WO2014196585A1 - 発光材料、有機発光素子および化合物 - Google Patents
発光材料、有機発光素子および化合物 Download PDFInfo
- Publication number
- WO2014196585A1 WO2014196585A1 PCT/JP2014/064905 JP2014064905W WO2014196585A1 WO 2014196585 A1 WO2014196585 A1 WO 2014196585A1 JP 2014064905 W JP2014064905 W JP 2014064905W WO 2014196585 A1 WO2014196585 A1 WO 2014196585A1
- Authority
- WO
- WIPO (PCT)
- Prior art keywords
- group
- general formula
- substituted
- light emitting
- unsubstituted
- Prior art date
- Legal status (The legal status is an assumption and is not a legal conclusion. Google has not performed a legal analysis and makes no representation as to the accuracy of the status listed.)
- Ceased
Links
- 0 C*c(c(*C)c(*)c(*)c1*2C)c1-c1c2c(*O)c(*)c(*)c1** Chemical compound C*c(c(*C)c(*)c(*)c1*2C)c1-c1c2c(*O)c(*)c(*)c1** 0.000 description 6
- XZCJVWCMJYNSQO-UHFFFAOYSA-N CC(C)(C)c(cc1)ccc1-c1nnc(-c(cc2)ccc2-c2ccccc2)[o]1 Chemical compound CC(C)(C)c(cc1)ccc1-c1nnc(-c(cc2)ccc2-c2ccccc2)[o]1 XZCJVWCMJYNSQO-UHFFFAOYSA-N 0.000 description 1
- LWKOVLPVKZBGJJ-UHFFFAOYSA-N CC(C1)C=CC=C1C1=C(c2ccccc2)[Si](C)(CI)C(c2ccccc2)=C1c1ccccc1 Chemical compound CC(C1)C=CC=C1C1=C(c2ccccc2)[Si](C)(CI)C(c2ccccc2)=C1c1ccccc1 LWKOVLPVKZBGJJ-UHFFFAOYSA-N 0.000 description 1
Images
Classifications
-
- C—CHEMISTRY; METALLURGY
- C07—ORGANIC CHEMISTRY
- C07D—HETEROCYCLIC COMPOUNDS
- C07D471/00—Heterocyclic compounds containing nitrogen atoms as the only ring hetero atoms in the condensed system, at least one ring being a six-membered ring with one nitrogen atom, not provided for by groups C07D451/00 - C07D463/00
- C07D471/02—Heterocyclic compounds containing nitrogen atoms as the only ring hetero atoms in the condensed system, at least one ring being a six-membered ring with one nitrogen atom, not provided for by groups C07D451/00 - C07D463/00 in which the condensed system contains two hetero rings
- C07D471/04—Ortho-condensed systems
-
- C—CHEMISTRY; METALLURGY
- C07—ORGANIC CHEMISTRY
- C07D—HETEROCYCLIC COMPOUNDS
- C07D403/00—Heterocyclic compounds containing two or more hetero rings, having nitrogen atoms as the only ring hetero atoms, not provided for by group C07D401/00
- C07D403/02—Heterocyclic compounds containing two or more hetero rings, having nitrogen atoms as the only ring hetero atoms, not provided for by group C07D401/00 containing two hetero rings
- C07D403/10—Heterocyclic compounds containing two or more hetero rings, having nitrogen atoms as the only ring hetero atoms, not provided for by group C07D401/00 containing two hetero rings linked by a carbon chain containing aromatic rings
-
- C—CHEMISTRY; METALLURGY
- C07—ORGANIC CHEMISTRY
- C07D—HETEROCYCLIC COMPOUNDS
- C07D413/00—Heterocyclic compounds containing two or more hetero rings, at least one ring having nitrogen and oxygen atoms as the only ring hetero atoms
- C07D413/02—Heterocyclic compounds containing two or more hetero rings, at least one ring having nitrogen and oxygen atoms as the only ring hetero atoms containing two hetero rings
- C07D413/10—Heterocyclic compounds containing two or more hetero rings, at least one ring having nitrogen and oxygen atoms as the only ring hetero atoms containing two hetero rings linked by a carbon chain containing aromatic rings
-
- C—CHEMISTRY; METALLURGY
- C07—ORGANIC CHEMISTRY
- C07D—HETEROCYCLIC COMPOUNDS
- C07D417/00—Heterocyclic compounds containing two or more hetero rings, at least one ring having nitrogen and sulfur atoms as the only ring hetero atoms, not provided for by group C07D415/00
- C07D417/02—Heterocyclic compounds containing two or more hetero rings, at least one ring having nitrogen and sulfur atoms as the only ring hetero atoms, not provided for by group C07D415/00 containing two hetero rings
- C07D417/10—Heterocyclic compounds containing two or more hetero rings, at least one ring having nitrogen and sulfur atoms as the only ring hetero atoms, not provided for by group C07D415/00 containing two hetero rings linked by a carbon chain containing aromatic rings
-
- C—CHEMISTRY; METALLURGY
- C07—ORGANIC CHEMISTRY
- C07D—HETEROCYCLIC COMPOUNDS
- C07D487/00—Heterocyclic compounds containing nitrogen atoms as the only ring hetero atoms in the condensed system, not provided for by groups C07D451/00 - C07D477/00
- C07D487/02—Heterocyclic compounds containing nitrogen atoms as the only ring hetero atoms in the condensed system, not provided for by groups C07D451/00 - C07D477/00 in which the condensed system contains two hetero rings
- C07D487/04—Ortho-condensed systems
-
- C—CHEMISTRY; METALLURGY
- C09—DYES; PAINTS; POLISHES; NATURAL RESINS; ADHESIVES; COMPOSITIONS NOT OTHERWISE PROVIDED FOR; APPLICATIONS OF MATERIALS NOT OTHERWISE PROVIDED FOR
- C09K—MATERIALS FOR MISCELLANEOUS APPLICATIONS, NOT PROVIDED FOR ELSEWHERE
- C09K11/00—Luminescent, e.g. electroluminescent, chemiluminescent materials
- C09K11/06—Luminescent, e.g. electroluminescent, chemiluminescent materials containing organic luminescent materials
-
- H—ELECTRICITY
- H05—ELECTRIC TECHNIQUES NOT OTHERWISE PROVIDED FOR
- H05B—ELECTRIC HEATING; ELECTRIC LIGHT SOURCES NOT OTHERWISE PROVIDED FOR; CIRCUIT ARRANGEMENTS FOR ELECTRIC LIGHT SOURCES, IN GENERAL
- H05B33/00—Electroluminescent light sources
- H05B33/12—Light sources with substantially two-dimensional radiating surfaces
- H05B33/14—Light sources with substantially two-dimensional radiating surfaces characterised by the chemical or physical composition or the arrangement of the electroluminescent material, or by the simultaneous addition of the electroluminescent material in or onto the light source
-
- H—ELECTRICITY
- H10—SEMICONDUCTOR DEVICES; ELECTRIC SOLID-STATE DEVICES NOT OTHERWISE PROVIDED FOR
- H10K—ORGANIC ELECTRIC SOLID-STATE DEVICES
- H10K85/00—Organic materials used in the body or electrodes of devices covered by this subclass
- H10K85/60—Organic compounds having low molecular weight
- H10K85/631—Amine compounds having at least two aryl rest on at least one amine-nitrogen atom, e.g. triphenylamine
- H10K85/636—Amine compounds having at least two aryl rest on at least one amine-nitrogen atom, e.g. triphenylamine comprising heteroaromatic hydrocarbons as substituents on the nitrogen atom
-
- H—ELECTRICITY
- H10—SEMICONDUCTOR DEVICES; ELECTRIC SOLID-STATE DEVICES NOT OTHERWISE PROVIDED FOR
- H10K—ORGANIC ELECTRIC SOLID-STATE DEVICES
- H10K85/00—Organic materials used in the body or electrodes of devices covered by this subclass
- H10K85/60—Organic compounds having low molecular weight
- H10K85/649—Aromatic compounds comprising a hetero atom
- H10K85/657—Polycyclic condensed heteroaromatic hydrocarbons
-
- H—ELECTRICITY
- H10—SEMICONDUCTOR DEVICES; ELECTRIC SOLID-STATE DEVICES NOT OTHERWISE PROVIDED FOR
- H10K—ORGANIC ELECTRIC SOLID-STATE DEVICES
- H10K85/00—Organic materials used in the body or electrodes of devices covered by this subclass
- H10K85/60—Organic compounds having low molecular weight
- H10K85/649—Aromatic compounds comprising a hetero atom
- H10K85/657—Polycyclic condensed heteroaromatic hydrocarbons
- H10K85/6572—Polycyclic condensed heteroaromatic hydrocarbons comprising only nitrogen in the heteroaromatic polycondensed ring system, e.g. phenanthroline or carbazole
-
- C—CHEMISTRY; METALLURGY
- C09—DYES; PAINTS; POLISHES; NATURAL RESINS; ADHESIVES; COMPOSITIONS NOT OTHERWISE PROVIDED FOR; APPLICATIONS OF MATERIALS NOT OTHERWISE PROVIDED FOR
- C09K—MATERIALS FOR MISCELLANEOUS APPLICATIONS, NOT PROVIDED FOR ELSEWHERE
- C09K2211/00—Chemical nature of organic luminescent or tenebrescent compounds
- C09K2211/10—Non-macromolecular compounds
- C09K2211/1003—Carbocyclic compounds
- C09K2211/1007—Non-condensed systems
-
- C—CHEMISTRY; METALLURGY
- C09—DYES; PAINTS; POLISHES; NATURAL RESINS; ADHESIVES; COMPOSITIONS NOT OTHERWISE PROVIDED FOR; APPLICATIONS OF MATERIALS NOT OTHERWISE PROVIDED FOR
- C09K—MATERIALS FOR MISCELLANEOUS APPLICATIONS, NOT PROVIDED FOR ELSEWHERE
- C09K2211/00—Chemical nature of organic luminescent or tenebrescent compounds
- C09K2211/10—Non-macromolecular compounds
- C09K2211/1003—Carbocyclic compounds
- C09K2211/1011—Condensed systems
-
- C—CHEMISTRY; METALLURGY
- C09—DYES; PAINTS; POLISHES; NATURAL RESINS; ADHESIVES; COMPOSITIONS NOT OTHERWISE PROVIDED FOR; APPLICATIONS OF MATERIALS NOT OTHERWISE PROVIDED FOR
- C09K—MATERIALS FOR MISCELLANEOUS APPLICATIONS, NOT PROVIDED FOR ELSEWHERE
- C09K2211/00—Chemical nature of organic luminescent or tenebrescent compounds
- C09K2211/10—Non-macromolecular compounds
- C09K2211/1003—Carbocyclic compounds
- C09K2211/1014—Carbocyclic compounds bridged by heteroatoms, e.g. N, P, Si or B
-
- C—CHEMISTRY; METALLURGY
- C09—DYES; PAINTS; POLISHES; NATURAL RESINS; ADHESIVES; COMPOSITIONS NOT OTHERWISE PROVIDED FOR; APPLICATIONS OF MATERIALS NOT OTHERWISE PROVIDED FOR
- C09K—MATERIALS FOR MISCELLANEOUS APPLICATIONS, NOT PROVIDED FOR ELSEWHERE
- C09K2211/00—Chemical nature of organic luminescent or tenebrescent compounds
- C09K2211/10—Non-macromolecular compounds
- C09K2211/1018—Heterocyclic compounds
- C09K2211/1025—Heterocyclic compounds characterised by ligands
- C09K2211/1029—Heterocyclic compounds characterised by ligands containing one nitrogen atom as the heteroatom
-
- C—CHEMISTRY; METALLURGY
- C09—DYES; PAINTS; POLISHES; NATURAL RESINS; ADHESIVES; COMPOSITIONS NOT OTHERWISE PROVIDED FOR; APPLICATIONS OF MATERIALS NOT OTHERWISE PROVIDED FOR
- C09K—MATERIALS FOR MISCELLANEOUS APPLICATIONS, NOT PROVIDED FOR ELSEWHERE
- C09K2211/00—Chemical nature of organic luminescent or tenebrescent compounds
- C09K2211/10—Non-macromolecular compounds
- C09K2211/1018—Heterocyclic compounds
- C09K2211/1025—Heterocyclic compounds characterised by ligands
- C09K2211/1044—Heterocyclic compounds characterised by ligands containing two nitrogen atoms as heteroatoms
-
- C—CHEMISTRY; METALLURGY
- C09—DYES; PAINTS; POLISHES; NATURAL RESINS; ADHESIVES; COMPOSITIONS NOT OTHERWISE PROVIDED FOR; APPLICATIONS OF MATERIALS NOT OTHERWISE PROVIDED FOR
- C09K—MATERIALS FOR MISCELLANEOUS APPLICATIONS, NOT PROVIDED FOR ELSEWHERE
- C09K2211/00—Chemical nature of organic luminescent or tenebrescent compounds
- C09K2211/10—Non-macromolecular compounds
- C09K2211/1018—Heterocyclic compounds
- C09K2211/1025—Heterocyclic compounds characterised by ligands
- C09K2211/1044—Heterocyclic compounds characterised by ligands containing two nitrogen atoms as heteroatoms
- C09K2211/1048—Heterocyclic compounds characterised by ligands containing two nitrogen atoms as heteroatoms with oxygen
-
- H—ELECTRICITY
- H10—SEMICONDUCTOR DEVICES; ELECTRIC SOLID-STATE DEVICES NOT OTHERWISE PROVIDED FOR
- H10K—ORGANIC ELECTRIC SOLID-STATE DEVICES
- H10K50/00—Organic light-emitting devices
- H10K50/10—OLEDs or polymer light-emitting diodes [PLED]
- H10K50/11—OLEDs or polymer light-emitting diodes [PLED] characterised by the electroluminescent [EL] layers
Definitions
- the present invention relates to a compound useful as a light emitting material and an organic light emitting device using the compound.
- organic light emitting devices such as organic electroluminescence devices (organic EL devices)
- organic electroluminescence devices organic electroluminescence devices
- various efforts have been made to increase the light emission efficiency by newly developing and combining electron transport materials, hole transport materials, light emitting materials, and the like constituting the organic electroluminescence element.
- research on organic electroluminescent devices using compounds having a structure in which a phenylene group is bonded to a fused heteroaromatic ring can also be seen.
- Patent Document 1 describes an example in which a compound represented by the following general formula is used as a host material in a light emitting layer existing between a pair of electrodes constituting an organic electroluminescence element.
- R 1 to R 5 in the following general formula are a hydrogen atom, an alkyl group or an aryl group, ⁇ is an arylene group, Ar 1 is an aryl group, A is a diarylaminoaryl group, a substituted carbazol-3-yl Group or a carbazol-9-ylaryl group.
- Patent Document 1 does not describe an example showing the usefulness of the compound represented by the following general formula as a light-emitting material, and Ar 1 and A in the following general formula are bonded to each other. There is also no description of compounds that form cyclic structures.
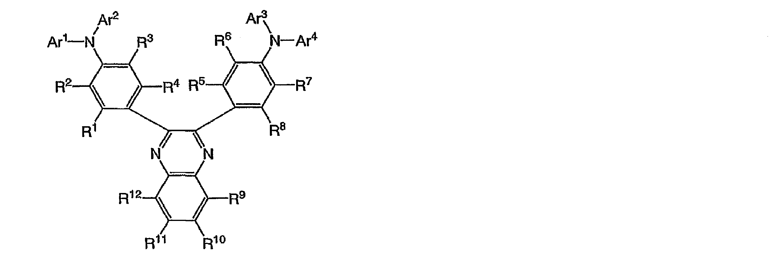
- Patent Document 2 describes an example in which a compound represented by the following general formula is used as a light emitting material in a light emitting layer existing between a pair of electrodes constituting an organic electroluminescent element.
- R 1 to R 12 in the following general formula are hydrogen atom, halogen atom, lower alkyl group, alkoxy group, acyl group, nitro group, cyano group, amino group, dialkylamino group, diarylamino group, vinyl group, aryl group or It is a heteroaryl group, and Ar 1 to Ar 4 are defined to represent an aryl group or a heteroaryl group.
- the invention described in Patent Document 2 is an invention related to a symmetric compound in which a common diarylphenyl group is substituted at the 2-position and 3-position of the quinoxaline ring, and the utility of other compounds is not described. Absent.
- Patent Document 3 describes an example in which a compound represented by the following general formula is used as a hole transport material in a hole transport layer existing between a pair of electrodes constituting an organic electroluminescence element. ing.
- R 1 , R 2 , R 4 to R 7 are a hydrogen atom, a halogen atom, an alkyl group, an alkoxy group, an aryl group or a heteroaryl group
- R 3 is a hydrogen atom, a halogen atom, an alkyl group
- An alkoxy group, R 8 and R 9 are a halogen atom, an alkyl group, an alkoxy group or an aryl group
- Ar is an aryl group
- a and B are heteroaryl groups having a C ⁇ N bond
- X 1 and X 2 are carbon atoms or nitrogen atoms
- m and n are 0 or 1
- p and q are defined to represent any integer of 0 to 4.
- Patent Document 3 is an invention relating to a compound in which a diarylamino group is bonded to the 2-position of the carbazole ring, and the utility of other compounds is not described. Also, no examples showing the usefulness of the compounds represented by the following general formulas as light emitting materials are described.
- the present inventors have further investigated the usefulness of a compound having a structure in which a phenylene group is bonded to a fused heteroaromatic ring as a luminescent material, and found a compound having excellent luminescent properties.
- the research was repeated aiming at.
- the general formula of the compound useful as a luminescent material was derived, and the earnest examination was advanced for the purpose of generalizing the structure of the organic light emitting element with high luminous efficiency.
- the present inventors have found that a compound having a specific structure has excellent properties as a light emitting material.
- a group of compounds is useful as a delayed fluorescent material, and it has been clarified that an organic light-emitting device having high emission efficiency can be provided at low cost. Based on these findings, the present inventors have provided the following present invention as means for solving the above problems.
- a light emitting material comprising a compound represented by the following general formula (1).
- 1 to 4 of A 1 to A 7 represent N, and the rest each independently represents CR.
- R represents a non-aromatic group.
- Ar 1 to Ar 3 each independently represents a substituted or unsubstituted arylene group.
- Z represents a single bond or a linking group.
- 1 to 4 of A 1 to A 7 represent N, and the rest each independently represents CR.
- R represents a non-aromatic group.
- Ar 1 represents a substituted or unsubstituted arylene group.
- R 11 to R 14 and R 17 to R 20 each independently represents a hydrogen atom or a substituent.
- R 11 and R 12 , R 12 and R 13 , R 13 and R 14 , R 17 and R 18 , R 18 and R 19 , and R 19 and R 20 may be bonded to each other to form a cyclic structure.
- Z 1 represents a single bond or a linking group having 1 or 2 linking chain long atoms.
- R represents a non-aromatic group.
- Ar 1 represents a substituted or unsubstituted arylene group.
- Y represents a substituted or unsubstituted carbazol-9-yl group, a substituted or unsubstituted 10H-phenoxazin-10-yl group, a substituted or unsubstituted 10H-phenothiazin-10-yl group, or a substituted or unsubstituted 10H -Represents a phenazin-5-yl group.
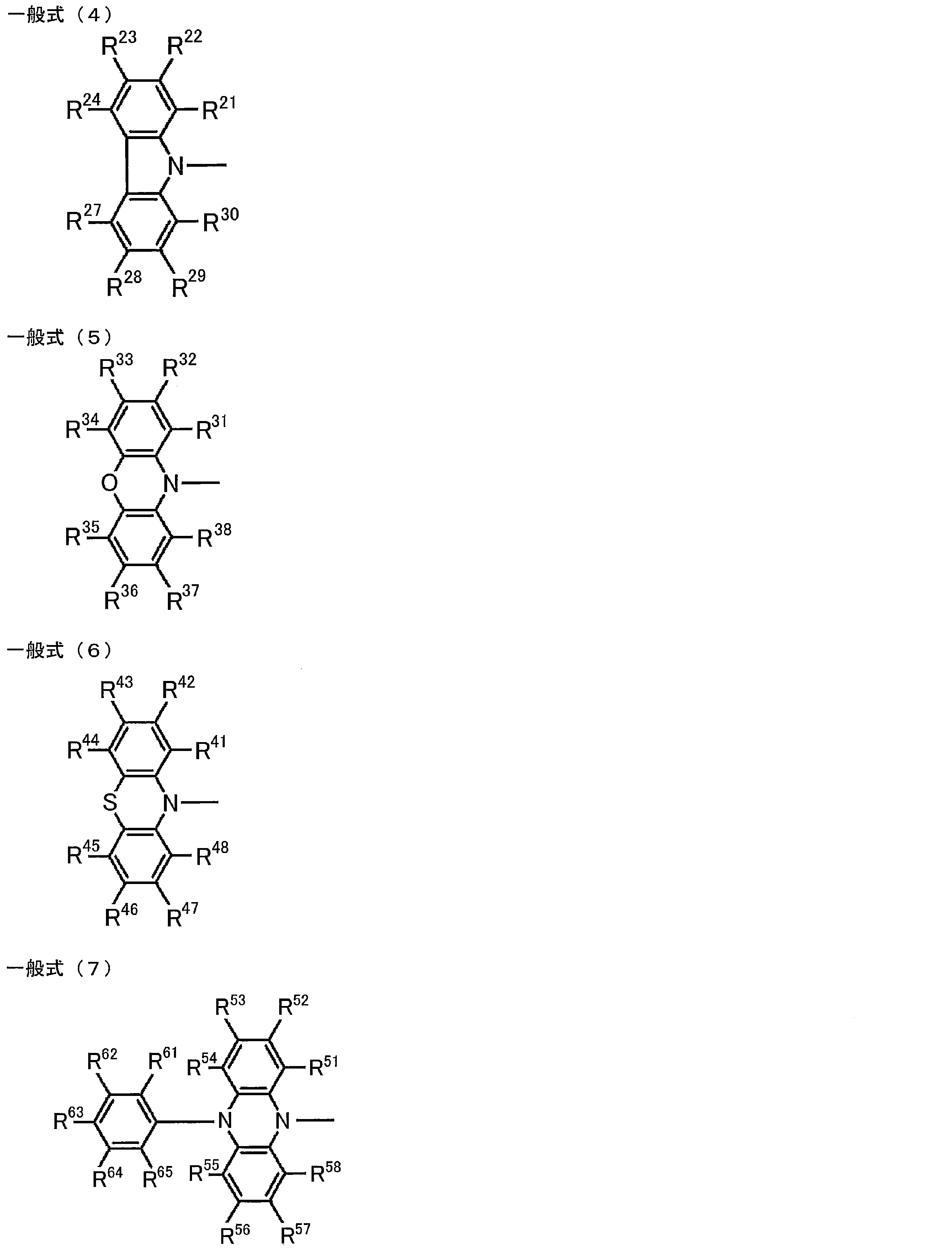
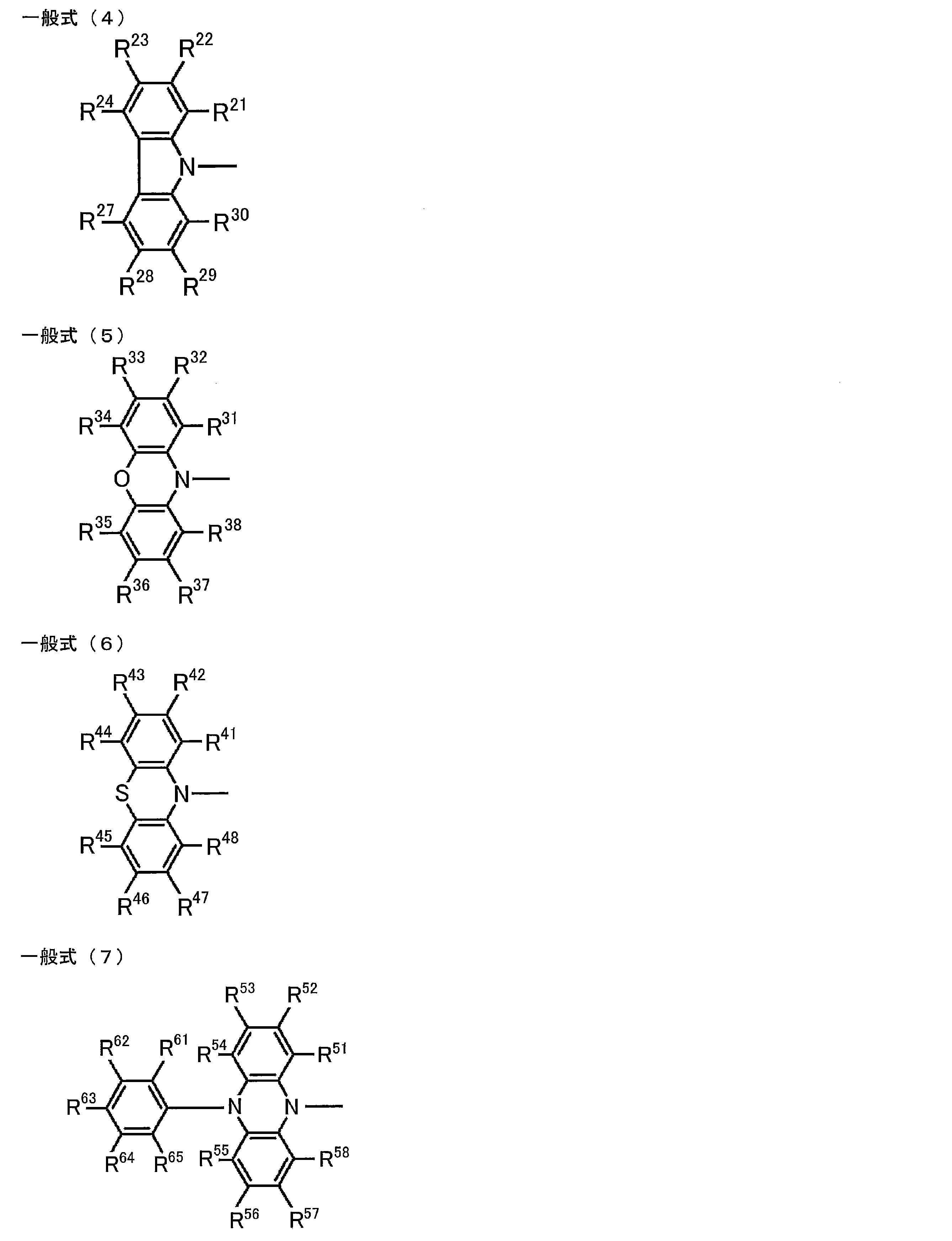
- Y in the general formula (3) is a group represented by any one of the following general formulas (4) to (7).
- R 21 to R 24 , R 27 to R 38 , R 41 to R 48 , R 51 to R 58 , R 61 to R 65 are each independently a hydrogen atom or a substituent. Represents a group.
- R 21 and R 22 , R 22 and R 23 , R 23 and R 24 , R 27 and R 28 , R 28 and R 29 , R 29 and R 30 , R 31 and R 32 , R 32 and R 33 , R 33 And R 34 , R 35 and R 36 , R 36 and R 37 , R 37 and R 38 , R 41 and R 42 , R 42 and R 43 , R 43 and R 44 , R 45 and R 46 , R 46 and R 47 , R 47 and R 48 , R 51 and R 52 , R 52 and R 53 , R 53 and R 54 , R 55 and R 56 , R 56 and R 57 , R 57 and R 58 , R 61 and R 62 , R 62 and R 63 , R 63 and R 64 , R 64 and R 65 , R 54 and R 61 , and R 55 and R 65 may be bonded to each other to form a cyclic structure.
- Y in the general formula (3) is a group represented by the following general formula (8).
- R 21 ′ to R 24 ′ and R 27 ′ to R 30 each independently represents a hydrogen atom or a substituent, and at least one of R 23 ′ and R 28 ′ is a substituent. is there.
- R 21 ' and R 22' , R 22 ' and R 23' , R 23 ' and R 24' , R 27 ' and R 28' , R 28 ' and R 29' , R 29 ' and R 30' are bonded to each other Thus, a ring structure may be formed.
- R 23 ′ and R 28 ′ are a substituted or unsubstituted diarylamino group or a substituted or unsubstituted carbazol-9-yl group [ 5].
- Y in the general formula (3) is a group represented by the general formula (5).
- a delayed phosphor comprising the compound represented by the general formula (1).
- An organic light emitting device comprising the light emitting material according to any one of [1] to [7].
- the organic light-emitting device according to [9] which emits delayed fluorescence.
- the compound represented by the general formula (1) is useful as a light emitting material.
- the compound represented by the general formula (1) includes those that emit delayed fluorescence.
- An organic light emitting device using the compound of the present invention as a light emitting material can realize high luminous efficiency.
- FIG. 2 is an absorption / emission spectrum of Compound 1 of Example 1.
- 2 is a transient attenuation curve of the organic photoluminescence element of Example 1.
- FIG. 2 is an absorption / emission spectrum of Compound 2 of Example 2.
- 6 is a transient attenuation curve of the organic photoluminescence device of Example 2.
- 2 is an absorption / emission spectrum of Compound 3 of Example 3.
- 6 is a transient attenuation curve of the organic photoluminescence device of Example 3.
- 6 is an emission spectrum of the organic electroluminescence device of Example 4.
- FIG. 6 is a current density-voltage characteristic of the organic electroluminescence element of Example 4.
- FIG. 4 is a current density-external quantum efficiency characteristic of the organic electroluminescence element of Example 4.
- FIG. 6 is an emission spectrum of the organic electroluminescence element of Example 5. 6 is a current density-voltage characteristic of the organic electroluminescence element of Example 5.
- FIG. 10 is a current density-external quantum efficiency characteristic of the organic electroluminescence element of Example 5.
- a numerical range represented by using “to” means a range including numerical values described before and after “to” as a lower limit value and an upper limit value.
- the isotope species of the hydrogen atom present in the molecule of the compound used in the present invention is not particularly limited. For example, all the hydrogen atoms in the molecule may be 1 H, or a part or all of them are 2 H. (Deuterium D) may be used.
- the luminescent material of the present invention is characterized by comprising a compound represented by the following general formula (1).
- 1 to 4 of A 1 to A 7 represent N, and the rest each independently represents CR.
- the number of N among A 1 to A 7 is more preferably 1 to 3, and even more preferably 2.
- any one of A 1 to A 7 may be N, but preferably one of A 1 to A 3 is N It is.
- 2 to 4 of A 1 to A 7 are N, 2 to 4 N may be present in only one of the two rings, or N is present in both rings. May be.
- a 1 and A 2 When two of A 1 to A 7 are N, for example, A 1 and A 2 , A 1 and A 3 , A 2 and A 3 , A 4 and A 6 , A 4 and A 7 , A 1 And A 4 , A 1 and A 7 , A 2 and A 4 , A 2 and A 7 , A 2 and A 5 , and A 2 and A 6 .
- a preferred combination is a combination in which at least A 1 and A 3 are N.
- a 1 to A 7 other than N each independently represents CR.
- R represents a non-aromatic group. That is, A 1 to A 7 other than N are groups in which a non-aromatic group R is bonded to a carbon atom.
- the non-aromatic ring group here means a group having no aromatic ring or heteroaromatic ring.
- Non-aromatic groups which R can take include, for example, a hydroxy group, a halogen atom, an alkyl group having 1 to 20 carbon atoms, an alkoxy group having 1 to 20 carbon atoms, an alkylthio group having 1 to 20 carbon atoms, and 2 to 10 carbon atoms.
- substituents are a substituted or unsubstituted alkyl group having 1 to 20 carbon atoms and an alkoxy group having 1 to 20 carbon atoms.
- More preferred substituents are a substituted or unsubstituted alkyl group having 1 to 10 carbon atoms and a substituted or unsubstituted alkoxy group having 1 to 10 carbon atoms.
- the alkyl group may be linear, branched or cyclic, and more preferably has 1 to 6 carbon atoms. Specific examples include a methyl group, an ethyl group, a propyl group, a butyl group, and tert-butyl. Group, pentyl group, hexyl group and isopropyl group.
- the alkoxy group may be linear, branched or cyclic, and more preferably has 1 to 6 carbon atoms. Specific examples thereof include methoxy group, ethoxy group, propoxy group, butoxy group, tert-butoxy group. A group, a pentyloxy group, a hexyloxy group, and an isopropyloxy group.
- Ar 1 to Ar 3 in the general formula (1) each independently represent a substituted or unsubstituted arylene group.
- the arylene group that Ar 1 to Ar 3 can take may be a monocyclic arylene group or a condensed ring arylene group. Specific examples include 1,2-phenylene group, 1,3-phenylene group, 1,4-phenylene group, 1,2-naphthylene group, 1,3-naphthylene group, 1,4-naphthylene group, 1,5- Examples thereof include a naphthylene group and a 1,8-naphthylene group.
- Ar 1 is preferably a 1,3-phenylene group, a 1,4-phenylene group, a 1,3-naphthylene group or a 1,4-naphthylene group, more preferably a 1,4-phenylene group or a 1,4-naphthylene group.
- the arylene group that Ar 1 may have may have a substituent.
- substituents include a hydroxy group, a halogen atom, an alkyl group having 1 to 20 carbon atoms, and an alkoxy group having 1 to 20 carbon atoms.
- An alkynyl group etc. are mentioned.
- substituents that can be substituted with a substituent may be further substituted. More preferred substituents are substituted or unsubstituted alkyl groups having 1 to 20 carbon atoms, alkoxy groups having 1 to 20 carbon atoms, substituted or unsubstituted aryl groups having 6 to 40 carbon atoms, and substituted groups having 3 to 40 carbon atoms. Or it is an unsubstituted heteroaryl group.
- substituents are substituted or unsubstituted alkyl groups having 1 to 10 carbon atoms, substituted or unsubstituted alkoxy groups having 1 to 10 carbon atoms, substituted or unsubstituted aryl groups having 6 to 15 carbon atoms, 3 to 12 substituted or unsubstituted heteroaryl groups.
- Ar 2 and Ar 3 are preferably a 1,2-phenylene group or a 1,2-naphthylene group, and more preferably a 1,2-phenylene group.
- the arylene group that Ar 2 and Ar 3 can have may have a substituent.
- substituents include a hydroxy group, a halogen atom, a cyano group, an alkyl group having 1 to 20 carbon atoms, and a carbon number.
- substituents are a halogen atom, a cyano group, a substituted or unsubstituted alkyl group having 1 to 20 carbon atoms, an alkoxy group having 1 to 20 carbon atoms, a substituted or unsubstituted aryl group having 6 to 40 carbon atoms, carbon A substituted or unsubstituted heteroaryl group having 3 to 40 carbon atoms, a substituted or unsubstituted dialkylamino group having 1 to 10 carbon atoms, a substituted or unsubstituted diarylamino group having 12 to 40 carbon atoms, and 12 to 40 carbon atoms A substituted or unsubstituted carbazolyl group; More preferred substituents are a fluorine atom, a chlorine atom, a cyano group, a substituted or unsubstituted alkyl group having 1 to 10
- an unsubstituted dialkylamino group a substituted or unsubstituted diarylamino group having 12 to 40 carbon atoms, a substituted or unsubstituted aryl group having 6 to 15 carbon atoms, and a substituted or unsubstituted heteroaryl group having 3 to 12 carbon atoms It is a group.
- the aryl group described as the above substituent may be a single ring or a condensed ring, and specific examples thereof include a phenyl group and a naphthyl group.
- the heteroaryl group may be a single ring or a condensed ring, and specific examples thereof include a pyridyl group, a pyridazyl group, a pyrimidyl group, a triazyl group, a triazolyl group, and a benzotriazolyl group.
- These heteroaryl groups may be a group bonded through a hetero atom or a group bonded through a carbon atom constituting a heteroaryl ring.
- Z represents a single bond or a linking group.
- Z is is for connecting the Ar 2 and Ar 3, by bonding atoms and Z other than bonded atoms to the nitrogen atom of the formula among the ring-constituting atoms of Ar 2 and Ar 3 (1)
- Z is bonded to the ⁇ -position atom or ⁇ -position atom of Ar 2 and Ar 3 bonded to the nitrogen atom, and the ⁇ -position atom and Z are bonded.
- Z is preferably a single bond or a linking group.
- the number of linking chain long atoms is preferably 1 or 2, and more preferably 1.
- linking group having 1 linking chain length atom examples include —O—, —S—, —C (R 1 ) (R 2 ) —, and —N (R 3 ) —.
- a linking group having two linking chain long atoms —C (R 4 ) (R 5 ) —C (R 6 ) (R 7 ) —, —C (R 8 ) ⁇ C (R 9 ) —
- R 1 to R 9 each independently represents a hydrogen atom or a substituent.
- the specific examples and preferred ranges exemplified as the substituent of the arylene group that Ar 2 and Ar 3 can take can be referred to.
- R 1 and R 2 , R 4 and R 5 , R 6 and R 7 , R 8 and R 9 may be the same or different from each other. Examples of the case where they are the same include a case where both are methyl groups and a case where they are ethyl groups.
- the compound represented by the general formula (1) preferably has a structure represented by the following general formula (2).
- R 11 to R 14 and R 17 to R 20 in the general formula (2) each independently represent a hydrogen atom or a substituent.
- Specific examples and preferred ranges of the substituents that can be taken by R 11 to R 14 and R 17 to R 20 include the specific examples exemplified as the substituent of the arylene group that Ar 2 and Ar 3 can take in the general formula (1) Reference can be made to preferred ranges.
- R 11 and R 12 , R 12 and R 13 , R 13 and R 14 , R 17 and R 18 , R 18 and R 19 , and R 19 and R 20 may be bonded to each other to form a cyclic structure.
- the cyclic structure may be an aromatic ring or an alicyclic ring, may contain a hetero atom, and the cyclic structure may be a condensed ring of two or more rings.
- the hetero atom here is preferably selected from the group consisting of a nitrogen atom, an oxygen atom and a sulfur atom.
- Examples of cyclic structures formed include benzene ring, naphthalene ring, pyridine ring, pyridazine ring, pyrimidine ring, pyrazine ring, pyrrole ring, imidazole ring, pyrazole ring, triazole ring, imidazoline ring, oxazole ring, isoxazole ring, thiazole And a ring, an isothiazole ring, a cyclohexadiene ring, a cyclohexene ring, a cyclopentaene ring, a cycloheptatriene ring, a cycloheptadiene ring, and a cycloheptaene ring.
- the compound represented by the general formula (1) preferably has a structure represented by the following general formula (3).
- Y in the general formula (3) is a substituted or unsubstituted carbazol-9-yl group, a substituted or unsubstituted 10H-phenoxazin-10-yl group, a substituted or unsubstituted 10H-phenothiazin-10-yl group, or It represents a substituted or unsubstituted 10H-phenazin-5-yl group.
- Y in the general formula (3) is preferably a group represented by any of the following general formulas (4) to (7).
- R 21 to R 24 , R 27 to R 38 , R 41 to R 48 , R 51 to R 58 , and R 61 to R 65 are each independently a hydrogen atom or a substituent. Represents.
- R 21 to R 24 , R 27 to R 38 , R 41 to R 48 , R 51 to R 58 , and R 61 to R 65 are each independently any one of the above general formulas (4) to (7). It is also preferable that it is a group represented.
- the number of substituents in the general formulas (4) to (7) is not particularly limited. Moreover, all may be unsubstituted (namely, a hydrogen atom). Further, when there are two or more substituents in each of the general formulas (4) to (7), these substituents may be the same or different. When a substituent is present in the general formulas (4) to (7), the substituent is preferably any one of R 22 to R 24 and R 27 to R 29 in the case of the general formula (4). , R 23 and R 28 are particularly preferred.
- any one of R 32 to R 37 is preferred, and in the general formula (6), R 42 to Any one of R 47 is preferable, and in the case of the general formula (7), any of R 52 , R 53 , R 56 , R 57 and R 62 to R 64 is preferable.
- the cyclic structure may be bonded together to form a cyclic structure. It may
- Y in the general formula (2) is preferably a group represented by the following general formula (8).
- R 21 ′ to R 24 ′ and R 27 ′ to R 30 each independently represent a hydrogen atom or a substituent, and at least one of R 23 ′ and R 28 ′ is a substituent. . That is, R 23 ′ is a substituent, R 28 ′ is a substituent, or both R 23 ′ and R 28 ′ are substituents.
- R 21 ′ to R 24 ′ and R 27 ′ to R 30 when only R 23 ′ is a substituent, only R 28 ′ is a substituent, or R 23 ′ and R 28 The case where only both are substituents can be mentioned.
- R 23 ′ and R 28 ′ When at least one of R 23 ′ and R 28 ′ is a substituent, the emission quantum efficiency tends to be higher than when substituted at other positions. This tendency is particularly remarkable when at least one of R 23 ′ and R 28 ′ is a substituted or unsubstituted diarylamino group or a substituted or unsubstituted carbazol-9-yl group.
- R 21 ′ to R 24 ′ , R 27 ′ to R 30 , the above-mentioned diarylamino group and carbazol-9-yl group are as follows: Ar 2 and Ar in the general formula (1) Specific examples and preferred ranges exemplified as the substituent for the arylene group 3 can be referred to.
- R 21 ′ and R 22 ′ , R 22 ′ and R 23 ′ , R 23 ′ and R 24 ′ , R 27 ′ and R 28 ′ , R 28 ′ and R 29 ′ , R 29 ′ and R 30 ′ may be bonded to each other to form a cyclic structure.
- the corresponding description in the general formula (2) can be referred to.
- the molecular weight of the compound represented by the general formula (1) is, for example, 1500 or less when the organic layer containing the compound represented by the general formula (1) is intended to be formed by vapor deposition. Preferably, it is preferably 1200 or less, more preferably 1000 or less, and even more preferably 800 or less.
- the lower limit of the molecular weight is the molecular weight of the minimum compound represented by the general formula (1).
- the compound represented by the general formula (1) may be formed by a coating method regardless of the molecular weight. If a coating method is used, a film can be formed even with a compound having a relatively large molecular weight.
- a compound containing a plurality of structures represented by the general formula (1) in the molecule as a light emitting material.
- a polymer obtained by previously polymerizing a polymerizable group in the structure represented by the general formula (1) and polymerizing the polymerizable group as a light emitting material.
- a monomer containing a polymerizable functional group in any of R, Ar 1 to Ar 3 , and Z of C—R that can be taken by A 1 to A 7 in the general formula (1) is prepared.
- a polymer having a repeating unit is obtained by polymerizing alone or copolymerized with other monomers, and the polymer is used as a light emitting material.
- dimers and trimers are obtained by reacting compounds having a structure represented by the general formula (1) and used as a luminescent material.
- Examples of the polymer having a repeating unit containing a structure represented by the general formula (1) include a polymer containing a structure represented by the following general formula (9) or (10).
- Q represents a group including the structure represented by General Formula (1)
- L 1 and L 2 represent a linking group.
- the linking group preferably has 0 to 20 carbon atoms, more preferably 1 to 15 carbon atoms, and still more preferably 2 to 10 carbon atoms. And preferably has a structure represented by - linking group -X 11 -L 11.
- X 11 represents an oxygen atom or a sulfur atom, and is preferably an oxygen atom.
- L 11 represents a linking group, preferably a substituted or unsubstituted alkylene group, or a substituted or unsubstituted arylene group, and a substituted or unsubstituted alkylene group having 1 to 10 carbon atoms, or a substituted or unsubstituted group A phenylene group is more preferable.
- R 101 , R 102 , R 103 and R 104 each independently represent a substituent.
- it is a substituted or unsubstituted alkyl group having 1 to 6 carbon atoms, a substituted or unsubstituted alkoxy group having 1 to 6 carbon atoms, or a halogen atom, more preferably an unsubstituted alkyl group having 1 to 3 carbon atoms.
- An unsubstituted alkoxy group having 1 to 3 carbon atoms, a fluorine atom, and a chlorine atom and more preferably an unsubstituted alkyl group having 1 to 3 carbon atoms and an unsubstituted alkoxy group having 1 to 3 carbon atoms.
- the linking group represented by L 1 and L 2 is any one of CR R, Ar 1 to Ar 3 , and Z that can be taken by A 1 to A 7 in the structure of the general formula (1) constituting Q.
- Any one of 61 to R 65 can be bonded to any of R 21 ′ to R 24 ′ and R 27 ′ to R 30 ′ in the structure of the general formula (8).
- repeating unit examples include structures represented by the following formulas (11) to (14).
- a polymer having a repeating unit containing these formulas (11) to (14) is composed of R, Ar 1 to Ar 3 , Z of C—R that A 1 to A 7 in the structure of the general formula (1) can take. It can be synthesized by introducing a hydroxy group into any of them, reacting the following compound as a linker to introduce a polymerizable group, and polymerizing the polymerizable group.
- the polymer containing a structure represented by the general formula (1) in the molecule may be a polymer consisting only of a repeating unit having the structure represented by the general formula (1), or other structures may be used. It may be a polymer containing repeating units.
- the repeating unit having a structure represented by the general formula (1) contained in the polymer may be a single type or two or more types. Examples of the repeating unit not having the structure represented by the general formula (1) include those derived from monomers used in ordinary copolymerization. Examples thereof include a repeating unit derived from a monomer having an ethylenically unsaturated bond such as ethylene and styrene.
- the compound represented by the general formula (2) is a novel compound.
- the compound represented by the general formula (2) can be synthesized by combining known reactions. For example, it can be synthesized by reacting according to the following scheme.
- X represents a halogen atom, and examples thereof include a fluorine atom, a chlorine atom, a bromine atom, and an iodine atom, and a chlorine atom, a bromine atom, and an iodine atom are preferable.
- the above reaction is an application of a known reaction, and known reaction conditions can be appropriately selected and used. The details of the above reaction can be referred to the synthesis examples described below.
- the compound represented by the general formula (2) can also be synthesized by combining other known synthesis reactions.
- the compound represented by the general formula (1) of the present invention is useful as a light emitting material of an organic light emitting device. For this reason, the compound represented by General formula (1) of this invention can be effectively used as a luminescent material for the light emitting layer of an organic light emitting element.
- the compound represented by the general formula (1) includes a delayed fluorescent material (delayed phosphor) that emits delayed fluorescence. That is, the present invention relates to a delayed phosphor having a structure represented by the general formula (1), an invention using a compound represented by the general formula (1) as a delayed phosphor, and a general formula (1).
- An invention of a method for emitting delayed fluorescence using the represented compound is also provided.
- An organic light emitting device using such a compound as a light emitting material emits delayed fluorescence and has a feature of high luminous efficiency. The principle will be described below by taking an organic electroluminescence element as an example.
- the organic electroluminescence element carriers are injected into the light emitting material from both positive and negative electrodes to generate an excited light emitting material and emit light.
- 25% of the generated excitons are excited to the excited singlet state, and the remaining 75% are excited to the excited triplet state. Therefore, the use efficiency of energy is higher when phosphorescence, which is light emission from an excited triplet state, is used.
- the excited triplet state has a long lifetime, energy saturation occurs due to saturation of the excited state and interaction with excitons in the excited triplet state, and in general, the quantum yield of phosphorescence is often not high.
- delayed fluorescent materials after energy transition to an excited triplet state due to intersystem crossing, etc., are then crossed back to an excited singlet state due to triplet-triplet annihilation or absorption of thermal energy, and emit fluorescence.
- a thermally activated delayed fluorescent material by absorption of thermal energy is particularly useful.
- excitons in the excited singlet state emit fluorescence as usual.
- excitons in the excited triplet state absorb heat generated by the device and cross between the excited singlets to emit fluorescence.
- the light is emitted from the excited singlet, the light is emitted at the same wavelength as the fluorescence, but the light lifetime (luminescence lifetime) generated by the reverse intersystem crossing from the excited triplet state to the excited singlet state is normal. Since the fluorescence becomes longer than the fluorescence and phosphorescence, it is observed as fluorescence delayed from these. This can be defined as delayed fluorescence. If such a heat-activated exciton transfer mechanism is used, the ratio of the compound in an excited singlet state, which normally generated only 25%, is increased to 25% or more by absorbing thermal energy after carrier injection. It can be raised.
- the heat of the device will sufficiently cause intersystem crossing from the excited triplet state to the excited singlet state and emit delayed fluorescence. Efficiency can be improved dramatically.
- the compound represented by the general formula (1) of the present invention as a light-emitting material of a light-emitting layer, excellent organic light-emitting devices such as an organic photoluminescence device (organic PL device) and an organic electroluminescence device (organic EL device) Can be provided.
- the compound represented by the general formula (1) of the present invention may have a function of assisting light emission of another light emitting material included in the light emitting layer as a so-called assist dopant. That is, the compound represented by the general formula (1) of the present invention contained in the light emitting layer includes the lowest excitation singlet energy level of the host material contained in the light emitting layer and the lowest excitation of other light emitting materials contained in the light emitting layer.
- the organic photoluminescence element has a structure in which at least a light emitting layer is formed on a substrate.
- the organic electroluminescence element has a structure in which an organic layer is formed at least between an anode, a cathode, and an anode and a cathode.
- the organic layer includes at least a light emitting layer, and may consist of only the light emitting layer, or may have one or more organic layers in addition to the light emitting layer. Examples of such other organic layers include a hole transport layer, a hole injection layer, an electron blocking layer, a hole blocking layer, an electron injection layer, an electron transport layer, and an exciton blocking layer.
- the hole transport layer may be a hole injection / transport layer having a hole injection function
- the electron transport layer may be an electron injection / transport layer having an electron injection function.
- FIG. 1 A specific example of the structure of an organic electroluminescence element is shown in FIG.
- 1 is a substrate
- 2 is an anode
- 3 is a hole injection layer
- 4 is a hole transport layer
- 5 is a light emitting layer
- 6 is an electron transport layer
- 7 is a cathode.
- each member and each layer of an organic electroluminescent element are demonstrated.
- substrate and a light emitting layer corresponds also to the board
- the organic electroluminescence device of the present invention is preferably supported on a substrate.
- the substrate is not particularly limited and may be any substrate conventionally used for organic electroluminescence elements.
- a substrate made of glass, transparent plastic, quartz, silicon, or the like can be used.
- an electrode material made of a metal, an alloy, an electrically conductive compound, or a mixture thereof having a high work function (4 eV or more) is preferably used.
- electrode materials include metals such as Au, and conductive transparent materials such as CuI, indium tin oxide (ITO), SnO 2 , and ZnO.
- conductive transparent materials such as CuI, indium tin oxide (ITO), SnO 2 , and ZnO.
- an amorphous material such as IDIXO (In 2 O 3 —ZnO) that can form a transparent conductive film may be used.
- a thin film may be formed by vapor deposition or sputtering of these electrode materials, and a pattern of a desired shape may be formed by photolithography, or when pattern accuracy is not so high (about 100 ⁇ m or more) ), A pattern may be formed through a mask having a desired shape at the time of vapor deposition or sputtering of the electrode material.
- wet film-forming methods such as a printing system and a coating system, can also be used.
- the transmittance be greater than 10%, and the sheet resistance as the anode is preferably several hundred ⁇ / ⁇ or less.
- the film thickness depends on the material, it is usually selected in the range of 10 to 1000 nm, preferably 10 to 200 nm.
- cathode a material having a low work function (4 eV or less) metal (referred to as an electron injecting metal), an alloy, an electrically conductive compound, and a mixture thereof as an electrode material is used.
- electrode materials include sodium, sodium-potassium alloy, magnesium, lithium, magnesium / copper mixture, magnesium / silver mixture, magnesium / aluminum mixture, magnesium / indium mixture, aluminum / aluminum oxide (Al 2 O 3 ) Mixtures, indium, lithium / aluminum mixtures, rare earth metals and the like.
- a mixture of an electron injecting metal and a second metal which is a stable metal having a larger work function value than this for example, a magnesium / silver mixture
- Suitable are a magnesium / aluminum mixture, a magnesium / indium mixture, an aluminum / aluminum oxide (Al 2 O 3 ) mixture, a lithium / aluminum mixture, aluminum and the like.
- the cathode can be produced by forming a thin film of these electrode materials by a method such as vapor deposition or sputtering.
- the sheet resistance as the cathode is preferably several hundred ⁇ / ⁇ or less, and the film thickness is usually selected in the range of 10 nm to 5 ⁇ m, preferably 50 to 200 nm.
- the emission luminance is advantageously improved.
- a transparent or semi-transparent cathode can be produced. By applying this, an element in which both the anode and the cathode are transparent is used. Can be produced.
- the light emitting layer is a layer that emits light after excitons are generated by recombination of holes and electrons injected from each of the anode and the cathode, and the light emitting material may be used alone for the light emitting layer. , Preferably including a luminescent material and a host material.
- a luminescent material the 1 type (s) or 2 or more types chosen from the compound group of this invention represented by General formula (1) can be used.
- a host material in addition to the light emitting material in the light emitting layer.
- the host material an organic compound having at least one of excited singlet energy and excited triplet energy higher than that of the light emitting material of the present invention can be used.
- singlet excitons and triplet excitons generated in the light emitting material of the present invention can be confined in the molecules of the light emitting material of the present invention, and the light emission efficiency can be sufficiently extracted.
- high luminous efficiency can be obtained, so that host materials that can achieve high luminous efficiency are particularly limited. And can be used in the present invention.
- the organic light emitting device or organic electroluminescent device of the present invention light emission is generated from the light emitting material of the present invention contained in the light emitting layer. This emission includes both fluorescence and delayed fluorescence. However, light emission from the host material may be partly or partly emitted.
- the amount of the compound of the present invention, which is a light emitting material is preferably 0.1% by weight or more, more preferably 1% by weight or more, and 50% or more. It is preferably no greater than wt%, more preferably no greater than 20 wt%, and even more preferably no greater than 10 wt%.
- the host material in the light-emitting layer is preferably an organic compound that has a hole transporting ability and an electron transporting ability, prevents the emission of longer wavelengths, and has a high glass transition temperature.
- the injection layer is a layer provided between the electrode and the organic layer for lowering the driving voltage and improving the luminance of light emission.
- the injection layer can be provided as necessary.
- the blocking layer is a layer that can prevent diffusion of charges (electrons or holes) and / or excitons existing in the light emitting layer to the outside of the light emitting layer.
- the electron blocking layer can be disposed between the light emitting layer and the hole transport layer and blocks electrons from passing through the light emitting layer toward the hole transport layer.
- a hole blocking layer can be disposed between the light emitting layer and the electron transporting layer to prevent holes from passing through the light emitting layer toward the electron transporting layer.
- the blocking layer can also be used to block excitons from diffusing outside the light emitting layer. That is, each of the electron blocking layer and the hole blocking layer can also function as an exciton blocking layer.
- the term “electron blocking layer” or “exciton blocking layer” as used herein is used in the sense of including a layer having the functions of an electron blocking layer and an exciton blocking layer in one layer.
- the hole blocking layer has a function of an electron transport layer in a broad sense.
- the hole blocking layer has a role of blocking holes from reaching the electron transport layer while transporting electrons, thereby improving the recombination probability of electrons and holes in the light emitting layer.
- the material for the hole blocking layer the material for the electron transport layer described later can be used as necessary.
- the electron blocking layer has a function of transporting holes in a broad sense.
- the electron blocking layer has a role to block electrons from reaching the hole transport layer while transporting holes, thereby improving the probability of recombination of electrons and holes in the light emitting layer. .
- the exciton blocking layer is a layer for preventing excitons generated by recombination of holes and electrons in the light emitting layer from diffusing into the charge transport layer. It becomes possible to efficiently confine in the light emitting layer, and the light emission efficiency of the device can be improved.
- the exciton blocking layer can be inserted on either the anode side or the cathode side adjacent to the light emitting layer, or both can be inserted simultaneously.
- the layer when the exciton blocking layer is provided on the anode side, the layer can be inserted adjacent to the light emitting layer between the hole transport layer and the light emitting layer, and when inserted on the cathode side, the light emitting layer and the cathode Between the luminescent layer and the light-emitting layer.
- a hole injection layer, an electron blocking layer, or the like can be provided between the anode and the exciton blocking layer adjacent to the anode side of the light emitting layer, and the excitation adjacent to the cathode and the cathode side of the light emitting layer can be provided.
- an electron injection layer, an electron transport layer, a hole blocking layer, and the like can be provided.
- the blocking layer is disposed, at least one of the excited singlet energy and the excited triplet energy of the material used as the blocking layer is preferably higher than the excited singlet energy and the excited triplet energy of the light emitting material.
- the hole transport layer is made of a hole transport material having a function of transporting holes, and the hole transport layer can be provided as a single layer or a plurality of layers.
- the hole transport material has any one of hole injection or transport and electron barrier properties, and may be either organic or inorganic.
- hole transport materials that can be used include, for example, triazole derivatives, oxadiazole derivatives, imidazole derivatives, carbazole derivatives, indolocarbazole derivatives, polyarylalkane derivatives, pyrazoline derivatives and pyrazolone derivatives, phenylenediamine derivatives, arylamine derivatives, Examples include amino-substituted chalcone derivatives, oxazole derivatives, styrylanthracene derivatives, fluorenone derivatives, hydrazone derivatives, stilbene derivatives, silazane derivatives, aniline copolymers, and conductive polymer oligomers, particularly thiophene oligomers.
- An aromatic tertiary amine compound and an styrylamine compound are preferably used, and an aromatic tertiary amine compound is more preferably used.
- the electron transport layer is made of a material having a function of transporting electrons, and the electron transport layer can be provided as a single layer or a plurality of layers.
- the electron transport material (which may also serve as a hole blocking material) may have a function of transmitting electrons injected from the cathode to the light emitting layer.
- Examples of the electron transport layer that can be used include nitro-substituted fluorene derivatives, diphenylquinone derivatives, thiopyran dioxide oxide derivatives, carbodiimides, fluorenylidenemethane derivatives, anthraquinodimethane and anthrone derivatives, oxadiazole derivatives, and the like.
- a thiadiazole derivative in which the oxygen atom of the oxadiazole ring is substituted with a sulfur atom, and a quinoxaline derivative having a quinoxaline ring known as an electron withdrawing group can also be used as an electron transport material.
- a polymer material in which these materials are introduced into a polymer chain or these materials are used as a polymer main chain can also be used.
- the compound represented by the general formula (1) may be used not only for the light emitting layer but also for layers other than the light emitting layer.
- the compound represented by General formula (1) used for a light emitting layer and the compound represented by General formula (1) used for layers other than a light emitting layer may be same or different.
- the compound represented by the general formula (1) may be used for the injection layer, blocking layer, hole blocking layer, electron blocking layer, exciton blocking layer, hole transporting layer, electron transporting layer, and the like. .
- the method for forming these layers is not particularly limited, and the layer may be formed by either a dry process or a wet process.
- the preferable material which can be used for an organic electroluminescent element is illustrated concretely.
- the material that can be used in the present invention is not limited to the following exemplary compounds. Moreover, even if it is a compound illustrated as a material which has a specific function, it can also be diverted as a material which has another function.
- R and R 2 to R 7 each independently represent a hydrogen atom or a substituent.
- n represents an integer of 3 to 5.
- the organic electroluminescence device produced by the above-described method emits light by applying an electric field between the anode and the cathode of the obtained device. At this time, if the light is emitted by excited singlet energy, light having a wavelength corresponding to the energy level is confirmed as fluorescence emission and delayed fluorescence emission. In addition, in the case of light emission by excited triplet energy, a wavelength corresponding to the energy level is confirmed as phosphorescence. Since normal fluorescence has a shorter fluorescence lifetime than delayed fluorescence, the emission lifetime can be distinguished from fluorescence and delayed fluorescence.
- the excited triplet energy is unstable and is converted into heat and the like, and the lifetime is short and it is immediately deactivated.
- the excited triplet energy of a normal organic compound it can be measured by observing light emission under extremely low temperature conditions.
- the organic electroluminescence element of the present invention can be applied to any of a single element, an element having a structure arranged in an array, and a structure in which an anode and a cathode are arranged in an XY matrix.
- an organic light emitting device with greatly improved light emission efficiency can be obtained by containing the compound represented by the general formula (1) in the light emitting layer.
- the organic light emitting device such as the organic electroluminescence device of the present invention can be further applied to various uses. For example, it is possible to produce an organic electroluminescence display device using the organic electroluminescence element of the present invention. For details, see “Organic EL Display” (Ohm Co., Ltd.) ) Can be referred to.
- the organic electroluminescence device of the present invention can be applied to organic electroluminescence illumination and backlights that are in great demand.
- source meter manufactured by Keithley: 2400 series
- semiconductor parameter analyzer manufactured by Agilent Technologies: E5273A
- optical power meter measuring device manufactured by Newport: 1930C
- optical spectrometer Ocean Optics, USB2000
- spectroradiometer Topcon, SR-3
- streak camera Haamamatsu Photonics C4334
- Example 1 Production and Evaluation of Organic Photoluminescence Device Using Compound 1
- a toluene solution (concentration 10 ⁇ 5 mol / L) of Compound 1 was prepared in a glove box under an Ar atmosphere.
- the results of measuring the absorption spectrum of the prepared toluene solution and the emission spectrum by 410 nm excitation light are shown in FIG.
- FIG. 3 shows a transient decay curve in which delayed fluorescence was observed at a peak wavelength of 559 nm for a toluene solution bubbled with nitrogen.
- This transient decay curve shows the result of measuring the luminescence lifetime obtained by measuring the process in which the emission intensity is deactivated by applying excitation light to the compound.
- Example 2 Production and Evaluation of Organic Photoluminescence Element Using Compound 2
- a toluene solution of Compound 2 (concentration 10 ⁇ 5 mol / L) was prepared in a glove box under an Ar atmosphere.
- FIG. 4 shows the results of measuring the absorption spectrum of the prepared toluene solution and the emission spectrum by the excitation light at 382 nm.
- FIG. 5 shows a transient decay curve in which delayed fluorescence was observed at a peak wavelength of 533 nm for the toluene solution before and after nitrogen bubbling.
- the photoluminescence quantum efficiency was 20.6% with a toluene solution without bubbling and 53.5% with a toluene solution bubbling with nitrogen.
- Example 3 Production and Evaluation of Organic Photoluminescence Device Using Compound 3
- a toluene solution of Compound 3 (concentration 10 ⁇ 5 mol / L) was prepared in a glove box under an Ar atmosphere.
- FIG. 6 shows the results of measuring the absorption spectrum of the prepared toluene solution and the emission spectrum by 400 nm excitation light.
- FIG. 7 shows a transient decay curve in which delayed fluorescence was observed at a peak wavelength of 548 nm for the toluene solution before and after nitrogen bubbling.
- the photoluminescence quantum efficiency was 23.2% with a toluene solution without bubbling and 55.4% with a toluene solution bubbling with nitrogen.
- Example 4 Production and evaluation of organic electroluminescence element using compound 1 Each thin film was formed by vacuum deposition on a glass substrate on which an anode made of indium tin oxide (ITO) having a thickness of 100 nm was formed. And a degree of vacuum of 5.0 ⁇ 10 ⁇ 4 Pa. First, ⁇ -NPD was formed to a thickness of 30 nm on ITO, and then mCP was formed to a thickness of 10 nm. Next, Compound 1 and DPEPO were co-evaporated from different vapor deposition sources to form a layer having a thickness of 15 nm as a light emitting layer. At this time, the concentration of Compound 1 was 6.0% by weight.
- ITO indium tin oxide
- TPBi is formed to a thickness of 65 nm
- further lithium fluoride (LiF) is vacuum-deposited to a thickness of 0.5 nm
- aluminum (Al) is evaporated to a thickness of 100 nm to form a cathode.
- a luminescence element was obtained.
- a semiconductor parameter analyzer manufactured by Agilent Technologies: E5273A
- an optical power meter measurement device manufactured by Newport: 1930C
- an optical spectrometer manufactured by Ocean Optics: USB2000
- emission of 563 nm was observed as shown in FIG.
- the current density-voltage characteristic is shown in FIG. 9, and the current density-external quantum efficiency characteristic is shown in FIG.
- the organic electroluminescence device using Compound 1 as the light emitting material achieved an external quantum efficiency of 8.6%.
- Example 5 Production and evaluation of organic electroluminescence device using compound 3 Each thin film was formed by vacuum deposition on a glass substrate on which an anode made of indium tin oxide (ITO) having a thickness of 100 nm was formed. And a degree of vacuum of 5.0 ⁇ 10 ⁇ 4 Pa. First, ⁇ -NPD was formed to a thickness of 30 nm on ITO, and then mCP was formed to a thickness of 10 nm. Next, Compound 3 and DPEPO were co-evaporated from different vapor deposition sources to form a layer having a thickness of 15 nm as a light emitting layer. At this time, the concentration of Compound 3 was 6.0% by weight.
- ITO indium tin oxide
- TPBi is formed to a thickness of 65 nm
- further lithium fluoride (LiF) is vacuum-deposited to a thickness of 0.5 nm
- aluminum (Al) is evaporated to a thickness of 100 nm to form a cathode.
- a luminescence element was obtained.
- a semiconductor parameter analyzer manufactured by Agilent Technologies: E5273A
- an optical power meter measurement device manufactured by Newport: 1930C
- an optical spectrometer manufactured by Ocean Optics: USB2000
- the organic electroluminescence device using Compound 1 as the light emitting material achieved an external quantum efficiency of 12.8%. Assuming that an ideal organic electroluminescence device balanced using a fluorescent material having a light emission quantum efficiency of 100% is prototyped, if the light extraction efficiency is 20 to 30%, the external quantum efficiency of fluorescence emission is 5%. 7.5%. This value is generally regarded as a theoretical limit value of the external quantum efficiency of an organic electroluminescence device using a fluorescent material. As is clear from FIG. 13, the organic electroluminescence device of the present invention using Compound 1 is extremely excellent in that high external quantum efficiency exceeding the theoretical limit value is realized.
- the compound of the present invention is useful as a luminescent material. For this reason, the compound of this invention is effectively used as a luminescent material for organic light emitting elements, such as an organic electroluminescent element. Since the compounds of the present invention include those that emit delayed fluorescence, it is also possible to provide an organic light-emitting device with high luminous efficiency. For this reason, this invention has high industrial applicability.
Landscapes
- Chemical & Material Sciences (AREA)
- Organic Chemistry (AREA)
- Engineering & Computer Science (AREA)
- Materials Engineering (AREA)
- Physics & Mathematics (AREA)
- Spectroscopy & Molecular Physics (AREA)
- Electroluminescent Light Sources (AREA)
- Plural Heterocyclic Compounds (AREA)
Abstract
下記一般式で表される化合物は発光材料として有用である。A1~A7のうちの1~4つはNを表し、残りはC-Rを表す。Rは非芳香族基を表す。Ar1~Ar3はアリーレン基を表す。Zは単結合または連結基を表す。
Description
本発明は、発光材料として有用な化合物とそれを用いた有機発光素子に関する。
有機エレクトロルミネッセンス素子(有機EL素子)などの有機発光素子の発光効率を高める研究が盛んに行われている。特に、有機エレクトロルミネッセンス素子を構成する電子輸送材料、正孔輸送材料、発光材料などを新たに開発して組み合わせることにより、発光効率を高める工夫が種々なされてきている。その中には、融合複素芳香環にフェニレン基が結合した構造を有する化合物を利用した有機エレクトロルミネッセンス素子に関する研究も見受けられる。
例えば特許文献1には、下記の一般式で表される化合物を、有機エレクトロルミネッセンス素子を構成する一対の電極間に存在する発光層の中にホスト材料として用いた実施例が記載されている。下記の一般式におけるR1~R5は水素原子、アルキル基またはアリール基であり、αはアリーレン基であり、Ar1はアリール基であり、Aはジアリールアミノアリール基、置換カルバゾール-3-イル基またはカルバゾール-9-イルアリール基を表すものと規定されている。ただし、特許文献1には下記の一般式で表される化合物の発光材料としての有用性を示す実施例は記載されておらず、また、下記の一般式におけるAr1とAが互いに結合して環状構造を形成した化合物も記載されていない。
特許文献2には、下記の一般式で表される化合物を、有機エレクトロルミネッセンス素子を構成する一対の電極間に存在する発光層の中の発光材料として用いた実施例が記載されている。下記の一般式におけるR1~R12は水素原子、ハロゲン原子、低級アルキル基、アルコキシ基、アシル基、ニトロ基、シアノ基、アミノ基、ジアルキルアミノ基、ジアリールアミノ基、ビニル基、アリール基またはヘテロアリール基であり、Ar1~Ar4はアリール基またはヘテロアリール基を表すものと規定されている。ただし、特許文献2に記載されている発明は、キノキサリン環の2位と3位に共通のジアリールフェニル基が置換した対称化合物に係る発明であり、それ以外の化合物の有用性については記載されていない。
特許文献3には、下記の一般式で表される化合物を、有機エレクトロルミネッセンス素子を構成する一対の電極間に存在する正孔輸送層の中の正孔輸送材料として用いた実施例が記載されている。下記の一般式におけるR1、R2、R4~R7は水素原子、ハロゲン原子、アルキル基、アルコキシ基、アリール基またはヘテロアリール基であり、R3は水素原子、ハロゲン原子、アルキル基、アルコキシ基であり、R8およびR9はハロゲン原子、アルキル基、アルコキシ基、アリール基であり、Arはアリール基であり、AおよびBはC=N結合を有するヘテロアリ-ル基であり、X1およびX2は炭素原子または窒素原子であり、mおよびnは0または1であり、pおよびqは0~4のいずれかの整数を表すものと規定されている。ただし、特許文献3に記載されている発明は、ジアリールアミノ基がカルバゾール環の2位に結合した化合物に係る発明であり、それ以外の化合物の有用性については記載されていない。また、下記の一般式で表される化合物の発光材料としての有用性を示す実施例も記載されていない。
このように、融合複素芳香環にフェニレン基が結合した構造を有する化合物を有機エレクトロルミネッセンス素子に用いた研究がこれまでに幾つかなされている。しかしながら、その多くは発光材料以外の用途を開発したものであり、発光材料としての有用性を検討したものは限られている。そして、発光材料としての有用性を検討したものは、例えば特許文献2に記載される化合物のように化合物の構造が特殊であり、かなり限定されている。本発明者らが検討したところ、特許文献2に記載される化合物は発光材料としての発光量子効率に改善の余地があることが判明している。一方、発光材料としての有用性が示されていない特許文献3の化合物を発光材料として転用することを検討したところ、やはり十分な発光量子収率を上げることができないことが確認された。融合複素芳香環にフェニレン基が結合した構造を有する化合物の中には、これまでに合成されていない化合物も多数存在する。このため、従来の検討結果を参考にしても、発光材料としての有用性が高い類似化合物をにわかに見出すことは困難であった。
このような状況のもとで本発明者らは、融合複素芳香環にフェニレン基が結合した構造を有する化合物の発光材料としての有用性についてさらに検討を進め、発光特性が優れた化合物を見出すことを目指して研究を重ねた。そして、発光材料として有用な化合物の一般式を導きだし、発光効率が高い有機発光素子の構成を一般化することを目的として鋭意検討を進めた。
鋭意検討を進めた結果、本発明者らは、特定の構造を有する化合物が発光材料として優れた性質を有することを見出した。また、そのような化合物群の中に、遅延蛍光材料として有用なものがあることを見出し、発光効率が高い有機発光素子を安価に提供しうることを明らかにした。本発明者らは、これらの知見に基づいて、上記の課題を解決する手段として、以下の本発明を提供するに至った。
[1] 下記一般式(1)で表される化合物からなる発光材料。
[一般式(1)において、A1~A7のうちの1~4つはNを表し、残りは各々独立にC-Rを表す。Rは非芳香族基を表す。Ar1~Ar3は各々独立に置換もしくは無置換のアリーレン基を表す。Zは単結合または連結基を表す。]
[2] 前記一般式(1)で表される化合物が下記一般式(2)で表される構造を有することを特徴とする[1]に記載の発光材料。
[一般式(2)において、A1~A7のうちの1~4つはNを表し、残りは各々独立にC-Rを表す。Rは非芳香族基を表す。Ar1は置換もしくは無置換のアリーレン基を表す。R11~R14およびR17~R20は各々独立に水素原子または置換基を表す。R11とR12、R12とR13、R13とR14、R17とR18、R18とR19、R19とR20は互いに結合して環状構造を形成していてもよい。Z1は単結合または連結鎖長原子数が1または2の連結基を表す。]
[3] 前記一般式(1)で表される化合物が下記一般式(3)で表される構造を有することを特徴とする[1]に記載の発光材料。
[一般式(3)において、A1~A7のうちの2~4つはNを表し、残りはC-Rを表す。Rは非芳香族基を表す。Ar1は置換もしくは無置換のアリーレン基を表す。Yは置換もしくは無置換のカルバゾール-9-イル基、置換もしくは無置換の10H-フェノキサジン-10-イル基、置換もしくは無置換の10H-フェノチアジン-10-イル基、または置換もしくは無置換の10H-フェナジン-5-イル基を表す。]
[4] 前記一般式(3)のYが下記一般式(4)~(7)のいずれかで表される基であることを特徴とする[3]に記載の発光材料。
[一般式(4)~(7)において、R21~R24、R27~R38、R41~R48、R51~R58、R61~R65は、各々独立に水素原子または置換基を表す。R21とR22、R22とR23、R23とR24、R27とR28、R28とR29、R29とR30、R31とR32、R32とR33、R33とR34、R35とR36、R36とR37、R37とR38、R41とR42、R42とR43、R43とR44、R45とR46、R46とR47、R47とR48、R51とR52、R52とR53、R53とR54、R55とR56、R56とR57、R57とR58、R61とR62、R62とR63、R63とR64、R64とR65、R54とR61、R55とR65は互いに結合して環状構造を形成していてもよい。]
[5] 前記一般式(3)のYが下記一般式(8)で表される基であることを特徴とする[3]に記載の発光材料。
[一般式(8)において、R21'~R24'およびR27'~R30は、各々独立に水素原子または置換基を表すが、R23'とR28'の少なくとも一方は置換基である。R21'とR22'、R22'とR23'、R23'とR24'、R27'とR28'、R28'とR29'、R29'とR30'は互いに結合して環状構造を形成していてもよい。]
[6] 一般式(8)において、R23'とR28'の少なくとも一方は置換もしくは無置換のジアリールアミノ基、または置換もしくは無置換のカルバゾール-9-イル基であることを特徴とする[5]に記載の発光材料。
[7] 前記一般式(3)のYが前記一般式(5)で表される基であることを特徴とする[4]に記載の発光材料。
[8] 前記一般式(1)で表される化合物からなる遅延蛍光体。
[9] [1]~[7]のいずれか1項に記載の発光材料を含むことを特徴とする有機発光素子。
[10] 遅延蛍光を放射することを特徴とする[9]に記載の有機発光素子。
[11] 有機エレクトロルミネッセンス素子であることを特徴とする[9]または[10]に記載の有機発光素子。
[12] 前記一般式(2)で表される化合物。
[2] 前記一般式(1)で表される化合物が下記一般式(2)で表される構造を有することを特徴とする[1]に記載の発光材料。
[3] 前記一般式(1)で表される化合物が下記一般式(3)で表される構造を有することを特徴とする[1]に記載の発光材料。
[4] 前記一般式(3)のYが下記一般式(4)~(7)のいずれかで表される基であることを特徴とする[3]に記載の発光材料。
[5] 前記一般式(3)のYが下記一般式(8)で表される基であることを特徴とする[3]に記載の発光材料。
[6] 一般式(8)において、R23'とR28'の少なくとも一方は置換もしくは無置換のジアリールアミノ基、または置換もしくは無置換のカルバゾール-9-イル基であることを特徴とする[5]に記載の発光材料。
[7] 前記一般式(3)のYが前記一般式(5)で表される基であることを特徴とする[4]に記載の発光材料。
[8] 前記一般式(1)で表される化合物からなる遅延蛍光体。
[9] [1]~[7]のいずれか1項に記載の発光材料を含むことを特徴とする有機発光素子。
[10] 遅延蛍光を放射することを特徴とする[9]に記載の有機発光素子。
[11] 有機エレクトロルミネッセンス素子であることを特徴とする[9]または[10]に記載の有機発光素子。
[12] 前記一般式(2)で表される化合物。
一般式(1)で表される化合物は、発光材料として有用である。また、一般式(1)で表される化合物の中には遅延蛍光を放射するものが含まれている。本発明の化合物を発光材料として用いた有機発光素子は、高い発光効率を実現しうる。
以下において、本発明の内容について詳細に説明する。以下に記載する構成要件の説明は、本発明の代表的な実施態様や具体例に基づいてなされることがあるが、本発明はそのような実施態様や具体例に限定されるものではない。なお、本明細書において「~」を用いて表される数値範囲は、「~」の前後に記載される数値を下限値および上限値として含む範囲を意味する。また、本発明に用いられる化合物の分子内に存在する水素原子の同位体種は特に限定されず、例えば分子内の水素原子がすべて1Hであってもよいし、一部または全部が2H(デューテリウムD)であってもよい。
一般式(1)において、A1~A7のうちの1~4つはNを表し、残りは各々独立にC-Rを表す。A1~A7のうちNであるものの数は1~3つであることがより好ましく、2つであることがさらに好ましい。A1~A7のうちの1つがNである場合は、A1~A7のいずれがNであってもよいが、好ましいのはA1~A3のうちのいずれかがNである場合である。A1~A7のうちの2~4つがNである場合は、2つの環のいずれか一方のみに2~4つのNが存在していてもよいし、両方の環にNが存在していてもよい。A1~A7のうちの2つがNである場合は、例えば、A1とA2、A1とA3、A2とA3、A4とA6、A4とA7、A1とA4、A1とA7、A2とA4、A2とA7、A2とA5、A2とA6の組み合わせを挙げることができる。A1~A7のうちの3つがNである場合は、例えば、A1とA2とA3、A4とA5とA7、A4とA6とA7、A1とA3とA4、A1とA3とA5、A1とA3とA6、A1とA3とA7、A1とA2とA4、A1とA2とA5、A1とA2とA6、A1とA2とA7の組み合わせを挙げることができる。A1~A7のうちの4つがNである場合は、例えば、A1とA3とA4とA5、A1とA3とA4とA6、A1とA3とA4とA7、A1とA3とA5とA6、A1とA3とA5とA7、A1とA3とA6とA7、A1とA2とA4とA5、A1とA2とA4とA6、A1とA2とA4とA7、A1とA2とA5とA6、A1とA2とA5とA7、A1とA2とA6とA7の組み合わせを挙げることができる。これらの具体的な組み合わせ以外の組み合わせを採用することも可能である。好ましい組み合わせとして、少なくともA1とA3がNである組み合わせを挙げることができる。
A1~A7のうちでN以外のものは、各々独立にC-Rを表す。Rは非芳香族基を表す。すなわち、A1~A7のうちでN以外のものは、炭素原子に非芳香族基Rが結合した基である。ここでいう非芳香環基とは、芳香環や複素芳香環を有さない基を意味する。Rがとりうる非芳香族基としては、例えばヒドロキシ基、ハロゲン原子、炭素数1~20のアルキル基、炭素数1~20のアルコキシ基、炭素数1~20のアルキルチオ基、炭素数2~10のアルケニル基、炭素数2~10のアルキニル基、炭素数1~10のハロアルキル基、炭素数3~20のトリアルキルシリル基、炭素数4~20のトリアルキルシリルアルキル基、炭素数5~20のトリアルキルシリルアルケニル基、炭素数5~20のトリアルキルシリルアルキニル基等が挙げられる。これらの具体例のうち、さらに置換基により置換可能なものは置換されていてもよい。より好ましい置換基は、炭素数1~20の置換もしくは無置換のアルキル基、炭素数1~20のアルコキシ基である。さらに好ましい置換基は、炭素数1~10の置換もしくは無置換のアルキル基、炭素数1~10の置換もしくは無置換のアルコキシ基である。
アルキル基は、直鎖状、分枝状、環状のいずれであってもよく、より好ましくは炭素数1~6であり、具体例としてメチル基、エチル基、プロピル基、ブチル基、tert-ブチル基、ペンチル基、ヘキシル基、イソプロピル基を挙げることができる。アルコキシ基は、直鎖状、分枝状、環状のいずれであってもよく、より好ましくは炭素数1~6であり、具体例としてメトキシ基、エトキシ基、プロポキシ基、ブトキシ基、tert-ブトキシ基、ペンチルオキシ基、ヘキシルオキシ基、イソプロピポキシ基を挙げることができる。
一般式(1)におけるAr1~Ar3は各々独立に置換もしくは無置換のアリーレン基を表す。Ar1~Ar3がとりうるアリーレン基は、単環のアリーレン基であっても、縮合環のアリーレン基であってもよい。具体例として、1,2-フェニレン基、1,3-フェニレン基、1,4-フェニレン基、1,2-ナフチレン基、1,3-ナフチレン基、1,4-ナフチレン基、1,5-ナフチレン基、1,8-ナフチレン基を挙げることができる。
Ar1は、1,3-フェニレン基、1,4-フェニレン基、1,3-ナフチレン基、1,4-ナフチレン基が好ましく、1,4-フェニレン基、1,4-ナフチレン基がより好ましい。Ar1がとりうるアリーレン基は置換基を有していてもよく、その場合の置換基としては、例えばヒドロキシ基、ハロゲン原子、炭素数1~20のアルキル基、炭素数1~20のアルコキシ基、炭素数1~20のアルキルチオ基、炭素数6~40のアリール基、炭素数3~40のヘテロアリール基、炭素数2~10のアルケニル基、炭素数2~10のアルキニル基、炭素数1~10のハロアルキル基、炭素数3~20のトリアルキルシリル基、炭素数4~20のトリアルキルシリルアルキル基、炭素数5~20のトリアルキルシリルアルケニル基、炭素数5~20のトリアルキルシリルアルキニル基等が挙げられる。これらの具体例のうち、さらに置換基により置換可能なものは置換されていてもよい。より好ましい置換基は、炭素数1~20の置換もしくは無置換のアルキル基、炭素数1~20のアルコキシ基、炭素数6~40の置換もしくは無置換のアリール基、炭素数3~40の置換もしくは無置換のヘテロアリール基である。さらに好ましい置換基は、炭素数1~10の置換もしくは無置換のアルキル基、炭素数1~10の置換もしくは無置換のアルコキシ基、炭素数6~15の置換もしくは無置換のアリール基、炭素数3~12の置換もしくは無置換のヘテロアリール基である。
Ar2およびAr3は、1,2-フェニレン基、1,2-ナフチレン基が好ましく、1,2-フェニレン基がより好ましい。Ar2およびAr3がとりうるアリーレン基は置換基を有していてもよく、その場合の置換基としては、例えばヒドロキシ基、ハロゲン原子、シアノ基、炭素数1~20のアルキル基、炭素数1~20のアルコキシ基、炭素数1~20のアルキルチオ基、炭素数1~20のアルキル置換アミノ基、炭素数12~40のアリール置換アミノ基、炭素数2~20のアシル基、炭素数6~40のアリール基、炭素数3~40のヘテロアリール基、炭素数12~40の置換もしくは無置換のカルバゾリル基、炭素数2~10のアルケニル基、炭素数2~10のアルキニル基、炭素数2~10のアルコキシカルボニル基、炭素数1~10のアルキルスルホニル基、炭素数1~10のハロアルキル基、アミド基、炭素数2~10のアルキルアミド基、炭素数3~20のトリアルキルシリル基、炭素数4~20のトリアルキルシリルアルキル基、炭素数5~20のトリアルキルシリルアルケニル基、炭素数5~20のトリアルキルシリルアルキニル基およびニトロ基等が挙げられる。これらの具体例のうち、さらに置換基により置換可能なものは置換されていてもよい。より好ましい置換基は、ハロゲン原子、シアノ基、炭素数1~20の置換もしくは無置換のアルキル基、炭素数1~20のアルコキシ基、炭素数6~40の置換もしくは無置換のアリール基、炭素数3~40の置換もしくは無置換のヘテロアリール基、炭素数1~10の置換もしくは無置換のジアルキルアミノ基、炭素数12~40の置換もしくは無置換のジアリールアミノ基、炭素数12~40の置換もしくは無置換のカルバゾリル基である。さらに好ましい置換基は、フッ素原子、塩素原子、シアノ基、炭素数1~10の置換もしくは無置換のアルキル基、炭素数1~10の置換もしくは無置換のアルコキシ基、炭素数1~10の置換もしくは無置換のジアルキルアミノ基、炭素数12~40の置換もしくは無置換のジアリールアミノ基、炭素数6~15の置換もしくは無置換のアリール基、炭素数3~12の置換もしくは無置換のヘテロアリール基である。
上記の置換基として説明したアリール基は、単環でも縮合環でもよく、具体例としてフェニル基、ナフチル基を挙げることができる。ヘテロアリール基も、単環でも縮合環でもよく、具体例としてピリジル基、ピリダジル基、ピリミジル基、トリアジル基、トリアゾリル基、ベンゾトリアゾリル基を挙げることができる。これらのヘテロアリール基は、ヘテロ原子を介して結合する基であっても、ヘテロアリール環を構成する炭素原子を介して結合する基であってもよい。
一般式(1)において、Zは単結合または連結基を表す。ZはAr2およびAr3を連結するものであるが、Ar2およびAr3の各環構成原子のうち一般式(1)の窒素原子に結合している原子以外の原子とZが結合していることが好ましい。具体的には、窒素原子に結合しているAr2およびAr3のα位の原子またはβ位の原子とZが結合していることが好ましく、α位の原子とZが結合していることがより好ましい。Zは単結合であっても連結基であっても、いずれも好ましい。連結基である場合は、連結鎖長原子数が1または2であることが好ましく、1であることがより好ましい。連結鎖長原子数が1である連結基として、-O-、-S-、-C(R1)(R2)-、-N(R3)-を挙げることができる。また、連結鎖長原子数が2である連結基として、-C(R4)(R5)-C(R6)(R7)-、-C(R8)=C(R9)-を挙げることができる。ここでR1~R9は、各々独立に水素原子または置換基を表す。置換基の具体例と好ましい範囲については、Ar2およびAr3がとりうるアリーレン基の置換基として例示した具体例と好ましい範囲を参照することができる。R1とR2、R4とR5、R6とR7、R8とR9は互いに同一であっても異なっていてもよい。同一である場合として、両方ともメチル基である場合や、エチル基である場合を例示することができる。
一般式(2)におけるA1~A7とAr1の定義と好ましい範囲については、一般式(1)の対応する記載を参照することができる。また、一般式(2)におけるZ1の定義と好ましい範囲については、一般式(1)のZに関する記載を参照することができる。一般式(2)におけるR11~R14およびR17~R20は、各々独立に水素原子または置換基を表す。R11~R14およびR17~R20がとりうる置換基の具体例と好ましい範囲については、一般式(1)におけるAr2およびAr3がとりうるアリーレン基の置換基として例示した具体例と好ましい範囲を参照することができる。
R11とR12、R12とR13、R13とR14、R17とR18、R18とR19、R19とR20は互いに結合して環状構造を形成していてもよい。環状構造は芳香環であっても脂肪環であってもよく、またヘテロ原子を含むものであってもよく、さらに環状構造は2環以上の縮合環であってもよい。ここでいうヘテロ原子としては、窒素原子、酸素原子および硫黄原子からなる群より選択されるものであることが好ましい。形成される環状構造の例として、ベンゼン環、ナフタレン環、ピリジン環、ピリダジン環、ピリミジン環、ピラジン環、ピロール環、イミダゾール環、ピラゾール環、トリアゾール環、イミダゾリン環、オキサゾール環、イソオキサゾール環、チアゾール環、イソチアゾール環、シクロヘキサジエン環、シクロヘキセン環、シクロペンタエン環、シクロヘプタトリエン環、シクロヘプタジエン環、シクロヘプタエン環などを挙げることができる。
一般式(3)におけるA1~A7とAr1の定義と好ましい範囲については、一般式(1)の対応する記載を参照することができる。一般式(3)のYは置換もしくは無置換のカルバゾール-9-イル基、置換もしくは無置換の10H-フェノキサジン-10-イル基、置換もしくは無置換の10H-フェノチアジン-10-イル基、または置換もしくは無置換の10H-フェナジン-5-イル基を表す。
一般式(4)~(7)において、R21~R24、R27~R38、R41~R48、R51~R58、R61~R65は、各々独立に水素原子または置換基を表す。ここでいう置換基の説明と好ましい範囲については、一般式(1)におけるAr2およびAr3がとりうるアリーレン基の置換基として例示した具体例と好ましい範囲を参照することができる。また、R21~R24、R27~R38、R41~R48、R51~R58、R61~R65は、各々独立に上記一般式(4)~(7)のいずれかで表される基であることも好ましい。一般式(4)~(7)における置換基の数は特に制限されない。また、すべてが無置換(すなわち水素原子)であってもよい。さらに、一般式(4)~(7)のそれぞれにおいて置換基が2つ以上ある場合、それらの置換基は同一であっても異なっていてもよい。一般式(4)~(7)に置換基が存在している場合、その置換基は一般式(4)であればR22~R24、R27~R29のいずれかであることが好ましく、R23およびR28の少なくとも1つであることが特に好ましく、一般式(5)であればR32~R37のいずれかであることが好ましく、一般式(6)であればR42~R47のいずれかであることが好ましく、一般式(7)であればR52、R53、R56、R57、R62~R64のいずれかであることが好ましい。
一般式(4)~(7)において、R21とR22、R22とR23、R23とR24、R27とR28、R28とR29、R29とR30、R31とR32、R32とR33、R33とR34、R35とR36、R36とR37、R37とR38、R41とR42、R42とR43、R43とR44、R45とR46、R46とR47、R47とR48、R51とR52、R52とR53、R53とR54、R55とR56、R56とR57、R57とR58、R61とR62、R62とR63、R63とR64、R64とR65、R54とR61、R55とR65は互いに結合して環状構造を形成していてもよい。環状構造の説明と好ましい例については、上記の一般式(2)において、R11とR12等が互いに結合して形成する環状構造の説明と好ましい例を参照することができる。
一般式(8)において、R21'~R24'およびR27'~R30は、各々独立に水素原子または置換基を表すが、R23'とR28'の少なくとも一方は置換基である。すなわち、R23'が置換基であるか、R28'が置換基であるか、R23'とR28'の両方が置換基である。例えば、R21'~R24'およびR27'~R30のうちで、R23'のみが置換基である場合や、R28' のみが置換基である場合や、R23'とR28'の両方のみが置換基である場合を挙げることができる。R23'とR28'の少なくとも一方が置換基である場合は、他の位置に置換した場合よりも発光量子効率が高くなる傾向がある。特に、R23'とR28'の少なくとも一方が置換もしくは無置換のジアリールアミノ基、または置換もしくは無置換のカルバゾール-9-イル基であるときにその傾向は顕著である。
R21'~R24'、R27'~R30、上記のジアリールアミノ基、カルバゾール-9-イル基がとりうる置換基の説明と好ましい範囲については、一般式(1)におけるAr2およびAr3がとりうるアリーレン基の置換基として例示した具体例と好ましい範囲を参照することができる。一般式(8)においてR21'とR22'、R22'とR23'、R23'とR24'、R27'とR28'、R28'とR29'、R29'とR30'は互いに結合して環状構造を形成していてもよい。環状構造の説明と好ましい範囲については、一般式(2)の対応する記載を参照することができる。
以下において、一般式(1)で表される化合物の具体例を例示する。ただし、本発明において用いることができる一般式(1)で表される化合物はこれらの具体例によって限定的に解釈されるべきものではない。
一般式(1)で表される化合物の分子量は、例えば一般式(1)で表される化合物を含む有機層を蒸着法により製膜して利用することを意図する場合には、1500以下であることが好ましく、1200以下であることがより好ましく、1000以下であることがさらに好ましく、800以下であることがさらにより好ましい。分子量の下限値は、一般式(1)で表される最小化合物の分子量である。
一般式(1)で表される化合物は、分子量にかかわらず塗布法で成膜してもよい。塗布法を用いれば、分子量が比較的大きな化合物であっても成膜することが可能である。
一般式(1)で表される化合物は、分子量にかかわらず塗布法で成膜してもよい。塗布法を用いれば、分子量が比較的大きな化合物であっても成膜することが可能である。
本発明を応用して、分子内に一般式(1)で表される構造を複数個含む化合物を、発光材料として用いることも考えられる。
例えば、一般式(1)で表される構造中にあらかじめ重合性基を存在させておいて、その重合性基を重合させることによって得られる重合体を、発光材料として用いることが考えられる。具体的には、一般式(1)のA1~A7がとりうるC-RのR、Ar1~Ar3、Zのいずれかに重合性官能基を含むモノマーを用意して、これを単独で重合させるか、他のモノマーとともに共重合させることにより、繰り返し単位を有する重合体を得て、その重合体を発光材料として用いることが考えられる。あるいは、一般式(1)で表される構造を有する化合物どうしを反応させることにより、二量体や三量体を得て、それらを発光材料として用いることも考えられる。
例えば、一般式(1)で表される構造中にあらかじめ重合性基を存在させておいて、その重合性基を重合させることによって得られる重合体を、発光材料として用いることが考えられる。具体的には、一般式(1)のA1~A7がとりうるC-RのR、Ar1~Ar3、Zのいずれかに重合性官能基を含むモノマーを用意して、これを単独で重合させるか、他のモノマーとともに共重合させることにより、繰り返し単位を有する重合体を得て、その重合体を発光材料として用いることが考えられる。あるいは、一般式(1)で表される構造を有する化合物どうしを反応させることにより、二量体や三量体を得て、それらを発光材料として用いることも考えられる。
一般式(9)または(10)において、Qは一般式(1)で表される構造を含む基を表し、L1およびL2は連結基を表す。連結基の炭素数は、好ましくは0~20であり、より好ましくは1~15であり、さらに好ましくは2~10である。連結基は-X11-L11-で表される構造を有するものであることが好ましい。ここで、X11は酸素原子または硫黄原子を表し、酸素原子であることが好ましい。L11は連結基を表し、置換もしくは無置換のアルキレン基、または置換もしくは無置換のアリーレン基であることが好ましく、炭素数1~10の置換もしくは無置換のアルキレン基、または置換もしくは無置換のフェニレン基であることがより好ましい。
一般式(9)または(10)において、R101、R102、R103およびR104は、各々独立に置換基を表す。好ましくは、炭素数1~6の置換もしくは無置換のアルキル基、炭素数1~6の置換もしくは無置換のアルコキシ基、ハロゲン原子であり、より好ましくは炭素数1~3の無置換のアルキル基、炭素数1~3の無置換のアルコキシ基、フッ素原子、塩素原子であり、さらに好ましくは炭素数1~3の無置換のアルキル基、炭素数1~3の無置換のアルコキシ基である。
L1およびL2で表される連結基は、Qを構成する一般式(1)の構造のA1~A7がとりうるC-RのR、Ar1~Ar3、Zのいずれか、一般式(2)の構造のA1~A7がとりうるC-RのR、Ar1、R11~R14、R17~R20、Z1のいずれか、一般式(3)の構造のA1~A7がとりうるC-RのR、Ar1、Yがとりうる連結基のいずれか、一般式(4)の構造のR21~R24、R27~R30のいずれか、一般式(5)の構造のR31~R38のいずれか、一般式(6)の構造のR41~R48のいずれか、一般式(7)の構造のR51~R58、R61~R65のいずれか、一般式(8)の構造のR21'~R24 '、R27'~R30 'のいずれかに結合することができる。1つのQに対して連結基が2つ以上連結して架橋構造や網目構造を形成していてもよい。
一般式(9)または(10)において、R101、R102、R103およびR104は、各々独立に置換基を表す。好ましくは、炭素数1~6の置換もしくは無置換のアルキル基、炭素数1~6の置換もしくは無置換のアルコキシ基、ハロゲン原子であり、より好ましくは炭素数1~3の無置換のアルキル基、炭素数1~3の無置換のアルコキシ基、フッ素原子、塩素原子であり、さらに好ましくは炭素数1~3の無置換のアルキル基、炭素数1~3の無置換のアルコキシ基である。
L1およびL2で表される連結基は、Qを構成する一般式(1)の構造のA1~A7がとりうるC-RのR、Ar1~Ar3、Zのいずれか、一般式(2)の構造のA1~A7がとりうるC-RのR、Ar1、R11~R14、R17~R20、Z1のいずれか、一般式(3)の構造のA1~A7がとりうるC-RのR、Ar1、Yがとりうる連結基のいずれか、一般式(4)の構造のR21~R24、R27~R30のいずれか、一般式(5)の構造のR31~R38のいずれか、一般式(6)の構造のR41~R48のいずれか、一般式(7)の構造のR51~R58、R61~R65のいずれか、一般式(8)の構造のR21'~R24 '、R27'~R30 'のいずれかに結合することができる。1つのQに対して連結基が2つ以上連結して架橋構造や網目構造を形成していてもよい。
これらの式(11)~(14)を含む繰り返し単位を有する重合体は、一般式(1)の構造のA1~A7がとりうるC-RのR、Ar1~Ar3、Zのいずれかにヒドロキシ基を導入しておき、それをリンカーとして下記化合物を反応させて重合性基を導入し、その重合性基を重合させることにより合成することができる。
分子内に一般式(1)で表される構造を含む重合体は、一般式(1)で表される構造を有する繰り返し単位のみからなる重合体であってもよいし、それ以外の構造を有する繰り返し単位を含む重合体であってもよい。また、重合体の中に含まれる一般式(1)で表される構造を有する繰り返し単位は、単一種であってもよいし、2種以上であってもよい。一般式(1)で表される構造を有さない繰り返し単位としては、通常の共重合に用いられるモノマーから誘導されるものを挙げることができる。例えば、エチレン、スチレンなどのエチレン性不飽和結合を有するモノマーから誘導される繰り返し単位を挙げることができる。
[一般式(2)で表される化合物の合成方法]
一般式(1)で表される化合物のうち、一般式(2)で表される化合物は新規化合物である。
一般式(2)で表される化合物は、既知の反応を組み合わせることによって合成することができる。例えば、以下のスキームにしたがって反応させることにより合成することが可能である。
一般式(1)で表される化合物のうち、一般式(2)で表される化合物は新規化合物である。
一般式(2)で表される化合物は、既知の反応を組み合わせることによって合成することができる。例えば、以下のスキームにしたがって反応させることにより合成することが可能である。
上記の反応式におけるA1~A7、Ar1、R11~R14、R17~R20、Z1の説明については、一般式(2)における対応する記載を参照することができる。Xはハロゲン原子を表し、フッ素原子、塩素原子、臭素原子、ヨウ素原子を挙げることができ、塩素原子、臭素原子、ヨウ素原子が好ましい。
上記の反応は、公知の反応を応用したものであり、公知の反応条件を適宜選択して用いることができる。上記の反応の詳細については、後述の合成例を参考にすることができる。また、一般式(2)で表される化合物は、その他の公知の合成反応を組み合わせることによっても合成することができる。
上記の反応は、公知の反応を応用したものであり、公知の反応条件を適宜選択して用いることができる。上記の反応の詳細については、後述の合成例を参考にすることができる。また、一般式(2)で表される化合物は、その他の公知の合成反応を組み合わせることによっても合成することができる。
[有機発光素子]
本発明の一般式(1)で表される化合物は、有機発光素子の発光材料として有用である。このため、本発明の一般式(1)で表される化合物は、有機発光素子の発光層に発光材料として効果的に用いることができる。一般式(1)で表される化合物の中には、遅延蛍光を放射する遅延蛍光材料(遅延蛍光体)が含まれている。すなわち本発明は、一般式(1)で表される構造を有する遅延蛍光体の発明と、一般式(1)で表される化合物を遅延蛍光体として使用する発明と、一般式(1)で表される化合物を用いて遅延蛍光を発光させる方法の発明も提供する。そのような化合物を発光材料として用いた有機発光素子は、遅延蛍光を放射し、発光効率が高いという特徴を有する。その原理を、有機エレクトロルミネッセンス素子を例にとって説明すると以下のようになる。
本発明の一般式(1)で表される化合物は、有機発光素子の発光材料として有用である。このため、本発明の一般式(1)で表される化合物は、有機発光素子の発光層に発光材料として効果的に用いることができる。一般式(1)で表される化合物の中には、遅延蛍光を放射する遅延蛍光材料(遅延蛍光体)が含まれている。すなわち本発明は、一般式(1)で表される構造を有する遅延蛍光体の発明と、一般式(1)で表される化合物を遅延蛍光体として使用する発明と、一般式(1)で表される化合物を用いて遅延蛍光を発光させる方法の発明も提供する。そのような化合物を発光材料として用いた有機発光素子は、遅延蛍光を放射し、発光効率が高いという特徴を有する。その原理を、有機エレクトロルミネッセンス素子を例にとって説明すると以下のようになる。
有機エレクトロルミネッセンス素子においては、正負の両電極より発光材料にキャリアを注入し、励起状態の発光材料を生成し、発光させる。通常、キャリア注入型の有機エレクトロルミネッセンス素子の場合、生成した励起子のうち、励起一重項状態に励起されるのは25%であり、残り75%は励起三重項状態に励起される。従って、励起三重項状態からの発光であるリン光を利用するほうが、エネルギーの利用効率が高い。しかしながら、励起三重項状態は寿命が長いため、励起状態の飽和や励起三重項状態の励起子との相互作用によるエネルギーの失活が起こり、一般にリン光の量子収率が高くないことが多い。一方、遅延蛍光材料は、項間交差等により励起三重項状態へとエネルギーが遷移した後、三重項-三重項消滅あるいは熱エネルギーの吸収により、励起一重項状態に逆項間交差され蛍光を放射する。有機エレクトロルミネッセンス素子においては、なかでも熱エネルギーの吸収による熱活性化型の遅延蛍光材料が特に有用であると考えられる。有機エレクトロルミネッセンス素子に遅延蛍光材料を利用した場合、励起一重項状態の励起子は通常通り蛍光を放射する。一方、励起三重項状態の励起子は、デバイスが発する熱を吸収して励起一重項へ項間交差され蛍光を放射する。このとき、励起一重項からの発光であるため蛍光と同波長での発光でありながら、励起三重項状態から励起一重項状態への逆項間交差により、生じる光の寿命(発光寿命)は通常の蛍光やりん光よりも長くなるため、これらよりも遅延した蛍光として観察される。これを遅延蛍光として定義できる。このような熱活性化型の励起子移動機構を用いれば、キャリア注入後に熱エネルギーの吸収を経ることにより、通常は25%しか生成しなかった励起一重項状態の化合物の比率を25%以上に引き上げることが可能となる。100℃未満の低い温度でも強い蛍光および遅延蛍光を発する化合物を用いれば、デバイスの熱で充分に励起三重項状態から励起一重項状態への項間交差が生じて遅延蛍光を放射するため、発光効率を飛躍的に向上させることができる。
本発明の一般式(1)で表される化合物を発光層の発光材料として用いることにより、有機フォトルミネッセンス素子(有機PL素子)や有機エレクトロルミネッセンス素子(有機EL素子)などの優れた有機発光素子を提供することができる。このとき、本発明の一般式(1)で表される化合物は、いわゆるアシストドーパントとして、発光層に含まれる他の発光材料の発光をアシストする機能を有するものであってもよい。すなわち、発光層に含まれる本発明の一般式(1)で表される化合物は、発光層に含まれるホスト材料の最低励起一重項エネルギー準位と発光層に含まれる他の発光材料の最低励起一重項エネルギー準位の間の最低励起一重項エネルギー準位を有するものであってもよい。
有機フォトルミネッセンス素子は、基板上に少なくとも発光層を形成した構造を有する。また、有機エレクトロルミネッセンス素子は、少なくとも陽極、陰極、および陽極と陰極の間に有機層を形成した構造を有する。有機層は、少なくとも発光層を含むものであり、発光層のみからなるものであってもよいし、発光層の他に1層以上の有機層を有するものであってもよい。そのような他の有機層として、正孔輸送層、正孔注入層、電子阻止層、正孔阻止層、電子注入層、電子輸送層、励起子阻止層などを挙げることができる。正孔輸送層は正孔注入機能を有した正孔注入輸送層でもよく、電子輸送層は電子注入機能を有した電子注入輸送層でもよい。具体的な有機エレクトロルミネッセンス素子の構造例を図1に示す。図1において、1は基板、2は陽極、3は正孔注入層、4は正孔輸送層、5は発光層、6は電子輸送層、7は陰極を表わす。
以下において、有機エレクトロルミネッセンス素子の各部材および各層について説明する。なお、基板と発光層の説明は有機フォトルミネッセンス素子の基板と発光層にも該当する。
有機フォトルミネッセンス素子は、基板上に少なくとも発光層を形成した構造を有する。また、有機エレクトロルミネッセンス素子は、少なくとも陽極、陰極、および陽極と陰極の間に有機層を形成した構造を有する。有機層は、少なくとも発光層を含むものであり、発光層のみからなるものであってもよいし、発光層の他に1層以上の有機層を有するものであってもよい。そのような他の有機層として、正孔輸送層、正孔注入層、電子阻止層、正孔阻止層、電子注入層、電子輸送層、励起子阻止層などを挙げることができる。正孔輸送層は正孔注入機能を有した正孔注入輸送層でもよく、電子輸送層は電子注入機能を有した電子注入輸送層でもよい。具体的な有機エレクトロルミネッセンス素子の構造例を図1に示す。図1において、1は基板、2は陽極、3は正孔注入層、4は正孔輸送層、5は発光層、6は電子輸送層、7は陰極を表わす。
以下において、有機エレクトロルミネッセンス素子の各部材および各層について説明する。なお、基板と発光層の説明は有機フォトルミネッセンス素子の基板と発光層にも該当する。
(基板)
本発明の有機エレクトロルミネッセンス素子は、基板に支持されていることが好ましい。この基板については、特に制限はなく、従来から有機エレクトロルミネッセンス素子に慣用されているものであればよく、例えば、ガラス、透明プラスチック、石英、シリコンなどからなるものを用いることができる。
本発明の有機エレクトロルミネッセンス素子は、基板に支持されていることが好ましい。この基板については、特に制限はなく、従来から有機エレクトロルミネッセンス素子に慣用されているものであればよく、例えば、ガラス、透明プラスチック、石英、シリコンなどからなるものを用いることができる。
(陽極)
有機エレクトロルミネッセンス素子における陽極としては、仕事関数の大きい(4eV以上)金属、合金、電気伝導性化合物およびこれらの混合物を電極材料とするものが好ましく用いられる。このような電極材料の具体例としてはAu等の金属、CuI、インジウムチンオキシド(ITO)、SnO2、ZnO等の導電性透明材料が挙げられる。また、IDIXO(In2O3-ZnO)等非晶質で透明導電膜を作製可能な材料を用いてもよい。陽極はこれらの電極材料を蒸着やスパッタリング等の方法により、薄膜を形成させ、フォトリソグラフィー法で所望の形状のパターンを形成してもよく、あるいはパターン精度をあまり必要としない場合は(100μm以上程度)、上記電極材料の蒸着やスパッタリング時に所望の形状のマスクを介してパターンを形成してもよい。あるいは、有機導電性化合物のように塗布可能な材料を用いる場合には、印刷方式、コーティング方式等湿式成膜法を用いることもできる。この陽極より発光を取り出す場合には、透過率を10%より大きくすることが望ましく、また陽極としてのシート抵抗は数百Ω/□以下が好ましい。さらに膜厚は材料にもよるが、通常10~1000nm、好ましくは10~200nmの範囲で選ばれる。
有機エレクトロルミネッセンス素子における陽極としては、仕事関数の大きい(4eV以上)金属、合金、電気伝導性化合物およびこれらの混合物を電極材料とするものが好ましく用いられる。このような電極材料の具体例としてはAu等の金属、CuI、インジウムチンオキシド(ITO)、SnO2、ZnO等の導電性透明材料が挙げられる。また、IDIXO(In2O3-ZnO)等非晶質で透明導電膜を作製可能な材料を用いてもよい。陽極はこれらの電極材料を蒸着やスパッタリング等の方法により、薄膜を形成させ、フォトリソグラフィー法で所望の形状のパターンを形成してもよく、あるいはパターン精度をあまり必要としない場合は(100μm以上程度)、上記電極材料の蒸着やスパッタリング時に所望の形状のマスクを介してパターンを形成してもよい。あるいは、有機導電性化合物のように塗布可能な材料を用いる場合には、印刷方式、コーティング方式等湿式成膜法を用いることもできる。この陽極より発光を取り出す場合には、透過率を10%より大きくすることが望ましく、また陽極としてのシート抵抗は数百Ω/□以下が好ましい。さらに膜厚は材料にもよるが、通常10~1000nm、好ましくは10~200nmの範囲で選ばれる。
(陰極)
一方、陰極としては、仕事関数の小さい(4eV以下)金属(電子注入性金属と称する)、合金、電気伝導性化合物およびこれらの混合物を電極材料とするものが用いられる。このような電極材料の具体例としては、ナトリウム、ナトリウム-カリウム合金、マグネシウム、リチウム、マグネシウム/銅混合物、マグネシウム/銀混合物、マグネシウム/アルミニウム混合物、マグネシウム/インジウム混合物、アルミニウム/酸化アルミニウム(Al2O3)混合物、インジウム、リチウム/アルミニウム混合物、希土類金属等が挙げられる。これらの中で、電子注入性および酸化等に対する耐久性の点から、電子注入性金属とこれより仕事関数の値が大きく安定な金属である第二金属との混合物、例えば、マグネシウム/銀混合物、マグネシウム/アルミニウム混合物、マグネシウム/インジウム混合物、アルミニウム/酸化アルミニウム(Al2O3)混合物、リチウム/アルミニウム混合物、アルミニウム等が好適である。陰極はこれらの電極材料を蒸着やスパッタリング等の方法により薄膜を形成させることにより、作製することができる。また、陰極としてのシート抵抗は数百Ω/□以下が好ましく、膜厚は通常10nm~5μm、好ましくは50~200nmの範囲で選ばれる。なお、発光した光を透過させるため、有機エレクトロルミネッセンス素子の陽極または陰極のいずれか一方が、透明または半透明であれば発光輝度が向上し好都合である。
また、陽極の説明で挙げた導電性透明材料を陰極に用いることで、透明または半透明の陰極を作製することができ、これを応用することで陽極と陰極の両方が透過性を有する素子を作製することができる。
一方、陰極としては、仕事関数の小さい(4eV以下)金属(電子注入性金属と称する)、合金、電気伝導性化合物およびこれらの混合物を電極材料とするものが用いられる。このような電極材料の具体例としては、ナトリウム、ナトリウム-カリウム合金、マグネシウム、リチウム、マグネシウム/銅混合物、マグネシウム/銀混合物、マグネシウム/アルミニウム混合物、マグネシウム/インジウム混合物、アルミニウム/酸化アルミニウム(Al2O3)混合物、インジウム、リチウム/アルミニウム混合物、希土類金属等が挙げられる。これらの中で、電子注入性および酸化等に対する耐久性の点から、電子注入性金属とこれより仕事関数の値が大きく安定な金属である第二金属との混合物、例えば、マグネシウム/銀混合物、マグネシウム/アルミニウム混合物、マグネシウム/インジウム混合物、アルミニウム/酸化アルミニウム(Al2O3)混合物、リチウム/アルミニウム混合物、アルミニウム等が好適である。陰極はこれらの電極材料を蒸着やスパッタリング等の方法により薄膜を形成させることにより、作製することができる。また、陰極としてのシート抵抗は数百Ω/□以下が好ましく、膜厚は通常10nm~5μm、好ましくは50~200nmの範囲で選ばれる。なお、発光した光を透過させるため、有機エレクトロルミネッセンス素子の陽極または陰極のいずれか一方が、透明または半透明であれば発光輝度が向上し好都合である。
また、陽極の説明で挙げた導電性透明材料を陰極に用いることで、透明または半透明の陰極を作製することができ、これを応用することで陽極と陰極の両方が透過性を有する素子を作製することができる。
(発光層)
発光層は、陽極および陰極のそれぞれから注入された正孔および電子が再結合することにより励起子が生成した後、発光する層であり、発光材料を単独で発光層に使用しても良いが、好ましくは発光材料とホスト材料を含む。発光材料としては、一般式(1)で表される本発明の化合物群から選ばれる1種または2種以上を用いることができる。本発明の有機エレクトロルミネッセンス素子および有機フォトルミネッセンス素子が高い発光効率を発現するためには、発光材料に生成した一重項励起子および三重項励起子を、発光材料中に閉じ込めることが重要である。従って、発光層中に発光材料に加えてホスト材料を用いることが好ましい。ホスト材料としては、励起一重項エネルギー、励起三重項エネルギーの少なくとも何れか一方が本発明の発光材料よりも高い値を有する有機化合物を用いることができる。その結果、本発明の発光材料に生成した一重項励起子および三重項励起子を、本発明の発光材料の分子中に閉じ込めることが可能となり、その発光効率を十分に引き出すことが可能となる。もっとも、一重項励起子および三重項励起子を十分に閉じ込めることができなくても、高い発光効率を得ることが可能な場合もあるため、高い発光効率を実現しうるホスト材料であれば特に制約なく本発明に用いることができる。本発明の有機発光素子または有機エレクトロルミネッセンス素子において、発光は発光層に含まれる本発明の発光材料から生じる。この発光は蛍光発光および遅延蛍光発光の両方を含む。但し、発光の一部或いは部分的にホスト材料からの発光があってもかまわない。
ホスト材料を用いる場合、発光材料である本発明の化合物が発光層中に含有される量は0.1重量%以上であることが好ましく、1重量%以上であることがより好ましく、また、50重量%以下であることが好ましく、20重量%以下であることがより好ましく、10重量%以下であることがさらに好ましい。
発光層におけるホスト材料としては、正孔輸送能、電子輸送能を有し、かつ発光の長波長化を防ぎ、なおかつ高いガラス転移温度を有する有機化合物であることが好ましい。
発光層は、陽極および陰極のそれぞれから注入された正孔および電子が再結合することにより励起子が生成した後、発光する層であり、発光材料を単独で発光層に使用しても良いが、好ましくは発光材料とホスト材料を含む。発光材料としては、一般式(1)で表される本発明の化合物群から選ばれる1種または2種以上を用いることができる。本発明の有機エレクトロルミネッセンス素子および有機フォトルミネッセンス素子が高い発光効率を発現するためには、発光材料に生成した一重項励起子および三重項励起子を、発光材料中に閉じ込めることが重要である。従って、発光層中に発光材料に加えてホスト材料を用いることが好ましい。ホスト材料としては、励起一重項エネルギー、励起三重項エネルギーの少なくとも何れか一方が本発明の発光材料よりも高い値を有する有機化合物を用いることができる。その結果、本発明の発光材料に生成した一重項励起子および三重項励起子を、本発明の発光材料の分子中に閉じ込めることが可能となり、その発光効率を十分に引き出すことが可能となる。もっとも、一重項励起子および三重項励起子を十分に閉じ込めることができなくても、高い発光効率を得ることが可能な場合もあるため、高い発光効率を実現しうるホスト材料であれば特に制約なく本発明に用いることができる。本発明の有機発光素子または有機エレクトロルミネッセンス素子において、発光は発光層に含まれる本発明の発光材料から生じる。この発光は蛍光発光および遅延蛍光発光の両方を含む。但し、発光の一部或いは部分的にホスト材料からの発光があってもかまわない。
ホスト材料を用いる場合、発光材料である本発明の化合物が発光層中に含有される量は0.1重量%以上であることが好ましく、1重量%以上であることがより好ましく、また、50重量%以下であることが好ましく、20重量%以下であることがより好ましく、10重量%以下であることがさらに好ましい。
発光層におけるホスト材料としては、正孔輸送能、電子輸送能を有し、かつ発光の長波長化を防ぎ、なおかつ高いガラス転移温度を有する有機化合物であることが好ましい。
(注入層)
注入層とは、駆動電圧低下や発光輝度向上のために電極と有機層間に設けられる層のことで、正孔注入層と電子注入層があり、陽極と発光層または正孔輸送層の間、および陰極と発光層または電子輸送層との間に存在させてもよい。注入層は必要に応じて設けることができる。
注入層とは、駆動電圧低下や発光輝度向上のために電極と有機層間に設けられる層のことで、正孔注入層と電子注入層があり、陽極と発光層または正孔輸送層の間、および陰極と発光層または電子輸送層との間に存在させてもよい。注入層は必要に応じて設けることができる。
(阻止層)
阻止層は、発光層中に存在する電荷(電子もしくは正孔)および/または励起子の発光層外への拡散を阻止することができる層である。電子阻止層は、発光層および正孔輸送層の間に配置されることができ、電子が正孔輸送層の方に向かって発光層を通過することを阻止する。同様に、正孔阻止層は発光層および電子輸送層の間に配置されることができ、正孔が電子輸送層の方に向かって発光層を通過することを阻止する。阻止層はまた、励起子が発光層の外側に拡散することを阻止するために用いることができる。すなわち電子阻止層、正孔阻止層はそれぞれ励起子阻止層としての機能も兼ね備えることができる。本明細書でいう電子阻止層または励起子阻止層は、一つの層で電子阻止層および励起子阻止層の機能を有する層を含む意味で使用される。
阻止層は、発光層中に存在する電荷(電子もしくは正孔)および/または励起子の発光層外への拡散を阻止することができる層である。電子阻止層は、発光層および正孔輸送層の間に配置されることができ、電子が正孔輸送層の方に向かって発光層を通過することを阻止する。同様に、正孔阻止層は発光層および電子輸送層の間に配置されることができ、正孔が電子輸送層の方に向かって発光層を通過することを阻止する。阻止層はまた、励起子が発光層の外側に拡散することを阻止するために用いることができる。すなわち電子阻止層、正孔阻止層はそれぞれ励起子阻止層としての機能も兼ね備えることができる。本明細書でいう電子阻止層または励起子阻止層は、一つの層で電子阻止層および励起子阻止層の機能を有する層を含む意味で使用される。
(正孔阻止層)
正孔阻止層とは広い意味では電子輸送層の機能を有する。正孔阻止層は電子を輸送しつつ、正孔が電子輸送層へ到達することを阻止する役割があり、これにより発光層中での電子と正孔の再結合確率を向上させることができる。正孔阻止層の材料としては、後述する電子輸送層の材料を必要に応じて用いることができる。
正孔阻止層とは広い意味では電子輸送層の機能を有する。正孔阻止層は電子を輸送しつつ、正孔が電子輸送層へ到達することを阻止する役割があり、これにより発光層中での電子と正孔の再結合確率を向上させることができる。正孔阻止層の材料としては、後述する電子輸送層の材料を必要に応じて用いることができる。
(電子阻止層)
電子阻止層とは、広い意味では正孔を輸送する機能を有する。電子阻止層は正孔を輸送しつつ、電子が正孔輸送層へ到達することを阻止する役割があり、これにより発光層中での電子と正孔が再結合する確率を向上させることができる。
電子阻止層とは、広い意味では正孔を輸送する機能を有する。電子阻止層は正孔を輸送しつつ、電子が正孔輸送層へ到達することを阻止する役割があり、これにより発光層中での電子と正孔が再結合する確率を向上させることができる。
(励起子阻止層)
励起子阻止層とは、発光層内で正孔と電子が再結合することにより生じた励起子が電荷輸送層に拡散することを阻止するための層であり、本層の挿入により励起子を効率的に発光層内に閉じ込めることが可能となり、素子の発光効率を向上させることができる。励起子阻止層は発光層に隣接して陽極側、陰極側のいずれにも挿入することができ、両方同時に挿入することも可能である。すなわち、励起子阻止層を陽極側に有する場合、正孔輸送層と発光層の間に、発光層に隣接して該層を挿入することができ、陰極側に挿入する場合、発光層と陰極との間に、発光層に隣接して該層を挿入することができる。また、陽極と、発光層の陽極側に隣接する励起子阻止層との間には、正孔注入層や電子阻止層などを有することができ、陰極と、発光層の陰極側に隣接する励起子阻止層との間には、電子注入層、電子輸送層、正孔阻止層などを有することができる。阻止層を配置する場合、阻止層として用いる材料の励起一重項エネルギーおよび励起三重項エネルギーの少なくともいずれか一方は、発光材料の励起一重項エネルギーおよび励起三重項エネルギーよりも高いことが好ましい。
励起子阻止層とは、発光層内で正孔と電子が再結合することにより生じた励起子が電荷輸送層に拡散することを阻止するための層であり、本層の挿入により励起子を効率的に発光層内に閉じ込めることが可能となり、素子の発光効率を向上させることができる。励起子阻止層は発光層に隣接して陽極側、陰極側のいずれにも挿入することができ、両方同時に挿入することも可能である。すなわち、励起子阻止層を陽極側に有する場合、正孔輸送層と発光層の間に、発光層に隣接して該層を挿入することができ、陰極側に挿入する場合、発光層と陰極との間に、発光層に隣接して該層を挿入することができる。また、陽極と、発光層の陽極側に隣接する励起子阻止層との間には、正孔注入層や電子阻止層などを有することができ、陰極と、発光層の陰極側に隣接する励起子阻止層との間には、電子注入層、電子輸送層、正孔阻止層などを有することができる。阻止層を配置する場合、阻止層として用いる材料の励起一重項エネルギーおよび励起三重項エネルギーの少なくともいずれか一方は、発光材料の励起一重項エネルギーおよび励起三重項エネルギーよりも高いことが好ましい。
(正孔輸送層)
正孔輸送層とは正孔を輸送する機能を有する正孔輸送材料からなり、正孔輸送層は単層または複数層設けることができる。
正孔輸送材料としては、正孔の注入または輸送、電子の障壁性のいずれかを有するものであり、有機物、無機物のいずれであってもよい。使用できる公知の正孔輸送材料としては例えば、トリアゾール誘導体、オキサジアゾール誘導体、イミダゾール誘導体、カルバゾール誘導体、インドロカルバゾール誘導体、ポリアリールアルカン誘導体、ピラゾリン誘導体およびピラゾロン誘導体、フェニレンジアミン誘導体、アリールアミン誘導体、アミノ置換カルコン誘導体、オキサゾール誘導体、スチリルアントラセン誘導体、フルオレノン誘導体、ヒドラゾン誘導体、スチルベン誘導体、シラザン誘導体、アニリン系共重合体、また導電性高分子オリゴマー、特にチオフェンオリゴマー等が挙げられるが、ポルフィリン化合物、芳香族第3級アミン化合物およびスチリルアミン化合物を用いることが好ましく、芳香族第3級アミン化合物を用いることがより好ましい。
正孔輸送層とは正孔を輸送する機能を有する正孔輸送材料からなり、正孔輸送層は単層または複数層設けることができる。
正孔輸送材料としては、正孔の注入または輸送、電子の障壁性のいずれかを有するものであり、有機物、無機物のいずれであってもよい。使用できる公知の正孔輸送材料としては例えば、トリアゾール誘導体、オキサジアゾール誘導体、イミダゾール誘導体、カルバゾール誘導体、インドロカルバゾール誘導体、ポリアリールアルカン誘導体、ピラゾリン誘導体およびピラゾロン誘導体、フェニレンジアミン誘導体、アリールアミン誘導体、アミノ置換カルコン誘導体、オキサゾール誘導体、スチリルアントラセン誘導体、フルオレノン誘導体、ヒドラゾン誘導体、スチルベン誘導体、シラザン誘導体、アニリン系共重合体、また導電性高分子オリゴマー、特にチオフェンオリゴマー等が挙げられるが、ポルフィリン化合物、芳香族第3級アミン化合物およびスチリルアミン化合物を用いることが好ましく、芳香族第3級アミン化合物を用いることがより好ましい。
(電子輸送層)
電子輸送層とは電子を輸送する機能を有する材料からなり、電子輸送層は単層または複数層設けることができる。
電子輸送材料(正孔阻止材料を兼ねる場合もある)としては、陰極より注入された電子を発光層に伝達する機能を有していればよい。使用できる電子輸送層としては例えば、ニトロ置換フルオレン誘導体、ジフェニルキノン誘導体、チオピランジオキシド誘導体、カルボジイミド、フレオレニリデンメタン誘導体、アントラキノジメタンおよびアントロン誘導体、オキサジアゾール誘導体等が挙げられる。さらに、上記オキサジアゾール誘導体において、オキサジアゾール環の酸素原子を硫黄原子に置換したチアジアゾール誘導体、電子吸引基として知られているキノキサリン環を有するキノキサリン誘導体も、電子輸送材料として用いることができる。さらにこれらの材料を高分子鎖に導入した、またはこれらの材料を高分子の主鎖とした高分子材料を用いることもできる。
電子輸送層とは電子を輸送する機能を有する材料からなり、電子輸送層は単層または複数層設けることができる。
電子輸送材料(正孔阻止材料を兼ねる場合もある)としては、陰極より注入された電子を発光層に伝達する機能を有していればよい。使用できる電子輸送層としては例えば、ニトロ置換フルオレン誘導体、ジフェニルキノン誘導体、チオピランジオキシド誘導体、カルボジイミド、フレオレニリデンメタン誘導体、アントラキノジメタンおよびアントロン誘導体、オキサジアゾール誘導体等が挙げられる。さらに、上記オキサジアゾール誘導体において、オキサジアゾール環の酸素原子を硫黄原子に置換したチアジアゾール誘導体、電子吸引基として知られているキノキサリン環を有するキノキサリン誘導体も、電子輸送材料として用いることができる。さらにこれらの材料を高分子鎖に導入した、またはこれらの材料を高分子の主鎖とした高分子材料を用いることもできる。
有機エレクトロルミネッセンス素子を作製する際には、一般式(1)で表される化合物を発光層に用いるだけでなく、発光層以外の層にも用いてもよい。その際、発光層に用いる一般式(1)で表される化合物と、発光層以外の層に用いる一般式(1)で表される化合物は、同一であっても異なっていてもよい。例えば、上記の注入層、阻止層、正孔阻止層、電子阻止層、励起子阻止層、正孔輸送層、電子輸送層などにも一般式(1)で表される化合物を用いてもよい。これらの層の製膜方法は特に限定されず、ドライプロセス、ウェットプロセスのどちらで作製してもよい。
以下に、有機エレクトロルミネッセンス素子に用いることができる好ましい材料を具体的に例示する。ただし、本発明において用いることができる材料は、以下の例示化合物によって限定的に解釈されることはない。また、特定の機能を有する材料として例示した化合物であっても、その他の機能を有する材料として転用することも可能である。なお、以下の例示化合物の構造式におけるR、R2~R7は、各々独立に水素原子または置換基を表す。nは3~5の整数を表す。
まず、発光層のホスト材料としても用いることができる好ましい化合物を挙げる。
次に、正孔注入材料として用いることができる好ましい化合物例を挙げる。
次に、正孔輸送材料として用いることができる好ましい化合物例を挙げる。
次に、電子阻止材料として用いることができる好ましい化合物例を挙げる。
次に、正孔阻止材料として用いることができる好ましい化合物例を挙げる。
次に、電子輸送材料として用いることができる好ましい化合物例を挙げる。
次に、電子注入材料として用いることができる好ましい化合物例を挙げる。
さらに添加可能な材料として好ましい化合物例を挙げる。例えば、安定化材料として添加すること等が考えられる。
上述の方法により作製された有機エレクトロルミネッセンス素子は、得られた素子の陽極と陰極の間に電界を印加することにより発光する。このとき、励起一重項エネルギーによる発光であれば、そのエネルギーレベルに応じた波長の光が、蛍光発光および遅延蛍光発光として確認される。また、励起三重項エネルギーによる発光であれば、そのエネルギーレベルに応じた波長が、りん光として確認される。通常の蛍光は、遅延蛍光発光よりも蛍光寿命が短いため、発光寿命は蛍光と遅延蛍光で区別できる。
一方、りん光については、本発明の化合物のような通常の有機化合物では、励起三重項エネルギーは不安定で熱等に変換され、寿命が短く直ちに失活するため、室温では殆ど観測できない。通常の有機化合物の励起三重項エネルギーを測定するためには、極低温の条件での発光を観測することにより測定可能である。
一方、りん光については、本発明の化合物のような通常の有機化合物では、励起三重項エネルギーは不安定で熱等に変換され、寿命が短く直ちに失活するため、室温では殆ど観測できない。通常の有機化合物の励起三重項エネルギーを測定するためには、極低温の条件での発光を観測することにより測定可能である。
本発明の有機エレクトロルミネッセンス素子は、単一の素子、アレイ状に配置された構造からなる素子、陽極と陰極がX-Yマトリックス状に配置された構造のいずれにおいても適用することができる。本発明によれば、発光層に一般式(1)で表される化合物を含有させることにより、発光効率が大きく改善された有機発光素子が得られる。本発明の有機エレクトロルミネッセンス素子などの有機発光素子は、さらに様々な用途へ応用することが可能である。例えば、本発明の有機エレクトロルミネッセンス素子を用いて、有機エレクトロルミネッセンス表示装置を製造することが可能であり、詳細については、時任静士、安達千波矢、村田英幸共著「有機ELディスプレイ」(オーム社)を参照することができる。また、特に本発明の有機エレクトロルミネッセンス素子は、需要が大きい有機エレクトロルミネッセンス照明やバックライトに応用することもできる。
以下に合成例および実施例を挙げて本発明の特徴をさらに具体的に説明する。以下に示す材料、処理内容、処理手順等は、本発明の趣旨を逸脱しない限り適宜変更することができる。したがって、本発明の範囲は以下に示す具体例により限定的に解釈されるべきものではない。なお、発光特性の評価は、ソースメータ(ケースレー社製:2400シリーズ)、半導体パラメータ・アナライザ(アジレント・テクノロジー社製:E5273A)、光パワーメータ測定装置(ニューポート社製:1930C)、光学分光器(オーシャンオプティクス社製:USB2000)、分光放射計(トプコン社製:SR-3)およびストリークカメラ(浜松ホトニクス(株)製C4334型)を用いて行った。
窒素置換した二つ口フラスコに、2-(4-ブロモフェニル)キノキサリン(1.14g,4.00mmol)、フェノキサジン(0.81g,4.40mmol)、炭酸カリウム(1.82g,13.2mmol)、トルエン40mlを加え、室温下10分間攪拌した。そこに酢酸パラジウム(II)(29.6mg,0.13mmol)、トリ-tertーブチルホスフィン(98.0mg,0.48mmol)、トルエン40mlの混合溶液を加え、24時間加熱・還流した。室温まで放冷した後、クロロホルムと食塩水を加え、有機層を分液・抽出した。無水硫酸マグネシウムを加え脱水し、溶媒を減圧下留去した。クロロホルム:ヘキサン=1:1の混合溶媒を用いたシリカゲルカラムクロマトグラフィーにより目的物(2-(4-N-フェノキサジルフェノキシ)キノキサリン)を単離・精製した(収量:1.44g,収率:92.9%)。
窒素置換した二つ口フラスコに、2-(4-ブロモフェニル)キノキサリン(1.36g,4.78mmol)、3-ジフェニルアミノカルバゾール(1.76g,5.26mmol)、炭酸カリウム(2.18g,15.8mmol)、トルエン30mlを加え、室温下10分間攪拌した。そこに酢酸パラジウム(II)(36.0mg,0.16mmol)、トリ-tertーブチルホスフィン(117mg,0.58mmol)、トルエン30mlの混合溶液を加え、24時間加熱・還流した。室温まで放冷した後、クロロホルムと食塩水を加え、有機層を分液・抽出した。無水硫酸マグネシウムを加え脱水し、溶媒を減圧下留去した。クロロホルムを用いたシリカゲルカラムクロマトグラフィーにより目的物2-{4-N-(3-ジフェニルアミノカルバゾリル)フェニル}キノキサリンを単離・精製した(収量:1.57g,収率:61.1%)。
窒素置換した二つ口フラスコに、2-(4-ブロモフェニル)キノキサリン(1.29g,4.54mmol)、3,6-ジ(ジフェニルアミノ)カルバゾール(3.42g,6.81mmol)、炭酸カリウム(2.82g,20.4mmol)、トルエン45mlを加え、室温下10分間攪拌した。そこに酢酸パラジウム(II)(45.0mg,0.20mmol)、トリ-tertーブチルホスフィン(152mg,0.75mmol)、トルエン45mlの混合溶液を加え、24時間加熱・還流した。室温まで放冷した後、クロロホルムと食塩水を加え、有機層を分液・抽出した。無水硫酸マグネシウムを加え脱水し、溶媒を減圧下留去した。クロロホルムを用いたシリカゲルカラムクロマトグラフィーにより目的物2-[4-N-{3,6-ビス(ジフェニルアミノ)カルバゾリル}フェニル]キノキサリンを単離・精製した(収量:1.28g,収率:40.0%)。
(実施例1) 化合物1を用いた有機フォトルミネッセンス素子の作製と評価
Ar雰囲気のグローブボックス中で化合物1のトルエン溶液(濃度10-5mol/L)を調製した。調製したトルエン溶液の吸収スペクトルと、410nm励起光による発光スペクトルを測定した結果を図2に示す。また、窒素バブリングしたトルエン溶液について、559nmのピーク波長における遅延蛍光を観測した過渡減衰曲線を図3に示す。この過渡減衰曲線は、化合物に励起光を当てて発光強度が失活してゆく過程を測定した発光寿命測定結果を示すものである。通常の一成分の発光(蛍光もしくはリン光)では発光強度は単一指数関数的に減衰する。これは、グラフの縦軸がセミlog である場合には、直線的に減衰することを意味している。図3に示す化合物1の過渡減衰曲線では、観測初期にこのような直線的成分(蛍光)が観測されているが、数μ秒以降には直線性から外れる成分が現れている。これは遅延成分の発光であり、初期の成分と加算される信号は、長時間側に裾をひくゆるい曲線になる。このように発光寿命を測定することによって、化合物1は蛍光成分のほかに遅延成分を含む発光体であることが確認された。フォトルミネッセンス量子効率は、バブリングなしのトルエン溶液で12.6%、窒素バブリングしたトルエン溶液で29.3%であった。
Ar雰囲気のグローブボックス中で化合物1のトルエン溶液(濃度10-5mol/L)を調製した。調製したトルエン溶液の吸収スペクトルと、410nm励起光による発光スペクトルを測定した結果を図2に示す。また、窒素バブリングしたトルエン溶液について、559nmのピーク波長における遅延蛍光を観測した過渡減衰曲線を図3に示す。この過渡減衰曲線は、化合物に励起光を当てて発光強度が失活してゆく過程を測定した発光寿命測定結果を示すものである。通常の一成分の発光(蛍光もしくはリン光)では発光強度は単一指数関数的に減衰する。これは、グラフの縦軸がセミlog である場合には、直線的に減衰することを意味している。図3に示す化合物1の過渡減衰曲線では、観測初期にこのような直線的成分(蛍光)が観測されているが、数μ秒以降には直線性から外れる成分が現れている。これは遅延成分の発光であり、初期の成分と加算される信号は、長時間側に裾をひくゆるい曲線になる。このように発光寿命を測定することによって、化合物1は蛍光成分のほかに遅延成分を含む発光体であることが確認された。フォトルミネッセンス量子効率は、バブリングなしのトルエン溶液で12.6%、窒素バブリングしたトルエン溶液で29.3%であった。
(実施例2) 化合物2を用いた有機フォトルミネッセンス素子の作製と評価
Ar雰囲気のグローブボックス中で化合物2のトルエン溶液(濃度10-5mol/L)を調製した。調製したトルエン溶液の吸収スペクトルと、382nm励起光による発光スペクトルを測定した結果を図4に示す。また、窒素バブリング前後のトルエン溶液について、533nmのピーク波長における遅延蛍光を観測した過渡減衰曲線を図5に示す。フォトルミネッセンス量子効率は、バブリングなしのトルエン溶液で20.6%、窒素バブリングしたトルエン溶液で53.5%であった。
Ar雰囲気のグローブボックス中で化合物2のトルエン溶液(濃度10-5mol/L)を調製した。調製したトルエン溶液の吸収スペクトルと、382nm励起光による発光スペクトルを測定した結果を図4に示す。また、窒素バブリング前後のトルエン溶液について、533nmのピーク波長における遅延蛍光を観測した過渡減衰曲線を図5に示す。フォトルミネッセンス量子効率は、バブリングなしのトルエン溶液で20.6%、窒素バブリングしたトルエン溶液で53.5%であった。
(実施例3) 化合物3を用いた有機フォトルミネッセンス素子の作製と評価
Ar雰囲気のグローブボックス中で化合物3のトルエン溶液(濃度10-5mol/L)を調製した。調製したトルエン溶液の吸収スペクトルと、400nm励起光による発光スペクトルを測定した結果を図6に示す。また、窒素バブリング前後のトルエン溶液について、548nmのピーク波長における遅延蛍光を観測した過渡減衰曲線を図7に示す。フォトルミネッセンス量子効率は、バブリングなしのトルエン溶液で23.2%、窒素バブリングしたトルエン溶液で55.4%であった。
Ar雰囲気のグローブボックス中で化合物3のトルエン溶液(濃度10-5mol/L)を調製した。調製したトルエン溶液の吸収スペクトルと、400nm励起光による発光スペクトルを測定した結果を図6に示す。また、窒素バブリング前後のトルエン溶液について、548nmのピーク波長における遅延蛍光を観測した過渡減衰曲線を図7に示す。フォトルミネッセンス量子効率は、バブリングなしのトルエン溶液で23.2%、窒素バブリングしたトルエン溶液で55.4%であった。
(実施例4) 化合物1を用いた有機エレクトロルミネッセンス素子の作製と評価
膜厚100nmのインジウム・スズ酸化物(ITO)からなる陽極が形成されたガラス基板上に、各薄膜を真空蒸着法にて、真空度5.0×10-4Paで積層した。まず、ITO上にα-NPDを30nmの厚さに形成し、次いでmCPを10nmの厚さに形成した。次に、化合物1とDPEPOを異なる蒸着源から共蒸着し、15nmの厚さの層を形成して発光層とした。この時、化合物1の濃度は6.0重量%とした。次に、TPBiを65nmの厚さに形成し、さらにフッ化リチウム(LiF)を0.5nm真空蒸着し、次いでアルミニウム(Al)を100nmの厚さに蒸着することにより陰極を形成し、有機エレクトロルミネッセンス素子とした。
製造した有機エレクトロルミネッセンス素子を、半導体パラメータ・アナライザ(アジレント・テクノロジー社製:E5273A)、光パワーメータ測定装置(ニューポート社製:1930C)、および光学分光器(オーシャンオプティクス社製:USB2000)を用いて測定したところ、図8に示すように563nmの発光が認められた。電流密度-電圧特性を図9に示し、電流密度-外部量子効率特性を図10に示す。化合物1を発光材料として用いた有機エレクトロルミネッセンス素子は8.6%の外部量子効率を達成した。
膜厚100nmのインジウム・スズ酸化物(ITO)からなる陽極が形成されたガラス基板上に、各薄膜を真空蒸着法にて、真空度5.0×10-4Paで積層した。まず、ITO上にα-NPDを30nmの厚さに形成し、次いでmCPを10nmの厚さに形成した。次に、化合物1とDPEPOを異なる蒸着源から共蒸着し、15nmの厚さの層を形成して発光層とした。この時、化合物1の濃度は6.0重量%とした。次に、TPBiを65nmの厚さに形成し、さらにフッ化リチウム(LiF)を0.5nm真空蒸着し、次いでアルミニウム(Al)を100nmの厚さに蒸着することにより陰極を形成し、有機エレクトロルミネッセンス素子とした。
製造した有機エレクトロルミネッセンス素子を、半導体パラメータ・アナライザ(アジレント・テクノロジー社製:E5273A)、光パワーメータ測定装置(ニューポート社製:1930C)、および光学分光器(オーシャンオプティクス社製:USB2000)を用いて測定したところ、図8に示すように563nmの発光が認められた。電流密度-電圧特性を図9に示し、電流密度-外部量子効率特性を図10に示す。化合物1を発光材料として用いた有機エレクトロルミネッセンス素子は8.6%の外部量子効率を達成した。
(実施例5) 化合物3を用いた有機エレクトロルミネッセンス素子の作製と評価
膜厚100nmのインジウム・スズ酸化物(ITO)からなる陽極が形成されたガラス基板上に、各薄膜を真空蒸着法にて、真空度5.0×10-4Paで積層した。まず、ITO上にα-NPDを30nmの厚さに形成し、次いでmCPを10nmの厚さに形成した。次に、化合物3とDPEPOを異なる蒸着源から共蒸着し、15nmの厚さの層を形成して発光層とした。この時、化合物3の濃度は6.0重量%とした。次に、TPBiを65nmの厚さに形成し、さらにフッ化リチウム(LiF)を0.5nm真空蒸着し、次いでアルミニウム(Al)を100nmの厚さに蒸着することにより陰極を形成し、有機エレクトロルミネッセンス素子とした。
製造した有機エレクトロルミネッセンス素子を、半導体パラメータ・アナライザ(アジレント・テクノロジー社製:E5273A)、光パワーメータ測定装置(ニューポート社製:1930C)、および光学分光器(オーシャンオプティクス社製:USB2000)を用いて測定したところ、図11に示すように562nmの発光が認められた。電流密度-電圧特性を図12に示し、電流密度-外部量子効率特性を図13に示す。化合物1を発光材料として用いた有機エレクトロルミネッセンス素子は12.8%の外部量子効率を達成した。仮に発光量子効率が100%の蛍光材料を用いてバランスの取れた理想的な有機エレクトロルミネッセンス素子を試作したとすると、光取り出し効率が20~30%であれば、蛍光発光の外部量子効率は5~7.5%となる。この値が一般に、蛍光材料を用いた有機エレクトロルミネッセンス素子の外部量子効率の理論限界値とされている。図13から明らかなように、化合物1を用いた本発明の有機エレクトロルミネッセンス素子は、理論限界値を超える高い外部量子効率を実現している点で極めて優れている。
膜厚100nmのインジウム・スズ酸化物(ITO)からなる陽極が形成されたガラス基板上に、各薄膜を真空蒸着法にて、真空度5.0×10-4Paで積層した。まず、ITO上にα-NPDを30nmの厚さに形成し、次いでmCPを10nmの厚さに形成した。次に、化合物3とDPEPOを異なる蒸着源から共蒸着し、15nmの厚さの層を形成して発光層とした。この時、化合物3の濃度は6.0重量%とした。次に、TPBiを65nmの厚さに形成し、さらにフッ化リチウム(LiF)を0.5nm真空蒸着し、次いでアルミニウム(Al)を100nmの厚さに蒸着することにより陰極を形成し、有機エレクトロルミネッセンス素子とした。
製造した有機エレクトロルミネッセンス素子を、半導体パラメータ・アナライザ(アジレント・テクノロジー社製:E5273A)、光パワーメータ測定装置(ニューポート社製:1930C)、および光学分光器(オーシャンオプティクス社製:USB2000)を用いて測定したところ、図11に示すように562nmの発光が認められた。電流密度-電圧特性を図12に示し、電流密度-外部量子効率特性を図13に示す。化合物1を発光材料として用いた有機エレクトロルミネッセンス素子は12.8%の外部量子効率を達成した。仮に発光量子効率が100%の蛍光材料を用いてバランスの取れた理想的な有機エレクトロルミネッセンス素子を試作したとすると、光取り出し効率が20~30%であれば、蛍光発光の外部量子効率は5~7.5%となる。この値が一般に、蛍光材料を用いた有機エレクトロルミネッセンス素子の外部量子効率の理論限界値とされている。図13から明らかなように、化合物1を用いた本発明の有機エレクトロルミネッセンス素子は、理論限界値を超える高い外部量子効率を実現している点で極めて優れている。
(比較例1) 比較化合物を用いた評価
実施例1の化合物1のかわりに下記の比較化合物を用いてトルエン溶液(濃度10-5mol/L)を調製した。窒素バブリングしないトルエン溶液と、窒素バブリングしたトルエン溶液について過渡減衰曲線を測定したが、窒素バブリングによって明確な遅延蛍光は認められなかった。このため、比較化合物は遅延蛍光体ではないことが確認された。
実施例1の化合物1のかわりに下記の比較化合物を用いてトルエン溶液(濃度10-5mol/L)を調製した。窒素バブリングしないトルエン溶液と、窒素バブリングしたトルエン溶液について過渡減衰曲線を測定したが、窒素バブリングによって明確な遅延蛍光は認められなかった。このため、比較化合物は遅延蛍光体ではないことが確認された。
本発明の化合物は発光材料として有用である。このため本発明の化合物は、有機エレクトロルミネッセンス素子などの有機発光素子用の発光材料として効果的に用いられる。本発明の化合物の中には、遅延蛍光が放射するものも含まれているため、発光効率が高い有機発光素子を提供することも可能である。このため、本発明は産業上の利用可能性が高い。
1 基板
2 陽極
3 正孔注入層
4 正孔輸送層
5 発光層
6 電子輸送層
7 陰極
2 陽極
3 正孔注入層
4 正孔輸送層
5 発光層
6 電子輸送層
7 陰極
Claims (12)
- 前記一般式(3)のYが下記一般式(4)~(7)のいずれかで表される基であることを特徴とする請求項3に記載の発光材料。
[一般式(4)~(7)において、R21~R24、R27~R38、R41~R48、R51~R58、R61~R65は、各々独立に水素原子または置換基を表す。R21とR22、R22とR23、R23とR24、R27とR28、R28とR29、R29とR30、R31とR32、R32とR33、R33とR34、R35とR36、R36とR37、R37とR38、R41とR42、R42とR43、R43とR44、R45とR46、R46とR47、R47とR48、R51とR52、R52とR53、R53とR54、R55とR56、R56とR57、R57とR58、R61とR62、R62とR63、R63とR64、R64とR65、R54とR61、R55とR65は互いに結合して環状構造を形成していてもよい。] - 一般式(8)において、R23'とR28'の少なくとも一方は置換もしくは無置換のジアリールアミノ基、または置換もしくは無置換のカルバゾール-9-イル基であることを特徴とする請求項5に記載の発光材料。
- 前記一般式(3)のYが前記一般式(5)で表される基であることを特徴とする請求項4に記載の発光材料。
- 請求項1~7のいずれか1項に記載の発光材料を含むことを特徴とする有機発光素子。
- 遅延蛍光を放射することを特徴とする請求項9に記載の有機発光素子。
- 有機エレクトロルミネッセンス素子であることを特徴とする請求項9または請求項10に記載の有機発光素子。
Priority Applications (1)
| Application Number | Priority Date | Filing Date | Title |
|---|---|---|---|
| JP2015521476A JP6367189B2 (ja) | 2013-06-05 | 2014-06-05 | 発光材料、有機発光素子および化合物 |
Applications Claiming Priority (2)
| Application Number | Priority Date | Filing Date | Title |
|---|---|---|---|
| JP2013-119225 | 2013-06-05 | ||
| JP2013119225 | 2013-06-05 |
Publications (1)
| Publication Number | Publication Date |
|---|---|
| WO2014196585A1 true WO2014196585A1 (ja) | 2014-12-11 |
Family
ID=52008217
Family Applications (1)
| Application Number | Title | Priority Date | Filing Date |
|---|---|---|---|
| PCT/JP2014/064905 Ceased WO2014196585A1 (ja) | 2013-06-05 | 2014-06-05 | 発光材料、有機発光素子および化合物 |
Country Status (3)
| Country | Link |
|---|---|
| JP (1) | JP6367189B2 (ja) |
| TW (1) | TW201504230A (ja) |
| WO (1) | WO2014196585A1 (ja) |
Cited By (25)
| Publication number | Priority date | Publication date | Assignee | Title |
|---|---|---|---|---|
| KR20170010715A (ko) * | 2015-07-20 | 2017-02-01 | 롬엔드하스전자재료코리아유한회사 | 지연 형광용 발광 재료 및 이를 포함하는 유기 전계 발광 소자 |
| US9741941B2 (en) | 2014-04-29 | 2017-08-22 | Universal Display Corporation | Organic electroluminescent materials and devices |
| KR20170134841A (ko) | 2016-05-26 | 2017-12-07 | 삼성디스플레이 주식회사 | 함질소 화합물 및 이를 포함하는 유기 전계 발광 소자 |
| WO2020076796A1 (en) | 2018-10-09 | 2020-04-16 | Kyulux, Inc. | Novel composition of matter for use in organic light-emitting diodes |
| WO2021157642A1 (ja) | 2020-02-04 | 2021-08-12 | 株式会社Kyulux | ホスト材料、組成物および有機発光素子 |
| US11101440B2 (en) | 2015-07-01 | 2021-08-24 | Kyushu University, National University Corporation | Organic electroluminescent device |
| WO2021235549A1 (ja) | 2020-05-22 | 2021-11-25 | 株式会社Kyulux | 化合物、発光材料および発光素子 |
| WO2022025248A1 (ja) | 2020-07-31 | 2022-02-03 | 株式会社Kyulux | 化合物、発光材料および発光素子 |
| US11335872B2 (en) | 2016-09-06 | 2022-05-17 | Kyulux, Inc. | Organic light-emitting device |
| WO2022168956A1 (ja) | 2021-02-04 | 2022-08-11 | 株式会社Kyulux | 化合物、発光材料および有機発光素子 |
| US11476435B2 (en) | 2017-08-24 | 2022-10-18 | Kyushu University, National University Corporation | Film and organic light-emitting device containing perovskite-type compound and organic light-emitting material |
| US11482679B2 (en) | 2017-05-23 | 2022-10-25 | Kyushu University, National University Corporation | Compound, light-emitting lifetime lengthening agent, use of n-type compound, film and light-emitting device |
| WO2022244503A1 (ja) | 2021-05-20 | 2022-11-24 | 株式会社Kyulux | 有機発光素子 |
| WO2022270602A1 (ja) | 2021-06-23 | 2022-12-29 | 株式会社Kyulux | 有機発光素子および膜 |
| WO2022270354A1 (ja) | 2021-06-23 | 2022-12-29 | 株式会社Kyulux | 化合物、発光材料および有機発光素子 |
| WO2023282224A1 (ja) | 2021-07-06 | 2023-01-12 | 株式会社Kyulux | 有機発光素子およびその設計方法 |
| WO2023053835A1 (ja) | 2021-09-28 | 2023-04-06 | 株式会社Kyulux | 化合物、組成物、ホスト材料、電子障壁材料および有機発光素子 |
| WO2023090288A1 (ja) | 2021-11-19 | 2023-05-25 | 株式会社Kyulux | 化合物、発光材料および発光素子 |
| WO2023140130A1 (ja) | 2022-01-19 | 2023-07-27 | 株式会社Kyulux | 化合物、発光材料および有機発光素子 |
| US11930654B2 (en) | 2017-07-06 | 2024-03-12 | Kyulux, Inc. | Organic light-emitting element |
| WO2024111223A1 (ja) | 2022-11-22 | 2024-05-30 | 株式会社Kyulux | 化合物、発光材料および発光素子 |
| US12048175B2 (en) | 2015-12-28 | 2024-07-23 | Kyushu University, National University Corporation | Organic electroluminescent device |
| WO2024166785A1 (ja) | 2023-02-10 | 2024-08-15 | 株式会社Kyulux | 化合物、発光材料および発光素子 |
| WO2024181526A1 (ja) | 2023-03-01 | 2024-09-06 | 株式会社Kyulux | 化合物、発光材料および発光素子 |
| WO2024204430A1 (ja) | 2023-03-27 | 2024-10-03 | 株式会社Kyulux | 有機発光素子 |
Citations (4)
| Publication number | Priority date | Publication date | Assignee | Title |
|---|---|---|---|---|
| JP2006199677A (ja) * | 2004-12-24 | 2006-08-03 | Sogo Pharmaceutical Co Ltd | キノリン誘導体及びこれを含有する有機el素子 |
| JP2007262134A (ja) * | 2006-03-27 | 2007-10-11 | Showa Denko Kk | 高分子発光材料、有機エレクトロルミネッセンス素子および表示装置 |
| JP2007284434A (ja) * | 2006-03-21 | 2007-11-01 | Semiconductor Energy Lab Co Ltd | キノキサリン誘導体、およびキノキサリン誘導体を用いた発光素子、発光装置、電子機器 |
| JP2010059144A (ja) * | 2008-06-25 | 2010-03-18 | Gracel Display Inc | 新規な有機電界発光化合物及びこれを使用する有機電界発光素子 |
Family Cites Families (4)
| Publication number | Priority date | Publication date | Assignee | Title |
|---|---|---|---|---|
| KR20110008723A (ko) * | 2009-07-21 | 2011-01-27 | 다우어드밴스드디스플레이머티리얼 유한회사 | 신규한 유기 발광 화합물 및 이를 포함하는 유기 전계 발광 소자 |
| KR20110102055A (ko) * | 2010-03-10 | 2011-09-16 | 제일모직주식회사 | 유기광전소자용 화합물 및 이를 포함하는 유기광전소자 |
| WO2012077902A2 (ko) * | 2010-12-08 | 2012-06-14 | 제일모직 주식회사 | 유기광전자소자용 화합물, 이를 포함하는 유기발광소자 및 상기 유기발광소자를 포함하는 표시장치 |
| KR101809899B1 (ko) * | 2011-02-14 | 2017-12-21 | 에스에프씨 주식회사 | 피리딘 유도체 화합물 및 이를 포함하는 유기전계발광소자 |
-
2014
- 2014-06-05 TW TW103119610A patent/TW201504230A/zh unknown
- 2014-06-05 JP JP2015521476A patent/JP6367189B2/ja active Active
- 2014-06-05 WO PCT/JP2014/064905 patent/WO2014196585A1/ja not_active Ceased
Patent Citations (4)
| Publication number | Priority date | Publication date | Assignee | Title |
|---|---|---|---|---|
| JP2006199677A (ja) * | 2004-12-24 | 2006-08-03 | Sogo Pharmaceutical Co Ltd | キノリン誘導体及びこれを含有する有機el素子 |
| JP2007284434A (ja) * | 2006-03-21 | 2007-11-01 | Semiconductor Energy Lab Co Ltd | キノキサリン誘導体、およびキノキサリン誘導体を用いた発光素子、発光装置、電子機器 |
| JP2007262134A (ja) * | 2006-03-27 | 2007-10-11 | Showa Denko Kk | 高分子発光材料、有機エレクトロルミネッセンス素子および表示装置 |
| JP2010059144A (ja) * | 2008-06-25 | 2010-03-18 | Gracel Display Inc | 新規な有機電界発光化合物及びこれを使用する有機電界発光素子 |
Non-Patent Citations (1)
| Title |
|---|
| "Novel Electron-Transporting Carbazolylphenylquinolines for Phosphorescent Organic Light-Emitting Diodes", JAPANESE JOURNAL OF APPLIED PHYSICS, vol. 45, no. 12, 2006, pages 9228 - 9230 * |
Cited By (31)
| Publication number | Priority date | Publication date | Assignee | Title |
|---|---|---|---|---|
| US9741941B2 (en) | 2014-04-29 | 2017-08-22 | Universal Display Corporation | Organic electroluminescent materials and devices |
| US11101440B2 (en) | 2015-07-01 | 2021-08-24 | Kyushu University, National University Corporation | Organic electroluminescent device |
| KR102837349B1 (ko) * | 2015-07-20 | 2025-07-24 | 듀폰스페셜티머터리얼스코리아 유한회사 | 지연 형광용 발광 재료 및 이를 포함하는 유기 전계 발광 소자 |
| KR20170010715A (ko) * | 2015-07-20 | 2017-02-01 | 롬엔드하스전자재료코리아유한회사 | 지연 형광용 발광 재료 및 이를 포함하는 유기 전계 발광 소자 |
| US12048175B2 (en) | 2015-12-28 | 2024-07-23 | Kyushu University, National University Corporation | Organic electroluminescent device |
| KR20170134841A (ko) | 2016-05-26 | 2017-12-07 | 삼성디스플레이 주식회사 | 함질소 화합물 및 이를 포함하는 유기 전계 발광 소자 |
| US10686139B2 (en) | 2016-05-26 | 2020-06-16 | Samsung Display Co., Ltd. | Nitrogen-containing compound and organic electroluminescence device including the same |
| US11335872B2 (en) | 2016-09-06 | 2022-05-17 | Kyulux, Inc. | Organic light-emitting device |
| US11482679B2 (en) | 2017-05-23 | 2022-10-25 | Kyushu University, National University Corporation | Compound, light-emitting lifetime lengthening agent, use of n-type compound, film and light-emitting device |
| US11930654B2 (en) | 2017-07-06 | 2024-03-12 | Kyulux, Inc. | Organic light-emitting element |
| US11476435B2 (en) | 2017-08-24 | 2022-10-18 | Kyushu University, National University Corporation | Film and organic light-emitting device containing perovskite-type compound and organic light-emitting material |
| WO2020076796A1 (en) | 2018-10-09 | 2020-04-16 | Kyulux, Inc. | Novel composition of matter for use in organic light-emitting diodes |
| WO2021157642A1 (ja) | 2020-02-04 | 2021-08-12 | 株式会社Kyulux | ホスト材料、組成物および有機発光素子 |
| WO2021157593A1 (ja) | 2020-02-04 | 2021-08-12 | 株式会社Kyulux | 組成物、膜、有機発光素子、発光組成物を提供する方法およびプログラム |
| WO2021235549A1 (ja) | 2020-05-22 | 2021-11-25 | 株式会社Kyulux | 化合物、発光材料および発光素子 |
| WO2022025248A1 (ja) | 2020-07-31 | 2022-02-03 | 株式会社Kyulux | 化合物、発光材料および発光素子 |
| WO2022168956A1 (ja) | 2021-02-04 | 2022-08-11 | 株式会社Kyulux | 化合物、発光材料および有機発光素子 |
| WO2022244503A1 (ja) | 2021-05-20 | 2022-11-24 | 株式会社Kyulux | 有機発光素子 |
| WO2022270354A1 (ja) | 2021-06-23 | 2022-12-29 | 株式会社Kyulux | 化合物、発光材料および有機発光素子 |
| WO2022270602A1 (ja) | 2021-06-23 | 2022-12-29 | 株式会社Kyulux | 有機発光素子および膜 |
| WO2023282224A1 (ja) | 2021-07-06 | 2023-01-12 | 株式会社Kyulux | 有機発光素子およびその設計方法 |
| WO2023053835A1 (ja) | 2021-09-28 | 2023-04-06 | 株式会社Kyulux | 化合物、組成物、ホスト材料、電子障壁材料および有機発光素子 |
| WO2023090288A1 (ja) | 2021-11-19 | 2023-05-25 | 株式会社Kyulux | 化合物、発光材料および発光素子 |
| WO2023140130A1 (ja) | 2022-01-19 | 2023-07-27 | 株式会社Kyulux | 化合物、発光材料および有機発光素子 |
| WO2024111223A1 (ja) | 2022-11-22 | 2024-05-30 | 株式会社Kyulux | 化合物、発光材料および発光素子 |
| EP4624468A1 (en) | 2022-11-22 | 2025-10-01 | Kyulux, Inc. | Compound, light-emitting material and light-emitting element |
| WO2024166785A1 (ja) | 2023-02-10 | 2024-08-15 | 株式会社Kyulux | 化合物、発光材料および発光素子 |
| EP4663634A1 (en) | 2023-02-10 | 2025-12-17 | Kyulux, Inc. | Compound, light-emitting material, and light-emitting element |
| WO2024181526A1 (ja) | 2023-03-01 | 2024-09-06 | 株式会社Kyulux | 化合物、発光材料および発光素子 |
| EP4674848A1 (en) | 2023-03-01 | 2026-01-07 | Kyulux, Inc. | Compound, light-emitting material, and light-emitting element |
| WO2024204430A1 (ja) | 2023-03-27 | 2024-10-03 | 株式会社Kyulux | 有機発光素子 |
Also Published As
| Publication number | Publication date |
|---|---|
| JPWO2014196585A1 (ja) | 2017-02-23 |
| TW201504230A (zh) | 2015-02-01 |
| JP6367189B2 (ja) | 2018-08-01 |
Similar Documents
| Publication | Publication Date | Title |
|---|---|---|
| JP6367189B2 (ja) | 発光材料、有機発光素子および化合物 | |
| JP6225111B2 (ja) | 発光材料、化合物、およびそれらを用いた有機発光素子 | |
| JP6277182B2 (ja) | 化合物、発光材料および有機発光素子 | |
| JP6293417B2 (ja) | 化合物、発光材料および有機発光素子 | |
| JP6263524B2 (ja) | 化合物、発光材料および有機発光素子 | |
| JP6326050B2 (ja) | 化合物、発光材料および有機発光素子 | |
| JP6472383B2 (ja) | 発光材料、並びに、これを用いた遅延蛍光体および有機発光素子 | |
| JP6318155B2 (ja) | 化合物、発光材料および有機発光素子 | |
| JP6383538B2 (ja) | 発光材料、有機発光素子および化合物 | |
| JP5594750B2 (ja) | 化合物、発光材料および有機発光素子 | |
| JP6284370B2 (ja) | 発光材料、有機発光素子および化合物 | |
| JP6469076B2 (ja) | 発光材料、有機発光素子および化合物 | |
| WO2015133501A1 (ja) | 発光材料、有機発光素子および化合物 | |
| JP2018100411A (ja) | 発光材料、化合物および有機発光素子 | |
| WO2015080183A1 (ja) | 発光材料、有機発光素子および化合物 | |
| JPWO2014126200A1 (ja) | 化合物、発光材料および有機発光素子 | |
| WO2015137244A1 (ja) | 発光材料、有機発光素子および化合物 | |
| JP6647514B2 (ja) | 有機発光素子ならびにそれに用いる発光材料および化合物 | |
| WO2014126076A1 (ja) | 化合物、発光材料および有機発光素子 | |
| JP6622484B2 (ja) | 発光材料、有機発光素子および化合物 | |
| JP2018111751A (ja) | 発光材料、化合物および有機発光素子 | |
| JP2016084283A (ja) | 化合物、発光材料および有機発光素子 |
Legal Events
| Date | Code | Title | Description |
|---|---|---|---|
| 121 | Ep: the epo has been informed by wipo that ep was designated in this application |
Ref document number: 14807251 Country of ref document: EP Kind code of ref document: A1 |
|
| DPE1 | Request for preliminary examination filed after expiration of 19th month from priority date (pct application filed from 20040101) | ||
| ENP | Entry into the national phase |
Ref document number: 2015521476 Country of ref document: JP Kind code of ref document: A |
|
| NENP | Non-entry into the national phase |
Ref country code: DE |
|
| 122 | Ep: pct application non-entry in european phase |
Ref document number: 14807251 Country of ref document: EP Kind code of ref document: A1 |




















































