RU2468030C2 - Ингибиторы теломеразы и способ их получения - Google Patents
Ингибиторы теломеразы и способ их получения Download PDFInfo
- Publication number
- RU2468030C2 RU2468030C2 RU2010113946/04A RU2010113946A RU2468030C2 RU 2468030 C2 RU2468030 C2 RU 2468030C2 RU 2010113946/04 A RU2010113946/04 A RU 2010113946/04A RU 2010113946 A RU2010113946 A RU 2010113946A RU 2468030 C2 RU2468030 C2 RU 2468030C2
- Authority
- RU
- Russia
- Prior art keywords
- imidazol
- group
- substituents
- substituent
- pyridylmethylene
- Prior art date
Links
Images
Classifications
-
- A—HUMAN NECESSITIES
- A61—MEDICAL OR VETERINARY SCIENCE; HYGIENE
- A61K—PREPARATIONS FOR MEDICAL, DENTAL OR TOILETRY PURPOSES
- A61K31/00—Medicinal preparations containing organic active ingredients
- A61K31/28—Compounds containing heavy metals
- A61K31/30—Copper compounds
-
- C—CHEMISTRY; METALLURGY
- C07—ORGANIC CHEMISTRY
- C07D—HETEROCYCLIC COMPOUNDS
- C07D401/00—Heterocyclic compounds containing two or more hetero rings, having nitrogen atoms as the only ring hetero atoms, at least one ring being a six-membered ring with only one nitrogen atom
- C07D401/14—Heterocyclic compounds containing two or more hetero rings, having nitrogen atoms as the only ring hetero atoms, at least one ring being a six-membered ring with only one nitrogen atom containing three or more hetero rings
-
- A—HUMAN NECESSITIES
- A61—MEDICAL OR VETERINARY SCIENCE; HYGIENE
- A61P—SPECIFIC THERAPEUTIC ACTIVITY OF CHEMICAL COMPOUNDS OR MEDICINAL PREPARATIONS
- A61P35/00—Antineoplastic agents
-
- C—CHEMISTRY; METALLURGY
- C07—ORGANIC CHEMISTRY
- C07F—ACYCLIC, CARBOCYCLIC OR HETEROCYCLIC COMPOUNDS CONTAINING ELEMENTS OTHER THAN CARBON, HYDROGEN, HALOGEN, OXYGEN, NITROGEN, SULFUR, SELENIUM OR TELLURIUM
- C07F1/00—Compounds containing elements of Groups 1 or 11 of the Periodic Table
- C07F1/005—Compounds containing elements of Groups 1 or 11 of the Periodic Table without C-Metal linkages
-
- C—CHEMISTRY; METALLURGY
- C07—ORGANIC CHEMISTRY
- C07F—ACYCLIC, CARBOCYCLIC OR HETEROCYCLIC COMPOUNDS CONTAINING ELEMENTS OTHER THAN CARBON, HYDROGEN, HALOGEN, OXYGEN, NITROGEN, SULFUR, SELENIUM OR TELLURIUM
- C07F1/00—Compounds containing elements of Groups 1 or 11 of the Periodic Table
- C07F1/08—Copper compounds
Landscapes
- Chemical & Material Sciences (AREA)
- Organic Chemistry (AREA)
- Health & Medical Sciences (AREA)
- Veterinary Medicine (AREA)
- Medicinal Chemistry (AREA)
- Pharmacology & Pharmacy (AREA)
- Life Sciences & Earth Sciences (AREA)
- Animal Behavior & Ethology (AREA)
- General Health & Medical Sciences (AREA)
- Public Health (AREA)
- Epidemiology (AREA)
- General Chemical & Material Sciences (AREA)
- Nuclear Medicine, Radiotherapy & Molecular Imaging (AREA)
- Chemical Kinetics & Catalysis (AREA)
- Pharmaceuticals Containing Other Organic And Inorganic Compounds (AREA)
- Plural Heterocyclic Compounds (AREA)
Abstract
Изобретение относится к новым координационным соединениям производным имидазол-4-она, ингибирующим теломеразу, общей формулы
где заместитель А выбран из группы, включающей арильные заместители, конденсированные арильные заместители, циклопентил, циклогексил, алифатические заместители, алифатические заместители с двойной связью, алифатические заместители с тройной связью, метиламиновый заместитель CH3NH-, карбэтокси-группу C2H5O(O)С-, пятичленные гетероциклические заместители с одним атомом азота, пятичленные гетероциклические заместители с двумя атомами азота, шестичленные гетероциклические заместители, заместитель В отсутствует или является алифатическим заместителем, заместитель С представляет собой гетероарильный заместитель, присоединяемый к производному имидазол-4-она через атом углерода и выбранный из группы, включающей 5-членные ненасыщенные моноциклические гетероарильные заместители с 1, 2, 3 гетероатомами в цикле, выбранными из группы, включающей N, О и S, 6-членные ненасыщенные моноциклические гетероарильные заместители с 1, 2, 3 гетероатомами в цикле, выбранными из группы, включающей N, О и S, 8-, 9- и 10-членные ненасыщенные бициклические гетероарильные заместители с 1, 2, 3 гетероатомами в цикле, выбранными из группы, включающей N, О и S, Х, представляет собой хлорид Cl или нитрат NO3. Также предложен способ их получения. Изобретение позволяет получить новые производные имидазол-4-она, способные ингибировать теломеразу. 2 н. и 6 з.п. ф-лы, 5 ил., 2 табл., 24 пр.
Description
Область техники
Изобретение относится к области органической и медицинской химии, молекулярной биологии и касается способа получения нового класса соединений, ингибирующих теломеразу, которые могут быть использованы для изучения теломераз и каталитических субъединиц теломераз, обратных транскриптаз, для изучения и лечения опухолевых и вирусных заболеваний.
Уровень техники
Теломераза - это фермент, необходимый для компенсации укорочения длины теломер в клетках эукариот. Теломеры состоят из характерных тандемных повторов (например TTAGGG у человека), найденных на концах большинства эукариотических хромосом (Blackburn, "Structure and Function of Telomeres,"Nature, 350: 569-573, 1991). Количество повторов определяет длину теломер. Пролиферативный потенциал клетки связывают с длиной теломер, так как стабильность и целостность эукариотических хромосом зависят от динамической структурной организации теломер (Baird DM. "Mechanisms of telomeric instability", Cytogenet Genome Res. 2008; 122(3-4): 308-14, 2009), при их укорочении меньше критической длины стабильность нарушается, затем клетка гибнет. Теломеры играют важную роль в контроле разделения хромосом и вовлечены в регулирование клеточного цикла. С каждым клеточным делением у соматической клетки теряются приблизительно 60-100 оснований с концов хромосом. Теломеры сокращаются, клетка, в конечном счете, достигает кризиса, и в клетке запускается апоптоз. В организме существуют клетки с неограниченным потенциалом деления. Именно в них (в половых, стволовых клетках, а так же в клетках опухоли) существует процесс компенсации укорочения теломер. За этот процесс отвечает фермент-теломераза. Теломераза активна в таких клетках и поддерживает длину теломер выше кризисного уровня. Теломераза - это специализированная обратная транскриптаза (для человека hTERT), работающая в комплексе с собственной рибонуклеиновой кислотой (РНК). Эта РНК называется теломеразной (для человека hTERC) и содержит участок для синтеза теломерных повторов ДНК (матричный участок). Другими словами, для приобретения способности к неограниченному делению клетка должна активировать механизм, поддерживающий длину теломер выше критического уровня, а именно теломеразу. Так, существенный уровень теломеразной активности был обнаружен в более чем 85% опухолей (Kim et al., "Specific Association of Human Telomerase Activity with Immortal Cells and Cancer," Science, 266: 2011-2015, 1994). Теломеразная активность также присутствует в стволовых сумках нормальных тканей, но на более низком уровне (Morin, "Is Telomerase a Universal Cancer Target?", J. Natl. Cancer Inst, 87: 859-861, 1995). Таким образом, присутствие активной теломеразы в опухоли обеспечивает наличие мишени, дающей потенциально хорошую селективность к опухолевым клеткам по отношению к здоровой ткани. Ингибирование теломеразы было предложено в качестве нового подхода к терапии рака (первые работы Morin, "Is Telomerase a Universal Cancer Target?", J. Natl. Cancer Inst., 87: 859-861, 1995; Parkinson, "Do Telomerase Antagonists Represent a Novel Anti-Cancer Strategy?" Brit. J. Cancer, 73: 1-4, 1996; Raymond et al., "Agents that target telomerase and telomeres," Curr Opinion Biotech., 7: 583-591, 1996, более современное состояние в обзоре Shay JW, Wright WE. Telomerase therapeutics for cancer: challenges and new directions. Nat Rev Drug Discov. 5(7): 577-84, 2006).
Третичная структура белка каталитической субъединицы теломеразы человека остается на настоящий момент неразрешенной, но на основе анализа первичной структуры показано, что этот белок сходен с другими обратными транскриптазами (Lingner et al., "Reverse Transcriptase Motifs in the Catalytic Subunit of Telomerase," Sci., 276: 561-567, 1997), поэтому ее активность подавляется при использовании ингибиторов обратных транскриптаз, например: AZT (Strahl and Blackburn, "Effects of Reverse Transcriptase Inhibitors on Telomere Length and Telomerase Activity in Two Immortalized Human Cell Lines, "Mol. Cell. Biol., 16; 53-65, 1996) и других нуклеозидов (Fletcher et al., "Human Telomerase Inhibition by 7-Deaza 2'-deoxypurine Nucleoside Triphosphates," Biochem, 35: 15611-15617, 1996). Также была показана возможность ингибирования любой теломеразной активности при использовании антисмысловой последовательности к матричному участку теломеразной РНК, например нуклеиновых кислот, слитых с пептидом (Norton et al., "Inhibition of Human Telomerase Activity by Peptide Nucleic Acids," Nature Biotechnol., 14: 615-619, 1996) и фосфотиоатных олигонуклеотидов (Mata et al., "A Hexameric Phosphorothioate Oligonucleotide Telomerase Inhibitor Arrests Growth of Burkitt's Lymphoma Cells in Vitro and in Vivo, "Toxicol Appl. Pharmacol., 144: 189-197, 1997). Антисмысловый дезоксирибонуклеотид, содержащий 185 нуклеотидов hTERC, был в состоянии сократить теломеры в клетках HeLa за 23-26 клеточных делений до критического уровня и вызвал апоптоз. Другой дезоксирибонуклеотид, содержащий 2'-5'-аденилат (2-5А) с тем, чтобы не только связать, но и расщепить hTERC, вызвал апоптоз в глиоме, раке простаты, раке шейки матки, мочевого пузыря и яичников в течение 4-5 дней. Чтобы увеличить сродство к hTERC-последовательности и стабильность олигонуклеотида были использованы 2'-O-метил-РНК-олигонуклеотиды. Самым эффективным оказался олигонуклеотид GRN163 (Asai et al. A novel telomerase template antagonist (GRN163) as a potential anticancer agent. Cancer Research, 63: 3931-3939, 2003). Клетки, культивируемые с этим соединением, гибли в течение 100 дней, GRN163 ингибировал теломеразную активность при очень низких, по сравнению с другими олигонуклеотидами, концентрациях, GRN163L является первым ингибитором теломеразы, который вошел в клиническую практику. Доклинические исследования показали безопасность и эффективность такого ингибирования. Безопасность и определение дозы для пациентов, невосприимчивых к другой терапии, находятся в стадии изучения. Эти исследования не закончены (США, ClinicalTrials.gov, NCT00310895), однако уже показанная эффективность GRN163L -однозначное подтверждение того, что ингибирование теломеразы - это основа антираковой терапии.
Из WO 99/01560 от 14.01.1999 (RU 2000102361, дата приоритета 01.07.1998) также известны ингибиторы теломеразной активности олигонуклеотидной природы.
Известны примеры использования координационных соединений железа (III), цинка (II), никеля (II), марганца (III) и платины (II) (Monchaud et al., "A hitchhiker's guide to G-quadruplex ligands", Org. Biomol. Chem., 6, 627, 2008). Большинство координационных соединений содержит производные порфирина или конденсированные пиридиновые системы. Ингибирование теломеразы наблюдается при значениях IC50-TRAP (IC50 - концентрация ингибитора, при которой активность фермента подавляется на 50%) от 0,12 до 30 мкМ.
Наиболее близким аналогом изобретения является ингибитор теломеразы, который представляет собой координационное соединение меди (II), содержащее лиганд на основе производного порфирина [S.Е.Evans, M.A.Mendez, К.В.Turner, L.R.Keating, R.Т.Grimes, S.Melchoir and V.A.Szalai, J. Biol. Inorg. Chem., 2007, 12(8), 1235-1249]. Это соединение селективно взаимодействует с квадруплексом ДНК, значение IC50-ТRАР в экспериментах по ингибированию теломеразы составляет 26 мкМ. К недостаткам этого ингибитора теломеразы следует отнести сложность синтеза органического лиганда и координационного соединения, а также низкое значение IC50.
Указанные недостатки известных ингибиторов теломеразы могут быть преодолены при использовании координационных соединений производных имидазол-4-она, более подробно описанных далее со ссылками на прилагаемые иллюстративные материалы.
Описание иллюстративных материалов
Фиг.1. Структурные формулы заместителей А в заявленных производных имидазол-4-она.
Фиг.2. Структурные формулы заместителей В в заявленных производных имидазол-4-она.
Фиг.3. Структурные формулы заместителей С в заявленных производных имидазол-4-она.
Фиг.4. Метод амплификации теломерных повторов (TRAP-анализ).
Фиг.5. Тестирование теломеразной активности для различных концентраций комплекса (5Z,5'Z)-2,2'-(этан-1,2-диилдисульфанилдиил)бис(5-(2-пиридилметилен)-3-аллил-3,5-дигидро-4Н-имидазол-4-она) с хлоридом меди.
Раскрытие изобретения
В качестве ингибиторов теломеразы согласно изобретению могут быть использованы координационные соединения производных имидазол-4-она общей формулы
где заместитель А выбран из группы, включающей арильные заместители, конденсированные арильные заместители, циклопентил, циклогексил, алифатические заместители, алифатические заместители с двойной связью, алифатические заместители с тройной связью, метиламиновый заместитель CH3NH-, карбэтокси-группу C2H5O(O)C-, пятичленные гетероциклические заместители с одним атомом азота, пятичленные гетероциклические заместители с двумя атомами азота, шестичленные гетероциклические заместители, заместитель В отсутствует или является алифатическим заместителем, заместитель С представляет собой гетероарильный заместитель, присоединяемый к производному имидазол-4-она через атом углерода и выбран из группы, включающей 5-членные ненасыщенные моноциклические гетероарильные заместители с 1, 2, 3 гетероатомами в цикле, выбранными из группы, включающей N, О и S, 6-членные ненасыщенные моноциклические гетероарильные заместители с 1, 2, 3 гетероатомами в цикле, выбранными из группы, включающей N, О и S, 8-, 9- и 10-членные ненасыщенные бициклические гетероарильные заместители с 1, 2, 3 гетероатомами в цикле, выбранными из группы, включающей N, О и S, X представляет собой хлорид Cl или нитрат NO3.
В предпочтительном варианте выполнения изобретения заместитель А является незамещенным или монозамещенным, или дизамещенным арильным заместителем, при этом заместители R в арильной группе выбраны из группы, включающей галогены и алкильные заместители.
В предпочтительном варианте выполнения изобретения заместитель А является незамещенным или монозамещенным, или дизамещенным конденсированным арильным заместителем, при этом заместители R в конденсированной арильной группе выбраны из группы, включающей галогены и алкильные заместители.
В предпочтительном варианте выполнения заместитель А выбран из группы, включающей фенил С6Н5-, 3-хлор-4-фторфенил 3-Cl-4-F-С6Н3-, 4-карбэтоксифенил 4-C2H5O(O)СС6Н4-, метил СН3-, аллил СН2=СНСН2-, 2-антрил, пропил С3Н7- (фиг.1).
В предпочтительном варианте выполнения заместитель В выбран из группы, включающей 1,2-этандиил -(СН2)2-, 1,3-пропандиил -(CH2)3-, 1,4-бутандиил -(СН2)4-, 1,6-гександиил -(СН2)6-, 1,10-декандиил -(СН2)10- (фиг.2).
В предпочтительном варианте выполнения заместитель С выбран из группы, включающей 2-хинолил, 2-пиридил, 1-метил-2-имидазолил, 4-метил-5-имидазолил, 5-имидазолил, 2-имидазолил, 1,5-диметил-3-пиразолинил, 1,5-дифенил-3-пиразолинил (фиг.3).
В способе получения координационных соединений производных имидазол-4-она согласно изобретению осуществляют следующие стадии: смешивают раствор производного имидазол-4-она в дихлорметане с метанолом, медленно приливают к смеси раствор соли меди в метаноле или ацетонитриле, реакционную смесь выдерживают до выпадения осадка координационного соединения производного имидазол-4-она.
В качестве соли меди могут быть использованы хлорид меди и нитрат меди.
В качестве производных имидазол-4-она могут быть использованы соединения общей формулы
где заместитель А выбран из группы, включающей арильные заместители, конденсированные арильные заместители, циклопентил, циклогексил, алифатические заместители, алифатические заместители с двойной связью, алифатические заместители с тройной связью, метиламиновый заместитель CH3NH-, карбэтокси-группу C2H5O(O)С-, пятичленные гетероциклические заместители с одним атомом азота, пятичленные гетероциклические заместители с двумя атомами азота, шестичленные гетероциклические заместители, заместитель В отсутствует или является алифатическим заместителем, заместитель С представляет собой гетероарильный заместитель, присоединяемый к производному имидазол-4-она через атом углерода и выбран из группы, включающей 5-членные ненасыщенные моноциклические гетероарильные заместители с 1, 2, 3 гетероатомами в цикле, выбранными из группы, включающей N, О и S, 6-членные ненасыщенные моноциклические гетероарильные заместители с 1, 2, 3 гетероатомами в цикле, выбранными из группы, включающей N, О и S, 8-, 9- и 10-членные ненасыщенные бициклические гетероарильные заместители с 1, 2, 3 гетероатомами в цикле, выбранными из группы, включающей N, О и S.
В предпочтительном варианте выполнения изобретения заместитель А является незамещенным или монозамещенным, или дизамещенным арильным заместителем, при этом заместители R в арильной группе выбраны из группы, включающей галогены и алкильные заместители.
В предпочтительном варианте выполнения изобретения заместитель А является незамещенным или монозамещенным, или дизамещенным конденсированным арильным заместителем, при этом заместители R в конденсированной арильной группе выбраны из группы, включающей галогены и алкильные заместители.
В предпочтительном варианте выполнения заместитель А выбран из группы, включающей фенил С6Н5-, 3-хлор-4-фторфенил 3-Cl-4-F-С6Н3-, 4-карбэтоксифенил 4-C2H5O(O)СС6Н4-, метил СН3-, аллил СН2=СНСН2-, 2-антрил, пропил С3Н7- (фиг.1).
В предпочтительном варианте выполнения заместитель В выбран из группы, включающей 1,2-этандиил -(СН2)2-, 1,3-пропандиил -(CH2)3-, 1,4-бутандиил -(CH2)4-, 1,6-гександиил -(СН2)6-, 1,10-декандиил -(СН2)10- (фиг.2).
В предпочтительном варианте выполнения заместитель С выбран из группы, включающей 2-хинолил, 2-пиридил, 1-метил-2-имидазолил, 4-метил-5-имидазолил, 5-имидазолил, 2-имидазолил, 1,5-диметил-3-пиразолинил, 1,5-дифенил-3-пиразолинил (фиг.3).
Заявленные производные имидазол-4-она могут быть получены алкилированием замещенных в 3-положении 2-тиогидантоинов α,ω-дибромалканами. Для этого к смеси производных 2-тиогидантоинов (2 эквивалента) и сухого К2СО3 (3 эквивалента) в диметилформамиде при температуре 0°С при перемешивании добавляют α,ω-дибромалкан (1 эквивалент). Реакционную смесь перемешивают в течение двух часов при температуре 0°С, а затем 2 часа при комнатной температуре. После этого к смеси добавляют 50 мл воды. Образовавшийся осадок отфильтровывают и промывают водой, а затем диэтиловым эфиром.
Изобретение иллюстрируется примерами альтернативных вариантов его выполнения.
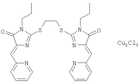
Пример 1. Синтез (5Z,5'Z)-2,2'-(этан-1,2-диилдисульфанилдиил)бис(5-(2-пиридилметилен)-3-метил-3,5-дигидро-4Н-имидазол-4-она)
Из 0,5 г (0,0025 моль) 2-тиоксо-3-метил-5((Z)-2-пиридилметилен)-тетрагидро-4Н-имидазол-4-она и 0,21 г (0,0013 моль) 1,2-дибромэтана получено 0,40 г (76%) (5Z,5'Z)-2,2'-(этан-1,2-диилдисульфанилдиил)бис(5-(2-пиридилметилен)-3-метил-3,5-дигидро-4Н-имидазол-4-она). Тпл=215°С.
Спектр ЯМР 1Н (400 МГц, CDCl3, δ, м.д.): 8,82 (д, 1Н, Нα-Ру, J=7,9 Гц), 8,59 (д, 1Н, Нβ'-Ру, J=4,0 Гц), 7,71 (тд, 1Н, Нβ-Ру, J1=7,3 Гц, J2=2,3 Гц), 7,23 (с, 1Н, СН=), 7,13 (дд, 1Н, Нγ-Ру, J1=7,5 Гц, J2=0,9 Гц), 3,41 (т, 2Н, S-CH2, J=7,5 Гц), 3,08 (с, 3Н, N-СН3).
ИК-спектр (см-1): 1710 (С=O), 1670 (C=N), 1640 (C=C).
Элементный анализ: C22H20N6O2S2 вычислено С 56,88% Н 4,34% N 18,09%; найдено С 56,74% Н 4,27% N 17,82%.
Пример 2. Синтез (5Z,5'Z)-2,2'-(этан-1,2-диилдисульфанилдиил)бис(5-(2-пиридилметилен)-3-пропил-3,5-дигидро-4Н-имидазол-4-она)
Из 0,5 г (0,002 моль) 2-тиоксо-3-пропил-5((Z)-2-пиридилметилен)-тетрагидро-4Н-имидазол-4-она и 0,19 г (0,001 моль) 1,2-дибромэтана получено 0,43 г (82%) (5Z,5'Z)-2,2'-(этан-1,2-диилдисульфанилдиил)бис(5-(2-пиридилметилен)-3-пропил-3,5-дигидро-4Н-имидазол-4-она). Тпл=152°С.
Спектр ЯМР 1Н (400 МГц, CDCl3, δ, м.д.): 8,69 (д, J=8,0 Гц, 1Н, Нα-Ру,), 8,65 (д, J=4,7 Гц, 1Н, Нβ'-Ру,), 7,63 (тд, J1=7,4 Гц, J2=2,0 Гц, 1Н, Нβ-Ру,), 7,19 (дд, J1=7,5 Гц, J2=0,9 Гц, 1Н, Нγ-Ру,), 7,12 (с, 1Н, СН=), 7,12 (с, 1Н, СН=), 3,93 (с, 2Н, S-CH2), 3,60 (т, J=7,5 Гц, 2Н, CH2N), 1,72 (м, 2Н, CH2), 0,96 (т, J=7,5, 3H, СН3).
ИК-спектр (см-1): 1705 (С=O), 1675 (C=N), 1640 (C=C).
Элементный анализ: C26H28N6O2S2 вычислено С 59,98% Н 5,42% N 16,14%; найдено С 59,34% Н 5,17% N 15,88%.
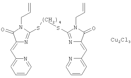
Пример 3. Синтез (5Z,5'Z)-2,2'-(этан-1,2-диилдисульфанилдиил)бис(5-(2-пиридилметилен)-3-аллил-3,5-дигидро-4Н-имидазол-4-она)
Из 0,5 г (0,002 моль) 2-тиоксо-3-аллил-5((Z)-2-пиридилметилен)-тетрагидро-4Н-имидазол-4-она и 0,19 г (0,001 моль) 1,2-дибромэтана получено 0,46 г (92%) (5Z,5'Z)-2,2'-(этан-1,2-диилдисульфанилдиил)бис(5-(2-пиридилметилен)-3-аллил-3,5-дигидро-4Н-имидазол-4-она). Тпл=187°C.
Спектр ЯМР 1Н (400 МГц, CDCl3, δ, м.д.): 8,65 (м, 2Н, Нα-Ру+Нβ'-Ру,), 7,62 (т, J=7,5 Гц, 1Н, Нβ-Ру,), 7,19 (м, 1Н, Нγ-Ру,), 7,14 (с, 1Н, СН=), 7,12 (с, 1Н, СН=), 5,82 (м, 1Н, СН=), 5,23 (м., 2Н, СН2=), 4,23 (м, 2Н, CH2N) 3,89 (с, 2Н, S-CH2).
ИК-спектр (см-1): 1720 (С=O), 1680 (С=N), 1640 (С=С).
Элементный анализ: C26H26N6O2S2 вычислено С 60,44% Н 4,68% N 16,27%; найдено С 60,14% Н 4,48% N 16,03%.
Пример 4. Синтез (5Z,5'Z)-2,2'-(этан-1,2-диилдисульфанилдиил)бис(5-(2-пиридилметилен)-3-фенил-3,5-дигидро-4Н-имидазол-4-она)
Из 0,3 г (0,001 моль) 2-тиоксо-3-фенил-5((Z)-2-пиридилметилен)-тетрагидро-4Н-имидазол-4-она и 0,1 г (0,0005 моль) 1,2-дибромэтана получено 0,23 г (73%) (5Z,5'Z)-2,2'-(этан-1,2-диилдисульфанилдиил)бис(5-(2-пиридилметилен)-3-фенил-3,5-дигидро-4Н-имидазол-4-она). Тпл=259°С.
Спектр ЯМР 1Н (400 МГц, CDCl3, δ, м.д.): 8,75 (д, 2Н, Нα-Ру, J=7,9 Гц), 8,66 (д, 2Н, Нβ'-Ру, J=4,0 Гц), 7,81 (тд, 2Н, Нβ-Ру, J1=7,3 Гц, J2=2,3 Гц), 7,42 (м, 6Н, H-Ph), 7,29 (м, 4Н, H-Ph), 7,11 (тд, 2Н, Нγ-Ру, J1=7,5 Гц, J2=1,0 Гц), 7,18 (с, 2Н, СН=), 3,11 (т, 4Н, S-CH2-, J=7,5 Гц).
ИК-спектр (см-1): 1710 (С=O), 1670 (C=N), 1640 (C=C).
Элементный анализ: C32H24N6S2O2 вычислено С% 65,31, Н% 4,08, N% 14,29; найдено С% 65,28, Н% 4,10, N% 14,11.
Пример 5. Синтез (5Z,5'Z)-2,2'-(этан-1,2-диилдисульфанилдиил)бис(5-(2-пиридилметилен)-3-(1-нафтил)-3,5-дигидро-4Н-имидазол-4-она)
Из 0,3 г (0,001 моль) 2-тиоксо-3-(1-нафтил)-5((Z)-2-пиридилметилен)-тетрагидро-4Н-имидазол-4-она и 0,1 г (0,0005 моль) 1,2-дибромэтана получено 0,19 г (68%) (5Z,5'Z)-2,2'-(этан-1,2-диилдисульфанилдиил)бис(5-(2-пиридилметилен)-3-(1-нафтил)-3,5-дигидро-4Н-имидазол-4-она). Тпл=267°С.
Спектр ЯМР 1Н (400 МГц, CDCl3, δ, м.д.): 9,12 (д, J=8,8 Гц, 1Н, HetAr), 8,30 (д, J=8,7 Гц, 1Н, HetAr), 8,20 (д, J=8,3 Гц, 1Н, HetAr), 8,15 (д, J=8,3 Гц, 1Н, Ar), 7,95 (м, 1Н, Ar), 7,78 (д, J=8,1 Гц, 1Н, HetAr), 7,69 (т, J=7,1 Гц, 1Н, HetAr), 7,61 (м, 1Н, Ar), 7,53 (м, 6Н, HetAr+СН=+Ar), 6,91 (с, 2Н, СН=), 3,76 (с, 4Н, CH2-S).
ИК-спектр (см-1): 1710 (С=O), 1670 (C=N), 1640 (C=C).
Пример 6. Синтез (5Z,5'Z)-2,2'-(этан-1,2-диилдисульфанилдиил)бис(5-(2-пиридилметилен)-3-(2-антрил)-3,5-дигидро-4Н-имидазол-4-она)
Из 0,4 г (0,001 моль) 2-тиоксо-3-(2-антрил)-5((Z)-2-пиридилметилен)-тетрагидро-4Н-имидазол-4-она и 0,1 г (0,0005 моль) 1,2-дибромэтана получено 0,21 г (81%) (5Z,5'Z)-2,2'-(этан-1,2-диилдисульфанилдиил)бис(5-(2-пиридилметилен)-3-(2-антрил)-3,5-дигидро-4Н-имидазол-4-она). Тпл=249°C.
Спектр ЯМР 1Н (400 МГц, CDCl3, δ, м.д.): 8,73 (д, J=7,9 Гц, 2Н, Ar), 8,69 (д, J=5,1 Гц, 1Н, Нα'-Ру), 8,45 (м, 4Н, Ar), 8,13 (д, J=8,8 Гц, 2Н, Нβ-Ру), 8,01 (м, 3Н, Ar), 7,76 (т, J=7,6 Гц, 1Н, Нβ'-Ру), 7,51 (м, 4Н, Ar), 7,47 (дд, J1=6,8 Гц, J2=1,4 Гц, 2Н, Нγ-Ру)), 7,25 (м, 2Н, Ar), 6,94 (с, 2Н, СН=), 3,83 (с, 4Н, CH2-S).
ИК-спектр (см-1): 1730 (С=O), 1680 (C=N), 1620 (C=C).
Элементный анализ: C48H32N6O2S2 вычислено С 73,08% Н 4,09% N 10,65%; найдено С 73,35% Н 4,82% N 10,13%.
Пример 7. Синтез (5Z,5'Z)-2,2'-(бутан-1,4-диилдисульфанилдиил)бис(5-(2-пиридилметилен)-3-аллил-3,5-дигидро-4Н-имидазол-4-она)
Из 0,5 г (0,002 моль) 2-тиоксо-3-аллил-5((Z)-2-пиридилметилен)-тетрагидро-4Н-имидазол-4-она и 0,22 г (0,001 моль) 1,4-дибромбутана получено 0,40 г (76%) (5Z,5'Z)-2,2'-(бутан-1,4-диилдисульфанилдиил)бис(5-(2-пиридилметилен)-3-аллил-3,5-дигидро-4Н-имидазол-4-она). Тпл=198°С.
Спектр ЯМР 1Н (400 МГц, CDCl3, δ, м.д.): 8,72 (д, J=8,1 Гц, 2Н, Нα'-Ру), 8,65 (д, J=3,8 Гц, 2Н, Нβ-Ру), 7,63 (тд, J1=8,3 Гц, J2=4,6 Гц, 2Н, Нγ-Ру), 7,05 (дд, J1=4,7 Гц, J2=1,2 Гц, 2Н, Нβ'-Ру,), 7,12 (с, 2Н, СН=), 5,80 (м, 2Н, =СН-) 5,25 (м, 4Н, СН2=), 4,22 (д, J=7,1 Гц, 4Н, -CH2-N), 3,45 (т, J=6,7 Гц, 4Н, -CH2-S), 2,07 (м, 4Н, -СН2-).
ИК-спектр (см-1): 1710 (С=O), 1670 (C=N), 1640 (C=C).
Элементный анализ: C28H28N6O2S2 вычислено С 61,74% Н 5,18% N 15,43%; найдено С 61,74% Н 5,18% N 15,43%.
Пример 8. Синтез (5Z,5'Z)-2,2'-(бутан-1,4-диилдисульфанилдиил)бис(5-(2-пиридилметилен)-3-фенил-3,5-дигидро-4Н-имидазол-4-она
Из 0,3 г (0,001 моль) 2-тиоксо-3-фенил-5((Z)-2-пиридилметилен)-тетрагидро-4Н-имидазол-4-она и 0,12 г (0,0005 моль) 1,4-дибромбутана получено 0,18 г (78%) (5Z,5'Z)-2,2'-(бутан-1,4-диилдисульфанилдиил)бис(5-(2-пиридилметилен)-3-фенил-3,5-дигидро-4Н-имидазол-4-она). Тпл=249°С.
Спектр ЯМР 1Н (400 МГц, CDCl3, δ, м.д.): 8,75 (д, J=7,9 Гц, 2Н, Нα-Ру), 8,66 (д, J=4,0 Гц, 1Н, Нβ'-Ру), 7,81 (тд, J1=7,3 Гц, J2=2,3 Гц, 2Н, Нβ-Ру), 7,42 (м, 6Н, H-Ph), 7,29 (м, 4Н, H-Ph), 7,11 (тд, J1=7,5 Гц, J2=1,0 Гц, 2Н, Нγ-Ру), 7,18 (с, 2Н, СН=), 3,11 (т, J=7,5 Гц, 4Н, S-CH2-), 1,86 (кв, J=7,6 Гц, 4Н, -СН2-).
ИК-спектр (см-1): 1720 (С=O), 1670 (C=N), 1640 (C=C).
Элементный анализ: C34H28N6O2S2 вычислено С 66,21% Н 4,58% N 13,63%; найдено С 66,12% Н 4,76% N 13,20%.
Пример 9. Синтез (5Z,5'Z)-2,2'-(гексан-1,6-диилдисульфанилдиил)бис(5-(2-пиридилметилен)-3-аллил-3,5-дигидро-4Н-имидазол-4-она)
Из 0,5 г (0,002 моль) 2-тиоксо-3-аллил-5((Z)-2-пиридилметилен)-тетрагидро-4Н-имидазол-4-она и 0,22 г (0,001 моль) 1,6-дибромгексана получено 0,40 г (81%) (5Z,5'Z)-2,2'-(гексан-1,6-диилдисульфанилдиил)бис(5-(2-пиридилметилен)-3-аллил-3,5-дигидро-4Н-имидазол-4-она). Тпл=171°С.
Спектр ЯМР 1Н (400 МГц, CDCl3, δ, м.д.): 8,75 (д, J=8,2 Гц, 2Н, Нα'-Ру), 8,67 (д, J=4,1 Гц, 2Н, Нβ-Ру), 7,68 (т, J=7,8 Гц, 21Н, Нγ-Ру), 7,16 (м, 2Н, Нβ'-Ру), 7,13 (с, 2Н, СН=), 5,83 (м, 2Н, -СН=), 5,25 (м, 4Н, СН2=), 4,15 (д, J=5,9, 4Н, -CH2-N), 3,38 (т, J=7,0 Гц, 4Н, CH2-S), 1,91 (м, 4Н, -СН2-), 1,60 (м, 4Н, -СН2-).
ИК-спектр (см-1): 1710 (С=O), 1670 (C=N), 1640 (C=C).
Элементный анализ: C30H32N6O2S2 вычислено С 62,91% Н 5,63% N 14,67%; найдено С 62,91% Н 5,63% N 14,67%.
Пример 10. Синтез (5Z,5'Z)-2,2'-(гексан-1,6-диилдисульфанилдиил)бис(5-(2-пиридилметилен)-3-фенил-3,5-дигидро-4Н-имидазол-4-она)
Из 0,3 г (0,001 моль) 2-тиоксо-3-фенил-5((Z)-2-пиридилметилен)-тетрагидро-4Н-имидазол-4-она и 0,13 г (0,0005 моль) 1,6-дибромгексана получают 0,19 г (64%) (5Z,5'Z)-2,2'-(гексан-1,6-диилдисульфанилдиил)бис(5-(2-пиридилметилен)-3-фенил-3,5-дигидро-4Н-имидазол-4-она). Тпл=240°С.
Спектр ЯМР 1Н (400 МГц, CDCl3, δ, м.д.): 8,77 (д, J=7,9 Гц, 2Н, Нα-Ру,), 8,66 (д, J=3,9 Гц, 1Н, Нβ'-Ру), 7,75 (тд, J1=7,3 Гц, J2=2,3 Гц, 2Н, Нβ-Ру), 7,45 (м, 6Н, H-Ph), 7,30 (м, 4Н, H-Ph), 7,17 (с, 2Н, СН=), 7,13 (дд, J1=7,5 Гц, J2=0,9 Гц, 2Н, Нγ-Ру), 3,32 (т-, J=7,5 Гц, 4Н, S-CH2), 1,86 (м, 4Н, -СН2-), 1,54 (м, 4Н, -СН2-).
ИК-спектр (см-1): 1700 (C=O), 1670 (C=N), 1630 (C=C).
Элементный анализ: C36H32N6S2O2 вычислено С% 67,06, Н% 5,00, N% 13,03; найдено С% 66,71, Н% 5,04, N% 12,65.
Пример 11. Синтез (5Z,5'Z)-2,2'-(этан-1,2-диилдисульфанилдиил)бис(5-(2-хинолилметилен)-3-пропил-3,5-дигидро-4Н-имидазол-4-она)
Из 0,5 г (0,0015 моль) 2-тиоксо-3-пропил-5((Z)-2-хинолилметилен)-тетрагидро-4Н-имидазол-4-она и 0,15 г (0,0008 моль) 1,2-дибромэтана получено 0,75 г (81%) (5Z,5'Z)-2,2'-(этан-1,2-диилдисульфанилдиил)бис(5-(2-хинолилметилен)-3-пропил-3,5-дигидро-4Н-имидазол-4-она). Тпл=140°С.
Спектр ЯМР 1Н (400 МГц, CDCl3, δ, м.д.): 8,82 (д, J=9,1 Гц, 2Н, HetAr), 8,05 (м, 4Н, HetAr), 7,72 (м, 4Н, HetAr), 7,53 (м, 2Н, HetAr), 7,29 (с, 2Н, СН=), 4,00 (с, 4Н, -СН2-S), 3,64 (т, J=7,4 Гц, 4Н, CH2-N), 1,75 (м, 4Н, СН2), 1,01 (т, J=7,3, СН3-).
ИК-спектр (см-1): 1715 (С=O), 1670 (C=N), 1640 (C=C).
Пример 12. Синтез (5Z,5'Z)-2,2'-(этан-1,2-диилдисульфанилдиил)бис(5-(2-хинолилметилен)-3-аллил-3,5-дигидро-4Н-имидазол-4-она)
Из 0,5 г (0,0015 моль) 2-тиоксо-3-аллил-5((Z)-2-хинолилметилен)-тетрагидро-4Н-имидазол-4-она и 0,15 г (0,0008 моль) 1,2-дибромэтана получено 0,70 г (78%) (5Z,5'Z)-2,2'-(этан-1,2-диилдисульфанилдиил)бис(5-(2-хинолилметилен)-3-аллил-3,5-дигидро-4Н-имидазол-4-она). Тпл=180°С.
Спектр ЯМР 1Н (400 МГц, CDCl3, δ, м.д.): 8,82 (д, J=9,0 Гц, 2Н, HetAr), 8,05 (м, 4Н, HetAr), 7,73 (м, 4Н, HetAr), 7,57 (м, 2Н, HetAr), 7,32 (с, 2Н, СН=), 5,88 (м, 2Н, СН=), 5,30 (м, 4Н, СН2=), 4,30 (д, J=5,6 Гц, 4Н, -CH2-N), 3,97 (с, 4Н, CH2-S).
ИК-спектр (см-1): 1710 (С=O), 1670 (C=N), 1640 (C=C).
Пример 13. Синтез (5Z,5'Z)-2,2'-(этан-1,2-диилдисульфанилдиил)бис(5-(2-хинолилметилен)-3-фенил-3,5-дигидро-4Н-имидазол-4-она)
Из 0,5 г (0,0015 моль) 2-тиоксо-3-фенил-5((Z)-2-хинолилметилен)-тетрагидро-4Н-имидазол-4-она и 0,14 г (0,0007 моль) 1,2-дибромэтана получено 0,41 г (81%) (5Z,5'Z)-2,2'-(этан-1,2-диилдисульфанилдиил)бис(5-(2-хинолилметилен)-3-фенил-3,5-дигидро-4Н-имидазол-4-она). Тпл=239°С.
Спектр ЯМР 1Н (400 МГц, CDCl3, δ, м.д.): 8,84 (д, J=8,6 Гц, 2Н, HetAr), 8,05 (д, J=8,8 Гц, 2Н, HetAr), 7,97 (д, J=8,3 Гц, 2Н, HetAr), 7,73 (м, 4Н, HetAr), 7,45 (м, 14Н, Ar+СН=+HetAr), 3,93 (с, 4Н, -CH2-S).
ИК-спектр (см-1): 1710 (С=O), 1670 (C-N), 1640 (C=C).
Пример 14. Синтез (5Z,5'Z)-2,2'-(этан-1,2-диилдисульфанилдиил)бис(5-(2-пиридилметилен)-3-циклопентил-3,5-дигидро-4Н-имидазол-4-она)
Из 0,5 г (0,0018 моль) 2-тиоксо-3-циклопентил-5((Z)-2-пиридилметилен)-тетрагидро-4Н-имидазол-4-она и 0,17 г (0,0009 моль) 1,2-дибромэтана получено 0,42 г (81%) (5Z,5'Z)-2,2'-(этан-1,2-диилдисульфанилдиил)бис(5-(2-пиридилметилен)-3-циклопентил-3,5-дигидро-4Н-имидазол-4-она).
Элементный анализ: C30H32N6O2S2 вычислено С 62,91% Н 5,63% N 14,67%; найдено С 62,76% Н 5,57% N 14,53%.
Пример 15. Синтез (5Z,5'Z)-2,2'-(этан-1,2-диилдисульфанилдиил)бис(5-(2-пиридилметилен)-3-циклогексил-3,5-дигидро-4Н-имидазол-4-она)
Из 0,5 г (0,0017 моль) 2-тиоксо-3-циклогексил-5((Z)-2-пиридилметилен)-тетрагидро-4Н-имидазол-4-она и 0,17 г (0,0009 моль) 1,2-дибромэтана получено 0,45 г (86%) (5Z,5'Z)-2,2'-(этан-1,2-диилдисульфанилдиил)бис(5-(2-пиридилметилен)-3-циклогексил-3,5-дигидро-4Н-имидазол-4-она).
Элементный анализ: C32H36N6O2S2 вычислено С 63,97% Н 6,04% N 13,99%; найдено С 63,78% Н 5,97% N 13,81%.
Пример 16. Синтез (5Z,5'Z)-2,2'-(этан-1,2-диилдисульфанилдиил)бис(5-(2-пиридилметилен)-3-(бут-2-инил)-3,5-дигидро-4Н-имидазол-4-она)
Из 0,5 г (0,0019 моль) 2-тиоксо-3-(бут-2-инил)-5((Z)-2-пиридилметилен)-тетрагидро-4Н-имидазол-4-она и 0,18 г (0,0010 моль) 1,2-дибромэтана получено 0,36 г (69%) (5Z,5'Z)-2,2'-(этан-1,2-диилдисульфанилдиил)бис(5-(2-пиридилметилен)-3-(бут-2-инил)-3,5-дигидро-4Н-имидазол-4-она).
Элементный анализ: C28H24N6O2S2 вычислено С 62,20% Н 4,47% N 15,54%; найдено С 62,07% Н 4,43% N 15,40%.
Пример 17. Синтез (5Z,5'Z)-2,2'-(этан-1,2-диилдисульфанилдиил)бис(5-(2-пиридилметилен)-3-метиламино-3,5-дигидро-4Н-имидазол-4-она)
Из 0,5 г (0,0021 моль) 2-тиоксо-3-метиламино-5((Z)-2-пиридилметилен)-тетрагидро-4Н-имидазол-4-она и 0,20 г (0,0011 моль) 1,2-дибромэтана получено 0,38 г (72%) (5Z,5'Z)-2,2'-(этан-1,2-диилдисульфанилдиил)бис(5-(2-пиридилметилен)-3-метиламино-3,5-дигидро-4Н-имидазол-4-она).
Элементный анализ: C22H22N8O2S2 вычислено С 53,42% Н 4,48% N 22,66%; найдено С 53,25% Н 4,42% N 22,50%.
Пример 18. Синтез (5Z,5'Z)-2,2'-(этан-1,2-диилдисульфанилдиил)бис(5-(2-пиридилметилен)-3-карбэтокси-3,5-дигидро-4Н-имидазол-4-она)
Из 0,5 г (0,0018 моль) 2-тиоксо-3-карбэтокси-5((Z)-2-пиридилметилен)-тетрагидро-4Н-имидазол-4-она и 0,17 г (0,0009 моль) 1,2-дибромэтана получено 0,41 г (78%) (5Z,5'Z)-2,2'-(этан-1,2-диилдисульфанилдиил)бис(5-(2-пиридилметилен)-3-карбэтокси-3,5-дигидро-4Н-имидазол-4-она).
Элементный анализ: C26H24N6O6S2 вычислено С 53,78% Н 4,17% N 14,47%; найдено С 53,62% Н 4,11% N 14,32%.
Пример 19. Синтез (5Z,5'Z)-2,2'-(этан-1,2-диилдисульфанилдиил)бис(5-(2-пиридилметилен)-3-(2-оксопирролидин-3-ил)-3,5-дигидро-4Н-имидазол-4-она)
Из 0,5 г (0,0017 моль) 2-тиоксо-3-(2-оксопирролидин-3-ил)-5((Z)-2-пиридилметилен)-тетрагидро-4Н-имидазол-4-она и 0,16 г (0,0009 моль) 1,2-дибром-этана получено 0,38 г (73%) (5Z,5'Z)-2,2'-(этан-1,2-диилдисульфанилдиил)бис(5-(2-пиридилметилен)-3-(2-оксопирролидин-3-ил)-3,5-дигидро-4Н-имидазол-4-она).
Элементный анализ: C28H26N8O4S2 вычислено С 55,80% Н 4,35% N 18,59%; найдено С 55,68% Н 4,31% N 18,46%.
Пример 20. Синтез (5Z,5'Z)-2,2'-(этан-1,2-диилдисульфанилдиил)бис(5-(2-пиридилметилен)-3-(1-метил-1Н-имидазол-2-ил)-3,5-дигидро-4Н-имидазол-4-она)
Из 0,5 г (0,0018 моль) 2-тиоксо-3-(1-метил-1Н-имидазол-2-ил)-5((Z)-2-пиридилметилен)-тетрагидро-4Н-имидазол-4-она и 0,16 г (0,0009 моль) 1,2-дибром-этана получено 0,39 г (75%) (5Z,5'Z)-2,2'-(этан-1,2-диилдисульфанилдиил)бис(5-(2-пиридилметилен)-3-(1-метил-1Н-имидазол-2-ил)-3,5-дигидро-4Н-имидазол-4-она).
Элементный анализ: C28H24N10O2S2 вычислено С 56,36% Н 4,05% N 23,47%; найдено С 56,19% Н 4,00% N 23,33%.
Пример 21. Синтез (5Z,5'Z)-2,2'-(этан-1,2-диилдисульфанилдиил)бис(5-(2-пиридилметилен)-3-(2-пиридил)-3,5-дигидро-4Н-имидазол-4-она)
Из 0,5 г (0,0018 моль) 2-тиоксо-3-(2-пиридил)-5((Z)-2-пиридилметилен)-тетрагидро-4Н-имидазол-4-она и 0,17 г (0,0009 моль) 1,2-дибром-этана получено 0,38 г (73%) (5Z,5'Z)-2,2'-(этан-1,2-диилдисульфанилдиил)бис(5-(2-пиридилметилен)-3-(2-пиридил)-3,5-дигидро-4Н-имидазол-4-она).
Элементный анализ: C30H22N8O2S2 вычислено С 61,00% Н 3,75% N 18,97%; найдено С 60,86% Н 3,69% N 18,79%.
Пример 22. Синтез (5Z,5'Z)-2,2'-дисульфанилбис(5-(2-пиридилметилен)-3-метил-3,5-дигидро-4Н-имидазол-4-она)
К 0,5 г (0,0023 моль) 2-тиоксо-3-метил-5((Z)-2-пиридилметилен)-тетрагидро-4Н-имидазол-4-она при температуре 0°С при перемешивании добавили 5 мл 30%-ного раствора пероксида водорода. Реакционную смесь перемешивали в течение двух часов при температуре 0°С, после этого к смеси добавили 50 мл воды. Образовавшийся осадок отфильтровали и промыли водой, а затем диэтиловым эфиром. Получено 0,34 г (68%) (5Z,5'Z)-2,2'-(этан-1,2-диилдисульфанилдиил)бис(5-(2-пиридилметилен)-3-(2-пиридил)-3,5-дигидро-4Н-имидазол-4-она).
Элементный анализ: C20H16N6O2S2 вычислено С 55,03% Н 3,69% N 19,25%; найдено С 54,84% Н 3,61% N 19,07%.
Пример 23. Синтез (5Z,5'Z)-2,2'-(этан-1,2-диилдисульфанилдиил)бис(5-(1-метил-1Н-имидазол-2-илметилен)-3-метил-3,5-дигидро-4Н-имидазол-4-она)
Из 0,5 г (0,0022 моль) 2-тиоксо-3-метил-5((Z)-1-метил-1Н-имидазол-2-илметилен)-тетрагидро-4Н-имидазол-4-она и 0,21 г (0,0011 моль) 1,2-дибромэтана получено 0,41 г (77%) (5Z,5'Z)-2,2'-(этан-1,2-диилдисульфанилдиил)бис(5-(1-метил-1Н-имидазол-2-илметилен)-3-метил-3,5-дигидро-4Н-имидазол-4-она).
Элементный анализ: C20H22N8O2S2 вычислено С 51,05% Н 4,71% N 23,81%; найдено С 50,91% Н 4,65% N 23,68%.
Пример 24. Получение координационных соединений производных имидазол-4-она
К раствору 0,0001 моль алкилированных производных 2-тиогидантоина (производных имидазол-4-она) в 2-3 мл хлористого метилена добавляют 2 мл метанола для достижения расслоения. Затем медленно, по каплям, в течение не менее чем 2 минут приливают раствор 0,0002 моль соли меди в 2-3 мл метанола. Реакционную смесь плотно закрывают и оставляют до выпадения осадка.
В случае получения комплексов (5Z,5'Z)-2,2'-(этан-1,2-диилдисульфанилдиил)бис(5-(2-пиридилметилен)-3-аллил-3,5-дигидро-4Н-имидазол-4-она) и (5Z,5'Z)-2,2'-(этан-1,2-диилдисульфанилдиил)бис(5-(2-пиридилметилен)-3-метил-3,5-дигидро-4Н-имидазол-4-она) с нитратом меди в качестве растворителя соли используют ацетонитрил, при этом реакционную смесь закрывают от света и оставляют до выпадения осадка.
Получение комплекса (5Z,5'Z)-2,2'-(этан-1,2-диилдисульфанилдиил)бис(5-(2-пиридилметилен)-3-метил-3,5-дигидро-4Н-имидазол-4-она) с CuCl2·2Н2О
Из 0,05 г (5Z,5'Z)-2,2'-(этан-1,2-диилдисульфанилдиил)бис(5-(2-пиридилметилен)-3-метил-3,5-дигидро-4Н-имидазол-4-она) и 0,03 г CuCl2·2Н2О получают 0,04 г (54%) комплекса коричневого цвета.
Элементный анализ: C22H20N6O2S2*CuCl2*CuCl С 37,86% Н 2,89% N 12,04%; найдено С 37,04% Н 2,57% N 12,22%.
Получение комплекса (5Z,5'Z)-2,2'-(этан-1,2-диилдисульфанилдиил)бис(5-(2-пиридилметилен)-3-пропил-3,5-дигидро-4Н-имидазол-4-она) с CuCl2·2Н2О
Из 0,05 г (5Z,5'Z)-2,2'-(этан-1,2-диилдисульфанилдиил)бис(5-(2-пиридилметилен)-3-пропил-3,5-дигидро-4Н-имидазол-4-она) и 0,03 г CuCl2·2Н2О получают 0,03 г (45%) комплекса коричневого цвета.
Элементный анализ: C26H28N6O2S2*CuCl2*CuCl вычислено С 41,41% Н 3,74% N 11,14%; найдено С 41,63% Н 3,87% N 11,86%.
Получение комплекса (5Z,5'Z)-2,2'-(этан-1,2-диилдисульфанилдиил)бис(5-(2-пиридилметилен)-3-аллил-3,5-дигидро-4Н-имидазол-4-она) с CuCl2·2Н2О
Из 0,05 г (5Z,5'Z)-2,2'-(этан-1,2-диилдисульфанилдиил)бис(5-(2-пиридилметилен)-3-аллил-3,5-дигидро-4Н-имидазол-4-она) и 0,03 г CuCl2·2Н2О получают 0,03 г (40%) комплекса коричневого цвета.
Элементный анализ: C26H24N6O2S2*CuCl2*CuCl вычислено С 41,63% Н 3,23% N 11,15%; найдено С 41,36% Н 3,23% N 11,85%.
Получение комплекса (5Z,5'Z)-2,2'-(этан-1,2-диилдисульфанилдиил)бис(5-(2-пиридилметилен)-3-фенил-3,5-дигидро-4Н-имидазол-4-она) с CuCl2·2Н2О
Из 0,05 г (5Z,5'Z)-2,2'-(этан-1,2-диилдисульфанилдиил)бис(5-(2-пиридилметилен)-3-фенил-3,5-дигидро-4Н-имидазол-4-она) и 0,03 г CuCl2·2Н2О получают 0,03 г (55%) комплекса коричневого цвета.
Элементный анализ: C32H24N6O2S2*CuCl2*CuCl вычислено С 46,75% Н 2,94% N 10,22%; найдено С 46,67% Н 2,14% N 10,77%.
Получение комплекса (5Z,5'Z)-2,2'-(бутан-1,4-диилдисульфанилдиил)бис(5-(2-пиридилметилен)-3-аллил-3,5-дигидро-4Н-имидазол-4-она) с CuCl2·2Н2О
Из 0,05 г (5Z,5'Z)-2,2'-(бутан-1,4-диилдисульфанилдиил)бис(5-(2-пиридилметилен)-3-аллил-3,5-дигидро-4Н-имидазол-4-она) и 0,03 г CuCl2·2Н2О получают 0,04 г (59%) комплекса коричневого цвета.
Элементный анализ: C28H28N6O2S2*CuCl2*CuCl вычислено С 43,22% Н 3,63% N 10,80%; найдено С 43,45% Н 3,33% N 10,30%.
Получение комплекса (5Z,5'Z)-2,2'-(бутан-1,4-диилдисульфанилдиил)бис(5-(2-пиридилметилен)-3-фенил-3,5-дигидро-4Н-имидазол-4-она) с CuCl2·2Н2О
Из 0,05 г (5Z,5'Z)-2,2'-(бутан-1,4-диилдисульфанилдиил)бис(5-(2-пиридилметилен)-3-фенил-3,5-дигидро-4Н-имидазол-4-она) и 0,03 г CuCl2·2Н2О получают 0,03 г (49%) комплекса коричневого цвета.
Элементный анализ: C34H28N6O2S2*CuCl2*CuCl вычислено С 48,03% Н 3,32% N 9,88%; найдено С 48,49% Н 2,60% N 9,10%.
Получение комплекса (5Z,5'Z)-2,2'-(этан-1,2-диилдисульфанилдиил)бис(5-(2-пиридилметилен)-3-циклопентил-3,5-дигидро-4Н-имидазол-4-она) с CuCl2·2Н2О
Из 0,05 г (5Z,5'Z)-2,2'-(этан-1,2-диилдисульфанилдиил)бис(5-(2-пиридилметилен)-3-циклопентил-3,5-дигидро-4Н-имидазол-4-она) и 0,03 г CuCl2·2Н2О получают 0,03 г (43%) комплекса коричневого цвета.
Элементный анализ: C30H32N6O2S2*CuCl2*CuCl вычислено С 44,69% Н 4,00% N 10,42%; найдено С 44,46% Н 3,88% N 10,16%.
Получение комплекса (5Z,5'Z)-2,2'-(этан-1,2-диилдисульфанилдиил)бис(5-(2-пиридилметилен)-3-циклогексил-3,5-дигидро-4Н-имидазол-4-она) с CuCl2·2Н2О
Из 0,05 г (5Z,5'Z)-2,2'-(этан-1,2-диилдисульфанилдиил)бис(5-(2-пиридилметилен)-3-циклогексил-3,5-дигидро-4Н-имидазол-4-она) и 0,03 г CuCl2·2Н2О получают 0,04 г (58%) комплекса коричневого цвета.
Элементный анализ: C32H36N6O2S2*CuCl2*CuCl вычислено С 46,07% Н 4,35% N 10,07%; найдено С 45,89% Н 4,27% N 9,93%.
Получение комплекса (5Z,5'Z)-2,2'-(этан-1,2-диилдисульфанилдиил)бис(5-(2-пиридилметилен)-3-(бут-2-инил)-3,5-дигидро-4Н-имидазол-4-она) с CuCl2·2Н2О
Из 0,05 г (5Z,5'Z)-2,2'-(этан-1,2-диилдисульфанилдиил)бис(5-(2-пиридилметилен)-3-(бут-2-инил)-3,5-дигидро-4Н-имидазол-4-она) и 0,03 г CuCl2·2Н2О получают 0,04 г (56%) комплекса коричневого цвета.
Элементный анализ: C28H24N6O2S2*CuCl2*CuCl вычислено С 43,44% Н 3,12% N 10,86%; найдено С 43,23% Н 3,01% N 10,62%.
Получение комплекса (5Z,5'Z)-2,2'-(этан-1,2-диилдисульфанилдиил)бис(5-(2-пиридилметилен)-3-метиламино-3,5-дигидро-4Н-имидазол-4-она) с CuCl2·2Н2О
Из 0,05 г (5Z,5'Z)-2,2'-(этан-1,2-диилдисульфанилдиил)бис(5-(2-пиридилметилен)-3-метиламино-3,5-дигидро-4Н-имидазол-4-она) и 0,03 г CuCl2·2Н2О получают 0,04 г (54%) комплекса коричневого цвета.
Элементный анализ: C22H22N8O2S2*CuCl2*CuCl вычислено С 36,29% Н 3,05% N 15,39%; найдено С 36,12% Н 2,96% N 15,20%.
Получение комплекса (5Z,5'Z)-2,2'-(этан-1,2-диилдисульфанилдиил)бис(5-(2-пиридилметилен)-3-карбэтокси-3,5-дигидро-4Н-имидазол-4-она) с CuCl2·2Н2О
Из 0,05 г (5Z,5'Z)-2,2'-(этан-1,2-диилдисульфанилдиил)бис(5-(2-пиридилметилен)-3-карбэтокси-3,5-дигидро-4Н-имидазол-4-она) и 0,03 г CuCl2·2Н2О получают 0,04 г (57%) комплекса коричневого цвета.
Элементный анализ: C26H24N6O6S2*CuCl2*CuCl вычислено С 38,36% Н 2,97% N 10,32%; найдено С 38,23% Н 2,92% N 10,19%.
Получение комплекса (5Z,5'Z)-2,2'-(этан-1,2-диилдисульфанилдиил)бис(5-(2-пиридилметилен)-3-(2-оксопирролидин-3-ил)-3,5-дигидро-4Н-имидазол-4-она) с CuCl2·2Н2О
Из 0,05 г (5Z,5'Z)-2,2'-(этан-1,2-диилдисульфанилдиил)бис(5-(2-пиридилметилен)-3-(2-оксопирролидин-3-ил)-3,5-дигидро-4Н-имидазол-4-она) и 0,03 г CuCl2·2Н2О получают 0,04 г (58%) комплекса коричневого цвета.
Элементный анализ: C28H26N8O4S2*CuCl2*CuCl вычислено С 40,22% Н 3,13% N 13,40%; найдено С 40,04% Н 3,02% N 13,23%.
Получение комплекса (5Z,5'Z)-2,2'-(этан-1,2-диилдисульфанилдиил)бис(5-(2-пиридилметипен)-3-(1-метил-1Н-имидазол-2-ил)-3,5-дигидро-4Н-имидазол-4-она) с CuCl2·2Н2О
Из 0,05 г (5Z,5'Z)-2,2'-(этан-1,2-диилдисульфанилдиил)бис(5-(2-пиридилметилен)-3-(1-метил-1Н-имидазол-2-ил)-3,5-дигидро-4Н-имидазол-4-она) и 0,03 г CuCl2·2Н2О получают 0,03 г (43%) комплекса коричневого цвета.
Элементный анализ: C28H24N10O2S2*CuCl2*CuCl вычислено С 40,51% Н 2,91% N 16,87%; найдено С 40,29% Н 2,81% N 16,68%.
Получение комплекса (5Z,5'Z)-2,2'-(этан-1,2-диилдисульфанилдиил)бис(5-(2-пиридилметилен)-3-(2-пиридил)-3,5-дигидро-4Н-имидазол-4-она) с CuCl2·2Н2О
Из 0,05 г (5Z,5'Z)-2,2'-(этан-1,2-диилдисульфанилдиил)бис(5-(2-пиридилметилен)-3-(2-пиридил)-3,5-дигидро-4Н-имидазол-4-она) и 0,03 г CuCl2·2Н2О получают 0,04 г (57%) комплекса коричневого цвета.
Элементный анализ: C30H22N8O2S2*CuCl2*CuCl вычислено С 43,72% Н 2,69% N 13,60%; найдено С 43,56% Н 2,62% N 13,46%.
Получение комплекса (5Z,5'Z)-2,2'-дисулъфанилбис(5-(2-пиридилметилен)-3-метил-3,5-дигидро-4Н-имидазол-4-она) с CuCl2·2Н2О
Из 0,05 г (5Z,5'Z)-2,2'-дисульфанилбис(5-(2-пиридилметилен)-3-метил-3,5-дигидро-4Н-имидазол-4-она) и 0,03 г CuCl2·2Н2О получают 0,04 г (52%) комплекса коричневого цвета.
Элементный анализ: C20H16N6O2S2*CuCl2*CuCl вычислено С 35,85% Н 2,41% N 12,54%; найдено С 35,71% Н 2,35% N 12,39%.
Получение комплекса (5Z,5'Z)-2,2'-(этан-1,2-диилдисулъфанилдиил)бис(5-(1-метил-1Н-имидазол-2-илметилен)-3-метил-3,5-дигидро-4Н-имидазол-4-она) с CuCl2·2Н2О
Из 0,05 г (5Z,5'Z)-2,2'-(этан-1,2-диилдисульфанилдиил)бис(5-(1-метил-1Н-имидазол-2-илметилен)-3-метил-3,5-дигидро-4Н-имидазол-4-она) и 0,03 г CuCl2·2Н2О получают 0,03 г (40%) комплекса коричневого цвета.
Элементный анализ: C20H22N8O2S2*CuCl2*CuCl вычислено С 34,12% Н 3,15% N 15,92%; найдено С 33,94% Н 3,06% N 15,71%.
Получение комплекса (5Z,5'Z)-2,2'-(этан-1,2-диилдисульфанилдиил)бис(5-(2-хинолилметилен)-3-пропил-3,5-дигидро-4Н-имидазол-4-она) с CuCl2·2Н2О
Из 0,05 г (5Z,5'Z)-2,2'-(этан-1,2-диилдисульфанилдиил)бис(5-(2-хинолилметилен)-3-пропил-3,5-дигидро-4Н-имидазол-4-она) и 0,03 г CuCl2·2Н2О получают 0,03 г (44%) комплекса коричневого цвета.
Элементный анализ: C34H32N6O2S2*CuCl2*CuCl вычислено С 47,80% Н 3,78% N 9,84%; найдено С 47,67% Н 3,74% N 9,67%.
Получение комплекса (5Z,5'Z)-2,2'-(этан-1,2-диилдисульфанилдиил)бис(5-(2-пиридилметилен)-3-метил-3,5-дигидро-4Н-имидазол-4-она) с Cu(NO3)2·6Н2О
Из 0,05 г (5Z,5'Z)-2,2'-(этан-1,2-диилдисульфанилдиил)бис(5-(2-пиридилметилен)-3-метил-3,5-дигидро-4Н-имидазол-4-она) и 0,05 г Cu(NO3)2·6H2O получают 0,05 г (38%) комплекса коричневого цвета.
Элементный анализ: C22H20N6O2S2*Cu(NO3)2*CuNO3 вычислено С 33,98% Н 2,59% N 16,21%; найдено С 33,76% Н 2,49% N 15,98%.
Для тестирования ингибирования теломеразы полученными соединениями был использован метод амплификации добавленных теломерных повторов (TRAP-анализ). TRAP-анализ является стандартным методом определения активности теломеразы, благодаря некоторым модификациям получивший возможности полуколичественного метода. Выбор метода детекции теломеразной активности определялся его широкой освещенностью в мировой литературе, практически чувствительностью, а также доступностью оборудования и реагентов.
Протокол амплификации теломерных повторов можно подразделить на 3 основных шага: удлинение праймера, амплификация получившегося продукта (продуктов) и детекция. На шаге удлинения теломерные повторы прибавляются присутствующей в клеточном экстракте теломеразой к олигонуклеотиду, узнаваемому ею как субстрат (TS). При амплификации продуктов удлинения олигонуклеотида TS теломеразой могут появляться ложные сигналы с теломер хромосом, содержащихся в клеточном экстракте. Чтобы избежать этого, 5'-конец олигонуклеотида TS имеет нетеломерную последовательность, мешающую ему связываться с теломерами, однако узнается теломеразой как субстрат. Поскольку человеческая теломераза добавляет серию повторов по шесть нуклеотидов, то в результате удлинения олигонуклеотида TS теломеразой получается набор фрагментов ДНК, различающихся по длине. Затем следует шаг увеличения количества продукта с помощью специфических праймеров методом ПЦР с нуклеотидами, содержащими радиоактивную или флуоресцентную метку для детекции. Далее осуществляется детекция (фиг.4), как правило, с помощью электрофоретического разделения и последующего сканирования.
Праймеры TS и АСХ (таблица 1) были использованы в TRAP-анализе, АСХ имеет на 5'-конце нетеломерный довесок из 6 нуклеотидов, за счет этого не образует димеров с теломеразным субстратом. При использовании этих праймеров количество встроенной метки пропорционально числу добавленных теломеразой повторов.
| Таблица 1. | |
| Последовательности олигонуклеотидов, используемых при измерении теломеразной активности | |
| олигонуклеотид | последовательность олигонуклеотида |
| TS | 5'-AATCCGTCGAGCAGAGTT-3' |
| АСХ | 5'-GCGCGG(CTTACC)3CTAACC-3' |
Количество ПЦР-продукта слабо зависит от того, сколько в реакции было исходной матрицы, поэтому нельзя оценить количество теломеразного продукта по интенсивности его сигнала на фотографии. При введении в ПЦР набора теломеразных продуктов они все амплифицируются. Поэтому мы можем использовать количество добавленных теломеразой повторов как критерий ее активности.
Первым этапом было культивирование раковых клеточных линий человека для выделения активных экстрактов, необходимых для проверки. Для этого перевиваемые клетки карциномы шейки матки человека линий SiHa, C33A, CaSki и HeLa выращивали на стандартной среде DMEM, содержащей 10% эмбриональной сыворотки (FCS), 4 мМ L-глутамина, 1 мМ пирувата натрия, стрептомицин/пенициллин в концентрации 100 мкг/мл и 100 ед/мл, соответственно, при температуре 37°С в атмосфере 5% CO2. Для пересева клеток клеточный монослой промывали PBS (10 мМ Na2HPO4, 2 мМ KH2PO4, 137 мМ NaCl, 2 мМ KCl), добавляли стандартный раствор трипсин:EDTA (Sigma) и помещали в CO2-инкубатор на 3-5 минут, добавляли среду с FCS и суспендировали пипетированием, клетки рассевали в необходимое количество культуральных флаконов. После образования монослоя клетки линий смывали с подложки раствором трипсина и осаждали центрифугированием (10 мин., 2000 g). Дважды промывали буфером PBS. Ресуспендировали в лизирующем буфере (10 мМ Tris-HCl или 10 мМ HEPES-KOH, рН 7,5, 1,0 мМ MgCl2, 1 мМ EGTA, 5 мM β-меркаптоэтанола, 5% глицерина, 0,5% CHAPS, 0,1 мМ PMSF), 1 мл на 0,3-10 млн. клеток, в зависимости от необходимой концентрации. Инкубировали 30 минут во льду. Центрифугировали 10 минут при 4°С на 15000 об/мин и отбирали надосадочный раствор. Экстракт делили на аликвоты по 10 мкл и замораживали в жидком азоте. После этого проводили анализ теломеразной активности методом TRAP-теста. На первом шаге готовили смесь N1: 49 мкл смеси TRAP, содержащей 1х TRAP-буфер (1х TRAP-буфер: 20 мМ HEPES-KOH рН 8,3, 1,5 мМ MgCl2, 63 мМ KCl, 1 мМ EGTA, 0,1 мг/мл BSA, 0,005% v/v Tween-20), 20 мкМ dNTP, 1,6 мкМ олигонуклеотида TS, 1 мкл раствора тестируемого препарата в ДМСО и экстракт клеток клеточных линий или тканей. Реакционную смесь инкубировали 30 минут при 30°С. На втором шаге к смеси добавляли 2 ед. Taq -ДНК-полимеразы ("Хеликон"), 0,1 мкг олигонуклеотида АСХ и проводили ПЦР по следующей схеме: 35 с 94°С, 35 с 50°С 90 с 72°С (30 циклов, амплификатор Mastercycler ("Eppendorf", Германия)). 15 мкл раствора и 2,5 мкл буфера для нанесения 6xDNA loading dye ("Fermentas", 10 мМ Tris-HCl, рН 7,6, 0,03% бромфенолового голубого, 0,03% ксиленоцианола, 60% глицерина, 60 мМ ЭДТА) наносили на полиакриламидный 20% гель (акриламид: BIS-акриламид 1:19 10%, TBElx, TEMED 0,1%, персульфат аммония 0,1%). В качестве электродного буфера использовали ТВЕ 1х (0,1 М Tris, 0,1 M Н3ВО3, 2 мМ Na2ЭДTA). Проводили электрофорез пока ксиленцианол не пройдет 10-20 см. Гель окрашивали раствором SYBR Green (10000 × концентрат в ДМСО фирмы Sigma-Aldrich, разведенный в 10000 раз 0,1М буфером Tris-HCl с рН 8,5). Окраску детектировали с помощью сканирования флуоресценции в геле.
В качестве контроля действия препарата именно на РНК-зависимую ДНК-полимеразу (обратную транскриптазу) теломеразы, а не на ДНК-полимеразу, которая используется в данном анализе на втором шаге для амплификации сигнала 1 мкл раствора препарата приливали не к смеси для работы теломеразы, а вместе с олигонуклеотидом АСХ перед ПЦР на втором шаге. Такая контрольная реакция проводилась одновременно с тестом для каждого проверяемого соединения.
Для определения IC50 (концентрация вещества при которой происходит ингибирование теломеразной активности на 50%) проводили реакции для различных концентраций препаратов. Значение IC50 приведено в таблице 2.
Для более точного определения IC50 проводилось отдельное повторное измерение ингибирования веществами с использованием дополнительных разведений. Пример такого анализа для препарата с наибольшей ингибирующей активностью представлен на фиг.5. Экспериментальное изображение анализировали с помощью программы Image Qvant, сравнивая интенсивность полос, соответствующих одинаковому удлинению теломер-подобного субстрата TS теломеразой, в дорожках Т и П для каждой концентрации препарата.
| Таблица 2. | ||
| Тестирование теломеразной активности методом TRAP для серии препаратов | ||
| Номер | Соединение | Ингибирование теломеразы, IC50 |
| 1 | 7 мкМ* | |
| Комплекс (5Z,5'Z)-2,2'-(этан-1,2-диилдисульфанилдиил)бис(5-(2-пиридилметилен)-3-фенил-3,5-дигидро-4Н-имидазол-4-она) с CuCl2·2Н2О | ||
| 2 | 14 мкМ* | |
| Комплекс (5Z,5'Z)-2,2'-(декан-1,2-диилдисульфанилдиил)бис(5-(2-пиридилметилен)-3-метил-3,5-дигидро-4Н-имидазол-4-она) с CuCl2·2Н2О | ||
| 3 | 2 мкМ | |
| Комплекс (5Z,5'Z)-2,2'-(этан-1,2-диилдисульфанилдиил)бис(5-(2-пиридилметилен)-3-аллил-3,5-дигидро-4Н-имидазол-4-она) с CuCl2·2Н2О | ||
| 4 | 4 мкМ | |
| Комплекс (5Z,5'Z)-2,2'-(этан-1,2-диилдисульфанилдиил)бис(5-(2-пиридилметилен)-3-пропил-3,5-дигидро-4Н-имидазол-4-она) с CuCl2·2Н2О |
| 5 | 4 мкМ | |
| Комплекс (5Z,5'Z)-2,2'-(бутан-1,4-диилдисульфанилдиил)бис(5-(2-пиридилметилен)-3-фенил-3,5-дигидро-4Н-имидазол-4-она) с CuCl2·2Н2О | ||
| 6 | 20 мкМ | |
| Комплекс (5Z,5'Z)-2,2'-(бутан-1,4-диилдисульфанилдиил)бис(5-(2-пиридилметилен)-3-аллил-3,5-дигидро-4Н-имидазол-4-она) с CuCl2·2Н2О | ||
| 7 | 20 мкМ | |
| Комплекс (5Z,5'Z)-2,2'-(этан-1,2-диилдисульфанилдиил)бис(5-(2-хинолилметилен)-3-пропил-3,5-дигидро-4Н-имидазол-4-она) с CuCl2·2Н2О | ||
| 8 | Комплекс (5Z,5'Z)-2,2'-(этан-1,2-диилдисульфанилдиил)бис(5-(2-пиридилметилен)-3-метил-3,5-дигидро-4Н-имидазол-4-она) с CuCl2·2Н2О | 4 мкМ |
| 9 | Комплекс (5Z,5'Z)-2,2'-(этан-1,2-диилдисульфанилдиил)бис(5-(2-пиридилметилен)-3-циклопентил-3,5-дигидро-4Н-имидазол-4-она) с CuCl2·2Н2О | 10 мкМ* |
| 10 | Комплекс (5Z,5'Z)-2,2'-(этан-1,2-диилдисульфанилдиил)бис(5-(2-пиридилметилен)-3-циклогексил-3,5-дигидро-4Н-имидазол-4-она) с CuCl2·2Н2О | 9 мкМ* |
| 11 | Комплекс (5Z,5'Z)-2,2'-(этан-1,2-диилдисульфанилдиил)бис(5-(2-пиридилметилен)-3-(бут-2-инил)-3,5-дигидро-4Н-имидазол-4-она) с CuCl2·2Н2О | 3 мкМ |
| 12 | Комплекс (5Z,5'Z)-2,2'-(этан-1,2-диилдисульфанилдиил)бис(5-(2-пиридилметилен)-3-метиламино-3,5-дигидро-4Н-имидазол-4-она) с CuCl2·2Н2О | 2 мкМ |
| 13 | Комплекс (5Z,5'Z)-2,2'-(этан-1,2-диилдисульфанилдиил)бис(5-(2-пиридилметилен)-3-карбэтокси-3,5-дигидро-4Н-имидазол-4-она) с CuCl2·2Н2О | 4 мкМ |
| 14 | Комплекс (5Z,5'Z)-2,2'-(этан-1,2-диилдисульфанилдиил)бис(5-(2-пиридилметилен)-3-(2-оксопирролидин-3-ил)-3,5-дигидро-4Н-имидазол-4-она) с CuCl2·2Н2О | 3 мкМ |
| 15 | Комплекс (5Z,5'Z)-2,2'-(этан-1,2-диилдисульфанилдиил)бис(5-(2-пиридилметилен)-3-(1-метил-1Н-имидазол-2-ил)-3,5-дигидро-4Н-имидазол-4-она) с CuCl2·2Н2О | 4 мкМ |
| 16 | Комплекс (5Z,5'Z)-2,2'-(этан-1,2-диилдисульфанилдиил)бис(5-(2-пиридилметилен)-3-(2-пиридил)-3,5-дигидро-4Н-имидазол-4-она) с CuCl2·2Н2О | 4 мкМ |
| 17 | Комплекс (5Z,5'Z)-2,2'-дисульфанилбис(5-(2-пиридил-метилен)-3-метил-3,5-дигидро-4Н-имидазол-4-она) с CuCl2·2Н2О | 2 мкМ |
| 18 | Комплекс (5Z,5'Z)-2,2'-(этан-1,2-диилдисульфанилдиил)бис(5-(1-метил-1Н-имидазол-2-илметилен)-3-метил-3,5-дигидро-4Н-имидазол-4-она) с CuCl2·2Н2О | 2 мкМ |
| 19 | Комплекс (5Z,5'Z)-2,2'-(этан-1,2-диилдисульфанилдиил)бис(5-(2-пиридилметилен)-3-метил-3,5-дигидро-4Н-имидазол-4-она) с Cu(NO3)2·6H2O | 4 мкМ |
| *Для данных препаратов данное значение соответствует ингибирующему эффекту 15% для насыщенного раствора (IC50 неизмеримо в силу низкой растворимости исходных препаратов). | ||
Claims (8)
1. Координационные соединения производных имидазол-4-она, ингибирующие теломеразу, общей формулы
где заместитель А выбран из группы, включающей арильные заместители, конденсированные арильные заместители, циклопентил, циклогексил, алифатические заместители, алифатические заместители с двойной связью, алифатические заместители с тройной связью, метиламиновый заместитель CH3NH-, карбэтоксигруппу C2H5O(O)С-, пятичленные гетероциклические заместители с одним атомом азота, пятичленные гетероциклические заместители с двумя атомами азота, шестичленные гетероциклические заместители, заместитель В отсутствует или является алифатическим заместителем, заместитель С представляет собой гетероарильный заместитель, присоединяемый к производному имидазол-4-она через атом углерода и выбранный из группы, включающей 5-членные ненасыщенные моноциклические гетероарильные заместители с 1,2,3 гетероатомами в цикле, выбранными из группы, включающей N, О и S, 6-членные ненасыщенные моноциклические гетероарильные заместители с 1, 2, 3 гетероатомами в цикле, выбранными из группы, включающей N, О и S, 8-, 9- и 10-членные ненасыщенные бициклические гетероарильные заместители с 1, 2, 3 гетероатомами в цикле, выбранными из группы, включающей N, О и S, Х представляет собой хлорид Cl или нитрат NO3.
где заместитель А выбран из группы, включающей арильные заместители, конденсированные арильные заместители, циклопентил, циклогексил, алифатические заместители, алифатические заместители с двойной связью, алифатические заместители с тройной связью, метиламиновый заместитель CH3NH-, карбэтоксигруппу C2H5O(O)С-, пятичленные гетероциклические заместители с одним атомом азота, пятичленные гетероциклические заместители с двумя атомами азота, шестичленные гетероциклические заместители, заместитель В отсутствует или является алифатическим заместителем, заместитель С представляет собой гетероарильный заместитель, присоединяемый к производному имидазол-4-она через атом углерода и выбранный из группы, включающей 5-членные ненасыщенные моноциклические гетероарильные заместители с 1,2,3 гетероатомами в цикле, выбранными из группы, включающей N, О и S, 6-членные ненасыщенные моноциклические гетероарильные заместители с 1, 2, 3 гетероатомами в цикле, выбранными из группы, включающей N, О и S, 8-, 9- и 10-членные ненасыщенные бициклические гетероарильные заместители с 1, 2, 3 гетероатомами в цикле, выбранными из группы, включающей N, О и S, Х представляет собой хлорид Cl или нитрат NO3.
2. Координационные соединения по п.1, отличающиеся тем, что заместитель А является незамещенным, или монозамещенным, или дизамещенным арильным заместителем, при этом заместители в арильной группе выбраны из группы, включающей галогены и алкильные заместители.
3. Координационные соединения по п.1, отличающиеся тем, что заместитель А является незамещенным, или монозамещенным, или дизамещенным конденсированным арильным заместителем, при этом заместители в конденсированной арильной группе выбраны из группы, включающей галогены и алкильные заместители.
4. Координационные соединения по п.1, отличающиеся тем, что заместитель А выбран из группы, включающей фенил C6H5-, 3-хлор-4-фторфенил 3-Cl-4-F-С6Н3-, 4-карбэтоксифенил 4-C2H5O(O)СС6Н4-, метил СН3-, аллил СН2=СНСН2-, 2-антрил, пропил С3Н7-.
5. Координационные соединения по п.1, отличающиеся тем, что заместитель В выбран из группы, включающей 1,2-этандиил -(СН2)2-, 1,3-пронандиил -(СН2)3-, 1,4-бутандиил-(СН2)4-, 1,6-гександиил -(CH2)6-, 1,10-декандиил -(CH2)10-.
6. Координационные соединения по п.1, отличающиеся тем, что заместитель С выбран из группы, включающей 2-хинолил, 2-пиридил, 1-метил-2-имидазолил, 4-метил-5-имидазолил, 5-имидазолил, 2-имидазолил, 1,5-диметил-3-пиразолинил, 1,5-дифенил-3-пиразолинил.
7. Способ получения координационных соединений производных имидазол-4-она, ингибирующих теломеразу, по пп.1-6, в котором выполняют следующие стадии: смешивают раствор производного имидазол-4-она в дихлорметане с метанолом, медленно приливают к смеси раствор соли меди в метаноле или ацетонитриле, реакционную смесь выдерживают до выпадения осадка координационного соединения производного имидазол-4-она.
8. Способ по п.7, отличающийся тем, что соль меди выбрана из группы, включающей хлорид меди и нитрат меди.
Priority Applications (4)
| Application Number | Priority Date | Filing Date | Title |
|---|---|---|---|
| RU2010113946/04A RU2468030C2 (ru) | 2010-04-09 | 2010-04-09 | Ингибиторы теломеразы и способ их получения |
| EP11766224.7A EP2592086A4 (en) | 2010-04-09 | 2011-04-05 | TELOMERASE INHIBITORS AND PROCESS FOR THEIR PRODUCTION |
| PCT/RU2011/000223 WO2011126409A1 (ru) | 2010-04-09 | 2011-04-05 | Ингибиторы теломеразы и способ их получения |
| US13/647,642 US20130109861A1 (en) | 2010-04-09 | 2012-10-09 | Telomerase inhibitors and a method for the preparation thereof |
Applications Claiming Priority (1)
| Application Number | Priority Date | Filing Date | Title |
|---|---|---|---|
| RU2010113946/04A RU2468030C2 (ru) | 2010-04-09 | 2010-04-09 | Ингибиторы теломеразы и способ их получения |
Publications (2)
| Publication Number | Publication Date |
|---|---|
| RU2010113946A RU2010113946A (ru) | 2011-10-20 |
| RU2468030C2 true RU2468030C2 (ru) | 2012-11-27 |
Family
ID=44763147
Family Applications (1)
| Application Number | Title | Priority Date | Filing Date |
|---|---|---|---|
| RU2010113946/04A RU2468030C2 (ru) | 2010-04-09 | 2010-04-09 | Ингибиторы теломеразы и способ их получения |
Country Status (4)
| Country | Link |
|---|---|
| US (1) | US20130109861A1 (ru) |
| EP (1) | EP2592086A4 (ru) |
| RU (1) | RU2468030C2 (ru) |
| WO (1) | WO2011126409A1 (ru) |
Cited By (1)
| Publication number | Priority date | Publication date | Assignee | Title |
|---|---|---|---|---|
| RU2639819C2 (ru) * | 2014-12-30 | 2017-12-22 | Федеральное государственное бюджетное образовательное учреждение высшего образования "Московский государственный университет имени М.В. Ломоносова" (МГУ) | Композиция, ингибирующая теломеразу |
Citations (3)
| Publication number | Priority date | Publication date | Assignee | Title |
|---|---|---|---|---|
| SU1059870A1 (ru) * | 1981-09-04 | 1991-04-30 | Институт Неорганической Химии Со Ан Ссср | Комплексное соединение меди (П) с тиосемикарбазоновым производным стабильного нитроксильного радикала имидазолина, про вл ющие противоопухолевую активность |
| WO2007128968A1 (en) * | 2006-04-07 | 2007-11-15 | Imperial Innovations Limited | Telomerase inhibitors |
| CN101270078A (zh) * | 2008-03-14 | 2008-09-24 | 中国科学院长春应用化学研究所 | 抑制端粒酶活性的金属超分子化合物及用法和用途 |
Family Cites Families (2)
| Publication number | Priority date | Publication date | Assignee | Title |
|---|---|---|---|---|
| FR2666316B1 (fr) | 1990-09-04 | 1992-12-11 | France Etat | Dispositif de controle d'un flux d'objets en defilement continu, notamment de colis ou paquets postaux. |
| EP0917579A1 (en) | 1997-07-01 | 1999-05-26 | Cambia Biosystems LLC | Vertebrate telomerase genes and proteins and uses thereof |
-
2010
- 2010-04-09 RU RU2010113946/04A patent/RU2468030C2/ru active IP Right Revival
-
2011
- 2011-04-05 WO PCT/RU2011/000223 patent/WO2011126409A1/ru not_active Ceased
- 2011-04-05 EP EP11766224.7A patent/EP2592086A4/en not_active Withdrawn
-
2012
- 2012-10-09 US US13/647,642 patent/US20130109861A1/en not_active Abandoned
Patent Citations (3)
| Publication number | Priority date | Publication date | Assignee | Title |
|---|---|---|---|---|
| SU1059870A1 (ru) * | 1981-09-04 | 1991-04-30 | Институт Неорганической Химии Со Ан Ссср | Комплексное соединение меди (П) с тиосемикарбазоновым производным стабильного нитроксильного радикала имидазолина, про вл ющие противоопухолевую активность |
| WO2007128968A1 (en) * | 2006-04-07 | 2007-11-15 | Imperial Innovations Limited | Telomerase inhibitors |
| CN101270078A (zh) * | 2008-03-14 | 2008-09-24 | 中国科学院长春应用化学研究所 | 抑制端粒酶活性的金属超分子化合物及用法和用途 |
Non-Patent Citations (2)
| Title |
|---|
| EVANS S.E. ЕТ AL. END-STACKING OF COPPER CATIONIC PORPHYRINS ON PARALLEL-STRANDED GUANINE QUADRUPLEXES// J. BIOL. INORG. CH p.1235-1249. * |
| EVANS S.E. ЕТ AL. END-STACKING OF COPPER CATIONIC PORPHYRINS ON PARALLEL-STRANDED GUANINE QUADRUPLEXES// J. BIOL. INORG. CHEM., 2007, v.12, p.1235-1249. * |
Cited By (1)
| Publication number | Priority date | Publication date | Assignee | Title |
|---|---|---|---|---|
| RU2639819C2 (ru) * | 2014-12-30 | 2017-12-22 | Федеральное государственное бюджетное образовательное учреждение высшего образования "Московский государственный университет имени М.В. Ломоносова" (МГУ) | Композиция, ингибирующая теломеразу |
Also Published As
| Publication number | Publication date |
|---|---|
| RU2010113946A (ru) | 2011-10-20 |
| US20130109861A1 (en) | 2013-05-02 |
| EP2592086A1 (en) | 2013-05-15 |
| WO2011126409A1 (ru) | 2011-10-13 |
| EP2592086A4 (en) | 2014-10-22 |
Similar Documents
| Publication | Publication Date | Title |
|---|---|---|
| RU2405781C2 (ru) | 1, 5-нафтиридиназолидиноны, обладающие cdk1 антипролиферативной активностью | |
| EP3564239B1 (en) | Aryl hydrocarbon receptor modulator | |
| WO2023045816A1 (zh) | 作为axl抑制剂的苯并环庚烷类化合物 | |
| EP3246327B1 (en) | 3-acetylenyl-pyrazole-pyrimidine derivative, and preparation method therefor and uses thereof | |
| CN109415361B (zh) | 丙烯酸类衍生物及其制备方法和其在医药上的用途 | |
| JP2010501613A (ja) | プロテイン・キナーゼ阻害剤としてのカルバモイルスルホキシミド | |
| JP2022509260A (ja) | Tyk2阻害剤およびその使用 | |
| JP2025111694A (ja) | Tyk2阻害剤およびその使用 | |
| CA2936865A1 (en) | Diaminopyrimidine benzenesulfone derivatives and uses thereof | |
| WO2017006283A1 (en) | Deoxyuridine triphosphatase inhibitors containing cyclopropano linkage | |
| CN111732584B (zh) | 二芳基取代稠杂环类化合物及其制备方法和在制药中的用途 | |
| US6528517B1 (en) | Synthesis of quinobenzoxazine analogues with topoisomerase II and quadruplex interactions for use as antineoplastic agents | |
| CN104557913B (zh) | 吡啶并嘧啶类化合物,其制备方法和用途 | |
| RU2468030C2 (ru) | Ингибиторы теломеразы и способ их получения | |
| DE602005005211T2 (de) | Neue azaindol-thiazolinone als krebsmittel | |
| Das et al. | An efficient stereo-controlled synthesis of bis-pyrimido-[4, 5-d]-pyrimidine derivatives via aza-Diels–Alder methodology and their preliminary bioactivity | |
| Fedorova et al. | Multicomponent reactions in the synthesis of dihydropyrimidine-containing podands having tuberculostatic activity | |
| JP2004528293A (ja) | ピリミジン化合物並びに該化合物の製造及び使用方法 | |
| Bobba et al. | Synthesis and biological evaluation of selective tubulin inhibitors as anti-trypanosomal agents | |
| Low et al. | Tri-substituted imidazole analogues of SB203580 as inducers for cardiomyogenesis of human embryonic stem cells | |
| RU2639819C2 (ru) | Композиция, ингибирующая теломеразу | |
| US2993048A (en) | Substituted diaminopurines and method of preparing the same | |
| Rostom et al. | Synthesis and in vitro anti-HIV screening of certain 2-(benzoxazol-2-ylamino)-3H-4-oxopyrimidines | |
| RU2815045C1 (ru) | (e)-5-амино-2-оксо-1-((e)-2-оксо-4-фенилбут-3-ен-1-илиден)-1,2,6,7,8,9-гексагидробензо[4,5]тиено[3,2-e]пирроло[1,2-a]пиримидин-3-карбоксамид, обладающий противораковой активностью в терапии меланомы легких | |
| RU2808534C1 (ru) | Применение цитотоксических средств на основе замещенных (E)-8-(2-оксо-2-R-этилиден)-2-R1-3-R2-6-R3-пирроло[1,2-a]тиено[3,2-e]пиримидин-4,7(5H,8H)-дионов в терапии меланомы легких |
Legal Events
| Date | Code | Title | Description |
|---|---|---|---|
| FZ9A | Application not withdrawn (correction of the notice of withdrawal) |
Effective date: 20111213 |
|
| MM4A | The patent is invalid due to non-payment of fees |
Effective date: 20130410 |
|
| NF4A | Reinstatement of patent |
Effective date: 20160520 |








