WO2014174847A1 - 固形医薬組成物 - Google Patents

固形医薬組成物 Download PDF

Info

Publication number
WO2014174847A1
WO2014174847A1 PCT/JP2014/002309 JP2014002309W WO2014174847A1 WO 2014174847 A1 WO2014174847 A1 WO 2014174847A1 JP 2014002309 W JP2014002309 W JP 2014002309W WO 2014174847 A1 WO2014174847 A1 WO 2014174847A1
Authority
WO
WIPO (PCT)
Prior art keywords
pharmaceutical composition
sodium
solid pharmaceutical
acid
salting
Prior art date
Legal status (The legal status is an assumption and is not a legal conclusion. Google has not performed a legal analysis and makes no representation as to the accuracy of the status listed.)
Ceased
Application number
PCT/JP2014/002309
Other languages
English (en)
French (fr)
Japanese (ja)
Inventor
内田 浩
真隆 花田
義一 宮崎
Current Assignee (The listed assignees may be inaccurate. Google has not performed a legal analysis and makes no representation or warranty as to the accuracy of the list.)
Kyorin Pharmaceutical Co Ltd
Original Assignee
Kyorin Pharmaceutical Co Ltd
Priority date (The priority date is an assumption and is not a legal conclusion. Google has not performed a legal analysis and makes no representation as to the accuracy of the date listed.)
Filing date
Publication date
Application filed by Kyorin Pharmaceutical Co Ltd filed Critical Kyorin Pharmaceutical Co Ltd
Priority to JP2014541239A priority Critical patent/JP5700740B1/ja
Priority to US14/786,412 priority patent/US9687453B2/en
Priority to CA2910121A priority patent/CA2910121A1/en
Priority to CN201480036230.1A priority patent/CN105338981B/zh
Priority to EP14789034.7A priority patent/EP2990039A4/en
Publication of WO2014174847A1 publication Critical patent/WO2014174847A1/ja
Anticipated expiration legal-status Critical
Ceased legal-status Critical Current

Links

Images

Classifications

    • AHUMAN NECESSITIES
    • A61MEDICAL OR VETERINARY SCIENCE; HYGIENE
    • A61KPREPARATIONS FOR MEDICAL, DENTAL OR TOILETRY PURPOSES
    • A61K9/00Medicinal preparations characterised by special physical form
    • A61K9/20Pills, tablets, discs, rods
    • A61K9/2004Excipients; Inactive ingredients
    • A61K9/2022Organic macromolecular compounds
    • A61K9/205Polysaccharides, e.g. alginate, gums; Cyclodextrin
    • A61K9/2054Cellulose; Cellulose derivatives, e.g. hydroxypropyl methylcellulose
    • AHUMAN NECESSITIES
    • A61MEDICAL OR VETERINARY SCIENCE; HYGIENE
    • A61KPREPARATIONS FOR MEDICAL, DENTAL OR TOILETRY PURPOSES
    • A61K31/00Medicinal preparations containing organic active ingredients
    • A61K31/33Heterocyclic compounds
    • A61K31/395Heterocyclic compounds having nitrogen as a ring hetero atom, e.g. guanethidine or rifamycins
    • A61K31/435Heterocyclic compounds having nitrogen as a ring hetero atom, e.g. guanethidine or rifamycins having six-membered rings with one nitrogen as the only ring hetero atom
    • A61K31/47Quinolines; Isoquinolines
    • A61K31/4709Non-condensed quinolines and containing further heterocyclic rings
    • AHUMAN NECESSITIES
    • A61MEDICAL OR VETERINARY SCIENCE; HYGIENE
    • A61KPREPARATIONS FOR MEDICAL, DENTAL OR TOILETRY PURPOSES
    • A61K9/00Medicinal preparations characterised by special physical form
    • A61K9/20Pills, tablets, discs, rods
    • A61K9/2004Excipients; Inactive ingredients
    • A61K9/2013Organic compounds, e.g. phospholipids, fats
    • AHUMAN NECESSITIES
    • A61MEDICAL OR VETERINARY SCIENCE; HYGIENE
    • A61KPREPARATIONS FOR MEDICAL, DENTAL OR TOILETRY PURPOSES
    • A61K9/00Medicinal preparations characterised by special physical form
    • A61K9/20Pills, tablets, discs, rods
    • A61K9/28Dragees; Coated pills or tablets, e.g. with film or compression coating
    • A61K9/2806Coating materials
    • A61K9/2833Organic macromolecular compounds
    • A61K9/2853Organic macromolecular compounds obtained otherwise than by reactions only involving carbon-to-carbon unsaturated bonds, e.g. polyethylene glycol, polyethylene oxide, poloxamers, poly(lactide-co-glycolide)
    • AHUMAN NECESSITIES
    • A61MEDICAL OR VETERINARY SCIENCE; HYGIENE
    • A61KPREPARATIONS FOR MEDICAL, DENTAL OR TOILETRY PURPOSES
    • A61K9/00Medicinal preparations characterised by special physical form
    • A61K9/20Pills, tablets, discs, rods
    • A61K9/28Dragees; Coated pills or tablets, e.g. with film or compression coating
    • A61K9/2806Coating materials
    • A61K9/2833Organic macromolecular compounds
    • A61K9/286Polysaccharides, e.g. gums; Cyclodextrin
    • A61K9/2866Cellulose; Cellulose derivatives, e.g. hydroxypropyl methylcellulose
    • AHUMAN NECESSITIES
    • A61MEDICAL OR VETERINARY SCIENCE; HYGIENE
    • A61PSPECIFIC THERAPEUTIC ACTIVITY OF CHEMICAL COMPOUNDS OR MEDICINAL PREPARATIONS
    • A61P31/00Antiinfectives, i.e. antibiotics, antiseptics, chemotherapeutics
    • A61P31/04Antibacterial agents

Definitions

  • the present invention relates to a solid pharmaceutical composition
  • a solid pharmaceutical composition comprising a compound represented by the general formula (1) or a salt thereof.
  • R 1 represents an alkyl group having 1 to 3 carbon atoms which may be substituted with one or more halogen atoms, amino groups or cyano groups
  • R 2 represents an alkyl group having 1 to 3 carbon atoms.
  • R 3 represents a hydrogen atom or a halogen atom
  • R 4 represents a hydrogen atom or a fluorine atom
  • X represents a halogen atom.
  • Non-Patent Documents 1 to 7, Non-Patent Documents 1 and 2 Some active pharmaceutical ingredients are known to gel when subjected to certain conditions. Usually, when a solid preparation is orally administered, it rapidly disintegrates in the gastrointestinal tract, and the active pharmaceutical ingredient is eluted and absorbed into the body. However, when a solid preparation containing a pharmaceutically active ingredient to be gelled is administered, the gelation of the pharmaceutically active ingredient causes a delay in disintegration of the solid preparation and delays the elution of the pharmaceutically active ingredient.
  • Non-Patent Documents 1 and 2 a method of adding a disintegrant ( Non-patent document 1), a method of adding silicic acids (patent documents 1 to 3), a method of micronizing a drug and adsorbing it to a carrier (patent document 4), quickly destroying a film coating, and containing a drug before gelation occurs
  • Patent Document 5 a method of disintegrating the core
  • Patent Document 6 a method using an acid or a basic additive
  • Patent Document 7 a method of taking a molecular dispersion form such as dispersing a drug in a polymer
  • the present invention provides a novel compound capable of suppressing the release delay of the compound represented by the general formula (1) (hereinafter referred to as the compound represented by the formula (1)) or a salt thereof due to gelation of the compound.
  • a pharmaceutical composition is provided.
  • R 1 represents an alkyl group having 1 to 3 carbon atoms which may be substituted with one or more halogen atoms, amino groups or cyano groups
  • R 2 represents an alkyl group having 1 to 3 carbon atoms.
  • R 3 represents a hydrogen atom or a halogen atom
  • R 4 represents a hydrogen atom or a fluorine atom
  • X represents a halogen atom.
  • the present inventors made a composition containing a cellulosic excipient and a salting-out agent to obtain a compound of formula (1) or a salt thereof. As a result, the present invention was completed.
  • the gist of the present invention is as follows. [1] General formula (1): (Wherein R 1 represents an alkyl group having 1 to 3 carbon atoms which may be substituted with 1 or 2 or more halogen atoms, amino groups or cyano groups, and R 2 represents an alkyl group having 1 to 3 carbon atoms, hydrogen An atom, a halogen atom, a hydroxyl group or an amino group, R 3 represents a hydrogen atom or a halogen atom, R 4 represents a hydrogen atom or a fluorine atom, and X represents a halogen atom) or a salt thereof, A solid pharmaceutical composition comprising a cellulosic excipient and a salting-out agent.
  • the acidic substance having a water solubility at 20 ° C. of 10% or more contains one or more compounds selected from the group consisting of glutamate hydrochloride, tartaric acid, citric acid and malic acid.
  • the salting-out agent contains one or more compounds selected from the group consisting of organic acid salts, inorganic salts, and amino acid salts. Any one of [1] to [7] A solid pharmaceutical composition according to 1.
  • salting-out agent citrate, succinate, acetate, phosphate, carbonate, sodium sulfate, sodium sulfite, sodium hydrogen sulfite, calcium chloride, sodium chloride, potassium chloride, magnesium chloride, water
  • a method comprising mixing the compound represented by the general formula (1) or a salt thereof, a cellulose-based excipient, and the salting-out agent, and granulating the obtained mixture by a dry granulation method.
  • the solid pharmaceutical composition according to [1] to [15] which is obtained by: [17] The solid pharmaceutical composition according to any one of [1] to [16], which contains crystalline cellulose as the cellulose-based excipient. [18] The solid pharmaceutical composition according to any one of [1] to [17], which contains a hydrochloride as the salt of the compound represented by the general formula (1). [19] The solid pharmaceutical composition according to [2], wherein the acidic substance is a poorly water-soluble acidic substance. [20] As described in [19], the poorly water-soluble acidic substance contains one or more compounds selected from the group consisting of alginic acid, glutamic acid, aspartic acid, adipic acid, methacrylic acid copolymer L, and fumaric acid.
  • a solid pharmaceutical composition [21] The solid pharmaceutical composition according to [2], wherein the acidic substance is a water-soluble acidic substance. [22] The solid pharmaceutical composition according to [21], containing one or more compounds selected from the group consisting of glutamic acid hydrochloride, tartaric acid, citric acid, and malic acid as the water-soluble acidic substance. . [23] The water-soluble acidic substance is a compound different from the salting-out agent, and the proportion of the water-soluble acidic substance is 1 part by mass of the compound represented by the general formula (1) or a salt thereof. The solid pharmaceutical composition according to [21] or [22], which is 0.001 part by mass or more and 0.05 part by mass or less.
  • a novel pharmaceutical composition capable of suppressing the delayed release of the compound of formula (1) or a salt thereof due to gelation in a solid pharmaceutical composition containing the compound of formula (1) or a salt thereof. It is possible.
  • FIG. 3 is a result of dissolution test of tablets immediately after production obtained in Examples 1 to 3 and Comparative Example 1 (eluent: first liquid).
  • FIG. 6 is a result of dissolution test of tablets immediately after production obtained in Examples 4 to 6 (eluent: first liquid).
  • FIG. 6 shows the results of dissolution test of the tablets immediately after production obtained in Examples 4 to 6 (eluent: water).
  • FIG. 6 shows the results of a dissolution test after storing the tablets obtained in Examples 4 to 6 under accelerated / opening conditions (eluent: first liquid).
  • FIG. 6 shows the results of a dissolution test after storing the tablets obtained in Examples 4 to 6 under accelerated and sealed conditions (eluent: first liquid).
  • FIG. 4 is a result of dissolution test of tablets immediately after production obtained in Examples 8 to 9 (eluent: water). It is a result of the dissolution test of the tablet immediately after manufacture obtained in Example 6, 11, 12 and the comparative example 1 (elution liquid: 1st liquid).
  • FIG. 6 shows the results of dissolution tests of the tablets immediately after production obtained in Examples 13 to 15 (eluent: water).
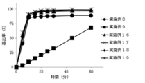
  • FIG. 5 shows the results of dissolution tests on tablets immediately after production obtained in Examples 8, 9, and 16 to 19 (eluent: water).
  • the present embodiment relates to a solid pharmaceutical composition containing a compound represented by the general formula (1) or a salt thereof, a cellulosic excipient, and a salting-out agent.
  • the salting-out agent may be a compound that also acts as an acidic substance having a pH of 3.5 or less, which will be described later.
  • the same compound as the salting-out agent can be contained as an acidic substance having a pH of 3.5 or less.
  • the solid pharmaceutical composition refers to a pharmaceutical composition composed of components that are solid.
  • R 1 represents an alkyl group having 1 to 3 carbon atoms
  • R 2 represents an alkyl group having 1 to 3 carbon atoms, a hydrogen atom, a halogen atom, a hydroxyl group or an amino group
  • R 3 represents a hydrogen atom.
  • R 4 represents a hydrogen atom or a fluorine atom
  • X represents a halogen atom.
  • the alkyl group having 1 to 3 carbon atoms represented as R 1 may be substituted with one or more halogen atoms, amino groups, or cyano groups.
  • halogen atom described in the present specification represents a fluorine atom, a chlorine atom, a bromine atom or an iodine atom.
  • the halogen atom is preferably a fluorine atom.
  • the “alkyl group having 1 to 3 carbon atoms” described in the present specification represents a methyl group, an ethyl group, a propyl group or a 2-propyl group.
  • the compound of formula (1) or a salt thereof contained in the solid pharmaceutical composition of the present embodiment can be produced, for example, by the method described in International Publication No. 2005/026147 pamphlet.
  • the salt of a compound of Formula (1) contains from the point of the improvement of the solubility to water.
  • the salt of the compound of formula (1) that can be contained in the composition of the present embodiment is not particularly limited as long as it is a pharmacologically acceptable salt.
  • Examples of the salt of the compound of formula (1) include salts with inorganic acids such as hydrochloric acid, hydrobromic acid, sulfuric acid, phosphoric acid, maleic acid, fumaric acid, succinic acid, malic acid, malonic acid, methanesulfonic acid, toluenesulfone.
  • hydrochloride is particularly preferable from the viewpoint of stability of the compound.
  • the hydrochloride of the compound of formula (1) is not easily decomposed by light irradiation as compared with the free form of the compound of formula (1) and other salts of the compound of formula (1), the compound is stored under accelerated test conditions. Also, it is excellent in that there is little chemical decomposition.
  • Fluoro-1- (2-fluoroethyl) -8-methoxy-4-oxo-1,4-dihydroquinoline-3-carboxylic acid hydrochloride and even more preferably 7-[(3S, 4S) -3- ⁇ (Cyclopropylamino) methyl ⁇ -4-fluoropyrrolidin-1-yl] -6-fluoro-1- (2-fluoroethyl) -8-methoxy-4-oxo-1,4-dihydroquinoline-3-carvone It is the hydrochloride.
  • a preferable content of the compound of formula (1) or a salt thereof is 10% by mass or more and 70% by mass or less based on the total mass of the solid pharmaceutical composition. More preferably, it is 20 mass% or more and 60 mass% or less, Most preferably, it is 30 mass% or more and 50 mass% or less, More preferably, 35 mass% or more and 45 mass% or less are mentioned.
  • the total mass of the solid pharmaceutical composition means the mass of the whole uncoated tablet.
  • the “plain tablet” is a tablet obtained by compressing a raw material, and means a tablet before coating.
  • a cellulosic excipient and a salting-out agent are contained together with the compound of formula (1) or a salt thereof.
  • the “cellulosic excipient” described in the present specification is an excipient containing cellulose or a derivative thereof as a constituent component.
  • the cellulose-based excipient include one or more of crystalline cellulose, carmellose, carmellose calcium, carmellose sodium, croscarmellose sodium, carboxymethylcellulose calcium, low-substituted hydroxypropylcellulose, and the like according to this embodiment. It is contained in a solid pharmaceutical composition.
  • crystalline cellulose is preferable as the cellulose-based excipient contained in the solid pharmaceutical composition of the present embodiment in that high hardness can be obtained when it is formed into a tablet.
  • the content of the cellulose-based excipient include 10% by mass or more and 70% by mass or less in the total mass of the solid pharmaceutical composition. More preferably, it is 20 mass% or more and 60 mass% or less, Most preferably, it is 25 mass% or more and 50 mass% or less, More preferably, 30 mass% or more and 40 mass% or less are mentioned.
  • the “salting out agent” described in the present specification means a salt exhibiting a salting out action.
  • the “salting out action” described in the present specification is an action for preventing the compound of formula (1) from coming into contact with water to form a highly viscous gel.
  • the salting-out agent is considered to be an action caused by destabilizing the hydration generated between the compound of formula (1) and water.
  • Examples of the “salting out agent” contained in the solid pharmaceutical composition of the present embodiment include organic acid salts, inorganic salts, and amino acid salts.
  • organic acid salts include citrates such as sodium dihydrogen citrate, disodium citrate or sodium citrate, succinates such as disodium succinate, or acetates such as calcium acetate or sodium acetate. .
  • inorganic salts include phosphates such as sodium dihydrogen phosphate, disodium hydrogen phosphate, sodium metaphosphate, trisodium phosphate, potassium dihydrogen phosphate, dipotassium phosphate, sodium polyphosphate or sodium pyrophosphate , Carbonates such as sodium carbonate, sodium bicarbonate, potassium carbonate, potassium bicarbonate or ammonium carbonate, sodium sulfate, sodium sulfite, sodium hydrogen sulfite, calcium chloride, sodium chloride, potassium chloride, magnesium chloride, or sodium hydroxide It is done.
  • the amino acid salt include L-glutamate hydrochloride or glutamate such as sodium glutamate.
  • one or more of these compounds may be contained as a salting-out agent.
  • the salting-out agent contained in the solid pharmaceutical composition of this embodiment is preferably an organic acid salt, particularly preferably a citrate, and still more preferably sodium dihydrogen citrate.
  • a salting-out agent two or more kinds of compounds acting as a salting-out agent are present.
  • the total amount thereof is preferably 0.05 parts by mass or more and 0.50 parts by mass or less with respect to 1 part by mass of the compound of formula (1) or a salt thereof.
  • the salting-out agent is more preferably 0.05 parts by mass or more and 0.40 parts by mass or less, and still more preferably 0, relative to 1 part by mass of the compound of formula (1) or a salt thereof. .10 part by mass or more and 0.30 part by mass or less, more preferably 0.15 part by mass or more and 0.25 part by mass or less.
  • the solid pharmaceutical composition of the present embodiment may contain other components together with the compound of formula (1) or a salt thereof, a cellulosic excipient, and a salting-out agent, for example, an acidic substance having a pH of 3.5 or less. It may be included.
  • a salting-out agent there are compounds that can be said to be acidic substances having a pH of 3.5 or less, as well as salting-out agents such as glutamic acid hydrochloride.
  • the acidic substance having a pH of 3.5 or less contained in the solid pharmaceutical composition of the present embodiment may be a compound acting as a salting-out agent, for example, an acidic substance having a pH of 3.5 or less with the salting-out agent.
  • the substance may be the same compound.
  • the solid pharmaceutical composition of the present embodiment when such a compound having a pH of 3.5 or less is contained as a salting-out agent, other compounds that are acidic substances having a pH of 3.5 or less It may be made to contain.
  • the compound of formula (1) or a salt thereof is decomposed, for example, by being pressurized in the production process to yield a compound represented by the following formula (2).
  • decomposition of the compound of formula (1) or a salt thereof can be suppressed.
  • R 1 , R 2 , R 3 and X are the same as defined above.
  • the solid pharmaceutical composition of the present embodiment is an acidic substance having a pH of 3.5 or less, an acidic substance having a solubility in water at 20 ° C. of less than 10%, and an acidic substance having a solubility in water at 20 ° C. of 10% or more. Substances, or both, can be included.
  • the “acidic substance” described in the present specification is a substance that generates hydrogen ions when dissolved in water.
  • PH described in the present specification is a value obtained by measuring the pH of a solution (2.5% concentration) in which 50 mg of a target substance is weighed and dissolved or suspended in 1950 ⁇ L of water with a pH meter. . Examples of acidic substances having a solubility in water at 20 ° C.
  • the solid pharmaceutical composition of the present embodiment include alginic acid, glutamic acid, aspartic acid, adipic acid, and succinic acid. Examples thereof include acid, methacrylic acid copolymer L, and fumaric acid.
  • the poorly water-soluble acidic substance having a water solubility at 20 ° C. of less than 10% and a pH of 3.5 or less that can be contained in the solid pharmaceutical composition of the present embodiment preferably alginic acid, aspartic acid, adipic acid , Succinic acid or methacrylic acid copolymer L, particularly preferably alginic acid.
  • glutamic acid hydrochloride, tartaric acid, citric acid and malic acid may be used as acidic substances having a solubility in water at 20 ° C. of 10% or higher and a pH of 3.5 or lower which can be contained in the solid pharmaceutical composition of the present embodiment.
  • an acidic substance having a solubility in water at 20 ° C. of 10% or more and a pH of 3.5 or less that can be contained in the solid pharmaceutical composition of the present embodiment glutamic acid hydrochloride, tartaric acid, or citric acid is preferably used. Particularly preferred is glutamic acid hydrochloride.
  • an acidic substance having a pH of 3.5 or lower (two or more pHs of 3.5 or lower is used) in terms of suppressing decomposition of the compound of formula (1) or a salt thereof.
  • the total amount thereof is preferably 0.001 part by mass or more with respect to 1 part by mass of the compound of formula (1) or a salt thereof.
  • the proportion of the acidic substance is more preferably 0.001 part by mass or more and 0.30 part by mass or less, further preferably, relative to 1 part by mass of the compound of formula (1) or a salt thereof. 0.001 mass part or more and 0.10 mass part or less are mentioned.
  • the ratio of the substance is particularly preferably 0.001 part by mass or more and 0.05 part by mass or less from the viewpoint that the elution rate is difficult to decrease.
  • a compound contained as an acidic substance having a pH of 3.5 or less may act as a salting-out agent.
  • a salting-out agent and an acidic substance having a pH of 3.5 or less include glutamic acid hydrochloride.
  • glutamic acid hydrochloride In the solid pharmaceutical composition of the present embodiment, one or two of these compounds are used. The above may be contained.
  • the proportion of the salting-out agent and the acidic substance having a pH of 3.5 or less is the compound of the formula (1) or a salt thereof.
  • the amount is 0.15 parts by mass or more and 0.25 parts by mass or less, more preferably 0.15 parts by mass or more and 0.21 parts by mass or less with respect to parts by mass.
  • the ratio of glutamic acid hydrochloride is 0.01 parts by mass or more, more preferably 0.01 parts by mass or more and 0.5 parts by mass or less, and further preferably 0.02 parts by mass or more and 0.20 parts by mass or less with respect to 1 part by mass of sodium dihydrogen acid.
  • the preferred content of the acidic substance having a pH of 3.5 or less is considered based on the total mass of the uncoated tablet.
  • the ratio of the total amount when an acidic substance having a pH of 3.5 or less is contained is 0.1% by mass or more and 10% by mass or less, more preferably 0.1% by mass in the total mass of the uncoated tablet The amount is 5% by mass or less.
  • the ratio of the acidic substance is particularly preferably from the viewpoint that the elution rate is hardly lowered. 0.2 mass% or more and 2 mass% or less are mentioned.
  • solubility in water refers to a value obtained by calculation using the following equation (A) based on the mass (g) at which solute dissolves in 100 g of water.
  • MW represents the solubility (%) in water
  • C represents the mass (g) at which the solute dissolves in 100 g of water.
  • the acidic substance having a pH of 3.5 or less may contain a poorly water-soluble acidic substance, a water-soluble acidic substance, or both. it can.
  • the “poorly water-soluble acidic substance” described in the present specification means an acidic substance that is slightly soluble in water, an acidic substance that is hardly soluble in water, an acidic substance that is extremely insoluble in water, or an acidic substance that is hardly soluble in water. Means.
  • Examples of the poorly water-soluble acidic substance having a pH of 3.5 or less that can be contained in the solid pharmaceutical composition of the present embodiment include alginic acid, glutamic acid, aspartic acid, adipic acid, methacrylic acid copolymer L, and fumaric acid.
  • the poorly water-soluble acidic substance having a pH of 3.5 or less that can be contained in the solid pharmaceutical composition of the present embodiment is preferably alginic acid, aspartic acid, adipic acid, or methacrylic acid copolymer L, and particularly preferably alginic acid. Is mentioned.
  • the “water-soluble acidic substance” described in the present specification means an acidic substance that is slightly soluble in water, an acidic substance that is easily soluble in water, or an acidic substance that is extremely soluble in water.
  • Examples of the water-soluble acidic substance having a pH of 3.5 or less that can be contained in the solid pharmaceutical composition of the present embodiment include glutamate hydrochloride, tartaric acid, citric acid, and malic acid.
  • the water-soluble acidic substance having a pH of 3.5 or less that can be contained in the solid pharmaceutical composition of the present embodiment is preferably glutamic acid hydrochloride tartaric acid or citric acid, and particularly preferably glutamic acid hydrochloride. .
  • the ratio of the acidic substance decreases the elution rate. From the point that it is hard to carry out, 0.001 mass part or more and 0.05 mass part or less are mentioned especially preferably with respect to 1 mass part of Formula (1) compounds or its salt.
  • solubility is based on the 16th revised Japanese Pharmacopoeia general rules, unless otherwise specified.
  • the degree of dissolution within 30 minutes is expressed as the amount of solvent required to dissolve 1 g or 1 mL of solute. What you did.
  • the meaning of each term is as described in Table 1.
  • “easily soluble in water” means that the amount of water required to dissolve 1 g or 1 mL of solute is 1 mL or more and less than 10 mL
  • “extremely soluble in water” means required to dissolve 1 g or 1 mL of solute. It means that the amount of water is less than 1 mL.
  • the solid pharmaceutical composition of this embodiment may be an oral composition, for example.
  • the solid pharmaceutical composition of the present embodiment can be made into an oral solid preparation such as a tablet, a granule (fine granule), a capsule or a powder, and preferably a tablet.
  • the solid pharmaceutical composition of the present embodiment can be produced according to a usual method according to the dosage form, and the production method can be appropriately selected by those skilled in the art.
  • the said granulation is performed by the dry granulation method.
  • the “dry granulation method” described in the present specification is a method of crushing and classifying raw material powder into particles of an appropriate size after compression molding. Since the dry granulation method enables granulation without using water, gelation of the compound of formula (1) or a salt thereof due to the influence of water can be suppressed.
  • A, B, and C shown below are mixed.
  • the D component may be mixed.
  • the D component may be the same compound as the C component.
  • Lubricants such as stearic acid, stearates (metal salts such as aluminum, potassium, sodium, calcium, and magnesium) and sodium lauryl sulfate may be further added to the powder obtained by mixing.
  • Component A Compound represented by formula (1) or a salt thereof
  • Component B Group consisting of crystalline cellulose, carmellose, carmellose calcium, carmellose sodium, croscarmellose sodium, carboxymethylcellulose calcium, and low-substituted hydroxypropylcellulose
  • Citrate such as sodium dihydrogen citrate, disodium citrate or sodium citrate
  • succinate such as disodium succinate, calcium acetate Or acetate such as sodium acetate, sodium dihydrogen phosphate, disodium hydrogen phosphate, sodium metaphosphate, trisodium phosphate, potassium dihydrogen phosphate, dipotassium phosphate, sodium polyphosphate or sodium pyrophosphate acid
  • Carbonates such as sodium carbonate, sodium hydrogen carbonate, potassium carbonate, potassium hydrogen carbonate or ammonium carbonate, sodium sulfate, sodium sulfite, sodium hydrogen sulfite, calcium chloride, sodium chloride, potassium chloride, magnesium chloride
  • granulation is performed based on the dry granulation method.
  • the obtained mixture is compression-molded with a compression molding machine such as a roller compactor or tableting machine (slag machine), and then pulverized and sized using a granulator such as a roll granulator or sieve.
  • a compression molding machine such as a roller compactor or tableting machine (slag machine)
  • pulverized and sized using a granulator such as a roll granulator or sieve.
  • a granulated product Cellulose excipients such as crystalline cellulose, carmellose, carmellose calcium, carmellose sodium, croscarmellose sodium, carboxymethylcellulose calcium, and low-substituted hydroxypropylcellulose should be added to the resulting granulated product.
  • Low-substituted hydroxypropylcellulose, crystalline cellulose, hydroxypropyl starch, carmellose, carmellose calcium, carmellose sodium, potato starch, corn starch, low-substituted hydroxypropylcellulose, crospovidone, croscarmellose sodium, carboxy Disintegrants such as sodium methyl starch can also be added.
  • lubricants such as stearic acid, stearates (metal salts such as aluminum, potassium, sodium, calcium, and magnesium) and sodium lauryl sulfate can be added to the obtained granulated product.
  • Tablets are obtained by tableting the obtained granulated product or a mixture of the granulated product and additives using a tableting machine. After tableting, the obtained uncoated tablet may be coated with a coating agent such as hypromellose or Kollicoat IR.
  • a coating agent such as hypromellose or Kollicoat IR.
  • NMR spectra were measured using a JEOL JNM-EX400 nuclear magnetic resonance apparatus and using tetramethylsilane (TMS) as an internal standard.
  • MS spectra were measured by JEOL JMS-T100LP and JMS-SX102A mass spectrometers. Elemental analysis was carried out with Yanaco analysis CHN CORDER MT-6 elemental analyzer.
  • the precipitated crystals were collected by filtration and washed with 6.93 L of acetone and 13.9 L of diisopropyl ether to obtain 7.41 kg of wet crystals.
  • the obtained wet crystals were dried under reduced pressure at a preset temperature of 65.0 ° C. for about 20 hours, and bis (acetato-O)-[6,7-difluoro-1- (2-fluoroethyl) -8-methoxy-4- 6.47 kg of oxo-1,4-dihydroquinoline-3-carboxylato-O 3 , O 4 ] boron was obtained (yield 90.3%).
  • the mixture was heated at an external temperature of 55.0 ° C. and dissolved (confirmed dissolution at 47.1 ° C.), then cooled and crystallized. Stir at 39.9-41.0 ° C for 30 minutes, and after cooling (guideline: set temperature to 7.0 ° C up to 20.0 ° C, -10.0 ° C below), 2.2 to Stir at 10.0 ° C. for 1 hour.
  • This solution was filtered by passing through a filter, and washed with a mixed solution of 24.0 L of ethanol and 1.20 L of purified water. After confirming dissolution, 96.0 L of heated ethanol (99.5) was added at 71.2 to 72.6 ° C. The solution was cooled (warm water set temperature 60.0 ° C.), and after confirmation of crystallization (crystallization temperature 61.5 ° C.), the solution was stirred at 59.4 to 61.5 ° C. for 30 minutes.
  • Cooling stepwise (warm water set temperature 40.0 ° C to 50.0 ° C, warm water set temperature 30.0 ° C to 40.0 ° C, hot water set temperature 20.0 ° C to 30.0 ° C Set temperature 7.0 ° C up to 20.0 ° C, set temperature -10.0 ° C up to 15.0 ° C, stored thereafter) and stirred at 4.8-10.0 ° C for 1 hour .
  • Example 1 According to the formulation shown in Table 2, Compound 1 ground for 45 seconds using a wonder blender (WB-1, manufactured by Osaka Chemical Co., Ltd.) and L-glutamate hydrochloride were mixed in a pestle mortar for 3 minutes. The obtained mixture and crystalline cellulose were mixed in a polyethylene bag for 3 minutes. Furthermore, sodium stearyl fumarate was added to the mixture and mixed in a polyethylene bag for 30 seconds. The mixture was compressed and molded to a mass of 200 mg using a tableting machine (HT-AP-18SS-II, Hata Iron Works, mortar with a diameter of 8.5 mm, R face with a radius of curvature of 10 mm) To obtain a granulated product.
  • a tableting machine HT-AP-18SS-II, Hata Iron Works, mortar with a diameter of 8.5 mm, R face with a radius of curvature of 10 mm
  • the granules that passed through the 850 ⁇ m sieve and remained on the 106 ⁇ m sieve were used as the main drug granules.
  • the main drug granules, crystalline cellulose and low substituted hydroxypropylcellulose were mixed in a polyethylene bag for 3 minutes.
  • magnesium stearate was added to the mixture and mixed in a polyethylene bag for 30 seconds.
  • a tableting machine (HT-AP-18SS-II, Hata Iron Works, mortar with a diameter of 8.5 mm, R face with a radius of curvature of 10 mm)
  • the mixture is adjusted to a mass of 250 mg and a tablet thickness of 4.2 mm. Tableting (uncoated tablet) was obtained.
  • Example 2 According to the formulation shown in Table 2, the same procedure as in Example 1 was performed except that sodium dihydrogen citrate was used instead of L-glutamic acid hydrochloride.
  • Example 3 According to the formulation shown in Table 2, the same operation as in Example 1 was performed except that disodium citrate was used instead of L-glutamic acid hydrochloride.
  • Comparative Example 1 According to the formulation shown in Table 2, Compound 1 ground for 45 seconds using a wonder blender (WB-1, manufactured by Osaka Chemical Co., Ltd.) and crystalline cellulose were mixed in a polyethylene bag for 3 minutes. Furthermore, sodium stearyl fumarate was added to the mixture and mixed in a polyethylene bag for 30 seconds. The mixture was compression-molded to a mass of 200 mg using a tableting machine (HT-AP-18SS-II, Hata Iron Works, mortar with a diameter of 8.5 mm, R face with a radius of curvature of 10 mm) To obtain a granulated product.
  • a tableting machine HT-AP-18SS-II, Hata Iron Works, mortar with a diameter of 8.5 mm, R face with a radius of curvature of 10 mm
  • the granules that passed through the 850 ⁇ m sieve and remained on the 106 ⁇ m sieve were used as the main drug granules.
  • the main drug granules, crystalline cellulose and low-substituted hydroxypropylcellulose were mixed in a polyethylene bag for 3 minutes.
  • magnesium stearate was added to the mixture and mixed in a polyethylene bag for 30 seconds.
  • a tableting machine (HT-AP-18SS-II, Hata Iron Works, mortar with a diameter of 8.5 mm, R face with a radius of curvature of 10 mm)
  • the mixture is adjusted to a mass of 250 mg and a tablet thickness of 4.2 mm. Tableting was performed to obtain tablets.
  • Examples 1 to 3 containing a salting-out agent such as L-glutamate hydrochloride (Example 1), sodium dihydrogen citrate (Example 2) or disodium citrate (Example 3)
  • a salting-out agent such as L-glutamate hydrochloride (Example 1), sodium dihydrogen citrate (Example 2) or disodium citrate (Example 3)
  • the dissolution rate was remarkably improved. It can be seen that the tablets of Examples 1 to 3 all show a dissolution rate of 70% or more after 10 minutes and about 90% after 60 minutes (FIG. 2). Since L-glutamate hydrochloride has a pH of 3.5 or less, it plays a role as an acidic substance having a pH of 3.5 or less as well as a salting-out agent.
  • Example 4 In accordance with the formulation described in Table 3, Compound 1, 1 mg of L-glutamate hydrochloride that was pulverized and then sieved using a sieve having a mesh opening of 212 ⁇ m, sodium dihydrogen citrate sieved using a sieve having a mesh of 212 ⁇ m, and crystalline cellulose Mix for 3 minutes in a polyethylene bag. Further, magnesium stearate was added to the mixture and mixed in a polyethylene bag for 1 minute. The mixture was compression-molded using a roller compactor (TF-MINI, manufactured by Freund Sangyo Co., Ltd., roll pressure: 70 kgf, roll rotation speed: 3 min ⁇ 1 ), and then rolled granulator (GRN-T-54-S, Japan).
  • TF-MINI roller compactor
  • Granulated product was obtained using a granulator (4 types of rolls having a pitch width of 6 mm, 2 mm, 1.2 mm, and 0.6 mm were used). The obtained granulated product was sieved using a sieve having an opening of 850 ⁇ m, and the obtained sieved product was used as a main drug granule. Next, the main drug granules, crystalline cellulose and low-substituted hydroxypropylcellulose were mixed in a polyethylene bag for 3 minutes. Further, magnesium stearate was added to the mixture and mixed in a polyethylene bag for 1 minute.
  • a tableting machine (HT-AP-18SS-II, Hata Iron Works, mortar with a diameter of 8.5 mm, R face with a radius of curvature of 10 mm), the mixture is adjusted to a mass of 250 mg and a tablet thickness of 4.2 mm. Tableting was performed to obtain an uncoated tablet. Further, the uncoated tablet was water-based coated with a mixture of hypromellose, titanium oxide and polyethylene glycol 400 using a high coater (HCT-MINI, manufactured by Freund Corporation).
  • HCT-MINI high coater
  • Example 5 The same operation as in Example 4 was performed according to the formulation described in Table 3.
  • Example 6 The same operation as in Example 4 was performed according to the formulation described in Table 3.
  • Example 7 According to the formulation shown in Table 3, Compound 1, sodium dihydrogen citrate sieved using a sieve having an opening of 212 ⁇ m, and crystalline cellulose were mixed in a polyethylene bag for 3 minutes. Further, magnesium stearate was added to the mixture and mixed in a polyethylene bag for 1 minute.
  • the main drug granules, crystalline cellulose and low-substituted hydroxypropylcellulose were mixed in a polyethylene bag for 3 minutes. Further, magnesium stearate was added to the mixture and mixed in a polyethylene bag for 1 minute. Using a tableting machine (HT-AP-18SS-II, Hata Iron Works, mortar with a diameter of 8.5 mm, R face with a radius of curvature of 10 mm), the mixture is adjusted to a mass of 250 mg and a tablet thickness of 4.2 mm. Tableting was performed to obtain an uncoated tablet. Further, the uncoated tablet was water-based coated with a mixture of hypromellose, titanium oxide and polyethylene glycol 400 using a high coater (HCT-MINI, manufactured by Freund Corporation).
  • HCT-MINI high coater
  • Test Example 2 Stability Test Each composition (tablet) of Examples 4 to 7 was filled in a glass bottle and stored in a sealed state at 40 ° C. for 4 weeks. 7- ⁇ (3S, 4S) -3-aminomethyl-4-fluoropyrrolidin-1-yl ⁇ -6-fluoro-1- (2-fluoroethyl) -8-methoxy-4-oxo-1, after storage The content of 4-dihydroquinoline-3-carboxylic acid (compound 2) and the content of compound 1 were measured by liquid chromatography, and the content of compound 2 was expressed as a percentage of the content of compound 1. Test conditions by liquid chromatography were test conditions 1.
  • Table 4 shows the stability test results. Tablets (Examples 4 to 6) containing L-glutamate hydrochloride, which is an acidic substance having a pH of 3.5 or less, are tablets (Examples 7) not containing an acidic substance having a pH of 3.5 or less. In comparison, almost no formation of compound 2 occurred, and the stabilization effect was high.
  • the tablets obtained in Examples 4 to 6 contain sodium dihydrogen citrate as a salting-out agent. Therefore, when the dissolution test is performed under the conditions of Test Example 1 (first liquid) in the same manner as in Examples 1 to 3, a significant improvement in dissolution rate is observed (FIG. 3). It was confirmed whether there was an effect of improving the dissolution rate even when the dissolution test solution was water.
  • Example 4 using 1.0 mg of L-glutamate hydrochloride and Example 5 using 3.0 mg of L-glutamate hydrochloride were compared with Example 6 using 7.2 mg of L-glutamate hydrochloride.
  • the initial elution is fast, and the elution rate is about 60% after 10 minutes. (Fig. 4)
  • Test Example 4 Dissolution test (first solution after storage under accelerated conditions) The tablets obtained in Examples 4 to 6 were filled into glass bottles and stored for 4 weeks under accelerated conditions (40 ° C./75% RH) in the opened and sealed state. The tablets after storage were subjected to a dissolution test in the same manner as in Test Example 1 (test solution: first solution). The results of the dissolution test are shown in FIG. 5 (open plug) and FIG. 6 (tight plug). When stored under accelerated conditions, the elution rate tends to decrease, but Example 4 (L-glutamic acid hydrochloride 1.0 mg) does not cause a decrease in elution rate in both the open and closed conditions. It was. In addition, in Example 5 (L-glutamic acid hydrochloride 3.0 mg), the elution rate did not decrease under the condition of opening.
  • Example 8 In accordance with the formulation shown in Table 5, compound 1, alginic acid sieved using a sieve having an opening of 212 ⁇ m, sodium dihydrogen citrate sieved using a sieve of 212 ⁇ m, and crystalline cellulose were mixed in a polyethylene bag for 3 minutes. . Further, magnesium stearate was added to the mixture and mixed in a polyethylene bag for 1 minute. The mixture was compression-molded using a roller compactor (TF-MINI, manufactured by Freund Sangyo Co., Ltd., roll pressure: 70 kgf, roll rotation speed: 3 min ⁇ 1 ), and then rolled granulator (GRN-T-54-S, Japan).
  • TF-MINI roller compactor
  • Granulated product was obtained using a granulator (4 types of rolls having a pitch width of 6 mm, 2 mm, 1.2 mm, and 0.6 mm were used). The obtained granulated product was sieved using a sieve having an opening of 850 ⁇ m, and the obtained sieved product was used as a main drug granule. Next, the main drug granules, crystalline cellulose and low-substituted hydroxypropylcellulose were mixed in a polyethylene bag for 3 minutes. Further, magnesium stearate was added to the mixture and mixed in a polyethylene bag for 1 minute.
  • a tableting machine (HT-AP-18SS-II, Hata Iron Works, mortar with a diameter of 8.5 mm, R face with a radius of curvature of 10 mm), the mixture is adjusted to a mass of 250 mg and a tablet thickness of 4.2 mm. Tableting was performed to obtain an uncoated tablet. Further, the uncoated tablet was water-based coated with a mixture of hypromellose, titanium oxide and polyethylene glycol 400 using a high coater (HCT-MINI, manufactured by Freund Corporation).
  • HCT-MINI high coater
  • Example 9 The same operation as in Example 8 was carried out using L-glutamic acid hydrochloride instead of alginic acid.
  • Example 10 According to the formulation shown in Table 5, compound 1, sodium dihydrogen citrate sieved using a sieve having an opening of 212 ⁇ m, and crystalline cellulose were mixed in a polyethylene bag for 3 minutes. Further, magnesium stearate was added to the mixture and mixed in a polyethylene bag for 1 minute. The mixture was compression-molded using a roller compactor (TF-MINI, manufactured by Freund Sangyo Co., Ltd., roll pressure: 70 kgf, roll rotation speed: 3 min ⁇ 1 ), and then rolled granulator (GRN-T-54-S, Japan). Granulated product was obtained using a granulator (4 types of rolls having a pitch width of 6 mm, 2 mm, 1.2 mm, and 0.6 mm were used).
  • TF-MINI roller compactor
  • GNN-T-54-S rolled granulator
  • the obtained granulated product was sieved using a sieve having an opening of 850 ⁇ m, and the obtained sieved product was used as a main drug granule.
  • the main drug granules, crystalline cellulose and low-substituted hydroxypropylcellulose were mixed in a polyethylene bag for 3 minutes.
  • magnesium stearate was added to the mixture and mixed in a polyethylene bag for 1 minute.
  • a tableting machine (HT-AP-18SS-II, Hata Iron Works, mortar with a diameter of 8.5 mm, R face with a radius of curvature of 10 mm)
  • the mixture is adjusted to a mass of 250 mg and a tablet thickness of 4.2 mm. Tableting was performed to obtain an uncoated tablet.
  • the uncoated tablet was water-based coated with a mixture of hypromellose, titanium oxide and polyethylene glycol 400 using a high coater (HCT-MINI, manufactured by Freund Corporation).
  • Example 5 Dissolution test (immediately after production, water)
  • the compositions (tablets) obtained in Examples 8 to 9 were subjected to a dissolution test in the same manner as in Test Example 3.
  • the results of the dissolution test are shown in FIG. Example 8 using alginic acid having a solubility in water at 20 ° C. of less than 10% was more eluted than Example 9 using L-glutamate hydrochloride having a solubility in water at 20 ° C. of 10% or more.
  • the rate is high.
  • L-glutamate hydrochloride having a solubility in water at 20 ° C. of 10% or more was used, the elution rate with respect to water tended to decrease as the amount of use increased (FIG. 4). It can be seen that a high dissolution rate is maintained even when a relatively high dose of 7.2 mg is used.
  • Test Example 6 Stability test The compositions (tablets) obtained in Examples 8 and 10 were filled in glass bottles and stored in a sealed state at 40 ° C for 4 weeks. The content of Compound 2 after storage and the content of Compound 1 were measured by liquid chromatography, and the content of Compound 2 was expressed as a percentage of the content of Compound 1. Test conditions by liquid chromatography were the test conditions 1 described above. The stability test results are shown in Table 6. The tablet containing the alginic acid (Example 8) does not contain the alginic acid, and almost no generation of the compound 2 occurs compared to the tablet containing the acidic substance having a pH of 3.5 or less (Example 10). The stabilization effect was high.
  • Example 11 According to the formulation shown in Table 7, Compound 1, sodium dihydrogen citrate sieved using a sieve having an opening of 212 ⁇ m, and crystalline cellulose were mixed in a polyethylene bag for 3 minutes. Further, magnesium stearate was added to the mixture and mixed in a polyethylene bag for 1 minute. The mixture was compression-molded using a roller compactor (TF-MINI, manufactured by Freund Sangyo Co., Ltd., roll pressure: 70 kgf, roll rotation speed: 3 min ⁇ 1 ), and then rolled granulator (GRN-T-54-S, Japan).
  • TF-MINI roller compactor
  • Granulated product was obtained using a granulator (4 types of rolls having a pitch width of 6 mm, 2 mm, 1.2 mm, and 0.6 mm were used). The obtained granulated product was sieved using a sieve having an opening of 850 ⁇ m, and the obtained sieved product was used as granules. Next, the granules, tartaric acid, crystalline cellulose, and low-substituted hydroxypropylcellulose sieved using a sieve having an opening of 212 ⁇ m were mixed in a polyethylene bag for 3 minutes. Further, magnesium stearate was added to the mixture and mixed in a polyethylene bag for 1 minute.
  • a tableting machine (HT-AP-18SS-II, Hata Iron Works, mortar with a diameter of 8.5 mm, R face with a radius of curvature of 10 mm), the mixture is adjusted to a mass of 250 mg and a tablet thickness of 4.2 mm. Tableting was performed to obtain an uncoated tablet. Further, the uncoated tablet was water-based coated with a mixture of hypromellose, titanium oxide and polyethylene glycol 400 using a high coater (HCT-MINI, manufactured by Freund Corporation).
  • HCT-MINI high coater
  • Example 12 Tablets were produced in the same manner as in Example 11 except that tartaric acid was changed to citric acid.
  • Test Example 7 Dissolution test (first solution)
  • a dissolution test was performed in the same manner as in Test Example 1. The results of the dissolution test are shown in FIG.
  • tartaric acid and citric acid are acidic substances having a solubility in water at 20 ° C. of 10% or more and a pH of 3.5 or less. Similar to the tablet of Example 6, both the tablet of Example 11 containing tartaric acid and the example 12 containing citric acid showed good improvement in dissolution rate.
  • Example 13 According to the formulation shown in Table 8, compound 1, alginic acid, sodium dihydrogen citrate, and crystalline cellulose that had been sieved using a sieve having an opening of 212 ⁇ m were mixed in a polyethylene bag for 3 minutes. Further, magnesium stearate was added to the mixture and mixed in a polyethylene bag for 1 minute. The mixture was compression molded using a roller compactor (TF-MINI, manufactured by Freund Sangyo Co., Ltd., roll pressure: 70 kgf, roll rotation speed: 3 min ⁇ 1 ), and then a roll granulator (GRN-T-54-S, The resulting granulated product was sized using Nippon Granulator Co., Ltd.
  • TF-MINI manufactured by Freund Sangyo Co., Ltd., roll pressure: 70 kgf, roll rotation speed: 3 min ⁇ 1
  • GNN-T-54-S roll granulator
  • the obtained granulated product was sieved using a sieve having an opening of 850 ⁇ m, and the obtained sieved product was used as a main drug granule.
  • the main drug granules, crystalline cellulose and low-substituted hydroxypropylcellulose were mixed in a polyethylene bag for 3 minutes. Further, magnesium stearate was added to the mixture and mixed in a polyethylene bag for 1 minute.
  • the mixture is made to have a mass of 190 mg and a tablet thickness of 3.9 mm.
  • the uncoated tablet was water-based coated with a mixture of hypromellose, titanium oxide and polyethylene glycol 400, and yellow iron sesquioxide using a high coater (HCT-MINI, manufactured by Freund Corporation).
  • Example 14 A tablet was produced in the same manner as in Example 13 except that the amount of alginic acid used was changed to the amount shown in Table 8.
  • Test Example 8 Dissolution test (immediately after production, water) The tablets obtained in Examples 13 to 15 were subjected to a dissolution test in the same manner as in Test Example 3. The results of the dissolution test are shown in FIG.
  • Example 16 In accordance with the formulation shown in Table 9, Compound 1, L-aspartic acid sieved using a sieve having an opening of 212 ⁇ m, sodium dihydrogen citrate sieved using a sieve of 212 ⁇ m, and crystalline cellulose were mixed in a polyethylene bag. Mixed for minutes. Further, magnesium stearate was added to the mixture and mixed in a polyethylene bag for 1 minute. The mixture was compression-molded using a roller compactor (TF-MINI, manufactured by Freund Sangyo Co., Ltd., roll pressure: 70 kgf, roll rotation speed: 3 min ⁇ 1 ), and then rolled granulator (GRN-T-54-S, Japan).
  • TF-MINI roller compactor
  • Granulated product was obtained using a granulator (4 types of rolls having a pitch width of 6 mm, 2 mm, 1.2 mm, and 0.6 mm were used). The obtained granulated product was sieved using a sieve having an opening of 850 ⁇ m, and the obtained sieved product was used as a main drug granule. Next, the main drug granules, crystalline cellulose and low-substituted hydroxypropylcellulose were mixed in a polyethylene bag for 3 minutes. Further, magnesium stearate was added to the mixture and mixed in a polyethylene bag for 1 minute.
  • a tableting machine (HT-AP-18SS-II, Hata Iron Works, mortar with a diameter of 8.5 mm, R face with a radius of curvature of 10 mm), the mixture is adjusted to a mass of 250 mg and a tablet thickness of 4.2 mm. Tableting was performed to obtain an uncoated tablet. Further, the uncoated tablet was water-based coated with a mixture of hypromellose, titanium oxide and polyethylene glycol 400 using a high coater (HCT-MINI, manufactured by Freund Corporation).
  • HCT-MINI high coater
  • Example 17 Tablets were produced in the same manner as in Example 16 except that L-aspartic acid was changed to adipic acid.
  • Example 18 Tablets were produced in the same manner as in Example 16 except that L-aspartic acid was changed to succinic acid.
  • Example 19 A tablet was produced in the same manner as in Example 16 except that L-aspartic acid was changed to methacrylic acid polymer L.
  • L-aspartic acid, adipic acid, succinic acid, and methacrylic acid copolymer L are all acidic substances having a solubility in water at 20 ° C. of less than 10% and a pH of 3.5 or less.
  • the tablets of Examples 8 and 16 to 19 manufactured using such an acidic substance were prepared as Example 9 (compound 1 (1 part by mass) of an acidic substance having a solubility in water at 20 ° C. of 10% or more).
  • Example 9 compound 1 (1 part by mass) of an acidic substance having a solubility in water at 20 ° C. of 10% or more.

Landscapes

  • Health & Medical Sciences (AREA)
  • Life Sciences & Earth Sciences (AREA)
  • Chemical & Material Sciences (AREA)
  • Medicinal Chemistry (AREA)
  • Pharmacology & Pharmacy (AREA)
  • Animal Behavior & Ethology (AREA)
  • General Health & Medical Sciences (AREA)
  • Public Health (AREA)
  • Veterinary Medicine (AREA)
  • Epidemiology (AREA)
  • Engineering & Computer Science (AREA)
  • Bioinformatics & Cheminformatics (AREA)
  • Biophysics (AREA)
  • Molecular Biology (AREA)
  • Communicable Diseases (AREA)
  • Oncology (AREA)
  • Chemical Kinetics & Catalysis (AREA)
  • General Chemical & Material Sciences (AREA)
  • Nuclear Medicine, Radiotherapy & Molecular Imaging (AREA)
  • Organic Chemistry (AREA)
  • Medicinal Preparation (AREA)
  • Pharmaceuticals Containing Other Organic And Inorganic Compounds (AREA)
PCT/JP2014/002309 2013-04-25 2014-04-24 固形医薬組成物 Ceased WO2014174847A1 (ja)

Priority Applications (5)

Application Number Priority Date Filing Date Title
JP2014541239A JP5700740B1 (ja) 2013-04-25 2014-04-24 固形医薬組成物
US14/786,412 US9687453B2 (en) 2013-04-25 2014-04-24 Solid pharmaceutical composition
CA2910121A CA2910121A1 (en) 2013-04-25 2014-04-24 A pharmaceutical composition comprising a 1,4-dihydroquinoline carboxylic acid a cellulosic excipient and a salting-out agent
CN201480036230.1A CN105338981B (zh) 2013-04-25 2014-04-24 固体药用组合物
EP14789034.7A EP2990039A4 (en) 2013-04-25 2014-04-24 Solid pharmaceutical composition

Applications Claiming Priority (2)

Application Number Priority Date Filing Date Title
JP2013-092169 2013-04-25
JP2013092169 2013-04-25

Publications (1)

Publication Number Publication Date
WO2014174847A1 true WO2014174847A1 (ja) 2014-10-30

Family

ID=51791435

Family Applications (1)

Application Number Title Priority Date Filing Date
PCT/JP2014/002309 Ceased WO2014174847A1 (ja) 2013-04-25 2014-04-24 固形医薬組成物

Country Status (6)

Country Link
US (1) US9687453B2 (enExample)
EP (1) EP2990039A4 (enExample)
JP (3) JP5700740B1 (enExample)
CN (1) CN105338981B (enExample)
CA (1) CA2910121A1 (enExample)
WO (1) WO2014174847A1 (enExample)

Cited By (6)

* Cited by examiner, † Cited by third party
Publication number Priority date Publication date Assignee Title
WO2016063542A1 (ja) * 2014-10-23 2016-04-28 杏林製薬株式会社 固形医薬組成物
JP6031216B1 (ja) * 2015-06-02 2016-11-24 杏林製薬株式会社 水性液剤
JP6031217B1 (ja) * 2015-06-02 2016-11-24 杏林製薬株式会社 水性液剤
WO2016195020A1 (ja) * 2015-06-02 2016-12-08 杏林製薬株式会社 水性液剤
WO2016195014A1 (ja) * 2015-06-02 2016-12-08 杏林製薬株式会社 水性液剤
WO2016195021A1 (ja) * 2015-06-02 2016-12-08 杏林製薬株式会社 水性液剤

Families Citing this family (5)

* Cited by examiner, † Cited by third party
Publication number Priority date Publication date Assignee Title
JP5651812B1 (ja) * 2013-04-25 2015-01-14 杏林製薬株式会社 固形医薬組成物
JP2020521795A (ja) * 2017-05-31 2020-07-27 ベーリンガー インゲルハイム インターナショナル ゲゼルシャフト ミット ベシュレンクテル ハフツング (E)−4−(2−(アミノメチル)−3−フルオロアリルオキシ)−N−tert−ブチルベンズアミドを含む医薬組成物および医薬剤形、それらの調製方法、治療方法およびそれらの使用
TW201912157A (zh) 2017-08-18 2019-04-01 美商艾伯維有限公司 治療子宮內膜異位症、子宮纖維瘤、多囊性卵巢症候群及子宮腺肌症之固體醫藥調配物
MX2020001877A (es) * 2017-08-18 2020-09-14 Abbvie Inc Formulaciones farmacéuticas para tratar la endometriosis, los fibromas uterinos, el síndrome de ovario poliquístico o la adenomiosis.
CN116410080B (zh) * 2021-12-31 2025-09-23 万华化学集团股份有限公司 一种异甲基紫罗兰酮生产废盐水中醋酸钾的回收方法

Citations (4)

* Cited by examiner, † Cited by third party
Publication number Priority date Publication date Assignee Title
WO2005026147A1 (ja) * 2003-09-10 2005-03-24 Kyorin Pharmaceutical Co., Ltd. 7−(4−置換−3−シクロプロピルアミノメチル−1−ピロリジニル)キノロンカルボン酸誘導体
WO2013069297A1 (ja) * 2011-11-10 2013-05-16 杏林製薬株式会社 7-{(3s、4s)-3-[(シクロプロピルアミノ)メチル]-4-フルオロピロリジン-1-イル}-6-フルオロ-1-(2-フルオロエチル)-8-メトキシ-4-オキソ-1、4-ジヒドロキノリン-3-カルボン酸の結晶
WO2013145749A1 (ja) * 2012-03-29 2013-10-03 杏林製薬株式会社 カプセル製剤
WO2013145750A1 (ja) * 2012-03-29 2013-10-03 杏林製薬株式会社 カプセル製剤

Family Cites Families (11)

* Cited by examiner, † Cited by third party
Publication number Priority date Publication date Assignee Title
GB8524001D0 (en) 1985-09-30 1985-11-06 Glaxo Group Ltd Pharmaceutical composition
DE69905452D1 (de) 1998-03-03 2003-03-27 Daewoong Pharmaceutical Co Feuchtigkeitsstabile cefuroxim axetil enthaltende pharmazeutische zusammenstellungen
AT413647B (de) 1998-11-26 2006-04-15 Sandoz Ag Verwendung eines copolymerisats aus 1-vinyl-2-pyrrolidon und vinylacetat zur herstellung von cefuroximaxetil-hältigen tabletten
DE10048510A1 (de) 2000-09-29 2002-05-16 Fresenius Kabi De Gmbh Lagerstabile Infusionslösung des Ciprofloxacins mit verringertem Säuregehalt
KR20030087009A (ko) 2001-02-27 2003-11-12 랜박시 래보러터리스 리미티드 세프포독심 프록세틸의 경구용 약학 조성물
EP1459739B1 (en) 2003-03-19 2008-01-02 The Jordanian Pharmaceutical Manufacturing Co. Ltd. Non-hygroscopic pharmaceutical compositions containing non-hydrated quinoline carboxylic acids
RU2007104026A (ru) 2004-07-02 2008-08-10 Дайити Фармасьютикал Ко., Лтд. (JP) Содержащая хинолон лекарственная композиция
WO2006030826A1 (ja) 2004-09-17 2006-03-23 Eisai R & D Management Co., Ltd. 医薬組成物
JPWO2006059716A1 (ja) 2004-12-03 2008-06-05 武田薬品工業株式会社 固形製剤
JP2006298811A (ja) 2005-04-20 2006-11-02 Taiyo Yakuhin Kogyo Kk ゲル化抑制製剤の設計
JP5651812B1 (ja) 2013-04-25 2015-01-14 杏林製薬株式会社 固形医薬組成物

Patent Citations (4)

* Cited by examiner, † Cited by third party
Publication number Priority date Publication date Assignee Title
WO2005026147A1 (ja) * 2003-09-10 2005-03-24 Kyorin Pharmaceutical Co., Ltd. 7−(4−置換−3−シクロプロピルアミノメチル−1−ピロリジニル)キノロンカルボン酸誘導体
WO2013069297A1 (ja) * 2011-11-10 2013-05-16 杏林製薬株式会社 7-{(3s、4s)-3-[(シクロプロピルアミノ)メチル]-4-フルオロピロリジン-1-イル}-6-フルオロ-1-(2-フルオロエチル)-8-メトキシ-4-オキソ-1、4-ジヒドロキノリン-3-カルボン酸の結晶
WO2013145749A1 (ja) * 2012-03-29 2013-10-03 杏林製薬株式会社 カプセル製剤
WO2013145750A1 (ja) * 2012-03-29 2013-10-03 杏林製薬株式会社 カプセル製剤

Non-Patent Citations (1)

* Cited by examiner, † Cited by third party
Title
See also references of EP2990039A4 *

Cited By (15)

* Cited by examiner, † Cited by third party
Publication number Priority date Publication date Assignee Title
WO2016063542A1 (ja) * 2014-10-23 2016-04-28 杏林製薬株式会社 固形医薬組成物
JP6018334B2 (ja) * 2014-10-23 2016-11-02 杏林製薬株式会社 固形医薬組成物
US10154993B2 (en) 2014-10-23 2018-12-18 Kyorin Pharmaceutical Co., Ltd. Solid pharmaceutical composition
WO2016195021A1 (ja) * 2015-06-02 2016-12-08 杏林製薬株式会社 水性液剤
WO2016195020A1 (ja) * 2015-06-02 2016-12-08 杏林製薬株式会社 水性液剤
WO2016195014A1 (ja) * 2015-06-02 2016-12-08 杏林製薬株式会社 水性液剤
JP6031217B1 (ja) * 2015-06-02 2016-11-24 杏林製薬株式会社 水性液剤
JPWO2016195020A1 (ja) * 2015-06-02 2018-03-29 杏林製薬株式会社 水性液剤
JP6031216B1 (ja) * 2015-06-02 2016-11-24 杏林製薬株式会社 水性液剤
EP3305296A4 (en) * 2015-06-02 2019-02-13 Kyorin Pharmaceutical Co., Ltd. AQUEOUS LIQUID FORMULATION
US10206917B2 (en) 2015-06-02 2019-02-19 Kyorin Pharmaceutical Co., Ltd. Aqueous drug
EP3305295A4 (en) * 2015-06-02 2019-02-20 Kyorin Pharmaceutical Co., Ltd. AQUEOUS MEDICINE
EP3305294A4 (en) * 2015-06-02 2019-02-20 Kyorin Pharmaceutical Co., Ltd. AQUEOUS MEDICINE
US10406149B2 (en) 2015-06-02 2019-09-10 Kyorin Pharmaceutical Co., Ltd. Aqueous liquid formulation
US10617684B2 (en) 2015-06-02 2020-04-14 Kyorin Pharmaceutical Co., Ltd. Aqueous drug

Also Published As

Publication number Publication date
CN105338981B (zh) 2017-10-13
JPWO2014174847A1 (ja) 2017-02-23
EP2990039A1 (en) 2016-03-02
JP6397778B2 (ja) 2018-09-26
JP6689333B2 (ja) 2020-04-28
JP2015110646A (ja) 2015-06-18
US9687453B2 (en) 2017-06-27
JP5700740B1 (ja) 2015-04-15
EP2990039A4 (en) 2017-02-22
CA2910121A1 (en) 2014-10-30
US20160074330A1 (en) 2016-03-17
JP2018199713A (ja) 2018-12-20
CN105338981A (zh) 2016-02-17

Similar Documents

Publication Publication Date Title
JP6397778B2 (ja) 固形医薬組成物
JP5651812B1 (ja) 固形医薬組成物
JPWO2011021597A1 (ja) キノリン誘導体含有医薬組成物
EP3606511A1 (en) Pharmaceutical composition comprising lenvatinib mesylate
JP6349306B2 (ja) 錠剤
EP3860606B1 (en) Pharmaceutical composition comprising lenvatinib esylate or tosylate
JP4759102B2 (ja) 経口投与用医薬組成物
JP6063379B2 (ja) 固形医薬組成物
JP6018334B2 (ja) 固形医薬組成物
WO2016063544A1 (ja) 固形医薬組成物

Legal Events

Date Code Title Description
WWE Wipo information: entry into national phase

Ref document number: 201480036230.1

Country of ref document: CN

ENP Entry into the national phase

Ref document number: 2014541239

Country of ref document: JP

Kind code of ref document: A

121 Ep: the epo has been informed by wipo that ep was designated in this application

Ref document number: 14789034

Country of ref document: EP

Kind code of ref document: A1

ENP Entry into the national phase

Ref document number: 2910121

Country of ref document: CA

WWE Wipo information: entry into national phase

Ref document number: 14786412

Country of ref document: US

NENP Non-entry into the national phase

Ref country code: DE

WWE Wipo information: entry into national phase

Ref document number: 2014789034

Country of ref document: EP