RU2623965C2 - Способ модифицирования магниевых сплавов системы Mg-Al-Zn-Mn - Google Patents
Способ модифицирования магниевых сплавов системы Mg-Al-Zn-Mn Download PDFInfo
- Publication number
- RU2623965C2 RU2623965C2 RU2015155167A RU2015155167A RU2623965C2 RU 2623965 C2 RU2623965 C2 RU 2623965C2 RU 2015155167 A RU2015155167 A RU 2015155167A RU 2015155167 A RU2015155167 A RU 2015155167A RU 2623965 C2 RU2623965 C2 RU 2623965C2
- Authority
- RU
- Russia
- Prior art keywords
- melt
- freon
- modifying
- carbon
- alloys
- Prior art date
Links
- 238000000034 method Methods 0.000 title claims abstract description 23
- 229910000861 Mg alloy Inorganic materials 0.000 title claims abstract description 10
- 229910045601 alloy Inorganic materials 0.000 claims abstract description 17
- 239000000956 alloy Substances 0.000 claims abstract description 17
- XKRFYHLGVUSROY-UHFFFAOYSA-N Argon Chemical compound [Ar] XKRFYHLGVUSROY-UHFFFAOYSA-N 0.000 claims abstract description 12
- 239000007789 gas Substances 0.000 claims abstract description 12
- 239000003607 modifier Substances 0.000 claims abstract description 11
- 239000000203 mixture Substances 0.000 claims abstract description 9
- 230000004907 flux Effects 0.000 claims abstract description 8
- 238000002844 melting Methods 0.000 claims abstract description 8
- 230000008018 melting Effects 0.000 claims abstract description 8
- 229910052786 argon Inorganic materials 0.000 claims abstract description 6
- 230000001681 protective effect Effects 0.000 claims abstract description 5
- 239000000155 melt Substances 0.000 claims description 24
- 239000011777 magnesium Substances 0.000 claims description 7
- FYYHWMGAXLPEAU-UHFFFAOYSA-N Magnesium Chemical compound [Mg] FYYHWMGAXLPEAU-UHFFFAOYSA-N 0.000 claims description 6
- 229910052749 magnesium Inorganic materials 0.000 claims description 6
- 238000007664 blowing Methods 0.000 claims 1
- 238000005260 corrosion Methods 0.000 abstract description 9
- 230000007797 corrosion Effects 0.000 abstract description 9
- 238000010926 purge Methods 0.000 abstract description 8
- 238000005272 metallurgy Methods 0.000 abstract description 2
- 230000000694 effects Effects 0.000 abstract 1
- 239000000126 substance Substances 0.000 abstract 1
- 229910052799 carbon Inorganic materials 0.000 description 15
- OKTJSMMVPCPJKN-UHFFFAOYSA-N Carbon Chemical compound [C] OKTJSMMVPCPJKN-UHFFFAOYSA-N 0.000 description 12
- 235000014380 magnesium carbonate Nutrition 0.000 description 11
- 239000001095 magnesium carbonate Substances 0.000 description 11
- ZLNQQNXFFQJAID-UHFFFAOYSA-L magnesium carbonate Chemical compound [Mg+2].[O-]C([O-])=O ZLNQQNXFFQJAID-UHFFFAOYSA-L 0.000 description 11
- 229910000021 magnesium carbonate Inorganic materials 0.000 description 11
- 239000000460 chlorine Substances 0.000 description 6
- 238000005266 casting Methods 0.000 description 5
- ZAMOUSCENKQFHK-UHFFFAOYSA-N Chlorine atom Chemical compound [Cl] ZAMOUSCENKQFHK-UHFFFAOYSA-N 0.000 description 4
- UFHFLCQGNIYNRP-UHFFFAOYSA-N Hydrogen Chemical compound [H][H] UFHFLCQGNIYNRP-UHFFFAOYSA-N 0.000 description 4
- FAPWRFPIFSIZLT-UHFFFAOYSA-M Sodium chloride Chemical compound [Na+].[Cl-] FAPWRFPIFSIZLT-UHFFFAOYSA-M 0.000 description 4
- 229910052801 chlorine Inorganic materials 0.000 description 4
- 150000001875 compounds Chemical class 0.000 description 4
- 239000001257 hydrogen Substances 0.000 description 4
- 229910052739 hydrogen Inorganic materials 0.000 description 4
- 230000004048 modification Effects 0.000 description 4
- 238000012986 modification Methods 0.000 description 4
- 230000008569 process Effects 0.000 description 4
- 238000012545 processing Methods 0.000 description 4
- 238000006243 chemical reaction Methods 0.000 description 3
- 238000011109 contamination Methods 0.000 description 3
- PXBRQCKWGAHEHS-UHFFFAOYSA-N dichlorodifluoromethane Chemical compound FC(F)(Cl)Cl PXBRQCKWGAHEHS-UHFFFAOYSA-N 0.000 description 3
- 235000019404 dichlorodifluoromethane Nutrition 0.000 description 3
- 235000012245 magnesium oxide Nutrition 0.000 description 3
- ZCYVEMRRCGMTRW-UHFFFAOYSA-N 7553-56-2 Chemical compound [I] ZCYVEMRRCGMTRW-UHFFFAOYSA-N 0.000 description 2
- CURLTUGMZLYLDI-UHFFFAOYSA-N Carbon dioxide Chemical compound O=C=O CURLTUGMZLYLDI-UHFFFAOYSA-N 0.000 description 2
- VEXZGXHMUGYJMC-UHFFFAOYSA-M Chloride anion Chemical compound [Cl-] VEXZGXHMUGYJMC-UHFFFAOYSA-M 0.000 description 2
- 238000003723 Smelting Methods 0.000 description 2
- 230000015572 biosynthetic process Effects 0.000 description 2
- 235000012255 calcium oxide Nutrition 0.000 description 2
- 125000004432 carbon atom Chemical group C* 0.000 description 2
- 230000007423 decrease Effects 0.000 description 2
- 238000005553 drilling Methods 0.000 description 2
- CKAPSXZOOQJIBF-UHFFFAOYSA-N hexachlorobenzene Chemical compound ClC1=C(Cl)C(Cl)=C(Cl)C(Cl)=C1Cl CKAPSXZOOQJIBF-UHFFFAOYSA-N 0.000 description 2
- VHHHONWQHHHLTI-UHFFFAOYSA-N hexachloroethane Chemical compound ClC(Cl)(Cl)C(Cl)(Cl)Cl VHHHONWQHHHLTI-UHFFFAOYSA-N 0.000 description 2
- 125000004435 hydrogen atom Chemical group [H]* 0.000 description 2
- 238000002715 modification method Methods 0.000 description 2
- 239000002893 slag Substances 0.000 description 2
- 239000011780 sodium chloride Substances 0.000 description 2
- WKBOTKDWSSQWDR-UHFFFAOYSA-N Bromine atom Chemical compound [Br] WKBOTKDWSSQWDR-UHFFFAOYSA-N 0.000 description 1
- PXGOKWXKJXAPGV-UHFFFAOYSA-N Fluorine Chemical compound FF PXGOKWXKJXAPGV-UHFFFAOYSA-N 0.000 description 1
- 238000004458 analytical method Methods 0.000 description 1
- 125000004429 atom Chemical group 0.000 description 1
- GDTBXPJZTBHREO-UHFFFAOYSA-N bromine Substances BrBr GDTBXPJZTBHREO-UHFFFAOYSA-N 0.000 description 1
- 229910052794 bromium Inorganic materials 0.000 description 1
- 125000001246 bromo group Chemical group Br* 0.000 description 1
- BRPQOXSCLDDYGP-UHFFFAOYSA-N calcium oxide Chemical class [O-2].[Ca+2] BRPQOXSCLDDYGP-UHFFFAOYSA-N 0.000 description 1
- 150000001721 carbon Chemical group 0.000 description 1
- 239000001569 carbon dioxide Substances 0.000 description 1
- 229910002092 carbon dioxide Inorganic materials 0.000 description 1
- 125000001309 chloro group Chemical group Cl* 0.000 description 1
- 125000004122 cyclic group Chemical group 0.000 description 1
- 238000000354 decomposition reaction Methods 0.000 description 1
- 238000009792 diffusion process Methods 0.000 description 1
- 238000007865 diluting Methods 0.000 description 1
- 238000005516 engineering process Methods 0.000 description 1
- 150000004673 fluoride salts Chemical class 0.000 description 1
- 229910052731 fluorine Inorganic materials 0.000 description 1
- 239000011737 fluorine Substances 0.000 description 1
- 125000001153 fluoro group Chemical group F* 0.000 description 1
- 238000000227 grinding Methods 0.000 description 1
- 239000011261 inert gas Substances 0.000 description 1
- 230000003993 interaction Effects 0.000 description 1
- 229910052740 iodine Inorganic materials 0.000 description 1
- 239000011630 iodine Substances 0.000 description 1
- 238000002955 isolation Methods 0.000 description 1
- 239000007788 liquid Substances 0.000 description 1
- 229910001338 liquidmetal Inorganic materials 0.000 description 1
- -1 magnesium-aluminum-zinc Chemical compound 0.000 description 1
- 238000004519 manufacturing process Methods 0.000 description 1
- 239000000463 material Substances 0.000 description 1
- 238000010309 melting process Methods 0.000 description 1
- 229910052751 metal Inorganic materials 0.000 description 1
- 239000002184 metal Substances 0.000 description 1
- VNWKTOKETHGBQD-UHFFFAOYSA-N methane Chemical class C VNWKTOKETHGBQD-UHFFFAOYSA-N 0.000 description 1
- 238000002156 mixing Methods 0.000 description 1
- 231100000614 poison Toxicity 0.000 description 1
- 230000009467 reduction Effects 0.000 description 1
- 230000001105 regulatory effect Effects 0.000 description 1
- 238000011160 research Methods 0.000 description 1
- 230000000630 rising effect Effects 0.000 description 1
- 238000012360 testing method Methods 0.000 description 1
- 239000003440 toxic substance Substances 0.000 description 1
- 231100000419 toxicity Toxicity 0.000 description 1
- 230000001988 toxicity Effects 0.000 description 1
- 230000009466 transformation Effects 0.000 description 1
- 238000000844 transformation Methods 0.000 description 1
Classifications
-
- B—PERFORMING OPERATIONS; TRANSPORTING
- B22—CASTING; POWDER METALLURGY
- B22D—CASTING OF METALS; CASTING OF OTHER SUBSTANCES BY THE SAME PROCESSES OR DEVICES
- B22D1/00—Treatment of fused masses in the ladle or the supply runners before casting
Landscapes
- Manufacture And Refinement Of Metals (AREA)
Abstract
Изобретение относится к литейному производству и может быть использовано в металлургической обработке расплава сплавов МЛ5, МЛ5пч, ВМЛ18 и других. Способ включает расплавление магния, введение компонентов сплава в защитной газовой среде без применения флюса и продувку расплава модификатором при температуре 730-750°C. В качестве модификатора используют смесь хладона с аргоном в соотношении (1:1)-(1:3). Обеспечивается повышение механических свойств и коррозионной стойкости сплава. 2 табл., 1 пр.
Description
Изобретение относится к литейному производству и касается способов получения отливок из магниевых сплавов и может быть использовано в металлургической обработке расплава при плавке сплавов системы Mg-Al-Zn-Mn (сплавы МЛ5, МЛ5пч, ВМЛ18 и др.).
Модифицирование (измельчение структуры сплава) - одна из основных операций в технологии производства изделий из магниевых сплавов. Процесс модифицирования обеспечивает требуемые стабильные механические свойства сплавов: увеличение пределов прочности, текучести и удлинения (σB, σ0,2, δ), что обеспечивает увеличение ресурса и надежность эксплуатации изделий.
Известен способ модифицирования магниевых сплавов системы магний-алюминий-цинк мелом (CaCO3) посредством введения его в жидкий металлический расплав при 760-780°С в количестве 0,5-0,6% от массы расплава при последующей обработке поверхности расплава хлористыми или фтористыми солями [1].
Недостатком этого способа обработки расплава является высокая температура процесса (до 780°С), насыщение жидкого расплава водородом из-за гигроскопичности мела, загрязнение окислами магния и кальция в соответствии с химическими реакциями:
CaCO3→СаО+CO2
Mg+CO2→MgO+СО
Также известен способ модифицирования указанных сплавов гексахлорэтаном или гексахлорбензолом в количестве 0,08-0,1% от массы расплава при температуре ≤750°С [2].
Недостатком указанного способа модифицирования является токсичность гексахлорэтана и гексахлорбензола из-за выделения хлора в атмосферу цеха, а также сравнительно высокая стоимость.
Известен способ модифицирования указанных сплавов посредством введения в них магнезита (MgCO3) в количестве 0,3-0,4% от массы расплава при температуре 720-740°С в течение 6-10 минут [1].
Недостатком способа модифицирования магнезитом является загрязнение расплава оксидами в процессе разложения магнезита по химической реакции MgCO3→MgO+CO2, а также сильное бурление расплава, приводящее к повышенной окисляемости и дополнительному загрязнению расплава оксидами и шлаками.
При всех указанных способах коррозионная стойкость отливок из магниевых сплавов значительно снижается вследствие замешивания в расплав хлорсодержащих флюсов.
Известен способ модифицирования магниевых сплавов системы Mg-Al-Zn-Mn, включающий расплавление магния, введение компонентов сплава в защитной газовой среде без применения флюса и продувку расплава модификатором при температуре 730-750°С (см. напр. a.c.SU 624701 А, B22D 1/00, 10.08.1978).
Недостатком известного способа является неполное прохождение процесса модифицирования сплава, дополнительное загрязнение расплава оксидными и хлоридными включениями, что понижает механические свойства и коррозионную стойкость.
В основу изобретения поставлена задача по разработке способа металлургической обработки сплавов системы Mg-Al-Zn-Mn, к которой относятся сплавы МЛ5, МЛ5пч, МЛ18 и новые, для обеспечения стабильных высоких механических свойств (более 235÷240 МПа) и коррозионная стойкость при исключении загрязнения расплава и, в последующем, отливок оксидными и флюсовыми включениями.
Поставленная техническая задача достигается тем, что предложен способ модифицирования магниевых сплавов системы Mg-Al-Zn-Mn, включающий расплавление магния, введение компонентов сплава в защитной газовой среде без применения флюса и продувку расплава модификатором при температуре 730-750°С, причем в качестве модификатора используют смесь хладона с аргоном в соотношении (1:1)-(1:3).
Поскольку в качестве модификатора используют смесь хладона с аргоном, в соотношении (1:1)-(1:3) обеспечиваются стабильные высокие механические свойства (более 235÷240 МПа) и коррозионная стойкость при исключении загрязнения расплава и, в последующем, отливок оксидными и флюсовыми включениями.
Пример осуществления по международному стандарту ISO №817-74, техническое обозначение фреона (хладона) состоит из буквенного обозначения R (от слова refrigerent) и цифрового обозначения:
третья цифра справа - это число атомов углерода в соединении минус единица (для соединений метанового ряда нуль опускается);
число атомов хлора в соединении находят вычитанием суммарного числа атомов фтора и водорода из общего числа атомов, которые могут соединяться с атомами углерода;
в случае, когда на месте хлора находится бром, в конце определяющего номера ставится буква В и цифра, показывающая число атомов брома в молекуле.
в случае, когда на месте хлора находится йод, в конце определяющего номера ставится буква I и цифра, показывающая число атомов йода в молекуле.
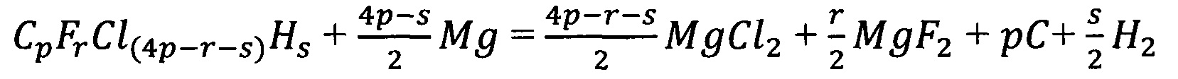
Поэтому, в общем виде все фреоны могут быть описаны формулой CpFrCl(4р-r-s)HS.
Реакция взаимодействия хладона с магнием в общем виде будет соответствовать уравнению:
Для фреона 12 уравнение примет вид:
CF2Cl2+2Mg=MgCl2+MgF2+С
Присутствие аргона в смеси с хладоном, кроме сокращения расхода активного газа, снижения загрязнения расплава продуктами взаимодействия и повышения качества металла, дополнительно приводит к снижению содержания водорода в расплаве за счет диффузионного выделения последнего из раствора в полость пузырька, поднимающегося сквозь толщу расплава. Это, естественно, не относится к хладонам, содержащим в своем составе водород.
В тигельную печь загружают магний, после его расплавления вводят компоненты сплава.
Процесс плавки ведут в газовой защитной среде без использования флюса.
При температуре 730-750°С расплав продувают смесью хладона с аргоном, в соотношении (1:1)÷(1:3), не допуская сильного бурления в количестве 0,05-0,2 масс % углерода от массы расплава.
1 г - моль магнезита весит: 24+12+16×3=84 г
1 г - моль углекислого газа весит: 12+16×2=44 г
1 г - атом углерода весит: 12 г
Магнезит при 740-780°С диссоциирует на 96%, т.е. образуется 12×0,96=11,52 г углерода.
Это количество получается из 84 г магнезита.
При модифицировании магнезитом используют 0,3-0,5% магнезита от массы плавки.
Если масса плавки равна 100 кг, то используем 300-500 г магнезита в пересчете на углерод от 41 до 69 г углерода, т.е. приблизительно 0,04 - 0,07% от массы плавки.
1 г⋅моль фреона-12 весит: 12+35,5×2+19×2=121 г=22,4 л, 1 г⋅атом углерода весит: 12 г, т.е. приблизительно 10% от массы фреона.
Углерод выделяется в чистом виде из газовой фазы без промежуточных превращений, т.е. увеличивается вероятность его более полного выделения и усвоения.
В наших условиях плавка продувается в течение 4-6 мин при расходе 30-60 л/мин. Тогда:
4 мин - 120 л или 648 г фреона или 65 г углерода.
- 240 л или 1296 г фреона или 130 г углерода.
6 мин - 180 л или 972 г фреона или 97 г углерода
- 360 л или 1945 г фреона или 194 г углерода
Следовательно, выделяется от 65 до 194 г углерода или 0,06 - 0,19% от массы плавки (100 кг).
При этом возникает связь времени продувки или расхода с массой плавки.
У нас получились хорошие результаты по механическим свойствам и излому при массе плавки 260 кг при тех же режимах продувки, т.е. количество вводимого углерода снижается до 0,02-0,07% от массы плавки, что сопоставимо с результатами по магнезиту, но при этом механические свойства выше приблизительно почти на 20% (от 23,5-24 кг/мм2 при магнезите до 27,5-28 кг/мм2).
Учитывая допущения и значительное (в 3-5 раз) снижение образующегося при модифицировании шлака, можно уменьшить расход или время продувки.
Просто уменьшить расход фреона нельзя, т.к. при этом газ не может преодолевать толщу расплава.
Следовательно, можно либо уменьшить время продувки, либо уменьшить концентрацию фреона в модифицирующем газе.
Однако уменьшение времени продувки затрудняет технологический процесс
Уменьшить концентрацию фреона в модифицирующем газе можно путем разбавления активного газа инертным газом.
Общий расход модифицирующей смеси такой же, как и при продувке чистым фреоном-12 (30-60 л/мин).
При соотношении газов в модифицирующей смеси, равном (1:1), концентрация модификатора в пересчете на углерод составит 0,01-0,03% от массы расплава, а при соотношении, равном (1:3) - 0,005-0,02% от массы расплава.
Плавки проводились по предлагаемому способу и с использованием модификатора-прототипа и аналога (MgCO3), которые указаны в таблице 1.
Механические свойства и коррозионная стойкость исследовались на образцах в термообработанном состоянии (режим Т4).
Коррозионная стойкость образцов определялась по количеству выделившегося водорода при испытании их в 3% растворе хлористого натрия в течение 48 часов.
Механические свойства и коррозионная стойкость образцов сплавов, обработанных предлагаемыми модификаторами и модификатором-прототипом, приводятся в таблице 2.
Анализ результатов, указанных в таблицах 1 и 2, показывает, что предлагаемый способ модифицирования превосходит прототип по следующим характеристикам:
- по пределу прочности,
- по пределу текучести,
- по относительному удлинению.
Коррозионная стойкость (в 3% растворе хлористого натрия) сплава, приготовленного по предлагаемому способу, соответствует требованиям нормативных документов (не превышает 8 см3/см2).
Предлагаемый способ не использует токсичные вещества и не приводит к образованию последних, его проведение не требует дополнительного оборудования, а изделия из сплавов, приготовленных с использованием предлагаемого способа имеют более высокую надежность, длительный ресурс и могут эксплуатироваться во всеклиматических условиях.
Источники информации
1. Альтман М.Б., Лебедев А.А., Чухров М.В. Плавка и литье легких сплавов. - 2-е изд. М.: Металлургия, 1969, 680 с.: ил.; Библиогр. в конце глав.
2. Способ приготовления магниевого сплава для фасонного литья (Патент RU 2184789). С22С 1/02. Фридляндер И.Н., Степанов В.В., Николаева И.Л., Вахрушева Н.Б. Государственное предприятие "Всероссийский научно-исследовательский институт авиационных материалов".
3. Авторское свидетельство СССР 624701 A, B22D 1/00, 10.08.1978
Claims (1)
- Способ модифицирования магниевых сплавов системы Mg-Al-Zn-Mn, включающий расплавление магния, введение компонентов сплава в защитной газовой среде без применения флюса и продувку расплава модификатором при температуре 730-750°С, отличающийся тем, что в качестве модификатора используют смесь хладона с аргоном в соотношении (1:1)-(1:3).
Priority Applications (1)
| Application Number | Priority Date | Filing Date | Title |
|---|---|---|---|
| RU2015155167A RU2623965C2 (ru) | 2015-12-23 | 2015-12-23 | Способ модифицирования магниевых сплавов системы Mg-Al-Zn-Mn |
Applications Claiming Priority (1)
| Application Number | Priority Date | Filing Date | Title |
|---|---|---|---|
| RU2015155167A RU2623965C2 (ru) | 2015-12-23 | 2015-12-23 | Способ модифицирования магниевых сплавов системы Mg-Al-Zn-Mn |
Publications (2)
| Publication Number | Publication Date |
|---|---|
| RU2015155167A RU2015155167A (ru) | 2017-06-27 |
| RU2623965C2 true RU2623965C2 (ru) | 2017-06-29 |
Family
ID=59240367
Family Applications (1)
| Application Number | Title | Priority Date | Filing Date |
|---|---|---|---|
| RU2015155167A RU2623965C2 (ru) | 2015-12-23 | 2015-12-23 | Способ модифицирования магниевых сплавов системы Mg-Al-Zn-Mn |
Country Status (1)
| Country | Link |
|---|---|
| RU (1) | RU2623965C2 (ru) |
Cited By (2)
| Publication number | Priority date | Publication date | Assignee | Title |
|---|---|---|---|---|
| RU2701248C1 (ru) * | 2018-06-25 | 2019-09-25 | Борис Леонидович Бобрышев | Способ бесфлюсовой плавки магниевых сплавов системы магний-алюминий-цинк-марганец и устройство для его осуществления |
| RU2745049C1 (ru) * | 2020-08-07 | 2021-03-18 | Публичное акционерное общество "Авиационная корпорация "Рубин" | Устройство для рафинирования жидкого магниевого сплава продувкой |
Citations (2)
| Publication number | Priority date | Publication date | Assignee | Title |
|---|---|---|---|---|
| SU624701A1 (ru) * | 1976-12-10 | 1978-09-25 | Предприятие П/Я В-8337 | Способ получени отливок из магниевоалюминиевых сплавов |
| RU2184789C1 (ru) * | 2001-03-21 | 2002-07-10 | Государственное предприятие "Всероссийский научно-исследовательский институт авиационных материалов" | Способ приготовления магниевого сплава для фасонного литья |
-
2015
- 2015-12-23 RU RU2015155167A patent/RU2623965C2/ru not_active IP Right Cessation
Patent Citations (2)
| Publication number | Priority date | Publication date | Assignee | Title |
|---|---|---|---|---|
| SU624701A1 (ru) * | 1976-12-10 | 1978-09-25 | Предприятие П/Я В-8337 | Способ получени отливок из магниевоалюминиевых сплавов |
| RU2184789C1 (ru) * | 2001-03-21 | 2002-07-10 | Государственное предприятие "Всероссийский научно-исследовательский институт авиационных материалов" | Способ приготовления магниевого сплава для фасонного литья |
Non-Patent Citations (1)
| Title |
|---|
| RU 2351573C1), 10.04.2009. * |
Cited By (2)
| Publication number | Priority date | Publication date | Assignee | Title |
|---|---|---|---|---|
| RU2701248C1 (ru) * | 2018-06-25 | 2019-09-25 | Борис Леонидович Бобрышев | Способ бесфлюсовой плавки магниевых сплавов системы магний-алюминий-цинк-марганец и устройство для его осуществления |
| RU2745049C1 (ru) * | 2020-08-07 | 2021-03-18 | Публичное акционерное общество "Авиационная корпорация "Рубин" | Устройство для рафинирования жидкого магниевого сплава продувкой |
Also Published As
| Publication number | Publication date |
|---|---|
| RU2015155167A (ru) | 2017-06-27 |
Similar Documents
| Publication | Publication Date | Title |
|---|---|---|
| US2866701A (en) | Method of purifying silicon and ferrosilicon | |
| US20200199712A1 (en) | Method for preparing ferrovanadium alloys based on aluminothermic self-propagating gradient reduction and slag washing refining | |
| TWI589701B (zh) | 鋼中Ti濃度的抑制方法以及矽脫氧鋼之製造方法 | |
| RU2623965C2 (ru) | Способ модифицирования магниевых сплавов системы Mg-Al-Zn-Mn | |
| US11384412B2 (en) | Direct scandium alloying | |
| JP2015124095A (ja) | スラグの製造方法 | |
| JP2007517137A (ja) | 鋼脱硫剤および鋼の脱硫におけるその使用 | |
| US2267298A (en) | Method of producing highly pure manganese titanium alloys | |
| JP2009114532A (ja) | マグネシウム合金材の製造方法 | |
| RU2241775C1 (ru) | Способ модифицирования магниевых сплавов | |
| RU2563403C1 (ru) | Способ производства безуглеродистых литейных жаропрочных сплавов на основе никеля | |
| US20040159188A1 (en) | Strontium for melt oxidation reduction of magnesium and a method for adding stronium to magnesium | |
| JP3473080B2 (ja) | AlまたはAl合金溶湯処理用フラックス | |
| JP2017160504A (ja) | Ti−Al系合金の表面処理方法 | |
| RU2617078C1 (ru) | Способ модифицирования магниевых сплавов | |
| RU2601718C1 (ru) | Способ плавки и литья магниево-циркониевых сплавов | |
| RU2402498C2 (ru) | Состав для стабилизации распадающегося металлургического шлака | |
| RU2179593C1 (ru) | Флюс для сварки и электрошлакового переплава | |
| SU1044652A1 (ru) | Модификатор дл сплавов алюмини с кремнием | |
| JP6083521B2 (ja) | Al−Li系合金の製造方法 | |
| CN109182781A (zh) | 一种用于铝液的熔炼方法 | |
| US2383281A (en) | Process for producing magnesium containing beryllium | |
| RU2650656C1 (ru) | Способ получения лигатуры магний-иттрий | |
| EP2695953B1 (en) | Method for adding zinc to molten steel and process for producing zinc-containing steel | |
| RU2164256C2 (ru) | Способ переработки сплавов, содержащих благородные и цветные металлы |
Legal Events
| Date | Code | Title | Description |
|---|---|---|---|
| MM4A | The patent is invalid due to non-payment of fees |
Effective date: 20181224 |

