EP3012902A1 - A resonator, a filter and a method of radio frequency filtering - Google Patents

A resonator, a filter and a method of radio frequency filtering Download PDF

Info

Publication number
EP3012902A1
EP3012902A1 EP14290316.0A EP14290316A EP3012902A1 EP 3012902 A1 EP3012902 A1 EP 3012902A1 EP 14290316 A EP14290316 A EP 14290316A EP 3012902 A1 EP3012902 A1 EP 3012902A1
Authority
EP
European Patent Office
Prior art keywords
resonator
posts
wall
post
grounded
Prior art date
Legal status (The legal status is an assumption and is not a legal conclusion. Google has not performed a legal analysis and makes no representation as to the accuracy of the status listed.)
Withdrawn
Application number
EP14290316.0A
Other languages
German (de)
French (fr)
Inventor
Senad Bulja
Martin Gimersky
Current Assignee (The listed assignees may be inaccurate. Google has not performed a legal analysis and makes no representation or warranty as to the accuracy of the list.)
Alcatel Lucent SAS
Original Assignee
Alcatel Lucent SAS
Priority date (The priority date is an assumption and is not a legal conclusion. Google has not performed a legal analysis and makes no representation as to the accuracy of the date listed.)
Filing date
Publication date
Application filed by Alcatel Lucent SAS filed Critical Alcatel Lucent SAS
Priority to EP14290316.0A priority Critical patent/EP3012902A1/en
Publication of EP3012902A1 publication Critical patent/EP3012902A1/en
Withdrawn legal-status Critical Current

Links

Images

Classifications

    • HELECTRICITY
    • H01ELECTRIC ELEMENTS
    • H01PWAVEGUIDES; RESONATORS, LINES, OR OTHER DEVICES OF THE WAVEGUIDE TYPE
    • H01P1/00Auxiliary devices
    • H01P1/20Frequency-selective devices, e.g. filters
    • H01P1/207Hollow waveguide filters
    • H01P1/208Cascaded cavities; Cascaded resonators inside a hollow waveguide structure
    • H01P1/2084Cascaded cavities; Cascaded resonators inside a hollow waveguide structure with dielectric resonators
    • HELECTRICITY
    • H01ELECTRIC ELEMENTS
    • H01PWAVEGUIDES; RESONATORS, LINES, OR OTHER DEVICES OF THE WAVEGUIDE TYPE
    • H01P1/00Auxiliary devices
    • H01P1/20Frequency-selective devices, e.g. filters
    • H01P1/201Filters for transverse electromagnetic waves
    • H01P1/205Comb or interdigital filters; Cascaded coaxial cavities
    • HELECTRICITY
    • H01ELECTRIC ELEMENTS
    • H01PWAVEGUIDES; RESONATORS, LINES, OR OTHER DEVICES OF THE WAVEGUIDE TYPE
    • H01P7/00Resonators of the waveguide type
    • H01P7/04Coaxial resonators

Definitions

  • the present invention relates to filters for telecommunications, in particular to radio-frequency filters.
  • Filters are widely used in telecommunications. Applications include base stations for wireless cellular communications, radar systems, amplifier linearization systems, point-to-point radio, and RF signal cancellation systems, to name just a few. Although a specific filter is chosen or designed dependent on the particular application, it is generally desirable for a filter to have low insertion loss in the pass-band and high attenuation in the stop-band. Furthermore, in some applications, the frequency separation (known as the guard-band) between stop-band and pass-band needs to be small, so a filter of a high order is required. Of course as the order of a filter is increased so does its complexity in terms of the number of components the filter requires and hence the filter's size. Furthermore, although increasing the order of a filter increases stop-band attenuation, insertion loss in the pass-band is also thereby increased.
  • Q-Factor Quality factor
  • Q quality factor
  • the Q-factor is defined as the ratio of energy stored in the element to the time-averaged power loss.
  • Q is typically in the range of about 60 to 100.
  • Q is higher and can be as high as several thousands.
  • cavity resonators offer sufficient Q but their relatively large size prevents their use in many applications.
  • the miniaturization problem is especially pressing with the advent of small cell base stations, where the volume of the base station should be minimal, since it is important the base station be as inconspicuous as possible (as opposed to an eyesore).
  • the volume of the base station should be minimal, since it is important the base station be as inconspicuous as possible (as opposed to an eyesore).
  • larger more powerful base stations there is a trend in macrocell base stations towards multiband solutions within a similar mechanical housing to that of previous single-band solutions, so filter miniaturization without sacrificing system performance is becoming important for macrocell base stations too.
  • ceramic mono-block filters with external metallization are used. They offer significant size reduction but have a relatively low Q of a few 100's (up to 500), which is too low for many applications. Additionally, the small size of the filters prevents their use in high-power applications, due to relatively high insertion losses and rather limited power-handling capabilities.
  • filters with ceramic resonators are also offer significant size reductions. Furthermore, these filters offer power-handling capabilities that are much higher than those of mono-block filters. However, cost is the main prohibiting factor for wider deployment of these filters.
  • cavity filters made up of cavity resonators.
  • high-power applications such as those found in mobile cellular communication base stations, there is still no real practical alternative to cavity filters.
  • the standard building block of a cavity filter is a combline resonator, depicted in its basic form in Figure 1 .
  • the combline resonator includes a resonator post in a cavity, and resonates at a frequency where the resonator posts's height is one quarter-wavelength of the electric current, I , induced on the surface of the resonator.
  • a single combline resonator is provided, and as there is no significant capacitive loading at the top of the resonator post, the electrical length of the combline resonator needs to be approximately 90 degrees at the frequency of operation. This electrical length of 90 degrees means that the resonator behaves as an impedance transformer, namely where the resonator post has a short-circuit ended bottom and an open-circuit ended top.
  • a tuning screw extends from the top of the cavity toward the resonator post's ungrounded end so as to effectively balance undesired effects caused by manufacturing tolerances.
  • the tuning screw allows the resonator to be tuned to the resonant frequency for which the resonator was designed.
  • Figure 3 shows the equivalent circuit of each of the resonators shown in Figures 1 and 2 .
  • the known approach to size reduction is to apply a capacitive cap to the resonator post in the cavity, in other words to increase the diameter of the resonator post's top end (which is separated from the cavity surface by a gap).
  • This provides a greater electrical loading and hence lower radio frequency of operation.
  • this must be done with care and only to a moderate level since the Q-factor is reduced in consequence.
  • An example of the present invention is a resonator comprising a resonant chamber, each chamber comprising a first wall, a second wall opposite the first wall, and side walls.
  • the resonant chamber houses three or more resonator posts that are spaced apart, each resonator post being grounded on one of the first wall and the second wall.
  • a first set of the resonator posts is grounded on the first wall so as to extend into the chamber from the first wall.
  • a second set of the resonators is grounded on the second wall so as to extend into the chamber from the second wall.
  • Each resonator post of the first set is for magnetic field coupling in proximity with at least one of the resonator posts of the second set.
  • the first wall may be a top wall and the second wall may be a bottom wall.
  • Some embodiments provide distributed resonator posts within a resonant cavity.
  • the posts can be considered as interdigitated, being alternately grounded on opposite surfaces of the cavity.
  • Some embodiments simultaneously provide cavity filters having reduced dimensions and an extended range of frequency-tunability. This is significant as filters are typically the bulkiest and heaviest subsystems in base stations for mobile cellular telecommunications, rivalled only by power-amplifier heat-sinks, so filter miniaturization is desirable.
  • the greater frequency tunability avoids the need for a network operator to buy replacement known filters for transiting to a new frequency band. Instead with filters according to embodiments, simple retuning is sufficient. Wasteful stockpiling of known cavity filters of different frequency bands is avoided. Opening-up and reconstruction of resonant cavity filters for retuning purposes is also avoided.
  • Some embodiments exploit electromagnetic characteristics that arise when multiple combline resonator posts are placed in the vicinity of one another.
  • Some embodiments will be used in Remote Radio Heads (RRH) where smaller and light-weight filters will cause less stresses due to wind load and reduced requirements for load-bearing on a tower or mast on which the RRH is mounted.
  • RRH Remote Radio Heads
  • Some embodiments provide a reduction in size of the resonant cavity in a filter, as compared to a known filter.
  • An example resonator consisting of a cavity housing eight resonator posts and a tuning screw yields a cavity size reduction of 3.35 as compared to a corresponding resonator having a single resonator post.
  • the same resonator has a frequency tunable range of 15%. This significant frequency range is achieved without the need to open the filter, so there is no practical risk of degradation of radio frequency characteristics by contamination of the filter insides.
  • the present invention in some embodiments allows greater frequency-tunable range and smaller size than an alternative proposal having just two resonator posts in a resonant cavity.
  • the first set comprising one resonator post grounded on the first wall
  • the second set comprising two resonator posts grounded on the second wall.
  • resonator posts there are four or more resonator posts, the first set comprising resonator posts grounded on the first wall, and the second set comprising resonator posts grounded on the second wall, such that in a direction the posts are alternately grounded on the first wall and the second wall.
  • the resonator posts are in a row, and preferably the row is straight or curved, for example semi-circular.
  • the posts are alternately grounded on the first wall and the second wall in the direction along the row.
  • the resonators are disposed in a grid such that, between any two resonator posts of the first set, a resonator post of the second set is provided.
  • the resonator post of the first set or the resonator posts of the first set is/are in an interdigitated configuration with the resonator posts of the second set.
  • At least one resonator post is of adjustable extension into the chamber so as to adjust the resonant frequency of the resonator.
  • the or each resonator post of adjustable extension into the chamber comprises a screw member that extends into the chamber.
  • one resonator post is of adjustable extension and is one that is near or at the centre of the resonator post configuration.
  • Examples of the present invention also relate to corresponding filters and methods of radio frequency filtering.
  • the present invention relates to a radio frequency filter comprising at least one resonator as outlined above.
  • Another example of the present invention relates to a method of radio frequency filtering comprising passing a signal for filtering through at least one resonator, each resonator comprising a resonant chamber, each chamber comprising a first wall, a second wall opposite the first wall, and side walls; in which the resonant chamber houses three or more resonator posts that are spaced apart, each resonator posts being grounded on one of the first wall and the second wall, a first set of the resonator posts being grounded on the first wall so as to extend into the chamber from the first wall; a second set of the resonator posts being grounded on the second wall so as to extend into the chamber from the second wall; wherein each resonator post of the first set is for magnetic field coupling in proximity with at least one of the resonator posts of the second set.
  • the resonator posts of the first set are in an interdigitated configuration with the resonator posts of the second set.
  • the resonators are disposed in a grid such that, between any two resonator posts of the first set, a resonator post of the second set is provided.
  • at least one resonator post is of adjustable extension into the chamber so as to adjust the resonant frequency of the resonator.
  • a resonator structure 2 may be provided in which there are two resonator posts 4, 6, one 4 of which is grounded on the bottom 8 of a resonator cavity 10 and the other 6 of which is grounded on the top 12 of the resonator cavity 10.
  • Figure 5 corresponds to two of the resonators each represented by their own equivalent - parallel LC (inductor-capacitor) - circuit, connected through an admittance transformer, Y t .
  • the inventors then inferred from equation (2) that the first term on the right corresponds to the susceptance of inductor L 0 , while the second term represents the equivalent capacitive susceptance, composed of the susceptance of capacitor C 0 and the susceptance contribution of the second resonator.
  • Equation (5) indicates that the introduction of an admittance transformer, Y t , results in two resonant frequencies: one above and the other below the resonant frequency of an individual resonator.
  • the resonant frequencies of the resonator structure 2 shown in Figure 5 can be adjusted by a selection of the admittance transformer, Y t .
  • Coupled represents the amount of energy that one resonator post intercepts from another resonator post and can be expressed equally well by an equivalent loading "impedance” that one resonator post exhibits when another resonator post is placed in its vicinity.
  • the loading impedance is infinite, no coupling exists between the resonator posts. In practice, this corresponds to the case of infinite physical separation between resonator posts.
  • the resonators are positioned at opposite sides from each other. This means that the directions of the surface currents on the respective resonator posts 4,6 are such that the magnetic fields created by these two currents reinforce each other in the space 16 between the resonators. This implies that the coupling between the two resonator posts 4, 6 is strong, the resonator posts 4,6 exhibit a great deal of influence on each other, and this influence can be controlled by manipulating the amount of coupling between the two resonator posts 4,6. As explained earlier with reference to Figure 5 , coupling can be represented by an equivalent impedance/admittance transformer between the two resonators.
  • this notional impedance/admittance transformer has a tunable electrical length.
  • each individual resonator post has an electrical length of 90° in isolation and that the electrical length of the transformer is adjustable, the overall electrical length of the resonant structure shown in Figure 4 can be arbitrarily long, resulting in reduced frequencies of operation compared to a single resonator in isolation.
  • N is three or more
  • FIG. 8 depicts N (two or more) identical resonator posts of Figure 3 , each represented by their own equivalent - parallel LC (inductor-capacitor) - circuit, connected through an admittance transformer, Y t .
  • the resonant frequency of the circuit of Figure 8 is, similarly, obtained from the condition that the input admittance, Y in , is equal to zero.
  • n number of admittance transformers
  • a resonator structure 19 (sometimes referred to as a resonant structure or the like) may be provided in which there are three resonator posts 20, 22, 24, two 20,24 of which are grounded on the bottom 26 of a resonator cavity 28 and the other 22 of which is disposed between said first two posts 20, 24 and is grounded on the top 30 of the resonator cavity 28.
  • top wall bottom wall, sides walls, is intended to distinguish the walls from each other and resonators may function in any orientation relative to the Earth.
  • the first term on the right corresponds to the susceptance of inductor L 0
  • the second term represents the equivalent capacitive susceptance, composed of the susceptance of capacitor C 0 and the susceptance contribution of the remaining two resonator posts.
  • the first resonant frequency ⁇ 1 is the resonant frequency of a single resonator post alone, while the other two frequencies are positioned above and below the resonant frequency of an individual resonator post, ⁇ 1 .
  • the resonant frequencies given by (11) can be adjusted by a selection of the admittance transformer, Y t .
  • a resonator structure 31 may be provided in which there are four resonator posts 32, 34, 36, 38, two 32,36 of which is grounded on the bottom 40 of a resonator cavity 42 and the other 34,38 of which is grounded on the top 44 of the resonator cavity 42.
  • the resonator posts can be considered as in an interdigitated configuration in that, although not touching each other, along a row or direction the resonator posts are alternately provided from one group (top wall grounded) and then the other group (bottom wall grounded).
  • the term interdigitated is used as this configuration is somewhat analogous to fingers of one hand have been inserted between those of the other hand.
  • ⁇ 2 and ⁇ 4 are of particular importance, since they are lower than the operating frequency of a single resonator, as opposed to ⁇ 1 and ⁇ 3 , which are always higher than the frequency of a single resonator post. Furthermore, it can be shown that ⁇ 2 is, for the same operating conditions (i.e. same resonators and same admittance transformers), always lower than ⁇ 4 . It can be further shown that the resonant frequency of a structure having four resonator posts will resonate with a frequency that is always lower that the lowest frequency of a three-resonator post structure.
  • individual resonator posts and admittance transformers are identical and operate at a frequency of 2 GHz.
  • Figure 9 shows ⁇ 2 of (8), ⁇ 3 of (11) and ⁇ 2 of (13) plotted as a function of the admittance transformer, Y t .
  • the admittance transformer, Y t is allowed to vary from 0.0033 S (equivalent to 300 ⁇ ) to 0.05 S (equivalent to 20 ⁇ ).
  • the frequency of operation of coupled resonant structures is successively decreased as the number of coupled resonator posts increases.
  • the reduction of the operating frequency of coupled resonant structures is not linearly proportional to the number of coupled resonator posts.
  • the input admittance of coupled resonator posts can be expressed in the form of a generalized continued fraction, which does not converge linearly as the number of its constituent elements increases.
  • the rate of convergence of the generalized continued fraction is greatly reduced as the number of its constituent elements increases. Physically, this can be understood, at least to a first-order approximation, in terms of the currents flowing on the resonator surfaces.
  • the inventors realised that it is now possible to increase the number of resonator posts with alternative resonator posts grounded on opposite surfaces of the cavity, so that the frequency of operation is further reduced, in line with the theory presented earlier.
  • the individual resonator posts can be arranged in a row, Fig. 10 , or can be arranged in a circular/semicircular fashion, Fig. 11 .
  • the increase in the number of resonator posts in this fashion does not linearly decrease the frequency of operation.
  • Figure 10 shows a resonant structure 50 comprising a cavity 52 defined by a top wall 54, bottom wall 56, and four side walls 58.
  • the walls are, of course electrically conductive.
  • Each resonator post 60,62,64,66 has a non-grounded end 68 so that an air gap 70is provided between that non-grounded end and the opposite top or bottom wall to the top or bottom wall on which that resonator post is grounded.
  • Figure 11 shows a resonant structure 50a comprising a cavity 52a defined by a top wall 54a, bottom wall 56a, and four side walls 58a.
  • the walls are, of course electrically conductive.
  • Five 61a, 65a, 69a, 73a, 77a of these are grounded on the bottom wall 56a and four 63a, 67a, 71a, 75a are grounded on the top wall 54a in an alternating manner along the row 59a so as to take what may be considered as an inter-digitating configuration.
  • Each resonator post has a non-grounded end so that an air gap is provided between that non-grounded end and the opposite top or bottom wall to the top or bottom wall on which that resonator post is grounded.
  • One such a solution is found by positioning the resonator posts so that they form a rectangular or circular grid.
  • Figures 12 and 13 illustrate two rectangular grid examples, one with four and the other with nine resonator posts, respectively. It is important to state that each of the resonator posts in these two figures couple only to its adjacent neighbours on the vertical and horizontal axes. The resonator posts do not couple to their neighbouring resonator posts on the diagonal axis, since these resonator posts protrude from the same side of the ground plane. For the same reason, the resonator posts along the diagonal axes do not couple to each other.
  • Figure 12 shows a resonant structure 50b comprising a cavity 52b defined by a top wall 54b, bottom wall 56b, and four side walls 58b.
  • the walls are, of course electrically conductive.
  • Each resonator post 60b,62b,64b,66b has a non-grounded end so that an air gap 70b is provided between that non-grounded end and the opposite top or bottom wall to the top or bottom wall on which that resonator post is grounded.
  • Figure 13 shows a resonant structure 50c comprising a cavity 52c defined by a top wall 54c, bottom wall 56c, and four side walls 58c.
  • the walls are, of course electrically conductive.
  • each resonator post has a non-grounded end so that an air gap is provided between that non-grounded end and the opposite top or bottom wall to the top or bottom wall on which that resonator post is grounded.
  • Figure 14 A technique that can be used to facilitate economic manufacture of a filter consisting of any of the structures in Figures 10 to 13 is depicted in Figure 14 , which specifically represents the structure of Figure 13 .
  • Figure 14 can be considered a side-exploded view of the structure of Figure 13 .
  • the resonator structure described above in respect of Figure 13 is assembled from three parts: the bottom wall 56c with resonator posts grounded thereon (left in Figure 14 ), the cavity body made up of the four side walls 58c (centre in the Figure 14 ) and the top wall 54c on which are grounded the other resonator posts (right in the Figure 14 ).
  • top and bottom walls 54c, 56cwith their respective resonators can be fabricated by one of the established dimensionally-stable, highly-repeatable and relatively low-cost large-scale manufacturing processes such as casting.
  • R 4 R 9 R 16 k 0.1 20 60,000 2 10
  • the proposed folding approach can be applied to arrangements where the coupled resonator posts are not arranged in a rectangular grid, but can be arranged in a circular fashion, for example. However, that will require formation of an effective order of the resonator matrix.
  • Figures 10 and 11 represent some embodiments of distributed resonators, so that the reduction in the operating frequency is achieved, while Figures 12 and 13 further refine the distributed-resonator concept.
  • Table 2 compares the resonant frequencies, f 0 , of the four solutions presented in the respective Figures 10 to 13 .
  • the cavity size is identical, 20 x 20 x 40 mm 3 , and the basic resonator element - operating at a frequency of 1693 MHz - is the same.
  • the separation between the identical resonator posts depicted in Figures 10 to 13 is constant and also kept the same, 2.6 mm.
  • the reported resonant-frequency values were obtained by utilizing the full-wave analysis software tool of CST Studio Suite by CST AG www.cst.com/Products/CSTS2 .
  • Table 2 Comparison of resonant frequencies of distributed resonators of Figs. 10 to 13.
  • Resonator type Resonant frequency, f 0 [MHz] Single resonator post 1693 4 resonator posts linear ( Fig. 10 ) 750 4 resonator posts folded ( Fig. 12 ) 680 9 resonator posts curvilinear ( Fig. 11 ) 653 9 resonator posts folded ( Fig. 13 ) 506
  • the middle resonator post of the structures shown in respective Figures 11 and 13 is replaced with a tuning screw 100.
  • the tuning screw 100 is shown diagrammatically in that the screw body portion extending into the cavity is shown, but not the screw head, nor the screw thread on the screw body portion.
  • the tuning screw 100's intrusion into the cavity is made variable.
  • the tuning screw is allowed to intrude into the cavity to a maximum of 39 mm, thus allowing for a gap of 1 mm before the tuning screw would get in contact with the resonator housing.
  • the frequency tunability of the structures of Figures 15 and 16 are compared to the frequency tunability of a resonator having a single resonator post, which is shown in Figure 2 (PRIOR ART).
  • frequency tuning is performed by using a screw positioned at the top of the resonant post. Since in this comparison the resonant post is 39 mm in height and the cavity height is 40 mm, the tuning screw in this Figure 2 (PRIOR ART) case can intrude a maximum of 1 mm before getting in contact with the top of the resonator post.
  • Table 3 Comparison of frequency tunability of resonant structures of Figs. 15 and 16. f 0 (9 resonator posts curvilinear), Fig.15 [MHz] f 0 (9 resonator posts folded), Fig. 16 [MHz] Screw intrusion (0 mm) 742 590 Screw intrusion (39 mm) 653 506 Frequency tunability [%] 12.7 15.3 Table 4: For comparison, frequency tunability of a prior art resonator having a single resonator post. f 0 (single resonator post) [MHz] Screw intrusion (0 mm) 1693 Screw intrusion (0.5 mm) 1596 Frequency tunability [%] 5.8
  • the proposed distributed-resonator structures (seen for example in Figures 10 to 16 ) not only offer a reduction in the frequency of operation, but they also lend themselves to frequency tunability.
  • the arrangement of 9 folded distributed resonators ( Fig. 16 ) has a frequency tunability of over 15 %
  • the curvilinear arrangeent of 9 distributed resonators ( Fig. 15 ) has a tunability of over 12 %. This favourably compares to the frequency tunability of the prior art ( Figure 2 ) resonator having a a single resonator post, which stands at 5.8 %.
  • program storage devices e.g., digital data storage media, which are machine or computer readable and encode machine-executable or computer-executable programs of instructions, wherein said instructions perform some or all of the steps of said above-described methods.
  • the program storage devices may be, e.g., digital memories, magnetic storage media such as a magnetic disks and magnetic tapes, hard drives, or optically readable digital data storage media.
  • Some embodiments involve computers programmed to perform said steps of the above-described methods.

Landscapes

  • Physics & Mathematics (AREA)
  • Electromagnetism (AREA)
  • Control Of Motors That Do Not Use Commutators (AREA)

Abstract

A resonator is provided comprising a resonant chamber, each chamber comprising a first wall, a second wall opposite the first wall and side walls. The resonant chamber houses three or more resonator posts that are spaced apart, each resonator post being grounded on one of the first wall and the bottom wall. A first set of the resonator posts being grounded on the first wall so as to extend into the chamber from the first wall. A second set of the resonator posts being grounded on the second wall so as to extend into the chamber from the second wall. Each resonator post of the first set is for magnetic field coupling in proximity with at least one of the resonator posts of the second set.

Description

    Field of the Invention
  • The present invention relates to filters for telecommunications, in particular to radio-frequency filters.
  • Description of the Related Art
  • Filters are widely used in telecommunications. Applications include base stations for wireless cellular communications, radar systems, amplifier linearization systems, point-to-point radio, and RF signal cancellation systems, to name just a few. Although a specific filter is chosen or designed dependent on the particular application, it is generally desirable for a filter to have low insertion loss in the pass-band and high attenuation in the stop-band. Furthermore, in some applications, the frequency separation (known as the guard-band) between stop-band and pass-band needs to be small, so a filter of a high order is required. Of course as the order of a filter is increased so does its complexity in terms of the number of components the filter requires and hence the filter's size. Furthermore, although increasing the order of a filter increases stop-band attenuation, insertion loss in the pass-band is also thereby increased.
  • One of the challenging tasks in filter design is how to reduce their size ('miniaturization') but retain good electrical performance. One of the main parameters governing a filter's sensitivity and insertion loss is the so-called quality factor ("Q-Factor" or "Q") of the elements making up the filter. The Q-factor is defined as the ratio of energy stored in the element to the time-averaged power loss. For lumped elements that are used especially at low radiofrequencies in filter design, Q is typically in the range of about 60 to 100. For cavity-type resonators, Q is higher and can be as high as several thousands.
  • Although lumped components enable significant miniaturization their low Q prohibits their use in applications where high rejection and or selectivity are required.
  • On the other hand, cavity resonators offer sufficient Q but their relatively large size prevents their use in many applications.
  • The miniaturization problem is especially pressing with the advent of small cell base stations, where the volume of the base station should be minimal, since it is important the base station be as inconspicuous as possible (as opposed to an eyesore). As regards larger more powerful base stations, there is a trend in macrocell base stations towards multiband solutions within a similar mechanical housing to that of previous single-band solutions, so filter miniaturization without sacrificing system performance is becoming important for macrocell base stations too.
  • Several known solutions exist. For lower performance requirements, ceramic mono-block filters with external metallization are used. They offer significant size reduction but have a relatively low Q of a few 100's (up to 500), which is too low for many applications. Additionally, the small size of the filters prevents their use in high-power applications, due to relatively high insertion losses and rather limited power-handling capabilities.
  • Another type of known filters is filters with ceramic resonators. Like mono-block filters, they also offer significant size reductions. Furthermore, these filters offer power-handling capabilities that are much higher than those of mono-block filters. However, cost is the main prohibiting factor for wider deployment of these filters.
  • Another type of known filters is cavity filters made up of cavity resonators. In high-power applications, such as those found in mobile cellular communication base stations, there is still no real practical alternative to cavity filters.
  • The standard building block of a cavity filter is a combline resonator, depicted in its basic form in Figure 1. The combline resonator includes a resonator post in a cavity, and resonates at a frequency where the resonator posts's height is one quarter-wavelength of the electric current, I, induced on the surface of the resonator.
  • As shown in Figure 1, a single combline resonator is provided, and as there is no significant capacitive loading at the top of the resonator post, the electrical length of the combline resonator needs to be approximately 90 degrees at the frequency of operation. This electrical length of 90 degrees means that the resonator behaves as an impedance transformer, namely where the resonator post has a short-circuit ended bottom and an open-circuit ended top.
  • Since no manufacturing is perfect, the practical realization of a combline resonator is typically as shown in Figure 2. In the combline resonator shown in Figure 2, a tuning screw extends from the top of the cavity toward the resonator post's ungrounded end so as to effectively balance undesired effects caused by manufacturing tolerances. To explain another way, the tuning screw allows the resonator to be tuned to the resonant frequency for which the resonator was designed.
  • Figure 3 shows the equivalent circuit of each of the resonators shown in Figures 1 and 2.
  • In filters made up of cavity resonators, the known approach to size reduction is to apply a capacitive cap to the resonator post in the cavity, in other words to increase the diameter of the resonator post's top end (which is separated from the cavity surface by a gap). This provides a greater electrical loading and hence lower radio frequency of operation. However, this must be done with care and only to a moderate level since the Q-factor is reduced in consequence.
  • Summary
  • The reader is referred to the appended independent claims. Some preferred features are laid out in the dependent claims.
  • An example of the present invention is a resonator comprising a resonant chamber, each chamber comprising a first wall, a second wall opposite the first wall, and side walls. The resonant chamber houses three or more resonator posts that are spaced apart, each resonator post being grounded on one of the first wall and the second wall. A first set of the resonator posts is grounded on the first wall so as to extend into the chamber from the first wall. A second set of the resonators is grounded on the second wall so as to extend into the chamber from the second wall. Each resonator post of the first set is for magnetic field coupling in proximity with at least one of the resonator posts of the second set.
  • The first wall may be a top wall and the second wall may be a bottom wall.
  • Some embodiments provide distributed resonator posts within a resonant cavity. In some embodiments, the posts can be considered as interdigitated, being alternately grounded on opposite surfaces of the cavity.
  • Some embodiments simultaneously provide cavity filters having reduced dimensions and an extended range of frequency-tunability. This is significant as filters are typically the bulkiest and heaviest subsystems in base stations for mobile cellular telecommunications, rivalled only by power-amplifier heat-sinks, so filter miniaturization is desirable.
  • Also, the greater frequency tunability avoids the need for a network operator to buy replacement known filters for transiting to a new frequency band. Instead with filters according to embodiments, simple retuning is sufficient. Wasteful stockpiling of known cavity filters of different frequency bands is avoided. Opening-up and reconstruction of resonant cavity filters for retuning purposes is also avoided.
  • Some embodiments exploit electromagnetic characteristics that arise when multiple combline resonator posts are placed in the vicinity of one another.
  • Some embodiments will be used in Remote Radio Heads (RRH) where smaller and light-weight filters will cause less stresses due to wind load and reduced requirements for load-bearing on a tower or mast on which the RRH is mounted.
  • Some embodiments provide a reduction in size of the resonant cavity in a filter, as compared to a known filter. An example resonator consisting of a cavity housing eight resonator posts and a tuning screw yields a cavity size reduction of 3.35 as compared to a corresponding resonator having a single resonator post. The same resonator has a frequency tunable range of 15%. This significant frequency range is achieved without the need to open the filter, so there is no practical risk of degradation of radio frequency characteristics by contamination of the filter insides.
  • The present invention in some embodiments allows greater frequency-tunable range and smaller size than an alternative proposal having just two resonator posts in a resonant cavity.
  • Preferably, there are three resonator posts, the first set comprising one resonator post grounded on the first wall, and the second set comprising two resonator posts grounded on the second wall.
  • Alternatively, preferably, there are four or more resonator posts, the first set comprising resonator posts grounded on the first wall, and the second set comprising resonator posts grounded on the second wall, such that in a direction the posts are alternately grounded on the first wall and the second wall.
  • Preferably the resonator posts are in a row, and preferably the row is straight or curved, for example semi-circular. In some embodiments, the posts are alternately grounded on the first wall and the second wall in the direction along the row.
  • Alternatively, preferably the resonators are disposed in a grid such that, between any two resonator posts of the first set, a resonator post of the second set is provided.
  • Preferably the resonator post of the first set or the resonator posts of the first set is/are in an interdigitated configuration with the resonator posts of the second set.
  • Preferably at least one resonator post is of adjustable extension into the chamber so as to adjust the resonant frequency of the resonator. Preferably the or each resonator post of adjustable extension into the chamber comprises a screw member that extends into the chamber. Preferably one resonator post is of adjustable extension and is one that is near or at the centre of the resonator post configuration.
  • Examples of the present invention also relate to corresponding filters and methods of radio frequency filtering. For example, the present invention relates to a radio frequency filter comprising at least one resonator as outlined above.
  • Another example of the present invention relates to a method of radio frequency filtering comprising passing a signal for filtering through at least one resonator, each resonator comprising a resonant chamber, each chamber comprising a first wall, a second wall opposite the first wall, and side walls; in which
    the resonant chamber houses three or more resonator posts that are spaced apart, each resonator posts being grounded on one of the first wall and the second wall,
    a first set of the resonator posts being grounded on the first wall so as to extend into the chamber from the first wall;
    a second set of the resonator posts being grounded on the second wall so as to extend into the chamber from the second wall;
    wherein each resonator post of the first set is for magnetic field coupling in proximity with at least one of the resonator posts of the second set.
  • Preferably, the resonator posts of the first set are in an interdigitated configuration with the resonator posts of the second set. Preferably, the resonators are disposed in a grid such that, between any two resonator posts of the first set, a resonator post of the second set is provided. Preferably, at least one resonator post is of adjustable extension into the chamber so as to adjust the resonant frequency of the resonator.
  • Brief Description of the Drawings
  • Embodiments of the present invention will now be described by way of example and with reference to the drawings, in which:
    • Figure 1 is a diagram illustrating a known combline resonator (PRIOR ART),
    • Figure 2 is a diagram illustrating a known combline resonator including a tuning screw (PRIOR ART),
    • Figure 3 is a diagram illustrating an equivalent circuit of the resonator shown in Figure 1 (PRIOR ART) or Figure 2 (PRIOR ART),
    • Figure 4 is a diagram of a resonator according to an alternative proposal for comparison (ALTERNATIVE PROPOSAL),
    • Figure 5 is a diagram illustrating an equivalent circuit of the resonator shown in Figure 5 (ALTERNATIVE PROPOSAL),
    • Figure 6 is a diagram of a resonator according to a first embodiment of the invention having three resonator posts,
    • Figure 7 is a diagram of a resonator according to a second embodiment of the invention having four resonator posts,
    • Figure 8 is a diagram illustrating a generalised N-case equivalent circuit of the resonators shown in Figures 6 and 7, where N is the number of resonator posts
    • Figure 9 is a graph of frequency variation as a function of transformer impedance, Z t = 1 Y t
      Figure imgb0001
      for comparative examples of the first embodiment (resonator having three resonator posts in a cavity) and second embodiment (resonator having four resonator posts in a cavity), alternative proposal (resonator having two resonator posts in a cavity) and prior art (resonator having a single resonator post in a cavity),
    • Figure 10 is a diagram of a resonator according to a third embodiment of the invention having four resonator posts where (a) is a diagrammatic perspective view and (b) is a diagrammatic cross sectional view,
    • Figure 11 is a diagram of a resonator according to a fourth embodiment of the invention having nine resonator posts where (a) is a diagrammatic perspective view and (b) is a diagrammatic cross sectional view,
    • Figure 12 is a diagram of a resonator according to a fifth embodiment of the invention having four resonator posts where (a) is a diagrammatic perspective view and (b) is a diagrammatic cross sectional view,
    • Figure 13 is a diagram of a resonator according to a sixth embodiment of the invention having nine resonator posts where (a) is a diagrammatic perspective view and (b) is a diagrammatic cross sectional view,
    • Figure 14 is a diagram of the resonator shown in Figure 13 before final assembly,
    • Figure 15 is a diagram of a resonator corresponding to the one shown in Figure 11 but with one resonator post replaced by a tuning screw, and
    • Figure 16 is a diagram of a resonator corresponding to the one shown in Figure 13 but with one resonator post replaced by a tuning screw.
    Detailed Description
  • Examples of an alternative proposal which are not prior art nor embodiments are first described with reference to Figures 4 and 5.
  • Embodiments of the invention are then described with reference to Figures 6 to 16.
  • Alternative Proposal having two resonators
  • As shown in Figure 4, the inventors realised that a resonator structure 2 may be provided in which there are two resonator posts 4, 6, one 4 of which is grounded on the bottom 8 of a resonator cavity 10 and the other 6 of which is grounded on the top 12 of the resonator cavity 10.
  • The equivalent circuit 14 to this resonator structure 2 is shown in Figure 5.
  • Equivalent Circuit Analysis of Alternative Proposal having two resonators
  • Figure 5 corresponds to two of the resonators each represented by their own equivalent - parallel LC (inductor-capacitor) - circuit, connected through an admittance transformer, Yt.
  • The resonant frequency of each resonator is obtained from the condition that the admittance of the parallel circuit, Y0 , is equal to zero Y 0 = j ω 0 C 0 + 1 j ω 0 C 0 = 0
    Figure imgb0002

    to yield ω 0 = 1 L 0 C 0 .
    Figure imgb0003
  • The resonant frequency of the circuit shown in Figure 5 is, similarly, obtained from the condition that the input admittance, Yin , is equal to zero. In order to do so, the expression for Yin is obtained: Y in = 1 L 0 + C 0 + L 0 Y t 2 1 - ω 2 L 0 C 0
    Figure imgb0004
  • The inventors then inferred from equation (2) that the first term on the right corresponds to the susceptance of inductor L0 , while the second term represents the equivalent capacitive susceptance, composed of the susceptance of capacitor C0 and the susceptance contribution of the second resonator. The susceptance contribution of the second resonator is of capacitive character for frequencies below the resonant frequency of the individual resonators, ω 0 = 1 L 0 C 0 ,
    Figure imgb0005
    and of inductive character for frequencies above the resonant frequency of the individual resonators. The resonant frequencies of the resonator structure shown in Figure 4 are obtained by setting Yin = 0, to yield ω 2 L 0 C 0 - 1 - ω L 0 Y t ω 2 L 0 C 0 - 1 + ω L 0 Y t = 0
    Figure imgb0006
  • Since (3) is a polynomial of order four, it has four roots, two out of which are always negative and the remaining two are positive. Discarding the negative roots as unphysical, the two positive roots are ω 1 = L 0 Y t + L 0 2 Y t 2 + 4 L 0 C 0 2 L 0 C 0 and ω 2 = - L 0 Y t + L 0 2 Y t 2 + 4 L 0 C 0 2 L 0 C 0
    Figure imgb0007
  • Equation (4), upon substitution of ω 0 = 1 L 0 C 0 ,
    Figure imgb0008
    becomes ω 1 = ω 0 = ω 0 2 L 0 2 Y t 2 + 4 + L 0 ω 0 Y t 2 and ω 2 = ω 0 = ω 0 2 L 0 2 Y t 2 + 4 - L 0 ω 0 Y t 2
    Figure imgb0009
  • Equation (5) indicates that the introduction of an admittance transformer, Yt , results in two resonant frequencies: one above and the other below the resonant frequency of an individual resonator. In other words, for a given resonant frequency of an individual resonator post, the resonant frequencies of the resonator structure 2 shown in Figure 5 can be adjusted by a selection of the admittance transformer, Yt .
  • This lead the inventors to consider electromagnetic conditions that must be satisfied.
  • It follows from electromagnetic theory that for the coupling between two resonator posts to be strong, they must be placed in the vicinity of each other. The term "coupling" represents the amount of energy that one resonator post intercepts from another resonator post and can be expressed equally well by an equivalent loading "impedance" that one resonator post exhibits when another resonator post is placed in its vicinity.
  • In particular, the higher the equivalent loading "impedance" of a resonator post, the less amount of coupling exists between the two adjacently placed resonator posts. In the limiting case, when the loading impedance is infinite, no coupling exists between the resonator posts. In practice, this corresponds to the case of infinite physical separation between resonator posts.
  • In view of the above that inventors realised that a strong but controllable coupling between the two posts 4, 6 in the resonant cavity 12 is obtained by placing the resonator posts in the vicinity of each other such that one resonator post 4 extends from the bottom 8 of the cavity 10 and one resonator post 6 extends from the top 12.
  • Looking further at the resonator structure shown in Figure 4, it is seen that the resonators are positioned at opposite sides from each other. This means that the directions of the surface currents on the respective resonator posts 4,6 are such that the magnetic fields created by these two currents reinforce each other in the space 16 between the resonators. This implies that the coupling between the two resonator posts 4, 6 is strong, the resonator posts 4,6 exhibit a great deal of influence on each other, and this influence can be controlled by manipulating the amount of coupling between the two resonator posts 4,6. As explained earlier with reference to Figure 5, coupling can be represented by an equivalent impedance/admittance transformer between the two resonators.
  • It can be considered that depending on the coupling between the two resonators, this notional impedance/admittance transformer has a tunable electrical length.
  • Furthermore, given that each individual resonator post has an electrical length of 90° in isolation and that the electrical length of the transformer is adjustable, the overall electrical length of the resonant structure shown in Figure 4 can be arbitrarily long, resulting in reduced frequencies of operation compared to a single resonator in isolation.
  • Some example embodiments
  • Before presenting the example shown in Figure 6 which has three resonator posts and the example shown in Figure 7 which has four resonator posts, we will first consider a generalised equivalent circuit where N resonator posts are provided.
  • In terms of theory, we will consider the N resonator case shown in Figure 6, then focus specifically on the three resonator case shown in Figure 4 and four resonator case shown in Figure 5.
  • N resonator case, where N is three or more
  • The equivalent circuit for a generalised set of N resonator posts is shown in Figure 8. Figure 8 depicts N (two or more) identical resonator posts of Figure 3, each represented by their own equivalent - parallel LC (inductor-capacitor) - circuit, connected through an admittance transformer, Yt . The resonant frequency of each individual resonator post is obtained from the condition that the admittance of the parallel circuit, Y0, is equal to zero Y 0 = j ω 0 C 0 + 1 j ω 0 C 0 = 0
    Figure imgb0010

    to yield ω 0 = 1 L 0 C 0 .
    Figure imgb0011
    The resonant frequency of the circuit of Figure 8 is, similarly, obtained from the condition that the input admittance, Yin , is equal to zero.
    In order to do so, the expression for Yin is obtained in the form of generalised continued fraction Y in = Y 01 + Y t 1 2 Y 02 + Y t 2 2 Y 03 + Y tm 2 Y 0 n , for m = n - 1 , n 2
    Figure imgb0012

    where Y 01, Y 02,...,Y 0n represent the susceptances of individual resonator posts, given by Y 0 n = j ω 0 n C 0 n + 1 j ω 0 n L 0 n
    Figure imgb0013

    and m represents the number of admittance transformers connecting the individual resonator posts. For a given number of resonator posts, n, the number of admittance transformers is m=n-1.
  • The resonant frequency of the equivalent circuit of Figure 8 is determined by setting (7) to zero, i.e. Y in = Y 01 + Y t 1 2 Y 02 + Y t 2 2 Y 03 + Y tm 2 Y 0 n = 0
    Figure imgb0014
  • The frequency obviously depends on the of number of resonator posts, n, and the number of admittance transformers, m=n-1. In the first instance, let us examine how the resonant frequencies depend on the number of resonator posts connected in this way.
  • Three Resonator Case
  • As shown in Figure 6, the inventors realised that a resonator structure 19 (sometimes referred to as a resonant structure or the like) may be provided in which there are three resonator posts 20, 22, 24, two 20,24 of which are grounded on the bottom 26 of a resonator cavity 28 and the other 22 of which is disposed between said first two posts 20, 24 and is grounded on the top 30 of the resonator cavity 28.
  • It will be understood that the nomenclature top wall, bottom wall, sides walls, is intended to distinguish the walls from each other and resonators may function in any orientation relative to the Earth.
  • Accordingly, in terms of equivalent circuit analysis, we now examine the case of three identical resonator posts connected via two identical admittance transformers. In this case, (4) becomes Y in = 1 L 0 + C 0 + L 0 Y t 2 1 - ω 2 L 0 C 0 1 - ω 2 L 0 C 0 2 - ω 2 L 0 2 Y t 2
    Figure imgb0015
  • As in the case of two resonator posts, one can infer from (10) that the first term on the right corresponds to the susceptance of inductor L0, while the second term represents the equivalent capacitive susceptance, composed of the susceptance of capacitor C0 and the susceptance contribution of the remaining two resonator posts. The resonant frequencies of the resonant structure having three-resonator posts represented by (10) are obtained by setting Yin = 0, to yield 1 - ω 2 L 0 C 0 1 - ω 2 L 0 C 0 - 2 ω L 0 Y t 1 - ω 2 L 0 C 0 + 2 ω L 0 Y t = 0
    Figure imgb0016
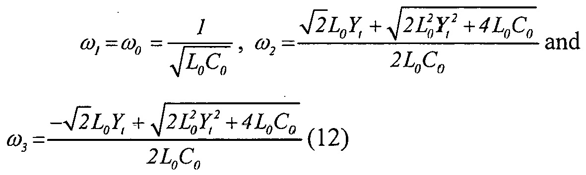
  • The order of the polynomial of (11) is six and, as such, there are six roots, out of which three are always negative and the remaining three are positive. Discarding the negative roots are unphysical, the three positive roots are ω 1 = ω 0 = 1 L 0 C 0 , ω 2 = 2 L 0 Y t + 2 L 0 2 Y t 2 + 4 L 0 C 0 2 L 0 C 0 and ω 3 = - 2 L 0 Y t + 2 L 0 2 Y t 2 + 4 L 0 C 0 2 L 0 C 0
    Figure imgb0017
  • The first resonant frequency ω1 is the resonant frequency of a single resonator post alone, while the other two frequencies are positioned above and below the resonant frequency of an individual resonator post, ω1 . In other words, for a given resonant frequency of an individual resonator post, the resonant frequencies given by (11) can be adjusted by a selection of the admittance transformer, Yt .
  • It can be shown that the frequency difference between the lowest frequencies of operation of a resonant structure having three identical resonator posts compared to a resonant structure having two two identical resonator posts, for identical values of admittance transformers, is always non-positive, i.e. that the structure with three resonator posts will always have a resonant frequency that is lower than the lowest frequency of operation of the two-resonator post structure.
  • Four Resonator Case
  • As shown in Figure 7, the inventors realised that a resonator structure 31 may be provided in which there are four resonator posts 32, 34, 36, 38, two 32,36 of which is grounded on the bottom 40 of a resonator cavity 42 and the other 34,38 of which is grounded on the top 44 of the resonator cavity 42.
  • The resonator posts can be considered as in an interdigitated configuration in that, although not touching each other, along a row or direction the resonator posts are alternately provided from one group (top wall grounded) and then the other group (bottom wall grounded). The term interdigitated is used as this configuration is somewhat analogous to fingers of one hand have been inserted between those of the other hand.
  • Accordingly, in terms of equivalent circuit analysis, we proceed to considering this structure having four closely-coupled resonator posts. The input admittance in this case can be represented as Y in = 1 L 0 + C 0 + L 0 Y t 2 1 - ω 2 L 0 C 0 2 - ω 2 L 0 2 Y t 2 1 - ω 2 L 0 C 0 3 - 2 ω 2 L 0 2 Y t 2 1 - ω 2 L 0 C 0
    Figure imgb0018
  • By setting (13) to zero, one obtains four physical resonant frequencies, given by ω 1 = 4 L 0 C 0 + L 0 2 Y t 2 3 + 5 + 8 L 0 3 C 0 Y t 2 3 + 5 + L 0 4 Y t 4 3 + 5 2 2 L 0 C 0 ω 2 = 4 L 0 C 0 + L 0 2 Y t 2 3 + 5 - 8 L 0 3 C 0 Y t 2 3 + 5 + L 0 4 Y t 4 3 + 5 2 2 L 0 C 0 ω 3 = 4 L 0 C 0 + L 0 2 Y t 2 3 - 5 + 8 L 0 3 C 0 Y t 2 3 - 5 + L 0 4 Y t 4 3 - 5 2 2 L 0 C 0 ω 4 = 4 L 0 C 0 + L 0 2 Y t 2 3 - 5 - 8 L 0 3 C 0 Y t 2 3 - 5 + L 0 4 Y t 4 3 - 5 2 2 L 0 C 0
    Figure imgb0019
  • Out of the four resonant frequencies, ω2 and ω4 are of particular importance, since they are lower than the operating frequency of a single resonator, as opposed to ω1 and ω3 , which are always higher than the frequency of a single resonator post. Furthermore, it can be shown that ω2 is, for the same operating conditions (i.e. same resonators and same admittance transformers), always lower than ω4 . It can be further shown that the resonant frequency of a structure having four resonator posts will resonate with a frequency that is always lower that the lowest frequency of a three-resonator post structure.
  • Comparison of Example Structures (three resonator posts and four resonator posts) with alternative proposal example (two resonator posts) and prior art example (single resonator post)
  • Let us consider four example resonant structures, one with a single resonator post (prior art), one with two coupled resonator posts (alternative proposal), one with three coupled resonator posts and one with four coupled resonator posts.
  • In the proposed resonant structures, individual resonator posts and admittance transformers are identical and operate at a frequency of 2 GHz.
  • As an illustration, Figure 9 shows frequency variation of lowest resonant frequencies of single- (circles), two- (squares), three- (inverted triangles) and four-resonator post (triangles) structures as a function of transformer impedance, Z t = 1 Y t .
    Figure imgb0020
  • More specifically, Figure 9 shows ω2 of (8), ω3 of (11) and ω2 of (13) plotted as a function of the admittance transformer, Yt . It is important to note that the two-resonator post structure has one admittance transformer, the three-resonator post structure has two admittance transformers and the four-resonator post structure has three admittance transformers. The admittance transformer, Yt , is allowed to vary from 0.0033 S (equivalent to 300 Ω) to 0.05 S (equivalent to 20 Ω).
  • As evident from this figure, the frequency of operation of coupled resonant structures is successively decreased as the number of coupled resonator posts increases. However, it is worth noting that the reduction of the operating frequency of coupled resonant structures is not linearly proportional to the number of coupled resonator posts. Mathematically, this is easily explained by the fact that the input admittance of coupled resonator posts can be expressed in the form of a generalized continued fraction, which does not converge linearly as the number of its constituent elements increases. As a matter of fact, the rate of convergence of the generalized continued fraction is greatly reduced as the number of its constituent elements increases. Physically, this can be understood, at least to a first-order approximation, in terms of the currents flowing on the resonator surfaces. For example, let us assume that current I flowing on the surface of the first resonator post is coupled to the second resonator post by virtue of a coupling coefficient k, k<1. The current induced on the surface of the second resonator post is now k*I. The third resonator post is coupled to the second resonator post with the same coupling coefficient, k, which infers that the induced current on the surface of the third resonator post is k2 *I. The introduced current in the fourth resonator post is, using the same rationale, k3 *I. Since the coupling coefficient k is always smaller than 1, it follows that a successively smaller current is induced on the surfaces of subsequent resonators. For a case of n resonator posts, and hence m=n -1 admittance transformers, it follows that the induced current on the surface of the last resonator post in the row is I n = K n - 1 I 1
    Figure imgb0021

    where I 1 and In represent the surface currents on the first and the n-th resonator posts. At one point, for a sufficiently large number of resonator posts, the amount of induced current on the n-th resonator will be close to zero, meaning that this resonator post hardly contributes at all to the reduction of the frequency of operation - in other words, it becomes a case of diminishing returns.
  • More Example Embodiments
  • When considering the two resonator post configuration, the inventors realised that it is now possible to increase the number of resonator posts with alternative resonator posts grounded on opposite surfaces of the cavity, so that the frequency of operation is further reduced, in line with the theory presented earlier. The individual resonator posts can be arranged in a row, Fig. 10, or can be arranged in a circular/semicircular fashion, Fig. 11. However, as shown earlier in the text, the increase in the number of resonator posts in this fashion does not linearly decrease the frequency of operation.
  • Figure 10 shows a resonant structure 50 comprising a cavity 52 defined by a top wall 54, bottom wall 56, and four side walls 58. The walls are, of course electrically conductive. In the Figure 10 example, there is a row 59 of four resonator posts 60,62,64,66. Two 60 ,64 of these are grounded on the bottom wall 56 and two are grounded on the top wall 54 in an alternating manner along the row 59 so as to take what may be considered as an inter-digitating configuration. Each resonator post 60,62,64,66 has a non-grounded end 68 so that an air gap 70is provided between that non-grounded end and the opposite top or bottom wall to the top or bottom wall on which that resonator post is grounded.
  • Figure 11 shows a resonant structure 50a comprising a cavity 52a defined by a top wall 54a, bottom wall 56a, and four side walls 58a. The walls are, of course electrically conductive. In the Figure 10 example, there is a semicircular row 59a of nine resonator posts 61a, 63a, 65a, 67a, 69a,71a, 73a, 75a, 77a. Five 61a, 65a, 69a, 73a, 77a of these are grounded on the bottom wall 56a and four 63a, 67a, 71a, 75a are grounded on the top wall 54a in an alternating manner along the row 59a so as to take what may be considered as an inter-digitating configuration. Each resonator post has a non-grounded end so that an air gap is provided between that non-grounded end and the opposite top or bottom wall to the top or bottom wall on which that resonator post is grounded.
  • One may now pose a question as to whether or not an arrangement of resonator posts in some ways better than linear exists, so that - for the same number of resonator posts - the amount of inter-resonator post coupling can be increased; more accurately, the goal is to increase the amount of coupling received by a furthermost resonator post. One such a solution is found by positioning the resonator posts so that they form a rectangular or circular grid.
  • Figures 12 and 13 illustrate two rectangular grid examples, one with four and the other with nine resonator posts, respectively. It is important to state that each of the resonator posts in these two figures couple only to its adjacent neighbours on the vertical and horizontal axes. The resonator posts do not couple to their neighbouring resonator posts on the diagonal axis, since these resonator posts protrude from the same side of the ground plane. For the same reason, the resonator posts along the diagonal axes do not couple to each other.
  • Figure 12 shows a resonant structure 50b comprising a cavity 52b defined by a top wall 54b, bottom wall 56b, and four side walls 58b. The walls are, of course electrically conductive. In the Figure 12 example, there is a grid 59b of four resonator posts 60b,62b,64b,66b. Two 60b ,64b of these are grounded on the bottom wall 56 and two 62b,66b are grounded on the top wall 54b in an alternating manner. Accordingly, it can be considered that the posts situated on shared diagonal axes in an X-Y plane are grounded on the same wall. Each resonator post 60b,62b,64b,66b has a non-grounded end so that an air gap 70b is provided between that non-grounded end and the opposite top or bottom wall to the top or bottom wall on which that resonator post is grounded.
  • Figure 13 shows a resonant structure 50c comprising a cavity 52c defined by a top wall 54c, bottom wall 56c, and four side walls 58c. The walls are, of course electrically conductive. In the Figure 13 example, there is a grid 59a of nine resonator posts 61c, 63c, 65c, 67c, 69c,71c, 73c, 75c, 77c. Five 61c, 65c, 71c, 75c, 779c of these are grounded on the bottom wall 56c and four 63c, 69c, 73c, 77c are grounded on the top wall 54c in an alternating manner. Accordingly, it can be seen that the posts situated on shared diagonal axes in an X-Y plane are grounded on the same top or bottom wall 54c,56c. Each resonator post has a non-grounded end so that an air gap is provided between that non-grounded end and the opposite top or bottom wall to the top or bottom wall on which that resonator post is grounded.
  • A technique that can be used to facilitate economic manufacture of a filter consisting of any of the structures in Figures 10 to 13 is depicted in Figure 14, which specifically represents the structure of Figure 13. Figure 14 can be considered a side-exploded view of the structure of Figure 13.
  • As shown in Figure 14, the resonator structure described above in respect of Figure 13 is assembled from three parts: the bottom wall 56c with resonator posts grounded thereon (left in Figure 14), the cavity body made up of the four side walls 58c (centre in the Figure 14) and the top wall 54c on which are grounded the other resonator posts (right in the Figure 14).
  • The top and bottom walls 54c, 56cwith their respective resonators can be fabricated by one of the established dimensionally-stable, highly-repeatable and relatively low-cost large-scale manufacturing processes such as casting.
  • Coupling
  • From the previous discussion, for linearly- or curvilinearly-arranged coupled resonator posts (Figures 10 and 11, respectively), the coupling from the first resonator post to the last resonator post can be inferred from (15), to be equal to k n = k n - 1
    Figure imgb0022

    under the provision that the coupling between any two neighbouring resonator posts is the same and equal to k. As elaborated before, for a large number of resonating elements, the amount of induced (coupled) current onto the furthermost resonator post is very low, resulting in a rather limited influence of that resonator post on the frequency of operation of the overall resonator structure. For comparison, let us now examine the amount of coupling between the resonator posts in the rectangular grid configurations of Figures 12 and 13. For this purpose, it is of importance to quantify the least amount of coupling that exists in the rectangular grid configuration. With regards to Figures 12 and 13, the least amount of coupling exists between the resonator posts which are diametrically opposite to each other and can be written as k N , N = 2 N - 1 N - 1 k 2 N - 1
    Figure imgb0023

    where NxN is the size of the matrix formed by configuration of the distributed resonator posts, depicted in Figs. 12 and 13, related to n (number of resonator posts) by N = n .
    Figure imgb0024
    For example, with regards to Fig. 12, the amount of coupling energy (k 2,2) that the resonator post positioned at 2,2 (bottom right) receives from the resonator post positioned at 1,1 (top left) is equal to k 2 , 2 = 2 k 2
    Figure imgb0025

    while the amount of coupling energy that the last resonator post (far right) in the configuration depicted in Fig. 10 receives is equal to k 4 = k 3
    Figure imgb0026
  • Similarly, with regards Fig. 13, the amount of coupling energy (k 3,3) that the resonator post positioned at 3,3 (bottom right) receives from the resonator post positioned at 1,1 (top left) is equal to k 3 , 3 = 6 k 4
    Figure imgb0027
  • For reference, the amount of coupling energy that the last resonator post (far right) in the configuration depicted in Fig. 11 receives is equal to k 9 = k 8
    Figure imgb0028
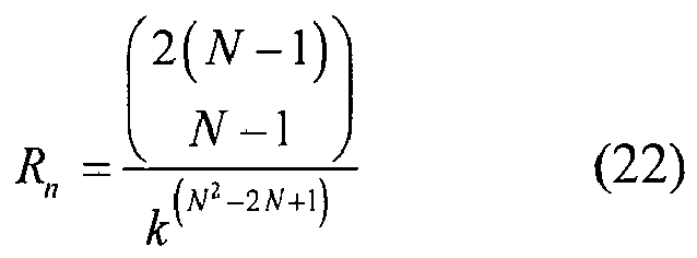
  • Defining the ratio between the least amount of couplings of the respective configurations depicted in Figs. 13 and 11 (i.e. the rectangular-grid arrangement versus the linear/curvilinear arrangement containing the same number of resonator posts) - i.e. the ratio of (16) and (15) - one obtains R n = 2 N - 1 N - 1 k N 2 - 2 N + 1
    Figure imgb0029
  • For n = 4, 9 and 16, i.e. N = 2, 3 and 4, the coupling-coefficient ratio of (22) respectively becomes R 4 = 2 k ; R 9 = 6 k 4 and R 16 = 20 k 9
    Figure imgb0030
  • Table 1 presents the coupling coefficient ratio for several numbers of resonator posts, for the case of the coupling coefficient of k = 0.1. Table 1: Ratio of coupling coefficients of (21) for n = 4, 9 and 16.
    R 4 R 9 R 16
    k=0.1 20 60,000 210
  • As evident from this table, the coupling-coefficient ratio, Rn , is always greater than 1, indicating that the proposed folded solution of Figs. 12 and 13 always gives greater coupling coefficients compared to the linearly- or curvilinearly-arranged resonator solutions of Figs. 10 and 11. The results of Table 1 are not surprising, since the exponent of the denominator of (21) is always greater than, or equal to, one.
  • The proposed folding approach can be applied to arrangements where the coupled resonator posts are not arranged in a rectangular grid, but can be arranged in a circular fashion, for example. However, that will require formation of an effective order of the resonator matrix.
  • In conclusion of this section, we believe it is descriptive to term the resonant structures of Figs. 10 to 13 as distributed resonators, due to the fact that the resonance condition is not only a function of an individual resonator post, but of the coupling among the resonator posts, too.
  • Resonant Frequency behaviour
  • Described above, Figures 10 and 11 represent some embodiments of distributed resonators, so that the reduction in the operating frequency is achieved, while Figures 12 and 13 further refine the distributed-resonator concept.
  • Table 2 compares the resonant frequencies, f0 , of the four solutions presented in the respective Figures 10 to 13. In all cases, the cavity size is identical, 20 x 20 x 40 mm3, and the basic resonator element - operating at a frequency of 1693 MHz - is the same. Furthermore, the separation between the identical resonator posts depicted in Figures 10 to 13 is constant and also kept the same, 2.6 mm. The reported resonant-frequency values were obtained by utilizing the full-wave analysis software tool of CST Studio Suite by CST AG www.cst.com/Products/CSTS2. Table 2: Comparison of resonant frequencies of distributed resonators of Figs. 10 to 13.
    Resonator type Resonant frequency, f0 [MHz]
    Single resonator post 1693
    4 resonator posts linear (Fig. 10) 750
    4 resonator posts folded (Fig. 12) 680
    9 resonator posts curvilinear (Fig. 11) 653
    9 resonator posts folded (Fig. 13) 506
  • As evident from this table, closely-coupled distributed resonators lead to a great reduction of the operating frequency compared to the operating frequency of a single resonator post. This, conversely, means that for the same resonant frequency closely-coupled distributed resonators yield filters with substantially reduced volumes - e.g. the 9-resonator post arrangement of Figure 13 reduces the volume of the filter cavity by a factor of 3.35 (= 1693 MHz/506 MHz) in comparison with that required for the conventional single-resonator post cavity filter operating at the same frequency. It is also evident that the reduction of the operating frequency is proportional to the number of coupled/distributed resonator elements. Nevertheless, in line with the theory presented earlier in the text, the folded-resonator approach, depicted in Figures 12 and 13, gives a greater reduction in the operating frequency compared to the case when the distributed resonators are arranged linearly or curvilinearly.
  • Frequency Tuning
  • It is relevant to mention the possibility of tuning of the distributed-resonator structures of Figures 10 to 13. Due to the fact that the individual distributed resonator posts are of a small diameter, at least one of them can be replaced by a tuning screw. In order to illustrate tunability, the structures of Figures 11 and 13 are considered as starting points. For best tuning performance, as a general rule, the middle/centre resonator post is replaced with a tuning screw, since it is this resonator post that is in the position to exert the most effect of them all - e.g. in Figure 13, the centre resonator post directly affects four of its surrounding resonator posts; no other resonator post in the arrangement has as much coupling influence as the centre resonator post. Therefore, as shown in Figures 15 and 16, the middle resonator post of the structures shown in respective Figures 11 and 13 is replaced with a tuning screw 100. In Figures 15 and 16, the tuning screw 100 is shown diagrammatically in that the screw body portion extending into the cavity is shown, but not the screw head, nor the screw thread on the screw body portion.
  • The tuning screw 100's intrusion into the cavity is made variable. In particular, with regards to the present cavity dimensions, the tuning screw is allowed to intrude into the cavity to a maximum of 39 mm, thus allowing for a gap of 1 mm before the tuning screw would get in contact with the resonator housing.
  • For comparison, the frequency tunability of the structures of Figures 15 and 16 are compared to the frequency tunability of a resonator having a single resonator post, which is shown in Figure 2 (PRIOR ART). In the case of the resonator having a single resonator post (Figure 2), frequency tuning is performed by using a screw positioned at the top of the resonant post. Since in this comparison the resonant post is 39 mm in height and the cavity height is 40 mm, the tuning screw in this Figure 2 (PRIOR ART) case can intrude a maximum of 1 mm before getting in contact with the top of the resonator post. Nevertheless, it is never advisable to have a gap between the top of the resonator post and the tuning screw smaller than 0.5 mm, as that would negatively influence the power-handling capability of the device. The results are presented in Tables 3 and 4. Table 3: Comparison of frequency tunability of resonant structures of Figs. 15 and 16.
    f0 (9 resonator posts curvilinear), Fig.15 [MHz] f0 (9 resonator posts folded), Fig. 16 [MHz]
    Screw intrusion (0 mm) 742 590
    Screw intrusion (39 mm) 653 506
    Frequency tunability [%] 12.7 15.3
    Table 4: For comparison, frequency tunability of a prior art resonator having a single resonator post.
    f0 (single resonator post) [MHz]
    Screw intrusion (0 mm) 1693
    Screw intrusion (0.5 mm) 1596
    Frequency tunability [%] 5.8
  • As evident from these tables, the proposed distributed-resonator structures (seen for example in Figures 10 to 16) not only offer a reduction in the frequency of operation, but they also lend themselves to frequency tunability. For example, the arrangement of 9 folded distributed resonators (Fig. 16) has a frequency tunability of over 15 %, and the curvilinear arrangeent of 9 distributed resonators (Fig. 15) has a tunability of over 12 %. This favourably compares to the frequency tunability of the prior art (Figure 2) resonator having a a single resonator post, which stands at 5.8 %.
  • The present invention may be embodied in other specific forms without departing from its essential characteristics. The described embodiments are to be considered in all respects only as illustrative and not restrictive. The scope of the invention is, therefore, indicated by the appended claims rather than by the foregoing description. All changes that come within the meaning and range of equivalency of the claims are to be embraced within their scope.
  • A person skilled in the art would readily recognize that steps of various above-described methods can be performed by programmed computers. Some embodiments relate to program storage devices, e.g., digital data storage media, which are machine or computer readable and encode machine-executable or computer-executable programs of instructions, wherein said instructions perform some or all of the steps of said above-described methods. The program storage devices may be, e.g., digital memories, magnetic storage media such as a magnetic disks and magnetic tapes, hard drives, or optically readable digital data storage media. Some embodiments involve computers programmed to perform said steps of the above-described methods.

Claims (15)

  1. A resonator comprising a resonant chamber, each chamber comprising a first wall, a second wall opposite the first wall, and side walls; in which
    the resonant chamber houses three or more resonator posts that are spaced apart, each resonator post being grounded on one of the first wall and the second wall,
    a first set of the resonator posts being grounded on the first wall so as to extend into the chamber from the second wall;
    a second set of the resonator posts being grounded on the second wall so as to extend into the chamber from the second wall;
    wherein each resonator post of the first set is for magnetic field coupling in proximity with at least one of the resonator posts of the second set.
  2. A resonator according to claim 1, in which there are three resonator posts, the first set comprising one resonator post grounded on the first wall, and the second set comprising two resonator posts grounded on the second wall.
  3. A resonator according to claim 1, in which there are four or more resonator posts, the first set comprising resonator posts grounded on the first wall, and the second set comprising resonator posts grounded on the second wall, such that the posts are alternately grounded on the first wall and the second wall.
  4. A resonator according to claim 2 or claim 3, in which the resonator posts are in a row.
  5. A resonator according to claim 4, in which the row is straight or curved.
  6. A resonator according to any of claims 1 to 3, in which the resonator posts are disposed in a grid such that, between any two resonator posts of the first set, a resonator post of the second set is provided.
  7. A resonator according to any preceding claim, in which the resonator posts of the first set are in an interdigitated configuration with the resonator posts of the second set.
  8. A resonator according to any preceding claim, in which at least one resonator post is of adjustable extension into the chamber so as to adjust the resonant frequency of the resonator.
  9. A resonator according to 8 in which the or each resonator post of adjustable extension into the chamber comprises a screw member that extends into the chamber
  10. A resonator according to claim 8 or claim 9, in which one resonator post is of adjustable extension and is one that is near or at the centre of the resonator post configuration.
  11. A radio frequency filter comprising at least one resonator according to any preceding claim.
  12. A method of radio frequency filtering comprising passing a signal for filtering through at least one resonator, each resonator comprising a resonant chamber, each chamber comprising a first wall, a second wall opposite the first wall, and side walls; in which
    the resonant chamber houses three or more resonator posts that are spaced apart, each resonator post being grounded on one of the first wall and the second wall,
    a first set of the resonator posts being grounded on the first wall so as to extend into the chamber from the first wall;
    a second set of the resonator posts being grounded on the second wall so as to extend into the chamber from the second wall;
    wherein each resonator post of the first set is for magnetic field coupling in proximity with at least one of the resonator posts of the second set.
  13. A method of radio frequency filtering according to claim 12, in which the resonator posts of the first set are in an interdigitated configuration with the resonator posts of the second set.
  14. A method of radio frequency filtering according to claim 12 or claim 13, in which the resonators are disposed in a grid such that, between any two resonator posts of the first set, a resonator post of the second set is provided.
  15. A method of radio frequency filtering according to any of claims 12 to 14, in which at least one resonator post is of adjustable extension into the chamber so as to adjust the resonant frequency of the resonator.
EP14290316.0A 2014-10-21 2014-10-21 A resonator, a filter and a method of radio frequency filtering Withdrawn EP3012902A1 (en)

Priority Applications (1)

Application Number Priority Date Filing Date Title
EP14290316.0A EP3012902A1 (en) 2014-10-21 2014-10-21 A resonator, a filter and a method of radio frequency filtering

Applications Claiming Priority (1)

Application Number Priority Date Filing Date Title
EP14290316.0A EP3012902A1 (en) 2014-10-21 2014-10-21 A resonator, a filter and a method of radio frequency filtering

Publications (1)

Publication Number Publication Date
EP3012902A1 true EP3012902A1 (en) 2016-04-27

Family

ID=51870946

Family Applications (1)

Application Number Title Priority Date Filing Date
EP14290316.0A Withdrawn EP3012902A1 (en) 2014-10-21 2014-10-21 A resonator, a filter and a method of radio frequency filtering

Country Status (1)

Country Link
EP (1) EP3012902A1 (en)

Cited By (6)

* Cited by examiner, † Cited by third party
Publication number Priority date Publication date Assignee Title
EP3285331A1 (en) * 2016-08-17 2018-02-21 Nokia Technologies Oy Resonator
EP3301752A1 (en) * 2016-09-28 2018-04-04 Nokia Technologies Oy Resonator
EP3333967A1 (en) * 2016-12-12 2018-06-13 Nokia Technologies OY Resonator
WO2021213630A1 (en) * 2020-04-21 2021-10-28 Nokia Technologies Oy A resonant device comprising resonant elements within a resonant cavity
US11276907B2 (en) 2019-03-26 2022-03-15 Nokia Solutions And Networks Oy Apparatus for radio frequency signals and method of manufacturing such apparatus
CN117374544A (en) * 2023-12-08 2024-01-09 成都威频通讯技术有限公司 Interdigital capacitive coupling miniaturized cavity low-pass filter

Citations (5)

* Cited by examiner, † Cited by third party
Publication number Priority date Publication date Assignee Title
EP0038996A1 (en) * 1980-04-28 1981-11-04 Oki Electric Industry Company, Limited A high frequency filter
JPS5714201A (en) * 1980-06-30 1982-01-25 Murata Mfg Co Ltd Filter using dielectric resonator
US20040051603A1 (en) * 2002-09-17 2004-03-18 Pance Kristi Dhimiter Cross-coupled dielectric resonator circuit
EP1575118A1 (en) * 2004-03-12 2005-09-14 M/A-Com, Inc. Method and mechanism of tuning dielectric resonator circuits
WO2007149423A2 (en) * 2006-06-21 2007-12-27 M/A-Com, Inc. Dielectric resonator circuits

Patent Citations (5)

* Cited by examiner, † Cited by third party
Publication number Priority date Publication date Assignee Title
EP0038996A1 (en) * 1980-04-28 1981-11-04 Oki Electric Industry Company, Limited A high frequency filter
JPS5714201A (en) * 1980-06-30 1982-01-25 Murata Mfg Co Ltd Filter using dielectric resonator
US20040051603A1 (en) * 2002-09-17 2004-03-18 Pance Kristi Dhimiter Cross-coupled dielectric resonator circuit
EP1575118A1 (en) * 2004-03-12 2005-09-14 M/A-Com, Inc. Method and mechanism of tuning dielectric resonator circuits
WO2007149423A2 (en) * 2006-06-21 2007-12-27 M/A-Com, Inc. Dielectric resonator circuits

Cited By (8)

* Cited by examiner, † Cited by third party
Publication number Priority date Publication date Assignee Title
EP3285331A1 (en) * 2016-08-17 2018-02-21 Nokia Technologies Oy Resonator
EP3301752A1 (en) * 2016-09-28 2018-04-04 Nokia Technologies Oy Resonator
EP3333967A1 (en) * 2016-12-12 2018-06-13 Nokia Technologies OY Resonator
US11063335B2 (en) 2016-12-12 2021-07-13 Nokia Technologies Oy Resonator
US11276907B2 (en) 2019-03-26 2022-03-15 Nokia Solutions And Networks Oy Apparatus for radio frequency signals and method of manufacturing such apparatus
WO2021213630A1 (en) * 2020-04-21 2021-10-28 Nokia Technologies Oy A resonant device comprising resonant elements within a resonant cavity
CN117374544A (en) * 2023-12-08 2024-01-09 成都威频通讯技术有限公司 Interdigital capacitive coupling miniaturized cavity low-pass filter
CN117374544B (en) * 2023-12-08 2024-02-23 成都威频通讯技术有限公司 Interdigital capacitive coupling miniaturized cavity low-pass filter

Similar Documents

Publication Publication Date Title
EP3012902A1 (en) A resonator, a filter and a method of radio frequency filtering
US7924114B2 (en) Electrical filters with improved intermodulation distortion
US10347990B2 (en) Low-profile dual-band filtering patch antenna
US11183745B2 (en) Tubular in-line filters that are suitable for cellular applications and related methods
US6130591A (en) Band-pass filter comprising series coupled split gap resonators arranged along a circular position line
EP3012901B1 (en) A resonator, a radio frequency filter, and a method of filtering
EP2894710B1 (en) Coaxial resonator filter
KR101546931B1 (en) Triple-band bandstop filter
EP3179552B1 (en) A resonator assembly, a radio frequency filter and a method of radio-frequency filtering
JPH10322155A (en) Band-stop filter
KR20160076019A (en) Step impedance resonator with dielectric stack and filter using the same
Li et al. The compact bandpass cavity filter on multi-cylinder coaxial resonators
EP3285331B1 (en) Resonator
EP3301752A1 (en) Resonator
Xiang et al. Miniature dual-mode bandpass filter based on meander loop resonator with source-load coupling
CN212461993U (en) Microwave Resonators and Filters
Jung et al. Miniaturised bandpass filter using dumb-bell-shaped slot resonator
CN116190949B (en) A broadband integrated substrate gap waveguide filter with controllable electromagnetic coupling
KR101645671B1 (en) High frequency filter with cross-arranged step impedance resonator
EP3324480A1 (en) Resonator, resonator assembly and filter
Bulja et al. Split-distributed resonators and filters
EP2894709B1 (en) Coaxial resonator filter
CN112186323A (en) Microwave resonator and filter
Bulja et al. Concentric distributed resonators and filters
Boutejdar et al. A simple method to control the reject band of microstrip low pass filter using a new multi-ring defected ground structures (DGS)

Legal Events

Date Code Title Description
PUAI Public reference made under article 153(3) epc to a published international application that has entered the european phase

Free format text: ORIGINAL CODE: 0009012

AK Designated contracting states

Kind code of ref document: A1

Designated state(s): AL AT BE BG CH CY CZ DE DK EE ES FI FR GB GR HR HU IE IS IT LI LT LU LV MC MK MT NL NO PL PT RO RS SE SI SK SM TR

AX Request for extension of the european patent

Extension state: BA ME

17P Request for examination filed

Effective date: 20161027

RBV Designated contracting states (corrected)

Designated state(s): AL AT BE BG CH CY CZ DE DK EE ES FI FR GB GR HR HU IE IS IT LI LT LU LV MC MK MT NL NO PL PT RO RS SE SI SK SM TR

RAP1 Party data changed (applicant data changed or rights of an application transferred)

Owner name: ALCATEL LUCENT

17Q First examination report despatched

Effective date: 20190627

STAA Information on the status of an ep patent application or granted ep patent

Free format text: STATUS: THE APPLICATION IS DEEMED TO BE WITHDRAWN

18D Application deemed to be withdrawn

Effective date: 20191108