CN111446868B - 一种自耦电力电子变压器电路拓扑及其控制方法 - Google Patents
一种自耦电力电子变压器电路拓扑及其控制方法 Download PDFInfo
- Publication number
- CN111446868B CN111446868B CN202010375938.7A CN202010375938A CN111446868B CN 111446868 B CN111446868 B CN 111446868B CN 202010375938 A CN202010375938 A CN 202010375938A CN 111446868 B CN111446868 B CN 111446868B
- Authority
- CN
- China
- Prior art keywords
- conversion module
- power conversion
- voltage
- coordinate system
- bridge arm
- Prior art date
- Legal status (The legal status is an assumption and is not a legal conclusion. Google has not performed a legal analysis and makes no representation as to the accuracy of the status listed.)
- Active
Links
- 238000000034 method Methods 0.000 title claims abstract description 13
- 238000006243 chemical reaction Methods 0.000 claims abstract description 112
- 230000001360 synchronised effect Effects 0.000 claims abstract description 61
- 239000013598 vector Substances 0.000 claims description 34
- 230000009466 transformation Effects 0.000 claims description 18
- 239000003990 capacitor Substances 0.000 claims description 16
- 238000011217 control strategy Methods 0.000 claims description 12
- 230000033228 biological regulation Effects 0.000 claims description 10
- 230000003068 static effect Effects 0.000 claims description 6
- 230000006641 stabilisation Effects 0.000 claims description 4
- 238000011105 stabilization Methods 0.000 claims description 4
- 238000000819 phase cycle Methods 0.000 claims description 3
- 230000001131 transforming effect Effects 0.000 claims description 3
- 230000009977 dual effect Effects 0.000 claims 1
- 238000010168 coupling process Methods 0.000 abstract description 23
- 238000005859 coupling reaction Methods 0.000 abstract description 23
- 239000004576 sand Substances 0.000 description 6
- 230000005540 biological transmission Effects 0.000 description 5
- 238000010586 diagram Methods 0.000 description 2
- 239000011159 matrix material Substances 0.000 description 2
- 230000009286 beneficial effect Effects 0.000 description 1
- 230000007547 defect Effects 0.000 description 1
- 230000000694 effects Effects 0.000 description 1
- 238000005516 engineering process Methods 0.000 description 1
- 230000006855 networking Effects 0.000 description 1
Images
Classifications
-
- H—ELECTRICITY
- H02—GENERATION; CONVERSION OR DISTRIBUTION OF ELECTRIC POWER
- H02M—APPARATUS FOR CONVERSION BETWEEN AC AND AC, BETWEEN AC AND DC, OR BETWEEN DC AND DC, AND FOR USE WITH MAINS OR SIMILAR POWER SUPPLY SYSTEMS; CONVERSION OF DC OR AC INPUT POWER INTO SURGE OUTPUT POWER; CONTROL OR REGULATION THEREOF
- H02M5/00—Conversion of AC power input into AC power output, e.g. for change of voltage, for change of frequency, for change of number of phases
- H02M5/40—Conversion of AC power input into AC power output, e.g. for change of voltage, for change of frequency, for change of number of phases with intermediate conversion into DC
- H02M5/42—Conversion of AC power input into AC power output, e.g. for change of voltage, for change of frequency, for change of number of phases with intermediate conversion into DC by static converters
- H02M5/44—Conversion of AC power input into AC power output, e.g. for change of voltage, for change of frequency, for change of number of phases with intermediate conversion into DC by static converters using discharge tubes or semiconductor devices to convert the intermediate DC into AC
- H02M5/453—Conversion of AC power input into AC power output, e.g. for change of voltage, for change of frequency, for change of number of phases with intermediate conversion into DC by static converters using discharge tubes or semiconductor devices to convert the intermediate DC into AC using devices of a triode or transistor type requiring continuous application of a control signal
- H02M5/458—Conversion of AC power input into AC power output, e.g. for change of voltage, for change of frequency, for change of number of phases with intermediate conversion into DC by static converters using discharge tubes or semiconductor devices to convert the intermediate DC into AC using devices of a triode or transistor type requiring continuous application of a control signal using semiconductor devices only
-
- H—ELECTRICITY
- H02—GENERATION; CONVERSION OR DISTRIBUTION OF ELECTRIC POWER
- H02J—CIRCUIT ARRANGEMENTS OR SYSTEMS FOR SUPPLYING OR DISTRIBUTING ELECTRIC POWER; SYSTEMS FOR STORING ELECTRIC ENERGY
- H02J3/00—Circuit arrangements for AC mains or AC distribution networks
- H02J3/18—Arrangements for adjusting, eliminating or compensating reactive power in networks
- H02J3/1807—Arrangements for adjusting, eliminating or compensating reactive power in networks using series compensators
-
- H—ELECTRICITY
- H02—GENERATION; CONVERSION OR DISTRIBUTION OF ELECTRIC POWER
- H02J—CIRCUIT ARRANGEMENTS OR SYSTEMS FOR SUPPLYING OR DISTRIBUTING ELECTRIC POWER; SYSTEMS FOR STORING ELECTRIC ENERGY
- H02J3/00—Circuit arrangements for AC mains or AC distribution networks
- H02J3/36—Arrangements for transfer of electric power between AC networks via a high-tension DC link
-
- Y—GENERAL TAGGING OF NEW TECHNOLOGICAL DEVELOPMENTS; GENERAL TAGGING OF CROSS-SECTIONAL TECHNOLOGIES SPANNING OVER SEVERAL SECTIONS OF THE IPC; TECHNICAL SUBJECTS COVERED BY FORMER USPC CROSS-REFERENCE ART COLLECTIONS [XRACs] AND DIGESTS
- Y02—TECHNOLOGIES OR APPLICATIONS FOR MITIGATION OR ADAPTATION AGAINST CLIMATE CHANGE
- Y02E—REDUCTION OF GREENHOUSE GAS [GHG] EMISSIONS, RELATED TO ENERGY GENERATION, TRANSMISSION OR DISTRIBUTION
- Y02E40/00—Technologies for an efficient electrical power generation, transmission or distribution
- Y02E40/30—Reactive power compensation
-
- Y—GENERAL TAGGING OF NEW TECHNOLOGICAL DEVELOPMENTS; GENERAL TAGGING OF CROSS-SECTIONAL TECHNOLOGIES SPANNING OVER SEVERAL SECTIONS OF THE IPC; TECHNICAL SUBJECTS COVERED BY FORMER USPC CROSS-REFERENCE ART COLLECTIONS [XRACs] AND DIGESTS
- Y02—TECHNOLOGIES OR APPLICATIONS FOR MITIGATION OR ADAPTATION AGAINST CLIMATE CHANGE
- Y02E—REDUCTION OF GREENHOUSE GAS [GHG] EMISSIONS, RELATED TO ENERGY GENERATION, TRANSMISSION OR DISTRIBUTION
- Y02E60/00—Enabling technologies; Technologies with a potential or indirect contribution to GHG emissions mitigation
- Y02E60/60—Arrangements for transfer of electric power between AC networks or generators via a high voltage DC link [HVCD]
Landscapes
- Engineering & Computer Science (AREA)
- Power Engineering (AREA)
- Inverter Devices (AREA)
Abstract
本发明涉及一种自耦电力电子变压器电路拓扑及其控制方法,所述自耦电力电子变压器电路拓扑包括6条桥臂电力变换模块组(100)和6条同步串联补偿电力变换模块组(200),所述6条桥臂电力变换模块组(100)首尾端依次连接,形成六边形电路接线,桥臂电力变换模块组(100)首尾相接处为连接端;所述6条同步串联补偿电力变换模块组(200)的一端分别连接所述6个连接端,所述6条同步串联补偿电力变换模块组(200)的另一端按照顺序交错接入原方三相(300)和副方三相(400)。该电路拓扑及其控制方法可控性强,适应性强,效率高。
Description
技术领域
本发明涉及电力电子控制领域,具体涉及一种含同步串联补偿环节的自耦电力电子变压器电路拓扑及其控制方法。
背景技术
传统电力变压器承担电压变换和功率输送等作用,广泛应用在电力系统中。传统电力变压器具有效率高、经济性好、可靠性高、结构简单等特点,但是存在明显缺点,如空载损耗大、输送功率不可控、电能质量不可控、交流电频率不可调和调压困难等。例如,中国台湾地区电网额定频率为60Hz,而中国大陆则为50Hz,传统电力变压器无法实现闽台电力系统互联互通,须采取变频措施;由于南方电网和国家电网辖区内电力系统是同频交流异步的超大规模电力系统,所以闽粤电力系统交流同步联网困难。
目前柔性直流输电、直流背靠背输电、电力电子变压器等可实现变频的技术可以解决上述问题,并已经在电网中应用,但以上技术方案存在电力变换环节复杂、控制系统繁杂问题,多级电力变换还造成系统损耗较大问题;基于六边形变换拓扑的自耦电力电子变压器在满足交流电力直接变换功能的同时,还可以最大程度上简化系统,降低系统成本和运行损耗。然而,基于六边形变换拓扑的自耦电力电子变压器正常运行时必须满足严格的无功约束条件,否则将增加内部环流和系统损耗,不能满足对无功功率灵活控制要求。
发明内容
本发明的目的在于提供一种自耦电力电子变压器电路拓扑及其控制方法,可控性强,适应性强,效率高。
为实现上述目的,本发明采用的技术方案是:一种自耦电力电子变压器电路拓扑,包括6条桥臂电力变换模块组(100)和6条同步串联补偿电力变换模块组(200),所述6条桥臂电力变换模块组(100)首尾端依次连接,形成六边形电路接线,桥臂电力变换模块组(100)首尾相接处为连接端;所述6条同步串联补偿电力变换模块组(200)的一端分别连接所述6个连接端,所述6条同步串联补偿电力变换模块组(200)的另一端按照顺序交错接入原方三相(300)和副方三相(400)。
进一步地,所述桥臂电力变换模块组(100)由桥臂电抗器(110)和N个H桥变换器模块(120)串联组成,所述同步串联补偿电力变换模块组(200)由串联电抗器(210)和M个H桥变换器模块(220)串联组成,N和M均为大于等于1的整数。
进一步地,按如下步骤建立自耦电力电子变压器的三相静止坐标系模型及控制系统模型:
步骤S11:建立自耦电力电子变压器的三相静止坐标系模型;
步骤S12:原副方三相频率解耦变换;
步骤S13:将三相静止坐标系变换成同步旋转坐标系dq0的频率解耦的电压和电流关系;
步骤S14:建立自耦电力电子变压器的频率解耦的前馈解耦控制系统模型。
进一步地,所述步骤S11具体为:根据基尔霍夫电压和电流定律,各电压和电流满足如下关系:
iLA+iLB+iLC=iLu+iLv+iLw=0 (5)
其中,下标H表示该变量位于六边形变换器桥臂上,uH1、uH2、uH3、uH4、uH5、uH6分别为6条桥臂电力变换模块组(100)中N个串联H桥变换器模块(120)端口基波电压向量;iH1、iH2、iH3、iH4、iH5、iH6分别流经6条桥臂电力变换模块组(100)电流向量;LH为桥臂电力变换模块组等效电感,rH为桥臂电力变换模块组等效电感的内阻;下标L表示该变量位于同步串联补偿变换桥臂上,uLA、uLB、uLC以及uLu、uLv、uLw分别为6条同步串联补偿电力变换模块组(200)中M个串联H桥变换器模块(220)端口基波电压向量;iLA、iLB、iLC以及iLu、iLv、iLw分别流经6条同步串联补偿电力变换模块组(200)电流向量;LL为同步串联补偿电力变换模块组等效电感,rL为同步串联补偿电力变换模块组等效电感的内阻;uAN、uBN、uCN和uun、uvn、uwn分别为原方和副方交流系统相电压向量;uHA、uHB、uHC、uHu、uHv、uHw分别为6条桥臂电力变换模块组(100)首尾相接组成的六边形接线的接线端点位置的电压向量,并与所在的原方和副方交流系统相序对应。
进一步地,所述步骤S12具体为:原方和副方电压和电流频率互不关联,原方和副方电压和电流的工作频率分别定义为原方频率和副方频率,下标分别为-fp和-fs;
桥臂电力变换模块组(100)组成的六边形变换器的三相频率解耦得到:
同步串联补偿电力变换模块组(200)内电压和电流仅含有所在原方或副方频率分量,表示为:
进一步地,所述步骤S13具体为:原方和副方的等功率坐标变换矩阵Cp和Cs分别为:
基于式(8)、式(9),推导dq0坐标系下频率解耦的电压和电流关系,如下式所示:
上式中,uHpd、uHpq和uHp0为uHA、uHB和uHC在dq0坐标系下的电压;uHsd、uHsq和uHs0为uHu、uHv和uHw在dq0坐标系下的电压;uLpd、uLpq和uLp0为uLA、uLB和uLC在dq0坐标系下的电压;uLsd、uLsq和uLs0为uLu、uLv和uLw在dq0坐标系下的电压;iHXd、iHXq和iHX0为iH1、iH3和iH5在dq0坐标系下的电流;iHYd、iHYq和iHY0为iH2、iH4和iH6在dq0坐标系下的电流;uHXd、uHXq和uHX0为uH1、uH3和uH5在dq0坐标系下的电流;uHYd、uHYq和uHY0为uH2、uH4和uH6在dq0坐标系下的电流;iLpd、iLpq和iLp0为iLA、iLB和iLC在dq0坐标系下的电流;iLsd、iLsq和iLs0为iLu、iLv和iLw在dq0坐标系下的电流;upd、upq和up0为uAN、uBN和uCN在dq0坐标系下的电压;usd、usq和us0为uun、uvn和uwn在dq0坐标系下的电压;下标-fp表示上述电压和电流是以原方频率进行的dq0坐标变换,下标-fs表示上述电压和电流是以副方频率进行的dq0坐标变换;上式中:
其频率解耦的电压和电流存在如下式的等式关系:
不考虑0序分量,频率解耦的双dq模型描述为:
上式中,p为微分算子;原方交流系统的电压和电流中不含副方频率分量,反之亦然;
基于公式(3)和(4)推导dq0坐标系下的频率解耦的电流关系,如下式所示:
上式中:
不考虑0序分量,求解上式(16),并且原副方电流不含对侧的频率分量,得到:
进一步地,所述步骤S14具体为:建立自耦电力电子变压器的频率解耦的前馈解耦控制策略;
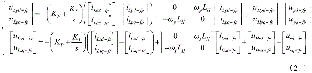
将式(18)和(19)代入(14),得到:
将式(21)代入(15),得到:
式(20)和式(22)表明,式(19)和式(21)使其电流内环实现解耦控制。
本发明还提供了一种自耦电力电子变压器电路拓扑的控制方法,包括以下步骤:
步骤S21:确定原副方控制模式,即确定其中一侧为直流电容电压稳定控制模式,另一侧可设置为恒功率控制模式;当原方设置为直流电容电压稳定控制模式,副方设置为恒功率控制模式时,原方交换的有功和无功功率分别为Pp和Qp,副方交换的有功和无功功率分别为Ps和Qs,其中原副方交换的有功功率相等、方向相反,即Pp=-Ps;
步骤S22:获取直流电容电压与标准值的偏差,得到原方有功功率控制指令值iLpd-fp*;根据原方交换的无功功率Qp,设定原方无功功率控制指令值iLpq-fp*;根据副方交换的有功功率Ps和无功功率Qs,设定副方有功和无功功率控制指令值iLsd-fs*和iLsq-fs*;
步骤S23:根据式(17)计算桥臂电流控制指令值iHXd-fp,iHXq-fp,iHXd-fs,iHXq-fs,iHYd-fp,iHYq-fp,iHYd-fs,iHYq-fs;
步骤S24:原副方的同步串联补偿电力变换模块组(200)运行于STATCOM模式,仅产生无功功率QLp和QLs,吸收的有功功率PLp和PLs仅用于维持H桥变换器模块直流电容电压在额定;获取其直流电容电压与标准值的偏差,设定其有功功率控制指令值iLpd-fp*和iLsd-fs*;根据其交换的无功功率QLp和QLs,设定其无功功率控制指令值iLpq-fp*和iLsq-fs*;
步骤S26:建立6条桥臂电力变换模块组的无功功率约束条件;6条桥臂电力变换模块组(100)首尾相接组成六边形变换器,原副方满足严格的无功约束条件,即原副方无功功率和有功功率严格相等,如下式所示;
步骤S27:联立式(11)、式(12)以及式(23),求解桥臂电力变换模块组(100)端点电压uHpd-fp,uHpq-fp,uHsd-fs,uHsq-fs;
与现有技术相比,本发明具有以下有益效果:
1、本发明通过设置同步串联补偿电力变换模块组,解决了采用六边形变换拓扑的自耦电力电子变压器,在正常运行时必须满足严格无功约束的要求,解决了系统内部环流的控制问题。
2、本发明含同步串联补偿环节的自耦电力电子变压器,具有结构简单、原副方有功和无功功率可控性强、频率和电压幅值适应性强、效率高等特点,进一步提高了采用六边形变换拓扑的自耦电力电子变压器的灵活可控性,适用于高压电力系统,特别是高压变频输电系统、高压变频电机控制系统。
附图说明
图1是本发明实施例的自耦电力电子变压器电路拓扑。
图2是本发明实施例中桥臂电力变换模块组和同步串联补偿电力变换模块组。
图3是本发明实施例中自耦电力电子变压器的电路结构示意图。
图4是本发明实施例中系统原方A相的稳态电压和电流向量关系。
具体实施方式
下面结合附图及具体实施例对本发明作进一步的详细说明。
请参照图1,本发明提供了一种含同步串联补偿环节的自耦电力电子变压器电路拓扑,包括6条桥臂电力变换模块组100和6条同步串联补偿电力变换模块组200,所述6条桥臂电力变换模块组100首尾端依次连接,形成六边形电路接线,桥臂电力变换模块组100首尾相接处为连接端;所述6条同步串联补偿电力变换模块组200的一端分别连接所述6个连接端,所述6条同步串联补偿电力变换模块组200的另一端按照顺序交错接入原方三相300和副方三相400,即相邻同步串联补偿电力变换模块组200的另一端分别接入不同方,即原方或副方,形成原副方Y接。
请参照图2,所述桥臂电力变换模块组100由桥臂电抗器110和N个H桥变换器模块120串联组成,所述同步串联补偿电力变换模块组200由串联电抗器210和M个H桥变换器模块220串联组成,N和M均为大于等于1的整数。
本发明按如下步骤建立含同步串联补偿环节的自耦电力电子变压器的三相静止坐标系模型及控制系统模型:
步骤S11:建立自耦电力电子变压器的三相静止坐标系模型。
图3是本实施例中自耦电力电子变压器的电路结构示意图。图中箭头为电压和电流的正方向。该系统为三相对称系统,根据基尔霍夫电压和电流定律,各电压和电流满足如下关系:
iLA+iLB+iLC=iLu+iLv+iLw=0 (5)
其中,下标H表示该变量位于六边形变换器桥臂上,uH1、uH2、uH3、uH4、uH5、uH6分别为6条桥臂电力变换模块组100中N个串联H桥变换器模块120端口基波电压向量;iH1、iH2、iH3、iH4、iH5、iH6分别流经6条桥臂电力变换模块组100电流向量;LH为桥臂电力变换模块组等效电感,rH为桥臂电力变换模块组等效电感的内阻;下标L表示该变量位于同步串联补偿变换桥臂上,uLA、uLB、uLC以及uLu、uLv、uLw分别为6条同步串联补偿电力变换模块组200中M个串联H桥变换器模块220端口基波电压向量;iLA、iLB、iLC以及iLu、iLv、iLw分别流经6条同步串联补偿电力变换模块组200电流向量;LL为同步串联补偿电力变换模块组等效电感,rL为同步串联补偿电力变换模块组等效电感的内阻;uAN、uBN、uCN和uun、uvn、uwn分别为原方和副方交流系统相电压向量;uHA、uHB、uHC、uHu、uHv、uHw分别为6条桥臂电力变换模块组100首尾相接组成的六边形接线的接线端点位置的电压向量,并与所在的原方和副方交流系统相序对应。
步骤S12:原副方三相频率解耦变换。该步骤具体为:
原方和副方电压和电流频率互不关联,原方和副方电压和电流的工作频率分别定义为原方频率和副方频率,下标分别为-fp和-fs;
桥臂电力变换模块组100组成的六边形变换器的三相频率解耦得到:
同步串联补偿电力变换模块组200内电压和电流仅含有所在原方或副方频率分量,表示为:
步骤S13:将三相静止坐标系变换成同步旋转坐标系dq0的频率解耦的电压和电流关系。该步骤具体为:
原方和副方的等功率坐标变换矩阵Cp和Cs分别为:
基于式(8)、式(9),推导dq0坐标系下频率解耦的电压和电流关系,如下式所示:
上式中,uHpd、uHpq和uHp0为uHA、uHB和uHC在dq0坐标系下的电压;uHsd、uHsq和uHs0为uHu、uHv和uHw在dq0坐标系下的电压;uLpd、uLpq和uLp0为uLA、uLB和uLC在dq0坐标系下的电压;uLsd、uLsq和uLs0为uLu、uLv和uLw在dq0坐标系下的电压;iHXd、iHXq和iHX0为iH1、iH3和iH5在dq0坐标系下的电流;iHYd、iHYq和iHY0为iH2、iH4和iH6在dq0坐标系下的电流;uHXd、uHXq和uHX0为uH1、uH3和uH5在dq0坐标系下的电流;uHYd、uHYq和uHY0为uH2、uH4和uH6在dq0坐标系下的电流;iLpd、iLpq和iLp0为iLA、iLB和iLC在dq0坐标系下的电流;iLsd、iLsq和iLs0为iLu、iLv和iLw在dq0坐标系下的电流;upd、upq和up0为uAN、uBN和uCN在dq0坐标系下的电压;usd、usq和us0为uun、uvn和uwn在dq0坐标系下的电压;下标-fp表示上述电压和电流是以原方频率进行的dq0坐标变换,下标-fs表示上述电压和电流是以副方频率进行的dq0坐标变换;上式中:
其频率解耦的电压和电流存在如下式的等式关系:
不考虑0序分量,频率解耦的双dq模型描述为:
上式中,p为微分算子;原方交流系统的电压和电流中不含副方频率分量,反之亦然;
基于公式(3)和(4)推导dq0坐标系下的频率解耦的电流关系,如下式所示:
上式中:
不考虑0序分量,求解上式(16),并且原副方电流不含对侧的频率分量,得到:
步骤S14:建立自耦电力电子变压器的频率解耦的前馈解耦控制系统模型。该步骤具体为:
建立自耦电力电子变压器的频率解耦的前馈解耦控制策略;
将式(18)和(19)代入(14),得到:
将式(21)代入(15),得到:
式(20)和式(22)表明,式(19)和式(21)使其电流内环实现解耦控制。
本发明还提供了上述自耦电力电子变压器电路拓扑的控制方法,包括以下步骤:
步骤S21:确定原副方控制模式;为保证H桥变换器模块直流电容电压保持在额定,原副方需要确定其中一侧为直流电容电压稳定控制模式,另一侧可设置为恒功率控制模式;在本实施例中,以“原方设置为直流电容电压稳定控制模式,副方设置为恒功率控制模式”为例;原方交换的有功和无功功率分别为Pp和Qp,副方交换的有功和无功功率分别为Ps和Qs,其中原副方交换的有功功率相等、方向相反,即Pp=-Ps。
步骤S22:获取直流电容电压与标准值的偏差,得到原方有功功率控制指令值iLpd-fp*;根据原方交换的无功功率Qp,设定原方无功功率控制指令值iLpq-fp*;根据副方交换的有功功率Ps和无功功率Qs,设定副方有功和无功功率控制指令值iLsd-fs*和iLsq-fs*。
步骤S23:根据式(17)计算桥臂电流控制指令值iHXd-fp,iHXq-fp,iHXd-fs,iHXq-fs,iHYd-fp,iHYq-fp,iHYd-fs,iHYq-fs。
步骤S24:原副方的同步串联补偿电力变换模块组200运行于STATCOM模式,仅产生无功功率QLp和QLs,吸收的有功功率PLp和PLs仅用于维持H桥变换器模块直流电容电压在额定;因而,获取其直流电容电压与标准值的偏差,设定其有功功率控制指令值iLpd-fp*和iLsd-fs*;根据其交换的无功功率QLp和QLs,设定其无功功率控制指令值iLpq-fp*和iLsq-fs*。
步骤S26:建立6条桥臂电力变换模块组的无功功率约束条件;6条桥臂电力变换模块组100首尾相接组成典型的六边形变换器,为了约束内部环流并减小损耗,原副方需要满足严格的无功约束条件,即原副方无功功率和有功功率必须严格相等,如下式所示;
步骤S27:联立式(11)、式(12)以及式(23),求解桥臂电力变换模块组100端点电压uHpd-fp,uHpq-fp,uHsd-fs,uHsq-fs。
特别的,设定自耦电力电子变压器原副方交换的有功功率为Pp=-Ps>0,其中原副方单位功率因数运行Qp=Qs=0,系统原方A相的稳态电压和电流向量关系如图4(a)所示,其他相和副方的稳态电压和电流向量相似。uHA与iLA向量平行,桥臂电力变换模块组无功交换为0,实现桥臂电力变换模块组的无功功率约束,而uLA与iLA向量垂直,体现同步串联补偿电力变换模块组200运行于STATCOM模式。
特别的,设定自耦电力电子变压器原副方交换的有功功率为Pp=-Ps=0,其中原副方功率因数运行Qp=Qs<0,自耦电力电子变压器原副方分别运行于STATCOM模式,并提供无功功率。系统原方A相的稳态电压和电流向量关系如图4(b)所示,其他相和副方的稳态电压和电流向量相似。uHA与iLA向量垂直,六边形变换器交换无功功率,通过调整uHA即可调整六边形变换器交换无功功率的大小,实现桥臂电力变换模块组的无功功率约束,而uLA与iLA向量垂直,体现同步串联补偿电力变换模块组200运行于STATCOM模式。
特别的,设定自耦电力电子变压器原副方交换的有功功率为Pp=-Ps>0,其中原副方功率因数运行Qp=Qs<0,自耦电力电子变压器原副方分别运行于具有无功调节的变压器模式。系统原方A相的稳态电压和电流向量关系如图4(c)所示,其他相和副方的稳态电压和电流向量相似。uHA与iLA向量平行,实现桥臂电力变换模块组的无功功率约束,而uLA与iLA向量垂直,体现同步串联补偿电力变换模块组200运行于STATCOM模式。
特别的,设定自耦电力电子变压器原副方交换的有功功率为Pp=-Ps<0,其中原副方功率因数运行Qp=Qs<0,自耦电力电子变压器原副方分别运行于具有无功调节的变压器模式。系统原方A相的稳态电压和电流向量关系如图4(d)所示,其他相和副方的稳态电压和电流向量相似。uHA与iLA向量平行,实现桥臂电力变换模块组的无功功率约束,而uLA与iLA向量垂直,体现同步串联补偿电力变换模块组200运行于STATCOM模式。
以上是本发明的较佳实施例,凡依本发明技术方案所作的改变,所产生的功能作用未超出本发明技术方案的范围时,均属于本发明的保护范围。
Claims (2)
1.一种自耦电力电子变压器电路拓扑,其特征在于,包括6条桥臂电力变换模块组(100)和6条同步串联补偿电力变换模块组(200),所述6条桥臂电力变换模块组(100)首尾端依次连接,形成六边形电路接线,桥臂电力变换模块组(100)首尾相接处为连接端;所述6条同步串联补偿电力变换模块组(200)的一端分别连接所述6个连接端,所述6条同步串联补偿电力变换模块组(200)的另一端按照顺序交错接入原方三相(300)和副方三相(400);
所述桥臂电力变换模块组(100)由桥臂电抗器(110)和N个H桥变换器模块(120)串联组成,所述同步串联补偿电力变换模块组(200)由串联电抗器(210)和M个H桥变换器模块(220)串联组成,N和M均为大于等于1的整数;
按如下步骤建立自耦电力电子变压器的三相静止坐标系模型及控制系统模型:
步骤S11:建立自耦电力电子变压器的三相静止坐标系模型;
步骤S12:原副方三相频率解耦变换;
步骤S13:将三相静止坐标系变换成同步旋转坐标系dq0的频率解耦的电压和电流关系;
步骤S14:建立自耦电力电子变压器的频率解耦的前馈解耦控制系统模型;
所述步骤S11具体为:根据基尔霍夫电压和电流定律,各电压和电流满足如下关系:
iLA+iLB+iLC=iLu+iLv+iLw=0 (5)
其中,下标H表示该变量位于六边形变换器桥臂上,uH1、uH2、uH3、uH4、uH5、uH6分别为6条桥臂电力变换模块组(100)中N个串联H桥变换器模块(120)端口基波电压向量;iH1、iH2、iH3、iH4、iH5、iH6分别流经6条桥臂电力变换模块组(100)电流向量;LH为桥臂电力变换模块组等效电感,rH为桥臂电力变换模块组等效电感的内阻;下标L表示该变量位于同步串联补偿变换桥臂上,uLA、uLB、uLC以及uLu、uLv、uLw分别为6条同步串联补偿电力变换模块组(200)中M个串联H桥变换器模块(220)端口基波电压向量;iLA、iLB、iLC以及iLu、iLv、iLw分别流经6条同步串联补偿电力变换模块组(200)电流向量;LL为同步串联补偿电力变换模块组等效电感,rL为同步串联补偿电力变换模块组等效电感的内阻;uAN、uBN、uCN和uun、uvn、uwn分别为原方和副方交流系统相电压向量;uHA、uHB、uHC、uHu、uHv、uHw分别为6条桥臂电力变换模块组(100)首尾相接组成的六边形接线的接线端点位置的电压向量,并与所在的原方和副方交流系统相序对应;
所述步骤S12具体为:原方和副方电压和电流频率互不关联,原方和副方电压和电流的工作频率分别定义为原方频率和副方频率,下标分别为-fp和-fs;
桥臂电力变换模块组(100)组成的六边形变换器的三相频率解耦得到:
同步串联补偿电力变换模块组(200)内电压和电流仅含有所在原方或副方频率分量,表示为:
所述步骤S13具体为:原方和副方的等功率坐标变换矩阵Cp和Cs分别为:
基于式(8)、式(9),推导dq0坐标系下频率解耦的电压和电流关系,如下式所示:
上式中,uHpd、uHpq和uHp0为uHA、uHB和uHC在dq0坐标系下的电压;uHsd、uHsq和uHs0为uHu、uHv和uHw在dq0坐标系下的电压;uLpd、uLpq和uLp0为uLA、uLB和uLC在dq0坐标系下的电压;uLsd、uLsq和uLs0为uLu、uLv和uLw在dq0坐标系下的电压;iHXd、iHXq和iHX0为iH1、iH3和iH5在dq0坐标系下的电流;iHYd、iHYq和iHY0为iH2、iH4和iH6在dq0坐标系下的电流;uHXd、uHXq和uHX0为uH1、uH3和uH5在dq0坐标系下的电流;uHYd、uHYq和uHY0为uH2、uH4和uH6在dq0坐标系下的电流;iLpd、iLpq和iLp0为iLA、iLB和iLC在dq0坐标系下的电流;iLsd、iLsq和iLs0为iLu、iLv和iLw在dq0坐标系下的电流;upd、upq和up0为uAN、uBN和uCN在dq0坐标系下的电压;usd、usq和us0为uun、uvn和uwn在dq0坐标系下的电压;下标-fp表示上述电压和电流是以原方频率进行的dq0坐标变换,下标-fs表示上述电压和电流是以副方频率进行的dq0坐标变换;上式中:
其频率解耦的电压和电流存在如下式的等式关系:
不考虑0序分量,频率解耦的双dq模型描述为:
上式中,p为微分算子;原方交流系统的电压和电流中不含副方频率分量,反之亦然;
基于公式(3)和(4)推导dq0坐标系下的频率解耦的电流关系,如下式所示:
上式中:
不考虑0序分量,求解上式(16),并且原副方电流不含对侧的频率分量,得到:
将式(18)和(19)代入(14),得到:
将式(21)代入(15),得到:
式(20)和式(22)表明,式(19)和式(21)使其电流内环实现解耦控制。
2.根据权利要求1所述的一种自耦电力电子变压器电路拓扑的控制方法,其特征在于,包括以下步骤:
步骤S21:确定原副方控制模式,即确定其中一侧为直流电容电压稳定控制模式,另一侧可设置为恒功率控制模式;当原方设置为直流电容电压稳定控制模式,副方设置为恒功率控制模式时,原方交换的有功和无功功率分别为Pp和Qp,副方交换的有功和无功功率分别为Ps和Qs,其中原副方交换的有功功率相等、方向相反,即Pp=-Ps;
步骤S22:获取直流电容电压与标准值的偏差,得到原方有功功率控制指令值iLpd-fp*;根据原方交换的无功功率Qp,设定原方无功功率控制指令值iLpq-fp*;根据副方交换的有功功率Ps和无功功率Qs,设定副方有功和无功功率控制指令值iLsd-fs*和iLsq-fs*;
步骤S23:根据式(17)计算桥臂电流控制指令值iHXd-fp*,iHXq-fp*,iHXd-fs*,iHXq-fs*,iHYd-fp*,iHYq-fp*,iHYd-fs*,iHYq-fs*;
步骤S24:原副方的同步串联补偿电力变换模块组(200)运行于STATCOM模式,仅产生无功功率QLp和QLs,吸收的有功功率PLp和PLs仅用于维持H桥变换器模块直流电容电压在额定;获取其直流电容电压与标准值的偏差,设定其有功功率控制指令值iLpd-fp*和iLsd-fs*;根据其交换的无功功率QLp和QLs,设定其无功功率控制指令值iLpq-fp*和iLsq-fs*;
步骤S26:建立6条桥臂电力变换模块组的无功功率约束条件;6条桥臂电力变换模块组(100)首尾相接组成六边形变换器,原副方满足严格的无功约束条件,即原副方无功功率和有功功率严格相等,如下式所示;
步骤S27:联立式(11)、式(12)以及式(23),求解桥臂电力变换模块组(100)端点电压uHpd-fp,uHpq-fp,uHsd-fs,uHsq-fs;
Priority Applications (1)
| Application Number | Priority Date | Filing Date | Title |
|---|---|---|---|
| CN202010375938.7A CN111446868B (zh) | 2020-05-07 | 2020-05-07 | 一种自耦电力电子变压器电路拓扑及其控制方法 |
Applications Claiming Priority (1)
| Application Number | Priority Date | Filing Date | Title |
|---|---|---|---|
| CN202010375938.7A CN111446868B (zh) | 2020-05-07 | 2020-05-07 | 一种自耦电力电子变压器电路拓扑及其控制方法 |
Publications (2)
| Publication Number | Publication Date |
|---|---|
| CN111446868A CN111446868A (zh) | 2020-07-24 |
| CN111446868B true CN111446868B (zh) | 2021-06-22 |
Family
ID=71656483
Family Applications (1)
| Application Number | Title | Priority Date | Filing Date |
|---|---|---|---|
| CN202010375938.7A Active CN111446868B (zh) | 2020-05-07 | 2020-05-07 | 一种自耦电力电子变压器电路拓扑及其控制方法 |
Country Status (1)
| Country | Link |
|---|---|
| CN (1) | CN111446868B (zh) |
Citations (6)
| Publication number | Priority date | Publication date | Assignee | Title |
|---|---|---|---|---|
| CN102638039A (zh) * | 2012-03-22 | 2012-08-15 | 张家港智电电力电子研究所有限公司 | 一种三相链式静止同步补偿器 |
| CN103036237A (zh) * | 2012-12-18 | 2013-04-10 | 湖北三环发展股份有限公司 | 一种能抑制δ型连接内部环流的statcom |
| WO2017008245A1 (en) * | 2015-07-14 | 2017-01-19 | Abb Technology Ltd | Transformer-less static synchronous series compensator and method therefor |
| CN107591823A (zh) * | 2017-10-27 | 2018-01-16 | 长沙拓扑陆川新材料科技有限公司 | 一种角型链式svg及其补偿控制方法 |
| CN110601201A (zh) * | 2019-08-23 | 2019-12-20 | 国网福建省电力有限公司经济技术研究院 | 一种基于直接交-交换流器h-mmc的upfc系统及其无源化控制方法 |
| CN110957927A (zh) * | 2019-12-31 | 2020-04-03 | 福州大学 | 一种新型变频自耦电力电子变压器电路拓扑及其控制方法 |
-
2020
- 2020-05-07 CN CN202010375938.7A patent/CN111446868B/zh active Active
Patent Citations (6)
| Publication number | Priority date | Publication date | Assignee | Title |
|---|---|---|---|---|
| CN102638039A (zh) * | 2012-03-22 | 2012-08-15 | 张家港智电电力电子研究所有限公司 | 一种三相链式静止同步补偿器 |
| CN103036237A (zh) * | 2012-12-18 | 2013-04-10 | 湖北三环发展股份有限公司 | 一种能抑制δ型连接内部环流的statcom |
| WO2017008245A1 (en) * | 2015-07-14 | 2017-01-19 | Abb Technology Ltd | Transformer-less static synchronous series compensator and method therefor |
| CN107591823A (zh) * | 2017-10-27 | 2018-01-16 | 长沙拓扑陆川新材料科技有限公司 | 一种角型链式svg及其补偿控制方法 |
| CN110601201A (zh) * | 2019-08-23 | 2019-12-20 | 国网福建省电力有限公司经济技术研究院 | 一种基于直接交-交换流器h-mmc的upfc系统及其无源化控制方法 |
| CN110957927A (zh) * | 2019-12-31 | 2020-04-03 | 福州大学 | 一种新型变频自耦电力电子变压器电路拓扑及其控制方法 |
Non-Patent Citations (1)
| Title |
|---|
| Design of a star-hexagon transformer based electronic load controller for isolated pico hydro generating system;Bhim Singh et al.;《 2009 International Conference on Power Systems》;20100405;第1-6页 * |
Also Published As
| Publication number | Publication date |
|---|---|
| CN111446868A (zh) | 2020-07-24 |
Similar Documents
| Publication | Publication Date | Title |
|---|---|---|
| CN102223090B (zh) | 大功率简化型电解电镀高频开关电源及其控制方法 | |
| Xiao et al. | Modular multilevel converter based multi-terminal hybrid AC/DC microgrid with improved energy control method | |
| CN113179020A (zh) | 多相均流的交错并联llc谐振变换器装置及实现方法 | |
| CN115333106A (zh) | 一种具有多端口直流潮流控制的柔直换流器及其控制方法 | |
| CN102142690A (zh) | 用于控制功率转换的电流控制器设备和向量控制方法 | |
| CN112072704B (zh) | 一种中压大容量风力发电变流器拓扑 | |
| CN113659608B (zh) | 一种隔离级同步调制的混合多电平sst拓扑及控制方法 | |
| CN111277157A (zh) | 一种模块化大功率电机驱动变换器系统及控制方法 | |
| CN110233496A (zh) | 电网电压不平衡条件下级联光伏固态变压器的控制方法 | |
| CN113629985A (zh) | 一种chb-qab拓扑结构的子模块电容优化控制方法 | |
| CN116632902A (zh) | 一种基于pwm电流源型变换器的多端口柔性直流输电系统 | |
| CN111446868B (zh) | 一种自耦电力电子变压器电路拓扑及其控制方法 | |
| CN117318460A (zh) | 一种子模块集成的mmc型电能路由器及其控制方法 | |
| CN105846691B (zh) | 一种级联多电平中间包电磁加热电源综合控制方法 | |
| CN111092446A (zh) | 一种基于解耦控制的电能路由器高压交流端口多功能形态实现方法 | |
| CN111799796A (zh) | 一种h桥级联型静止同步补偿器的输出谐波抑制方法 | |
| CN119726751B (zh) | 一种三相解耦串联型潮流调控装备的控制方法 | |
| Ge et al. | Research on low-frequency offshore wind power transmission and frequency conversion technology | |
| CN106099969A (zh) | 一种基于串联电感的兆瓦级大功率模块并联控制方法 | |
| CN119419847A (zh) | 一种构网型储能变流器控制方法及系统 | |
| CN111934558A (zh) | 一种无变压器隔离的新型中高压变频调速系统实现方案 | |
| CN110957927B (zh) | 一种新型变频自耦电力电子变压器电路拓扑及其控制方法 | |
| CN114553047B (zh) | 基于三相变压器级联的三相交流变直流变换器 | |
| CN116647132A (zh) | 基于模块化多电平的六桥臂交交耦合换流器及其控制策略 | |
| CN108270356A (zh) | 基于pwm/二极管混合整流结构的直流配电网能量路由器及其控制方法 |
Legal Events
| Date | Code | Title | Description |
|---|---|---|---|
| PB01 | Publication | ||
| PB01 | Publication | ||
| SE01 | Entry into force of request for substantive examination | ||
| SE01 | Entry into force of request for substantive examination | ||
| GR01 | Patent grant | ||
| GR01 | Patent grant |





































































































