DE60128940T2 - C-nitroso verbindungen und deren verwendung - Google Patents

C-nitroso verbindungen und deren verwendung Download PDF

Info

Publication number
DE60128940T2
DE60128940T2 DE60128940T DE60128940T DE60128940T2 DE 60128940 T2 DE60128940 T2 DE 60128940T2 DE 60128940 T DE60128940 T DE 60128940T DE 60128940 T DE60128940 T DE 60128940T DE 60128940 T2 DE60128940 T2 DE 60128940T2
Authority
DE
Germany
Prior art keywords
nitroso
group
compounds
atoms
alkyl
Prior art date
Legal status (The legal status is an assumption and is not a legal conclusion. Google has not performed a legal analysis and makes no representation as to the accuracy of the status listed.)
Expired - Lifetime
Application number
DE60128940T
Other languages
English (en)
Other versions
DE60128940D1 (de
Inventor
Jonathan S. Chapel Hill STAMLER
Eric J. Durham TOONE
Current Assignee (The listed assignees may be inaccurate. Google has not performed a legal analysis and makes no representation or warranty as to the accuracy of the list.)
Duke University
Original Assignee
Duke University
Priority date (The priority date is an assumption and is not a legal conclusion. Google has not performed a legal analysis and makes no representation as to the accuracy of the date listed.)
Filing date
Publication date
Application filed by Duke University filed Critical Duke University
Publication of DE60128940D1 publication Critical patent/DE60128940D1/de
Application granted granted Critical
Publication of DE60128940T2 publication Critical patent/DE60128940T2/de
Anticipated expiration legal-status Critical
Expired - Lifetime legal-status Critical Current

Links

Classifications

    • CCHEMISTRY; METALLURGY
    • C07ORGANIC CHEMISTRY
    • C07CACYCLIC OR CARBOCYCLIC COMPOUNDS
    • C07C207/00Compounds containing nitroso groups bound to a carbon skeleton
    • AHUMAN NECESSITIES
    • A61MEDICAL OR VETERINARY SCIENCE; HYGIENE
    • A61KPREPARATIONS FOR MEDICAL, DENTAL OR TOILETRY PURPOSES
    • A61K31/00Medicinal preparations containing organic active ingredients
    • AHUMAN NECESSITIES
    • A61MEDICAL OR VETERINARY SCIENCE; HYGIENE
    • A61KPREPARATIONS FOR MEDICAL, DENTAL OR TOILETRY PURPOSES
    • A61K31/00Medicinal preparations containing organic active ingredients
    • A61K31/185Acids; Anhydrides, halides or salts thereof, e.g. sulfur acids, imidic, hydrazonic or hydroximic acids
    • A61K31/19Carboxylic acids, e.g. valproic acid
    • A61K31/195Carboxylic acids, e.g. valproic acid having an amino group
    • AHUMAN NECESSITIES
    • A61MEDICAL OR VETERINARY SCIENCE; HYGIENE
    • A61PSPECIFIC THERAPEUTIC ACTIVITY OF CHEMICAL COMPOUNDS OR MEDICINAL PREPARATIONS
    • A61P29/00Non-central analgesic, antipyretic or antiinflammatory agents, e.g. antirheumatic agents; Non-steroidal antiinflammatory drugs [NSAID]
    • AHUMAN NECESSITIES
    • A61MEDICAL OR VETERINARY SCIENCE; HYGIENE
    • A61PSPECIFIC THERAPEUTIC ACTIVITY OF CHEMICAL COMPOUNDS OR MEDICINAL PREPARATIONS
    • A61P31/00Antiinfectives, i.e. antibiotics, antiseptics, chemotherapeutics
    • A61P31/04Antibacterial agents
    • AHUMAN NECESSITIES
    • A61MEDICAL OR VETERINARY SCIENCE; HYGIENE
    • A61PSPECIFIC THERAPEUTIC ACTIVITY OF CHEMICAL COMPOUNDS OR MEDICINAL PREPARATIONS
    • A61P31/00Antiinfectives, i.e. antibiotics, antiseptics, chemotherapeutics
    • A61P31/12Antivirals
    • AHUMAN NECESSITIES
    • A61MEDICAL OR VETERINARY SCIENCE; HYGIENE
    • A61PSPECIFIC THERAPEUTIC ACTIVITY OF CHEMICAL COMPOUNDS OR MEDICINAL PREPARATIONS
    • A61P7/00Drugs for disorders of the blood or the extracellular fluid
    • A61P7/02Antithrombotic agents; Anticoagulants; Platelet aggregation inhibitors
    • AHUMAN NECESSITIES
    • A61MEDICAL OR VETERINARY SCIENCE; HYGIENE
    • A61PSPECIFIC THERAPEUTIC ACTIVITY OF CHEMICAL COMPOUNDS OR MEDICINAL PREPARATIONS
    • A61P9/00Drugs for disorders of the cardiovascular system
    • A61P9/10Drugs for disorders of the cardiovascular system for treating ischaemic or atherosclerotic diseases, e.g. antianginal drugs, coronary vasodilators, drugs for myocardial infarction, retinopathy, cerebrovascula insufficiency, renal arteriosclerosis

Landscapes

  • Health & Medical Sciences (AREA)
  • Chemical & Material Sciences (AREA)
  • Organic Chemistry (AREA)
  • Life Sciences & Earth Sciences (AREA)
  • Medicinal Chemistry (AREA)
  • Public Health (AREA)
  • General Health & Medical Sciences (AREA)
  • Animal Behavior & Ethology (AREA)
  • Pharmacology & Pharmacy (AREA)
  • Veterinary Medicine (AREA)
  • Nuclear Medicine, Radiotherapy & Molecular Imaging (AREA)
  • General Chemical & Material Sciences (AREA)
  • Chemical Kinetics & Catalysis (AREA)
  • Epidemiology (AREA)
  • Bioinformatics & Cheminformatics (AREA)
  • Engineering & Computer Science (AREA)
  • Communicable Diseases (AREA)
  • Oncology (AREA)
  • Heart & Thoracic Surgery (AREA)
  • Rheumatology (AREA)
  • Hematology (AREA)
  • Cardiology (AREA)
  • Vascular Medicine (AREA)
  • Urology & Nephrology (AREA)
  • Pain & Pain Management (AREA)
  • Diabetes (AREA)
  • Virology (AREA)
  • Acyclic And Carbocyclic Compounds In Medicinal Compositions (AREA)
  • Pharmaceuticals Containing Other Organic And Inorganic Compounds (AREA)
  • Medicines That Contain Protein Lipid Enzymes And Other Medicines (AREA)
  • Heterocyclic Carbon Compounds Containing A Hetero Ring Having Nitrogen And Oxygen As The Only Ring Hetero Atoms (AREA)
  • Materials For Medical Uses (AREA)
  • Organic Low-Molecular-Weight Compounds And Preparation Thereof (AREA)

Description

  • Die Erfindung betrifft C-Nitroso-Verbindungen, die bei niedrigen Konzentrationen als NO-Donoren therapeutisch wirksam sind.
  • NO-Donoren sind dafür bekannt, für eine therapeutische Nutzbarmachung brauchbar zu sein, z. B. zur Verhinderung von Restenose nach einer Angioplastik (Groves, P., et al., Cardiovascular Research 26, 615-619 (1992)), zur Hemmung von Blutplättchen, um Koagulation und Thrombusbildung zu verhindern (Groves, P., et al., Circulation 87, 590-597 (1993)) und zur Behandlung von Angina (Knight, et al., Circulation 95, 125-132 (1997)). Man geht davon aus, dass NO-Donoren außerdem bei Krebs, beim Abtöten von Mikroben und Viren, beim Entspannen der Luftwege und des glatten, unwillkürlichen Darmmuskelgewebes (z. B. zur Behandlung von Asthma und Speiseröhrenkrämpfen), bei der Förderung der Erektionsfunktion und bei der Behandlung von Herzinsuffizienz und Harninkontinenz therapeutische Anwendung haben.
  • NO-Donoren werden in "Methods in Nitric Oxide Research", herausgegeben von Feelisch, M., und Stamler, J.S., John Wiley & Sons, New York, 1996, auf den Seiten 71-115 beschrieben. Diese NO-Donoren sind O-Nitroso- und S-Nitroso-Verbindungen, und C-Nitroso-Verbindungen, die von der Erfindung hierin ausgeschlossen sind.
  • Zweiundzwanzig zusätzliche C-Nitroso-Verbindungen sind in Rehse, K., et a., Arch. Pharm. Pharm. Med. Chem. 331, 104-110 (1998) beschrieben. Diese Verbindungen sind von niedrigem Molekulargewicht und sind nicht wasserlöslich und es wurde gezeigt, dass sie schwach wirksam sind. Andere C-Nitroso-Verbindungen sind in Rehse, K., et al., Arch. Pharm. Pharm Med. Chem. 331, 79-84 (1998) beschrieben; diese sind Nitro-nitroso-Verbindungen und die speziellen erwähnten Verbindungen sind von der Erfindung hierin ausgeschlossen.
  • Andere C-Nitroso-Verbindungen, die alt sind, sind 3-Methyl-3-nitroso-2,4-pentandion und 3-Ethyl-3-nitroso-2,4-pentandion. Diese Verbindungen und ihre Synthese sind in Sklyar, Yu. E., et al., Khimiya Geterotsiklicheskikh Soedinenii 5, 70-73 (1969) beschrieben. Diese Verbindungen sind von niedrigem Molekulargewicht und erfüllen nicht die hierin nachstehend dargelegte Definition der Wasserlöslichkeit.
  • In einer ersten Ausführungsform hierin wurde herausgefunden, dass bestimmte C-Nitroso-Verbindungen von höherem Molekulargewicht als sie früher hergestellt wurden, insbesondere jene, die wasserlöslich sind, in nanomolaren Konzentrationen als NO-Donoren therapeutisch wirksam sind, in manchen Fällen, wenn sie alleine verwendet werden, und in manchen Fällen in Anwesenheit von Glutathion.
  • Die C-Nitroso-Verbindungen der ersten Ausführungsform hierin sind so wie in Anspruch 1 definiert. Sie haben eine an ein tertiäres Kohlenstoffatom gebundene Nitrosogruppe, wobei das tertiäre Kohlenstoffatom kovalent an eine cyclische Baueinheit gebunden ist mittels einer Ketten-Baueinheit, die 1 bis 12 Kettenatome enthält, die aus 1 bis 10 Kohlenstoffatomen, 0 bis 2 Stickstoffatomen und 0 bis 2 Sauerstoffatomen bestehen, wobei die cyclische Baueinheit monocyclisch, bicyclisch, tricyclisch, tetracyclisch oder pentacyclisch ist und 5 bis 24 Ringatome enthält, die aus 2 bis 20 Kohlenstoffatomen, 0 bis 4 Stickstoffatomen, 0 bis 1 Sauerstoffatomen und 0 bis 1 Schwefelatomen bestehen, wobei die Ringatome gezählt werden durch Zählen der den Ring (die Ringe) bildenden Atome, und Wasserstoff oder andere Substituenten an dem Ring ausschließen. Ohne ein tertiäres Kohlenstoffatom gibt es eine im wesentlichen irreversible Tautomerisierung zu dem entsprechenden Oxim, das im allgemeinen nicht aktiv bzw. wirksam ist. Es wurde hierin herausgefunden, dass es für eine gute Wirksamkeit wichtig ist, dass die Nitrosogruppe an einen tertiären Kohlenstoff gebunden ist.
  • Die C-Nitroso-Verbindungen der ersten Ausführungsform hierin haben ein Molekulargewicht im Bereich von 225-1000 auf Monomerbasis. Die hohe Wirksamkeit, die für Verbindungen dieses Molekulargewichts erhalten wird, wird als überraschend betrachtet und bedeutet, dass viele Arzneimittel, die jetzt verwendet werden, zu C-Nitroso-Verbindungen umgewandelt werden können, wobei sie nicht nur den therapeutischen Effekt des Ausgangsarzneimittels, sondern auch Vorteile, die von der Nitrosogruppe geschaffen werden, einschließlich dem Entspannungseffekt und anderen später beschriebenen Vorteilen, bereitstellen.
  • Die C-Nitroso-Verbindungen der ersten Ausführungsform hierin werden durch Nitrosylierung einer Kohlenstoffsäure mit einem pKa von weniger als 25 erhalten. Von Kohlenstoffsäuren mit niedrigeren Aciditäten (höheren pKa-Werten) abgeleitete C-Nitroso-Verbindungen wirken nicht als brauchbare NO-Donoren.
  • Daher betrifft die Erfindung in ihren breiten Aspekten eine C-Nitroso-Verbindung mit einem Molekulargewicht im Bereich von 225 bis 1000 auf Monomerbasis, worin eine Nitrosogruppe an einen tertiären Kohlenstoff gebunden ist, wobei das tertiäre Kohlenstoffatom als einen Substituenten Q eine Ketten-Baueinheit hat, die 1 bis 12 Kettenatome enthält, die aus 1 bis 10 Kohlenstoffatomen, 0 bis 2 Stickstoffatomen und 0 bis 2 Sauerstoffatomen bestehen, die kovalent an eine zyklische Baueinheit gebunden ist; wobei die zyklische Baueinheit monocyclisch, bicyclisch, tricyclisch, tetracyclisch oder pentacyclisch ist und 5 bis 24 Ringatome enthält, die aus 2 bis 20 Kohlenstoffatomen, 0 bis 4 Stickstoffatomen, 0 bis 1 Sauerstoffatomen und 0 bis 1 Schwefelatomen bestehen, und wobei die Nitroso-Verbindung durch Nitrosylierung einer Kohlenstoffsäure mit einem pKa von weniger als 25 erhalten wird.
  • Die C-Nitroso-Verbindung ist bevorzugt wasserlöslich und enthält bevorzugt Kohlenstoff in alpha-Stellung zu nitrosyliertem Kohlenstoff, der Teil einer Ketongruppe ist.
  • In einer Unterart wird die C-Nitroso-Verbindung durch Nitrosylierung einer Kohlenstoffsäure mit einem pKa von weniger als 10 erhalten. Verbindungen dieser Unterart haben, wenn sie alleine verwendet werden eine NO-spendende und Entspannung schaffende Wirkung, wenn sie in mikromolaren Konzentrationen verwendet werden. Es wurde hierin jedoch herausgefunden, dass diese Wirkung durch Gluthation potenziert wird, so dass Verbindungen dieser Unterart, wenn sie mit oder zur Reaktion mit Gluthation verabreicht werden, therapeutisch wirksam sind (um NO-spendende und entspannende Effekte zu schaffen), wenn sie in nanomolaren Konzentrationen verwendet werden. Daher betrifft eine Ausführungsform hierin die Verwendung einer derartigen C-Nitroso-Verbindung in nanomolaren (z. B. von 0,1 bis 900 nanomolar) Konzentrationen bei der Herstellung eines Arzneimittels zur Verwendung zusammen mit Gluthation, um einen NO-spendenden und entspannenden Effekt bereitzustellen.
  • In einer anderen Unterart wird die C-Nitroso-Verbindung durch Nitrosylierung einer Kohlenstoffsäure mit einem pKa im Bereich von 15 bis 20 erhalten. In diesem Fall wurde gefunden, dass die Verbindung therapeutisch wirksam ist und eine nitrosylierende Wirksamkeit und einen entspannenden Effekt bereitstellt, wenn sie ohne Potenzierung in nanomolaren Konzentrationen verwendet wird, und dass Gluthation die Wirksamkeit der Verbindung hemmt.
  • Es wurde hierin herausgefunden, dass C-Nitroso-Verbindungen der Erfindung hierin erhalten werden können durch Nitrosylierung des tertiären Kohlenstoffatoms eines konventionellen Arzneimittels, wenn das Arzneimittel eine Kohlenstoffsäure mit einem pKa von weniger als 25 darstellt oder in eine Kohlenstoffsäure mit einem pKa von weniger als 25 umgewandelt werden kann, und eine C-Nitroso-Verbindung ergibt, die die vorher beschriebenen Molekulargewichts-Beschränkungen erfüllt. Die sich ergebenden C-Nitroso-Verbindungen behalten die Wirksamkeit des Arzneimittels und ergeben zusätzlich den mit NO verbundenen Effekt und können andere vorteilhafte Effekte ergeben, wie unten beschrieben. Zu den konventionellen Arzneimitteln gehören beispielsweise nichtsteroidale antiinflammatorisch wirkende Arzneimittel, COX-2-Inhibitoren, analgetische Arzneimittel, Arzneimittel gegen Angina, blutdrucksenkende Arzneimittel, diuretische Arzneimittel, ACE-Inhibitoren, Arzneimittel gegen Hypercholesterinämie/Hyperlipoproteinämie, Calciumkanal-Blocker, säureneutralisierende Arzneimittel, Bronchodilatatoren, NMDA-antagonistische/skelettmuskelentspannende Arzneimittel, Arzneimittel gegen Proliferation/tubulinbindende Arz neimittel, Mittel gegen Tuberkeln, CETP-Inhibitoren, SOD-Mimetika und Xanthinoxidase-Inhibitoren.
  • Es wurde hierin herausgefunden, dass, wenn das konventionelle Arzneimittel ein nicht-steroidales antiinflammatorisch wirkendes Arzneimittel ist, das ein COX-1- und ein COX-2-Inhibitor ist, die sich ergebende C-Nitroso-Verbindung als ein COX-1- und COX-2-Inhibitor wirkt, ohne die schädlichen Effekte, die mit COX-1-Hemmung verbunden sind, aber mit den Vorteilen, die mit COX-1- und COX-2-Hemmung verbunden sind. Insbesondere vermittelt COX-1 die Produktion von Thromboxan, das die Plättchenaggregation vermittelt, wodurch es einen schädlichen Effekt schafft; die Hemmung von COX-1 kehrt diesen Effekt um. Diese Umkehrung wird verstärkt durch die nicht-steroidalen antiinflammatorisch wirkenden C-Nitroso-Arzneimittel hierin. Andererseits hemmen COX-1-Inhibitoren die Produktion von Prostaglandinen, die gegen Geschwüre schützen; das mit den nicht-steroidalen antiinflammatorisch wirkenden Arzneimitteln hierin verbundene NO schützt gegen diese schädliche Nebenwirkung. Während der COX-1-hemmende Effekt, der Magenangriffe vermittelt, teilweise mit einem Mangel an NO in Verbindung steht, gibt es einen nützlichen NO-Effekt, der COX-1-unabhängig sein kann, der den schädlichen Effekt der Hemmung der COX-1-Produktion von Prostaglandinen mehr als aufhebt. Daher schaffen die nicht-steroidalen antiinflammatorisch wirkenden C-Nitroso-COX-1/COX-2-Inhibitoren hierin einen Vorteil gegenüber selektiven COX-2-Inhibitoren insofern, als sie auch die vorteilhaften mit der COX-1-Hemmung verbundenen Effekte und andere nützliche NO-Effekte bereitstellen. Außerdem stellen selektive C-Nitroso-COX-2-Inhibitoren nicht nur die Vorteile der COX-2-Hemmung, sondern auch einige der Vorteile, die mit der COX-1-Hemmung verbunden sind, bereit. Darüber hinaus potenziert das NO in C-Nitroso-COX-Inhibitoren den lindernden Effekt von COX-Inhibitoren auf Harninkontinenz.
  • Dimere 2-[4'-(α-Nitrosoisobutyrylphenyl]propionsäure wurde hierin synthetisiert und wird erhalten durch C-Nitrosylierung von Ibuprofen, das modifiziert wurde, um einen niedrigeren Kohlenstoffsäure-pKa zu haben. Sie stellt eine C-Nitroso-Verbindung hierin dar, die erhalten wird durch Nitrosylierung einer Kohlenstoffsäure mit einem pKa im Bereich von 15 bis 25 und ist ohne Glutathion therapeutisch wirksam, wenn sie in nanomolaren Konzentrationen verwendet wird.
  • Daher betrifft eine Ausführungsform hierin die Verwendung einer C-Nitroso-Verbindung der gegenwärtigen Erfindung, die erhalten wir durch Nitrosylierung des tertiären Kohlenstoffs eines konventionellen nicht-steroidalen antiinflamatorisch wirkenden Arzneimittels, das einen Kohlenstoffsäure-pKa im Bereich von 15 bis 25, z. B. 15 bis 20, hat oder so modifiziert ist, dass es diesen Kohlenstoffsäure-pKa hat, wobei die C-Nitroso-Verbindung bevorzugt dimere 2-[4'-(α-itroso)isobutyrylphenyl]propionsäure oder eine wässrige Lösung davon ist, bei der Herstellung eines Arzneimittels zur Behandlung einer entzündlichen oder schmerzhaften Erkrankung.
  • Es wurde hierin auch herausgefunden, dass der pKa einer Kohlenstoffsäure einer Verbindung verwendet werden kann, um eine NO-Gruppe anzupeilen, um eine nitrosylierte Verbindung bereitzustellen. Dies ist nicht der Fall bei der Herstellung anderer Klassen von NO-Donoren, z. B. -ONO- und -SNO-NO-Donoren.
  • Shinmura, K., et al., PNAS 97, 10197-10202 (2000) zeigt, dass COX-2 die herzschützenden Effekte einer ischämischen Vorbehandlung, insbesondere der Spätphase der ischämischen Vorbehandlung (in diesem Fall wird das Herz kurz ischämisch gemacht, um gegen eine nachfolgende Ischämie, die viel schwerer ist, zu schützen), vermittelt. Daher greifen COX-2-Inhibitoren in diesen herzschützenden Effekt ein. In dem Fall von C-Nitroso-COX-2-Inhibitoren hierin ersetzt das NO jedoch die COX-2-Vermittlung, die verloren geht, so dass ein spezieller Nutzen besteht.
  • Andere Ausführungsformen hierin betreffen biologisch verträgliche Polymere, in die eine C-Nitroso-Verbindung der Erfindung eingebaut ist und die eine massegemittelte Molekülmasse (bestimmt durch Lichtstreuung) im Bereich von 50.000 bis 500.000 haben, mit diesem Polymer beschichtete medizinische Vorrichtungen, ein Arzneimittel zur Prophylaxe eines Patienten, bei dem ein Risiko einer Koagulierung oder ein Thrombusbildung oder einer mikrobiellen oder virilen Infektion besteht, z. B. eines Patienten mit einer Restenose oder bei dem das Risiko einer Restenose besteht, aufweisend das in Berührung bringen von Gewebe in dem Bereich, bei dem das Risiko besteht, mit diesem Polymer.
  • Der Begriff "Kohlenstoffsäure", wie er hierin verwendet wird, bedeutet eine Verbindung, die eine CH-Gruppe enthält, die zu C und H+ dissoziiert.
  • Der Begriff "wasserlöslich", wie er hierin verwendet wird, bedeutet, löst sich in Wasser mindestens soweit, um eine Konzentration von 1 mikromolar zu schaffen.
  • Der Begriff "konventionelle Arzneimittel", wie er hierin verwendet wird, bedeutet therapeutisches Mittel ohne NO-Donoreffekt.
  • Der Begriff "Keton-Gruppe" wie er hierin verwendet wird, bedeutet Carbonylgruppe.
  • Der Begriff "Elektronen ziehender Substituent", wie er hierin verwendet wird, bedeutet Atom oder Gruppe, wobei das Verbindungsatom oder die Verbindungsgruppe elektronegativer ist als Wasserstoff.
  • In den begleitenden Zeichnungen:
  • 1 bis 10 sind Aufzeichnungen der Spannung (Kraft) gegen die Zeit, wobei für bestimmte Zeiten auch Verbindungskonzentrationen gezeigt sind, und zeigen Ergebnisse von Beispiel II;
  • 1 betrifft Ergebnisse mit der hierin im folgenden beschriebenen Verbindung (129a);
  • 2 betrifft Ergebnisse mit C-Nitroso-methylmalonsäure;
  • 3 betrifft Ergebnisse mit C-Nitrosobenzol;
  • 4 betrifft Ergebnisse mit C-Nitrosophenol;
  • 5 betrifft Ergebnisse mit in Beispiel 1 synthetisiertem C-Nitrosoketoibuprofen;
  • 6 ist ähnlich 5, aber mit Hinweisen auf die Anwesenheit von Dimer und mehr Konzentrationsangaben;
  • 7 betrifft Ergebnisse für die Kombination von C-Nitrosoketoibuprofen und 100 μM Glutathion;
  • 8 ist ähnlich 5, aber mit einer anderen angegebenen Konzentration;
  • 9 betrifft Ergebnisse für 3-Methyl-3-nitroso-2,4-pentandion, einschließlich Potenzierung mit Glutathion (GSH); und
  • 10 betrifft Ergebnisse für 2-Methyl-2-nitrosopropan.
  • Die 2, 3, 4, 9 und 10 betreffen Ergebnisse mit Referenzverbindungen, wenn auch 9 dazu dient, den Potenzierungseffekt zu zeigen, der bei einer Ausführungsform der Erfindung auftritt. Die 1 und 5 bis 8 betreffen Ergebnisse mit der C-Nitroso-Verbindung von Ausführungsformen der Erfindung.
  • Wir kommen nun zu der Unterart, bei der die C-Nitroso-Verbindung durch Nitrosylierung einer Kohlenstoffsäure mit einem pKa von weniger als 10 erhalten wird. Bei alleiniger Verwendung zeigt diese Verbindung Wirkung (NO spendende und/oder entspannende Wirkung), wenn sie in mikromolaren Konzentrationen verwendet wird, und sie nitrosyliert das mäßig nucleophile Thiol eines Cystein-Rests oder eines Derivats mit niedrigem Molekulargewicht (z. B. Glutathion). Die natürliche Wirkung wird vermutlich durch Nitrit vermittelt, das aus der Nitrosylierung von Wasser stammt. Diese Wirkungsweise zeigt wenig, falls überhaupt, Spezifizität und ist sehr schwach. Wie oben angegeben, wurde im Verlauf dieser Erfindung herausgefunden, dass diese Wirkung durch die Anwesenheit von Glutathion potenziert wird. Diese Potenzierung ist grob 1000-fach.
  • Wir kommen nun zu der Unterart, bei der die C-Nitroso-Verbindung durch Nitrosylierung einer Kohlenstoffsäure mit einem pKa im Bereich von 15 bis 20 erhalten wird. Diese C-Nitrosothiole nitrosylieren Glutathion nicht, nitrosylieren aber selektiv hochgradig nucleophile Thiole, die in Protein-Zielen zu finden sind. Daher können durch die Verwendung dieser C-Nitroso-Verbindungen hochgradig nucleophile Thiole angepeilt werden.
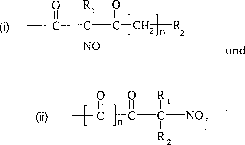
  • Die C-Nitroso-Verbindungen der Erfindung haben einen Substituenten Q, der an den tertiären Kohlenstoff gebunden ist und aus einer Ketten-Baueinheit besteht, die 1 bis 12 Kettenatome enthält, die aus 1 bis 10 Kohlenstoffatomen, 0 bis 2 Stickstoffatomen und 0 bis 2 Sauerstoffatomen bestehen, die kovalent an eine cyclische Baueinheit gebunden ist, die monocyclisch, bicyclisch, tricyclisch, tetracyclisch oder pentacyclisch ist und 5 bis 24 Ringatome enthält, die aus 2 bis 20 Kohlenstoffatomen, 0 bis 4 Stickstoffatomen, 0 bis 1 Sauerstoffatomen und 0 bis 1 Schwefelatomen bestehen. Die "Kettenatome" werden gezählt durch Zählen der Atome, die das tertiäre Kohlenstoffatom und die cyclische Baueinheit verbinden, und schließen Wasserstoff und andere Substituenten an der Kette aus. Die "Ringatome" werden gezählt durch Zählen der Atome, die den Ring (die Ringe) bilden, und schließen Wasserstoff oder andere Substituenten an dem Ring aus. Außer an den Substituenten Q ist der tertiäre Kohlenstoff an die Substituenten Q und Q'' gebunden. Wenn Q keine elektronenziehende Gruppe an einem direkt an den tertiären Kohlenstoff gebundenen Kohlenstoff oder die einen direkt an den tertiären Kohlenstoff gebundenen Kohlenstoff aufweist, enthält, oder selbst wenn er es tut, enthält mindestens eine der Gruppen Q' und Q'' bevorzugt ein elektronenziehendes Atom oder eine elektronenziehende Gruppe an einem direkt an den tertiären Kohlenstoff gebundenen Kohlenstoff oder die einen direkt an den tertiären Kohlenstoff gebundenen Kohlenstoff aufweist, z. B. ein Fluoratom, eine Carbonylgruppe per se oder als Teil einer Estergruppe, Nitro, Cyanid, CF3 oder SO2R, worin R C1 bis C6-Alkyl oder C6 bis C20-Aryl umfasst. Was Q' und Q'' betrifft, sind jegliche Atome stromab von dem Kohlenstoff in alpha-Stellung zu dem tertiären Kohlenstoff unkritisch. Beispiele für Q' und Q'' sind R1, R2, R1C(O)-, R2C(O)-, R1CH2C(O)-, R2CH2C(O)-, C(O)COOH, Methyl, -CO2Me, -CF3 und -CN, worin R1 und R2 ausgewählt sind aus der Gruppe, die aus C1 bis C6-Alkyl und C6 bis C20-Aryl und substituierten Derivaten davon besteht, z. B. substituiert mit Amino, Hydroxyl und/oder Carboxy und/oder die sulfatiert sind, d. h. mit Sulfat substituiert sind, und/oder die phosphoryliert sind, d. h. mit Phosphat substituiert sind.
  • Die C-nitrosylierten Verbindungen hierin bilden, wenn sie isoliert werden, Dimere, die fest und sehr stabil sind, und daher haben die Verbindungen hierin lange Lagerfähigkeiten und können monatelang bei Umgebungstemperaturen in Anwesenheit von Sauerstoff und Licht gelagert werden. Während die Dimere unwirksam sind, bilden sie in Wasser Monomere, die wirksam sind. Sie können für augenblickliche Wirksamkeit als wässrige Lösungen verabreicht werden. Sie können auch als Dimere verabreicht werden, um einen Depoteffekt zu schaffen, wenn sich das Dimer im Körper auflöst. So wurde hierin herausgefunden, dass die Dimere die Lebensdauer der Verbindungen fördern und die biologische Wirksamkeit der Verbindungen modulieren, und die Freisetzungsraten stehen nicht in direkter Beziehung zur Wirksamkeit dieser Verbindungen. Die Dimerisierung und die größere Stabilität sind stark begünstigt für α-Acyl-C-nitroso-Verbindungen; daher die obige Bevorzugung von C-Nitroso-Verbindungen, bei denen Kohlenstoff in alpha-Stellung zum nitrosylierten Kohlenstoff Teil einer Keton-Gruppe ist.
  • Wie oben angegeben, kann die C-Nitroso-Verbindung hierin erhalten werden durch Nitrosylieren eines tertiären Kohlenstoffatoms eines konventionellen Arzneimittels oder eines konventionellen Arzneimittels, das modifiziert wurde, um seinen Kohlenstoffsäure-pKa zu modifizieren. Der Kohlenstoffsäure-pKa kann verringert werden, beispielsweise durch Umwandeln eines Kohlenstoffs in alpha-Stellung zu dem zu nitrosylierenden tertiären Kohlenstoff in eine Keton-Gruppe, oder durch die Hinzufügung eines anderen elektronenziehenden Substituenten (z. B. Fluor, Nitro, Cyanid, CF3 oder SO2R, worin R wie oben definiert ist).
  • Verschiedene Ausführungsformen, bei denen die C-Nitroso-Verbindung hierin erhalten wird durch Nitrosylieren des tertiären Kohlenstoffatoms eines konventionellen Arzneimittels oder eines konventionellen Arzneimittels, das modifiziert wurde, um seinen Kohlenstoffsäure-pKa zu modifizieren, umfassen eine C-Nitroso-Verbindung mit einem Molekulargewicht im Bereich von 225 bis 600 auf Monomerbasis, wobei eine Nitrosogruppe an einen tertiären Kohlenstoff gebunden ist, die erhalten wird durch Nitrosylierung des konventionellen Arzneimittels (z. B. eines nicht-steroidalen anti-inflammatorisch wirkenden Arzneimittels, eines COX-2-Inhibitors, eines analgetischen Arzneimittels, eines Arzneimit tels gegen Angina, eines blutdrucksenkenden Arzneimittels, eines diuretischen Arzneimittels, eines ACE-Inhibitors, eines Arzneimittels gegen Hypercholesterinämie/Hyperlipoproteinämie, eines Calciumkanals-Blockers, eines säureneutralisierenden Arzneimittels, eines Bronchodilators, eines NMDA-antagonistischen/skelettmuskelentspannenden Arzneimittels, eines Arzneimittels gegen Proliferation/tubulinbindenden Arzneimittels, eines CETP-Inhibitors und eines SOD-Mimetikums oder eines Xanthinoxidase-Inhibitors) mit einem Kohlenstoffsäure-pKa im Bereich von 15 bis 25 z.B. 15 bis 20, oder des Arzneimittels das modifiziert wurde, um einen Kohlenstoffsäure-pKa im Bereich von 15 bis 25, z. B. 15 bis 20, zu haben.
  • Wenn die C-Nitroso-Verbindung aus einem konventionellen Arzneimittel erhalten wird, behält sie die Funktionalität des Arzneimittels und liefert auch den NO spendenden Entspannungseffekt. Manchmal führt dies zu einem synergistischen Effekt. Wenn beispielsweise die C-Nitroso-Verbindung von einem nicht-steroidalen antiinflammatorisch wirkenden Arzneimittel abgeleitet ist, das sowohl COX-1 als auch COX-2 hemmt, ist das Ergebnis ein COX-1-Inhibitor mit den Vorteilen, aber nicht den Nachteilen der COX-1-Hemmung durch konventionelle NSAIDS, und auch ein COX-2-Inhibitor mit dessen Vorteilen und bei dem bestimmte vorteilhafte Effekte (z. B. Besserung von Harninkontinenz oder Vermittlung der Präkonditionierung) potentiert oder neu geschaffen werden können. Eine hierin synthetisierte Verbindung war von Ibuprofen abgeleitet, das COX-1 sowie COX-2 hemmt. Bei der Synthese wurde das Ibuprofen zuerst in Ketoibuprofen umgewandelt, um den pKa zu senken, damit er innerhalb von 15 bis 20 war. Die nitrosylierte Verbindung, ein Nitrosoketoibuprofen, isoliert als dimere 2-[4'-(α-Nitroso)isobutylphenyl]propionsäure, liefert die Vorteile der COX-1- und COX-2-Hemmung ohne die pathologischen Effekte, die typischerweise mit der COX-1-Hemmung verbunden sind.
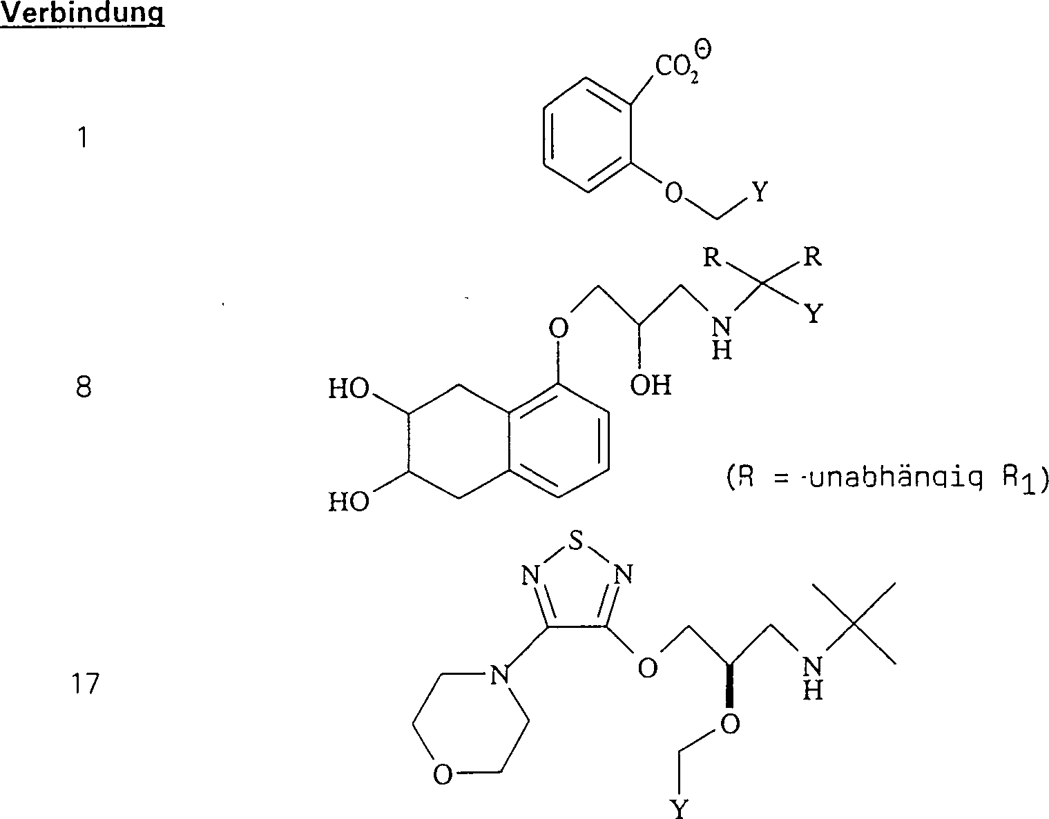
  • Unten sind konventionelle Arzneimittel und davon abgeleitete C-Nitroso-Verbindungen der ersten Ausführungsform der Erfindung aufgelistet. In der Beschreibung der Verbindungen unten wird oft der Begriff "substituiert mit Amino, Hydroxyl und/oder Carboxy und/oder die sulfatiert und/oder phosphoryliert sind" verwendet; diese Formulierung bedeutet substituiert mit Amino, Hydroxyl, Carboxy, Sulfat und/oder Phosphat. Wann immer ein Anion ohne Angabe eines ausgleichenden Kations dargelegt wird, ist das ausgleichende Kation vorhanden und ausgewählt aus der Gruppe, die aus H+, Na+, K+, Li+, Ca++ und Tetraalkylammonium besteht.
  • Die analgetische Acetylsalicylsäure hat die Formel
  • Figure 00120001
  • C-Nitroso-Verbindungen der Erfindung, die von Acetylsalicylsäure abgeleitet sind, umfassen beispielsweise:
    Figure 00120002
  • In (1), (2) und (3) sind R1 und R2 ausgewählt aus der Gruppe, die aus C1-C6-Alkyl und C5-C20-Aryl und substituierten Derivaten von diesen, z. B. substituiertem Amino-Hydroxyl und/oder Carboxy und/oder die sulfatiert und/oder phosphoryliert sind, besteht.
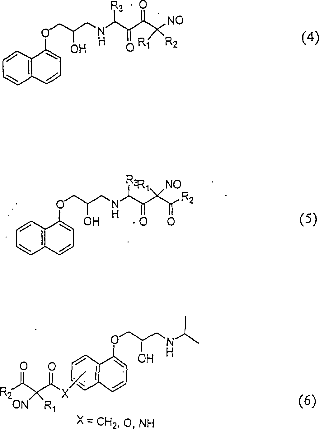
  • Das gegen Angina wirksame Propanalol hat die Formel:
    Figure 00130001
  • C-Nitroso-Verbindungen der Erfindung, die von Propanalol abgeleitet sind, umfassen beispielsweise:
    Figure 00130002
  • In (4), (5) und (6) sind R1, R2 und R3 ausgewählt aus der Gruppe, die aus C1-C6-Alkyl und C6-C20-Aryl und substituierte Derivaten von diesen, z. B. substituiert mit Amino, Hydroxyl und/oder Carboxy und/oder die sulfatiert und/oder phosphoryliert sind, besteht.
  • Das gegen Angina wirksame Nadolol hat die Formel:
    Figure 00140001
  • C-Nitroso-Verbindungen der Erfindung, die von Nadolol abgeleitet sind, umfassen beispielsweise:
    Figure 00140002
  • In (7), (8) und (9) sind R1, R2, R3, R4 und R5 ausgewählt aus der Gruppe, die aus C1-C6-Alkyl und C6-C20-Aryl und substituierten Derivaten davon, z. B. substituiert mit Amino, Hydroxyl und/oder Carboxy und/oder die sulfatiert und/oder phosphoryliert sind, besteht.
  • Das gegen Angina wirksame und gegen Herzinsuffizienz schützende Carvedilol hat die Formel:
    Figure 00150001
  • C-Nitroso-Verbindungen der Erfindung, die von Carvedilol abgeleitet sind, umfassen beispielsweise:
    Figure 00150002
  • In (10) sind R1 und R2 ausgewählt aus der Gruppe, die aus C1-C6-Alkyl und C6-C20-Aryl und substituierte Derivaten davon, z. B. substituiert mit Amino, Hydroxyl und/oder Carboxy und/oder die sulfatiert und/oder phosphoryliert sind. besteht.
  • Das blutdrucksenkende Prazosin hat die Formel:
    Figure 00160001
  • C-Nitroso-Verbindungen der Erfindung, die von Prazosin abgeleitet sind, die beispielhaft sind für alpha-adrenerge Rezeptor-Agonisten, brauchbar zur Behandlung von erektiler Dysfunktion, umfassen beispielsweise:
    Figure 00160002
  • In (11), (12) und (13) sind R1 und R2 ausgewählt aus der Gruppe, die aus C1-C6-Alkyl und C6-C20-Aryl und substituierten Derivaten davon, z. B. substituiert mit Amino, Hydroxyl und/oder Carboxy und/oder die sulfatiert und/oder phosphoryliert sind, besteht.
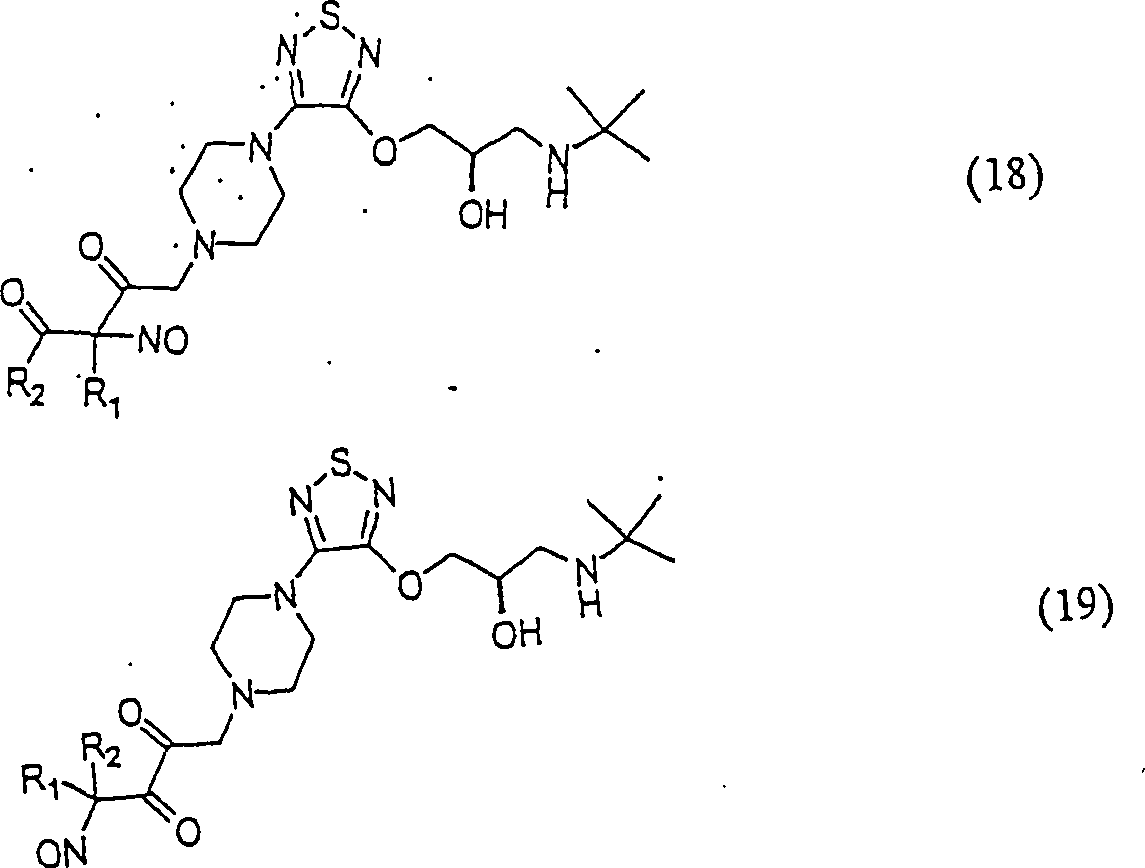
  • Das blutdrucksenkende Tinolol hat die Formel:
    Figure 00170001
  • C-Nitroso-Verbindungen der Erfindung, die von Tinolol abgeleitet sind, umfassen beispielsweise:
    Figure 00170002
    Figure 00180001
  • In den Verbindungen (14), (15), (16), (17), (18) und (19) sind R1 und R2 ausgewählt aus der Gruppe, die aus C1-C6-Alkyl und C6-C20-Aryl und substituierten Derivaten davon, z. B. substituiert mit Amino, Hydroxy und/oder Carboxy und/oder die sulfatiert und/oder phosphoryliert sind, besteht.
  • Das blutdrucksenkende Metoprolol hat die Formel:
    Figure 00180002
  • C-Nitroso-Verbindungen der Erfindung, die von Metoprolol abgeleitet sind, umfassen beispielsweise:
    Figure 00180003
    Figure 00190001
  • In den Verbindungen (20), (21), (22) und (23) sind R1 und R2 ausgewählt aus der Gruppe, die aus C1-C6-Alkyl und C6-C20-Aryl und substituierten Derivaten davon, z. B. substituiert mit Amino, Hydroxyl und/oder Carboxy und/oder die sulfatiert und/oder phosphoryliert sind, besteht.
  • Das blutdrucksenkende Pindalol hat die Formel:
    Figure 00190002
  • C-Nitroso-Verbindungen der Erfindung, die von Pindalol abgeleitet sind, umfassen beispielsweise:
    Figure 00200001
    Figure 00210001
  • In (24), (25), (26), (27) und (28) sind R1 und R2 ausgewählt aus der Gruppe, die aus C1-C6-Alkyl und C6-C20-Aryl und substituierten Derivaten davon, z. B. substituiert mit Amino, Hydroxyl und/oder Carboxy und/oder die sulfatiert und/oder phosphoryliert sind, besteht.
  • Das blutdrucksenkende Labetalol hat die Formel:
    Figure 00220001
  • C-Nitroso-Verbindungen der Erfindung, die von Labetalol abgeleitet sind, umfassen beispielsweise:
    Figure 00220002
    Figure 00230001
  • In (29), (30), (31) und (32) sind R1 und R2 ausgewählt aus der Gruppe, die aus C1-C6-Alkyl und C6-C20-Aryl und substituierten Derivaten davon, z. B. substituiert mit Amino, Hydroxyl und/oder Carboxy und/oder die sulfatiert und/oder phosphoryliert sind, besteht.
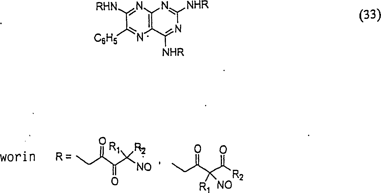
  • Das diuretische Triamteren hat die Formel:
    Figure 00240001
  • C-Nitroso-Verbindungen der Erfindung, die von Triamteren abgeleitet sind, umfassen beispielsweise:
    Figure 00240002
  • In (33) sind R1 und R2 ausgewählt aus der Gruppe, die aus C1-C6-Alkyl und C6-C20-Aryl und substituierten Derivaten davon, z. B. substituiert mit Amino, Hydroxyl und/oder Carboxy und/oder die sulfatiert und/oder phosphoryliert sind, besteht.
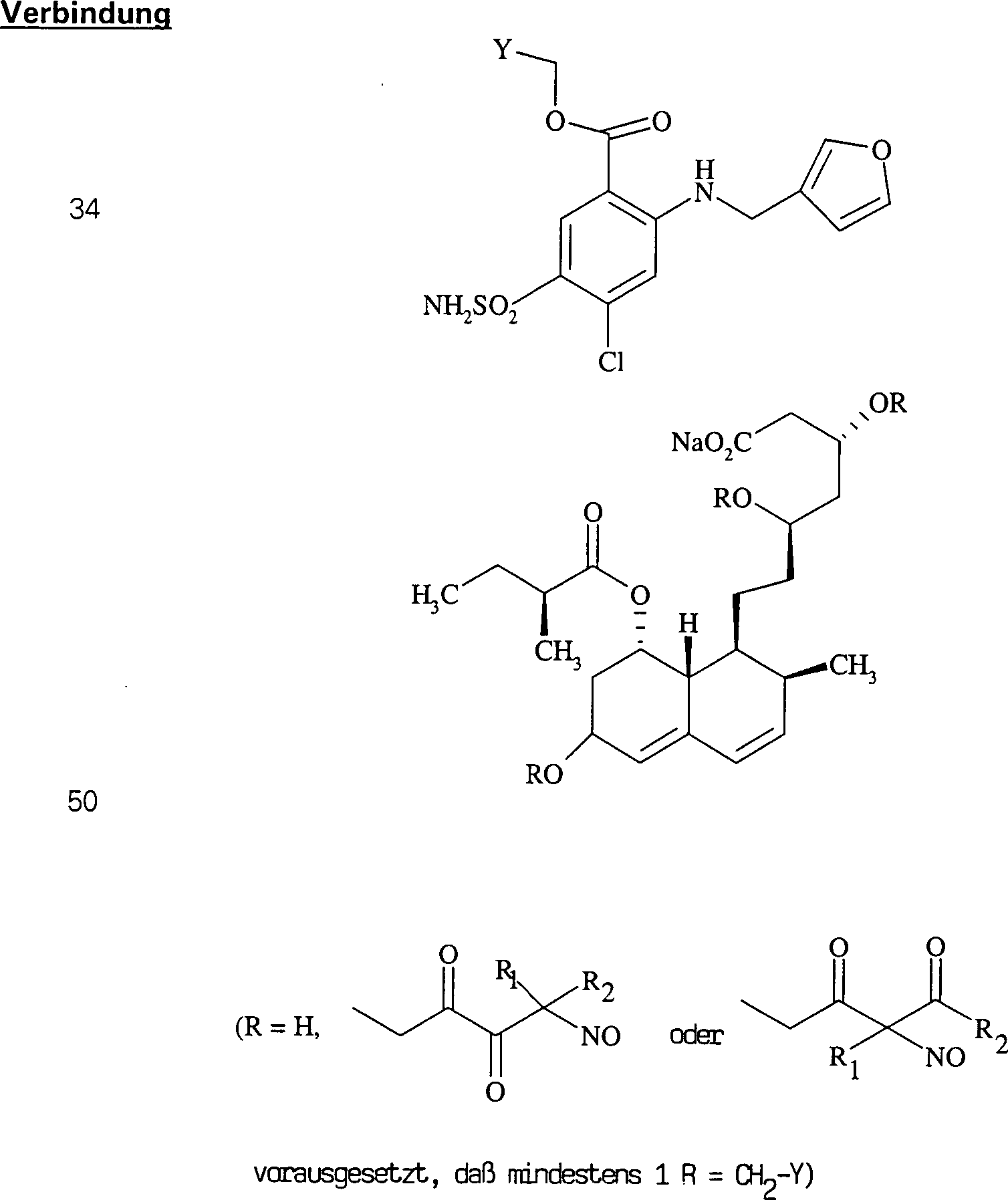
  • Das diuretische Furosemid hat die Formel:
    Figure 00250001
  • C-Nitroso-Verbindungen der Erfindung, die von Furosemid abgeleitet sind, sind in einzigartiger Weise nützlich bei der Behandlung von Herzinsuffizienz, da sie diuretische und vasodilatorische Funktionen vereinigen, und umfassen beispielsweise:
    Figure 00250002
    Figure 00260001
  • In (34), (35), (36) und (37) sind R1 und R2 ausgewählt aus der Gruppe, die aus C1-C6-Alkyl und C6-C20-Aryl und substituierten Derivaten davon, z. B. substituiert mit Amino, Hydroxyl und/oder Carboxy und/oder die sulfatiert und/oder phosphoryliert sind, besteht.
  • Der ACE-Inhibitor Enalapril hat die Formal:
    Figure 00260002
  • C-Nitroso-Verbindungen der Erfindung hierin, die von Enalapril abgeleitet sind, haben eine verbesserte Wirkung gegen Angina, wenn sie bei niedrigem Blutdruck verwendet werden, und eine verbesserte gegen Blutblättchen gerichtete Wirksamkeit, und sie umfassen beispielsweise:
    Figure 00270001
  • In (38), (39), (40) und (41) sind R1 und R2 ausgewählt aus der Gruppe, die aus C1-C6-Alkyl und C6-C20-Aryl und substituierten Derivaten davon, z. B. substituiert mit Amino, Hydroxyl und/oder Carboxy und/oder die sulfatiert und/oder phosphoryliert sind, besteht.
  • Der ACE-Inhibitor Rampiril hat die Formel:
    Figure 00280001
  • C-Nitroso-Verbindungen der Erfindung hierin, die von Rampiril abgeleitet sind, umfassen beispielsweise
    Figure 00280002
    Figure 00290001
  • In (42), (43), (44) und (45) sind R1 und R2 ausgewählt aus der Gruppe, die aus C1-C6-Alkyl und C6-C20-Aryl und substituierten Derivaten davon, z. B. substituiert mit Amino, Hydroxyl und/oder Carboxy und/oder die sulfatiert und/oder phosphoryliert sind, besteht.
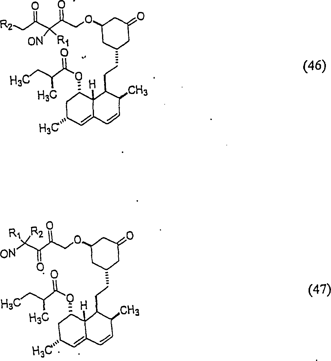
  • Das gegen Hypercholestrenämie/Hyperlipoproteinämie wirkende Lovastatin hat die Formel:
    Figure 00300001
  • C-Nitroso-Verbindungen der Erfindung hierin, die von Lovastatin abgeleitet sind, umfassen beispielsweise:
    Figure 00300002
    Figure 00310001
  • In (46), (47), (48) und (49) sind R1 und R2 ausgewählt aus der Gruppe, die aus C1-C6-Alkyl und C6-C20-Aryl und substituierten Derivaten davon, z. B. substituiert mit Amino, Hydroxyl und/oder Carboxy und/oder die sulfatiert und/oder phosphoryliert sind, besteht.
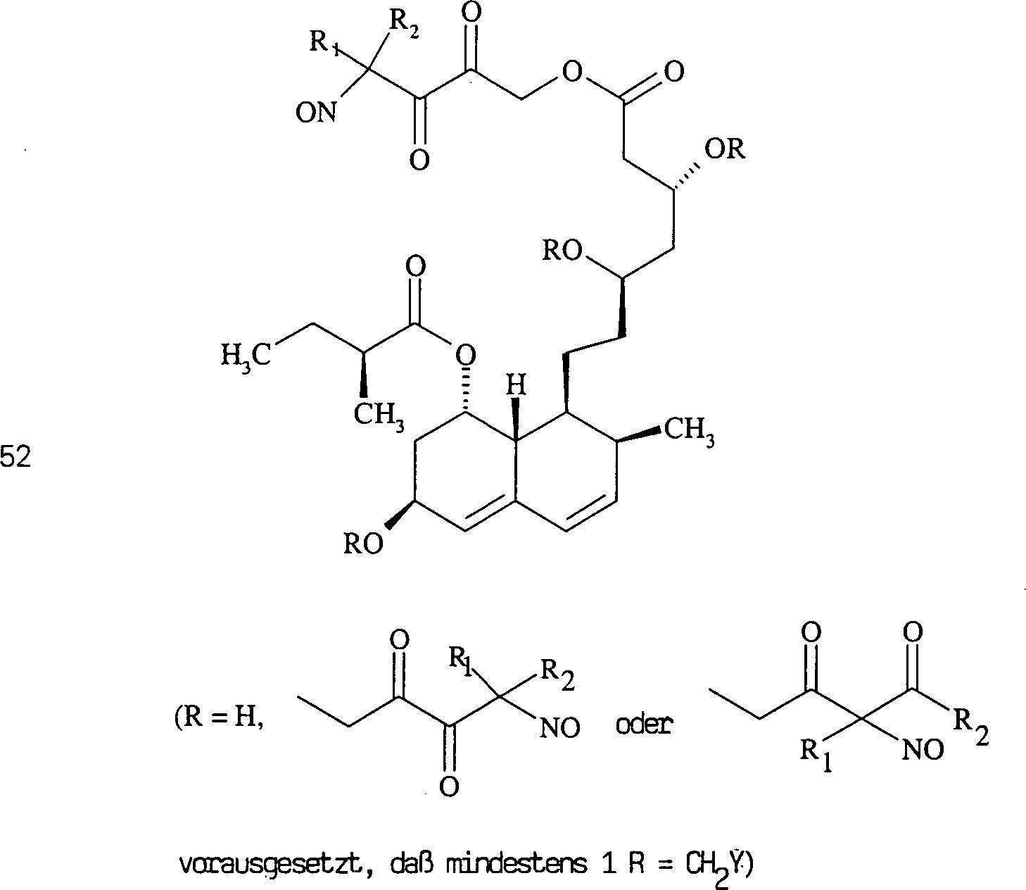
  • Das gegen Hypercholesterinämie/Hyperlipoproteinämie wirkende Pravastatin hat die Formel:
    Figure 00320001
  • C-Nitroso-Verbindungen der Erfindung hierin, die von Pravastatin abgeleitet sind, umfassen beispielsweise:
    Figure 00320002
    Figure 00330001
  • In (50), (51), (52), (53) und (54) sind R1 und R2 ausgewählt aus der Gruppe, die aus C1-C6-Alkyl und C6-C20-Aryl und substituierten Derivaten davon, z. B. substituiert mit Amino, Hydroxyl und/oder Carboxy und/oder die sulfatiert und/oder phosphoryliert sind, besteht.
  • Das gegen Hypercholesterinämie/Hyperlipoproteinämie wirkende Gemibrozil hat die Formel:
    Figure 00340001
  • C-Nitroso-Verbindungen der Erfindung hierin, die von Gemfibrozil abgeleitet sind, umfassen beispielsweise:
    Figure 00340002
    Figure 00350001
  • In (55), (56), (57), (58), (59) und (60) sind R1 und R2 ausgewählt aus der Gruppe, die aus C1-C6-Alkyl und C6-C20-Aryl und substituierten Derivaten davon, z. B. substituiert mit Amino, Hydroxyl und/oder Carboxy und/oder die sulfatiert und/oder phosphoryliert sind, besteht.
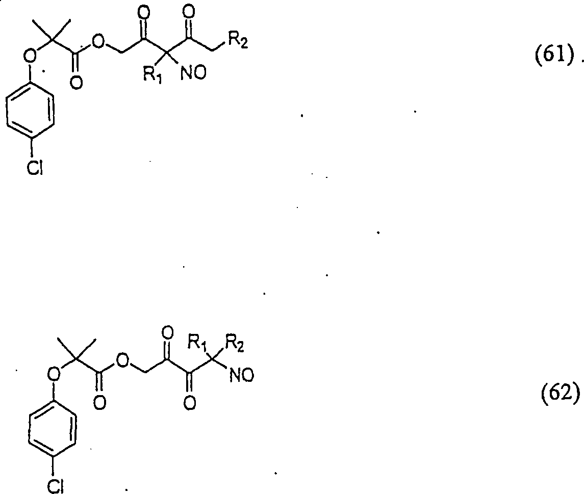
  • Das gegen Hypercholesterinämie/Hyperlipoproteinämie wirkende Clofibrat hat die Formel:
    Figure 00360001
  • C-Nitroso-Verbindungen der Erfindung hierin, die von Clofibrat abgeleitet sind, umfassen beispielsweise:
    Figure 00360002
  • In (61) und (62) sind R1 und R2 ausgewählt aus der Gruppe, die aus C1-C6-Alkyl und C6-C20-Aryl und substituierten Derivaten davon, z. B. substituiert mit Amino, Hydroxyl und/oder Carboxy und/oder die sulfatiert und/oder phosphoryliert sind, besteht.
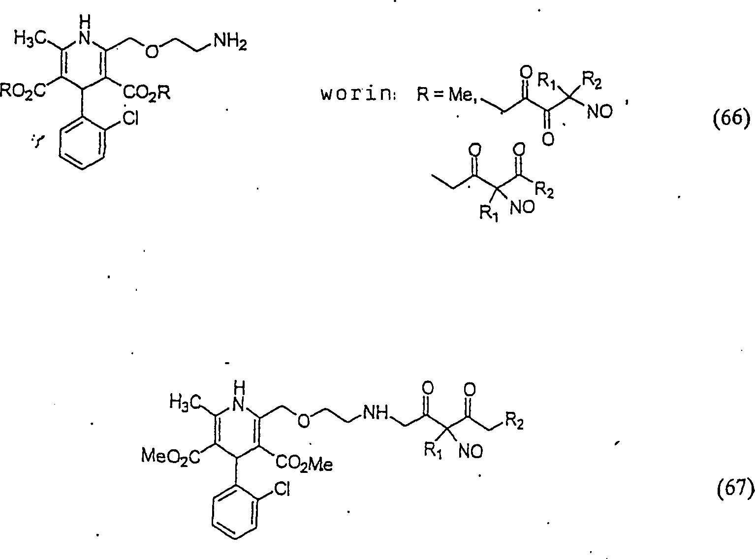
  • Der Calciumkanal-Blocker Nifedipin hat die Formel:
    Figure 00370001
  • C-Nitroso-Verbindungen, die von Nifedipin abgeleitet sind, umfassen beispielsweise:
    Figure 00370002
  • In (63), (64) und (65) sind R1 und R2 ausgewählt aus der Gruppe, die aus C1-C6-Alkyl und C6-C20-Aryl und substituierten Derivaten davon, z. B. substituiert mit Amino, Hydroxyl und/oder Carboxy und/oder die sulfatiert und/oder phosphoryliert sind, besteht.
  • Der Calciumkanal-Blocker Amlodipin hat die Formel:
    Figure 00380001
  • C-Nitroso-Verbindungen der Erfindung hierin, die von Amlodipin abgeleitet sind, umfassen beispielsweise:
    Figure 00380002
    Figure 00390001
  • In (66), (67), (68), (69) und (70) sind R1 und R2 ausgewählt aus der Gruppe, die aus C1-C6-Alkyl und C6-C20-Aryl und substituierten Derivaten davon, z. B. substituiert mit Amino, Hydroxyl und/oder Carboxy und/oder die sulfatiert und/oder phosphoryliert sind, besteht.
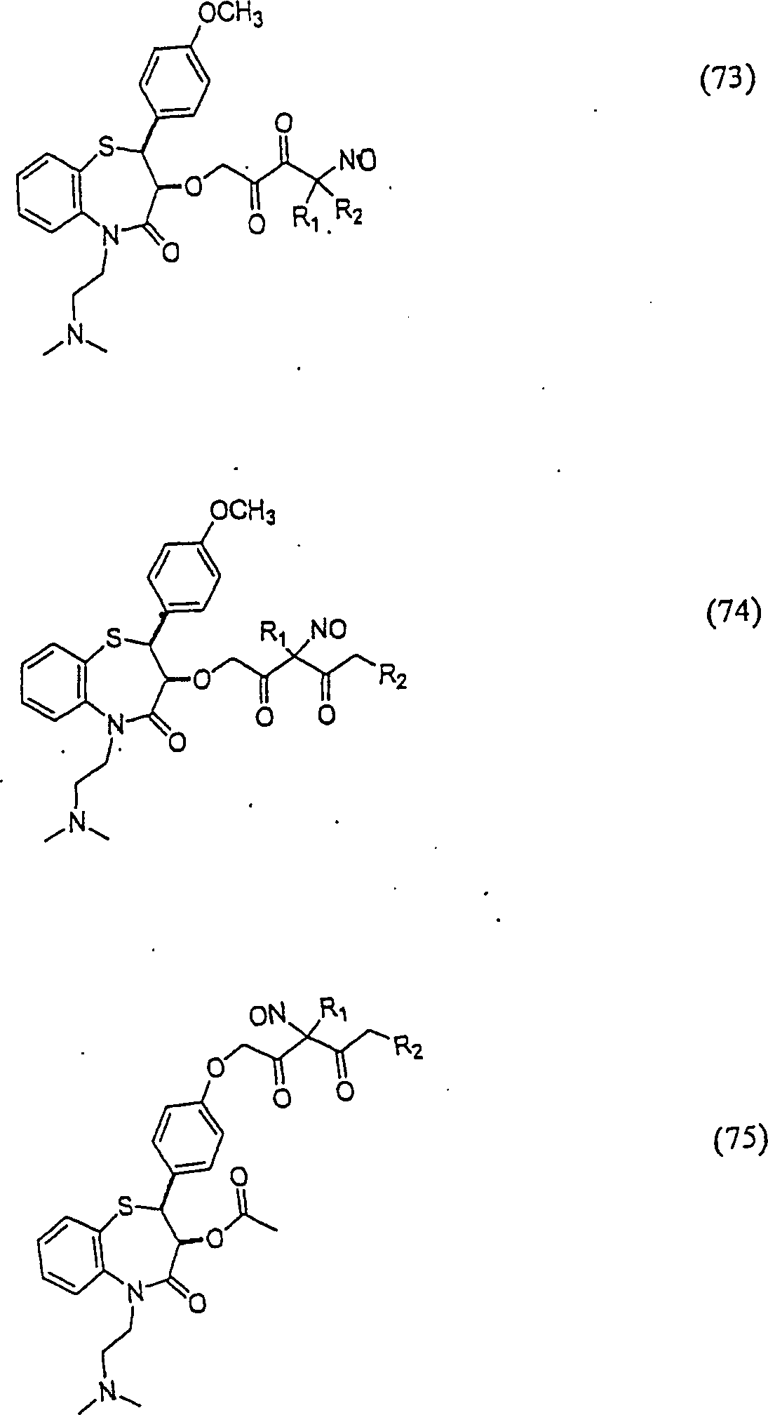
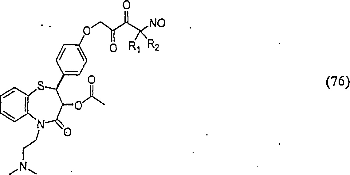
  • Der Calciumkanal-Blocker Diltiazem hat die Formel:
    Figure 00400001
  • C-Nitroso-Verbindungen der Erfindung hierin, die von Diltiazem abgeleitet sind, umfassen beispielsweise:
    Figure 00400002
    Figure 00410001
    Figure 00420001
  • In (71), (72), (73), (74), (75) und (76) sind R1 und R2 ausgewählt aus der Gruppe, die aus C1-C6-Alkyl und C6-C20-Aryl und substituierten Derivaten davon, z. B. substituiert mit Amino, Hydroxyl und/oder Carboxy und/oder die sulfatiert und/oder phosphoryliert sind, besteht.
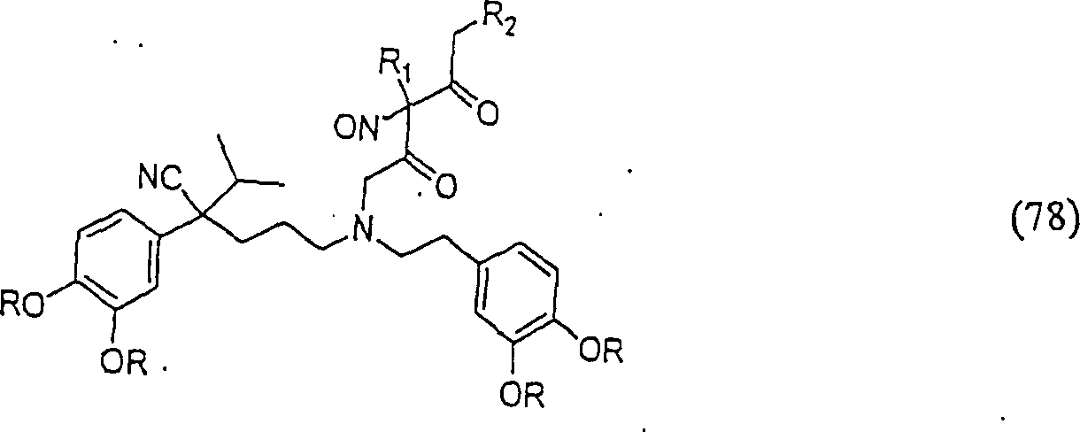
  • Der Calciumkanal-Blocker Verapamil hat die Formel:
    Figure 00430001
  • C-Nitroso-Verbindungen, der Erfindung hierin, die von Verapamil abgeleitet sind, umfassen beispielsweise:
    Figure 00430002
    Figure 00440001
    Worin R derselbe wie für (77) ist
    Figure 00440002
    worin R derselbe wie für (77) ist
  • In (77), (78), (79), (80) und (81) sind R1 und R2 ausgewählt aus der Gruppe, die aus C1-C6-Alkyl und C6-C20-Aryl und substituierten Derivaten davon, z. B. substituiert mit Amino, Hydroxyl und/oder Carboxy und/oder die sulfatiert und/oder phosphoryliert sind, besteht.
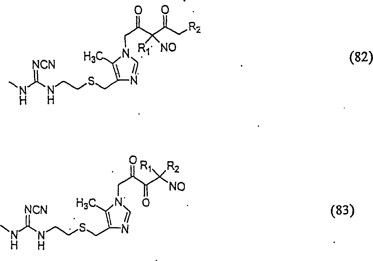
  • Das säureneutralisierende Cimetidin hat die Formel:
    Figure 00450001
  • C-Nitroso-Verbindungen der Erfindung hierin, die von Cimetidin abgeleitet sind, umfassen beispielsweise:
    Figure 00450002
  • In (82) und (83) sind R1 und R2 ausgewählt aus der Gruppe, die aus C1-C6-Alkyl und C6-C20-Aryl und substituierten Derivaten davon, z. B. substituiert mit Amino, Hydroxyl und/oder Carboxy und/oder die sulfatiert und/oder phosphoryliert sind, besteht.
  • Das säureneutralisierende Ranitidin hat die Formel:
    Figure 00460001
  • C-Nitroso-Verbindungen der Erfindung hierin, die von Ranitidin abgeleitet sind, umfassen beispielsweise:
    Figure 00460002
  • In (84) und (85) sind R1 und R2 ausgewählt aus der Gruppe, die aus C1-C6-Alkyl und C6-C20-Aryl und substituierten Derivaten davon, z. B. substituiert mit Amino, Hydroxyl und/oder Carboxy und/oder die sulfatiert und/oder phosphoryliert sind, besteht.
  • Der Bronchodilatatoral Abuterol hat die Formel:
    Figure 00460003
  • C-Nitroso-Verbindungen der Erfindung hierin, die von Albuterol abgeleitet sind, umfassen beispielsweise:
    Figure 00470001
  • In (86), (87) und (88) sind R1 und R2 ausgewählt aus der Gruppe, die aus C1-C6-Alkyl und C6-C20-Aryl und substituierten Derivaten davon, z. B. substituiert mit Amino, Hydroxyl und/oder Carboxy und/oder die sulfatiert und/oder phosphoryliert sind, besteht.
  • Der Bronchodilatator Ipratropiumbromid hat die Formel:
    Figure 00480001
  • C-Nitroso-Verbindungen der Erfindung hierin, die von Ipratropiumbromid abgeleitet sind, umfassen beispielsweise:
    Figure 00480002
  • In (89), (90), (91) und (92) sind R1 und R2 ausgewählt aus der Gruppe, die aus C1-C6-Alkyl und C6-C20-Aryl und substituierten Derivaten davon, z. B. substituiert mit Amino, Hydroxyl und/oder Carboxy und/oder die sulfatiert und/oder phosphoryliert sind, besteht.
  • Das NMDA-antagonistische/skelettmuskelentspannende Memantin hat die Formel:
    Figure 00490001
  • C-Nitroso-Verbindungen der Erfindung hierin, die von Memantin abgeleitet sind, umfassen beispielsweise:
    Figure 00490002
    Figure 00500001
    worin X wie in (95) ist
    Figure 00500002
    worin X wie in (95) ist
  • In (93), (94), (95), (96) und (97) sind R1 und R2 ausgewählt aus der Gruppe, die aus C1-C6-Alkyl und C6-C20-Aryl und substituierten Derivaten davon, z. B. substituiert mit Amino, Hydroxyl und/oder Carboxy und/oder die sulfatiert und/oder phosphoryliert sind, besteht.
  • C-Nitroso-Derivate von Mitteln gegen Proliferation sind besonders nützlich, da die NO-Gruppe eine Wirkung gegen Proliferation hat und diejenige des Mittels vor der NO-Derivatisierung erhöht.
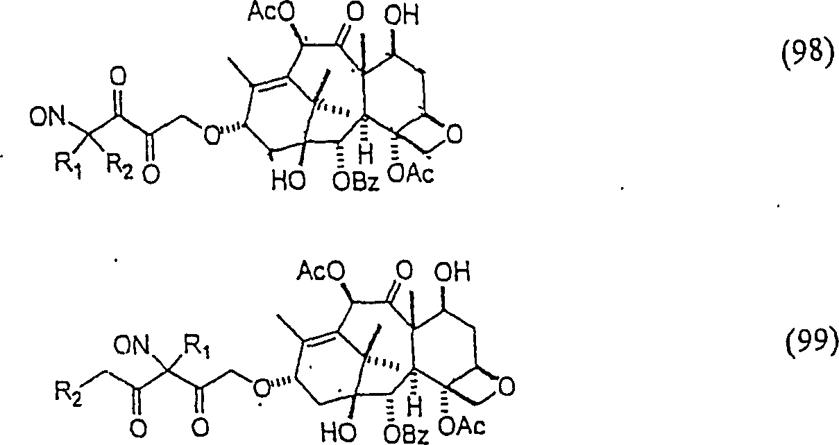
  • Das gegen Proliferation wirkende/Tubulin bindende Mittel 10-Deacetylbaccatin III hat die Formel:
    Figure 00500003
  • C-Nitroso-Verbindungen der Erfindung hierin, die Derivate von 10-Deacetylbaccatin III sind, umfassen beispielsweise:
    Figure 00510001
  • In (98) und (99) sind R1 und R2 ausgewählt aus der Gruppe, die aus C1-C6-Alkyl und C6-C20-Aryl und substituierten Derivaten davon, z. B. substituiert mit Amino, Hydroxyl und/oder Carboxy und/oder die sulfatiert und/oder phosphoryliert sind, besteht.
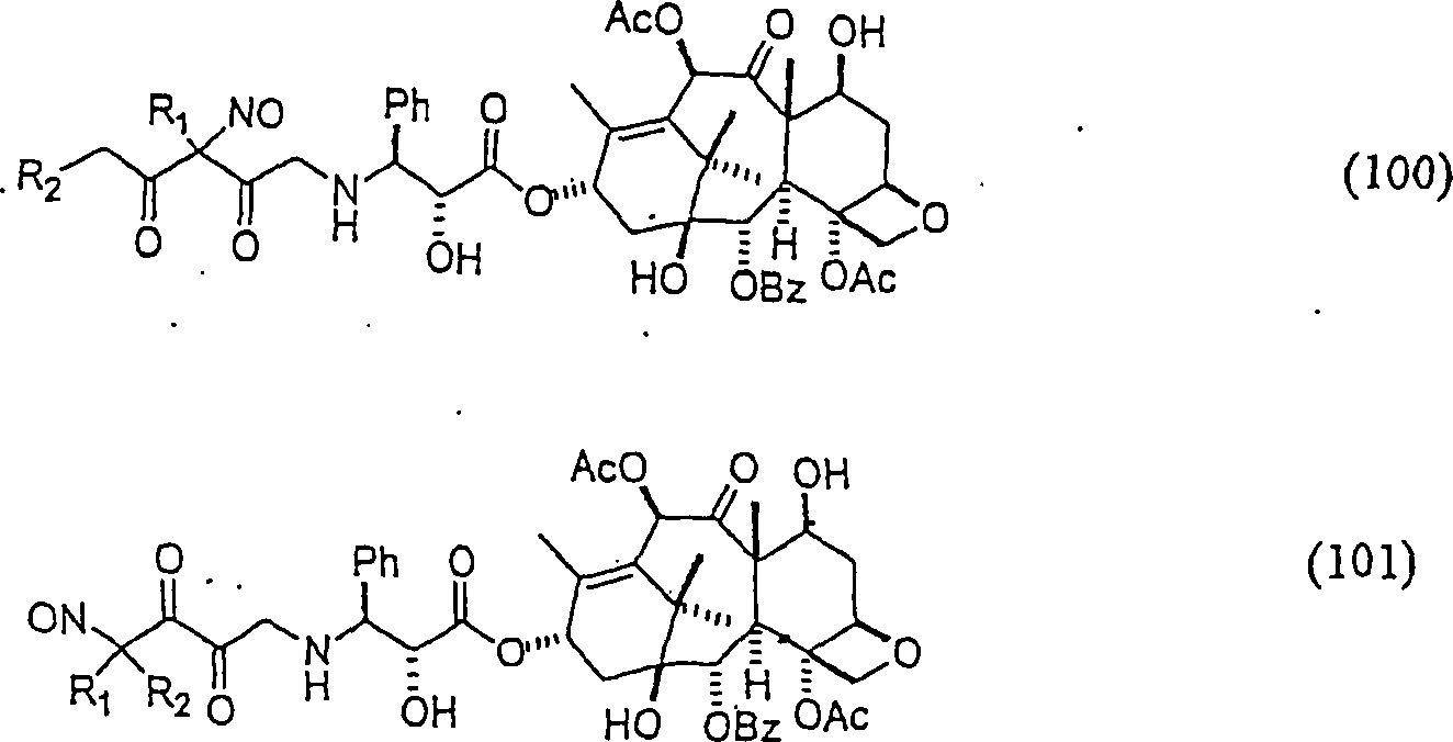
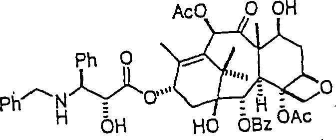
  • Das gegen Proliferation wirkende/Tubulin bindende Mittel Taxol hat die Formel:
    Figure 00510002
  • C-Nitroso-Verbindungen der Erfindung hierin, die von Taxol abgeleitet sind, umfassen beispielsweise:
    Figure 00510003
  • In (100) und (101) sind R1 und R2 ausgewählt aus der Gruppe, die aus C1-C6-Alkyl und C6-C20-Aryl und substituierten Derivaten davon, z. B. substituiert mit Amino, Hydroxyl und/oder Carboxy und/oder die sulfatiert und/oder phosphoryliert sind, besteht.
  • Das gegen Tuberkeln wirkende PA-824 hat die Formel:
    Figure 00520001
  • C-Nitroso-Verbindungen der Erfindung hierin, die von PA-824 abgeleitet sind, umfassen beispielsweise:
    Figure 00520002
    X = O, NH
    Figure 00520003
    X = O, NH
  • In (102) und (103) sind R1 und R2 ausgewählt aus der Gruppe, die aus C1-C6-Alkyl und C6-C20-Aryl und substituierten Derivaten davon, z. B. substituiert mit Amino, Hydroxyl und/oder Carboxy und/oder die sulfatiert und/oder phosphoryliert sind, besteht.
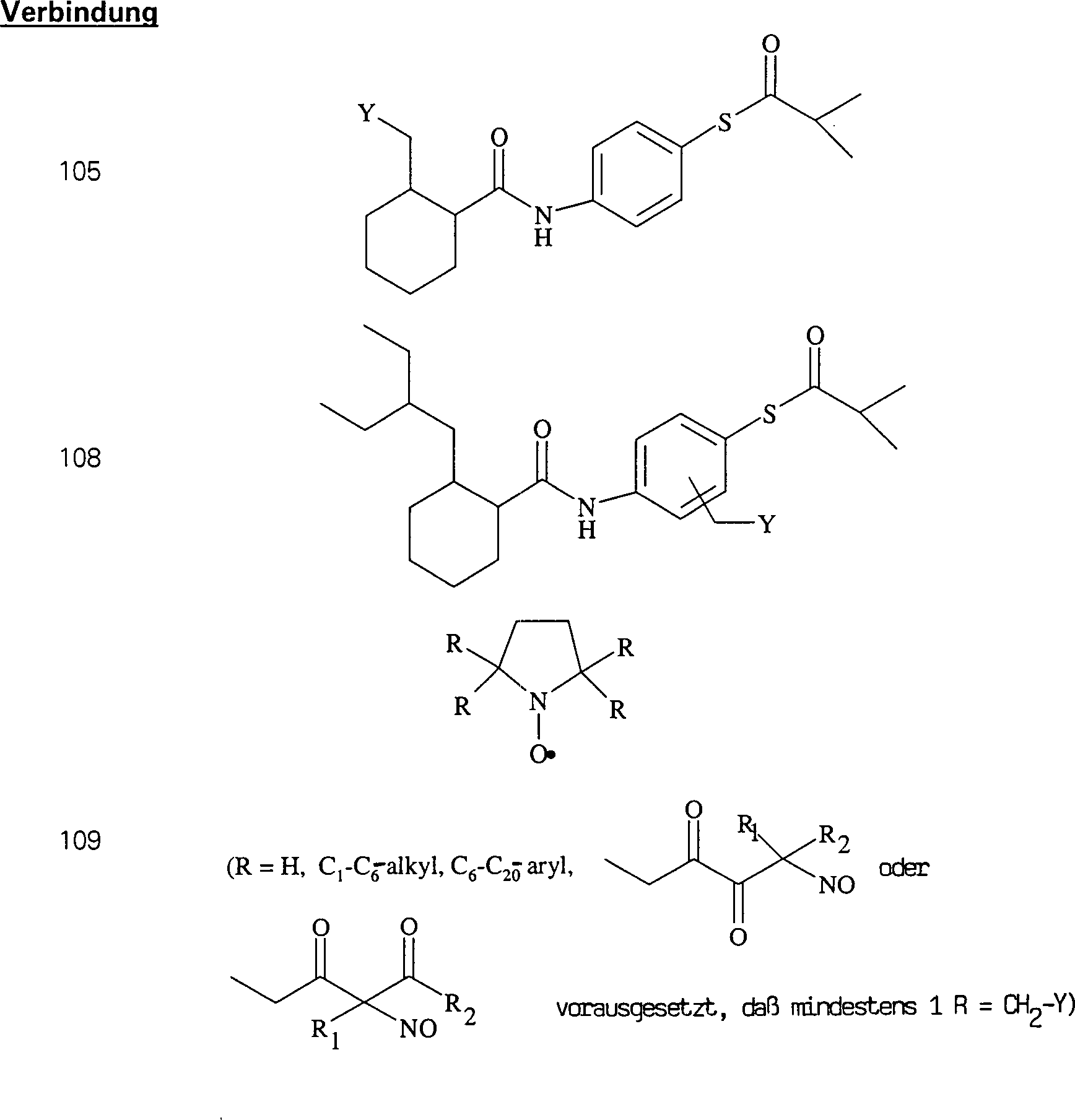
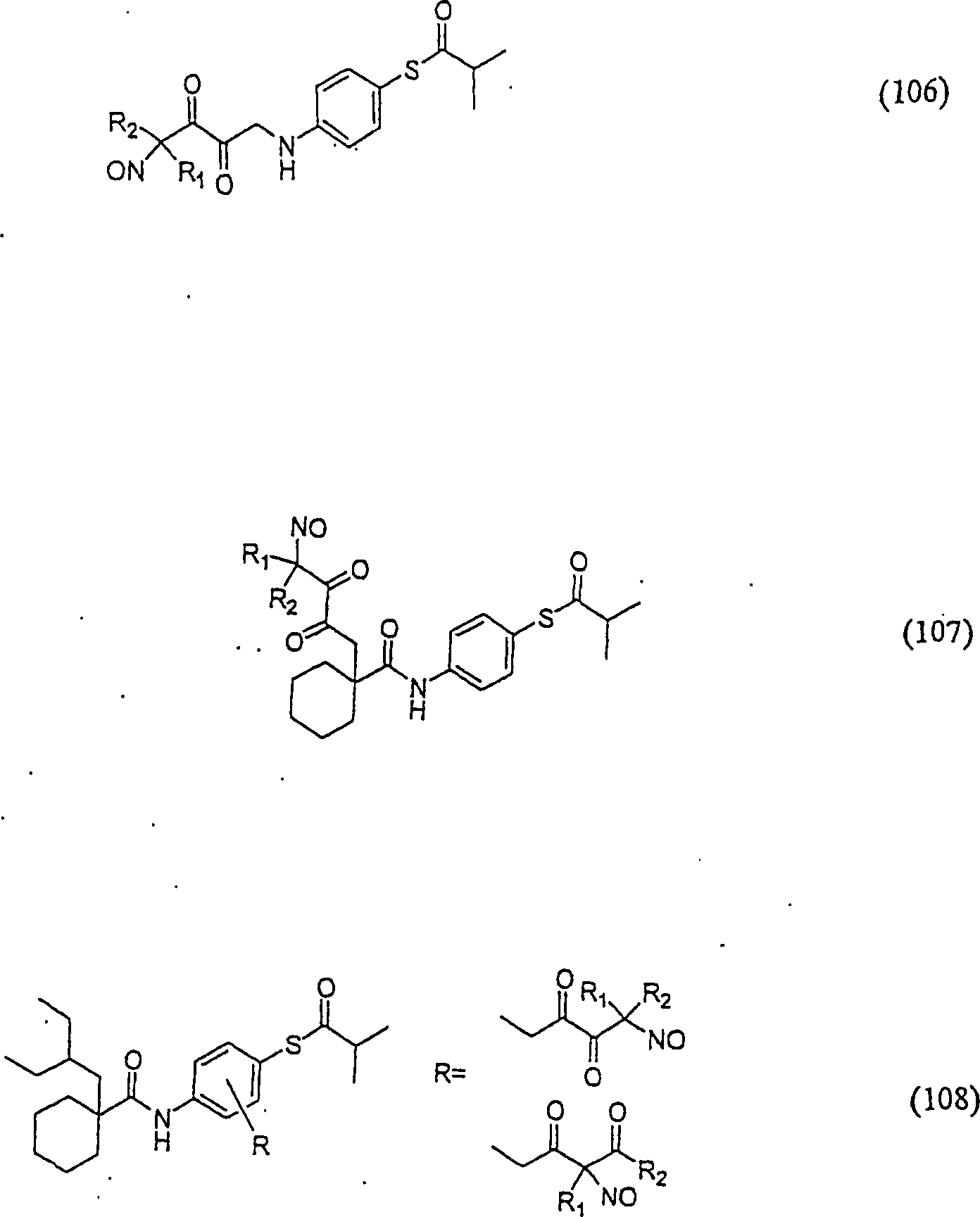
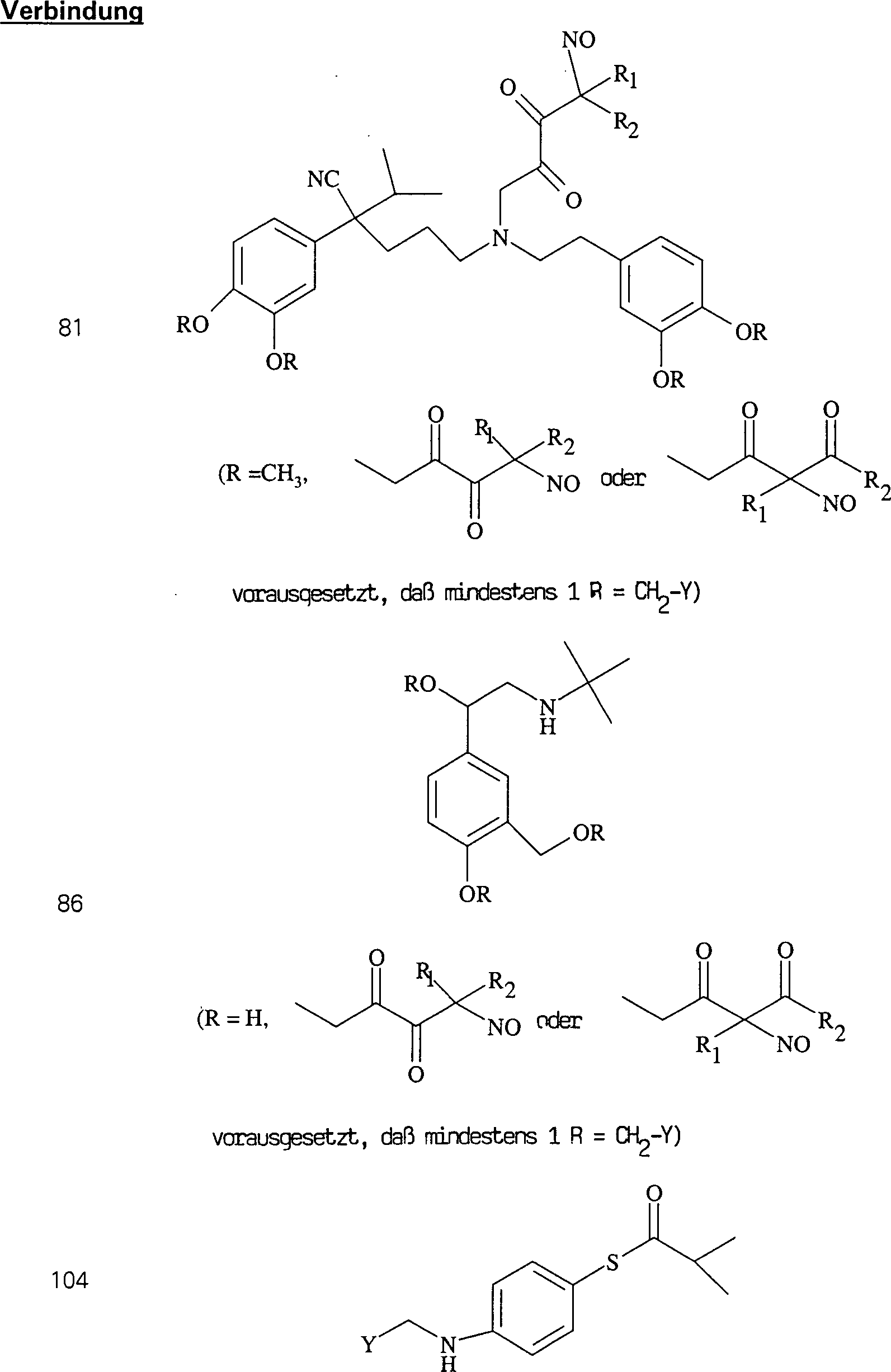
  • Der CETP-Inhibitor JTT-705 (Okamoto et al., Nature 406, 203 (2000)) hat die Formel:
    Figure 00530001
  • C-Nitroso-Verbindungen der Erfindung hierin, die von JTT-705 abgeleitet sind, umfassen beispielsweise:
    Figure 00530002
    Figure 00540001
  • In (104), (105), (106), (107) und (108) sind R1 und R2 ausgewählt aus der Gruppe, die aus C1-C6-Alkyl und C6-C20-Aryl und substituierten Derivaten davon, z. B. substituiert mit Amino, Hydroxyl und/oder Carboxy und/oder die sulfatiert und/oder phosphoryliert sind, besteht.
  • C-Nitroso-Verbindungen, die von SOD-Mimetika abgeleitet sind, umfassen beispielsweise:
    Figure 00550001
    worin M beispielsweise Mangan, Eisen oder Kobalt ist, L Halogenid ist, n in Abhängigkeit von der Wertigkeit von M im Bereich von 0 bis 4 liegt, und R wie in (109) ist.
  • In (109) und (110) sind R1 und R2 ausgewählt aus der Gruppe, die aus C1-C6-Alkyl und C6-C20-Aryl und substituierten Derivaten davon, z. B. substituiert mit Amino, Hydroxyl und/oder Carboxy und/oder die sulfatiert und/oder phosphoryliert sind, besteht.
  • Der Xanthinoxidase-Inhibitor Allopurinol hat die Formel:
    Figure 00550002
  • C-Nitroso-Verbindungen, die von Allopurinol geleitet sind, umfassen beispielsweise:
    Figure 00560001
  • In (111), (112), (113) und (114) sind R1 und R2 ausgewählt aus der Gruppe, die aus C1-C6-Alkyl und C6-C20-Aryl und substituierten Derivaten davon, z. B. substituiert mit Amino, Hydroxyl und/oder Carboxy und/oder die sulfatiert und/oder phosphoryliert sind, besteht.
  • Der COX-2-Inhibitor Celebrex hat die Formel:
    Figure 00570001
  • C-Nitroso-Verbindungen, die von Celebrex abgeleitet sind, umfassen beispielsweise:
    Figure 00570002
    Figure 00580001
  • In (115), (116), (117) und (118) sind R1 und R2 ausgewählt aus der Gruppe, die aus C1-C6-Alkyl und C6-C20-Aryl und substituierten Derivaten davon, z. B. substituiert mit Amino, Hydroxyl und/oder Carboxy und/oder die sulfatiert und/oder phosphoryliert sind, besteht.
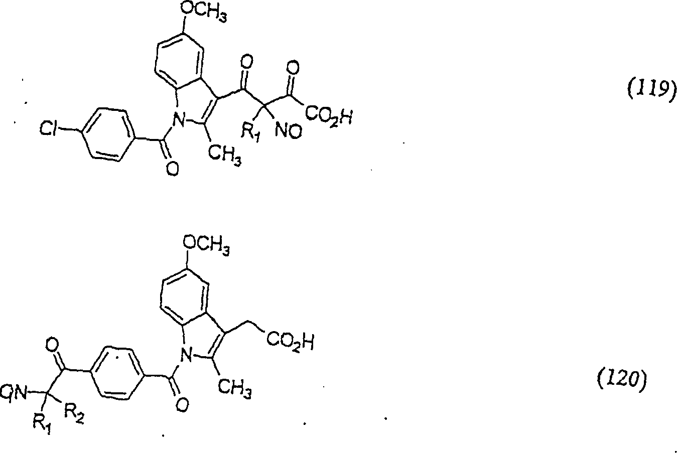
  • Der COX-2-Inhibitor Indomethacin hat die Formel:
    Figure 00580002
  • C-Nitroso-Verbindungen, die von Indomethacin abgeleitet sind, umfassen beispielsweise:
    Figure 00580003
    Figure 00590001
  • In (119), (120) und (121) sind R1 und R2 ausgewählt aus der Gruppe, die aus C1-C6-Alkyl und C6-C20-Aryl und substituierten Derivaten davon, z. B. substituiert mit Amino, Hydroxyl und/oder Carboxy und/oder die sulfatiert und/oder phosphoryliert sind, besteht.
  • Der COX-2-Inhibitor L-745 337 hat die Formel:
    Figure 00590002
  • C-Nitroso-Verbindungen, die von L-745 337 abgeleitet sind, umfassen beispielsweise:
    Figure 00590003
    Figure 00600001
  • In (122), (123) und (124):
    Figure 00600002
    und R1 und R2 sind ausgewählt aus der Gruppe, die aus C1-C6-Alkyl und C6-C20-Aryl und substituierten Derivaten davon, z. B. substituiert mit Amino, Hydroxyl und/oder Carboxy und/oder die sulfatiert und/oder phosphoryliert sind, besteht.
  • Der COX-2-Inhibitor Etudolac hat die Formel:
    Figure 00600003
  • C-Nitroso-Verbindungen, die von Etudolac abgeleitet sind, umfassen beispielsweise:
    Figure 00600004
    Figure 00610001
  • In (125), (126), (127) und (128) sind R1 und R2 ausgewählt aus der Gruppe, die aus C1-C6-Alkyl und C6-C20Aryl und substituierten Derivaten davon, z. B. substituiert mit Amino, Hydroxyl und/oder Carboxy und/oder die sulfatiert und/oder phosphoryliert sind, besteht.
  • In allen Fällen, in denen R1, R2, R3, R4 oder R5 oben definiert sind, wobei H nicht eine der genannten Gruppen ist, können R1, R2, R3, R4 und R5 auch H sein, vorausgesetzt, dass das NO an einen tertiären Kohlenstoff gebunden ist, d. h. so, dass ein Definieren von R1, R2, R3, R4 und/oder R5 als H nicht bewirkt, dass NO an einen Kohlenstoff gebunden ist, der kein tertiärer Kohlenstoff ist.
  • Die Verbindungen (1)-(128) sind beispielhaft gemeint, und in vielen Fällen kann sich die Kette, die mit NO substituiert ist, auch an einer anderen Stelle als der dargestellten befinden, wie es von einem Fachmann verstanden wird.
  • In vielen der beispielhaft veranschaulichten Verbindungen ist das Stickstoffoxid-tragende Fragment durch eine Ether- oder Amino-Verknüpfung verknüpft. Die Ether-Verknüpfung hat den Vorteil der in vivo-Stabilität. Alternativ kann es in manchen Fällen vorteilhaft sein, das NO-tragende Fragment durch eine Ester-Verknüpfung zu verknüpfen.
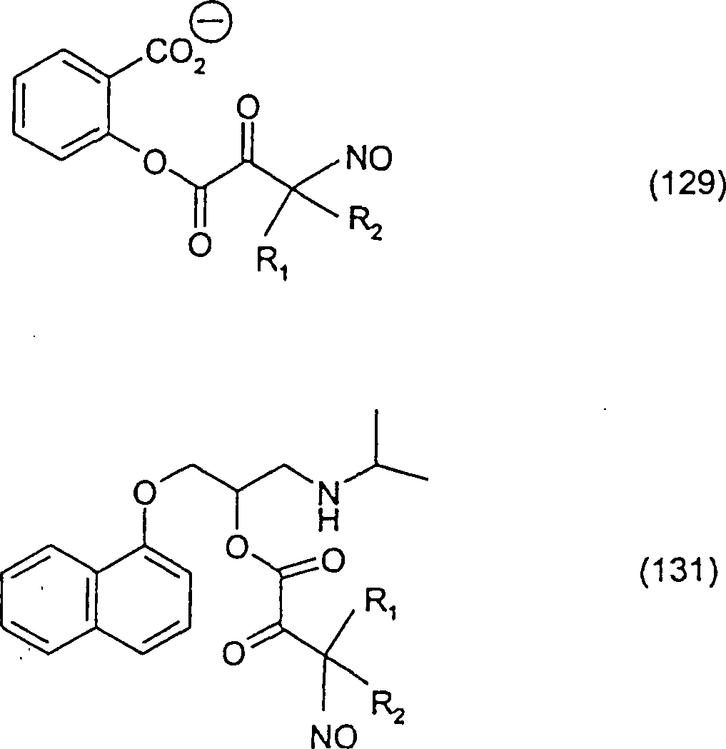
  • Beispiele für C-Nitroso-Verbindungen der Erfindung hierin, in denen das Notragende Fragment durch eine Ester-Verknüpfung verknüpft ist, sind unten angegeben:
    Figure 00620001
  • In (129) und (131) sind R1 und R2 ausgewählt aus der Gruppe, die aus C1-C6-Alkyl und C6-C20-Aryl und substituierten Derivaten davon, z. B. substituiert mit Amino, Hydroxyl und/oder Carboxy und/oder die sulfatiert und/oder phosphoryliert sind, besteht, oder können H sein, vorausgesetzt, dass das Definieren von R1 und R2 als H nicht dazu führt, dass NO an einen Kohlenstoff gebunden ist, der kein tertiärer Kohlenstoff ist. Die Verbindungen (129) und (131) sind beispielhaft gedacht, und in Kenntnis des obigen würde ein Fachmann sich viele andere C-Nitroso-Verbindungen der Erfindung hierin, in denen das Notragende Fragment durch eine Ester-Verknüpfung verknüpft ist, vorstellen können.
  • Ein Beispiel für eine Verbindung (129) ist:
    Figure 00630001
  • Verbindung (129a) wird erhalten durch Nitrosylierung eines Kohlenstoffatoms mit einem pKa von weniger als 10.
  • Wir kommen nun zur Synthese der C-Nitroso-Verbindungen der ersten Ausführungsform hierin.
  • Mehrere Verfahren, die zur Synthese von C-Nitroso-Verbindungen anwendbar sind, sind offenbart in Boyer, J. H., "Methods of Formation of the Nitroso Group and its Reactions" in The Chemistry of the Nitro and Nitroso Groups, Teil1, Feuer, H., Herausgeber, John Wiley & Sons, New York (1969) auf den Seiten 215-299, und in Touster, O. in Organic Reactions, Vol. 7, John Wiley & Sons, New York (1955) auf den Seiten 327-377, die hierin durch Bezugnahme aufgenommen werden.
  • In einem Verfahren, das zur Nitrosylierung von Kohlenstoffsäuren mit pKa's von weniger als 15 anwendbar ist, können die Kohlenstoffsäuren direkt mit Natriumnitrit und einer Säure wie Eisessig nach dem Verfahren von Sklyar, Yu. E., et al., Khimiya Geterotsiklicheskikh Soedinenii, 5, 70-73 (1969) nitrosyliert werden. Dieses Verfahren ist brauchbar zur Herstellung der Unterart von Verbindungen hierin, die durch Nitrosylierung einer Kohlenstoffsäure mit einem pKa von weniger als 10 erhalten werden.
  • In einem Verfahren, das zur Nitrosylierung von Kohlenstoffsäuren mit pKa's zwischen 15 und 30 anwendbar ist, wird die Nitrosylierung durch Bildung des Enolats und Abfangen des Enolats durch ein Nitrosonium-Äquivalent ausgeführt. Das Enolat kann direkt abgefangen oder als der Silyl-enol-ether oder ein Äquivalent isoliert werden. Dieses Verfahren ist brauchbar zur Herstellung der Unterart von Verbindungen hierin, die durch Nitrosylierung einer Kohlenstoffsäure mit einem pKa im Bereich von 15-20 erhalten werden. Es ist das Verfahren, das in Beispiel I hierin nachfolgend zur Herstellung von dimerer 2-[4'-(α-Nitroso)isobutyrylphenyl]propionsäure) verwendet wird.
  • In einem Verfahren, das unabhängig von der Acidität zur Synthese von C-Nitroso-Verbindungen brauchbar ist, wird die Kohlenstoffsäure in das entsprechende Hydroxylamin umgewandelt, das oxidiert wird, beispielsweise unter Verwendung von Silbercarbonat auf Celite.
  • In dem Fall instabiler C-Nitroso-Verbindungen kann es wünschenswert sein, das C-Nitroso-Fragment erst in dem abschließenden Schritt der Synthese, oder so spät in der Synthese wie möglich, einzuführen oder zu demaskieren. Bei einem solchen Weg wird bei der Synthese des C-Nitroso-Arzneimittels zuerst ein geeignetes Fragment eingebaut, und die Nitrosylierung wird erst ausgeführt, nachdem die Synthese vollendet ist. Ein Beispiel für diesen Weg ist unten dargelegt:
    Figure 00650001
  • In dem obigen Reaktionsschema kann R1 ausgewählt werden aus der Gruppe, die aus C1-C6-Alkyl und C6-C20-Aryl und substituierten Derivaten davon (wie oben für R1 und R2 definiert) besteht, und X ist Chlor oder Brom und PPTS ist Pyridinium-paratoluol-sulfonsäure und "pyr" ist Pyridin. Dieser Weg ist besonders geeignet zur Herstellung von Verbindungen, die von Ausgangs-Kohlenstoffsäuren mit besonders niedrigen pKa-Werten, typischerweise weniger als 15 und bevorzugt weniger als 10, abgeleitet sind. Für Verbindungen, die von Ausgangs-Kohlenstoffsäuren mit höheren pKa-Werten abgeleitet sind, ist es bevorzugt, die C-Nitroso-Baueinheit als das bis-geschützte Hydroxylamin maskiert mitzuführen; die C-Nitroso-Funktionalität wird, beispielsweise, spät in der Synthese, nach der Bindung an ein konventionelles Arzneimittel, durch milde Oxidation mit, beispielsweise, Silbercarbonat auf Celite demaskiert; ein Beispiel für diese Syntheseart ist unten dargelegt:
    Figure 00660001
  • In dieser Reaktion bedeutet LDA-Lithium-diisopropyl-amid, TMSE bedeutet Trimethylsilylethyl, R ist TMSE, PG ist eine Schutzgruppe und DCC ist Dicyclohexylcarbodiimid.
  • Derivatisierte Verbindungen können unter Verwendung eines Brommethylketon-Derivats von entweder 3-Nitroso-2,4-pentan-dion oder 4-Nitroso-2,3-butadion als Nitrosylierungsmittel hergestellt werden.
  • Substituierte 3-Nitroso-2,4-pentadione können nach dem folgenden Reaktionsschema hergestellt werden:
    Figure 00660002
  • In dem obigen Reaktionsschema steht "PG" für Schutzgruppe und "pPTS" steht für Pyridinium-paratoluol-sulfonsäure, R1, R2, R3 und R4 sind gleich oder verschieden und können dieselben sein wie R1 für die obigen Reaktionsschemas definiert ist, und X ist Chlor oder Brom. Die Herstellung wird kurz wie folgt beschrieben: eine Gruppe wird auf eine übliche Weise durch nucleophile Substitution an der acidesten Position eingeführt. Die Einführung dieser Gruppe verhindert die Bildung des Oxims nach der Nitrosylierung. Die genaue Identität der Gruppe wird gewählt, um die Reaktivität des C-Nitroso-Derivats zu kontrollieren. Der elektrophilen Nitrosylierung mit Nitrosonium folgt die Reduktion zum Hydroxylamin und der Schutz als das Bisacyl-Derivat, wie beschrieben in "Bisprotected hydroxylamines as reagents in organic synthesis. A review:" in Romine, J. L., Org. Prep. Proced. Int. 28, 249-288 (1996). Der Unterscheidung des Dions durch Monoschutz als das Ketal folgt die Einführung von ein, zwei oder drei Gruppen durch nucleophile Substution auf Standardart. Der Entschützung des Ketals und des Hydroxylamins folgt die milde Oxidation zur C-Nitroso-Verbindung mit, beispielsweise, auf Celite immobilisierten Silber (1)-Salzen. Schließlich liefert die Umwandlung zum Brommethyl-Keton mit Brom und Bromwasserstoffsäure das Derivatisierungsmittel.
  • Substituierte 4-Nitroso-2,3-butadione können nach dem folgenden Reaktionsschema hergestellt werden:
    Figure 00670001
  • In dem obigen Reaktionsschema ist "pPTS" Pyridinium-paratoluol-sulfonsäure, "LDA" ist Lithium-diisopropyl-amid und "PG" bedeutet Schutzgruppe, R1 und R2 können gleich oder verschieden sein und können dieselben sein wie für die oben dargelegten Reaktionsschemata, und X ist Chlor oder Brom. Die Herstellung wird kurz wie folgt beschrieben: das Dion von 2,3-Butadion wird als das Monoketal unterschieden und wird dann in der üblichen Weise durch nucleophile Substitution substituiert. Nitrosiyierung durch den Silyl-enol-ether, gefolgt von Schützen der C-Nitroso-Gruppe als das diacylierte Hydroxylamin geht der Entschützung des Ketals, der Wiederherstellung der C-Nitroso-Funktionalität und der Bromierung zum reaktiven α-Bromketon voraus.
  • Bei der Synthese von Verbindungen der ersten Ausführungsform hierin kann der Kohlenstoffsäure-pKa des Ausgangsmaterials nach unten reguliert werden, indem darin ein elektronenziehendes Atom oder eine elektronenziehende Gruppe vorgesehen wird, und der Kohlenstoffsäure-pKa kann nach oben reguliert werden, indem darin eine elektronenfreisetzende Gruppe vorgesehen wird.
  • Beispielsweise kann ein acides Zentrum eingeführt werden, z. B. Bildung einer Ketongruppe aus dem Kohlenstoff, der dem zu nitrosylierenden Kohlenstoff benachbart ist, um die Acidität zu erhöhen und ein Ausgangsmaterial mit niedrigerem Kohlenstoffsäure-pKa zu schaffen. Dieser Weg wurde bei der Synthese von dimerer 2-[4'-(α-Nitroso)isobutyrylphenyl]propionsäure aus Ibuprofen, die in Beispiel I unten dargelegt ist, verwendet. In der Synthese von Beispiel I wurde Ibuprofen (Kohlenstoffsäure-pKa von näherungsweise 50-55) auf diesem Weg in 2-(4'-Isobutyrylphenyl)propionsäure (Kohlenstoffsäure-pKa von etwa 20) umgewandelt, und die letztere wurde durch das oben beschriebene Verfahren der Nitrosylierung von Kohlenstoffsäuren mit pKa's zwischen 15 und 30 in das Endprodukt umgewandelt. Das Reaktionsschema, das in Beispiel I zur Umwandlung von Ibuprofen in dimere 2-[4'-(α-Nitroso)isobutyrylphenyl]propionsäure verwendet wurde, ist unten dargelegt, worin 1A Ibuprofen ist, 4A 2-(4'-Isobutyrylphenyl)propionsäure ist und 6A das dimere Produkt ist.
  • Figure 00690001
  • In dem obigen Reaktionsschema steht "TMSCI" für Chlortrimethylsilan.
  • Zusammengefasst gibt es im Grunde mindestens zwei unterschiedliche Wege zur Herstellung der Verbindungen hierin. Einer davon ist, das Ausgangs-Arzneimittel zu modifizieren, um bei der ersten Ausführungsform hierin eine Funktionalität (Keton oder Dion), die eine C-Nitrosylierung erlaubt, einzuführen. Nach diesem Verfahren wird das Nitrosoketoibuprofen hierin gemacht. Der andere davon ist, an das Arzneimittel ein Teil oder Fragment, das die Bildung von -CNO erlaubt, zu binden. Ein Verfahren zur Ausführung des letzteren ist über ein Bromketon, um über Ether, Amin oder Ester zu verknüpfen. Anstelle der Verwendung eines Bromketons kann ein Carbonsäure-Derivat mit einer Hydroxygruppe oder einer Amingruppe eines konventionellen Arzneimittels zur Reaktion gebracht werden, um eine Amid- oder Ester-Verknüpfung zu erhalten.
  • Die Verbindung (129a) kann auf dem folgenden Syntheseweg hergestellt werden:
    Figure 00690002
  • Wir kommen nun zur Anwendung der C-Nitroso-Verbindungen der ersten Ausführungsform hierin.
  • Die C-Nitroso-Verbindungen der ersten Ausführungsform hierin finden Anwendung als NO-Donoren, und in einer solchen Funktion schaffen sie einen Entspannungseffekt und einen plättchenhemmenden Effekt. So sind C-Nitroso-Verbindungen der ersten Ausführungsform hierin brauchbar, um Restenose nach einer Angioplastik bei Patienten, bei denen nach einer Angioplastik ein Restenoserisiko besteht, zu verhindern und um Plättchen zur Verhinderung von Koagulation zu hemmen und um Angina zu behandeln bei Patienten, bei denen ein Koagulations- und Thrombusbildungs-Risiko besteht. Die NO-Donorfunktion liefert auch die folgenden therapeutischen Effekte: Hemmung von Mikroben und Behandlung von Impotenz, Asthma, Herzinsuffizienz, Schlaganfall, Arthritis, ARDS, Krebs und jeglicher pathologischer Proliferation von Zellen und jeglicher Schädigung im Zusammenhang mit NMDA.
  • Wie oben angegeben, zeigen die C-Nitroso-Verbindungen der ersten Ausführungsform hierin mit hoher NO-Donatorkapazität (von Kohlenstoffsäuren mit pKa's von weniger als den 10) schwache (mikromolare Konzentration) Effekte, wahrscheinlich durch Nitrit, und werden durch hinzugegebenes Gluthation oder ähnliche Thiole mit niedrigem Molekulargewicht verstärkt bzw. potenziert. Diese Verbindungen bewirken die Bildung von Nitrosogluthation und sind daher besonders nützlich zur Behandlung von Patienten, die Nitrosoglutathion brauchen, z. B. Patienten mit zystischer Fibrose, Asthma, Hypoxie und ischämischen Erkrankungen.
  • Wie oben angegeben zeigen die C-Nitroso-Verbindungen der ersten Ausführungsform hierin mit schwachen NO-Donatorfähigkeiten (von Kohlenstoffsäuren mit pKa's im Bereich von 15-20) hohe Wirksamkeiten durch spezifische Nitrosylierung stark nucleophiler Ziele und sind daher brauchbar, um Thiole in Proteinen in hochgradig nucleophilen Milieus zu nitrosylieren, und daher sind sie brauchbar zur Behandlung von Patienten, die nitrosilierten Proteine brauchen, z. B. Patienten mit Bluthochdruck, Neurodegenerierung und schmerzhafter Sichelzellenerkrankungs-Krise.
  • Wenn C-Nitroso-Verbindungen der ersten Ausführungsform hierin von nicht-steroidalen antiinflammatorisch wirkenden Arzneimitteln, die sowohl COX-1 als auch COX-2 hemmen, abgeleitet sind, sind die C-Nitroso-Verbindungen brauchbar zur Behandlung entzündlicher oder schmerzhafter Erkrankungen einschließlich Arthritis, koronarer Herzerkrankung und Harninkontinenz, und Verbessern das Profil selektiver Inhibitoren von COX-2, z. B. bei der Behandlung von Angina. Das hierin hergestellte Nitrosoketoibuprofen hat diese Anwendungen.
  • Wie oben angegeben und wie bei der Beschreibung von Vorteilen unten tiefergehend diskutiert wird, verbessert die Stabilität der dimeren Form isolierter C-Nitroso-Verbindungen der ersten Ausführungsform hierin die Verbindung-Lebensdauer und sorgt für eine modulierte biologische Aktivität. Diese Eigenschaft erlaubt ihre Verwendung als Depot-Arzneimittel. Eine derartige Stabilität bringt auch eine Anwendung als Prodrugs mit sich. Weil die spontane Freisetzung von NO sowohl kontrollierbar als auch klein ist, sind viele C-Nitroso-Verbindungen nur in Anwesenheit von Aktivatoren mit kleinen Molekülen wirksam, z. B. von Thiolen mit niedrigem Molekulargewicht, die als Träger von NO (in einer geeigneten Redoxform) von der C-Nitroso-Verbindung zu einem biologischen Ziel wirken.
  • Wir kommen nun zu Dosierungen und Verabreichungsverfahren für die C-Nitroso-Verbindungen der ersten Ausführungsform hierin, wenn sie für eine therapeutische Anwendung verwendet werden.
  • Im allgemeinen liegen die Dosierungen im Bereich von 1 μg/kg bis 1000 mg/kg und variieren in Abhängigkeit von der spezifischen C-Nitroso-Verbindung. Dosierungen für spezifische Verbindungen werden durch Standardverfahren zur Dosisfestlegung leicht festgelegt. Die normale Dosis des Ausgangsarzneimittels kann beibehalten werden, indem man nur einen Teil davon als das C-Nitroso-Derivat verwendet. Der Grund für den breiten Bereich ist, dass viele Verbindungen von der Erfindung umfasst werden.
  • Verabreichungswege umfassen beispielsweise oral, parenteral einschließlich intravenös, inhaliert, zerstäubt und topisch.
  • Wenn die C-Nitroso-Verbindung der ersten Ausführungsform hierin von einem konventionellen Arzneimittel abgeleitet ist, sind die verwendeten Dosierungen jene, die für das konventionelle Arzneimittel in Gebrauch sind, und die Anwendungsverfahren sind jene für das konventionelle Arzneimittel, aber wie oben angegeben wird nur ein Teil des Arzneimittels als die C-Nitroso-Verbindung verabreicht, wobei der Rest, falls erforderlich, als das konventionelle Arzneimittel verabreicht wird.
  • Wenn die C-Nitroso-Verbindung eine ist, die durch Nitrosylierung einer Kohlenstoffsäure mit einem pKa von weniger als 10 erhalten wurde, wird sie bevorzugt in einer Konzentration im Bereich von 1 nanomolar bis 100 mikromolar als eine wässrige Lösung verabreicht, außer wenn durch Glutation oder ein anderes Thiol mit niedrigem Molekulargewicht eine Potentierung geschaffen wird, worauf die C-Nitroso-Verbindung bevorzugt in einer Konzentration im Bereich von 1 bis 900 nanomolar verabreicht wird und das Glutathion in einer Konzentration im Bereich von 1 mikromolar bis 100 Millimolar verabreicht wird.
  • Wenn die C-Nitroso-Verbindung eine ist, die aus einer Kohlenstoffsäure mit einem pKa im Bereich von 15-25, z. B. 15-20, erhalten wird, wird die C-Nitroso-Verbindung bevorzugt in einer Konzentration im Bereich von 1 nanomolar bis 100 mikromolar verabreicht.
  • Wir kommen nun zu dem Ibuprofen-Derivat, d. h. dimerer 2-[4'-(α-Nitroso)isobutyrylphenyl]propionsäure. Sie wird bevorzugt als eine Pille, Tablette oder Kapsel verabreicht, wobei nur ein Teil des Ibuprofens als das C-Nitroso-Derivat, z. B. ein Gewichtsteil Ibuprofen-Derivat zu 1000 Gewichtsteilen underivatisiertem Ibuprofen, um 400 mg auf Ibuprofen-Basis zu liefern, drei- bis viermal am Tag und in einer Konzentration der C-Nitroso-Verbindung von 1 nanomolar bis 100 mikromolar verabreicht wird.
  • Die Verbindungen der ersten Ausführungsform hierin sind gegenüber den bisher bekannten C-Nitroso-Verbindungen vorteilhaft hinsichtlich Wirksamkeit und/oder Löslichkeit.
  • Wir kommen nun zu den Vorteilen der C-Nitroso-Verbindungen der ersten Ausführungsform hierin gegenüber O-Nitroso-Verbindungen und S-Nitroso-Verbindungen als NO-Donoren.
  • Eine Hauptbarriere gegen die Verwendung organischer Nitrite und Nitrosothiole als NO (oder Nitrosonium)-Donoren ist ihre Instabilität. Nitrosothiole beispielsweise unterliegen einer raschen Zersetzung, um inter alia ein Stickstoffoxid-Radikal und ein Schwefel-Radikal zu ergeben. Im Gegensatz dazu gehen C-Nitroso-Verbindungen der ersten Ausführungsform eine Dimerisierungsreaktion ein, um ein festes, stabiles Dimer zu erzeugen. Wie oben angegeben, läuft diese Dimerisierungsreaktion während der Isolierung von C-Nitroso-Verbindungen spontan ab, und die Dimerisierung ist für α-Acyl-C-nitroso-Verbindungen stark begünstigt. Im allgemeinen sind die Dimere fest und stabil, bei Umgebungstemperatur in Anwesenheit von Sauerstoff und Licht monatelang lagerfähig. Die C-Nitroso-Verbindungen hierin haben vom Standpunkt der Lagerstabilität her einen signifikanten Vorteil gegenüber O-Nitroso- und S-Nitroso-Verbindungen der ersten Ausführungsform.
  • Die C-Nitroso-Verbindungen der ersten Ausführungsform hierin sind auch insofern gegenüber O-Nitroso- und S-Nitroso-Verbindungen als NO-Donoren vorteilhaft, als ihre Funktionalität, d. h. NO-Donatorpotential und Reaktivität, maßgeschneidert werden kann, während dies für O-Nitroso- und S-Nitroso-Verbindungen nicht der Fall ist.
  • Wir kommen zuerst zum Maßschneidern des NO-Donatorpotentials der C-Nitroso-Verbindung der ersten Ausführungsform hierin. Dies kann auf drei Arten gemacht werden. Erstens ist die Übertragungsrate des Nitrosonium-Äquivalents direkt proportional zur Acidität. Daher wird das NO-Donatorpotential erhöht, indem man die C-Nitroso-Verbindung aus Ausgangsmaterial mit niedrigerem pKa erhält. Zweitens steht das NO-Donatorpotential in Beziehung zur Lage (Gleichgewichtskonstante) des Dimer-Monomer-Gleichgewichts (Thermodynamik). Diese Eigenschaft liegt daran, dass, wie oben angegeben, das Dimer stabil und unwirksam ist, während das Monomer wirksam ist. Drittens wird das NO-Donatorpotential durch die Umwandlungsrate von Dimer und Monomer ineinander (Kinetic) beeinflusst. Dieses Merkmal kann benutzt werden, beispielsweise in dem man ein Acyl alpha zu dem Nitroso-Kohlenstoff positioniert, um die Umwandlungsrate zum Monomer zu verlangsamen. Andererseits ist die NO-Donatorfähigkeit organischer Nitrite und Nitrosothiole im großen Umfang eine Funktion des Heteroatoms (Sauerstoff oder Schwefel); es gibt wenig in der Art einer Beziehung zwischen Struktur und Wirksamkeit.
  • Wir kommen nun zum Maßschneidern der Reaktivität der C-Nitroso-Verbindungen. Dies kann sterisch oder elektronisch erreicht werden. Wir kommen nun zum sterischen Maßschneidern der Reaktivität. Die Hinzufügung einer sterischen Masse am α-Kohlenstoff verlangsamt die Übertragung eines Nitrosonium-Äquivalents. So können beispielsweise hochgradig gehinderte Protein-Sulphydryl-Rezeptoren durch Verwendung hochgradig gehinderter C-Nitroso-Donoren gegen S-Nitrosylierung geschützt werden. Wir kommen nun zum elektronischen Maßschneidern der Reaktivität. Erstens ist die Übertragungsrate eines Nitrosonium-Äquivalents direkt proportional zur Acidität der Ausgangs-Kohlenstoffsäure. Zweitens kann die Reaktivität durch Wählen von Ausgangsmaterial mit Gruppen, die das Donatorpotential maßschneidern können, maßgeschneidert werden. Beispielsweise erniedrigt die Hinzufügung von Gruppen wie Acyl und von elektronegativen Substituenten die Acidität der Kohlenstoffsäure und steigert in der Folge die NO+-Donatorkapazität der C-Nitroso-Verbindung. Darüber hinaus verändert die Abänderung von Gruppen die Form von freigesetztem Stickstoffoxid. Die Abänderung von Gruppen kann die Acidität um bis zu 1040 verändern, was den Bereich, der mit Konjugaten auf Schwefel- oder Sauerstoff-Basis verfügbar ist, stark überschreitet.
  • Verfahren zur Bereitstellung unterschiedlicher Gruppen in C-Nitroso-Verbindungen sind in den oben beschriebenen Syntheseverfahren verfügbar, wo Brommethylketon-Derivate von entweder 3-Nitroso-2,4-pentandion oder von 4-Nitroso-2,3-butadion verwendet werden, und diese Gruppen können die Monomer-Dimer-Eigenschaften und das NO-Donatorpotential des Endprodukts beeinflussen.
  • Wie oben angegeben, können die C-Nitroso-Verbindungen der ersten Ausführungsform, wenn sie von konventionellen Arzneimitteln abgeleitet sind, anstelle des konventionellen Arzneimittels verwendet werden, und die Verwendungs verfahren sind jene für das konventionelle Arzneimittel, wenn auch die Dosierung variiert werden kann, um eine therapeutisch wirksame Menge bereitzustellen. So kann in einem Fall ein Patient mit einer entzündlichen oder schmerzhaften Erkrankung behandelt werden, indem dem Patienten eine therapeutisch wirksame Menge einer C-Nitroso-Verbindung mit einem Molekulargewicht im Bereich von 225-600 auf Monomerbasis, bei der eine Nitrosogruppe an einen tertiären Kohlenstoff gebunden wird, die durch Nitrosylierung eines nicht-steroidalen antiinflammatorisch wirkenden Arzneimittels mit einem Kohlenstoffsäure-pKa im Bereich von 15-25, z. B. 15-20, oder eines nicht-steroidalen antiinflammatorisch wirkenden Arzneimittels, das modifiziert wurde, um einen Kohlenstoffsäure-pKa im Bereich von 15-25, z. B. 15-20, zu haben, erhalten wird, verabreicht wird. In einem anderen Fall kann ein Patient mit einer Erkrankung, die mit einem analgetischen Arzneimittel behandelbar ist, behandelt werden durch Verabreichen einer therapeutisch wirksamen Menge einer C-Nitroso-Verbindung, wie in dem obigen Satz beschrieben, mit der Ausnahme, dass das Behandlungsmittel ein nitrosyliertes analgetisches Arzneimittel mit einem Kohlenstoffsäure-pKa im Bereich von 15-25, z. B. 15-20, oder ein analgetisches Arzneimittel, das modifiziert wurde, um einen Kohlenstoffsäure-pKa im Bereich von 15-25, z. B. 15-20, zu haben, und dann nitrosyliert wurde, ist. In noch einem anderen Fall kann ein Patient mit Angina behandelt werden durch Verabreichen einer C-Nitroso-Verbindung, wie in diesem Abschnitt beschrieben, mit der Ausnahme, dass das Behandlungsmittel ein nitrosyliertes, gegen Angina wirksames Arzneimittel mit einem Kohlenstoff und pKa im Bereich von 15-25, z. B. 15-20, oder ein gegen Angina wirksames Arzneimittel, das modifiziert wurde, um den Kohlenstoffsäure-pKa zu haben, und dann nitrosyliert wurde, ist. In noch anderen Fällen werden blutdrucksenkende Arzneimittel, diuretische Arzneimittel, ACE-Inhibitoren, Arzneimittel gegen Hypercholesterinämie/Lipoproteinämie, Calciumkanal-Blocker, Antacide, Bronchodilatatoren, NMDA-antagonistische/Skelettmuskel entspannende Arzneimittel, Arzneimittel gegen Proliferation/tubulinbindende Arzneimittel, Mittel gegen Tuberkeln, CETP-Inhibitoren, SOD-Mimetika oder Xanthinoxidase-Inhibitoren, die einen Kohlenstoffsäure-pKa im Bereich von 15-25, z. B. 15-20, haben, nitrosyliert oder modifiziert, um einen Kohlenstoffsäure-pKa von weniger als 25 zu haben, und dann nitrosyliert, um eine Verbindung der ersten Ausführungsform hierin zu liefern, und in einer therapeutisch wirksamen Menge an einen Patienten, für den das Arzneimittel indiziert ist, verabreicht.
  • Darüber hinaus können C-Nitroso-Verbindungen der ersten Ausführungsform hierin in Polymere für Beschichtungen auf medizinischen Vorrichtungen eingebaut werden. Im Fall solcher Beschichtungen können polymerisierbare C-Nitroso-Verbindungen mit geeigneten Monomeren copolymerisiert werden, um Kunststoffe oder Elastomere, wie sie gewünscht werden, zu ergeben.
  • Die Polymere, in die C-Nitroso-Verbindungen der ersten Ausführungsform hierin und andere C-Nitroso-Verbindungen mit pKa-Werten von weniger als 25 eingebaut werden können, umfassen alle biologisch verträglichen Polymere, einschließlich PVP- und PVP-Urethan-Copolymere; Hydrogele; Polylactide und Polylactid-co-Polyethylenglycol; Polyacrylnitrile, Polyacrylnitril/Polyacrylamid/Polyacrylssäure-Copolymere; Polyurethane, Polycarbonate, Polyether und Copolymere der drei; Silicon-Polymere und Copolymere; Kohlehydrat-Polymere, einschließlich Stärken und modifizierten Stärken, Cellulose und Cellulosematerialien, Chitin und Chitosan, Glycosamin-glycane, einschließlich Hyaluronsäure, Chondroitin und Chondroitinsulfat, worin das Polymer modifiziert wurde, dass es von Kohlenstoffsäuren mit pKa-Werten von weniger als 25 abgeleitete C-Nitroso-Baueinheiten eingebaut enthält. Die C-Nitroso-Baueinheiten können als Ester oder Ether an anhängende Hydroxylgruppen, als Ester an anhängende Carbonsäure oder als Amine oder Amide an anhängende Amino-Baueinheiten gebunden werden. Das nitrosilierte Polymer selbst kann auf eine Vielfalt von Arten hergestellt werden. Nitrosylierte Monomere können in ein wachsendes Polymer entweder während einer radikalischen, ionischen, Metathese- oder lebenden Polymerisation eingebaut werden. Alternativ kann ein fertiges Polymer nach der Synthese derivatisiert werden, um die oben aufgelisteten Reste einzubauen, indem man beispielsweise hydroxylierte oder Amin enthaltende Polymere mit Carbonsäurechloriden oder Alkylhalogeniden, Carboxylat enthaltende Polymere mit Alkylhalogenid behandelt. Schließlich kann ein C-Nitroso-Vorläufer, beispielsweise ein Monomer, das ein Dion oder ein Vinylsilan enthält, in eine wachsende Polymerkette durch radikalische, ionische, metatese- oder lebende Polymerisation einpolymerisiert und dann nach der Polymerisation nitrosyliert werden, indem er einer Nitrosonium-Quelle, beispielsweise angesäuer tem Nitrit, Titantetrachlorid bzw. einem Alkylnitrit ausgesetzt wird. Jene Polymere können massegemittelte Molekülmassen (bestimmt durch Lichtstreuung) im Bereich von, beispielsweise, 50.000-500.000 haben.
  • Wie oben angegeben, betrifft eine Ausführungsform hierin Polymere, in die eine von einer Kohlenstoffsäure mit einem pKa von weniger als 25 abgeleitete C-Nitroso-Baueinheit eingebaut ist, die eine massegemittelte Molekülmasse (wie durch Lichtstreuung bestimmt) im Bereich von 50.000-500.000 haben. Der Begriff "C-Nitroso-Baueinheit" bedeutet, dass irgendein Teil des Polymers C-Nitroso enthält, das von einer Kohlenstoffsäure mit einem pKa von weniger als 25 abgeleitet ist. Diese Art von Polymer ist oben beschrieben und umfasst, beispielsweise, ein hydroxyliertes, Amin enthaltendes oder Carboxylat enthaltendes Polymer, das eine von einer Kohlenstoffsäure mit einem pKa-Wert von weniger als 25 abgeleitete C-Nitroso-Baueinheit eingebaut enthält, z. B. ein mit einem Carbonsäurechlorid oder Alkylhalognid derivatisiertes, hydroxyliertes oder Amin enthaltendes Polymer, das eine C-Nitroso-Baueinheit enthält, die von einem Kohlenstoff und mit einem pKa-Wert von weniger als 25 abgeleitet ist, oder ein mit einem Alkylhalogenid derivatisiertes, Carboxylat enthaltendes Polymer, das eine C-Nitroso-Baueinheit enthält, die von einer Kohlenstoffsäure mit einem pKa-Wert von weniger als 25 abgeleitet ist.
  • Wie oben angegeben, betrifft eine andere Ausführungsform hierin eine medizinische Vorrichtung mit einer therapeutisch wirksamen Beschichtung aus Polymer, in das eine C-Nitroso-Baueinheit eingebaut ist, wie in dem obigen Abschnitt beschrieben. Diese Ausführungsform umfasst Stents, die mit einem Polymer, das eine C-Nitroso-Baueinheit enthält, wie oben beschrieben, beschichtet sind, um eine Koagulation zu verhindern, einem Katheter, der mit einem Polymer, das eine C-Nitroso-Baueinheit enthält, wie oben beschrieben, beschichtet ist, um eine Infektion zu verhindern, und eine Drainage, die mit einem Polymer, das eine C-Nitroso-Baueinheit enthält, wie oben beschrieben, beschichtet ist, um eine Infektion und Koagulation zu verhindern.
  • Wir kommen nun zu Verfahren zur Verwendung der Polymere hierin, die eine C-Nitroso-Baueinheit enthalten. Diese Verfahren umfassen, beispielsweise, die Prophylaxe eines Patienten, bei dem ein Risiko einer Koagulation oder Throm busbildung oder einer mikrobiellen oder viralen Infektion besteht, aufweisend das in Berührung bringen von Gewebe in dem Gebiet, in dem das Risiko besteht, mit Polymer hierin, das eine C-Nitroso-Baueinheit enthält, z. B. durch Einsetzen eines Stents, der mit dem Polymer beschichtet ist, in einen Patienten, bei dem Restenose vorliegt oder ein Restenoserisiko besteht.
  • Beispiele für Inhibitoren von COX-2, bei denen ein tertiärer Kohlenstoff nitrosyliert ist, sind die oben angegebenen Verbindungen (115)-(129).
  • Die Dosierung auf COX-2-Inhibitor-Basis ist dieselbe wie die Dosierung für den underivatisierten COX-2-Inhibitor. Um dies zu bewirken, kann nur ein Teil des COX-2-Inhibitors in der Form einer nitrosylierten Verbindung verabreicht werden. Der Verabreichungsweg ist derselbe wie für den underivatisierten COX-2-Inhibitor.
  • Die Erfindung wird durch die folgenden Arbeitsbeispiele veranschaulicht.
  • Beispiel I
  • Synthese von dimerer 2-[4'-(α-Nitroso)isobutyrylphenyl]propionsäure Die Synthese von dimerer-2-[4'-(α-Nitroso)isobutyrylphenyl]propionsäure wurde nach dem oben dafür dargelegten Reaktionsschema wie folgt ausgeführt: Zu einer Lösung von Ibuprofen 1A (9,89 g, 48 mmol) in wasserfreiem EtOH (35 mL) wurde Chlortrimethylsilan (18,27 mL, 144 mmol) bei Raumtemperatur zugegeben, und das Gemisch wurde 2h lang bei derselben Temperatur gerührt. Nach der Entfernung des überschüssigen EtOH und Chlortrimethylsilans unter verringertem Druck wurde der ölige Rückstand mit eiskaltem, gesättigtem NaHCO3 (150 mL) behandelt, und das sich ergebende Gemisch wurde mit Hexanen (450 mL) extrahiert. Die Hexanlösung wurde mit Salzlösung (3×50 mL) gewaschen und über wasserfreiem Na2SO2 getrocknet. Verdampfung des Lösungsmittels lieferte Ethyl-2-(4'-Isobutylphenyl)propionat 2A (11,24 g in 100%iger Ausbeute) als ein farbloses Öl.
  • Ester 2A (11,23 g, 48 mmol) wurde tropfenweise innerhalb von 30 Min. zu einer gerührten Suspension von CrO3 (20,8 g, 208 mmol) in Essigsäure (AcOH) (34 mL) und H2O (1,1 mL) zugegeben, wobei die Reaktionstemperatur bei 45-55° C gehalten wurde. Nach Vollendung der Zugabe wurde das Gemisch 20 Min. lang gerührt, und dann wurde das Gemisch unter Rühren für zusätzliche 85 Min. bei 50-55° C erhitzt, was eine blauschwarze Suspension ergab. Die AcOH wurde unter verringertem Druck entfernt, und der feste Rückstand wurde in eiskaltem H2O (400 mL) suspendiert und mit EtOAc (450 mL) extrahiert. Der Extrakt wurde mit Salzlösung (5×50 mL) gewaschen und getrocknet (Na2SO4). Die Rohprodukte wurden durch Flashchromatographie (Elution mit 7% EtOAc in Hexanen) gereinigt, um unreagierten Ester 2A, (2,78 g) zu ergeben, gefolgt von Ethyl-2-(4'isobutyrylphenyl)propionat 3a (4,3 g, 48% Ausbeute auf der Basis von verbrauchtem 2A) als ein hellgelbes Öl.
  • 15%ige wässrige NaOH (10 mL) wurde zu einer Lösung von 3A (3,2 g, 12,9 mmol) in MeOH (150 mL) zugegeben und 2h lang bei Raumtemperatur gerührt. Nach der Entfernung des MeOH mittels Verdampfer wurde der dunkelbraune Rückstand mit eiskalter 2M HCl (100 mL) behandelt, und die sich ergebende grauweiße Suspension wurde mit EtOAc (400 mL) extrahiert und schließlich getrocknet (Na2SO4). Flachchromatographische Reinigung der Rohprodukte (Elution mit 60% EtOAc in Hexanen) lieferte 2-(4'-Isobutyrylphenyl)propionsäure 4a (2,5 g, 88% Ausbeute) als einen amorphen Feststoff.
  • Zu einem gerührten Gemisch von 4A (1,59 g, 7,2 mmol) und Triethylamin (3,03 mL, 21,7 mmol) wurde Chlortrimethylsilan (2,75 mL, 21,7 mmol) bei Raumtemperatur zugegeben, und dann wurde eine Lösung von Natriumiodid (3,26 g, 21,7 mmol), gelöst in wasserfreiem Acetonitril (25 mL), auf einmal hinein gegeben. Das Gemisch wurde bei Raumtemperatur 8h lang gerührt, dann mit Hexanen (400 mL) extrahiert. Der Hexan-Extrakt wurde mit eiskalter Salzlösung (2×30 mL) gewaschen und getrocknet (Na2SO4). Einengung des Lösungsmittels lieferte Trimethylsilyl-2-[4'-(2-trimethylsiloxy-1-isobutenyl)phenyl]propionat 5A (2,08 g, 79% Ausbeute) als ein viskoses Öl, das ohne weitere Reinigung verwendet wurde.
  • Eine Lösung von 5A (2,1 g, 5,7 mmol), gelöst in wasserfreiem CH2Cl2 (25 mL), wurde auf –10° C abgekühlt. Isoamylnitrit (2,4 mL, 17,6 mmol) wurde auf einmal zugegeben, dann wurde 1M TiCl4 CH2Cl2-Lösung (13,0 mL, 13,0 mmol) innerhalb einer Zeitspanne von 20 Min. bei –10° C tropfenweise zugegeben. Nach Rühren bei derselben Temperatur für zusätzliche 60 Min. wurde das sich ergebende tiefgrüne Gemisch in eiskaltes H2O (100 mL) gegossen und für 5-10 Min. gerührt, dann mit EtOAc (400 mL) extrahiert und schließlich getrocknet (Na2SO4). Verdampfung des Lösungsmittels unter verringertem Druck ergab einen amorphen Feststoff, der in CH2Cl2 (50 mL) suspendiert und durch Filtration gesammelt wurde. Der weiße Feststoff wurde mit zusätzlichem CH2Cl2 (3×10 mL) gewaschen, um dimere 2-[4'-(α-Nitroso)isobutyrylphenyl]propionsäure 6A (0,75 g, 53% Ausbeute) zu ergeben.
  • Beispiel II
  • Die Fähigkeit verschiedener C-Nitroso-Verbindungen, wie unten beschrieben, einen Kaninchen-Aortenring (glattes, unwillkürliches Muskelgewebe) zu entspannen, wurde ausgeführt, wie beschrieben in Stamler, J., et al., PNAS, Vol. 89, 44-448 (1992).
  • Die Ergebnisse sind in den 1 bis 10 gezeigt, die Aufzeichnungen der Kraft (Spannung) in der Y-Richtung gegen die Zeit in der X-Richtung sind, wobei die Richtung nach unten Entspannung anzeigt und die Richtung nach oben Zusammenziehen anzeigt. Die Konzentrationen an C-Nitroso-Verbindung, die zu einer Zeit in der X-Richtung angewendet wurden, sind als 10–9 (1 nanomolar), 10–6 (1 mikromolar), 10 3 (1 millimolar), etc., angegeben. "PE" in den Figuren bedeutet die Anwendung von Phenylephrin, einem Konstriktionsmittel.
  • 1 zeigt Ergebnisse für Verbindung (129a), die eine C-Nitroso-Verbindung ist, die durch Nitrosylieren einer Kohlenstoffsäure mit einem pH von weniger als 10 erhalten wurde. Der Entspannungseffekt ist in 1 bei einer Konzentration von 10 μm, d. h. bei mikromolaren Konzentrationen, gezeigt.
  • 2 zeigt Ergebnisse für C-Nitroso-methylmalonsäure. Sie wird aus einer Kohlenstoffsäure mit einem pKa von 30-35 erhalten. Wie in 2 gezeigt, weist sie einen Entspannungseffekt bei 10 mikromolarer Konzentration auf (sehr schwache Wirksamkeit).
  • 3 zeigt Ergebnisse für C-Nitrosobenzol. Es wird aus einer Kohlenstoffsäure mit einem pKa von etwa 45 erhalten. Wie in 3 gezeigt, weist es bei mikromolarer Konzentration keine Wirksamkeit auf.
  • 4 zeigt Ergebnisse für C-Nitrosophenol. C-Nitrosophenol wird aus einer Kohlenstoffsäure mit einem pKa von größer als 25 erhalten. Wie in 4 gezeigt, weist es bei mikromolaren Konzentrationen keine Wirksamkeit auf.
  • 5 zeigt Ergebnisse für das in Beispiel 1 synthetisierte Nitrosoketoibuprofen. Wie in 5 gezeigt, weist es bei 10 nanomolarer Konzentration einen Entspannungseffekt auf.
  • 6 zeigt weitere Ergebnisse für das in Beispiel 1 synthetisierte Nitrosoketoibuprofen. 6 zeigt denselben Entspannungseffekt bei 10 nanomolarer Konzentration, wie es 7 tut, aber keine viel höhere Wirksamkeit bei höherer Konzentration (da sich das Gleichgewicht bei höheren Konzentrationen in die Richtung des unwirksamen Dimers verschiebt).
  • 7 zeigt Ergebnisse für das in Beispiel I synthetisierte Nitrosoketoibuprofen, das in Verbindung mit 100 μM Glutathion verwendet wird. Wie in 7 gezeigt, gibt es keine Wirksamkeit, weil Glutathion die Wirksamkeit des Nitrosoketoibuprofens blockiert, indem es einen Komplex damit bildet, um die NO-Gruppe zu binden (dasselbe Vorkommnis wie bei dem Dimer); dies ist eine Widerspiegelung der C-N(O)R-Gruppe, die oben beschrieben wurde.
  • 8 zeigt mehr Ergebnisse für das in Beispiel I synthetisierte Nitrosoketoibuprofen. Entspannung ist bei einer Konzentration von 1 und 10 nM gezeigt. Dies unterscheidet sich wegen der natürlichen Unterschiedlichkeit von Blutgefäßen etwas von dem, was in den 5 und 6 gezeigt ist.
  • 9 zeigt Ergebnisse für 3-Methyl-3-nitroso-2,4-pentandion, das aus einer Kohlenstoffsäure mit einem pKa von weniger als 10 erhalten wird. Diese Verbindung ist nicht wasserlöslich. Sie weist einen Entspannungseffekt bei einer Konzentration von größer als 10 mikromolar und einen weiteren Effekt bei einer Konzentration von größer als 100 mikromolar auf, aber wenn 100 μM Glutathion zugegeben werden, weist sie einen Entspannungseffekt bei einer Konzentration zwischen 1 und 10 nanomolar auf. Der Potenzierungseffekt tritt auf, weil das C-Nitrosodion mit Glutathion unter Bildung von S-Nitrosoglutathion reagiert.
  • 10 zeigt Ergebnisse für 2-Methyl-2-nitrosopropan. Es wird aus einer Kohlenstoffsäure mit einem pKa von etwa 55 erhalten und ist nicht wasserlöslich. Es weist bei keiner der verwendeten Konzentrationen eine Entspannungseffekt-Wirkung auf.
  • Beispiel III
  • Ein 60 Jahre alter weißer Mann mit Arthritis, Speiseröhrenkrampf, koronarer Herzerkrankung, kongestiver Herzinsuffizienz, Impotenz und nächtlicher Harninkontinenz entwickelt eine gastrointestinale Verstimmung, wenn ihm Ibuprofen (400 mg, dreimal täglich) verabreicht wird. Wenn das Arzneimittel gewechselt wird, so dass 0,1 Gew.% des Arzneimittels als das dimere Nitrosoketoibuprofen von Beispiel I verabreicht werden, werden alle Symptome gelindert.
  • Beispiel IV
  • Ein 65 Jahre alter Mann mit Angina, der mit Nitroglycerin behandelt wird, entwickelt Nitrat-Toleranz. Die Verabreichung von Nitroglycerin wird beendet, und Verbindung (135a) wird kontinuierlich mit 20 μg/min gegeben, wobei die Angina gelindert wird.
  • Beispiel V
  • Ein 62 Jahre alter weißer Mann mit schwerer rheumatoider Arthritis stellt sich mit einem Herzinfarkt vor. Sein nicht-steroidales anti-inflammatorisch wirkendes Arzneimittel wird abgesetzt wegen Bedenken eines erhöhten kardiovaskulären Risikos. Seine Gelenkschmerzen werden entkräftend. Celebrex wird zweimal am Tag in einer Menge von 200 mg oral verabreicht mit der Ausnahme, dass 0,1 Gew.% des Arzneimittels als Verbindung (115), worin R1 und R2 Methyl sind, verabreicht werden, wobei sowohl die Gelenkschmerzen als auch die Angina gelindert werden.
  • Wenn die Verbindung (115) durch Verbindung (200), worin R1 und R2 H sind und X -CH2- ist, und Y S oder O ist, in gleicher Menge ersetzt wird, wird ebenfalls eine Linderung von sowohl Gelenkschmerzen als auch Angina erhalten.
  • In der Beschreibung zitierte Literaturstellen
  • Diese Liste von Literaturstellen, die vom Anmelder zitiert wurden, ist nur für die Bequemlichkeit des Lesers gedacht. Sie ist nicht Teil der europäischen Patentschrift. Bei der Zusammenstellung der Literaturstellen wurde zwar mit großer Sorgfalt vorgegangen, aber Irrtümer oder Auslassungen können nicht ausgeschlossen werden, und das EPA schließt in dieser Hinsicht jede Haftung aus.
  • In der Beschreibung zitierte Nicht-Patentliteratur
    • • GROVES, P. et al. Cardiovascular Research, 1992, vol. 26, 615-619 [0002]
    • • GROVES, P et al. Circulation, 1993, vol. 87, 590-597 [0002]
    • • KNIGHT et al. Circulation, 1997, vol. 95, 125-132 [0002]
    • • Methods in Nitric Oxide Research. John Wiley & Sons, 1996, 71-115 [0003]
    • • REHSE, K. et al. Arch. Pharm. Pharm. Med. Chem, 1998, vol. 331, 104-110 [0004]
    • • REHSE, K. et al. Arch. Pharm. Pharm Med. Chem, 1998, vol. 331, 79-84 [0004]
    • • SKLYAR; YU. E. et al. Khimiya Geterotsiklicheskikh Soedinenii, 1969, vol. 5, 70-73 [0005] [0153]
    • • SHINMURA, K. et al. PNAS, 2000, vol. 97, 10197-10202 [0019]
    • • OKAMOTO et al. Nature, 2000, vol. 406 [0124]
    • • Methods of Formation of the Nitroso Group and its Reactions. BOYER, J. H. The Chemistry of the Nitro and Nitroso Groups. John Wiley & Sons, 1969, 215-299 [0152]
    • • TOUSTER, O. Organic Reactions. John Wiley & Sons, 1955, vol. 7, 327-377 [0152]
    • • ROMINE, J. L. Bis-protected hydroxylamines as reagents in organic synthesis. A review. Org. Prep. Proced. Int., 1996, vol. 28, 249-288 [0158]
    • • STAMLER, J. et al. PNAS, 1992, vol. 89, 444-448 [0200]

Claims (14)

  1. C-Nitroso-Verbindung mit einem Molekulargewicht im Bereich von 225 bis 1.000 auf Monomerbasis mit einer eine Nitrosogruppe enthaltenden Gruppe, die ausgewählt ist aus denjenigen der Formeln:
    Figure 00850001
    worin n 0 oder 1 ist und R1 und R2 ausgewählt sind aus C1-C6-Alkyl- und C6-C20-Aryl-Gruppen, die gewünschtenfalls mit Amino, Hydroxyl, Sulfat und/oder Phosphat substituiert sind, in denen der die Nitrosogruppe tragende tertiäre Kohlenstoff kovalent an eine cyclische Baueinheit gebunden ist mittels einer Ketten-Baueinheit, die 1-12 Kettenatome enthält, die aus 1-10 Kohlenstoffatomen, 0-2 Stickstoffatomen und 0-2 Sauerstoffatomen bestehen, wobei die Kettenatome gezählt werden durch Zählen der Atome, die das tertiäre Kohlenstoffatom, an das die Nitrosogruppe gebunden ist, und die cyclische Baueinheit verbinden, und Wasserstoff oder andere Substituenten an der Kette ausschließen, wobei die cyclische Baueinheit monocyclisch, bicyclisch, tricyclisch, tetracyclisch oder pentacyclisch ist und von 5-24 Ringatome enthält, die aus 2-20 Kohlenstoffatomen, 0-4 Stickstoffatomen, 0-1 Sauerstoffatomen und 0-1 Schwefelatomen bestehen, wobei die Ringatome gezählt werden durch Zählen der den Ring (die Ringe) bildenden Atome und Wasserstoff oder andere Substituenten an dem Ring ausschließen, wobei die C-Nitroso-Verbindung ausgewählt ist aus: (1) jenen der folgenden Formeln, in denen Y steht für eine eine Nitrosogruppe enthaltende Gruppe der Formel:
    Figure 00860001
    worin R1 und R2 ausgewählt sind aus C1-C6-Alkyl- und C6-C20-Aryl-Gruppen, die gewünschtenfalls mit Amino, Hydroxyl, Sulfat und/oder Phosphat substituiert sind,
    Figure 00860002
    Figure 00870001
    Figure 00880001
    Figure 00890001
    Figure 00900001
    Figure 00910001
    Figure 00920001
    Figure 00930001
    Figure 00940001
    Figure 00950001
    Figure 00960001
    (2) Jenen der folgenden Formeln, in denen Y steht für eine eine Nitrose-Gruppe enthaltende Gruppe der Formel:
    Figure 00960002
    worin R1 und R2 ausgewählt sind aus C1-C6-Alkyl- und C6-C20-Aryl-Gruppen, die gewünschtenfalls mit Amino, Hydroxyl, Sulfat und/oder Phosphat substituiert sind.
    Figure 00980001
    Figure 00990001
    Figure 01000001
    Figure 01010001
    Figure 01020001
    Figure 01030001
    Figure 01040001
    Figure 01050001
    Figure 01060001
    Figure 01070001
    Figure 01080001
    Figure 01090001
    Figure 01100001
    Figure 01110001
    Figure 01120001
    Figure 01130001
    Figure 01140001
    Figure 01150001
    Figure 01160001
    Figure 01170001
    Figure 01180001
    Figure 01190001
    Figure 01200001
    Figure 01210001
    (3) Jenen der folgenden Formeln, in denen Y steht für eine eine Nitroso-Gruppe enthaltende Gruppe der Formel:
    Figure 01210002
    worin R1 und R2 ausgewählt sind aus C1-C6-Alkyl- und C6-C20-Aryl-Gruppen, die gewünschtenfalls mit Amino, Hydroxyl, Sulfat und/oder Phosphat substituiert sind,
    Figure 01220001
    Figure 01230001
    Figure 01240001
    Figure 01250001
    Figure 01260001
    Figure 01270001
    Figure 01280001
    Figure 01290001
    Figure 01300001
    Figure 01310001
    Figure 01320001
    Figure 01330001
    Figure 01340001
    Figure 01350001
    Figure 01360001
    Figure 01370001
    Figure 01380001
    (4) jenen der folgenden Formeln, in denen Y steht für eine eine Nitroso-Gruppe enthaltende Gruppe der Formel:
    Figure 01380002
    worin R1 und R2 ausgewählt sind aus C1-C6-Alkyl- und C6-C20-Aryl-Gruppen, die gewünschtenfalls mit Amino, Hydroxyl, Sulfat und/oder Phosphat substituiert sind,
    Figure 01390001
    Figure 01400001
    Figure 01410001
    und (5) jenen der folgenden Formeln, in denen R1 ausgewählt ist aus C1-C6-Alkyl- und C6-C20-Aryl-Gruppen, die gewünschtenfalls mit Amino, Hydroxyl, Sulfat und/oder Phosphat substituiert sind:
    Figure 01410002
    Figure 01420001
  2. C-Nitroso-Verbindung nach Anspruch 1, die wasserlöslich ist.
  3. C-Nitroso-Verbindung nach einem der vorangehenden Ansprüche, die ein Molekulargewicht im Bereich von 225 bis 600 auf Monomerbasis hat.
  4. C-Nitroso-Verbindung nach Anspruch 1, die ein Nitrosoketoibuprofen in dimerer Form ist.
  5. C-Nitroso-Verbindung nach Anspruch 4, die dimere 2-[4'-(α-Nitroso)isobtuyrylphenyl]propionsäure ist.
  6. C-Nitroso-Verbindung nach Anspruch 1, die ein aus den Verbindungen 1, 12 und 3 ausgewähltes Acetylsalicylsäure-Derivat ist.
  7. C-Nitroso-Verbindungen nach Anspruch 1, die ein aus den Verbindungen 93, 94, 95, 96 und 97 ausgewählt ist Memantin-Derivat ist.
  8. C-Nitroso-Verbindung nach Anspruch 1, die ein aus den Verbindungen 111, 112, 113 und 114 ausgewähltes Allopurinol-Derivat ist.
  9. C-Nitroso-Verbindung nach Anspruch 1, die ein aus den Verbindungen 115, 116, 117 und 118 ausgewähltes Celebrex-Derivat ist.
  10. C-Nitroso-Verbindung nach Anspruch 1, die ein aus den Verbindungen 119, 120 und 121 ausgewähltes Indomethacin-Derivat ist.
  11. Biologisch verträgliches Polymer, in das eine C-Nitroso-Verbindung nach Anspruch 1 eingebaut ist und das eine massegemittelte Molekülmasse im Bereich von 50.000 bis 500.000 hat.
  12. Medizinische Vorrichtung, die mit Polymer beschichtet ist, in das eine C-Nitroso-Verbindung, wie sie in Anspruch 11 beansprucht ist, eingebaut ist.
  13. Pharmazeutische Zusammensetzung, aufweisend eine C-Nitroso-Verbindung, wie sie in Anspruch 1 definiert ist.
  14. Pharmazeutische Zusammensetzung nach Anspruch 13, bei der die C-Nitroso-Verbindung wie in einem der Ansprüche 2 bis 5 definiert ist.
DE60128940T 2000-10-26 2001-09-27 C-nitroso verbindungen und deren verwendung Expired - Lifetime DE60128940T2 (de)

Applications Claiming Priority (3)

Application Number Priority Date Filing Date Title
US695934 2000-10-26
US09/695,934 US6359182B1 (en) 2000-10-26 2000-10-26 C-nitroso compounds and use thereof
PCT/US2001/027734 WO2002034705A2 (en) 2000-10-26 2001-09-27 C-nitroso compounds and use thereof

Publications (2)

Publication Number Publication Date
DE60128940D1 DE60128940D1 (de) 2007-07-26
DE60128940T2 true DE60128940T2 (de) 2008-02-21

Family

ID=24795034

Family Applications (1)

Application Number Title Priority Date Filing Date
DE60128940T Expired - Lifetime DE60128940T2 (de) 2000-10-26 2001-09-27 C-nitroso verbindungen und deren verwendung

Country Status (7)

Country Link
US (4) US6359182B1 (de)
EP (1) EP1330425B1 (de)
JP (1) JP2004512318A (de)
AU (1) AU2001292582A1 (de)
CA (1) CA2422787A1 (de)
DE (1) DE60128940T2 (de)
WO (1) WO2002034705A2 (de)

Families Citing this family (73)

* Cited by examiner, † Cited by third party
Publication number Priority date Publication date Assignee Title
US20040072889A1 (en) * 1997-04-21 2004-04-15 Pharmacia Corporation Method of using a COX-2 inhibitor and an alkylating-type antineoplastic agent as a combination therapy in the treatment of neoplasia
US20040122011A1 (en) * 1998-12-23 2004-06-24 Pharmacia Corporation Method of using a COX-2 inhibitor and a TACE inhibitors as a combination therapy
CA2425489C (en) 2000-10-16 2011-05-17 Duke University Therapeutic use of aerosolized s-nitrosoglutathione in cystic fibrosis
US7049308B2 (en) * 2000-10-26 2006-05-23 Duke University C-nitroso compounds and use thereof
US6359182B1 (en) * 2000-10-26 2002-03-19 Duke University C-nitroso compounds and use thereof
US6627602B2 (en) 2001-11-13 2003-09-30 Duke University Preventing desensitization of receptors
WO2003049593A2 (en) * 2001-12-06 2003-06-19 Duke University Prevention of flap necrosis in plastic surgery
US20030212138A1 (en) * 2002-01-14 2003-11-13 Pharmacia Corporation Combinations of peroxisome proliferator-activated receptor-alpha agonists and cyclooxygenase-2 selective inhibitors and therapeutic uses therefor
US20030220374A1 (en) * 2002-01-14 2003-11-27 Pharmacia Corporation Compositions and methods of treatment involving peroxisome proliferator-activated receptor-gamma agonists and cyclooxygenase-2 selective inhibitors
US20040147581A1 (en) * 2002-11-18 2004-07-29 Pharmacia Corporation Method of using a Cox-2 inhibitor and a 5-HT1A receptor modulator as a combination therapy
WO2004050639A2 (en) * 2002-12-03 2004-06-17 Epcellon, Inc. 5-nitroso-6-piperazinyl-pyrimidine derivatives for treating ischemia
DE60332387D1 (de) 2002-12-13 2010-06-10 Warner Lambert Co Alpha-2-delta-ligand zur behandlung vonsymptomen der unteren harnwege
WO2004062598A2 (en) * 2003-01-13 2004-07-29 Beta Pharma, Inc. Anti-inflammatory and anti-thrombotic compounds and their compositions
US20040220155A1 (en) * 2003-03-28 2004-11-04 Pharmacia Corporation Method of providing a steroid-sparing benefit with a cyclooxygenase-2 inhibitor and compositions therewith
US20050014729A1 (en) * 2003-07-16 2005-01-20 Pharmacia Corporation Method for the treatment or prevention of dermatological disorders with a cyclooxygenase-2 inhibitor alone and in combination with a dermatological treatment agent and compositions therewith
US20050119262A1 (en) * 2003-08-21 2005-06-02 Pharmacia Corporation Method for preventing or treating an optic neuropathy with a cox-2 inhibitor and an intraocular pressure reducing agent
US20050107350A1 (en) * 2003-08-22 2005-05-19 Pharmacia Corporation Method for the treatment or prevention of bone disorders with a cyclooxygenase-2 inhibitor alone and in combination with a bone disorder treatment agent and compositions therewith
US20050187278A1 (en) * 2003-08-28 2005-08-25 Pharmacia Corporation Treatment or prevention of vascular disorders with Cox-2 inhibitors in combination with cyclic AMP-specific phosphodiesterase inhibitors
US20050113409A1 (en) * 2003-09-03 2005-05-26 Pharmacia Corporation Method for the prevention or treatment of pain, inflammation and inflammation-related disorders with a Cox-2 selective inhibitor in combination with a nitric oxide-donating agent and compositions therewith
JP2007518788A (ja) 2004-01-22 2007-07-12 ファイザー・インク バソプレッシンのアンタゴニスト活性を阻害するトリアゾール誘導体
EP1718603A4 (de) * 2004-02-09 2009-09-23 Noxilizer Inc Stickstoffmonoxid freisetzende moleküle
US8110259B2 (en) 2004-04-02 2012-02-07 Curwood, Inc. Packaging articles, films and methods that promote or preserve the desirable color of meat
US8545950B2 (en) 2004-04-02 2013-10-01 Curwood, Inc. Method for distributing a myoglobin-containing food product
US8053047B2 (en) 2004-04-02 2011-11-08 Curwood, Inc. Packaging method that causes and maintains the preferred red color of fresh meat
US7867531B2 (en) 2005-04-04 2011-01-11 Curwood, Inc. Myoglobin blooming agent containing shrink films, packages and methods for packaging
US8029893B2 (en) 2004-04-02 2011-10-04 Curwood, Inc. Myoglobin blooming agent, films, packages and methods for packaging
US8470417B2 (en) 2004-04-02 2013-06-25 Curwood, Inc. Packaging inserts with myoglobin blooming agents, packages and methods for packaging
US8741402B2 (en) 2004-04-02 2014-06-03 Curwood, Inc. Webs with synergists that promote or preserve the desirable color of meat
US7067659B2 (en) * 2004-04-23 2006-06-27 Duke University Reactive oxygen generating enzyme inhibitor with nitric oxide bioactivity and uses thereof
MXPA06012510A (es) * 2004-04-28 2006-12-15 Pfizer Derivados de 3-heterociclil-4-fenil-triazol como inhibidores del receptor de vasopresina via.
CA2606565C (en) 2005-05-27 2016-05-10 The University Of North Carolina At Chapel Hill Nitric oxide-releasing particles for nitric oxide therapeutics and biomedical applications
EP1968615A4 (de) * 2005-12-06 2010-08-04 Amulet Pharmaceuticals Inc Stickoxid freisetzende polymere
US7686448B2 (en) * 2006-06-16 2010-03-30 Marie Betts-Johnson Eyeglass frames
US11229746B2 (en) 2006-06-22 2022-01-25 Excelsior Medical Corporation Antiseptic cap
US9259535B2 (en) 2006-06-22 2016-02-16 Excelsior Medical Corporation Antiseptic cap equipped syringe
US20080025972A1 (en) * 2006-07-26 2008-01-31 Duke University Treating sex steriod responsive disorders
PT2125021E (pt) * 2006-12-22 2011-07-26 Recordati Ireland Ltd Terapia de combinação de distúrbios do tracto urinário inferior com 2 ligandos e nsaid
US7935847B2 (en) * 2007-04-20 2011-05-03 Duke University Nitroxyl ion source with second order reaction nitroxyl release
WO2008130567A1 (en) * 2007-04-20 2008-10-30 Duke University Stable neutral nitric oxide source
JP5524209B2 (ja) 2008-08-15 2014-06-18 エヌサーティー・ファーマシューティカルズ・インコーポレーテッド S−ニトロソグルタチオンレダクターゼのピロール阻害剤
AU2009281747B2 (en) 2008-08-15 2015-01-15 Nivalis Therapeutics, Inc. Novel pyrrole inhibitors of S-nitrosoglutathione reductase as therapeutic agents
EP2334279A4 (de) * 2008-10-16 2013-03-20 Novan Inc Stickoxid freisetzende partikel für mundpflegeanwendungen
US9078992B2 (en) 2008-10-27 2015-07-14 Pursuit Vascular, Inc. Medical device for applying antimicrobial to proximal end of catheter
BR112012003804B1 (pt) 2009-08-21 2019-02-19 Novan, Inc. Curativo para ferimentos, método para formar um curativo para ferimentos, e, kit de curativo para ferimento
CN102711729B (zh) 2009-08-21 2015-04-01 诺万公司 局部用凝胶
EP2480086A4 (de) 2009-09-25 2013-03-20 N30 Pharmaceuticals Inc Neue dihydropyrimidin-2(1h)-on-verbindungen als s-nitrosoglutathion-reduktasehemmer
BR112012008508A2 (pt) * 2009-10-13 2017-06-13 Novan Inc revestimento de sol-gel, substrato, método para produzir um revestimento de sol-gel
EP2512247B1 (de) 2009-12-16 2014-06-04 N30 Pharmaceuticals, Inc. Neue thiopheninhemmer der s-nitrosoglutathion-reduktase
HRP20160450T1 (hr) 2010-02-12 2016-05-20 Nivalis Therapeutics, Inc. Novi inhibitori reduktaze s-nitrozoglutationa
WO2012009227A1 (en) 2010-07-16 2012-01-19 N30 Pharmaceuticals, Llc Novel dihydropyridin-2(1h)-one compounds as s-nitrosoglutathione reductase inhibitors and neurokinin-3 receptor antagonists
RU2599144C2 (ru) 2010-10-08 2016-10-10 Нивалис Терапьютикс,Инк. Новые замещенные хинолиновые соединения как ингибиторы s-нитрозоглутатион-редуктазы
EP2468269A1 (de) 2010-11-26 2012-06-27 Universitätsklinikum Münster Nitridoxidspender bei der Behandlung von Nitridoxidmangel-induzierten Störungen der Hirnmikrozirkulation
US8591876B2 (en) 2010-12-15 2013-11-26 Novan, Inc. Methods of decreasing sebum production in the skin
AU2011343518B2 (en) 2010-12-16 2016-11-10 Nivalis Therapeutics, Inc. Novel substituted bicyclic aromatic compounds as S-nitrosoglutathione reductase inhibitors
WO2012118829A2 (en) 2011-02-28 2012-09-07 Novan, Inc. Tertiary s-nitrosothiol-modified nitricoxide-releasing xerogels and methods of using the same
US10166381B2 (en) 2011-05-23 2019-01-01 Excelsior Medical Corporation Antiseptic cap
EP2731658B1 (de) 2011-07-12 2020-04-01 Pursuit Vascular, Inc. Vorrichtung zur verabreichung eines antimikrobiellen mittels in einen transdermalen katheter
DK3421042T3 (da) 2012-03-07 2024-07-22 Beyond Air Ltd Indånding af nitrogenoxid til behandling af luftvejssygdomme
WO2015168677A1 (en) 2014-05-02 2015-11-05 Excelsior Medical Corporation Strip package for antiseptic cap
US11351155B2 (en) 2014-12-05 2022-06-07 Case Western Reserve University Compositions and methods of modulating s-nitrosylation
JP6822978B2 (ja) 2015-05-08 2021-01-27 アイシーユー・メディカル・インコーポレーテッド 治療薬のエミッタを受け入れるように構成された医療用コネクタ
CA2997896A1 (en) 2015-09-09 2017-03-16 Advanced Inhalation Therapies (Ait) Ltd. Nitric oxide inhalation therapy for infants with bronchiolitis
WO2018049014A1 (en) 2016-09-07 2018-03-15 Trustees Of Tufts College Dash inhibitors, and uses related thereto
AU2017341782B2 (en) 2016-10-14 2023-03-16 Icu Medical, Inc. Sanitizing caps for medical connectors
WO2018204206A2 (en) 2017-05-01 2018-11-08 Icu Medical, Inc. Medical fluid connectors and methods for providing additives in medical fluid lines
US11541221B2 (en) 2018-11-07 2023-01-03 Icu Medical, Inc. Tubing set with antimicrobial properties
US11400195B2 (en) 2018-11-07 2022-08-02 Icu Medical, Inc. Peritoneal dialysis transfer set with antimicrobial properties
US11534595B2 (en) 2018-11-07 2022-12-27 Icu Medical, Inc. Device for delivering an antimicrobial composition into an infusion device
US11541220B2 (en) 2018-11-07 2023-01-03 Icu Medical, Inc. Needleless connector with antimicrobial properties
US11517732B2 (en) 2018-11-07 2022-12-06 Icu Medical, Inc. Syringe with antimicrobial properties
JP2022513096A (ja) 2018-11-21 2022-02-07 アイシーユー・メディカル・インコーポレーテッド リング及びインサートを有するキャップを備える抗菌装置
CN110396086B (zh) * 2019-04-23 2023-03-24 天津国际生物医药联合研究院 No供体类化合物、组合物、制备方法和及其应用
JP2024500319A (ja) 2020-12-07 2024-01-09 アイシーユー・メディカル・インコーポレーテッド 腹膜透析キャップ、システム、及び方法

Family Cites Families (6)

* Cited by examiner, † Cited by third party
Publication number Priority date Publication date Assignee Title
GB9423868D0 (en) * 1994-11-25 1995-01-11 Wellcome Found Compounds for use in medicine
GB9424694D0 (en) * 1994-12-07 1995-02-01 Wellcome Found Compounds for use in medicine
WO2000025776A1 (en) * 1998-10-30 2000-05-11 Nitromed, Inc. Nitrosated and nitrosylated nonsteroidal antiinflammatory compounds, compositions and methods of use
US6231894B1 (en) 1999-10-21 2001-05-15 Duke University Treatments based on discovery that nitric oxide synthase is a paraquat diaphorase
US7049308B2 (en) * 2000-10-26 2006-05-23 Duke University C-nitroso compounds and use thereof
US6359182B1 (en) 2000-10-26 2002-03-19 Duke University C-nitroso compounds and use thereof

Also Published As

Publication number Publication date
WO2002034705A2 (en) 2002-05-02
DE60128940D1 (de) 2007-07-26
JP2004512318A (ja) 2004-04-22
US6359182B1 (en) 2002-03-19
WO2002034705A3 (en) 2002-07-11
US20030176668A1 (en) 2003-09-18
US6887994B2 (en) 2005-05-03
AU2001292582A1 (en) 2002-05-06
US20020077506A1 (en) 2002-06-20
US6538116B2 (en) 2003-03-25
EP1330425B1 (de) 2007-06-13
US20050203295A1 (en) 2005-09-15
US7030238B2 (en) 2006-04-18
CA2422787A1 (en) 2002-05-02
EP1330425A2 (de) 2003-07-30

Similar Documents

Publication Publication Date Title
DE60128940T2 (de) C-nitroso verbindungen und deren verwendung
US7259250B2 (en) C-nitroso compounds and use thereof
TW202128610A (zh) 醫藥調配物
DE4035442A1 (de) Arzneimittel enthaltend als wirkstoff r-(alpha)-liponsaeure oder s-(alpha)-liponsaeure
CH646862A5 (de) Medikamente enthaltende intrauterinvorrichtungen.
DE69528992T2 (de) Verwendung von aromatischen halogenverbindungen zur behandlung der zellproliferation in säugetieren
DE69307899T2 (de) Antiproliferative oligomere
JP2018537503A (ja) 末梢神経障害を治療するための方法及び組成物
EP2046732B1 (de) Verbesserung der bioverfügbarkeit von wirkstoffen mit amidinfunktion in arzneimitteln
DE69634905T2 (de) Phosphnatanaloge von Mannose-6-phosphate und deren Verwendung zur Förderung der Heilung von Wunden oder fibrotischen Störungen mit verminderter Narbenbildung
DE4305881C1 (de) Transdermales therapeutisches System mit Wirkstoffen, welche Stichoxid-Quellen darstellen, Verfahren zu seiner Herstellung sowie seine Verwendung
DE3726945A1 (de) L-carnitinderivate der valproinsaeure und diese enthaltende arzneimittel
WO2000050019A2 (de) VERWENDUNG VON R-ARYLPROPIONSÄUREN ZUR HERSTELLUNG VON ARZNEIMITTELN, ZUR BEHANDLUNG VON ERKRANKUNGEN BEI MENSCH UND TIER, WELCHE DURCH DIE HEMMUNG DER AKTIVIERUNG VON NF-λB THERAPEUTISCH BEEINFLUSST WERDEN KÖNNEN
WO2001082858A2 (de) Neue verbindungen zur behandlung inflammatorischer und kardiovaskulärer erkrankungen
JP2003522782A (ja) 2−メチル−チアゾリジン−2,4−ジカルボン酸及び/又はその生理学的に許容できる塩の抗がん剤としての使用
US4469678A (en) Method of treating bacterial, viral or parasitic diseases
AT408837B (de) Verwendung von caroverin und/oder caroverin. hydrochlorid zur herstellung von als antioxidantien wirkenden zusammensetzungen und/oder von neuroregenerativen zusammensetzungen
US6352979B1 (en) Method of treating snakebite and complications resulting therefrom
DE69009538T2 (de) In der Therapeutik anwendbare Zusammensetzung mit aggregationshemmender Wirkung auf Blutplättchen.
RU2024136706A (ru) Химические соединения
DE2759916C2 (de) Bekämpfung maligner Neoplasien
US9018402B2 (en) Production and use of 1,2,4-trioxolane compounds, ozonides, with bleaching properties for the whitening of teeth, skin, and hair
WO2024059017A3 (en) Phenalkylamines and methods of making and using the same
US20160362402A1 (en) Novel compounds having anti-allodynic and antihyperalgesic activity
WO2008064393A1 (en) Treatment for envenomation

Legal Events

Date Code Title Description
8364 No opposition during term of opposition