WO2022014640A1 - 腫瘍の治療に使用されるピリミジン化合物を含む組み合わせ - Google Patents

腫瘍の治療に使用されるピリミジン化合物を含む組み合わせ Download PDF

Info

Publication number
WO2022014640A1
WO2022014640A1 PCT/JP2021/026462 JP2021026462W WO2022014640A1 WO 2022014640 A1 WO2022014640 A1 WO 2022014640A1 JP 2021026462 W JP2021026462 W JP 2021026462W WO 2022014640 A1 WO2022014640 A1 WO 2022014640A1
Authority
WO
WIPO (PCT)
Prior art keywords
group
compound
alkyl group
pyrimidine
indicates
Prior art date
Legal status (The legal status is an assumption and is not a legal conclusion. Google has not performed a legal analysis and makes no representation as to the accuracy of the status listed.)
Ceased
Application number
PCT/JP2021/026462
Other languages
English (en)
French (fr)
Japanese (ja)
Inventor
憩 小口
雄貴 四方
純也 岩崎
Current Assignee (The listed assignees may be inaccurate. Google has not performed a legal analysis and makes no representation or warranty as to the accuracy of the list.)
Taiho Pharmaceutical Co Ltd
Original Assignee
Taiho Pharmaceutical Co Ltd
Priority date (The priority date is an assumption and is not a legal conclusion. Google has not performed a legal analysis and makes no representation as to the accuracy of the date listed.)
Filing date
Publication date
Application filed by Taiho Pharmaceutical Co Ltd filed Critical Taiho Pharmaceutical Co Ltd
Priority to EP21841448.0A priority Critical patent/EP4183395A4/en
Priority to KR1020237003587A priority patent/KR20230031926A/ko
Priority to US18/015,616 priority patent/US20230255972A1/en
Priority to AU2021308045A priority patent/AU2021308045B2/en
Priority to JP2022536420A priority patent/JP7373664B2/ja
Publication of WO2022014640A1 publication Critical patent/WO2022014640A1/ja
Anticipated expiration legal-status Critical
Ceased legal-status Critical Current

Links

Images

Classifications

    • AHUMAN NECESSITIES
    • A61MEDICAL OR VETERINARY SCIENCE; HYGIENE
    • A61PSPECIFIC THERAPEUTIC ACTIVITY OF CHEMICAL COMPOUNDS OR MEDICINAL PREPARATIONS
    • A61P43/00Drugs for specific purposes, not provided for in groups A61P1/00-A61P41/00
    • AHUMAN NECESSITIES
    • A61MEDICAL OR VETERINARY SCIENCE; HYGIENE
    • A61KPREPARATIONS FOR MEDICAL, DENTAL OR TOILETRY PURPOSES
    • A61K31/00Medicinal preparations containing organic active ingredients
    • A61K31/33Heterocyclic compounds
    • A61K31/335Heterocyclic compounds having oxygen as the only ring hetero atom, e.g. fungichromin
    • A61K31/337Heterocyclic compounds having oxygen as the only ring hetero atom, e.g. fungichromin having four-membered rings, e.g. taxol
    • AHUMAN NECESSITIES
    • A61MEDICAL OR VETERINARY SCIENCE; HYGIENE
    • A61KPREPARATIONS FOR MEDICAL, DENTAL OR TOILETRY PURPOSES
    • A61K31/00Medicinal preparations containing organic active ingredients
    • A61K31/33Heterocyclic compounds
    • A61K31/395Heterocyclic compounds having nitrogen as a ring hetero atom, e.g. guanethidine or rifamycins
    • A61K31/435Heterocyclic compounds having nitrogen as a ring hetero atom, e.g. guanethidine or rifamycins having six-membered rings with one nitrogen as the only ring hetero atom
    • A61K31/4353Heterocyclic compounds having nitrogen as a ring hetero atom, e.g. guanethidine or rifamycins having six-membered rings with one nitrogen as the only ring hetero atom ortho- or peri-condensed with heterocyclic ring systems
    • A61K31/436Heterocyclic compounds having nitrogen as a ring hetero atom, e.g. guanethidine or rifamycins having six-membered rings with one nitrogen as the only ring hetero atom ortho- or peri-condensed with heterocyclic ring systems the heterocyclic ring system containing a six-membered ring having oxygen as a ring hetero atom, e.g. rapamycin
    • AHUMAN NECESSITIES
    • A61MEDICAL OR VETERINARY SCIENCE; HYGIENE
    • A61KPREPARATIONS FOR MEDICAL, DENTAL OR TOILETRY PURPOSES
    • A61K31/00Medicinal preparations containing organic active ingredients
    • A61K31/33Heterocyclic compounds
    • A61K31/395Heterocyclic compounds having nitrogen as a ring hetero atom, e.g. guanethidine or rifamycins
    • A61K31/435Heterocyclic compounds having nitrogen as a ring hetero atom, e.g. guanethidine or rifamycins having six-membered rings with one nitrogen as the only ring hetero atom
    • A61K31/4353Heterocyclic compounds having nitrogen as a ring hetero atom, e.g. guanethidine or rifamycins having six-membered rings with one nitrogen as the only ring hetero atom ortho- or peri-condensed with heterocyclic ring systems
    • A61K31/4375Heterocyclic compounds having nitrogen as a ring hetero atom, e.g. guanethidine or rifamycins having six-membered rings with one nitrogen as the only ring hetero atom ortho- or peri-condensed with heterocyclic ring systems the heterocyclic ring system containing a six-membered ring having nitrogen as a ring heteroatom, e.g. quinolizines, naphthyridines, berberine, vincamine
    • AHUMAN NECESSITIES
    • A61MEDICAL OR VETERINARY SCIENCE; HYGIENE
    • A61KPREPARATIONS FOR MEDICAL, DENTAL OR TOILETRY PURPOSES
    • A61K31/00Medicinal preparations containing organic active ingredients
    • A61K31/33Heterocyclic compounds
    • A61K31/395Heterocyclic compounds having nitrogen as a ring hetero atom, e.g. guanethidine or rifamycins
    • A61K31/435Heterocyclic compounds having nitrogen as a ring hetero atom, e.g. guanethidine or rifamycins having six-membered rings with one nitrogen as the only ring hetero atom
    • A61K31/47Quinolines; Isoquinolines
    • A61K31/4738Quinolines; Isoquinolines ortho- or peri-condensed with heterocyclic ring systems
    • A61K31/4745Quinolines; Isoquinolines ortho- or peri-condensed with heterocyclic ring systems condensed with ring systems having nitrogen as a ring hetero atom, e.g. phenantrolines
    • AHUMAN NECESSITIES
    • A61MEDICAL OR VETERINARY SCIENCE; HYGIENE
    • A61KPREPARATIONS FOR MEDICAL, DENTAL OR TOILETRY PURPOSES
    • A61K31/00Medicinal preparations containing organic active ingredients
    • A61K31/33Heterocyclic compounds
    • A61K31/395Heterocyclic compounds having nitrogen as a ring hetero atom, e.g. guanethidine or rifamycins
    • A61K31/495Heterocyclic compounds having nitrogen as a ring hetero atom, e.g. guanethidine or rifamycins having six-membered rings with two or more nitrogen atoms as the only ring heteroatoms, e.g. piperazine or tetrazines
    • A61K31/505Pyrimidines; Hydrogenated pyrimidines, e.g. trimethoprim
    • A61K31/513Pyrimidines; Hydrogenated pyrimidines, e.g. trimethoprim having oxo groups directly attached to the heterocyclic ring, e.g. cytosine
    • AHUMAN NECESSITIES
    • A61MEDICAL OR VETERINARY SCIENCE; HYGIENE
    • A61KPREPARATIONS FOR MEDICAL, DENTAL OR TOILETRY PURPOSES
    • A61K31/00Medicinal preparations containing organic active ingredients
    • A61K31/33Heterocyclic compounds
    • A61K31/395Heterocyclic compounds having nitrogen as a ring hetero atom, e.g. guanethidine or rifamycins
    • A61K31/495Heterocyclic compounds having nitrogen as a ring hetero atom, e.g. guanethidine or rifamycins having six-membered rings with two or more nitrogen atoms as the only ring heteroatoms, e.g. piperazine or tetrazines
    • A61K31/505Pyrimidines; Hydrogenated pyrimidines, e.g. trimethoprim
    • A61K31/519Pyrimidines; Hydrogenated pyrimidines, e.g. trimethoprim ortho- or peri-condensed with heterocyclic rings
    • AHUMAN NECESSITIES
    • A61MEDICAL OR VETERINARY SCIENCE; HYGIENE
    • A61KPREPARATIONS FOR MEDICAL, DENTAL OR TOILETRY PURPOSES
    • A61K31/00Medicinal preparations containing organic active ingredients
    • A61K31/33Heterocyclic compounds
    • A61K31/395Heterocyclic compounds having nitrogen as a ring hetero atom, e.g. guanethidine or rifamycins
    • A61K31/535Heterocyclic compounds having nitrogen as a ring hetero atom, e.g. guanethidine or rifamycins having six-membered rings with at least one nitrogen and one oxygen as the ring hetero atoms, e.g. 1,2-oxazines
    • A61K31/53751,4-Oxazines, e.g. morpholine
    • A61K31/53771,4-Oxazines, e.g. morpholine not condensed and containing further heterocyclic rings, e.g. timolol
    • AHUMAN NECESSITIES
    • A61MEDICAL OR VETERINARY SCIENCE; HYGIENE
    • A61KPREPARATIONS FOR MEDICAL, DENTAL OR TOILETRY PURPOSES
    • A61K31/00Medicinal preparations containing organic active ingredients
    • A61K31/33Heterocyclic compounds
    • A61K31/395Heterocyclic compounds having nitrogen as a ring hetero atom, e.g. guanethidine or rifamycins
    • A61K31/55Heterocyclic compounds having nitrogen as a ring hetero atom, e.g. guanethidine or rifamycins having seven-membered rings, e.g. azelastine, pentylenetetrazole
    • A61K31/553Heterocyclic compounds having nitrogen as a ring hetero atom, e.g. guanethidine or rifamycins having seven-membered rings, e.g. azelastine, pentylenetetrazole having at least one nitrogen and one oxygen as ring hetero atoms, e.g. loxapine, staurosporine
    • AHUMAN NECESSITIES
    • A61MEDICAL OR VETERINARY SCIENCE; HYGIENE
    • A61KPREPARATIONS FOR MEDICAL, DENTAL OR TOILETRY PURPOSES
    • A61K31/00Medicinal preparations containing organic active ingredients
    • A61K31/56Compounds containing cyclopenta[a]hydrophenanthrene ring systems; Derivatives thereof, e.g. steroids
    • A61K31/565Compounds containing cyclopenta[a]hydrophenanthrene ring systems; Derivatives thereof, e.g. steroids not substituted in position 17 beta by a carbon atom, e.g. estrane, estradiol
    • AHUMAN NECESSITIES
    • A61MEDICAL OR VETERINARY SCIENCE; HYGIENE
    • A61KPREPARATIONS FOR MEDICAL, DENTAL OR TOILETRY PURPOSES
    • A61K31/00Medicinal preparations containing organic active ingredients
    • A61K31/70Carbohydrates; Sugars; Derivatives thereof
    • A61K31/7042Compounds having saccharide radicals and heterocyclic rings
    • A61K31/7052Compounds having saccharide radicals and heterocyclic rings having nitrogen as a ring hetero atom, e.g. nucleosides, nucleotides
    • A61K31/706Compounds having saccharide radicals and heterocyclic rings having nitrogen as a ring hetero atom, e.g. nucleosides, nucleotides containing six-membered rings with nitrogen as a ring hetero atom
    • A61K31/7064Compounds having saccharide radicals and heterocyclic rings having nitrogen as a ring hetero atom, e.g. nucleosides, nucleotides containing six-membered rings with nitrogen as a ring hetero atom containing condensed or non-condensed pyrimidines
    • A61K31/7068Compounds having saccharide radicals and heterocyclic rings having nitrogen as a ring hetero atom, e.g. nucleosides, nucleotides containing six-membered rings with nitrogen as a ring hetero atom containing condensed or non-condensed pyrimidines having oxo groups directly attached to the pyrimidine ring, e.g. cytidine, cytidylic acid
    • AHUMAN NECESSITIES
    • A61MEDICAL OR VETERINARY SCIENCE; HYGIENE
    • A61KPREPARATIONS FOR MEDICAL, DENTAL OR TOILETRY PURPOSES
    • A61K33/00Medicinal preparations containing inorganic active ingredients
    • A61K33/24Heavy metals; Compounds thereof
    • A61K33/243Platinum; Compounds thereof
    • AHUMAN NECESSITIES
    • A61MEDICAL OR VETERINARY SCIENCE; HYGIENE
    • A61KPREPARATIONS FOR MEDICAL, DENTAL OR TOILETRY PURPOSES
    • A61K39/00Medicinal preparations containing antigens or antibodies
    • A61K39/395Antibodies; Immunoglobulins; Immune serum, e.g. antilymphocytic serum
    • A61K39/39533Antibodies; Immunoglobulins; Immune serum, e.g. antilymphocytic serum against materials from animals
    • A61K39/3955Antibodies; Immunoglobulins; Immune serum, e.g. antilymphocytic serum against materials from animals against proteinaceous materials, e.g. enzymes, hormones, lymphokines
    • AHUMAN NECESSITIES
    • A61MEDICAL OR VETERINARY SCIENCE; HYGIENE
    • A61KPREPARATIONS FOR MEDICAL, DENTAL OR TOILETRY PURPOSES
    • A61K45/00Medicinal preparations containing active ingredients not provided for in groups A61K31/00 - A61K41/00
    • A61K45/06Mixtures of active ingredients without chemical characterisation, e.g. antiphlogistics and cardiaca
    • AHUMAN NECESSITIES
    • A61MEDICAL OR VETERINARY SCIENCE; HYGIENE
    • A61PSPECIFIC THERAPEUTIC ACTIVITY OF CHEMICAL COMPOUNDS OR MEDICINAL PREPARATIONS
    • A61P35/00Antineoplastic agents
    • AHUMAN NECESSITIES
    • A61MEDICAL OR VETERINARY SCIENCE; HYGIENE
    • A61KPREPARATIONS FOR MEDICAL, DENTAL OR TOILETRY PURPOSES
    • A61K2300/00Mixtures or combinations of active ingredients, wherein at least one active ingredient is fully defined in groups A61K31/00 - A61K41/00

Definitions

  • the present invention relates to a combination of a pyrimidine compound or a salt thereof used for treating a tumor with another antitumor agent, and an antitumor effect enhancer of another antitumor agent.
  • HER2 (also called ErbB2) is a receptor tyrosine kinase belonging to the ErbB family. HER2 is considered to be a cancer-causing gene, and gene amplification, overexpression, mutation, etc. of HER2 have been reported in various cancers. From non-clinical and clinical research data, it can be seen that activation of HER2 and downstream signals plays an important role in the survival and proliferation of cancer cells in cancer cells with these HER2 gene abnormalities and overexpressions. It is considered (Non-Patent Document 1).
  • an inhibitor capable of controlling the kinase activity of HER2 exerts an antitumor effect by inhibiting HER2 and downstream signal transduction in cancer cells having HER2 gene amplification, overexpression, or mutation. Therefore, it is considered to be useful for the treatment, prolongation of life and improvement of QOL of cancer patients.
  • Non-Patent Documents 2 and 3 It has been reported that about 25-40% of lung cancers, about 15-30% of breast cancers, and a certain percentage of other cancers also cause brain metastasis. In fact, it has been reported that about 20-30% of HER2-positive breast cancers develop brain metastases (Non-Patent Document 4).
  • Non-Patent Document 5 As compounds having HER2 inhibitory activity, lapatinib, neratinib and the like have been approved as therapeutic agents for HER2-positive breast cancer. However, since both are substrates of p-gp and Bcrp, it has been reported that the brain transferability is limited in non-clinical studies (Non-Patent Document 5). In fact, in clinical trials of lapatinib and neratinib, sufficient effects on brain metastatic cancer have not been obtained (Non-Patent Documents 6, 7, 8 and 9). From the viewpoint of controlling pathological conditions including brain metastases, a HER2 inhibitor having an inhibitory activity on HER2 and also having brain metastasis is desired.
  • the HER2ex20ins mutation which is one of the HER2 mutations, has been reported as an activation mutation in lung cancer and the like (Non-Patent Document 10), and although multiple clinical trials have been conducted, no therapeutic method has been established yet. .. Therefore, there is a need for a HER2 inhibitor having inhibitory activity against the HER2ex20ins mutation.
  • trastuzumab has been reported to be used in combination with paclitaxel (Non-Patent Document 11), paclitaxel / platinum compound (Non-Patent Document 12), and the like.
  • lapatinib has been reported to be used in combination with capecitabine (Non-Patent Document 13), 5-FU (Non-Patent Document 14), S-1 (Non-Patent Document 15) and the like.
  • EGFR also called “ErbB1”
  • ErbB1 is a receptor tyrosine kinase belonging to the ErbB family, and in normal tissues, it binds to Epidermal Growth Factor (also called “EGF”) mainly in epidermal tissues and contributes to cell proliferation and inhibition of apoptosis.
  • EGF Epidermal Growth Factor
  • EGFR is considered to be the causative gene of cancer, and gene amplification, overexpression, mutation, etc. of EGFR have been reported in various cancers. From non-clinical and clinical research data, it can be seen that activation of EGFR and downstream signals plays an important role in the survival and proliferation of cancer cells in cancer cells with these EGFR gene abnormalities and overexpressions. It is considered. For example, a mutation in which amino acids 746 to 750 of the EGFR exxon 19 region are deleted (also referred to as "exxon 19 deletion mutation”), and amino acid 858 of the exon 21 region is mutated from leucine to arginine (also referred to as "L858R mutation").
  • Non-Patent Document 17 (Called) is thought to contribute to the survival and proliferation of cancer cells by inducing kinase activity by self-mutating EGFR in an EGF-independent manner. It has been reported that these mutations are present in about 30 to 50% of non-small cell lung cancer in East Asia and in about 10% of non-small cell lung cancer in Europe and the United States (Non-Patent Document 18).
  • an inhibitor capable of controlling the kinase activity of EGFR may exert an antitumor effect by inhibiting EGFR and downstream signaling in cancer cells with gene amplification, overexpression, and / or mutation of EGFR. As it is expected, it is considered to be useful for treating cancer patients, prolonging their lives, and improving QOL.
  • EGFR inhibitors have been researched and developed as anticancer agents, and are used for the treatment of EGFR mutation-positive tumors.
  • agents such as afatinib, gefitinib, and erlotinib have been approved as therapeutic agents for EGFR mutation-positive lung cancer with the Exxon 19 deletion mutation and the L858R mutation.
  • Osimertinib is used as a therapeutic agent for EGFR mutation-positive lung cancer having an exon 19 deletion mutation and an L858R mutation, as well as an exon 20 region 790 amino acid mutated from threonine to methionine (also referred to as "T790M mutation"). Approved.
  • Non-Patent Document 19 Mutations in which one or more amino acids are inserted into the exon 20 region (also referred to as "exon 20 insertion mutation”) are also considered to be activation mutations in lung cancer and the like (Non-Patent Document 19), but have these mutations.
  • exon 20 insertion mutation For cancer, it has been reported that they tend to be less sensitive to multiple existing EGFR inhibitors.
  • afatinib on EGFR mutation-positive lung cancer, it has been reported that the effect on exon 20 insertion mutation tends to be significantly lower than the effect on exon 19 deletion mutation and L858R mutation (Non-Patent Document 20).
  • no cure has yet been established. Therefore, an EGFR inhibitor having an inhibitory activity against an exon 20 insertion mutation is required.
  • an EGFR inhibitor that has inhibitory activity against EGFR mutations and also has brain metastasis is desired.
  • Non-Patent Document 21 There is also a report on the antitumor effect of the combination of an EGFR inhibitor and other antitumor agents.
  • a combination effect has been recognized with respect to the combination of the EGFR inhibitor Erlotinib and CDDP (Non-Patent Document 21).
  • Non-Patent Document 22 there is a report of the combined effect of the combination of Erlotinib and RAD001 (Non-Patent Document 22).
  • An object of the present invention is to provide a method for treating a tumor using a pyrimidine compound or a salt thereof and another antitumor agent.
  • R 1 indicates a C1-C4 alkyl group or a C3-C4 cycloalkyl group which may have a C1-C4 alkoxy group as a substituent
  • R 2 indicates a C1-C6 alkyl group or a C1-C6 alkoxy group which may have 1 to 5 hydrogen atoms, halogen atoms, C1-C4 alkoxy groups or fluorine atoms as substituents, respectively
  • R 3 indicates a C1-C4 alkyl group which may have 1 to 5 hydrogen atoms or fluorine atoms as substituents
  • R 4 represents a hydrogen atom, or a C1-C4 alkyl group
  • R 5 indicates a phenyl group which may have 1 to 3 substituents selected from a fluorine atom and a chlorine atom.
  • the pyrimidine compound has the following general formula (II).
  • R 1 indicates a C1-C4 alkyl group or a C3-C4 cycloalkyl group which may have a C1-C4 alkoxy group as a substituent
  • R 2 indicates a C1-C6 alkyl group or a C1-C6 alkoxy group which may have 1 to 5 hydrogen atoms, halogen atoms, C1-C4 alkoxy groups or fluorine atoms as substituents, respectively
  • R 3 indicates a C1-C4 alkyl group which may have 1 to 5 hydrogen atoms or fluorine atoms as substituents
  • R 4 represents a hydrogen atom, or a C1-C4 alkyl group
  • R 5 indicates a phenyl group which may have 1 to 3 substituents selected from the group consisting of fluorine atoms and chlorine atoms.
  • the antitumor agent according to [1] which is a compound represented by
  • R 1 is a methyl group, an ethyl group, an isopropyl group, a tert-butyl group, a 1-methyl-1-methoxyethyl group, or a cyclopropyl group.
  • R 2 is a methyl group, an ethyl group, a methoxymethyl group, or an ethoxymethyl group.
  • R 3 is a methyl group, an ethyl group, or a trifluoromethyl group.
  • R 4 is hydrogen atom, or a methyl group
  • R 5 is phenyl, 2-fluorophenyl group, a 3-chlorophenyl group, 2,3-difluorophenyl group, a 2,4-difluorophenyl group, or 3,5-difluorophenyl group, [1] or [ 2]
  • R 1 is a methyl group, a tert-butyl group, or a cyclopropyl group.
  • R 2 is a methyl group, an ethyl group, or a methoxymethyl group.
  • R 3 is a methyl group R 4 is hydrogen atom,
  • R 5 is a phenyl group, antitumor agent according to any one of [1] to [3].
  • antitumor agent according to any one of [1] to [5], wherein the other antitumor agent is at least one selected from an antimetabolite, a molecular target drug, a platinum drug and an alkaloid drug. ..
  • antitumor agents include 5-fluorouracil (5-FU), triflulysine, gemcitabine, capesitabin, trastuzumab, pertuzumab, trastuzumab emtancin, AZD8055, everolimus, ductricib, buparlicib, tacericib, palbociclib, vest. And the antitumor agent according to any one of [1] to [6], which is at least one selected from paclitaxel.
  • a combination drug of a pyrimidine compound or a salt thereof and another antitumor agent has the following general formula (I).
  • R 1 indicates a C1-C4 alkyl group or a C3-C4 cycloalkyl group which may have a C1-C4 alkoxy group as a substituent
  • R 2 indicates a C1-C6 alkyl group or a C1-C6 alkoxy group which may have 1 to 5 hydrogen atoms, halogen atoms, C1-C4 alkoxy groups or fluorine atoms as substituents, respectively
  • R 3 indicates a C1-C4 alkyl group which may have 1 to 5 hydrogen atoms or fluorine atoms as substituents
  • R 4 represents a hydrogen atom, or a C1-C4 alkyl group
  • R 5 indicates a phenyl group which may have 1 to 3 substituents selected from a fluorine atom and a chlorine atom.
  • [12] The combination drug according to [11] for use in the treatment of tumors, wherein the pyrimidine compound or a salt thereof and the other antitumor agent are simultaneously, sequentially or spaced apart from each other.
  • a combination drug to be administered [12a] The combination drug according to [11] or [12], wherein the pyrimidine compound is the compound according to any one of [2] to [5].
  • [12c] The combination drug according to [11], [12], [12a] or [12b], wherein the pyrimidine compound or a salt thereof is orally administered.
  • the antitumor agent according to any one of [1] to [10] or the combination drug according to [11] or [12] is administered in combination with the pyrimidine compound or a salt thereof and the other antitumor agent.
  • the pyrimidine compound has the following general formula (I).
  • R 1 indicates a C1-C4 alkyl group or a C3-C4 cycloalkyl group which may have a C1-C4 alkoxy group as a substituent
  • R 2 indicates a C1-C6 alkyl group or a C1-C6 alkoxy group which may have 1 to 5 hydrogen atoms, halogen atoms, C1-C4 alkoxy groups or fluorine atoms as substituents, respectively
  • R 3 indicates a C1-C4 alkyl group which may have 1 to 5 hydrogen atoms or fluorine atoms as substituents
  • R 4 represents a hydrogen atom, or a C1-C4 alkyl group
  • R 5 indicates a phenyl group which may have 1 to 3 substituents selected from a fluorine atoms
  • R 1 indicates a C1-C4 alkyl group or a C3-C4 cycloalkyl group which may have a C1-C4 alkoxy group as a substituent
  • R 2 indicates a C1-C6 alkyl group or a C1-C6 alkoxy group which may have 1 to 5 hydrogen atoms, halogen atoms, C1-C4 alkoxy groups or fluorine atoms as substituents, respectively
  • R 3 indicates a C1-C4 alkyl group which may have 1 to 5 hydrogen atoms or fluorine atoms as substituents
  • R 4 represents a hydrogen atom, or a C1-C4 alkyl group
  • R 5 indicates a phenyl group which may have 1 to 3 substituents selected from a fluorine atom and a chlorine atom.
  • a method of treating a tumor in combination with another antitumor agent comprising administering to a patient in need thereof an effective amount of a pyrimidine compound or a salt thereof.
  • the pyrimidine compound has the following general formula (I).
  • R 1 indicates a C1-C4 alkyl group or a C3-C4 cycloalkyl group which may have a C1-C4 alkoxy group as a substituent
  • R 2 indicates a C1-C6 alkyl group or a C1-C6 alkoxy group which may have 1 to 5 hydrogen atoms, halogen atoms, C1-C4 alkoxy groups or fluorine atoms as substituents, respectively
  • R 3 indicates a C1-C4 alkyl group which may have 1 to 5 hydrogen atoms or fluorine atoms as substituents
  • R 4 represents a hydrogen atom, or a C1-C4 alkyl group
  • R 5 indicates a phenyl group which may have 1
  • a method which is a compound represented by. [18] A pyrimidine compound or a salt thereof for use in the treatment of tumors in combination with other antitumor agents, wherein the pyrimidine compound has the following general formula (I).
  • R 1 indicates a C1-C4 alkyl group or a C3-C4 cycloalkyl group which may have a C1-C4 alkoxy group as a substituent
  • R 2 indicates a C1-C6 alkyl group or a C1-C6 alkoxy group which may have 1 to 5 hydrogen atoms, halogen atoms, C1-C4 alkoxy groups or fluorine atoms as substituents, respectively
  • R 3 indicates a C1-C4 alkyl group which may have 1 to 5 hydrogen atoms or fluorine atoms as substituents
  • R 4 represents a hydrogen atom, or a C1-C4 alkyl group
  • R 5 indicates a phenyl group which may have 1 to
  • a pyrimidine compound or a salt thereof which is a compound represented by. [19] The use of a pyrimidine compound or a salt thereof for the treatment of a tumor in combination with another antitumor agent, wherein the pyrimidine compound has the following general formula (I).
  • R 1 indicates a C1-C4 alkyl group or a C3-C4 cycloalkyl group which may have a C1-C4 alkoxy group as a substituent
  • R 2 indicates a C1-C6 alkyl group or a C1-C6 alkoxy group which may have 1 to 5 hydrogen atoms, halogen atoms, C1-C4 alkoxy groups or fluorine atoms as substituents, respectively
  • R 3 indicates a C1-C4 alkyl group which may have 1 to 5 hydrogen atoms or fluorine atoms as substituents
  • R 4 represents a hydrogen atom, or a C1-C4 alkyl group
  • R 5 indicates a phenyl group which may have 1 to 3 substituents selected from a fluorine atom and a chlorine atom.
  • the pyrimidine compound is the compound according to any one of [2] to [5], the use according to [14] or [19], the antitumor effect enhancer according to [15], [ 17], or the pyrimidine compound or salt thereof according to [18].
  • the other antitumor agent is the one described in [6] or [7], the use according to [14], [19] or [20], in [15] or [20].
  • the pyrimidine compound or a salt thereof is orally administered, the use according to [14], [19], [20] or [21], the anti-antipathy according to [15], [20] or [21].
  • Tumor effect enhancer or the method according to [17], [20], or [21].
  • a pharmaceutical composition for treating a tumor which comprises a pyrimidine compound represented by the above general formula (I) or (II) or a salt thereof, and another antitumor agent.
  • a pyrimidine compound represented by the above general formula (I) or (II) or a salt thereof for use in the treatment of tumors in combination with other antitumor agents.
  • -Other antitumor agents for use in the treatment of tumors in combination with the pyrimidine compound represented by the above general formula (I) or (II) or a salt thereof.
  • -A pyrimidine compound represented by the above general formula (I) or (II) or a salt thereof for enhancing the antitumor effect of other antitumor agents -Use of the pyrimidine compound represented by the above general formula (I) or (II) or a salt thereof to enhance the antitumor effect of other antitumor agents.
  • -Use of other antitumor agents for enhancing the antitumor effect of the pyrimidine compound represented by the above general formula (I) or (II) or a salt thereof -Use of other antitumor agents for enhancing the antitumor effect of the pyrimidine compound represented by the above general formula (I) or (II) or a salt thereof.
  • a method for treating a tumor which comprises a step of combining a pyrimidine compound represented by the above general formula (I) or (II) or a salt thereof with another antitumor agent and administering a therapeutically effective amount to the patient. ..
  • a method for treating a tumor which comprises a step of administering a therapeutically effective amount of a pyrimidine compound represented by the above general formula (I) or (II) or a salt thereof to a tumor patient to whom another antitumor agent has been administered. .. -A tumor patient to whom another antitumor agent will (or will) receive a therapeutically effective amount of the pyrimidine compound represented by the above general formula (I) or (II) or a salt thereof.
  • a method of treating a tumor which comprises the step of administering to.
  • a method for treating a tumor which comprises a step of administering a therapeutically effective amount of another antitumor agent to a tumor patient to whom the pyrimidine compound represented by the above general formula (I) or (II) or a salt thereof has been administered. Or a method for enhancing the antitumor effect.
  • a method for treating a tumor or a method for enhancing an antitumor effect which comprises a step of administering to.
  • -Enhancement of antitumor effect which comprises a step of administering a therapeutically effective amount of a pyrimidine compound represented by the above general formula (I) or (II) or a salt thereof to a tumor patient to whom another antitumor agent has been administered.
  • Method. The pyrimidine compound represented by the above general formula (I) or (II) or a salt thereof as a combination product for use simultaneously, sequentially or at intervals when treating a tumor, and other substances. Products containing antitumor agents.
  • -A pyrimidine compound represented by the above general formula (I) or (II) or a salt thereof which is used simultaneously, sequentially or at intervals in the treatment of tumors, and other antitumor agents. ,combination.
  • the tumor is a malignant tumor with HER2 overexpression, HER2 gene amplification, or HER2 mutation
  • the other antitumor agents are metabolic antagonists, Her2 inhibitors, PI3K /.
  • the tumor is a malignant tumor having EGFR overexpression, EGFR gene amplification, or EGFR mutation
  • the other antitumor agent is a metabolic antagonist, PI3K / AKT / mTOR inhibition.
  • the tumor is a HER2-positive tumor and the other anti-tumor agents are antimetabolites, Her2 inhibitors, PI3K / AKT / mTOR inhibitors, CDK4 / 6 inhibitors, and more. It is at least one selected from estrogen receptor antagonists, platinum-based agents, and plant alkaloid-based agents. In one embodiment of the above embodiment, the tumor is an EGFR positive tumor and the other antitumor agents are antimetabolites, PI3K / AKT / mTOR inhibitors, CDK4 / 6 inhibitors, estrogen receptor antagonists. At least one selected from drugs, platinum-based drugs, and plant alkaloid-based drugs.
  • the antitumor agent of the present invention can treat a tumor having a high antitumor effect (particularly, a tumor shrinkage effect and a tumor growth delay effect (life extension effect)) while suppressing the onset of side effects.
  • the Luciferase gene-introduced HER2-expressing cell line (NCI-N87-luc) of the compound of Example 2 shows an antitumor effect on a direct brain transplantation model.
  • the Luciferase gene-introduced HER2-expressing cell line (NCI-N87-luc) of the compound of Example 11 shows an antitumor effect on a direct brain transplantation model.
  • the Luciferase gene-introduced HER2-expressing cell line (NCI-N87-luc) of the compound of Example 12 shows an antitumor effect on a direct brain transplantation model.
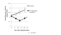
  • the weight gain / loss rate of the Luciferase gene-introduced HER2-expressing cell line (NCI-N87-luc) of the compound of Example 2 with respect to the direct brain transplantation model is shown.
  • the weight gain / loss rate of the Luciferase gene-introduced HER2-expressing cell line (NCI-N87-luc) of the compound of Example 11 with respect to the direct brain transplantation model is shown.
  • the weight gain / loss rate of the Luciferase gene-introduced HER2-expressing cell line (NCI-N87-luc) of the compound of Example 12 with respect to the direct brain transplantation model is shown.
  • the antitumor effect of the compounds of Examples 2, 11 and 12 on the subcutaneous transplant model of the H1975-EGFRins SVD cell line is shown.
  • the rate of change in body weight of mice when the compounds of Examples 2, 11 and 12 were administered to a subcutaneous transplant model of the H1975-EGFRins SVD cell line is shown.
  • the antitumor effect of the Luciferase gene-introduced exon 20 insertion mutant EGFR-expressing cell line (H1975-EGFRinsSVD-Luc) of the compound of Example 11 on a direct brain transplantation model is shown.
  • the survival rate of the mouse when the compound of Example 11 was administered to the direct brain transplantation model of the Luciferase gene-introduced exon 20 insertion mutant EGFR expressing cell line (H1975-EGFRinsSVD-Luc) is shown.
  • the therapeutic effect of the combination of the compound of Example 11 (Exple 11) and trastuzumab (Trastuzumab) on tumor cells derived from human gastric cancer is shown.
  • the therapeutic effect of the combination of the compound of Example 11 (Example 11), trastuzumab (T-mab) and pertuzumab (Pertuzumab, P-mab) on tumor cells derived from human gastric cancer is shown.
  • the therapeutic effect of the combination of the compound of Example 11 (Example 11) and trastuzumab emtansine on tumor cells derived from human gastric cancer is shown.
  • the therapeutic effect of the combination of the compound of Example 11 (Exple 11) and capecitabine (Capecitabine) on tumor cells derived from human gastric cancer is shown.
  • the therapeutic effect of the combination of the compound of Example 11 (Exple 11) and capecitabine (Capecitabine) on tumor cells derived from human gastric cancer is shown.
  • One embodiment of the present invention relates to a combination of a pyrimidine compound represented by the formula (I) having a pyrimidine as a basic skeleton or a salt thereof and another compound having an antitumor effect (another antitumor agent).
  • the antitumor effect can be enhanced as compared with the use of each alone, and further, the enhancement of toxicity can be suppressed and the occurrence of side effects can be suppressed. Therefore, according to the combination, it is possible to treat a tumor having an excellent antitumor effect while suppressing the occurrence of side effects.
  • the compound which brings about an excellent synergistic effect when used in combination with other antitumor agents in the present invention is a pyrimidine compound represented by the following general formula (I) or a salt thereof.
  • R 1 to R 5 are as defined above.
  • the compound that brings about an excellent synergistic effect in combination with other antitumor agents is a pyrimidine compound represented by the following general formula (II) or a salt thereof.
  • R 1 to R 5 are as defined above.
  • the compound represented by the above general formula (I) or general formula (II) of the present invention is a compound having a basic structure of pyrrolo [2,3-d] pyrimidine, and is also described in any of the above-mentioned prior art documents and the like. It is a novel compound not listed.
  • the compound represented by the general formula (I) or the general formula (II) or a salt thereof is also referred to as "a pyrimidine compound of the present invention or a salt thereof".
  • halogen atom examples include a chlorine atom, a bromine atom, a fluorine atom, and an iodine atom, preferably a chlorine atom and a fluorine atom, and more preferably a fluorine atom.
  • alkyl group refers to a linear or branched saturated hydrocarbon group, specifically, a methyl group, an ethyl group, an n-propyl group, an isopropyl group, an n-butyl group, and the like. Examples thereof include isobutyl group, sec-butyl group, tert-butyl group, pentyl group, hexyl group and the like, preferably a linear or branched alkyl group having 1 to 4 carbon atoms, and more preferably a methyl group. It is a tert-butyl group.
  • haloalkyl group refers to a group in which one to all hydrogen atoms are substituted with the above-mentioned halogen atom among linear or branched saturated hydrocarbon groups, and specifically. Is a monofluoromethyl group, a difluoromethyl group, a trifluoromethyl group, a 1-fluoroethyl group, a 2-fluoroethyl group, a 1,1-difluoroethyl group, a 1,2-difluoroethyl group, a 2,2-difluoroethyl group.
  • 2,2,2-trifluoroethyl group monochloromethyl group, dichloromethyl group, trichloromethyl group, 1-chloroethyl group, 2-chloroethyl group, 1,1-dichloroethyl group and the like, preferably the number of carbon atoms.
  • 1 to 6 linear or branched saturated hydrocarbon groups 1 to 3 hydrogen atoms are substituted with the above halogen atoms, and more preferably a monofluoromethyl group.
  • cycloalkyl group refers to a monocyclic or polycyclic saturated hydrocarbon group having 3 to 7 carbon atoms, and specifically, a cyclopropyl group, a cyclobutyl group, a cyclopentyl group, or a cyclohexyl group. , Cycloheptyl group and the like, preferably a cyclopropyl group and a cyclobutyl group.
  • the "aromatic hydrocarbon group” is a cyclic substituent composed of carbon and hydrogen having an unsaturated bond, and has 4e + 2 (e is an integer of 1 or more) in the cyclic ⁇ -electron system. Indicates a substituent containing an electron.
  • C6-C14 aromatic hydrocarbon group refers to a monocyclic or polycyclic aromatic hydrocarbon group having 6 to 14 carbon atoms, specifically, a phenyl group, a naphthyl group, and the like. Examples thereof include a tetrahydronaphthyl group and an anthrasenyl group, and a phenyl group is preferable.
  • aralkyl group refers to the alkyl group substituted with the aromatic hydrocarbon group, and specifically, a benzyl group, a phenylethyl group, a phenylpropyl group, a naphthylmethyl group and a naphthylethyl group.
  • a benzyl group such as C7-C16 aralkyl group is mentioned, preferably a benzyl group.
  • the term "unsaturated hydrocarbon group” refers to a linear or branched hydrocarbon group having 2 to 6 carbon atoms including at least one carbon-carbon double bond or triple bond.
  • examples thereof include a vinyl group, an allyl group, a methyl vinyl group, a propenyl group, a butenyl group, a pentenyl group, a hexenyl group, an ethynyl group, a 2-propynyl group and the like, and a vinyl group, an allyl group and a 1-propenyl group are preferable.
  • alkenyl group refers to a linear or branched hydrocarbon group having 2 to 6 carbon atoms containing at least one carbon-carbon double bond, specifically a vinyl group. Allyl group 2-methyl-2-propenyl group, isopropenyl group, 1-, 2- or 3-butenyl group, 2-, 3- or 4-pentenyl group, 2-methyl-2-butenyl group, 3-methyl- Examples thereof include a C2-C6 alkenyl group such as a 2-butenyl group and a 5-hexenyl group, preferably a vinyl group, an allyl group, a 1-propenyl group and a 2-methyl-2-propenyl group.
  • alkynyl group refers to a linear or branched unsaturated hydrocarbon group having at least one triple bond (for example, 1 to 2, preferably 1). Examples thereof include C2-C6 alkynyl groups such as ethynyl group, 1- or 2-propynyl group, 1-, 2- or 3-butynyl group, 1-methyl-2-propynyl group, and preferably ethynyl group and 2 -Propynyl group.
  • C3-C10 cyclic unsaturated hydrocarbon group refers to a monocyclic or polycyclic hydrocarbon group having at least one carbon-carbon double bond and having 3 to 10 carbon atoms. Specific examples thereof include a cyclopropenyl group, a cyclobutenyl group, a cyclopentenyl group, a cyclohexenyl group, a cycloheptenyl group, a cyclooctenyl group, a cyclononyl group and the like, preferably having 3 to 7 carbon atoms containing at least one carbon-carbon double bond. It is a monocyclic or polycyclic hydrocarbon group, more preferably a cyclopropenyl group.
  • alkoxy group refers to the oxy group having an alkyl group, specifically, a methoxy group, an ethoxy group, an n-propoxy group, an isopropoxy group, an n-butoxy group, an isobutoxy group, sec. -C1-C6 alkoxy groups such as a butoxy group, a tert-butoxy group, a pentyloxy group, an isopentyloxy group and a hexyloxy group are mentioned, preferably a methoxy group and an ethoxy group, and more preferably a methoxy group.
  • haloalkoxy group refers to the alkoxy group having at least one (preferably 1 to 13, more preferably 1 to 3) halogen atoms, and specifically, a fluoromethoxy group or a difluoro.
  • cycloalkoxy group refers to the oxy group having the cycloalkyl group, and specifically, C3 such as a cyclopropoxy group, a cyclobutoxy group, a cyclopentyloxy group, a cyclohexyloxy group and a cycloheptyloxy group.
  • C3 such as a cyclopropoxy group, a cyclobutoxy group, a cyclopentyloxy group, a cyclohexyloxy group and a cycloheptyloxy group.
  • -C7 cycloalkoxy group is mentioned, preferably cyclobutoxy group, cyclopentyloxy group, cyclohexyloxy group.
  • the "aralkyloxy group” refers to the oxygroup having the aralkyl group, and specifically, C7-C20 such as a benzyloxy group, a phenethyloxy group, a naphthylmethyloxy group, and a fluorenylmethyloxy group. Examples thereof include an aralkyloxy group, preferably a benzyloxy group.
  • alkylthio group refers to a thioxy group having the above alkyl group, and specifically, a methylthio group, an ethylthio group, an n-propylthio group, an isopropylthio group, an n-butylthio group, an isobutylthio group, a tert.
  • Examples thereof include C1-C6 alkylthio groups such as a butylthio group, an n-pentylthio group, an isopentylthio group and a hexylthio group, preferably a methylthio group, an ethylthio group and an n-propylthio group.
  • alkoxyalkyl group refers to the alkyl group having at least one alkoxy group, and specifically, C1-C6 such as a methoxymethyl group, an ethoxyethyl group, a methoxyethyl group, and a methoxypropyl group.
  • C1-C6 such as a methoxymethyl group, an ethoxyethyl group, a methoxyethyl group, and a methoxypropyl group.
  • Alkoxy-C1-C6 alkyl groups can be mentioned.
  • alkylamino group refers to an amino group substituted with a linear or branched hydrocarbon group having 1 to 6 carbon atoms instead of one or two hydrogen atoms. Specific examples thereof include a methylamino group, an ethylamino group, a dimethylamino group, a diethylamino group, an ethylmethylamino group and the like, and preferably a linear chain having 1 to 3 carbon atoms instead of one or two hydrogen atoms. Alternatively, it is an amino group substituted with an amino group substituted with a branched hydrocarbon group.
  • the term "monoalkylamino group” refers to an amino group substituted with a linear or branched hydrocarbon group instead of a single hydrogen atom, and specifically, a methylamino group. Ethylamino group, n-propylamino group, isopropylamino group, n-butylamino group, isobutylamino group, sec-butylamino group, tert-butylamino group, pentylamino group, hexylamino group and the like are preferable. It is an amino group substituted with a linear or branched hydrocarbon group having 1 to 3 carbon atoms instead of one hydrogen atom.
  • dialkylamino group refers to an amino group substituted with a linear or branched hydrocarbon group having 1 to 6 carbon atoms instead of two hydrogen atoms, and specifically, examples thereof include a dimethylamino group, a diethylamino group, an ethylmethylamino group, and the like, preferably an amino group substituted with a linear or branched hydrocarbon group having 1 to 3 carbon atoms instead of two hydrogen atoms. Yes, more preferably a dimethylamino group.
  • acyl group refers to a formyl group substituted with a linear or branched hydrocarbon group instead of a hydrogen atom, and specifically, an acetyl group, an n-propanoyl group, or an isopro. Examples thereof include a panoyl group, an n-butyroyl group, a tert-butyroyl group and the like, preferably a group substituted with a linear or branched hydrocarbon group having 1 to 3 carbon atoms instead of the hydrogen atom of the formyl group. And more preferably an acetyl group.
  • acyloxy group indicates the oxy group having the acyl group, and specific examples thereof include an alkylcarbonyloxy group and an arylcarbonyloxy group, preferably having 1 carbon atom instead of the hydrogen atom of the formyl group. It is an oxy group substituted with 3 linear or branched hydrocarbon groups, preferably an alkylcarbonyloxy group.
  • alkoxycarbonyl group refers to a carbonyl group having the alkoxy group, specifically, a methoxycarbonyl group, an ethoxycarbonyl group, a propoxycarbonyl group, an isopropoxycarbonyl group, a butoxycarbonyl group, or an isobutoxycarbonyl group.
  • Examples thereof include (C1-C6 alkoxy) carbonyl groups such as a group, a tert-butoxycarbonyl group, a pentyloxycarbonyl group, an isopentyloxycarbonyl group and a hexyloxycarbonyl group, preferably a tert-butoxycarbonyl group.
  • the "aralkyloxycarbonyl group” refers to the carbonyl group having aralkyloxy, specifically, a benzyloxycarbonyl group, a phenethyloxycarbonyl group, a naphthylmethyloxycarbonyl group, a fluorenylmethyloxycarbonyl group.
  • (C6-C20 aralkyl) such as (C6-C20 aralkyl) oxycarbonyl group is mentioned, and benzyloxycarbonyl group is preferable.
  • the "saturated heterocyclic group” is a monocycle having at least one heteroatom (preferably 1 to 5, more preferably 1 to 3) selected from a nitrogen atom, an oxygen atom and a sulfur atom.
  • Examples thereof include a phenyl group, a thiazolidinyl group, an oxazolidinyl group and the like, preferably an azetidinyl group, a pyrrolidinyl group and a piperidinyl group, and more preferably an azetidinyl group and a pyrrolidinyl group.
  • the "unsaturated heterocyclic group” is simply a group having at least one heteroatom (preferably 1 to 5, more preferably 1 to 3) selected from a nitrogen atom, an oxygen atom and a sulfur atom. Shows a cyclic or polycyclic completely unsaturated or partially unsaturated heterocyclic group, specifically, an imidazolyl group, a thienyl group, a pyrrolyl group, an oxazolyl group, an isoxazolyl group, a thiazolyl group, an isothiazolyl group, a thiadiazolyl group, an oxadiazolyl group.
  • pyrazolyl group triazolyl group, tetrazolyl group, pyridyl group, pyrazil group, pyrimidinyl group, pyridazinyl group, indolyl group, isoindrill group, indazolyl group, triazolopyridyl group, benzoimidazolyl group, benzoxazolyl group, benzothiazolyl group, benzo Examples thereof include a thienyl group, a furanyl group, a benzofuranyl group, a prynyl group, a quinolyl group, an isoquinolyl group, a quinazolinyl group, a quinoxalyl group, a methylenedioxyphenyl group, an ethylenedioxyphenyl group and a dihydrobenzofuranyl group, and an imidazolyl group is preferable.
  • the "saturated heterocyclic oxy group” refers to the oxy group having the saturated heterocyclic group, and specifically, morpholinyloxy group, 1-pyrrolidinyloxy group, piperidinooxy group, piperazinyl.
  • examples thereof include an oxy group, a 4-methyl-1-piperazinyloxy group, a tetrahydrofuranyloxy group, a tetrahydropyranyloxy group, a tetrahydrothiophenyloxy group, a thiazolidinyloxy group, an oxazolidinyloxy group, and the like. It is preferably a 1-pyrrolidinyloxy group, a piperidinooxy group, or a piperazinyloxy group.
  • R 1 may have a C1-C4 alkoxy group as a substituent, or a C1-C4 alkyl group or a C3-C4 cyclo. It is an alkyl group.
  • C1-C4 alkoxy group in the "may C1-C4 alkyl group which may have a C1-C4 alkoxy group as a substituent” represented by R 1, preferably methoxy group or ethoxy group, and most preferably Is a methoxy group.
  • R 1 preferably methoxy group or ethoxy group, and most preferably Is a methoxy group.
  • the number of substituents is preferably 1 to 3, and most preferably 1.
  • the substituents may be the same or different.
  • C1-C4 alkyl group of the “may C1-C4 alkyl group which may have a C1-C4 alkoxy group as a substituent" represented by R 1, preferably a methyl group, an ethyl group, n- propyl group, It is an isopropyl group or a tert-butyl group, more preferably a methyl group, an ethyl group, an isopropyl group or a tert-butyl group, and most preferably a methyl group or a tert-butyl group.
  • C1-C4 alkyl group which may have a C1-C4 alkoxy group as a substituent for R 1, preferably three have been or C1-C4 alkyl from 1 methoxy group as a substituent It is a group, more preferably a methyl group, an ethyl group, an isopropyl group, a tert-butyl group, or a 1-methyl-1-methoxyethyl group, and most preferably a methyl group or a tert-butyl group.
  • C3-C4 cycloalkyl group represented by R 1 is preferably a cyclopropyl group or cyclobutyl group, and most preferably a cyclopropyl group.
  • R 1 is preferably, may have three of C1-C4 alkoxy group from 1 as a substituent a C1-C4 alkyl group, or C3-C4 cycloalkyl group.
  • R 1 is more preferably a C1-C4 alkyl group or a C3-C4 cycloalkyl group which may have 1 to 3 methoxy groups as substituents.
  • R 1 is more preferably a methyl group, an ethyl group, an isopropyl group, a tert-butyl group, a 1-methyl-1-methoxyethyl group, or a cyclopropyl group.
  • R 1 is most preferably a methyl group, a tert-butyl group, or a cyclopropyl group.
  • R 2 has 1 to 5 hydrogen atoms, halogen atoms, and 1 to 5 C1-C4 alkoxy groups or fluorine atoms as substituents, respectively. It may be a C1-C6 alkyl group or a C1-C6 alkoxy group.
  • halogen atom is preferably a fluorine atom or a chlorine atom.
  • C1-C4 alkoxy group of the "C1-C4 alkoxy group or a fluorine atom may C1-C6 alkyl group which may have five from each 1 as a substituent" represented by R 2 is preferably a methoxy group, It is an ethoxy group, most preferably a methoxy group.
  • C1-C6 alkyl group of the "C1-C4 alkoxy group or a fluorine atom may be a have from one to five, respectively C1-C6 alkyl group as a substituent" represented by R 2 is preferably a methyl group, It is an ethyl group, an n-propyl group, an isopropyl group, or a tert-butyl group, and most preferably a methyl group.
  • C1-C4 alkoxy group or a fluorine atom may C1-C6 alkyl group which may have five from each 1 as a substituent" represented by R 2 is preferably a methoxy group as a substituent group, an ethoxy group or a fluorine atom C1-C6 alkyl group (specifically, methyl group, methoxymethyl group, ethoxymethyl group, methoxyethyl group, ethoxyethyl group, fluoromethyl group, difluoromethyl group, tri) which may have 1 to 5 of each.
  • Fluoromethyl group, etc. more preferably a C1-C6 alkyl group, more preferably a methyl group, an ethyl group, an n-propyl group, an isopropyl group, or a tert-butyl group, and most preferably a methyl group.
  • C1-C6 alkoxy group represented by R 2 is preferably a methoxy group, or ethoxy group, most preferably a methoxy group.
  • R 2 is preferably a substituent as C1-C4 alkoxy group or a fluorine atom five from 1 has been or C1-C6 alkyl group.
  • R 2 is a C1-C6 alkyl group which may have 1 to 5 methoxy groups, ethoxy groups or fluorine atoms as substituents, respectively.
  • R 2 may have 1 to 5 methoxy, ethoxy or fluorine atoms as substituents, respectively, from 1 to 5 methyl, ethyl, n-propyl, isopropyl or tert-butyl groups. (Preferably a methyl group or an ethyl group, more preferably a methyl group).
  • R 2 is more preferably a C1-C4 alkoxy group from 1 to 5 have been or C1-C6 alkyl group as a substituent.
  • R 2 is a C1-C6 alkyl group which may have 1 to 5 methoxy groups and 1 to 5 ethoxy groups as substituents, respectively.
  • R 2 may have 1 to 5 methoxy or ethoxy groups as substituents, respectively, from 1 to 5 methyl groups, ethyl groups, n-propyl groups, isopropyl groups, or tert-butyl groups (preferably). , Methyl group or ethyl group, more preferably methyl group).
  • R 2 is a methyl group, an ethyl group, a methoxymethyl group, or an ethoxymethyl group.
  • R 2 is even more preferably at C1-C6 alkyl group.
  • R 2 is more preferably methyl group, ethyl group, n- propyl group, an isopropyl group, or a tert- butyl group.
  • R 2 is particularly preferably a methyl group or an ethyl group.
  • R 2 is most preferably a methyl group.
  • R 3 is a hydrogen atom, is from one to five have been or C1-C4 alkyl group and a fluorine atom as a substituent ..
  • C1-C4 alkyl group of the "fluorine atom from one to five have been or C1-C4 alkyl group optionally as substituents" represented by R 3, preferably a methyl group, an ethyl group, n- propyl group , An isopropyl group, or a tert-butyl group, more preferably a methyl group or an ethyl group, and most preferably a methyl group.
  • C1-C4 alkyl group from 1 fluorine atom as a substituent represented by R 3, preferably a methyl group, fluoromethyl group, difluoromethyl group, trifluoromethyl group, or an ethyl It is a group, more preferably a methyl group, a trifluoromethyl group, or an ethyl group, and most preferably a methyl group.
  • R 3 is preferably, it may have from one to five fluorine atoms as a substituent a C1-C4 alkyl group.
  • R 3 is more preferably a methyl group, a fluoromethyl group, a difluoromethyl group, a trifluoromethyl group, an ethyl group, a fluoroethyl group, a difluoroethyl group, a trifluoroethyl group, an n-propyl group, an isopropyl group, or a tert.
  • -It is a butyl group.
  • R 3 is more preferably a methyl group, fluoromethyl group, difluoromethyl group, trifluoromethyl group, or an ethyl group.
  • R 3 is more preferably a methyl group, a trifluoromethyl group, or an ethyl group.
  • R 3 is particularly preferably a methyl group or an ethyl group.
  • R 3 is most preferably a methyl group.
  • R 4 is a hydrogen atom, or a C1-C4 alkyl group.
  • C1-C4 alkyl group represented by R 4 is preferably a methyl group, an ethyl group, an n- propyl group, an isopropyl group, or a tert- butyl group, more preferably a methyl group, or an ethyl group , Most preferably a methyl group.
  • R 4 is preferably a hydrogen atom, a methyl group, an ethyl group, n- propyl group, an isopropyl group, or a tert- butyl group.
  • R 4 is more preferably hydrogen atom, methyl group, or ethyl group.
  • R 4 is more preferably a hydrogen atom, or a methyl group. R 4 is most preferably hydrogen atom.
  • R 5 is 3 has may be a phenyl substituent from 1 selected from the group consisting of fluorine and chlorine atoms It is the basis.
  • R 5 is preferably a phenyl group which may have one or two substituents selected from the group consisting of fluorine atoms and chlorine atoms.
  • R 5 is more preferably a phenyl group, 2-fluorophenyl group, a 3-chlorophenyl group, 2,3-difluorophenyl group, 2,4-difluorophenyl group, or 3,5-difluorophenyl group.
  • R 5 is most preferably a phenyl group.
  • R 1 may have a C1-C4 alkoxy group as a substituent, or a C1-C4 alkyl group or a C3-C4 cycloalkyl.
  • R 2 is C1-C4 alkoxy group five may have C1-C6 alkyl group from 1 as a substituent
  • R 3 is a C1-C4 alkyl group which may have 1 to 5 fluorine atoms as a substituent.
  • R 4 is hydrogen atom, or a C1-C4 alkyl group
  • R 5 is, have one or two substituents selected from the group consisting of fluorine atom and chlorine atom is also a phenyl group, the compound or a salt thereof.
  • R 1 is a methyl group, an ethyl group, an n-propyl group, an isopropyl group, a tert-butyl group, a 1-methyl-1-methoxyethyl group, It is a cyclopropyl group or a cyclobutyl group
  • R 2 is a methyl group, an ethyl group, an n- propyl group, tert- butyl group, a methoxymethyl group, or an ethoxymethyl group
  • R 3 is a methyl group, a fluoromethyl group, a difluoromethyl group, a trifluoromethyl group, an ethyl group, a fluoroethyl group, a difluoroethyl group, a trifluoroethyl group, an n-propyl group, an isopropyl group, or a tert-
  • R 4 is a hydrogen atom, a methyl group, an ethyl group, n- propyl group, an isopropyl group, a tert- butyl group
  • R 5 is phenyl, 2-fluorophenyl group, 3-fluorophenyl group, 2,4-difluorophenyl group, 2,3-difluorophenyl group, 3,5-difluorophenyl group, 2-chlorophenyl group, 3- A compound or salt thereof, which is a chlorophenyl group, a 2,4-dichlorophenyl group, or a 3,5-dichlorophenyl group.
  • R 1 is a methyl group, an ethyl group, an isopropyl group, a tert-butyl group, a 1-methyl-1-methoxyethyl group, or a cyclopropyl group.
  • R 2 is a methyl group, an ethyl group, a methoxymethyl group, or an ethoxymethyl group.
  • R 3 is a methyl group, a fluoromethyl group, a difluoromethyl group, a trifluoromethyl group, or an ethyl group.
  • R 4 is a hydrogen atom, a methyl group, or ethyl group
  • R 5 is phenyl, 2-fluorophenyl group, a 3-chlorophenyl group, 2,3-difluorophenyl group, 2,4-difluorophenyl group, or a 3,5-difluorophenyl group, a compound or a salt thereof be.
  • R 1 is a methyl group, a tert-butyl group, or a cyclopropyl group.
  • R 2 is a methyl group, an ethyl group, a methoxymethyl group, or an ethoxymethyl group.
  • R 3 is a methyl group, a trifluoromethyl group, or an ethyl group.
  • R 4 is hydrogen atom, or a methyl group,
  • R 5 is a phenyl group, a compound or a salt thereof.
  • R 1 is a methyl group, a tert-butyl group, or a cyclopropyl group.
  • R 2 is a methyl group, an ethyl group, or a methoxymethyl group.
  • R 3 is a methyl group
  • R 4 is hydrogen atom
  • R 5 is a phenyl group, a compound or a salt thereof.
  • R 1 is a methyl group, a tert-butyl group, or a cyclopropyl group.
  • R 2 is a methyl group
  • R 3 is a methyl group
  • R 4 is hydrogen atom
  • R 5 is a phenyl group, a compound or a salt thereof.
  • Specific examples of the compound in the general formula (I) or the general formula (II) include, but are not limited to, the compounds produced in the following examples.
  • One embodiment of the present invention is a compound selected from the following (1) to (19), or a salt thereof.
  • One embodiment of the present invention is a compound selected from the following (1) to (15), or a salt thereof.
  • a compound selected from the following (1) to (3) or a salt thereof can be exemplified.
  • the most suitable pyrimidine compound in the present invention is 7-((3R, 5S) -1-acryloyl-5-methylpyrrolidine-3-yl) -4-amino-6- (cyclopropylethynyl) -N-((R). ) -1-Phenylethyl) -7H-pyrrolo [2,3-d] pyrimidine-5-carboxamide.
  • the compound according to the present invention can be produced, for example, by the following production method or the method shown in Examples. However, the method for producing a compound according to the present invention is not limited to these examples.
  • the pyrimidine compounds (I) and (II) of the present invention can be produced, for example, by using the following production methods. ⁇ Manufacturing method> [In the formula, L 1 , L 2 , L 3 indicate the same or different leaving groups, P 1 , P 2 indicate the same or different protecting groups, and the other symbols are synonymous with the above].
  • This step is a method for obtaining a compound represented by the formula 3 by a Mitsunobu reaction between the compound represented by the formula 1 and a compound represented by the formula 2 which can be commercially available or can be produced by a known method.
  • the Mitsunobu reaction is usually carried out in the presence of Mitsunobu and phosphine reagents.
  • the amount of the compound represented by the formula 2 (P 1 wherein 2 represents a protecting group of amino group), the compound of formula 1 for (1 mole), can be used at 1 to 10 equivalents , Preferably 1 to 3 equivalents.
  • the "protecting group for the amino group” is not particularly limited as long as it has the function, but for example, a benzyl group, a p-methoxybenzyl group, a 3,4-dimethoxybenzyl group, an o-nitrobenzyl group, a p-nitro.
  • Aralkyl groups such as benzyl group, benzhydryl group, trityl group, cumyl group; for example, lower alkanoyl group such as formyl group, acetyl group, propionyl group, butyryl group, pivaloyl group, trifluoroacetyl group, trichloroacetyl group; for example, benzoyl group;
  • an arylalkanoyl group such as a phenylacetyl group and a phenoxyacetyl group
  • a lower alkoxycarbonyl group such as a methoxycarbonyl group, an ethoxycarbonyl group, a propyloxycarbonyl group and a tert-butoxycarbonyl group
  • a p-nitrobenzyloxycarbonyl group and a phenethyl group for example, a p-nitrobenzyloxycarbonyl group and a phenethyl group.
  • Aralkyloxycarbonyl groups such as oxycarbonyl groups; lower alkylsilyl groups such as trimethylsilyl group, tert-butyldimethylsilyl group; eg tetrahydropyranyl group; eg trimethylsilylethoxymethyl group; eg methylsulfonyl group, ethylsulfonyl group, tert- Lower alkylsulfonyl groups such as butylsulfonyl groups; for example lower alkylsulfinyl groups such as tert-butylsulfinyl groups; eg arylsulfonyl groups such as benzenesulfonyl groups and toluenesulfonyl groups, for example imide groups such as phthalimide groups.
  • a trifluoroacetyl group an acetyl group, a tert-butoxycarbonyl group, a benzyloxycarbonyl group, a trimethylsilylethoxymethyl group, or a cumyl group is preferable.
  • the amount of the Mitsunobu reagent used is usually about 1 to 100 mol, preferably about 1 to 10 mol, with respect to the compound (1 mol) represented by the formula 1.
  • the phosphine reagent triphenylphosphine, tributylphosphine, trifurylphosphine and the like are used.
  • the amount of the phosphine reagent used is usually about 1 to 100 mol, preferably about 1 to 10 mol, with respect to the compound (1 mol) represented by the formula 1.
  • the solvent may be any solvent as long as it does not adversely affect the reaction.
  • hydrocarbons eg, benzene, toluene, xylene, etc.
  • halogenated hydrocarbons eg, chloroform, 1,2-dichloroethane, etc.
  • Nitriles eg, acetonitrile, etc.
  • ethers eg, dimethoxyethane, tetrahydrofuran, etc.
  • alcohols eg, methanol, ethanol, etc.
  • aprotic polar solvents eg, N, N-dimethylformamide, dimethylsulfoxide, etc.
  • Hexamethylphosphoramide etc. water or a mixture thereof and the like.
  • the reaction time is 0.1 to 100 hours, preferably 0.5 to 24 hours.
  • the reaction temperature is 0 ° C. to the boiling temperature of the solvent, preferably 0 ° C. to 100 ° C.
  • the compound represented by the formula 3 thus obtained can be isolated and purified by a known separation and purification means, or can be subjected to the next step without isolation and purification.
  • This step is a method for obtaining a compound represented by the formula 4 by reacting the compound represented by the formula 3 with ammonia or a salt thereof.
  • the amount used can be 1 to 1000 equivalents, preferably 1 to 100 equivalents, relative to the compound (1 mol) represented by the formula 3.
  • the solvent may be any solvent as long as it does not adversely affect the reaction.
  • hydrocarbons eg, benzene, toluene, xylene, etc.
  • halogenated hydrocarbons eg, chloroform, 1,2-dichloroethane, etc.
  • Nitriles eg, acetonitrile, etc.
  • ethers eg, dimethoxyethane, tetrahydrofuran, etc.
  • alcohols eg, methanol, ethanol, etc.
  • aprotic polar solvents eg, N, N-dimethylformamide, dimethylsulfoxide, etc.
  • Hexamethylphosphoramide etc. water or a mixture thereof and the like.
  • the reaction time is 0.1 to 100 hours, preferably 0.5 to 24 hours.
  • the reaction temperature is 0 ° C. to the boiling temperature of the solvent, preferably 0 ° C. to 150 ° C.
  • the compound represented by the formula 4 thus obtained can be isolated and purified by a known separation and purification means, or can be subjected to the next step without isolation and purification.
  • This step is a method for obtaining a compound represented by the formula 5 in a carbon monoxide atmosphere, for example, in the presence of a transition metal catalyst, a base and an alcohol.
  • the pressure of carbon monoxide is usually 1 atm to 20 atm, preferably 1 to 10 atm.
  • the alcohol include methanol, ethanol, propanol, isopropanol, diethylaminoethanol, isobutanol, 4- (2-hydroxyethyl) morpholine, 3-morpholinopropanol, diethylaminopropanol and the like.
  • the amount of alcohol used is usually about 1 to 100 mol, preferably about 1 to 50 mol, with respect to the compound (1 mol) represented by the formula 4.
  • a palladium catalyst eg, palladium acetate, palladium chloride, tetrakistriphenylphosphine palladium, palladium carbon, etc.
  • a ligand eg, triphenylphosphine, tri-tert
  • -Butylphosphine, etc. may be added and used.
  • the amount of the transition metal catalyst used varies depending on the type of catalyst, but is usually about 0.0001 to 1 mol, preferably about 0.01 to 0.5 mol, with respect to compound 4 (1 mol), and the use of a ligand is used. The amount is usually about 0.0001 to 4 mol, preferably about 0.01 to 2 mol, relative to the compound (1 mol) represented by the formula 4.
  • Examples of the base include organic amines (eg, trimethylamine, triethylamine, diisopropylethylamine, N-methylmorpholin, 1,8-diazapicyclo [5,4,0] undec-7-ene, pyridine, N, N-dimethylaniline).
  • organic amines eg, trimethylamine, triethylamine, diisopropylethylamine, N-methylmorpholin, 1,8-diazapicyclo [5,4,0] undec-7-ene, pyridine, N, N-dimethylaniline).
  • Alkali metal salts eg, sodium hydrogen carbonate, potassium hydrogen carbonate, sodium carbonate, potassium carbonate, cesium carbonate, sodium phosphate, potassium phosphate, sodium hydroxide, potassium hydroxide, etc.
  • metal hydrides eg, potassium hydroxide, etc.
  • alkali metal alkoxides eg, sodium methoxydo, sodium ethoxydo, sodium-tert-butoxide, potassium-tert-butoxide, etc.
  • alkali metal disilazide eg, lithium disiradide, sodium, etc.
  • alkali metal salts such as potassium carbonate, cesium carbonate, sodium phosphate and potassium phosphate
  • alkali metal alkoxides such as sodium-tert-butoxide and potassium-tert-butoxide
  • organic amines such as triethylamine and diisopropylethylamine are used. Suitable.
  • the amount of the base used is usually about 0.1 to 50 mol, preferably about 1 to 20 mol, with respect to the compound (1 mol) represented by the formula 4.
  • the solvent may be any solvent as long as it does not adversely affect the reaction.
  • hydrocarbons eg, benzene, toluene, xylene, etc.
  • halogenated hydrocarbons eg, chloroform, 1,2-dichloroethane, etc.
  • Nitriles eg, acetonitrile, etc.
  • ethers eg, dimethoxyethane, tetrahydrofuran, etc.
  • alcohols eg, methanol, ethanol, etc.
  • aprotic polar solvents eg, N, N-dimethylformamide, dimethyl sulfoxide, etc.
  • Hexamethylphosphoramide, N-methylpyrrolidone, etc. water or a mixture thereof and the like can be mentioned.
  • the reaction time is 0.1 to 100 hours, preferably 0.5 to 24 hours.
  • the reaction temperature is 0 ° C. to the boiling temperature of the solvent, preferably 0 ° C. to 150 ° C.
  • the ester compound corresponding to the alcohol used or the mixture of the ester compound and the compound represented by the formula 5 is hydrolyzed to convert it into the compound represented by the formula 5.
  • the base sodium hydrogen carbonate, sodium carbonate, potassium carbonate, cesium carbonate, sodium hydroxide, potassium hydroxide, lithium hydroxide and the like are preferably used, and the amount used is relative to the compound (1 mol) represented by the formula 4. It is usually about 0.5 to 100 mol, preferably about 1 to 10 mol.
  • the solvent may be any solvent as long as it does not adversely affect the reaction, and for example, water, methanol, ethanol, isopropanol, tetrahydrofuran, 1,4-dioxane, N, N-dimethylformamide and the like may be used alone or in combination. can.
  • the reaction time is 0.1 to 100 hours, preferably 0.5 to 24 hours.
  • the reaction temperature is 0 ° C. to the boiling temperature of the solvent, preferably 0 ° C. to 100 ° C.
  • the compound represented by the formula 5 thus obtained can be isolated and purified by a known separation and purification means, or can be subjected to the next step without isolation and purification.
  • This step is to introduce a protecting group into the carboxyl group of the compound represented by Formula 5, it is a method of obtaining the compound represented by the formula 6 (wherein 6 P 2 represents a protecting group of a carboxyl group).
  • 6 P 2 represents a protecting group of a carboxyl group.
  • a method of protection a commonly known method, for example, Protective Groups in Organic Synthesis third edition, T.I. W. Greene and P. G. M. It can be carried out by the method described in Wuts, John Wiley & Sons (1999), or a method similar thereto.
  • the "protecting group for the carboxyl group” is not particularly limited as long as it has the function, but is, for example, a lower alkyl group such as a methyl group, an ethyl group, a propyl group, an isopropyl group, a tert-butyl group; for example, 2,2. , 2-Halo lower alkyl group such as trichloroethyl group; for example lower alkenyl group such as allyl group; for example trimethylsilylethoxymethyl group; for example benzyl group, p-methoxybenzyl group, p-nitrobenzyl group, benzhydryl group, trityl group and the like.
  • a lower alkyl group such as a methyl group, an ethyl group, a propyl group, an isopropyl group, a tert-butyl group
  • 2-Halo lower alkyl group such as trichloroethyl group
  • Examples thereof include the aralkyl group of the above, and a methyl group, an ethyl group, a tert-butyl group, an allyl group, a benzyl group, a p-methoxybenzyl group, or a trimethylsilylethoxymethyl group is particularly preferable.
  • a protecting group such as a tert-butyl ester group, a methyl ester group or an ethyl ester group.
  • Examples of the protective base agent for this reaction include 2-tert-butyl-1,3-diisopropylisourea.
  • the amount of these protecting base agents used is usually about 1 to 50 mol, preferably about 1 to 10 mol, with respect to the compound (1 mol) represented by the formula 5.
  • the solvent may be any solvent as long as it does not adversely affect the reaction.
  • hydrocarbons eg, benzene, toluene, xylene, etc.
  • halogenated hydrocarbons eg, chloroform, 1,2-dichloroethane, etc.
  • Nitriles eg, acetonitrile, etc.
  • ethers eg, dimethoxyethane, tetrahydrofuran, tert-butylmethyl ether, etc.
  • alcohols eg, methanol, ethanol, etc.
  • aprotic polar solvents eg, N, N- Dimethylformamide, dimethylsulfoxide, hexamethylphosphoramide, etc.
  • water or a mixture thereof, etc. may be mentioned.
  • the reaction time is 0.1 to 100 hours, preferably 0.5 to 24 hours.
  • the reaction temperature is 0 ° C. to the boiling temperature of the solvent, preferably 0 ° C. to 100 ° C.
  • the compound represented by the formula 6 thus obtained can be isolated and purified by a known separation and purification means, or can be subjected to the next step without isolation and purification.
  • This step is a method of halogenating a compound represented by the formula 6 to obtain a compound represented by the formula 7 (L 3 in the formula 7 represents a halogen atom).
  • Halogenation can be carried out by, for example, a method using fluorine, chlorine, bromine, iodine or the like, a method using N-chlorosuccinimide, N-bromosuccinimide, N-iodosuccinimide or the like. In this reaction, a method using N-chlorosuccinimide, N-bromosuccinimide, N-iodosuccinimide or the like is preferable.
  • N-chlorosuccinimide, N-bromosuccinimide, N-iodosuccinimide and the like can be used in an amount of 1 to 10 equivalents with respect to the compound (1 mol) represented by the formula 6, preferably 1 to 3 equivalents.
  • the solvent may be any solvent as long as it does not adversely affect the reaction.
  • hydrocarbons eg, benzene, toluene, xylene, etc.
  • halogenated hydrocarbons eg, chloroform, 1,2-dichloroethane, etc.
  • Nitriles eg, acetonitrile, etc.
  • ethers eg, dimethoxyethane, tetrahydrofuran, etc.
  • alcohols eg, methanol, ethanol, etc.
  • aprotic polar solvents eg, N, N-dimethylformamide, dimethylsulfoxide, etc.
  • Hexamethylphosphoramide etc. water or a mixture thereof and the like.
  • the reaction time is 0.1 to 100 hours, preferably 0.5 to 24 hours.
  • the reaction temperature is 0 ° C. to the boiling temperature of the solvent, preferably 0 ° C. to 100 ° C.
  • the compound represented by the formula 7 thus obtained can be isolated and purified by a known separation and purification means, or can be subjected to the next step without isolation and purification.
  • This step is a method of obtaining a compound protecting group of the amino group of the compound represented by the formula 7 (P 1 in the formula 7) is deprotected formula 8.
  • a method of deprotection a commonly known method, for example, Protective Groups in Organic Synthesis third edition, T.I. W. Greene and P. G. M. It can be carried out by the method described in Wuts, John Wiley & Sons (1999), or a method similar thereto.
  • Examples of the protecting group include tert-butyloxycarbonyl and the like.
  • a tert-butyloxycarbonyl group when used as a protecting group, deprotection under acidic conditions is preferable, and examples of the acid include hydrochloric acid, acetic acid, trifluoroacetic acid, sulfuric acid, tosylic acid and the like.
  • the amount of the acid used is preferably about 1 to 100 equivalents with respect to the compound (1 mol) represented by the formula 7.
  • the solvent used in the reaction may be any solvent that does not adversely affect the reaction, and is, for example, alcohols (eg, methanol, etc.), hydrocarbons (eg, benzene, toluene, xylene, etc.), halogenated hydrocarbons (eg, benzene, toluene, xylene, etc.).
  • alcohols eg, methanol, etc.
  • hydrocarbons eg, benzene, toluene, xylene, etc.
  • halogenated hydrocarbons eg, benzene, toluene, xylene, etc.
  • reaction time is 0.1 to 100 hours, preferably 0.5 to 24 hours.
  • reaction temperature is 0 to 100 ° C, preferably 0 to 50 ° C.
  • the compound represented by the formula 8 thus obtained can be isolated and purified by a known separation and purification means, or can be subjected to the next step without isolation and purification.
  • This step is a method for obtaining a compound represented by the formula 9 by an amidation reaction between the amino group of the compound represented by the formula 8 and an acrylic acid halide or an acrylic acid anhydride.
  • an acrylic acid halide or an acrylic acid anhydride is used, the acrylic acid halide or the acrylic acid anhydride is usually 0.5 to 10 mol, preferably about 1 to 5 mol, with respect to the compound (1 mol) represented by the formula 8. It is about mol.
  • the acrylic acid halide or acrylic acid anhydride can be produced by a commercially available product or by a known method. In addition, a base can be added as needed.
  • Examples of the base include organic amines (eg, trimethylamine, triethylamine, isopropylethylamine, diisopropylethylamine, N-methylmorpholine, 1,8-diazapicyclo [5,4,0] undec-7-ene, pyridine, N, N.
  • organic amines eg, trimethylamine, triethylamine, isopropylethylamine, diisopropylethylamine, N-methylmorpholine, 1,8-diazapicyclo [5,4,0] undec-7-ene, pyridine, N, N.
  • alkali metal salts eg, sodium hydrogen carbonate, potassium hydrogen carbonate, sodium carbonate, potassium carbonate, cesium carbonate, sodium phosphate, potassium phosphate, sodium hydroxide, potassium hydroxide, etc.
  • metal hydrides Eg, potassium hydride, sodium hydride, etc.
  • alkali metal alkoxides eg, sodium methoxydo, sodium ethoxydo, sodium-tert-butoxide, potassium-tert-butoxide, etc.
  • the amount of the base used is usually about 1 to 100 mol, preferably about 1 to 10 mol, with respect to the compound (1 mol) represented by the formula 8.
  • the solvent used in the reaction may be any solvent as long as it does not adversely affect the reaction, for example, alcohols (eg, methanol, etc.) hydrocarbons (eg, benzene, toluene, xylene, etc.), halogenated hydrocarbons (eg, eg, methanol, etc.).
  • alcohols eg, methanol, etc.
  • hydrocarbons eg, benzene, toluene, xylene, etc.
  • halogenated hydrocarbons eg, eg, methanol, etc.
  • the reaction time is 0.1 to 100 hours, preferably 0.5 to 24 hours.
  • the reaction temperature is 0 ° C. to the boiling temperature of the solvent, preferably 0 ° C. to 100 ° C.
  • the compound represented by the formula 9 thus obtained can be isolated and purified by a known separation and purification means, or can be subjected to the next step without isolation and purification.
  • This step is a method for obtaining a compound represented by the formula 10 by reacting the compound represented by the formula 9 with a commercially available product or an acetylene derivative which can be produced by a known method.
  • the acetylene derivative the amount used can be 1 to 50 equivalents, preferably 1 to 10 equivalents, relative to the compound (1 mol) represented by the formula 9.
  • a palladium catalyst eg, palladium acetate, palladium chloride, tetraxtriphenylphosphine palladium, dichlorobis (triphenylphosphine) palladium, etc.
  • a nickel catalyst eg, nickel chloride, etc.
  • a ligand eg, triphenylphosphine, tri-tert-butylphosphine, etc.
  • a copper catalyst eg, copper iodide, copper bromide, copper chloride or the like may be used as a cocatalyst.
  • the amount of the transition metal catalyst used varies depending on the type of catalyst, but is usually about 0.0001 to 1 mol, preferably about 0.01 to 0.5 mol, relative to the compound (1 mol) represented by the formula 9.
  • the amount of the ligand used is usually about 0.0001 to 4 mol, preferably about 0.01 to 2 mol, and the amount of the copper catalyst used is about 0.0001 to 4 mol, based on the compound (1 mol) represented by the formula 9. It is usually about 0.0001 to 4 mol, preferably about 0.010 to 2 mol, relative to the compound (1 mol) represented by the formula 9.
  • Examples of the base include organic amines (eg, trimethylamine, triethylamine, diisopropylethylamine, N-methylmorpholin, 1,8-diazapicyclo [5,4,0] undec-7-ene, pyridine, N, N-dimethylaniline).
  • organic amines eg, trimethylamine, triethylamine, diisopropylethylamine, N-methylmorpholin, 1,8-diazapicyclo [5,4,0] undec-7-ene, pyridine, N, N-dimethylaniline).
  • Alkali metal salts eg, sodium hydrogen carbonate, potassium hydrogen carbonate, sodium carbonate, potassium carbonate, cesium carbonate, sodium phosphate, potassium phosphate, sodium hydroxide, potassium hydroxide, etc.
  • metal hydrides eg, potassium hydroxide, etc.
  • alkali metal alkoxide eg, sodium methoxydo, sodium ethoxydo, sodium-tert-butoxide, potassium-tert-butoxide, etc.
  • alkali metal disilazide eg, lithium disiradide, etc.
  • alkali metal salts such as potassium carbonate, cesium carbonate, sodium phosphate and potassium phosphate, alkali metal alkoxides such as sodium-tert-butoxide and potassium-tert-butoxide, and organic amines such as triethylamine and diisopropylethylamine are used. Suitable.
  • the amount of the base used is usually about 0.1 to 10 mol, preferably about 1 to 5 mol, with respect to the compound (1 mol) represented by the formula 9.
  • the solvent may be any solvent as long as it does not adversely affect the reaction.
  • hydrocarbons eg, benzene, toluene, xylene, etc.
  • halogenated hydrocarbons eg, chloroform, 1,2-dichloroethane, etc.
  • Nitriles eg, acetonitrile, etc.
  • ethers eg, dimethoxyethane, tetrahydrofuran, etc.
  • alcohols eg, methanol, ethanol, etc.
  • aprotic polar solvents eg, N, N-dimethylformamide, dimethylsulfoxide, etc.
  • Hexamethylphosphoramide etc. water or a mixture thereof and the like.
  • the reaction time is 0.1 to 100 hours, preferably 0.5 to 24 hours.
  • the reaction temperature is 0 ° C. to the boiling temperature of the solvent, preferably 0 ° C. to 150 ° C.
  • the compound represented by the formula 10 thus obtained can be isolated and purified by a known separation and purification means, or can be subjected to the next step without isolation and purification.
  • This step is a method of obtaining a compound protecting group of the carboxyl group of the compound represented by the formula 10 (P 2 in the formula 10) was deprotected formula 11.
  • a method of deprotection a commonly known method, for example, Protective Groups in Organic Synthesis, T.I. W. Greene and P. G. M. It can be carried out by the method described in Wuts, John Wiley & Sons (1981), or a method similar thereto.
  • Examples of the protecting group include tert-butyl ester and the like.
  • a tert-butyl ester group when used as a protecting group, deprotection under acidic conditions is preferable, and examples of the acid include hydrochloric acid, acetic acid, trifluoroacetic acid, sulfuric acid, tosylic acid and the like.
  • the amount of the acid used is preferably about 1 to 100 equivalents with respect to the compound (1 mol) represented by the formula 10.
  • the solvent used in the reaction may be any solvent that does not adversely affect the reaction, and is, for example, alcohols (eg, methanol, etc.), hydrocarbons (eg, benzene, toluene, xylene, etc.), halogenated hydrocarbons (eg, benzene, toluene, xylene, etc.).
  • alcohols eg, methanol, etc.
  • hydrocarbons eg, benzene, toluene, xylene, etc.
  • halogenated hydrocarbons eg, benzene, toluene, xylene, etc.
  • reaction time is 0.1 to 100 hours, preferably 0.5 to 24 hours.
  • reaction temperature is 0 to 100 ° C, preferably 0 to 50 ° C.
  • This step is a method for obtaining a compound represented by the formula (I) by an amidation reaction between the carboxyl group of the compound represented by the formula 11 and an amine which can be produced by a commercially available product or a known method.
  • the amidation method can be carried out by a conventionally known method, in which the reaction is carried out in the presence of a condensing agent, or the carboxylic acid moiety is activated by a conventionally known method to obtain a reactive derivative, and then the derivative is used. Examples are methods of amidating amines (see “Basics and Experiments of Peptide Synthesis” (Nobuo Izumiya et al., Maruzen Co., Ltd., 1983) for both methods).
  • condensing agent examples include N, N'-dicyclohexylcarbodiimide (DCC), N, N'-diisopropylcarbodiimide (DIC), 1-ethyl-3- (3-dimethylaminopropyl) carbodiimide hydrochloride (WSC), and diphenylphosphoryl azide.
  • DPPA benzotriazole-1-yl-oxytrisdimethylaminophosphonium hexafluorophosphate
  • BOP benzotriazole-1-yl-oxytripyrrolidinophosphonium hexafluorophosphate
  • PyAOP 7-azabenzotriazole-1- Iloxytrispyrrolidinophosphonium phosphate
  • BroP bromotrispyrrolidinophosphonium hexafluorophosphate
  • chlorotris pyrrolidin-1-yl) phosphonium hexafluorophosphate
  • PyCroP 3- (diethoxyphosphoryloxy) -1 , 2,3-Benzotriazine-4 (3H) -one (DEPBT), O- (azabenzotriazole-1-yl) -N, N, N', N'-tetramethyluronium hexafluorophosphart (HATU) ), 4- (5,6-d
  • HOBt 1-hydroxy-7-azabenzotriazole
  • HOSu N-hydroxysuccinimide
  • the amount of these used is usually about 1 to 100 mol, preferably about 1 to 10 mol, with respect to the compound (1 mol) represented by the formula 11.
  • a base can be added as needed.
  • the base include organic amines (eg, trimethylamine, triethylamine, diisopropylethylamine, N-methylmorpholin, 1,8-diazapicyclo [5,4,0] undec-7-ene, pyridine, N, N-dimethylaniline).
  • Alkaline metal salts eg, sodium hydrogen carbonate, potassium hydrogen carbonate, sodium carbonate, potassium carbonate, cesium carbonate, sodium phosphate, potassium phosphate, sodium hydroxide, potassium hydroxide, etc.
  • metal hydrides eg, potassium hydroxide, etc.
  • examples thereof include potassium hydride (sodium hydride, etc.), alkali metal alkoxides (eg, sodium methoxydo, sodium ethoxydo, sodium-tert-butoxide, potassium-tert-butoxide, etc.) and the like.
  • the amount of the base used is usually about 1 to 100 mol, preferably about 1 to 10 mol, with respect to the compound (1 mol) represented by the formula 11.
  • the solvent used in the reaction may be any solvent as long as it does not adversely affect the reaction, for example, alcohols (eg, methanol, etc.) hydrocarbons (eg, benzene, toluene, xylene, etc.), halogenated hydrocarbons (eg, eg, methanol, etc.).
  • alcohols eg, methanol, etc.
  • hydrocarbons eg, benzene, toluene, xylene, etc.
  • halogenated hydrocarbons eg, eg, methanol, etc.
  • reaction time is 0.1 to 100 hours, preferably 0.5 to 24 hours.
  • the reaction temperature is 0 ° C. to the boiling temperature of the solvent, preferably 0 ° C. to 100 ° C.
  • the compounds (I) and (II) thus obtained can be isolated and purified by known separation and purification means, for example, concentration, concentration under reduced pressure, crystallization, solvent extraction, reprecipitation, chromatography and the like.
  • separation and purification means for example, concentration, concentration under reduced pressure, crystallization, solvent extraction, reprecipitation, chromatography and the like.
  • the carboxyl group of the compound represented by the formula 11 and a commercially available product or a known method are used.
  • the amidation reaction with the resulting amines ”(step 10) is performed in order, but this order can be changed.
  • "introducing a protecting group into the carboxyl group of the compound represented by the formula 5" (4th step) and “deprotecting the protecting group of the carboxyl group of the compound represented by the formula 10" (9th step) are omitted. can do.
  • step 10 "amidation reaction between the carboxyl group of the compound represented by the formula 11 and an amine which can be produced by a commercially available product or a known method” (step 10), "the compound represented by the formula 6 "Halogenization” (5th step), “Deprotection of the protective group of the amino group of the compound represented by the formula 7" (6th step), “Amino group and acrylic acid halide of the compound represented by the formula 8", or “Amidation reaction with acrylic acid anhydride” (7th step), "When L3 of the compound represented by the formula 9 has a removing group such as halogen, a commercially available product or an acetylene derivative that can be produced by a known method can be used. It is possible to lead to the compounds represented by the formulas (I) and (II) through each step in the order of "Sono-head reaction" (8th step). The conditions of each step are the same as the above-mentioned conditions.
  • the pyrimidine compound of the present invention has isomers such as optical isomers, stereoisomers, rotational isomers, and tautomers, all isomers and mixtures of the present invention are the pyrimidine compounds of the present invention, unless otherwise specified. Included in. For example, when an optical isomer is present in the pyrimidine compound of the present invention, the racemate and the optical isomer divided from the racemate are also included in the pyrimidine compound of the present invention unless otherwise specified.
  • the salt of the pyrimidine compound of the present invention means a pharmaceutically acceptable salt, and examples thereof include a base-added salt and an acid-added salt.
  • the pyrimidine compound of the present invention or a salt thereof also contains a prodrug thereof.
  • the prodrug is a compound that is converted into the pyrimidine compound of the present invention or a salt thereof by a reaction with an enzyme, gastric acid, etc. under physiological conditions in the living body, that is, the pyrimidine compound of the present invention that is enzymatically oxidized, reduced, hydrolyzed, or the like.
  • a compound that changes to a salt thereof a pyrimidine compound of the present invention that undergoes hydrolysis or the like due to gastric acid or the like, or a compound that changes to a salt thereof.
  • it may be changed to the pyrimidine compound of the present invention or a salt thereof under physiological conditions as described in "Development of Pharmaceuticals", Vol. 7, Molecular Design, pp. 163 to 198, published by Hirokawa Shoten.
  • the pyrimidine compound of the present invention or a salt thereof may be amorphous or crystalline, and may be a single crystal form or a polymorphic mixture, and is included in the pyrimidine compound or a salt thereof of the present invention.
  • Ru. Crystals can be produced by crystallization by applying a known crystallization method.
  • the pyrimidine compound of the present invention or a salt thereof may be a solvate (for example, a hydrate or the like) or a non-solvate, and both are included in the pyrimidine compound of the present invention or a salt thereof. ..
  • Isotopes e.g., 3 H, 14 C, 35 S, etc. 125 I
  • compounds labeled with like are also encompassed in the pyrimidine compound or a salt thereof of the present invention.
  • the other antitumor agents are not particularly limited, and examples thereof include antimetabolites, molecular targeting agents, platinum-based agents, plant alkaloid-based agents, and the like. Other antitumor agents may be used alone or in combination of two or more.
  • the antimetabolite is not particularly limited, but is limited to 5-fluorouracil (5-FU), 5-fluoro-2'-deoxyuridine (FdUrd), Tegafur, Tegafur-uracil combination drug (eg, UFT (registered trademark), Examples include Tegafur / gimeracil / oteracil combination drug (eg, TS-1®, trifluridine (FTD), trifluridine / tipiracil hydrochloride combination drug (eg: Ronsurf®, gemcitabine, capecitabine, citarabine, etc.). Preferred are 5-fluorouracil (5-FU), trifluridine (FTD), gemcitabine, or capecitabine.
  • the antimetabolite can be used alone or in combination.
  • Examples of the molecular target drug include ErbB family (EGFR, Her2, Her3, Her4) inhibitors, PI3K / AKT / mTOR inhibitors, CDK4 / 6 inhibitors, estrogen receptor antagonists and the like.
  • the molecular-targeted drug can be used alone or in combination of two or more.
  • ErbB family (EGFR, Her2, Her3, Her4) inhibitor it is preferably a Her2 inhibitor, more preferably an anti-Her2 antibody such as trastuzumab, peltuzumab, trastuzumab emtancin, trastuzumab delxtecan, trastuzumab duocarmadin, and more preferably. Is trastuzumab, peltuzumab, or trastuzumab emtancin.
  • ErbB family inhibitors can be used alone or in combination. In one embodiment, the ErbB family inhibitors are trastuzumab and pertuzumab.
  • the PI3K / AKT / mTOR inhibitor is a compound that inhibits the signal pathway of PI3K / AKT / mTOR. 0032), MK2206, trans-3-amino-1-methyl-3- [4- (3-phenyl-5H-imidazole [1,2-c] pyrido [3,4-e] [1,3] oxadin- 2-yl) phenyl] -cyclobutanol and the like, preferably AZD8055, everolimus, ductricib, buparricib, tacericib, or MK2206.
  • the PI3K / AKT / mTOR inhibitor can be used alone or in combination of two or more.
  • Examples of the CDK4 / 6 inhibitor include palbociclib, abemaciclib and the like, and palbociclib is preferable.
  • the CDK4 / 6 inhibitor can be used alone or in combination of two or more.
  • estrogen receptor antagonist examples include fulvestrant, tamoxifen, mepitiostane and the like, and fulvestrant is preferable.
  • the estrogen receptor antagonist can be used alone or in combination of two or more.
  • platinum-based drug examples include oxaliplatin, carboplatin, cisplatin, nedaplatin and the like, and cisplatin is preferable. Platinum-based drugs can be used alone or in combination of two or more.
  • Examples of the plant alkaloid drug include microtube inhibitors such as paclitaxel, docetaxel, vinblastine, vincristine, bindesin, binorelbin, and eribrin, and topoisomerase inhibitors such as irinotecan, nogitecan, and etposide, and more preferably paclitaxel, docetaxel and the like. It is a topoisomerase I inhibitor such as a taxane-based microtube inhibitor, irinotecan, and nogitecan, and more preferably paclitaxel or irinotecan.
  • the plant alkaloids can be used alone or in combination of two or more.
  • the other antitumor agent is preferably at least one of a metabolic antagonist, a molecular target drug, a platinum drug, or a plant alkaloid drug, and more preferably a metabolic antagonist, the ErbB family (EGFR, Her2, Her3, Her4).
  • a metabolic antagonist the ErbB family (EGFR, Her2, Her3, Her4).
  • Inhibitor PI3K / AKT / mTOR inhibitor, CDK4 / 6 inhibitor, estrogen receptor antagonist, platinum-based drug, or plant alkaloid-based drug, more preferably a metabolic antagonist, Her2 inhibitor.
  • PI3K / AKT / mTOR inhibitor, CDK4 / 6 inhibitor, estrogen receptor antagonist, platinum-based drug, or plant alkaloid-based drug more preferably a metabolic antagonist, Her2 inhibitor, PI3K / At least one of an AKT / mTOR inhibitor, a CDK4 / 6 inhibitor, an estrogen receptor antagonist, a platinum drug, a microtube inhibitor, or a topoisomerase I inhibitor, more preferably a metabolic antagonist, a Her2 inhibitor, and the like.
  • PI3K / AKT / mTOR inhibitor It is at least one of a PI3K / AKT / mTOR inhibitor, a CDK4 / 6 inhibitor, an estrogen receptor antagonist, a platinum-based drug, a taxan-based microtube inhibitor, or a topoisomerase I inhibitor, and more preferably 5-fluorouracil ( 5-FU), 5-Fluoro-2'-deoxyuridine (FdUrd), Tegafur, Tegafur-Urasyl combination (eg, HER2®, Tegafur, gimeracil, oteracil combination (eg, TS-1 (registered trademark)) ), Triflulysine, Trifluridine / tipiracil hydrochloride combination (eg, Ronsurf®, gemcitabine, capesitabin, citarabin, trastuzumab, peltszumab, trastuzumab emtansine, trusstuzumab del
  • (5-FU), Triflulysine, Gemushi At least one of tabin, capecitabine, trastuzumab, pertuzumab, trastuzumab emtansine, AZD8055, everolimus, ductricib, buparricib, tacerisib, parvocyclib, fullbestland, cisplatin, or paclitaxel, and particularly preferably capecitabine, trastuzumab, trastuzumab. At least one.
  • antitumor agents also include their DDS preparations, for example, “paclitaxel” is albumin-suspended paclitaxel (eg, abraxane (registered trademark) and paclitaxel micelle (eg, NK105), etc., “cisplatin”. Includes cisplatin micelles (eg NC-6004) and the like.
  • examples of other antitumor agents include chemotherapeutic agents (eg, cytotoxic agents), immunotherapeutic agents, hormonal and antihormonal agents, targeted therapeutic agents, and antiangiogenic agents. included. Many antitumor agents can be classified into one or more of these groups. Although certain antitumor agents are grouped within specific groups or subgroups herein, many of these agents are one or more, as is currently understood in the art. It can also be described within other groups or subgroups.
  • Antitumor agents are not particularly limited, and are not particularly limited, and are chemotherapeutic agents, thread division inhibitors, plant alkaloids, alkylating agents, platinum preparation analogs, enzymes, metabolic antagonists, topoisomerase inhibitors, retinoids, aziridines, antibiotics, etc.
  • Non-limiting examples of chemotherapeutic agents include mitotic inhibitors and plant alkaloids, alkylating agents, antimetabolites, platinum preparation analogs, enzymes, topoisomerase inhibitors, retinoids, aziridines, and antibiotics.
  • Non-limiting examples of mitotic inhibitors and plant alkaloids include taxanes such as cabazitaxel, docetaxel, larotaxel, altertaxel, paclitaxel, and tesetaxel; demecorcin; epotyron; eribulin; etoposide (VP16); etoposide phosphate; navelvin. Includes noscapin; teniposide; taribulin; vinblastine; vincristine; vindesine; binflunin; and binorelbin.
  • alkylating agents include chlorambucil, chlornafazine, colophosphamide, citophosphamide, estramustine, ifosfamide, mannomustine, mechlorethamine, chlormethine oxide hydrochloride, melphalan, nobunbisin, predonimustine, tris
  • (2- Nitrogen mustards such as chloroethyl) amine, ifosfamide, and urasyl mustard
  • alkyl sulfonates such as busulfan, improsulfan, and piposulfan
  • nitrosolea such as carmustine, chlorozotocin, hotemustine, romustine, nimstin, lanimustine, streptzotocin, and TA-07.
  • Ethylene imine such as altretamine, thiotepa, triethylene melamine, triethylene thiophosphoramide, triethylene phosphoramide, trimethylol melamine, and methila melamine; ambamustine; bentamustine; dacarbazine; cyclophosphamide; etoglucid; irofluben; maphosfamide; mitobronitol; Mitractor; pipobroman; procarbazine; temozoromide; treosulfane; and triazicon.
  • Non-limiting examples of antimetabolites include folic acid analogs such as aminopterin, denopterin, edatorexate, methotrexate, pteropterin, raltitrexed, and trimetrexate; 6-mercaptopurine, 6-thioguanine, fludarabin, forodesin, thiamidrin, and Purine analogs such as thioguanine; 5-fluorouracil (5-FU), tegafur / gimeracil / oteracil potassium, tegafur / uracil, trifluidine, trifluidine / tipiracil hydrochloride, 6-azauridin, ancitabine, azacitabine, capecitabine, carmofur, cytarabine , Decitabine, Dideoxyuridine, Doxyflulysine, Enocitabine, Floxuridine, Galocitabine, Gemcitabine, and Sapacitabine and other pyrimidine analogs; 3-aminopyridine-2-carboxy
  • Non-limiting examples of platinum pharmaceutical analogs include carboplatin, cisplatin, dicycloplatin, heptaplatin, robaplatin, nedaplatin, oxaliplatin, satraplatin, and triplatin tetranitrate.
  • Non-limiting examples of enzymes include asparaginase and pegaspargase.
  • topoisomerase inhibitors include acridinecarboxamide, amonafide, amsacrine, verotecan, elliptinium acetate, exatecan, indrocarbazole, irinotecan, drasticcan, mitoxantrone, razoxane, rubitecan, SN-38, sobzoxane, and topotecan. Can be mentioned.
  • Non-limiting examples of retinoids include alitretinoin, bexarotene, fenretinide, isotretinoin, riazol, RII retinamide, and tretinoin.
  • Non-limiting examples of aziridine include benzodopa, carboquone, metuledopa, and uredopauredopa.
  • antibiotics include intercalating antibiotics; anthracenedion; anthracycline antibiotics such as acralubicin, amurubicin, daunorubicin, doxorubicin, epirubicin, idarubicin, menogaryl, nogaramycin, pirarubicin, and valrubicin; 6 -Diazo-5-oxo-L-norleucin; aclasinomycin; actinomycin; ausramicin; azaserin; bleomycin; cactinomycin; calikeamycin; carabicin; carminomycin; cardinophylline; chromomycin; dactinomycin; Detorbicin; esorubicin; esperamicin; geldanamycin; marcelomycin; mitomycin; mitomycin C; mycophenolic acid; orivomycin; novantron; pepromycin; porphyromycin; potophilomycin; puro
  • hormones and antihormonal agents include antiandrogens such as avilateron, appartamide, bicartamide, dalorutamide, enzaltamide, flutamide, goseleline, leuprorelin, and niltamide; 4-hydroxytamoxifen, aromatase inhibition 4 (5)-.
  • antiandrogens such as avilateron, appartamide, bicartamide, dalorutamide, enzaltamide, flutamide, goseleline, leuprorelin, and niltamide
  • 4-hydroxytamoxifen aromatase inhibition 4 (5)-.
  • Anti-estrogens such as imidazole, EM-800, phosfestol, flubestland, cheoxyphen, LY117018, onapriston, laroxifen, tamoxifen, tremifen, and trioxyfen; aminoglutethimide, dexaminoglutethimide, mitotan , Anti-adrenal agents such as trilostan; androgens such as carsterone, dromostanolone propionate, epithiostanol, mepitiostane, and testlactone; avalerix; anastrozole; cetrorelix; deslorerin; exemestane; fadrosol; finasteride; formestane; histrelin ( RL903); human chorionic gonadotropin; lanleothide; LDI200 (Milkhaus); retrozole; leuprorelin; mifepriston; nafalerin;
  • immunotherapeutic agents include biological response regulators, cytokine inhibitors, tumor vaccines, monoclonal antibodies, immune checkpoint inhibitors, colony stimulating factors, and immunomodulators. Can be mentioned.
  • Non-limiting examples of biological response regulators including cytokine inhibitors (cytocytoses) such as interferon and interleukin, include interferon alpha-2, interferon alpha-2a, interferon alpha-2b, interferonalpha-nl, interferonalpha.
  • cytokine inhibitors such as interferon and interleukin
  • Interferon alpha such as n3, interferon alphacon-1, peg interferon alpha-2a, peg interferon alpha-2b, and leukocyte alpha interferon
  • interferon beta such as interferon beta-1a and interferon beta-1b
  • natural interferon ⁇ -1a and interferon ⁇
  • interferon ⁇ such as interferon ⁇ -1b
  • Non-limiting examples of tumor vaccines include APC8015, AVICINE, bladder cancer vaccine, cancer vaccine (Biomira), Gastrin 17 immunogen, Maruyama vaccine, melanoma lysate vaccine, melanoma tumor lysate vaccine (New York Medical College), Examples include melanoma vaccine (New York University), melanoma vaccine (Sloan Kettering Institute), TICE (registered trademark) BCG (Bacillus Calmette-Guerin), and virus melanoma cell lysate vaccine (Royal Newcastle Hospital).
  • Non-limiting examples of monoclonal antibodies include agagobomab, adecatumumab, afribelcept, alemtuzumab, brinatsumomab, brentuximab vedotin, CA125Mab (Biomira), cancerMab (JapanPharmaceuticalDevelopment), dacrizumab , Gemtuzumab Ozogamycin, HER-2 and FcMAb (Medarex), Ibritumomab Chiuxetan, Idiotype 105AD7MAb (CRC Technology), Idiotype CEAMAb (Trilex), Ipirimmab, Linzzumab, Linzzumab, LYM-1 Examples include mitsumomab, moxetumomab, ofatumumab, polymorphic epithelial mucin-yttrium 90 MAb (Antisoma), ranibizmab, rituximab,
  • Non-limiting examples of immune checkpoint inhibitors are anti-PD-1 or anti-PD-1 antibodies such as semiprimab, nibolumab, and pembrolizumab; anti-PD-L1 or anti-PD such as atezolizumab, avelumab, and durvalumab. -L1 antibody; anti-CTLA-4 or anti-CTLA-4 antibody such as ipilimumab and tremelimumab; anti-LAG1; and anti-OX40.
  • anti-PD-1 or anti-PD-1 antibodies such as semiprimab, nibolumab, and pembrolizumab
  • anti-PD-L1 or anti-PD such as atezolizumab, avelumab, and durvalumab.
  • -L1 antibody anti-CTLA-4 or anti-CTLA-4 antibody such as ipilimumab and tremelimumab
  • anti-LAG1 anti-OX40.
  • colony stimulating factors include darbepoetin alfa, epoetin alfa, epoetin beta, filgrastim, granulocyte macrophage colony stimulating factor, lenograstim, religistim, mirimostim, molgramostim, nartograstim, pegfilgrastim, and Sargramostim can be mentioned.
  • Non-limiting examples of additional immunotherapeutic agents include BiTE, CAR-T cells, GITR agonists, imiquimods, immunomodulatory imides (IMiDs), mismatched double-stranded RNAs (Ampligen), resiquimods, SRL172, and simulfacin. Can be mentioned.
  • Target therapeutic agents include, for example, monoclonal antibodies and small molecule drugs.
  • targeted therapeutic agents include signal transduction inhibitors, growth factor inhibitors, tyrosine kinase inhibitors, EGFR inhibitors, HER2 inhibitors, histon deacetylase (HDAC) inhibitors, proteasome inhibitors, cells.
  • signal transduction inhibitors include signal transduction inhibitors, growth factor inhibitors, tyrosine kinase inhibitors, EGFR inhibitors, HER2 inhibitors, histon deacetylase (HDAC) inhibitors, proteasome inhibitors, cells.
  • HDAC histon deacetylase
  • Cycle inhibitor angiogenesis inhibitor, matrix metalloprotease (MMP) inhibitor, hepatocyte growth factor inhibitor, TOR inhibitor, KDR inhibitor, VEGF inhibitor, fibroblast growth factor (FGF) inhibitor, RAF inhibitor Agents, MEK inhibitors, ERK inhibitors, PI3K inhibitors, AKT inhibitors, MCL-1 inhibitors, BCL-2 inhibitors, SHP2 inhibitors, BRAF inhibitors, RAS inhibitors, gene expression regulators, autophagy inhibition Agents, apoptosis-inducing agents, anti-growth agents, and glycolytic inhibitors.
  • MMP matrix metalloprotease
  • hepatocyte growth factor inhibitor hepatocyte growth factor inhibitor
  • TOR inhibitor hepatocyte growth factor inhibitor
  • KDR inhibitor VEGF inhibitor
  • FGF fibroblast growth factor
  • RAF inhibitor Agents MEK inhibitors, ERK inhibitors, PI3K inhibitors, AKT inhibitors, MCL-1 inhibitors, BCL-2 inhibitors, SHP2 inhibitors, BRAF inhibitors, RAS inhibitors
  • Non-limiting examples of signal transduction inhibitors include tyrosine kinase inhibitors, multikinase inhibitors, anrotinib, avapritinib, axitinib, dasatinib, dobitinib, imatinib, lenvatinib, ronidamine, nilotinib, pazopanib and pegbitanib, pegbitanib, pegbitanib, ponatinib.
  • Examples thereof include EGFR and / or HER2 inhibitors (that is, other than the pyrimidine compound represented by the general formula (I) or a salt thereof).
  • Non-limiting examples of EGFR inhibitors include small molecule antagonists of EGFR such as afatinib, brigatinib, erlotinib, gefitinib, lapatinib, neratinib, dacomitinib, bandetanib, and osimertinib; partial or complete EGFR activation by its natural ligands.
  • Antibody-based EGFR inhibitors including any anti-EGFR antibody or antibody fragment that can be blocked; and specific antisense nucleotides or siRNAs.
  • Antibodies-based EGFR inhibitors include, for example, Modjtahedi, H., et al., 1993, Br. J.
  • Non-limiting examples of HER2 inhibitors include HER2 tyrosine kinase inhibitors such as afatinib, lapatinib, neratinib, and tsucatinib; and trastuzumab, trastuzumab emtansine (T-DM1), pertuzumab, margetuximab, trastuzumab, trastuzumab delxtecan (DS-8201). Examples thereof include anti-HER2 antibodies such as duocarmazine or drug complexes thereof.
  • HDAC histone deacetylase
  • Non-limiting examples of proteasome inhibitors include bortezomib, carfilzomib, ixazomib, marizomib (salinosporamide a), and oprozomib.
  • Non-limiting examples of cell cycle inhibitors include abemaciclib, alvocidib, palbociclib, and ribociclib.
  • Non-limiting examples of anti-angiogenic agents include matrix metalloprotease (MMP) inhibitors; VEGF inhibitors; EGFR inhibitors; TOR inhibitors such as everolimus and temsirolimus; PDGFR such as clenolanib.
  • MMP matrix metalloprotease
  • HIF-1 ⁇ inhibitors such as PX478; Belztifan, and HIF-2 ⁇ inhibitors such as HIF-2 ⁇ inhibitors described in WO2015 / 035223
  • FGFs such as B-FGF and RG13577 or FGFR inhibitor
  • hepatocellular growth factor inhibitor KDR inhibitor
  • anti-Ang1 and anti-Ang2 inhibitor Tie2 kinase inhibitor
  • Tek antagonist US 2003/0162712; US 6,413,932
  • anti-TWEAK agent US 6,727,225
  • ADAM disintegral domain US 2002/0042368) that antagonizes integrin for binding to; anti-eph receptor and / or anti-eph antibody or antigen-binding region (US 5,981,245; 5,96,110; 6,596,852; 6,232,447; and 6,057,124);
  • anti-PDGF-BB antagonists antibodies or antigen-binding regions that specifically bind to PDGF-BB ligands
  • Non-limiting examples of matrix metalloproteinase (MMP) inhibitors include MMP-2 (matrix metalloproteinase 2) inhibitors, MMP-9 (matrix metalloproteinase 9) inhibitors, prinomasat, RO 32-3555, And RS 13-0830.
  • Useful matrix metalloproteinase inhibitors include, for example, WO 96/33172, WO 98/27583, EP 1004578, WO 98/07697, WO 98/34918, WO 98/33768, WO 98/30566, EP 0606046, EP093178, WO.
  • MMP-2 and MMP-9 inhibitors are those that have little or no activity to inhibit MMP-1. More preferred are other matrix metalloproteinases (ie, MMP-1, MMP-3, MMP-4, MMP-5, MMP-6, MMP7, MMP8, MMP-10, MMP-11, MMP-12, and It selectively inhibits MMP-2 and / or MMP-9 against MMP-13).
  • Non-limiting examples of VEGF and VEGFR inhibitors include bevacizumab, cediranib, CEP 7055, CP 547632, KRN 633, oranchib, pazopanib, pegaptanib, pegaptanib octasodium, semaxanib, sorafenib, sunitinib, VEGF antagonist (Borean). ), And VEGF-TRAP TM .
  • anti-angiogenic agents include 2-methoxyestradiol, AE941, alemtuzumab, alpha-D148 Mab (Amgen, US), alphastatin, anecortab acetate, angiogenesis, angiogenesis inhibitors (SUGEN, US), angiostatin.
  • antitumor agents may also be active agents that disrupt or inhibit the RAS-RAF-ERK or PI3K-AKT-TOR signaling pathway, or may be PD-1 and / or PD-L1 antagonists.
  • examples include RAF inhibitors, EGFR inhibitors, MEK inhibitors, ERK inhibitors, PI3K inhibitors, AKT inhibitors, TOR inhibitors, MCL-1 inhibitors, BCL-2 inhibitors, SHP2 inhibitors, Immunotherapy with proteasome inhibitors or monoclonal antibodies, immunomodulatory imides (IMiDs), anti-PD-1, anti-PD-L1, anti-CTLA4, anti-LAG1, and anti-OX40 agents, GITR agonists, CAR-T cells, and BiTE Includes, but is not limited to.
  • IMDs immunomodulatory imides
  • IMDs immunomodulatory imides
  • anti-PD-1, anti-PD-L1, anti-CTLA4, anti-LAG1, and anti-OX40 agents GITR agonists, CAR
  • Non-limiting examples of RAF inhibitors include dabrafenib, encorafenib, regorafenib, sorafenib, and vemurafenib.
  • Non-limiting examples of MEK inhibitors include binimetinib, CI-1040, cobimetinib, PD318088, PD325901, PD334581, PD98059, refametinib, sermethinib, and trametinib.
  • Non-limiting examples of ERK inhibitors include LY3214996, LTT462, MK-8353, SCH772984, laboxertinib, urixeltinib, and ASTX029.
  • Non-limiting examples of PI3K inhibitors include 17-hydroxywortmannin analogs (eg WO 06/044453); AEZS-136; alperifsib; AS-252424; buparricib; CAL263; copanricib; CUDC-907; ductoric ().
  • Non-limiting examples of AKT inhibitors include Akt-1-1 (inhibits Akt1) (Barnett et al. (2005) Biochem. J., 385 (Pt. 2); Akt-1-1, 2). (Barnett et al. (2005) Biochem. J. 385 (Pt. 2), 399-408); API-59CJ-Ome (eg, Jin et al. (2004) Br. J. Cancer 91, 1808-12) 1-H-imidazole [4,5-c] pyridinyl compound (eg WO05 / 011700); indol-3-carbinol and its derivatives (eg US Patent No. 6,656,963; Sarkar and Li (2004) J Nutr.
  • Non-limiting examples of TOR inhibitors include dehorolimus; ATP competing TORC1 / TORC2 inhibitors including PI-103, PP242, PP30, and Torin1; rapamycin and its derivatives including temsirolimus, everolimus, WO 9409010; eg, Lapalog disclosed in WO 98/02441 and WO 01/14387, eg AP23573, AP23464, or AP23841; 40- (2-hydroxyethyl) rapamycin; 40-epi- (tetrazolyl) -rapamycin (also referred to as ABT578); AZD8055; 32-deoxorapamycin; 16-pentyloxy-32 (S) -dihydrorapamycin; and other derivatives described in WO 05/005434; US 5,258,389, WO 94/090101, WO 92/05179, US 5,118,677, US 5,118,67
  • MCL-1 inhibitors include AMG-176, MIK665, and S63845.
  • Non-limiting examples of SHP2 inhibitors are described in JAB-3068, RMC-4630, TNO155, SHP-099, RMC-4550, and WO2019 / 167000, WO2020 / 022332 and WO2021 / 033153. Inhibitors can be mentioned.
  • Non-limiting examples of RAS inhibitors include AMG510, MRTX849, LY3499446, JNJ-74699157 (ARS-3248), ARS-1620, ARS-853, RM-007, and RM-008.
  • antitumor agents include 2-ethylhydrazide, 2', 2'-trichlorotriethylamine, ABVD, acegraton, acemannan, aldphosphamide glycoside, alpharazine, amifostine, aminolevulinic acid, Anagrelide, ANCR, Ancestim, anti-CD22 immunotoxin, antitumor herbs, apadicone, algrabin, arsenic trioxide, azathiopurine, BAM002 (Novelos), bcl-2 (Genta), bestlabsyl, bilicodal, bisantren, bromocryptin, brostalicin , Briostatin, Butionine sulfoximin, Caliclin, Cell cycle non-specific antitumor agent, Sermoleucin, Clodronate, Clotrimazole, Cytarabine ocphosphat, DA 3030 (Dong-A), Defofamine, Denilokin difft
  • HER2 includes human or non-human mammalian HER2, preferably human HER2.
  • the NCBI Gene ID of human HER2 is 2064. Also, the word “HER2” includes isoforms.
  • EGFR includes human or non-human mammalian EGFR, preferably human EGFR.
  • the NCBI Gene ID of human EGFR is 1956.
  • the word “EGFR” includes isoforms.
  • the target tumor in the present invention is not particularly limited as long as it exhibits the antitumor effect of the antitumor agent, but preferably the pyrimidine compound represented by the general formula (I) or a salt thereof exerts the antitumor effect. It is a tumor, more preferably a malignant tumor in which HER2 is involved or a malignant tumor in which EGFR is involved.
  • the term "malignant tumor in which HER2 is involved” includes malignant tumors in which the incidence rate is reduced, symptoms are ameliorated, alleviated, and / or completely cured by deleting, suppressing and / or inhibiting the function of HER2. ..
  • Such malignant tumors are preferably malignant tumors with HER2 overexpression, HER2 gene amplification, or HER2 mutations.
  • the "HER2-related malignant tumor” is a HER2-positive tumor.
  • malignant tumors associated with EGFR include malignant tumors in which the incidence rate is reduced, symptoms are ameliorated, alleviated, and / or completely cured by deleting, suppressing and / or inhibiting the function of EGFR. ..
  • Such malignant tumors are preferably malignant tumors with EGFR overexpression, EGFR gene amplification, or EGFR mutations.
  • the "EGFR-involved malignant tumor” is an EGFR-positive tumor.
  • the tumor of interest in the present invention is a malignant tumor with HER2 overexpression, HER2 gene amplification, or HER2 mutation, or a malignant tumor with EGFR overexpression, EGFR gene amplification, or EGFR mutation.
  • the tumor of interest in the present invention is a HER2-positive tumor or an EGFR-positive tumor.
  • One embodiment of the present invention provides an antitumor agent containing the pyrimidine compound of the present invention or a salt thereof, which is to be administered in combination with other antitumor agents.
  • One embodiment of the present invention provides an antitumor agent to which the pyrimidine compound of the present invention or a salt thereof is administered in combination with another antitumor agent.
  • One embodiment of the present invention provides a combination of a pyrimidine compound or a salt thereof of the present invention with another antitumor agent (combination drug, combination method, combination product, or therapeutic combination).
  • One embodiment of the present invention provides an antitumor agent containing the pyrimidine compound of the present invention or a salt thereof for treating a tumor, which is to be administered in combination with other antitumor agents. do.
  • One embodiment of the present invention provides a combination (combination drug, combination method, combination product, or therapeutic combination) of a pyrimidine compound or a salt thereof of the present invention and another antitumor agent for treating a tumor. ..
  • One embodiment of the invention uses a combination of a pyrimidine compound of the invention or a salt thereof and another antitumor agent (combination drug, combination method, combination product, or therapeutic combination) to treat a tumor.
  • One embodiment of the invention is a pyrimidine of the invention to a tumor patient who has been or will be administered (or will be) to another antitumor agent.
  • an antitumor agent to which a compound or a salt thereof is administered.
  • One embodiment of the invention is a tumor patient to whom the pyrimidine compound of the invention or a salt thereof has been administered or a tumor to which the pyrimidine compound of the present invention or a salt thereof will be administered (planned to be administered).
  • the antitumor agent is orally administered.
  • an antitumor effect enhancer for enhancing the antitumor effect of another antitumor agent containing the pyrimidine compound of the present invention or a salt thereof.
  • one embodiment of the present invention provides the use of the pyrimidine compound of the present invention or a salt thereof, or the pyrimidine compound of the present invention or a salt thereof for use in the treatment of a tumor in combination with another antitumor agent. do.
  • One embodiment of the present invention provides the use of another antitumor agent or other antitumor agent for use in the treatment of a tumor in combination with the pyrimidine compound of the present invention or a salt thereof.
  • One embodiment of the invention is for treating a tumor patient who has been treated with another antitumor agent or a tumor patient who will (or is scheduled to be) treated with another antitumor agent.
  • the use of the pyrimidine compound or a salt thereof, or the pyrimidine compound of the present invention or a salt thereof is provided.
  • One embodiment of the invention treats a tumor patient to whom the pyrimidine compound of the invention or a salt thereof has been administered or a tumor patient to whom the pyrimidine compound of the present invention or a salt thereof will be administered (planned to be administered).
  • the use of other antitumor agents, or other antitumor agents, is provided for this purpose.
  • one embodiment of the present invention provides a combined antitumor agent in which the pyrimidine compound of the present invention or a salt thereof is administered in combination with another antitumor agent.
  • One embodiment of the present invention is a combination of the pyrimidine compound of the present invention or a salt thereof and another antitumor agent (combination drug, combination method, combination product, or therapeutic combination), and the pyrimidine compound or a salt thereof. And the other antitumor agents are provided in combination, which are administered simultaneously, sequentially or at intervals in the treatment of the tumor. Further, one embodiment of the present invention provides a pyrimidine compound of the present invention or a salt thereof for enhancing the antitumor effect of another antitumor agent. In one embodiment of the present invention, the use of a pyrimidine compound of the present invention or a salt thereof for enhancing the antitumor effect of another antitumor agent is provided.
  • One embodiment of the present invention provides a method for treating a tumor, which comprises a step of combining a pyrimidine compound or a salt thereof of the present invention with another antitumor agent to administer a therapeutically effective amount to a patient.
  • One embodiment of the present invention provides a method of treating a tumor, comprising the step of administering to a patient in need thereof an effective amount of a pyrimidine compound or a salt thereof and another antitumor agent of the present invention.
  • One embodiment of the present invention is a method for treating a tumor, and for a patient in need thereof, a combination of the pyrimidine compound of the present invention or a salt thereof and another antitumor agent (combination drug or combination product). Provided are methods comprising administering an effective amount of.
  • a therapeutically effective amount of the pyrimidine compound of the invention or a salt thereof will be administered to a tumor patient or another antitumor agent to which another antitumor agent has been administered (administration).
  • a method of treating a tumor including the step of administering it to a tumor patient.
  • One embodiment of the present invention is a method of treating a tumor in combination with another antitumor agent, wherein an effective amount of the pyrimidine compound of the present invention or a salt thereof is administered to a patient in need thereof.
  • One embodiment of the present invention provides a pharmaceutical composition for treating a tumor, which comprises the pyrimidine compound of the present invention or a salt thereof, and other antitumor agents.
  • a therapeutically effective amount of another antitumor agent is provided to a tumor patient or a pyrimidine compound of the present invention or a salt thereof to which the pyrimidine compound of the present invention or a salt thereof has been administered.
  • a method for treating a tumor or a method for enhancing an antitumor effect which comprises a step of administering to a patient with a deaf (to be administered) tumor.
  • a therapeutically effective amount of the pyrimidine compound of the present invention or a salt thereof is provided to a tumor patient or a pyrimidine compound of the present invention or a salt thereof to which another antitumor agent has been administered.
  • a method for enhancing an antitumor effect which comprises a step of administering to a patient with a deaf (to be administered) tumor.
  • One embodiment of the present invention is 7-((3R, 5S) -1-acryloyl-5-methylpyrimidine-3-yl) -4-amino-6- (cyclopropylethynyl) -N-((R)-.
  • An antitumor agent containing 1-phenylethyl) -7H-pyrrolo [2,3-d] pyrimidine-5-carboxamide or a salt thereof, which is to be administered in combination with other antitumor agents. offer.
  • One embodiment of the present invention is 7-((3R, 5S) -1-acryloyl-5-methylpyrrolidine-3-yl) -4-amino-6- (cyclopropylethynyl) -N-((R)-.
  • 1-Phenylethyl) -7H-pyrrolidine [2,3-d] Pyrimidine-5-carboxamide or a salt thereof and an antitumor agent to be administered in combination with another antitumor agent are provided.
  • One embodiment of the present invention is 7-((3R, 5S) -1-acryloyl-5-methylpyrrolidine-3-yl) -4-amino-6- (cyclopropylethynyl) -N-((R)-.
  • 1-Phenylethyl) -7H-Pyrrolidine [2,3-d] Pyrimidine-5-Carboxamide or a salt thereof in combination with other antitumor agents (combination drug, combination method, combination product, or therapeutic combination) is provided. do.
  • One embodiment of the invention is 7-((3R, 5S) -1-acryloyl-5-methylpyrrolidin-3-yl) -4-amino-6- (cyclopropylethynyl)-for treating a tumor.
  • One embodiment of the invention is 7-((3R, 5S) -1-acryloyl-5-methylpyrrolidine-3-yl) -4-amino-6- (cyclopropylethynyl)-for treating a tumor.
  • Combination of N-((R) -1-phenylethyl) -7H-pyrrolo [2,3-d] pyrimidine-5-carboxamide or a salt thereof with other antitumor agents combination drug, combination method, combination product, Or provide a therapeutic combination.
  • One embodiment of the invention is 7-((3R, 5S) -1-acryloyl-5-methylpyrrolidine-3-yl) -4-amino-6- (cyclopropylethynyl)-for treating a tumor.
  • Combination of N-((R) -1-phenylethyl) -7H-pyrrolo [2,3-d] pyrimidine-5-carboxamide or a salt thereof with other antitumor agents combination drug, combination method, combination product, Or provide the use of therapeutic combinations.
  • One embodiment of the present invention is 7-((planned to be administered) to a tumor patient who has been or will be treated with another antitumor agent.
  • an antitumor agent to which pyrimidine-5-carboxamide or a salt thereof is administered.
  • One embodiment of the present invention is 7-((3R, 5S) -1-acryloyl-5-methylpyrrolidine-3-yl) -4-amino-6- (cyclopropylethynyl) -N-((R)-.
  • Il) -4-amino-6- (cyclopropylethynyl) -N-((R) -1-phenylethyl) -7H-pyrrolidine [2,3-d] pyrimidine-5-carboxamide or salts thereof are provided. do.
  • 7-((3R, 5S) -1-acryloyl-5-methylpyrrolidine-3-yl) -4-amino-6- (cyclopropylethynyl) -N- ((R) -1-Phenylethyl) -7H-pyrrolidine [2,3-d] pyrimidine-5-carboxamide or salts thereof are provided for the use of other antitumor agents for the manufacture of pharmaceuticals used in combination. do.
  • 7-((3R, 5S) -1-acryloyl-5-methylpyrrolidine-3-yl) -4-amino-6- (cyclo) for the manufacture of a pharmaceutical in the treatment of tumors.
  • Propylethynyl) -N-((R) -1-phenylethyl) -7H-pyrrolidine [2,3-d] pyrimidine-5-carboxamide or a salt thereof and a combination of other antitumor agents are provided.
  • one embodiment of the present invention is 7-((3R, 5S) -1-acryloyl-5-methylpyrrolidine-3-yl) -4-amino-6- (cyclopropylethynyl) -N-((R). ) -1-Phenylethyl) -7H-Pyrrolidine [2,3-d] Pyrimidine-5-Carboxamide or a salt thereof to enhance the antitumor effect of other antitumor agents.
  • one embodiment of the present invention is 7-((3R, 5S) -1-acryloyl-5-methylpyrrolidin-3-yl) -4- for the treatment of tumor in combination with other antitumor agents.
  • pyrimidine-5-carboxamide or a salt thereof is the use of pyrimidine-5-carboxamide or a salt thereof.
  • One embodiment of the present invention is 7-((3R, 5S) -1-acryloyl-5-methylpyrrolidin-3-yl) -4-amino-6- (cyclopropylethynyl) -N-((R)-.
  • Use of other antitumor agents or other antitumor agents for the treatment of tumors in combination with 1-phenylethyl) -7H-pyrrolo [2,3-d] pyrimidin-5-carboxamide or salts thereof. offer.
  • One embodiment of the present invention is for treating a tumor patient who has been treated with another antitumor agent or a tumor patient who will be (planned to be) administered with another antitumor agent, 7-.
  • One embodiment of the present invention is 7-((3R, 5S) -1-acryloyl-5-methylpyrrolidine-3-yl) -4-amino-6- (cyclopropylethynyl) -N-((R)-.
  • the use of other antitumor agents, or other antitumor agents, is provided to treat patients with tumors that will (planned to be administered).
  • one embodiment of the present invention is 7-((3R, 5S) -1-acryloyl-5-methylpyrrolidine-3-yl) -4-amino-6- (cyclopropylethynyl) -N-((R). ) -1-Phenylethyl) -7H-Pyrrolidine [2,3-d] Pyrimidine-5-carboxamide or a salt thereof and other antitumor agents are administered in combination to provide a combined antitumor agent.
  • One embodiment of the present invention is 7-((3R, 5S) -1-acryloyl-5-methylpyrrolidine-3-yl) -4-amino-6- (cyclopropylethynyl) -N-((R)-.
  • a combination is provided in which the compound or a salt thereof and the other antitumor agent are administered simultaneously, sequentially or at intervals in the treatment of the tumor.
  • one embodiment of the present invention is 7-((3R, 5S) -1-acryloyl-5-methylpyrrolidine-3-yl) -4-amino for enhancing the antitumor effect of other antitumor agents.
  • -6- (Cyclopropylethynyl) -N-((R) -1-phenylethyl) -7H-pyrrolidine [2,3-d] pyrimidin-5-carboxamide or a salt thereof is provided.
  • 7-((3R, 5S) -1-acryloyl-5-methylpyrrolidine-3-yl) -4-amino-6 for enhancing the antitumor effect of other antitumor agents.
  • One embodiment of the present invention is 7-((3R, 5S) -1-acryloyl-5-methylpyrimidine-3-yl) -4-amino-6- (cyclopropylethynyl) -N-((R)-.
  • One embodiment of the present invention is 7-((3R, 5S) -1-acryloyl-5-methylpyrrolidine-3-yl) -4-amino-6- (cyclopropylethynyl) -N-((R)-.
  • Treatment of tumors including the step of administering an effective amount of 1-phenylethyl) -7H-pyrrolidine [2,3-d] pyrimidin-5-carboxamide or a salt thereof and other antitumor agents to patients in need thereof.
  • One embodiment of the invention is a method of treating a tumor for patients in need thereof, 7-((3R, 5S) -1-acryloyl-5-methylpyrrolidine-3-yl) -4-.
  • Amino-6- (cyclopropylethynyl) -N-((R) -1-phenylethyl) -7H-pyrrolidine [2,3-d] pyrimidine-5-carboxamide or a salt thereof in combination with other antitumor agents Provided are methods comprising administering an effective amount of (combination drug, or combination product).
  • One embodiment of the invention is a therapeutically effective amount of 7-((3R, 5S) -1-acryloyl-5-methylpyrrolidin-3-yl) -4-amino-6- (cyclopropylethynyl) -N.
  • a method for treating a tumor which comprises a step of administering to a tumor patient to be administered (planned to be administered).
  • One embodiment of the present invention is a method of treating a tumor in combination with another antitumor agent, and for a patient in need thereof, 7-((3R, 5S) -1-acryloyl-5-methyl.
  • methods comprising administering an effective amount of.
  • One embodiment of the present invention is 7-((3R, 5S) -1-acryloyl-5-methylpyrrolidine-3-yl) -4-amino-6- (cyclopropylethynyl) -N-((R)-.
  • 1-Phenylethyl) -7H-pyrrolidine [2,3-d] pyrimidine-5-carboxamide or a salt thereof and a pharmaceutical composition for treating a tumor containing other antitumor agents are provided.
  • One embodiment of the invention comprises a therapeutically effective amount of another antitumor agent, 7-((3R, 5S) -1-acryloyl-5-methylpyrrolidin-3-yl) -4-amino-6-.
  • One embodiment of the invention is a therapeutically effective amount of 7-((3R, 5S) -1-acryloyl-5-methylpyrrolidin-3-yl) -4-amino-6- (cyclopropylethynyl) -N. -((R) -1-phenylethyl) -7H-pyrrolo [2,3-d] pyrimidin-5-carboxamide or a salt thereof by a tumor patient or another antitumor agent to whom another antitumor agent has been administered.
  • a method for enhancing an antitumor effect which comprises a step of administering to a tumor patient to be administered (to be administered).
  • One embodiment of the present invention is an antitumor agent used for the treatment of malignant tumors involving HER2, and other antitumor agents used in combination with the pyrimidine compound of the present invention or salts thereof are antimetabolites. It is at least one of a Her2 inhibitor, a PI3K / AKT / mTOR inhibitor, a CDK4 / 6 inhibitor, an estrogen receptor antagonist, a platinum-based drug, or a plant alkaloid-based drug.
  • One embodiment of the present invention is an antitumor agent used for treating a malignant tumor in which EGFR is involved, and another antitumor agent used in combination with the pyrimidine compound of the present invention or a salt thereof is an antimetabolite. It is at least one of a PI3K / AKT / mTOR inhibitor, a CDK4 / 6 inhibitor, an estrogen receptor antagonist, a platinum-based drug, or a plant alkaloid-based drug.
  • the antitumor agent of the present invention is used for postoperative adjuvant chemotherapy performed to prevent recurrence after surgical removal of a tumor, but is preoperatively performed to surgically remove a tumor. It may be adjuvant chemotherapy.
  • the human wild-type HER2 gene is, for example, the one shown in SEQ ID NO: 1, and the human wild-type HER2 protein is composed of, for example, the amino acid sequence shown in SEQ ID NO: 2.
  • the nucleotide sequence information of the human wild-type HER2 gene can be obtained by NCBI Reference Sequence: NM_004448, and the amino acid sequence information of the human wild-type HER2 protein can be obtained by NCBI Reference Sequence: NP_004439 and the like.
  • the pyrimidine compound or salt thereof of the present invention is among G309A, S310F, R678Q, L755S, L755_T759del, D769H, A775_G777insYVMA, V777L, V842I, R896C based on the amino acid sequence shown in SEQ ID NO: 2. Shows inhibitory activity against mutant HER2, including one or more insertion mutations, point mutations, deletion mutations, and the like. In another embodiment, the pyrimidine compound of the present invention or a salt thereof exhibits inhibitory activity against mutant HER2 including A775_G776insYVMA based on the amino acid sequence shown in SEQ ID NO: 2.
  • the amino acid set forth in SEQ ID NO: 2 may differ from the position of the amino acid set forth in SEQ ID NO: 2 due to deletion or insertion of the amino acid. It is understood to be similar to the mutation of the position corresponding to the position. Therefore, for example, the 309th glycine in HER2 represented by SEQ ID NO: 2 corresponds to the 294th glycine in HER2 consisting of the amino acid sequence represented by SEQ ID NO: 4.
  • G309A means that the glycine at position 309 of HER2 represented by SEQ ID NO: 2 is mutated to alanine, but in HER2 consisting of the amino acid sequence represented by SEQ ID NO: 4, 294. Since it is the position corresponding to the second amino acid, "G294A” in HER2 consisting of the amino acid sequence represented by SEQ ID NO: 4 corresponds to "G309A” in HER2 represented by SEQ ID NO: 2. Whether or not an amino acid of a certain HER2 isoform corresponds to which position of the amino acid shown in SEQ ID NO: 2 can be confirmed by, for example, Multiple Alignment of BLAST.
  • the human wild-type EGFR gene is, for example, the one shown in SEQ ID NO: 5, and the human wild-type EGFR protein is composed of, for example, the amino acid sequence shown in SEQ ID NO: 6.
  • the nucleotide sequence information of the human wild-type EGFR gene can be obtained by NCBI Reference Sequence: NM_005228, and the amino acid sequence information of the human wild-type EGFR protein can be obtained by NCBI Reference Sequence: NP_005219 and the like.
  • the pyrimidine compound of the present invention or a salt thereof exhibits inhibitory activity against mutant EGFR.
  • mutant EGFR means one or more of insertion mutations, point mutations, deletion mutations, etc. in the exson 18 region, exxon 19 region, exon 20 region, exxon 21 region, etc. of human wild-type EGFR. EGFR with activation mutations or resistance acquisition mutations.
  • exon 18 refers to the region of 688-728 in the amino acid sequence of a human wild-type EGFR protein (eg, a protein consisting of the amino acid sequence set forth in SEQ ID NO: 6).
  • the "exxon 18 mutation” refers to a point mutation or deletion mutation of an amino acid in the exson 18 region of a human wild-type EGFR protein (for example, a protein consisting of the amino acid sequence shown in SEQ ID NO: 6).
  • the point mutation of exon 18 include E709X or G719X, which is a point mutation in which glutamic acid at position 709 or glycine at position 719 in the exon 18 region is replaced with an arbitrary amino acid.
  • E709X include E709K, which is a point mutation in which glutamic acid at position 709 of the exon 18 region is replaced with lysine, and E709A, which is a point mutation in which alanine is replaced.
  • G719X examples include G719A, which is a point mutation in which glycine at position 719 in the exxon 18 region is replaced with alanine, G719S, which is a point mutation in which serine is replaced, and G719C, which is a point mutation in which cysteine is replaced.
  • the deletion mutation in the exon 18 region includes not only mutations due to deletion of a part of amino acids in the exon 18 region but also mutations in which one or more arbitrary amino acids are inserted in addition to the amino acid deletion. do.
  • Examples of the deletion mutation of exon 18 include a mutation (Del E709-T710insD) in which aspartic acid is inserted after deletion of glutamic acid at position 709 and threonine at position 710 in the exon 18 region.
  • exon 19 refers to the region of 729-761 in the amino acid sequence of a human wild-type EGFR protein (eg, a protein consisting of the amino acid sequence set forth in SEQ ID NO: 6).
  • exon 19 mutation refers to a mutation in which one or more amino acids are deleted in the exon 19 region of a human wild-type EGFR protein (for example, a protein consisting of the amino acid sequence shown in SEQ ID NO: 6).
  • Deletion mutations in the exon 19 region include not only mutations due to deletion of some amino acids in the exon 19 region, but also mutations in which one or more arbitrary amino acids are inserted in addition to the amino acid deletion.
  • Exxon 19 deletion mutations include, for example, a mutation in which 5 amino acids from 746th glutamic acid to 750th alanine in the exxon 19 region are deleted (Del E746-A750 (or d746-750)), and an exon 19 region.
  • the exon 19 deletion mutation is a mutation (Del E746-A750) in which the 5 amino acids of alanine at position 750 are deleted from glutamic acid at position 746 in the exon 19 region.
  • exon 20 refers to the region of 762-823 in the amino acid sequence of a human wild-type EGFR protein (eg, a protein consisting of the amino acid sequence set forth in SEQ ID NO: 6).
  • the "exxon 20 mutation” refers to a point mutation, insertion mutation, deletion mutation, or the like of an amino acid in the exon 20 region of a human wild-type EGFR protein (for example, a protein consisting of the amino acid sequence represented by SEQ ID NO: 6). ..
  • the exon 20 mutation include A763insFQEA, A767insASV, S768dupSVD, V769insASV, D770insNPG, D770insSVD, D773insNPH and the like (Nature medicine, 24, p638-6420).
  • the exon 20 mutation is one or more insertion mutations or point mutations selected from V769_D770insASV, D770_N771insNPG, D770_N7771insSVD, H773_V774insNPH, and T790M.
  • exon 21 refers to a region of 824-875 in the amino acid sequence of a human wild-type EGFR protein (eg, a protein consisting of the amino acid sequence set forth in SEQ ID NO: 6).
  • the "exon 21 mutation” refers to a point mutation in an amino acid in the exon 21 region of a human wild-type EGFR protein (for example, a protein consisting of the amino acid sequence represented by SEQ ID NO: 6).
  • the point mutation of exon 21 include a point mutation in which one amino acid in the exon 21 region is replaced, preferably a point mutation in which leucine at position 858 or leucine at position 861 in the exon 21 region is replaced with an arbitrary amino acid.
  • L858X or L861X which is.
  • Examples of L858X include L858R, which is a point mutation in which leucine at position 858 of the exon 21 region is replaced with arginine.
  • L861X include L861Q, which is a point mutation in which leucine at position 861 in the exon 21 region is replaced with glutamine.
  • the point mutation in exon 21 is L858R.
  • a mutation in an EGFR isoform of the amino acid set forth in SEQ ID NO: 6 may differ from the position of the amino acid set forth in SEQ ID NO: 6 due to deletion or insertion of the amino acid. It is understood to be similar to the mutation of the position corresponding to the position. Therefore, for example, the threonine at position 790 in the EGFR represented by SEQ ID NO: 6 corresponds to the threonine at position 745 in the EGFR consisting of the amino acid sequence represented by SEQ ID NO: 8.
  • T790M means that the 790th threonine of EGFR represented by SEQ ID NO: 6 is mutated to methionine, but in EGFR consisting of the amino acid sequence represented by SEQ ID NO: 8, 745. Since it is the position corresponding to the second amino acid, "T745M” in the EGFR consisting of the amino acid sequence shown in SEQ ID NO: 8 corresponds to "T790M” in the EGFR represented by SEQ ID NO: 6. Further, for example, the threonine at position 790 in the EGFR represented by SEQ ID NO: 6 corresponds to the threonine at position 523 in the EGFR consisting of the amino acid sequence represented by SEQ ID NO: 10.
  • T790M means that the 790th threonine of EGFR represented by SEQ ID NO: 6 is mutated to methionine, but in EGFR consisting of the amino acid sequence represented by SEQ ID NO: 10, 523. Since it is the position corresponding to the second amino acid, "T523M” in the EGFR consisting of the amino acid sequence represented by SEQ ID NO: 10 corresponds to "T790M” in the EGFR represented by SEQ ID NO: 6. Whether or not an amino acid of a certain EGFR isoform corresponds to which position of the amino acid shown in SEQ ID NO: 6 can be confirmed by, for example, Multiple Alignment of BLAST. [Table B]
  • the "HER2-positive tumor” is a tumor in which a HER2 protein or a HER2 gene is detected.
  • the HER2 protein and HER2 gene also include mutant HER2 proteins and mutant HER2 genes such as point mutations, insertion mutations, or deletion mutations.
  • Examples of the method for detecting the HER2 protein include a commonly used detection method such as an ELISA method using an antibody that specifically binds to the HER2 protein, a Western blotting method, or an immunostaining method.
  • Antibodies that specifically bind to the HER2 protein can be prepared using commercially available products or by conventional methods.
  • the method for detecting the HER2 gene is, for example, a Northern blotting method, a Southern blotting method, an RT-PCR method, a real-time PCR method, a digital PCR method, a DNA microarray method, an in situ hybridization method, a sequence analysis method, or the like. Detection methods can be mentioned.
  • the "EGFR-positive tumor” is a tumor in which an EGFR protein or an EGFR gene is detected.
  • EGFR proteins and EGFR genes also include mutant EGFR proteins and mutant EGFR genes such as point mutations, insertion mutations, or deletion mutations.
  • Examples of the EGFR protein detection method include commonly used detection methods such as an ELISA method using an antibody that specifically binds to the EGFR protein, a Western blotting method, or an immunostaining method.
  • Antibodies that specifically bind to the EGFR protein can be prepared using commercially available products or by conventional methods.
  • a method for detecting the EGFR gene for example, a Northern blotting method, a Southern blotting method, an RT-PCR method, a real-time PCR method, a digital PCR method, a DNA microarray method, an in situ hybridization method, a sequence analysis method, or the like, which are commonly used. Detection methods can be mentioned. Further, a detection method using a commercially available EGFR gene mutation detection kit such as Cobas EGFR mutation detection kit (Roche Diagnostics) can also be mentioned.
  • a commercially available EGFR gene mutation detection kit such as Cobas EGFR mutation detection kit (Roche Diagnostics) can also be mentioned.
  • the term "effective amount" of a pyrimidine compound and other antitumor agents of the invention causes or causes a decrease or inhibition of a biological or medical response of a subject, eg, enzyme or protein activity, or symptoms.
  • a subject eg, enzyme or protein activity, or symptoms.
  • the amount (therapeutically effective amount) of the pyrimidine compound and other antitumor agents of the present invention such as improving, alleviating the condition, and slowing or delaying the progression of the disease.
  • the term "subject” includes mammalian and non-mammalian animals.
  • mammals include, but are not limited to, humans, chimpanzees, apes, monkeys, cows, horses, sheep, goats, pigs, rabbits, dogs, cats, rats, mice, guinea pigs, halinese, kangaroos, mogras, wild boars, bears. , Tigers, lions, etc.
  • non-mammals include, but are not limited to, birds, fish, reptiles and the like.
  • the subject is a human and may be a human diagnosed as requiring treatment for the symptoms, conditions, or diseases disclosed herein.
  • the pyrimidine compound of the present invention or a salt thereof and other antitumor agents are used as pharmaceuticals, it is possible to add a pharmaceutically acceptable carrier as necessary and adopt various administration forms according to the therapeutic purpose.
  • the form may be, for example, an oral preparation, an injection preparation, a suppository, an ointment, a patch, or the like, and an oral preparation is preferably adopted.
  • Each of these dosage forms can be produced by a conventional formulation method known to those skilled in the art.
  • the pyrimidine compound of the present invention or a salt thereof and other antitumor agents may be administered in the same dosage form or may be administered in different dosage forms.
  • the administration schedule of the pyrimidine compound of the present invention or a salt thereof and other antitumor agents is appropriately selected within the range in which each active ingredient exerts an antitumor effect, and each active ingredient is administered simultaneously or separately at intervals. .. When administered separately, either may be administered first.
  • the pyrimidine compound of the present invention or a salt thereof and other antitumor agents may be formulated by dividing each active ingredient into a plurality of dosage forms based on the administration form and administration schedule of each active ingredient, and may be formulated into one dosage form. They may be formulated together. Further, each pharmaceutical product may be manufactured and sold in a single package suitable for combined use, or each pharmaceutical product may be manufactured and sold in separate packages. In one embodiment, the pyrimidine compound of the present invention or a salt thereof and another antitumor agent are in the same formulation. For example, it may be a pharmaceutical composition containing the pyrimidine compound of the present invention or a salt thereof, another antitumor agent, and a pharmaceutically acceptable carrier.
  • the pyrimidine compound of the present invention or a salt thereof and other antitumor agents are in individual formulations.
  • a combination of a pharmaceutical composition containing a pyrimidine compound or a salt thereof of the present invention and a pharmaceutically acceptable carrier, and a pharmaceutical composition containing another antitumor agent and a pharmaceutically acceptable carrier. May be.
  • One embodiment of the present invention is a kit preparation comprising the above-mentioned antitumor agent or combination drug and an instruction describing that the pyrimidine compound or a salt thereof and the other antitumor agent are co-administered. be.
  • the pharmaceutically acceptable carrier various conventional organic or inorganic carrier substances are used as the preparation material, and excipients, binders, disintegrants, lubricants, coating agents, colorants, and liquid preparations in solid preparations are used. It is compounded as a solvent, a solubilizing agent, a suspending agent, an tonicity agent, a buffering agent, a pain-relieving agent, etc. Further, if necessary, pharmaceutical additives such as preservatives, antioxidants, sweeteners and stabilizers can be used.
  • an excipient if necessary, a binder, a disintegrant, a lubricant, a colorant, a flavoring / odorant, etc. are added to the pyrimidine compound of the present invention, and then a conventional method is used.
  • a pH regulator, buffer, stabilizer, tonicity agent, local anesthetic, etc. are added to the pyrimidine compound of the present invention, and subcutaneous, intramuscular and intravenous injections are performed by a conventional method.
  • the agent can be manufactured.
  • the amount of the pyrimidine compound of the present invention or a salt thereof to be blended in each of the above-mentioned dosage unit forms is not constant depending on the symptom of the subject to which this is applied, the dosage form thereof, etc.
  • the compound is preferably 0.05 to 1000 mg for an oral preparation, 0.01 to 500 mg for an injection, and 1 to 1000 mg for a suppository.
  • the amount of other antitumor agents to be blended in each of the above-mentioned administration unit forms is not constant depending on the symptom of the subject to which this is applied, its dosage form, the type of antitumor agent, etc., but is generally in the administration unit form.
  • the dosage is preferably 0.05 to 1000 mg for oral preparations, 0.01 to 500 mg for injections, and 1 to 1000 mg for suppositories.
  • the daily dose of the drug having the above-mentioned administration form varies depending on the subject's symptoms, body weight, age, gender, etc. and cannot be unconditionally determined. It may be 0.05 to 5000 mg, preferably 0.1 to 1000 mg per. In addition, the amount of other antitumor agents also varies depending on the subject's symptoms, body weight, age, gender, type of antitumor agent, etc. and cannot be unconditionally determined. It may be 0.05 to 5000 mg, preferably 0.1 to 1000 mg.
  • the daily dose of the pyrimidine compound or a salt thereof and other antitumor agents is within the range determined by clinical trials and the like so that it can be safely used without causing serious side effects. It can be the dose that provides the greatest therapeutic effect.
  • PMDA Pharmaceuticals and Medical Devices Agency
  • FDA Pharmaceuticals and Medical Devices Agency
  • FDA Food and Drug Administration
  • EMA European Medicines Agency
  • the doses approved / recommended / recommended by the target organization or organization and described in the package insert, interview form, treatment guidelines, etc., and the doses approved by any public agency of PMDA, FDA or EMA are listed. preferable.
  • the malignant tumor that is the subject of the present invention is not particularly limited, and is, for example, brain tumor, head and neck cancer, gastrointestinal cancer (esophageal cancer, gastric cancer, duodenal cancer, liver cancer, biliary tract cancer (bile sac / bile duct cancer, etc.), pancreatic cancer, etc.).
  • gastrointestinal cancer esophageal cancer, gastric cancer, duodenal cancer, liver cancer, biliary tract cancer (bile sac / bile duct cancer, etc.), pancreatic cancer, etc.
  • Colon-rectal cancer colon cancer, rectal cancer, etc.
  • Lung cancer non-small cell lung cancer, small cell lung cancer, mesotheloma, etc.
  • breast cancer genital cancer (ovarian cancer, uterine cancer (cervical cancer, uterine body cancer, etc.)) Etc.), etc.
  • Urological cancer renal cancer, bladder cancer, prostate cancer, testicular tumor, etc.
  • hematopoietic tumor leukemia, malignant lymphoma, multiple myeloma, etc.
  • bone / soft tumor skin cancer, etc.
  • the tumor of interest of the present invention is a malignant tumor having HER2 overexpression, HER2 gene amplification, or HER2 mutation, and specific malignant tumors are brain cancer, head and neck cancer, gastrointestinal cancer (esophageal tract).
  • Cancer gastric cancer, duodenal cancer, liver cancer, biliary tract cancer (bile sac / bile duct cancer, etc.), pancreatic cancer, colon-rectal cancer (colon cancer, rectal cancer, etc.), lung cancer (non-small cell lung cancer, small cell lung cancer, mesentery) Tumors, etc.), breast cancer, genital cancer (ovarian cancer, uterine cancer (cervical cancer, uterine body cancer, etc.), etc.), urinary tract cancer (renal cancer, bladder cancer, prostate cancer, testicular tumor, etc.), hematopoietic tumor (leukemia, leukemia, etc.) Malignant lymphoma, multiple myeloma, etc.), bone / soft tumor, skin cancer, etc., preferably brain tumor, lung cancer, breast cancer, gastric cancer, colorectal cancer, bladder cancer, biliary tract cancer, or uterine cancer, more preferably brain tumor. , Lung cancer, breast cancer, gastric cancer, bladder cancer, or bil
  • the tumor of interest of the present invention is a HER2-positive tumor
  • specific tumors are brain cancer, head and neck cancer, gastrointestinal cancer (esophageal cancer, gastric cancer, duodenal cancer, liver cancer, biliary tract cancer (esophageal cancer, gastric cancer, duodenal cancer, liver cancer, biliary tract cancer).
  • the tumor of interest of the invention is a malignant tumor with EGFR overexpression, EGFR gene amplification, or EGFR mutation, and specific malignant tumors are brain cancer, head and neck cancer, gastrointestinal cancer (esophageal tract).
  • Cancer gastric cancer, duodenal cancer, liver cancer, biliary tract cancer (bile sac / bile duct cancer, etc.), pancreatic cancer, colon-rectal cancer (colon cancer, rectal cancer, etc.), lung cancer (non-small cell lung cancer, small cell lung cancer, mesentery) Tumors, etc.), breast cancer, genital cancer (ovarian cancer, uterine cancer (cervical cancer, uterine body cancer, etc.), etc.), urinary tract cancer (renal cancer, bladder cancer, prostate cancer, testicular tumor, etc.), hematopoietic tumor (leukemia, leukemia, etc.) Malignant lymphoma, multiple myeloma, etc.), bone / soft tumor, skin cancer, etc., preferably brain tumor, head and neck cancer, lung cancer, breast cancer, gastric cancer, colorectal cancer, bladder cancer, biliary tract cancer, or uterine cancer. Yes, more preferably brain tumor, lung cancer, breast cancer, or colorectal cancer
  • the tumor of interest of the invention is an EGFR positive tumor
  • the specific tumors are brain tumor, head and neck cancer, gastrointestinal cancer (esophageal cancer, gastric cancer, duodenal cancer, liver cancer, biliary tract cancer (esophageal cancer, gastric cancer, duodenal cancer, liver cancer, biliary tract cancer).
  • the tumor is a brain tumor.
  • the pyrimidine compounds of the present invention may be useful in the treatment of symptoms of the brain that require crossing the blood-brain barrier.
  • the pyrimidine compound of one embodiment has a favorable passage through the blood-brain barrier for delivery to the brain, i.e., excellent brain transferability.
  • As an index of the transferability of the compound to the brain there are the compound concentration in the brain and the Kp value (brain to plasma drug concentration ratio).
  • Brain tumors treated in the present invention include metastatic brain tumors and primary brain tumors.
  • Brain tumors are not particularly limited, but are, for example, metastatic brain tumors (eg, brain metastases of lung cancer, breast cancer, gastric cancer, colorectal cancer, bladder cancer, biliary tract cancer, uterine cancer, etc. (preferably lung cancer, breast cancer or gastric cancer)), hair.
  • metastatic brain tumors eg, brain metastases of lung cancer, breast cancer, gastric cancer, colorectal cancer, bladder cancer, biliary tract cancer, uterine cancer, etc. (preferably lung cancer, breast cancer or gastric cancer)
  • hair e.g, metastatic brain tumors (eg, brain metastases of lung cancer, breast cancer, gastric cancer, colorectal cancer, bladder cancer, biliary tract cancer, uterine cancer, etc. (preferably lung cancer, breast cancer or gastric cancer)), hair.
  • room temperature usually refers to about 10 ° C to about 35 ° C. Further, in the examples of the following compounds,% indicates weight percent unless otherwise specified.
  • various reagents used in the examples commercially available products were used unless otherwise specified.
  • silica gel chromatography Biotage SNAP cartridge Ultra used by Biotage, or for basic silica gel chromatography, Biotage SNAP cartridge Isolute Flash-NH2 manufactured by Biotage was used.
  • KieselgelTM60F254, Art for thin layer chromatography for preparative use.
  • Reference example 1 (1) tert-butyl (2S, 4R) -4- (4-amino-5-iodo-7H-pyrrolo [2,3-d] pyrimidin-7-yl) -2-methylpyrrolidine-1- Carboxylate tert-butyl (2S, 4S) -4-hydroxy-2-methylpyrrolidine-1-carboxylate (19.0 g) and 4-chloro-5-iodo-7H-pyrrolo [2,3-d] pyrimidine ( 13.1 g) is dissolved in THF (190 mL), cooled to 0 ° C., triphenylphosphine (37.2 g) and diisopropyl asodicarboxylate (28.1 mL) are added, and the temperature is raised to room temperature for 1 hour.
  • THF 190 mL
  • triphenylphosphine 37.2 g
  • diisopropyl asodicarboxylate 28.1 mL
  • Reference Example 1 (2) 4-Amino-7-((3R, 5S) -1- (tert-butoxycarbonyl) -5-methylpyrrolidine-3-yl) -7H-pyrrolo [2,3-d] pyrimidine-
  • the compound (28.0 g) of Reference Example 1 (1), 10% palladium carbon catalyst (720 mg), NMP (84 mL), methanol (26 mL), and triethylamine (17.6 mL) were added to the 5-carboxylic acid pressure-resistant tube. Then, it was substituted with carbon monoxide and stirred at 100 ° C. for 2 hours.
  • reaction mixture was cooled to room temperature, 2M aqueous sodium hydroxide solution (79 mL) was added, and the mixture was stirred at 80 ° C. for 2 hours.
  • the reaction mixture was cooled to room temperature, filtered through Celite, washed with methanol, and the filtrate was concentrated under reduced pressure. After adding more water, the aqueous layer was washed with tert-butyl methyl ether.
  • a 1 M aqueous potassium hydrogensulfate solution was added to the aqueous layer to adjust the pH to about 3, and the precipitated solid was collected by filtration, washed with water and dried to obtain the desired product (23.4 g).
  • Example 1 (1) tert-butyl-4-amino-6-bromo-7-((3R, 5S) -1- (tert-butoxycarbonyl) -5-methylpyrrolidine-3-yl) -7H- Pyrrolidine [2,3-d] pyrimidin-5-carboxylate Under a nitrogen atmosphere, the compound (15.0 g) of Reference Example 1 (2) was dissolved in chloroform (150 mL), and 2-tert-butyl-1,3- Diisopropylisourea (25 mL) was added, the temperature was raised to 60 ° C., and the mixture was stirred for 2 hours.
  • the obtained residue was purified by silica gel chromatography (hexane: ethyl acetate) to obtain a tert-butyl ester.
  • the obtained compound was used for the next halogenation reaction without further purification.
  • the obtained tert-butyl ester compound was dissolved in chloroform (140 mL), N-bromosuccinimide (11.8 g) was added, and the mixture was stirred at room temperature for 24 hours. Chloroform and 10% aqueous sodium bisulfite solution were sequentially added to the reaction mixture, and the mixture was extracted with chloroform. The combined organic layers were washed with saturated brine, dried over anhydrous sodium sulfate, and concentrated under reduced pressure.
  • Example 1 (2) tert-butyl-7-((3R, 5S) -1-acryloyl-5-methylpyrrolidine-3-yl) -4-amino-6-bromo-7H-pyrrolo [2,3-d] ] Pyrimidine-5-carboxylate
  • the compound (11.4 g) of Example 1 (1) is dissolved in THF (57 mL), cooled to 0 ° C., and then a 1,4-dioxane solution (114 mL) of 4M hydrogen chloride is added. In addition, the mixture was stirred at 0 ° C. for 10 hours.
  • Example 1 (3) tert-butyl-7-((3R, 5S) -1-acryloyl-5-methylpyrrolidine-3-yl) -4-amino-6- (prop-1-in-1-yl) -7H-Pyrrolidine [2,3-d] Pyrimidine-5-carboxylate Compound (7.72 g), acetonitrile (154 mL), triethylamine (7.2 mL), PdCl 2 (PPh 3 ) 2 of Example 1 (2). (1.2 g), copper (I) iodide (330 mg) was added with a DMF solution (85.7 mL) of 1.0 M propyne, replaced with nitrogen, and then stirred at 70 ° C. for 4 hours.
  • Example 1 (4) 7-((3R, 5S) -1-acryloyl-5-methylpyrrolidin-3-yl) -4-amino-6- (prop-1-in-1-yl) -7H-pyrrolo [2,3-d] Pyrimidine-5-carboxylic acid
  • chloroform 5 mL
  • trifluoroacetic acid 5 mL
  • Chloroform was added to the residue, and the mixture was concentrated again under reduced pressure.
  • the residue was dried under reduced pressure to obtain the desired product (1.25 g).
  • Example 1 7- (R)-((3R, 5S) -1-acryloyl-5-methylpyrrolidine-3-yl) -4-amino-N-((R) -1- (3,5) -Difluorophenyl) ethyl) -6- (prop-1-in-1-yl) -7H-pyrrolo [2,3-d] pyrimidine-5-carboxamide DMF (100 mg) of the compound (100 mg) of Example 1 (4).
  • Example 2 7-((3R, 5S) -1-acryloyl-5-methylpyrrolidine-3-yl) -4-amino-N-((R) -1-phenylethyl) -6- (prop-1-) In-1-yl) -7H-pyrrolidine [2,3-d] pyrimidine-5-carboxamide
  • (R) -1- (3,5-difluorophenyl) ethane-1-amine instead, the title compound was obtained in the same manner as in Example 1 except that (R) -1-phenylethane-1-amine was used.
  • Example 3 7-((3R, 5S) -1-acryloyl-5-methylpyrrolidine-3-yl) -4-amino-N- (2-phenylpropan-2-yl) -6- (prop-1-yl) In-1-yl) -7H-pyrrolidine [2,3-d] pyrimidine-5-carboxamide
  • Example 1 to (R) -1- (3.5-difluorophenyl) ethane-1-amine. Instead, the title compound was obtained in the same manner as in Example 1 except that 2-phenylpropane-2-amine was used.
  • Example 4 7-((3R, 5S) -1-acryloyl-5-methylpyrrolidine-3-yl) -4-amino-N-((R) -1-phenylpropyl) -6- (prop-1-) In-1-yl) -7H-pyrrolidine [2,3-d] pyrimidine-5-carboxamide
  • (R) -1- (3,5-difluorophenyl) ethane-1-amine instead, the title compound was obtained in the same manner as in Example 1 except that (R) -1-phenylpropane-1-amine was used.
  • Example 5 7-((3R, 5S) -1-acryloyl-5-methylpyrrolidine-3-yl) -4-amino-N- (2- (2-fluorophenyl) propan-2-yl) -6- (Prop-1-in-1-yl) -7H-Pyrrolidine [2,3-d] Pyrimidine-5-Carboxamide
  • (R) -1- (3,5-difluorophenyl) ethane The title compound was obtained in the same manner as in Example 1 except that 2- (2-fluorophenyl) propane-2-amine was used instead of -1-amine.
  • Example 6 7-((3R, 5S) -1-acryloyl-5-methylpyrrolidine-3-yl) -4-amino-N-((R) -1- (3-chlorophenyl) ethyl) -6- ( Prop-1-in-1-yl) -7H-pyrrolidine [2,3-d] pyrimidine-5-carboxamide
  • (R) -1- (3,5-difluorophenyl) ethane- The title compound was obtained in the same manner as in Example 1 except that (R)-(+)-1- (3-chlorophenyl) ethylamine hydrochloride was used instead of 1-amine.
  • Example 7 7-((3R, 5S) -1-acryloyl-5-methylpyrrolidin-3-yl) -4-amino-N-((R) -1- (2,4-difluorophenyl) ethyl)- 6- (Prop-1-in-1-yl) -7H-pyrrolo [2,3-d] pyrimidin-5-carboxamide
  • the title compound was obtained in the same manner as in Example 1 except that (R)-(+) -1- (2,4-difluorophenyl) ethylamine hydrochloride was used instead of ethane-1-amine. ..
  • Example 8 7-((3R, 5S) -1-acryloyl-5-methylpyrrolidine-3-yl) -4-amino-6- (prop-1-in-1-yl) -N-((S)) -2,2,2-trifluoro-1-phenylethyl) -7H-pyrrolidine [2,3-d] pyrimidine-5-carboxamide
  • (R) -1- (3,5-) The title compound was used in the same manner as in Example 1 except that (S) -2,2,2-trifluoro-1-phenylethan-1-amine was used instead of difluorophenyl) ethane-1-amine. Obtained.
  • Example 9 7-((3R, 5S) -1-acryloyl-5-methylpyrrolidin-3-yl) -4-amino-6- (cyclopropylethynyl) -N- (2-phenylpropane-2-yl) -7H-Pyrrolo [2,3-d] pyrimidin-5-carboxamide
  • cyclopropylacetylene was used instead of the DMF solution of 1.0 M propine
  • Example 1 (5) ( The title compound was obtained in the same manner as in Example 1 except that 2-phenylpropane-2-amine was used instead of R) -1- (3,5-difluorophenyl) ethane-1-amine.
  • Example 10 7-((3R, 5S) -1-acryloyl-5-methylpyrrolidin-3-yl) -4-amino-6- (cyclopropylethynyl) -N-((R) -1- (2,) 3-Difluorophenyl) Ethyl) -7H-Pyrrolo [2,3-d] pyrimidin-5-carboxamide
  • cyclopropylacetylene was used instead of the DMF solution of 1.0 M propine.
  • Example 11 (1) tert-butyl (2S, 4R) -4- (4-amino-6-bromo-5-(((R) -1-phenylethyl) carbamoyl) -7H-pyrrolo [2,3- d] Pyrimidine-7-yl) -2-methylpyrrolidine-1-carboxylate Reference Example 1 (2) compound (1.00 g), (R)-(+) -1-phenylethylamine (0.503 g), Diisopropylethylamine (1.79 g), N, N-dimethylformamide (10 mL) were added, followed by HATU (1.58 g), and the mixture was stirred overnight at room temperature.
  • Example 11 (2) 7-((3R, 5S) -1-acryloyl-5-methylpyrrolidine-3-yl) -4-amino-6-bromo-N-((R) -1-phenylethyl)- 7H-Pyrrolidine [2,3-d] Pyrimidine-5-carboxamide
  • chloroform 3 mL
  • acetonitrile 5 mL
  • the obtained compound was used in the next reaction without further purification.
  • Acetonitrile (3 mL) was added to the obtained amine body, the mixture was cooled to 0 ° C., acrylic chloride (99.9 mg) and diisopropylethylamine (713 mg) were added, and the mixture was stirred at 0 ° C. for 1 hour.
  • the reaction mixture was concentrated under reduced pressure, and the obtained residue was purified by silica gel chromatography (ethyl acetate: methanol) to obtain the desired product (281 mg).
  • Example 11 7-((3R, 5S) -1-acryloyl-5-methylpyrimidine-3-yl) -4-amino-6- (cyclopropylethynyl) -N-((R) -1-) Phenylethyl) -7H-pyrrolo [2,3-d] pyrimidine-5-carboxamide
  • Example 12 7-((3R, 5S) -1-acryloyl-5-methylpyrrolidine-3-yl) -4-amino-6- (3,3-dimethylbuty-1-in-1-yl) -N- ((R) -1-Phenylethyl) -7H-pyrrolidine [2,3-d] pyrimidine-5-carboxamide
  • Example 11 (3) 3,3-dimethyl-1-butyne was used instead of cyclopropylacetylene. The title compound was obtained in the same manner as in Example 11 except that the above was used.
  • Example 13 7-((3R, 5S) -1-acryloyl-5-methylpyrrolidin-3-yl) -4-amino-6- (3-methoxy-3-methylbuty-1-in-1-yl)- N-((R) -1-phenylethyl) -7H-pyrrolo [2,3-d] pyrimidin-5-carboxamide
  • Example 11 (3) instead of cyclopropylacetylene, 3-methoxy-3-methyl The title compound was obtained in the same manner as in Example 11 except that -1-butin was used.
  • Example 14 7-((3R, 5S) -1-acryloyl-5-methylpyrrolidine-3-yl) -4-amino-6- (buty-1-in-1-yl) -N-((R)) -1-Phenylethyl) -7H-Pyrrolidine [2,3-d] Pyrimidine-5-Carboxamide
  • Example 11 (3) 1-trimethylsilyl-1-butyne and tetra-fluorinated instead of cyclopropylacetylene. The title compound was obtained in the same manner as in Example 11 except that n-butylammonium was used.
  • Example 15 7-((3R, 5S) -1-acryloyl-5-methylpyrrolidin-3-yl) -4-amino-N- (2- (2-fluorophenyl) propan-2-yl) -6- (3-Methylbuty-1-in-1-yl) -7H-pyrrolo [2,3-d] pyrimidin-5-carboxamide
  • Example 11 (1) to (R)-(+)-1-phenylethylamine Example 11 except that 2- (2-fluorophenyl) propane-2-amine was used instead and 3-methyl-1-butyne was used instead of cyclopropylacetylene in Example 11 (3). The title compound was obtained in the same manner as above.
  • Example 16 (1) tert-butyl (2R, 4S) -4- (benzyloxy) -2-((tosiloxy) methyl) pyrrolidine-1-carboxylate tert-butyl (2R, 4S) -4- (benzyloxy) )-2- (Hydroxymethyl) pyrrolidine-1-carboxylate (2.0 g) is dissolved in methylene chloride (20 mL), cooled to 0 ° C., and then 1,4-diazabicyclo [2.2.2] octane (2.2.2) octane.
  • Example 16 (2) tert-butyl (2S, 4S) -4- (benzyloxy) -2-ethylpyrrolidin-1-carboxylate Under a nitrogen atmosphere, copper iodide (2.04 g) was added to diethyl ether (12 mL). After suspending and cooling to 0 ° C., a diethyl ether solution (0.36 mL) of 1.04 M methyllithium was added, and the mixture was stirred at 0 ° C. for 30 minutes. Then, a solution of methylene chloride (4.0 mL) of the compound (1.98 g) of Example 16 (1) was added, the temperature was raised to room temperature, and the mixture was stirred for 1 hour.
  • methylene chloride 4.0 mL
  • the reaction mixture was cooled to 0 ° C., saturated aqueous ammonium chloride solution was added, and the mixture was extracted with ethyl acetate. The combined organic layers were washed with saturated brine, dried over anhydrous sodium sulfate, and concentrated under reduced pressure. The obtained residue was purified by silica gel chromatography (hexane: ethyl acetate) to obtain the desired product (707 mg).
  • Example 16 (3) tert-butyl (2S, 4S) -2-ethyl-4-hydroxypyrrolidine-1-carboxylate Compound (1.06 g) of Example 16 (2), 10% palladium hydroxide carbon catalyst ( 160 mg) was suspended in ethanol (11 mL) and THF (11 mL), substituted with hydrogen, and stirred at room temperature for 20 hours. The reaction mixture was filtered through Celite, washed with ethanol, and the filtrate was concentrated under reduced pressure. The obtained residue was purified by silica gel chromatography (hexane: ethyl acetate) to obtain the desired product (709 mg).
  • Example 16 (4) tert-butyl (2S, 4R) -4- (4-chloro-5-iodo-7H-pyrrolo [2,3-d] pyrimidin-7-yl) -2-ethylpyrrolidine-1-
  • the compound (709 mg) of Carboxylate Example 16 (3) and 4-chloro-5-iodo-7H-pyrrolo [2,3-d] pyrimidine (1.11 g) were dissolved in THF (7.1 mL). After cooling to 0 ° C., triphenylphosphine (1.3 g) and diisopropylazodicarboxylate (1.00 mL) were added, the temperature was raised to room temperature, and the mixture was stirred for 1 hour.
  • the reaction mixture was concentrated under reduced pressure, and the obtained residue was purified by silica gel chromatography (hexane: ethyl acetate) to obtain a corresponding coupling.
  • the obtained compound was used in the next reaction without further purification.
  • the obtained coupling body, THF (5.4 mL) and aqueous ammonia (5.4 mL) were added to the pressure resistant tube, and the mixture was stirred at 100 ° C. for 14 hours.
  • the reaction mixture was cooled to room temperature, poured into water (12.8 mL) and extracted with ethyl acetate. The combined organic layers were washed with saturated brine, dried over anhydrous sodium sulfate, and concentrated under reduced pressure.
  • Example 16 (5) tert-butyl (2S, 4R) -4- (4-amino-6-bromo-5-(((R) -1-phenylethyl) carbamoyl) -7H-pyrrolo [2,3- d] Pyrimidine-7-yl) -2-ethylpyrrolidine-1-carboxylate
  • Example 16 (4) compound (797 mg), dichlorobis (triphenylphosphine) palladium (25 mg), (R)-(+) -1 -Phenylethylamine (0.55 mL) was suspended in DMF (8.0 mL), carbon monoxide was substituted, and the mixture was stirred at 80 ° C. for 2 hours.
  • the reaction mixture was cooled to room temperature, water was added, and the mixture was extracted with ethyl acetate. The combined organic layers were washed with saturated brine, dried over anhydrous sodium sulfate, and concentrated under reduced pressure.
  • the obtained residue was purified by silica gel chromatography (hexane: acetone) to obtain the corresponding amide.
  • the obtained compound was used in the next reaction without further purification.
  • the obtained amide is dissolved in acetonitrile (8.2 mL), cooled to ⁇ 10 ° C., and then a solution of N-bromosuccinimide (457 mg) in acetonitrile (8.2 mL) is slowly added dropwise to the reaction mixture at 30. Stir for minutes.
  • Example 16 7-((3R, 5S) -1-acryloyl-5-ethylpyrrolidine-3-yl) -4-amino-6-bromo-N-((R) -1-phenylethyl)- 7H-Pyrrolidine [2,3-d] Pyrimidine-5-carboxamide
  • acetonitrile 9.7 mL
  • sodium iodide (1.05 g).
  • trimethylsilyl chloride (0.89 mL) were added, and the mixture was stirred at 0 ° C. for 1 hour.
  • Example 16 7-((3R, 5S) -1-acryloyl-5-ethylpyrrolidine-3-yl) -4-amino-N-((R) -1-phenylethyl) -6- (prop) -1-in-1-yl) -7H-pyrrolidine [2,3-d] pyrimidine-5-carboxamide Compound (120 mg), acetonitrile (1.2 mL), triethylamine (0.10 mL) of Example 16 (6).
  • Example 17 7-((3R, 5S) -1-acryloyl-5-ethylpyrrolidine-3-yl) -4-amino-6- (cyclopropylethynyl) -N-((R) -1-phenylethyl) -7H-Pyrrolidine [2,3-d] Pyrimidine-5-Carboxamide Same as in Example 16 except that cyclopropylacetylene was used instead of the DMF solution of 1.0 M propyne in Example 16 (7). The title compound was obtained.
  • Example 16 187-((3R, 5R) -1-acryloyl-5- (methoxymethyl) pyrrolidine-3-yl) -4-amino-6- (cyclopropylethynyl) -N-((R) -1- Phenylethyl) -7H-pyrrolidine [2,3-d] pyrimidin-5-carboxamide
  • tert-butyl (2R, 4S) -4- instead of the compound of Example 16 (3).
  • hydroxy-2- (methoxymethyl) pyrrolidine-1-carboxylate was used and cyclopropylacetylene was used in Example 16 (7) instead of the DMF solution of 1.0 M compound.
  • the title compound was obtained.
  • Example 19 7-((3R, 5R) -1-acryloyl-5- (ethoxymethyl) pyrrolidine-3-yl) -4-amino-6- (cyclopropylethynyl) -N-((R) -1- Phenylethyl) -7H-pyrrolidine [2,3-d] pyrimidin-5-carboxamide
  • Example 16 instead of the compound of Example 16 (3), tert-butyl (2R, 4S) -2- Same as in Example 16 except that (ethoxymethyl) -4-hydroxypyrrolidine-1-carboxamide was used and cyclopropylacetylene was used instead of the DMF solution of 1.0 M compound in Example 16 (7). The title compound was obtained.
  • Test Example 1 Measurement of HER2 Kinase Activity In Vitro
  • ProfilerPro Peptide 22 was used as a substrate.
  • the purified recombinant human HER2 protein used in the test was purchased from Carna Biosciences.
  • the pyrimidine compound of the present invention was serially diluted with dimethyl sulfoxide (DMSO).
  • DMSO dimethyl sulfoxide
  • ATP final concentration 5 ⁇ M
  • DMSO solution of pyrimidine compound of the present invention final concentration of DMSO is 5%
  • the reaction was stopped by adding EDTA to a final concentration of 30 mM.
  • the non-phosphorylated substrate peptide (S) and the phosphorylated peptide (P) were separated and detected by microchannel capillary electrophoresis.
  • the amount of phosphorylation reaction was determined from the heights of the peaks of S and P, and the concentration of the compound capable of suppressing the phosphorylation reaction by 50% was defined as the IC50 value (nM) and is shown in Table 3 below.
  • Test Example 2 Measurement of Exon 20 Insertion Variant HER2 (HER2ex20insYVMA) In Vitro In Vitro In addition, ProfilerPro Peptide 22 was used as a substrate.
  • the purified recombinant human exon 20 insertion mutant HER2 (A775_G776insYVMA) protein used in the test was purchased from SignalChem.
  • the pyrimidine compound of the present invention was serially diluted with dimethyl sulfoxide (DMSO).
  • exxon 20-inserted mutant HER2 protein and the pyrimidine compound DMSO solution of the present invention (DMSO) in a buffer solution for kinase reaction (13.5 mM Tris (pH 7.5), 2 mM dithiothreitol, 0.009% Tween 20) were inserted. The final concentration was 5%) and preincubated at 25 ° C. for 30 minutes. Then, the substrate peptide (final concentration: 1 ⁇ M), manganese chloride (final concentration: 25 mM), magnesium chloride (final concentration: 20 mM), and ATP (final concentration: 200 ⁇ M) were added and incubated at 25 ° C. for 220 minutes for a kinase reaction. rice field.
  • a buffer solution for kinase reaction 13.5 mM Tris (pH 7.5), 2 mM dithiothreitol, 0.009% Tween 20
  • the reaction was stopped by adding EDTA to a final concentration of 30 mM.
  • the non-phosphorylated substrate peptide (S) and the phosphorylated peptide (P) were separated and detected by microchannel capillary electrophoresis.
  • the amount of phosphorylation reaction was determined from the heights of the peaks of S and P, and the concentration of the compound capable of suppressing the phosphorylation reaction by 50% was defined as the IC50 value (nM) and is shown in Table 3 below.
  • the pyrimidine compound of the present invention has excellent inhibitory activity against HER2 phosphorylation and exon 20 insertion mutant HER2 phosphorylation.
  • Test Example 3 Measurement of growth inhibitory activity against HER2-expressing cell line SK-BR-3 cells, which are HER2-overexpressing human breast cancer cell lines, were placed in McCoy's 5a medium (manufactured by Life Technologies) containing 10% fetal bovine serum. Suspended. Cell suspensions were seeded in each well of a 384-well flat bottom microplate and cultured for 1 day in an incubator containing 5% carbon dioxide at 37 ° C. The pyrimidine compound of the present invention was dissolved in DMSO, and the compound was diluted with DMSO to a concentration 500 times the final concentration.
  • a DMSO solution of the compound was diluted with the medium used to suspend the cells, this was added to each well of the cell culture plate so that the final concentration of DMSO was 0.2%, and an incubator containing 5% carbon dioxide gas.
  • the cells were cultured at medium 37 ° C. for another 3 days.
  • the number of cells after culturing for 3 days in the presence of the compound was measured using CellTiter-Glo 2.0 (manufactured by Promega), and the growth inhibition rate was calculated from the following formula.
  • the concentration of the compound capable of inhibiting growth by 50% was defined as IC50 (nM).
  • Growth inhibition rate (%) (CT) / (C) ⁇ 100 T: Emission intensity of wells to which the test compound was added
  • C Emission intensity of wells to which the test compound was not added
  • Table 4 The results are shown in Table 4 below.
  • Test Example 4 Measurement of growth inhibitory activity against exon 20 insertion mutant HER2 expressing cell line
  • the growth inhibition activity against exon 20 insertion mutant HER2 is a mouse B lymphocyte precursor cell line into which the human exon 20 insertion mutant HER2 gene has been introduced. This was done using Ba / F3 cells.
  • Ba / F3 cells are RPMI containing 10% fetal bovine serum (FBS), 100 U / mL penicillin, 100 ⁇ g / mL streptomycin (Thermofisher Scientific) and 1 ng / mL mouse interleukin-3 (mIL-3) (CST).
  • Ba / F3-HER2insYVMA cells were suspended in RPMI-1640 medium containing 10% FBS, 100 U / mL penicillin, 100 ⁇ g / mL streptomycin, and the cell suspension was placed in 96-well flat-bottomed microplates.
  • the cells were seeded in each well and cultured at 37 ° C. for 1 day in an incubator containing 5% carbon dioxide gas.
  • the pyrimidine compound of the present invention is dissolved in DMSO and diluted with DMSO or the medium used for cell suspension so that the final concentration of DMSO in each well of the cell culture plate is 0.2%.
  • the cells were cultured at 37 ° C.
  • the pyrimidine compound group of the present invention also exhibited excellent cell proliferation inhibitory activity in the HER2-expressing cell line (SK-BR-3) and the exon 20 insertion mutant HER2-expressing cell line (Ba / F3-HER2insYVMA). It became clear to have.
  • Test Example 5 Measurement of growth inhibitory activity against HER2-expressing cell line (NCI-N87) NCI-N87 cells (American Type Culture Collection, Cat No. ATCC®), which is a HER2-overexpressing human gastric cancer cell line, were used. The cells were suspended in RPMI1640 medium containing 10% fetal bovine serum (Fuji Film Wako Junyaku Co., Ltd.). The cell suspension was then seeded in each well of a 96-well flat bottom microplate and cultured for 1 day in an incubator containing 5% carbon dioxide at 37 ° C. The pyrimidine compound of the present invention was dissolved in DMSO, and the test compound was diluted with DMSO to a concentration 1000 times the final concentration.
  • the DMSO solution of the test compound was diluted with the medium used to suspend the cells and added to each well of the cell culture plate so that the final concentration of DMSO was 0.1%.
  • DMSO was diluted with the medium used to suspend the cells, and this was added to each well of the cell culture plate so that the final concentration of DMSO was 0.1%.
  • the cells were cultured at 37 ° C. for another 3 days in an incubator containing 5% carbon dioxide gas.
  • the cell count after culturing for 3 days in the presence of the compound was performed using CellTiter-Glo 2.0 (manufactured by Promega) according to the protocol recommended by Promega.
  • the pyrimidine compound of the present invention has excellent cell proliferation inhibitory activity even in the HER2 overexpressing cell line (NCI-N87).
  • the pyrimidine compound of the present invention was serially diluted with dimethyl sulfoxide (DMSO).
  • DMSO dimethyl sulfoxide
  • a buffer for kinase reaction (20 mM HEPES (pH 7.5), 1 mM dithiotratell, 0.01% Triton X-100).
  • Final concentration is 5 mM
  • manganese chloride final concentration is 1 mM
  • ATP final concentration is near Km of each EGFR
  • DMSO solution of pyrimidine compound of the present invention final concentration of DMSO is 1%) is added at room temperature.
  • the pyrimidine compound of the present invention has excellent inhibitory activity against wild-type and mutant EGFR.
  • Test Example 7 Measurement of growth inhibitory activity against EGFR overexpressing cell line and Exxon 20-inserted mutant EGFR-expressing cell line
  • the growth-inhibiting activity against EGFR overexpressing cell line and Exxon 20-inserted mutant EGFR-expressing cell line is EGFR overexpressing human breast cancer.
  • the EGFR gene (WT, MCF10A_EGFR cells, MCF10A_EGFR / V769_D770insASV cells, MCF10A_EGFR / D777
  • MDA-MB-468 cells were suspended in Leibovitz's L-15 medium containing deactivated 10% fetal bovine serum.
  • NCI-H1975 cells were suspended in RPMI-1640 medium containing deactivated 10% fetal bovine serum.
  • the cell suspension was seeded in each well of the 96-well flat bottom plate so that the number of cells per well was 500, MDA-MB-468 cells were incubated without carbon dioxide gas, and the other cells were 5 cells.
  • the cells were cultured at 37 ° C. for 1 day in an incubator containing% carbon dioxide gas.
  • the pyrimidine compound of the present invention was prepared to 1 mM in DMSO and then diluted to 1/200 in a medium to prepare a 5 ⁇ M solution. Then, the DMSO solution of the pyrimidine compound of the present invention was diluted with the medium used for cell suspension and added so that the final concentration of the maximum concentration of the test compound was 1000 nM, and the MDA-MB-468 cells did not contain carbon dioxide gas.
  • the other cells were cultured at 37 ° C. for another 3 days in the incubator containing 5% carbon dioxide gas.
  • the number of cells at the start of culturing (day 0) and after culturing (day 3) was measured using CellTiter-Glo® 2.0 Reagent (Promega) based on the protocol recommended by the manufacturer.
  • the growth inhibition rate was calculated from the following formula, and the concentration of the test compound (GI50 (nM)) that inhibits 50% was determined.
  • the results are shown in Table 7.
  • the pyrimidine compound of the present invention the compounds of Examples 2, 11 and 12 (Example compounds 2, 11 and 12) were used.
  • the pyrimidine compound group of the present invention includes MDA-MB-468 cells which are wild-type EGFR overexpressing strains, MCF10A_EGFR cells gene-introduced and expressed by wild-type EGFR, L858R and T790M mutant EGFR-positive cells.
  • MDA-MB-468 cells which are wild-type EGFR overexpressing strains
  • MCF10A_EGFR cells gene-introduced and expressed by wild-type EGFR, L858R and T790M mutant EGFR-positive cells.
  • a certain NCI-H1975 cell, Exxon 20 insertion mutant EGFR expressing cell line (MCF10A_EGFR / V769_D770insASV cell, MCF10A_EGFR / D770_N771insSVD cell, MCF10A_EGFR / H773_V774insNPH cell) also had excellent cell proliferation inhibitory activity.
  • Test Example 8 Measurement of Growth Inhibitory Activity for Exxon 20 Insertion Mutant EGFR Expressing Cell Line
  • the growth inhibitory activity for Exxon 20 Insertion Mutant EGFR expresses D770_N771insSVD mutant EGFR by gene modification using NCI-H1975 cells, and Evaluation was performed using H1975-EGFRinsSVD cells in which endogenous EGFR (T790M / L858R) was knocked out, and LXF 2478 cells (Charles river), which are tumors derived from V769_D770insASV mutant EGFR-positive human lung cancer patients.
  • PB-CMV-MCS-EF1-RFP + Puro vector encoding D770_N771insSVD (insSVD) was added to NCI-H1975 cells together with Super PiggyBacstransposase expression vector and Amaxa (registered trademark) ElectroK.
  • XTN registered trademark
  • TALENs Site-Specific Nucleases Transposagen
  • Amaxa registered trademark
  • Cell Line Nucleofector registered trademark
  • each cell was suspended in RPMI-1640 medium.
  • the cell suspension was seeded in each well of a 96-well flat bottom plate so that the number of cells per well was 3,000, and the cells were cultured at 37 ° C. for one day in an incubator containing 5% carbon dioxide gas.
  • the compound was added using a Tecan D300e digital dispenser (Tecan) so that the final concentration of the test compound had a final concentration of 1000 nM and a common ratio of 3, and the mixture was cultured at 37 ° C.
  • the pyrimidine compound group of the present invention also had excellent cell proliferation inhibitory activity in the exon 20 insertion mutant EGFR expressing cell line (H1975-EGFRinsSVD and LXF 2478).
  • Test Example 9 Evaluation of Oral Absorption
  • the pyrimidine compound of the present invention was suspended or dissolved in a 0.5% HPMC aqueous solution and 0.1N hydrochloric acid, and a dose of 50 mg / kg / day was given to BALB / cA mice (Nippon Claire Co., Ltd.). Orally administered at. After oral administration, blood was collected from the facial vein 0.5, 1, 2, 4 and 6 hours later to obtain plasma. The compound concentration in the obtained plasma was measured by LC-MS / MS, and the oral absorbability was evaluated. The results are shown in Table 9 below.
  • the pyrimidine compound of the present invention was observed to have a sufficient plasma concentration and showed good oral absorbability.
  • the oral absorbability was attenuated by 4 times or more as compared with the pyrimidine compound of the present invention.
  • Test Example 10 Evaluation of brain transferability
  • the pyrimidine compound of the present invention was suspended or dissolved in a 0.5% HPMC aqueous solution and 0.1N hydrochloric acid, and the dose was 50 mg / kg / day in BALB / cA mouse Nippon Claire Co., Ltd.).
  • the dose was 50 mg / kg / day in BALB / cA mouse Nippon Claire Co., Ltd.).
  • We was orally administered.
  • blood was collected from the facial vein, and the entire brain was removed to obtain plasma and brain samples.
  • homogenization was performed using an ultrasonic homogenizer to obtain a brain homogenate.
  • the compound concentrations in the obtained plasma and brain homogenate were measured by LC-MS / MS, and the brain transferability was evaluated from the brain / plasma compound concentration. The results are shown in Table 10 below.
  • the pyrimidine compound of the present invention had a higher brain / plasma compound concentration (Kp value) as compared with Comparative Example 2, and showed good brain transferability. Further, in Comparative Example 2, the concentration of the compound in the brain was reduced by 80 times or more as compared with the pyrimidine compound of the present invention.
  • Test Example 11 An antitumor effect confirmation test (in vivo) for a direct brain transplantation model of a Luciferase gene-introduced HER2-expressing cell line (NCI-N87-luc).
  • NCI-N87-Luc in which the Luciferase gene was introduced into NCI-N87, which is a human gastric cancer tumor cell purchased from American Type Culture Collection, was used.
  • NCI-N87-Luc is 5 in RPMI-1640 (4.5 g / L glucose, 10 mM HEPES and 1 mM sodium pyruvate) (Fuji Film Wako Pure Chemical Industries, Ltd.) medium containing 10% fetal bovine serum (FBS).
  • NCI-N87-Luc cells were cultured at 37 ° C. in a% CO2 incubator.
  • the NCI-N87-Luc cells were resuspended at a concentration of 6.25 ⁇ 10 7 cells / mL in PBS.
  • a nude mouse BALB / cAJcl-nu / nu, Nippon Claire Co., Ltd.
  • Total Flux (Photon / sec) was measured using IVIS (PerkinElmer, Inc., model: Lumina II) for all surviving cases about 3 weeks after transplantation. From the results, 6 animals in each group were assigned using the MiSTAT (Ver. 2.00) grouping program.
  • the test compound was orally administered once a day for 21 days (Day 1-21) from the day after the grouping.
  • Example 2 Example 2
  • Example 11 Example 11
  • Example 12 Example 12
  • Example 12 Example 12
  • a graph was created in which the average Total Flux of each group was logarithmically transformed (Log 10) on the vertical axis and the number of days after transplantation (Day) was set on the horizontal axis, and the transition of Total Flux over time during the drug administration period was observed.
  • the test compound the compounds of Example 2, Example 11, and Example 12 were used, and as the control, 0.1N HCl and 0.5% HPMC aqueous solution were used.
  • FIGS. 1 to 6 The results are shown in FIGS. 1 to 6 below.
  • Log10 logarithmic conversion
  • an electronic balance for animals was used to measure the body weight.
  • the body weight change rate (BWCn) on the nth day was calculated by the following formula.
  • BWCn (%) [(Weight on day n)-(Weight on grouping day)] / (Weight on grouping day) x 100 From this test result, it was clarified that the pyrimidine compound of the present invention has an excellent antitumor effect on the HER2-overexpressing cell line (NCI-N87-luc) transplanted into the brain of a nude mouse.
  • the mice to which Example 2 (Example 2) and Example 11 (Example 11) were administered did not show any weight loss of -20% or more in all the individuals, so it is clear that there are no serious side effects. (Figs. 4 to 6).
  • Test Example 12 Antitumor effect confirmation test (in vivo) for a subcutaneous transplant model of H1975-EGFRins SVD cell line
  • the H1975-EGFRinsSVD cell line contains RPMI-1640 (4.5 g / L glucose, 10 mM HEPES and 1 mM sodium pyruvate) containing deactivated 10% fetal bovine serum (FBS) (Fuji Film Wako Pure Chemical Industries, Ltd.) medium. Cell lines were cultured at 37 ° C. in a 5% CO2 incubator.
  • FBS fetal bovine serum
  • H1975-EGFRinsSVD cells were resuspended at a concentration of 8 ⁇ 10 7 cells / mL in PBS. Using a 1 mL tuberculin syringe and a 25 G injection needle, 8 x 10 6 cells / 0.1 mL each under the skin of the right chest of a 6-week-old nude mouse (BALB / cAJcl-nu / nu, Nippon Claire Co., Ltd.) The cell suspension was transplanted.
  • Examples 2, 11 and 12 (Exple 2, 11, 12) were used as the test compound, and a 0.5% HPMC aqueous solution was used as the control.
  • Examples 2, 11 and 12 (Excel 2, 11 and 12) were orally administered at doses of 25 mg / kg / day, 25 mg / kg / day and 50 mg / kg / day, respectively.
  • test compound or control was orally administered once a day for 14 days (Day 1-14) from the day after grouping.
  • the tumor volume (Tumor volume, hereinafter also referred to as "TV") was measured twice a week over time.
  • an electronic balance for animals was used to measure the body weight.
  • the body weight change rate (Body Weight Change) is also hereinafter referred to as "BWC”.
  • the body weight change rate (BWCn) on the nth day was calculated from the body weight (BWn) on the nth day by the following formula.
  • the transition of the average value of TV and BWC of each individual is shown in FIGS. 7 and 8.
  • BWCn (%) [(Weight on day n)-(Weight on grouping day)] / (Weight on grouping day) x 100
  • the compound is effective when the average TV value of the compound-administered group on the final evaluation day (Day 15) is smaller than the average TV value of the Control group and shows a statistically significant difference (Dunnett type multiple comparison test) (Dunnett type multiple comparison test). It is determined that P ⁇ 0.001) and is indicated by * in the figure. The results are shown in FIG.
  • Test Example 13 Luciferase gene-introduced exon 20 insertion mutant EGFR-expressing cell line (H1975-EGFRinsSVD-Luc) antitumor effect confirmation test (in vivo) for direct brain transplantation model
  • the antitumor effect and life-prolonging effect of the pyrimidine compound of the present invention based on the direct brain transplantation model were evaluated using the H1975-EGFRinsSVD-Luc strain in which Luciferase was introduced into the human mutant EGFR-introduced cell line H1975-EGFRinsSVD.
  • H1975-EGFRinsSVD-Luc cells are NCI-H1975-EGFRinsSVD cells with pJTI (registered trademark) FAST DES vector encoding Luciferase and pJTI (registered trademark) PhiC31 Integrase expression vector and Amaxa (registered trademark) CellLine. After introduction by the electroporation method using Kit R, the one selected by Hyglomycin B (Nakalitesk Co., Ltd.) was used.
  • the H1975-EGFRinsSVD-Luc strain contains RPMI-1640 (4.5 g / L glucose, 10 mM HEPES and 1 mM sodium pyruvate) containing deactivated 10% fetal bovine serum (FBS) (Fuji Film Wako Pure Chemical Industries, Ltd.). Cell lines were cultured in medium at 37 ° C. in a 5% CO2 incubator.
  • RPMI-1640 4.5 g / L glucose, 10 mM HEPES and 1 mM sodium pyruvate
  • FBS fetal bovine serum
  • the H1975-EGFRinsSVD-Luc cells were resuspended at a concentration of 12.5 ⁇ 10 7 cells / mL in PBS.
  • a nude mouse (BALB / cAJcl-nu / nu, Nippon Claire Co., Ltd.) about 6 to 7 weeks old was fixed to a brain localization device using an ear bar for mice, and a sterile cotton swab was used to disinfect the skin on the crown. After disinfection by applying the liquid, an incision was made with a scalpel.
  • Total Flux (Photon / sec) was measured using IVIS (PerkinElmer, Inc., model: Lumina II) for all surviving cases 26 days after transplantation. From the results, 10 animals per group were assigned by random stratification so that the average of Total Lux in each group was uniform.
  • Example 11 The compound of Example 11 was used as the test compound, and a 0.5% HPMC aqueous solution was used as the control.
  • Example 11 was administered at a dose of 12.5 mg / kg / day or 25 mg / kg / day.
  • the pyrimidine compound or control of the present invention was orally administered once a day for 38 days (Day 27-64) from the day after grouping.
  • the value obtained by logarithmically converting (Log10) the TotalFlux on the day of determining the antitumor effect (Day47), which is 3 weeks after the administration of the drug from the day after the grouping day (Day27), was used.
  • a graph was created in which the average Total Flux value of each group was set on the vertical axis and the number of days after transplantation (Day) was set on the horizontal axis, and the transition of Total Flux over time during the drug administration period was observed.
  • the survival days from the cell transplantation of the test compound group compared with the control group to the final evaluation date (Day 0-65) of the life-prolonging effect were analyzed using the Log-Rank test.
  • Test Example 14 Antitumor effect (in vitro) by the combined use of a pyrimidine compound and another antitumor agent.
  • the table below shows the sources of each reagent, the sources of tumor cell lines, the medium used, and the number of cell seeds.
  • SK-BR-3 cells derived from HER2-positive human breast cancer [Dainippon Pharmaceutical Co., Ltd. (currently Sumitomo Dainippon Pharma Co., Ltd.)] are suspended in McCoy's 5A medium containing deactivated 10% fetal bovine serum.
  • BT-474 cells [American Type Culture Collection (ATCC)], also derived from HER2-positive human breast cancer, were suspended in Dulbecco's Modified Eagle medium containing deactivated 10% fetal bovine serum.
  • Exon 19 mutation (del E746-A750) -positive human lung cancer-derived HCC827 cells were suspended in RPMI-1640 medium containing deactivated 10% fetal bovine serum.
  • Each cell suspension was seeded at 25 ⁇ L / well on a 384-well culture flat bottom plate. The plate in which the cells were seeded was cultured at 37 ° C. in an incubator containing 5% carbon dioxide gas.
  • the pyrimidine compound of the present invention and other antitumor agents were dissolved in DMSO and then added so as to have the final concentration and the common ratio of the maximum concentration shown in Table 13.
  • 8 concentrations (including 0 nM) of the compound of Example 11 (Excel 11) and 10 concentrations (including 0 nM) of other antitumor agents are combined in a round-robin manner.
  • a total of 80 combinations were set, added using a Tecan D300e digital dispenser (Tecan), and cultured at 37 ° C. for 3 days in an incubator containing 5% carbon dioxide gas.
  • the average value of 4 wells of each combination was calculated, and the standardized cell viability was calculated for the control to which the medium containing Vehicle was added.
  • the Fa (Fraction of Affect) value was calculated by subtracting the cell viability from 1.
  • the combination index Combination Index (CI) was calculated by applying the Median Effect equation to the experimental data.
  • the combination of the concentrations of both drugs for calculating CI is a concentration range in which the effect of one drug is too strong when the Fa value is close to 1, and a concentration range in which the effect of either drug is too weak when the Fa value is close to 0. Since it is considered that it is not suitable for discussing the synergistic effect, 0.2 ⁇ Fa ⁇ from the Fa value calculated by the combination of the compound of Example 11 (Extract 11) and each concentration of other antitumor agents. Combinations such as 0.8 were extracted. The combined effect was determined as shown in the table below (Pharmacol Rev., 58 (3), 621-81, 2006).
  • Example 11 Combined use of the compound of Example 11 (Example 11) with gemcitabine.
  • Example 11 which is the pyrimidine compound of the present invention, gemcitabine, which is an antimetabolite, 5-fluorouracil, triflulysine, cisplatin, which is a platinum-based drug, and paclitaxel, which is an alkaloid-based drug, Inhibition of SN-38, a topoisomerase inhibitor, fulvestrant, an estrogen receptor inhibitor, AZD8055, a PI3K / AKT / mTOR signaling pathway inhibitor, everolimus, ductricib, palbociclib, tacericib, MK-2206, or CDK4 / 6 It was shown that the antitumor effect was synergistically enhanced by the combined use with the drug palbociclib.
  • Test Example 15 Combination of pyrimidine compound and trastuzumab (in vivo) 4-1ST, which is a tumor cell derived from human gastric cancer, was obtained as a fragment tumor from the Central Institute for Experimental Animals.
  • a 6-week-old male nude mouse (BALB / cAJcl-nu / nu, Japan Claire Co., Ltd.) was subcutaneously excised from the tumor about 1 month after the transplantation, and a fragment of about 2 mm square was prepared.
  • One fragment was stuffed into a transplant needle, and the nude mouse was stabbed subcutaneously from the vicinity of the right rearmost rib, penetrated to the right back, and the inner cylinder was pushed to extrude and transplant the tumor.
  • An electronic caliper was used to measure the tumor diameter, and the major axis and the minor axis of the tumor were sandwiched between the measuring surfaces of the electronic caliper one by one (Day 0, 5, 8, 12 and 15).
  • the tumor volume (tumor volume, TV) was calculated from the major axis and the minor axis.
  • the relative tumor volume change rate (T / C) was calculated from the calculated tumor volume.
  • TV and T / C were calculated from the following formulas.
  • an electronic balance for animals was used to measure the body weight. From the body weight on the 0th day (BW0) and the body weight on the nth day (BWn), the body weight change rate on the nth day (BWCn) was calculated by the following formula.
  • Weight change rate BWCn (%) (BWn-BW0) / BW0 ⁇ 100
  • Nude mice with a TV of 50 to 300 mm 3 were selected, and 6 animals in each group were selected by the arithmetic method [MiSTAT (ver. 2.1)] so that the average value of the TVs in each group was even.
  • Trastuzumab (Trastuzumab, Herceptin, Roche) was administered once daily from the tail vein on days 1 and 8 (Days 1 and 8).
  • the compound of Example 11 (Exple 11) was orally administered once a day for 14 days (Day 1-14) every day. Each dose (Dose) was the dose shown in the table below.
  • An untreated group was used as a control.
  • the combination effect and the presence or absence of toxicity were determined by the tumor diameter and body weight on the grouping day (Day 0) and the judgment day (Day 15). During the administration period, the body weight was measured every day to calculate the dose. The results are shown in the table below and FIG.
  • Test Example 16 A combination of a pyrimidine compound, trastuzumab, and pertuzumab (in vivo).
  • 4-1ST which is a tumor cell derived from human gastric cancer, was obtained as a fragment tumor from the Central Institute for Experimental Animals.
  • a 6-week-old male nude mouse (BALB / cAJcl-nu / nu, Japan Claire Co., Ltd.) was subcutaneously excised from the tumor about 1 month after the transplantation, and a fragment of about 2 mm square was prepared. One fragment was stuffed into a transplant needle, and the nude mouse was stabbed subcutaneously from the vicinity of the right rearmost rib, penetrated to the right back, and the inner cylinder was pushed to extrude and transplant the tumor.
  • An electronic caliper was used to measure the tumor diameter, and the major axis and the minor axis of the tumor were sandwiched between the measuring surfaces of the electronic caliper one by one (Day 0, 5, 8, 12 and 15).
  • the tumor volume (tumor volume, TV) was calculated from the major axis and the minor axis.
  • the relative tumor volume change rate (T / C) was calculated from the calculated tumor volume.
  • TV and T / C were calculated from the following formulas.
  • an electronic balance for animals was used to measure the body weight. From the body weight on the 0th day (BW0) and the body weight on the nth day (BWn), the body weight change rate on the nth day (BWCn) was calculated by the following formula.
  • Weight change rate BWCn (%) (BWn-BW0) / BW0 ⁇ 100
  • Nude mice with a TV of 100 to 300 mm 3 were selected, and 6 animals in each group were selected by the arithmetic method [MiSTAT (ver. 2.0)] so that the average value of the TVs in each group was even.
  • MiSTAT ver. 2.0
  • Trastuzumab (T-mab, Herceptin, Roche) and Pertuzumab (P-mab, Perjeta, Roche) were administered once daily from the tail vein on day 1 (Day 1).
  • Example 11 was orally administered once daily for 14 days (Day 1-14). Each dose (Dose) was the dose shown in the table below. An untreated group was used as a control.
  • CR Complete Response
  • the TV in the triple-drug administration group of Trastuzumab / Pertuzumab / Expert 11 was compared with the single-administration group of Example 11 and the two-drug administration group of Trastuzumab / Pertuzumab. It was shown to be significantly lower.
  • the average body weight change rate (BWC) of the three-drug combination administration group of Trastuzumab / Pertuzumab / Expert 11 on the judgment day was toxic as compared with the single administration group of Example 11 and the two-drug combination administration group of Trastuzumab / Pertuzumab. It was not accompanied by the enhancement of.
  • Test Example 17 Combination of pyrimidine compound and trastuzumab emtansine (in vivo) Trastuzumab emtansine (Trastuzumab emtansine, Kadcyla, Roche) was used instead of trastuzumab, and Trastuzumab emtansine was administered once a day, in the same manner as in the 1st day (Day 1) from the tail vein. It was carried out in. Each dose (Dose) was the dose shown in the table below. An untreated group was used as a control. The results are shown in the table below and FIG.
  • the trastuzumab emtansine group or the single administration group of the Exemple 11 group was shown to be significantly lower compared to the group.
  • Test Example 18 Combination of pyrimidine compound and capecitabine (in vivo)
  • the human gastric cancer cell line NCI-N87 was obtained from the American Type Culture Collection (ATCC). RPMI-1640 (containing 4.5 g / L glucose, 10 mM HEPES and 1 mM sodium pyruvate) containing 10% fetal bovine serum (FBS) (Fuji Film Wako Pure Chemical Industries, Ltd.) 37 in a 5% CO 2 incubator.
  • the cell line was cultured at ° C. NCI-N87 cells were resuspended in PBS at a concentration of 8 ⁇ 10 7 cells / mL.
  • the body weight change rate on the nth day (BWCn) was calculated by the above formula.
  • Nude mice with a TV of 100 to 300 mm 3 were selected, and 6 animals in each group were selected by the arithmetic method [MiSTAT (ver. 2.0)] so that the average value of the TVs in each group was even.
  • Capecitabine Tokyo Chemical Industry Co., Ltd.
  • compound 11 of Example 11 were orally administered once daily for 14 days (Day 1-14). Each dose (Dose) was the dose shown in the table below. A 0.1N HCl, 0.5% HPMC aqueous solution was used as a control.
  • the combination effect and the presence or absence of toxicity were determined by the tumor diameter and body weight on the grouping day (Day 0) and the judgment day (Day 15). During the administration period, the body weight was measured every day to calculate the dose. The results are shown in the table below and in FIGS. 14 and 15.
  • the TV was significantly higher in the single administration group of the Capecitabine group or the Capecitabine group and the combined administration group (Exemple 11 + Capecitabine) of the Extract 11 / Capecitabine group.
  • the TV of the combined administration group of the Example 11 / Capecitabine group was significantly lower than that of the single administration group of the Capecitabine group or the Capecitabine group.
  • the average body weight change rate (BWC) of the combined administration group on the determination day was not accompanied by an increase in toxicity as compared with the Capecitabine group or the Single 11 group alone administration group.

Landscapes

  • Health & Medical Sciences (AREA)
  • Life Sciences & Earth Sciences (AREA)
  • Medicinal Chemistry (AREA)
  • Chemical & Material Sciences (AREA)
  • General Health & Medical Sciences (AREA)
  • Public Health (AREA)
  • Veterinary Medicine (AREA)
  • Animal Behavior & Ethology (AREA)
  • Pharmacology & Pharmacy (AREA)
  • Epidemiology (AREA)
  • Chemical Kinetics & Catalysis (AREA)
  • Nuclear Medicine, Radiotherapy & Molecular Imaging (AREA)
  • Organic Chemistry (AREA)
  • General Chemical & Material Sciences (AREA)
  • Engineering & Computer Science (AREA)
  • Bioinformatics & Cheminformatics (AREA)
  • Molecular Biology (AREA)
  • Inorganic Chemistry (AREA)
  • Endocrinology (AREA)
  • Immunology (AREA)
  • Microbiology (AREA)
  • Mycology (AREA)
  • Pharmaceuticals Containing Other Organic And Inorganic Compounds (AREA)
  • Medicines That Contain Protein Lipid Enzymes And Other Medicines (AREA)
PCT/JP2021/026462 2020-07-15 2021-07-14 腫瘍の治療に使用されるピリミジン化合物を含む組み合わせ Ceased WO2022014640A1 (ja)

Priority Applications (5)

Application Number Priority Date Filing Date Title
EP21841448.0A EP4183395A4 (en) 2020-07-15 2021-07-14 PYRIMIDINE COMPOUND-CONTAINING COMBINATION FOR USE IN TUMOR TREATMENT
KR1020237003587A KR20230031926A (ko) 2020-07-15 2021-07-14 종양의 치료에 사용되는 피리미딘 화합물을 포함하는 조합
US18/015,616 US20230255972A1 (en) 2020-07-15 2021-07-14 Pyrimidine compound-containing combination to be used in tumor treatment
AU2021308045A AU2021308045B2 (en) 2020-07-15 2021-07-14 Pyrimidine compound-containing combination to be used in tumor treatment
JP2022536420A JP7373664B2 (ja) 2020-07-15 2021-07-14 腫瘍の治療に使用されるピリミジン化合物を含む組み合わせ

Applications Claiming Priority (2)

Application Number Priority Date Filing Date Title
JP2020-121733 2020-07-15
JP2020121733 2020-07-15

Publications (1)

Publication Number Publication Date
WO2022014640A1 true WO2022014640A1 (ja) 2022-01-20

Family

ID=79554846

Family Applications (1)

Application Number Title Priority Date Filing Date
PCT/JP2021/026462 Ceased WO2022014640A1 (ja) 2020-07-15 2021-07-14 腫瘍の治療に使用されるピリミジン化合物を含む組み合わせ

Country Status (7)

Country Link
US (1) US20230255972A1 (enExample)
EP (1) EP4183395A4 (enExample)
JP (1) JP7373664B2 (enExample)
KR (1) KR20230031926A (enExample)
AU (1) AU2021308045B2 (enExample)
TW (1) TW202216151A (enExample)
WO (1) WO2022014640A1 (enExample)

Cited By (1)

* Cited by examiner, † Cited by third party
Publication number Priority date Publication date Assignee Title
JPWO2022014638A1 (enExample) * 2020-07-15 2022-01-20

Families Citing this family (1)

* Cited by examiner, † Cited by third party
Publication number Priority date Publication date Assignee Title
JP2024520461A (ja) * 2021-05-24 2024-05-24 大鵬薬品工業株式会社 Egfr及び/又はher2に異常を有するがんを有する対象の治療方法

Citations (69)

* Cited by examiner, † Cited by third party
Publication number Priority date Publication date Assignee Title
WO1990005719A1 (en) 1988-11-23 1990-05-31 British Bio-Technology Limited Hydroxamic acid based collagenase inhibitors
US5100883A (en) 1991-04-08 1992-03-31 American Home Products Corporation Fluorinated esters of rapamycin
WO1992005179A1 (en) 1990-09-19 1992-04-02 American Home Products Corporation Carboxylic acid esters of rapamycin
US5118677A (en) 1991-05-20 1992-06-02 American Home Products Corporation Amide esters of rapamycin
US5118678A (en) 1991-04-17 1992-06-02 American Home Products Corporation Carbamates of rapamycin
US5120842A (en) 1991-04-01 1992-06-09 American Home Products Corporation Silyl ethers of rapamycin
US5151413A (en) 1991-11-06 1992-09-29 American Home Products Corporation Rapamycin acetals as immunosuppressant and antifungal agents
WO1993011130A1 (en) 1991-12-03 1993-06-10 Smithkline Beecham Plc Rapamycin derivative and its medicinal use
US5256790A (en) 1992-08-13 1993-10-26 American Home Products Corporation 27-hydroxyrapamycin and derivatives thereof
US5258389A (en) 1992-11-09 1993-11-02 Merck & Co., Inc. O-aryl, O-alkyl, O-alkenyl and O-alkynylrapamycin derivatives
WO1994002485A1 (en) 1992-07-17 1994-02-03 Smithkline Beecham Corporation Rapamycin derivatives
WO1994002136A1 (en) 1992-07-17 1994-02-03 Smithkline Beecham Corporation Rapamycin derivatives
WO1994009010A1 (en) 1992-10-09 1994-04-28 Sandoz Ltd. O-alkylated rapamycin derivatives and their use, particularly as immunosuppressants
EP0606046A1 (en) 1993-01-06 1994-07-13 Ciba-Geigy Ag Arylsulfonamido-substituted hydroxamic acids
WO1995014023A1 (en) 1993-11-19 1995-05-26 Abbott Laboratories Semisynthetic analogs of rapamycin (macrolides) being immunomodulators
WO1995016691A1 (en) 1993-12-17 1995-06-22 Sandoz Ltd. Rapamycin derivatives useful as immunosuppressants
WO1996027583A1 (en) 1995-03-08 1996-09-12 Pfizer Inc. Arylsulfonylamino hydroxamic acid derivatives
WO1996033172A1 (en) 1995-04-20 1996-10-24 Pfizer Inc. Arylsulfonyl hydroxamic acid derivatives as mmp and tnf inhibitors
WO1996041807A1 (en) 1995-06-09 1996-12-27 Novartis Ag Rapamycin derivatives
EP0780386A1 (en) 1995-12-20 1997-06-25 F. Hoffmann-La Roche Ag Matrix metalloprotease inhibitors
WO1998002441A2 (en) 1996-07-12 1998-01-22 Ariad Pharmaceuticals, Inc. Non immunosuppressive antifungal rapalogs
WO1998003516A1 (en) 1996-07-18 1998-01-29 Pfizer Inc. Phosphinate based inhibitors of matrix metalloproteases
WO1998007697A1 (en) 1996-08-23 1998-02-26 Pfizer Inc. Arylsulfonylamino hydroxamic acid derivatives
US5728813A (en) 1992-11-13 1998-03-17 Immunex Corporation Antibodies directed against elk ligand
WO1998030566A1 (en) 1997-01-06 1998-07-16 Pfizer Inc. Cyclic sulfone derivatives
WO1998033768A1 (en) 1997-02-03 1998-08-06 Pfizer Products Inc. Arylsulfonylamino hydroxamic acid derivatives
WO1998034918A1 (en) 1997-02-11 1998-08-13 Pfizer Inc. Arylsulfonyl hydroxamic acid derivatives
WO1998034915A1 (en) 1997-02-07 1998-08-13 Pfizer Inc. N-hydroxy-beta-sulfonyl-propionamide derivatives and their use as inhibitors of matrix metalloproteinases
WO1999007675A1 (en) 1997-08-08 1999-02-18 Pfizer Products Inc. Aryloxyarylsulfonylamino hydroxamic acid derivatives
WO1999029667A1 (en) 1997-12-05 1999-06-17 Pfizer Limited Hydroxamic acid derivatives as matrix metalloprotease (mmp) inhibitors
EP0931788A2 (en) 1998-01-27 1999-07-28 Pfizer Limited Metalloprotease inhibitors
US5969110A (en) 1993-08-20 1999-10-19 Immunex Corporation Antibodies that bind hek ligands
WO1999052889A1 (en) 1998-04-10 1999-10-21 Pfizer Products Inc. (4-arylsulfonylamino)-tetrahydropyran-4-carboxylic acid hydroxamides
WO1999052910A1 (en) 1998-04-10 1999-10-21 Pfizer Products Inc. Bicyclic hydroxamic acid derivatives
US5981245A (en) 1994-04-15 1999-11-09 Amgen Inc. EPH-like receptor protein tyrosine kinases
US6057124A (en) 1995-01-27 2000-05-02 Amgen Inc. Nucleic acids encoding ligands for HEK4 receptors
EP1004578A2 (en) 1998-11-05 2000-05-31 Pfizer Products Inc. 5-oxo-pyrrolidine-2-carboxylic acid hydroxamide derivatives
WO2001014387A1 (en) 1999-08-24 2001-03-01 Ariad Gene Therapeutics, Inc. 28-epirapalogs
US6232447B1 (en) 1994-10-05 2001-05-15 Immunex Corporation Antibody immunoreactive with a human cytokine designated LERK-6
EP1181017A1 (en) 1999-06-03 2002-02-27 Pfizer Limited Metalloprotease inhibitors
US20020042368A1 (en) 2000-02-25 2002-04-11 Fanslow William C. Integrin antagonists
US6413932B1 (en) 1999-06-07 2002-07-02 Immunex Corporation Tek antagonists comprising soluble tek extracellular binding domain
US6596852B2 (en) 1994-07-08 2003-07-22 Immunex Corporation Antibodies that bind the cytokine designated LERK-5
US20030162712A1 (en) 1999-06-07 2003-08-28 Immunex Corporation Tek antagonists
US6656963B2 (en) 1997-05-30 2003-12-02 The Regents Of The University Of California Indole-3-carbinol (I3C) derivatives and methods
US6727225B2 (en) 1999-12-20 2004-04-27 Immunex Corporation TWEAK receptor
WO2005005434A1 (en) 2003-07-08 2005-01-20 Novartis Ag Use of rapamycin and rapamycin derivatives for the treatment of bone loss
WO2005011700A1 (en) 2003-07-29 2005-02-10 Smithkline Beecham Corporation INHIBITORS OF Akt ACTIVITY
WO2005016252A2 (en) 2003-07-11 2005-02-24 Ariad Gene Therapeutics, Inc. Phosphorus-containing macrocycles
WO2006044453A1 (en) 2004-10-13 2006-04-27 Wyeth Analogs of 17-hydroxywortmannin as pi3k inhibitors
WO2006122806A2 (en) 2005-05-20 2006-11-23 Novartis Ag 1,3-dihydro-imidazo [4,5-c] quinolin-2-ones as lipid kinase inhibitors
EP1786785A2 (en) 2004-08-26 2007-05-23 Pfizer, Inc. Enantiomerically pure aminoheteroaryl compounds as protein kinase inhibitors
US20090012085A1 (en) 2005-09-20 2009-01-08 Charles Michael Baum Dosage forms and methods of treatment using a tyrosine kinase inhibitor
WO2009036082A2 (en) 2007-09-12 2009-03-19 Genentech, Inc. Combinations of phosphoinositide 3-kinase inhibitor compounds and chemotherapeutic agents, and methods of use
WO2009055730A1 (en) 2007-10-25 2009-04-30 Genentech, Inc. Process for making thienopyrimidine compounds
JP2009518434A (ja) * 2005-12-08 2009-05-07 アボット・ラボラトリーズ タンパク質キナーゼ阻害薬としての9員ヘテロ二環式化合物
WO2010065898A2 (en) * 2008-12-05 2010-06-10 Principia Biopharma Inc. Egfr kinase knockdown via electrophilically enhanced inhibitors
WO2012137870A1 (ja) 2011-04-06 2012-10-11 大鵬薬品工業株式会社 新規イミダゾオキサジン化合物又はその塩
WO2013108809A1 (ja) * 2012-01-19 2013-07-25 大鵬薬品工業株式会社 3,5-二置換ベンゼンアルキニル化合物及びその塩
WO2015022926A1 (ja) * 2013-08-12 2015-02-19 大鵬薬品工業株式会社 新規な縮合ピリミジン化合物又はその塩
WO2015035223A1 (en) 2013-09-09 2015-03-12 Peloton Therapeutics, Inc. Aryl ethers and uses thereof
WO2017038838A1 (ja) 2015-09-01 2017-03-09 大鵬薬品工業株式会社 新規なピラゾロ[3,4-d]ピリミジン化合物又はその塩
WO2017146116A1 (ja) 2016-02-23 2017-08-31 大鵬薬品工業株式会社 新規縮合ピリミジン化合物又はその塩
JP2019514869A (ja) * 2016-04-19 2019-06-06 ザ・リージエンツ・オブ・ザ・ユニバーシテイー・オブ・カリフオルニア ErbB阻害剤及びその使用
WO2019167000A1 (en) 2018-03-02 2019-09-06 Otsuka Pharmaceutical Co., Ltd. Pharmaceutical compounds
WO2020022323A1 (en) 2018-07-24 2020-01-30 Taiho Pharmaceutical Co., Ltd. Heterobicyclic compounds for inhibiting the activity of shp2
WO2020145374A1 (ja) * 2019-01-11 2020-07-16 大鵬薬品工業株式会社 ピリミジン化合物又はその塩
JP2020121733A (ja) 2019-01-29 2020-08-13 凸版印刷株式会社 チューブ容器
WO2021033153A1 (en) 2019-08-20 2021-02-25 Otsuka Pharmaceutical Co., Ltd. Pyrazolo[3,4-b]pyrazine shp2 phosphatase inhibitors

Family Cites Families (3)

* Cited by examiner, † Cited by third party
Publication number Priority date Publication date Assignee Title
WO2013118817A1 (ja) * 2012-02-07 2013-08-15 大鵬薬品工業株式会社 キノリルピロロピリミジン化合物又はその塩
TWI623316B (zh) * 2015-12-22 2018-05-11 Taiho Pharmaceutical Co Ltd Antitumor effect enhancer derived from pyrrolopyrimidine compound
WO2022014639A1 (ja) 2020-07-15 2022-01-20 大鵬薬品工業株式会社 Egfr阻害剤

Patent Citations (72)

* Cited by examiner, † Cited by third party
Publication number Priority date Publication date Assignee Title
WO1990005719A1 (en) 1988-11-23 1990-05-31 British Bio-Technology Limited Hydroxamic acid based collagenase inhibitors
WO1992005179A1 (en) 1990-09-19 1992-04-02 American Home Products Corporation Carboxylic acid esters of rapamycin
US5120842B1 (enExample) 1991-04-01 1993-07-06 A Failli Amedeo
US5120842A (en) 1991-04-01 1992-06-09 American Home Products Corporation Silyl ethers of rapamycin
US5100883A (en) 1991-04-08 1992-03-31 American Home Products Corporation Fluorinated esters of rapamycin
US5118678A (en) 1991-04-17 1992-06-02 American Home Products Corporation Carbamates of rapamycin
US5118677A (en) 1991-05-20 1992-06-02 American Home Products Corporation Amide esters of rapamycin
US5151413A (en) 1991-11-06 1992-09-29 American Home Products Corporation Rapamycin acetals as immunosuppressant and antifungal agents
WO1993011130A1 (en) 1991-12-03 1993-06-10 Smithkline Beecham Plc Rapamycin derivative and its medicinal use
WO1994002485A1 (en) 1992-07-17 1994-02-03 Smithkline Beecham Corporation Rapamycin derivatives
WO1994002136A1 (en) 1992-07-17 1994-02-03 Smithkline Beecham Corporation Rapamycin derivatives
US5256790A (en) 1992-08-13 1993-10-26 American Home Products Corporation 27-hydroxyrapamycin and derivatives thereof
WO1994009010A1 (en) 1992-10-09 1994-04-28 Sandoz Ltd. O-alkylated rapamycin derivatives and their use, particularly as immunosuppressants
US5258389A (en) 1992-11-09 1993-11-02 Merck & Co., Inc. O-aryl, O-alkyl, O-alkenyl and O-alkynylrapamycin derivatives
US5728813A (en) 1992-11-13 1998-03-17 Immunex Corporation Antibodies directed against elk ligand
EP0606046A1 (en) 1993-01-06 1994-07-13 Ciba-Geigy Ag Arylsulfonamido-substituted hydroxamic acids
US5969110A (en) 1993-08-20 1999-10-19 Immunex Corporation Antibodies that bind hek ligands
WO1995014023A1 (en) 1993-11-19 1995-05-26 Abbott Laboratories Semisynthetic analogs of rapamycin (macrolides) being immunomodulators
WO1995016691A1 (en) 1993-12-17 1995-06-22 Sandoz Ltd. Rapamycin derivatives useful as immunosuppressants
US5981245A (en) 1994-04-15 1999-11-09 Amgen Inc. EPH-like receptor protein tyrosine kinases
US6596852B2 (en) 1994-07-08 2003-07-22 Immunex Corporation Antibodies that bind the cytokine designated LERK-5
US6232447B1 (en) 1994-10-05 2001-05-15 Immunex Corporation Antibody immunoreactive with a human cytokine designated LERK-6
US6057124A (en) 1995-01-27 2000-05-02 Amgen Inc. Nucleic acids encoding ligands for HEK4 receptors
US5863949A (en) 1995-03-08 1999-01-26 Pfizer Inc Arylsulfonylamino hydroxamic acid derivatives
WO1996027583A1 (en) 1995-03-08 1996-09-12 Pfizer Inc. Arylsulfonylamino hydroxamic acid derivatives
US5861510A (en) 1995-04-20 1999-01-19 Pfizer Inc Arylsulfonyl hydroxamic acid derivatives as MMP and TNF inhibitors
WO1996033172A1 (en) 1995-04-20 1996-10-24 Pfizer Inc. Arylsulfonyl hydroxamic acid derivatives as mmp and tnf inhibitors
WO1996041807A1 (en) 1995-06-09 1996-12-27 Novartis Ag Rapamycin derivatives
EP0780386A1 (en) 1995-12-20 1997-06-25 F. Hoffmann-La Roche Ag Matrix metalloprotease inhibitors
WO1998002441A2 (en) 1996-07-12 1998-01-22 Ariad Pharmaceuticals, Inc. Non immunosuppressive antifungal rapalogs
WO1998003516A1 (en) 1996-07-18 1998-01-29 Pfizer Inc. Phosphinate based inhibitors of matrix metalloproteases
WO1998007697A1 (en) 1996-08-23 1998-02-26 Pfizer Inc. Arylsulfonylamino hydroxamic acid derivatives
WO1998030566A1 (en) 1997-01-06 1998-07-16 Pfizer Inc. Cyclic sulfone derivatives
WO1998033768A1 (en) 1997-02-03 1998-08-06 Pfizer Products Inc. Arylsulfonylamino hydroxamic acid derivatives
WO1998034915A1 (en) 1997-02-07 1998-08-13 Pfizer Inc. N-hydroxy-beta-sulfonyl-propionamide derivatives and their use as inhibitors of matrix metalloproteinases
WO1998034918A1 (en) 1997-02-11 1998-08-13 Pfizer Inc. Arylsulfonyl hydroxamic acid derivatives
US6656963B2 (en) 1997-05-30 2003-12-02 The Regents Of The University Of California Indole-3-carbinol (I3C) derivatives and methods
WO1999007675A1 (en) 1997-08-08 1999-02-18 Pfizer Products Inc. Aryloxyarylsulfonylamino hydroxamic acid derivatives
WO1999029667A1 (en) 1997-12-05 1999-06-17 Pfizer Limited Hydroxamic acid derivatives as matrix metalloprotease (mmp) inhibitors
EP0931788A2 (en) 1998-01-27 1999-07-28 Pfizer Limited Metalloprotease inhibitors
WO1999052889A1 (en) 1998-04-10 1999-10-21 Pfizer Products Inc. (4-arylsulfonylamino)-tetrahydropyran-4-carboxylic acid hydroxamides
WO1999052910A1 (en) 1998-04-10 1999-10-21 Pfizer Products Inc. Bicyclic hydroxamic acid derivatives
EP1004578A2 (en) 1998-11-05 2000-05-31 Pfizer Products Inc. 5-oxo-pyrrolidine-2-carboxylic acid hydroxamide derivatives
EP1181017A1 (en) 1999-06-03 2002-02-27 Pfizer Limited Metalloprotease inhibitors
US6413932B1 (en) 1999-06-07 2002-07-02 Immunex Corporation Tek antagonists comprising soluble tek extracellular binding domain
US20030162712A1 (en) 1999-06-07 2003-08-28 Immunex Corporation Tek antagonists
WO2001014387A1 (en) 1999-08-24 2001-03-01 Ariad Gene Therapeutics, Inc. 28-epirapalogs
US6727225B2 (en) 1999-12-20 2004-04-27 Immunex Corporation TWEAK receptor
US20020042368A1 (en) 2000-02-25 2002-04-11 Fanslow William C. Integrin antagonists
WO2005005434A1 (en) 2003-07-08 2005-01-20 Novartis Ag Use of rapamycin and rapamycin derivatives for the treatment of bone loss
WO2005016252A2 (en) 2003-07-11 2005-02-24 Ariad Gene Therapeutics, Inc. Phosphorus-containing macrocycles
WO2005011700A1 (en) 2003-07-29 2005-02-10 Smithkline Beecham Corporation INHIBITORS OF Akt ACTIVITY
EP1786785A2 (en) 2004-08-26 2007-05-23 Pfizer, Inc. Enantiomerically pure aminoheteroaryl compounds as protein kinase inhibitors
WO2006044453A1 (en) 2004-10-13 2006-04-27 Wyeth Analogs of 17-hydroxywortmannin as pi3k inhibitors
WO2006122806A2 (en) 2005-05-20 2006-11-23 Novartis Ag 1,3-dihydro-imidazo [4,5-c] quinolin-2-ones as lipid kinase inhibitors
US20090012085A1 (en) 2005-09-20 2009-01-08 Charles Michael Baum Dosage forms and methods of treatment using a tyrosine kinase inhibitor
JP2009518434A (ja) * 2005-12-08 2009-05-07 アボット・ラボラトリーズ タンパク質キナーゼ阻害薬としての9員ヘテロ二環式化合物
WO2009036082A2 (en) 2007-09-12 2009-03-19 Genentech, Inc. Combinations of phosphoinositide 3-kinase inhibitor compounds and chemotherapeutic agents, and methods of use
WO2009055730A1 (en) 2007-10-25 2009-04-30 Genentech, Inc. Process for making thienopyrimidine compounds
WO2010065898A2 (en) * 2008-12-05 2010-06-10 Principia Biopharma Inc. Egfr kinase knockdown via electrophilically enhanced inhibitors
WO2012137870A1 (ja) 2011-04-06 2012-10-11 大鵬薬品工業株式会社 新規イミダゾオキサジン化合物又はその塩
WO2013108809A1 (ja) * 2012-01-19 2013-07-25 大鵬薬品工業株式会社 3,5-二置換ベンゼンアルキニル化合物及びその塩
WO2015022926A1 (ja) * 2013-08-12 2015-02-19 大鵬薬品工業株式会社 新規な縮合ピリミジン化合物又はその塩
WO2015035223A1 (en) 2013-09-09 2015-03-12 Peloton Therapeutics, Inc. Aryl ethers and uses thereof
WO2017038838A1 (ja) 2015-09-01 2017-03-09 大鵬薬品工業株式会社 新規なピラゾロ[3,4-d]ピリミジン化合物又はその塩
WO2017146116A1 (ja) 2016-02-23 2017-08-31 大鵬薬品工業株式会社 新規縮合ピリミジン化合物又はその塩
JP2019514869A (ja) * 2016-04-19 2019-06-06 ザ・リージエンツ・オブ・ザ・ユニバーシテイー・オブ・カリフオルニア ErbB阻害剤及びその使用
WO2019167000A1 (en) 2018-03-02 2019-09-06 Otsuka Pharmaceutical Co., Ltd. Pharmaceutical compounds
WO2020022323A1 (en) 2018-07-24 2020-01-30 Taiho Pharmaceutical Co., Ltd. Heterobicyclic compounds for inhibiting the activity of shp2
WO2020145374A1 (ja) * 2019-01-11 2020-07-16 大鵬薬品工業株式会社 ピリミジン化合物又はその塩
JP2020121733A (ja) 2019-01-29 2020-08-13 凸版印刷株式会社 チューブ容器
WO2021033153A1 (en) 2019-08-20 2021-02-25 Otsuka Pharmaceutical Co., Ltd. Pyrazolo[3,4-b]pyrazine shp2 phosphatase inhibitors

Non-Patent Citations (39)

* Cited by examiner, † Cited by third party
Title
"lyakuhin no Kaihatsu (Development of Pharmaceutical Products", vol. 7, 1990, HIROKAWA SHOTEN
BARNETT ET AL., BIOCHEM. J., vol. 385, 2005, pages 399 - 408
BIOLOGICS., vol. 2, 2008, pages 61 - 65
BREAST CANCER RESEARCH, vol. 18, no. 1, 2016, pages 1 - 9
BUNSHI SEKKEI (MOLECULAR DESIGNING, pages 163 - 198
CANCER TREATMENT REVIEWS, vol. 40, 2014, pages 770 - 780
CHOU: "Talalay method", ADV. ENZYME REGUL, vol. 22, 1984, pages 27 - 55
CLIN CANCER RES., vol. 13, 2007, pages 4628 - 4631
CURRENT ONCOLOGY, vol. 25, 2018, pages 103 - S 114
DASMAHAPATRA ET AL., CLIN. CANCER RES., vol. 10, no. 15, 2004, pages 5242 - 52
GILLSDENNIS, EXPERT. OPIN. INVESTIG. DRUGS, vol. 13, 2004, pages 787 - 97
GOLDSTEIN ET AL., CLIN. CANCER RES., vol. 1, 1995, pages 1311 - 1318
HUANG, S. M. ET AL., CANCER RES., vol. 59, no. 8, 1999, pages 1236 - 1243
J. NATL. CANCER INST., vol. 96, 2004, pages 739 - 749
JIN ET AL., BR. J. CANCER, vol. 91, 2004, pages 1808 - 12
JOURNAL OF CLINICAL ONCOLOGY, vol. 26, 2008, pages 1993 - 1999
JOURNAL OF CLINICAL ONCOLOGY, vol. 28, 2010, pages 1301 - 1307
JOURNAL OF CLINICAL ONCOLOGY, vol. 34, 2016, pages 945 - 952
JOURNAL OF MEDICINAL CHEMISTRY, vol. 26, 2008, pages 2999 - 3005
JOURNAL OF MEDICINAL CHEMISTRY, vol. 59, 2016, pages 10030 - 10066
LANCET ONCOL, vol. 16, 2015, pages 830 - 838
MODJTAHEDI, H. ET AL., BR. J. CANCER, vol. 67, 1993, pages 247 - 253
MOL. CANCER THER., vol. 9, 2010, pages 1198 - 1207
N. ENGL. J. MED., vol. 344, 2001, pages 783 - 792
NAT. REV. CANCER., vol. 6, 2006, pages 803 - 812
NAT. REV. CANCER., vol. 7, 2007, pages 169 - 181
NATURE MEDICINE., vol. 19, 2013, pages 1389 - 1400
NEOPLASIA, vol. 17, 2015, pages 190 - 200
NOBUO IZUMIYA ET AL.: "Peptide Gosei no Kiso to Jikken (Principle of Peptide Synthesis and Experiments", 1983, MARUZEN CO., LTD.
ONCOL. REP., vol. 27, 2012, pages 1639 - 1645
PHARMACOL REV., vol. 58, no. 3, 2006, pages 621 - 81
PROC NATL ACAD SCI USA., vol. 106, 2009, pages 474 - 479
SARKARLI, J NUTR., vol. 134, no. 12, 2004, pages 3493S - 3498S
See also references of EP4183395A4
SIGNAL TRANSDUCT TARGET THER., vol. 4, no. 5, 2019, pages 1 - 10
T. W. GREENEP. G. M. WUTS: "Protective Groups in Organic Synthesis third edition", 1981, JOHN WILEY & SONS
TERAMOTO, T. ET AL., CANCER, vol. 77, 1996, pages 639 - 645
XIE H ET AL., PLOS ONE, vol. 6, no. 7, 2011, pages e21487
YANG ET AL., CANCER RES., vol. 64, pages 4394 - 9

Cited By (2)

* Cited by examiner, † Cited by third party
Publication number Priority date Publication date Assignee Title
JPWO2022014638A1 (enExample) * 2020-07-15 2022-01-20
JP7391226B2 (ja) 2020-07-15 2023-12-04 大鵬薬品工業株式会社 ピリミジン化合物の結晶

Also Published As

Publication number Publication date
TW202216151A (zh) 2022-05-01
KR20230031926A (ko) 2023-03-07
EP4183395A4 (en) 2024-07-24
AU2021308045A1 (en) 2023-02-23
EP4183395A1 (en) 2023-05-24
JPWO2022014640A1 (enExample) 2022-01-20
US20230255972A1 (en) 2023-08-17
AU2021308045B2 (en) 2024-06-20
JP7373664B2 (ja) 2023-11-02

Similar Documents

Publication Publication Date Title
CN119462822B (zh) Ras抑制剂
KR102873219B1 (ko) Egfr 저해제
JP2024517845A (ja) がん治療のためのras阻害剤
KR20230067635A (ko) 암의 치료에서 ras 억제제로서 인돌 유도체
EP4076493A1 (en) Macrocyclic peptides as potent inhibitors of k-ras g12d mutant
JP6783974B1 (ja) ピリミジン化合物又はその塩
CN120504682A (zh) 大环ras抑制剂
JP7373664B2 (ja) 腫瘍の治療に使用されるピリミジン化合物を含む組み合わせ
US20240238300A1 (en) Treatment methods for subjects with cancer having an aberration in egfr and/or her2
RU2827100C1 (ru) Комбинация, содержащая пиримидиновое соединение, для применения в лечении опухолей
RU2817044C1 (ru) Ингибитор egfr
RU2787992C1 (ru) Пиримидиновое соединение или его соль
HK40090490A (zh) Egfr抑制剂
BR122024008319A2 (pt) Composto pirimidina, composição farmacêutica e agente antitumoral que compreendem o mesmo e usos do dito composto para o tratamento de tumor

Legal Events

Date Code Title Description
121 Ep: the epo has been informed by wipo that ep was designated in this application

Ref document number: 21841448

Country of ref document: EP

Kind code of ref document: A1

ENP Entry into the national phase

Ref document number: 2022536420

Country of ref document: JP

Kind code of ref document: A

ENP Entry into the national phase

Ref document number: 20237003587

Country of ref document: KR

Kind code of ref document: A

NENP Non-entry into the national phase

Ref country code: DE

ENP Entry into the national phase

Ref document number: 2021308045

Country of ref document: AU

Date of ref document: 20210714

Kind code of ref document: A

ENP Entry into the national phase

Ref document number: 2021841448

Country of ref document: EP

Effective date: 20230215

WWR Wipo information: refused in national office

Ref document number: 1020237003587

Country of ref document: KR