno de los dos componentes (B) y (C) debe contener grupos isocianato libres o bloqueados; (D) al menos un catalizador para la reticulación de los grupos silano del componente (B); (E) eventualmente uno o varios coadyuvantes de nivelación; y (F) eventualmente uno o varios disolventes no acuosos.
Description
DESCRIPCIÓN
Composiciones de revestimiento de poliuretano
Campo técnico de la invención
La presente invención se refiere a composiciones de agente de revestimiento no acuosas, que contienen al menos un poliol (A), al menos un compuesto modificado con silano (B) de fórmula (I), eventualmente uno o varios poliisocianatos alifáticos o cicloalifáticos, libres de silano (C) con grupos isocianato libres o bloqueados y al menos un catalizador (D) para la reticulación de los grupos silano, debiendo contener al menos uno de los dos componentes (B) y (C) grupos isocianato libres o bloqueados. Además, las composiciones de agente de revestimiento no acuosas, de acuerdo con la invención pueden contener uno o varios aditivos de superficie (E) y disolventes (F). Los coadyuvantes de revestimiento de acuerdo con la invención son adecuados especialmente para lacas de automóvil, en particular lacados primarios de automóviles (las denominadas lacas OEM).
Antecedentes de la invención
Los agentes de revestimiento de poliuretano (PUR) de dos componentes se usan debido a su buena estabilidad frente a las influencias ambientales, en particular lluvia ácida, en comparación con sistemas de laca clásicos de reticulación de resina aminoplástica, para el lacado de cubrición en la industria del automóvil (W. Wieczorrek en: Stoye/Freitag, Lackharze, pág. 215 y siguientes, C. Hanser-Verlag, 1996;J. W. Holubka et al., J. Coat. Tech. vol. 72, n.° 901, pág. 77, 2000). En este caso se usan por regla general resinas de poli(met)acrilato con funcionalidad OH y poliisocianatos a base de hexametilendiisocianato (HDI). El uso de otros diisocianatos u otros derivados de diisocianato es igualmente posible.
Desde hace muchos años se trabaja en el desarrollo de nuevas lacas transparentes para automóviles. Debido al requerimiento de calidad creciente de la industria del automóvil se trabaja en particular en la mejora de la estabilidad frente a influencias ambientales y alta estabilidad mecánica, en particular de la estabilidad frente al rayado.
Una posibilidad de mejorar la resistencia al rayado de revestimientos de poliuretano de dos componentes es la introducción de grupos trialcoxisilano en los componentes de revestimiento. Estos componentes de silano pueden elevar la estabilidad de revestimientos de poliuretano mediante reticulación y formación de redes de siloxano. El documento EP 1 273 640 enseña este principio. Esta publicación describe agentes de revestimiento de dos componentes (2K), que contienen un componente poliol y un componente reticulador, que está constituido por poliisocianatos alifáticos y/o cicloalifáticos o los poliisocianatos derivados de esto mediante polimerización, formación de alofanato, de biuret o de uretano, habiendo reaccionado del 0,1 % al 95 % en mol de los grupos isocianato existentes libres de manera originaria con bisalcoxisililamina. Estos agentes de revestimiento pueden usarse para la preparación de lacados transparentes o de cubrición en el sector de vehículos y presentan tras su curado completo una buena estabilidad frente al rayado con al mismo tiempo buena estabilidad frente a influencias ambientales. La capacidad de lijado y la capacidad de pulido así como la impresión óptica de los revestimientos resultantes pueden mejorarse sin embargo aún más.
El principio de revestimientos de poliuretano, que contienen compuestos de poliisocianato con conversión proporcional de los grupos isocianato en grupos silano, se ha seguido en los últimos años de manera continua, véanse entre otros las solicitudes de patente WO 2007/033786, WO 2008/74489, WO 2009/077181, US 2011/0269897, WO 2012/168079 y WO 2014/086530. En estos documentos se describen distintos poliisocianatos que contienen alcoxisilano como componente para la reticulación con polioles. Para la reacción con poliisocianatos se usan distintos módulos de monoaminosilano, de bisaminosilano y de mercaptosilano así como sus mezclas. Además del uso de distintos módulos de silano se describen también nuevos catalizadores para la reticulación mejorada de las estructuras de silano.
Un segundo concepto se refiere a la mejora de la resistencia al rayado de revestimiento de poliuretano de dos componentes mediante la adición de prepolímeros con silano terminal, libres de isocianato. Tales conceptos se describen por ejemplo en las solicitudes de patente EP 2676982 y EP 2735578.
Debido a la demanda de calidad constantemente en aumento de las lacas transparentes para automóviles existe ahora como antes la necesidad de nuevos módulos para la preparación de tales formulaciones de revestimiento. Muy en general se entiende por compuestos modificados con silano del tipo reivindicado en el presente documento aquellos compuestos que contienen grupos silano con restos que pueden hidrolizarse y cuya estructura base polimérica no se constituye esencialmente por cadenas O-Si-O-Si, tal como es esto el caso en las siliconas, sino por cadenas C-C que están interrumpidas en la mayoría de los casos por heteroátomos y además contienen unidades de uretano, de éter, de éster, de urea, de amida y otras unidades estructurales. Con la acción de la humedad y/o con la influencia de catalizadores adecuados se hidrolizan los restos en los grupos silano, por ejemplo habitualmente grupos acetato o alcoxi, produciéndose silanoles reactivos, que a continuación condensan y curan con escisión de agua, alcohol o ácido acético para dar una red de alto peso molecular.
Las composiciones que contienen compuestos modificados con silano, se caracterizan entre otras cosas por una alta adherencia sobre los más diversos sustratos sin tratamiento previo costoso (no es necesaria ninguna imprimación). Esto se debe a que sobre superficies de sustrato inorgánicas están presentes normalmente grupos OH que pueden reaccionar con los silanoles reactivos del polímero, que se producen con acción de la humedad.
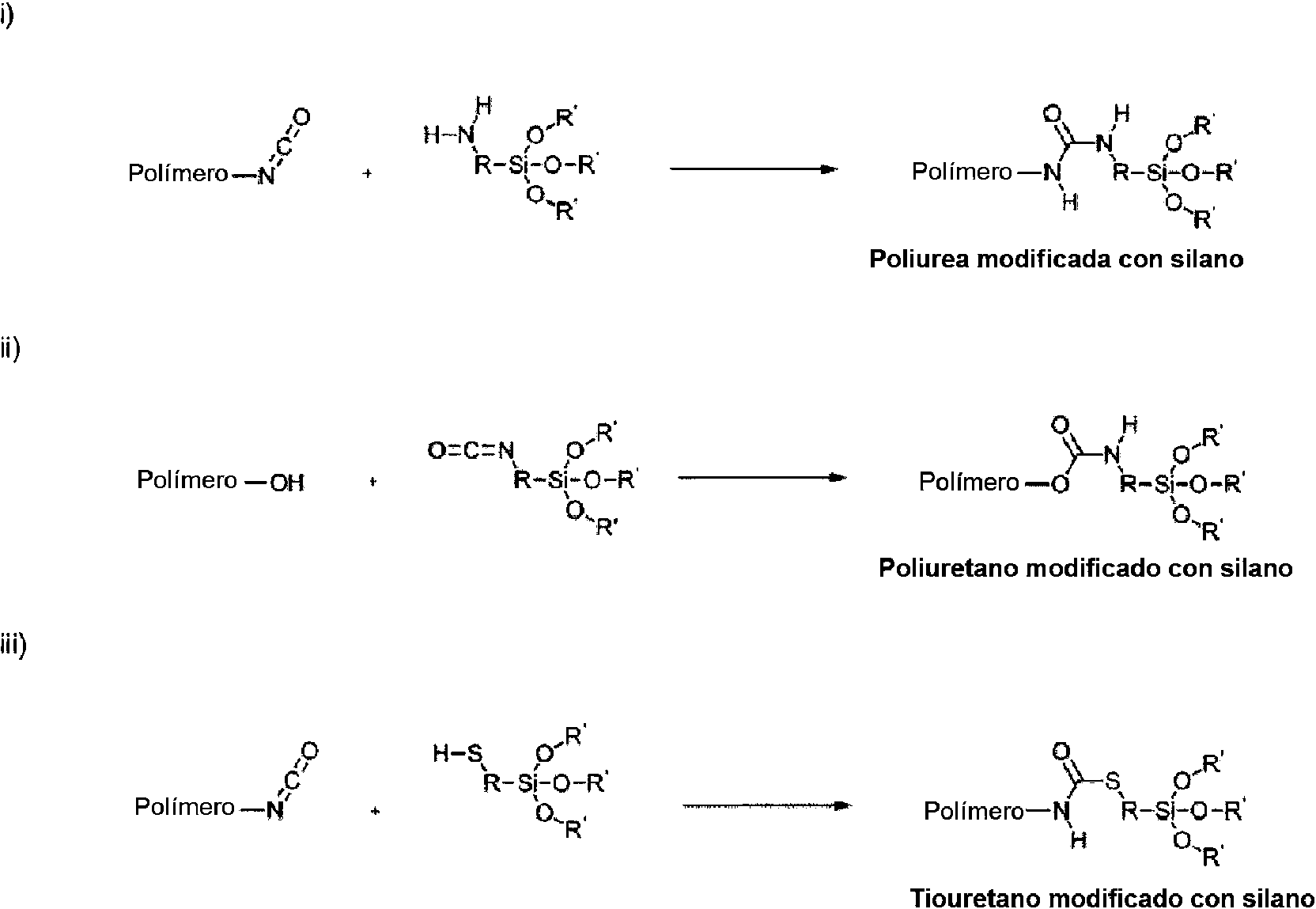
Los poliuretanos y poliureas modificados con silano, que actualmente pueden obtenerse comercialmente en el mercado se basan en una estructura principal de alto peso molecular que se genera (i) mediante reacción de prepolímeros que contienen NCO con aminosilanos o (ii) mediante reacción de prepolímeros con OH terminal, tal como por ejemplo poliéteres, poliuretanos o poliésteres, con silanos con funcionalidad NCO o iii) mediante reacción de prepolímeros que contienen NCO con mercaptosilanos, tal como se muestra en el siguiente esquema de fórmula:
Además es muy importante - tal como se ha mencionado ya - el grado de dureza del revestimiento producido como producto final tras la reticulación de silano para lacas para automóviles. En el caso de poliureas modificadas con silano, normalmente los productos finales se encuentran con un alto grado de dureza, eventualmente sin embargo el revestimiento se vuelve rígido y altamente reticulado de modo que puedan producirse grietas. A diferencia de ello, los poliuretanos modificados con silano ponen a disposición tras el curado productos finales más blandos. Sin embargo, la síntesis de poliuretanos modificados con silano con alto contenido en silano es económicamente difícil de llevar a cabo debido a los precursores de silano con funcionalidad NCO relativamente caros.
Objetivo de la invención
La presente invención se basa en el objetivo de facilitar un sistema de revestimiento no acuoso, mejorado a partir de sustancias de partida económicas y fácilmente accesible. Se tienen como objetivo en particular composiciones de agente de revestimiento no acuosas con un balance ventajoso de propiedades químicas, tal como en particular grado de curado y estabilidad y con excelentes propiedades técnicas de aplicación para lacas para automóviles.
Sumario de la invención
El objeto de la presente invención son composiciones de agente de revestimiento no acuosas de acuerdo con la reivindicación 1 o de acuerdo con una o varias formas de realización preferentes expuestas en las reivindicaciones dependientes o en la siguiente descripción. El objeto de la invención son además procedimientos de revestimiento de múltiples etapas con el uso de estas composiciones de agente de revestimiento así como el uso de las composiciones de agente de revestimiento como laca transparente o laca de cubrición o bien la aplicación del procedimiento de revestimiento para el lacado en serie de automóviles de vehículos y/o de vehículos de servicio.
Sorprendentemente se ha mostrado que las composiciones de agente de revestimiento de acuerdo con la invención conducen a revestimientos que presentan un perfil de propiedades que se vuelve especialmente adecuado para lacas para automóviles. A este perfil de propiedades pertenece durante la formulación una buena procesabilidad y
tras el secado al horno de la laca una resistencia al rayado en húmedo y en seco de alto grado, en particular una excelente conservación del brillo tras la carga de rayado, al mismo tiempo sin embargo también una buena estabilidad frente a disolventes y un bajo amortiguamiento de péndulo. Los revestimientos resultantes presentan una impresión total óptica muy buena.
Definiciones
Tal como se usa en esta solicitud, el término “alifático” debe representar grupos alquilo, alquenilo o alquinilo lineales o ramificados, eventualmente sustituidos, en los que los grupos metileno no adyacentes (-CH2-) pueden estar sustituidos por heteroátomos, tal como en particular oxígeno y azufre, o por grupos amino secundarios.
Tal como se usa en esta solicitud, el término “alicíclico” o “cicloalifático” debe representar compuestos carbocíclicos o heterocíclicos, eventualmente sustituidos que no pertenecen a los compuestos aromáticos, tal como por ejemplo cicloalcanos, cicloalquenos u oxa-, tia-, aza- o tiazacicloalcanos. Ejemplos especiales para ello son grupos ciclohexilo, grupos ciclopentilo, así como sus derivados interrumpidos por uno o dos átomos de N o de O tal como por ejemplo pirimidina, pirazina, tetrahidropirano o tetrahidrofurano. Otros ejemplos de grupos alicíclicos son poliisocianatos con estructuras de anillo tal como por ejemplo estructuras de iminooxadiazindiona, de oxadiazintriona, de oxazolidinona, de alofanato, de isocianurato cíclico, uretdiona cíclica, uretano cíclico, biuret cíclico, urea cíclica, acilurea y/o estructuras de carbodiimida.
Tal como se usa en esta solicitud, debe representar el término “eventualmente sustituido” o bien “sustituido” en particular una sustitución de la unidad estructural relevante por -F, -Cl, -I, -Br, -OH, -OCH3, -OCH2CH3, -O-isopropilo del -O-n-propilo, -OCF3, -CF3, -S-C1-6-alquilo y/u otra unidad estructural alifática y/o alicíclica, lineal o ramificada, enlazada eventualmente a través de un heteroátomo con 1 a 12 átomos de carbono. Preferentemente representa éste una sustitución por halógeno (en particular -F, -Cl), alcoxi C1-6 (en particular metoxi y etoxi), hidroxi, trifluorometilo y trifluorometoxi.
Tal como se usa en esta solicitud, debe representar el término “bajo peso molecular” compuestos cuya masa molecular asciende a hasta 800 g-mol' 1.
Tal como se usa en esta solicitud, debe representar el término “alto peso molecular” compuestos cuya masa molecular sobrepasa 800 g-mol-1.
Por masa molecular ha de entenderse en el caso de compuestos cuya masa molecular no resulta de una fórmula estructural definida de manera exacta, tal como por ejemplo en el caso de polímeros, en cada caso el promedio en número del peso molecular.
Tal como se usa en esta solicitud, debe representar el término “poliisocianato” poliisocianatos alifáticos o cicloalifáticos de una funcionalidad NCO de > 1, preferentemente > 2, en particular di- y triisocianatos.
Tal como se usa en esta solicitud, debe representar el término “monómero” un compuesto de bajo peso molecular con grupos funcionales, que participa en la estructura de oligómeros y/o (pre-)polímeros y tiene una masa molar definida.
Tal como se usa en esta solicitud, debe representar el término “oligómero” un compuesto en el que están enlazados entre sí de manera repetida solo pocos monómeros (es decir < 10) de igual o distinto tipo.
Tal como se usa en esta solicitud, debe representar el término “prepolímero” compuestos oligoméricos con grupos funcionales que participan en la estructura final de polímeros. En particular comprende éste - tal como es habitual en la química de poliuretano - compuestos que contienen al menos una unidad de diisocianato y al menos una unidad de diol y pueden polimerizarse aún posteriormente a través de los grupos funcionales de estas unidades. Tal como se usa en esta solicitud, debe representar el término “polímero” unidades de alto peso molecular, en las que están enlazados entre sí de manera repetida monómeros, oligómeros y/o prepolímeros de igual o distinto tipo y que pueden diferenciarse en cuanto al grado de polimerización, distribución de masa molar o bien longitud de cadena.
El término “compuesto” comprende en esta solicitud también oligómeros y prepolímeros.
El término “bloqueado” significa en el contexto de esta solicitud “bloqueado de manera reversible”. Así, por ejemplo, a partir de un grupo isocianato bloqueado mediante calentamiento puede liberarse de nuevo isocianato; los grupos isocianato bloqueados son por tanto ahora como antes reactivos con polioles. Normalmente se entiende por un isocianato bloqueado un compuesto de adición de un isocianato altamente reactivo con un alcohol (para dar un uretano) o una amina (para dar una urea), que a temperaturas más altas descomponen de nuevo en alcohol o bien amina y en isocianato. Los agentes de bloqueo conocidos son por ejemplo ácido acetoacético, éster malónico, 3,5-dimetilpirazol, butanonaoxima, aminas secundarias, caprolactama o distintos alcoholes.
En tanto que no resulte lo contrario del contexto, en esta solicitud comprende el término “grupo isocianato” siempre tanto grupos isocianato libres (-NCO) como también grupos isocianato bloqueados.
Tal como se usa en la solicitud, en el caso de un “formamidasilano” secundario se trata de un compuesto de la siguiente fórmula estructural:
en la que R1, R2, R3y n son tal como se ha definido en la reivindicación 1. Un “grupo formamidasilano” se representa de manera correspondiente en general tal como sigue:
en la que R1, R2, R3y n son tal como se ha definido en la reivindicación 1.
Si el átomo de nitrógeno está sustituido con tres átomos de carbono, se habla de un formamidasilano terciario o bien de un grupo formamidasilano terciario. De manera correspondiente se habla de un silano de formamida secundario o bien de un grupo formamidasilano secundario, cuando el átomo de nitrógeno está sustituido con dos átomos de carbono.
Descripción detallada de la invención
La presente invención se refiere a composiciones de agente de revestimiento no acuosas, que contienen al menos un compuesto que contiene grupos polihidroxilo (A), al menos un compuesto modificado con silano B de fórmula (I), tal como se ha definido en la reivindicación 1, eventualmente uno o varios poliisocianatos alifáticos o cicloalifáticos libres de silano (C) con grupos isocianato libres o bloqueados y al menos un catalizador (D) para la reticulación de los grupos silano. Además, las composiciones de agente de revestimiento no acuosas de acuerdo con la invención pueden contener uno o varios coadyuvantes de reología (E) y uno o varios disolventes no acuosos (F). Las composiciones de agente de revestimiento no acuosas de acuerdo con la invención pueden contener otras partes constituyentes, tal como se expone a continuación; sin embargo en una forma de realización preferente éstas están constituidas solo por las partes constituyentes (A) a (F), o un subgrupo de las mismas, por ejemplo por (A), (B), (C) y (D), por (A), (B), (C) (D) y (E), por (A), (B), (D), (E) y (F), por (A),(B), (D) y (E), o solo por (A), (B) y (D).
En las composiciones de agente de revestimiento de acuerdo con la invención, al menos uno de los dos componentes (B) y (C) debe contener grupos isocianato libres o bloqueados. Siempre que la composición no contenga ningún componente (C), debe seleccionar por tanto el componente (B) de modo que éste presente aún grupos isocianato a través de los cuales se realiza a continuación la reticulación con el componente poliol (A).
A continuación, se describen los componentes en particular.
Componente (A) - poliol
Como componente (A) esencial, las composiciones de agente de revestimiento de acuerdo con la invención contienen en primer lugar un compuesto con varios grupos hidroxilo (denominados en la bibliografía también compuestos que contienen grupos polihidroxilo o de manera abreviada poliol).
Ejemplos de compuestos oligoméricos o poliméricos adecuados, que contienen al menos uno, en particular al menos dos, grupos con funcionalidad hidroxi reactivos frente a isocianato y pueden usarse como componente (A) en la presente invención son oligómeros o polímeros lineales y/o ramificados y/o estructurados a modo de bloque, a modo de peine y/o de manera estadística, tal como (co)polímeros de (met)acrilato, poliésteres, alquidos, resinas de aminoplástico, poliuretanos, polilactonas, policarbonatos, poliéteres, aductos de resina epoxídica-amina, (met)acrilatodioles, poli(ésteres de vinilo) parcialmente saponificados o poliureas, de los cuales son ventajosos los copolímeros de (met)acrilato, los poliésteres, los poliuretanos, los poliéteres y los aductos de resina epoxídicaamina, en particular sin embargo (co)polímeros de (met)acrilato y poliésteres.
Preferentemente, en el caso del componente A se trata de al menos un poliéster con funcionalidad hidroxi (o poliesterpoliol) con un índice de hidroxilo de 20 a 240 mg de KOH/g, preferentemente de 30 a 200 mg de KOH/g y de manera especialmente de 40 a 160 mg de KOH/g. El índice de acidez se encuentra por debajo de 20 mg de KOH/g, preferentemente por debajo de 15 mg de KOH/g y de manera especialmente preferente por debajo de 12 mg de KOH/g. La temperatura de transición vítrea del componente A se encuentra en de - 40 a 100 °C, preferentemente de 30 a 80 °C y de manera especialmente preferente de -30 a 70 °C. El peso molecular de los poliesterpolioles que puede calcularse a partir de la estequiometría de los materiales de partida usados se encuentra en aprox. de
460 a 11300 g/mol, preferentemente en aprox. de 570 a 7500 g/mol y de manera especialmente preferente en aprox. de 700 a 5700 g/mol. En la preparación de los poliésteres con funcionalidad hidroxi pueden usarse en total 6 grupos de partes constituyentes monoméricas:
1) (ciclo)alcanodioles (es decir alcoholes divalentes con grupos hidroxilo unidos de manera (ciclo)alifática) del intervalo de peso molecular de 62 a 286 g/mol, tal como por ejemplo etanodiol, 1,2- y 1,3-propanodiol, 1,2-, 1,3- y 1,4-butanodiol, 1,5-pentanodiol, 1,6-hexanodiol, neopentilglicol, ciclohexano-1,4-dimetanol, 1,2- y 1,4-ciclohexanodiol, 2-etil-2-butilpropanodiol, dioles que contienen oxígeno de éter, tal como por ejemplo dietilenglicol, trietilenglicol, tetraetilenglicol, dipropilenglicol, tripropilenglicol, polietilen-, polipropilen- o polibutilenglicoles con un peso molecular máximo de aprox. 2000 g/mol, preferentemente aprox. 1000 g/mol y de manera especialmente preferente aprox. 500 g/mol. Los productos de reacción de los dioles mencionados anteriormente con £-caprolactona pueden llegar a usarse igualmente como dioles.
2) Alcoholes trihidroxilados y de hidroxilación superior del intervalo de peso molecular de 92 a 254 g/mol, tal como por ejemplo glicerina, trimetilolpropano, pentaeritritol, dipentaeritritol y sorbitol.
3) Monoalcoholes, tal como por ejemplo etanol, 1- y 2-propanol, 1- y 2-butanol, 1-hexanol, 2-etilhexanol, ciclohexanol y alcohol bencílico.
4) Ácidos dicarboxílicos del intervalo de peso molecular de 116 a aprox. 600 g/mol y/o sus anhídridos, tal como por ejemplo ácido Itálico, anhídrido Itálico, ácido isoftálico, ácido tetrahidroftálico, anhídrido tetra-hidroftálico, ácido hexahidroftálico, anhídrido hexahidroftálico, anhídrido maleico, ácido fumárico, ácido succínico, anhídrido succínico, ácido adípico, ácido dodecandioico, ácidos grasos diméricos hidrogenados.
5) Ácidos carboxílicos de funcionalidad superior o bien sus anhídridos, tal como por ejemplo ácido trimelítico y anhídrido tri-melítico.
6) Ácidos monocarboxílicos, tal como por ejemplo ácido benzoico, ácido ciclohexanocarboxílico, ácido 2-etilhexanoico, ácido caproico, ácido caprílico, ácido cáprico, ácido láurico, ácidos grasos naturales y sintéticos. Otros componentes con funcionalidad hidroxilo preferentes son copolímeros de (met)acrilato. Los copolímeros de (met)acrilato especialmente muy adecuados presentan
- un índice de OH de 100 a 220, preferentemente de 130 a 200, preferentemente de 140 a 190 y en particular de 145 a 180 mg de KOH/g,
- una temperatura de transición vítrea de -35 °C a 60 °C, en particular de -25 °C a 40 °C,
- un peso molecular promediado en número de 1.000 a 10.000 Dalton, en particular de 1.500 a 5.000 Dalton, y - un peso molecular promediado en masa de 2.000 a 40.000 Dalton, en particular de 3.000 a 20.000 Dalton.
Los copolímeros de (met)acrilato contienen una cantidad de monómeros (a) olefínicamente insaturados, que contienen grupos hidroxilo, correspondiente a su índice de OH, introducidos de manera polimerizada, de los que se seleccionan
(a1) del 20 % al 90 % en peso, preferentemente del 22 % al 85 % en peso, preferentemente del 25 % al 80 % en peso y en particular del 28 % al 75 % en peso, en cada caso con respecto a los monómeros (a) que contienen grupos hidroxilo, del grupo que está constituido por (met)acrilato de 4-hidroxibutilo y mono(met)acrilatos de 2-alquil-propano-1,3-diol, y
(a2) del 20 % al 80 % en peso, preferentemente del 15 % al 78 % en peso, preferentemente del 20 % al 75 % en peso y en particular del 25 % al 72 % en peso, en cada caso con respecto a los monómeros (a) que contienen grupos hidroxilo, del grupo que está constituido por monómeros olefínicamente insaturados, que contienen otros grupos hidroxilo.
Ejemplos de mono(met)acrilatos de 2-alquil-propano-1,3-diol (a1) adecuados son mono(met)acrilato de 2-metil-, 2-etil-, 2-propil-, 2-isopropil- o 2-n-butil-propano-1,3-diol, de los cuales es especialmente ventajoso y se usa preferentemente mono(met)acrilato de 2-metil-propano-1,3-diol.
Ejemplos de otros monómeros (a2) olefínicamente insaturados, que contienen grupos hidroxilo adecuados son ésteres hidroxialquílicos de ácidos carboxílicos, sulfónicos y fosfónicos olefínicamente insaturados y ésteres ácidos de ácido fosfórico y ácido sulfúrico, en particular ácidos carboxílicos, tal como ácido acrílico, acrilato de betacarboxietilo, ácido metacrílico, ácido etacrílico y ácido crotónico, en particular ácido acrílico y ácido metacrílico. Éstos se derivan de un alquilenglicol, que se ha esterificado con el ácido, o éstos pueden obtenerse mediante la reacción del ácido con un óxido de alquileno, tal como óxido de etileno u óxido de propileno. Preferentemente se usan los ésteres hidroxialquílicos, en los que el grupo hidroxialquilo contiene hasta 20 átomos de carbono, en particular acrilato o metacrilato de 2-hidroxietilo o 3-hidroxipropilo; monoacrilato o monometacrilato de 1A-bis(hidroximetil)ciclohexano- u octahidro-4,7-metano-1H-inden-dimetanol; o productos de reacción de ésteres cíclicos, tal como por ejemplo £-caprolactona y sus ésteres hidroxialquílicos; o alcoholes olefínicamente insaturados tal como alcohol alílico; o polioles, tal como trimetilolpropanomono- o dialiléter o pentaeritritolmono-, -di- o -trialiléter. Estos monómeros (a2) de funcionalidad superior se usan en general solo en cantidades subordinadas. En el contexto de la presente invención ha de entenderse a este respecto por “cantidades subordinadas” de monómeros con funcionalidad superior (a2) aquellas cantidades que no conducen a la reticulación o gelificación de los
copolímeros de (met)acrilato A, a menos que deban encontrarse en la forma de partículas de microgel reticuladas. Además, se tiene en consideración alcohol alílico etoxilado y/o propoxilado, que se comercializa por la empresa Arco Chemicals, o 2-hidroxialquilaliléteres, en particular 2-hidroxietilaliléter, como monómero (a2). Siempre que se usen, se usan éstos preferentemente no como monómeros (a2) únicos, sino en una cantidad del 0,1 % al 10 % en peso, con respecto al copolímero de (met)acrilato.
Además se tienen en consideración productos de reacción de los ácidos olefínicamente insaturados expuestos anteriormente, en particular ácido acrílico y/o ácido metacrílico, con el éster glicidílico de un ácido monocarboxílico ramificado en posición alfa con 5 a 18 átomos de carbono por molécula, en particular de un ácido Versatic®, o en lugar de los productos de ramificación una cantidad equivalente de los ácidos olefínicamente insaturados expuestos anteriormente, en particular ácido acrílico y/o ácido metacrílico, que se hace reaccionar entonces durante o tras la reacción de polimerización con el éster glicidílico de un ácido monocarboxílico ramificado en posición alfa con 5 a 18 átomos de C por molécula, en particular de un ácido Versatic® (véase Rompp Lexikon Lacke und Druckfarben, Georg Thieme Verlag, Stuttgart, New York, 1998, “Versatic®-Sauren”, páginas 605 y 606).
No en último lugar son adecuados monómeros de vinilo que contienen acriloxisilano como monómeros (a2), que pueden prepararse mediante reacción de silanos con funcionalidad hidroxi con epiclorhidrina y posterior reacción del producto de reacción con ácido (met)acrílico y/o ésteres hidroxialquílicos y/o cicloalquílicos del ácido (met)acrílico y/u otros monómeros (a1) y (a2) que contienen grupos hidroxilo.
Aparte de los grupos hidroxilo, los copolímeros de (met)acrilato pueden contener aún otros grupos funcionales reactivos frente a isocianato, tal como grupos amino primarios y secundarios.
Aparte de los grupos funcionales reactivos frente a isocianato descritos anteriormente, los copolímeros de (met)acrilato pueden contener aún grupos funcionales reactivos, que pueden activarse térmicamente, adicionales, tal como grupos carboxilo, grupos metiloléter, grupos epoxídicos y/o grupos isocianato bloqueados, en cantidades subordinadas.
Ejemplos de monómeros (a3) olefínicamente insaturados adecuados, con cuya ayuda pueden introducirse grupos amino reactivos frente a isocianato y grupos funcionales reactivos, que pueden activarse térmicamente, adicionales en los copolímeros de (met)acrilato, son
(a31) monómeros que llevan al menos un grupo amino por molécula, tal como acrilato de aminoetilo, metacrilato de aminoetilo, alilamina o acrilato de N-metilaminoetilo; y/o
(a32) monómeros que llevan al menos un grupo ácido por molécula, tal como ácido acrílico, acrilato de pcarboxietilo, ácido metacrílico, ácido etacrílico, ácido crotónico, ácido maleico, ácido fumárico o ácido itacónico; ácidos sulfónicos o fosfónicos olefínicamente insaturados o sus ésteres parciales; maleato de mono(met)acriloiloxietilo, succinato de mono(met)acriloiloxietilo, ftalato de mono(met)acriloiloxietilo; o ácido vinilbenzoico y ácido metilvinilbenzoico, así como ácido vinilbencenosulfóninco (en cada caso todos los isómeros).
(a33) monómeros que contienen grupos epoxídicos, tal como el éster glicidílico del ácido acrílico, ácido metacrílico, ácido etacrílico, ácido crotónico, ácido maleico, ácido fumárico o ácido itacónico o alilglicidiléter. Además, los copolímeros de (met)acrilato pueden contener aún al menos un monómero (a4) olefínicamente insaturado introducido de manera polimerizada, que está esencialmente o completamente libre de grupos funcionales reactivos, tal como:
Monómeros (a41):
Ésteres de ácido (met)acrílico esencialmente libres de grupos ácido, tal como (met)acrilato de alquilo o de cicloalquilo con hasta 20 átomos de carbono en el resto alquilo, en particular acrilato o metacrilato de metilo, etilo, npropilo, n-butilo, sec-butilo, terc-butilo, hexilo, etilhexilo, estearilo y laurilo; ésteres de ácido (met)acrílico cicloalifáticos, en particular (met)acrilato de ciclohexilo, isobornilo, diciclopentadienilo, octahidro-4,7-metano-1H-inden-metanol o terc-butilciclohexilo; ésteres oxoalquílicos o ésteres oxocicloalquílicos de ácido (met)acrílico tal como (met)acrilato de etoxitriglicol y (met)acrilato de metoxioligoglicol con un peso molecular Mn de preferentemente 550 g/mol u otros derivados de ácido (met)acrílico etoxilados y/o propoxilados libres de grupos hidroxilo (otros ejemplos de monómeros (31) adecuados de este tipo se conocen por la solicitud DE 196 25 773 A1, columna 3, línea 65, hasta columna 4, línea 20). Éstos pueden contener en cantidades subordinadas ésteres alquílicos o cicloalquílicos de ácido (met)acrílico de funcionalidad superior, tal como di(met)acrilato de etilenglicol, propilenglicol, dietilenglicol, dipropilenglicol, butilenglicol, pentano-1,5-diol, hexano-1,6-diol, octahidro-4,7-metano-1H-indendimetanol o ciclohexano-1,2-, -1,3- o -1,4-diol; di- o tri(met)acrilato de trimetilolpropano; o di-, tri- o tetra(met)acrilato de pentaeritritol. A este respecto, ha de entenderse por cantidades subordinadas de monómeros (a41) de funcionalidad superior aquellas cantidades que no conducen a la reticulación o gelificación de los copolímeros, a menos que se encuentren en forma de micropartículas de gel reticuladas.
Monómeros (a42):
Ésteres vinílicos de ácidos monocarboxílicos ramificados en posición alfa con 5 a 18 átomos de C en la molécula. Los ácidos monocarboxílicos ramificados pueden obtenerse mediante reacción de ácido fórmico o monóxido de carbono y agua con olefinas en presencia de un catalizador líquido, fuertemente ácido; las olefinas pueden ser productos del craqueo de hidrocarburos parafínicos, tal como fracciones de aceite mineral, y pueden contener olefinas tanto ramificadas como de cadena lineal acíclicas y/o cicloalifáticas. En la reacción de tales olefinas con ácido fórmico o bien con monóxido de carbono y agua se produce una mezcla de ácidos carboxílicos, en los que los grupos carboxilo se encuentran predominantemente en un átomo de carbono cuaternario. Otras sustancias de partida olefínicas son por ejemplo trímero de propileno, tetrámero de propileno y diisobutileno. Los ésteres vinílicos pueden prepararse sin embargo también de manera en sí conocida a partir de los ácidos, por ejemplo dejando reaccionar el ácido con acetileno.
De manera especialmente preferente se usan - debido a la disponibilidad - ésteres vinílicos de ácidos monocarboxílicos alifáticos saturados con 9 a 11 átomos de C, que están ramificados en el átomo de C alfa. Los ésteres vinílicos de este tipo se comercializan con la marca VeoVa® (véase también Rompp Lexikon Lacke und Druckfarben, Georg Thieme Verlag, Stuttgart, New York, 1998, página 598).
Monómeros (a43):
Nitrilos, tal como acrilonitrilo y/o metacrilonitrilo.
Monómeros (a44):
Compuestos vinílicos, en particular dihaluros de vinilo y/o de vinilideno, tal como cloruro de vinilo, fluoruro de vinilo, dicloruro de vinilideno o difluoruro de vinilideno; N-vinilamidas, tal como vinil-N-metilformamida, N-vinilcaprolactama o N-vinilpirrolidona; 1 -vinilimidazol; viniléteres, tal como etilviniléter, n-propilviniléter, isopropilviniléter, n-butilviniléter, isobutilviniléter y/o vinilciclohexiléter; y/o ésteres vinílicos, tal como acetato de vinilo, propionato de vinilo, butirato de vinilo, pivalato de vinilo y/o el éster vinílico del ácido 2-metil-2-etil-heptanoico.
Monómeros (a45):
Compuestos alílicos, en particular éteres y ésteres alílicos tal como alilmetil-, -etil-, -propil- o -butiléter o acetato, propionato o butirato de alilo.
Monómeros (a46):
Macromonómeros de polisiloxano que presentan un peso molecular promediado en número Mn de 1.000 a 40.000 g/mol y en promedio de 0,5 a 2,5 dobles enlaces etilénicamente insaturados por molécula; en particular macromonómeros de polisiloxano que presentan un peso molecular promediado en número Mn de 2.000 a 20.000 g/mol, de manera especialmente preferente de 2.500 a 10.000 g/mol y en particular de 3.000 a 7.000 g/mol y en promedio de 0,5 a 2,5, preferentemente de 0,5 a 1,5, dobles enlaces etilénicamente insaturados por molécula, tal como se han descrito en el documento DE 3807571 A1 en las páginas 5 a 7, el documento DE 3706095 A1 en las columnas 3 a 7, el documento EP 0358 153 B1 en las páginas 3 a 6, en el documento US 4.754.914 A1 en las columnas 5 a 9, en el documento DE 4421 823 A1 o en la solicitud de patente internacional WO 1992/22615 en la página 12, línea 18, hasta la página 18, línea 10.
Los monómeros (a1) y (a2) así como (a3) y/o (a4) se seleccionan de modo que resulten los índices de OH y las temperaturas de transición vítrea indicados anteriormente. La elección de los monómeros (a) para el ajuste de las temperaturas de transición vítrea puede realizarse por el experto con ayuda de la siguiente fórmula de Fox, con la que pueden calcularse las temperaturas de transición vítrea de poli(met)acrilatos de manera aproximada:
n = x
1/Tg = E Wn/Tg„; En Wn = 1 n = 1
Tg = temperatura de transición vítrea del poli(met)acrilato;
Wn = proporción en peso del n-ésimo monómero;
Tgn = temperatura de transición vítrea del homopolímero del n-ésimo monómero y x = número de los distintos monómeros.
La preparación de los copolímeros de (met)acrilato usados preferentemente en la invención no presenta particularidades técnicas de procedimiento, sino que se realiza con ayuda de procedimientos habituales y conocidos en el campo de plásticos de la copolimerización continua o discontinua iniciada por radicales en masa, solución, emulsión, miniemulsión o microemulsión con presión normal o sobrepresión en recipientes agitadores, autoclaves, reactores tubulares, columnas de burbujas con circulación en bucles o reactores de Taylor a temperaturas de preferentemente 50 a 200 °C.
Ejemplos de procedimientos de copolimerización adecuados se describen en las solicitudes publicadas DE 197 09 465 A1, DE 19709476 A1, DE 2848906 A1, DE 19524182 A1, DE 19828742 A1, DE 19628143 A1, DE 19628 142 A1, EP 0 554 783 A1, WO 1995/27742, WO 1982/02387 o WO 1998/02466. La copolimerización puede realizarse sin embargo también en polioles como medio de reacción, tal como se describe esto por ejemplo en la solicitud de patente alemana DE 19850243 A1. Ejemplos de iniciadores radicalarios adecuados son peróxidos de dialquilo, tal como peróxido de di-terc-butilo o peróxido de dicumilo; hidroperóxidos, tal como hidroperóxido de cumeno o hidroperóxido de terc-butilo; perésteres, tal como perbenzoato de terc-butilo, perpivalato de terc-butilo, per-3,5,5-trimetilhexanoato de terc-butilo o per-2-etilhexanoato de terc-butilo; peroxodicarbonatos; peroxodisulfato de potasio, sodio o amonio; iniciadores azoicos, por ejemplo azodinitrilos tal como azobisisobutironitrilo; iniciadores que escinden C-C tal como benzopinacolsililéter; o una combinación de un iniciador no oxidante con peróxido de hidrógeno. Pueden usarse también combinaciones de los iniciadores descritos anteriormente.
Otros ejemplos de iniciadores adecuados se describen en la solicitud de patente alemana DE 19628142 A1, página 3, línea 49, hasta página 4, línea 6. Preferentemente se añaden comparativamente grandes cantidades de iniciador radicalario, ascendiendo la proporción del iniciador en la mezcla de reacción, en cada caso con respecto a la cantidad total de los monómeros (a) y del iniciador, de manera especialmente preferente del 0,2 % al 20 % en peso, de manera muy especialmente preferente del 0,5 % al 15 % en peso y en particular del 1,0 % al 10 % en peso. Además pueden usarse compuestos de tiocarboniltio o mercaptanos tal como dodecilmercaptano como agente de transferencia de cadena o agentes reguladores del peso molecular.
Son adecuados por ejemplo Setalux 1774 SS-65, Setalux D A 665 BA, Setalux D A 870 BA, Setalux D A 365 BA/X, Setalux D A HS 1170 BA, Setalux D A 760 BA/X de la empresa Nuplex. Se tienen en consideración también policarbonatopolioles alifáticos para la construcción de los prepolímeros de acuerdo con la invención. Los policarbonatopolioles pueden obtenerse como es sabido a partir de la reacción de condensación de fosgeno con polioles o de la transesterificación de carbonatos orgánicos adecuados con polioles. Como carbonatos orgánicos se tienen en consideración carbonatos de alquilo y alquileno y sus mezclas. Como ejemplos se mencionan carbonato de dimetilo (DMC), carbonato de dietilo (DEC) y carbonato de etileno. Como polioles se tienen en consideración los mencionados anteriormente en la sección de poliesterpolioles. La funcionalidad de los policarbonatopolioles usados asciende preferentemente de 1,6 a 3,8, de manera especialmente preferente de 1,8 a 3,5. Estos policarbonatopolioles tienen un peso molecular promediado en número de preferentemente 100 a 6000 g/mol y de manera especialmente preferente de 100 a 4000 g/mol. El índice de OH depende de la funcionalidad de los policarbonatopolioles y asciende normalmente a de 20 a 900 mg de KOH/g.
Otros polioles adecuados son por ejemplo también los descritos en los documentos EP 0689556 y EP 0937 110, por ejemplo polioles especiales que pueden obtenerse mediante reacción de ésteres de ácido graso epoxidados con polioles alifáticos u aromáticos con apertura de anillo epoxídico.
Los polibutadienos que contienen grupos hidroxilo pueden servir igualmente como polioles.
Componente B
Como componente (B) esencial contienen las composiciones de agente de revestimiento de acuerdo con la invención al menos un compuesto modificado con silano de fórmula (I), en particular un compuesto de fórmula (II), tal como se define en cada caso en las reivindicaciones. A continuación se abrevian tales compuestos de fórmula (I) o bien (II) debido a su modificación con silano (en particular terminación con silano) con STP. En el estado curado definitivo facilita la invención polímeros de poliuretano (PU) condensados a través de puentes -Si-O-Si- como revestimientos permanentes.
El componente (B) que se usa de acuerdo con la invención contiene al menos un compuesto modificado con silano (es decir que contiene grupos silanoformamida terciarios) de fórmula (I):
en la que en la fórmula (I) se aplica:
X representa un resto de molécula orgánico, en particular un resto de molécula orgánico alifático o cicloalifático, lineal o ramificado, eventualmente sustituido;
R1 representa una unidad estructural alifática y/o alicíclica, lineal o ramificada, eventualmente sustituido, al menos divalente con 1 a 12 átomos de carbono, pudiendo estar sustituido uno o varios grupos metileno no adyacentes en cada caso por O o S;
R2 y R3 representan en cada caso independientemente entre sí un grupo alifático y/o alicíclico, lineal o ramificado, eventualmente sustituido con 1 a 12 átomos de carbono; y
n representa un número entero de 0 a 2.
En particular se usa de acuerdo con la invención, en una forma de realización preferente, un compuesto de fórmula (II) como componente (B) modificado con silano:
en la que en la fórmula (II) se aplica:
Z es un resto de molécula que está constituido por (i) un poliisocianato o (ii) un prepolímero de poliuretano que contiene NCO, en el que en (i) o (ii) por molécula está modificado al menos un grupo NCO de las estructuras mencionadas con un formamidasilano secundario, de modo que se produce un compuesto de fórmula (II); y
R1, R2, R3 y n son tal como se ha definido anteriormente.
Los poliisocianatos acíclicos y/o alifáticos que sirven como cuerpo base Z para los compuestos (B) que contienen grupos poliisocianato son preferentemente poliisocianatos alifáticos sustituidos o no sustituidos en sí conocidos. Ejemplos de poliisocianatos preferentes son tetrametilen-1,4-diisocianato, pentano-1,5-diisocianato, hexametilen-1,6-diisocianato, 2,2,4-trimetilhexano-1,6-diisocianato, etilendiisocianato, 1,12-dodecandiisocianato, 3-isocianatometil-3,5,5-trimetilciclohexilisocianato (isoforondiisocianato, IPDI), bis-(4-isocianatociclohexil)metano (H12MDI) y mezclas de los poliisocianatos mencionados anteriormente. Además, los cuerpos base de poliisocianato preferentes para el componente (B) son poliisocianatos derivados mediante trimerización, dimerización, formación de uretano, de biuret, de uretdiona y/o de alofanato de un poliisocianato alifático acíclico de este tipo, en particular el dímero de biuret y/o el dímero de alofanato y/o el trímero de isocianurato.
En otra forma de realización, los cuerpos base de poliisocianato para el componente (B) son prepolímeros de poliisocianato con unidades estructurales de uretano, que se obtienen mediante reacción de polioles con un exceso estequiométrico de poliisocianatos acíclicos y/o alifáticos mencionados anteriormente. Tales prepolímeros de poliisocianato se describen por ejemplo en el documento US-A 4.598.131.
Los poliisocianatos para la preparación de los prepolímeros pueden ser los poliisocianatos mencionados anteriormente.
Los polioles poliméricos que pueden usarse para la preparación de los prepolímeros presentan un peso molecular promediado en número Mn de 400 a 8000 g/mol, preferentemente de 400 a 6000 g/mol y de manera especialmente preferente de 400 a 3000 g/mol. Su índice de hidroxilo asciende a de 22 a 400 mg de KOH/g, preferentemente a de 30 a 300 mg de KOH/g y de manera especialmente preferente a de 40 a 250 mg de KOH/g y presentan una funcionalidad OH de 1,5 a 6, preferentemente de 1,7 a 5 y de manera especialmente preferente de 2,0 a 5.
Los polioles para la preparación de los prepolímeros son compuestos de polihidroxilo orgánicos conocidos en la tecnología de lacas de poliuretano, tal como por ejemplo los poliesterpolioles, poliacrilatopolioles, poliuretanopolioles, policarbonatopolioles, polieterpolioles, poliesterpoliacrilatopolioles así como poliuretanopoliacrilatopolioles, poliuretanopoliesterpolioles, poliuretanopolieterpolioles, poliuretanopolicarbonatopolioles, poliesterpolicarbonatopolioles, resinas de fenol/formaldehído, habituales, individuales o en mezclas. Se prefieren poliesterpolioles, polieterpolioles o policarbonatopolioles, se prefieren especialmente polieterpolioles.
Como polieterpolioles se mencionan por ejemplo los productos de poliadición de los óxidos de estireno, del óxido de etileno, óxido de propileno, tetrahidrofurano, óxido de butileno, epiclorhidrina, así como sus productos de adición de mezcla y de injerto, así como los polieterpolioles obtenidos mediante condensación de alcoholes polihidroxilados o mezclas de los mismos y los polieterpolioles obtenidos mediante alcoxilación de alcoholes polihidroxilados, aminas y aminoalcoholes.
Los poliéteres con funcionalidad hidroxi adecuados presentan funcionalidades OH de 1,5 a 6,0, preferentemente de 1,8 a 3,0, índices de OH de 50 a 700, preferentemente de 100 a 600 mg de KOH/g de sólido y pesos moleculares Mn de 106 a 4000 g/mol, preferentemente de 200 a 3500, tal como por ejemplo productos de alcoxilación de moléculas iniciadoras con funcionalidad hidroxi tal como etilenglicol, propilenglicol, butanodiol, hexanodiol, trimetilolpropano, glicerol, pentaeritritol, sorbitol o mezclas de estos compuestos y también de otros compuestos con funcionalidad
hidroxi con óxido de propileno u óxido de butileno. Se prefieren como componente poliéter poli(óxido de propileno)polioles, poli(óxido de etileno)polioles y poli(óxido de tetrametileno)polioles.
Ejemplos muy adecuados de poliesterpolioles son los policondensados en sí conocidos de di- así como eventualmente tri-, y tetraoles y ácidos di- así como eventualmente tri- y tetracarboxílicos o ácidos hidroxicarboxílicos o lactonas. En lugar de los ácidos policarboxílicos libres pueden usarse también los correspondientes anhídridos policarboxílicos o los correspondientes ésteres de ácidos policarboxílicos de alcoholes inferiores para la preparación de los poliésteres. Ejemplos de dioles adecuados son etilenglicol, butilenglicol, dietilenglicol, trietilenglicol, polialquilenglicoles tal como polietilenglicol, además 1,2-propanodiol, 1,3-propanodiol, butanodiol(1,3), butanodiol(1,4), hexanodiol(1,6) e isómeros, neopentilglicol o hidroxipivalato de neopentilglicol, prefiriéndose los tres compuestos mencionados en último lugar. Para conseguir una funcionalidad > 2, eventualmente pueden usarse proporcionalmente polioles con una funcionalidad de 3, por ejemplo trimetilolpropano, glicerol, eritritol, pentaeritritol, trimetilolbenceno o trishidroxietilisocianurato.
Como ácidos dicarboxílicos se tienen en cuenta por ejemplo ácido ftálico, ácido isoftálico, ácido tereftálico, ácido tetrahidroftálico, ácido hexahidroftálico, ácido ciclohexanodicarboxílico, ácido adípico, ácido azelaico, ácido sebácico, ácido glutárico, ácido tetracloroftálico, ácido maleico, ácido fumárico, ácido itacónico, ácido malónico, ácido subérico, ácido 2-metilsuccínico, ácido 3,3-dietilglutárico, ácido 2,2-dimetilsuccínico. Pueden usarse igualmente los anhídridos de estos ácidos, en tanto que existan. Para los intereses de la presente invención se comprenden los anhídridos por lo tanto por la expresión “ácido”. Pueden usarse ácidos monocarboxílicos, tal como ácido benzoico y ácido hexanocarboxílico, siempre que la funcionalidad promedio del poliol sea >2. Los ácidos alifáticos saturados o aromáticos se prefieren, tal como ácido adípico o ácido isoftálico. Como ácido policarboxílico que va a usarse de manera conjunta eventualmente en cantidades más pequeñas se menciona en este caso ácido trimelítico.
Los ácidos hidroxicarboxílicos que pueden usarse conjuntamente como participantes de la reacción en la preparación de un poliesterpoliol con grupos hidroxilo terminales son por ejemplo ácido hidroxicaproico, ácido hidroxibutírico, ácido hidroxidecanoico, ácido hidroxiesteárico y similares. Las lactonas que pueden usarse son entre otras £-caprolactona, butirolactona y homólogos.
Se prefieren poliesterpolioles a base de butanodiol y/o neopentilglicol y/o hexanodiol y/o etilenglicol y/o dietilenglicol con ácido adípico y/o ácido ftálico y/o ácido isoftálico. Se prefieren especialmente poliesterpolioles a base de butanodiol y/o neopentilglicol y/o hexanodiol con ácido adípico y/o ácido ftálico.
Los policarbonatopolioles que se tienen en cuenta pueden obtenerse mediante reacción de derivados de ácido carbónico, por ejemplo carbonato de difenilo, carbonato de dimetilo o fosgeno con dioles. Como dioles de este tipo se tienen en cuenta por ejemplo etilenglicol, 1,2- y 1,3-propanodiol, 1,3- y 1,4-butanodiol, 1,6-hexanodiol, 1,8-octanodiol, neopentilglicol, 1,4-bishidroximetilciclohexano, 2-metil-1,3-propanodiol, 2,2,4-trimetilpentanodiol-1,3, dipropilenglicol, polipropilenglicoles, dibutilenglicol, polibutilenglicoles, bisfenol A, tetrabromobisfenol A, sin embargo también dioles modificados con lactona. Preferentemente, el componente diol contiene del 40 % al 100 % en peso de 1,6-hexanodiol y/o derivados de hexanodiol, preferentemente aquéllos que además de los grupos OH terminales presentan grupos éter o éster, por ejemplo productos que se obtienen mediante reacción de 1 mol de hexanodiol con al menos 1 mol, preferentemente de 1 a 2 mol de £-caprolactona o mediante eterificación de hexanodiol consigo mismo para dar el di- o trihexilenglicol. Pueden usarse también polieter-policarbonatopolioles.
Se prefieren policarbonatopolioles a base de carbonato de dimetilo y hexanodiol y/o butanodiol y/o £-caprolactona. Se prefieren muy especialmente policarbonatopolioles a base de carbonato de dimetilo y hexanodiol y/o £-caprolactona.
En lugar de los polieter-, poliester- o policarbonatopolioles poliméricos descritos anteriormente puede usarse también polioles de bajo peso molecular para la preparación de los prepolímeros que contienen isocianato. Los polioles de bajo peso molecular adecuados son dioles o trioles alifáticos, aralifáticos o cicloalifáticos de cadena corta, es decir que contienen de 2 a 20 átomos de carbono. Ejemplos de dioles son etilenglicol, dietilenglicol, trietilenglicol, tetraetilenglicol, dipropilenglicol, tripropilenglicol, 1,2-propanodiol, 1,3-propanodiol, 1,4-butanodiol, neopentilglicol, 2-etil-2-butilpropanodiol, trimetilpentanodiol, dietiloctanodioles isoméricos de posición, 1,3-butilenglicol, ciclohexanodiol, 1,4-ciclohexanodimetanol, 1,6-hexanodiol, 1,2- y 1,4-ciclohexanodiol, bisfenol A hidrogenado (2,2-bis(4-hidroxiciclohexil)propano), 2,2-dimetil-3-hidroxipropionato de 2,2-dimetil-3-hidroxipropilo. Se prefieren 1,4-butanodiol, 1,4-ciclohexanodimetanol y 1,6-hexanodiol. Ejemplos de trioles adecuados son trimetiloletano, trimetilolpropano o glicerol, prefiriéndose trimetilolpropano.
Los polioles mencionados pueden usarse solos o en mezcla.
Tanto en el caso de los poliisocianatos (i) como también los prepolímeros de poliuretano que contienen NCO (ii), tal como se ha definido en la reivindicación 2, pueden estar modificados los grupos NCO contenidos completa o parcialmente con un formamidasilano (secundario), de modo que se produce un compuesto de fórmula (II).
El compuesto que contiene grupos silanoformamida de fórmula (II) presenta un peso molecular promediado en número Mn inferior a 10000 g/mol, preferentemente inferior a 6000 g/mol y de manera especialmente preferente inferior a 4000 g/mol.
Los grupos isocianato de los poliisocianatos (i) o aquéllos de los prepolímeros de poliuretano (ii) se hacen reaccionar de acuerdo con la siguiente ecuación de reacción con el formamidasilano (secundario):
en la que Z, R1, R2 , R3 y n son tal como se ha definido anteriormente.
En la reacción del formamidasilano (secundario) con prepolímeros que contienen isocianato para la formación de los prepolímeros de poliuretano (ii), tal como se define en la reivindicación 2, pueden seguirse principalmente dos caminos. Puede prepararse en primer lugar a partir de un poliisocianato y un poliol un prepolímero que contiene isocianato. Los isocianatos que quedan pueden hacerse reaccionar en la última etapa con el formamidasilano (secundario). Como alternativa puede hacerse reaccionar también el poliisocianato en primer lugar con el formamidasilano (secundario) y los isocianatos restantes pueden hacerse reaccionar en la segunda etapa con los grupos hidroxilo del poliol. El prepolímero de poliuretano (ii) (obtenido) puede purificarse a continuación eventualmente mediante destilación continua, tal como por ejemplo destilación de capa delgada.
Componente C - poliisocianato
Como otro componente preferente puede contener la composición de agente de revestimiento de acuerdo con la invención uno o varios poliisocianatos alifáticos o cicloalifáticos libres de silano (C) con grupos isocianato libres o bloqueados, tal como se usan habitualmente en la industria de lacas.
El componente poliisocianato (C) es un poliisocianato con grupos isocianato libres o bloqueados y con un cuerpo base de poliisocianato acíclico, alifático y/o un cuerpo base de poliisocianato derivado mediante trimerización, dimerización, formación de uretano, de biuret, de uretdiona y/o alofanato de un poliisocianato acíclico, alifático de este tipo.
Los poliisocianatos acíclicos y/o alifáticos que sirven como cuerpo base para los compuestos (C) que contienen grupos poliisocianato son preferentemente poliisocianatos alifáticos sustituidos o no sustituidos en sí conocidos. Ejemplos de poliisocianatos preferentes son tetrametilen-1,4-diisocianato, pentano-1,5-diisocianato, hexametilen-1,6-diisocianato, 2,2,4-trimetilhexano-1,6-diisocianato, etilendiisocianato, 1,12-dodecandiisocianato, 3-isocianatometil-3,5,5-trimetilciclohexilisocianato (isoforondiisocianato, IPDI), bis-(4-isocianatociclohexil)metano (H12MDI) y mezclas de los poliisocianatos mencionados anteriormente. Además, los cuerpos base de poliisocianato preferentes para el componente (C) son los poliisocianatos derivados mediante trimerización, dimerización, formación de uretano, biuret, uretdiona y/o alofanato de un poliisocianato acíclico alifático de este tipo, en particular el dímero de biuret y/o el trímero de alofanato y/o el trímero de isocianurato. En otra forma de realización, los cuerpos base de poliisocianato para el componente (C) son prepolímeros de poliisocianato con unidades estructurales de uretano, que se obtienen mediante reacción de polioles con un exceso estequiométrico de poliisocianatos acíclicos y/o alifáticos mencionados anteriormente. Tales prepolímeros de poliisocianato se describen por ejemplo en el documento US-A 4.598.131. Los cuerpos base de poliisocianato especialmente preferentes para el componente (C) son pentano-1,5-diisocianato, hexametilendiisocianato y/o su dímeros de biuret y/o dímero de alofanato y/o trímero de isocianurato y/o su uretdiona así como mezclas de los cuerpos base de poliisocianato mencionados.
Los cuerpos base de poliisocianato muy especialmente preferentes para el componente (C) son pentano-1,5-diisocianato, hexametilendiisocianato y/o su trímero de isocianurato, eventualmente junto con su uretdiona.
Ejemplos concretos de tales poliisocianatos son las resinas de poliisocianato de la serie Desmodur® de la empresa Bayer Material Science AG, Leverkusen, DE. Preferentemente puede usarse por ejemplo una resina de poliisocianato alifática de baja viscosidad a base de trímeros del hexametilendiisocianato, tal como Desmodur® N 3900 con una funcionalidad NCO de 2,8 a 3,6 o Desmodur® N 3300 con una funcionalidad NCO de 2,8 a 4,5. Eventualmente pueden usarse estos poliisocianatos en mezcla con disolventes adecuados tal como por ejemplo acetato de butilo, así por ejemplo con un 10 % de acetato de butilo (Desmodur® N 3390) o mezclas de disolventes, así por ejemplo con un 32 % de acetato de butilo/disolvente nafta 100 (Desmodur® N 3368 BA/SN). Todos los productos Desmodur® pueden adquirirse de Bayer MaterialScience AG, Leverkusen, DE.
Componente D - catalizador
Como otro componente esencial, la composición de agente de revestimiento de acuerdo con la invención contiene un catalizador (o “agente endurecedor” o “activador”), que acelera la hidrolisis y condensación de los grupos silano del componente (B). Los catalizadores de este tipo los conoce un experto. Pueden usarse por ejemplo ácidos, tal como por ejemplo ácido sulfúrico, ácido p-toluenosulfónico, ácido trifluorometanosulfónico, ácido acético, ácido trifluoroacético y fosfato de dibutilo, bases, tal como por ejemplo amidinas N-sustituidas, tal como 1,5-diaza-biciclo
[4.3.0]non-5-eno (DBN) y 1,5-diazabiciclo[5.4.0]undec-7-eno (DBU), sin embargo también sales y quelatos metálicos, tal como por ejemplo titanato de tetraisopropilo, titanato de tetrabutilo, acetilacetonato de titanio(IV), tri-sec-butilato de aluminio, acetilacetonato de aluminio, triflato de aluminio o triflato de estaño.
Igualmente pueden usarse catalizadores a base de óxido de aluminio. Un catalizador preferente es por ejemplo X-add®KR 9006 de Nano-X GmbH, Saarbrücken. Otro catalizador preferente puede seleccionarse del grupo que está constituido por sales de tetraalquilamonio de ácidos orgánicos, en particular benzoato de tetrabutilamonio.
Estos catalizadores se usan en cantidades del 0,02 hasta el 5 % en peso, preferentemente hasta el 2 % en peso, mucho más preferentemente del 0,05 hasta el 1,5 % en peso, con respecto al peso de las formamidas (B) modificadas con silano usadas. Dependiendo del tipo y la cantidad del catalizador usado puede realizarse el curado de la composición de agente de revestimiento de acuerdo con la invención a través de un amplio intervalo de temperatura, por ejemplo de -20 a 200 °C, preferentemente de 0 a 180 °C, mucho más preferentemente de 20 a 160 °C y de manera especialmente preferente de 100-150 °C (en el lacado primario de automóviles) o de 20-60 °C (en el lacado de reparación de automóviles). A alta temperatura puede realizarse poco catalizador, mientras que a baja temperatura se requieren más catalizadores y/o catalizadores más activos.
Componente E - aditivos de superficie
Como otro componente preferente, la composición de agente de revestimiento de acuerdo con la invención puede contener uno o varios aditivos de superficie. Tales aditivos pueden servir en particular para la mejora de la capacidad de humectación de superficies hidrófobas y como agente de nivelación. Preferentemente, para los fines de aplicación en cuestión se usan siloxanos. Un aditivo de superficie especialmente preferente (agente de nivelación) es un polidimetilsiloxano modificado con poliéter tal como por ejemplo Byk® 331 de la empresa Byk-Chemie GmbH, Wesel, DE. Además pueden usarse tipos tal como BYK®306 o bYk® 141 de la empresa Byk GmbH, TegoGlide® 440 de la empresa Evonik Industries AG, Essen, DE, o Baysilone® OL 17 de la empresa OMG Borchers GmbH, Langenfeld, DE.
Componente F - disolvente
Como otro componente, la composición de agente de revestimiento de acuerdo con la invención puede contener uno o varios disolventes. Éstos sirven en particular para ajustar la viscosidad de la composición de agente de revestimiento en el intervalo deseado. Los disolventes son por regla general disolventes orgánicos, libres de agua que son compatibles con los otros componentes de la composición de agente de revestimiento de acuerdo con la invención. Ejemplos de tales disolventes son por ejemplo disolvente nafta (SN), 1-metoxipropilacetato-2 (MPA), acetato de butilo (BA) y mezclas de estos disolventes.
Otros aditivos
Además de los componentes (A) a (F), la composición de agente de revestimiento de acuerdo con la invención puede contener también, dependiendo del fin de aplicación y de la naturaleza química concreta, aún otros componentes, por ejemplo cargas, aditivos de deslizamiento, agentes de hidrofobización, agentes ignífugos, estabilizadores, agentes fotoprotectores tal como absorbedores UV y aminas estéricamente impedidas (HALS), además antioxidantes, así como coadyuvantes de laca, por ejemplo agentes anti-deposición, agentes desespumantes y/o humectantes, agentes de nivelación, diluyentes reactivos, plastificantes, disolventes auxiliares y/o agentes espesantes así como pigmentos, colorantes y/o agentes de mateado. El uso de agentes fotoprotectores y los distintos tipos se han descrito por ejemplo en A. Valet, Lichtschutzmittel für Lacke, Vincentz Verlag, Hannover,1996.
Como cargas adecuadas se mencionan a modo de ejemplo ácidos silícicos de precipitación y ácidos silícicos pirogénicos.
Formas de realización de acuerdo con la invención preferentes
A continuación se describen en detalle formas de realización preferentes.
En una forma de realización preferente, los STP usados en las composiciones de agente de revestimiento de acuerdo con la invención tienen la fórmula general (II):
en la que en la fórmula (II) se aplica:
Z representa un resto de molécula, que está constituido por un (i) poliisocianato o (ii) un prepolímero de poliuretano que contiene NCO, en el que en (i) o (ii) por molécula al menos un grupo NCO de las estructuras mencionadas está modificado con un formamidasilano secundario, de modo que se produce un compuesto de fórmula (II);
R1 representa una unidad estructural alifática y/o alicíclica, lineal o ramificada, eventualmente sustituida, al menos divalente con 1 a 12 átomos de carbono, preferentemente 1-6 átomos de carbono y mucho más preferentemente 1-3 átomos de carbono, en el que uno o varios grupos metileno no adyacentes pueden estar sustituidos en cada caso por O o S;
R2 y R3 representan en cada caso independientemente entre sí un grupo alifático y/o alicíclico, lineal o ramificado, eventualmente sustituido con 1 a 12, preferentemente 1,2 o 3, átomos de carbono; y
n representa un número entero de 0 a 2, en particular 0.
Poliisocianatos (i)
En una forma de realización especialmente preferente, en el caso de la unidad estructural Z se trata de un resto que se deriva de un poliisocianato. Como poliisocianatos adecuados se usan los poliisocianatos alifáticos o cicloalifáticos en sí conocidos por el experto de una funcionalidad NCO de preferentemente > 2. Éstos pueden presentar también estructuras uretdiona, uretano, alofanato, isocianurato, iminooxadiazindiona y/o biuret.
Los poliisocianatos mencionados anteriormente se basan a este respecto en di- o bien triisocianatos en sí conocidos por el experto con grupos isocianato unidos de manera alifática y/o cicloalifática, siendo insignificante si éstos se prepararon usando fosgeno o según procedimientos libres de fosgeno. Ejemplos de tales di- o bien triisocianatos son 1.4- diisocianatobutano, 1,5-diisocianatopentano, 1,6-diisocianatohexano (HDI), 2-metil-1,5-diisocianatopentano, 1,5-diisocianato-2,2-dimetilpentano, 2,2,4- o bien 2,4,4-trimetil-1,6-diisocianatohexano, 1,10-diisocianatodecano, 1,3- y 1.4- diisocianatociclohexano, 1,3- y 1,4-bis-(isocianatometil)-ciclohexano, 1-isocianato-3,3,5-trimetil-5-isocianatometilciclohexano (isoforondiisocianato, IPDI), 4,4’-diisocianatodiciclohexilmetano (Desmodur® W, Bayer AG, Leverkusen, DE), 4-isocianatometil-1,8-octandiisocianato (triisocianatononano, TIN), diisocianato-1,3-dimetilciclohexano (H6XDI), 1-isocianato-1-metil-3-isocianatometilciclohexano, 1-isocianato-1-metil-4-isocianatometilciclohexano, bis-(isocianatometil)-norbornano, así como mezclas discrecionales de los compuestos mencionados.
De manera especialmente preferente presentan los poliisocianatos a este respecto una funcionalidad NCO promedio de 2,0 a 5,0, de manera muy especialmente preferente de 2,3 a 4,5 y preferentemente un contenido en grupos isocianato del 5,0 % al 50,0 % en peso, de manera especialmente preferente del 5,0 % al 30,0 % en peso.
De manera especialmente preferente, los poliisocianatos del tipo mencionado anteriormente se basan en pentandiisocianato, hexametilendiisocianato, isoforondiisocianato, los bis-(4,4’-isocianatociclohexil)metanos isoméricos, sus mezclas así como dímeros de uretdiona, trímeros de isocianurato y de iminooxadiazindiona de estos poliisocianatos.
Los compuestos modificados con silano de fórmula (II), en la que Z se deriva de un poliisocianato (i), pueden prepararse ventajosamente según el siguiente procedimiento de dos etapas:
En primer lugar se gotea preferentemente un exceso del éster alquílico de ácido fórmico R’O-CHO a la amina H2NR1-Si(R2)n(OR3)3-n, en el que R’ representa preferentemente un grupo alquilo con 1 a 4 átomos de carbono y R1, R2 , R3 y n son tal como se ha definido anteriormente. Se prefiere especialmente como éster alquílico de ácido fórmico R’O-CHO formiato de metilo o formiato de etilo. Preferentemente se hace reaccionar 1 mol de amina con un exceso de 1,01 a 6 mol de éster alquílico de ácido fórmico R’O-CHO, de manera especialmente preferente de 1,05 a 4 mol, a la temperatura de ebullición del éster etílico de ácido fórmico. Tras finalizar la reacción se separa por destilación el éster alquílico de ácido fórmico R’O-CHO en exceso y el alcohol R’-OH producido por medio de destilación de capa fina y eventualmente se separa por filtración el formamidasilano (secundario) producido OHC-HN-R1-Si(R2)n(OR3)3-n.
A continuación se hace reaccionar el formamidasilano (secundario) con un poliisocianato de fórmula Z-NCO, preferentemente en condiciones inertes, a temperaturas de 20 a 200 °C, preferentemente de 40 a 160 °C. A este
respecto se usan los dos componentes en una relación en equivalentes de grupos isocianato con respecto a grupos formamida de al menos 1 : 10 a como máximo 40 : 1, preferentemente de 1 : 5 a como máximo 30 : 1 y de manera especialmente preferente de 1 : 2 a como máximo 25 : 1. La reacción puede realizarse en solución o de manera libre de disolventes en sustancia. Dependiendo de la estequiometría de la reacción, el producto que contiene grupos formamidasilano (terciario) de fórmula (II) puede contener aún grupos isocianato libres.
La preparación de los compuestos con la fórmula (II), en la que Z es un (i) poliisocianato, puede realizarse sin el uso de catalizadores. Eventualmente pueden añadirse para la aceleración de la reacción sin embargo también catalizadores conocidos. Por ejemplo pueden usarse aminas terciarias, tal como por ejemplo trietilamina, tributilamina, diciclohexilmetilamina, dimetil-ciclohexilamina, N,N,N',N'-tetrametildiaminodietiléter, bis-(dimetilaminopropil)-urea, N-metil- o bien N-etilmorfolina, N-cocomorfolina, N-ciclohexilmorfolina, N,N,N',N'-tetrametiletilendiamina, N,N,N',N'-tetrametil-1,3-butanodiamina, N,N,N',N'-tetrametil-1,6-hexanodiamina, pentametildietilentriamina, N-metilpiperidina, N-dimetil-aminoetilpiperidina, N,N'-dimetilpiperazina, N-metil-N'-dimetilaminopiperazina, 1,2-dimetilimidazol, 2-metilimidazol, N,N-dimetilimidazol-l3-feniletilamina, 1,4-diazabiciclo-(2,2,2)-octano (DABCO) y adipato de bis-(N,N-dimetilaminoetilo), amidinas, tal como por ejemplo 1,5-diazabiciclo[4.3.0]noneno (Db N), 1,8-diazabiciclo(5.4.0)undeceno-7 (Db U) y 2,3-dimetil-3,4,5,6-tetrahidropirimidina, compuestos de alcanolamina, tal como por ejemplo trietanolamina, triisopropanolamina, N-metildietanolamina, N-etildietanolamina, dimetilaminoetanol y 2-(N,N-dimetilaminoetoxi)etanol, N,N',N”-tris-(dialquilaminoalquil)hexahidrotriazinas, tal como por ejemplo N,N',N”-tris-(dimetilaminopropil)-s-hexahidrotriazina, bis(dimetilaminoetil)éter así como sales de metal, tal como por ejemplo compuestos inorgánicos y/u orgánicos del hierro, plomo, bismuto, cinc y/o estaño en estados de oxidación habituales del metal, por ejemplo cloruro de hierro(II), cloruro de hierro(IN), 2-etilhexanoato de bismuto(IN), octoato de bismuto(III), neodecanoato de bismuto(IN), cloruro de cinc, 2-etilcaproato de cinc, trifluorometanosulfonato de cinc(II) (triflato de cinc), octoato de estaño(II), etilcaproato de estaño(II), palmitato de estaño(II), dilaurato de dibutilestaño(IV) (DBTL), dicloruro de dibutilestaño(IV) u octoato de plomo.
Los catalizadores que van a usarse preferentes son aminas terciarias, amidinas y compuestos de estaño o bien compuestos de cinc del tipo mencionado. Los catalizadores especialmente preferentes son 1,4-diazabiciclo-(2,2,2)-octano (DABCO), 1,5-diazabiciclo[4.3.0]noneno (DBN), 1,8-diazabiciclo(5.4.0)undeceno-7 (DBU) así como dilaurato de dibutilestaño(IV) (DBTL) y trifluorometanosulfonato de cinc-(II) (triflato de cinc).
Los catalizadores mencionados anteriormente, a modo de ejemplo pueden usarse en la reacción de manera individual o en forma de mezclas discrecionales y se usan a este respecto, en caso de que se usen, en cantidades del 0,001 % al 1,0 % en peso, preferentemente del 0,01 % al 0,5 % en peso, calculado como cantidad total de catalizadores usados, con respecto a la cantidad total de los compuestos de partida usados.
El desarrollo de la reacción puede seguirse mediante por ejemplo determinación titulométrica del contenido en NCO. Tras conseguir el contenido en NCO pretendido se interrumpe la reacción.
Los compuestos modificados con silano, así obtenidos de fórmula (II), en la que Z se deriva de un poliisocianato (i), representan productos transparentes, prácticamente incoloros que dependiendo de los materiales de partida seleccionados representan líquidos de baja a alta viscosidad y presentan contenidos residuales de diisocianatos de partida monoméricos inferiores al 1,0 % en peso, preferentemente inferiores al 0,5 % en peso, de manera especialmente preferente inferiores al 0,3 % en peso, con respecto a la masa total del producto de reacción.
Los contenidos residuales en NCO eventualmente aún detectables pueden capturarse mediante adición de metanol. Para impedir una reticulación antes de tiempo de los grupos silano de los compuestos de fórmula (II) durante la preparación de acuerdo con la invención, puede ser ventajosa la adición de captadores de agua. Por ejemplo pueden usarse ésteres orto-fórmicos, tal como por ejemplo ortoformiato de trietilo, vinilsilanos, tal como por ejemplo viniltrimetoxisilano, o fosfatos orgánicos, tal como por ejemplo fosfato de dibutilo. Los captadores de agua se usan, en caso necesario, en cantidades de hasta el 5 % en peso, preferentemente hasta el 2 % en peso, con respecto a la cantidad total de los materiales de partida.
En el caso de que se usen catalizadores y/o captadores de agua, pueden añadirse éstos a los compuestos de partida ya al inicio de la verdadera reacción. Sin embargo es también posible añadir estos coadyuvantes a la mezcla de reacción en un momento discrecional durante la reacción.
En una forma de realización preferente, el procedimiento descrito en el presente documento tiene lugar bajo atmósfera de gas protector, tal como por ejemplo nitrógeno.
Prepolímero de poliuretano que contiene NCO (ii)
En otra forma de realización, en el caso de la unidad estructural Y se trata de un resto que se deriva de un prepolímero que lleva grupos isocianato. Éste puede ser en particular un prepolímero de poliuretano. La preparación de acuerdo con la invención del prepolímero de poliuretano que lleva grupos isocianato Y-NCO incluye la reacción de uno o varios poliisocianatos ya mencionados con uno o varios polioles.
La preparación de los compuestos modificados con silano de acuerdo con la invención de fórmula (II), en la que Z se deriva de un prepolímero de poliuretano que contiene NCO (ii), se realiza básicamente de manera y modo conocidos por la química de poliuretano. A este respecto se hacen reaccionar los polioles (de manera individual o como mezcla) con un exceso del poliisocianato (de manera individual o como mezcla) eventualmente en presencia de un catalizador y/o de coadyuvantes y aditivos. La mezcla de reacción homogénea se agita hasta la obtención de un valor de nCo constante. A continuación puede separarse eventualmente poliisocianato que no ha reaccionado mediante destilación continua. En los ejemplos de acuerdo con la invención se describe un prepolímero que se usa posteriormente sin otra separación de poliisocianatos monoméricos.
Por un procedimiento de destilación continuo se entiende en el presente documento un procedimiento, en el que solo una respectiva cantidad parcial del prepolímero de la etapa de procedimiento descrita anteriormente se somete brevemente a una temperatura elevada, mientras que la cantidad que aún no se encuentra en el proceso de destilación permanece a una temperatura claramente más baja. Como temperatura elevada ha de entenderse a este respecto la temperatura necesaria para la evaporación de las partes constituyentes volátiles con una presión seleccionada de manera correspondiente.
Preferentemente se realiza la destilación a una temperatura inferior a 170 °C, de manera especialmente preferente de 110 a 170 °C, de manera muy especialmente preferente de 125 a 145 °C y con presiones inferiores a 2 kPa, de manera especialmente preferente inferiores a 1 kPa, de manera muy especialmente preferente con de 0,01 a 0,5 kPa.
Preferentemente, la temperatura de la cantidad que aún no se encuentra en el proceso de destilación de la mezcla de reacción que contiene prepolímero asciende a de 0 °C a 60 °C, de manera especialmente preferente de 15 °C a 40 °C y de manera muy especialmente preferente a de 20 °C a 40 °C.
Preferentemente, la diferencia de temperatura entre la temperatura de destilación y la temperatura de la cantidad que no se encuentra aún en el proceso de destilación de la mezcla de reacción que contiene prepolímero asciende a al menos 5 °C, de manera especialmente preferente a al menos 15 °C, de manera muy especialmente preferente a 15 °C a 40 °C.
Preferentemente se conduce la destilación con una velocidad tal que un incremento de volumen de la mezcla de reacción que contiene prepolímero que va a destilarse se expone durante menos de 10 min, de manera especialmente preferente menos de 5 min a la temperatura de destilación y a continuación se lleva eventualmente mediante enfriamiento activo de nuevo a la temperatura de partida de la mezcla de reacción que contiene prepolímero antes de la destilación. Preferentemente, la carga de temperatura realizada a este respecto es de manera que la temperatura de la mezcla de reacción antes de la destilación o bien del prepolímero tras la destilación es en comparación con la temperatura de destilación aplicada al menos 5 °C, de manera especialmente preferente al menos 15 °C, de manera muy especialmente preferente de 15 °C a 40 °C más alta.
Las técnicas de destilación continuas preferentes son destilación de vía corta, de película descendente y/o de capa fina (véase para ello por ejemplo Chemische Technik, Wiley-VCH, tomo 1, 5a edición, páginas 333-334).
Preferentemente se usa como técnica de destilación continua la destilación de capa delgada con los parámetros mencionados anteriormente.
El procedimiento para la preparación del prepolímero de poliuretano que contiene NCO puede realizarse de manera no catalizada. Para la aceleración de la reacción de uretanización pueden usarse de manera conjunta eventualmente sin embargo también catalizadores habituales en la química de isocianato. Los catalizadores adecuados se han descrito ya anteriormente para la preparación.
Los catalizadores especialmente preferentes son 1,4-diazabiciclo-(2,2,2)-octano (DABCO), 1,5-diazabiciclo[4.3.0]noneno (DBN), 1,8-diazabiciclo(5.4.0)undeceno-7 (DBU) así como dilaurato de dibutilestaño(IV) (DBTL).
El prepolímero de poliuretano que contiene NCO así obtenido puede hacerse reaccionar entonces en una segunda etapa con el formamidasilano (secundario) OHC-HN-R1-Si(R2)n(OR3)3-n anteriormente descrito, remitiéndose en este caso al procedimiento descrito anteriormente para la preparación de los poliisocianatos modificados con formamidasilano.
En un modo de conducción alternativo puede hacerse reaccionar también el formamidasilano (secundario) OHC-HN-R1-Si(R2)n(OR3)3-n en primer lugar con un poliisocianato, haciéndose reaccionar solo una fracción de los grupos isocianato. Los isocianatos restantes se hacen reaccionar entonces en una segunda etapa con los polioles descritos anteriormente en una reacción de uretanización. La reacción se realiza a temperaturas de 20 °C a 200 °C, preferentemente de 40 °C a 160 °C. A este respecto se mantiene una relación en equivalentes de grupos isocianato con respecto a grupos hidroxilo de 0,7 : 1 a 1,2 : 1, preferentemente de 0,8 : 1 a 1,1 :1, de manera especialmente preferente de 0,9 : 1 a 1,05 : 1.
Significados de sustituyentes preferentes en la fórmula (I) o bien fórmula (II)
Se prefieren en la fórmula (I) o bien la fórmula (II) los siguientes significados de sustituyentes: R1 representa metileno (-CH2-), etileno o propileno (en particular n-propileno, es decir -CH2CH2CH2-); R2 y R3 representan en cada caso independientemente entre sí -metilo o -etilo, preferentemente -metilo, y n representa un número entero de 0 a 2, preferentemente n es cero.
Se prefieren especialmente en la fórmula (I) o bien la fórmula (II) los siguientes significados de sustituyentes: R1 representa n-propileno; R2 y R3 representan en cada caso independientemente entre sí -metilo o -etilo; y n representa un número entero de 0 a 2.
Aplicación y sustratos
Las composiciones de agente de revestimiento de acuerdo con la invención se usan naturalmente para el revestimiento de sustratos. En particular se usan en el lacado de vehículos y preferentemente en el lacado primario de automóviles.
Habitualmente se preparan lacas de 2 componentes, que se mezclan directamente antes del lacado. En particular debe evitarse debido a ello que el silano pueda reaccionar ya antes con grupos OH, lo que conduce a la hidrólisis. El lacado primario de automóviles se realiza habitualmente a temperatura ambiente, seguido de un proceso secado al horno en el intervalo de alta temperatura (120 °C a 140 °C). La composición de agente de revestimiento de acuerdo con la invención se aplica a este respecto preferentemente mediante aplicación por inyección electrostática: en este procedimiento se carga electrostáticamente tanto la carrocería como también la laca que va a aplicarse. La aplicación en la fábrica de automóviles se realiza entonces habitualmente por medio de robots con campanas de alta rotación, que generan gotas extremadamente pequeñas que se desarrollan entonces como laca.
También es posible usar composiciones de agente de revestimiento de acuerdo con la invención para el lacado de reparación. Éste se realiza normalmente mediante aplicación con copa de alimentación por gravedad con aire guía y posterior secado a baja temperatura (temperatura ambiente a 60 °C durante un espacio de tiempo de 1 a 3 h). La condición previa para ello es una composición de agente de revestimiento más reactiva, pudiéndose amentar la reactividad por ejemplo mediante más catalizador y catalizadores más activos y mediante el uso de grupos protectores de silanol que pueden hidrolizarse rápidamente (en particular grupos metoxi).
Los agentes de revestimiento de acuerdo con la invención pueden aplicarse además mediante las técnicas habituales sobre los más diversos sustratos, tal como por ejemplo mediante inyección, laminación, racleado, vertido, pulverización, extensión, impregnación, inmersión o mediante técnicas de impresión tal como serigrafía, impresión en huecograbado, impresión flexográfica o impresión offset así como mediante procedimientos de transferencia. Los sustratos adecuados son por ejemplo madera, metal, en particular también metal tal como se usa en las aplicaciones del denominado lacado de alambres, de bobinas, de latas o de recipientes, además plástico también en forma de láminas, en particular ABS, AMMA, ASA, CA, CAB, EP, UF, CF, MF, MPF, PF, PAN, PA, PE, HDPE, LDPE, LLDPE, UHMWPE, PET, PMMA, PP, PS, SB, PUR, PVC, RF, SAN, PBT, PPE, POM, PUR-RIM, SMC, BMC, PP-EPDM y UP (denominaciones abreviadas según la norma DIN 7728T1) o bien bloques y combinaciones de estos plásticos, papel, cuero, materiales textiles, fieltro, vidrio, madera, materias derivadas de la madera, corcho, sustratos unidos de manera inorgánica tal como placas de madera y de fibrocemento, grupos de construcción electrónicos o bases minerales. Los sustratos sensibles al calor no pueden tratarse con altas temperaturas y requieren por tanto un curado en el intervalo de baja temperatura (de temperatura ambiente hasta aprox. 50 °C o 80 °C) y por tanto una composición de agente de revestimiento reactiva de manera correspondiente.
Pueden lacarse también sustratos que están constituidos por distintos materiales de los materiales mencionados anteriormente, o sustratos ya revestidos. También es posible aplicar los agentes de revestimiento solo de manera temporal sobre un sustrato, entonces curarlos parcial o completamente y eventualmente desprenderlos de nuevo para fabricar por ejemplo láminas. En particular son adecuados los agentes de revestimiento de acuerdo con la invención para su uso en el lacado de vehículos, en particular carrocerías de automóviles o piezas de montaje, preferentemente en forma de lacas transparentes.
Los espesores de capa aplicados (antes del curado) se encuentran normalmente entre 0,5 y 5000 |im, preferentemente entre 5 y 1500 |im, de manera especialmente preferente entre 15 y 1000 |im.
Los sustratos de metal adecuados pueden fabricarse en general a partir de todos los metales o bien aleaciones de metal habituales en el campo. Preferentemente se usan metales, tal como por ejemplo aluminio, acero inoxidable, acero, titanio, metales que contienen hierro y aleaciones, tal como son habituales en particular en la construcción de automóviles.
Los sustratos por su parte normalmente están lacados previamente, y de manera concreta normalmente en primer lugar con una laca de electrodeposición, una carga (hidrocarga o carga de disolvente - existen sin embargo también sistemas libres de carga) y con una laca base. En el caso de que el agente de revestimiento de acuerdo con la invención sea una laca de cubrición pigmentada, se suprime eventualmente la aplicación de laca base.
Eventualmente puede ser también necesario o al menos conveniente tratar previamente las superficies de los sustratos que van a revestirse mediante un procedimiento físico, químico y/o fisicoquímico, por ejemplo mediante fosfatación o (en el caso del repintado) mediante pulido inicial.
Además, los sustratos que van a revestirse pueden tener cualquier forma discrecional que sea necesaria para la respectiva aplicación. Es decir, pueden lacarse sustratos tridimensionales discrecionales con la composición de agente de revestimiento no acuosa, de acuerdo con la invención, en particular y preferentemente carrocerías de automóviles o partes de la misma.
Parte experimental
Los siguientes ejemplos sirven para la explicación de la presente invención, sin embargo no deben entenderse de ningún modo como limitación del área de protección.
Todas las indicaciones de porcentaje se refieren, siempre que no se indique de manera diferente, al peso.
La determinación de los contenidos en NCO en % se realizó de manera titulométrica según la norma DIN EN ISO 11909.
Los índices de OH se determinaron de manera titulométrica según la norma DIN 53240-2: 2007-11, los índices de acidez según la norma DIN 3682 5. Los contenidos en OH indicados se calcularon a partir de los índices de OH determinados analíticamente.
Los contenidos en monómeros residuales se midieron según la norma DIN EN ISO 10283 mediante cromatografía de gases con patrón interno.
Los pesos moleculares se determinaron mediante cromatografía de permeación en gel según la norma DIN 55672-1 (Cromatografía de permeación en gel (CPG) - parte 1: tetrahidrofurano (THF) como eluyente) frente a patrón de poliestireno, con la modificación d que se trabajó con una velocidad de flujo de 0,6 ml/min en lugar de 1,0 ml/min. Todas las mediciones de la viscosidad se realizaron con un reómetro Physica MCR 51 de la empresa Anton Paar Germany GmbH (DE) según la norma DIN EN ISO 3219.
Rayado: la prueba del rayado se realizó en la estructura completa. Para ello, antes de la aplicación de la laca transparente se revistió el material de placa con una hidrocarga 1K-OEM y una hidrolaca base 1K-OEM. La carga se secó al horno durante 20 minutos a 165 °C, la laca base se dejó evapora durante 10 minutos a 80 °C o bien se secó previamente. A continuación se aplicó la laca transparente y se secó al horno durante 30 min a 140 °C.
Amortiguamiento de péndulo: la medición del amortiguamiento de péndulo se realizó según la norma DIN EN ISO 1522 sobre una placa de vidrio y se determinó según Konig.
Estabilidad frente a disolventes: para ello se llevó una pequeña cantidad de los correspondientes disolventes (xileno, 1-metoxipropilacetato-2, acetato de etilo o acetona) a un tubo de ensayo y se dotó de una torunda en la abertura, de modo que se produjo una atmósfera saturada con disolvente dentro del tubo de ensayo. Los tubos de ensayo se llevaron a continuación con la torunda sobre la superficie de laca y permanecieron allí durante 5 min. Tras el secado del disolvente se comprobó la película para determinar el destrozo/ablandamiento/pérdida de adherencia. (0= ninguna modificación, 5= película destrozada)
Estabilidad frente al rayado en húmedo: la estabilidad frente al rayado en húmedo se sometió a prueba por medio de una instalación de lavado de laboratorio según la norma DIN EN ISO20566. Se indica la pérdida de brillo en unidad de brillo, Gloss Units (GU) tras el rayado (10 ciclos). La medición de brillo se realizó de manera reflectométrica. Cuanto más baja sea la pérdida de brillo en GU, más resistente es el revestimiento frente al rayado en húmedo. Estabilidad frente al rayado en seco: el lado plano de un martillo (peso 800 g) se cubrió con lana de acero o papel de pulir. El martillo se colocó cuidadosamente en ángulo recto sobre el revestimiento y, sin ladear y sin fuerza corporal adicional, se condujo en una traza de manera uniforme por el revestimiento. Se realizaron 10 carreras dobles. El brillo residual se midió en 3 sitios distintos de manera transversal a la dirección de rayado. La medición de brillo se realizó de manera reflectométrica. Cuanto más baja sea la pérdida de brillo en GU, más resistente es el revestimiento frente al rayado en húmedo.
Ejemplos de síntesis
Síntesis de los formamidasilanos secundarios como compuestos precursores
Ejemplo de síntesis 1: N-(3-trimetoxisililpropil)formamida
En un matraz con termómetro, agitador KPG, refrigerador con reflujo y embudo de goteo se disponen bajo atmósfera de nitrógeno a temperatura ambiente 1075,8 g (6 mol) de 3-aminopropiltrimetoxisilano. Con agitación se añaden gota a gota 378,6 g (6,3 mol) de formiato de metilo, de modo que no se sobrepasen 50 °C. Tras disminuir la
exotermia se agita posteriormente durante 4 horas a temperatura ambiente y a continuación con presión reducida (0,01 kPa a 50 °C) se separa por destilación el formiato de metilo en exceso y el alcohol metílico producido. Se obtiene un líquido incoloro con una viscosidad de 11 mPas a 23 °C.
Ejemplo de síntesis 2: N-(3-metildimetoxisililpropil)formamida
En un matraz con termómetro, agitador KPG, refrigerador con reflujo y embudo de goteo se disponen bajo atmósfera de nitrógeno a temperatura ambiente 99,6 g (0,6 mol) de 3-aminopropilmetildimetoxisilano. Con agitación se añaden gota a gota 40,3 g (0,67 mol) de formiato de metilo, de modo que no se sobrepasen 50 °C. Tras disminuir la exotermia se agita posteriormente durante 4 horas a temperatura ambiente y a continuación con presión reducida (0,01 kPa a 50 °C) se separa por destilación el formiato de metilo en exceso y el alcohol metílico producido. Se obtiene un líquido incoloro.
Ejemplo de síntesis 3: N-(3-trietoxisililpropil)formamida
En un matraz con termómetro, agitador KPG, refrigerador con reflujo y embudo de goteo se disponen bajo atmósfera de nitrógeno a temperatura ambiente 221,4 g (1 mol) de 3-aminopropiltrietoxisilano. Con agitación se añaden gota a gota 77,8 g (1,05 mol) de formiato de etilo, de modo que no se sobrepasen 50 °C. Tras disminuir la exotermia se agita posteriormente durante 4 horas a temperatura ambiente y a continuación con presión reducida (0,01 kPa a 80 °C) se separa por destilación el formiato de etilo en exceso y el alcohol etílico producido. Se obtiene un líquido incoloro con una viscosidad de 13 mPas a 23 °C.
Ejemplo de síntesis 4: N-(3-metildietoxisililpropil)formamida
En un matraz con termómetro, agitador KPG, refrigerador con reflujo y embudo de goteo se disponen bajo atmósfera de nitrógeno a temperatura ambiente 497,9 g (2,6 mol) de 3-aminopropilmetildietoxisilano. Con agitación se añaden gota a gota 212,1 g (2,8 mol) de formiato de etilo, de modo que no se sobrepasen 50 °C. Tras disminuir la exotermia se agita posteriormente durante 4 horas a temperatura ambiente y a continuación con presión reducida (0,01 kPa a 80 °C) se separa por destilación el formiato de etilo en exceso y el alcohol etílico producido. Se obtiene un líquido incoloro con una viscosidad 12 mPas a 23 °C.
Síntesis de los compuestos modificados con silano, que contienen al menos un grupo formamidasilano terciario de fórmula general (I) o bien (II):
Ejemplo de síntesis 5 - STP libre de NCO de fórmula (II)
En un matraz con termómetro, agitador KPG, refrigerador con reflujo y embudo de goteo se dispusieron bajo atmósfera de nitrógeno 201,6 g (1,2 mol) de hexametilendiisocianato (HDI) y se calentaron hasta 65 °C. Se añadieron 54 mg de trifluorometanosulfonato de cinc y se añadieron gota a gota en el intervalo de 75 min 248,8 g de N-(3-trimetoxisililpropil)formamida (1,2 mol, preparación de acuerdo con el ejemplo de síntesis 1 -) a 65 °C. Se agitó en total durante 12,5 h a 65 °C, añadiéndose tras un tiempo de agitación de 8 h aún 54 mg de trifluorometanosulfonato de cinc. La concentración de grupos isocianato libres ascendía tras finalizar el tiempo de reacción indicado al 11,1 % (teór. 11,2 %). La mezcla de reacción se calentó hasta 85 °C y a esta temperatura se añadieron en el intervalo de 1 h 87,6 g (0,6 mol) de 2,2,4-trimetilpentanodiol-1,3. Tras un tiempo de agitación durante 3 h a 85 °C se añadieron a la mezcla de reacción 230,0 g de MPA para reducir la viscosidad de la mezcla de reacción. Tras un tiempo de agitación posterior durante otras 5,5 h se finalizó la reacción, dado que de acuerdo con IR ya no pudieron detectarse grupos NCO libres. Se obtiene un líquido transparente con un contenido en polímero del 69 % y una viscosidad de 297 mPas a 23 °C.
El contenido en Si elemental en esta formulación asciende al 4,4 % en peso y es una medida del contenido en grupos trimetoxisilano con capacidad de reticulación.
Ejemplo de síntesis 6 - STP que contiene NCO de fórmula (II)
En este ejemplo de síntesis se hacen reaccionar parcialmente los grupos NCO de Desmodur® N 3900 con un formamidasilano. El STP resultante contiene tanto grupos NCO como también grupos silano y actúa como sistema híbrido, es decir puede reticular tanto a través de sus grupos NCO como también a través de sus grupos silano: En un matraz con termómetro, agitador KPG, refrigerador con reflujo y embudo de goteo se dispusieron bajo atmósfera de nitrógeno 536,2 g de Desmodur® N 3900 y 91 mg de trifluorometanosulfonato de cinc y se calentaron hasta 100 °C. A esta temperatura se añadieron gota a gota en el intervalo de 1 h 373,1 g de N-(3-trimetoxisililpropil)formamida (1,8 mol, preparación de acuerdo con el ejemplo de síntesis 1). Se agitó posteriormente a 100 °C durante otras 3 h, hasta que el contenido en grupos NCO libres había disminuido al 4,8 %. La mezcla de reacción se mezcló con 114 g de acetato de butilo y 114 g de disolvente nafta 100 y se enfrió hasta temperatura ambiente.
Se obtuvo un líquido transparente con un contenido en polímero del 80 % y una viscosidad de 1030 mPas.
El contenido en Si elemental en esta formulación asciende al 4,4 % en peso y es una medida del contenido en grupos trimetoxisilano con capacidad de reticulación.
Ejemplo de síntesis 7: ejemplo de comparación con respecto al ejemplo de síntesis 5 - no de acuerdo con la invención. STP libre de NCO de fórmula (II): Uso de 1-mercaptopropil-3-trimetoxisilano en lugar del formamidasilano (secundario) de acuerdo con la invención del ejemplo de síntesis 1
En un matraz con termómetro, agitador KPG, refrigerador con reflujo y embudo de goteo se dispusieron bajo atmósfera de nitrógeno 604,8 g de hexametilendiisocianato (3,6 mol) y se calentaron hasta 85 °C. A esta temperatura se añadieron en porciones en el intervalo de 1 h 262,8 g de 2,2,4-trimetil-1,3-pentanodiol (1,8 mol), hasta que la mezcla de reacción contenía un contenido en grupos isocianato del 17,1 % en peso. La mezcla de reacción se diluyó con 230,0 g de 1-metoxi-2-propilacetato (MPA) y se ajustó hasta 55 °C. A esta temperatura se añadieron en primer lugar 160 mg de 1,4-diazabiciclo[2.2.2]octano (DABCO) a la mezcla de reacción, después se añadieron a una temperatura de 50-55 °C 759,9 g de 3-mercaptopropiltrimetoxisilano (al 95 %, 3,68 mol) a la mezcla de reacción. Se agitaron posteriormente durante 4,5 horas a 50 °C, hasta que el contenido de los grupos isocianato de acuerdo con la espectroscopia IR había disminuido hasta cero. La mezcla de reacción se diluyó con otros 460 g de MPA. Se obtuvo un material con un contenido en polímero del 68 % en peso y una viscosidad de 364 mPas a 23 °C.
El contenido en Si elemental en esta formulación asciende al 4,4 % en peso y es una medida del contenido en grupos trimetoxisilano con capacidad de reticulación.
Ejemplo de síntesis 8: ejemplo de comparación con respecto al ejemplo de síntesis 6 - no de acuerdo con la invención. STP que contiene NCO de fórmula (II): Uso de 1-mercaptopropil-3-trimetoxisilano en lugar del formamidasilano (secundario) de acuerdo con la invención del ejemplo de síntesis 1
En este ejemplo de síntesis se hacen reaccionar parcialmente los grupos NCO de Desmodur® N 3900 con un mercaptosilano. El STP resultante contiene tanto grupos NCO como también grupos silano y actúa como sistema híbrido, es decir puede reticular tanto a través de sus grupos NCO como también a través de sus grupos silano: En un matraz con termómetro, agitador KPG, refrigerador con reflujo y embudo de goteo se dispusieron bajo atmósfera de nitrógeno 536,2 g de Desmodur® N 3900 y 90 mg de 1,4-diazabiciclo[2.2.2]octano (DABCO) y se calentaron hasta 82 °C. A esta temperatura se añadieron gota a gota en el intervalo de 1 h 371,0 g de 3-mercaptopropiltrimetoxisilano (al 95 %, 1,80 mol). La mezcla de reacción se agitó posteriormente tras este tiempo de adición gota a gota aún durante otras 3 horas a 82 °C, hasta que el contenido de los grupos NCO había disminuido hasta el 5,1 % en peso. A una temperatura de 82 °C se añadieron después 114 g de acetato de butilo y 114 g de disolvente nafta y se enfriaron hasta temperatura ambiente. Se obtuvo un poliisocianato silanizado con un contenido en polímero del 80 % en peso y una viscosidad de 518 mPas a 23 °C.
El contenido en Si elemental en esta formulación asciende al 4,4 % en peso y es una medida del contenido en grupos trimetoxisilano con capacidad de reticulación.
Ejemplos de realización y ejemplos de comparación
Ejemplo de realización y ejemplo de comparación 1
El STP de fórmula (II) preparado en el ejemplo de síntesis 5 se formuló para obtener una composición de agente de revestimiento de acuerdo con la invención tal como sigue y se comparó con una composición libre de formamidasilano con el mismo grado de reticulación y la misma proporción de resina sólida. Dado que la formulación de comparación no contenía grupos silano, se suprimió también el catalizador (D).
(continuación)
Las presentes formulaciones de prueba están calculadas de modo que el poliol (A) y el poliisocianato (C) se reticulen de manera equimolar, ya que el STP de ejemplo de síntesis 5 ya no presenta grupos isocianato libres.
La cantidad de adición del agente de nivelación (E) se seleccionó de modo que, con respecto a la proporción de resina sólida (contenido en sólido) de la formulación total, esté presente la misma proporción de agente de nivelación.
Por ejemplo se proporciona Desmodur® N 3390 como solución al 90 % en acetato de butilo (BA).
La preparación de los agentes de revestimiento se realizó mezclándose los aglutinantes con los demás componentes y agitándose a temperatura ambiente. Para el ajuste de la viscosidad de inyección se usó una mezcla de 1-metoxipropilacetato-2 / disolvente nafta 100 (1:1). Las cantidades de disolvente se seleccionaron de modo que las viscosidades de inyección del ejemplo de realización 1 y ejemplo de comparación 1 fueran iguales. La viscosidad de inyección ajustada se refiere al tiempo de derrame en el vaso ISO, boquilla de 5 mm (DIN EN ISO 2431) y asciende en este y todos los otros ensayos a 30 segundos.
Para la comprobación de propiedades técnicas de aplicación relevantes se sometieron a ensayo las formulaciones del ejemplo de realización 1 y ejemplo de comparación 1 sucesivamente según el mismo procedimiento (ejemplo de aplicación del lacado primario de automóviles).
La siguiente tabla muestra los resultados de la prueba técnica de aplicación en comparación:
(comparación)
Ejemplo de realización 2 y ejemplo de comparación 2
El STP de fórmula (II) preparado en el ejemplo de síntesis 6 se formuló para obtener una composición de agente de revestimiento de acuerdo con la invención tal como sigue y como en el ejemplo de realización 1 y ejemplo de comparación 1 se comparó con una composición sin grupos formamidasilano terciarios con el mismo grado de reticulación y la misma proporción de resina sólida:
(continuación)
Las presentes formulaciones de prueba se calcularon de modo que el poliol (A) y el STP (B) o bien el poliisocianato (C) se reticulen de manera equimolar.
De manera análoga al ejemplo de realización 1 y ejemplo de comparación 1 se prepararon de nuevo muestras de laca y se compararon entre sí según los procedimientos allí indicados. El resultado lo muestra la siguiente tabla.
A partir de las tablas anteriores se observa que los sustratos lacados con agentes de revestimiento que contienen grupos formamidasilano terciarios de acuerdo con la invención presentan una estabilidad frente a distintos disolventes claramente mejorada en comparación con los ejemplos de comparación que no contenían compuestos
modificados con formamidasilano de fórmula (II), así como una estabilidad frente al rayado mejorada (en seco y en húmedo).
Ejemplo de realización 3 y ejemplo de comparación 3
El STP de fórmula (II) preparado en el ejemplo de síntesis 5 se formuló para obtener una composición de agente de revestimiento de acuerdo con la invención tal como sigue y se comparó con una formulación que contiene el STP del ejemplo de síntesis 7. La formulación corresponde al ejemplo de aplicación 1 y al ejemplo de comparación 1. El STP del ejemplo de síntesis 7 (ejemplo de comparación) es comparable estructuralmente al STP inventivo del ejemplo de síntesis 5, solo que los grupos silano se habían introducido no a través de los formamidasilanos secundarios, descritos anteriormente, sino mediante un 3-mercaptopropiltrimetoxisilano. Las dos formulaciones contienen la misma cantidad de grupos silano con capacidad de reticulación (véase indicación con respecto al contenido en silano en los ejemplos de síntesis 5 y 7). Los resultados técnicos de aplicación obtenidos permiten una comparación de la acción de sTp a base de los módulos de formamidasilano inventivos frente a un módulo de silano del estado de la técnica.
Las presentes formulaciones de prueba están calculadas de modo que el poliol (A) y el poliisocianato (C) se reticulen de manera equimolar, ya que los STP de los ejemplos de síntesis 5 y 7 ya no presentan grupos isocianato libres. Por el contrario se procede así tal como se describe en el ejemplo de realización 1 y ejemplo de comparación 1.
De manera análoga al ejemplo de realización 1 y ejemplo de comparación 1 se prepararon de nuevo muestras de laca y se compararon entre sí según los procedimientos allí indicados. El resultado lo muestra la siguiente tabla.
(continuación)
A partir de la tabla anterior se observa que los sustratos lacados con los agentes de revestimiento de acuerdo con la invención presentan una estabilidad frente al rayado en húmedo algo mejorada, sobre todo sin embargo una estabilidad frente al rayado en seco claramente mejorada en comparación con el ejemplo de comparación, que está constituido por STP que contienen mercaptosilano, lo que puede distinguirse en una pérdida de brillo claramente más baja. Además, el desarrollo de dureza del revestimiento de acuerdo con la invención llega más rápidamente en el punto final que la formulación de revestimiento que contiene el material de comparación, dado que ya no aumenta el amortiguamiento de péndulo.
Ejemplo de aplicación 4 y ejemplo de comparación 4
El STP de fórmula (II) que contiene isocianato preparado en el ejemplo de síntesis 6 se formuló para obtener una composición de agente de revestimiento de acuerdo con la invención tal como sigue y se comparó con una formulación que contiene el STP que contiene isocianato del ejemplo de síntesis 8. La formulación corresponde al ejemplo de aplicación 2 y al ejemplo de comparación 2. El STP del ejemplo de síntesis 8 es comparable estructuralmente al STP de acuerdo con la invención del ejemplo de síntesis 6, solo que los grupos silano se habían introducido no a través de los módulos de formamidasilano de acuerdo con la invención, sino mediante un 3-mercaptopropiltrimetoxisilano. Las dos formulaciones contienen la misma cantidad de grupos silano con capacidad de reticulación (véase indicaciones con respecto al contenido en silano en los ejemplos de síntesis 6 y 8). Los resultados técnicos de aplicación obtenidos permiten una comparación de la acción de los STP a base de los módulos de formamidasilano de acuerdo con la invención frente a un módulo de silano del estado de la técnica.
Las presentes formulaciones de prueba se calcularon de modo que el poliol (A) y el STP (B) o bien el poliisocianato (C) se reticulen de manera equimolar.
De manera análoga al ejemplo de realización 2 y ejemplo de comparación 2 se prepararon de nuevo muestras de laca y se compararon entre sí según los procedimientos allí indicados. El resultado lo muestra la siguiente tabla.
(continuación)
A partir de la tabla anterior se observa que los sustratos lacados con los agentes de revestimiento de acuerdo con la invención muestran un desarrollo de dureza claramente mejorado en comparación con el ejemplo de comparación, que está constituido por un STP que contiene mercaptosilano. Además se distingue que las estabilidades frente a disolventes del ejemplo de realización 4 de acuerdo con la invención están claramente mejoradas en comparación con el ejemplo de comparación 4.
Claims (15)
1. Composición de agente de revestimiento no acuosa, que contiene
(A) al menos un poliol (A),
(B) al menos un compuesto que contiene formamidasilano terciario de fórmula (I);
en la que en la fórmula (I) se aplica:
X representa un resto de molécula orgánico, en particular un resto de molécula orgánico alifático o alicíclico, lineal o ramificado, eventualmente sustituido;
R1 representa una unidad estructural alifática y/o alicíclica, lineal o ramificada, eventualmente sustituida, al menos divalente con 1 a 12 átomos de carbono, en el que uno o varios grupos metileno no adyacentes pueden estar sustituidos en cada caso por O o S;
R2 y R3 representan en cada caso independientemente entre sí un grupo alifático y/o alicíclico, lineal o ramificado, eventualmente sustituido con 1 a 12 átomos de carbono; y
n representa un número entero de 0 a 2;
(C) eventualmente uno o varios poliisocianatos alifáticos o cicloalifáticos libres de silano con grupos isocianato libres o bloqueados,
en la que al menos uno de los dos componentes (B) y (C) debe contener grupos isocianato libres o bloqueados; (D) al menos un catalizador para la reticulación de los grupos silano del componente (B);
(E) eventualmente uno o varios coadyuvantes de nivelación; y
(F) eventualmente uno o varios disolventes no acuosos.
2. Composición de agente de revestimiento según la reivindicación 1, en la que el componente (B) es un compuesto que contiene formamidasilano terciario de fórmula (II):
en la que en la fórmula (II) se aplica:
Z es un resto de molécula que está constituido por (i) un poliisocianato o (ii) un prepolímero de poliuretano que contiene NCO, en el que en (i) o (ii) por molécula está modificado al menos un grupo NCO de las estructuras mencionadas con un formamidasilano secundario, de modo que se produce un compuesto de fórmula (II); y R1, R2, R3y n son tal como se ha definido en la reivindicación 1.
3. Composición de agente de revestimiento según la reivindicación 2, en la que el componente que contiene formamidasilano terciario (B) es un prepolímero de poliuretano que no contiene otros grupos NCO libres o bloqueados.
4. Composición de agente de revestimiento según la reivindicación 2 o 3, en la que el componente que contiene formamidasilano terciario (B) es un prepolímero de poliuretano que está constituido por un prepolímero de poliuretano a base de hexametilendiisocianato (HDI) y un poliol, tal como 2,2,4-trimetilpentanodiol-1,3, en la que en el prepolímero de poliuretano están modificados todos los grupos NCO con un formamidasilano secundario, de modo que se produce un compuesto de fórmula (II).
5. Composición de agente de revestimiento según la reivindicación 1 o 2, en la que el componente (B) es un formamidasilano terciario de acuerdo con las fórmulas I o II, que representa un poliisocianato sustituido o no sustituido, alifático o alicíclico, reducido en al menos un grupo NCO a base de un representante seleccionado de tetrametilen-1,4-diisocianato, pentano-1,5-diisocianato, hexametilen-1,6-diisocianato, 2,2,4-trimetilhexano-1,6-diisocianato, etilendiisocianato, 1,12-dodecandiisocianato, 3-isocianatometil-3,5,5-trimetilciclohexilisocianato (isoforondiisocianato, IPDI) y mezclas de los poliisocianatos mencionados anteriormente, los bis-(4,4'-isocianatociclohexil)metanos isoméricos, así como sus mezclas, en la que los isocianatos se encuentran en cada
caso como monómero, dímero, trímero y/o un cuerpo base de poliisocianato obtenido mediante formación de uretano, biuret, uretdiona y/o alofanato.
6. Composición de agente de revestimiento según una de las reivindicaciones anteriores, en la que
(i) R1 representa un grupo propileno divalente (-CH2-CH2-CH2-),
R3 representa -metilo o -etilo y es n = 0; o
(ii) R1 representa un grupo propileno divalente (-CH2-CH2-CH2-); o
(iii) R2 y R3 representan en cada caso independientemente entre sí -metilo o -etilo; o
(iv) R1 representa un grupo hexileno divalente (-CH2CH2CH2CH2CH2CH2-).
7. Composición de agente de revestimiento según una de las reivindicaciones 1, 2, 5 y 6, en la que el componente que contiene formamidasilano terciario (B) presenta una funcionalidad NCO promedio de 2,0 a 5,0, preferentemente de 2,3 a 4,5 y tiene un contenido en grupos isocianato del 5,0 % al 50,0 % en peso, de manera especialmente preferente del 5,0 % al 30,0 % en peso, con respecto al componente (B).
8. Composición de agente de revestimiento según una de las reivindicaciones 1, 2, 5, 6 y 7, en la que el componente que contiene formamidasilano terciario (B) es una resina de poliisocianato alifática, reducida en al menos un grupo NCO a base de hexametilendiisocianato (HDI), en particular una resina de poliisocianato alifática de baja viscosidad a base de trímeros del hexametilendiisocianato con una funcionalidad NCO de 2,8 a 3,6 (Desmodur® N 3900).
9. Composición de agente de revestimiento según una de las reivindicaciones anteriores, en el que el componente (A) es un poliacrilatopoliol.
10. Composición de agente de revestimiento según una de las reivindicaciones 1, 2, y 5-9, en la que el componente (B) contiene grupos isocianato bloqueados o libres y el componente (C) no está contenido.
11. Composición de agente de revestimiento según una de las reivindicaciones 1, 2, y 5-9, en la que (i) el componente (B) contiene grupos isocianato bloqueados o libres y el componente (C) está contenido o (ii) el componente (B) no contiene grupos isocianato bloqueados o libres y el componente (C) está contenido.
12. Composición de agente de revestimiento según una de las reivindicaciones 1-9 y 11, en la que la composición de agente de revestimiento está constituida por los componentes (A), (B), (C), (D), (E) y (F).
13. Uso de la composición de agente de revestimiento de acuerdo con una de las reivindicaciones anteriores para el lacado primario de superficies metálicas, plásticos y materiales compuestos, en particular carrocerías de vehículos o partes de la misma.
14. Laca transparente o laca de cubrición para automóviles, que contiene una composición de agente de revestimiento de acuerdo con una o varias de las reivindicaciones 1-12.
15. Carrocería o parte de carrocería con una composición de agente de revestimiento reticulada, aplicada sobre la misma de acuerdo con una o varias de las reivindicaciones 1-12.
Applications Claiming Priority (2)
| Application Number | Priority Date | Filing Date | Title |
|---|---|---|---|
| EP15168764 | 2015-05-21 | ||
| PCT/EP2016/061019 WO2016184853A1 (de) | 2015-05-21 | 2016-05-17 | Polyurethan-beschichtungszusammensetzungen |
Publications (1)
| Publication Number | Publication Date |
|---|---|
| ES2727412T3 true ES2727412T3 (es) | 2019-10-16 |
Family
ID=53191530
Family Applications (1)
| Application Number | Title | Priority Date | Filing Date |
|---|---|---|---|
| ES16722912T Active ES2727412T3 (es) | 2015-05-21 | 2016-05-17 | Composiciones de revestimiento de poliuretano |
Country Status (6)
| Country | Link |
|---|---|
| US (1) | US10590229B2 (es) |
| EP (1) | EP3298058B1 (es) |
| JP (1) | JP6811726B2 (es) |
| CN (1) | CN107636096B (es) |
| ES (1) | ES2727412T3 (es) |
| WO (1) | WO2016184853A1 (es) |
Families Citing this family (10)
| Publication number | Priority date | Publication date | Assignee | Title |
|---|---|---|---|---|
| KR102052164B1 (ko) * | 2018-01-30 | 2019-12-04 | 주식회사 케이씨씨 | 폴리우레탄 수지 조성물 |
| BR112021013459A2 (pt) * | 2019-02-12 | 2021-09-14 | Construction Research & Technology Gmbh | Composição de múltiplos componentes, sistema híbrido cimentício de poliuretano/ureia, processo para preparar uma pavimentação, impermeabilização, mestra, rejunte, pré-camada, pintura de parede, cobertura ou revestimento, uso da composição de múltiplos componentes ou do sistema híbrido cimentício de poliuretano/ureia, e, pavimentação, impermeabilização, mestra, rejunte, pré-camada, pintura de parede, cobertura ou revestimento |
| EP3722346A1 (de) * | 2019-04-09 | 2020-10-14 | Covestro Deutschland AG | 2-komponenten-polyurethanbeschichtungen mit verbesserter topfzeit ohne einbusse in der witterungsstabilität |
| EP3822297A1 (de) * | 2019-11-15 | 2021-05-19 | Covestro Deutschland AG | Polysiloxan-funktionalisierte polyurethane zur steigerung der hydrophobie von oberflächen |
| ES2932089T3 (es) * | 2020-02-20 | 2023-01-11 | Epg F | Composición de recubrimiento decorativo y protector para sustratos de metal, vidrio y plástico |
| EP3916032A1 (de) * | 2020-05-29 | 2021-12-01 | Covestro Deutschland AG | Bei niedrigen temperaturen vernetzende uretdiongruppen enthaltende zusammensetzungen |
| CN113493598B (zh) * | 2021-08-16 | 2022-11-01 | 中国科学院长春应用化学研究所 | 一种生物降解聚酯及其制备方法 |
| EP4563668A4 (en) * | 2022-07-28 | 2025-10-29 | Kansai Paint Co Ltd | MODIFIED POLYISOCYANATE, COATING AND COATED METALLIC MATERIAL |
| CN116676035B (zh) * | 2023-06-05 | 2024-09-10 | 广州冠志新材料科技有限公司 | 一种水性双组分超哑肤感涂料及其制备方法和应用 |
| CN117210118B (zh) * | 2023-10-11 | 2024-11-12 | 中国科学院长春应用化学研究所 | 一种低辐射强度、高力学强度的聚氨酯涂层、其制备方法及应用 |
Family Cites Families (36)
| Publication number | Priority date | Publication date | Assignee | Title |
|---|---|---|---|---|
| US125155A (en) * | 1872-04-02 | Improvement in steam cooking apparatus | ||
| US4246382A (en) | 1977-11-11 | 1981-01-20 | Asahi Kasei Kogyo Kabushiki Kaisha | Solvent resistent acrylic resin and process for producing the same |
| EP0068024B2 (en) | 1981-01-09 | 1996-02-07 | S.C. Johnson & Son, Inc. | Process for continuous bulk copolymerization of vinyl monomers |
| US4598131A (en) | 1984-12-19 | 1986-07-01 | Ppg Industries, Inc. | Catalysts for curable coating vehicle based upon aminoalkyloxy silanes and organic isocyanates |
| FR2603590B1 (fr) | 1986-02-25 | 1991-05-24 | Kansai Paint Co Ltd | Procede de preparation d'une resine contenant un polysiloxane |
| US4754914A (en) | 1986-09-26 | 1988-07-05 | Rock-Tenn Company | Package for wrapping food or other articles |
| JPS63221123A (ja) | 1987-03-09 | 1988-09-14 | Kansai Paint Co Ltd | 低温硬化性樹脂組成物 |
| JP2668083B2 (ja) | 1988-09-05 | 1997-10-27 | 関西ペイント株式会社 | 自動車用塗料組成物 |
| DE4119857A1 (de) | 1991-06-17 | 1992-12-24 | Basf Lacke & Farben | Ueberzugsmittel auf der basis von carboxylgruppenhaltigen polymeren und epoxidharzen |
| CA2088129A1 (en) | 1992-02-06 | 1993-08-07 | Fritz Erdmann Kempter | Continuous polymerization of vinyl monomers |
| DE4308097A1 (de) | 1993-03-15 | 1994-09-22 | Henkel Kgaa | Polyol für ein Isocyanat-Gießharz und Beschichtungen |
| US5447998A (en) | 1994-04-08 | 1995-09-05 | E. I. Du Pont De Nemours And Company | Clear coat resins by continuous polymerization |
| DE4421823A1 (de) | 1994-06-22 | 1996-01-04 | Basf Lacke & Farben | Aus mindestens 3 Komponenten bestehendes Beschichtungsmittel, Verfahren zu seiner Herstellung sowie seine Verwendung |
| DE19524182A1 (de) | 1995-07-03 | 1997-01-09 | Basf Ag | Verfahren und Vorrichtung zur kontinuierlichen Herstellung von Polymeren |
| US5690569A (en) | 1996-03-13 | 1997-11-25 | Borg-Warner Automotive, Inc. | Single piece reinforced chain guide |
| DE19625773A1 (de) | 1996-06-27 | 1998-01-02 | Hoechst Ag | Dispersionen oder Lösungen von Polymeren und Polymermischungen in Wasser |
| DE19628142A1 (de) | 1996-07-12 | 1998-01-15 | Basf Ag | Verfahren zur Herstellung von wäßrigen Polymerdispersionen mit bimodaler Teilchengrößenverteilung |
| DE19628143A1 (de) | 1996-07-12 | 1998-01-15 | Basf Ag | Verfahren zur Herstellung einer wäßrigen Polymerisatdispersion |
| DE19646424A1 (de) | 1996-11-11 | 1998-05-14 | Henkel Kgaa | Verwendung von Polyolen für Isocyanat-Gießharze und -Beschichtungsmassen |
| DE19709465C2 (de) | 1997-03-07 | 2001-07-12 | Basf Coatings Ag | Beschichtungsmittel, Verfahren zur Herstellung von Mehrschichtlackierungen und Verwendung der Beschichtungsmittel hierfür |
| DE19828742A1 (de) | 1998-06-27 | 1999-12-30 | Basf Coatings Ag | Taylorreaktor für Stoffumwandlungen, bei deren Verlauf einer Änderung der Viskosität v des Reaktionsmediums eintritt |
| DE19850243A1 (de) | 1998-10-31 | 2000-05-11 | Basf Coatings Ag | Flüssige Stoffgemische und (Co)Polymerisate, Verfahren zu ihrer Herstellung und ihre Verwendung zur Herstellung von reaktiven Mehrstoffmischungen |
| DE10048615A1 (de) * | 2000-09-30 | 2002-04-11 | Degussa | Nichtwäßriges, wärmehärtendes Zweikomponenten-Beschichtungsmittel |
| DE10132938A1 (de) | 2001-07-06 | 2003-01-16 | Degussa | Nichtwässriges, wärmehärtendes Zweikomponenten-Beschichtungsmittel |
| JP3908116B2 (ja) * | 2002-08-05 | 2007-04-25 | 横浜ゴム株式会社 | 一液型湿気硬化性樹脂組成物 |
| DE102005045228A1 (de) | 2005-09-22 | 2007-04-05 | Basf Coatings Ag | Verwendung von Phosphonsäurediestern und Diphosphonsäurediestern sowie silangruppenhaltige, härtbare Gemische, enthaltend Phosphonsäurediester und Diphosphonsäurediester |
| EP2102263B1 (de) | 2006-12-19 | 2011-07-06 | BASF Coatings GmbH | Beschichtungsmittel mit hoher kratzbeständigkeit und witterungsstabilität |
| DE102007061856A1 (de) | 2007-12-19 | 2009-06-25 | Basf Coatings Ag | Beschichtungsmittel mit hoher Kratzbeständigkeit und Witterungsstabilität |
| DE102008030304A1 (de) | 2008-06-25 | 2009-12-31 | Basf Coatings Ag | Verwendung teilsilanisierter Verbindungen auf Polyisocyanatbasis als Vernetzungsmittel in Beschichtungszusammensetzungen und Beschichtungszusammensetzung enthaltend die Verbindungen |
| EP2718343B1 (de) | 2011-06-09 | 2015-04-29 | BASF Coatings GmbH | Beschichtungsmittelzusammensetzungen und daraus hergestellte beschichtungen mit hoher kratzfestigkeit bei gleichzeitig guter polierbarkeit sowie deren verwendung |
| US9371469B2 (en) | 2011-06-09 | 2016-06-21 | Basf Coatings Gmbh | Coating agent compositions, coatings made therefrom and exhibiting high scratch resistance and good polishability, and use thereof |
| EP2676982A1 (de) | 2012-06-20 | 2013-12-25 | Evonik Industries AG | Beschichtungsmittel mit hoher Kratzbeständigkeit |
| EP2735578A1 (de) | 2012-11-26 | 2014-05-28 | Evonik Industries AG | Beschichtungsmittel mit hoher Kratzbeständigkeit |
| KR102182771B1 (ko) | 2012-12-03 | 2020-11-25 | 바스프 코팅스 게엠베하 | 높은 내스크래치성 및 양호한 연마성 및 양호한 광학 특성을 가지는 코팅 재료 조성물 및 이로부터 제조된 코팅, 및 이의 용도 |
| EP2832757A1 (de) * | 2013-07-30 | 2015-02-04 | Sika Technology AG | Silangruppen-haltiges Polymer |
| ES2651918T3 (es) | 2014-01-31 | 2018-01-30 | Covestro Deutschland Ag | Formamidas modificadas con silanos |
-
2016
- 2016-05-17 ES ES16722912T patent/ES2727412T3/es active Active
- 2016-05-17 CN CN201680029430.3A patent/CN107636096B/zh not_active Expired - Fee Related
- 2016-05-17 JP JP2017560315A patent/JP6811726B2/ja not_active Expired - Fee Related
- 2016-05-17 US US15/574,036 patent/US10590229B2/en not_active Expired - Fee Related
- 2016-05-17 WO PCT/EP2016/061019 patent/WO2016184853A1/de not_active Ceased
- 2016-05-17 EP EP16722912.9A patent/EP3298058B1/de not_active Not-in-force
Also Published As
| Publication number | Publication date |
|---|---|
| CN107636096A (zh) | 2018-01-26 |
| JP6811726B2 (ja) | 2021-01-13 |
| US20180298138A1 (en) | 2018-10-18 |
| EP3298058A1 (de) | 2018-03-28 |
| US10590229B2 (en) | 2020-03-17 |
| WO2016184853A1 (de) | 2016-11-24 |
| CN107636096B (zh) | 2020-06-05 |
| EP3298058B1 (de) | 2019-04-17 |
| JP2018524418A (ja) | 2018-08-30 |
Similar Documents
| Publication | Publication Date | Title |
|---|---|---|
| ES2727412T3 (es) | Composiciones de revestimiento de poliuretano | |
| US9353210B2 (en) | Silane functional binder with thiourethane structure | |
| JP5882055B2 (ja) | 部分的にシラン化されたポリイソシアネート系化合物のコーティング組成物における架橋剤としての使用、及びこの化合物を含むコーティング組成物 | |
| US7357960B2 (en) | Silane-crosslinkable coating formulations | |
| KR20170129180A (ko) | 1,5-디이소시아네이토펜탄을 기재로 하는 실란 기 함유 폴리이소시아네이트 | |
| US11542369B2 (en) | Aspartic acid ester-functional polysiloxanes, their preparation and use thereof | |
| JP6905565B2 (ja) | ポリイソシアネート混合物、塗料組成物及び塗膜 | |
| WO2015183654A1 (en) | Polyurethane-polyurea dispersions comprising hydrazine or hydrazide chain extenders | |
| CN114829443B (zh) | 用于增进表面的疏水性的聚硅氧烷官能化的聚氨酯 | |
| CN106414463B (zh) | 硅烷改性的甲酰胺 | |
| CN105934437A (zh) | 硅烷改性的甲酰胺 | |
| US10160864B2 (en) | Polyurethane aerosol compositions, articles, and related methods | |
| JP7206101B2 (ja) | ポリイソシアネート組成物、塗料組成物及び塗膜 | |
| US20220162371A1 (en) | Two-component polyurethane coatings having improved pot life without a loss of weathering resistance | |
| JP2020023664A (ja) | ポリイソシアネート組成物、塗料組成物及び塗膜 | |
| US12331214B2 (en) | Resistant 2K-PUR coatings | |
| US20080281025A1 (en) | Hybrid polyisocyanates | |
| JP7311677B2 (ja) | 塗料組成物及び塗膜 | |
| CN117545788A (zh) | 涂料组合物和可由其获得的具有改进的抗污性和(自)清洁性能的涂层 | |
| WO2025170788A1 (en) | Moisture-curable resin compositions |























