EP3285331B1 - Resonator - Google Patents
Resonator Download PDFInfo
- Publication number
- EP3285331B1 EP3285331B1 EP16184491.5A EP16184491A EP3285331B1 EP 3285331 B1 EP3285331 B1 EP 3285331B1 EP 16184491 A EP16184491 A EP 16184491A EP 3285331 B1 EP3285331 B1 EP 3285331B1
- Authority
- EP
- European Patent Office
- Prior art keywords
- resonant
- posts
- resonator
- pair
- resonant posts
- Prior art date
- Legal status (The legal status is an assumption and is not a legal conclusion. Google has not performed a legal analysis and makes no representation as to the accuracy of the status listed.)
- Active
Links
- 230000008878 coupling Effects 0.000 claims description 73
- 238000010168 coupling process Methods 0.000 claims description 73
- 238000005859 coupling reaction Methods 0.000 claims description 73
- 238000000034 method Methods 0.000 claims description 8
- 239000011159 matrix material Substances 0.000 claims description 6
- 238000001914 filtration Methods 0.000 claims description 3
- 230000006870 function Effects 0.000 description 11
- 238000005549 size reduction Methods 0.000 description 7
- 230000008901 benefit Effects 0.000 description 4
- 230000007246 mechanism Effects 0.000 description 4
- 230000001419 dependent effect Effects 0.000 description 3
- 238000010586 diagram Methods 0.000 description 3
- 238000003780 insertion Methods 0.000 description 3
- 230000037431 insertion Effects 0.000 description 3
- 238000000926 separation method Methods 0.000 description 3
- 239000003990 capacitor Substances 0.000 description 2
- 239000000919 ceramic Substances 0.000 description 2
- 238000013500 data storage Methods 0.000 description 2
- 238000002955 isolation Methods 0.000 description 2
- 230000015654 memory Effects 0.000 description 2
- 238000003860 storage Methods 0.000 description 2
- 230000009466 transformation Effects 0.000 description 2
- 230000001413 cellular effect Effects 0.000 description 1
- 230000000295 complement effect Effects 0.000 description 1
- 238000009826 distribution Methods 0.000 description 1
- 230000001939 inductive effect Effects 0.000 description 1
- 230000003993 interaction Effects 0.000 description 1
- 230000014759 maintenance of location Effects 0.000 description 1
- 238000001465 metallisation Methods 0.000 description 1
- 238000003825 pressing Methods 0.000 description 1
- 230000008569 process Effects 0.000 description 1
- 230000004044 response Effects 0.000 description 1
- 208000000649 small cell carcinoma Diseases 0.000 description 1
- 238000006467 substitution reaction Methods 0.000 description 1
- 230000007704 transition Effects 0.000 description 1
Images
Classifications
-
- H—ELECTRICITY
- H01—ELECTRIC ELEMENTS
- H01P—WAVEGUIDES; RESONATORS, LINES, OR OTHER DEVICES OF THE WAVEGUIDE TYPE
- H01P7/00—Resonators of the waveguide type
- H01P7/10—Dielectric resonators
-
- H—ELECTRICITY
- H01—ELECTRIC ELEMENTS
- H01P—WAVEGUIDES; RESONATORS, LINES, OR OTHER DEVICES OF THE WAVEGUIDE TYPE
- H01P1/00—Auxiliary devices
- H01P1/20—Frequency-selective devices, e.g. filters
- H01P1/207—Hollow waveguide filters
- H01P1/208—Cascaded cavities; Cascaded resonators inside a hollow waveguide structure
- H01P1/2084—Cascaded cavities; Cascaded resonators inside a hollow waveguide structure with dielectric resonators
Definitions
- the present invention relates to a resonator for telecommunications.
- Embodiments relate to a resonator assembly for radio frequency (RF) filters and a method.
- RF radio frequency
- Filters are widely used in telecommunications. Their applications vary from mobile cellular base stations, through radar systems, amplifier linearization, to point-to-point radio and RF signal cancellation, to name a few.
- the choice of a filter is ultimately dependent on the application; however, there are certain desirable characteristics that are common to all filter realisations. For example, the amount of insertion loss in the pass-band of the filter should be as low as possible, while the attenuation in the stop-band should be as high as possible.
- the guard band - the frequency separation between the pass-band and stop-band - needs to be very small, which requires filters of high-order to be deployed in order to achieve this requirement.
- the filter - "Q factor" is defined as the ratio of energy stored in the element to the time-averaged power loss.
- Q is typically in the range of ⁇ 60-100 whereas, for cavity type resonators, Q can be as high as several 1000s.
- cavity resonators offer sufficient Q, but their size prevents their use in many applications.
- the miniaturization problem is particularly pressing with the advent of small cells, where the volume of the base station should be minimal, since it is important the base station be as inconspicuous as possible (as opposed to an eyesore).
- the currently-observed trend of macrocell base stations lies with multiband solutions within a similar mechanical envelope to that of single-band solutions without sacrificing the system's performance.
- EP 3 012 902 A1 discloses a resonator.
- four magnetically coupled resonant posts are provided in a cavity, two of which extend from a top wall of the cavity and two of which extend from a bottom wall the cavity. Gaps are provided between the resonant posts.
- EP 3 012 901 A1 discloses a resonator.
- two magnetically coupled C-shaped resonant posts are provided in a cavity, one of which extends from a top wall of the cavity and one of which extends from a bottom wall the cavity.
- a gap is provided between the resonant posts which surround a tuning screw.
- a resonator as claimed in claim 1 According to a first aspect, there is provided a resonator as claimed in claim 1.
- the first aspect recognises that solutions exist which fail to provide suitable performance with a minimal size profile.
- ceramic mono-block filters with external metallization are typically used. They offer significant size reduction but with relatively low Q of a few 100's (up to 500), which is too low for many applications. Additionally, the small size of the filters prevents their use in high-power applications, due to relatively high insertion losses and rather limited power-handling capabilities. Ceramic resonators, like mono-block filters, also offer significant size reductions. Furthermore, the filters offer power-handling capabilities that are much higher than those of mono-block filters. However, the cost is the main prohibiting factor for wider deployment of these filters.
- Cavity filters are suited to high-power applications, but they are relatively large, which is the principal limiting factor for their widespread use. Size reduction of traditional combline resonators is achieved by employing capacitive caps to increase the diameter of the resonator's top end so as to provide a greater electric loading and hence reduce the frequency of operation. However, this approach needs to be taken with care, since it reduces the Q factor.
- a distributed resonator which utilises a so-called folded arrangement of 9 individual resonator elements, where each element is a standard coaxial, 90 degree long resonator post results in a tremendous size reduction with an added benefit - frequency agility.
- the main disadvantage of the distributed resonator lies with the choice of the individual resonator elements - simple coaxial resonator elements in this case.
- the first aspect also recognises that the resultant size reduction is, ultimately, a function of its resonator elements.
- one of the first and second resonant posts of one pair of resonant posts is separated by the inter-pair gap and located in proximity with another of the first and second resonant posts of another pair of resonant posts for magnetic field coupling between the one of the first and second resonant posts of one pair of resonant posts and the another of the first and second resonant posts of the another pair of resonant posts.
- the first resonant post of one pair may be located to provide magnetic field coupling with a second resonant post of another pair.
- the second resonant post of one pair may be located to provide magnetic field coupling with the first resonant post of another pair. This provides for coupling along a path of interdigitated posts.
- each adjacent pair of resonant posts is separated by an inter-pair gap and located in proximity with each other for magnetic field coupling between the adjacent pairs of resonant posts. Accordingly, magnetic field coupling may occur between adjacent pairs of resonant posts.
- one of the first and second resonant posts of one of an adjacent pair of resonant posts is separated by the inter-pair gap and located in proximity with another of the first and second resonant posts of another of the adjacent pair of resonant posts for magnetic field coupling between the one of the first and second resonant posts of the of the adjacent pair of resonant posts and the another of the first and second resonant posts of the another of the adjacent pair of resonant posts.
- the first resonant post of one pair may be located to provide magnetic field coupling with a second resonant post of an adjacent pair.
- the second resonant post of one pair may be located to provide magnetic field coupling with the first resonant post of an adjacent pair. This provides for coupling along a path of adjacent interdigitated posts.
- At least three adjacent pairs of resonant posts are each separated by an inter-pair gap and located in proximity with each other for magnetic field coupling between the adjacent pairs of resonant posts. Accordingly, magnetic field coupling may be provided between three or more adjacent pairs, which provides for more coupling directions to facilitate miniaturisation of the resonator.
- one of the first and second resonant posts of a first adjacent pair of resonant posts is separated by the inter-pair gap and located in proximity with another of the first and second resonant posts of a second and a third adjacent pair of resonant posts for magnetic field coupling between the one of the first and second resonant posts of the first adjacent pair of resonant posts and the another of the first and second resonant posts of the second and the third adjacent pair of resonant posts.
- the first resonant post of one pair may be located to provide magnetic field coupling with a second resonant post of two adjacent pairs.
- the second resonant post of one pair may be located to provide magnetic field coupling with the first resonant post of two adjacent pairs. This provides for coupling along a path of adjacent interdigitated posts.
- At least four adjacent pairs of resonant posts are each separated by an inter-pair gap and located in proximity with each other for magnetic field coupling between the adjacent pairs of resonant posts. Accordingly, magnetic field coupling may be provided between four or more adjacent pairs, which provides for more coupling directions to facilitate miniaturisation of the resonator.
- one of the first and second resonant posts of a first adjacent pair of resonant posts is separated by the inter-pair gap and located in proximity with another of the first and second resonant posts of a second, a third and a fourth adjacent pair of resonant posts for magnetic field coupling between the one of the first and second resonant posts of the first adjacent pair of resonant posts and the another of the first and second resonant posts of the second, the third and the fourth adjacent pair of resonant posts.
- the first resonant post of one pair may be located to provide magnetic field coupling with a second resonant post of three adjacent pairs.
- the second resonant post of one pair may be located to provide magnetic field coupling with the first resonant post of three adjacent pairs. This provides for coupling along a path of adjacent interdigitated posts.
- the pairs of resonant posts are arranged at least one of linearly, and rectilinearly. Accordingly, a range of different configurations are possible, including a linear arrangement, layout or configuration, and a matrix, rectilinear or grid arrangement.
- the pairs of resonant posts are arranged in a circular grid.
- pairs of resonant posts may be arranged in circular grid where posts are arranged into a series of concentric circular positions.
- the pairs of resonant posts are arranged in rows and columns of an 'N x N' matrix.
- the pairs may be arranged as N rows of N columns of pairs, or as a grid.
- each intra-pair gap is orientated to control magnetic field coupling between adjacent pairs of resonant posts. Accordingly, the orientation of the intra-pair gap may be selected to vary the magnetic field coupling between adjacent pairs of resonant posts.
- each intra-pair gap is oriented to be transverse to the rows and columns.
- the intra-pair gap maybe orientated to be non-parallel with the direction of either the rows and/or columns. This helps to provide for coupling between rows and columns simultaneously. This again helps to reduce the resonator size.
- each intra-pair gap is orientated at 45° to the rows and columns.
- an even distribution of magnetic coupling between the rows and columns occurs, which helps prevent hot-spots occurring within the resonator and helps to provide for coupling not only along the rows and columns but also diagonally within the matrix.
- each pair of resonant posts comprises opposing elongate posts, symmetric about the intra-pair gap.
- the first resonant post and the second resonant post may be dimensioned, configured or arranged to be symmetric or mirrored about an axis defined by the intra-pair gap between those two posts.
- each resonant post has a generally semi-circular cross section. It will be appreciated that each resonant post may have any suitable cross-section, such as generally triangular through to generally circular. It will also be appreciated that vertices of the cross-section may be rounded to improve current flow within the resonant post.
- each pair of resonant posts comprises opposing surfaces separated by the inter-pair gap.
- the opposing surfaces may be planar or non-planar. Typically, the profile of those opposing surfaces will be complementary.
- each pair of resonant posts comprise at least one tuning mechanism.
- the tuning mechanism may comprise a displaceable screw which extends into the resonant chamber towards the resonant posts.
- At least one pair of resonant posts is coupled with an incoming signal feed and at least one pair of resonant posts is coupled with an outgoing filtered signal feed. It will be appreciated that a variety of different coupling arrangements may be used to couple the incoming signal feed with the resonant posts and to couple the outgoing filtered signal feed with the resonant posts.
- one of the first and second resonant posts of one pair of resonant posts is separated by the inter-pair gap and located in proximity with another of the first and second resonant posts of another pair of resonant posts for magnetic field coupling between the one of the first and second resonant posts of one pair of resonant posts and the another of the first and second resonant posts of the another pair of resonant posts.
- each adjacent pair of resonant posts is separated by an inter-pair gap and located in proximity with each other for magnetic field coupling between the adjacent pairs of resonant posts.
- one of the first and second resonant posts of one of an adjacent pair of resonant posts is separated by the inter-pair gap and located in proximity with another of the first and second resonant posts of another of the adjacent pair of resonant posts for magnetic field coupling between the one of the first and second resonant posts of the of the adjacent pair of resonant posts and the another of the first and second resonant posts of the another of the adjacent pair of resonant posts.
- At least three adjacent pairs of resonant posts are each separated by an inter-pair gap and located in proximity with each other for magnetic field coupling between the adjacent pairs of resonant posts.
- one of the first and second resonant posts of a first adjacent pair of resonant posts is separated by the inter-pair gap and located in proximity with another of the first and second resonant posts of a second and a third adjacent pair of resonant posts for magnetic field coupling between the one of the first and second resonant posts of the first adjacent pair of resonant posts and the another of the first and second resonant posts of the second and the third adjacent pair of resonant posts.
- At least four adjacent pairs of resonant posts are each separated by an inter-pair gap and located in proximity with each other for magnetic field coupling between the adjacent pairs of resonant posts.
- one of the first and second resonant posts of a first adjacent pair of resonant posts is separated by the inter-pair gap and located in proximity with another of the first and second resonant posts of a second, a third and a fourth adjacent pair of resonant posts for magnetic field coupling between the one of the first and second resonant posts of the first adjacent pair of resonant posts and the another of the first and second resonant posts of the second, the third and the fourth adjacent pair of resonant posts.
- the pairs of resonant posts are arranged at least one of linearly, and rectilinearly.
- the pairs of resonant posts are arranged in a circular grid.
- the pairs of resonant posts are arranged in rows and columns of an 'N x N' matrix.
- each intra-pair gap is orientated to control magnetic field coupling between adjacent pairs of resonant posts.
- each intra-pair gap is orientated to be transverse to the rows and columns.
- each intra-pair gap is orientated at 45° to the rows and columns.
- each pair of resonant posts comprises opposing elongate posts, symmetric about the intra-pair gap.
- each resonant post has a generally semi-circular cross section.
- each pair of resonant posts comprises opposing surfaces separated by the inter-pair gap.
- each pair of resonant posts comprise at least one tuning mechanism.
- At least one pair of resonant posts is coupled with an incoming signal feed providing the signal and at least one pair of resonant posts is coupled with an outgoing filtered signal feed providing a filtered signal.
- Embodiments provide a resonator structure which provides for high Q whilst minimising the physical size of the resonator. This is achieved by providing split resonator pairs, arranged in an array of pairs. Each pair of resonators achieves strong coupling, not only between the resonator posts making up each pair but also between adjacent pairs. The coupling between adjacent pairs exists in multiple directions which provides for additional paths which provides for even greater miniaturisation. Different layouts of the pairs are possible, ranging from linear, curvilinear, grids or matrices, as well as circular or other curved arrangements.
- an intra-resonator gap exists between resonant posts making up each pair of resonators across which coupling occurs.
- the orientation and shape of that intra-pair gap with respect to adjacent resonant posts varies the coupling between those adjacent posts.
- the resonant posts present opposed planar surfaces separated by the intra-pair gap, although non-planar configurations are also envisaged.
- an inter-pair gap exists between adjacent pairs of resonators, across which coupling occurs. The orientation and shape of that inter-pair gap with respect to adjacent resonant pairs varies the coupling between those adjacent pairs.
- the pairs of resonant posts present opposed non-planar surfaces separated by the inter-pair gap, although planar configurations are also envisaged.
- the gap may be considered to be defined as a constant width between the adjacent resonators defined by the profile of those opposing planar surfaces.
- the gap may be considered to be defined as a varying width between the adjacent resonators defined by the profile of those opposing non-planar surfaces. This can then be utilised to further control the characteristics of the resonator and provides for additional paths which provides for even greater miniaturisation.
- Figure 1 illustrates a layout of a resonator structure 2 in which there are two resonator posts 4, 6, one 4 of which is grounded on the bottom 8 of a resonator cavity 10 and the other 6 of which is grounded on the top 12 of the resonator cavity 10.
- This resonant structure 2 is a building-block of resonator structures of embodiments.
- top wall bottom wall
- side walls is intended to distinguish the walls from each other and resonators may function in any orientation relative to the Earth.
- Figure 2 corresponds to two of the resonators each represented by their own equivalent - parallel LC (inductor-capacitor) - circuit connected through an admittance transformer, Y t .
- the first term on the right corresponds to the susceptance of inductor L 0
- the second term represents the equivalent capacitive susceptance, composed of the susceptance of capacitor C 0 and the susceptance contribution of the second resonator.
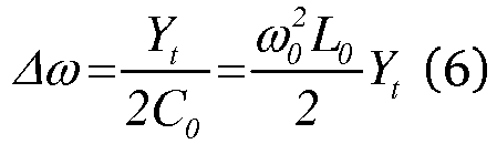
- Equation (5) indicates that the introduction of an admittance transformer, Y t , results in two resonant frequencies: one above and the other below the resonant frequency of an individual resonator.
- the resonant frequencies of the resonator structure 2 shown in Figure 2 can be adjusted by a selection of the admittance transformer, Y t .
- the admittance transformer, Y t is allowed to vary from 0.0033 S (equivalent to 300 ⁇ ) to 0.05 S (equivalent to 20 ⁇ ).
- circles represent resonant frequency of each of the two resonator posts 4,6, squares represent the lower bound to the operating frequency range, and triangles represent the upper bound to the operating frequency range.
- Coupled represents the amount of energy that one resonator post intercepts from another resonator post and can be expressed equally well by an equivalent loading "impedance” that one resonator post exhibits when another resonator post is placed in its vicinity.
- the loading impedance is infinite, no coupling exists between the resonator posts. In practice, this corresponds to the case of infinite physical separation between resonator posts.
- the resonators are positioned at opposite sides from each other. This means that the directions of the surface currents on the respective resonator posts 4,6 are such that the magnetic fields created by these two currents reinforce each other in the space 16 between the resonators. This implies that the coupling between the two resonator posts 4, 6 is strong, the resonator posts 4,6 exhibit a great deal of influence on each other, and this influence can be controlled by manipulating the amount of coupling between the two resonator posts 4,6. As explained earlier with reference to Figure 2 , coupling can be represented by an equivalent impedance/admittance transformer between the two resonators.
- this notional impedance/admittance transformer has a tunable electrical length.
- each individual resonator post has an electrical length of 90° in isolation and that the electrical length of the transformer is adjustable, the overall electrical length of the resonant structure shown in Figure 1 can be arbitrarily long, resulting in reduced frequencies of operation compared to a single resonator in isolation.
- FIG. 4 illustrates a distributed resonator consisting of 25 individual resonators, arranged in a rectangular, 5x5, grid according to one embodiment.
- Each individual resonator 20a is itself a distributed resonator of second order, consisting of two resonant elements 4a, 6a similar to the arrangement described above and is referred to as a split resonator.
- Each resonator element 4a, 6a is half-cylindrical.
- Each resonant element 4a is electrically coupled to the bottom 8a of the resonant cavity 10a, while each resonant element 6a coupled to the top 12a of the resonant cavity 10a.
- each resonator 20a presents opposed non-planar surfaces and is separated by an inter-resonator gap 40a at the closest approach between adjacent resonators 20a.
- each resonator element 4a, 6a may have a different cross-sectional profile such as faceted and may present opposing (facing) planar surfaces separated by the inter-resonator gap 40a.
- split resonator in a distributed resonator fashion has distinct advantages over traditional and mini-coaxial resonators laid out in a distributed fashion, namely:
- split resonators in a variety of distributed fashions. For example, they could be arranged in a rectangular grid configurations, n x n (where n is an integer), or they could be arranged in a circular or curvilinear configuration.
- a signal is received via an input signal feed 100 within the resonant cavity 10a.
- the input signal feed 100a magnetically couples with resonator post 4a1, which in turn magnetically couples across the intra-resonator gap 30a with resonator post 6a1.
- Resonator post 6a1 magnetically couples across the inter-resonator gaps 40a with resonator posts 4a2, 4a3, 4a4.
- the relative orientation of the intra-resonator gaps 30a affects the degree of couple across inter-resonator gaps 40a with adjacent resonator posts.
- the Magnetic coupling then continues between the resonator posts and the signal distributes across the array in the directions X, Y and D.
- a filtered signal is then received at an output signal feed 200a.
- Figure 5 illustrates another embodiment of the distributed split resonator with 4x4 individual resonator elements 20b, where each individual resonator element is a distributed resonator of order 2.
- each individual resonator element is a distributed resonator of order 2.
- the configuration shown can be termed folded, since individual elements are positioned in a grid.
- Each individual resonator 20b is itself a distributed resonator of second order, consisting of two resonant elements 4b, 6b and is referred to as a split resonator.
- Each resonator element 4b, 6b is half-cylindrical.
- Each resonant element 4b is electrically coupled to the bottom 8b of the resonant cavity 10b, while each resonant element 6b coupled to the top 12b of the resonant cavity 10b.
- the two resonant elements 4b, 6b present opposing (facing) planar surfaces separated by an intra-resonator gap 30b.
- Each resonator 20b presents opposed non-planar surfaces and is separated by an inter-resonator gap 40b at the closest approach between adjacent resonators 20b.
- each resonator element 4b, 6b may have a different cross-sectional profile such as faceted and may present opposing (facing) planar surfaces separated by the inter-resonator gap 40b.
- a signal is received via an input signal feed 100b within the resonant cavity 10b.
- the input signal feed 100a magnetically couples with resonator post 4b1, which in turn magnetically couples across the intra-resonator gap 30b with resonator post 6bi.
- Resonator post 6bi magnetically couples across the inter-resonator gaps 40b with resonator posts 4b2, 4b3, 4b4.
- the relative orientation of the intra-resonator gaps 30b affects the degree of couple across inter-resonator gaps 40b with adjacent resonator posts.
- the Magnetic coupling then continues between the resonator posts and the signal distributes across the array in the directions X, Y and D.
- a filtered signal is then received at an output signal feed 200b.
- the resonator operates at the frequency of 1.8 GHz and its dimensions are 30 mm x 30 mm x 7 mm.
- the performance of the resonator of Figure 5 is compared to the performance of a traditional distributed resonator of, made to operate at the same frequency, i.e. 1.8 GHz; Figure 6 shows this traditional distributed resonator.
- the dimensions of the resonator of Figure 6 are 40 mm x 40 mm x 7 mm, i.e. this traditional resonator occupies the volume that is about 78 % greater than the volume occupied by the resonator of Fig. 5 .
- Table 1 summarizes the relative performance of the two resonators.
- Table 1 compares the performance of the resonators depicted in Figures 5 and 6 for the same frequency of operation, i.e. around 1800 MHz. The reported resonant-frequency values were obtained by utilizing the full-wave analysis software tool of CST Studio Suite. Table 1: Comparison of resonant frequencies of distributed resonators Resonator type Resonant frequency, f o [MHz] Q-factor Volume (mm 3 ) Traditional distributed resonator of Figure 6 1811 1825 40x40x7 Split distributed resonator of Figure 5 1811 1998 30x30x7
- the split distributed resonator not only offers tremendous size reduction compared to the already low-volume distributed resonator, but it also offers better performance too.
- the obtained Q-factor from the distributed split resonator with a volume of 6300 mm 3 is about 9.4 % greater than the Q-factor of the traditional distributed resonator with a volume of 11200 mm 3 - which is a significant difference.
- the distributed split resonator offers a much better utilization of the available volume compared to the traditional distributed resonator, while retaining the attractive frequency tunability benefits.
- the resonators 20a, 20b may be tuned using a tuning mechanism, such as a tuning screw (not shown) in order to adjust the resonant response of each resonator 20a, 20b.
- a tuning mechanism such as a tuning screw (not shown) in order to adjust the resonant response of each resonator 20a, 20b.
- Figure 7 illustrates the distributed split resonator 10C with a circular arrangement.
- each individual resonator element 20C is a distributed resonator of order 2.
- the configuration shown can be termed folded, since individual elements are positioned in a grid.
- Each individual resonator 20C is itself a distributed resonator of second order, consisting of two resonant elements 4c, 6c and is referred to as a split resonator.
- Each resonator element 4c, 6c is half-cylindrical.
- Each resonant element 4c is electrically coupled to the bottom of the resonant cavity, while each resonant element 6c coupled to the top of the resonant cavity.
- the two resonant elements 4c, 6c present opposing (facing) planar surfaces separated by an intra-resonator gap 30c.
- Each resonator 20c presents opposed non-planar surfaces and is separated by an inter-resonator gap 40c at the closest approach between adjacent resonators 20b.
- each resonator element 4c, 6c may have a different cross-sectional profile such as faceted and may present opposing (facing) planar surfaces separated by the inter-resonator gap 40c.
- a signal is received via an input signal feed within the resonant cavity.
- the input signal feed magnetically couples with a resonator post, which in turn magnetically couples across the intra-resonator gap 30c with another resonator post. That resonator post magnetically couples across the inter-resonator gaps 40c with other resonator posts.
- the relative orientation of the intra-resonator gaps 30c affects the degree of couple across inter-resonator gaps 40c with adjacent resonator posts.
- the magnetic coupling then continues between the resonator posts and the signal distributes across the array.
- a filtered signal is then received at an output signal feed.
- the distributed split resonator of embodiments can be, without any loss of generality applied in the same number of realizations as the traditional distributed resonator.
- the individual resonator elements can be laid out in a linear, curvilinear, of folded grid realizations.
- program storage devices e.g., digital data storage media, which are machine or computer readable and encode machine-executable or computer-executable programs of instructions, wherein said instructions perform some or all of the steps of said above-described methods.
- the program storage devices may be, e.g., digital memories, magnetic storage media such as a magnetic disks and magnetic tapes, hard drives, or optically readable digital data storage media.
- the embodiments are also intended to cover computers programmed to perform said steps of the above-described methods.
- processors may be provided through the use of dedicated hardware as well as hardware capable of executing software in association with appropriate software.
- the functions may be provided by a single dedicated processor, by a single shared processor, or by a plurality of individual processors, some of which may be shared.
- processor or “controller” or “logic” should not be construed to refer exclusively to hardware capable of executing software, and may implicitly include, without limitation, digital signal processor (DSP) hardware, network processor, application specific integrated circuit (ASIC), field programmable gate array (FPGA), read only memory (ROM) for storing software, random access memory (RAM), and non-volatile storage. Other hardware, conventional and/or custom, may also be included.
- DSP digital signal processor
- ASIC application specific integrated circuit
- FPGA field programmable gate array
- ROM read only memory
- RAM random access memory
- non-volatile storage Other hardware, conventional and/or custom, may also be included.
- any switches shown in the Figures are conceptual only. Their function may be carried out through the operation of program logic, through dedicated logic, through the interaction of program control and dedicated logic, or even manually, the particular technique being selectable by the implementer as more specifically understood from the context.
- any block diagrams herein represent conceptual views of illustrative circuitry embodying the principles of the invention.
- any flow charts, flow diagrams, state transition diagrams, pseudo code, and the like represent various processes which may be substantially represented in computer readable medium and so executed by a computer or processor, whether or not such computer or processor is explicitly shown.
Landscapes
- Control Of Motors That Do Not Use Commutators (AREA)
Description
- The present invention relates to a resonator for telecommunications. Embodiments relate to a resonator assembly for radio frequency (RF) filters and a method.
- Filters are widely used in telecommunications. Their applications vary from mobile cellular base stations, through radar systems, amplifier linearization, to point-to-point radio and RF signal cancellation, to name a few. The choice of a filter is ultimately dependent on the application; however, there are certain desirable characteristics that are common to all filter realisations. For example, the amount of insertion loss in the pass-band of the filter should be as low as possible, while the attenuation in the stop-band should be as high as possible. Further, in some applications, the guard band - the frequency separation between the pass-band and stop-band - needs to be very small, which requires filters of high-order to be deployed in order to achieve this requirement. However, the requirement for a high-order filter is always accompanied by an increase in the cost (due to a greater number of components that a filter requires) and size. Furthermore, even though increasing the order of the filter increases the attenuation in the stop-band, this inevitably increases the losses in the pass-band.
- One of the challenging tasks in filter design is filter size reduction with a simultaneous retention of excellent electrical performance comparable with larger structures. One of the main parameters governing filter's selectivity and insertion loss is the so-called quality factor of the elements comprising the filter - "Q factor". The Q factor is defined as the ratio of energy stored in the element to the time-averaged power loss. For lumped elements that are used particularly at low RF frequencies for filter design, Q is typically in the range of ∼ 60-100 whereas, for cavity type resonators, Q can be as high as several 1000s. Although lumped components offer significant miniaturization, their low Q factor prohibits their use in highly-demanding applications where high rejection and/or selectivity is required. On the other hand, cavity resonators offer sufficient Q, but their size prevents their use in many applications. The miniaturization problem is particularly pressing with the advent of small cells, where the volume of the base station should be minimal, since it is important the base station be as inconspicuous as possible (as opposed to an eyesore). Moreover, the currently-observed trend of macrocell base stations lies with multiband solutions within a similar mechanical envelope to that of single-band solutions without sacrificing the system's performance.
-
EP 3 012 902 A1 discloses a resonator. In one embodiment, four magnetically coupled resonant posts are provided in a cavity, two of which extend from a top wall of the cavity and two of which extend from a bottom wall the cavity. Gaps are provided between the resonant posts. -
EP 3 012 901 A1 discloses a resonator. In one embodiment, two magnetically coupled C-shaped resonant posts are provided in a cavity, one of which extends from a top wall of the cavity and one of which extends from a bottom wall the cavity. A gap is provided between the resonant posts which surround a tuning screw. - Accordingly, it is desired to minimize the physical size and profile of cavity resonators/filters (that can offer the high Q), focusing on a low-profile suitable also for small-cell outdoor products
- According to a first aspect, there is provided a resonator as claimed in
claim 1. - The first aspect recognises that solutions exist which fail to provide suitable performance with a minimal size profile. For lower-performance requirements, ceramic mono-block filters with external metallization are typically used. They offer significant size reduction but with relatively low Q of a few 100's (up to 500), which is too low for many applications. Additionally, the small size of the filters prevents their use in high-power applications, due to relatively high insertion losses and rather limited power-handling capabilities. Ceramic resonators, like mono-block filters, also offer significant size reductions. Furthermore, the filters offer power-handling capabilities that are much higher than those of mono-block filters. However, the cost is the main prohibiting factor for wider deployment of these filters. Cavity filters are suited to high-power applications, but they are relatively large, which is the principal limiting factor for their widespread use. Size reduction of traditional combline resonators is achieved by employing capacitive caps to increase the diameter of the resonator's top end so as to provide a greater electric loading and hence reduce the frequency of operation. However, this approach needs to be taken with care, since it reduces the Q factor. A distributed resonator which utilises a so-called folded arrangement of 9 individual resonator elements, where each element is a standard coaxial, 90 degree long resonator post results in a tremendous size reduction with an added benefit - frequency agility. However, the main disadvantage of the distributed resonator lies with the choice of the individual resonator elements - simple coaxial resonator elements in this case. The first aspect also recognises that the resultant size reduction is, ultimately, a function of its resonator elements.
- In one embodiment, one of the first and second resonant posts of one pair of resonant posts is separated by the inter-pair gap and located in proximity with another of the first and second resonant posts of another pair of resonant posts for magnetic field coupling between the one of the first and second resonant posts of one pair of resonant posts and the another of the first and second resonant posts of the another pair of resonant posts. Accordingly, the first resonant post of one pair may be located to provide magnetic field coupling with a second resonant post of another pair. Alternatively, the second resonant post of one pair may be located to provide magnetic field coupling with the first resonant post of another pair. This provides for coupling along a path of interdigitated posts.
- In one embodiment, each adjacent pair of resonant posts is separated by an inter-pair gap and located in proximity with each other for magnetic field coupling between the adjacent pairs of resonant posts. Accordingly, magnetic field coupling may occur between adjacent pairs of resonant posts.
- In one embodiment, one of the first and second resonant posts of one of an adjacent pair of resonant posts is separated by the inter-pair gap and located in proximity with another of the first and second resonant posts of another of the adjacent pair of resonant posts for magnetic field coupling between the one of the first and second resonant posts of the of the adjacent pair of resonant posts and the another of the first and second resonant posts of the another of the adjacent pair of resonant posts. Accordingly, the first resonant post of one pair may be located to provide magnetic field coupling with a second resonant post of an adjacent pair. Alternatively, the second resonant post of one pair may be located to provide magnetic field coupling with the first resonant post of an adjacent pair. This provides for coupling along a path of adjacent interdigitated posts.
- In one embodiment, at least three adjacent pairs of resonant posts are each separated by an inter-pair gap and located in proximity with each other for magnetic field coupling between the adjacent pairs of resonant posts. Accordingly, magnetic field coupling may be provided between three or more adjacent pairs, which provides for more coupling directions to facilitate miniaturisation of the resonator.
- In one embodiment, one of the first and second resonant posts of a first adjacent pair of resonant posts is separated by the inter-pair gap and located in proximity with another of the first and second resonant posts of a second and a third adjacent pair of resonant posts for magnetic field coupling between the one of the first and second resonant posts of the first adjacent pair of resonant posts and the another of the first and second resonant posts of the second and the third adjacent pair of resonant posts. Accordingly, the first resonant post of one pair may be located to provide magnetic field coupling with a second resonant post of two adjacent pairs. Alternatively, the second resonant post of one pair may be located to provide magnetic field coupling with the first resonant post of two adjacent pairs. This provides for coupling along a path of adjacent interdigitated posts.
- In one embodiment, at least four adjacent pairs of resonant posts are each separated by an inter-pair gap and located in proximity with each other for magnetic field coupling between the adjacent pairs of resonant posts. Accordingly, magnetic field coupling may be provided between four or more adjacent pairs, which provides for more coupling directions to facilitate miniaturisation of the resonator.
- In one embodiment, one of the first and second resonant posts of a first adjacent pair of resonant posts is separated by the inter-pair gap and located in proximity with another of the first and second resonant posts of a second, a third and a fourth adjacent pair of resonant posts for magnetic field coupling between the one of the first and second resonant posts of the first adjacent pair of resonant posts and the another of the first and second resonant posts of the second, the third and the fourth adjacent pair of resonant posts. Accordingly, the first resonant post of one pair may be located to provide magnetic field coupling with a second resonant post of three adjacent pairs. Alternatively, the second resonant post of one pair may be located to provide magnetic field coupling with the first resonant post of three adjacent pairs. This provides for coupling along a path of adjacent interdigitated posts.
- In one embodiment, the pairs of resonant posts are arranged at least one of linearly, and rectilinearly. Accordingly, a range of different configurations are possible, including a linear arrangement, layout or configuration, and a matrix, rectilinear or grid arrangement.
- In one example, the pairs of resonant posts are arranged in a circular grid.
- Accordingly, the pairs of resonant posts may be arranged in circular grid where posts are arranged into a series of concentric circular positions.
- According to the first aspect, the pairs of resonant posts are arranged in rows and columns of an 'N x N' matrix.
- Accordingly, the pairs may be arranged as N rows of N columns of pairs, or as a grid.
- In one embodiment, each intra-pair gap is orientated to control magnetic field coupling between adjacent pairs of resonant posts. Accordingly, the orientation of the intra-pair gap may be selected to vary the magnetic field coupling between adjacent pairs of resonant posts.
- According to the first aspect, each intra-pair gap is oriented to be transverse to the rows and columns.
- Accordingly, the intra-pair gap maybe orientated to be non-parallel with the direction of either the rows and/or columns. This helps to provide for coupling between rows and columns simultaneously. This again helps to reduce the resonator size.
- In one embodiment, each intra-pair gap is orientated at 45° to the rows and columns. By orientating the intra-pair gap to an angle of 45° with respect to the rows and the columns, an even distribution of magnetic coupling between the rows and columns occurs, which helps prevent hot-spots occurring within the resonator and helps to provide for coupling not only along the rows and columns but also diagonally within the matrix.
- In one embodiment, each pair of resonant posts comprises opposing elongate posts, symmetric about the intra-pair gap. Accordingly, the first resonant post and the second resonant post may be dimensioned, configured or arranged to be symmetric or mirrored about an axis defined by the intra-pair gap between those two posts.
- In one embodiment, each resonant post has a generally semi-circular cross section. It will be appreciated that each resonant post may have any suitable cross-section, such as generally triangular through to generally circular. It will also be appreciated that vertices of the cross-section may be rounded to improve current flow within the resonant post.
- In one embodiment, each pair of resonant posts comprises opposing surfaces separated by the inter-pair gap. The opposing surfaces may be planar or non-planar. Typically, the profile of those opposing surfaces will be complementary.
- In one embodiment, each pair of resonant posts comprise at least one tuning mechanism. Typically, the tuning mechanism may comprise a displaceable screw which extends into the resonant chamber towards the resonant posts.
- In one embodiment, at least one pair of resonant posts is coupled with an incoming signal feed and at least one pair of resonant posts is coupled with an outgoing filtered signal feed. It will be appreciated that a variety of different coupling arrangements may be used to couple the incoming signal feed with the resonant posts and to couple the outgoing filtered signal feed with the resonant posts.
- According to a second aspect, there is provided a method of radio frequency filtering as claimed in claim 13.
- In one embodiment, one of the first and second resonant posts of one pair of resonant posts is separated by the inter-pair gap and located in proximity with another of the first and second resonant posts of another pair of resonant posts for magnetic field coupling between the one of the first and second resonant posts of one pair of resonant posts and the another of the first and second resonant posts of the another pair of resonant posts.
- In one embodiment, each adjacent pair of resonant posts is separated by an inter-pair gap and located in proximity with each other for magnetic field coupling between the adjacent pairs of resonant posts.
- In one embodiment, one of the first and second resonant posts of one of an adjacent pair of resonant posts is separated by the inter-pair gap and located in proximity with another of the first and second resonant posts of another of the adjacent pair of resonant posts for magnetic field coupling between the one of the first and second resonant posts of the of the adjacent pair of resonant posts and the another of the first and second resonant posts of the another of the adjacent pair of resonant posts.
- In one embodiment, at least three adjacent pairs of resonant posts are each separated by an inter-pair gap and located in proximity with each other for magnetic field coupling between the adjacent pairs of resonant posts.
- In one embodiment, one of the first and second resonant posts of a first adjacent pair of resonant posts is separated by the inter-pair gap and located in proximity with another of the first and second resonant posts of a second and a third adjacent pair of resonant posts for magnetic field coupling between the one of the first and second resonant posts of the first adjacent pair of resonant posts and the another of the first and second resonant posts of the second and the third adjacent pair of resonant posts.
- In one embodiment, at least four adjacent pairs of resonant posts are each separated by an inter-pair gap and located in proximity with each other for magnetic field coupling between the adjacent pairs of resonant posts.
- In one embodiment, one of the first and second resonant posts of a first adjacent pair of resonant posts is separated by the inter-pair gap and located in proximity with another of the first and second resonant posts of a second, a third and a fourth adjacent pair of resonant posts for magnetic field coupling between the one of the first and second resonant posts of the first adjacent pair of resonant posts and the another of the first and second resonant posts of the second, the third and the fourth adjacent pair of resonant posts.
- In one embodiment, the pairs of resonant posts are arranged at least one of linearly, and rectilinearly.
- In one example, the pairs of resonant posts are arranged in a circular grid.
- According to the second aspect, the pairs of resonant posts are arranged in rows and columns of an 'N x N' matrix.
- In one embodiment, each intra-pair gap is orientated to control magnetic field coupling between adjacent pairs of resonant posts.
- According to the second aspect, each intra-pair gap is orientated to be transverse to the rows and columns.
- In one embodiment, each intra-pair gap is orientated at 45° to the rows and columns.
- In one embodiment, each pair of resonant posts comprises opposing elongate posts, symmetric about the intra-pair gap.
- In one embodiment, each resonant post has a generally semi-circular cross section.
- In one embodiment, each pair of resonant posts comprises opposing surfaces separated by the inter-pair gap.
- In one embodiment, each pair of resonant posts comprise at least one tuning mechanism.
- In one embodiment, at least one pair of resonant posts is coupled with an incoming signal feed providing the signal and at least one pair of resonant posts is coupled with an outgoing filtered signal feed providing a filtered signal.
- Further particular and preferred aspects are set out in the accompanying independent and dependent claims. Features of the dependent claims may be combined with features of the independent claims as appropriate, and in combinations other than those explicitly set out in the claims.
- Where an apparatus feature is described as being operable to provide a function, it will be appreciated that this includes an apparatus feature which provides that function or which is adapted or configured to provide that function.
- Embodiments of the present invention will now be described further, with reference to the accompanying drawings, in which:
-
Figure 1 illustrates a component building-block structure of a resonator; -
Figure 2 illustrates an equivalent circuit of the resonator shown inFigure 1 ; -
Figure 3 is a graph of frequency variation as a function of transformer impedance,
according to equation (5) below for the resonator structure shown inFigure 1 ; -
Figure 4 illustrates a split distributed resonator with individual resonator elements arranged in a folded fashion according to one embodiment; (a) is an isometric view and (b) is a top view; -
Figure 5 illustrates a split distributed resonator with individual resonator elements arranged in a folded fashion according to one embodiment; (a) is an isometric view and (b) is a top view; -
Figure 6 illustrates a conventional distributed resonator with individual resonator elements arranged in a folded fashion equivalent to the embodiment ofFigure 2 ; (a) is an isometric view and (b) is a top view; and -
Figure 7 illustrates a split distributed resonator with individual resonator elements arranged in a folded fashion. - Before discussing the embodiments in any more detail, first an overview will be provided. Embodiments provide a resonator structure which provides for high Q whilst minimising the physical size of the resonator. This is achieved by providing split resonator pairs, arranged in an array of pairs. Each pair of resonators achieves strong coupling, not only between the resonator posts making up each pair but also between adjacent pairs. The coupling between adjacent pairs exists in multiple directions which provides for additional paths which provides for even greater miniaturisation. Different layouts of the pairs are possible, ranging from linear, curvilinear, grids or matrices, as well as circular or other curved arrangements. Typically, an intra-resonator gap exists between resonant posts making up each pair of resonators across which coupling occurs. The orientation and shape of that intra-pair gap with respect to adjacent resonant posts varies the coupling between those adjacent posts. Typically, the resonant posts present opposed planar surfaces separated by the intra-pair gap, although non-planar configurations are also envisaged. Also, an inter-pair gap exists between adjacent pairs of resonators, across which coupling occurs. The orientation and shape of that inter-pair gap with respect to adjacent resonant pairs varies the coupling between those adjacent pairs. Typically, the pairs of resonant posts present opposed non-planar surfaces separated by the inter-pair gap, although planar configurations are also envisaged. Where a gap is defined by opposing planar surfaces, then the gap may be considered to be defined as a constant width between the adjacent resonators defined by the profile of those opposing planar surfaces. Where a gap is defined by opposing non-planar surfaces, then the gap may be considered to be defined as a varying width between the adjacent resonators defined by the profile of those opposing non-planar surfaces. This can then be utilised to further control the characteristics of the resonator and provides for additional paths which provides for even greater miniaturisation.
-
Figure 1 illustrates a layout of aresonator structure 2 in which there are two 4, 6, one 4 of which is grounded on theresonator posts bottom 8 of aresonator cavity 10 and the other 6 of which is grounded on the top 12 of theresonator cavity 10. Thisresonant structure 2 is a building-block of resonator structures of embodiments. - It will be understood that the nomenclature top wall, bottom wall, side walls, is intended to distinguish the walls from each other and resonators may function in any orientation relative to the Earth.
- The
equivalent circuit 14 to thisresonator structure 2 is shown inFigure 2 . -
Figure 2 corresponds to two of the resonators each represented by their own equivalent - parallel LC (inductor-capacitor) - circuit connected through an admittance transformer, Yt. -
-
- It is then inferred from equation (2) that the first term on the right corresponds to the susceptance of inductor L0, while the second term represents the equivalent capacitive susceptance, composed of the susceptance of capacitor C0 and the susceptance contribution of the second resonator. The susceptance contribution of the second resonator is of capacitive character for frequencies below the resonant frequency of the individual resonators,
and of inductive character for frequencies above the resonant frequency of the individual resonators. The resonant frequencies of the resonator structure shown inFigure 2 are obtained by setting Yin = 0, to yield -
-
- Equation (5) indicates that the introduction of an admittance transformer, Yt, results in two resonant frequencies: one above and the other below the resonant frequency of an individual resonator. In other words, for a given resonant frequency of an individual resonator post, the resonant frequencies of the
resonator structure 2 shown inFigure 2 can be adjusted by a selection of the admittance transformer, Yt. - The frequency difference between the two roots of (4) or (5) may be written as
which states that the frequency separation between the two resonant frequencies is proportional to the admittance transformation between the two resonators. It is realised that this enables a way of obtaining frequency tunability, which, rather than focusing on the variation of the equivalent capacitance of a single resonator, introduces frequency tunability as a function of the coupling between two adjacent resonators. By way of illustration, as a numerical example, considering the resonator structure shown inFigure 2 , where each of the resonator posts is operating at a frequency of 2 GHz. In this example,Figure 3 shows frequency variation as a function of transformer impedance, according to equation (5). The admittance transformer, Yt, is allowed to vary from 0.0033 S (equivalent to 300 Ω) to 0.05 S (equivalent to 20 Ω). InFigure 3 , circles represent resonant frequency of each of the two 4,6, squares represent the lower bound to the operating frequency range, and triangles represent the upper bound to the operating frequency range.resonator posts - As seen in
Figure 3 , it is realised that, frequency tunability is obtained by controlling the impedance transformation between the two resonator posts. - It is also realised that by using two resonator posts not only is frequency tunability achievable, but also the frequency of operation is reduced, leading to reduced physical dimensions (miniaturization).
- This leads to consider electromagnetic conditions that must be satisfied.
- It follows from electromagnetic theory that for the coupling between two resonator posts to be strong, they must be placed in the vicinity of each other. The term "coupling" represents the amount of energy that one resonator post intercepts from another resonator post and can be expressed equally well by an equivalent loading "impedance" that one resonator post exhibits when another resonator post is placed in its vicinity.
- In particular, the higher the equivalent loading "impedance" of a resonator post, the less amount of coupling exists between the two adjacently placed resonator posts. In the limiting case, when the loading impedance is infinite, no coupling exists between the resonator posts. In practice, this corresponds to the case of infinite physical separation between resonator posts.
- In view of the above it is realised that a strong but controllable coupling between the two
4, 6 in theposts resonant cavity 12 is obtained by placing the resonator posts in the vicinity of each other such that oneresonator post 4 extends from thebottom 8 of thecavity 10 and oneresonator post 6 extends from the top 12. - Looking further at the resonator structure shown in
Figure 1 , it is seen that the resonators are positioned at opposite sides from each other. This means that the directions of the surface currents on the 4,6 are such that the magnetic fields created by these two currents reinforce each other in therespective resonator posts space 16 between the resonators. This implies that the coupling between the two 4, 6 is strong, the resonator posts 4,6 exhibit a great deal of influence on each other, and this influence can be controlled by manipulating the amount of coupling between the tworesonator posts 4,6. As explained earlier with reference toresonator posts Figure 2 , coupling can be represented by an equivalent impedance/admittance transformer between the two resonators. - It can be considered that depending on the coupling between the two resonators, this notional impedance/admittance transformer has a tunable electrical length.
- Furthermore, given that each individual resonator post has an electrical length of 90° in isolation and that the electrical length of the transformer is adjustable, the overall electrical length of the resonant structure shown in
Figure 1 can be arbitrarily long, resulting in reduced frequencies of operation compared to a single resonator in isolation. - By adjusting the coupling between two resonators, one not only significantly alters the frequency of operation of the individual resonator posts, but also makes the resonant structure widely tuneable.
-
Figure 4 illustrates a distributed resonator consisting of 25 individual resonators, arranged in a rectangular, 5x5, grid according to one embodiment. Eachindividual resonator 20a is itself a distributed resonator of second order, consisting of two 4a, 6a similar to the arrangement described above and is referred to as a split resonator. Eachresonant elements 4a, 6a is half-cylindrical. Eachresonator element resonant element 4a is electrically coupled to the bottom 8a of theresonant cavity 10a, while eachresonant element 6a coupled to the top 12a of theresonant cavity 10a. The two 4a, 6a present opposing (facing) planar surfaces separated by anresonant elements intra-resonator gap 30a. Eachresonator 20a presents opposed non-planar surfaces and is separated by aninter-resonator gap 40a at the closest approach betweenadjacent resonators 20a. However, it will be appreciated that each 4a, 6a may have a different cross-sectional profile such as faceted and may present opposing (facing) planar surfaces separated by theresonator element inter-resonator gap 40a. - The use of the split resonator in a distributed resonator fashion has distinct advantages over traditional and mini-coaxial resonators laid out in a distributed fashion, namely:
- 1. Due to the split nature of the
individual resonators 20a, there exists a strong coupling among theresonators 20a along the diagonal axis of the distributed resonator - such strong coupling is not achievable using either traditional or mini-coaxial resonators. - 2. Due to the fact that strong coupling among the
resonators 20a does not only exist in the x and y directions, but also, along the diagonal elements, an even greater level of miniaturization is possible than that offered by other distributed resonators. - 3. The use of the split resonator in the distributed fashion offers an additional degree of freedom, epitomized in the relative rotation of the two halves of the individual resonator. This additional degree of freedom is of particular use for frequency tunability. Again, this feature is not available in other distributed resonators.
- It will be appreciated that the arrangement shown in
Figure 4 is only one of the possible realizations. It is possible arrange the split resonators in a variety of distributed fashions. For example, they could be arranged in a rectangular grid configurations, n x n (where n is an integer), or they could be arranged in a circular or curvilinear configuration. - In operation a signal is received via an
input signal feed 100 within theresonant cavity 10a. Theinput signal feed 100a magnetically couples with resonator post 4a1, which in turn magnetically couples across theintra-resonator gap 30a with resonator post 6a1. Resonator post 6a1 magnetically couples across theinter-resonator gaps 40a with resonator posts 4a2, 4a3, 4a4. The relative orientation of theintra-resonator gaps 30a affects the degree of couple acrossinter-resonator gaps 40a with adjacent resonator posts. The Magnetic coupling then continues between the resonator posts and the signal distributes across the array in the directions X, Y and D. A filtered signal is then received at anoutput signal feed 200a. -
Figure 5 illustrates another embodiment of the distributed split resonator with 4x4individual resonator elements 20b, where each individual resonator element is a distributed resonator oforder 2. In particular, the configuration shown can be termed folded, since individual elements are positioned in a grid. - Each
individual resonator 20b is itself a distributed resonator of second order, consisting of two 4b, 6b and is referred to as a split resonator. Eachresonant elements 4b, 6b is half-cylindrical. Eachresonator element resonant element 4b is electrically coupled to the bottom 8b of theresonant cavity 10b, while eachresonant element 6b coupled to the top 12b of theresonant cavity 10b. The two 4b, 6b present opposing (facing) planar surfaces separated by anresonant elements intra-resonator gap 30b. Eachresonator 20b presents opposed non-planar surfaces and is separated by aninter-resonator gap 40b at the closest approach betweenadjacent resonators 20b. However, it will be appreciated that each 4b, 6b may have a different cross-sectional profile such as faceted and may present opposing (facing) planar surfaces separated by theresonator element inter-resonator gap 40b. - In operation a signal is received via an input signal feed 100b within the
resonant cavity 10b. Theinput signal feed 100a magnetically couples with resonator post 4b1, which in turn magnetically couples across theintra-resonator gap 30b with resonator post 6bi. Resonator post 6bi magnetically couples across theinter-resonator gaps 40b with resonator posts 4b2, 4b3, 4b4. The relative orientation of theintra-resonator gaps 30b affects the degree of couple acrossinter-resonator gaps 40b with adjacent resonator posts. The Magnetic coupling then continues between the resonator posts and the signal distributes across the array in the directions X, Y and D. A filtered signal is then received at an output signal feed 200b. - The resonator operates at the frequency of 1.8 GHz and its dimensions are 30 mm x 30 mm x 7 mm. The performance of the resonator of
Figure 5 is compared to the performance of a traditional distributed resonator of, made to operate at the same frequency, i.e. 1.8 GHz;Figure 6 shows this traditional distributed resonator. - The dimensions of the resonator of
Figure 6 are 40 mm x 40 mm x 7 mm, i.e. this traditional resonator occupies the volume that is about 78 % greater than the volume occupied by the resonator ofFig. 5 . Table 1 summarizes the relative performance of the two resonators. - Table 1 compares the performance of the resonators depicted in
Figures 5 and6 for the same frequency of operation, i.e. around 1800 MHz. The reported resonant-frequency values were obtained by utilizing the full-wave analysis software tool of CST Studio Suite.Table 1: Comparison of resonant frequencies of distributed resonators Resonator type Resonant frequency, fo [MHz] Q-factor Volume (mm3) Traditional distributed resonator of Figure 6 1811 1825 40x40x7 Split distributed resonator of Figure 5 1811 1998 30x30x7 - As evident from Table 1, the split distributed resonator not only offers tremendous size reduction compared to the already low-volume distributed resonator, but it also offers better performance too. For example, the obtained Q-factor from the distributed split resonator with a volume of 6300 mm3 is about 9.4 % greater than the Q-factor of the traditional distributed resonator with a volume of 11200 mm3 - which is a significant difference.
- It is important to note that the benefits regarding frequency tunability of the traditional distributed resonator are carried over to the distributed split resonator of embodiments. In other words, the distributed split resonator offers a much better utilization of the available volume compared to the traditional distributed resonator, while retaining the attractive frequency tunability benefits.
- The
20a, 20b may be tuned using a tuning mechanism, such as a tuning screw (not shown) in order to adjust the resonant response of eachresonators 20a, 20b.resonator -
Figure 7 illustrates the distributed split resonator 10C with a circular arrangement. - Two concentric arrangements of individual resonator elements 20C are provided, where each individual resonator element is a distributed resonator of
order 2. In particular, the configuration shown can be termed folded, since individual elements are positioned in a grid. - Each individual resonator 20C is itself a distributed resonator of second order, consisting of two
4c, 6c and is referred to as a split resonator. Eachresonant elements 4c, 6c is half-cylindrical. Eachresonator element resonant element 4c is electrically coupled to the bottom of the resonant cavity, while eachresonant element 6c coupled to the top of the resonant cavity. The two 4c, 6c present opposing (facing) planar surfaces separated by anresonant elements intra-resonator gap 30c. Eachresonator 20c presents opposed non-planar surfaces and is separated by aninter-resonator gap 40c at the closest approach betweenadjacent resonators 20b. However, it will be appreciated that each 4c, 6c may have a different cross-sectional profile such as faceted and may present opposing (facing) planar surfaces separated by theresonator element inter-resonator gap 40c. - In operation a signal is received via an input signal feed within the resonant cavity. The input signal feed magnetically couples with a resonator post, which in turn magnetically couples across the
intra-resonator gap 30c with another resonator post. That resonator post magnetically couples across theinter-resonator gaps 40c with other resonator posts. The relative orientation of theintra-resonator gaps 30c affects the degree of couple acrossinter-resonator gaps 40c with adjacent resonator posts. The magnetic coupling then continues between the resonator posts and the signal distributes across the array. A filtered signal is then received at an output signal feed. - The distributed split resonator of embodiments can be, without any loss of generality applied in the same number of realizations as the traditional distributed resonator. In other words, the individual resonator elements can be laid out in a linear, curvilinear, of folded grid realizations.
- A person of skill in the art would readily recognize that steps of various above-described methods can be performed by programmed computers. Herein, some embodiments are also intended to cover program storage devices, e.g., digital data storage media, which are machine or computer readable and encode machine-executable or computer-executable programs of instructions, wherein said instructions perform some or all of the steps of said above-described methods. The program storage devices may be, e.g., digital memories, magnetic storage media such as a magnetic disks and magnetic tapes, hard drives, or optically readable digital data storage media. The embodiments are also intended to cover computers programmed to perform said steps of the above-described methods.
- The functions of the various elements shown in the Figures, including any functional blocks labelled as "processors" or "logic", may be provided through the use of dedicated hardware as well as hardware capable of executing software in association with appropriate software. When provided by a processor, the functions may be provided by a single dedicated processor, by a single shared processor, or by a plurality of individual processors, some of which may be shared. Moreover, explicit use of the term "processor" or "controller" or "logic" should not be construed to refer exclusively to hardware capable of executing software, and may implicitly include, without limitation, digital signal processor (DSP) hardware, network processor, application specific integrated circuit (ASIC), field programmable gate array (FPGA), read only memory (ROM) for storing software, random access memory (RAM), and non-volatile storage. Other hardware, conventional and/or custom, may also be included. Similarly, any switches shown in the Figures are conceptual only. Their function may be carried out through the operation of program logic, through dedicated logic, through the interaction of program control and dedicated logic, or even manually, the particular technique being selectable by the implementer as more specifically understood from the context.
- It should be appreciated by those skilled in the art that any block diagrams herein represent conceptual views of illustrative circuitry embodying the principles of the invention. Similarly, it will be appreciated that any flow charts, flow diagrams, state transition diagrams, pseudo code, and the like represent various processes which may be substantially represented in computer readable medium and so executed by a computer or processor, whether or not such computer or processor is explicitly shown.
Claims (13)
- A resonator, comprising:a resonant chamber (ioa; 10b) defined by a first wall (12a), a second wall (8a) opposing said first wall and side walls extending between said first wall and said second wall;pairs (20a; 20b) of resonant posts, each pair of resonant posts comprising a first resonant post (6a; 6b) having a planar surface separated from a second resonant post (4a; 4b) having a planar surface by an intra-pair gap located between said planar surfaces and located in proximity with each other for magnetic field coupling between said first resonant post and said second resonant post, said first resonant post being grounded on said first wall and extending into said resonant chamber from said first wall, said second resonant post being grounded on said second wall and extending into said resonant chamber from said second wall; and whereinsaid pairs of resonant posts are separated by an inter-pair gap (40a, 40b) and located in proximity with each other for magnetic field coupling between said pairs of resonant posts and wherein said pairs of resonant posts are arranged in rows and columns of a grid or an 'N x N' matrix, and wherein said planar surfaces of said resonant posts are positioned so that each intra-pair gap is orientated to be transverse to said rows and columns.
- The resonator of claim 1, wherein one of said first and second resonant posts of one pair of resonant posts is separated by said inter-pair gap and located in proximity with another of said first and second resonant posts of another pair of resonant posts for magnetic field coupling between said one of said first and second resonant posts of one pair of resonant posts and said another of said first and second resonant posts of said another pair of resonant posts.
- The resonator of claim 1 or 2, wherein each adjacent pair of resonant posts is separated by an inter-pair gap and located in proximity with each other for magnetic field coupling between said adjacent pairs of resonant posts.
- The resonator of claim 3, wherein one of said first and second resonant posts of one of an adjacent pair of resonant posts is separated by said inter-pair gap and located in proximity with another of said first and second resonant posts of another of said adjacent pair of resonant posts for magnetic field coupling between said one of said first and second resonant posts of said of said adjacent pair of resonant posts and said another of said first and second resonant posts of said another of said adjacent pair of resonant posts.
- The resonator of any preceding claim, wherein at least three adjacent pairs of resonant posts are each separated by an inter-pair gap and located in proximity with each other for magnetic field coupling between said adjacent pairs of resonant posts.
- The resonator of claim 5, wherein one of said first and second resonant posts of a first adjacent pair of resonant posts is separated by said inter-pair gap and located in proximity with another of said first and second resonant posts of a second and a third adjacent pair of resonant posts for magnetic field coupling between said one of said first and second resonant posts of said first adjacent pair of resonant posts and said another of said first and second resonant posts of said second and said third adjacent pair of resonant posts.
- The resonator of any preceding claim, wherein at least four adjacent pairs of resonant posts are each separated by an inter-pair gap and located in proximity with each other for magnetic field coupling between said adjacent pairs of resonant posts.
- The resonator of claim 7, wherein one of said first and second resonant posts of a first adjacent pair of resonant posts is separated by said inter-pair gap and located in proximity with another of said first and second resonant posts of a second, a third and a fourth adjacent pair of resonant posts for magnetic field coupling between said one of said first and second resonant posts of said first adjacent pair of resonant posts and said another of said first and second resonant posts of said second, said third and said fourth adjacent pair of resonant posts.
- The resonator of any preceding claim, wherein said pairs of resonant posts are arranged at least one linearly and rectilinearly.
- The resonator of any preceding claim, wherein said planar surfaces of said resonant posts are positioned so that each intra-pair gap is orientated to control magnetic field coupling between adjacent pairs of resonant posts.
- The resonator of any preceding claim, wherein said planar surfaces of said resonant posts are positioned so that each intra-pair gap is orientated at 45° to said rows and columns.
- The resonator of any preceding claim, wherein each pair of resonant posts comprises opposing elongate posts, symmetric about said intra-pair gap.
- A method of radio frequency filtering, comprising passing a signal for filtering through at least one resonator, each resonator comprising:a resonant chamber (10a; 10b) defined by a first wall (12a), a second wall (8a) opposing said first wall and side walls extending between said first wall and said second wall;pairs (20a; 20b) of resonant posts, each pair of resonant posts comprising a first resonant post (6a; 6b) having a planar surface separated from a second resonant post (4a; 4b) having a planar surface by an intra-pair gap and located in proximity with each other for magnetic field coupling between said first resonant post and said second resonant post, said first resonant post being grounded on said first wall and extending into said resonant chamber from said first wall, said second resonant post being grounded on said second wall and extending into said resonant chamber from said second wall; and whereinsaid pairs of resonant posts are separated by an inter-pair gap (40a; 40b) and located in proximity with each other for magnetic field coupling between said pairs of resonant posts, and wherein said pairs of resonant posts are arranged in rows and columns of a grid or an 'N x N' matrix, and wherein said planar surfaces of said resonant posts are positioned so that each intra-pair gap is orientated to be transverse to said rows and columns.
Priority Applications (1)
| Application Number | Priority Date | Filing Date | Title |
|---|---|---|---|
| EP16184491.5A EP3285331B1 (en) | 2016-08-17 | 2016-08-17 | Resonator |
Applications Claiming Priority (1)
| Application Number | Priority Date | Filing Date | Title |
|---|---|---|---|
| EP16184491.5A EP3285331B1 (en) | 2016-08-17 | 2016-08-17 | Resonator |
Publications (2)
| Publication Number | Publication Date |
|---|---|
| EP3285331A1 EP3285331A1 (en) | 2018-02-21 |
| EP3285331B1 true EP3285331B1 (en) | 2020-07-22 |
Family
ID=56694056
Family Applications (1)
| Application Number | Title | Priority Date | Filing Date |
|---|---|---|---|
| EP16184491.5A Active EP3285331B1 (en) | 2016-08-17 | 2016-08-17 | Resonator |
Country Status (1)
| Country | Link |
|---|---|
| EP (1) | EP3285331B1 (en) |
Families Citing this family (1)
| Publication number | Priority date | Publication date | Assignee | Title |
|---|---|---|---|---|
| EP3716395A1 (en) | 2019-03-26 | 2020-09-30 | Nokia Solutions and Networks Oy | Apparatus for radio frequency signals and method of manufacturing such apparatus |
Family Cites Families (4)
| Publication number | Priority date | Publication date | Assignee | Title |
|---|---|---|---|---|
| US20050200437A1 (en) * | 2004-03-12 | 2005-09-15 | M/A-Com, Inc. | Method and mechanism for tuning dielectric resonator circuits |
| US7719391B2 (en) * | 2006-06-21 | 2010-05-18 | Cobham Defense Electronic Systems Corporation | Dielectric resonator circuits |
| EP3012902A1 (en) * | 2014-10-21 | 2016-04-27 | Alcatel Lucent | A resonator, a filter and a method of radio frequency filtering |
| EP3012901B1 (en) * | 2014-10-21 | 2020-07-15 | Alcatel Lucent | A resonator, a radio frequency filter, and a method of filtering |
-
2016
- 2016-08-17 EP EP16184491.5A patent/EP3285331B1/en active Active
Non-Patent Citations (1)
| Title |
|---|
| None * |
Also Published As
| Publication number | Publication date |
|---|---|
| EP3285331A1 (en) | 2018-02-21 |
Similar Documents
| Publication | Publication Date | Title |
|---|---|---|
| US7639101B2 (en) | Low-loss tunable radio frequency filter | |
| EP2814112A1 (en) | Resonant assembly | |
| US20070247261A1 (en) | Low-loss tunable radio frequency filter | |
| EP2924800A1 (en) | Resonator and filter having the same | |
| CN112467321B (en) | Dual-mode SIW (substrate integrated waveguide) adjustable filter based on reconfigurable electromagnetic boundary | |
| CN107123844A (en) | A kind of electric tunable electro-magnetic bandgap wave filter of miniature restructural | |
| KR20220098037A (en) | High-Q multimode dielectric resonant structures and dielectric filters | |
| EP3012902A1 (en) | A resonator, a filter and a method of radio frequency filtering | |
| EP2903084B1 (en) | A resonator assembly and filter | |
| EP2894710B1 (en) | Coaxial resonator filter | |
| EP3552268B1 (en) | Resonator | |
| WO2017136973A1 (en) | Rod-switched tunable filter | |
| EP3285331B1 (en) | Resonator | |
| CN109273806A (en) | Miniaturized low-pass filter based on hexagonal T-type resonator | |
| Li et al. | Design of compact coaxial cavity bandpass filter with high selectivity | |
| EP3012901B1 (en) | A resonator, a radio frequency filter, and a method of filtering | |
| CN119481654B (en) | Dual-mode resonator, dual-mode filter and multiplexer | |
| Wang et al. | Compact lowpass filter with sharp transition knee by utilising a quasi-π-slot resonator and open stubs | |
| CN106207330B (en) | A superconducting filter structure | |
| EP3301752A1 (en) | Resonator | |
| CN116190950A (en) | A Miniaturized Dual Coaxial Cavity Filter, Control Method and Application | |
| EP3179552B1 (en) | A resonator assembly, a radio frequency filter and a method of radio-frequency filtering | |
| CN120637829B (en) | A broadband vertically coupled filter | |
| Morshidi et al. | Bandwidth Enhancement of 5G Parallel Coupled Line Band Pass Filter Using Patterned Ground Structure Technique | |
| CN121965153A (en) | An ultrawideband reconfigurable, highly selective three-dimensional frequency-selective surface |
Legal Events
| Date | Code | Title | Description |
|---|---|---|---|
| PUAI | Public reference made under article 153(3) epc to a published international application that has entered the european phase |
Free format text: ORIGINAL CODE: 0009012 |
|
| STAA | Information on the status of an ep patent application or granted ep patent |
Free format text: STATUS: THE APPLICATION HAS BEEN PUBLISHED |
|
| AK | Designated contracting states |
Kind code of ref document: A1 Designated state(s): AL AT BE BG CH CY CZ DE DK EE ES FI FR GB GR HR HU IE IS IT LI LT LU LV MC MK MT NL NO PL PT RO RS SE SI SK SM TR |
|
| AX | Request for extension of the european patent |
Extension state: BA ME |
|
| STAA | Information on the status of an ep patent application or granted ep patent |
Free format text: STATUS: REQUEST FOR EXAMINATION WAS MADE |
|
| 17P | Request for examination filed |
Effective date: 20180821 |
|
| RBV | Designated contracting states (corrected) |
Designated state(s): AL AT BE BG CH CY CZ DE DK EE ES FI FR GB GR HR HU IE IS IT LI LT LU LV MC MK MT NL NO PL PT RO RS SE SI SK SM TR |
|
| RAP1 | Party data changed (applicant data changed or rights of an application transferred) |
Owner name: NOKIA TECHNOLOGIES OY |
|
| GRAP | Despatch of communication of intention to grant a patent |
Free format text: ORIGINAL CODE: EPIDOSNIGR1 |
|
| STAA | Information on the status of an ep patent application or granted ep patent |
Free format text: STATUS: GRANT OF PATENT IS INTENDED |
|
| INTG | Intention to grant announced |
Effective date: 20200217 |
|
| GRAS | Grant fee paid |
Free format text: ORIGINAL CODE: EPIDOSNIGR3 |
|
| GRAA | (expected) grant |
Free format text: ORIGINAL CODE: 0009210 |
|
| STAA | Information on the status of an ep patent application or granted ep patent |
Free format text: STATUS: THE PATENT HAS BEEN GRANTED |
|
| AK | Designated contracting states |
Kind code of ref document: B1 Designated state(s): AL AT BE BG CH CY CZ DE DK EE ES FI FR GB GR HR HU IE IS IT LI LT LU LV MC MK MT NL NO PL PT RO RS SE SI SK SM TR |
|
| REG | Reference to a national code |
Ref country code: GB Ref legal event code: FG4D |
|
| REG | Reference to a national code |
Ref country code: CH Ref legal event code: EP |
|
| REG | Reference to a national code |
Ref country code: DE Ref legal event code: R096 Ref document number: 602016040290 Country of ref document: DE |
|
| REG | Reference to a national code |
Ref country code: AT Ref legal event code: REF Ref document number: 1294258 Country of ref document: AT Kind code of ref document: T Effective date: 20200815 |
|
| REG | Reference to a national code |
Ref country code: IE Ref legal event code: FG4D |
|
| REG | Reference to a national code |
Ref country code: LT Ref legal event code: MG4D |
|
| REG | Reference to a national code |
Ref country code: AT Ref legal event code: MK05 Ref document number: 1294258 Country of ref document: AT Kind code of ref document: T Effective date: 20200722 |
|
| PG25 | Lapsed in a contracting state [announced via postgrant information from national office to epo] |
Ref country code: FI Free format text: LAPSE BECAUSE OF FAILURE TO SUBMIT A TRANSLATION OF THE DESCRIPTION OR TO PAY THE FEE WITHIN THE PRESCRIBED TIME-LIMIT Effective date: 20200722 Ref country code: LT Free format text: LAPSE BECAUSE OF FAILURE TO SUBMIT A TRANSLATION OF THE DESCRIPTION OR TO PAY THE FEE WITHIN THE PRESCRIBED TIME-LIMIT Effective date: 20200722 Ref country code: HR Free format text: LAPSE BECAUSE OF FAILURE TO SUBMIT A TRANSLATION OF THE DESCRIPTION OR TO PAY THE FEE WITHIN THE PRESCRIBED TIME-LIMIT Effective date: 20200722 Ref country code: NO Free format text: LAPSE BECAUSE OF FAILURE TO SUBMIT A TRANSLATION OF THE DESCRIPTION OR TO PAY THE FEE WITHIN THE PRESCRIBED TIME-LIMIT Effective date: 20201022 Ref country code: BG Free format text: LAPSE BECAUSE OF FAILURE TO SUBMIT A TRANSLATION OF THE DESCRIPTION OR TO PAY THE FEE WITHIN THE PRESCRIBED TIME-LIMIT Effective date: 20201022 Ref country code: SE Free format text: LAPSE BECAUSE OF FAILURE TO SUBMIT A TRANSLATION OF THE DESCRIPTION OR TO PAY THE FEE WITHIN THE PRESCRIBED TIME-LIMIT Effective date: 20200722 Ref country code: GR Free format text: LAPSE BECAUSE OF FAILURE TO SUBMIT A TRANSLATION OF THE DESCRIPTION OR TO PAY THE FEE WITHIN THE PRESCRIBED TIME-LIMIT Effective date: 20201023 Ref country code: ES Free format text: LAPSE BECAUSE OF FAILURE TO SUBMIT A TRANSLATION OF THE DESCRIPTION OR TO PAY THE FEE WITHIN THE PRESCRIBED TIME-LIMIT Effective date: 20200722 Ref country code: PT Free format text: LAPSE BECAUSE OF FAILURE TO SUBMIT A TRANSLATION OF THE DESCRIPTION OR TO PAY THE FEE WITHIN THE PRESCRIBED TIME-LIMIT Effective date: 20201123 Ref country code: AT Free format text: LAPSE BECAUSE OF FAILURE TO SUBMIT A TRANSLATION OF THE DESCRIPTION OR TO PAY THE FEE WITHIN THE PRESCRIBED TIME-LIMIT Effective date: 20200722 |
|
| PG25 | Lapsed in a contracting state [announced via postgrant information from national office to epo] |
Ref country code: RS Free format text: LAPSE BECAUSE OF FAILURE TO SUBMIT A TRANSLATION OF THE DESCRIPTION OR TO PAY THE FEE WITHIN THE PRESCRIBED TIME-LIMIT Effective date: 20200722 Ref country code: PL Free format text: LAPSE BECAUSE OF FAILURE TO SUBMIT A TRANSLATION OF THE DESCRIPTION OR TO PAY THE FEE WITHIN THE PRESCRIBED TIME-LIMIT Effective date: 20200722 Ref country code: LV Free format text: LAPSE BECAUSE OF FAILURE TO SUBMIT A TRANSLATION OF THE DESCRIPTION OR TO PAY THE FEE WITHIN THE PRESCRIBED TIME-LIMIT Effective date: 20200722 Ref country code: IS Free format text: LAPSE BECAUSE OF FAILURE TO SUBMIT A TRANSLATION OF THE DESCRIPTION OR TO PAY THE FEE WITHIN THE PRESCRIBED TIME-LIMIT Effective date: 20201122 |
|
| PG25 | Lapsed in a contracting state [announced via postgrant information from national office to epo] |
Ref country code: NL Free format text: LAPSE BECAUSE OF FAILURE TO SUBMIT A TRANSLATION OF THE DESCRIPTION OR TO PAY THE FEE WITHIN THE PRESCRIBED TIME-LIMIT Effective date: 20200722 |
|
| REG | Reference to a national code |
Ref country code: CH Ref legal event code: PL |
|
| REG | Reference to a national code |
Ref country code: DE Ref legal event code: R097 Ref document number: 602016040290 Country of ref document: DE |
|
| PG25 | Lapsed in a contracting state [announced via postgrant information from national office to epo] |
Ref country code: RO Free format text: LAPSE BECAUSE OF FAILURE TO SUBMIT A TRANSLATION OF THE DESCRIPTION OR TO PAY THE FEE WITHIN THE PRESCRIBED TIME-LIMIT Effective date: 20200722 Ref country code: SM Free format text: LAPSE BECAUSE OF FAILURE TO SUBMIT A TRANSLATION OF THE DESCRIPTION OR TO PAY THE FEE WITHIN THE PRESCRIBED TIME-LIMIT Effective date: 20200722 Ref country code: CH Free format text: LAPSE BECAUSE OF NON-PAYMENT OF DUE FEES Effective date: 20200831 Ref country code: CZ Free format text: LAPSE BECAUSE OF FAILURE TO SUBMIT A TRANSLATION OF THE DESCRIPTION OR TO PAY THE FEE WITHIN THE PRESCRIBED TIME-LIMIT Effective date: 20200722 Ref country code: DK Free format text: LAPSE BECAUSE OF FAILURE TO SUBMIT A TRANSLATION OF THE DESCRIPTION OR TO PAY THE FEE WITHIN THE PRESCRIBED TIME-LIMIT Effective date: 20200722 Ref country code: LU Free format text: LAPSE BECAUSE OF NON-PAYMENT OF DUE FEES Effective date: 20200817 Ref country code: LI Free format text: LAPSE BECAUSE OF NON-PAYMENT OF DUE FEES Effective date: 20200831 Ref country code: IT Free format text: LAPSE BECAUSE OF FAILURE TO SUBMIT A TRANSLATION OF THE DESCRIPTION OR TO PAY THE FEE WITHIN THE PRESCRIBED TIME-LIMIT Effective date: 20200722 Ref country code: EE Free format text: LAPSE BECAUSE OF FAILURE TO SUBMIT A TRANSLATION OF THE DESCRIPTION OR TO PAY THE FEE WITHIN THE PRESCRIBED TIME-LIMIT Effective date: 20200722 |
|
| REG | Reference to a national code |
Ref country code: BE Ref legal event code: MM Effective date: 20200831 |
|
| PLBE | No opposition filed within time limit |
Free format text: ORIGINAL CODE: 0009261 |
|
| STAA | Information on the status of an ep patent application or granted ep patent |
Free format text: STATUS: NO OPPOSITION FILED WITHIN TIME LIMIT |
|
| PG25 | Lapsed in a contracting state [announced via postgrant information from national office to epo] |
Ref country code: AL Free format text: LAPSE BECAUSE OF FAILURE TO SUBMIT A TRANSLATION OF THE DESCRIPTION OR TO PAY THE FEE WITHIN THE PRESCRIBED TIME-LIMIT Effective date: 20200722 |
|
| 26N | No opposition filed |
Effective date: 20210423 |
|
| PG25 | Lapsed in a contracting state [announced via postgrant information from national office to epo] |
Ref country code: SK Free format text: LAPSE BECAUSE OF FAILURE TO SUBMIT A TRANSLATION OF THE DESCRIPTION OR TO PAY THE FEE WITHIN THE PRESCRIBED TIME-LIMIT Effective date: 20200722 |
|
| PG25 | Lapsed in a contracting state [announced via postgrant information from national office to epo] |
Ref country code: SI Free format text: LAPSE BECAUSE OF FAILURE TO SUBMIT A TRANSLATION OF THE DESCRIPTION OR TO PAY THE FEE WITHIN THE PRESCRIBED TIME-LIMIT Effective date: 20200722 Ref country code: IE Free format text: LAPSE BECAUSE OF NON-PAYMENT OF DUE FEES Effective date: 20200817 Ref country code: BE Free format text: LAPSE BECAUSE OF NON-PAYMENT OF DUE FEES Effective date: 20200831 |
|
| REG | Reference to a national code |
Ref country code: NL Ref legal event code: MP Effective date: 20200722 |
|
| PGFP | Annual fee paid to national office [announced via postgrant information from national office to epo] |
Ref country code: FR Payment date: 20210714 Year of fee payment: 6 |
|
| PGFP | Annual fee paid to national office [announced via postgrant information from national office to epo] |
Ref country code: DE Payment date: 20210706 Year of fee payment: 6 Ref country code: GB Payment date: 20210707 Year of fee payment: 6 |
|
| PG25 | Lapsed in a contracting state [announced via postgrant information from national office to epo] |
Ref country code: TR Free format text: LAPSE BECAUSE OF FAILURE TO SUBMIT A TRANSLATION OF THE DESCRIPTION OR TO PAY THE FEE WITHIN THE PRESCRIBED TIME-LIMIT Effective date: 20200722 Ref country code: MT Free format text: LAPSE BECAUSE OF FAILURE TO SUBMIT A TRANSLATION OF THE DESCRIPTION OR TO PAY THE FEE WITHIN THE PRESCRIBED TIME-LIMIT Effective date: 20200722 Ref country code: CY Free format text: LAPSE BECAUSE OF FAILURE TO SUBMIT A TRANSLATION OF THE DESCRIPTION OR TO PAY THE FEE WITHIN THE PRESCRIBED TIME-LIMIT Effective date: 20200722 |
|
| PG25 | Lapsed in a contracting state [announced via postgrant information from national office to epo] |
Ref country code: MK Free format text: LAPSE BECAUSE OF FAILURE TO SUBMIT A TRANSLATION OF THE DESCRIPTION OR TO PAY THE FEE WITHIN THE PRESCRIBED TIME-LIMIT Effective date: 20200722 Ref country code: MC Free format text: LAPSE BECAUSE OF FAILURE TO SUBMIT A TRANSLATION OF THE DESCRIPTION OR TO PAY THE FEE WITHIN THE PRESCRIBED TIME-LIMIT Effective date: 20200722 |
|
| REG | Reference to a national code |
Ref country code: DE Ref legal event code: R119 Ref document number: 602016040290 Country of ref document: DE |
|
| GBPC | Gb: european patent ceased through non-payment of renewal fee |
Effective date: 20220817 |
|
| PG25 | Lapsed in a contracting state [announced via postgrant information from national office to epo] |
Ref country code: FR Free format text: LAPSE BECAUSE OF NON-PAYMENT OF DUE FEES Effective date: 20220831 Ref country code: DE Free format text: LAPSE BECAUSE OF NON-PAYMENT OF DUE FEES Effective date: 20230301 |
|
| PG25 | Lapsed in a contracting state [announced via postgrant information from national office to epo] |
Ref country code: GB Free format text: LAPSE BECAUSE OF NON-PAYMENT OF DUE FEES Effective date: 20220817 |




