DE102017207648B4 - Verfahren und Vorrichtung zur Messung einer Schichtdicke eines Objekts - Google Patents

Verfahren und Vorrichtung zur Messung einer Schichtdicke eines Objekts Download PDF

Info

Publication number
DE102017207648B4
DE102017207648B4 DE102017207648.8A DE102017207648A DE102017207648B4 DE 102017207648 B4 DE102017207648 B4 DE 102017207648B4 DE 102017207648 A DE102017207648 A DE 102017207648A DE 102017207648 B4 DE102017207648 B4 DE 102017207648B4
Authority
DE
Germany
Prior art keywords
measuring
layer thickness
frequency
measurement
electromagnetic radiation
Prior art date
Legal status (The legal status is an assumption and is not a legal conclusion. Google has not performed a legal analysis and makes no representation as to the accuracy of the status listed.)
Active
Application number
DE102017207648.8A
Other languages
English (en)
Other versions
DE102017207648A1 (de
Inventor
Benjamin Littau
Giovanni Schober
Stefan Kremling
Current Assignee (The listed assignees may be inaccurate. Google has not performed a legal analysis and makes no representation or warranty as to the accuracy of the list.)
INOEX GMBH, DE
Original Assignee
Skz Kfe Ggmbh
Skz-Kfe Ggmbh
Priority date (The priority date is an assumption and is not a legal conclusion. Google has not performed a legal analysis and makes no representation as to the accuracy of the date listed.)
Filing date
Publication date
Priority to DE102017207648.8A priority Critical patent/DE102017207648B4/de
Application filed by Skz Kfe Ggmbh, Skz-Kfe Ggmbh filed Critical Skz Kfe Ggmbh
Priority to PCT/EP2018/061182 priority patent/WO2018202696A1/de
Priority to CN201880029441.0A priority patent/CN110914635B/zh
Priority to GB1915726.2A priority patent/GB2576838B/en
Priority to JP2020512078A priority patent/JP7058321B2/ja
Priority to CA3062502A priority patent/CA3062502C/en
Priority to US16/610,723 priority patent/US11408733B2/en
Publication of DE102017207648A1 publication Critical patent/DE102017207648A1/de
Application granted granted Critical
Publication of DE102017207648B4 publication Critical patent/DE102017207648B4/de
Active legal-status Critical Current
Anticipated expiration legal-status Critical

Links

Images

Classifications

    • GPHYSICS
    • G01MEASURING; TESTING
    • G01BMEASURING LENGTH, THICKNESS OR SIMILAR LINEAR DIMENSIONS; MEASURING ANGLES; MEASURING AREAS; MEASURING IRREGULARITIES OF SURFACES OR CONTOURS
    • G01B15/00Measuring arrangements characterised by the use of electromagnetic waves or particle radiation, e.g. by the use of microwaves, X-rays, gamma rays or electrons
    • G01B15/02Measuring arrangements characterised by the use of electromagnetic waves or particle radiation, e.g. by the use of microwaves, X-rays, gamma rays or electrons for measuring thickness
    • GPHYSICS
    • G01MEASURING; TESTING
    • G01BMEASURING LENGTH, THICKNESS OR SIMILAR LINEAR DIMENSIONS; MEASURING ANGLES; MEASURING AREAS; MEASURING IRREGULARITIES OF SURFACES OR CONTOURS
    • G01B11/00Measuring arrangements characterised by the use of optical techniques
    • G01B11/02Measuring arrangements characterised by the use of optical techniques for measuring length, width or thickness
    • G01B11/06Measuring arrangements characterised by the use of optical techniques for measuring length, width or thickness for measuring thickness ; e.g. of sheet material
    • GPHYSICS
    • G01MEASURING; TESTING
    • G01SRADIO DIRECTION-FINDING; RADIO NAVIGATION; DETERMINING DISTANCE OR VELOCITY BY USE OF RADIO WAVES; LOCATING OR PRESENCE-DETECTING BY USE OF THE REFLECTION OR RERADIATION OF RADIO WAVES; ANALOGOUS ARRANGEMENTS USING OTHER WAVES
    • G01S13/00Systems using the reflection or reradiation of radio waves, e.g. radar systems; Analogous systems using reflection or reradiation of waves whose nature or wavelength is irrelevant or unspecified
    • G01S13/02Systems using reflection of radio waves, e.g. primary radar systems; Analogous systems
    • G01S13/06Systems determining position data of a target
    • G01S13/08Systems for measuring distance only
    • G01S13/32Systems for measuring distance only using transmission of continuous waves, whether amplitude-, frequency-, or phase-modulated, or unmodulated
    • G01S13/325Systems for measuring distance only using transmission of continuous waves, whether amplitude-, frequency-, or phase-modulated, or unmodulated using transmission of coded signals, e.g. P.S.K. signals
    • GPHYSICS
    • G01MEASURING; TESTING
    • G01SRADIO DIRECTION-FINDING; RADIO NAVIGATION; DETERMINING DISTANCE OR VELOCITY BY USE OF RADIO WAVES; LOCATING OR PRESENCE-DETECTING BY USE OF THE REFLECTION OR RERADIATION OF RADIO WAVES; ANALOGOUS ARRANGEMENTS USING OTHER WAVES
    • G01S13/00Systems using the reflection or reradiation of radio waves, e.g. radar systems; Analogous systems using reflection or reradiation of waves whose nature or wavelength is irrelevant or unspecified
    • G01S13/02Systems using reflection of radio waves, e.g. primary radar systems; Analogous systems
    • G01S13/06Systems determining position data of a target
    • G01S13/08Systems for measuring distance only
    • G01S13/32Systems for measuring distance only using transmission of continuous waves, whether amplitude-, frequency-, or phase-modulated, or unmodulated
    • G01S13/34Systems for measuring distance only using transmission of continuous waves, whether amplitude-, frequency-, or phase-modulated, or unmodulated using transmission of continuous, frequency-modulated waves while heterodyning the received signal, or a signal derived therefrom, with a locally-generated signal related to the contemporaneously transmitted signal
    • G01S13/343Systems for measuring distance only using transmission of continuous waves, whether amplitude-, frequency-, or phase-modulated, or unmodulated using transmission of continuous, frequency-modulated waves while heterodyning the received signal, or a signal derived therefrom, with a locally-generated signal related to the contemporaneously transmitted signal using sawtooth modulation
    • GPHYSICS
    • G01MEASURING; TESTING
    • G01SRADIO DIRECTION-FINDING; RADIO NAVIGATION; DETERMINING DISTANCE OR VELOCITY BY USE OF RADIO WAVES; LOCATING OR PRESENCE-DETECTING BY USE OF THE REFLECTION OR RERADIATION OF RADIO WAVES; ANALOGOUS ARRANGEMENTS USING OTHER WAVES
    • G01S13/00Systems using the reflection or reradiation of radio waves, e.g. radar systems; Analogous systems using reflection or reradiation of waves whose nature or wavelength is irrelevant or unspecified
    • G01S13/88Radar or analogous systems specially adapted for specific applications

Landscapes

  • Engineering & Computer Science (AREA)
  • Radar, Positioning & Navigation (AREA)
  • Remote Sensing (AREA)
  • Physics & Mathematics (AREA)
  • General Physics & Mathematics (AREA)
  • Computer Networks & Wireless Communication (AREA)
  • Electromagnetism (AREA)
  • Length-Measuring Devices Using Wave Or Particle Radiation (AREA)
  • Length Measuring Devices By Optical Means (AREA)

Abstract

Verfahren zur Messung einer Schichtdicke (d) eines Objekts (1), umfassend die folgenden Schritte:
- Bereitstellen eines Objekts (1), welches zwei um eine Schichtdicke (d) beabstandete Grenzflächen (2, 3) aufweist,
- Durchführen mindestens zweier Messschritte (Mi), wobei jeweils
-- elektromagnetische Strahlung (4) mit Frequenzen (f) in einem dem jeweiligen Messschritt (Mi) zugeordneten Frequenzband (Fi) von jeweils einem von mehreren Sendern (Si) auf das Objekt (1) eingestrahlt wird, wobei die Frequenzbänder (Fi) der einzelnen Messschritte (Mi) unterschiedliche Teilbereiche einer Bandbreite B sind, und
-- von den Grenzflächen (2, 3) des Objekts (1) ausgehende Sekundärstrahlung (7, 8) detektiert und ein Messsignal (Ai; |Ai|) ermittelt wird,
- Zusammenführen der Messsignale (Ai; |Ai|) der Messschritte (Mi) gemäß der jeweiligen Frequenzbänder (Fi) zu einem Auswertesignal (A0; |A0|), und
- Bestimmung einer Grundfrequenz (ω0) des Auswertesignals (Ao; |Ao|) zur Errechnung der Schichtdicke (d).

Description

  • Die Erfindung betrifft ein Verfahren und eine Vorrichtung zur Messung einer Schichtdicke eines Objekts, insbesondere eines Objekts aus Kunststoff.
  • In der industriellen Fertigung, beispielsweise in der Qualitätssicherung, ist es oft nötig, die genaue Schichtdicke eines Objekts zu messen. Die Schichtdicke ist eine Ausdehnung des Objekts zwischen zwei beabstandeten Grenzflächen des Objekts. Ein Beispiel hierfür ist die Wandstärke eines Rohres, das insbesondere aus Kunststoff gefertigt ist.
  • Für die Dickenmessung werden beispielsweise Terahertz-Messtechniken mit elektromagnetischer Strahlung eingesetzt. Ein möglicher Ansatz ist die Verwendung von gepulsten Messsignalen, wobei aus gemessenen Laufzeitunterschieden auf die Schichtdicke des Objekts geschlossen werden kann. Alternativ kann kontinuierliche elektromagnetische Strahlung (CW), insbesondere frequenz- oder phasenmodulierte elektromagnetische Strahlung, genutzt werden. Hierbei erfährt die das Objekt durchlaufende elektromagnetische Strahlung eine Phasenverschiebung. Die hieraus resultierende Phasendifferenz erlaubt es, die Schichtdicke zu bestimmen. Ein Verfahren und eine Vorrichtung für eine Dickenmessung sind aus der US 2015/0268218 A1 bekannt.
  • Die Auflösung einer derartigen Messung ist dahingehend beschränkt, dass zwei zeitlich versetzte Signale in Ausbreitungsrichtung der elektromagnetischen Strahlung noch zu trennen sein müssen. Diese zeitliche Auflösung ist abhängig von der spektralen Bandbreite der elektromagnetischen Strahlung.
  • Es ist die Aufgabe der Erfindung, ein Verfahren zur Messung einer Schichtdicke eines Objekts zu schaffen, dass einfach und genau ist. Insbesondere soll das Verfahren kostengünstig durchführbar sein.
  • Diese Aufgabe wird gelöst durch ein Verfahren mit den in Anspruch 1 angegebenen Schritten. Zunächst wird ein Objekt, welches zwei um eine Schichtdicke beabstandete Grenzflächen aufweist, bereitgestellt. Das Objekt ist beispielsweise ein Rohr, insbesondere ein Kunststoff-Rohr. Hieraufhin werden mindestens zwei Messschritte durchgeführt, wobei jeweils elektromagnetische Strahlung auf das Objekt eingestrahlt wird und von den Grenzflächen des Objekts reflektierte Sekundärstrahlung detektiert wird. Aus der detektierten Sekundärstrahlung wird in jedem Messschritt ein Messsignal ermittelt. Die Messsignale der Messschritte werden zu einem Auswertesignal zusammengeführt und hieraus eine Grundfrequenz bestimmt. Aus der Grundfrequenz lässt sich die Schichtdicke errechnen.
  • Die in den einzelnen Messschritten eingestrahlte elektromagnetische Strahlung zeichnet sich durch Frequenzen in einem dem jeweiligen Messschritt zugeordneten Frequenzband aus. Die den Messschritten zugeordneten Frequenzbänder sind unterschiedliche Teilbereiche einer Bandbreite. Insbesondere weisen die Frequenzbänder unterschiedliche Mittenfrequenzen auf. Das Zusammenführen der Messsignale der einzelnen Messschritte erfolgt abhängig von den jeweiligen Frequenzbändern der Messschritte. Dies bedeutet, dass das Zusammenführen der Messsignale gemäß der unterschiedlichen Teilbereiche der Bandbreite, welche für die einzelnen Messschritte gewählt werden, erfolgt. Dies hat den Vorteil, dass eine Messung über die gesamte Bandbreite durch einzelne Messschritte in Teilbereichen der Bandbreite angenähert werden kann. Insbesondere kann durch den Einsatz verschiedener Frequenzbereiche eine Messung mit breitbandiger elektromagnetischer Strahlung ersetzt werden, ohne dass die Auflösung des Verfahrens gegenüber der Messung mit breitbandiger elektromagnetischer Strahlung verschlechtert ist. Somit ist eine präzise Messung unter Verwendung mehrerer kostengünstiger schmalbandiger Systeme, wie Sender und Empfänger für elektromagnetische Strahlung, geschaffen. Teure breitbandige Systeme sind nicht nötig. Dies verringert den Rüstaufwand für die Durchführung des erfindungsgemäßen Verfahrens.
  • Zudem sind die Auflösung und damit die Messgenauigkeit nicht durch die Bandbreite einzelner Messsysteme, welche oftmals physikalisch limitiert ist, beschränkt. Die Messgenauigkeit kann somit sogar erhöht werden.
  • Unter Sekundärstrahlung im Sinne der Erfindung wird elektromagnetische Strahlung verstanden, welche durch Reflexion oder Transmission der eingestrahlten Strahlung an den Grenzflächen des Objekts entsteht. Sekundärstrahlung, welche das Objekt mindestens einmal durchläuft, erfährt eine Phasenverschiebung. Hieraus kann das Messsignal ermittelt werden. Hierzu können beispielsweise Sekundärstrahlungsanteile, welche von den unterschiedlichen um die Schichtdicke beabstandeten Grenzflächen des Objekts reflektiert werden, überlagert werden.
  • Es kann auch möglich sein, das Messsignal durch eine Überlagerung der eingestrahlten Strahlung mit der Sekundärstrahlung zu erzeugen
  • Beim Zusammenführen der Messsignale der einzelnen Messschritte werden diese abhängig von dem im jeweiligen Messschritt verwendeten Frequenzband verrechnet. Hierbei können Überlappungen und/oder Frequenzabstände zwischen den einzelnen Frequenzbereichen berücksichtigt werden.
  • Beispielsweise kann vorgesehen sein, die Messsignale abhängig vom jeweiligen Frequenzbereich über eine gemeinsame Frequenzachse aufzutragen. Zur Bestimmung der Grundfrequenz können dann die über die Frequenzachse aufgetragenen Messsignale gefittet werden. Bei der Grundfrequenz kann es sich insbesondere um eine im Frequenzraum auftretende Fabry-Perot-Oszillation der Messsignale handeln.
  • Das Verfahren bedarf mindestens zweier Messschritte. Es können auch mehr als zwei Messschritte durchgeführt werden. Mit steigender Anzahl der Messschritte, das heißt mit steigender Anzahl der verschiedenen Frequenzbereiche, kann die Bandbreite besser abgedeckt werden. Zusätzlich oder alternativ hierzu kann mit steigender Anzahl der Messschritte in jedem Messschritt ein kleinerer Frequenzbereich gewählt werden. Hierdurch sind Systeme verwendbar, welche nur für schmale Frequenzbänder ausgelegt sind, was den Rüstaufwand weiter verringert. Es ist jedoch auch möglich, durch die Durchführung mehrerer Messschritte die abgedeckte Bandbreite zu vergrößern, um somit die Messgenauigkeit weiter zu erhöhen. Auch kann mit steigender Anzahl der Messschritte die Grundfrequenz genauer bestimmt werden. Hierdurch werden Messungenauigkeiten verringert. Die Anzahl der Messschritte und die jeweils zugeordneten Frequenzbänder können besonders bevorzugt gemäß dem Nyquist-Shannon-Abtasttheorem an das zu erwartende Auswertesignal angepasst werden.
  • Die einzelnen Messschritte werden unabhängig voneinander durchgeführt. So können die Messschritte entweder zeitlich seriell oder gleichzeitig durchgeführt werden. Die gleichzeitige Durchführung der einzelnen Messschritte hat den Vorteil einer schnellen Messung. Die zeitlich serielle Messung hingegen ermöglicht, dass die elektromagnetische Strahlung in den einzelnen Messschritten auf denselben Bereich des Objekts eingestrahlt werden kann. Hierdurch ist es beispielsweise möglich, lokale Schichtdickenunterschiede genau aufzulösen. Insbesondere kann eine gleitende Nachverfolgung der Schichtdicke erfolgen.
  • In den einzelnen Messschritten wird die Strahlung kontinuierlich, quasi-kontinuierlich oder in Form von Strahlungspulsen eingestrahlt. Je nach Art der eingestrahlten elektromagnetischen Strahlung kann vorgesehen sein, das Messsignal aus der detektierten Sekundärstrahlung anders zu ermitteln. Das Zusammenführen der Messsignale ist hingegen nur von den in den jeweiligen Messschritten verwendeten Frequenzbändern abhängig. Daher können in unterschiedlichen Messschritten auch unterschiedliche Verfahren zur Bestimmung der Messsignale aus der detektierten Sekundärstrahlung verwendet werden. Beispielsweise kann vorgesehen sein, in einem Messschritt gepulste elektromagnetische Strahlung zu verwenden, wohingegen in anderen Messschritten mit quasi-kontinuierlicher Strahlung gearbeitet wird.
  • Im Allgemeinen wird die elektromagnetische Strahlung unter einem Einfallswinkel b auf das Objekt eingestrahlt. Der Einfallswinkel b ist definiert als der Winkel zwischen der Ausbreitungsrichtung der elektromagnetischen Strahlung und der Flächennormalen der einem Sender für die elektromagnetische Strahlung zugewandten Grenzfläche des Objekts. Ein Einfallswinkel b = 0° bedeutet einen senkrechten Einfall der Strahlung auf die Grenzfläche des Objekts. Ein Einfallswinkel b≠ 0° wird als schräger Einfall bezeichnet.
  • An der Grenzfläche, welche dem Sender zugewandt ist, wird die auf das Objekt eingestrahlte elektromagnetische Strahlung gebrochen. Die elektromagnetische Strahlung breitet sich in dem Objekt daher mit einem Ausbreitungswinkel e aus, welcher sich nach dem Gesetz von Snellius aus dem Brechungsindex des Objekts und dem Einfallswinkel b berechnet.
  • Im Falle des schrägen Einfalls muss die eingestrahlte Strahlung zwischen den Grenzflächen des Objekts eine größere Strecke zurücklegen. Dies muss bei der Ermittlung des Messsignals und der Errechnung der Schichtdicke berücksichtigt werden. Bevorzugt wird die Messung mit senkrechtem Einfall durchgeführt.
  • Bei einer Messung mit gepulster elektromagnetischer Strahlung, erfolgt die Bestimmung der Schichtdicke durch Messen der Laufzeiten der Strahlungspulse. Ein Strahlungspuls wird durch ein Wellenpaket im Zeit- sowie im Frequenzraum um die Mittenfrequenz beschrieben. Je kürzer der Strahlungspuls ist, desto genauer kann die Schichtdicke aufgelöst werden. Kurze Strahlungspulse entsprechen einem breitbandigen Signal. Die Erzeugung extrem kurzer Strahlungspulse bedarf hochpreisiger Sender.
  • Ein Verfahren nach Anspruch 2 erlaubt die Messung der Schichtdicke mit Strahlungspulsen längerer Pulsdauern. Im Falle der gepulsten Einstrahlung können Einzelpulse oder mehrere aufeinanderfolgend eingestrahlte Pulse verwendet werden. In allen Fällen kann der in einem Messschritt eingestrahlten Strahlung ein Frequenzbereich zugeordnet werden.
  • Das Zusammenführen der Messsignale der einzelnen Messschritte erfolgt bevorzugt derart, dass die Frequenzbänder gemäß der jeweiligen Mittenfrequenz über eine gemeinsame Frequenzachse aufgetragen werden. Die zu bestimmende Grundfrequenz zur Errechnung der Schichtdicke entspricht dann einer Fabry-Perot-Oszillation im Frequenzraum.
  • Im Grenzfall können die Pulsdauern derart lang gewählt werden, dass quasi-kontinuierliche Strahlung einer festen Mittenfrequenz eingestrahlt wird. In diesem Fall entspricht das einem Messschritt zugeordnete Frequenzband im Wesentlichen der Mittenfrequenz der quasi-kontinuierlichen Strahlung. Die Bestimmung des Messsignals kann anstatt durch Laufzeitmessung durch Interferenzmessung erfolgen.
  • Ein Verfahren nach Anspruch 3 ermöglicht die Messung mit frequenzmodulierter kontinuierlicher Strahlung mit einem geringen Frequenzhub. Der Frequenzhub wird hierbei durch die Abbildung des Frequenzbandes auf ein Zeitfenster mittels einer Funktion definiert. Anstatt eines einzigen großen Frequenzhubs über die gesamte Bandbreite muss die Funktion in den einzelnen Messschritten nur ein schmales Frequenzband abbilden. Bevorzugt ist die Funktion über das Zeitfenster monoton, besonders bevorzugt linear steigend.
  • Aufgrund des funktionalen Zusammenhangs des Frequenzbands und des zugehörigen Zeitfensters entspricht das Zusammenführen der Messsignale der einzelnen Messschritte dem Auftragen der Messsignale über einer gemeinsamen Zeitachse.
  • Ein Verfahren nach Anspruch 4 ermöglicht die Durchführung des Verfahrens mit Systemen für die phasenmodulierte Messung. Bei der phasenmodulierten Messung wird die elektromagnetische Strahlung um die dem jeweiligen Messschritt zugeordnete Mittenfrequenz phasenmoduliert. Die Funktion, gemäß welcher die Strahlung phasenmoduliert wird, wird auch Modulationscode genannt. Das dem Messschritt zugeordnete Frequenzband bestimmt sich aus der Mittenfrequenz und der zeitlichen Dauer des Modulationscodes über Fouriertransformation. Für den Fall, dass die elektromagnetische Strahlung in mehreren Messschritten phasenmoduliert eingestrahlt wird, kann jeweils der gleiche Modulationscode bei unterschiedlicher Mittenfrequenz verwendet werden.
  • Das Verfahren nach Anspruch 5 hat den Vorteil, dass die Bandbreite effektiv abgedeckt wird. Redundanzen der einzelnen Messschritte und damit verbundene Schwierigkeiten beim Zusammenführen der Messsignale sind vermieden. Das Verfahren ist effektiv und zeitsparend durchführbar.
  • Eine Bandbreiten-Mittenfrequenz nach Anspruch 6 ermöglicht die Abdeckung eines großen Frequenzbereichs, insbesondere eines Frequenzbereichs von 0,01 THz bis 3 THz, insbesondere von 0,2 THz bis 2 THz. Elektromagnetische Strahlung in diesem Frequenzbereich kann die zu vermessenden Objekte, insbesondere Objekte aus Kunststoff, gut durchdringen. Absorptionsverluste sind verringert oder vermieden. Zudem existieren in diesem Frequenzbereich effektive, insbesondere vollelektronische Sender. Das Verfahren ist effektiv und genau.
  • Eine gemäß Anspruch 7 gewählte Bandbreite ermöglicht die Anpassung des erfindungsgemäßen Verfahrens an die Eigenschaften des zu vermessende Objekts, insbesondere dessen Brechungsindex n, und eine kleinste zu messende Schichtdicke dmin. Alternativ kann für eine Messvorrichtung mit bekannter Bandbreite die kleinste zu messende Schichtdicke dmin, das heißt die maximale Auflösung, einfach angegeben werden. Das Verfahren ist einfach und präzise.
  • Die Bandbreite B B c  cos  e 2 d m i n   n   ,
    Figure DE102017207648B4_0001
    wobei c die Lichtgeschwindigkeit im Vakuum ist, gilt für Reflexionsmessungen, in welchen die Strahlung die Schichtdicke des zu vermessenden Objekts zweimal durchläuft. Für Transmissionsmessungen muss eine an die Transmissionsmessung angepasste Bandbreite B gewählt werden. Die Bandbreite kann beispielsweise zwischen 50 GHz und 500 GHz, insbesondere zwischen 100 GHz und 250 GHz, insbesondere zwischen 150 GHz und 200 GHz betragen. Soll beispielsweise mit einer Reflexionsmessung unter senkrechtem Einfall der elektromagnetischen Strahlung die kleinste zu messende Schichtdicke dmin= 0,66 mm gemessen werden, wobei das zu vermessende Objekt einen Brechungsindex von n = 1,5 hat, beträgt die mindestens benötigte Bandbreite etwa B =160 GHz.
  • Ein Verfahren nach Anspruch 8 erfüllt das Nyquist-Shannon-Abtasttheorem. Die Frequenzbereiche der einzelnen Messschritte müssen nicht die gesamte Bandbreite abdecken. Dies erlaubt eine Minimierung der durchzuführenden Messschritte, ohne dass die Messgenauigkeit verringert wird. Das Verfahren ist an das zu vermessende Objekt, insbesondere an dessen größte zu messende Schichtdicke dmax anpassbar.
  • Der Zusammenhang zwischen dem Frequenzbereich Δf, der größten zu messenden Schichtdicke dmax und dem Brechungsindex n des Objekts Δ f > c  cos  e 2 d m a x   n  
    Figure DE102017207648B4_0002
    gilt für Reflexionsmessungen. Für Transmissionsmessungen, bei welchen die elektromagnetische Strahlung das Objekt nur einmal durchläuft, muss die Formel für den Frequenzbereich Δf entsprechend angepasst werden.
  • Beträgt die durch Reflexionsmessung zu messende maximale Schichtdicke dmax = 6,66 mm, darf der der Frequenzabstand Δf bei senkrechtem Einfall zu höchstens 10 GHz gewählt werden.
  • Ein Verfahren nach Anspruch 9 ist besonders gut zur gleichzeitigen Durchführung der Messschritte geeignet. Das Verfahren ist schnell und effektiv. Zudem sind nur Sender für elektromagnetische Strahlung in einem jeweils vorgegebenen Frequenzband nötig. Diese sind günstig und zuverlässig. Der Rüstaufwand für das Verfahren ist verringert. Bevorzugt ist zur Durchführung jedes Messschritts je ein Empfänger für die Sekundärstrahlung vorhanden. Das Verfahren ist durch Austausch der jeweiligen Sender und Empfänger einfach anpass- und/oder nachrüstbar. Der Kalibrierschritt kann bevorzugt nur einmalig vor der ersten Messung erfolgen.
  • Ein Verfahren nach Anspruch 10 hat den Vorteil, dass die Sender zur Durchführung der einzelnen Messschritte vollkommen unabhängig voneinander ausgewählt und betrieben werden können. Die Sender für elektromagnetische Strahlung unterschiedlicher Frequenzen müssen keine feste Amplituden- oder Phasenbeziehung aufweisen. Die Kalibrierung erfolgt bevorzugt durch Messung an einem bekannten Kalibrierkörper, insbesondere einem Metallspiegel, wobei die vom Kalibrierkörper ausgehende Sekundärstrahlung zur Normierung der Amplitude und Phase der Sender dient. Die Kalibrierung ermöglicht eine freite Auswahl der Sender, ohne dass die Messgenauigkeit beeinträchtigt wird.
  • Die Ansteuerung nach Anspruch 11 erfolgt insbesondere derart, dass die unterschiedlichen Sender mit einer festen Phasenbeziehung angesteuert werden und bei identischen Amplituden arbeiten. Die synchronisierte Ansteuerung der Sender kann beispielsweise über einen Referenzoszillator erfolgen. Bei synchronisierter Ansteuerung kann eine Kalibrierung entfallen.
  • Es ist eine weitere Aufgabe der Erfindung, eine Vorrichtung zur Messung der Schichtdicke eines Objekts zu verbessern.
  • Diese Aufgabe wird gelöst durch eine Vorrichtung mit den in Anspruch 12 genannten Merkmalen. Die Vorrichtung umfasst mindestens zwei Sender zur Abstrahlung von elektromagnetischer Strahlung mit Frequenzen in je einem festgelegten Frequenzband. Die Frequenzbänder der einzelnen Sender stellen unterschiedliche Teilbereiche einer Bandbreite dar. Zudem ist mindestens ein Empfänger für elektromagnetische Strahlung mit Frequenzen innerhalb der Bandbreite und eine Auswerteelektronik vorgesehen. Die Auswerteelektronik ist für die Durchführung des oben beschriebenen Verfahrens ausgelegt.
  • Die Vorrichtung hat den Vorteil, dass eine breite Bandbreite abgedeckt werden kann, ohne dass kostspielige Sender und/oder der Empfänger zur Abstrahlung breitbandiger Signale vorgesehen sind. Die Vorrichtung ermöglicht eine genaue Messung.
  • Die Vorrichtung ist für die Durchführung eines Verfahrens mit mindestens zwei Messschritten ausgelegt. Für jeden Messschritt kann ein eigener Sender vorgesehen sein. Die einzelnen Sender können jeweils aber auch für die Durchführung mehrerer Messschritte ausgelegt sein. Hierfür können insbesondere durchstimmbare Sender in Betracht kommen.
  • Besonders bevorzugt ist je Sender ein Empfänger für elektromagnetische Strahlung mit Frequenzen innerhalb des jeweiligen Frequenzbands vorgesehen. Dies ermöglicht eine gleichzeitige Durchführung mehrerer Messschritte. Die Sender und die jeweiligen Empfänger können auch zu einer Sender-Empfänger-Einheit kombiniert sein, insbesondere die gleichen Komponenten, wie beispielsweise eine Radarantenne, umfassen.
  • Die weiteren Vorteile der Vorrichtung entsprechen denen des oben beschriebenen Verfahrens. Die Auswerteelektronik kann des Weiteren zur Durchführung eines Kalibrierschritts vor der Messung ausgelegt sein.
  • Bei einer Vorrichtung nach Anspruch 13 kann eine Kalibrierung der Sender entfallen. Die Messgenauigkeit der Vorrichtung ist erhöht.
  • Eine Vorrichtung nach Anspruch 14 ermöglicht die Anpassung des mit der Vorrichtung durchführbaren Verfahrens an die Eigenschaften des zu vermessenden Objekts. Insbesondere können hierbei der Brechungsindex, die maximale Schichtdicke und/oder die minimale Schichtdicke des Objekts berücksichtigt werden. Die Eingabe der Eigenschaften des Objekts kann manuell oder automatisch über eine Daten-Schnittstelle erfolgen. Beispielsweise kann vorgesehen sein, dass die Eigenschaften des Objekts, insbesondere Soll-Werte, von einer vorgelagerten Produktionseinheit an die Vorrichtung zur Messung der Schichtdicke weitergeleitet werden.
  • Aus den über die Schnittstelle an die Auswerteelektronik übergebenen Daten kann insbesondere ein Frequenzbereich, welcher innerhalb der Bandbreite zu keinem Frequenzband eines Messschritts gehört, bestimmt werden. Insbesondere kann vorgesehen sein, dass ein derartiger Frequenzbereich einen gewissen Maximalwert nicht überschreitet. Zudem kann die von den Sendern abzudeckende Bandbreite an eine minimal zu messende Dicke angepasst werden.
  • Eine Vorrichtung nach Anspruch 15 erlaubt eine einfache Um- und Nachrüstung. Somit kann die Vorrichtung und das Messverfahren an verschiedenste zu vermessende Objekte angepasst werden. Die Anschaffung einer neuen Vorrichtung bei veränderten Messbedingungen ist vermieden. Dies minimiert den Rüstaufwand.
  • Weitere Merkmale, Vorteile und Einzelheiten der Erfindung ergeben sich aus den nachfolgenden Ausführungsbeispielen und den zugehörigen Figuren. Es zeigen:
    • 1 eine schematische Darstellung einer Messung einer Schichtdicke eines Objekts,
    • 2 eine Frequenz einer elektromagnetischen Strahlung, welche in bekannter Weise über eine große Bandbreite linear frequenzmoduliert wird,
    • 3 eine erfindungsgemäß in mehreren Messschritten linear über diskrete, schmalbandige Frequenzbänder modulierte Frequenz einer elektromagnetischen Strahlung,
    • 4 ein Auswertesignal, welches durch Messung mit der gemäß 2 frequenzmodulierten Strahlung erhalten wird,
    • 5 ein Auswertesignal, welches durch Durchführung der gemäß 3 frequenzmodulierten Messschritte erhalten werden,
    • 6 eine Vorrichtung zur Messung einer Schichtdicke eines Objekts,
    • 7 ein schematischer Verfahrensablauf zur Messung einer Schichtdicke eines Objekts,
    • 8 eine weitere Vorrichtung zur Messung einer Schichtdicke eines Objekts,
    • 9 ein Auswertesignal im Frequenzbereich, welches aus unterschiedlichen Messschritten rekonstruiert wird, und
    • 10 schematisch die Durchführung eines Messschritts mittels phasenmodulierter elektromagnetischer Strahlung.
  • In 1 ist schematisch die Messung einer Schichtdicke d eines Objekts 1 gezeigt. Das Objekt 1 hat Grenzflächen 2, 3, welche um die Schichtdicke d beabstandet sind. Die Schichtdicke d des Objekts 1 bewegt sich in dem Bereich zwischen einer minimalen Schichtdicke dmin und einer maximalen Schichtdicke dmax . Die minimale Schichtdicke dmin und die maximale Schichtdicke dmax stellen für die Messung eine kleinste beziehungsweise größte zu messende Schichtdicke dar. Das Objekt 1 weist einen Brechungsindex n auf, welcher von einem Brechungsindex der Umgebung des Objekts 1 abweicht. Üblicherweise wird die Messung in Luft oder im Vakuum durchgeführt, so dass der Brechungsindex der Umgebung 1 ist.
  • Zur Messung der Schichtdicke d des Objekts 1 wird elektromagnetische Strahlung 4 unter einem Einfallswinkel b auf die Grenzfläche 2 des Objekts 1 eingestrahlt. Der Einfallswinkel b ist definiert als der Winkel zwischen einer Ausbreitungsrichtung 5 der elektromagnetischen Strahlung 4 und einer Flächennormalen 6 der Grenzfläche 2. Die eingestrahlte elektromagnetische Strahlung 4 wird an der Grenzfläche 2 anteilig als Reflexionsstrahlung 7 reflektiert. Der nicht reflektierte Anteil der elektromagnetischen Strahlung 4 dringt in das Objekt 1 ein und läuft dort unter einem Ausbreitungswinkel e zu der Flächennormalen 6 in Richtung der Grenzfläche 3. Der Ausbreitungswinkel e unterscheidet sich aufgrund der Brechung der elektromagnetischen Strahlung 4 an der Grenzfläche 2 von dem Einfallswinkel b. Der Ausbreitungswinkel e kann nach dem Brechungsgesetz von Snellius berechnet werden. Es gilt: sin  b = n  sin  e .
    Figure DE102017207648B4_0003
  • An der Grenzfläche 3 wird die in das Objekt 1 eingedrungene Strahlung zumindest teilweise reflektiert und tritt an der Grenzfläche 2 aus dem Objekt 1 als Austrittsstrahlung 8 aus. Die Reflexionsstrahlung 7 und die Austrittsstrahlung 8 stellen von den Grenzflächen 2, 3 des Objekts 1 ausgehende Sekundärstrahlung dar. Aus der Sekundärstrahlung 7, 8 kann ein Messsignal bestimmt werden, woraus sich die Schichtdicke d des Objekts 1 errechnen lässt. Hierzu kann die Reflexionsstrahlung 7 mit der Austrittsstrahlung 8 überlagert und ausgewertet werden.
  • Die erzielbare Auflösung bestimmt sich aus einer spektralen Bandbreite B der eingestrahlten elektromagnetischen Strahlung 4.
  • Das Objekt 1 ist ein Kunststoffbauteil, beispielsweise ein Kunststoffrohr. Die Bandbreite B weist eine Bandbreiten-Mittenfrequenz fM von etwa 1.000 GHz auf. Kunststoffbauteile werden von elektromagnetischer Strahlung im Gigaherzbereich gut durchdrungen. Die Kunststoffbauteile sind transparent. In weiteren Ausführungsbeispielen ist das Objekt 1 aus anderen Materialien gefertigt. Die Bandbreiten-Mittenfrequenz fM der Bandbreite B kann an das Material des Objekts 1 angepasst sein. Beispielsweise kann die Bandbreiten-Mittenfrequenz fM zwischen 50 GHz und 1.500 GHz gewählt werden.
  • Um Objekte 1 der Schichtdicke dmin auflösen zu können, muss die elektromagnetische Strahlung 4 eine Bandbreite B abdecken, für die gilt: B c  cos  e 2 d m i n   ,
    Figure DE102017207648B4_0004
    wobei c die Lichtgeschwindigkeit im Vakuum ist. Soll nun eine optische Weglänge n • dmin = 1 mm aufgelöst werden, bedarf dies bei senkrechtem Einfall einer Bandbreite von minimal 150 GHz. Die Bandbreite bekannter Vorrichtungen und Verfahren zur Messung der Schichtdicke d sind nicht nur physikalisch limitiert, sondern die entsprechenden Sender und Empfänger sind zudem sehr hochpreisig. Im Folgenden werden Verfahren beschrieben, welche die Messung mit großer Bandbreite B durch mehrere Messschritte Mi ersetzen. Der Index i, i = 1, 2, ..., nummeriert die einzelnen Messschritte Mi .
  • Mit Bezug auf die 2 bis 5 wird ein erstes Ausführungsbeispiel des Verfahrens zur Messung der Schichtdicke d des Objekts 1 beschrieben. Das Verfahren nutzt frequenzmodulierte elektromagnetische Strahlung 4.
  • In 2 ist eine bekannte Modulation für elektromagnetische Strahlung 4, wie sie in frequenzmodulierten Radarmessungen eingesetzt wird, dargestellt. Hierzu ist die Frequenz f der elektromagnetischen Strahlung 4 über die Zeit t aufgetragen. Über eine Messdauer T wird die Frequenz f von einer Minimalfrequenz f0 zu einer Maximalfrequenz f1 variiert, indem die Frequenz f innerhalb der Messdauer T entlang einer linearen Funktion f(t) über die Zeit t ansteigt. Die Funktion f(t) stellt einen Frequenzhub über die Messdauer T dar. Nach der Messdauer T springt die Frequenz f wieder auf die Minimalfrequenz f0 zurück. Die spektrale Bandbreite B ist zwischen der Minimalfrequenz f0 und der Maximalfrequenz f1 definiert. Die Bandbreite B ist um die Bandbreiten-Mittenfrequenz fM definiert.
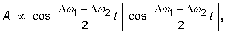
  • Die von der ersten Grenzfläche 2 des Objekts 1 ausgehende Reflexionsstrahlung 7 wird mit der von der zweiten Grenzfläche 3 ausgehenden Austrittsstrahlung 8 überlagert. Aufgrund der unterschiedlichen Laufzeiten der jeweiligen Sekundärstrahlung 7, 8 ergibt sich ein Messsignal A der Amplitude A    cos [ Δ ω 1 + Δ ω 2 2 t ]  cos [ Δ ω 1 + Δ ω 2 2 t ] ,
    Figure DE102017207648B4_0005
    wobei Δω1 und Δω2 die den jeweiligen Grenzflächen 2, 3 zugeordneten Frequenzen sind. Aufgrund der linearen Variation der Frequenz der eingestrahlten Strahlung 4 entsteht eine Schwebung der Amplitude, wie sie in 4 dargestellt ist. In 4 ist hierzu die Amplitude des Messsignals A als Funktion der Zeit t über die Messdauer T dargestellt. Da die Grundfrequenz ω0 der Schwebung ω 0 = ( Δ ω 1 Δ ω 2 ) / 2
    Figure DE102017207648B4_0006
    proportional zu dem Frequenzunterschied der Reflexionsstrahlung 7 und der Austrittsstrahlung 8 ist, lässt sich hieraus die Schichtdicke d des Objekts 1 bestimmen: d = ω 0   c k   n  cos  e ,
    Figure DE102017207648B4_0007
    wobei k die Steigung der linearen Funktion f(t) ist.
  • Das Messsignal A kann direkt zur Berechnung der Schichtdicke d benutzt werden, stellt also ein Auswertesignal dar. Um eine Auflösung der Schichtdicke d zu gewährleisten, muss der Frequenzhub über die Bandbreite B daher mindestens die halbe Periodenlänge der Grundfrequenz der Schwebung abdecken.
  • In 3 sind nun die Messsignale von vier Messschritten Mi , i =1, 2, 3, 4, dargestellt. In jedem Messschritt Mi wird die elektromagnetische Strahlung 4 gemäß einer Funktion fi(t) über die Zeit t moduliert, wobei die Funktion fi(t) ein dem jeweiligen Messschritt Mi zugeordnetes Frequenzband Fi auf ein Zeitfenster Ti abbildet. Die Frequenzbänder Fi sind Teilbereiche der Bandbreite B. Die Funktionen fi(t) sind linear monoton steigend. Durch die Funktionen fi(t) werden Teilbereiche des in 2 gezeigten Frequenzhubs f(t) über die Bandbreite B abgedeckt. Die Frequenzbänder Fi sind überlappungsfrei und decken die Bandbreite B nicht vollständig ab.
  • Aus der in den einzelnen Messschritten Mi detektierten Sekundärstrahlung 7, 8 kann jeweils die Amplitude eines Messsignals Ai errechnet werden. Aufgrund der geringen Länge der Zeitfenster Ti decken die jeweiligen Messsignale Ai nur einen Teil der Schwebung (vgl. 3) ab. Es ist jedoch möglich, die Amplituden der Messsignale Ai der einzelnen Messschritte Mi zu kombinieren, wie dies in 5 gezeigt ist. Hierzu werden die Messsignale Ai der einzelnen Messschritte Mi gemäß dem jeweiligen Frequenzband Fi zu einem Auswertesignal A0 kombiniert. Im Falle der frequenzmodulierten Messung kann aus der Lage der jeweiligen Frequenzbänder Fi eine Kombination der Messsignale Ai über die Messdauer T entlang der Zeitachse t erfolgen. Aus den zusammengeführten Messsignalen Ai der Messschritte Mi kann durch Anfitten bzw. Approximieren einer Schwebungsfunktion die Grundfrequenz ω0 des Auswertesignals A0 bestimmt werden und hieraus die Schichtdicke d errechnet werden.
  • Wie in 3 dargestellt, decken die Frequenzbänder Fi nicht die gesamte Bandbreite B ab. Da die Grundfrequenz ω0 proportional zu der Schichtdicke d ist, nimmt die Schwebungsfrequenz mit zunehmender Schichtdicke d zu. Nach dem Nyquist-Shannon-Abtasttheorem sind mindestens zwei Abtastpunkte pro Periode der Grundfrequenz ω0 nötig, um die Grundfrequenz ω0 eindeutig zu bestimmen. Um die größte zu messende Schichtdicke dmax bestimmen zu können, ist es daher nötig, Frequenzbereiche Δf, welche innerhalb der Bandbreite B zu keinem der Frequenzbänder Fi eines Messschritts Mi gehören, klein genug zu wählen, um eine eindeutige Rekonstruktion der Grundfrequenz ω0 zu ermöglichen. Hierzu muss der Frequenzbereich Δf die folgende Bedingung erfüllen: Δ f < c  cos  e 2   d m a x   n   .
    Figure DE102017207648B4_0008
  • Die einzelnen Messschritte Mi werden unabhängig voneinander durchgeführt. Die Messschritte Mi können gleichzeitig oder seriell durchgeführt werden. Die gleichzeitige Durchführung hat den Vorteil einer schnellen und effektiven Messung. Die serielle Messung ermöglicht, die elektromagnetische Strahlung 4 in jedem Messschritt Mi auf die gleiche Stelle der Grenzfläche 2 des Objekts 1 einzustrahlen. Hierdurch ist eine räumlich hoch aufgelöste Messung der Schichtdicke d möglich. Insbesondere ist eine räumliche Änderung der Schichtdicke d nachverfolgbar.
  • In weiteren, nicht dargestellten Ausführungsbeispielen können mehr oder weniger Messschritte Mi durchgeführt werden. Insbesondere kann vorgesehen sein, nur zwei Messschritte Mi durchzuführen. Die Frequenzbänder Fi der einzelnen Messschritte Mi können sich auch überlappen. In weiteren Ausführungsbeispielen decken die Frequenzbänder Fi die gesamte Bandbreite B ab.
  • Das Auswertesignal A0 kann äquivalent auch im Frequenzraum analysiert werden. Dort setzt sich das Auswertesignal A0 aus zwei Pulsen zusammen. Der erste Puls entspricht der Grundfrequenz ω0, der zweite Puls der Oberschwingung der Schwebung. Die Breite der Pulse ist anti-proportional zu ihrer spektralen Bandbreite B, so dass die Pulse nur bei entsprechend großer Bandbreite B zeitlich getrennt werden können. Die Position des Pulses der Grundfrequenz ω0 kann dann direkt in die Schichtdicke d umgerechnet werden.
  • In 6 ist ein Messaufbau zur Durchführung des beschriebenen Messverfahrens gezeigt. Der Messaufbau umfasst das Objekt 1 mit den Grenzflächen 2, 3 und eine Messvorrichtung 10. Die Messvorrichtung 10 umfasst zwei Sender S1 und S2 für elektromagnetische Strahlung 4 in einem Frequenzband F1 beziehungsweise F2 . Zudem sind zwei Empfänger E1 und E2 für die Sekundärstrahlung 7, 8 in den jeweiligen Frequenzbändern Fi und F2 vorhanden. Die Sender Si und die Empfänger Ei sind in der Messvorrichtung 10 zu je einer Sender-Empfänger-Einheit 11 zusammengefasst. Bei den Sender-Empfänger-Einheiten 11 mit den jeweiligen Sendern Si und Empfängern Ei handelt es sich um Radarantennen, welche eine frequenzmodulierte kontinuierliche elektromagnetische Strahlung 4 aussenden und die entsprechende Sekundärstrahlung 7, 8, welche von dem Objekt 1 reflektiert wird, empfangen können. Je Sender-Empfänger-Einheit 11 ist eine Steuerungs- und Datenverarbeitungseinheit 12 vorhanden. Die Steuerungs- und Datenverarbeitungseinheiten 12 steuern die Sender Si an und verarbeiten die von den Empfängern Ei empfangene Sekundärstrahlung 7, 8 zu einem Messsignal Ai . Die Steuerungs- und Datenverarbeitungseinheiten 12 sind in daten- und signalübertragender Weise an eine Auswerteelektronik 13 angeschlossen. Die Auswerteelektronik 13 umfasst eine Schnittstelle 14.
  • Die Auswerteelektronik 13 ist zur Durchführung des oben umrissenen Messverfahrens geeignet. Die einzelnen Verfahrensschritte sind als Messverfahren 15 schematisch in 7 dargestellt.
  • Zunächst müssen die Sender Si und Empfänger Ei in einem Kalibrierschritt 16 kalibriert werden. Bei der Kalibrierung werden die Phasen und Amplituden der von den Sendern Si erzeugten elektromagnetischen Strahlung 4 normiert. Hierdurch können die Sender Si in den unabhängig voneinander durchzuführenden Messschritten Mi verwendet werden, ohne dass ein Referenz- oder Synchronisierungssignal nötig ist. Hierfür kann in dem Kalibrierschritt 16 ein bekanntes Kalibrierobjekt, beispielsweise ein Metallspiegel, vermessen werden.
  • An dem Kalibrierschritt 16 schließt sich ein Bereitstellungsschritt 17 an. Im Bereitstellungsschritt 17 wird das Objekt 1 bereitgestellt. Zudem werden über die Schnittstelle 14 relevante Eigenschaften des Objekts 1 an die Auswerteelektronik 13 übermittelt. Zu diesen Eigenschaften des Objekts 1 zählen der Brechungsindex n, die maximale Schichtdicke dmax und minimale Schichtdicke dmin. Zur Eingabe dieser Eigenschaften ist die Schnittstelle 14 als ein Eingabemodul ausgeführt, worüber ein Benutzer die Eigenschaften des Objekts 1 direkt eingeben kann. In weiteren Ausführungsbeispielen ist die Schnittstelle 14 als Datenschnittstelle ausgeführt. In diesen Ausführungsbeispielen können die Eigenschaften des Objekts 1 automatisch von einer vorgelagerten Produktionsstätte, in welcher das Objekt 1 fertig gestellt wird, direkt an die Messvorrichtung 10 weitergeleitet werden. Mit den im Bereitstellungsschritt 17 übermittelten Daten errechnet die Auswerteelektronik 13 die für die Messung benötigte Bandbreite B und einen maximalen Frequenzbereich Δf. Zudem kann die Anzahl der durchzuführenden Messschritte Mi optimal an das Objekt 1 angepasst werden.
  • Nach dem Bereitstellungsschritt 17 werden mindestens zwei Messschritte Mi durchgeführt. In jedem Messschritt Mi wird in einem Sende-Detektionsschritt 18 elektromagnetische Strahlung 4 in einem dem Messschritt Mi zugeordneten Frequenzband Fi auf das Objekt 1 eingestrahlt und die resultierende Sekundärstrahlung 7, 8 detektiert. Hierfür leitet die Auswerteelektronik 13 das für den Messschritt Mi benötigte Frequenzband Fi an die Steuerungs- und Datenverarbeitungseinheit 12 der für das Frequenzband Fi geeigneten Sender-Empfänger-Einheit 11 mit Sender Si weiter. Die elektromagnetische Strahlung 4 wird dann von dem Sender Si auf das Objekt 1 eingestrahlt und die Sekundärstrahlung 7, 8 vom Empfänger Ei detektiert.
  • An den Sende-Detektionsschritt 18 schließt sich ein Datenverarbeitungsschritt 19 an, in welchem aus der detektierten Sekundärstrahlung 7, 8 das Messsignal Ai des Messschritts Mi durch die Steuerungs- und Datenverarbeitungseinheit 12 errechnet wird.
  • Nach Durchführung aller Messschritte Mi werden die im Datenverarbeitungsschritt 19 ermittelten Messsignale Ai in einem Zusammenführungsschritt 20 an die Auswerteelektronik 13 übermittelt. Aufgrund der im Kalibrierschritt 16 ermittelten bekannten Amplituden- und Phasenbeziehungen der Sender Si und der bekannten Frequenzbänder Fi können im Zusammenführschritt 20 die Messsignale Ai der einzelnen Messschritte Mi zu dem Auswertesignal A0 zusammengeführt werden. Hierfür werden die Messsignale Ai der einzelnen Messschritte Mi über eine gemeinsame Zeit- oder Frequenzachse aufgetragen.
  • Anschließend wird in einem Auswerteschritt 21 die Grundfrequenz ω0 durch Fitten des Auswertesignals A0 bestimmt und hieraus die Schichtdicke d errechnet.
  • Es ist vorgesehen, dass jeder der Messschritte Mi durch einen anderen Sender Si durchgeführt wird. Die von jedem Sender Si erzeugbare elektromagnetische Strahlung 4 weist Frequenzen f in je einem dem jeweiligen Messchritt Mi zugeordnetem Frequenzband Fi auf. Der in 6 gezeigte Messaufbau ist daher zur Durchführung zweier Messschritte Mi mit den Sendern Si und den jeweiligen Empfängern Ei geeignet. Die Messvorrichtung 10 ist jedoch modular aufgebaut. Hierdurch können weitere Sender Si und Empfänger Ei , insbesondere in Form einer Sende-Empfänger-Einheit 11 zu der Messvorrichtung 10 hinzugefügt werden. Dies ist möglich, da die Sender-Empfänger-Einheiten 11 der Messvorrichtung 10 unabhängig voneinander arbeiten. Durch den modularen Aufbau der Messvorrichtung 10 kann diese an die Eigenschaften des zu vermessenden Objekts 1 optimal angepasst werden. Auch kann die Anzahl der Sender-Empfänger-Einheiten 11 zur Erhöhung der Messgenauigkeit erhöht werden.
  • In 8 ist ein weiterer Messaufbau für die Messung der Schichtdicke d an dem Objekt 1 gezeigt. Identische Komponenten, Parameter und Verfahrensschritte tragen die gleichen Bezugszeichen wie in den unter Bezugnahme auf die 1 bis 7 erläuterten Ausführungsbeispielen, auf die hiermit verwiesen wird.
  • Die in 8 gezeigte Messvorrichtung 22 unterscheidet sich von der Messvorrichtung 10 nur dadurch, dass anstatt unabhängiger Steuerungs- und Datenverarbeitungseinheiten 12 für die Sender-Empfänger-Einheiten 11 ein gemeinsamer Referenzoszillator 23 vorgesehen ist. Der Referenzoszillator 23 synchronisiert die Phasen der von den Sendern Si der Sender-Empfänger-Einheiten 11 abgestrahlten elektromagnetischen Strahlung 4. Der Referenzoszillator 23 ist eine Synchronisationseinheit. Somit kann eine Kalibrierung der Phasenbeziehung der Sender Si im Kalibrierschritt 16 entfallen.
  • Auch die Messvorrichtung 22 ist modular ausgeführt. So können weitere oder alternative Sender-Empfänger-Einheiten 11 an den Referenzoszillator 23 angeschlossen und von diesem angesteuert werden.
  • In weiteren, nicht dargestellten Ausführungsbeispielen sind die Sender Si und die Empfänger Ei nicht als Sender-Empfänger-Einheiten 11 ausgeführt, sondern als separate Komponenten an die Auswerteelektronik 13 beziehungsweise an den Referenzoszillator 23 angeschlossen.
  • Im Folgenden wird mit Bezug auf die 9 die Messung der Schichtdicke d des Objekts 1 mit gepulster elektromagnetischer Strahlung 4 beschrieben. Identische Parameter, Komponenten und Verfahrensschritte tragen die gleichen Bezugszeichen, wie in den oben mit Bezug auf die 1 bis 5 bereits beschriebenen Ausführungsbeispielen, auf die hiermit verwiesen wird.
  • Im Fall der gepulsten Messung wird die elektromagnetische Strahlung 4 mit gepulsten Radarsystemen auf das Objekt 1 eingestrahlt. Die Auflösung der Messung in Ausbreitungsrichtung 5 der elektromagnetischen Strahlung 4 ist hierbei von der zeitlichen Ausdehnung der Pulse abhängig. Die zeitliche Ausdehnung der Pulse hängt wiederum mit der spektralen Bandbreite B der Pulse zusammen. Ein elektromagnetischer Puls lässt sich nun durch den folgenden mathematischen Ausdruck beschreiben: a ( t )  cos  ( ω M t ) ,
    Figure DE102017207648B4_0009
    wobei a(t) die Pulsamplitude und -breite ist und cos (ωMt) die Schwingung mit der Mittenfrequenz ωM des Pulses beschreibt. Zur Messung wird nun die Sekundärstrahlung 7, 8 detektiert. Aufgrund des Laufzeitunterschieds zwischen der von der ersten Grenzfläche 2 reflektierten Reflexionsstrahlung 7 und der von der zweiten Grenzfläche 3 reflektierten Austrittsstrahlung 8 ergeben sich zwei reflektierte Pulse im zeitlichen Abstand τ von τ = 2 d n c  cos  e   .
    Figure DE102017207648B4_0010
  • Die empfangene Sekundärstrahlung 7, 8 wird im Zeitbereich daher durch die folgende Formel beschrieben: A ( t ) = a ( t )  cos [ f m t ] + a ( t τ ) cos [ f M ( t τ ) ] .
    Figure DE102017207648B4_0011
  • Im Frequenzraum werden die Multiplikation zu einer Faltung und der Zeitversatz zu einer Phasenverschiebung. Folglich ergibt sich für die empfangene Sekundärstrahlung 7, 8 das folgende Messsignal A im Frequenzraum A ( f ) = a ( f ) δ ( f f M ) ( 1 + e i f τ ) .
    Figure DE102017207648B4_0012
  • Dies entspricht dem Spektrum a(f) δ(f-fm) multipliziert mit dem Faktor (1+e-ifτ). Bei der Berechnung des Amplitudenspektrums |A| über den Frequenzbereich entspricht letzterer einer Fabry-Perot-Oszillation im Frequenzbereich: | 1 + e if τ | = 2  cos  [ τ 2 f ] .
    Figure DE102017207648B4_0013
  • Aus der Periodendauer der Fabry-Perot-Oszillation kann die Grundfrequenz ω0 = 2/τ bestimmt und darüber die Schichtdicke d gemäß Gleichung (8) errechnet werden.
  • Das Messsignal in Form des Amplitudenspektrums |A| ist in 9 über die Frequenz f gezeigt. Wird über die gesamte Bandbreite B gemessen, können die Fabry-Perot-Oszillationen (siehe Kurve 9 in 9) ausgelesen und die Grund-Frequenz ω0 zur Bestimmung der Schichtdicke d ermittelt werden. Um eine zur Auflösung der kleinsten zu messenden Schichtdecke dmin ausreichende Bandbreite B zur Verfügung zu stellen, ist bekanntermaßen die Erzeugung extrem kurzer Strahlungspulse nötig. Die Fabry-Perot-Oszillationen werden nun durch die Durchführung mehrere Messschritte Mi rekonstruiert. Hierzu wird die elektromagnetische Strahlung 4 in den Messschritten Mi gepulst eingestrahlt. Die Dauer der Strahlungspulse wird hierbei groß gewählt, so dass die jedem Messschritt Mi zugeordneten Frequenzbänder Fi nur einen Bruchteil der Bandbreite B abdecken. Für jeden Messschritt Mi , das heißt für jedes Frequenzband Fi , werden die reflektierten Pulse, das heißt die Sekundärstrahlung 7, 8, detektiert und hieraus das Messsignal |Ai| ermittelt. Die Messsignale |Ai| werden gemäß der Frequenzbänder Fi über eine gemeinsame Frequenzachse f zu dem Auswertesignal |A0| zusammengeführt. Durch Anfitten der Fabry-Perot-Oszillation kann dann die Kurve 9 rekonstruiert werden und hieraus die Grundfrequenz ω0 zur Errechnung der Schichtdicke d bestimmt werden.
  • Da die Periodendauer der Fabry-Perot-Oszillation indirekt proportional zu der Schichtdicke d ist, verringert sich der Frequenzabstand, das heißt die Grundfrequenz ω0 , der Maxima der Fabry-Perot-Oszillation. Um eine Auflösung auch für die größte zu messende Schichtdicke dmax zu gewährleisten, muss der Frequenzbereich Δf wie oben in Gleichung (6) gewählt werden.
  • In einem weiteren Ausführungsbeispiel wird die elektromagnetische Strahlung 4 der einzelnen Messschritte Mi quasi-kontinuierlich eingestrahlt. Hierbei handelt es sich um einen Grenzfall der gepulsten Einstrahlung der elektromagnetischen Strahlung 4, wobei die zeitliche Länge der Strahlungspulse (unendlich) lang ist. In diesem Fall reduzieren sich die Frequenzbänder Fi der einzelnen Messschritte Mi zu einer scharfen Frequenz, welche der Mittenfrequenz ωM der in den einzelnen Messschritten Mi eingestrahlten Strahlungspulsen entspricht (vgl. Gleichung (7)).
  • Für den Fall, dass die elektromagnetische Strahlung 4 quasi-kontinuierlich eingestrahlt wird, kann die Bestimmung des Messsignals |A| in den einzelnen Messschritten Mi nicht durch eine Laufzeitmessung erfolgen. In diesem Fall ist vorgesehen, dass Messsignal aus der Interferenz der Reflexionsstrahlung 7 und der Austrittsstrahlung 8 zu erhalten.
  • Auch das mit Bezug auf 9 beschriebene Messverfahren gliedert sich in die Verfahrensschritte des Verfahrensablaufs 15. Dieses Verfahren ist insbesondere mit Messvorrichtungen, welche äquivalent zu den Messvorrichtungen 10, 22 sind, durchführbar. Hierfür müssen die Sender Si und Empfänger Ei zum Senden beziehungsweise Empfangen von gepulster beziehungsweise quasi-kontinuierlicher Strahlung 4, 7, 8 ausgelegt sein.
  • In einem weiteren Ausführungsbeispiel wird die elektromagnetische Strahlung 4 in jedem Messschritt Mi phasenmoduliert auf das Objekt 1 eingestrahlt. Das Messprinzip ist in 10 dargestellt. Identische Komponenten, Parameter und Verfahrensschritte tragen die gleichen Bezugszeichen wie in den unter Bezug auf die 1 bis 9 beschriebenen Ausführungsbeispiele, auf die hiermit verwiesen wird.
  • Der Sender Si umfasst einen Oszillator 24, mit welchem eine kontinuierliche Strahlung 28 mit fester Mittenfrequenz ωM erzeugt wird. In einem Phasenmodulator 25 wird der kontinuierlichen Strahlung 28 ein Modulationscode 26 aufmoduliert. Der Modulationscode 26 wird an den Phasenmodulator 25 von der dem Sender Si zugeordneten Steuerungs- und Datenverarbeitungseinheit 12 übermittelt. Der Phasenmodulator 25 moduliert eine Phase φ der eingestrahlten elektromagnetischen Strahlung 4 gemäß einer Funktion φi(t) über die Zeit t. In dem dargestellten Ausführungsbeispiel wird die Phase φ gemäß dem binären Modulationscode 26 moduliert, indem bei einem Wechsel von 0 auf 1 oder umgekehrt jeweils ein Phasensprung von π verursacht wird. Die resultierende elektromagnetische Strahlung 4 ist in 10 beispielhaft gezeigt. Die phasenmodulierte elektromagnetische Strahlung 4 wird auf das Objekt 1 eingestrahlt und die von den Grenzflächen 2, 3 des Objekts 1 ausgehende Sekundärstrahlung 7, 8 durch den Empfänger Ei detektiert. Die detektierte Sekundärstrahlung 7, 8 wird durch einen Phasendemodulator 27 in ein Messsignal A über die Zeit t decodiert. Hierzu wird der Phasendemodulator 27 ebenfalls mit dem Modulationscode 26 gespeist. Das decodierte Messsignal Ai(t) entspricht einem Pulsdiagramm, wie es bei der obig beschriebenen gepulsten Messung erhalten wird. Das Pulsdiagramm im Zeitbereich wird durch Fourier-Transformation in das Messsignal Ai im Frequenzraum überführt. Das im Messschritt Mi abgedeckte Frequenzband Fi ist invers proportional zu der zeitlichen Länge tcode des Modulationscodes 26, welcher eine Periodendauer des Modulationscodes 26 darstellt.
  • Das weitere Vorgehen ist analog zu dem oben unter Verweis auf die 9 beschriebenen Messverfahren mit gepulster elektromagnetischer Strahlung 4. In verschiedenen Messschritten Mi werden Messsignale Ai um verschiedene von den Oszillatoren 24 erzeugten Mittenfrequenzen ωM erzeugt und ist nach Durchführung aller Messschritte Mi zusammengeführt, indem die Messsignale Ai über die Frequenz f aufgetragen, das Auswertesignal |A0| gefittet und die Grundfrequenz ω0 ermittelt.
  • Alle oben diskutierten Messverfahren zeichnen sich dadurch aus, dass ein mit elektromagnetischer Strahlung 4 großer Bandbreite B ermitteltes Messergebnis durch mindestens zwei Messschritte Mi , welche ein schmales Frequenzband Fi abdecken, rekonstruiert werden kann. In weiteren nicht explizit dargestellten Ausführungsbeispielen werden daher auch verschiedene der oben beschriebenen Ausführungsbeispiele kombiniert. So kann beispielsweise vorgesehen sein, die elektromagnetische Strahlung 4 in einem Messschritt M1 frequenzmoduliert und in den weiten Messschritten Mi phasenmoduliert auf das Objekt 1 einzustrahlen. Die verschiedenen Ausführungsbeispiele können für unterschiedliche Messschritte Mi beliebig kombiniert werden.
  • Das Messverfahren 15 und die Messvorrichtungen 10, 22 sind für die Messung der Schichtdicke d mittels Reflexionsmessung ausgelegt. Alternativ kann auch eine Transmissionsmessung durchgeführt werden. Hierbei durchläuft die Sekundärstrahlung das Objekt 1 nur einmal. Die Sekundärstrahlung kann mit einer Referenzstrahlung, welche das Objekt 1 nicht durchläuft, überlagert werden, um somit das Messsignal Ai eines jeden Messschritts Mi zu bestimmen. In diesem Fall müssen die Formeln (2) und (6) für die Bandbreite B beziehungsweise den Frequenzbereich Δf entsprechend angepasst werden.

Claims (15)

  1. Verfahren zur Messung einer Schichtdicke (d) eines Objekts (1), umfassend die folgenden Schritte: - Bereitstellen eines Objekts (1), welches zwei um eine Schichtdicke (d) beabstandete Grenzflächen (2, 3) aufweist, - Durchführen mindestens zweier Messschritte (Mi), wobei jeweils -- elektromagnetische Strahlung (4) mit Frequenzen (f) in einem dem jeweiligen Messschritt (Mi) zugeordneten Frequenzband (Fi) von jeweils einem von mehreren Sendern (Si) auf das Objekt (1) eingestrahlt wird, wobei die Frequenzbänder (Fi) der einzelnen Messschritte (Mi) unterschiedliche Teilbereiche einer Bandbreite B sind, und -- von den Grenzflächen (2, 3) des Objekts (1) ausgehende Sekundärstrahlung (7, 8) detektiert und ein Messsignal (Ai; |Ai|) ermittelt wird, - Zusammenführen der Messsignale (Ai; |Ai|) der Messschritte (Mi) gemäß der jeweiligen Frequenzbänder (Fi) zu einem Auswertesignal (A0; |A0|), und - Bestimmung einer Grundfrequenz (ω0) des Auswertesignals (Ao; |Ao|) zur Errechnung der Schichtdicke (d).
  2. Verfahren nach Anspruch 1, dadurch gekennzeichnet, dass die elektromagnetische Strahlung (4) in mindestens einem der Messschritte (Mi) gepulst auf das Objekt (1) eingestrahlt wird.
  3. Verfahren nach Anspruch 1, dadurch gekennzeichnet, dass die Frequenz (f) der elektromagnetische Strahlung (4) in mindestens einem der Messschritte (Mi) gemäß einer Funktion (fi(t)) über eine Zeit (t) moduliert wird, wobei die Funktion (fi(t)) das Frequenzband (Fi) des jeweiligen Messschritts (Mi) auf ein Zeitfenster (Ti) abbildet.
  4. Verfahren nach Anspruch 1, dadurch gekennzeichnet, dass in mindestens einem der Messschritte (Mi) eine Phase (φ) der eingestrahlten elektromagnetischen Strahlung (4) gemäß einer Funktion (φi(t)) über die Zeit (t) moduliert wird.
  5. Verfahren nach einem der vorgenannten Ansprüche, dadurch gekennzeichnet, dass die Frequenzbänder (Fi) der einzelnen Messschritte (Mi) überlappungsfrei sind.
  6. Verfahren nach einem der vorgenannten Ansprüche, dadurch gekennzeichnet, dass die Bandbreite B um eine Bandbreiten-Mittenfrequenz (fM) im Bereich von 50 GHz bis 1500 GHz, vorzugweise um eine Bandbreiten-Mittenfrequenz von 1000 GHz, definiert ist.
  7. Verfahren nach einem der vorgenannten Ansprüche, dadurch gekennzeichnet, dass für die Bandbreite B gilt: B c  cos  e 2   d m i n   n   ,
    Figure DE102017207648B4_0014
    wobei c die Lichtgeschwindigkeit, n der Brechungsindex des Objekts (1), e ein Ausbreitungswinkel, unter welchem die elektromagnetischen Strahlung (4) sich in dem Objekt (1) ausbreitet, und dmin die kleinste zu messende Schichtdicke (d) ist.
  8. Verfahren nach einem der vorgenannten Ansprüche, dadurch gekennzeichnet, dass für jeden Frequenzbereich Δf, welcher innerhalb der Bandbreite B zu keinem Frequenzband (Fi) eines Messschritts (Mi) gehört, gilt, Δ f < c  cos  e 2   d m a x   n   .
    Figure DE102017207648B4_0015
    wobei c die Lichtgeschwindigkeit, n der Brechungsindex des Objekts (1), e ein Ausbreitungswinkel, unter welchem die elektromagnetischen Strahlung (4) sich in dem Objekt (1) ausbreitet, und dmax die größte zu messende Schichtdicke (d) ist.
  9. Verfahren nach einem der vorgenannten Ansprüche, dadurch gekennzeichnet, dass zur Durchführung jedes Messschritts (Mi) je ein Sender (Si) zur Abstrahlung der elektromagnetischen Strahlung (4) in dem jeweiligen Frequenzband (Fi) und je ein Empfänger (Ei) für die Sekundärstrahlung (7, 8) vorgesehen sind.
  10. Verfahren nach Anspruch 9, dadurch gekennzeichnet, dass die Sender (Si) vor der Messung kalibriert werden.
  11. Verfahren nach Anspruch 9 oder 10, dadurch gekennzeichnet, dass die Sender (Si) synchronisiert angesteuert werden.
  12. Vorrichtung zur Messung der Schichtdicke (d) eines Objekts (1), umfassend: - mindestens zwei Sender (Si) zur Abstrahlung von elektromagnetischer Strahlung (4) mit Frequenzen (f) in je einem festgelegten Frequenzband (Fi), wobei die Frequenzbänder (Fi) der einzelnen Sender (Si) unterschiedliche Teilbereiche einer Bandbreite B sind, - mindestens einen Empfänger (Ei) für elektromagnetische Strahlung (4) mit Frequenzen (f) innerhalb der Bandbreite B, und - eine Auswerteelektronik (13), wobei die Auswerteelektronik (13) für die Durchführung eines Messverfahrens mit den folgenden Schritten ausgelegt ist: - Durchführen eines Messschritts (Mi) je Sender (Si), wobei jeweils -- mittels des jeweiligen Senders (Si) elektromagnetische Strahlung (4) in dem jeweiligen Frequenzband (Fi) auf ein Objekt (1) eingestrahlt wird, -- Sekundärstrahlung (7, 8), welche von zwei um eine Schichtdicke (d) beabstandete Grenzflächen (2, 3) des Objekts (1) ausgeht, mit dem Empfänger (Ei) als Messsignal (Ai; |Ai|) detektiert wird, und - Zusammenführen der Messsignale (Ai; |Ai|) der Messschritte (Mi) gemäß der jeweiligen Frequenzbänder (Fi) zu einem Auswertesignal (A0; |A0|), und - Bestimmung einer Grundfrequenz (ω0) des Auswertesignals (Ao; |A0|) zur Errechnung der Schichtdicke (d).
  13. Vorrichtung nach Anspruch 12, dadurch gekennzeichnet, dass die Sender (Si) über eine Synchronisationseinheit (24) gekoppelt sind.
  14. Vorrichtung nach einem der Ansprüche 12 bis 13, dadurch gekennzeichnet, dass die Auswerteelektronik (13) eine Schnittstelle (14) zur Eingabe von Eigenschaften des Objekts (1), insbesondere von einem Brechungsindex (n), von einer maximalen Schichtdicke (dmax) und/oder von einer minimalen Schichtdicke (dmin), umfasst.
  15. Vorrichtung nach einem der Ansprüche 12 bis 14, gekennzeichnet durch einen modularen Aufbau, insbesondere zur Anpassung der Anzahl der Sender (Si) und Empfänger (Ei) an die Bandbreite B.
DE102017207648.8A 2017-05-05 2017-05-05 Verfahren und Vorrichtung zur Messung einer Schichtdicke eines Objekts Active DE102017207648B4 (de)

Priority Applications (7)

Application Number Priority Date Filing Date Title
DE102017207648.8A DE102017207648B4 (de) 2017-05-05 2017-05-05 Verfahren und Vorrichtung zur Messung einer Schichtdicke eines Objekts
CN201880029441.0A CN110914635B (zh) 2017-05-05 2018-05-02 用于测量物体的层厚的方法和设备
GB1915726.2A GB2576838B (en) 2017-05-05 2018-05-02 Method and device for measuring a layer thickness of an object
JP2020512078A JP7058321B2 (ja) 2017-05-05 2018-05-02 対象物の層の厚さを測定するための方法及び装置
PCT/EP2018/061182 WO2018202696A1 (de) 2017-05-05 2018-05-02 Verfahren und vorrichtung zur messung einer schichtdicke eines objekts
CA3062502A CA3062502C (en) 2017-05-05 2018-05-02 Method and device for measuring a layer thickness of an object
US16/610,723 US11408733B2 (en) 2017-05-05 2018-05-02 Method and device for measuring a layer thickness of an object

Applications Claiming Priority (1)

Application Number Priority Date Filing Date Title
DE102017207648.8A DE102017207648B4 (de) 2017-05-05 2017-05-05 Verfahren und Vorrichtung zur Messung einer Schichtdicke eines Objekts

Publications (2)

Publication Number Publication Date
DE102017207648A1 DE102017207648A1 (de) 2018-11-08
DE102017207648B4 true DE102017207648B4 (de) 2019-08-22

Family

ID=62116415

Family Applications (1)

Application Number Title Priority Date Filing Date
DE102017207648.8A Active DE102017207648B4 (de) 2017-05-05 2017-05-05 Verfahren und Vorrichtung zur Messung einer Schichtdicke eines Objekts

Country Status (7)

Country Link
US (1) US11408733B2 (de)
JP (1) JP7058321B2 (de)
CN (1) CN110914635B (de)
CA (1) CA3062502C (de)
DE (1) DE102017207648B4 (de)
GB (1) GB2576838B (de)
WO (1) WO2018202696A1 (de)

Cited By (1)

* Cited by examiner, † Cited by third party
Publication number Priority date Publication date Assignee Title
EP4428487A1 (de) 2023-03-06 2024-09-11 Sikora Ag Vorrichtung und verfahren zum bestimmen der wanddicke eines gegenstandes

Families Citing this family (6)

* Cited by examiner, † Cited by third party
Publication number Priority date Publication date Assignee Title
DE102018128962A1 (de) * 2018-11-19 2020-05-20 Rheinmetall Waffe Munition Gmbh Verfahren zur Bestimmung der Position eines Objektes, Vorrichtung zur Bestimmung der Position eines Objektes und System
DE102018131370A1 (de) * 2018-12-07 2020-06-10 INOEX GmbH Innovationen und Ausrüstungen für die Extrusionstechnik Messsystem und Verfahren zur Vermessung eines Messobjektes, insbesondere eines Kunststoff-Profils
CN112654894B (zh) * 2020-06-30 2022-07-12 华为技术有限公司 一种雷达探测方法及相关装置
DE102020127387A1 (de) * 2020-10-16 2022-04-21 Helmut Fischer GmbH Institut für Elektronik und Messtechnik Verfahren und Vorrichtung zum Verarbeiten von mit einem eine Ausbreitung von Terahertz-Strahlung charakterisierenden Modell assoziierten Daten
DE102021125196A1 (de) 2021-09-29 2023-03-30 CiTEX Holding GmbH THz-Messvorrichtung und Verfahren zum Vermessen eines Messobjektes
DE102022105479B3 (de) 2022-03-09 2023-08-03 Sikora Aktiengesellschaft Vorrichtung und Verfahren zum Bestimmen von Dimensionsdaten eines Objekts

Citations (1)

* Cited by examiner, † Cited by third party
Publication number Priority date Publication date Assignee Title
US20150268218A1 (en) 2013-03-14 2015-09-24 Robert Ernest Troxler Systems and methods for asphalt density and soil moisture measurements using ground penetrating radar

Family Cites Families (14)

* Cited by examiner, † Cited by third party
Publication number Priority date Publication date Assignee Title
DE3113025A1 (de) * 1981-04-01 1982-10-21 Battelle-Institut E.V., 6000 Frankfurt "verfahren und vorrichtung zur dickenkontrolle bzw.-messung von materialschichten"
US5289266A (en) * 1989-08-14 1994-02-22 Hughes Aircraft Company Noncontact, on-line determination of phosphate layer thickness and composition of a phosphate coated surface
JP3606257B2 (ja) * 2001-12-25 2005-01-05 三菱電機株式会社 ドップラーレーダー装置
US7339682B2 (en) * 2005-02-25 2008-03-04 Verity Instruments, Inc. Heterodyne reflectometer for film thickness monitoring and method for implementing
GB0506209D0 (en) * 2005-03-29 2005-05-04 Qinetiq Ltd Coherent frequency modulated continuous wave radar
JP2007040763A (ja) * 2005-08-01 2007-02-15 Toyota Motor Corp 加速度センサの補正装置
CN101334269A (zh) * 2008-08-06 2008-12-31 北京航空航天大学 多层介质材料多参量测量方法与系统
US8144334B2 (en) * 2009-09-29 2012-03-27 The United States Of America As Represented By The Secretary Of The Army Fiber-optic, digital system for laser Doppler vibrometers (LDVs)
WO2012009617A2 (en) * 2010-07-16 2012-01-19 Luminex Corporation Methods, storage mediums, and systems for analyzing particle quantity and distribution within an imaging region of an assay analysis system and for evaluating the performance of a focusing routing performed on an assay analysis system
EP2620741A1 (de) * 2012-01-24 2013-07-31 Johann Hinken Verfahren zum Messen der Dicke einer Beschichtung
JP5062921B1 (ja) * 2012-05-01 2012-10-31 株式会社ウオールナット 空洞厚推定方法及びその装置
DE102013223945A1 (de) * 2013-11-22 2015-05-28 Inoex Gmbh Messvorrichtung und Verfahren zur Vermessung von Prüfobjekten
CN103940354B (zh) * 2014-05-15 2017-01-04 黑龙江大学 线性调频多光束激光外差测量玻璃厚度的装置及方法
CN104180762A (zh) * 2014-09-09 2014-12-03 东莞理工学院 基于太赫兹时域光谱技术的厚度检测方法

Patent Citations (1)

* Cited by examiner, † Cited by third party
Publication number Priority date Publication date Assignee Title
US20150268218A1 (en) 2013-03-14 2015-09-24 Robert Ernest Troxler Systems and methods for asphalt density and soil moisture measurements using ground penetrating radar

Cited By (2)

* Cited by examiner, † Cited by third party
Publication number Priority date Publication date Assignee Title
EP4428487A1 (de) 2023-03-06 2024-09-11 Sikora Ag Vorrichtung und verfahren zum bestimmen der wanddicke eines gegenstandes
WO2024183972A1 (de) 2023-03-06 2024-09-12 Sikora Ag Vorrichtung und verfahren zum bestimmen der wanddicke eines gegenstandes

Also Published As

Publication number Publication date
JP2020518838A (ja) 2020-06-25
CN110914635A (zh) 2020-03-24
WO2018202696A1 (de) 2018-11-08
DE102017207648A1 (de) 2018-11-08
US20210156683A1 (en) 2021-05-27
GB2576838B (en) 2022-04-27
CA3062502C (en) 2023-04-25
CA3062502A1 (en) 2018-11-08
US11408733B2 (en) 2022-08-09
CN110914635B (zh) 2022-01-28
GB2576838A (en) 2020-03-04
JP7058321B2 (ja) 2022-04-21
GB201915726D0 (en) 2019-12-11

Similar Documents

Publication Publication Date Title
DE102017207648B4 (de) Verfahren und Vorrichtung zur Messung einer Schichtdicke eines Objekts
EP2629113B1 (de) Radarsystem mit anordnungen und verfahren zur entkopplung von sende- und empfangssignalen sowie unterdrückung von störeinstrahlungen
DE102015100804B4 (de) Radarvorrichtung mit Rauschunterdrückung
DE19922411A1 (de) Radarverfahren zur Messung von Abständen und Relativgeschwindigkeiten zwischen einem Fahrzeug und einem oder mehreren Hindernissen
EP0965052B1 (de) Verfahren zum betrieb eines sensorsystems und sensorsystem
EP2128560A1 (de) Interferometrisches Distanzmessverfahren mit spektral trennbarem Doppelchirp und ebensolche Vorrichtung
DE102015107419A1 (de) Radarvorrichtung
EP2824427A1 (de) Bestimmung einer Distanz und einer Fließgeschwindigkeit eines Mediums
EP3581962A1 (de) Dual-beam fmcw distanzmessverfahren mit kompensation eines geschwindigkeitsabhängigen distanzmessfehlers
DE69310004T2 (de) Verfahren und Vorrichtung zur Feststellung des Erreichens eines vorausbestimmten Abstandes eines Punktreflektors mittels der Laufzeit einer kontinuierlichen Welle
WO2021013680A2 (de) Radargerät
EP2440949B1 (de) Verfahren und vorrichtung zur messung einer entfernungsänderung
EP1825293B1 (de) Elektronisches messverfahren
EP4160139A1 (de) Thz-messvorrichtung und verfahren zum vermessen eines messobjektes
DE69211188T2 (de) Optische Abstandsmessvorrichtung
EP1763653B1 (de) Verfahren und vorrichtung zur materialstärkenbestimmung auf hochfrequenzbasis
EP4105679A2 (de) Radarmesseinrichtung und -verfahren mit abgespeicherten reflektoridentitätsangaben
DE102019008595B4 (de) Verfahren zur Bestimmung von Kenngrößen von dielektrischen Schichten
EP3009858A1 (de) Wolkenradar
DE102018201735B4 (de) Vorrichtung und Verfahren zum Ermitteln eines Abstandes eines bewegten Objekts
EP3017323B1 (de) Verfahren und vorrichtungen zur bestimmung der entfernung eines objektes
WO2006117125A1 (de) Verfahren und vorrichtung zur bestimmung eines abstands zu einem zielobjekt
DE102017207635B3 (de) Verfahren und Vorrichtung zur Messung einer Schichtdicke eines Objekts
EP3255464B1 (de) Empfängerschaltung für eine mikrowellenschranke
EP1524534B1 (de) Optischer Sensor

Legal Events

Date Code Title Description
R012 Request for examination validly filed
R016 Response to examination communication
R018 Grant decision by examination section/examining division
R081 Change of applicant/patentee

Owner name: INOEX GMBH, DE

Free format text: FORMER OWNER: SKZ-KFE GGMBH, 97076 WUERZBURG, DE

R082 Change of representative

Representative=s name: ADVOPAT PATENT- UND RECHTSANWAELTE, DE

R020 Patent grant now final