BRPI0709366B1 - Colorante fluorescente tiol, composições de tintura, processo de coloração de matérias queratínicas, dispositivo e uso dos corantes fluorescentes - Google Patents
Colorante fluorescente tiol, composições de tintura, processo de coloração de matérias queratínicas, dispositivo e uso dos corantes fluorescentes Download PDFInfo
- Publication number
- BRPI0709366B1 BRPI0709366B1 BRPI0709366-7A BRPI0709366A BRPI0709366B1 BR PI0709366 B1 BRPI0709366 B1 BR PI0709366B1 BR PI0709366 A BRPI0709366 A BR PI0709366A BR PI0709366 B1 BRPI0709366 B1 BR PI0709366B1
- Authority
- BR
- Brazil
- Prior art keywords
- alkyl
- group
- formula
- petition
- dye
- Prior art date
Links
- FQBQBRBAJDVVOH-UHFFFAOYSA-N CCNC(C)C(C)C Chemical compound CCNC(C)C(C)C FQBQBRBAJDVVOH-UHFFFAOYSA-N 0.000 description 2
- ICECUDAZXXTCFW-HVAGMAQHSA-O CCN(CC)c1ccc(/C=C(\C)/C(/C=C)=C/C=[NH+]/CCSSCC[n+](cc2)ccc2/C(/C)=C/c(cc2)c(C)cc2N(CC)CCO)c(C)c1 Chemical compound CCN(CC)c1ccc(/C=C(\C)/C(/C=C)=C/C=[NH+]/CCSSCC[n+](cc2)ccc2/C(/C)=C/c(cc2)c(C)cc2N(CC)CCO)c(C)c1 ICECUDAZXXTCFW-HVAGMAQHSA-O 0.000 description 1
Classifications
-
- C—CHEMISTRY; METALLURGY
- C09—DYES; PAINTS; POLISHES; NATURAL RESINS; ADHESIVES; COMPOSITIONS NOT OTHERWISE PROVIDED FOR; APPLICATIONS OF MATERIALS NOT OTHERWISE PROVIDED FOR
- C09B—ORGANIC DYES OR CLOSELY-RELATED COMPOUNDS FOR PRODUCING DYES, e.g. PIGMENTS; MORDANTS; LAKES
- C09B23/00—Methine or polymethine dyes, e.g. cyanine dyes
- C09B23/14—Styryl dyes
-
- A—HUMAN NECESSITIES
- A61—MEDICAL OR VETERINARY SCIENCE; HYGIENE
- A61K—PREPARATIONS FOR MEDICAL, DENTAL OR TOILETRY PURPOSES
- A61K8/00—Cosmetics or similar toiletry preparations
- A61K8/18—Cosmetics or similar toiletry preparations characterised by the composition
- A61K8/30—Cosmetics or similar toiletry preparations characterised by the composition containing organic compounds
- A61K8/49—Cosmetics or similar toiletry preparations characterised by the composition containing organic compounds containing heterocyclic compounds
- A61K8/4906—Cosmetics or similar toiletry preparations characterised by the composition containing organic compounds containing heterocyclic compounds with one nitrogen as the only hetero atom
- A61K8/4933—Cosmetics or similar toiletry preparations characterised by the composition containing organic compounds containing heterocyclic compounds with one nitrogen as the only hetero atom having sulfur as an exocyclic substituent, e.g. pyridinethione
-
- A—HUMAN NECESSITIES
- A61—MEDICAL OR VETERINARY SCIENCE; HYGIENE
- A61K—PREPARATIONS FOR MEDICAL, DENTAL OR TOILETRY PURPOSES
- A61K8/00—Cosmetics or similar toiletry preparations
- A61K8/18—Cosmetics or similar toiletry preparations characterised by the composition
- A61K8/30—Cosmetics or similar toiletry preparations characterised by the composition containing organic compounds
- A61K8/49—Cosmetics or similar toiletry preparations characterised by the composition containing organic compounds containing heterocyclic compounds
-
- A—HUMAN NECESSITIES
- A61—MEDICAL OR VETERINARY SCIENCE; HYGIENE
- A61K—PREPARATIONS FOR MEDICAL, DENTAL OR TOILETRY PURPOSES
- A61K8/00—Cosmetics or similar toiletry preparations
- A61K8/18—Cosmetics or similar toiletry preparations characterised by the composition
- A61K8/30—Cosmetics or similar toiletry preparations characterised by the composition containing organic compounds
- A61K8/49—Cosmetics or similar toiletry preparations characterised by the composition containing organic compounds containing heterocyclic compounds
- A61K8/494—Cosmetics or similar toiletry preparations characterised by the composition containing organic compounds containing heterocyclic compounds with more than one nitrogen as the only hetero atom
- A61K8/4946—Imidazoles or their condensed derivatives, e.g. benzimidazoles
-
- A—HUMAN NECESSITIES
- A61—MEDICAL OR VETERINARY SCIENCE; HYGIENE
- A61Q—SPECIFIC USE OF COSMETICS OR SIMILAR TOILETRY PREPARATIONS
- A61Q5/00—Preparations for care of the hair
- A61Q5/06—Preparations for styling the hair, e.g. by temporary shaping or colouring
-
- A—HUMAN NECESSITIES
- A61—MEDICAL OR VETERINARY SCIENCE; HYGIENE
- A61Q—SPECIFIC USE OF COSMETICS OR SIMILAR TOILETRY PREPARATIONS
- A61Q5/00—Preparations for care of the hair
- A61Q5/06—Preparations for styling the hair, e.g. by temporary shaping or colouring
- A61Q5/065—Preparations for temporary colouring the hair, e.g. direct dyes
-
- C—CHEMISTRY; METALLURGY
- C09—DYES; PAINTS; POLISHES; NATURAL RESINS; ADHESIVES; COMPOSITIONS NOT OTHERWISE PROVIDED FOR; APPLICATIONS OF MATERIALS NOT OTHERWISE PROVIDED FOR
- C09B—ORGANIC DYES OR CLOSELY-RELATED COMPOUNDS FOR PRODUCING DYES, e.g. PIGMENTS; MORDANTS; LAKES
- C09B23/00—Methine or polymethine dyes, e.g. cyanine dyes
- C09B23/14—Styryl dyes
- C09B23/145—Styryl dyes the ethylene chain carrying an heterocyclic residue, e.g. heterocycle-CH=CH-C6H5
-
- C—CHEMISTRY; METALLURGY
- C09—DYES; PAINTS; POLISHES; NATURAL RESINS; ADHESIVES; COMPOSITIONS NOT OTHERWISE PROVIDED FOR; APPLICATIONS OF MATERIALS NOT OTHERWISE PROVIDED FOR
- C09B—ORGANIC DYES OR CLOSELY-RELATED COMPOUNDS FOR PRODUCING DYES, e.g. PIGMENTS; MORDANTS; LAKES
- C09B49/00—Sulfur dyes
- C09B49/12—Sulfur dyes from other compounds, e.g. other heterocyclic compounds
-
- A—HUMAN NECESSITIES
- A61—MEDICAL OR VETERINARY SCIENCE; HYGIENE
- A61K—PREPARATIONS FOR MEDICAL, DENTAL OR TOILETRY PURPOSES
- A61K2800/00—Properties of cosmetic compositions or active ingredients thereof or formulation aids used therein and process related aspects
- A61K2800/40—Chemical, physico-chemical or functional or structural properties of particular ingredients
- A61K2800/42—Colour properties
- A61K2800/43—Pigments; Dyes
- A61K2800/432—Direct dyes
- A61K2800/4322—Direct dyes in preparations for temporarily coloring the hair further containing an oxidizing agent
-
- A—HUMAN NECESSITIES
- A61—MEDICAL OR VETERINARY SCIENCE; HYGIENE
- A61K—PREPARATIONS FOR MEDICAL, DENTAL OR TOILETRY PURPOSES
- A61K2800/00—Properties of cosmetic compositions or active ingredients thereof or formulation aids used therein and process related aspects
- A61K2800/40—Chemical, physico-chemical or functional or structural properties of particular ingredients
- A61K2800/42—Colour properties
- A61K2800/43—Pigments; Dyes
- A61K2800/434—Luminescent, Fluorescent; Optical brighteners; Photosensitizers
-
- A—HUMAN NECESSITIES
- A61—MEDICAL OR VETERINARY SCIENCE; HYGIENE
- A61K—PREPARATIONS FOR MEDICAL, DENTAL OR TOILETRY PURPOSES
- A61K2800/00—Properties of cosmetic compositions or active ingredients thereof or formulation aids used therein and process related aspects
- A61K2800/80—Process related aspects concerning the preparation of the cosmetic composition or the storage or application thereof
- A61K2800/88—Two- or multipart kits
Landscapes
- Life Sciences & Earth Sciences (AREA)
- Health & Medical Sciences (AREA)
- Public Health (AREA)
- Veterinary Medicine (AREA)
- Animal Behavior & Ethology (AREA)
- General Health & Medical Sciences (AREA)
- Organic Chemistry (AREA)
- Chemical & Material Sciences (AREA)
- Epidemiology (AREA)
- Birds (AREA)
- Cosmetics (AREA)
- Pyridine Compounds (AREA)
- Plural Heterocyclic Compounds (AREA)
Abstract
<b>colorante fluorescente tiol, composições de tintura, processo de coloração das materias queratínicas, dispositivo e uso dos corantes fluorescentes<d>a presente invenção tem por objeto uma composição de tintura que compreende um corante fluorescente tiol/dissuífeto com gruposaminados, um processo de coloração com efeito clareador de matérias queratinicas, em particular as fibras queratínicas particularmente humanas, tais como os cabelos, que utiliza a referida composição. a presente invenção tem também por objeto novos corantes fluorescentes tiol/dissulfetos e seus usos no cíareamento das matérias queratínicas. essa composição permite obter um efeito clareador particularmente tenaz e visível sobre as fibras queratinicas escuras.
Description
(54) Título: COLORANTE FLUORESCENTE TIOL, COMPOSIÇÕES DE TINTURA, PROCESSO DE COLORAÇÃO DE MATÉRIAS QUERATÍNICAS, DISPOSITIVO E USO DOS CORANTES FLUORESCENTES (51) Int.CI.: C09B 23/14; C09B 49/12; A61Q 5/08; A61Q 5/06; A61K 8/49 (30) Prioridade Unionista: 05/02/2007 FR 0753070, 09/02/2007 US 60/900,361, 19/04/2006 US 60/792,941, 24/03/2006 FR 0651035 (73) Titular(es): LOREAL (72) Inventor(es): ANDREWGREAVES; NICOLAS DAUBRESSE; ROMAIN GARCON
1/51 “COLORANTE FLUORESCENTE TIOL, COMPOSIÇÕES DE TINTURA, PROCESSO DE COLORAÇÃO DE MATÉRIAS QUERATÍNICAS, DISPOSITIVO E USO DOS CORANTES FLUORESCENTES”
Campo da Invenção [001] A presente invenção trata da coloração das matérias queratínicas com a ajuda de corantes fluorescentes tióis/dissulfetos que compreendem um ou mais grupos aminados.
Antecedentes da Invenção [002] Costuma-se tingir as fibras queratínicas, em particular, humanas, com uma coloração direta. O processo classicamente utilizado em coloração direta consiste em aplicar sobre as fibras queratínicas corantes diretos que são moléculas coloridas e corantes que possuem uma afinidade com as fibras, no sentido de deixar com que eles se propaguem e, a seguir, em enxaguar as fibras.
[003] Os corantes diretos classicamente utilizados são, por exemplo, corantes do tipo nitrados benzênicos, corantes antraquinônicos, nitropiridinas, corantes do tipo azóico, xantênico, acridínico, azínico ou triarilmetano.
[004] As colorações que resultam do uso de corantes diretos são colorações temporárias ou semipermanentes, pois a natureza das interações que ligam os corantes diretos à fibra queratínica, e sua dessorção da superfície e/ou do núcleo da fibra são responsáveis por sua baixa potência de tintura e por sua má resistência às lavagens ou à transpiração.
[005] Além disso, a coloração das fibras queratínicas a partir dos corantes diretos clássicos não permite clarear de modo significativo as fibras queratínicas.
[006] O clareamento da cor das fibras queratínicas, mais particularmente, escuras, para tons mais claros, eventualmente modificando a
Petição 870180001698, de 08/01/2018, pág. 15/77
2/51 tonalidade das mesmas, constitui uma demanda importante.
[007] Classicamente, para obter uma coloração mais clara, utilizase um processo de descoloração química. Esse processo consiste em tratar as matérias queratínicas, tais como as fibras queratínicas, particularmente os cabelos, com um sistema oxidante forte, geralmente constituído pelo peróxido de hidrogênio associado ou não a persais, na maior parte das vezes em meio alcalino.
[008] Esse sistema de descoloração apresenta o inconveniente de deteriorar as matérias queratínicas, em particular as fibras queratínicas, particularmente humanas, tais como os cabelos, e alterar suas propriedades cosméticas. As fibras possuem, de fato, tendência a se tornarem ásperas, mais difíceis de desembaraçar e mais frágeis. Finalmente, o clareamento ou a descoloração das fibras queratínicas por meio de agentes oxidantes é incompatível com os tratamentos de modificação da forma das referidas fibras, particularmente nos tratamentos de alisamento.
[009] Outra técnica de clareamento consiste em aplicar sobre os cabelos escuros corantes diretos fluorescentes. Essa técnica descrita, em particular, nos documentos FR 2830189 e WO 2004/091473 permite respeitar a qualidade da fibra queratínica durante o tratamento, mas os corantes fluorescentes empregados não apresentam boa resistência aos xampus.
[010] Para aumentar a tenacidade das colorações diretas, costuma-se fixar corantes diretos por ligação covalente ao cabelo. Por exemplo, costuma-se fazer reagir corantes que contêm grupos reagentes com os resíduos de cistina ou de cisteína muito numerosos nas fibras queratínicas. Ver por exemplo Journal of the Society of Dyers and Colourists, Guise & Stapleton, 91, 259-264 (1975); Journal of Cosmetic Chemistry, 42, 1-17 (1991); CA 2024509.
[011] Além disso, costuma-se proteger a ou as funções tióis
Petição 870180001698, de 08/01/2018, pág. 16/77
3/51 contidas em uma molécula a ser enxertada nos cabelos antes de aplicá-las nos referidos cabelos WO 99/51194. Entretanto, esse pedido não menciona a utilização de corantes fluorescentes que permitem colorir ou clarear cabelos.
[012] Outros corantes dissulfetos conhecidos para a coloração das fibras queratínicas são derivados dissulfetos de derivados de aminotiofenol. Esses corantes estão descritos, por exemplo, na patente FR 1156407. Esses corantes podem ser utilizados em condições relativamente suaves, em presença de um meio ligeiramente redutor ou após um pré-tratamento redutor do cabelo. Entretanto, esses corantes podem ocasionar alterações de cor no momento da aplicação.
[013] Enfim, o documento WO 2005/097051 descreve corantes dissulfetos aza-imidazólios para a coloração direta de fibras queratínicas.
Descrição da Invenção [014] A finalidade da presente invenção é fornecer novos sistemas de coloração de matérias queratínicas, em particular as fibras queratínicas humanas, particularmente os cabelos, que não apresentem os inconvenientes dos processos de descoloração existentes. Em particular, uma das finalidades da presente invenção é fornecer sistemas de coloração direta que permitam obter efeitos clareadores, em particular nas fibras queratínicas natural ou artificialmente escuras, resistentes às lavagens sucessivas com xampu, que não degradem as fibras queratínicas e que não alterem suas propriedades cosméticas.
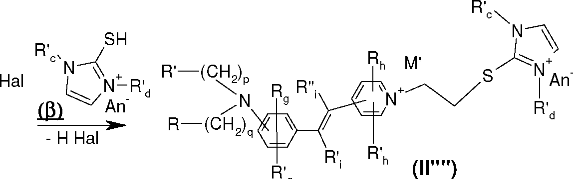
[015] Essa finalidade é atingida com a presente invenção, que tem por objeto um processo de coloração de matérias queratínicas, em particular as fibras queratínicas, principalmente humanas, tais como os cabelos, mais particularmente os cabelos escuros, que consiste em aplicar sobre as matérias queratínicas uma composição de tintura, que compreende em um meio cosmético apropriado, pelo menos um corante fluorescente tiol, escolhido entre
Petição 870180001698, de 08/01/2018, pág. 17/77
4/51 os corantes de fórmulas (I) e (II) indicadas a seguir:
R CH R R /N g
R—(CH2)q
R
R / '
Π'. R'h h M' M
N-(CH2)-s-s-(CH2)m-N;
R''hR'''
(CH,)—R
R'''h R''
R''g ,(CH2)—R'' (I)
R
seus sais de ácido orgânico ou inorgânico, isômeros óticos, isômeros geométricos, e os solvatos, tais como hidratos;
fórmulas (I) e (II), nas quais:
> Re R'”, idênticos ou diferentes, representam um grupo hidróxi, um grupo amino (NRaRb) ou amônio (N+RaRbRc), An-; com Ra,Rb e Rc, idênticos ou diferentes, que representam um átomo de hidrogênio ou um grupo (C1-C4) alquila; ou então dois grupos alquila Ra e Rb do grupo amino ou amônio formam um heterociclo que compreende de 5 a 7 membros e que compreende, eventualmente, outro heteroátomo idêntico ou diferente daquele do átomo nitrogênio, tal como morfolinila, piperazinila, piperidinila, pirrolila, morfolínio, piperazínio, piperidínio, pirrolínio, e An- representa um contra-íon aniônico;
> R e R', idênticos ou diferentes, representam um átomo de hidrogênio ou um grupo tal como definido para R e R'” respectivamente;
> Rg, R'g, R”g, R'”g, Rh, R'h, R”h e R'”h, idênticos ou diferentes, representam um átomo de hidrogênio, de halogênio, um grupo amino, (di)(Ci-C4)alquilamino, ciano, carbóxi, hidróxi, trifluorometila, acilamino, alcóxi com C1-C4, (poli)hidroxialcóxi com C2-C4, (C1C4)alquilcarbonilóxi, (Ci-C4)alcoxicarbonila, (Ci-C4)alquilcarbonilamino, acilamino, carbamoíla, (Ci-C4)alquilsulfonilamino, um radical amino-sulfonila,
Petição 870180001698, de 08/01/2018, pág. 18/77
5/51 ou um radical (Ci-Ci6)alquila eventualmente substituído por um grupo escolhido entre (C1-C12) alcóxi, hidróxi, ciano, carbóxi, amino, (di)(C1C4)alquilamino, ou então, os dois radicais alquilas portados pelo átomo de nitrogênio do grupo amino formam um heterociclo que compreende de 5 a 7 membros e compreende, eventualmente, outro heteroátomo idêntico ou diferente daquele do átomo de nitrogênio;
> R'i, R”i e R'”i e R””i, idênticos ou diferentes, representam um átomo de hidrogênio ou um grupo (C1-C4) alquila; particularmente R'i, R”i e R'”i e R””i representam um átomo de hidrogênio;
> m, m', idênticos ou diferentes, representam um número inteiro compreendido inclusivamente entre 1 e 10; particularmente um número inteiro compreendido inclusivamente entre 2 e 4; preferencialmente m e m' valem 2;
> p, p', q e q', idênticos ou diferentes, representam um número inteiro compreendido inclusivamente entre 1 e 6;
> M' representa um contra-íon aniônico; e > Y representa: i) um átomo de hidrogênio; ii) um metal alcalino; iii) um metal alcalino-terroso; iv) um grupo amônio; N+RaRpRYRõ ou um grupo fosfônio: P+RaRpRYRõ com Ra, Re RY e Rõ, idênticos ou diferentes, representando um átomo de hidrogênio ou um grupo (C1-C4)alquila; ou v) um grupo protetor de função tiol;
ficando entendido que:
- quando o composto de fórmula (I) ou (II) contém outras partes catiônicas, se encontra associado a um ou mais contra-íons aniônicos que permitem atingir a eletroneutralidade da fórmula (I) ou (II).
[016] Outro objeto da presente invenção é uma composição de tintura que compreende, em um meio cosmético apropriado, pelo menos um corante fluorescente de fórmula (I) ou (II) tais como definidos anteriormente, e
Petição 870180001698, de 08/01/2018, pág. 19/77
6/51 um agente redutor.
[017] A presente invenção tem, também, por objeto novos corantes fluorescentes de fórmula (I) ou (II) tais como definidos anteriormente.
[018] O processo de coloração de acordo com a presente invenção permite colorir de modo visível as matérias queratínicas escuras, em particular, as fibras queratínicas escuras humanas, particularmente os cabelos escuros.
[019] Além disso, o processo da presente invenção permite obter uma coloração das matérias queratínicas, em particular, as fibras queratínicas humanas, particularmente os cabelos, sem deteriorar a referida matéria, permanência aos xampus, às agressões cotidianas (sol, transpiração) e a outros tratamentos capilares. O processo da presente invenção permite, também, obter um clareamento das matérias queratínicas, tais como as fibras queratínicas, em particular, as fibras queratínicas escuras e, mais particularmente, os cabelos escuros.
[020] No sentido da presente invenção, entende-se por matéria queratínica escura aquela que apresenta uma luminescência L* mensurada no sistema C.I.E.L. como L*a*b*, inferior ou igual a 45 e, de preferência, inferior ou igual a 40, sabendo-se que, além disso, L* = 0 equivale ao preto e L* = 100 ao branco.
[021] No sentido da presente invenção, entende-se por cabelos natural ou artificialmente escuros, cabelos cuja altura de tom é inferior ou igual a 6 (loiro escuro) e, de preferência, inferior ou igual a 4 (castanho).
[022] O clareamento dos cabelos é avaliado pela “altura de tom” antes e após a aplicação do composto de fórmula (I) ou (II).
[023] A noção de “tom” baseia-se na classificação das tonalidades naturais, sendo que um tom separa cada tonalidade da que a sucede ou a precede imediatamente. Essa definição e a classificação das tonalidades
Petição 870180001698, de 08/01/2018, pág. 20/77
7/51 naturais são bem conhecidas dos profissionais da área do penteado e foram publicadas na obra “Science des traitements capillaires” de Charles ZVIAK 1988, Ed. Masson, p. 215 e 278.
[024] As alturas de tom estão escalonadas de 1 (preto) a 10 (loiro muito claro), sendo que uma unidade corresponde a um tom; quanto mais o número for elevado, mais a tonalidade será clara.
[025] Um cabelo colorido artificialmente é um cabelo cuja cor foi modificada por um tratamento de coloração, por exemplo, uma coloração com corantes diretos ou corantes de oxidação.
[026] De preferência, a composição deve, após aplicação sobre os cabelos, por exemplo, castanhos, levar aos resultados abaixo descritos.
[027] - Há interesse nos desempenhos de refletância dos cabelos quando são irradiados com a luz visível na gama de comprimentos de onda que varia de 400 a 700 nanômetros.
[028] - Comparam-se, então, as curvas de refletância em função do comprimento de onda dos cabelos tratados com a composição da presente invenção e dos cabelos não tratados.
[029] - A curva correspondente aos cabelos tratados deve mostrar uma refletância, na gama dos comprimentos de onda, que varia de 500 a 700 nanômetros, superior à curva correspondente aos cabelos não tratados.
[030] - Isso significa que, na gama de comprimento de onda que varia de 540 a 700 nanômetros, existe pelo menos uma faixa em que a curva de refletância correspondente aos cabelos tratados é superior à curva de refletância correspondente aos cabelos não tratados. Entende-se por “superior”, um desvio de, pelo menos, 0,05% de refletância e, de preferência, de pelo menos 0,1%. Tal fato não impede que possa existir na gama de comprimento de onda que varia de 540 a 700 nanômetros, pelo menos uma faixa em que a curva de refletância que corresponde aos cabelos tratados seja
Petição 870180001698, de 08/01/2018, pág. 21/77
8/51 superposta ou inferior à curva de refletância correspondente aos cabelos não tratados.
[031] De preferência, o comprimento de onda onde o desvio é máximo entre a curva de refletância dos cabelos tratados e a dos cabelos não tratados, situa-se na gama de comprimento de onda que varia de 500 a 650 nanômetros e, de preferência, na gama de comprimento de onda que varia de 550 a 620 nanômetros.
[032] No sentido da presente invenção e a menos que uma indicação diferente seja dada:
- os radicais “arila” ou “heteroarila” ou a parte arila ou heteroarila de um radical podem ser substituídos por, pelo menos, um substituinte portado por um átomo de carbono, escolhido entre:
• um radical alquila com C1-C16, de preferência com C1-C8, eventualmente substituído por um ou mais radicais escolhidos entre os radicais hidróxi, alcóxi com C1-C2, (poli)-hidroxialcóxi com C2-C4, acilamino, amino substituído por dois radicais alquila, idênticos ou diferentes com C1-C4, eventualmente portadores de pelo menos um grupo hidróxi ou, os dois radicais podem formar com o átomo de nitrogênio ao qual estão ligados, um heterociclo que compreende de 5 a 7 membros, de preferência de 5 ou 6 membros, saturado ou insaturado, eventualmente substituído que compreende eventualmente outro heteroátomo idêntico ou diferente do nitrogênio;
• um átomo de halogênio como cloro, flúor ou bromo;
• um grupo hidróxi;
• um radical alcóxi com C1-C2;
• um radical alquiltio com C1-C2;
• um radical (poli)-hidroxialcóxi com C2-C4;
• um radical amino;
• um radical heterocicloalquila com 5 ou 6 membros;
Petição 870180001698, de 08/01/2018, pág. 22/77
9/51 • um radical heteroarila com 5 ou 6 membros, eventualmente catiônico, preferencialmente imidazólio e, eventualmente substituído por um radical (C1-C4) alquila, preferencialmente metila;
• um radical amino substituído por um ou dois radicais alquila idênticos ou diferentes, com C1-C6, eventualmente portadores de pelo menos:
i) um grupo hidróxi, ii) um grupo amino, eventualmente substituído por um ou dois radicais alquila com C1-C3, eventualmente substituídos, e os referidos radicais alquila podem formar com o átomo de nitrogênio ao qual estão ligados um heterociclo que compreende de 5 a 7 membros, saturado ou insaturado, eventualmente substituído, que compreende, eventualmente, pelo menos outro heteroátomo diferente ou não do nitrogênio;
• -NR-COR' no qual o radical R é um átomo de hidrogênio, um radical alquila com C1-C4, eventualmente portador de pelo menos um grupo hidróxi e o radical R' é um radical alquila com C1-C2;
• (R)2-N-CO- no qual os radicais R, idênticos ou não, representam um átomo de hidrogênio, um radical alquila com C1-C4, eventualmente portador de pelo menos um grupo hidróxi;
• R'SO2-NR- no qual o radical R representa um átomo de hidrogênio, um radical alquila com C1-C4 eventualmente portador de pelo menos um grupo hidróxi e o radical R' representa um radical alquila com C1-C4, um radical fenila;
• (R)2N-SO2- no qual os radicais R, idênticos ou não, representam um átomo de hidrogênio, um radical alquila com C1-C4, eventualmente portador de pelo menos um grupo hidróxi;
• um radical carboxílico em forma ácida ou salificada (de preferência com um metal alcalino ou um amônio, substituído ou não);
• um grupo ciano;
Petição 870180001698, de 08/01/2018, pág. 23/77
10/51 • um grupo poli-halogênioalquila que compreende de 1 a 6 átomos de carbono e de 1 a 6 átomos de halogênio, idênticos ou diferentes; o grupo poli-halogênioalquila é, por exemplo, o trifluorometila;
- a parte cíclica ou heterocíclica de um radical não aromático pode ser substituída por pelo menos um substituinte portado por um átomo de carbono escolhido entre os grupos:
• hidróxi, • alcóxi com C1-C4, • (poli)hidroxialcóxi com C2-C4, • um radical alquiltio com C1-C2;
• RCO-NR'- no qual o radical R' é um átomo de hidrogênio, um radical alquila com C1-C4, eventualmente portador de pelo menos um grupo hidróxi e o radical R é um radical alquila com C1-C2, amino substituído por dois grupos alquila idênticos ou diferentes com C1-C4, eventualmente portadores de pelo menos um grupo hidróxi, • RCO-O-, no qual R é um radical alquila com C1-C4, amino substituído por um ou dois grupos alquila idênticos ou diferentes com C1-C4, eventualmente portadores de pelo menos um grupo hidróxi, e os referidos radicais alquila podem formar com o átomo de nitrogênio, ao qual estão ligados, um heterociclo que compreende de 5 a 7 membros, saturado ou insaturado, eventualmente substituído, que compreende eventualmente pelo menos outro heteroátomo diferente ou não do nitrogênio;
• RO-CO- no qual o radical R é um radical alquila com C1-C4, eventualmente portadores de pelo menos um grupo hidróxi;
- um radical cíclico, heterocíclico, ou uma parte não aromática de um radical arila ou heteroarila, pode igualmente ser substituído por um ou mais grupos oxo ou tioxo;
- um radical “arila” representa um grupo mono ou policíclico,
Petição 870180001698, de 08/01/2018, pág. 24/77
11/51 condensado ou não, que compreende de 6 a 22 átomos de carbonos, e do qual pelo menos um ciclo é aromático; preferencialmente o radical arila é um fenil, bifenil, naftila, indenila, antracenila ou tetra-hidronaftila;
- um radical “diarilalquila” representa um grupo que comporta no mesmo átomo de carbono de um grupo alquila dois grupos arila, idênticos ou diferentes, tal como difenilmetila ou 1,1-difeniletila;
- um “radical heteroarila” representa um grupo mono ou policíclico, condensado ou não, eventualmente catiônico, que compreende de 5 a 22 membros, de 1 a 6 heteroátomos escolhidos entre o átomo de nitrogênio, de oxigênio, de enxofre e de selênio, e do qual pelo menos um ciclo é aromático; preferencialmente um radical heteroarila é escolhido entre acridinila, benzimidazolila, benzobistriazolila, benzopirazolila, benzopiridazinila, benzoquinolila, benzotiazolila, benzotriazolila, benzoxazolila, piridinila, tetrazolila, diidrotiazolila, imidazopiridinila, imidazolila, indolila, isoquinolila, naftoimidazolila, naftooxazolila, naftopirazolila, oxadiazolila, oxazolila, oxazolopiridila, fenazinila, fenooxazolila, pirazinila, pirazolila, pirilila, pirazoiltriazila, piridila, piridinoimidazolila, pirrolila, quinolila, tetrazolila, tiadiazolila, tiazolila, tiazolopiridinila, tiazoilimidazolila, tiopirilila, triazolila, xantilila e seu sal de amônio;
- um radical “di-heteroarilalquila” representa um grupo que comporta no mesmo átomo de carbono de um grupo alquila dois grupamentos heteroarila, idênticos ou diferentes, tal como difurilmetila, 1,1-difuriletila, dipirrolilmetila, ditienilmetila;
- um “radical cíclico” é um radical cicloalquila não aromático, mono ou policíclico, condensado ou não, que contém de 5 a 22 átomos de carbono, que pode comportar de 1 a várias insaturações; particularmente o radical cíclico é um ciclo-hexila;
- um radical “cíclico estericamente impedido” é um radical cíclico,
Petição 870180001698, de 08/01/2018, pág. 25/77
12/51 aromático ou não, substituído ou não, impedido por efeito ou força estérica, que compreende de 6 a 14 membros, podendo ser em ponte; como radicais estericamente impedidos, podem ser citados: o biciclo[1.1.0]butano, os mesitilas, como o 1,3,5-trimetilfenila, o 1,3,5-triterbutilfenila, o 1,3,5isobutilfenila, o 1,3,5-trimetilsililfenila e a adamantila.
- um “radical heterocíclico ou heterociclo” é um radical não aromático mono ou policíclico, condensado ou não, que contém de 5 a 22 membros, que comporta de 1 a 6 heteroátomos escolhidos entre o átomo de nitrogênio, de oxigênio, de enxofre e de selênio;
- um “radical alquila” é um radical hidrocarbonado com C1-C16, linear ou ramificado, de preferência com C1-C8,
- a expressão “eventualmente substituído” atribuída ao radical alquila subentende que o referido radical pode ser substituído por um ou mais radicais escolhidos entre os radicais i) hidróxi, ii) alcóxi com C1-C4, iii) acilamino, iv) amino eventualmente substituído por um ou dois radicais alquila, idênticos ou diferentes, com C1-C4, os referidos radicais alquila podem formar com o átomo de nitrogênio que os portam um heterociclo que compreende de 5 a 7 membros, que compreende, eventualmente, outro heteroátomo diferente ou não do nitrogênio; v) ou um grupo amônio quaternário -N+R’R”R’”, M-, para o qual R’, R”, R’”, idênticos ou diferentes, representam um átomo de hidrogênio, ou um grupo alquila com C1-C4, ou então, -N+R’R”R’”, forma um heteroarila tal como imidazólio eventualmente substituído por um grupo C1-C4 alquila, e M representa o contra-íon do ácido orgânico, inorgânico ou do halogeneto correspondente.
- um “radical alcóxi” é um radical alquila-óxi ou alquil-O-, para o qual o radical alquila é um radical hidrocarbonado, linear ou ramificado, com C1-C16, preferencialmente com C1-C8;
- um “radical alquiltio” é um radical alquil-S- para o qual o radical
Petição 870180001698, de 08/01/2018, pág. 26/77
13/51 alquila é um radical hidrocarbonado, linear ou ramificado, com C1-C16, preferencialmente, com C1-C8;
quando o grupo alquiltio é eventualmente substituído, isso subentende que o grupo alquila é eventualmente substituído como anteriormente definido.
- os limites delimitando a extensão de uma faixa de valores estão compreendidos nessa faixa de valores.
- um “sal de ácido orgânico ou inorgânico” é, mais particularmente, escolhido entre um sal derivado i) de ácido clorídrico HCl, ii) de ácido bromídrico HBr, iii) de ácido sulfúrico H2SO4, iv) de ácidos alquilsulfônicos: Alq-S(O)2OH, tais como de ácido metilsulfônico e de ácido etilsulfônico; v) de ácidos arilsulfônicos: Ar-S(O)2OH, tal como de ácido benzeno sulfônico e de ácido tolueno sulfônico; vi) de ácido cítrico; vii) de ácido sucínico; viii) de ácido tartárico; ix) de ácido láctico; x) de ácidos alcóxisulfínicos: Alq-O-S(O)OH, tais como de ácido metóxi-sulfínico e de ácido etóxi-sulfínico; xi) de ácidos arilóxi-sulfínicos, tais como de ácido toluenóxisulfínico e de ácido fenóxi-sulfínico; xii) de ácido fosfórico H3PO4; xiii) de ácido acético CH3COOH; xiv) de ácido tríflico CF3SO3H e xv) de ácido tetrafluorobórico HBF4.
- um “contra-íon aniônico” é um ânion ou um grupo aniônico associado à carga catiônica do corante; mais particularmente, o contra-íon aniônico é escolhido entre: i) os halogenetos, tais como o cloreto, o brometo; ii) os nitratos; iii) os sulfonatos, entre os quais os C1-C6 alquilsulfonatos: AlqS(O)2O-, tais como o metilsulfonato ou mesilato e etilsulfonato; iv) os arilsulfonatos: Ar-S(O)2O-, tal como os benzeno-sulfonato e o toluenosulfonato ou tosilato; v) o citrato; vi) o sucinato; vii) o tartarato; viii) o lactato; ix) os alquilsulfatos: Alq-O-S(O)O-, tais como o metilsulfato e o etilsulfato; x) os arilsulfatos: Ar-O-S(O)O-, tais como o benzeno-sulfato e o tolueno-sulfato;
Petição 870180001698, de 08/01/2018, pág. 27/77
14/51 xi) os alcóxi-sulfatos: Alq-O-S(O)2-O- tal como o metóxi-sulfato e o etóxisulfato; xii) os ariloxi-sulfatos: Ar-O-S(O)2O-; xiii) o fosfato; xiv) o acetato; xv) o triflato; e xvi) os boratos, tais como o tetrafluoroborato.
[033] Os corantes fluorescentes de fórmula (I) ou (II) são compostos capazes de absorver na radiação UV ou visível a um comprimento de onda Àabs compreendido entre 250 e 800 nm e capazes de reemitirem no campo do visível a um comprimento de onda de emissão Àem compreendido entre 400 e 800 nm.
[034] De preferência, os compostos fluorescentes tióis da presente invenção são corantes capazes de absorverem no visível Àabs compreendido entre 400 e 800 nm e de reemitirem no visível Àem compreendido entre 400 e 800 nm. Mais preferencialmente, os corantes fluorescentes de fórmula (I) ou (II) são corantes capazes de absorverem a um Àabs compreendido entre 420 nm e 550 nm e de reemitirem no visível a um Àem compreendido entre 470 e 600 nm.
[035] Os compostos fluorescentes de fórmula (II) da presente invenção contêm uma função SY que pode ser encontrada na forma covalente -S-Y ou iônica -S-Y+ de acordo com a natureza de Y e do pH do meio.
[036] Um modo particular trata dos corantes fluorescentes tióis com grupo de fórmula (II), com função SY, em que Y representa um átomo de hidrogênio ou um metal alcalino. Vantajosamente, Y representa um átomo de hidrogênio.
[037] De acordo com outro modo de realização particular da presente invenção, na fórmula (II) anteriormente citada, Y é um grupo protetor conhecido pelo técnico no assunto como, por exemplo, os descritos nas obras: “Protective Groups in Organic Synthesis”, T. W. Greene, John Willey & Sons ed., NY, 1981, pp.193-217; “Protecting Groups”, P. Kocienski, Thieme, 3rd ed., 2005, cap.5.
[038] Particularmente, quando Y representa um grupo protetor da
Petição 870180001698, de 08/01/2018, pág. 28/77
15/51 função tiol, Y é escolhido entre os seguintes radicais:
(C1-C4)alquilcarbonila;
(C1-C4)alquiltiocarbonila;
(C1-C4)alcoxicarbonila;
(C1-C4)alcoxitiocarbonila;
(C1-C4)alquiltio-tiocarbonila;
(di) (C1-C4) (alquil)aminocarbonila;
(di) (C1-C4) (alquil)aminotiocarbonila;
arilcarbonila como fenilcarbonila;
ariloxicarbonila;
aril (C1-C4)alcoxicarbonila;
(di) (C1-C4) (alquil)aminocarbonila como dimetilaminocarbonila;
(C1-C4)(alquil)arilaminocarbonila;
carbóxi;
SO3-, M+ com M+ representando um metal alcalino, tal como o sódio ou o potássio, ou então M' da fórmula (II) e M+ estão ausentes;
arila eventualmente substituído, tal como o fenila, dibenzosuberil, ou 1,3,5-ciclo-heptatrienila, heteroarila eventualmente substituído; do qual, em particular, o heteroalila catiônico ou não, que compreende de 1 a 4 heteroátomos citados a seguir:
i) monocíclicos com 5, 6 ou 7 membros, tais como furanila ou furila, pirrolila ou pirrila, tiofenila ou tienila, pirazolila, oxazolila, oxazólio, isoxazolila, isoxazólio, tiazolila, tiazólio, isotiazolila, isotiazólio, 1,2,4-triazolila,
1.2.4- triazólio, 1,2,3-triazolila, 1,2,3-triazólio, 1,2,4-oxazolila, 1,2,4-oxazólio,
1.2.4- tiadiazolila, 1,2,4-tiadiazólio, pirílio, tiopiridila, piridínio, pirimidinila, pirimidínio, pirazinila, pirazínio, piridazinila, piridazínio, triazinila, triazínio,
Petição 870180001698, de 08/01/2018, pág. 29/77
16/51 tetrazinila, tetrazínio, azepina, azepínio, oxazepinila, oxazepínio, tiepinila, tiepínio, imidazolila, imidazólio;
ii) bicíclicos com 8 a 11 membros, tais como o indolila, indolínio, benzoimidazolila, benzoimidazólio, benzoxazolila, benzoxazólio, diidrobenzoxazolinila, benzotiazolila, benzotiazólio, piridoimidazolila, piridoimidazólio, tienociclo-heptadienila, esses grupos mono- ou bicíclicos sendo eventualmente substituídos por um ou mais grupos, tais como (C1C4)alquila, como metila ou poli-halogênio (C1-C4)alquila, como trifluorometila;
iii) ou tricíclico ABC como a seguir:
no qual os dois ciclos A, C comportam, eventualmente, um heteroátomo, e o ciclo B_é um ciclo com 5, 6 ou 7 membros particularmente com 6 membros e contém, pelo menos, um heteroátomo como piperidila, piranila;
heterocicloalquila eventualmente substituído, eventualmente catiônico, o grupo heterocicloalquila representa, em particular, um grupo monocíclico saturado ou parcialmente saturado, com 5, 6 ou 7 membros, que compreende de 1 a 4 heteroátomos escolhidos entre o oxigênio, o enxofre e o nitrogênio, tal como di/tetra-hidrofuranila, di/tetra-hidrotiofenila, di/tetra-hidropirrolila, di/tetra-hidropiranila, di/tetra/hexa-hidrotiopiranila, diidropiridila, piperazinila, piperidinila, tetrametilpiperidinila, morfolinila, di/tetra/hexa-hidroazepinila, di/tetra-hidropirimidinila, sendo esses grupos eventualmente substituídos por um ou mais grupos como (C1-C4) alquila, oxo ou tioxo; ou o heterociclo representa o seguinte grupo:
Petição 870180001698, de 08/01/2018, pág. 30/77
17/51
R'\ R,g
K
N'
N^/
-R ,(CR'eR'f)v
R'
An em que R’c, R’d, R’e, R’f, R’g, e R’h , idênticos ou diferentes, representam um átomo de hidrogênio ou um grupo (C1-C4) alquila, ou então dois grupos R’g com R’h, e/ou R’e com R’f formam um grupo oxo ou tioxo, ou então, R’g com R’e formam juntos um cicloalquila; e v representa um número inteiro compreendido inclusivamente entre 1 e 3; preferencialmente R’c a R’h representam um átomo de hidrogênio; e An- representa um contra-íon;
isotiurônio -C(NR’cR’d) = N+R’eR’f; An- com R’c, R’d, R’e e R’f, idênticos ou diferentes representam um átomo de hidrogênio ou um grupo (C1-C4)alquila; preferencialmente R’c a R’f representam um átomo de hidrogênio; e An- representa um contra-íon isotiuréia -C(NR’cR’d) = NR’e; com R’c, R’d e R’e tais como definidos anteriormente;
(di)aril((C1-C4)alquila eventualmente substituído, tal como o 9-antracenilmetila, fenilmetila ou difenilmetila eventualmente substituído por um ou mais grupos, em particular, escolhidos entre (C1-C4)alquila, (C1-C4)alcóxi como o metóxi, hidróxi, (C1-C4)alquilcarbonila, (di) (C1-C4) (alquil)amino como o dimetilamino;
(di)heteroaril(C1-C4)alquila eventualmente substituído, o grupo heteroarila é, em particular, catiônico ou não, monocíclico, que compreende 5 ou 6 membros e de 1 a 4 heteroátomos escolhidos entre o nitrogênio, o oxigênio e o enxofre, tais como os grupos pirrolila, furanila, tiofenila, piridila, piridila N-óxido, tais como o 4-piridila ou 2-piridil-N-óxido, pirílio, piridínio, triazinila, eventualmente substituído por um ou mais grupos tais
Petição 870180001698, de 08/01/2018, pág. 31/77
18/51 como alquila, particularmente, metila, vantajosamente o (di)heteroaril(CiC4)alquila é (di)heteroarilmetila ou (di)heteroariletila;
CR1R2R3 com R1, R2 e R3 idênticos ou diferentes, representam um átomo de halogênio ou um grupo escolhido entre:
- (C1-C4) alquila;
- (C1-C4) alcóxi;
- arila eventualmente substituído como pelo fenila eventualmente substituído por um ou mais grupos como (C1-C4)alquila, (C1-C4)alcóxi, hidróxi;
- heteroarila eventualmente substituído como pelo tiofenila, furanila, pirrolila, piranila, piridila, eventualmente substituído por um grupo (C1C4)alquila;
- P(Z1)R’1R’2R’3 com R'1, e R'2 idênticos ou diferentes, representam um grupo hidróxi, (C1-C4)alcóxi ou alquila, R'3 representa um grupo hidróxi ou (C1-C4)alcóxi, e Z1 representa um átomo de oxigênio ou de enxofre;
cíclico estericamente impedido, tal como o grupo adamantila; e alcóxi(C1-C4)alquila, eventualmente substituído como pelos metoximetila (MOM), etoxietila (EOM) e isobutoximetila.
[039] De acordo com um modo de realização particular, os corantes fluorescentes tióis protegidos de fórmula (II) comportam um grupo Y i) heteroarila monocíclico com 5 ou 6 membros aromáticos, catiônicos, que compreende de 1 a 4 heteroátomos escolhidos entre o oxigênio, o enxofre e o nitrogênio, tais como oxazólio, isoxazólio, tiazólio, isotiazólio, 1,2,4-triazólio, 1,2,3-triazólio, 1,2,4-oxazólio, 1,2,4-tiadiazólio, pirílio, piridínio, pirimidínio, pirazinila, pirazínio, piridazínio, triazínio, tetrazínio, oxazepínio, tiepinila, tiepínio, imidazólio; ii) heteroarila bicíclico com 8 a 11 membros, catiônico, tais como indolínio, benzoimidazólio, benzoxazólio, benzotiazólio, esses grupos
Petição 870180001698, de 08/01/2018, pág. 32/77
19/51 heteroarilas mono- ou bicíclicos são eventualmente substituídos por um ou mais grupos tais como alquila, como metila, ou poli-halogênio(C1-C4)alquila, como trifluorometila; iii) ou heterocíclico, como segue:
An- em que R'c e R'd, idênticos ou diferentes, representam um átomo de hidrogênio ou um grupo (C1-C4)alquila; preferencialmente R'c a R'd representam um grupo (C1-C4)alquila, tal como metila; e An- representa um contra-íon.
[040] Particularmente, Y representa um grupo escolhido entre oxazólio, isoxazólio, tiazólio, isotiazólio, 1,2,4-triazólio, 1,2,3-triazólio, 1,2,4oxazólio, 1,2,4-tiadiazólio, pirílio, piridínio, pirimidínio, pirazínio, piridazínio, triazínio e imidazólio, benzoimidazólio, benzoxazólio, benzotiazólio, esses grupos são eventualmente substituídos por um ou mais grupos (C1-C4) alquila, particularmente, metila.
[041] Em particular, Y representa um metal alcalino ou um grupo protetor tal como:
> (C1-C4)alquilcarbonila como metilcarbonila ou etilcarbonila;
> arilcarbonila como fenilcarbonila;
> (C1-C4)alcoxicarbonila;
> ariloxicarbonila;
> aril(C1-C4)alcoxicarbonila;
> (di) (C1-C4) (alquil)aminocarbonila como dimetilaminocarbonila;
> (C1-C4)(alquil)arilaminocarbonila;
Petição 870180001698, de 08/01/2018, pág. 33/77
20/51 > arila eventualmente substituído, como pelo fenila;
> heteroarila monocíclico com 5 ou 6 membros, tais como imidazolila ou piridila;
> heteroarila monocíclico catiônico com 5, 6 membros tais como pirílio, piridínio, pirimidínio, pirazínio, piridazínio, triazínio, imidazólio; esses grupos são eventualmente substituídos por um ou mais, idênticos ou diferentes grupos (C1-C4)alquila, como metila;
> heteroarila bicíclico catiônico com 8 a 11 membros, tais como benzoimidazólio ou o benzoxazólio; esses grupos são eventualmente substituídos por um ou mais, idênticos ou diferentes grupos (C1-C4)alquila, tal como metila;
> heterociclo catiônico da seguinte fórmula:
Me \
Me
An- > isotiurônio -C(NH2) = N+H2; An- > isotiuréia -C(NH2) = NH; ou > SO3-, M+ com M+ representando um metal alcalino tal como o sódio ou o potássio ou, então, M' da fórmula (II) e M+ estão ausentes.
[042] De acordo com um modo particular da presente invenção, os corantes da presente invenção pertencem à fórmula (Ia) ou (Ila) que possuem um grupo etileno que liga a parte piridínio à fenila em posição orto ou para do piridínio seja em 2-4'; 4-2', 4-4':
Petição 870180001698, de 08/01/2018, pág. 34/77
21/51
R,
R
R''' g
R'' h M'
M' r'~~ ch ) R, ch-S--S- (CH ) i \ 2 p _l_ // - / 1 1 ol 3 \ ΓΤ
ZN-, r-w, 2T3'
R' (CH2)—R'' /AN\
V 3 2 4' R’ R'| (Ia)
M'
R' R\ 4 Λ (CH2)-R'''
-(CH2)p | 3
R'''h R''''
R''
Rg λ N—(CH2)—S Y \=z/ 1 \ 3
R' R'h (Ila) com R, R’, R”, R’”, Rg, R’g, R”g, R’”g, Rh, R’h, R”h, R’”h, R’i, R”i, R’”i, R””i, m, m’, p, p’, q, q’, Y e M’ sendo tais como definidos anteriormente. Particularmente, Rh, R”h encontram-se em orto do grupo piridínio e R’h, R”h representam um átomo de hidrogênio. Outro aspecto da presente invenção trata dos corantes de fórmula (Ia) ou (IIa) que possuem grupamentos Rg, R”g em posição3’ e R’g/R”g que representam um átomo de hidrogênio.
[043] Vantajosamente, os corantes de fórmula (Ia) ou (Ila) possuem seu grupo amino: R’(CH2)p-N-(CH2)q-R e/ou R”(CH2)p-N-(CH2)q’-R’” em posição 1’.
[044] A título de exemplo de corantes fluorescentes tióis, podem s' 1^=/4' (CHh 2T3'
R'
Petição 870180001698, de 08/01/2018, pág. 35/77
22/51
| 2 | |
| ^S-S^ 2M' | |
| 3 | |
| X· í ) 1 í 1 4M' ' x r-1 S-S \ + | HO ^N^^^—^^\=/ ^Vsh HO M' |
| 4 | 5 |
| —\=J ”\_sh HO M' | HO^ _/ / N+=Z 2M' s-s^ ,—f OH |
| 6 | 7 |
| XN+ ' m' | \ N^ _J/~^ + N —/T\=J ^Vsh ' M' |
| 8 | 9 |
| ^=7 ^^SH HO M' | XN^^A—F~Ó=J ””\_sh HO \ M' |
| 10 | 11 |
| HO^ _/ /N HS^ m' | HO PÁ/Α/Λ HO j_/N+=7 HS M' |
| 12 | 13 |
Petição 870180001698, de 08/01/2018, pág. 36/77
23/51
| HO c % HO ' _/ N+=^ HS M' | N=Z /—* S-S 2M' /=N+ Vj^V/=Vnh |
| 14 | 15 |
| HO HO ' _ 2M' z=N* OH í / > / \ N ί / OH | ΧΝ~ΟΛ^ΤΛ 7 ,N+^ 4M' / X /— S-S (r/,xn+ |
| 16 | 17 |
| nC/nA_ N^—/T\=J ^^SH H ^=7 M' | 0^ _PnS N^^A—//\=J ^^SH H ^=7 M' |
| 18 | 19 |
| HO HO 1 2M' | OH NH ^N'^ ^=7 2M' |
| 20 | 21 |
| 2M' | /!— //-5, HnU JT^urC-jNy/N 2M' |
| 22 | 23 |
| HO N^/ HO^ M' | / \=y^Mp\ HO _Z N=7 ,—/ 2M' S . w -N^ |
| 24 | 25 |
Petição 870180001698, de 08/01/2018, pág. 37/77
24/51
[045] Os corantes tióis protegidos de fórmula (II’) podem ser sintetizados em duas etapas. A primeira etapa consiste em preparar o corante tiol não protegido (II-H) de acordo com os métodos conhecidos do técnico no assunto, como, por exemplo, “Thiols and organic Sulfides”, “Thiocyanates and Isothiocynates, organic”, Ullmann's Encyclopedia, Wiley-VCH, Weinheim, 2005. E a segunda etapa consiste em proteger a função tiol segundo os métodos clássicos conhecidos pelo técnico no assunto para conduzir aos corantes tióis
Petição 870180001698, de 08/01/2018, pág. 38/77
25/51 protegidos de fórmula (II’). A título de exemplo para proteger a função tiol -SH do corante tiol, podem ser utilizados os métodos das obras “Protective Groups in Organic Synthesis, T. W. Greene, John Willey & Sons ed., NY, 1981, pp.193-217; “Protecting Groups”, P. Kocienski, Thieme, 3rd ed., 2005, cap.5.
[046] Pode-se ilustrar este método pelo método que consiste em 1) gerar corantes fluorescentes tióis de fórmula (II-H) por redução de um corante fluorescente com dois cromóforos, que porta uma função dissulfeto -SS (I’) e ii) em proteger de acordo com os métodos clássicos a referida função tiol de (IhH) com o reagente 7 Y'R para ter acesso aos corantes fluorescentes tióis protegidos de fórmula (II’). O composto tiol 6 pode, também, ser metalado com um metal alcalino ou alcalino-terroso Met* para conduzir ao corante fluorescente tiolato de fórmula (II”).
g
Y'R
- Y'H (II-H) metilação
g com Y' representando um grupo protetor de função tiol; Met*
Petição 870180001698, de 08/01/2018, pág. 39/77
26/51 representando um metal alcalino ou um metal alcalino-terroso, particularmente o sódio ou o potássio, ficando entendido que quando o metal é um metal alcalino-terroso, 2 cromóforos com função tiolato-S- podem ser associados a 1 Metal2+;
e com R, R', Rg, R'g, Rh, R'h, R'i, R”i, m, p, q e M' são tais como definidos anteriormente; Y' representa um grupo protetor de função tiol; e R de Y'R representa um grupo de saída nucleófugo, como por exemplo, mesilato, tosilato, triflato ou halogeneto.
[047] Poder-se-á também utilizar um reagente Y'-SH que compreende um grupo Y' tal como definido anteriormente, cuja função nucleófila SH pode reagir com o átomo de carbono em alfa do átomo de halogênio portado pelo cromóforo fluorescente (al) para conduzir ao corante fluorescente tiol protegido de fórmula (II’):
R
ÍOlHS-Y'
- HHa* (II') com R, R', Rg, R'g, Rh, R'h, R'i, R”i, m, p, q e M', (II') sendo tais como definidos anteriormente, e Hal representando um átomo de halogênio nucleófugo tal como o bromo, o iodo ou o cloro.
[048] Mais particularmente, poder-se-á substituir um grupo de saída nucleófugo por um grupo tiuréia (S=C(NRR)NRR) para gerar os isotiurônios. Por exemplo, se o grupo tiuréia é um tioimidazolínio (β), o esquema reacional é o seguinte:
g
Petição 870180001698, de 08/01/2018, pág. 40/77
27/51 com R, R', Rg, R'g, Rh, R'h, R'i, R”i, m, p, q e M' são tais como definidos anteriormente.
[049] Uma variante é utilizar no lugar do halogeneto que compreende o cromóforo fluorescente (a’) um cromóforo que compreende outro tipo de nucleófugo tal como o tosilato, mesilato.
[050] Como exemplo, um composto que contém um grupo tiol protegido, contém um grupo de saída nucleófugo R, como, por exemplo, mesilato, tosilato ou triflato que pode sofrer o ataque nucleófilo da amina portada pelo cromóforo fluorescente estirílico:
N
R
RO- +
'SY' [051] Outra alternativa provém do uso de halogenetos como grupo de saída nucleófugo em um composto tiol que pode ser substituído por uma função amina primária, por exemplo, portada por um cromóforo fluorescente estirílico:
N
R
NHal- g
'SY' [052] De acordo com outra possibilidade, os corantes fluorescentes tióis de fórmula (II) de acordo com a presente invenção podem ser obtidos por reação de um composto que compreende um grupo tiol Y tal como definido anteriormente e um grupo eletrófilo (f) com um composto piridínio que compreende um grupo nucleófilo. Como exemplo, poder-se-á condensar um aldeído, cetona ou um tioaldeído, tiocetona quando G'
Petição 870180001698, de 08/01/2018, pág. 41/77
28/51 representar um átomo de oxigênio ou um enxofre com um “metileno ativado”, tal como o alquilpiridínio (e) para gerar uma ligação etilênica >C=C<. Essa reação é comumente chamada de condensação de “Knoevenagel”. Por “metilenos ativados” subentende-se os que comportam preferencialmente em posição 2 ou 4 do grupo piridínio um grupo metileno Ri-CH2-:
Rh R,·
A
R-ccH^yv
R'
M' //'V-(0H2)-sy
- H2G' (I)
R'
R' ííi íei com R, R', Rg, R'g, Rh, R'h, R'i, R”i, m, p, q, Y e M' tais como definidos anteriormente e G' representando um átomo de oxigênio ou de enxofre.
[053] Poder-se-á consultar a obra Advanced Organic Chemistry, “Reactions, Mechanisms and Structures”, J. March, 4rd Ed, John Willey & Sons, 1992 ou T. W. Greene “Protective Groups in Organic Synthesis”, para obter mais detalhes sobre as condições operacionais utilizadas para os processos mencionados acima.
[054] Os corantes fluorescentes tióis formados podem ser transformados em corantes fluorescentes tióis protegidos -S Y' pela proteção do tiol -SH, utilizando-se os grupos protetores clássicos. Os corantes fluorescentes tióis são metalados utilizando-se, também, os métodos clássicos conhecidos pelo técnico no assunto, tais como os descritos em Advanced Organic Chemistry, “Reactions, Mechanisms and Structures”, J. March, 4rd Ed, John Willey & Sons, NY, 1992.
[055] Os corantes tióis protegidos podem ser desprotegidos por vias clássicas, tais como as descritas nas obras “Protective Groups in Organic Synthesis, T. W. Greene, John Willey & Sons ed., NY, 1981; “Protecting Groups”, P. Kocienski, Thieme, 3rd ed., 2005.
Petição 870180001698, de 08/01/2018, pág. 42/77
29/51 [056] Os reagentes de saída são comerciais ou acessíveis pelos métodos clássicos conhecidos pelo técnico no assunto. A título de exemplo, é possível sintetizar o corante fluorescente tiol simétrico (I’) a partir de 2 equivalentes de derivado piridínico 1 e um equivalente de reagente dissulfeto que compreende dois grupos de saída Gp, para conduzir ao sal de dipiridínio dissulfeto 3 que pode se condensar, por sua vez, com dois equivalentes de composto arila com grupo aldeído/tioaldeído 4 para conduzir a (I’).
R
R,\X=
Lg-(CH2US
Lg (Cu,. S
R·,
R
VLg (CH.)
S—
Lg'(CHJm x=
R
R'h
R R'_(C\2)p R 2 /N Rg G'
R—(CH2), ííi
Knoevenagel (I')
H2G com Gp representando um grupo de saída nucleófugo, como por exemplo, mesilato, tosilato, triflato ou halogeneto. Os contra-íons Gp- dos compostos (I’) acima, podem ser substituídos por contra-íons M' de naturezas diferentes a partir de métodos conhecidos pelo técnico no assunto, em particular, por resina trocadora de íon.
[057] Os corantes dissulfetos dissimétricos de fórmula (I) podem ser sintetizados em uma etapa, fazendo-se reagir um corante fluorescente tiol não protegido com um corante fluorescente tiol protegido por Y' para formar o corante dissulfeto de fórmula (I).
g
Petição 870180001698, de 08/01/2018, pág. 43/77
30/51 com R, R', R”, R'”, Rg, R’g, R”g, R’”g, Rh, R'h, R”h, R'”h, Ri, R'i, R”i, R'”i, m, m', p, p', q, q' e M' sendo tais como definidos anteriormente; Y' representa um grupo de função tiol.
[058] Poder-se-á consultar a obra Advanced Organic Chemistry, “Reactions, Mechanisms and Structures”, J. March, 4rd Ed, John Willey & Sons, 1992 ou T. W. Greene “Protective Groups in Organic Synthesis”, para obter mais detalhes sobre as condições operacionais utilizadas para os processos mencionados acima.
[059] Os corantes fluorescentes tióis formados podem ser transformados em corantes fluorescentes tióis protegidos -S Y' pela proteção do tiol-SH, utilizando-se grupos protetores clássicos. Os corantes fluorescentes tióis são metalados, utilizando-se igualmente os métodos clássicos conhecidos pelo técnico no assunto, tais como os descritos em Advanced Organic Chemistry, “Reactions, Mechanisms and Structures”, J. March, 4rd Ed, John Willey & Sons, NY,1992.
[060] Os corantes tióis protegidos podem ser desprotegidos por vias clássicas, como as descritas nas obras “Protective Groups in Organic Synthesis, T. W. Greene, John Willey & Sons ed., NY, 1981; “Protecting Groups”, P. Kocienski, Thieme, 3rd ed., 2005.
[061] A composição da presente invenção contém, pelo menos, um corante fluorescente de fórmula (I) ou (II). Além da presença de, pelo menos, um corante fluorescente de fórmula (I) ou (II), a composição da presente invenção pode, igualmente, conter um agente redutor.
[062] Esse agente redutor pode ser escolhido entre os tióis, como por exemplo, a cisteína, a homocisteína, o ácido tioláctico, os sais desses tióis, as fosfinas, o bissulfito, os sulfitos e o ácido tioglicólico, bem como seus ésteres, de preferência o monotioglicolato de glicerol, e o tioglicerol. Esse agente redutor pode, também, ser escolhido entre os boroidretos e seus
Petição 870180001698, de 08/01/2018, pág. 44/77
31/51 derivados, como, por exemplo, os sais do boroidreto, do cianoboroidreto, do triacetoxiboroidreto, do trimetoxiboroidreto: sais de sódio, lítio, potássio, cálcio, amônios quaternários (tetrametilamônio, tetraetilamônio, tetra-n-butilamônio, benziltrietilamônio); o catecolborano.
[063] A composição de tintura útil na presente invenção contém em geral uma quantidade de corante fluorescente de fórmula (I) ou (II) compreendida entre 0,001 e 50%, em relação ao peso total da composição. De preferência, essa quantidade está compreendida entre 0,005 e 20% em peso, e mais preferencialmente ainda entre 0,01 e 5% em peso, em relação ao peso total da composição.
[064] A composição de tintura pode conter, ainda, corantes diretos adicionais. Esses corantes diretos são, por exemplo, escolhidos entre os corantes diretos nitrados benzênicos neutros, ácidos ou catiônicos, os corantes diretos azóicos neutros, ácidos ou catiônicos, os corantes tetraazapentametínicos, os corantes quinônicos e, em particular, antraquinônicos neutros, ácidos ou catiônicos, os corantes diretos azínicos, os corantes diretos triarilmetânicos, os corantes diretos indoaminícos e os corantes diretos naturais.
[065] Entre os corantes diretos naturais, podem ser citados a lawsona, a juglona, a alizarina, a purpurina, o ácido carmínico, o ácido quermésico, a purpurogalina, o protocatecaldeído, o índigo, a isatina, a curcumina, a espinulosina, a apigenidina. Podem ser também utilizados os extratos ou decocções que contêm esses corantes naturais e, em particular, as cataplasmas ou os extratos à base de henna.
[066] A composição de tintura pode conter uma ou mais bases de oxidação e/ou um ou mais acopladores convencionalmente utilizados para a tintura de fibras queratínicas.
[067] Entre as bases de oxidação, podem ser citadas as paraPetição 870180001698, de 08/01/2018, pág. 45/77
32/51 fenilenodiaminas, as bis-fenilalquilenodiaminas, os para-aminofenóis, os bispara-aminofenóis, os orto-aminofenóis, as bases heterocíclicas e seus sais de adição.
[068] Entre esses acopladores, podem-se citar, em particular, as meta-fenilenodiaminas, os meta-aminofenóis, os meta-difenóis, os acopladores naftalênicos, os acopladores heterocíclicos e seus sais de adição.
[069] O ou os acopladores estão cada um, geralmente, presentes em uma quantidade compreendida entre 0,001 e 10% em peso, do peso total da composição de tintura, de preferência entre 0,005 e 6%.
[070] A ou as bases de oxidação presentes na composição de tintura estão, em geral, presentes cada uma em uma quantidade compreendida entre 0,001 e 10% em peso, do peso total da composição de tintura, de preferência entre 0,005 e 6% em peso.
[071] De modo geral, os sais de adição das bases de oxidação e dos acopladores utilizáveis no âmbito da presente invenção são escolhidos, em particular, entre os sais de adição com um ácido tais como os cloridratos, os bromidratos, os sulfatos, os citratos, os sucinatos, os tartaratos, os lactatos, os tosilatos, os benzenossulfonatos, os fosfatos e os acetatos e os sais de adição com uma base, tais como os hidróxidos de metal alcalino como a soda, a potassa, a amônia, as aminas ou as alcanolaminas.
[072] O meio apropriado para a tintura, também chamado de suporte de tintura, é um meio cosmético geralmente constituído por água ou por uma mistura de água e de pelo menos um solvente orgânico. Como solvente orgânico, podem ser citados, por exemplo, os alcanóis inferiores com C1-C4, tais como o etanol e o isopropanol; os polióis e éteres de polióis como o 2-butoxietanol, o propilenoglicol, o monometiléter de propilenoglicol, o monoetiléter e o monometiléter de dietilenoglicol, bem como os álcoois aromáticos como o álcool benzílico ou o fenoxietanol, e suas misturas.
Petição 870180001698, de 08/01/2018, pág. 46/77
33/51 [073] Os solventes, quando presentes, estão de preferência presentes em proporções compreendidas aproximadamente entre 1 e 40% em peso, em relação ao peso total da composição de tintura e, mais preferencialmente ainda, entre 5 e 30% em peso aproximadamente.
[074] De acordo com uma variante, a presente invenção contém um agente redutor capaz de reduzir as ligações dissulfetos da queratina e/ou do corante de fórmula (I). Esse agente redutor é tal como definido anteriormente.
[075] A composição de tintura pode também conter diversos adjuvantes utilizados classicamente nas composições para a tintura dos cabelos, tais como agentes tensoativos aniônicos, catiônicos, não-iônicos, anfóteros, zwiteriônicos ou suas misturas, polímeros aniônicos, catiônicos, nãoiônicos, anfóteros, zwiteriônicos ou suas misturas, agentes espessantes minerais ou orgânicos, e em particular os espessantes associativos polímeros aniônicos, catiônicos, não iônicos e anfóteros, agentes antioxidantes, agentes de penetração, agentes seqüestrantes, perfumes, tampões, agentes dispersantes, agentes de condicionamento tais como, por exemplo, silicones voláteis ou não voláteis, modificados ou não, tais como os silicones aminados, agentes filmogênios, ceramidas, agentes conservantes, agentes opacificantes, polímeros condutores.
[076] Os adjuvantes citados acima estão, em geral, presentes em uma quantidade compreendida para cada um deles entre 0,01 e 20% em peso, em relação ao peso da composição.
[077] Evidentemente, o técnico no assunto tomará todos os cuidados para escolher esse ou esses eventuais compostos complementares de modo que as propriedades vantajosas intrinsecamente ligadas à composição de tintura de acordo com a presente invenção não sejam, ou não sejam substancialmente alteradas, pela ou pelas adjunções consideradas.
Petição 870180001698, de 08/01/2018, pág. 47/77
34/51 [078] O pH da composição de tintura está geralmente compreendido entre 3 e 14 aproximadamente, e de preferência entre 5 e 11 aproximadamente. Ele pode ser ajustado ao valor desejado por meio de agentes acidificantes ou alcalinizantes habitualmente utilizados em tintura das fibras queratínicas ou ainda por meio de sistemas tampões clássicos.
[079] Entre os agentes acidificantes, podem ser citados, a título de exemplo, os ácidos minerais ou orgânicos como o ácido clorídrico, o ácido ortofosfórico, o ácido sulfúrico, os ácidos carboxílicos como o ácido acético, o ácido tartárico, o ácido cítrico, o ácido láctico, os ácidos sulfônicos.
[080] Entre os agentes alcalinizantes podem-se citar, a título de exemplo, a amônia, os carbonatos alcalinos, as alcanolaminas tais como as mono-, di- e trietanolaminas bem como seus derivados, os hidróxidos de sódio ou de potássio e os compostos de fórmula (γ) indicada a seguir:
Ra1 a2
N W-N
Ra4 XRa3 na qual Wa é um resto propileno eventualmente substituído por um grupo hidróxi ou um radical alquila com C1-C4; Ra1, Ra2, Ra3 e Ra4, idênticos ou diferentes, representam um átomo de hidrogênio, um radical alquila com C1C4 ou hidroxialquila com C1-C4.
[081] A composição de tintura pode se apresentar em diversas formas, tais como em forma de líquido, de creme, de gel, ou em qualquer outra forma apropriada para realizar uma tintura das fibras queratínicas, e em particular, dos cabelos.
[082] De acordo com um modo de realização particular, no processo da presente invenção um agente redutor pode ser aplicado em prétratamento antes da aplicação da composição que contém, pelo menos, um corante fluorescente de fórmula (I) ou (II).
Petição 870180001698, de 08/01/2018, pág. 48/77
35/51 [083] Esse agente redutor pode ser escolhido entre os tióis, como por exemplo, a cisteína, a homocisteína, o ácido tioláctico, os sais desses tióis, as fosfinas, o bissulfito, os sulfitos, o ácido tioglicólico, bem como seus ésteres, de preferência o monotioglicolato de glicerol, e o tioglicerol. Esse agente redutor pode, também, ser escolhido entre os boroidretos e seus derivados, como, por exemplo, os sais do boroidreto, do cianoboroidreto, do triacetoxiboroidreto, do trimetoxiboroidreto: sais de sódio, lítio, potássio, cálcio, amônios quaternários (tetrametilamônio, tetraetilamônio, tetra-n-butilamônio, benziltrietilamônio); o catecolborano.
[084] Esse pré-tratamento pode ser de curta duração, em particular, de 0,1 segundo a 30 minutos, de preferência, de 1 minuto a 15 minutos, com um agente redutor tal como citado anteriormente.
[085] De acordo com outro processo, a composição que compreende pelo menos um corante fluorescente de fórmula (I) ou (II) contém, também, pelo menos um agente redutor tal como definido anteriormente. Essa composição é, então, aplicada nos cabelos.
[086] Quando o corante fluorescente tiol de fórmula (II) compreender um grupo Y protetor da função tiol, o processo da presente invenção pode ser precedido de uma etapa de desproteção, visando a restituir in situ a função SH.
[087] Como exemplo, é possível desproteger a função S-Y com Y grupo protetor, ajustando o pH como citado a seguir:
| Y: grupo protetor | desproteção |
| alquilcarbonila, | pH>9 |
| arilcarbonila, | pH>9 |
| alcoxicarbonila, | pH>9 |
| ariloxicarbonila, | pH>9 |
Petição 870180001698, de 08/01/2018, pág. 49/77
36/51
| arilalcoxicarbonila, | pH>9 |
| (di)(alquil)aminocarbonila, | pH>9 |
| (alquil)arilaminocarbonila | pH>9 |
| arila eventualmente substituído como por fenila, | pH>9 |
| heteroarila monocíclico com 5, 6 ou 7 membros, como o oxazólio; | pH>9 |
| heteroarila bicíclico com 8 a 11 membros, como benzoimidazólio ou benzoxazólio | pH>9 |
[088] A etapa de desproteção pode, também, ser realizada ao longo de uma etapa de pré-tratamento dos cabelos como, por exemplo, o prétratamento redutor dos cabelos.
[089] De acordo com uma variante, o agente redutor é acrescentado à composição de tintura que contém, pelo menos, um corante fluorescente de fórmula (I) ou (II) no momento do emprego.
[090] De acordo com outro processo, a composição que compreende pelo menos um corante fluorescente de fórmula (I) ou (II) contém, também, pelo menos um agente redutor, tal como definido anteriormente. Esta composição é, então, aplicada nos cabelos.
[091] De acordo com outra variante, o agente redutor é aplicado em pós-tratamento, após a aplicação da composição que contém, pelo menos, um corante fluorescente de fórmula (I) ou (II). A duração do pós-tratamento com o agente redutor pode ser curta, por exemplo, de 0,1 segundo a 30 minutos, de preferência, de 1 minuto a 15 minutos, com um agente redutor tal como descrito anteriormente. De acordo um modo de realização particular, o agente redutor é um agente de tipo tiol ou boroidreto, tal como descrito anteriormente.
[092] Um modo de realização particular da presente invenção trata de um processo em que o corante fluorescente de fórmula (I) ou (II) pode ser
Petição 870180001698, de 08/01/2018, pág. 50/77
37/51 aplicado diretamente nos cabelos sem redutores, isento de pré ou póstratamentos redutores.
[093] Um tratamento com um agente oxidante pode ser, eventualmente, associado. Poder-se-á utilizar qualquer tipo de agente oxidante clássico nesse campo. Assim, ele pode ser escolhido entre o peróxido de hidrogênio, o peróxido de uréia, os bromatos de metais alcalinos, os persais, como os perboratos e os persulfatos, bem como as enzimas entre as quais podem ser citadas as peroxidases, as óxido-redutases com 2 elétrons, tais como as uricases e as oxigenases com 4 elétrons, como as lacases. A utilização do peróxido de hidrogênio é particularmente preferida.
[094] Esse agente oxidante pode ser aplicado sobre as fibras antes ou após a aplicação da composição que contém, pelo menos, um corante fluorescente de fórmula (I) ou (II).
[095] A aplicação da composição de tintura de acordo com a presente invenção é geralmente realizada à temperatura ambiente. No entanto, ela pode ser realizada a temperaturas que variam de 20 a 180 °C.
[096] A presente invenção tem também por objeto um dispositivo com vários compartimentos ou “kit” de tintura, no qual um primeiro compartimento contém uma composição de tintura que compreende pelo menos um corante fluorescente de fórmula (I) ou (II) e um segundo compartimento contém um agente redutor capaz de reduzir as funções dissulfeto das matérias queratínicas.
[097] Um desses compartimentos pode, também, conter um ou vários outros corantes de tipo corante direto ou corante de oxidação.
[098] Ela trata também de um dispositivo com vários compartimentos no qual um primeiro compartimento contém uma composição de tintura que compreende, pelo menos, um corante fluorescente de fórmula (I) ou (II); um segundo compartimento contém um agente redutor capaz de
Petição 870180001698, de 08/01/2018, pág. 51/77
38/51 reduzir a ligação dissulfeto das matérias queratínicas; um terceiro compartimento contém um agente oxidante.
[099] Alternativamente, o dispositivo de tintura contém um primeiro compartimento que contém uma composição de tintura que compreende, pelo menos, um corante fluorescente tiol protegido de fórmula (II) e um segundo compartimento que contém um agente capaz de desproteger o tiol protegido para liberar o tiol.
[0100] Cada um dos dispositivos mencionados acima pode ser dotado de um meio que permite aplicar a mistura desejada sobre os cabelos, por exemplo, tal como os dispositivos descritos na patente FR2 586 913.
[0101] Os exemplos a seguir servem para ilustrar a presente invenção, sem possuírem, todavia, um caráter limitativo. Os corantes fluorescentes tióis dos exemplos abaixo foram totalmente caracterizados pelos métodos espectroscópicos e espectrométricos clássicos.
Exemplos
Exemplos de síntese
Exemplo 1
SÍNTESE DO DIMETANO SULFONATO DE 1,1’-(DISSULFANODIILDIETANO-2,1-DIIL)BIS[4((E)-2-{4-[bis(2-hidroxietil)amino1fenil}vinil)piridínio1 [1]
OH
HO,
r1
OH
OH
O [1]
Petição 870180001698, de 08/01/2018, pág. 52/77
39/51
Esquema de síntese ho^s.s^oh
--SrC|
O
O..O 'so^—-s's'
2JC
X
TEA
EtOAc OO
NMP
N&
O
II _ 2 — s-o
II
O
O
HO
HO.
N
H
OH \ Ί iPrOH AcOH
OH
OH [1]
Modo Operacional
OH O ii _ 2 — s-o
O
Etapa 1: Síntese do dissulfanodiildietano-2,1-diil dimetanossulfonato [0102] 10 g de 2,2’-ditiodietanol e 14,44 g de trietilamina (TEA) são diluídos em 100 ml de AcOEt. A 0 °C, 16,35 g de cloreto de metanossulfonila diluídos em 35 ml de AcOEt são adicionados gota a gota ao meio reacional sob agitação rápida. 7,22 g de TEA são acrescentados, a agitação continua à temperatura ambiente durante 4h30. 8,2 g de cloreto de metanossulfonila são adicionados gota a gota a 15 °C; a seguir, a agitação é mantida à temperatura ambiente durante 17 h. O precipitado é filtrado e lavado com 3 vezes 50 ml de AcOEt. As fases orgânicas são extraídas com 100 ml de água gelada; 100 ml de água, com 3 vezes 50 ml de uma solução saturada de NaHCO3, com 2
Petição 870180001698, de 08/01/2018, pág. 53/77
40/51 vezes 20 ml de NaCI saturado, depois são secos sobre Na2SO4 anidro. O AcOEt é evaporado, e 17,49 g de óleo translúcido amarelo pálido são recolhidos. As análises indicam que o produto está em conformidade.
Etapa 2: Síntese do dimetanossulfonato de 1,1’-(dissulfanodiildietano-2,1diil)bis(4-metilpiridínio) [0103] 3,51 g de 4 picolina e 5 g de dissulfanodiildietano-2,1-diil dimetanossulfonato são diluídos em 5 ml de N-metilpirrolidinona (NMP), depois aquecidos a 80 °C sob agitação, durante 2 h. A agitação é mantida à temperatura ambiente durante 17 h. O meio reacional é completado com 50 ml de AcOEt, depois filtrado, lavado com 3 vezes 100 ml de AcOEt, e seco sob vácuo em presença de P2O5. 7,29 g de pó marrom são recolhidos. As análises indicam que o produto está em conformidade e puro. RMN 1H (400 MHz, DMSO-afe) 2.31 (s, 6 H), 2.62 (s, 6 H), 3.40 (t, 4 H), 4.83 (t, 4 H), 8.01 (d, 4 H), 8.91 (d, 4 H).
Etapa 3: Síntese do dimetano sulfonato de 1-1’-(dissulfanodiildietano-2,1diil)bis[4-((E)-2-{4-[bis(2-hidroxietil)amino]fenil}vinil)piridínio] [1] [0104] 4,32 g de 4-[bis-(2-hidroxietil)-amino]-benzaldeído, 10 ml de iPrOH e 1,69 ml de pirrolidina são misturados sob agitação, durante 10 minutos. 1,18 ml de ácido acético são adicionados e a mistura é agitada à temperatura ambiente durante 20 minutos. 5 g de dimetanossulfonato de 1,1'(dissulfanodiildietano-2,1-diil)bis(4-metilpiridínio) em suspensão em 7 ml de iPrOH e 2 ml de metanol são adicionados. A mistura reacional é mantida agitada durante 24 h, à temperatura ambiente. O precipitado obtido é filtrado, lavado com 100 ml de acetona, e depois seco. 8,56 g de pó são recolhidos. As análises indicam que o produto está em conformidade e puro. RMN 1H (400 mHz, MeOH-o4) 2.71 (s, 6 H), 3.35 (t, 4 H), 3.64 (t, 8 H), 3.76 (t, 8 H), 4.74 (t, 4 H), 6.83 (d, 4 H), 7.04 (d, 2 H), 7.58 (d, 4 H), 7.81 (d, 2 H), 7.96 (d, 4 H), 8.56 (d, 4 H).
Petição 870180001698, de 08/01/2018, pág. 54/77
41/51
Exemplo 2
SÍNTESE DO DIBROMETO DE 1,1’-(DISSULFANODIILDIETANO-2,1-DIIL)BIS[4-((E)-2-[4[etil(2-hidroxietil)amino1-2-metilfenil}-1-metilvinil)piridínio1 [21
HO
2Br
OH [21
Esquema de síntese
Br—< /~Br
S-S—'
NMP
CH3CN
-S-S2 Br
O
N
HO \ / iPrOH
AcOH
OH [2]
Modo Operacional
Etapa 1: Síntese do dibrometo de 1,1’-(dissulfanodiildietano-2,1-diil)bis(4etilpiridínio) [0105] 12,9 g de 4-etil-piridina solubilizadas em 4 ml de NMP e 15 ml de acetonitrila (ACN) são agitados e aquecidos a 80 °C. 15 g de 1-Bromo-2(2-bromo-etildissulfanil)-etano diluídos em 10 ml de ACN são adicionados gota a gota ao meio, durante 30 minutos. A mistura reacional é agitada e aquecida em refluxo durante 4h, depois à temperatura ambiente durante 17h. Ao sólido
Petição 870180001698, de 08/01/2018, pág. 55/77
42/51 verde obtido, são adicionados 200 ml de acetona, o sólido é quebrado, depois filtrado, lavado com 50 ml de acetona, depois seco. 23,32 g de pó verde são recolhidos. As análises indicam que o produto está em conformidade.
Etapa 2: Síntese do dibrometo de 1,1’-(dissulfanodiildietano-2,1-diil)bis[4((E)-2-{4-[ETIL(2-HIDROXIETIL)AMINO1-2-METILFENILH-METILVINIL)PIRIDíNIO1 [21 [0106] 5 g de 4-[etil-(2-hidroxietil)-amino]-2-metil-benzaldeído, 10 ml de iPrOH e 1,74 ml de pirrolidina são misturados sob agitação durante 10 min. 1,21 ml de ácido acético são adicionados e a mistura é agitada à temperatura ambiente durante 20 min. 5 g de dibrometo de 1,1’-(dissulfanodiildietano-2,1diil)bis(4-etilpiridínio) em suspensão em 7 ml de iPrOH e 5 ml de metanol são adicionados. A mistura reacional é mantida agitada durante 1 semana, à temperatura ambiente. A mistura reacional é conservada à temperatura ambiente durante 4 semanas. A mistura reacional é concentrada, o resíduo é extraído com uma mistura H2O/CH2Cl2, depois o produto esperado é extraído com butanol, a fase orgânica é concentrada e o resíduo é recuperado pelo acetato de etila. O precipitado obtido é filtrado, depois seco. 810 mg de pó são recolhidos. As análises indicam que o produto está em conformidade.
Exemplo 3
SÍNTESE DO DIMETANO SULFONATO DE 1,1’-ÍDISSULFANODIILDIETANO-2,1-DIIL)BIS[4((E)-2-{4-[[3-(dimetilamino)propril1(metil)amino1fenil}vinil)-piridínio1 [31 /
N \
\
O
II 2 — S-O
II
O [31
Petição 870180001698, de 08/01/2018, pág. 56/77
43/51
Esquema de síntese « n
iPrOH
O — pO
O [3]
Modo Operacional
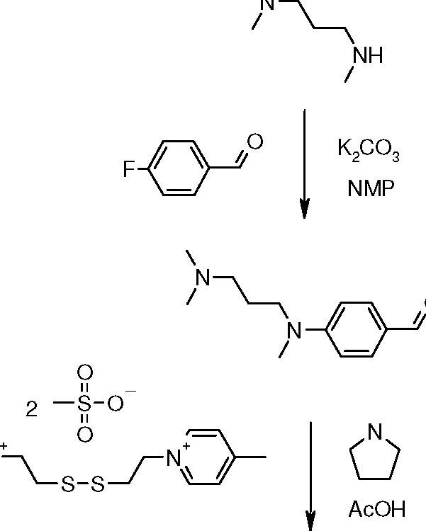
Etapa 1: Síntese do 4-[[3-dimetilamino)propril](metil)amino]benzaldeído [0107] 10 g de 4-fluorobenzaldeído, 12 g de K2CO3, 20 ml de NMP são agitados e aquecidos a 50 °C. 13 ml de N,N,N’-trimetil-1,3-propanodiamina são adicionados gota a gota ao meio mantido sob agitação e aquecido a 80 °C durante 10h. Após resfriamento do meio reacional à temperatura ambiente, 100 ml de acetona são acrescentados. O precipitado obtido é filtrado, o filtrado é evaporado a seco e, depois, seco. 21,85 g de pós são recolhidos. As análises indicam que o produto está em conformidade.
Etapa 2: Síntese do dimetano sulfonato de 1,1’-(dissulfanodiildietano-2,1diil)bis[4-((E)-2-{4-[[3-(dimetilamino)propil](metil)amino]fenil}vinil)-piridínio]
131 [0108] 2 g de 4-[(3-dimetilamino-propil)-metil-amino]-benzaldeído solubilizados em 5 ml de iPrOH, aos quais são adicionados 585 μΙ_ de
Petição 870180001698, de 08/01/2018, pág. 57/77
44/51 pirrolidina são agitados à temperatura ambiente durante 10 minutos. 408 μΙ_ de ácido acético são adicionados ao meio reacional mantido sob agitação à temperatura ambiente durante 20 minutos. 1,71 g de dimetanosulfonato de 1,1'(dissulfanodiildietano-2,1-diil)bis(4-metil-piridínio) previamente solubilizados em 3 ml de iPrOH e 1 ml de metanol são introduzidos no meio, agitados a 20 °C durante 4 dias. 50 ml de éter diisopropila são adicionados à mistura reacional resfriada por meio de um banho de carbogelo e de acetona. O precipitado obtido é filtrado, depois seco. 2,21 g de pó violeta são recolhidos. As análises indicam que o produto está em conformidade. RMN 1H (400 MHz, MeOH-a4) 1.84 (m, 4 H), 2.34 (s, 12 H), 2.48 (t, 4 H), 2.71 (s, 6 H), 3.06 (s, 6 H), 3.36 (t, 4 H), 3.50 (t, 4 H), 4.75 (t, 4 H), 6.79 (d, 4 H), 7.07 (d, 2H), 7.60 (d, 4 H), 7.84 (d, 2 H), 7.98 (d, 4 H), 8.57 (d, 4 H).
Exemplo 4
Síntese DO SAL de 1,1’-(DISSULFANODIILDIETANO-2,1-DIIL)BIS{2-[(E)-2-(4-{METIL[3(trimetilamònio)propil1amino}fenil)vinil1piridínio} [41
V/ \
O-S-O
Z II
O
N
2Br [41
Petição 870180001698, de 08/01/2018, pág. 58/77
45/51
Esquema de síntese
O / X O-S-O
Z II
O
O
O-SII
O
2Br
Modo Operacional
N
Etapa 1: Síntese do dibrometo de 1,1’-(dissulfanodiildietano-2,1-diil)bis(2metilpiridínio) [0109] Uma mistura de 56 g de 1-bromo-2-[(2bromoetil)dissulfanil]etano e de 15 ml de W-Metilpirrolidona (NMP) é vertida gota a gota em 35 g de 2-picolina sob agitação, a 80 °C. A mistura (suspensão branca) é mantida agitada 30 min a 80 °C. 100 ml de ACN são adicionados, a agitação é mantida a 80 °C, durante 90 min. Após resfriamento, o sólido obtido é filtrado, lavado com 100 ml de ACN, depois seco. São recolhidos 56,2 g de pó marrom. 45 g desse pó são colocados em suspensão em 300 ml de iPrOH, em refluxo. Uma vez a temperatura abaixada a 40 °C, o sólido é filtrado, lavado
Petição 870180001698, de 08/01/2018, pág. 59/77
46/51 com 3 vezes 100 ml de iPrOH e seco sob vácuo. Produto bege claro, 40,56 g. Análises em conformidade com a estrutura esperada.
Etapa 2: Síntese do metilsulfato de 3-[(4-formilfenilKmetil)amino1-N,N,NTRIMETILPROPANO-1 -AMÍNIO [0110] 5 g de -[[3-(dimetilamino)propril](metil)amino]benzaldeído são diluídos em 15 ml de diclorometano. 2,36 ml de dimetilsulfato diluídos em 10 ml de diclorometano são progressivamente adicionados. A mistura é aquecida em refluxo durante 4 h, depois resfriada à temperatura ambiente e vertida em 100 ml de acetato de etila. O óleo marrom formado é decantado, lavado com 100 ml de AcOEt, recuperado em 200 ml de metanol e concentrado sob vácuo. Ele é, a seguir, dissolvido em uma solução saturada de bicarbonato de sódio e de cloreto de sódio e extraído com butanol. A fase butanol é concentrada sob vácuo, seca sob vácuo em presença de P2O5 e, depois, o produto é utilizado para a etapa seguinte.
Etapa 3: Síntese do sal de 1,1’-ídissulfanodiildietano-2,1-diil)bis{2-[íE)-2(4-{metil[3-(trimetilamònio)propil1amino}fenil1piridínio} [41 [0111] 0,62 g de sulfato de 3-[(4-formilfenil)(metil)amino]-N,N,Ntrimetilpropano-1-amínio metil solubilizados em 2 ml de iPrOH e 3 ml de metanol, aos quais são adicionados 0,15 ml de pirrolidina são agitados à temperatura ambiente durante 10 minutos. 0,11 ml de ácido acético são adicionados ao meio reacional mantido sob agitação à temperatura ambiente durante 20 minutos. 0,41 g de dibrometo de 1,1’-(dissulfanodiildietano-2,1diil)bis(2-metilpiridínio) previamente solubilizados em 2 ml de iPrOH e 2 ml de metanol são introduzidos no meio, agitados a 20 °C durante 17 h. As análises mostram a presença do produto esperado.
Petição 870180001698, de 08/01/2018, pág. 60/77
47/51
Exemplo 5: Síntese do metanossulfonato de 4-((E)-2-{4-[bis(2-hidroxietil)AMINOl-FENIL}VINIL)-1 (2-SULFANILETIL)PIRIDÍNIO [51
O
II _
-S-O
II
O
HO
OH +
HO
O
OH O
II _ — S-O O
-P OH h2O O > O 2 7 EtOH
HO
HO
HO
[51 =O
-P ^OH O > O
HO
Modo Operacional
Síntese do sal de 4-((E)-2-{4-[bis(2-hidroxietil)amino1fenil|-vinil)-1-(2sulfaniletil)piridínio [51 [0112] 88 mg do composto [1] são dissolvidos em 10 ml de mistura água/etanol (1/1); 60 mg (2 eq.) de hidrato de cloridrato de ácido 3-[bis(2carbóxi-etil)fosfino]propanóico em solução em 1 ml de água e 21 mg (4 eq.) de bicarbonato de sódio em solução em 1 ml de água são adicionados à mistura. Após 30 minutos de agitação a 40 °C sob atmosfera inerte, as análises indicam que a mistura contém muito majoritariamente o produto esperado [5].
Petição 870180001698, de 08/01/2018, pág. 61/77
48/51 [0113] Análise LC-MS: LC-DAD (400-700 nm) [0114] Coluna: WatersXTerra MS C18 5pm (4.6 X 50) mm [0115] Fase Móvel: A: Água + ácido fórmico 0,1%/B: acetonitrila [0116] Gradiente linear: T (min) A%/B%: 0 min 95/5; 8 min 0/100 [0117] Vazão: 1 ml/min.
[0118] Detecção: UV Barra de diodos λ = 400-700 nm [0119] Tempo de retenção t = 3,3 min [0120] Pureza relativa: 90% [0121] MS (ESI+) m/z = 345 corresponde ao pico de massa do monocátion do produto esperado [5].
Exemplos de coloração
Exemplo 1
Processo de coloração com os compostos [1] a [4] [0122] Preparação de uma composição A
| Corante dissulfeto de [1] a [4] | 10 3% molar |
| Álcool Benzílico | 4 g |
| Polietilenoglicol 6OE | 6 g |
| Hidroxietilcelulose | 0,7 g |
| Alquilpoliglicosídeo em solução aquosa a 65% MA | 4,5 g |
| Água desmineralizada | qsp 100 g |
Preparação de uma composição B
| Ácido tioglicólico | 1M |
| Hidróxido de Sódio | qsp pH 8,5 |
| Água desmineralizada | qsp 100 g |
[0123] No momento do emprego, as composições A (9 ml) e B (1 ml) são misturadas e, a seguir, aplica-se a mistura obtida sobre uma mecha de 1 g de cabelos escuros (altura de tom 4) durante 30 minutos, à temperatura ambiente (as mechas voltam e são re-impregnadas após 15 minutos).
Petição 870180001698, de 08/01/2018, pág. 62/77
49/51 [0124] Após enxágüe com água corrente e secagem, observa-se um clareamento dos cabelos assim tratados: a mecha de altura de tom 4 tornou-se visualmente mais clara que as mechas-testemunhas não tratadas.
Exemplo 2
Processo de coloração com o composto Γ51 [0125] 10 ml de solução fresca do composto [5] do exemplo de síntese são aplicados sobre uma mecha de 1 g de cabelos de altura de tom 4 dispostas no fundo de um mesmo recipiente durante 30 minutos à temperatura ambiente (as mechas retornam e são re-impregnadas após 15 minutos).
[0126] A seguir, as mechas são enxaguadas com água corrente e secas.
[0127] Após coloração, a mecha de altura de tom 4 tornou-se visualmente mais clara que as mechas testemunhas não tratadas.
Permanência aos xampus sucessivos [0128] As mechas assim tratadas são divididas em duas metades. Uma metade é submetida a 5 xampus sucessivos de acordo com um ciclo que compreende a molhagem das mechas com água, a lavagem com um xampu clássico, um enxágüe com água, seguido de uma secagem.
Observações visuais [0129] Durante as lavagens com xampu, não há liberação visível do corante, a espuma dos xampus e as águas de enxágüe não são coloridas [0130] A cor observada nas mechas é conservada e o efeito de clareamento permanece visível sobre os cabelos assim tratados.
Resultados no sistema L*a*b*:
[0131] A cor das mechas antes e depois das 5 lavagens foi avaliada no sistema L*a*b por meio de um espectrofotômetro CM 2600D MINOLTA®, Illuminant D65).
[0132] Nesse sistema L*a*b*, L* representa a luminosidade, a*
Petição 870180001698, de 08/01/2018, pág. 63/77
50/51 indica o eixo de cor verde/vermelho e b* o eixo de cor azul/amarelo. Quanto mais elevado for o valor de L, mais a cor será clara ou pouco intensa. Inversamente, quanto mais baixo for o valor de L, mais a cor será escura ou muito intensa. Quanto mais o valor de a* for elevado, mais a tonalidade será vermelha e quanto mais o valor de b* for elevado, mais a tonalidade será amarela.
[0133] A variação da coloração entre as mechas de cabelos AT4, coloridas e lavadas, é medida por (AE) segundo a seguinte equação:
ΔE = #* -Lo *)2 + (a*- a0*)2 + (b* -b0 *)2 [0134] Nessa equação, L*, a* e b* representam os valores medidos antes da coloração e L0*, a0* e b0* representam os valores medidos antes da coloração (ou xampu).
[0135] Quanto mais o valor de AE for elevado, mais a diferença de cor entre as mechas AT4 e as mechas coloridas será maior.
| Tratamento com o corante fluorescente sobre as mechas de AT4 | ΔΕ |
| Após aplicação do composto 1 de acordo com a presente invenção | 8,38 |
| Após aplicação do composto 1 de acordo com a presente invenção e após 5 xampus sucessivos | 8,66 |
| Após aplicação do composto 2 de acordo com a presente invenção | 2,71 |
| Após aplicação do composto 2 de acordo com a presente invenção e após 5 xampus sucessivos | 2,84 |
| Após aplicação do composto 3 de acordo com a presente invenção | 9,62 |
| Após aplicação do composto 3 de acordo com a presente invenção e após 5 xampus sucessivos | 9,88 |
| Após a aplicação do composto 5 de acordo com a presente invenção | 5,27 |
Petição 870180001698, de 08/01/2018, pág. 64/77
51/51
| Tratamento com o corante fluorescente sobre as mechas de AT4 | ΔΕ |
| Após a aplicação do composto 5 de acordo com a presente invenção e após 5 xampus sucessivos | 5,25 |
[0136] Os resultados da tabela acima mostram que a coloração se altera muito pouco após 5 xampus. Assim, a coloração e o efeito clareador sobre os cabelos permanecem quase inalterados, o que mostra uma resistência muito boa dos corantes da presente invenção aos xampus.
Resultados de Refletância:
[0137] Os desempenhos de clareamento das composições de acordo com a presente invenção e sua permanência aos xampus sucessivos foram expressos em função da refletância dos cabelos. Essas refletâncias são comparadas à refletância de uma mecha de cabelos não tratados de altura de tom AT4.
[0138] A refletância é medida por meio de um aparelho espectrofotocolorímetro KONIKA-MINOLTA®, CM 2600d e após irradiação dos cabelos com uma luz visível na gama de comprimentos de onda que varia de 400 a 700 nanômetros.
[0139] Esses resultados são mostrados nas figuras 1 a 3.
[0140] Constata-se, em primeiro lugar, que a refletância de uma mecha de cabelos tratada com uma composição de acordo com a presente invenção é superior àquela dos cabelos não tratados.
[0141] As mechas tratadas aparecem, portanto, mais claras.
[0142] Além disso, os resultados mostram que a refletância das mechas de cabelos com altura de tom 4 tratadas com as composições da presente invenção alteram-se muito pouco após 5 xampus. Assim, a coloração e o efeito clareador sobre os cabelos permanecem quase inalterados, o que mostra uma resistência muito boa dos colorantes da presente invenção aos xampus.
Petição 870180001698, de 08/01/2018, pág. 65/77
1/11
Claims (22)
- Reivindicações1. COLORANTE FLUORESCENTE TIOL, caracterizado pelo fato de ser de fórmula (I) ou (II):R gseus sais de ácido orgânico ou inorgânico, isômeros óticos, isômeros geométricos, e os solvatos, tais como hidratos; fórmulas (I) e (II), nas quais:> Re R'”, idênticos ou diferentes, representam um grupo hidróxi, um grupo amino (NRaRb) ou amônio (N+RaRbRc), An-; com Ra, Rb e Rc, idênticos ou diferentes, que representam um átomo de hidrogênio ou um grupo (C1-C4) alquila; ou então dois grupos alquila Ra e Rb do grupo amino ou amônio formam um heterociclo que compreende de 5 a 7 membros e que compreende, eventualmente, outro heteroátomo idêntico ou diferente daquele do átomo nitrogênio e An- representa um contra-íon aniônico;> R e R', idênticos ou diferentes, representam um átomo de hidrogênio ou um grupo tal como definido para R e R'” respectivamente;> Rg, R'g, R”g, R'”g, Rh, R'h, R”h e R'”h, idênticos ou diferentes, representam um átomo de hidrogênio, de halogênio, um grupo amino, (di)(C1-C4)alquilamino, ciano, carbóxi, hidróxi, trifluorometila, acilamino, alcóxi com C1-C4, (poli)hidroxialcóxi com C2-C4, (C1C4)alquilcarbonilóxi, (C1-C4)alcoxicarbonila, (C1-C4)alquilcarbonilamino,Petição 870180001698, de 08/01/2018, pág. 66/77
- 2/11 acilamino, carbamoíla, (Ci-C4)alquilsulfonilamino, um radical amino-sulfonila, ou um radical (C1-C16)alquila eventualmente substituído por um grupo escolhido entre (C1-C12) alcóxi, hidróxi, ciano, carbóxi, amino, (di)(C1C4)alquilamino, ou então, os dois radicais alquila portados pelo átomo de nitrogênio do grupo amino formam um heterociclo que compreende de 5 a 7 membros e compreende, eventualmente, outro heteroátomo idêntico ou diferente daquele do átomo de nitrogênio;> R'i, R”i e R'”i e R””i, idênticos ou diferentes, representam um átomo de hidrogênio ou um grupo (C1-C4) alquila;> m, m', idênticos ou diferentes, representam um número inteiro compreendido inclusivamente entre 1 e 10;> p, p', q e q', idênticos ou diferentes, representam um número inteiro compreendido inclusivamente entre 1 e 6;> M' representa um contra-íon aniônico; e > Y representa: i) um átomo de hidrogênio; ii) um metal alcalino; iii) um metal alcalino-terroso; iv) um grupo amônio: N+RaRpRYRõ ou um grupo fosfônio: P+RaRpRYRõ com Ra, Re RY e Rõ, idênticos ou diferentes, representando um átomo de hidrogênio ou um grupo (C1-C4)alquila; ou v) um grupo protetor de função tiol;ficando entendido que:- quando o composto de fórmula (I) ou (II) contém outras partes catiônicas, se encontra associado a um ou mais contra-íons aniônicos que permitem atingir a eletroneutralidade da fórmula (I) ou (II).2. CORANTE FLUORESCENTE, de fórmula (II), de acordo com a reivindicação 1, caracterizado pelo fato de Y representar um átomo de hidrogênio ou um metal alcalino.
- 3. CORANTE FLUORESCENTE, de fórmula (II), de acordo com a reivindicação 1, caracterizado pelo fato de Y representar um grupoPetição 870180001698, de 08/01/2018, pág. 67/773/11 protetor.
- 4. CORANTE FLUORESCENTE, de fórmula (II), de acordo com a reivindicação 3, caracterizado pelo fato de Y representar um grupo protetor escolhido entre os seguintes radicais:• (C1-C4)alquilcarbonila;• (C1-C4)alquiltiocarbonila;• (C1-C4)alcoxicarbonila;• (C1-C4)alcoxitiocarbonila;• (C1-C4)alquiltio-tiocarbonila;• (di) (C1-C4) (alquil)aminocarbonila;• (di) (C1-C4) (alquil)aminotiocarbonila;• arilcarbonila como fenilcarbonila;• ariloxicarbonila;• aril (C1-C4)alcoxicarbonila;• (di) (C1-C4) (alquil)aminocarbonila;• (C1-C4)(alquil)arilaminocarbonila;• carbóxi;• SO3-, M+ com M+ representando um metal alcalino ou então M’ da fórmula (II) e M+ estão ausentes;• arila eventualmente substituído;• heteroarila eventualmente substituído;• heterocicloalquila eventualmente substituído, eventualmente catiônico;• isotiurônio -C(NR’cR’d) = N+R’eR’f; An- com R’c, R’d, R’e e R’f, idênticos ou diferentes, representam um átomo de hidrogênio ou um grupo (C1-C4)alquila; preferencialmente R’c a R’f representam um átomo de hidrogênio; e An- representa um contra-íon;• isotiuréia -C(NR’cR’d) = NR’e; com R’c, R’d e R’e tais comoPetição 870180001698, de 08/01/2018, pág. 68/774/11 definidos anteriormente;• (di)aril(Ci-C4)alquila eventualmente substituído;• (di)heteroaril(C1-C4)alquila eventualmente substituído;• CR1R2R3 com R1, R2 e R3 idênticos ou diferentes, representam um átomo de halogênio ou um grupo escolhido entre:- (C1-C4) alquila;- (C1-C4) alcóxi;- arila eventualmente substituído;- heteroarila eventualmente substituído;- P(Z1)R’1R’2R’3 com R’1, e R’2 idênticos ou diferentes, representam um grupo hidróxi, (C1-C4)alcóxi ou alquila, R’3 representa um grupo hidróxi ou (C1-C4)alcóxi, e Z1 representa um átomo de oxigênio ou de enxofre;• cíclico estericamente impedido, tal como o grupo adamantila; e • alcóxi(C1-C4)alquila, eventualmente substituído.
- 5. CORANTE FLUORESCENTE, de acordo com uma das reivindicações 1 a 4, caracterizado pelo fato de Y representar um metal alcalino ou um grupo protetor escolhido entre:> (C1-C4)alquilcarbonila;> arilcarbonila;> (C1-C4)alcoxicarbonila;> ariloxicarbonila;> aril(C1-C4)alcoxicarbonila;> (di) (C1-C4) (alquil)aminocarbonila;> (C1-C4)(alquil)arilaminocarbonila;> arila eventualmente substituído;> heteroarila monocíclico catiônico com 5 a 6 membros;Petição 870180001698, de 08/01/2018, pág. 69/775/11 heteroarila bicíclico catiônico com 8 a 11 membros;heterociclo catiônico da seguinte fórmula:MeNMeAn- > isotiurônio -C(NH2) = N+H2; An- > isotiuréia -C(NH2) = NH; e > SO3-, M+ com M+ representando um metal alcalino ou, então, M' da fórmula (II) e M+ estão ausentes.
- 6. CORANTE FLUORESCENTE, de acordo com uma das reivindicações 1 a 5, caracterizado pelo fato de pertencer à fórmula (Ia) ou (Ila) que possui o grupo etileno que liga a parte piridínio à fenila em posição orto ou para do piridínio seja em 2-4', 4-2', 4-4':R'R'R-(CHX VR””i, m, m', p, p', q, q', Y e M' sendo tais como definidos em uma das reivindicações 1 a 5.
- 7. CORANTE FLUORESCENTE, de acordo com uma das reivindicações 1 a 6, caracterizado pelo fato de ser escolhido entre osPetição 870180001698, de 08/01/2018, pág. 70/776/11 seguintes corantes:Petição 870180001698, de 08/01/2018, pág. 71/777/11
/ \_ — ^SH M' \ N^ / \__ N— / X= Λ \_j\ —SH M' nH / 8 9 Ά_ X n+-a -SH ^nhH /Γ XN+A χχ -SH HO M' /—Z '—( HO M' 10 11 HO HO N / ) , =/Λ N+=Z X, ηΓΛ HO N+=Z HS M' HS M' 12 13 HO h2n—C yV- N =/Λ N+=Z HO N+=/ S-S HS M' -J 2M /=N+ ^~NH2 14 15 HO > jr =/V- ( N/—' HO N A / ' r~ W J 4M' /—' S-S 2M' S-S \ + /=N+ /—N+ -N + OH XsX _/ \ W v f —N > Γ\ < OH 16 17 Petição 870180001698, de 08/01/2018, pág. 72/77 - 8/11
N /—^\=/ SH M' Ι*’*' N^ //—S N^ V_ __ _/ V-A N^^^—í\=/ ^^SH H ^=7 M' 18 19 HO ^N+^ HO^ 2M' OH >'''/;N ^=7 2M' 20 21 2M' /1-^ HN7^ ' ^=7 2M' 22 23 HO {^32n-^-n' HO^ m' HO HO / _N+=^ 2M' S . W 24 25 7 / \ \ //-S-' O 2M' XN+ ’-^S rO 26 27 HO HO^ M' \+^ ' /.' / \ . ,—/ > s 7 O 2M' Petição 870180001698, de 08/01/2018, pág. 73/77 - 9/118. COMPOSIÇÃO DE TINTURA, caracterizada pelo fato de compreender, em um meio cosmético apropriado, um corante fluorescente de fórmula (I) ou (II) conforme descrito em uma das reivindicações 1 a 7.9. COMPOSIÇÃO DE TINTURA, caracterizada pelo fato de compreender, em um meio cosmético apropriado, pelo menos um corante fluorescente de fórmula (I) ou (II), conforme descrito em uma das reivindicações 1 a 7 e pelo menos um agente redutor.
- 10. COMPOSIÇÃO, de acordo com a reivindicação 9, caracterizado pelo fato de o agente redutor ser escolhido entre: a cisteína, a homocisteína, o ácido tioláctico, os sais desses tióis, as fosfinas, o bissulfito, os sulfitos, o ácido tioglicólico, bem como seus ésteres, os boroidretos e seus derivados, os sais de sódio, lítio, potássio, cálcio, amônios quaternários; o catecolborano.
- 11. COMPOSIÇÃO, de acordo com uma das reivindicações 8 aPetição 870180001698, de 08/01/2018, pág. 74/7710/1110, caracterizado pelo fato de o corante fluorescente de fórmula (I) ou (II) estar presente em quantidade compreendida entre 0,001 e 50% em peso, em relação ao peso total da composição.
- 12. PROCESSO DE COLORAÇÃO DE MATÉRIAS QUERATÍNICAS, caracterizado pelo fato de se aplicar sobre as matérias, uma composição de tintura conforme descrita em uma das reivindicações 8 a 11, que compreende em um meio cosmético apropriado, pelo menos um corante fluorescente de fórmula (I) ou (II) conforme descrito em uma das reivindicações 1 a 7, eventualmente em presença de um agente redutor.
- 13. PROCESSO, de acordo com a reivindicação 12, caracterizado pelo fato de quando o corante fluorescente tiol de fórmula (II) compreender um grupo Y de proteção, a aplicação é precedida de uma etapa de desproteção.
- 14. PROCESSO, de acordo com as reivindicações 12 ou 13, caracterizado pelo fato de as matérias queratínicas serem fibras queratínicas escuras que possuem uma altura de tom inferior ou igual a 6.
- 15. PROCESSO, de acordo com uma das reivindicações 12 a 14, caracterizado pelo fato de o agente redutor ser aplicado antes ou após a aplicação do corante fluorescente de fórmula (I) ou (II).
- 16. PROCESSO, de acordo com uma das reivindicações 12 a 15, caracterizado pelo fato de a composição compreender um agente oxidante.
- 17. PROCESSO, de acordo com uma das reivindicações 12 a 16, caracterizado pelo fato de compreender uma etapa suplementar que consiste em aplicar sobre as fibras queratínicas um agente oxidante.
- 18. DISPOSITIVO, com vários compartimentos, caracterizado pelo fato de um primeiro compartimento conter uma composição de tintura que compreende um corante fluorescente de fórmula (I) ou (II), conformePetição 870180001698, de 08/01/2018, pág. 75/7711/11 descrito em uma das reivindicações 1 a 7, e um segundo compartimento conter um agente redutor.
- 19. DISPOSITIVO, de acordo com a reivindicação 18, caracterizado pelo fato de compreender um terceiro compartimento que contém um agente oxidante.
- 20. USO DOS CORANTES FLUORESCENTES, de fórmula (I) ou (II), conforme descritos em uma das reivindicações 1 a 7, caracterizado pelo fato de ser para a tintura de fibras queratínicas humanas escuras.
- 21. USO, de acordo com a reivindicação 20, caracterizado pelo fato de ser para o clareamento das fibras queratínicas escuras.
- 22. USO, de acordo com as reivindicações 20 ou 21, caracterizado pelo fato de as fibras queratínicas possuírem uma altura de tom inferior a 6.Petição 870180001698, de 08/01/2018, pág. 76/771/1Refletância das mechas tratadas pelos compostos 1 e 2 na aplicação e após 5-Referência-Composto 1Composto 1-5 enxagues —a— Composto 2Composto 2-5 enxaguesComprimento de onda (nm)
Applications Claiming Priority (9)
| Application Number | Priority Date | Filing Date | Title |
|---|---|---|---|
| FR0651035 | 2006-03-24 | ||
| FR0651035A FR2898903B1 (fr) | 2006-03-24 | 2006-03-24 | Composition de teinture comprenant un colorant disulfure fluorescent, procede d'eclaircissement des matieres keratiniques a partir de ce colorant |
| US79294106P | 2006-04-19 | 2006-04-19 | |
| US60/792,941 | 2006-04-19 | ||
| FR0753070A FR2912138B1 (fr) | 2007-02-05 | 2007-02-05 | Composition de teinture comprenant un colorant fluosrescent thiol a groupes amines et a charge cationique interne, procede d'eclaircissement des matieres keratiniques a partir de ce colorant |
| FR0753070 | 2007-02-05 | ||
| US90036107P | 2007-02-09 | 2007-02-09 | |
| US60/900,361 | 2007-02-09 | ||
| PCT/FR2007/051003 WO2007110537A2 (fr) | 2006-03-24 | 2007-03-23 | Composition de teinture comprenant un colorant fluorescent thiol/disulfure a groupes amines et a charge cationique interne, procede d'eclaircissement des matieres keratiniques a partir de ce colorant |
Publications (3)
| Publication Number | Publication Date |
|---|---|
| BRPI0709366A2 BRPI0709366A2 (pt) | 2011-07-12 |
| BRPI0709366B1 true BRPI0709366B1 (pt) | 2018-05-15 |
| BRPI0709366B8 BRPI0709366B8 (pt) | 2018-05-29 |
Family
ID=43067281
Family Applications (1)
| Application Number | Title | Priority Date | Filing Date |
|---|---|---|---|
| BRPI0709366A BRPI0709366B8 (pt) | 2006-03-24 | 2007-03-23 | colorante fluorescente tiol, composições de tintura, processo de coloração de matérias queratínicas, dispositivo e uso dos corantes fluorescentes |
Country Status (8)
| Country | Link |
|---|---|
| US (1) | US8038732B2 (pt) |
| EP (1) | EP2004757B1 (pt) |
| JP (1) | JP5451375B2 (pt) |
| KR (1) | KR101088332B1 (pt) |
| AT (1) | ATE508170T1 (pt) |
| BR (1) | BRPI0709366B8 (pt) |
| DE (1) | DE602007014349D1 (pt) |
| WO (1) | WO2007110537A2 (pt) |
Families Citing this family (32)
| Publication number | Priority date | Publication date | Assignee | Title |
|---|---|---|---|---|
| KR101088335B1 (ko) | 2006-03-24 | 2011-11-30 | 로레알 | 티올/디술피드 나프틸이미드 형광 염료를 함유하는 염색 조성물, 및 상기 색소를 이용한 케라틴 물질의 미백 방법 |
| FR2898903B1 (fr) | 2006-03-24 | 2012-08-31 | Oreal | Composition de teinture comprenant un colorant disulfure fluorescent, procede d'eclaircissement des matieres keratiniques a partir de ce colorant |
| EP2004757B1 (fr) | 2006-03-24 | 2011-05-04 | L'Oréal | Composition de teinture comprenant un colorant fluorescent thiol/disulfure a groupes amines et a charge cationique interne, procede d'eclaircissement des matieres keratiniques a partir de ce colorant |
| EP2004755B1 (fr) * | 2006-03-24 | 2011-08-03 | L'Oréal | Composition de teinture comprenant un colorant fluorescent thiol/disulfure, a charge cationique externe et chaine alkylene interrompue, procede d'eclaircissement des matieres keratiniques a partir de ce colorant |
| ATE518916T1 (de) | 2006-03-24 | 2011-08-15 | Oreal | Färbezusammensetzung mit einem thiol/disulfid- leuchtfarbstoff mit einem heterozyklus und einer internen kationischen ladung sowie verfahren zur aufhellung von keratinmaterial mit diesem farbstoff |
| FR2918667A1 (fr) * | 2007-07-09 | 2009-01-16 | Oreal | Procede de coloration au moyen d'un compose de type styrylique ou iminique disulfure/thiol et stimuli, composition et dispositif pour la mise en oeuvre du procede. |
| FR2921373B1 (fr) | 2007-09-21 | 2009-10-30 | Oreal | Colorant derive d'indole styryle a linker alkylene, composition tinctoriale comprenant ce colorant, procede d'eclaircissement des matieres keratiniques a partir de ce colorant |
| FR2921377B1 (fr) | 2007-09-21 | 2009-10-30 | Oreal | Compose styryl a motif hydroxy(cyclo)alkylamino thiol/disulfure, procede d'eclaircissement des matieres keratiniques a partir de ce colorant |
| FR2921381B1 (fr) | 2007-09-21 | 2009-10-30 | Oreal | Colorant hemicyanine styryle thiol/disulfure, composition tinctoriale comprenant ce colorant, procede d'eclaircissement des matieres keratiniques a partir de ce colorant |
| FR2921376B1 (fr) * | 2007-09-21 | 2009-10-30 | Oreal | Compose styryl tetrahydroquinolinium thiol/disulfure, procede d'eclaircissement des matieres keratiniques a partir de ce colorant |
| FR2952300B1 (fr) | 2009-11-09 | 2012-05-11 | Oreal | Nouveaux colorants fluorescents a motif heterocyclique disulfure, composition de teinture les comprenant et procede de coloration des fibres keratiniques humaines a partir de ces colorants |
| FR2967683B1 (fr) | 2010-11-24 | 2012-11-02 | Oreal | Nouveaux colorants directs a motif derive de l'acide ascorbique, composition de teinture les comprenant et procede de coloration des matieres keratiniques humaines a partir de ces colorants |
| FR2968954B1 (fr) | 2010-12-15 | 2012-12-21 | Oreal | Procede de coloration de fibres keratiniques mettant en oeuvre un colorant direct a fonction disulfure/thiol/thiol protege et de la vapeur d'eau |
| EP2613328B1 (en) | 2011-02-23 | 2016-12-14 | Dexerials Corporation | Transparent electroconductive film, information input device, and electronic instrument |
| FR2971939B1 (fr) | 2011-02-25 | 2013-02-15 | Oreal | Composition pour colorer les fibres keratiniques comprenant un colorant direct a fonction disulfure/thiol, un corps gras, un agent alcalin, et un agent reducteur |
| FR2971938B1 (fr) | 2011-02-25 | 2013-08-02 | Oreal | Composition pour colorer les fibres keratiniques comprenant un colorant direct a fonction disulfure/thiol, un alcool gras faiblement ou non ethoxyle, un tensioactif cationique, un agent alcalin, et un agent reducteur |
| FR2971936B1 (fr) | 2011-02-25 | 2013-02-15 | Oreal | Composition pour colorer les fibres keratiniques comprenant un colorant direct a fonction disulfure/thiol, un tensioactif non ionique, un tensioactif amphotere, un alcool gras ethoxyle, un agent alcalin, et un agent reducteur |
| FR2971937B1 (fr) | 2011-02-25 | 2013-02-15 | Oreal | Composition pour colorer les fibres keratiniques comprenant un colorant direct a fonction disulfure/thiol, un polymere epaississant non cellulosique, un agent alcalin, et un agent reducteur |
| FR2971935B1 (fr) | 2011-02-25 | 2013-02-15 | Oreal | Composition pour colorer les fibres keratiniques comprenant un colorant direct a fonction disulfure/thiol, un polymere epaississant, un tensioactif non ionique, un agent alcalin, et un agent reducteur |
| WO2012113720A2 (en) | 2011-02-25 | 2012-08-30 | L'oreal | Composition for dyeing keratinous fibres comprising a direct dye having a disulphide/thiol functional group, a thickening polymer, an ethoxylated fatty alcohol and/or a nonionic surfactant, an alkaline agent and a reducing agent |
| FR2990944A1 (fr) | 2012-05-23 | 2013-11-29 | Oreal | Procede de coloration des fibres keratiniques comprenant un colorant /pigment, un compose photoactif, et une source lumineuse |
| JP6308737B2 (ja) * | 2013-08-26 | 2018-04-11 | デクセリアルズ株式会社 | 金属ナノワイヤー、分散液、透明導電膜、情報入力装置、及び、電子機器 |
| WO2015059368A1 (fr) | 2013-09-02 | 2015-04-30 | L'oreal | Procede de coloration des fibres keratiniques a partir de colorants cationiques styryles disulfures, et composition comprenant lesdits colorants |
| HK1245248B (en) | 2014-12-11 | 2020-05-15 | 恒翼生物医药(上海)股份有限公司 | Substituted heterocycles as bromodomain inhibitors |
| FR3043551B1 (fr) | 2015-11-12 | 2017-11-24 | Oreal | Colorant direct cationique a chaine aliphatique et a fonction disulfure/thiol/thiol protege pour colorer les fibres keratiniques |
| FR3044661B1 (fr) | 2015-12-03 | 2019-05-24 | L'oreal | Nouveaux colorants anioniques a motif heterocyclique disulfure, composition de teinture les comprenant et procede de coloration des matieres keratiniques humaines a partir de ces colorants |
| FR3045359B1 (fr) * | 2015-12-18 | 2020-10-30 | Oreal | Composition pour colorer les fibres keratiniques comprenant un colorant direct styryle ou napthylamide a fonction aminoalkyle, procede de coloration et colorant |
| FR3066108B1 (fr) | 2017-05-10 | 2020-10-30 | Oreal | Colorant direct fluorescent a chaine aliphatique et a fonction disulfure/thiol/thiol protege pour colorer les matieres keratiniques |
| FR3067599B1 (fr) | 2017-06-16 | 2020-09-04 | Oreal | Procede de coloration des matieres keratiniques mettant en oeuvre au moins un colorant bleu, violet ou vert et au moins un colorant fluorescent disulfure, thiol ou thiol protege |
| FR3067597B1 (fr) * | 2017-06-16 | 2020-09-04 | Oreal | Procede de coloration des fibres keratiniques mettant en œuvre au moins un colorant direct et au moins un colorant fluorescent disulfure, thiol ou thiol protege |
| FR3067598B1 (fr) | 2017-06-16 | 2020-09-11 | Oreal | Procede de coloration des fibres keratiniques mettant en œuvre au moins un colorant fluorescent disulfure, thiol ou thiol protege et au moins un activateur comprenant un reducteur et moins deux agents alcalins differents |
| WO2020048944A1 (en) * | 2018-09-04 | 2020-03-12 | Archroma Ip Gmbh | Method for dyeing a protein substrate |
Family Cites Families (86)
| Publication number | Priority date | Publication date | Assignee | Title |
|---|---|---|---|---|
| NL219021A (pt) | 1956-07-17 | |||
| DE1078081B (de) | 1958-02-25 | 1960-03-24 | Thera Chemie Chemisch Therapeu | Mittel zum Faerben von Haaren oder Pelzen |
| BE669934A (pt) | 1964-09-22 | 1966-01-17 | ||
| US3867456A (en) | 1965-07-30 | 1975-02-18 | Oreal | Mono-omega-haloalkyl amines |
| LU50233A1 (pt) | 1966-01-10 | 1967-07-10 | ||
| FR1516943A (fr) | 1966-01-10 | 1968-02-05 | Oreal | Colorants basiques utilisables pour la teinture des cheveux |
| FR1540423A (fr) | 1966-07-25 | 1968-09-27 | Oreal | Nouveaux colorants, leurs procédés de fabrication et leurs applications |
| US3817698A (en) | 1966-07-25 | 1974-06-18 | Oreal | Keratinic fiber dye compositions containing n,n'-di-nitrophenyl or nitrophenyl - anthraquinone substituted alkylene diamine dyes and the mono-quaternary ammonium salts thereof |
| CH469060A (de) | 1966-08-05 | 1969-02-28 | Durand & Huguenin Ag | Verfahren zur Herstellung von wasserlöslichen, kationischen Monoazofarbstoffen und Verwendung derselben |
| LU53050A1 (pt) | 1967-02-22 | 1968-08-27 | ||
| LU53095A1 (pt) | 1967-03-01 | 1968-11-29 | ||
| US3524842A (en) | 1967-08-04 | 1970-08-18 | Durand & Huguenin Ag | Water-soluble cationic phenylazo-naphthol dyestuffs containing a quaternary ammonium group |
| US4151162A (en) | 1971-06-04 | 1979-04-24 | L'oreal | Diazomerocyanines and mesomeric forms thereof |
| LU70835A1 (pt) | 1974-08-30 | 1976-08-19 | ||
| US4153065A (en) | 1972-06-19 | 1979-05-08 | L'oreal | Azo derivatives of pyridine n-oxide for use in hair dye compositions |
| LU65539A1 (pt) | 1972-06-19 | 1973-12-21 | ||
| GB1514466A (en) | 1974-06-21 | 1978-06-14 | Ici Ltd | Preparation of bipyridilium compounds |
| LU71015A1 (pt) | 1974-09-27 | 1976-08-19 | ||
| GB2143541B (en) | 1983-07-20 | 1987-04-08 | Kodak Ltd | Disperse methine dyes from 2-amino-5-carbothio-1,3,4-thiadiazole-2-acetonitrile and aniline, tetrahydroquinoline, and benzomorpholine couplers |
| LU85564A1 (fr) | 1984-10-01 | 1986-06-11 | Oreal | Nouvelles compositions de teinture des fibres keratiniques contenant un colorant azoique,procede de preparation de ce colorant et mise en oeuvre desdites compositions pour la teinture des fibres keratiniques |
| FR2586913B1 (fr) | 1985-09-10 | 1990-08-03 | Oreal | Procede pour former in situ une composition constituee de deux parties conditionnees separement et ensemble distributeur pour la mise en oeuvre de ce procede |
| US4740438A (en) | 1986-12-10 | 1988-04-26 | Eastman Kodak Company | Organic disulfides as image dye stabilizers |
| JPH07119367B2 (ja) | 1987-11-24 | 1995-12-20 | 株式会社日本化学工業所 | カチオン性染料 |
| DE4137005A1 (de) | 1991-11-11 | 1993-05-13 | Bitterfeld Wolfen Chemie | Mittel zum faerben von haaren |
| DE4220388A1 (de) | 1992-06-22 | 1993-12-23 | Bitterfeld Wolfen Chemie | Kationische Azofarbstoffe zum Färben von Keratinmaterialien |
| US5888252A (en) | 1993-11-30 | 1999-03-30 | Ciba Specialty Chemicals Corporation | Processes for dyeing keratin-containing fibres with cationicazo dyes |
| ES2215944T3 (es) | 1994-11-03 | 2004-10-16 | Ciba Specialty Chemicals Holding Inc. | Colorantes imidazolazoicos cationicos. |
| FR2748932B1 (fr) | 1996-05-23 | 1998-07-03 | Oreal | Composition de teinture directe capillaire comprenant un polymere reticule a motifs acryliques et acrylates d'akyles en c10-c30 |
| US7056346B1 (en) | 1996-05-23 | 2006-06-06 | L'oreal S.A. | Direct dye composition for the hair, comprising a crosslinked polymer containing acrylic units and C10-C30 alkyl acrylate units |
| GB9624590D0 (en) | 1996-11-27 | 1997-01-15 | Warner Jenkinson Europ Limited | Dyes |
| FR2757384B1 (fr) | 1996-12-23 | 1999-01-15 | Oreal | Composition de teinture d'oxydation des fibres keratiniques et procede de teinture mettant en oeuvre cette composition |
| FR2757385B1 (fr) | 1996-12-23 | 1999-01-29 | Oreal | Composition de teinture d'oxydation des fibres keratiniques et procede de teinture mettant en oeuvre cette composition |
| FR2759756B1 (fr) * | 1997-02-20 | 1999-04-23 | Hutchinson | Dispositif de liaison etanche entre des canaux |
| FR2771409B1 (fr) | 1997-11-21 | 2000-01-14 | Oreal | Nouveaux composes azoiques, utilisation pour la teinture, compositions les contenant et procedes de teinture |
| ES2215284T3 (es) | 1997-12-05 | 2004-10-01 | L'oreal | Procedimiento de tinte directo en dos etapas de las fibras queratinicas empleando colorantes directos basicos. |
| EP1062940B1 (de) | 1998-02-10 | 2009-11-25 | Schwarzkopf & Henkel K.K. | Dauerwellzusammensetzung mit färbendem effekt und verfahren zur haarfärbung unter verwendung derselben |
| FR2776186B1 (fr) | 1998-03-20 | 2001-01-26 | Oreal | Composition de teinture d'oxydation des fibres keratiniques et procede de teinture mettant en oeuvre cette composition |
| FR2776923B1 (fr) * | 1998-04-06 | 2003-01-10 | Oreal | Composition de teinture pour fibres keratiniques avec un colorant direct cationique et un polymere substantif |
| FR2783416B1 (fr) * | 1998-08-26 | 2002-05-03 | Oreal | Composition de teinture pour fibres keratiniques avec un colorant direct cationique et une silicone |
| FR2788433B1 (fr) | 1999-01-19 | 2003-04-04 | Oreal | Utilisation de composes phenyl-azo-benzeniques cationiques en teinture des fibres keratiniques, compositions tinctoriales et procedes de teinture |
| EP1133975B1 (en) | 2000-03-17 | 2008-02-13 | Kao Corporation | Use of a compound for dyeing hair |
| FR2822696B1 (fr) | 2001-04-02 | 2005-01-28 | Oreal | Nouvelle composition tinctoriale pour la teinture des fibres keratiniques comprenant un colorant diazoique dicationique particulier |
| FR2825624B1 (fr) | 2001-06-12 | 2005-06-03 | Oreal | Composition de teinture des fibres keratiniques humaines avec des colorants directs et des composes dicationiques |
| US20030176316A1 (en) | 2001-08-24 | 2003-09-18 | Whitehead Clark M. | Methods for treatment of rheumatoid arthritis |
| FR2830194B1 (fr) | 2001-09-28 | 2003-12-19 | Oreal | Composition contenant un derive de pyrazine et utilisation pour la teinture directe ou d'oxydation et/ou l'eclaircissement optique des fibres keratiniques |
| FR2830189B1 (fr) | 2001-09-28 | 2004-10-01 | Oreal | Composition de teinture a effet eclaircissant pour fibres keratiniques humaines |
| WO2003099243A1 (de) * | 2002-05-29 | 2003-12-04 | Henkel Kommanditgesellschaft Auf Aktien | Kosmetische mittel mit protein-disulfidisomerase |
| US7261744B2 (en) | 2002-12-24 | 2007-08-28 | L'oreal S.A. | Method for dyeing or coloring human keratin materials with lightening effect using a composition comprising at least one fluorescent compound and at least one optical brightener |
| FR2850271B1 (fr) | 2003-01-27 | 2006-08-04 | Oreal | Utilisation de nanoparticules semiconductrices luminescentes en cosmetique |
| US20070231940A1 (en) | 2003-01-27 | 2007-10-04 | L'oreal S.A. | Composition and method of dyeing keratin fibers comprising luminescent semiconductive nanoparticles |
| US20040253757A1 (en) | 2003-01-27 | 2004-12-16 | Luc Gourlaouen | Composition and method of dyeing keratin fibers comprising luminescent semiconductive nanoparticles |
| FR2853233B1 (fr) | 2003-04-01 | 2007-10-05 | Oreal | Composition de coloration pour matieres keratiniques humaines comprenant un colorant fluorescent et une silicone aminee, procede et utilisation |
| US7204860B2 (en) | 2003-04-01 | 2007-04-17 | L'oreal | Composition for dyeing human keratin materials, comprising at least one fluorescent dye and at least one polyol, process therefor and use thereof |
| FR2853230B1 (fr) | 2003-04-01 | 2005-06-17 | Oreal | Composition de coloration pour matieres keratiniques humaines comprenant un colorant auto-oxydable, procede et utilisation |
| US7208018B2 (en) | 2003-04-01 | 2007-04-24 | L'oreal | Composition for dyeing human keratin materials, comprising at least one fluorescent dye and at least one associative polymer, process therefor and use thereof |
| FR2853229B1 (fr) | 2003-04-01 | 2009-06-12 | Oreal | Procede de coloration pour matieres keratiniques humaines avec effet eclaircissant, compose fluorescent particulier et composition le comprenant |
| US7303589B2 (en) | 2003-04-01 | 2007-12-04 | L'oreal S.A. | Process for dyeing human keratin fibers, having a lightening effect, comprising at least one fluorescent compound and compositions of the same |
| US7195650B2 (en) | 2003-04-01 | 2007-03-27 | L'oreal S.A. | Process for dyeing, with a lightening effect, human keratin fibers that have been permanently reshaped, using at least one composition comprising at least one fluorescent dye |
| US7147673B2 (en) | 2003-04-01 | 2006-12-12 | L'oreal S.A. | Composition for dyeing human keratin materials, comprising at least one fluorescent dye and at least one insoluble polyorganosiloxane conditioning polymer, process therefor and use thereof |
| US7192454B2 (en) | 2003-04-01 | 2007-03-20 | L'oreal S.A. | Composition for dyeing human keratin materials, comprising a fluorescent dye and a particular sequestering agent, process therefor and use thereof |
| FR2853238A1 (fr) | 2003-04-01 | 2004-10-08 | Oreal | Cmposition de coloration pour matieres keratiniques humaines comprenant un colorant fluorescent et un polymere conditionneur polyorganosiloxane insoluble, procede et utilisation |
| US7186278B2 (en) | 2003-04-01 | 2007-03-06 | L'oreal S.A. | Composition for dyeing human keratin materials, comprising at least one fluorescent dye and at least one compound comprising an acid functional group and processes therefor |
| US7250064B2 (en) | 2003-04-01 | 2007-07-31 | L'oreal S.A. | Dye composition comprising at least one fluorescent dye and a non-associative thickening polymer for human keratin materials, process therefor, and method thereof |
| US7195651B2 (en) | 2003-04-01 | 2007-03-27 | L'oreal S.A. | Cosmetic composition for dyeing human keratin materials, comprising at least one fluorescent dye and at least one cationic polymer, and a dyeing process therefor |
| US7150764B2 (en) | 2003-04-01 | 2006-12-19 | L'oreal S.A. | Composition for dyeing a human keratin material, comprising at least one fluorescent dye and at least one insoluble conditioning agent, process thereof, use thereof, and devices thereof |
| US7736631B2 (en) | 2003-04-01 | 2010-06-15 | L'oreal S.A. | Cosmetic dye composition with a lightening effect for human keratin materials, comprising at least one fluorescent dye and at least one aminosilicone, and process of dyeing |
| US7198650B2 (en) | 2003-04-01 | 2007-04-03 | L'oreal S.A. | Method of dyeing human keratin materials with a lightening effect with compositions comprising at least one fluorescent dye and at least one amphoteric or nonionic surfactant, composition thereof, process thereof, and device therefor |
| FR2857258B1 (fr) * | 2003-07-09 | 2007-08-17 | Oreal | Composition comprenant au moins un derive substitue de 2-[2-(4-aminophenyl)ethenyl]-1-pyridinium, procede de traitement des fibres keratiniques la mettant en oeuvre, dispositif et utilisation |
| US7377946B2 (en) | 2003-07-09 | 2008-05-27 | L'oréal | Composition comprising at least one substituted 2-[2-(4-amino phenyl)ethenyl]-1-pyridinium derivative, process for treating keratin fibres using it, device and use thereof |
| DE102004006142A1 (de) | 2004-02-07 | 2005-08-25 | Wella Ag | Neutrale und kationische Naphthalinderivate und diese Verbindungen enthaltende Färbemittel für Keratinfasern |
| CN1997340B (zh) * | 2004-04-08 | 2013-07-17 | 西巴特殊化学制品控股公司 | 二硫化物染料,包含它们的组合物以及染色的方法 |
| FR2876576B1 (fr) | 2004-10-14 | 2006-12-08 | Oreal | Composition de teinture comprenant un colorant disulfure particulier et procede de coloration des fibres keratiniques humaines a partir de ce colorant |
| US7488354B2 (en) | 2004-10-14 | 2009-02-10 | L'oreal S.A. | Dyeing composition comprising at least one disulphide dye and method of dyeing human keratin fibers using this dye |
| BRPI0611887B1 (pt) * | 2005-06-16 | 2016-06-07 | Ciba Sc Holding Ag | composição e método para tingimento de fibras contendo queratina |
| BRPI0617339B1 (pt) * | 2005-10-11 | 2017-04-04 | Ciba Specialty Chemicals Holding Inc | mistura de corantes de sulfeto, composição compreendendo a mesma, e método para tingir fibras contendo queratina |
| US7531008B2 (en) | 2005-11-30 | 2009-05-12 | L'oreal S.A. | Use of at least one cationic cyanin derivative for dyeing the hair, composition containing it, process for treating keratin fibers using the composition, and device therefor |
| FR2893842A1 (fr) | 2005-11-30 | 2007-06-01 | Oreal | Utilisation d'au moins un derive cationique de cyanine pour la coloration capillaire, composition le contenant, procede de traitement des fibres keratiniques mettant en oeuvre ladite composition, dispositif et utilisation |
| FR2895904B1 (fr) | 2006-01-12 | 2008-02-29 | Oreal | Utilisation pour la coloration avec effet eclaircissant des matieres keratiniques d'une composition comprenant un colorant fluorescent de type cyanine |
| EP2004757B1 (fr) | 2006-03-24 | 2011-05-04 | L'Oréal | Composition de teinture comprenant un colorant fluorescent thiol/disulfure a groupes amines et a charge cationique interne, procede d'eclaircissement des matieres keratiniques a partir de ce colorant |
| EP2001960B1 (fr) | 2006-03-24 | 2014-03-05 | L'Oréal | Composition de teinture comprenant un colorant fluorescent thiol/disulfure a groupe ortho-pyridinium a chaine alkylene interrompue et a charge cationique interne, procede d'eclaircissement des matieres keratiniques a partir de ce colorant |
| FR2898903B1 (fr) * | 2006-03-24 | 2012-08-31 | Oreal | Composition de teinture comprenant un colorant disulfure fluorescent, procede d'eclaircissement des matieres keratiniques a partir de ce colorant |
| FR2919179B1 (fr) | 2007-07-24 | 2010-02-19 | Oreal | Composition capillaire comprenant au moins un colorant direct disulfure et au moins un agent alcalin hydroxyde et procede de mise en forme et de coloration simultanees. |
| FR2921381B1 (fr) | 2007-09-21 | 2009-10-30 | Oreal | Colorant hemicyanine styryle thiol/disulfure, composition tinctoriale comprenant ce colorant, procede d'eclaircissement des matieres keratiniques a partir de ce colorant |
| FR2921377B1 (fr) | 2007-09-21 | 2009-10-30 | Oreal | Compose styryl a motif hydroxy(cyclo)alkylamino thiol/disulfure, procede d'eclaircissement des matieres keratiniques a partir de ce colorant |
| FR2921373B1 (fr) | 2007-09-21 | 2009-10-30 | Oreal | Colorant derive d'indole styryle a linker alkylene, composition tinctoriale comprenant ce colorant, procede d'eclaircissement des matieres keratiniques a partir de ce colorant |
| FR2921376B1 (fr) | 2007-09-21 | 2009-10-30 | Oreal | Compose styryl tetrahydroquinolinium thiol/disulfure, procede d'eclaircissement des matieres keratiniques a partir de ce colorant |
-
2007
- 2007-03-23 EP EP07731815A patent/EP2004757B1/fr active Active
- 2007-03-23 DE DE602007014349T patent/DE602007014349D1/de active Active
- 2007-03-23 BR BRPI0709366A patent/BRPI0709366B8/pt not_active IP Right Cessation
- 2007-03-23 AT AT07731815T patent/ATE508170T1/de not_active IP Right Cessation
- 2007-03-23 WO PCT/FR2007/051003 patent/WO2007110537A2/fr not_active Ceased
- 2007-03-23 KR KR1020087023377A patent/KR101088332B1/ko active Active
- 2007-03-23 US US12/293,723 patent/US8038732B2/en active Active
- 2007-03-23 JP JP2009500906A patent/JP5451375B2/ja active Active
Also Published As
| Publication number | Publication date |
|---|---|
| WO2007110537A2 (fr) | 2007-10-04 |
| JP5451375B2 (ja) | 2014-03-26 |
| EP2004757B1 (fr) | 2011-05-04 |
| ATE508170T1 (de) | 2011-05-15 |
| EP2004757A2 (fr) | 2008-12-24 |
| KR101088332B1 (ko) | 2011-11-30 |
| US8038732B2 (en) | 2011-10-18 |
| KR20080106941A (ko) | 2008-12-09 |
| WO2007110537A3 (fr) | 2008-04-10 |
| BRPI0709366A2 (pt) | 2011-07-12 |
| JP2009534474A (ja) | 2009-09-24 |
| DE602007014349D1 (de) | 2011-06-16 |
| US20100287714A1 (en) | 2010-11-18 |
| BRPI0709366B8 (pt) | 2018-05-29 |
Similar Documents
| Publication | Publication Date | Title |
|---|---|---|
| BRPI0709366B1 (pt) | Colorante fluorescente tiol, composições de tintura, processo de coloração de matérias queratínicas, dispositivo e uso dos corantes fluorescentes | |
| ES2363100T3 (es) | Composición de tinción que contiene un colorante fluorescente tiol/disulfuro con grupos aminados y con carga cationica interna y procedimiento de aclaramiento de las materias queratínicas a partir de este colorante. | |
| ES2532278T3 (es) | Compuesto de estirilo con unidad hidroxi(ciclo)alquilamino tiol/disulfuro, procedimiento de aclarado de las materias queratínicas a partir de este colorante | |
| ES2392114T3 (es) | Compuesto estiril tetrahidroquinolinio tiol/disulfuro, procedimiento de aclaramiento de las materias queratínicas a partir de este colorante | |
| KR101088335B1 (ko) | 티올/디술피드 나프틸이미드 형광 염료를 함유하는 염색 조성물, 및 상기 색소를 이용한 케라틴 물질의 미백 방법 | |
| ES2368878T3 (es) | Composición de tinción que contiene al menos un precursor de disulfuro/tiol incoloro y procedimiento de tinción que utiliza la composición. | |
| US8070830B2 (en) | Fluorescent entity, dyeing composition containing at least one fluorescent entity comprising at least one heterocycle, with at least one internal cationic charge, and method for lightening keratin materials using said at least one fluorescent entity | |
| ES2420484T3 (es) | Colorante de tiol/disulfuro derivado de fenilpirido[1,2-a]indolio, composición colorante que comprende este colorante, procedimiento para aclarar materiales queratínicos usando este colorante | |
| ES2375673T3 (es) | Colorante hemicianina estirilo tiol/disulfuro, composición colorante que comprende este colorante, procedimiento de aclaramiento de materias de queratina a partir de este colorante. | |
| WO2009037325A2 (en) | Thiol/disulfide indole-derived, styryl dye, dye composition comprising said dye, process for lightening keratin materials using this dye | |
| WO2009037348A1 (en) | Indolinium-derived thiol/disulfide dye, dye composition comprisng this dye, process for lightening keratin materials using this dye | |
| WO2009037350A2 (en) | DIKETOPYRROLO[3,4-c]PYRROLE THIOL/DISULFIDE DYE, COMPOSITION COMPRISING THIS DYE, PROCESS FOR LIGHTENING KERATIN MATERIALS USING THIS DYE | |
| ES2463687T3 (es) | Composición de tinte que comprende un colorante fluorescente tiol/disulfuro con grupo orto-piridinio de cadena de alquileno interrumpida y con carga catiónica interna, procedimiento de aclaramiento de las materias queratínicas a partir de este colorante | |
| FR2912140A1 (fr) | Composition de teinture comprenant un colorant fluorescent thiol a heterocycle et a charge cationique interne, procede d'eclaircissement des matieres keratiniques a partir de ce colorant | |
| BRPI0709369B1 (pt) | Corante fluorescente, composições de tintura, processo para a coloração dos materiais de queratínicos, dispositivo multicompartimento e uso dos corantes fluorescentes | |
| BRPI0709371A2 (pt) | corante fluorescente, composição corante, processo de coloração dos materiais de queratina, dispositivo multicompartimento e uso dos corantes fluorescentes | |
| BRPI0709367B1 (pt) | Corante fluorescente, composições corante, processo de coloração de materiais de queratina, dispositivo com multicompartimentos e uso de corantes fluorescentes de tiol heterocíclicos | |
| FR2912134A1 (fr) | Composition de teinture comprenant un colorant fluorescent thiol a groupement alcoxy/hydroxy et a charge cationique interne, procede d'eclaircissement des matieres keratiniques a partir de ce colorant | |
| FR2912135A1 (fr) | Composition de teinture comprenant un colorant fluorescent, a charge cationique externe et chaine alkylene interrompue, procede d'eclaircissement des matieres keratiniques a partir de ce colorant | |
| FR2912144A1 (fr) | Composition de teinture comprenant un colorant fluorescent thiol a cycle condense et charge cationique interne, procede d'eclaircissement des matieres keratiniques a partir de ce colorant |
Legal Events
| Date | Code | Title | Description |
|---|---|---|---|
| B07A | Application suspended after technical examination (opinion) [chapter 7.1 patent gazette] | ||
| B09A | Decision: intention to grant [chapter 9.1 patent gazette] | ||
| B09X | Republication of the decision to grant [chapter 9.1.3 patent gazette] | ||
| B16A | Patent or certificate of addition of invention granted [chapter 16.1 patent gazette] | ||
| B16C | Correction of notification of the grant [chapter 16.3 patent gazette] |
Free format text: PRAZO DE VALIDADE: 10 (DEZ) ANOS CONTADOS A PARTIR DE 15/05/2018, OBSERVADAS AS CONDICOES LEGAIS. (CO) REFERENTE A RPI 2471 DE 15/05/2018, QUANTO AO ENDERECO. |
|
| B16C | Correction of notification of the grant [chapter 16.3 patent gazette] | ||
| B21F | Lapse acc. art. 78, item iv - on non-payment of the annual fees in time |
Free format text: REFERENTE A 19A ANUIDADE. |







































